Download PDF
ads:
UNIVERSIDADE FEDERAL DO RIO GRANDE DO SUL
ESCOLA DE ENGENHARIA
DEPARTAMENTO DE ENGENHARIA QUÍMICA
PROGRAMA DE PÓS-GRADUAÇÃO EM ENGENHARIA QUÍMICA
Estudos tecnológicos e de engenharia para o armazenamento e
processamento do pinhão
TESE DE DOUTORADO
Florencia Cladera Olivera
Engenheira de Alimentos (UFRGS)
Mestre em Microbiologia Agrícola e do Ambiente (UFRGS)
Porto Alegre
2008
ads:
Livros Grátis
http://www.livrosgratis.com.br
Milhares de livros grátis para download.
UNIVERSIDADE FEDERAL DO RIO GRANDE DO SUL
ESCOLA DE ENGENHARIA
DEPARTAMENTO DE ENGENHARIA QUÍMICA
PROGRAMA DE PÓS-GRADUAÇÃO EM ENGENHARIA QUÍMICA
Estudos tecnológicos e de engenharia para o armazenamento e
processamento do pinhão
Florencia Cladera Olivera
Tese de Doutorado apresentada como requisito
parcial para obtenção de título de Doutora em Engenharia.
Área de Concentração: Engenharia de Alimentos
Orientadora:
Prof
a
. Dr
a
. Lígia Damasceno Ferreira Marczak
Co-orientador:
Prof. Dr. Caciano Pelayo Zapata Noreña
Colaboradores:
Prof. Dr. Adriano Brandelli
Prof
a
. Dr
a
. Keiko Wada
Porto Alegre
2008
ads:
3
UNIVERSIDADE FEDERAL DO RIO GRANDE DO SUL
ESCOLA DE ENGENHARIA
DEPARTAMENTO DE ENGENHARIA QUÍMICA
PROGRAMA DE PÓS-GRADUAÇÃO EM ENGENHARIA QUÍMICA
A Comissão Examinadora, abaixo assinada, aprova a Tese Estudos Tecnológicos e de
Engenharia para o Armazenamento e Processamento do Pinhão, elaborada por Florencia Cladera
Olivera, como requesito parcial para obtenção do Grau de Doutora em Engenharia.
Comissão Examinadora:
___________________________________________________________
Prof. Dr. Javier Telis Romero
___________________________________________________________
Prof
a
. Dr
a
. Rosane Rech
___________________________________________________________
Prof. Dr. Luiz Antônio de Almeida Pinto
___________________________________________________________
Prof
a
. Dr
a
. Isabel Cristina Tessaro
1
AGRADECIMENTOS
Este trabalho não poderia ter sido realizado sem a colaboração de diversas pessoas, a todos eles
meu muito obrigada!
Aos bolsistas de Iniciação Científica Ana Carolina Pettermann (PIBIC - Fapergs, 08/2005 a
07/2006 e voluntária 08/2006 a 02/2007), Anahí Bernstein (voluntária, 04/2006 a 12/2006) e Júlio
César Tesser (voluntário, 03/2006 a 12/2006) pelo grande auxílio prestado no desenvolvimento desta
pesquisa e pela paciência na descascagem do pinhão...
Aos funcionários Roberval B. de Souza e Mariângela F. Terra (do ICTA) e Sirley Secchi (do
Dequi) pela ajuda em várias etapas do trabalho experimental.
Aos colegas do PPGEQ pela convivência nas discplinas e congressos.
Aos colegas do laboratório 218 do ICTA pelo apoio e colaboração constantes ao longo de vários
anos e pela colaboração nas análises.
Aos professores colaboradores e orientadores Dr. Adriano Brandelli, Dra. Keiko Wada, Dra.
Ligia D.F. Marczak e, em especial, ao Dr. Caciano P.Z. Noreña pela grande colaboração prestada neste
trabalho.
Ao Instituto de Ciência e Tecnologia de Alimentos (ICTA) e ao Departamento de Engenharia
Química (Dequi) da UFRGS pela estrutura disponibilizada.
Ao financiamento do Conselho de Aperfeiçoamento de Pessoal de Nível Superior (CAPES)
(bolsa de doutorado de 05/2004 a 11/2004), do Conselho Nacional de Pesquisa e Desenvolvimento
(CNPq) (bolsa de doutorado e taxa de bancada de 12/2004 a 07/2007) e da Fundação de Amparo à
Pesquisa do Rio Grande do Sul (FAPERGS) (bolsa de Iniciação Científica de 08/2005 a 07/2006).
A minha família e amigos.
E a todos os que de alguma forma colaboraram com a realização deste trabalho.
2
RESUMO
O pinhão é a semente comestível da Araucaria angustifolia, sendo consumido no sul e sudeste
do Brasil. Possui excelentes características nutritivas e energéticas. As sementes têm uma atividade de
água muito elevada (>0,98), o que facilita o desenvolvimento de fungos durante a estocagem,
dificultando a sua comercialização. A literatura sobre os seus aspectos nutricionais e tecnológicos é
muito escassa. O objetivo principal deste trabalho foi determinar aspectos tecnológicos e de engenharia
relacionados com o processamento e armazenamento do pinhão. Foi estudada a vida de prateleira do
pinhão cru a 25°C (5 dias), 5°C (3 meses) e –18°C (mais de 8 meses) através de análises fisico-
químicas, microbiológicas e sensoriais. Foram propostas as seguintes operações preliminares para
preservar a qualidade da semente comercializada: recepção, limpeza, seleção, classificação e
armazenamento. Foram determinadas as isotermas de desorção do pinhão cru e cozido e de adsorção da
farinha de pinhão cru em diferentes temperaturas (entre 10 e 40°C) sendo ajustados modelos da
literatura e calculadas a entalpia e entropia diferenciais. Para os três casos o modelo que melhor se
ajustou aos dados foi o de Chirife e a teoria compensatória foi aplicada. Foi avaliada também a cinética
de secagem do pinhão cru e cozido em secador de bandeja a 55, 70 e 85°C. Os dados foram ajustados a
modelos de secagem e calculadas as difusividades efetivas, sendo que a difusividade do pinhão cozido
(1,18 a 3,17 x10
-10
m
2
s
-1
) foi menor do que a do pinhão cru (1,64 a 4,52 x10
-10
m
2
s
-1
), provavelmente
devido à gelatinização do amido. Um dos processos empregados pela tecnologia de alimentos, com a
finalidade de obter produtos estáveis a partir de sementes, é a produção de farinhas. Neste trabalho foi
produzida farinha de pinhão variando as seguintes condições de processo: utilização de pinhão cru e
cozido e diferentes temperaturas de secagem (55, 70 e 85°C). As farinhas produzidas com pinhão
cozido apresentaram cor mais escura, com uma luminosidade menor (L
média
= 75.8) e coordenada de
cromaticidade maior (a
média
= 6.9), quando comparadas com as farinhas de pinhão cru (L
média
= 89.0,
a
média
= 2.1). A temperatura de secagem também influenciou a cor das farinhas produzidas com pinhão
cru. Através de análise multivariada dos dados foi possível agrupar as amostras. A partir dos resultados
da análise sensorial constatou-se que o suflê produzido com a farinha de pinhão cozido apresentou
maior aceitação, obtendo-se um produto que une praticidade, inovação e apelo regional. Por último,
como uma forma de aproveitamento da casca do pinhão, foi estudada a extração de compostos
fenólicos da casca, como uma nova fonte de antioxidantes. Foram determinadas as melhores condições
em termos de volume e concentração de solvente (etanol) e temperatura de extração, utilizando a
metodologia de superfície de resposta.
Palavras Chaves: Pinhão, Araucária angustifólia, secagem, isotermas de sorção, propriedades
termodinâmicas, compostos fenólicos, antioxidantes.
3
ABASTRACT
The seeds of Araucaria angustifolia, named pinhão, are consumed in the South and Southeast
of Brazil. Pinhão has good nutritious and energetic characteristics. Since the seeds have a high water
activity (>0,98), they can be easily contaminated by mushrooms during the stockpiling, hindering its
commercialisation. The literature about nutritional and technological aspects of pinhão is very scarce.
The main objective of this work was to determine technological and engineering aspects of the
processing and storage of pinhão. The Shelf life of raw pinhão was studied at 25°C (5 days), 5°C (3
months) and -18°C (more than 8 months) using physiochemical, microbiological and sensorial
analyses. The following preliminary operations were proposed to preserve the quality of the seed for
commercialisation: reception, cleaning, selection, classification and storage. Desorption of raw and
cooked pinhão and adsorption isotherms of raw pinhão flour were determined at different temperatures
(between 10 and 40°C), modelled using well know isotherm models and differential enthalpy and
entropy were calculated. Results show that the Chirife model most appropriately represents the
experimental data for the three cases and the enthalpy-entropy compensation theory was applied.
Drying behavior of raw and cooked pinhão was studied at 55, 70 and 85°C. The data were adjusted to
drying models and effective diffusivity were calculated. Values for cooked pinhão (1,18 to 3,17 x10
-10
m
2
s
-1
) were smaller than values for raw pinhão (1,64 to 4,52 x10
-10
m
2
s
-1
), probably due to starch
gelatinisation. One of the processes used by food technology with the purpose of obtaining stable
products from seeds, it is the production of flours. In this work pinhão flour was produced varying the
following process conditions: use of raw or cooked pinhão and different drying temperatures (55, 70
and 85°C). Flours produced with cooked pinhão presented darker colour, with a smaller brightness
(L
mean
= 75.8) and larger coordinate of chromaticity (a
mean
= 6.9), when compared with raw pinhão
flours (L
mean
= 89.0, a
mean
= 2.1). Drying temperature also influenced the colour of flours produced with
raw pinhão. Through multivariate analysis of the data it was possible to cluster the samples. Results of
sensorial analysis show that soufflé produced with cooked pinhão flour presented larger acceptance,
being obtained a new product with regional appeal. The extraction of phenolic compounds of pinhão
coats was also studied as a new source of antioxidants. The best condition of solvent volume, ethanol
concentration and temperature, using factorial design and response surface methodology, were
obtained.
Keywords: Pinhão seed, Araucária angustifólia, drying, sorption isotherms, thermodynamic
properties, phenolic compounds, antioxidants.
4
SUMÁRIO
AGRADECIMENTOS .....................................................................................................1
RESUMO .......................................................................................................................2
ABASTRACT..................................................................................................................3
SUMÁRIO ......................................................................................................................4
RELAÇÃO DE TABELAS...............................................................................................6
RELAÇÃO DE FIGURAS ...............................................................................................9
LISTA DE ABREVIATURAS.........................................................................................12
INTRODUÇÃO .............................................................................................................13
1 CAPÍTULO I- FUNDAMENTOS TEÓRICOS E REVISAO BIBLIOGRÁFICA........15
1.1 O pinhão ........................................................................................................15
1.2 Atividade de água e estabilidade dos alimentos............................................20
1.3 Isotermas de sorção ......................................................................................23
1.4 Propriedades termodinâmicas e teoria compensatória..................................30
1.5 Desidratação de alimentos ............................................................................31
1.5.1 Curvas de secagem ...................................................................................32
1.6 compostos fenólicos ......................................................................................36
1.6.1 Extração.....................................................................................................38
2 CAPÍTULO II - OBJETIVOS..................................................................................40
2.1 Objetivo geral.................................................................................................40
2.2 Objetivos específicos.....................................................................................40
3 CAPÍTULO III Artigo 1: “Vida de prateleira de pinhão cru e operações
preliminares”...........................................................................................................................41
4 CAPÍTULO IV Artigo 2: “Thermodynamic properties of moisture desorption of
raw pinhão (Araucaria angustifolia seeds)”.............................................................................56
5 CAPÍTULO V - Artigo 3: “Influence of cooking in sorption isotherms of pinhão
(Araucaria angustifolia seeds)” ...............................................................................................64
6 CAPÍTULO VI - Artigo 4: “Drying kinetics of raw and cooked pinhão (Araucaria
angustifolia seeds)”.................................................................................................................82
5
7 CAPÍTULO VII Artigo 5: “Modeling water adsorption isotherms of pinhão
(Araucaria angustifolia seeds) flour and thermodynamic analysis of the adsorption process”
102
8 CAPÍTULO VIII Artigo 6: “Produção de farinha de pinhão e aplicação no
desenvolvimento de pó para o preparo de suflê”..................................................................122
9 CAPÍTULO IX Artigo 7: “Antioxidant activity of phenolic compounds extracted
from Araucaria angustifolia seed coat”..................................................................................142
10 CAPÍTULO X – RESULTADOS COMPLEMENTARES ......................................159
10.1 Análises fisico-químicas...............................................................................159
10.2 Dados de isotermas do pinhão cru e cozido a baixas aw ............................160
10.3 Curvas de secagem do pinhão cru inteiro e com casca ..............................169
11 CAPÍTULO XI - DISCUSSÃO GERAL ................................................................173
12 CAPÍTULO XII - CONCLUSÕES ........................................................................181
13 CAPÍTULO XIII – CONSIDERAÇÕES FINAIS....................................................184
REFERÊNCIAS BIBLIOGRÁFICAS...........................................................................185
6
RELAÇÃO DE TABELAS
Tabela 1.1: Dados das análises físico-químicas do pinhão cru e cozido expressos em % e
base úmida. .....................................................................................................................17
Tabela 1.2. Modelos de isotermas utilizados comumente......................................................27
Tabela 1.3: Modelos empíricos de curvas de secagem para período de taxa decrescente...34
Tabela 3.1: Resultados obtidos nas análises microbiológicas do endosperma da semente
armazenada a temperatura ambiente..............................................................................49
Tabela 3.2: Resultados obtidos na análise sensorial. ............................................................50
Table 5.1. Sorption isotherm models used in this work. .........................................................69
Table 5.2. Estimated values of coefficients and mean relative deviation modulus (MRD)
obtained for selected sorption models applied to experimental desorption data for cooked
pinhão..............................................................................................................................73
Table 6.1: Mathematical models applied to the drying curves................................................86
Table 6.2: Experimental equilibrium moisture for raw and cooked pinhão at different drying
temperatures. ..................................................................................................................91
Table 6.3: Parameter estimation, R
2
, χ
2
, RMSD, and MRD of the ten drying models for air
drying of raw pinhão at different temperatures considering the simplification
0
X
X
X
R
= ..92
Table 6.4: Parameter estimation, R
2
, χ
2
, RMSD, and MRD of the ten drying models for air
drying of cooked pinhão at different temperatures considering the simplification
0
X
X
X
R
= ..........................................................................................................................93
Table 6.5: Parameter estimation, R
2
, χ
2
, RMSD, and MRD of the ten drying models for air
drying of raw pinhão at different temperatures considering X
e
determined experimentally.
.........................................................................................................................................94
Table 6.6: Parameter estimation, R
2
, χ
2
, RMSD, and MRD of the ten drying models for air
drying of cooked pinhão at different temperatures considering X
e
determined
experimentally. ................................................................................................................95
7
Table 6.7: Effective diffusivities for raw and cooked pinhão at different drying temperatures,
considering the simplification
0
X
X
X
R
= ...........................................................................97
Table 6.8: Effective diffusivities for raw and cooked pinhão at different drying temperatures,
considering X
e
determined experimentally.......................................................................97
Table 7.1: Sorption isotherm models used in this work. .......................................................107
Table 7.2: Estimated values of coefficients and mean relative deviation modulus (MRD)
obtained for selected sorption models applied to experimental adsorption data for pinhão
flour................................................................................................................................113
Tabela 8.1: Ingredientes e quantidades expressas em % das quatro formulações testadas.
.......................................................................................................................................126
Tabela 8.2: Análises físico-químicas do pinhão cru e cozido...............................................128
Tabela 8.3: Resultados das análises das farinhas produzidas com pinhão cru ou cozido e
desidratadas em diferentes temperaturas. ....................................................................129
Tabela 8.4: Resultados obtidos para a cor das farinhas produzidas com pinhão cru ou cozido
e desidratadas em diferentes temperaturas. .................................................................130
Tabela 8.5: Matriz de correlação entre as variáveis na análise multivariada. ......................135
Table 9.1: Phenolic compounds (PC) extraction with different solvents using 5 g of coats,
50mL of solvent, temperature extraction of 30°C and time extraction of 30 min............147
Table 9.2. Experimental design and results of the 2
3
factorial design with six star points. ...148
Table 9.3. Analysis of variance (ANOVA) for the quadratic models for phenolic compounds
concentration (PCC) and antioxidant activity concentration (AAC) in the extract and for
total phenolic compound (TPC) extraction.....................................................................150
Table 9.4 Values for maximize PCC in the extract ...............................................................154
Table 9.5 Values for maximize AAC in the extract ...............................................................155
Table 9.6 Values for maximize TPC in the extract................................................................156
Tabela 10.1: Análises físico-químicas do pinhão cru, cozido e da farinha de pinhão (% base
seca)..............................................................................................................................159
Tabela 10.2: Valores dos coeficientes e do erro relativo médio (ERM) obtido para os modelos
de sorção aplicados aos dados experimentais de dessorção do pinhão cru.................162
8
Tabela 10.3: Valores dos coeficientes e do erro relativo médio (ERM) obtido para os modelos
de sorção aplicados aos dados experimentais de desorção do pinhão cozido. ............163
Tabela 10.4: Comparação dos valores de monocamada (X
m
) obtidos utilizando a equação de
GAB...............................................................................................................................167
Tabela 10.5: comparação entre os valores obtidos de T
β
e G para o pinhão cru, cozido e a
farinha de pinhão...........................................................................................................169
Tabela 10.6: Parâmetros estimados, R
2
, χ
2
, RMSD e MRD para os modelos de secagem de
pinhão cru inteiro e com casca considerando a simplificação
0
X
X
X
R
= . .....................172
9
RELAÇÃO DE FIGURAS
Figura 1.1: Pinhão: semente da árvore Araucaria angustifólia. .............................................15
Figura 1.2: Árvore Araucaria angustifólia (São Francisco de Paula, RS)...............................16
Figura 1.3: Pinhas contendo no seu interior as sementes .....................................................18
Figura 1.4: Pinhão exposto à temperatura ambiente para comercialização (Mercado Público,
Porto Alegre, RS).............................................................................................................19
Figura 1.5: Influência da atividade de água na estabilidade dos alimentos. ..........................22
Figura 1.6: Isoterma típica de sorção de água de um alimento .............................................23
Figura 1.7: Isoterma de sorção de água de diversos alimentos.............................................25
Figura 1.8: Isotermas de sorção de água para batatas em diferentes temperaturas.............26
Figura 1.9: Fenômeno de histerese. ......................................................................................29
Figura 1.10: Representação esquemática dos capilares pela teoria de Labuza....................29
Figura 1.11: Curvas de secagem de um alimento: ................................................................33
Figura 1.12: Exemplos de estruturas de a) ácidos hidroxibenzóicos e, b) ácidos
hidroxicinâmicos ..............................................................................................................37
Figura 1.13: a) Estrutura genérica de uma molécula de flavonóide, b) estrutura genérica das
maiores classes de flavonóides.......................................................................................38
Figura 3.1: Ficha sensorial utilizada.......................................................................................45
Figura 3.2: Variação de umidade (bs) durante armazenamento de pinhão ...........................46
Figura 3.3: Variação de pH durante armazenamento de pinhão armazenado.......................47
Figura 3.4: Variação de acidez durante armazenamento de pinhão armazenado.................48
Figura 3.5: Fluxograma de operações preliminares sugeridas para o pinhão. ......................52
Figura 3.6: Pinhão (a) infestado por larva; (b) falhas; (c) brotado; (d) infestado por fungo; (e)
pinhões de diferentes tamanhos......................................................................................53
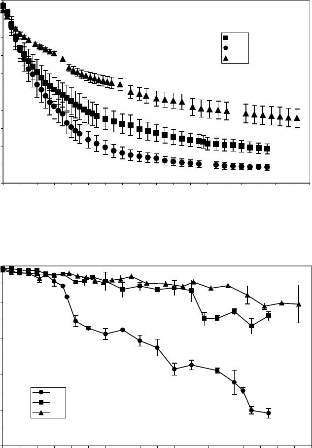
Figure 5.1. Experimental values of equilibrium moisture content (dry basis) as a function of
water activity for cooked pinhão at different temperatures...............................................72
Fig. 5.2. Differential enthalpy of desorption of raw and cooked pinhão as a function of
equilibrium moisture content............................................................................................75
Figure 5.3. Differential entropy of desorption of raw and cooked pinhão as a function of
equilibrium moisture content............................................................................................76
10
Figure 5.4. Differential enthalpy as a function of differential entropy for cooked pinhão. .......77
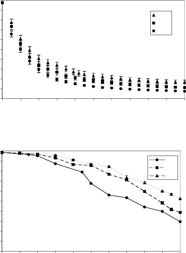
Figure 6. 1. The drying experimental data with the standard deviation bars for raw pinhão. .88
Figure 6.2. Changes in water activity for raw pinhão during drying........................................88
Figure 6.3. The drying experimental data with the standard deviation bars for cooked pinhão.
.........................................................................................................................................89
Figure 6.4. Changes in water activity for cooked pinhão during drying. .................................89
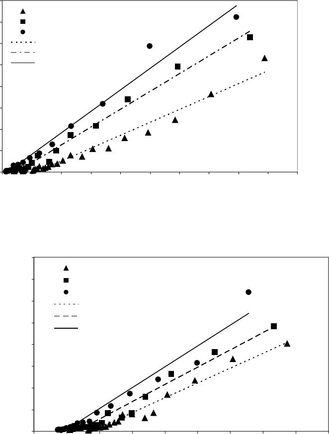
Figure 6.7. Arrhenius-type relationship between the effective diffusivity and absolute
temperature for raw and cooked pinhão using the simplification
0
X
X
X
R
= . ....................98
Figure 6.8. Arrhenius-type relationship between the effective diffusivity and absolute
temperature for raw and cooked pinhão using the experimental value of X
e
to calculate
X
R
. ...................................................................................................................................98
Figure 7.1: Experimental values of equilibrium moisture content (dry basis) as a function of
water activity for pinhão flour at different temperatures. ................................................111
Figure 7.2: Differential enthalpy of adsorption of pinhão flour as a function of equilibrium
moisture content. ...........................................................................................................115
Figure 7.3: Differential entropy of adsorption of pinhão flour as a function of equilibrium
moisture content. ...........................................................................................................116
Figure 7.4: Differential enthalpy as a function of differential entropy for pinhão flour...........117
Figura 8.1: Modelo de ficha para a análise sensorial do suflê de pinhão. ...........................127
Figura 8.2: Gráficos de pareto mostrando as variáveis significativas no experimento fatorial
.......................................................................................................................................131
Figura 8.3: Gráficos de pareto mostrando as variáveis significativas no experimento fatorial
.......................................................................................................................................132
Figura 8.4: Superfícies de contorno para as respostas:.......................................................133
Figura 8.5: Superfícies de contorno para as respostas:.......................................................134
Figura 8.6: Análise por componentes principais dos resultados obtidos nas análises físico-
químicas das farinhas....................................................................................................136
Figura 8.7: Análise multivariada das farinhas obtidas..........................................................137
Figura 8.8: Cluster (agrupamento) das farinhas obtidas......................................................138
11
Figura 8.9: Médias obtidas na análise sensorial das diferentes formulações de suf
testadas.........................................................................................................................139
Figure 9.1. Pareto graph of standardized estimated effects of the different variables tested in
the prospective experiment on:......................................................................................149
Figure 9.2. Contour plots and response surface obtained for phenolic compounds
concentration .................................................................................................................151
Figure 9.3. Contour plots obtained for antioxidant activity concentration .............................152
Figure 9.4. Contour plots obtained for total phenolic compounds ........................................152
Figura 10.1: Isoterma de dessorção do pinhão cru para toda a faixa de aw estudada........161
Figura 10.2: Isoterma de dessorção do pinhão cozido para toda a faixa de aw estudada. .161
Figura 10.3: Comparação entre as isotermas de dessorção do pinhão cru e do pinhão cozido
na temperatura de 15°C. ...............................................................................................164
Figura 10.4: Comparação entre as isotermas de dessorção do pinhão cru e do pinhão cozido
na temperatura de 25°C. ...............................................................................................164
Figura 10.5: Comparação entre as isotermas de dessorção do pinhão cru e do pinhão cozido
na temperatura de 30°C. ...............................................................................................165
Figura 10.6: Comparação entre as isotermas de dessorção do pinhão cru e do pinhão cozido
na temperatura de 40°C. ...............................................................................................165
Figura 10.7: Comparação entre as isotermas de adsorção da farinha de pinhão cru e de
dessorção do pinhão cru na temperatura de 30°C. .......................................................166
Figura 10.8: Comparação entre as isotermas de adsorção da farinha de pinhão cru e de
dessorção do pinhão cru na temperatura de 40°C. .......................................................167
Figura 10.9: Comparação entre os valores obtidos para a entalpia diferencial de sorção do
pinhão cru, cozido e da farinha de pinhão cru para cada umidade. ..............................168
Figura 10.10: Comparação entre os valores obtidos para a entropia diferencial de sorção do
pinhão cru, cozido e da farinha de pinhão cru para cada umidade. ..............................168
Figura 10.11: Curvas de secagem do pinhão cru inteiro e com casca em diferentes
temperaturas. ................................................................................................................170
Figura 10.12: Variação da atividade de água das sementes em função do tempo de
secagem em diferentes temperaturas para o pinhão cru inteiro e com casca...............170
12
LISTA DE ABREVIATURAS
a* Coordenada de cromaticidade
b* Coordenada de cromaticidade
AA Atividade antioxidante
AAE Ácido ascórbio equivalente
A, B, C Parâmetros dos modelos de isotermas de sorção
aw Atividade de água
CF Compostos fenólicos
CFT Compostos fenólicos totais
CE Catecol equivalente
D
eff
Difusividade efetiva (m
2
/s)
ERH Umidade relativa de equilíbrio (kg água / kg ss)
H
Calor total de sorção (J/mol)
H
vap
Calor latente de vaporização da água (J/mol)
h
Calor isostérico de sorção ou entalpia diferencial (J/mol)
h
Entalpia diferencial média (J/mol)
s
Entropia diferencial (J/mol K )
s
Entropia diferencial média (J/mol K )
G
Energia livre de Gibbs (J/mol)
E
a
Energia de ativação (J/mol)
K, k, k
1
, k
2
Parâmetros dos modelos de isotermas de sorção
L* Luminosidade
m
Número de pares de dados (
h,
S)
MRD Erro relativo médio
MRS Metodologia de Superfície de Resposta
n Número de isotermas de sorção
n
1
, n
2
Parâmetros dos modelos de isotermas de sorção
R Constante universal dos gases (kJ /mol K)
r
2
Coeficiente de correlação
T Temperatura absoluta (K)
T
β
Temperatura isocinética (K)
T
hm
Temperatura harmônica média (K)
UFC Unidades formadoras de colônias
X Umidade de equilíbrio (kg água / kg ss)
X
m
Umidade de monocamada (kg água / kg ss)
X
e
Umidade de equilíbrio experimental (kg água / kg ss)
X
p
Umidade de equilíbrio predita (kg água / kg ss)
X
0
Umidade inicial (kg água / kg ss)
X
R
Umidade adimensional
13
INTRODUÇÃO
O sul do Brasil produz a semente comestível da Araucaria angustifolia, conhecida como pinhão,
que possui excelentes características nutritivas e energéticas podendo ser considerada como uma fonte
de amido, fibra dietética, magnésio e cobre. É um alimento culturalmente importante na região sul do
Brasil. Atualmente o pinhão é comercializado cru ou após cozimento em água, sendo rara a
comercialização de produtos a base desta semente. É comercializado principalmente nas estradas das
regiões produtoras, e, atualmente, é visto como fonte de renda extra ou complemento do orçamento
familiar dos pequenos produtores da região serrana do Estado do Rio Grande do Sul. A consolidação da
cadeia produtiva deste produto contribuiria para o desenvolvimento regional.
A literatura e os estudos tecnológicos e de engenharia deste produto são escassos, exceto alguns
trabalhos reportando propriedades físico-químicas, índice glicêmico, aspectos nutricionais como
complemento protéico e características do amido de pinhão. Porém, não existem relatos de isotermas de
sorção deste produto ou de condições adequadas para o seu armazenamento. A partir desta constatação
surgiu a motivação do presente trabalho, que é a de estudar as características para o processamento e
armazenamento do pinhão. Este trabalho tem a intenção de fornecer dados sobre aspectos físico-
químicos, tecnológicos e de engenharia do pinhão com o objetivo de prover dados científicos para
melhorar as condições de armazenamento e processamento, que hoje em dia são precárias e
impossibilitam o acesso ao produto em época fora de colheita.
Existe o interesse de obter novas opções de processamento para ampliar as formas de utilização
deste produto. Por se tratar de sementes, um dos processos mais empregados pela tecnologia de
alimentos com a finalidade de obter produtos estáveis, é a produção de farinhas. Durante o
processamento, a atividade de água diminui, aumentando assim a vida de prateleira. Neste trabalho foi
estudada a produção de farinha de pinhão, avaliando a influência dos parâmetros de processo na
qualidade do produto obtido. A farinha pode ser utilizada no desenvolvimento de novos produtos não
existentes no mercado, o que pode trazer para os pequenos agricultores ou pessoas dedicadas à colheita
desse produto, benefícios no sentido de aumentar o valor agregado da semente. Além disso, poderá
14
fazer com que a população tenha acesso a formas variadas de consumo de um alimento nutritivo e
energético, no lugar do consumo apenas do pinhão cozido.
É de grande interesse comercial e ambiental estudar as possibilidades de aproveitamento de
subprodutos e resíduos resultantes da industrialização dos produtos agrícolas, sendo que no caso do
pinhão, as cascas são uma boa fonte de compostos fenólicos, cujo estudo não foi realizado
anteriormente.
Outro aspecto importante é o ecológico. Hoje em dia, o pinhão é explorado com escassas normas
ecológicas, de forma depredatória, levando à ameaçada de extinção da araucária. O incremento do
hábito de consumo e das opções tecnológicas do aproveitamento da semente poderia constituir-se em
elemento fundamental à preservação da araucária, uma vez que a exploração deixaria de ser
depredatória, fazendo-se o plantio da árvore.
15
1 CAPÍTULO I- FUNDAMENTOS TEÓRICOS E REVISAO BIBLIOGRÁFICA
Neste capítulo serão abordados os principais assuntos desenvolvidos neste trabalho, iniciando
com uma revisão sobre o pinhão, o alimento estudado.
1.1 O PINHÃO
O pinhão (Figura 1.1) é a semente comestível da árvore Araucaria angustifólia (ou Araucaria
brasiliense, Figura 1.2), que pertence à família Araucariaceae, sendo a principal espécie de conífera
nativa brasileira de importância econômica (Zandavalli et al., 2004). A sua distribuição geográfica
inclui a Argentina e o Brasil, onde se concentra nos estados de Paraná, Santa Catarina e Rio Grande do
Sul (Zandavalli et al., 2004).
Figura 1.1: Pinhão: semente da árvore Araucaria angustifólia.
Foto: Gustavo V. Kramer
16
Figura 1.2: Árvore Araucaria angustifólia (São Francisco de Paula, RS).
O pinhão era uma importante fonte de alimentos para as tribos indígenas; os índios caçadores-
coletores-pescadores, no final do verão ou início do outono, coletavam um dos alimentos mais
importantes para a sua subsistência: o pinhão. Esta semente era desidratada para posterior consumo, e,
quando consumido, era diretamente assado no borralho, ou cozido ou utilizado como farinha, com a
qual eram feitos seus bolos e pães (Ribeiro, 2000). O pinhão também era um dos motivos de conflitos
armados entre aldeias dos índios guaranis (Schmitz, 2000).
O pinhão é atualmente consumido após cozimento e posterior descascagem. Segundo
Cordenunsi et al. (2004), as sementes podem ser consideradas como fonte de amido, fibra dietética,
magnésio e cobre e, o consumo de pinhão apresenta um baixo índice glicêmico. A Tabela 1.1 mostra os
valores obtidos nas análises físico-químicas do pinhão cru e cozido realizados por estes autores.
17
Tabela 1.1: Dados das análises físico-químicas do pinhão cru e cozido expressos em % e base
úmida.
Análise Pinhão cru
(%)
Pinhão cozido
(%)
Umidade
49,50 ± 0,02 50,35 ± 0,71
Proteína
3,57 ± 0,05 2,31 ± 0,05
Lipídeos
1,26 ± 0,07 1,26 ± 0,09
Resíduo mineral fixo
1,60 ± 0,01 1,41 ± 0,02
Amido
36,28 ± 0,11 34,48 ± 0,72
Fibra dietética solúvel
0,63 ± 0,13 0,55 ± 0,18
Fibra dietética insolúvel
4,26 ± 0,20 5,17 ± 0,25
Açúcares solúveis totais 2,43 0,64
Fonte: Cordenusi et al. (2004)
A análise desta tabela mostra que o pinhão possui um alto conteúdo de umidade, o que faz com
que seja um produto bastante suscetível às reações de deterioração. Além disso, o pinhão possui um
alto teor de amido.
Os pinhões são encontrados em maior quantidade nos meses de abril a junho, porém o maior
volume de comercialização ocorre nos meses de junho e julho durante as festas picas da Região Sul
do Brasil (inclusive as festas juninas), quando também se verificam as maiores oscilações de preços. É
comum a existência de vendedores oferecendo pinhões às margens de rodovias no interior dos Estados
da Região Sul do Brasil na época da safra. Para muitas dessas pessoas, a comercialização do pinhão
não é apenas um incremento para a renda familiar durante o inverno, mas também uma forma de
sobrevivência (BRDE, 2005).
Segundo dos Santos et al. (2002), a sazonalidade associada ao elevado grau de perecividade
restringe a comercialização do produto principalmente aos meses de março a junho. Cabe ressaltar que
o IBAMA, através da Portaria Normativa DC 20, autoriza a coleta, transporte e comercialização do
pinhão somente a partir do dia 15 de abril, com o objetivo de proteger as sementes para a produção de
mudas e conseqüente preservação da espécie. O término da coleta é determinado praticamente pelos
próprios coletores, a partir do momento que observam que existem poucos pinhões (Silveira et al.,
2007).
18
Por possuir umidade e atividade de água muito altas o tempo de armazenamento do pinhão é
pequeno, pois facilmente a semente inicia seu processo de brotamento e ocorre ataque microbiológico
(Kramer et al., 2001) o que dificulta a sua comercialização. O sistema de coleta realizado hoje ainda é
manual. Os principais problemas relacionados à coleta na Floresta Nacional de São Francisco de Paula
(RS) são: a coleta clandestina; a preocupação com acidentes; a falta de pesquisa sobre o impacto da
coleta do pinhão e as condições de moradia e trabalho dos coletores (Silveira et al., 2007). A coleta
pode ser realizada subindo na árvore e derrubando as pinhas (Figura 1.3), prática esta muito arriscada
mas ainda praticada por alguns coletores; derrubada das pinhas através de varas de bambu feita à partir
do chão ou podem ser recolhidas as pinhas ou sementes que se encontram no chão após caída devido
à própria maturação (Silveira et al., 2007; Santos et al., 2002). As pinhas são posteriormente
debulhadas utilizando ferramentas simples, como porretes. Não existe atualmente um sistema de
limpeza, seleção e classificação dos pinhões, sendo comercializados os pinhões junto com a semente
infestada por larvas, fungos, com falhas, poeira ou terra e demais impurezas. Além disso, as sementes
apresentam tamanhos diferentes. A venda é feita a granel ou em sacas de 10 ou 50 kg. Algumas vezes o
pinhão é estocado a temperaturas de refrigeração e/ou congelamento, no entanto, quando é colocado em
exposição ao público é deixado a temperatura ambiente (Figura 1.4). Isto faz com que os grãos ganhem
umidade rapidamente do ambiente, devido à alta umidade relativa geralmente presente no estado do
Rio Grande do Sul.
Figura 1.3: Pinhas contendo no seu interior as sementes
(Fonte: Projeto Pinhão, 2008).
19
Figura 1.4: Pinhão exposto à temperatura ambiente para comercialização (Mercado Público,
Porto Alegre, RS).
Foto: Gustavo V. Kramer
Apesar de sua importância regional como alimento e fonte de renda alternativa para muitas
famílias de agricultores no sul do Brasil, esta atividade não tem merecido estudos de impacto
ecológico, econômico ou social (Silveira et al., 2007) e pouca atenção tem sido dada a pesquisas sobre
os vários aspectos que envolvem seu consumo (Santos et al., 2002). pouco ou nenhum estudo sobre
a estocagem do pinhão ou seu processamento, e consequentemente, o pinhão não é encontrado após a
safra (Kramer et al., 2001). Não existem relatos sobre as isotermas de sorção do pinhão, vida de
prateleira ou outros aspectos tecnológicos.
Segundo Santos et. al. (2002), para que o consumo e a produção de pinhão se desenvolva,
estendendo este hábito alimentar para outras regiões e países, faz-se necessário pesquisas sobre o
desenvolvimento de técnicas de conservação e industrialização, disponibilizando-o nas demais estações
do ano.
No que se refere à casca do pinhão esta é geralmente descartada no ambiente e o tempo
necessário para a sua biodegradação é considerável. Brasil et al. (2006) estudaram o aproveitamento da
20
casca de pinhão como biossorvente para a remoção de cromo (Cr VI), observando que a casca é capaz
de remover Cr VI de soluções aquosas.
A Universidade Federal do Paraná (UFPR) através do Departamento de Ciências Florestais e o
Departamento de Economia Rural e Extensão em conjunto com o Instituto Ecoplan elaboraram o
“Projeto Pinhão”, que está sendo financiado pela Secretaria Estadual do Meio Ambiente, Instituto
Ambiental do Paraná, Fundo Estadual do Meio Ambiente e Conselho Estadual do Meio Ambiente. Este
projeto visa analisar os aspectos socioconômicos das atividades de coleta e comercialização do pinhão
em municípios chaves da cadeia produtiva no Estado do Paraná. O foco das atividades considera todas
as fases da cadeia produtiva, o perfil humano, entidades envolvidas, análise dos aspectos ambientais e o
resgate dos aspectos relacionados com a cultura paranaense. Segundo dados estabelecidos por este
projeto, as populações que dependem diretamente da atividade de coleta e venda de pinhão em toda a
região de Guarapuava, União da Vitória e Curitiba (no Estado do Paraná) são estimadas em pelo menos
3.000 famílias. Os objetivos do projeto são: analisar os aspectos sócio-econômicos das atividades de
coleta e comercialização do pinhão o pinhão; descrever o perfil humano das pessoas e entidades
envolvidas com esta atividade; analisar os aspectos ambientais da atividade; resgatar e documentar
aspectos relacionados ao pinhão na cultura paranaense; apresentar proposições e sugestões de ações à
população envolvida com a coleta e a comercialização do pinhão, que venham ao encontro da
sustentabilidade, considerando perspectivas de melhoria das condições econômicas das populações e
minimização dos impactos ao meio ambiente (Projeto Pinhão, 2008).
1.2 ATIVIDADE DE ÁGUA E ESTABILIDADE DOS ALIMENTOS
É reconhecido muito tempo de que existe uma relação entre o conteúdo de água de um
alimento e a sua perecibilidade. No entanto, foi também observado que diversos tipos de alimentos com
o mesmo conteúdo de água diferem significativamente em termos de perecibilidade. Portanto, é
evidente que o conteúdo de água por si não é um indicador confiável sobre a perecibilidade. Este
fato é atribuído, em parte, às diferenças na intensidade em que a água está associada aos constituintes
não aquosos. É de se esperar que a água fortemente associada seja menos capaz de dar suporte a
atividades de degradação como o crescimento de microrganismos e reações químicas hidrolíticas, do
21
que água fracamente associada. O termo “atividade de água” (aw) foi desenvolvido para indicar a
intensidade com a qual a água associa-se com os constituintes não aquosos (Fennema, 2000).
A atividade de água pode ser definida como:
0
f
f
aw = (2.1)
onde f é a fugacidade do solvente na solução e f
0
é a fugacidade do solvente puro. À baixas pressões
(ambiente), a diferença entre f/f
0
e P/P
0
(razão entre a pressão de vapor de água no alimento, P, e a
pressão de vapor saturada da água, P
0
, na mesma temperatura) é menor do que 1%. Portanto, pode-se
definir aw como (Fennema, 2000):
0
P
P
aw = (2.2)
Esta igualdade baseia-se em condições ideais (soluto ideal em solução diluída) e de equilíbrio
termodinâmico. Como os alimentos costumam violar ambas condições a Eq.2.2 deve ser considerada
como uma aproximação. A pressão de vapor relativa está relacionada com a porcentagem de umidade
relativa de equilíbrio (ERH) do ambiente do produto (Fennema, 2000):
100
%
0
ERH
P
P
aw = (2.3)
A Figura 1.5 mostra a curva típica da relação entre a aw e as taxas das reações de deterioração
dos alimentos. A maior estabilidade dos alimentos se dá na faixa de aw entre 0,2 e 0,4.
22
Figura 1.5: Influência da atividade de água na estabilidade dos alimentos.
Fonte: Jay (2005).
Pela análise da Figura 1.5 observa-se que quase todo o crescimento microbiano é inibido abaixo
de um valor de aw de 0,6. O crescimento da maioria dos fungos, das leveduras e das bactérias é inibido,
respectivamente, abaixo de valores de aw de 0,7; 0,8 e 0,9. A habilidade dos microrganismos de se
multiplicar e de produzir toxinas está diretamente relacionada à atividade de água do meio. A interação
da atividade de água com a temperatura, o pH, o oxigênio e o dióxido de carbono ou conservantes
químicos tem um efeito importante na inibição do crescimento microbiano (Fellows, 2006).
A atividade enzimática nos alimentos é reduzida em aw abaixo de 0,6. Em valores de aw abaixo
de 0,3 a atividade enzimática praticamente cessa devido à baixa mobilidade do substrato e sua
inabilidade para difundir-se até o ponto reativo da enzima (Fellows, 2006). Na maioria das vezes as
reações enzimáticas são indesejáveis, como no caso do escurecimento enzimático (responsável pela
formação de pigmentos escuros), amolecimento e ranço oxidativo.
Entre as reações não-enzimáticas, as mais comuns são as de escurecimento (como a reação de
Maillard). Estas reações podem ser organolepticamente desejadas ou não, devido às mudanças na cor,
no aroma e no sabor dos alimentos.
23
As reações de oxidação em alimentos estão relacionadas com a incidência de luz, com a
presença de metais (que atuam como catalisadores para os radicais livres) e com a atividade de água do
alimento. A oxidação de lipídios é aumentada em valores de aw baixa devido à não hidratação dos
hidroperóxidos e dos íons metálicos, que interferem na velocidade da rancidez oxidativa. Ao aumentar
a aw, a água acrescentada aumenta a solubilidade do oxigênio e permite o inchamento e a expansão das
macromoléculas, aumentando o número de sítios catalíticos. Em valores de aw mais altos (> 0,8) a
atividade catalítica dos metais é reduzida por hidratação e formação de hidróxidos (Fennema, 2000;
Fellows, 2006).
1.3 ISOTERMAS DE SORÇÃO
As isotermas de sorção de água são dados que relacionam a quantidade de água de um alimento
com sua atividade de água (ou umidade relativa da atmosfera que circunda o alimento), uma vez
alcançado o equilíbrio a temperatura constante. A Figura 1.6 mostra uma isoterma típica de um
alimento, onde é possível distinguir três zonas pouco delimitadas que indicam a forma como a água
está ligada ao alimento, conforme apresentado por Ordoñez et al. (2005), que serão comentadas a
seguir.
Figura 1.6: Isoterma típica de sorção de água de um alimento
(Fonte: Ordoñez et al., 2005).
24
Zona A: é a água mais fortemente ligada e menos móvel. Corresponde à água da camada
monomolecular fixa aos grupos polares de certos compostos. É muito difícil de extrair, não é
congelável e não se encontra disponível para atuar como solvente ou reativo. Corresponde a uma aw
inferior a 0,2 até 0,3. O limite entre as zonas A e B é chamado de monocamada de BET (Brunauer-
Emett-Teller).
Zona B: compreende a água correspondente às camadas de hidratação dos constituintes solúveis
(proteínas, açúcares, sais, etc) e está ligada por pontes de hidrogênio e interações dipolo-dipolo ou
retida fisicamente em microcapilares de diâmetro inferior a 1 µm. O ponto de congelamento e a
capacidade solvente da água encontram-se muito reduzidos, sendo que a aw está entre 0,2-0,3 e 0,8
aproximadamente.
Zona C: representa a maior parte da água dos tecidos frescos, e é a água menos ligada e a mais
móvel dos alimentos. Pode ser facilmente eliminada por diversos procedimentos. Sua retenção é
determinada pelo pH e pelas forças iônicas sendo a responsável pela alteração dos alimentos, que
está disponível para o desenvolvimento dos microrganismos e para as reações químicas. A aw
corresponde a valores entre 0,8 e 0,99.
A Figura 1.7 apresenta isotermas de sorção de diversos alimentos.
25
Figura 1.7: Isoterma de sorção de água de diversos alimentos
(1) Produto com grande quantidade de sacarose; (2) extrato de chicória desidratado em spray-
dryer; (3) café; (4) extrato em pó de pâncreas de porco; (5) amido de arroz. (Fonte: van den Berg &
Bruin, 1981 citado por Fenemma, 2000).
As isotermas de sorção descrevem, portanto, a relação entre a atividade de água (aw) e a
umidade de equilíbrio (X
eq
). Constituem uma ferramenta muito valiosa para cientistas e tecnólogos,
pois podem ser utilizadas para predizer mudanças na estabilidade dos alimentos, para determinar
métodos de estocagem, para selecionar embalagens e ingredientes e para o subseqüente
desenvolvimento e otimização de equipamentos de secagem (Stenel, 2004). A informação obtida com
as isotermas é de utilidade nos processos de concentração e desidratação, para formular misturas de
alimentos evitando a migração de água entre os diversos ingredientes, para determinar a
impermeabilidade requerida no material embalado, para determinar a umidade que impede o
crescimento dos microrganismos de interesse e para predizer a estabilidade química e física dos
alimentos em função do conteúdo de água (Fennema, 2000). Portanto, a avaliação experimental das
características de sorção e o desenvolvimento e utilização de modelos matemáticos podem ajudar na
melhoria do processamento dos alimentos (McMinn & Magee, 2003).
26
A temperatura afeta a mobilidade das moléculas de água e influencia as isotermas de sorção.
Um exemplo da dependência das isotermas de batata com a temperatura pode ser visualizado na Figura
1.8. A um dado conteúdo de umidade, a atividade de água aumenta com o aumento da temperatura,
freqüentemente em conformidade com a equação de Clausius-Clapeyron (Fennema, 2000).
No entanto, nem sempre as isotermas em diversas temperaturas apresentam separação
consistente ao longo de toda a curva. É freqüente observar-se um cruzamento entre as curvas em
valores de aw altos em alimentos com alta concentração de açúcares simples. Em baixas atividades de
água a sorção deve-se aos polímeros alimentícios e o aumento da temperatura tende a deslocar as
curvas para baixo em relação às ordenadas. Para aw altas, ocorre a solubilização de açúcares e de
substâncias de baixo peso molar num processo endotérmico, favorecido, portanto, pelo aumento da
temperatura, de maneira inversa ao que ocorre com os biopolímeros. Como resultado final um
aumento do teor de umidade (Baruffaldi & Oliveira, 1998).
Figura 1.8: Isotermas de sorção de água para batatas em diferentes temperaturas
(Fonte: Fennema, 2000).
27
Uma grande quantidade de trabalhos sobre isotermas de sorção tem sido desenvolvida nas
últimas duas décadas. Estes incluem as isotermas de sorção de diversos alimentos, a dependência das
isotermas com a temperatura, a determinação do calor de sorção e modelos matemáticos para
representar as isotermas (Kaymak-Ertekin & Gedik, 2004). Entre os trabalhos realizados podem ser
citados a determinação de isotermas de sorção de ervilha (Ajibola et al., 2003) e da sua proteína isolada
(Ayranci & Duman, 2005), fruta de musa (Johnson & Brennan, 2000), semolina e farinha (Erbas et. al.,
2005), glúten de trigo (De Jong et al., 1996), café (Cepeda et al., 1999), miosina de peixe (Das & Das,
2002), uvas, damascos, maçãs e batatas (Kaymak-Ertekin & Gedik, 2004), proteína de soja (Cassini et
al., 2006), chá (Arslan & Togrul, 2005), abacaxi (Hossain et al., 2001), cogumelos (Shivhare et al.,
2004), tomate e cebola (Viswanathan et al., 2003), amidos (Al-Muhtaseb et al., 2004a), biscoitos
(Arogba, 2001), quinoa (Tolaba et al., 2004), entre outros.
Numerosas equações matemáticas podem ser encontradas na literatura que descrevem isotermas
de sorção. Algumas destas equações foram utilizadas neste trabalho e são apresentadas na Tabela 1.2.
Tabela 1.2. Modelos de isotermas utilizados comumente.
Nome da equação Equação
BET (Brunauer et al., 1938)
CX
awC
CXXaw
aw
MM
.
).1(
.
1
).1(
+=
GAB (Guggenheim-Anderson-de Boer)
(Van den Berg, 1985)
)...1().1(
...
awKCawKawK
awKCX
X
m
+×
=
Halsey (Halsey, 1948)
=
B
X
A
aw exp
Peleg (Peleg, 1993)
21
..
21
nn
awkawkX +=
Oswin (Lomauro et al., 1985)
B
aw
aw
AX
=
1
.
Chung - Pfost (Chung & Pfost, 1967)
).exp(.)ln( XBAaw
=
Henderson (Henderson, 1952)
).exp()1(
B
XAaw =
Chirife (Castillo et al., 2003)
(
)
[
]
awCBAX lnln.exp
+
=
Smith (Smith, 1947)
))1log(.( awBAX
+
=
X, umidade de equilíbrio (kg kg
-1
sólidos secos); aw, atividade de água; X
m
, conteúdo de umidade de
monocamada (kg kg
-1
sólidos secos); A, B, C, K, k
1
, k
2
, n
1
, n
2
, k, parâmetros das equações.
A equação de BET pode ser aplicada para valores de atividade de água entre 0,1 e 0,5, pois as
considerações feitas não se aplicam corretamente aos materiais úmidos (Barbosa & Vega, 1996). O
28
modelo de GAB é uma extensão da equação de BET, levando ainda em consideração as propriedades
modificadas da água adsorvida na região de multicamadas (Heldman & Hartel, 2000). Este modelo
pode ser considerado como o que melhor se ajusta às isotermas de sorção dos alimentos, sendo um dos
mais utilizados (Heldman & Hartel, 2000). Este modelo é útil para a obtenção de dados em altos
valores de atividade de água e tem sido recomendado pelo Projeto Europeu COST 90 (Wolf et al.,
1985).
Diversos pesquisadores modificaram a equação de BET e conseguiram modelos com um ajuste
adequado para umidades relativas de até 90% (Dincer & Esin, 1996). A equação de Smith é útil para
descrever as isotermas de sorção de materiais biológicos como amido e celulose (Hossain et al., 2001).
Henderson (1952) propôs um modelo semi-empírico para ajustar dados de cereais. Chen & Morey
(1989) avaliaram vários modelos para ajustar dados de 18 grãos. As equações de Henderson e de
Chung & Pfost foram satisfatórios para materiais fibrosos e amilolíticos. A equação de Chung & Pfost
ajusta adequadamente dados para grãos entre umidades relativas na faixa de 20 a 90% (Hossain et al.,
2001). O modelo de Peleg (1993), com quatro parâmetros, foi aplicado com sucesso em diversos
alimentos como biscoitos e snacks de milho (Palou et al., 1997) e batata (Al-Muhtaseb et al., 2004).
O processo de sorção não é completamente reversível, o que causa uma diferença entre as
isotermas de adsorção e as de dessorção. A mudança de aw em uma isoterma de sorção difere
dependendo se a umidade é removida do alimento (dessorção) ou se é adicionada ao alimento seco
(adsorção). A diferença existente entre os caminhos de adsorção e de dessorção é conhecida como
histerese e pode ser observada na Figura 1.9. A histerese pode ser grande em alguns alimentos (como o
arroz) e é importante na determinação da proteção necessária contra o ganho de umidade (Ordoñez et
al., 2005; Fellows, 2006). Para se atingir determinada umidade, é necessária uma pressão parcial de
vapor de água menor se esta umidade é atingida através de um processo de dessorção do que se é
atingida por adsorção, devido ao fenômeno de histerese (Baruffaldi & Oliveira, 1998).
29
Figura 1.9: Fenômeno de histerese.
(Fonte: Fennema, 2000)
A histerese pode ser explicada como efeito da condensação de água nos capilares. Segundo a
teoria de Labuza (1968), conhecida como Ink-bottle Theroy, assume-se que os capilares possuem
pescoços estreitos e corpos largos (representação esquemática apresentada na Figura 1.9). Durante a
adsorão o capilar não será completamente preenchido até que um alto valor de atividade de água seja
atingido (o que corresponde ao maior raio r* na Figura 1.10). Já o processo de esvaziamento, que
ocorre na dessorção é controlado pelo raio menor r, portanto, este processo apresenta menores valores
de atividade de água.
Figura 1.10: Representação esquemática dos capilares pela teoria de Labuza
(Fonte: Labuza, 1968)
Atividade de água
Conteúdo de água
Dessorção
Adsorção
30
Os métodos utilizados na determinação da atividade de água (para construção das isotermas de
sorção de umidade) em produtos agrícolas podem ser classificados em: (a) método gravimétrico, onde
o material é colocado em equilíbrio com ar a uma determinada temperatura e umidade relativa e a
umidade do material é medida e, (b) aqueles em que ar é colocado em equilíbrio com o material a uma
determinada temperatura e a umidade relativa do ar é medida. Rao & Pfost (1978) concluíram que estes
últimos são mais simples e mais rápidos, mas o método gravimétrico foi recomendado como método
padrão (Speiss & Wolf, 1987).
1.4 PROPRIEDADES TERMODINÂMICAS E TEORIA COMPENSATÓRIA
As propriedades termodinâmicas dos alimentos relacionam a concentração de água no alimento
com a sua pressão parcial na fase gasosa em equilíbrio, que é fundamental na análise dos fenômenos de
transporte de calor e massa durante a desidratação. Elas determinam o ponto final até o qual o alimento
pode ser desidratado de forma a obter um produto estável, com uma umidade ótima e a quantidade
mínima de energia requerida para remover uma determinada quantidade de água do alimento (Al-
Muhtaseb et al., 2004b).
A entalpia diferencial (ou calor de sorção) proporciona uma medida da força da ligação água-
sólido. Um procedimento computacional rápido, comumente utilizado para a sua determinação, é a
aplicação da equação de Clausius-Clapeyron às isotermas de sorção para uma umidade constante
(McMinn & Magee, 2003).
O conhecimento da magnitude da entalpia diferencial (
h), a uma determinada umidade,
fornece uma indicação do estado da água adsorvida e, portanto, uma medida da estabilidade física,
química e microbiológica em determinadas condições de estocagem. Além disso, a variação da entalpia
diferencial com o conteúdo de umidade e a magnitude relativa do calor de vaporização da água pura
proporcionam dados para o cálculo do consumo de energia e subseqüente projeto de equipamentos de
secagem (McMinn & Magee, 2003).
A entropia diferencial (
s) de um material é proporcional ao número de sítios de sorção
disponíveis num nível de energia específico (Madamba et al., 1996).
31
Em geral, os trabalhos mais recentes descrevem as propriedades termodinâmicas a partir das
isotermas. Características termodinâmicas de feijão de soja (Aviara et al., 2004), sementes de sesamo
(Aviara et al, 2002), sementes de melão e cassava (Aviara & Ajibola, 2002), batata doce (Fasina, 2005)
e amidos (Al-Muhtaseb et al., 2004b), entre outros, têm sido descritas nos últimos anos.
A teoria compensatória é utilizada para avaliar fenômenos físicos e químicos como reações de
sorção. A teoria estabelece que, para minimizar mudanças na energia livre devida a estes fenômenos,
acontece compensação (pela mudança de
h ou
S) a partir da natureza da interação entre o soluto e o
solvente causando a reação e, portanto, a relação entre a entalpia e a entropia para uma reação
específica é linear (Fasina, 2005).
A compensação entálpica-entrópica tem sido um efeito amplamente observado em processos
físicos, biológicos, químicos e bioquímicos. Nestes processos foi observado que a medida em que uma
condição muda (como pH, composição do solvente, atividade de água, etc), a entalpia e a entropia
mudam concomitantemente. Uma interação intermolecular forte ou ligação (relacionada com a
entalpia) levará a uma grande redução da liberdade configuracional e, portanto, uma ordem maior do
sistema (relacionada à entropia), podendo esta ser a causa da compensação entálpica-entrópica
(Moyano & Zúñiga, 2004).
Quando uma relação linear é obtida entre a entalpia e a entropia, a temperatura isocinética (T
β
) é
calculada como a inclinação da reta. Esta temperatura é aquela na qual a taxa é a mesma para todas as
reações (Labuza, 1980).
A compensação entálpica-entrópica tem sido avaliada por exemplo no escurecimento de batatas
durante a fritagem (Moyano & Zúñiga, 2004), escurecimento de alho (Madamba et al., 1994), entre
outros.
1.5 DESIDRATAÇÃO DE ALIMENTOS
A desidratação de alimentos é uma das operações unitárias mais relevantes e desafiadoras no
processamento de alimentos, assim como um tópico de contínuo interesse nas pesquisas em alimentos.
O objetivo principal da desidratação é prolongar a vida de prateleira dos alimentos através da redução
32
da atividade de água. Além disso, a redução no peso e no tamanho do alimento diminui os custos de
transporte e armazenamento.
1.5.1 Curvas de secagem
A secagem é definida como a aplicação de calor sob condições controladas para remover, por
evaporação, a maioria da água presente normalmente num alimento (ou, no caso da liofilização, por
sublimação). Para alguns tipos de alimento, a secagem provê um produto conveniente para o
consumidor, ou ingredientes mais facilmente controláveis para os processadores de alimentos. No
entanto, ela causa uma mudança tanto na qualidade sensorial quanto no valor nutricional do alimento.
O desenho e a operação do equipamento de secagem devem minimizar estas mudanças através da
seleção de condições apropriadas de desidratação (Fellows, 2006). As operações de pós-secagem,
embalagem e armazenamento devem ser consideradas, pois a luz, a atmosfera e a temperatura de
armazenagem afetam a estabilidade dos alimentos desidratados.
Quando um alimento é colocado em um secador, existem basicamente três períodos que podem
ser distinguidos. A Figura 1.11 mostra as curvas típicas de secagem de um alimento, considerando que
a temperatura e a umidade relativa do ar de secagem são constantes e que todo o calor é fornecido por
convecção para a superfície do alimento. Nesta figura podem ser distinguidas as três fases citadas a
seguir (Fellows, 2000).
Fase A-B) Período de estabilização no qual as condições da superfície do alimento equilibra-se
com as do ar de secagem. Em geral, esta fase constitui a proporção negligenciável do ciclo de secagem.
Fase B-C) Período de taxa constante de secagem no qual a água se movimenta do interior do
alimento na mesma taxa em que é evaporada da superfície, que permanece úmida e numa temperatura
próxima á de bulbo úmido do ar. Este período continua até que um teor de umidade crítico (X
c
) é
alcançado.
Fase C-D) Período de taxa decrescente de secagem no qual a taxa de secagem decresce
lentamente até se aproximar de zero no teor de umidade de equilíbrio (quando a pressão de vapor no
33
alimento fica em equilíbrio com a pressão de vapor do ar de secagem). Neste período, a taxa de
movimento de água do interior para a superfície do alimento torna-se menor do que a taxa na qual a
água evapora para o ar circundante. Neste período a transferência de massa é dada por difusão ou
capilaridade.
a b
Figura 1.11: Curvas de secagem de um alimento:
a) teor de umidade em base seca em função do tempo, b) taxa de secagem em função do teor de
umidade livre (Fonte: Fellows, 2006).
Durante o decorrer da secagem ocorrem mudanças nos alimentos, podendo-se citar:
endurecimento superficial, movimento de sólidos solúveis, retração, gelatinização do amido,
amolecimento de componentes termoplásticos, mudanças do estado cristalino ao amorfo,
escurecimento não-enzimático, perda de substâncias aromáticas voláteis, diminuição da capacidade de
retenção de água, mudanças de textura, perdas do valor nutritivo e mudanças de cor (Fellows, 2006).
A teoria da secagem foi pioneiramente descrita por Lewis em 1921, e está baseada na lei de
resfriamento de Newton sendo bastante utilizada para explicar a transferência de massa em camada
delgada:
Teor de umidade livre
34
).exp(
0
tk
XX
XX
X
e
e
R
=
= (2.5)
onde
R
X é a umidade livre adimensional, X, X
0
e X
e
, são os conteúdos de umidade no tempo t,
umidade inicial e de equilíbrio (expressos em base seca), respectivamente, e, k é a constante de
secagem. Cabe ressaltar que considera-se a umidade inicial X
0
se o alimento não possui período de
taxa de secagem constante, caso contrário deveria se considerada a umidade crítica (X
c
) e não X
0
.
Posteriormente, Page (1949) sugeriu um modelo exponencial empírico adicionando um
expoente n:
).exp(
0
n
e
e
R
tk
XX
XX
X =
= (2.6)
Estas equações são válidas para o período de taxa de secagem decrescente. Diversos modelos
exponenciais empíricos foram surgindo e testados por diversos pesquisadores. Os mais comuns, e que
serão utilizados neste trabalho, são mostrados na Tabela 1.3.
Tabela 1.3: Modelos empíricos de curvas de secagem para período de taxa decrescente.
Nome da equação Equação Referência
Lewis
).exp( tkX
R
=
Lewis (1921)
Henderson and Pabis
).exp(. tkaX
R
=
Henderson and Pabis (1961)
Modified Henderson and
Pabis
).exp(.).exp(.).exp(. thctgbtkaX
R
++=
Logarithmic
ctkaX
R
+= ).exp(.
Togrul and Pehlivan (2004)
Two-term exponential
).exp(.).exp(.
2211
tkatkaX
R
+=
Saraf-Eldeen et al. (1980)
Page
).exp(
n
R
tkX =
Page (1949)
Modified Page
)).(exp(.
n
R
tkaX =
Wang and Singh (1978)
Overhults
)).(exp(
n
R
tkX =
Overhults et al. (1973)
Wang and Singh
2
21
..1 tataX
R
++=
Wang and Singh (1978)
Thompson
2
).(lnln.
RR
XbXat +=
Thompson et al. (1968)
R
X , umidade livre adimensional; t, tempo.
35
Diversos estudos têm sido realizados no que se refere ao estudo da cinética secagem de
alimentos por convecção. Leeratanarak et al. (2005) estudaram a cinética de secagem de batatas chips,
avaliando os efeitos do branqueamento e da temperatura de secagem na cinética e em atributos de
qualidade. Quanto maiores os tempos de branqueamento e menores as temperaturas de secagem foi
melhor a retenção de cor e menor o grau de escurecimento. A cinética de secagem por convecção de
couve (Brassica oleracea) foi estudada por Mwithiga & Olwal (2005), avaliando a influência da
temperatura e da espessura da amostra. Como esperado, a taxa de secagem aumentou com o aumento
da temperatura e diminuiu com o aumento da espessura da amostra. O modelo de Page foi o que
melhor se ajustou aos dados quando comparado com os modelos de Newton, Henderson & Pabis e
Page modificado. A avaliação de modelos para simular as cinéticas de secagem de kiwi foi realizada
por Simal et al. (2005). Foram avaliados dois modelos empíricos (de Page e exponencial) e o modelo
de difusão resolvido pelo método de separação de variáveis. As cinéticas de secagem apresentaram
apenas um período de taxa decrescente. A solução analítica para a transferência de massa considerando
encolhimento para modelar a cinética de secagem de alimentos foi estudada por Hernández et al.
(2000). O modelo foi avaliado através do ajuste de dados experimentais utilizando manga (placas de 4
cm
2
) e paralelepípedos de cassava com diferentes espessuras.
Para alimentos com alto teor de amido, como é o caso do pinhão, foram realizados diversos
estudos. O efeito do cozimento na secagem de tarhana (um alimento fermentado típico turco composto
de uma mistura de farinha de trigo e iogurte) foi avaliado por Ibanoglu & Maskan (2002). Observou-se
que o cozimento acelerou o processo de secagem possivelmente devido ao aumento da porosidade pela
gelatinização do amido. No entanto, segundo Mate et al. (1998) a gelatinização do amido pode afetar a
estrutura celular e aumentar a resistência interna à transferência de massa (umidade) resultando numa
difusividade menor. Leeratanarak et al. (2006) compararam diferentes tempos de branqueamento para a
secagem de batata (um produto com alto teor de amido) verificando este efeito. Ao estudar a cinética de
secagem em amidos de milho hidratados e gelatinizados Uzman & Sahbaz (2000) verificaram que a
gelatinização do amido reduz significativamente a difusividade.
36
1.6 COMPOSTOS FENÓLICOS
Os compostos fenólicos são metabólitos secundários de plantas, que podem ser encontrados na
dieta em frutas, hortaliças e grãos. Evidências epidemiológicas sugerem que estes compostos têm um
efeito de proteção contra doenças degenerativas. A maior parte das características benéficas dos
compostos fenólicos foi atribuída a sua atividade antioxidante, que é uma propriedade fundamental e
importante para a vida (Rice-Evans et al, 1997).
Plantas e extratos de plantas têm sido utilizados em tratamentos e remédios tradicionais a base
de ervas durante séculos. Recentemente, houve um interesse renovado em metabólitos secundários de
plantas devido ao seu efeito preventivo de doenças crônicas como as cardiovasculares e o câncer.
Portanto, o isolamento, a identificação e a quantificação de fitoquímicos em alimentos e a avaliação do
seu potencial benéfico para a saúde têm sido motivo de estudos. No entanto, estudos in vitro e em
animais mostraram que a ação de algumas dessas substâncias pode ser alcançada em doses muito
maiores daquelas obtidas ao ingerir essas plantas (Rowland, 1999). A extração e purificação de
fitoquímicos de fontes naturais é necessária que estes compostos fitoativos são freqüentemente
utilizados no preparo de suplementos dietéticos, nutracéuticos, ingredientes alimentícios funcionais,
aditivos em alimentos, produtos farmacêuticos e cosméticos (Gao & Mazza, 1996).
Além disso, os antioxidantes são compostos que, quando adicionados aos alimentos, podem
aumentar a vida de prateleira ao retardar o processo da peroxidação dos lipídios, que é uma das
principais causas de deterioração de alimentos durante o processamento e o armazenamento.
Antioxidantes sintéticos como o hidroxianisol butilado (BHA) e o hidroxi-tolueno butilado (BHT) têm
sido utilizados como antioxidantes desde o início do século XX. No entanto, foram impostas restrições
ao uso destas substâncias devido à sua carcinogenicidade. Portanto, uma necessidade de identificar
fontes naturais e seguras de antioxidantes para alimentos, sendo que a procura por novos antioxidantes
naturais, especialmente de origem vegetal, tem crescido notavelmente nos últimos anos (Goli et al,
2005; Zainol et. al, 2003).
Estruturalmente, os compostos fenólicos compreendem um anel aromático, com um ou mais
substituintes hidroxil e vão de moléculas simples a compostos poliméricos complexos. Apesar da
37
diversidade estrutural, o grupo destes compostos é geralmente chamado como polifenóis, podendo ser
classificados em diversas classes, como mostrado na Tabela 1.4. Destes, os ácidos fenólicos (Figura
1.12), flavonoides (Figura 1.13) e taninos são vistos como os principais compostos fenólicos da dieta.
A atividade antioxidante destes compostos é devida a sua habilidade de captar radicais livres, doar
átomos de hidrogênio ou elétrons ou quelar cátions metálicos (Balasundram et al., 2006).
Tabela 1.4: Classes de compostos fenólicos em plantas.
Classe Fórmula
Fenólicos simples, benzoquinonas C
6
Ácidos hidroxibenzoicos C
6
-C
1
Acetofenonas, ácidos fenilacéticos C
6
-C
2
Ácidos hidroxicianímicos, fenilpropanóis
(comarins, isocomarins, cromonas, cromenes)
C
6
-C
3
Naftoquinonas C
6
-C
4
Xantonas C
6
-C
1
-C
6
Stilbenes, antraquinonas C
6
-C
2
-C
6
Flavonóides, isoflavonóides C
6
-C
3
-C
6
Lingans, neolignans (C
6
-C
3
)
2
Biflavonoides (C
6
-C
3
-C
6
)
2
Ligninas (C
6
-C
3
)
n
Taninos condensados
(proantocianidinas ou flavolanas)
(C
6
-C
3
-C
6
)
n
(Fonte: Balasundram et al., 2006).
Figura 1.12: Exemplos de estruturas de a) ácidos hidroxibenzóicos e, b) ácidos
hidroxicinâmicos
(Fonte: Balasundram et al., 2006).
b
a
38
Figura 1.13: a) Estrutura genérica de uma molécula de flavonóide, b) estrutura genérica das
maiores classes de flavonóides
(Fonte: Balasundram et al., 2006).
Compostos fenólicos com atividade antioxidante têm sido identificados em diversos sub-
produtos agrícolas como cascas de arroz, de amêndoas, de pistache, de frutas como cítricos, uvas,
maçãs, pêras, pêssego, bananas, entre outros (Balasundram et al., 2006).
1.6.1 Extração
A extração por solventes é freqüentemente utilizada no isolamento de antioxidantes. Na
extração, diversos fatores são importantes, como o tipo de solvente, o tempo de extração, a
temperatura, a relação solvente/sólidos, a pressão de extração, a agitação, entre outros.
O objetivo no processo de extração é prover o máximo de rendimeto de substâncias com a
qualidade máxima (concentração dos compostos alvos e poder antioxidante dos extratos) (Spigno et al.,
2007). Solvente alcoólicos têm sido comumente empregados para extrair compostos fenólicos de fontes
naturais, pois providenciam um alto rendimento apesar de não serem muito seletivos para os fenóis.
Misturas de álcoois e água têm sido mais eficientes na extração do que o álcool separadamente (Yilmaz
& Toledo, 2006; Pinelo et al., 2005).
a
b
39
Yu et al. (2005) realizaram a extração de compostos fenólicos de casca de amendoim utilizando
como solventes etanol, metanol e água, sendo o primeiro deles o mais eficiente. Nepote et al. (2005)
testaram diferentes concentrações de etanol para extrair fenólicos do mesmo produto, sendo a
concentração de 70% a mais eficiente. Kim et al (2006) também utilizaram etanol 70% como solvente
para extrair compostos fenólicos de sementes de uva, avaliando o efeito da temperatura na capacidade
antioxidante destes. Este mesmo solvente foi utilizado para a extração a partir de plantas medicinais
algerianas (Djeridane et al., 2006). Liyana-Pathirana & Shahidi (2005) otimizarm a extração de
compostos fenólicos de trigo através da metodologia de superfície de resposta utilizando como
variáveis a composição do solvente (etano/água), a temperatura e o tempo de extração.
40
2 CAPÍTULO II - OBJETIVOS
2.1 OBJETIVO GERAL
Determinar características físico-químicas, aspectos tecnológicos e de engenharia relacionados
com o processamento e armazenamento do pinhão.
2.2 OBJETIVOS ESPECÍFICOS
Estudar as operações preliminares para a armazenamento, comercialização e processamento do
pinhão.
Avaliar a estabilidade e armazenamento do pinhão a 25
o
C, 5
o
C e -18
o
C.
Avaliar características físico-químicas do pinhão e da farinha de pinhão.
Determinar isotermas de sorção e propriedades termodinâmicas do pinhão cru, cozido e da
farinha de pinhão.
Estudar a cinética de secagem por convecção do pinhão.
Estudar a extração de compostos fenólicos da casca de pinhão.
A metologia empregada e os resultados obtidos neste trabalho serão apresentados em forma de
artigos publicados, submetidos ou a serem submetidos em revistas científicas (nos Capítulos III a IX).
Resultados complementares serão apresentados no Capítulo X, a discussão geral dos artigos será
apresentada no Capítulo XI e as conclusões no Capítulo XII.
41
3 CAPÍTULO III – Artigo 1: “Vida de prateleira de pinhão cru e operações
preliminares”
Artigo a ser submetido na revista Brazilian Journal of Food Technology.
Vida de prateleira de pinhão cru e operações preliminares
Florencia Cladera-Olivera
1
, Ana Carolina Pettermann
2
,
Keiko Wada
1
,
Caciano Pelayo Zapata Noreña
2
,
Ligia Damasceno Ferreira Marczak
1
.
1
Departamento de Engenharia Química, Universidade Federal do Rio Grande do Sul (UFRGS), Rua
Luis Englert, s/n. Campus Central, 90040-000, Porto Alegre, RS, Brasil. e-mails: fcladera@yahoo.com,
ligia@enq.ufrgs.br, keiko@ufrgs.br
2
Instituto de Ciência e Tecnologia de Alimentos, Universidade Federal do Rio Grande do Sul (ICTA-
UFRGS), Av. Bento Gonçalves 9500, Campus do Vale, 91501-970 Porto Alegre, RS, Brasil. e-mails:
czapatan@ufrgs.br, appeter[email protected]om.
Resumo
O pinhão é a semente comestível da Araucaria angustifolia, sendo consumido no sul e sudeste
do Brasil. Possui excelentes características nutritivas e energéticas, mas a literatura sobre os seus
aspectos nutricionais e tecnológicos é escassa. As sementes têm uma atividade de água muito elevada,
o que facilita o desenvolvimento de fungos durante a estocagem, dificultando a sua comercialização.
Os objetivos deste trabalho são estudar a vida de prateleira do pinhão cru em três temperaturas
diferentes (25
o
C, 5
o
C e –18
o
C) e propor operações preliminares a serem realizadas no pinhão a fim de
preservar a qualidade da semente comercializada. Foi verificado que o pinhão pode ser armazenado
durantes cinco dias a temperatura ambiente, três meses sob refrigeração e, pelo menos, durante oito
meses sob congelamento, sendo que as características sensoriais permanecem praticamente inalteradas.
Um dos principais fatores limitantes na sua vida de prateleira é o desenvolvimento de fungos, que não
acontece sob congelamento. Foram propostas as seguintes operações preliminares: recepção, limpeza,
seleção, classificação e armazenamento. A consolidação da cadeia produtiva deste produto é importante
para o desenvolvimento regional, sendo necessárias pesquisas sobre métodos de conservação e
industrialização.
Palavras-chave: Pinhão, Araucaria angustifolia, semente, armazenamento, operações preliminares.
42
Introdução
O pinhão é a semente comestível da árvore Araucaria angustifólia (Araucaria brasiliense), que
pertence à família Araucariaceae, sendo uma das principais espécies de conífera nativa brasileira de
importância econômica. A sua distribuição geográfica inclui a Argentina e o Brasil, onde se concentra
nos estados de Paraná, Santa Catarina e Rio Grande do Sul (Zandavalli et al., 2004).
O pinhão é atualmente consumido após cozimento e posterior descascagem. Segundo
Cordenunsi et al. (2004), as sementes podem ser consideradas como fonte de amido, fibra dietética,
magnésio e cobre e, o consumo de pinhão apresenta um baixo índice glicêmico.
Segundo dos Santos et al. (2002), a sazonalidade associada ao elevado grau de perecividade
restringe a comercialização do produto principalmente aos meses de março a junho. Cabe ressaltar que
o IBAMA, através da Portaria Normativa DC 20, autoriza a coleta, transporte e comercialização do
pinhão somente a partir do dia 15 de abril, com o objetivo de proteger as sementes para a produção de
mudas e conseqüente preservação da espécie. O término da coleta é determinado praticamente pelos
próprios coletores, a partir do momento que observam que existem poucos pinhões (Silveira et al.,
2007).
Por possuir uma umidade e uma atividade de água muito altas o tempo de armazenamento do
pinhão é baixo, facilmente a semente inicia seu processo de brotamento e ocorre ataque microbiológico
(Kramer et al., 2001) o que dificulta a sua comercialização. O sistema de coleta realizado hoje ainda é
manual. A coleta pode ser realizada subindo na árvore e derrubando as pinhas (prática muito arriscada
mas ainda praticada por alguns coletores), derrubada das pinhas através de varas de bambu feita à partir
do chão ou podem ser recolhidas as pinhas ou sementes que já se encontram no chão após caída devido
à própria maturação (Silveira et al., 2007; Santos et. Al, 2002). As pinhas são posteriormente
debulhadas utilizando ferramentas simples, como porretes. Não existe atualmente um sistema de
limpeza, seleção e classificação dos pinhões, sendo comercializados os pinhões junto com a semente
infestada por larvas, fungos, com falhas, poeira ou terra e demais impurezas. Além disso, as sementes
apresentam tamanhos diferentes. A venda é feita a granel ou em sacas de 50 ou 10 kg. Algumas vezes o
pinhão é estocado a temperaturas de refrigeração e/ou congelamento; no entanto, quando é colocado
em exposição ao público é deixado a temperatura ambiente. Isto faz com que os grãos ganhem umidade
rapidamente do ambiente.
Apesar de sua importância regional como alimento e fonte de renda alternativa para muitas
famílias de agricultores no sul do Brasil, esta atividade não tem merecido estudos de impacto
43
ecológico, econômico ou social (Silveira et al., 2007) e pouca atenção tem sido dada a pesquisas sobre
os vários aspectos que envolvem seu consumo (Santos et al., 2002). Há pouco ou nenhum estudo sobre
a estocagem do pinhão ou seu processamento, consequentemente, o pinhão não é encontrado após a
safra (Kramer et al., 2001). No que se refere ao armazenamento de pinhão, têm sido reportadas
trabalhos sobre as suas isotermas de dessorção (Cladera-Olivera et al., 2008). No entanto, não têm sido
relatados estudos referentes à vida de prateleira do pinhão. Segundo Santos et. al. (2002), para que o
consumo e a produção de pinhão se desenvolva, estendendo este hábito alimentar para outras regiões e
países, faz-se necessário pesquisas sobre o desenvolvimento de técnicas de conservação e
industrialização disponibilizando-o nas demais estações do ano.
Os objetivos deste trabalho são: 1) estudar a vida de prateleira do pinhão cru em diferentes
condições (25, 5 e –18
o
C) e 2) propor um fluxograma de operações preliminares a serem realizadas no
pinhão a fim de preservar a qualidade da semente comercializada.
Material e Métodos
Matéria prima e estocagem
O pinhão utilizado foi adquirido em mercado local (Porto Alegre, RS), lavado com abundante água
corrente para a retirada das sujeiras, seco a temperatura ambiente durante 24 horas, selecionado e
embalado em sacos de polietileno de alta densidade, fechados hermeticamente, contendo 400 g de
pinhão. Os sacos foram armazenados em três condições diferentes: 25 ± 1°C em estufa (temperatura
ambiente), 5 ± 2°C em geladeira (refrigeração) e -18 ± 2°C em freezer (congelamento), sem controle de
umidade relativa. Foi realizado o estudo de vida de prateleira durante dois meses para o pinhão
armazenado a 25°C e durante oito meses para o pinhão armazenado a 5
o
e –18
o
C. Tais estudos
compreenderam avaliações físico-química, microbiológica e sensorial, realizadas em diferentes
intervalos de tempo. Os pinhões foram armazenados com a casca, mas as análises foram realizadas no
endosperma.
Análises físico-químicas
As análises físico-químicas realizadas foram: atividade de água, umidade, pH e acidez. Para as
análises, as cascas foram retiradas manualmente (junto com a pele interna que cobre superficialmente o
endosperma) e a semente foi triturada em um mini processador (Black & Decker, Uberaba, MG,
44
Brasil). A atividade de água foi medida diretamente em medidor de atividade de água a 25°C (AquaLab
3TE-Decagon, Pullman, WA, USA). A umidade foi determinada por perda de peso em estufa (Biomatic
303, Porto Alegre, RS, Brasil) a 105
o
C até peso constante. Para medir o pH, 75 mL de água destilada
recentemente fervida e resfriada a temperatura ambiente foram adicionados a 10 g de amostra
homogeneizando manualmente de 10 em 10 min durante 1 h. Posteriormente, o pH foi medido
utilizando um pH-metro digital (Quimis Q-400M, São Paulo, SP, Brasil). A acidez total foi
determinada por meio de titulação com hidróxido de sódio 0,1N utilizando fenolftaleína como
indicador (método 942.15, AOAC, 1990). As análises foram realizadas em duplicata e os resultados
expressos como o valor médio ± desvio padrão, em porcentagem e em base seca (bs).
Análises microbiológicas
Para a realização das análises microbiológicas, a casca dos pinhões foi rapidamente flambada
externamente e as sementes foram descascadas com uma faca estéril e cortadas em pequenos pedaços.
As análises realizadas na semente (endosperma) foram: contagem total de bactérias aeróbias mesófilas,
contagem de psicrotróficos e contagem de bolores e leveduras, conforme Silva et al. (1997), expressos
em UFC/g.
Análise sensorial
Através de Análise Descritiva Quantitativa (ADQ) foram avaliados os atributos aparência, aroma,
sabor e mastigabilidade, utilizando uma escala hedônica de cinco pontos. As análises foram realizadas
por oito painelistas, pertencentes a um grupo de vinte degustadores semi-treinados com idades entre 18
e 60 anos. Antes da realização da análise sensorial, os pinhões foram cozidos em autoclave a 120°C
durante 50 min, para o qual foram acondicionados em becker de 1L, 400 g de pinhão e 500 mL de água
destilada. Posteriormente, os pinhões foram cortados longitudinalmente e descascados, sendo
apresentados aos painelistas três metades de diferentes pinhões para avaliação. A Figura 3.1 apresenta a
ficha sensorial utilizada.
45
ANÁLISE SENSORIAL DE PINHÃO
NOME ................................................................ DATA: ...../...../.....
Você es recebendo amostras de PINHÃO preparadas de maneira convencional
(cocção sob pressão) e sem sal. Prove a amostra circulando a resposta, com relação aos
atributos aparência, aroma, sabor e mastigabilidade.
APARÊNCIA: Primeira impressão ao visualizar a amostra
Amostra 345 287 594
1 – Péssima
2 – Ruim
3 – Indiferente
4 – Boa
5 – Excelente
AROMA: Sensações olfativas (característico de PINHÃO)
Amostra 345 287 594
1 – Péssimo
2 – Ruim
3 – Indiferente
4 – Bom
5 – Excelente
SABOR: Sensações de sabor (característico de PINHÃO)
Amostra 345 287 594
1 – Péssimo
2 – Ruim
3 – Indiferente
4 – Bom
5 – Excelente
MASTIGABILIDADE: Parâmetros mecânicos (grau de dureza ao mastigar a amostra)
Amostra 345 287 594
1 – Muito duro
2 – Duro
3 – Indiferente
4 – Macio
5 – Muito macio
Figura 3.1: Ficha sensorial utilizada.
Análise estatística
Os resultados obtidos nos testes sensoriais foram submetidos à análise de variância (ANOVA) e
teste de Tukey (p<0,05). Para os resultados obtidos nas análises físico-químicas e microbiológicas
durante o período de estocagem foram obtidas médias e desvios-padrão (EXCEL, 2000).
46
Resultados e Discussão
Estudo de vida de prateleira
O pinhão utilizado possuía uma umidade inicial de 91,77 ± 0,05 % (bs), aw de 0,984 ± 0,005, pH de
7,0 ± 0,2, acidez de 0,93 ± 0,01 mL NaOH 0,1N/g. As análises microbiológicas indicaram que a
semente não contém nenhuma bactéria ou fungo quando a casca estava intacta.
Análises físico-químicas
A Figura 3.2 apresenta a variação da umidade durante o armazenamento do pinhão nas diferentes
condições. Pode-se observar que houve pequenas flutuações do conteúdo de umidade nas diferentes
condições de armazenamento. Os valores de umidade obtidos para o pinhão armazenado a temperatura
ambiente mantiveram-se em torno de 102% (bs), enquanto que, os valores obtidos para o pinhão
armazenado sob refrigeração e congelamento mantiveram-se próximos a 92% (bs).
70
75
80
85
90
95
100
105
110
0 1 2 3 4 5 6 7 8 9
Tempo (meses)
Umidade (% bs)
25°C
C
-18°C
Figura 3.2: Variação de umidade (bs) durante armazenamento de pinhão
() a 25
o
C, () a 5
o
C, () a –18
o
C. (Desvio padrão máximo = 0,5).
47
Não houve mudanças significativas da atividade de água durante a estocagem nas diferentes
condições. A atividade de água do pinhão armazenado a temperatura ambiente apresentou valores de
0,988 ± 0,003 durante todo o período de estocagem; o armazenado sob refrigeração de 0,986 ± 0,002 e
o armazenado sob congelamento de 0,988 ± 0,002. Isto indica que a atividade de água durante o
armazenamento do pinhão nestas condições não apresenta alterações.
Os resultados obtidos para o pH do pinhão durante a estocagem são mostrados na Figura 3.3. Pode
ser observado que o pH apresentou uma leve tendência à queda durante o armazenamento nas
diferentes condições, sendo que o pH final foi aproximadamente o mesmo, não havendo diferença
significativa (p<0,05) da temperatura de estocagem. O pH final das amostras foi de aproximadamente
6,4.
5,0
5,5
6,0
6,5
7,0
7,5
0 1 2 3 4 5 6 7 8 9
Tempo (meses)
pH
25°C
C
-18°C
Figura 3.3: Variação de pH durante armazenamento de pinhão armazenado
() a 25
o
C, () a 5
o
C, () a –18
o
C, mostrando o desvio padrão do último ponto em cada
temperatura. (Desvio padrão máximo = 0,6)
48
Os resultados obtidos para a acidez do pinhão durante a estocagem são apresentados na Figura
3.4. Houve uma leve tendência ao aumento da acidez durante a estocagem do pinhão sob refrigeração e
congelamento, condizente com a tendência de diminuição do pH.
0,5
0,6
0,7
0,8
0,9
1,0
1,1
1,2
1,3
1,4
0 1 2 3 4 5 6 7 8 9
Tempo (meses)
Acidez (mL NaOH 0,1N /g)
25°C
C
-18°C
Figura 3.4: Variação de acidez durante armazenamento de pinhão armazenado
() a 25
o
C, () a 5
o
C, () a –18
o
C, mostrando o desvio padrão do último ponto em cada
temperatura. (Desvio padrão máximo = 0,2)
Análises microbiológicas
Os resultados das análises microbiológicas do pinhão armazenado a temperatura ambiente são
apresentados na Tabela 3.1. Observa-se que, nos primeiros dias de estocagem o pinhão apresenta
contaminação por bolores e leveduras e, a partir do trigéssimo sétimo dia, apresenta contaminação
bacteriana. Além disso, foram detectados pinhões brotados a partir do quinto dia de armazenamento.
49
Tabela 3.1: Resultados obtidos nas análises microbiológicas do endosperma da semente armazenada
a temperatura ambiente.
Dia Meses
Mesófilos
(UFC/g)
Bolores e Leveduras
(UFC/g)
Psicrotróficos
(UFC/g)
0 0,00 0 0 0
5 0,17 0 5,00 x 10
2
0
8 0,27 0 0 0
12 0,40 0 3,33 x 10
3
0
15 0,50 0 2,00 x 10
3
0
19 0,63 0 1,33 x 10
3
0
22 0,73 0 5,83 x 10
3
0
26 0,87 0 1,97 x 10
4
0
29 0,97 0 3,33 x 10
3
0
33 1,10 0 1,67 x 10
3
0
37 1,23 2,00 x 10
6
1,52 x 10
6
8,67 x 10
3
40 1,33 1,62 x 10
4
9,83 x 10
4
0
43 1,43 1,83 x 10
3
1,17 x 10
4
0
47 1,57 5,00 x 10
5
1,30 x 10
5
1,88 x 10
4
54 1,80 2,00 x 10
6
1,03 x 10
5
3,00 x 10
4
61 2,03 1,70 x 10
7
2,50 x 10
7
1,20 x 10
6
A semente armazenada sob refrigeração não apresentou crescimento bacteriano (mesófilos ou
psicrotróficos) durante os 253 dias de estocagem. Porém, apresentou uma contagem entre 1,50 x10
3
e
6,67x10
3
UFC/g de bolores e leveduras nos dias 28, 78 e 253. Também foi observada a presença de
sementes brotadas a partir do 3
o
mês de armazenamento.
O pinhão estocado sob congelamento não apresentou nenhum tipo de crescimento microbiano
durante os 253 dias de estocagem. Também não foram detectados pinhões brotados.
É importante destacar que a atividade de água da casca do pinhão é relativamente baixa
(aproximadamente 0,7), mas quando o pinhão é armazenado a temperatura ambiente ou de refrigeração,
a respiração continua acontecendo, provocando um aumento na umidade relativa entorno da semente.
Quando esta umidade não é retirada, aumenta a atividade de água da casca possibilitando o rápido
50
crescimento de fungos. Este fato aconteceu neste estudo pois os pinhões foram armazenados em sacos
hermeticamente fechados.
Análise sensorial
Na Tabela 3.2 são apresentados os resultados obtidos na análise sensorial do pinhão nas
diferentes condições de armazenamento. A análise sensorial do pinhão armazenado a temperatura
ambiente foi realizada nos dias 0, 7, 15, 28 e 41. Não houve diferenças significativas (p<0,05) em
nenhum dos atributos durante a estocagem, comparando os diferentes dias nesta condição.
Os mesmos resultados foram obtidos para o pinhão armazenado sob refrigeração, analisado nos
dias 0, 7, 15, 28, 41, 62, 106, 132, 162, 197; ou seja, as características sensoriais do pinhão não são
alteradas ao longo de 6,5 meses sob refrigeração (Tabela 3.2).
O pinhão armazenado sob congelamento foi analisado nos dias 0, 7, 28, 41, 62, 106, 132, 162,
197 e 253. Também não foram observadas diferenças significativas (p<0,05) em nenhum dos atributos
durante a estocagem, ou seja, as características do pinhão não são alteradas ao longo de 8 meses de
armazenamento sob congelamento (Tabela 3.2).
Tabela 3.2: Resultados obtidos na análise sensorial.
Atributos
Aparência
Aroma Sabor Mastigabilidade
Tempo
(dias) T amb T ref
T cong T amb T ref
T cong T amb T ref
T cong T amb T ref
T cong
0 4,38
4,38 4,25 3,63
7 4,13
Aa
3,88
Aa
4,25
Aa
4,00
Aa
4,00
Aa
4,00
Aa
3,75
Aa
4,00
Aa
3,38
Aa
4,13
Aa
4,00
Aa
2,75
Ab
15 4,25
Aa
3,88
Aa
-
3,88
Aa
3,75
Aa
- 4,13
Aa
4,38
Aa
- 4,13
Aa
3,75
Aa
-
28 3,50
Aa
3,75
Aa
3,75
Aa
4,13
Aa
3,63
Aa
4,00
Aa
4,13
Aa
3,88
Aa
3,63
Aa
4,25
Aa
3,25
Ab
3,25
Ab
41 4,00
Aa
3,88
Aa
4,25
Aa
4,13
Aa
3,50
Aa
3,63
Aa
3,75
Aa
3,63
Aa
3,38
Aa
4,13
Aa
3,50
Aa
3,38
Aa
62 - 4,38
Aa
4,13
Aa
- 4,00
Aa
3,75
Aa
- 3,63
Aa
3,38
Aa
- 3,63
Aa
4,00
Aa
106 - 4,00
Aa
3,63
Aa
- 4,38
Aa
3,50
Ab
- 3,75
Aa
3,63
Aa
- 3,63
Aa
3,13
Aa
132 - 4,25
Aa
3,88
Aa
- 3,63
Aa
4,13
Aa
- 4,13
Aa
3,63
Aa
- 4,00
Aa
2,88
Ab
162 - 3,50
Aa
3,50
Aa
- 3,88
Aa
3,63
Aa
- 3,75
Aa
3,38
Aa
- 3,88
Aa
3,13
Aa
197 - 4,00
Aa
3,50
Aa
- 3,88
Aa
3,38
Aa
- 4,00
Aa
3,63
Aa
- 3,88
Aa
4,00
Aa
253 - - 3,63
A
- - 3,50
A
- - 3,75
A
- -
3,63
A
médias seguidas da mesma letra maiúscula na coluna e minúscula na linha para um mesmo
atributo, não diferem significativamente entre si pelo teste de Tukey a 5% de probabilidade.
-: não testado.
51
No entanto, quando comparadas as temperaturas de estocagem foram observadas algumas diferenças
significativas. Assim, para o atributo aroma, existiu diferença significativa apenas no dia 106, ao
comparar o pinhão armazenado sob refrigeração e sob congelamento, sendo que o primeiro apresentou
uma média maior do que o segundo. Para o atributo mastigabilidade, houve diferença significativa
(p<0,05) nos dias 7, 28 e 132, podendo-se observar uma média menor para o pinhão armazenado sob
congelamento, indicando que este se apresenta mais duro do que o pinhão armazenado a temperatura
ambiente ou sob refrigeração. Para os atributos aparência e sabor não houve diferenças significativas
em nenhum dos pontos testados entre as amostras armazenadas nas diferentes condições.
Operações preliminares
O pinhão, por possuir alta umidade e atividade de água, facilita o crescimento de fungos durante
a estocagem à temperatura ambiente e refrigerado, assim como o aparecimento de brotação. Como
mencionado anteriormente, estes fenômenos são perceptíveis nos seus primeiros estágios somente
quando descascada a semente. Portanto, para evitar este problema é importante a adoção de boas
práticas durante a colheita e minimizar ao máximo o tempo entre a colheita e a estocagem.
A seguir são propostas uma série de operações preliminares (simples e baratas) prévias ao
armazenamento e ao processamento do pinhão com o intuito de melhorar as condições de higiene e
aumentar a vida de prateleira do produto. O fluxograma é mostrado na Figura 3.5 e as etapas são
descritas sucintamente a seguir.
52
Figura 3.5: Fluxograma de operações preliminares sugeridas para o pinhão.
Recepção: após o recebimento da carga de pinhões, estes devem ser depositados num ambiente
limpo, seco e fresco, isolado de animais e insetos, de modo a não aumentar a carga de contaminantes.
Limpeza: o pinhão apresenta-se com poeira, resíduos de semente esfarelada conseqüência da
presença de larvas (Figura 3.6a), com falhas (Figura 3.6b) e eventuais sujeiras, provenientes da
produção ou do transporte, como madeira ou pedras pequenas. A limpeza pode ser realizada usando
fluxo de ar forçado para separar as partículas de baixa densidade, como poeira e falhas. A retirada do
material estranho de alta densidade pode ser realizada através de peneiras vibratórias, em que objetos
maiores ou menores que o pinhão são separados. Nesta etapa também devem ser retiradas as sementes
brotadas e infestadas por fungos. A limpeza pode também ser realizada com água clorada (200 ppm),
sendo necessária uma etapa de secagem. Esta pode ser realizada a temperatura ambiente durante 24
horas ou através de fluxo de ar quente até a secagem superficial da casca, que acontece rapidamente
(por exemplo, 40 min a 50
o
C).
Recepção
Limpeza
Seleção
Armazenamento
Falhas, suj
eiras, folhas
Classificação
Falhas, mofados, brotados
53
Figura 3.6: Pinhão (a) infestado por larva; (b) falhas; (c) brotado; (d) infestado por fungo; (e) pinhões
de diferentes tamanhos.
Fotos: Gustavo V. Kramer
Seleção: A seleção deve ser realizada por operários treinados, capazes de captar
simultaneamente certos fatores de classificação, sendo visual e manual. O intuito desta etapa é
descartar pinhões brotados (Figura 3.6c), com contaminação por fungos (Figura 3.6d), abertos ou com
quebras e eventuais falhas (Figura 3.6b) que tenham ficado da etapa anterior. No entanto, como
mencionado anteriormente, é importante a adoção de boas práticas na colheita e minimizar o tempo
antes do pinhão ser processado.
Classificação: Os pinhões chegam ao mercado com diversos tamanhos (Figura 2e), sendo
necessários critérios de classificação, com o intuito de padronizar ou uniformizar a venda e
comercialização das sementes. Os parâmetros recomendados para serem utilizados na classificação são
o tamanho e a cor da superfície da casca. Por exemplo, os pinhões utilizados neste trabalho
apresentaram tamanho de 4 a 7 cm de comprimento aproximadamente.
Armazenamento: Os principais problemas do armazenamento do pinhão são: brotamento,
ataque por fungos, perda ou ganho de umidade (dependendo da umidade relativa do meio) e infestação
por larvas. A casca do pinhão, estando intacta e a semente sadia, oferece uma boa resistência para
a
b
d
c
e
54
ataque de fungos, em ambientes de baixas umidade relativa e temperatura. A brotação ocorre
facilmente e, mesmo estando num estágio inicial, confere sabor desagradável ao pinhão. Para
armazenar por um tempo mais prolongado, recomenda-se a estocagem num ambiente arejado, de baixa
umidade relativa, ao abrigo do sol e isolado de presença de animais e pragas. Os resultados citados
anteriormente mostram que o uso de refrigeração ou congelamento se constitui uma grande alternativa
de armazenamento. Quando retirado da câmera fria, o aumento de temperatura deverá ser lento, para
evitar que o pinhão agregue umidade do ar.
Conclusões
Neste trabalho, foi estudada a vida de prateleira do pinhão armazenado em três condições
diferentes: 25, 5 e –18
o
C. Foi verificado que o pinhão pode ser armazenado durantes 5 dias a
temperatura ambiente, 3 meses sob refrigeração e pelo menos, durante 8 meses sob congelamento. Os
principais fatores limitantes na sua vida de prateleira são a germinação e o desenvolvimento de fungos.
Nenhum destes acontece sob congelamento. Foram propostas as seguintes operações preliminares para
preservar a qualidade das sementes até a comercialização: recepção, limpeza, seleção, classificação e
armazenamento. A consolidação da cadeia produtiva deste produto é importante para o
desenvolvimento regional e uma alternativa para a preservação da Araucária, sendo necessárias
pesquisas sobre o desenvolvimento de técnicas de conservação e industrialização.
Agradecimentos
Os autores agradecem o apoio financeiro do CNPq (bolsa de doutorado) e da FAPERGS (bolsa
de Iniciação Científica) na realização deste trabalho.
Referências
BRDE. Cultivo da Araucária angustifólia: Análise de viabilidade econômica-financeira. Florianópolis:
BRDE, 2005. 53p.
CLADERA-OLIVERA, F.; PETTERMANN, A.C.; NOREÑA, C.P.Z., WADA, K.; MARCZAK,
L.D.F. (2008). Thermodynamic properties of moisture desorption of raw pinhão (Araucaria
angustifolia seeds). International Journal of Food Science and Technology, 43, 900-907.
55
CORDENUNSI, B.R.; MENEZES, E.W.; GENOVESE, M.I.; DOLLI, C.; SOUZA, A.G. LAJOLO,
F.M. (2004). Chemical composition and glycemic index of Brazilian pine (Araucaria angustifolia)
seeds. Journal of Agricultural and Food Chemistry, 52, 3412-3416.
KRAMER, G.V.; JONG, E.V.; NOREÑA, C.P.Z. Estudo das operações preliminares ao processamento
e armazenamento do pinhão. In: XVI Salão de Iniciação Científica da UFRGS, Porto Alegre, 2004.
Perez-Bello, L.A., García-Suárez, F.J., Méndez-Montealvo, G., Nascimento, J.R.O., Lajolo, F.M.,
Cordenunsi, B.R. (2006). Isolation and characterization of starch from seeds of Araucaria brasiliensis:
A novel starch for application in food industry. Starch, 58, 283-291.
SANTOS, A.J. dos; CORSO, N. M.; MARTINS, G.; BITTENCOURT, E. (2002). Aspectos produtivos
e comerciais do pinhão no Estado do Paraná, Floresta, 32 (2). p.163-169.
SILVA, N.; JUNQUEIRA, V. C. A.; SILVEIRA, N. F. A. Manual de métodos de análise
microbiológica de alimentos. Livraria Varela, SP. 295p. 1997.
SILVEIRA, C.F.B. da; RODRIGUES, G.G.; GUERRA, T. (2007). A coleta de pinhão na Floresta
Nacional de São Francisco de Paula, RS: Uso potencial sustentável, Brazilian Journal of Biosciences,
5, p.93-95.
ZANDAVALLI, R.B.; DILLENBURG, L.R.; DE SOUZA, P.V.D. (2004). Growth response of
Araucaria angustifolia (Araucariaceae) to inoculation with the mycorrhizal fungus Glomus clarum.
Applied Soil Ecology, 24, 245-255.
56
4 CAPÍTULO IV – Artigo 2: “Thermodynamic properties of moisture desorption
of raw pinhão (Araucaria angustifolia seeds)”
Artigo publicado no International Journal of Food Science and Technology (2008, v 43, p.900-904)
Thermodynamic properties of moisture desorption of raw pinhão (Araucaria
angustifolia seeds)
F. Cladera-Olivera
1
, A.C. Pettermann
2
; C.P.Z. Noreña
2
, K. Wada
1
, L.D.F.Marczak
1
*
1
Department of Chemical Engineering, Federal University of Rio Grande do Sul, Porto Alegre, RS,
Brazil.
2
Institute of Food Science and Technology, Federal University of Rio Grande do Sul, Porto Alegre,
RS, Brazil.
57
58
59
60
61
62
63
64
5 CAPÍTULO V - Artigo 3: “Influence of cooking in sorption isotherms of pinhão
(Araucaria angustifolia seeds)”
Artigo a ser submetido na revista International Journal of Food Science and Technology.
Influence of cooking in sorption isotherms of pinhão (Araucaria angustifolia seeds)
Florencia Cladera-Olivera
1
, Caciano Pelayo Zapata Noreña
2
, Ana Carolina Pettermann
2
; Keiko Wada
1
,
Ligia Damasceno Ferreira Marczak
1
*
1
Department of Chemical Engineering, Federal University of Rio Grande do Sul (UFRGS), Rua Luis
Englert, s/n. Campus Central, 90040-000, Porto Alegre, RS, Brazil.
2
Institute of Food Science and Technology, Federal University of Rio Grande do Sul, (ICTA-UFRGS),
Av. Bento Gonçalves 9500, Campus do Vale, 91501-970 Porto Alegre, RS, Brazil.
*
Corresponding author: Tel.: +55 51 33083304; fax: +55 51 33083277. E-mail: ligia@enq.ufrgs.br
Abstract
The seeds of Araucaria angustifolia, commonly known as pinhão, are widely consumed in both
Southern and Southeastern Brazil due to their high nutritious value. Moisture desorption isotherms of
cooked pinhão were determined at 15, 25, 30 and 40
o
C and modeled using well know isotherm models.
Results show that Chirife model most appropriately represents the experimental data as reported
previously for raw pinhão. The differential enthalpy was calculated and decreased as moisture content
increased, becoming almost constant at 0.3 kg water kg
-1
dry solids. Values, for each moisture content,
were smaller than reported for raw pinhão. The enthalpy-entropy compensation theory was applied to
desorption isotherms providing the isokinetic temperature (401 ± 17 K). It was found that the
desorption process investigated was enthalpy controlled as previously reported for raw pinhão.
Keywords: Pinhão, Araucaria angustifolia, seed, sorption isotherms, thermodynamic properties,
enthalpy-entropy compensation.
65
Introduction
Brazilian Pine (Araucaria angustifolia) belongs to the Araucariaceae family and is the most
economically important native conifer species in Brazil (Zandavalli, Dillenburg & de Souza, 2004). It
is found in both Argentina and Brazil, stretching from southern states of Paraná, Santa Catarina and Rio
Grande do Sul to northern Argentina. People in the South of Brazil usually consume the seeds of this
tree known as pinhão after being cooked and peeled. Pinhão is considered a source of starch, dietary
fiber, magnesium and copper and its intake produces a low glycemic index (Cordenunsi, Menezes,
Genovese, Dolli, Souza & Lajolo, 2004). Pinhão is a seasonal product, which is produced from April to
August. Since the seeds have a high moisture content, they can be easily contaminated by mushrooms
during the stockpiling, hindering its commercialization. Nutritional and technological aspects of pinhão
are scarcely found in scientific literature. We have previously reported desorption isotherms of raw
pinhão (Cladera-Olivera et al., 2008) showing that temperature has little effect on the desorption
behaviour and the Chirife model was found to best represent the experimental data.
The sorption isotherms describe the relationship between water activity (equilibrium relative
humidity) and the equilibrium moisture content of a given food at constant temperature; these represent
an extremely valuable tool for food scientists and technologists since it can be used to predict potential
changes in food stability, for storing method determination, packaging and ingredients selection, design
and optimization of drying equipment. Several mathematical equations can be found in literature
describing water sorption isotherms and nine of these equations are used in this work.
Thermodynamics is one of the approaches used in order to understand the properties of water
and calculate energy requirements associated with heat and mass transfer in biological systems. Some
thermodynamic functions employed in the analysis of sorption behavior in biological systems include
the total heat of sorption, differential enthalpy, differential entropy and enthalpy-entropy compensation,
which are calculated from sorption isotherms. The total heat of sorption (
H) is the total energy
required to transfer water molecules from vapor state into a solid surface or vice-versa. It is useful, for
example, in predictive drying models and in the design of drying equipment (Fasina, 2006). The
isosteric heat of sorption or differential enthalpy (
h) is the total heat of sorption minus the latent heat
of vaporization for water and is a measure of the water-solid binding strength (McMinn & Magee,
2003). This is a vital property, which is employed for both design work and qualitative understanding
of the water state on the food surface (Tolaba, Peltzer, Enriquez & Pollio, 2004). The differential
entropy (
s) of a material is proportional to the number of available sorption sites at a specific energy
66
level (Madamba, Driscoll & Buckle, 1996). Gibbs free energy (
G) may be indicative of the affinity of
sorbents for water and provides a criterion to whether water sorption occurs as a spontaneous process
or not (Telis, Gabas, Menegalli & Telis-Romero, 2000; Apostolopoulos & Gilbert, 1990). Enthalpy-
entropy compensation theory (or isokinetic theory) is used to evaluate physical and chemical
phenomena such as sorption reactions. The theory states, in order to minimize free energy changes due
to these phenomena, that: (i) the compensation (by changing
h or
s) arises from the nature of the
interaction between the solute and solvent causing the reaction and (ii) the relationship between the
enthalpy and entropy for a specific reaction is linear (Labuza, 1980; Madamba et al., 1996). Ferro-
Fontan, Chirife, Sancho & Iglesias (1982) suggested the existence of a linear relationship between
enthalpy and entropy for water sorption in some foods, which is confirmed by several other authors
(Madamba et al., 1996; Telis et al., 2000; McMinn & Magee, 2003; Fasina, 2006).
The present work aims to: (1) obtain desorption isotherms of cooked pinhão at selected
temperatures by using mathematical models described in literature, (2) determine some thermodynamic
functions (differential enthalpy and entropy), (3) evaluate the application of the enthalpy-entropy
compensation theory and (4) compare results obtained for raw pinhão evaluating effect of cooking in
desorption process.
Materials and methods
Experimental procedure
Materials
The chemicals were from Quimex (São Paulo, SP, Brazil), Nuclear (Diadema, SP, Brazil) and
Vetec (Duque de Caxias, RJ, Brazil).
The Araucaria angustifolia seeds used in this study were purchased at a local market (Porto
Alegre, RS, Brazil) in 2005. The seeds were cleaned with abundant water, dried at ambient conditions
for 24-48 h, selected and stored at 5
o
C in polythene bags until used, for a maximum period of 10 days.
To cooked pinhão the seeds were autoclavated for 50 min at 120°C before peeled.
Proximate composition
Proximate composition (moisture, protein, fat, ash, crude fiber, starch), total acidity and pH of
cooked pinhão were determined. The total protein content was determined by the Kjeldahl method
67
according to the method 979.09 of AOAC (1990), using a Tecator digestor (Perstorp Analytical Co.,
Sweden). The conversion factor used was %N x 5.75. Ash was determined by incineration in a muffle
furnace (Temco, Iowa, USA) at 550
o
C (method 923.03 of AOAC, 1990). Crude fiber was determined
as ash after acidic and basic digestion according to the Method 962.09 of AOAC (1990). Lipids were
extracted in a Soxhlet extractor (Tecnal, Piracicaba, SP, Brazil) with petroleum ether (6 h) without acid
digestion and were determined gravimetrically. Starch was determined by direct acid hydrolysis and by
determining the amount of glucose in filtrate with Lane-Eynon volumetric method (Pearson, 1975).
Moisture content was calculated through the weight loss of a 10 g sample after heated in a conventional
oven at 105
o
C (Biomatic 303, Porto Alegre, RS, Brazil) until attaining constant weight. Water activity
(at 25
o
C) was determined in a water activity instrument (AquaLab 3TE-Decagon, Pullman, WA, USA).
For pH analysis, 10 g of the sample were mixed with 75 mL of water at 25
o
C and the pH was
measured after 1 h with a digital pH-meter (Quimis Q-400M, São Paulo, Brazil). Total acidity was
determined with 0.1 N sodium hydroxide titration, by using phenolphthalein as indicator, according to
the Method 942.15 (AOAC, 1990) and expressed as mL of NaOH 0.1 N g
-1
. Analyses were carried out
in triplicate and results were expressed as average value ± standard deviation in percentage and in wet
basis (wb).
Desorption isotherms
The desorption isotherms were determined by taking samples with different moisture content
and measuring their water activity and their moisture content (Benado & Rizvi, 1985; Fasina, 2006) as
described previously for raw pinhão (Cladera-Olivera et al., 2008). The initial moisture content of
cooked pinhão was about 80% dry basis (db).
To obtain samples with different moisture contents, the cooked seeds (with coat) were dried at
50
o
C in a bin drier (Ajibola et al., 2003). From time to time, samples were taken off and stored in
polythene bags (the final time of dryer was 50 h). Samples with twelve moisture levels between 8.5 and
74.03 % (db) were obtained. The samples were kept in a refrigerator at 0
o
C for 10 days to reach
uniform moisture (Ajibola et al., 2003). After this time, samples were allowed to equilibrate in the
ambient condition for 6 h (in the bags) and rapidly peeled and sliced. Immediately, a water activity
instrument (AquaLab 3TE-Decagon, Pullman, WA), with user-selectable internal temperature control,
was used to measure the water activity (equilibrium relative humidity) of the samples. Measures were
carried out at four temperatures (15, 25, 30 and 40
o
C). Moisture content was also determined in each
68
sample as described before, obtaining the equilibrium moisture content, expressed as kg water kg
-1
dry
solids (ds). Water activity/moisture sorption analysis was carried out in duplicate. Equilibrium moisture
content and water activity were taken as the average of the two moisture contents and water activities
for each sample.
Data analysis
Isotherm models
The experimental data for the desorption isotherms obtained was fitted to nine moisture sorption
isotherm models presented in Table 5.1 using the non-linear regression module of Statistica 5.0
software (Statsoft, Tulsa, OK, USA). Regressions were repeated with various initial estimated values
both above and below those that had been calculated to confirm that convergence has been reached
(Peleg, 1993). The Brunauer-Emmett-Teller (BET) model (Park et al., 2002), commonly used to fit
isotherms, was not tested because this model is used for aw < 0.5 and aw experimental values obtained
were almost out of this range. The goodness of fit of the different models was evaluated with the
coefficient determination (r
2
) and the mean relative deviation modulus (MRD). MRD has been widely
adopted throughout the literature to evaluate the accuracy of the fit of isotherm models and is defined
by:
=
=
N
i
ei
piei
X
XX
N
MRD
1
100
(1)
where X
ei
and X
pi
are, respectively, the measured and predicted equilibrium moisture content (kg water
kg
-1
dry solids) and N is the number of data points. The lower the values of MRD the better fit of the
model and MRD values below 10% generally indicate an adequate fit for practical purposes (Lomauro,
Bakshi & Labuza, 1985).
69
Table 5.1. Sorption isotherm models used in this work.
Name of the equation Equation
BET (Brunauer et al.,
1938) CX
awC
CXXaw
aw
mm
.
).1(
.
1
).1(
+=
GAB (Guggenheim-
Anderson-de Boer) (Van
den Berg, 1985)
)...1().1(
...
awKCawKawK
awKCX
X
m
+×
=
Halsey (Halsey, 1948)
=
B
X
A
aw exp
Peleg (Peleg, 1993)
21
..
21
nn
awkawkX +=
Oswin (Lomauro et al.,
1985)
B
aw
aw
AX
=
1
.
Chung - Pfost (Chung &
Pfost, 1967)
).exp(.)ln( XBAaw
=
Henderson (Henderson,
1952)
).exp()1(
B
XAaw =
Chirife (Castillo et al.,
2003)
(
)
[
]
awCBAX lnln.exp +=
Smith (Smith, 1947)
))1log(.( awBAX
+
=
Abbreviations: X, equilibrium moisture content (kg water kg
-1
dry solids); aw, water activity;
X
m
, monolayer moisture content (kg water kg
-1
dry solids); A, B, C, K, k
1
, k
2
, n
1
, n
2
, k, are parameters of
the equations.
Calculation of the isosteric heat (differential enthalpy) of desorption and the differential entropy
The differential enthalpy and entropy of sorption can be determined from moisture sorption data
by using the following equation (Fasina, Sokhansanj & Tyler, 1997; Fasina, Ajibola & Tyler, 1999):
( )
R
s
RT
h
aw
X
+
=ln
(2)
where aw represents the water activity,
h the differential enthalpy of sorption (J mol
-1
),
s
the
differential entropy (J mol
-1
K
-1
), R the universal gas constant (J mol
-1
K
-1
), X the equilibrium moisture
content (kg water kg
-1
dry solids) and T the absolute temperature (K).
The total heat of sorption
H (J mol
-1
) can be obtained from the following equation:
vap
HhH += (3)
70
where
H
vap
is the latent heat of vaporization of free water (J mol
-1
).
The differential enthalpy of sorption (
h) was calculated with basis on Eq. (2), where ln(aw) was
plotted versus 1/T for a certain moisture content thus determining the slope of the curve, which is equal
to
h/R; the differential entropy is obtained from the linear coefficient (
s/R) of the straight (McMinn
& Magee, 2003). The model that best describes the experimental sorption data for cooked pinhão was
used to determine the aw value for each moisture content.
Enthalpy-entropy compensation theory (isokinetic theory)
Ferro-Fontan et al. (1982) suggested the existence of a linear relationship between enthalpy and
entropy for water sorption in some foods and this is confirmed by several other authors (Madamba et
al., 1996; Telis et al., 2000; McMinn & Magee, 2003; Fasina, 2006). The isokinetic temperature,
evaluated from the slope of the straight, represents the temperature at which all reactions in series
proceed at the same rate (Heyrovsky, 1970). The compensation theory proposes a linear relationship
between
h and
s (Leffler & Grunwald, 1963; Telis et al., 2000; McMinn, Al-Muhtaseb & Magge,
2005):
ββ
GsTh += . (4)
where T
β
(K) is the isokinetic temperature and
G
β
(J mol
-1
) is the free energy at T
β
and these values
were obtained by linear regression. From a thermodynamic viewpoint, the free energy change (
G) can
be used as an indicative of the sorbent affinity for water, hence providing a criterion as to whether
water sorption is a spontaneous (
G<0) or non-spontaneous (
G>0) process (Apostolopoulos &
Gilbert, 1990).
As proposed by Krug, Hunter & Grieger (1976a, 1976b) a statistical analysis test can be used to
corroborate the compensation theory, by comparing T
β
with the harmonic mean temperature, defined
as:
=
n
hm
T
n
T
1
)/1(
(5)
where n is the total number of isotherms used.
The compensation theory only applies if T
β
T
hm
. An approximate (1-α)100% confidence
interval for T
β
may be calculated from the following equation (Beristain, Garcia & Azuara, 1996; Telis
et al., 2000):
71
)(
2/,2
βαββ
TVartTT
m
±= (6)
where:
(
)
(
)
( )
=
2
ss
sshh
T
β
(7)
and
(
)
( )
=
2
2
).2(
.
)(
SSm
STGh
TVar
β
β
β
(8)
where m is the number of (
h,
s) data pairs, h the average enthalpy, s the average entropy and
β
G the average free energy.
Results and discussion
Proximate composition
Moisture represents 50.8 ± 0.1 % of the fresh weight of raw pinhão and the seed has a very high
water activity, 0.984 ± 0.004 (at 25°C). Starch is the second main compound with 36.8 ± 0.3 % (wb).
Pinhão starch can be easily isolated by treatment with water under mild conditions, without addition of
any additive (Cordenusi et al., 2004), and its properties suggest various new applications (Bello-Perez
et al., 2006). Other compounds were (wb): protein, 2.7 ± 0.1%; crude fibre, 1.6 ± 0.2%; lipid 1.11 ±
0.03% and ash 1.74 ± 0.05%. These results were similar to those found for raw pinhão by Cladera-
Olivera et al (2008) and Cordenusi et al. (2004). Total acidity was 3.5 ± 0.1 mL of 0.1N NaOH g
-1
and
pH 4.8 ± 0.3.
Desorption isotherms
Figure 5.1 shows the experimental values of equilibrium moisture content of cooked pinhão as a
function of water activities at different temperatures. The standard deviation for the equilibrium
moisture content of each experimental point was within the range of 0.001-0.015 (kg water kg
-1
dry
solids) and for the water activity 0.003-0.021. The range of water activity was 0.425 < aw < 0.999 and
it was not possible to obtain lower values of aw with this procedure, due to the high resistance to mass
72
transfer of the coat seed. As expected, the equilibrium moisture content decreased with decrease in
water activity at constant temperature. This may be due to the fact that vapour pressure of water present
in foods increases with the umidity of the surroundings (Shivhare, Arora, Ahmed, & Raghavan, 2004).
0,00
0,10
0,20
0,30
0,40
0,50
0,60
0,70
0,80
0,90
0,40 0,50 0,60 0,70 0,80 0,90 1,00
Water activity
Equilibrium moisture content (kg water/kg
ds)
T 15C
T 25C
T 30C
T40C
Figure 5.1. Experimental values of equilibrium moisture content (dry basis) as a function of
water activity for cooked pinhão at different temperatures.
The analysis of Figure 5.1 also indicates that, in the range of the temperature used (between 15 and
40º C), the desorption isotherms of cooked pinhão were close to each other at different temperatures.
Since cooked pinhão is rich in starch and protein, these components affect the sorption data
considerably, because protein and starch are macromolecules rich in polar sites such as –OH and –H
groups, which behave as active (polar) sorptions centers (Erbas, Ertugay, & Certel, 2005). For
semolina, a product rich in both, starch and protein, Erbas et al. (2005) found a significant effect of
temperature (between 20 and 60°C) on sorption behavior; however, Hebrard et al. (2003) reported that
changes in temperature (between 25 and 45°C) seemed to have no effect on the isotherms of this
product.
The sorption relationships detailed in Table 5.1 were fitted to the experimental data. The parameters
for desorption models for cooked pinhão are shown in Table 5.2, together with the mean relative
73
deviation modulus (MRD). As can be observed, Chirife model best describes the experimental data
throughout the range of temperature studied, followed by the GAB model. The Chirife model gives
MRD values ranging from 5.33% to 7.18% (average value 5.94%) and the GAB model ranging from
7.50% to 10.22% (average value 8.40%). The Chirife model was the only to give MRD values lower
than 10% for all temperatures as described previously for raw pinhão (Cladera-Olivera et al., 2008).
Table 5.2. Estimated values of coefficients and mean relative deviation modulus (MRD) obtained for
selected sorption models applied to experimental desorption data for cooked pinhão
Temperature
Model Constant
15
o
C 25
o
C 30
o
C 40
o
C
Mean
GAB X
m
0.0425 0.0435 0.0398 0.0394
C 369143 848860 936573 687180
K 0.9392 0.9455 0.9660 0.9699
r
2
0.968 0.983 0.989 0.988
ERM (%) 10.22 7.50 7.69 8.20 8.40
Halsey A 0.0004 0.0036 0.0135 0.0160
B 4.0253 2.5810 1.6813 1.5751
r
2
0.830 0.928 0.988 0.988
ERM (%) 27.13 17.49 5.24 5.31 13.79
Peleg NC NC NC NC
Oswin A 0.1513 0.1209 0.0866 0.0817
B 0.2377 0.3729 0.5649 0.6016
r
2
0.924 0.971 0.994 0.993
ERM (%) 25.55 14.60 6.45 7.24 13.46
Chung-Pfost
A 1.6800 1.0603 0.8594 0.8288
B 9.8890 7.3140 6.0181 5.8054
r
2
0.989 0.966 0.898 0.790
ERM (%) 9.43 17.79 27.05 27.40 20.42
Henderson A -9.4835 -6.4874 -4.7867 -4.5842
B 1.1075 0.8542 0.6407 0.6142
r
2
0.991 0.988 0.974 0.970
ERM (%) 7.88 10.70 15.15 15.73 12.37
Chirife A -2.4064 -2.5429 -2.6246 -2.6305
B -0.5099 -0.6223 -0.6401 -0.6378
C 0.0155 0.0207 0.0044 0.0003
r
2
0.988 0.989 0.994 0.994
ERM (%) 7.18 5.90 5.33 5.36 5.94
Smith A 0.0265 -0.0352 -0.0870 -0.0967
B -0.2457 -0.3434 -0.4312 -0.4481
r
2
0.989 0.980 0.925 0.916
ERM (%) 7.38 13.64 23.32 23.89 17.05
74
Treatments of sorption data according to GAB equation (theoretical model) allow the evaluation of
monolayer moisture content values (X
m
) of foods. This is an important parameter in food storage and
deterioration. The values of monolayer moisture content of cooked pinhão determined with GAB
model can also be observed in Table 5.2 and are in the acceptable range for food products. Labuza
(1984) indicated 10% (db) as the maximum monolayer moisture content for foods. Values of X
m
for
cooked pinhão were higher than values for raw pinhão for each temperature (Cladera-Olivera et al.,
2008) probably due to the gelatinization of starch. As reported by Bello-Pérez et al. (2006) pinhão
starch has higher swelling, solubility and granule size than corn starch. These authors comment that
this starch source can be an alternative for food formulation where high moisture contents are required.
Isosteric heat of sorption (differential enthalpy) and differential entropy
The differential enthalpies of desorption of cooked pinhão were calculated by applying Eq. (2). The
Chirife model, which best describes the experimental desorption data, has previously been used to
determine aw values for each equilibrium moisture content. Values of aw between 0.1 and 0.4 were
extrapolated from the model. Fig. 5.2 shows the results obtained together with results previously
reported for raw pinhão (Cladera-Olivera et al., 2008) where the differential enthalpy of desorption was
plotted against the equilibrium moisture content. The analysis of this figure reveals that the differential
enthalpy has a strong dependence on moisture content at low equilibrium moisture contents, since the
energy required for sorption increases at low equilibrium moisture contents. Differential enthalpies are
high at low moisture contents (<0.2 kg water kg
-1
ds), decrease sharply as the moisture content
increases and become almost constant at 0.3 kg water kg
-1
ds for raw and cooked pinhão. Process of
cooking result in a an increase in differential enthalpy at very low moisture content, probably due to the
starch gelatinization and consequently higher energy requirement to remove water. However, a
decrease in differential enthalpy for higher moisture content was obtained for cooked pinhão and a
lower energy requirement to remove water comparing with raw pinhão. It should be noted that a
negative h value is purely a mathematical result and has no physical meaning and it might be within
the error of determination (Kaymak-Ertekin & Gedik, 2004).
75
-1000
0
1000
2000
3000
4000
5000
6000
7000
0 0,1 0,2 0,3 0,4 0,5 0,6 0,7 0,8 0,9 1
Moisture content (kg water/kg ds)
Net isosteric heat of sorption (J/mol)
cooked pinhao
raw pinhao
Fig. 5.2. Differential enthalpy of desorption of raw and cooked pinhão as a function of
equilibrium moisture content.
The
s values for sorption at given moisture content were also calculated by linear regression using
Eq. (2). It was assumed that, at a specific moisture content,
h and
s did not vary with temperature
(Aguerre, Suarez & Viollaz, 1986). These results are shown in Fig.5.3, which presents the differential
entropy as a function of the moisture content together with results previously reported for raw pinhão
(Cladera-Olivera et al., 2008). This figure indicates that the differential entropy also displays a strong
dependence on moisture content at low equilibrium moisture contents and increases sharply at moisture
content below 0.2 kg water kg
-1
ds. Differences between raw and cooked pinhão for differential
entropies were similar to that differential enthalpies. Values for differential entropy also were higher
for cooked pinhão, at very low moisture content indicating that there are a higher number of available
sorption sites at a specific energy level. However, for aw > 0.12 higher values for raw pinhão were
obtained.
76
-4,0
-2,0
0,0
2,0
4,0
6,0
8,0
10,0
12,0
14,0
16,0
0 0,1 0,2 0,3 0,4 0,5 0,6 0,7 0,8 0,9 1
Moisture content (kg water/kg ds)
Differential entropy (J/mol)
cooked pinhao
raw pinhao
Figure 5.3. Differential entropy of desorption of raw and cooked pinhão as a function of
equilibrium moisture content.
Enthalpy-entropy compensation theory
Figure 5.4 shows the differential enthalpy (
h) versus differential entropy (
s) for cooked pinhão.
As can be noted, a linear relation between these variables was obtained (with a coefficient
determination r
2
= 0.993), indicating that compensation exists. Similar results were obtained for raw
pinhão (Cladera-Olivera et al., 2008). The parameters T
β
and
β
G (Eq.4) were calculated from the
data by means of linear regression. The isokinetic temperature (T
β
) is the temperature at which all
sorption reactions will take place at the same rate. A value of 401 ± 17 K (within a 95% confidence
interval) for desorption of cooked pinhão was found. For desorption isotherms of raw pinhão we have
previously reported a value of 422 ± 18 K For starch materials, McMinn et al (2005) found values
between 366.8 and 466.8 K. For quinoa grains, Tolaba et al. (2004) found a value of 361.0 K, for
garlic, Madamba et al. (1996) found a value of 348 ± 9 K, for oatmeal biscuit and oat flakes, McMinn,
McKee & Magee (2007) found values of 430.9 ± 1.88 and 443.4 ± 0.91, respectively. Values between
458 and 475 K were obtained for desorption and desorption of persimmon skin and pulp (Telis et al.,
77
2000). The harmonic mean temperature (Eq.5) was calculated and a value of 300 K was found. This
value is significantly different from T
β
, confirming the suitability of the isokinetic theory.
y = 397,69x + 523,79
R
2
= 0,9932
-1000
0
1000
2000
3000
4000
5000
6000
7000
-4 -2 0 2 4 6 8 10 12 14 16
Differential entropy (J / mol K)
Differential enthalpy (J / mol)
Figure 5.4. Differential enthalpy as a function of differential entropy for cooked pinhão.
According to Leffler (1955), if T
β
> T
hm
the process is enthalpy driven, while if T
β
< T
hm
the process
is entropy controlled. As the former condition is satisfied in this study, desorption mechanism can be
considered to be enthalpy-driven. Same results were obtained for raw pinhão (Cladera-Olivera et al.,
2008). McMinn et al (2005), Aguerre et al. (1986) and Beristain et al. (1996) also reported an enthalpy-
controlled mechanism in the sorption of starch materials.
The value of
G obtained (524 J mol
-1
) suggests that desorption process is non-spontaneous (
G >
0). For desorption isotherms of raw pinhão we have previously reported a smaller value (192 J mol
-1
).
This can be explained by starch gelatinization and higher affinity for water than raw pinhão. For
desorption of starch materials McMinn et al (2005) found values between -1525 and 69 J mol
-1
, for
oatmeal biscuit and oat flakes McMinn et al (2007) found values of 280 and 325 J mol
-1
, respectively.
78
Conclusions
In this work we present the desorption isotherms of cooked pinhão, a seed widely consumed in both
Southern and Southeastern Brazil due to their high nutritious value. The results showed that
temperature has little effect on the desorption behavior. As expected, the equilibrium moisture content
decreased as water activity decreased at constant temperature. Within the temperature range studied, 15
to 40
o
C, and water activity range of 0.425 to 0.999, the Chirife model was found to best represent the
experimental data. The differential enthalpy of desorption was calculated and found to decrease as the
moisture content increased; and it was also found that this variable became almost constant as moisture
content of 0.3 kg water kg
-1
ds was approached; the differential entropy behaved similarly. Plots of
differential enthalpy versus differential entropy satisfied the enthalpy-entropy compensation theory
(isokinetic theory). Results suggested that desorption processes in cooked pinhão are enthalpy-
controlled (isokinetic temperature > harmonic mean temperature) and not spontaneous (
G > 0) as
describe previously for raw pinhão.
Acknowledgments
The authors gratefully acknowledge the financial support of Conselho Nacional de
Desenvolvimento Científico e Tecnológico” (CNPq) and “Fundação de Apoio à Pesquisa do Rio
Grande do Sul” (FAPERGS) from Brazil.
References
Aguerre, R.J., Suarez, C., & Viollaz, P.E. (1986). Enthalpy-entropy compensation in sorption
phenomena: application to the prediction of the effect of temperature on food isotherms. Journal of
Food Science, 51 (6), 1547-1549.
Ajibola, O.O.; Aviara, N.A. & Ajetumobi, O.E. (2003). Sorption equilibrium and thermodynamic
properties of cowpea (Vigna unguiculata). Journal of Food Engineering, 58, 317-324.
AOAC (1990). Official Methods of Analysis (16th ed.). Association of Official Analytical Chemists.
Washington, DC.
Apostolopoulos, D., & Gilbert, S. (1990). Water sorption of coffee solubles by frontal inverse gas
chromatography: Thermodynamic considerations. Journal of Food Science, 55, 475-477.
79
Bello-Perez, L.A., García-Suárez, F.J., Méndez-Montealvo, G., Nascimento, J.R.O., Lajolo, F.M., &
Cordenusi, B.R. (2006). Isolation and characterization of starch from seeds of Araucaria brasiliensis: a
novel starch for application in food industry. Starch, 58, 283-291.
Benado, A.L. & Rizvi, S.S.H. (1985). Thermodynamic properties of water on rice as calculated from
reversible and irreversible isotherms. Journal of Food Science, 50, 101-105.
Berinstain, C.I., Garcia, H.S., & Azuara, E. (1996). Enthalpy-entropy compensation in food vapor
desorption. Journal of Food Engineering, 30, 405-415.
Brunauer, S., Emmett, P.H., & Teller, E. (1938). Desorption of gases in multimolecular layer. Journal
of American Chemists Society, 60, 309-319.
Castillo, M.D., Martínez, E. J., González, H.H.L., Pacin, A.M., & Resnik, S.L. (2003) Study of
mathematical models applied to sorption isotherms of Argentinean black bean varieties. Journal of
Food Engineering, 60, 343–348.
Chung, D.S., & Pfost, H.B. (1967). Desorption and desorption of water vapor by cereal grains and their
products. Transactions of the American Society of Agricultural Engineers, 10, 549-551.
Cladera-Olivera, F.; Pettermann, A.C.; Noreña, C.P.Z., Wada, K.; Marczak, L.D.F. (2008)
Thermodynamic properties of moisture desorption of raw pinhão (Araucaria angustifolia seeds).
International Journal of Food Science and Technology, 43, 900-907.
Cordenunsi, B.R., Menezes, E.W., Genovese, M.I., Dolli, C., Souza, A.G., & Lajolo, F.M. (2004).
Chemical composition and glycemic index of Brazilian pine (Araucaria angustifolia) seeds. Journal of
Agricultural and Food Chemistry, 52, 3412-3416.
Erbas, M., Ertugay, M.F., & Certel, M. (2005). Moisture desorption behaviour of semolina and farina.
Journal of Food Engineering, 69, 191-198.
Fasina, O.O, Sokhansanj, S., & Tyler, R.T. (1997). Thermodynamics of moisture sorption in alfalfa
pellets. Drying Technology, 15, 1553-1570.
Fasina, O.O., Ajibola, O.O., & Tyler, R.T. (1999). Thermodynamics of moisture sorption in winged
bean seed and gari. Journal of Food Process Engineering, 22, 405-418.
Fasina, O.O. (2006) Thermodynamic properties of sweetpotato. Journal of Food Engineering, 75, 149-
155.
Ferro-Fontan, C., Chirife, J., Sancho, E., & Iglesias, H.A. (1982). Analysis of a model for water
sorption phenomena in foods. Journal of Food Science, 55, 475-477.
80
Halsey, G. (1948). Physical desorption on non-uniform surfaces. Journal of Chemistry and Physics, 16,
931-937.
Henderson, S. M. (1952). A basic concept of equilibrium moisture. Agricultural Engineering, 33, 29-
32.
Hebrard, A., Oulahna, D., Galet, L., Cuq, B., Abecassis, J., & Fages, J. (2003). Hydration properties of
durum wheat semolina: Influence of particle size and temperature. Powder Tecnology, 130, 211-218.
Heyrovsky, J. (1970). Determination of isokinetic temperature. Nature, 227. 66-67.
Krug, R.R., Hunter, W.G., & Grieger, R.A. (1976a). Enthalpy-entropy compensation 1. Some
fundamental statistical problems associated with the Vant´Hoff and Arrhenius data. Journal of Physical
Chemistry, 80 (21), 2335-2342.
Krug, R.R., Hunter, W.G., & Grieger, R.A. (1976b). Enthalpy-entropy compensation 2. Separation of
the chemical from the statistical effect. Journal of Physical Chemistry, 80 (21), 2335-2342.
Labuza, T.P. (1980) Enthalpy-entropy compensation in food reactions. Food Technology, 34, 67-77.
Labuza, T.P. (1984). Moisture sorption: Practical aspects of isotherm measurement and use. American
Association of Cereal Chemists, American, St. Paul, MN.
Leffler, J.E. (1955). The enthalpy-entropy relationship and its implications for organic chemistry,
Journal of Organic Chemistry, 20, 1202-1231.
Leffler, J.E., & Grunwald, E. (1963). Rates and equilibria of organic reactions. Wiley, New York.
Lomauro, C.J., Bakshi, A.S., & Labuza, T.P. (1985). Evaluation of food moisture sorption isotherm
equations. Part I: Fruit, vegetable and meat products. Lebensmittel-Wissenschaft & Technologie, 18,
111-117.
Madamba, P.S., Driscoll, R.H., & Buckle, K.A. (1996). Enthalpy-entropy compensation models for
sorption and browning of garlic. Journal of Food Engineering, 28, 109-119.
McMinn, W.A.M., & Magee, T.R.A. (2003). Thermodynamic properties of moisture sorption of potato.
Journal of Food Engineering, 60. 157-165.
McMinn, W.A.M., Al-Muhtaseb, A.H., & Magge, T.R.A. (2005). Enthalpy-entropy compensation in
sorption phenomena of starch materials. Food Research International, 35, 505-510.
McMinn, W.A.M, McKee, D.J., & Magee, R.A. (2007). Moisture desorption behaviour of oatmeal
biscuit and oat flakes. Journal of Food Engineering, 79 (2), 481-493.
Park, K.J.; Vohnikova, Z. & Brod, F.P.R. (2002). Evaluation of drying parameters and desorption
isotherms of garden mint leaves. Journal of Food Engineering, 51, 193-199.
81
Pearson, D. (1975). Laboratory techniques in food analysis, London, UK: Butterworth & Co. Ltd.
Peleg, M. (1993). Assessment of a semi empirical four parameter general model for sigmoid moisture
sorption isotherms. Journal of Food Processing Engineering, 16(1), 21-37.
Shivhare, U.S.; Arora, S.; Ahmed, J. & Raghavan, G.S.V. (2004). Moisture adsorption isotherms for
mushroom. Lebensmittel-Wissenschaft & Technologie, 37, 133-137.
Smith, S.E. (1947). The sorption of water vapour by high polymers. Journal of the American Chemical
Society, 69, 646.
Telis, V.R.N., Gabas, A.L., Menegalli, F.C., & Telis-Romero, J. (2000). Water sorption
thermodynamic properties applied to persimmon skin and pulp. Thermochimica Acta, 343, 49-56.
Tolaba, M.P., Peltzer, M., Enriquez, N., & Pollio, M.L. (2004). Grain sorption equilibria of quinoa
grains. Journal of Food Engineering, 61, 365-371.
Van den Berg, C. (1985). Development of B.E.T. like models for sorption of water of foods, therory
and relevance. In D. Simatos & J.L. Multon (Eds), Properties of water in foods (pp. 119-135), Martinus
Nijhoft, Dordrecht..
Zandavalli, R.B., Dillenburg, L.R., & de Souza, P.V.D. (2004). Growth response of Araucaria
angustifolia (Araucariaceae) to inoculation with the mycorrhizal fungus Glomus clarum. Applied Soil
Ecology, 24, 245-255.
82
6 CAPÍTULO VI - Artigo 4: “Drying kinetics of raw and cooked pinhão
(Araucaria angustifolia seeds)”
Artigo a ser submetido na revista Journal of Food Engineering.
Drying kinetics of raw and cooked pinhão (Araucaria angustifolia seeds)
Florencia Cladera-Olivera
1
*, Ana Carolina Pettermann
2
, Anahí Bernstein
2
, Keiko Wada
1
, Caciano
Pelayo Zapata Noreña
2
, Ligia Damasceno Ferreira Marczak
1
.
1
Department of Chemical Engineering, Federal University of Rio Grande do Sul (UFRGS), Rua Luis
Englert, s/n. Campus Central, 90040-000, Porto Alegre, RS, Brazil.
2
Institute of Food Science and Technology, Federal University of Rio Grande do Sul, (ICTA-UFRGS),
Av. Bento Gonçalves 9500, Campus do Vale, 91501-970 Porto Alegre, RS, Brazil.
*
Correspondence: Department of Chemical Engineering, Federal University of Rio Grande do Sul
(UFRGS), Rua Luis Englert, s/n. Campus Central, 90040-000, Porto Alegre, RS, Brazil. Fax: +55 51
33083277. e-mail: fcladera@yahoo.com
Abstract
The seeds of Araucaria angustifolia, commonly known as pinhão, are widely consumed in both
Southern and Southeastern Brazil due to their high nutritious value. The literature on the technological
aspects of this seed is still very scarce. In this work, drying behaviour of raw and cooked pinhão was
studied at 55, 70 and 85°C. The Page and Logarithmic models are suitable to predict the moisture ratio
of pinhão in a thin layer drying kinetics, among others. The effective moisture diffusivity was
calculated and increased as the drying air temperature increased. Values varied from 1.64 to 4.52 x 10
-
10
m
2
s
-1
for raw pinhão and from 1.18 to 3.17 x 10
-10
m
2
s
-1
for cooked pinhão. The high degree of
starch gelatinization of cooked pinhão might affect the cell structure and increase the internal resistance
to moisture movement. The activation energy was found to be between 4.93 kJ mol
-1
and 20.93 kJ mol
-1
for pinhão. Raw pinhão presented higher values for activation energy than cooked pinhão.
Keywords: Pinhão, Araucaria angustifolia, seed, air drying, kinetic, effective diffusivity, activation
energy.
83
Introduction
The drying of agricultural products has always been a significant contribution to the income of the
agricultural societies (Babalis, Papanicolaou, Kyriakis & Belessiotis, 2006). The basic objective in
drying food products is the removal of water in the solids up to a certain level, at which microbial
spoilage and deterioration chemical reactions are greatly minimized (Krodida, Karathanos, Maroulis &
Marinos-Kouris, 2003).
Conventional air-drying is the most frequently used dehydration operation in food and chemical
industry. Simulation models of these drying processes are used for designing new or improving
existing drying systems or even for the control of the drying process (Babalis & Belessiotis, 2004).
Also, good mathematical modeling of the drying process is an efficient tool for prevention of product
deterioration, excessive energy consumption, equipment stress and decreases in product yields (Olivas,
Molina, Pérez & Ortega, 1999). There are numerous empirical equations that simulate the drying
process, which are useful in modeling its kinetics, and can be used in the design of drying systems
(Kiranoudis, Maroulis & Marinos-Kouris, 1992).
Although a considerable amount of data has been reported in the literature regarding the thin-
layer drying modeling of various agricultural products (fruits, crops and vegetables) no information is
available on pinhão (Araucaria angustifolia seeds). Drying is an important step on pinhão flour
production, a product that does yet not exist in the market.
Brazilian Pine (Araucaria angustifolia) belongs to the Araucariaceae family and is the most
economically important native conifer species in Brazil (Zandavalli, Dillenburg & de Souza, 2004). It
is found in both Argentina and Brazil, stretching from southern states of Paraná, Santa Catarina and Rio
Grande do Sul to northern Argentina. People in the South of Brazil usually consume the seeds of this
tree, known as pinhão after being cooked and peeled or they are used as raw flour for regional dishes.
Pinhão is considered a source of starch, dietary fiber, magnesium and copper and its intake produces a
low glycemic index (Cordenunsi, Menezes, Genovese, Dolli, Souza & Lajolo, 2004). Pinhão is a
seasonal product, which is produced from April to August. Since the seeds have a high percentage of
moisture, they can be easily contaminated by molds during the stockpiling and difficulting its
commercialization. Nutritional and technological aspects of pinhão are scarcely found in scientific
literature. We have previously reported desorption isotherms and thermodynamic properties of raw
pinhão (Cladera-Olivera, Pettermann, Noreña, Wada & Marczak, 2008). However, no data on the
84
drying behavior of this product are available for engineering design of drying. Therefore, the present
study was conducted with the following objectives: (1) to obtain the drying curves at different
temperatures for raw and cooked pinhão peeled and cut in slices and for the entire seeds with external
coat, (2) to fit the experimental drying data obtained to drying models widely used to describe thin-
layer drying of agricultural products and (3) to calculate the effective diffusivity and activation energy.
Materials and methods
Materials
The Araucaria angustifolia seeds used in this study were purchased at a local market (Porto
Alegre, RS, Brazil). The seeds were cleaned with abundant water, dried at ambient conditions for 24-48
h, selected, pocked in polythene bags and stored at 5
o
C. Proximate composition of raw pinhão was
described previously (Cladera-Olivera, Pettermann, Noreña, Wada & Marczak, 2008).
Drying kinetics were obtained for raw and cooked pinhão after peeled (manually with a knife)
and cut into 5 mm thick slices. To cooked pinhão the seeds were autoclavated for 50 min at 120°C
before peeled. Initial moistures of samples were 115.4 ± 0.7 % (db) for raw pinhão and 97.5 ± 0.8 %
(db) for cooked pinhão (these values are the mean of three samples in duplicate).
Drying of pinhão
Drying experiments were carried out in a simple cabinet dryer. The dryer mainly consists of a
centrifugal fan to supply the air, an electrical heater and a cabinet with inside dimensions of 45 cm x
43.5 cm x 50.5 cm. Hot air flow perpendicularly through the sample placed as a thin layer (L = 5mm)
in trays. The drying cabinet could hold six trays made with stainless steel wire mesh (26 cm x 16 cm,
mesh size 1 mm x 1 mm). The dry bulb temperature inside the drying cabinet was controlled at 55, 70
and 85 °C ± 3 °C and measured with a thermometer with an accuracy of ± 0.5°C inserted in the drying
cabinet. Air velocity was maintained constant.
The dryer was turned on 30 min before the beginning of the experiments in order to reach
steady-state. Once the air temperature was stabilized, the trays were put inside. For each run six trays
were used (three for obtain samples to measure water activity and three for weight loss) with an initial
85
weight of sample of about 200g, spread as a thin layer. The weight loss of the dried samples was
measured using a balance with an accuracy of 0.01 g, having a maximum capacity of 5000 g.
The weight of the material was measured in fixed time intervals (30 min) and recorded as a
function of time during 10 h. The moisture content has been determined for the fresh products through
the weight loss of a 10 g sample after heated in a conventional oven at 105
o
C (Biomatic 303, Porto
Alegre, RS, Brazil) until attaining constant weight using an analytical balance, in triplicate. Water
activity (at 25
o
C) was determined in a water activity instrument (AquaLab 3TE-Decagon, Pullman,
WA, USA). Analyses were carried out in triplicate and results were expressed as average value ±
standard deviation.
The equilibrium moisture content (X
e
) was determined at each temperature after approximately
20 h of drying, when change in weight were less than 0.01g.
Mathematical modeling of drying kinetics
The experimental drying data obtained were fitted to a wide range of thin layer drying models
given in Table 6.1. In theses models, X
R
is the dimensionless moisture ratio:
e
e
R
XX
XX
X
=
0
where X
R
is the dimensionless moisture ratio, X, X
e
and X
0
are the moisture content at any time, the
equilibrium moisture content and the initial moisture content in dry basis (d.b), respectively. Models
were tested two times, calculating X
R
using X
e
determined experimentally and using the simplification
0
X
X
X
R
= for long drying times (Thakor, Sokhansanj, Sosulski, & Yannacopoulos, 1999).
86
Table 6.1: Mathematical models applied to the drying curves.
Eq no. Equation Model name References
1
).exp( tkX
R
=
Lewis Lewis (1921)
2
).exp(. tkaX
R
=
Henderson and Pabis Henderson and Pabis (1961)
3
).exp(.).exp(.).exp(. thctgbtkaX
R
++=
Modified Henderson
and Pabis
4
ctkaX
R
+= ).exp(.
Logarithmic Togrul and Pehlivan (2004)
5
).exp(.).exp(.
2211
tkatkaX
R
+=
Two-term exponential Saraf-Eldeen et al. (1980)
6
).exp(
n
R
tkX =
Page Page (1949)
7
)).(exp(.
n
R
tkaX =
Modified Page Wang and Singh (1978)
8
)).(exp(
n
R
tkX =
Overhults Overhults et al. (1973)
9
2
21
..1 tataX
R
++=
Wang and Singh Wang and Singh (1978)
10
2
).(lnln.
RR
XbXat +=
Thompson Thompson et al. (1968)
The experimental data obtained was fitted using the non-linear regression module of Statistica
7.0 software (Statsoft, Tulsa, OK, USA) and the estimation method used was Quase-Newton.
Regressions were repeated with various initial values both above and below those that had been
calculated to confirm that convergence has been reached (Peleg, 1993). Statistical validity of models
was evaluated and compared by means of the coefficient of determination r
2
, root mean square
difference RMSD, reduced chi-square χ
2
and mean relative deviation modulus MRD. These
comparison criteria methods can be calculated as follows:
( )
N
XX
RMSD
N
i
ipredRiR
=
=
1
2
,exp,
(11)
( )
pN
XX
N
i
ipredRiR
=
=1
2
,exp,
2
χ
(12)
=
=
N
i
iR
ipreRiR
X
XX
N
MRD
1
exp,
,exp,
100
(13)
where X
R exp,i
and X
R pre,i
are, respectively, the measured value data and the estimated value through
fitting of the model, N is the number of observations, and p is the number of parameters.
87
Calculation of effective diffusivity and activation energy
The mass conservation equation in cartesian coordenates, using the Fick´s equation for the mass
flux, in the falling rate period during drying, was solved by Crank (1975); the dimensionless moisture
ratio X
R
, in terms of the effective diffusion coefficient, D
eff
is given by:
=
2
2
2
exp
8
L
tD
X
eff
R
π
π
(14)
where L is the thickness of the sample (m). In order to calculate D
eff
values, ln(X
R
) values were plotted
against time and D
eff
values were estimated from the slope of the fitted curve. D
eff
values were
calculated twice, using the two values of X
R
mentioned above.
The relationship between D
eff
values and drying temperatures is given by the Arrhenius
equation:
=
TR
E
DD
a
eff
exp
0
(15)
where D
0
is the diffusion coefficient as time goes to infinity (m
2
s
-1
), E
a
is the activation energy (J mol
-
1
), R is the universal gas constant (8.314 J mol
-1
K
-1
), and T is the absolute temperature (K). Activation
energies were calculated from the slopes of curves plotted as ln(D
eff
) versus 1/T.
Results and discussion
Drying curves
The moisture content and water activity versus drying time for raw and cooked pinhão at three
temperatures are giving in Figures 6.1, 6.2, 6.3 and 6.4, respectively. The drying rate versus moisture
content are shown in Figures 6.5 and 6.6 for raw and cooked pinhão, respectively. It can be seen that
moisture decreases continuously with drying time and no constant drying rate period exists;
consequentely the drying process took place in the falling rate period. Drying rate decreases as the
moisture content decreases. During the falling rate period the drying is governed only by the water
diffusion in the solid. These results indicated that diffusion is the most likely physical mechanism
governing moisture movement in pinhão.
88
0
10
20
30
40
50
60
70
80
90
100
110
120
0 1 2 3 4 5 6 7 8 9 10
Drying time (h)
Moisture (% db)
55 °C
70 °C
85 °C
Figure 6. 1. The drying experimental data with the standard deviation bars for raw pinhão.
0,00
0,10
0,20
0,30
0,40
0,50
0,60
0,70
0,80
0,90
1,00
0 1 2 3 4 5 6 7 8 9 10 11
Drying time (h)
Water activity
85 °C
70 °C
55 °C
Figure 6.2. Changes in water activity for raw pinhão during drying.
89
0
10
20
30
40
50
60
70
80
90
100
0 1 2 3 4 5 6 7 8 9 10
Drying time (h)
Moisture (% bs)
55 °C
70 °C
85 °C
Figure 6.3. The drying experimental data with the standard deviation bars for cooked pinhão.
0,00
0,10
0,20
0,30
0,40
0,50
0,60
0,70
0,80
0,90
1,00
0 1 2 3 4 5 6 7 8 9 10
Drying time (h)
Water activity
85C
70C
55C
Figure 6.4. Changes in water activity for cooked pinhão during drying.
90
y = 0,6033x - 7,0825
R
2
= 0,967
y = 0,8324x - 4,0915
R
2
= 0,9876
y = 0,9984x - 1,7086
R
2
= 0,9802
0
10
20
30
40
50
60
70
80
0 10 20 30 40 50 60 70 80 90 100
Moisture content (% db)
Drying rate (% ds h
-1
)
55 °C
70 °C
85 °C
Linear (55 °C)
Linear (70 °C)
Linear (85 °C)
Figure 6.5. Drying rate of raw pinhão at different air temperatures.
y = 0,686x - 12,126
R
2
= 0,9693
y = 0,7981x - 10,421
R
2
= 0,9696
y = 0,9612x - 8,8825
R
2
= 0,9537
0
10
20
30
40
50
60
70
80
0 10 20 30 40 50 60 70 80 90
Drying rate (% ds h
-1
)
55 °C
70 °C
85 °C
Linear (55 °C)
Linear (70 °C)
Linear (85 °C)
Moisture content (% db)
Figure 6.6. Drying rate of cooked pinhão at different air temperatures.
91
As can be seen in the figures 6.1-6.4, the influence of the temperature on the drying kinetics
characteristics is greater for raw than for cooked pinhão.
Table 2 present values of equilibrium moisture content for raw and cooked pinhão determined
experimentally. It can be observed that values for raw pinhão are smaller than values for cooked
pinhão at each temperature probably due to the gelatinization of starch.
Table 6.2: Experimental equilibrium moisture for raw and cooked pinhão at different drying
temperatures.
Equilibrium moisture (% db)
Temperature
Raw pinhão
Cooked pinhão
55
o
C 9.75 14.92
70
o
C 3.89 10.38
85
o
C 1.11 6.72
Table 6.3 and 6.4 presents the drying parameters and the values of R
2
, χ
2
and MRD of models
used for raw and cooked pinhão, using the approximation
0
X
X
X
R
= .
Table 6.5 and 6.6 presents values using X
e
determined experimentally.
It can be observed that data using X
e
determined experimentally adjusts better to the models
tested, with high values of R
2
and lower of χ
2
, RMSD and MRD. Comparing raw and cooked pinhão,
data for raw pinhão adjusts better to the models tested. Within the models, models number 4, 6, 7 and 8
(Logarithmic, Page, Modified Page and Overhluts) presented the best results.
92
Table 6.3: Parameter estimation, R
2
, χ
2
, RMSD, and MRD of the ten drying models for air drying of
raw pinhão at different temperatures considering the simplification
0
X
X
X
R
= .
Eq T (°C) Estimated values R
2
χ
χχ
χ
2
RMSD MRD (%)
1 55 k = 0.3683 0.9612 2.399 x 10
-3
0.0478 26.62
70 k = 0,6090 0.9846 1.013 x 10
-3
0.0311 43.41
85 k = 0.7786 0.9968 2.135 x 10
-4
0.0143 46.09
2 55 a = 0.9114 k = 0.3309 0.9726 1.782 x 10
-3
0.0401 20.95
70 a = 0.9742 k = 0.5919 0.9853 1.019 x 10
-3
0.0304 42.02
85 a = 0.9943 k = 0.7741 0.9968 2.226 x 10
-4
0.0142 45.70
3 55 a = 0.3038 k = 0.3309 b = 0.3038
g = 0.3309 c = 0.3038 h = 0.3309 0.9726 2.257 x 10
-3
0.0401 20.95
70 a = 0.3247 k = 0.5919 b = 0.3247
g = 0.5919 c = 0.3247 h = 0.5919
0.9853 1.291 x 10
-3
0.0304 42.02
85 a = 0.3314 k = 0.7741 b = 0.3314
g = 0.7741 c = 0.3314 h = 0.7741 0.9968 2.820 x 10
-4
0.0142 45.70
4 55 a = 0.8811 k = 0.4832 c = 0.0934 0.9980 1.74 x 10
-4
0.0110 4.07
70 a = 0.9570 k = 0.7086 c = 0.0459 0.9992 5.763 x 10
-5
0.0070 8.93
85 a = 0.9857 k = 0.8234 c = 0.0171 0.9992 5.982 x 10
-5
0.0072 13.94
5 55 a
1
= 0.4557 k
1
= 0.3309
a
2
= 0.4557 k
2
= 0.3309
0.9726 1.991 x 10
-3
0.0401 20.95
70 a
1
= 0.9237 k
1
= 0.7525
a
2
= 0.0835 k
2
= 0.0770
0.9995
3.941 x 10
-5
0.0056
5.56
85 a
1
= 0.4971 k
1
= 0.7741
a
2
= 0.4971 k
2
= 0.7741
0.9968
2.488 x 10
-4
0.0142
45.70
6 55 k =0.5047 n = 0.7359 0.9965 2.263 x 10
-4
0.0143 7.66
70 k = 0.6843 n = 0.8275 0.9919 5.586 x 10
-4
0.0225 26.81
85 k = 0.8040 n = 0.9291 0.9976 1.646 x 10
-4
0.0122 36.28
7 55 a = 1.0126 k = 0.5164 n = 0.7266 0.9967 2.293 x 10
-4
0.0140 7.50
70 a = 1.0158 k = 0.7001 n = 0.8159 0.9921 5.747 x 10
-4
0.0222 26.40
85 a = 1.0078 k = 0.8125 n = 0.9223 0.9977 1.702 x 10
-4
0.0121 35.87
8 55 k = 0.3949 n = 0.7359 0.9965 2.263 x 10
-4
0.0143 7.66
70 k = 0.6323 n = 0.8275 0.9919 5.586 x 10
-4
0.0225 26.81
85 k = 0.7907 n = 0.9291 0.9976 1.646 x 10
-4
0.0122 36.28
9 55 a
1
= -0.2639 a
2
= 0.0184 0.9027 6.325 x 10
-3
0.0756 32.92
70 a
1
= -0.3144 a
2
= 0.0234 0.7912 1.446 x 10
-2
0.1144 109.77
85 a
1
= -0.3364 a
2
= 0.0256 0.7149 1.991 x 10
-2
0.1342 333.39
10 55 a = -0.9930 b = 1.2066 0.9931 6.956 x 10
-2
0.2509 7.38
70 a = -0.1899 b = 0.7885 0.9823 1.794 x 10
-1
0.4028 13.70
85 a = -0.4816 b = 0.3489 0.9896 1.053 x 10
-1
0.3087 10.47
93
Table 6.4: Parameter estimation, R
2
, χ
2
, RMSD, and MRD of the ten drying models for air drying of
cooked pinhão at different temperatures considering the simplification
0
X
X
X
R
= .
Eq T (°C) Estimated values R
2
χ
χχ
χ
2
RMSD MRD (%)
1 55 k =0.3058 0.8538 6.612 x 10
-3
0.0794 26.77
70 k = 0.4012 0.8859 6.140 x 10
-3
0.0765 38.57
85 k = 0.5346 0.9305 3.889 x 10
-3
0.0609 46.25
2 55 a = 0.8478 k = 0.2490 0.8991 4.828 x 10
-3
0.0661 20.60
70 a = 0.8650 k = 0.3331 0.9128 4.940 x 10
-3
0.0669 30.79
85 a = 0.8993 k = 0.4682 0.9426 3.380 x 10
-3
0.0553 40.23
3 55 a = 0.2826 k = 0.2490 b = 0.2826
g = 0.2490 c = 0.2826 h = 0.2490 0.8991 6.115 x 10
-3
0.0661 20.60
70 a = 0.2883 k = 0.3331 b = 0.2883
g = 0.3331 c = 0.2883 h = 0.3331
0.9128 6.257 x 10
-3
0.0669 30.79
85 a = 0.3314 k = 0.7741 b = 0.3314
g = 0.7741 c = 0.3314 h = 0.7741 0.9968 4.281 x 10
-3
0.0553 40.23
4 55 a = 0.8080 k = 0.5700 c = 0.1810 0.9970 1.594 x 10
-4
0.0117 3.49
70 a = 0.8536 k = 0.6546 c = 0.1353 0.9960 2.371 x 10
-4
0.0143 6.68
85 a = 0.8855 k = 0.7263 c = 0.0913 0.9971 1.812 x 10
-4
0.0125 6.38
5 55 a
1
= 0.4239 k
1
= 0.2490
a
2
= 0.4239 k
2
= 0.2490 0.8991 5.395 x 10
-3
0.0661 20.60
70 a
1
= 0.7415 k
1
= 0.8413
a
2
= 0.2641 k
2
= 0.0856
0.9994 3.659 x 10
-5
0.0054 1.14
85 a
1
= 0.4497 k
1
= 0.4682
a
2
= 0.4497 k
2
= 0.4682 0.9426 3.778 x 10
-3
0.0553 40.23
6 55 k =0.5231 n = 0.5968 0.9804 9.397 x 10
-4
0.0292 8.12
70 k = 0.6156 n = 0.6112 0.9831 9.602 x 10
-4
0.0295 11.26
85 k = 0.7226 n = 0.6393 0.9897 6.088 x 10
-4
0.0235 15.54
7 55 a = 1.0244 k = 0.5450 n = 0.5830 0.9811 9.589 x 10
-4
0.0287 8.06
70 a = 1.0212 k = 0.6351 n = 0.6002 0.9835 9.866 x 10
-4
0.0291 11.16
85 a = 1.0131 k = 0.7352 n = 0.6326 0.9898 6.326 x 10
-4
0.0233 15.42
8 55 k = 0.3377 n = 0.5968 0.9804 9.397 x 10
-4
0.0292 8.12
70 k = 0.4522 n = 0.6112 0.9831 9.602 x 10
-4
0.0295 11.26
85 k = 0.6016 n = 0.6393 0.9897 6.088 x 10
-4
0.0235 15.54
9 55 a
1
= -0.2519 a
2
= 0.0180 0.8599 6.756 x 10
-3
0.0782 21.52
70 a
1
= -0.2760 a
2
= 0.0201 0.7994 1.137 x 10
-2
0.1014 39.85
85 a
1
= -0.3008 a
2
= 0.0224 0.7460 1.497 x 10
-2
0.1164 64.01
10 55 a = 1.0325 b = 3.4132 0.9733 2.042 x 10
-1
0.4299 17.33
70 a = 0.7901 b = 2.3519 0.9864 1.376 x 10
-1
0.3528 14.95
85 a = 0.7351 b = 1.6492 0.9730 2.736 x 10
-1
0.4976 18.51
94
Table 6.5: Parameter estimation, R
2
, χ
2
, RMSD, and MRD of the ten drying models for air drying of
raw pinhão at different temperatures considering X
e
determined experimentally.
Eq T (°C) Estimated values R
2
χ
χχ
χ
2
RMSD MRD (%)
1 55 k = 0.4820 0.9964 2.673E-04 0.0160 12.98
70 k = 0.6797 0.9981 1.318E-04 0.0112 29.27
85 k = 0.8024 0.9967 8.610E-05 0.0091 36.10
2 55 a = 0.9666 k = 0.4655 0.9976 1.876E-04 0.0130 11.93
70 a = 0.9964 k = 0.6772 0.9981 1.378E-04 0.0112 28.87
85 a = 0.9993 k = 0.8018 0.9987 9.060E-05 0.0091 36.02
3 55 a = 0.3222 k = 0.4655 b = 0.3222
g = 0.4655 c = 0.3222 h = 0.4655
0.9976 2.376E-04 0.0130 11.93
70 a = 0.3321 k = 0.6772 b = 0.3321
g = 0.6772 c = 0.3321 h = 0.6772 0.9981 1.745E-04 0.0112 28.87
85 a = 0.3331 k = 0.8018 b = 0.3331
g = 0.8018 c = 0.3331 h = 0.8018 0.9987 1.148E-04 0.0091 36.02
4 55 a = 0.9624 k = 0.4832 c = 0.0103 0.9980 1.678E-04 0.0120 25.27
70 a = 0.9904 k = 0.7086 c = 0.0127 0.9992 6.172E-05 0.0073 84.67
85 a = 0.9953 k = 0.8234 c = 0.0075 0.9992 6.099E-05 0.0072 88.22
5 55 a
1
= 0.4833 k
1
= 0.4655
a
2
= 0.4833 k
2
= 0.4655
0.9976 2.097E-04 0.0130 11.93
70 a
1
= 0.4982 k
1
= 0.6772
a
2
= 0.4982 k
2
= 0.6772 0.9981 1.540E-04 0.0112 28.87
85 a
1
= 0.4996 k
1
= 0.8018
a
2
= 0.4996 k
2
= 0.8018 0.9987 1.013E-04 0.0091 36.02
6 55 k =0.5328 n = 0.8976 0.9996 3.165E-05 0.0054 19.15
70 k = 0.6979 n = 0.9554 0.9985 1.108E-04 0.0100 21.64
85 k = 0.8139 n = 0.9674 0.9989 7.826E-05 0.0084 27.79
7 55 a = 0.9970 k = 0.5297 n = 0.9006 0.9996 3.286E-05 0.0053 18.88
70 a = 1.0068 k = 0.7052 n = 0.9489 0.9985 1.142E-04 0.0099 21.28
85 a = 1.0057 k = 0.8202 n = 0.9622 0.9989 8.071E-05 0.0083 27.15
8 55 k = 0.4959 n = 0.8976 0.9996 3.165E-05 0.0054 19.15
70 k = 0.6863 n = 0.9554 0.9985 1.108E-04 0.0100 21.64
85 k = 0.8082 n = 0.9674 0.9989 7.826E-05 0.0084 27.79
9 55 a
1
= -0.2882 a
2
= 0.0201 0.9027 7.546E-03 0.0826 194.81
70 a
1
= -0.3332 a
2
= 0.0252 0.7891 1.564E-02 0.1190 1049.85
85 a
1
= -0.3397 a
2
= 0.0258 0.7149 2.030E-02 0.1355 1965.80
10 55 a = -2.4071 b = -0.0759 0.9937 6.327E-02 0.2393 8.10
70 a = -1.8458 b = -0.0347 0.9666 3.387E-01 0.5535 13.11
85 a = -1.4093 b = 0.0117 0.9839 1.626E-01 0.3836 8.20
95
Table 6.6: Parameter estimation, R
2
, χ
2
, RMSD, and MRD of the ten drying models for air drying of
cooked pinhão at different temperatures considering X
e
determined experimentally.
Eq T (°C) Estimated values R
2
χ
χχ
χ
2
RMSD MRD (%)
1 55 k =0.5196 0.9906 6.412E-04 0.0247 28.14
70 k = 0.5968 0.9888 7.527E-04 0.0268 38.92
85 k = 0.6891 0.9914 5.532E-04 0.0230 43.83
2 55 a = 0.9653 k = 0.5010 0.9919 5.800E-04 0.0229 25.06
70 a = 0.9660 k = 0.5748 0.9900 7.096E-04 0.0253 35.86
85 a = 0.9603 k = 0.6601 0.9930 4.757E-04 0.0207 40.36
3 55 a = 0.4220 k = 0.3024 b = 0.2924
g = 0.8806 c = 0.2924 h = 0.8806
0.9991 8.069E-05 0.0076 3.79
70 a = 0.3220 k = 0.5748 b = 0.3220
g = 0.5748 c = 0.3220 h = 0.5748 0.9900 8.988E-04 0.0253 35.86
85 a = 0.3201 k = 0.6601 b = 0.3201
g = 0.6601 c = 0.3201 h = 0.6601 0.9930 6.026E-04 0.0207 40.36
4 55 a = 0.9528 k = 0.5749 c = 0.0355 0.9971 2.202E-04 0.0137 15.69
70 a = 0.9552 k = 0.6546 c = 0.0323 0.9960 2.969E-04 0.0160 39.29
85 a = 0.9510 k = 0.7263 c = 0.0240 0.9971 2.090E-04 0.0134 34.52
5 55 a
1
= 0.4220 k
1
= 0.3024
a
2
= 0.5849 k
2
= 0.8806
0.9991 7.120E-05 0.0076 3.79
70 a
1
= 0.4830 k
1
= 0.5748
a
2
= 0.4830 k
2
= 0.5748 0.9900 7.930E-04 0.0253 35.86
85 a
1
= 0.4802 k
1
= 0.6601
a
2
= 0.4802 k
2
= 0.6601 0.9930 5.317E-04 0.0207 40.36
6 55 k =0.5934 n = 0.8532 0.9976 1.702E-04 0.0124 8.26
70 k = 0.6753 n = 0.8307 0.9969 2.219E-04 0.0142 11.78
85 k = 0.7689 n = 0.8211 0.9993 4.437E-05 0.0063 12.38
7 55 a = 1.0109 k = 0.6041 n = 0.8443 0.9977 1.725E-04 0.0122 7.89
70 a = 1.0110 k = 0.6863 n = 0.8226 0.9970 2.271E-04 0.0140 11.69
85 a = 1.0019 k = 0.7709 n = 0.8197 0.9993 4.663E-05 0.0063 12.26
8 55 k = 0.5424 n = 0.8532 0.9976 1.702E-04 0.0124 8.26
70 k = 0.6234 n = 0.8307 0.9969 2.219E-04 0.0142 11.78
85 k = 0.7261 n = 0.8211 0.9993 4.437E-05 0.0063 12.38
9 55 a
1
= -0.3067 a
2
= 0.0229 0.8755 8.959E-03 0.0900 93.39
70 a
1
= -0.3088 a
2
= 0.0225 0.7994 1.424E-02 0.1135 207.08
85 a
1
= -0.3231 a
2
= 0.0241 0.7460 1.727E-02 0.1250 305.01
10 55 a = -1.6609 b = 0.2215 0.9977 2.054E-02 0.1363 3.26
70 a = -1.8089 b = 0.0943 0.9859 1.429E-01 0.3595 9.74
85 a = -1.3669 b = 0.1555 0.9899 1.023E-01 0.3043 6.49
96
Calculation of effective diffusivity and activation energy
Experimental results were interpreted using Fick´s diffusion equation (eq.14). Values of D
eff
for
different temperatures, calculated considering the simplification
0
X
X
X
R
= and using value of X
e
determined experimentally are presented in Tables 6.7 and 6.8, respectively. As expected, the values of
D
eff
increased with increasing temperature. The effective diffusivities of dried samples at 55-85
o
C
varied in the range of 1.64 and 4.52 x 10
-10
m
2
s
-1
for raw pinhão and in the range of 1.18 and 3.17 x 10
-
10
m
2
s
-1
for cooked pinhão. These values are comparable to 2-4.2x10
-10
m
2
s
-1
for drying garlic slices in
temperature range of 50-90
o
C (Madamba, Driscoll, & Buckle, 1996), drying of corn 0.948-1.768x10
-10
m
2
s
-1
in temperature range of 55-70
o
C (Doymaz & Pala, 2003), drying of Curcuma longa Rhizomes
1.77-9.30 x10
-10
m
2
s
-1
in temperature range of 60-100
o
C (Mulet, Blasco, García-Reverter, & García-
Pérez, 2005), drying of hydrated native corn starch at 60°C, 5-23 x10
-10
m
2
s
-1
(Uzman & Sahbaz,
2000), drying of two different granular starches 1-100 x10
-10
m
2
s
-1
in the temperature range of 40-
100°C (Marousis, Karathanos, & Saravacos, 1989), among others. Values of D
eff
calculated using the
approximation for X
R
(
0
X
X
X
R
= ) were smaller than values calculated using X
e
determined
experimentally because values of X
R
using the approximation are higher. Values for cooked pinhão
were smaller than values for raw pinhão probably due to the gelatinization of starch. As this seed have
a high content of starch (Cordenusi et al., 2002; Cladera-Olivera et al., 2008), high degree of starch
gelatinization (in cooked pinhão) might affect the cell structure and increase the internal resistance to
moisture movement, which resulted in lower diffusivity (Maté, Quartaert, Meerkink, & van´t Riedt,
1998). Similar results were obtained by Leeratanarak, Sakamon, & Chiewchan (2006) comparing
different times of blanching for drying of potato chips. However, comparing effective diffusivities of
cooked and normal tarhana dough, a traditional Turkish fermented food product, Ibanoglu & Maskan
(2002) reported greater values for cooked samples under the same drying conditions.
97
Table 6.7: Effective diffusivities for raw and cooked pinhão at different drying temperatures,
considering the simplification
0
X
X
X
R
= .
Effective diffusivity (m
2
s
-1
) x 10
10
Activation energy (kJ mol
-1
)
Temperature
Raw pinhão
Cooked pinhão Raw pinhão
Cooked pinhão
55
o
C 1.64 1.18
70
o
C 2.20 1.34
85
o
C 3.12 1.61
20.93 10.17
Table 6.8: Effective diffusivities for raw and cooked pinhão at different drying temperatures,
considering X
e
determined experimentally.
Effective diffusivity (m
2
s
-1
) Activation energy (kJ mol
-1
)
Temperature
Raw pinhão
Cooked pinhão
Raw pinhão
Cooked pinhão
55
o
C 3.33 x 10
-10
2.72 x 10
-10
70
o
C 3.99 x 10
-10
2.99 x 10
-10
85
o
C 4.52 x 10
-10
3.17 x 10
-10
9.94 4.93
The activation energy (E
a
) was calculated by plotting the natural logarithm of D
eff
versus
reciprocal of the absolute temperature as presented in Figure 6.7 and 6.8 (considering the
approximation for X
R
and the value calculated using experimental X
e
, respectively).
98
y = -2517,827x - 14,872
R
2
= 0,995
y = -1223,009x - 19,147
R
2
= 0,986
-23
-22,8
-22,6
-22,4
-22,2
-22
-21,8
0,00275 0,0028 0,00285 0,0029 0,00295 0,003 0,00305 0,0031
1/T (1/K)
ln(Deff)
raw
cooked
Linear (raw)
Linear (cooked)
Figure 6.7. Arrhenius-type relationship between the effective diffusivity and absolute
temperature for raw and cooked pinhão using the simplification
0
X
X
X
R
= .
y = -1195,464x - 18,172
R
2
= 0,994
y = -592,860x - 20,213
R
2
= 0,990
-22,1
-22
-21,9
-21,8
-21,7
-21,6
-21,5
-21,4
0,00275 0,0028 0,00285 0,0029 0,00295 0,003 0,00305 0,0031
1/T (1/K)
ln(Deff)
raw
cooked
Linear (raw)
Linear (cooked)
Figure 6.8. Arrhenius-type relationship between the effective diffusivity and absolute
temperature for raw and cooked pinhão using the experimental value of X
e
to calculate X
R
.
99
The plots were found to be a straight line (r
2
>0.98) in the range of air temperatures studied,
indicating Arrhenius dependence. The activation energy for diffusion calculated from the slopes of
straight lines of Figure 6.7 was found to be 20.93 kJ mol
-1
for raw pinhão and 10.17 kJ mol
-1
for
cooked pinhão. Using data of Figure 6.8, values find were 9.94 kJ mol
-1
for raw pinhão 4.93 kJ mol
-1
for cooked pinhão. Cooking resulted in a decrease in the activation energy. This is an indication of the
lower energy needed to remove water from pinhão cooked prior to drying. Similar results were
obtained comparing cooked and normal tarhana dough (Ibanglu & Maskan, 2002). Howerver this is
not in concordance with values for D
eff
obtained. Values of E
a
obtained in this work for pinhão are
lower than the range of 15 and 95 kJ mol
-1
reported by several authors for various foods (Guiné &
Fernandes, 2006; Doymaz, 2004). However, in various cases, calculations were made using the
simplification for X
R
. Marousis et al. (1989) obtained values between 3.9 and 9.2 kcal mol
-1
for
different granular starches (16.3-38.5 kJ mol
-1
) and Uzman & Sahbaz (2000) obtained values between
13.8 and 20.5 kJ mol
-1
for hydrated native corn starch.
Conclusions
In this work, the drying kinetics of raw and cooked pinhão were investigated at 55, 70 and 85°C.
The Page and Logarithmic models are suitable to predict the moisture ratio of pinhão in a thin layer
drying kinetics. The effective moisture diffusivity increased as the drying air temperature increased.
Effective diffusivity values varied from 1.64 to 4.52 x 10
-10
m
2
s
-1
for raw pinhão and from 1.18 to 3.17
x 10
-10
m
2
s
-1
for cooked pinhão. The high degree of starch gelatinization might affect the cell structure
and increase the internal resistance to moisture movement for cooked pinhão. The temperature
dependence of the effective diffusivity was described by an Arrhenius type equation. The activation
energy was found to be 20.93 or 9.94 kJ mol
-1
for raw pinhão using or not the simplification for X
R
,
respectively; and 10.17 or 4,93 kJ mol
-1
for cooked pinhão.
Acknowledgments
The authors gratefully acknowledge the financial support of “Conselho Nacional de
Desenvolvimento Científico e Tecnológico” (CNPq) and “Fundação de Apoio à Pesquisa do Rio
Grande do Sul” (FAPERGS) from Brazil.
100
References
Babalis, S.J., & Belessiotis, V.G. (2004). Influence of the drying conditions on the drying constants and
moisture diffusivity during the thin-layer drying of figs. Journal of Food Engineering, 65, 449–458.
Babalis, S.J., Papanicolaou, E., Kyriakis, N., & Belessiotis, V.G. (2006). Evaluation of thin-layer
drying models for describing dryin kinetics of figs (Ficus carica). Journal of Food Engineering, 75,
205–214.
Cladera-Olivera, F.; Pettermann, A.C.; Noreña, C.P.Z., Wada, K.; Marczak, L.D.F. (2008)
Thermodynamic properties of moisture desorption of raw pinhão (Araucaria angustifolia seeds).
International Journal of Food Science and Technology, 43, 900-907.
Cordenunsi, B.R., Menezes, E.W., Genovese, M.I., Dolli, C., Souza, A.G., & Lajolo, F.M. (2004).
Chemical composition and glycemic index of Brazilian pine (Araucaria angustifolia) seeds. Journal of
Agricultural and Food Chemistry, 52, 3412-3416.
Crank, J. (1975). The mathematics of diffusion. Oxford, UK: Clarendon Press.
Doymaz, I. (2004). Convective air drying characteristics of thin layer carrots. Journal of Food
Engineering, 61, 359-364.
Doymaz, I., & Pala, M. (2003). The thin-layer drying characteristics of corn. Journal of Food
Engineering, 60, 125-130.
Guiné, R.P.F., & Fernandes, R.M.C. (2006). Analysis of the drying kinetics of chestnuts. Journal of
Food Engineering, 76, 460-467.
Ibanoglu, S.; Maskan, M. (2002). Effect of cooking on the drying behaviour of tarhana dough, a wheat
flour-yogurt mixture. Journal of Food Engineering, 54, 119-123.
Kiranoudis, C.T., Maroulis, Z.B, & Marinos-Kouris, D. (1992). Drying kinetics of onions and green
peppers. Drying Technology, 10 (4), 995-1011.
Krodida, M.K., Karathanos, V.T., Maroulis, Z.B., & Marinos-Kouris, D. (2003). Drying kinetics of
some vegetables. Journal of Food Engineering, 59, 391-403.
Leeratanarak, N.; Sakamon, D., & Chiewchan, N. (2006). Drying kinetics and quality of potato chips
undergoing different drying techniques. Journal of Food Engineering, 77, 635-643.
Lopez, A., Iguaz, A., Esnoz, A., & Virseda, P. (2000). Thin layer drying behaviour of vegetable wastes
from wholesale market. Drying Technology, 18, 995-1006.
Madamba, P.S., Driscoll, R.H., & Buckle, K.A. (1996). The thin-layer drying characteristics of garlic
slices. Journal of Food Engineering, 29, 75-97.
101
Marousis, S.N., Karathanos, V.T., Saravacos, G.D. (1989). Effect of sugars on the water diffusivity in
hydrated granular starches. Journal of Food Science, 54, 1496-1552.
Maté, J.I., Quartaert, C., Meerdink, G., & Van´t Ried, K. (1998). Effect of blanching on structural
quality of dried potato slices. Journal of Agricultural and Food Chemistry, 46, 676-681.
Mulet, A., Blasco, M., García-Reverter, J., García-Pérez, J.V. (2005). Drying kinetics of Curcuma
longa Rhizomes. Journal of Food Science, 70, 318-323.
Olivas, R., Molina, F.J., Pérez, A., & Ortega, E. (1999). Development of mathematical model for
drying of jalapeño peppers in batch process. Conference in meeting of American Institute of Chemical
Engineers, New York, USA.
Peleg, M. (1993). Assessment of a semi empirical four parameter general model for sigmoid moisture
sorption isotherms. Journal of Food Processing Engineering, 16(1), 21-37.
Statistica 7.0 software. Statsoft, Tulsa, OK, USA.
Thakor, N.J., Sokhansanj, S., Sosulski, F.W., & Yannacopoulos, S. (1999). Mass and dimensional
changes of single canola kernels during drying. Journal of Food Processing Engineering,40, 153-160.
Uzman, D., Sahbaz, F. (2000). Drying kinetics of hydrated and gelatinized corn starches in te presence
of sucrose and sodium chloride. Journal of Food Science, 65, 115-122.
Zandavalli, R.B., Dillenburg, L.R., & de Souza, P.V.D. (2004). Growth response of Araucaria
angustifolia (Araucariaceae) to inoculation with the mycorrhizal fungus Glomus clarum. Applied Soil
Ecology, 24, 245-255.
102
7 CAPÍTULO VII Artigo 5: “Modeling water adsorption isotherms of pinhão
(Araucaria angustifolia seeds) flour and thermodynamic analysis of the
adsorption process”
Artigo submetido para publicação na revista Journal of Food Science.
Modeling water adsorption isotherms of pinhão (Araucaria angustifolia seeds) flour
and thermodynamic analysis of the adsorption process
Florencia Cladera-Olivera
1
, Ana Carolina Pettermann
2
; Caciano Pelayo Zapata Noreña
2
, Keiko Wada
1
,
Ligia Damasceno Ferreira Marczak
1
*
1
Department of Chemical Engineering, Federal University of Rio Grande do Sul (UFRGS), Rua Luis
Englert, s/n. Campus Central, 90040-000, Porto Alegre, RS, Brazil.
2
Institute of Food Science and Technology, Federal University of Rio Grande do Sul, (ICTA-UFRGS),
Av. Bento Gonçalves 9500, Campus do Vale, 91501-970 Porto Alegre, RS, Brazil.
*
Corresponding author: Tel.: +55 51 33083304; fax: +55 51 33083277. E-mail: ligia@enq.ufrgs.br
Abstract
Moisture adsorption isotherms of pinhão flour were determined at temperatures ranging from 10 to
40
o
C and water activity ranging from 0,11 to 0,98. Results show that the Chirife model most
appropriately represents the experimental data. The isosteric heat of sorption (differential enthalpy) was
calculated and decreased as moisture content increased, becoming almost constant at 0.3 kg water kg
-1
dry solids. The enthalpy-entropy compensation theory was applied to adsorption isotherms and the
isokinetic temperature for pinhão flour was calculated by plotting the differential enthalpy versus
differential entropy. It was found that the adsorption process investigated was enthalpy controlled.
Keywords: Pinhão, Araucaria angustifolia, flour, sorption isotherms, thermodynamic properties.
103
Introduction
Brazilian Pine (Araucaria angustifolia) belongs to the Araucariaceae family and is the most
economically important native conifer species in Brazil (Zandavalli, Dillenburg & de Souza, 2004). It
is found in both Argentina and Brazil, stretching from southern states of Paraná, Santa Catarina and Rio
Grande do Sul to northern Argentina. People in the South of Brazil usually consume the seeds of this
tree, known as pinhão after being cooked and peeled or they are used as raw flour for regional dishes.
Pinhão is considered a source of starch, dietary fiber, magnesium and copper and its intake produces a
low glycemic index (Cordenunsi, Menezes, Genovese, Dolli, Souza & Lajolo, 2004). Pinhão is a
seasonal product, which is produced from April to August. Since the seeds have a high moisture
content, they can be easily contaminated by mushrooms during the stockpiling, jeopardizing its
commercialization. Nutritional and technological aspects of pinhão are scarcely found in scientific
literature and there are no reports at all about moisture sorption models for pinhão flour.
The sorption isotherms describe the relationship between water activity (equilibrium relative
humidity) and the equilibrium moisture content of a given food at constant temperature; these represent
an extremely valuable tool for food scientists and technologists since it can be used to predict potential
changes in food stability, for storing method determination, packaging and ingredients selection, design
and optimization of drying equipment. Several mathematical equations can be found in literature
describing water sorption isotherms and nine of these equations are used in this work.
Thermodynamics is one of the approaches used in order to understand the properties of water
and calculate energy requirements associated with heat and mass transfer in biological systems. Some
thermodynamic functions employed in the analysis of sorption behavior in biological systems include
the total heat of sorption, differential enthalpy, differential entropy and enthalpy-entropy compensation,
which are calculated from sorption isotherms. The total heat of sorption (
H) is the total energy
required to transfer water molecules from vapor state into a solid surface or vice-versa. It is useful, for
example, in predictive drying models and in the design of drying equipment (Fasina, 2006). The
isosteric heat of sorption or differential enthalpy (
h) is the total heat of sorption minus the latent heat
of vaporization for water and is a measure of the water-solid binding strength (McMinn & Magee,
2003). This is a vital property, which is employed for both design work and qualitative understanding
of the water state on the food surface (Tolaba, Peltzer, Enriquez & Pollio, 2004). The differential
entropy (
s) of a material is proportional to the number of available sorption sites at a specific energy
104
level (Madamba, Driscoll & Buckle, 1996). Gibbs free energy (
G) may be indicative of the affinity of
sorbents for water and provides a criterion to whether water sorption occurs as a spontaneous process
or not (Telis, Gabas, Menegalli & Telis-Romero, 2000; Apostolopoulos & Gilbert, 1990). Enthalpy-
entropy compensation theory (or isokinetic theory) is used to evaluate physical and chemical
phenomena such as sorption reactions. The theory states, in order to minimize free energy changes due
to these phenomena, that: (i) the compensation (by changing
h or
s) arises from the nature of the
interaction between the solute and solvent causing the reaction and (ii) the relationship between the
enthalpy and entropy for a specific reaction is linear (Labuza, 1980; Madamba et al., 1996). Ferro-
Fontan, Chirife, Sancho & Iglesias (1982) suggested the existence of a linear relationship between
enthalpy and entropy for water sorption in some foods, which is confirmed by several other authors
(Madamba et al., 1996; Telis et al., 2000; McMinn & Magee, 2003; Fasina, 2006).
The present work aims to: (1) obtain adsorption isotherms of pinhão flour at selected
temperatures by using mathematical models described in literature, (2) determine some thermodynamic
functions (differential enthalpy and entropy) and (3) evaluate the application of the enthalpy-entropy
compensation theory. Since information on pinhão flour has never been placed in literature, the
proximate composition of this product was also determined.
Materials and methods
Experimental procedure
Materials
The chemicals were from Quimex (São Paulo, SP, Brazil), Labsynth (Diadema, SP, Brazil),
Nuclear (Diadema, SP, Brazil) and Vetec (Duque de Caxias, RJ, Brazil).
The Araucaria angustifolia seeds used in this study were purchased at a local market (Porto
Alegre, RS, Brazil). The seeds were cleaned with abundant water, dried at ambient conditions for 24-48
h, selected and stored at -20
o
C in polythene bags.
Flour production
Firstly the seeds of pinhão were defrozen at the ambient condition. Then, the seeds were peeled
manually with a knife, the internal coat was removed and the seeds were cut into 5 mm thick slices
105
approximately. After that, the slices were dried in a convective bin dryer (designed in the Institute of
Food Science and Technology of Federal University of Rio Grande do Sul, Porto Alegre, RS, Brazil) at
70°C for 10 h and finally milled to flour in a variable speed rotor mill (Pulverisette 14 - Fritsch, Idar-
Oberstein, Germany) to pass a Tyler Nº 35 mesh screen.
Proximate composition
Proximate composition (moisture, protein, fat, ash, crude fiber, starch), total acidity and pH of
the pinhão flour were determined. The total protein content was determined by the Kjeldahl method
according to the method 979.09 of AOAC (1990), using a Tecator digestor (Perstorp Analytical Co.,
Sweden). The conversion factor used was %N x 5.75. Ash was determined by incineration in a muffle
furnace (Temco, Iowa, USA) at 550
o
C (method 923.03 of AOAC, 1990). Crude fiber was determined
as ash after acidic and basic digestion according to the Method 962.09 of AOAC (1990). Lipids were
extracted in a Soxhlet extractor (Tecnal, Piracicaba, SP, Brazil) with petroleum ether (6 h) without acid
digestion and were determined gravimetrically. Starch was determined by direct acid hydrolysis and by
determining the amount of glucose in filtrate with Lane-Eynon volumetric method (Pearson, 1975).
Moisture content was calculated through the weight loss of a 10 g sample after heated in a conventional
oven at 105
o
C (Biomatic 303, Porto Alegre, RS, Brazil) until attaining constant weight. Water activity
(at 25
o
C) was determined in a water activity instrument (AquaLab 3TE-Decagon, Pullman, WA, USA).
For pH analysis, 10 g of the sample were mixed with 75 mL of water at 25
o
C and the pH was
measured after 1 h with a digital pH-meter (Quimis Q-400M, São Paulo, Brazil). Total acidity was
determined with 0.1 N sodium hydroxide titration, by using phenolphthalein as indicator, according to
the Method 942.15 (AOAC, 1990) and expressed as mL of NaOH 0.1 N g
-1
. Analyses were carried out
in triplicate and results were expressed as average value ± standard deviation in percentage and in wet
basis (wb).
Adsorption isotherms
Adsorption isotherms were determined through the employment of the static gravimetric
method recommended by the COST 90 Project (Speiss & Wolf, 1983) using 10 saturated salt solutions
(lithium chloride, potassium acetate, magnesium chloride, potassium carbonate, potassium nitrite,
sodium chloride, potassium chloride, barium chloride and copper sulfate) with relative humidities
ranging from 11% to 98% (Young, 1967). Samples of about 5 g of pinhão flour were placed in small
106
plastic cups and then stored inside sealed jars, having their respective solution for each different
relative humidity. The jars were placed in an air-circulating, thermally-insulated, temperature-
controlled equipment (BOD TE 381 Tecnal, Piracicaba, SP, Brazil) maintained at the specified
temperature within ± 0.3º C, until equilibrium had been reached (between 30 and 40 days). After the
first 15 days, samples were weighed every 4 days in order to verify if equilibrium had been reached in
analytical balance. With the purpose of preventing microbial spoilage of samples, crystalline tymol
was placed in the jars where high water activities occurred (aw > 0.7) (Wolf, Spiess & Jung, 1985).
After the equilibrium had been reached, moisture content was determined as described above.
Data analysis
Isotherm models
The experimental data for the adsorption isotherms obtained was fitted to nine moisture sorption
isotherm models presented in Table 1 using the non-linear regression module of Statistica 5.0 software
(Statsoft, Tulsa, OK, USA). Regressions were repeated with various initial estimated values both above
and below those that had been calculated to confirm whether or not convergence was reliable (Peleg,
1993). For BET model only values of aw < 0.5 were used.
107
Table 7.1: Sorption isotherm models used in this work.
Name of the equation Equation
BET (Brunauer et al.,
1938) CX
awC
CXXaw
aw
mm
.
).1(
.
1
).1(
+=
GAB (Guggenheim-
Anderson-de Boer) (Van
den Berg, 1985)
)...1().1(
...
awKCawKawK
awKCX
X
m
+×
=
Halsey (Halsey, 1948)
=
B
X
A
aw exp
Peleg (Peleg, 1993)
21
..
21
nn
awkawkX +=
Oswin (Lomauro et al.,
1985)
B
aw
aw
AX
=
1
.
Chung - Pfost (Chung &
Pfost, 1967)
).exp(.)ln( XBAaw
=
Henderson (Henderson,
1952)
).exp()1(
B
XAaw =
Chirife (Castillo et al.,
2003)
(
)
[
]
awCBAX lnln.exp +=
Smith (Smith, 1947)
))1log(.( awBAX
+
=
Abbreviations: X, equilibrium moisture content (kg water kg
-1
dry solids); aw, water activity;
X
m
, monolayer moisture content (kg water kg
-1
dry solids); A, B, C, K, k
1
, k
2
, n
1
, n
2
, k, are parameters of
the equations.
The goodness of fit of the different models was evaluated with the coefficient determination (r
2
)
and the mean relative deviation modulus (MRD). MRD has been widely adopted throughout the
literature to evaluate the accuracy of the fit of isotherm models and is defined by:
=
=
N
i
ei
piei
X
XX
N
MRD
1
100
(1)
where X
ei
and X
pi
are, respectively, the measured and predicted equilibrium moisture content (kg water
kg
-1
dry solids) and N is the number of data points. The lower the values of MRD the better fit of the
model and MRD values below 10% generally indicate an adequate fit for practical purposes (Lomauro,
Bakshi & Labuza, 1985).
Statistical differences between the isotherms were tested using Tukey´s Studentized range test
for variable temperature.
108
Calculation of the isosteric heat (differential enthalpy) of adsorption and the differential entropy
The differential enthalpy and entropy of sorption can be determined from moisture sorption data
by using the following equation (Fasina, Sokhansanj & Tyler, 1997; Fasina, Ajibola & Tyler, 1999):
( )
R
s
RT
h
aw
X
+
=ln
(2)
where aw represents the water activity,
h the differential enthalpy of sorption (J mol
-1
),
s
the
differential entropy (J mol
-1
K
-1
), R the universal gas constant (J mol
-1
K
-1
), X the equilibrium moisture
content (kg water kg
-1
dry solids) and T the absolute temperature (K).
The total heat of sorption
H (J mol
-1
) can be obtained from the following equation:
vap
HhH += (3)
where
H
vap
is the latent heat of vaporization of free water (J mol
-1
).
The differential enthalpy of sorption (
h) was calculated with basis on Eq. (2), where ln(aw) was
plotted versus 1/T for a certain moisture content thus determining the slope of the curve, which is equal
to
h/R; the differential entropy is obtained from the linear coefficient (
s/R) of the straight (McMinn
& Magee, 2003). The model that best describes the experimental sorption data for pinhão flour was
used to determine the aw value for each moisture content.
Enthalpy-entropy compensation theory (isokinetic theory)
Ferro-Fontan et al. (1982) suggested the existence of a linear relationship between enthalpy and
entropy for water sorption in some foods and this is confirmed by several other authors (Madamba et
al., 1996; Telis et al., 2000; McMinn & Magee, 2003; Fasina, 2006). The isokinetic temperature,
evaluated from the slope of the straight, represents the temperature at which all reactions in series
proceed at the same rate (Heyrovsky, 1970). The compensation theory proposes a linear relationship
between
h and
s (Leffler & Grunwald, 1963; Telis et al., 2000; McMinn, Al-Muhtaseb & Magge,
2005):
ββ
GsTh += . (4)
where T
β
(K) is the isokinetic temperature and
G
β
(J mol
-1
) is the free energy at T
β
and these values
were obtained by linear regression. From a thermodynamic viewpoint, the free energy change (
G) can
be used as an indicative of the sorbent affinity for water, hence providing a criterion as to whether
109
water sorption is a spontaneous (
G<0) or non-spontaneous (
G>0) process (Apostolopoulos &
Gilbert, 1990).
As proposed by Krug, Hunter & Grieger (1976a, 1976b) a statistical analysis test can be used to
corroborate the compensation theory, by comparing T
β
with the harmonic mean temperature, defined
as:
=
n
hm
T
n
T
1
)/1(
(5)
where n is the total number of isotherms used.
The compensation theory only applies if T
β
T
hm
. An approximate (1-α)100% confidence
interval for T
β
may be calculated from the following equation (Beristain, Garcia & Azuara, 1996; Telis
et al., 2000):
)(
2/,2
βαββ
TVartTT
m
±= (6)
where:
(
)
(
)
( )
=
2
ss
sshh
T
β
(7)
and
(
)
( )
=
2
2
).2(
.
)(
SSm
STGh
TVar
β
β
β
(8)
where m is the number of (
h,
s) data pairs, h the average enthalpy, s the average entropy and
β
G the average free energy.
Results and discussion
Proximate composition
To prepare 1 kg of pinhão flour, 2,8 kg of pinhão (with coats) were necessary since roughly 30% of
the seed weight is represented by its coats and its moisture content is very high (about 50% wb).
110
Moisture represents 5.83 ± 0.02 % (wb) of the pinhão flour and the water activity was 0.305 ± 0.030
(at 25°C). Starch is the main component with 63.9 ± 0.5 %. Other components included: protein, 5.29 ±
0.06%; crude fiber, 1.54 ± 0.28%; lipid 2.35 ± 0.05% and ash 2.52 ± 0.10%. These results show that
pinhão flour is a good source of complex carbohydrates, just like raw pinhão. The acidity was found to
be 3.02 ± 0.07 mL of 0.1N NaOH and pH was equal to 5.7 ± 0.1.
Adsorption isotherms
Figure 7.1 shows the experimental values of equilibrium moisture content of pinhão flour as a
function of water activity at different temperatures. The experimental data represent the mean of three
replications. The standard deviation for the equilibrium moisture content (kg water kg
-1
dry solids) of
each experimental point was within the range of 0.0003-0.008. As expected, the equilibrium moisture
content (EMC) decreased as the water activity (aw) decreased at constant temperature. The adsorption
isotherms of pinhão flour showed the typical sigmoid shape of Type II, according to the BET
classification. This is in agreement with the results obtained for semolina and farina (Erbas, Ertugay &
Certel, 2005), potato (McMinn & Magee, 2003; Kaymak-Ertekin & Gedik, 2004), starch powders (Al-
Muhtaseb, McMinn & Magee, 2004a) and for many other products. The main component of pinhão
flour is starch (63.9% db), which consists of both crystalline and amorphous regions. The starch
sorption isotherm is attributable to hydrogen-bonding of water molecules to the hydrogen-bonding of
water molecules to the available hydroxyl groups of the substrate, i.e. those in the amorphous regions
and on the surfaces of the crystallites (Urquhart, 1959). The crystalline regions typically exhibit
resistance to solvent penetration. Hence, water affect is very small and the mobility of the amorphous
regions is restricted. However, as the water activity increases, the sorbed moisture causes a subsequent
swelling of the biopolymer, the degree of crystallinity decreases, and there is an increase availability of
the polar groups to the water molecules and, finally, the swelled polysaccharide forms a solution (Al-
Muhtaseb, McMinn & Magee, 2004a).
111
0,00
0,10
0,20
0,30
0,40
0,50
0,60
0,70
0,00 0,20 0,40 0,60 0,80 1,00
Water activity (aw)
Equilibrium moisture content (kg water kg
-1
ds)
10 C
20 C
30 C
40 C
Chirife 10 C
Chirife 20 C
Chirife 30 C
Chirife 40 C
Figure 7.1: Experimental values of equilibrium moisture content (dry basis) as a function of
water activity for pinhão flour at different temperatures.
The analysis of Figure 7.1 also indicates that, in the range of the temperature used (between 10 and
40º C), the adsorption isotherms of pinhão flour were close to each other at different temperatures.
However, statistical differences between isotherms were tested using Tukey´s Studentized range test
and difference (p<0.05) was obtained between all temperatures except between 10 and 20°C. Since
pinhão flour is rich in starch and protein, these components affect the sorption data considerably,
because protein and starch are macromolecules rich in polar sites such as –OH and –H groups, which
behave as active (polar) sorptions centres (Erbas et al., 2005). For semolina, a product rich in both,
starch and protein, Erbas et al. (2005) found a significant effect of temperature (between 20 and 60°C)
on sorption behavior; however, Hebrard et al. (2003) reported that changes in temperature (between 25
and 45°C) seemed to have no effect on the isotherms of this product.
Table 7.2 shows the fitting constants of the selected models, the coefficient determination and the
mean relative deviation modulus (MRD). Chirife model best describes the experimental data
112
throughout the range of temperature studied, followed by the GAB model. The Chirife model gives
MRD values ranging from 0.99% to 6.44% (average value 3.34%). Other empirical models (Halsey and
Peleg) also give good fits with average MRD of 3.59 and 4.14 respectively (result not shown).
113
Table 7.2: Estimated values of coefficients and mean relative deviation modulus (MRD) obtained
for selected sorption models applied to experimental adsorption data for pinhão flour
Temperature
Average
Model Constant
10
o
C 20
o
C 30
o
C
40
o
C
Xm 0.0605 0.0604 0.0558 0.0525
C 201,34 38.19 63.93 25.05
r
2
0.9650
0.9722 0.9516 0.9632
BET(with
experimental
points at aw
< 0.5)
MRD (%)
3.45
3.43 3.13 4.68 3.67
X
m
0.0660 0.0604 0.0577 0.0517
C 241.3 70.5 89.8 40.2
K 0.8254 0.8768 0.8447 0.8978
r
2
0.9991
0.9961 0.9894 0.9962
GAB
MRD (%)
1.27
4.31 4.13 4.43
3.54
A 0.00710 0.00897 0.00884 0.00759
B 2.09503 1.96381 1.91400 1.93544
r
2
0.9997
0.9997 0.9933 0.9956
Halsey
MRD (%)
1.72
2.04 4.35 6.23
3.59
k
1
0.18502 0.18967 0.13876 0.14688
k
2
0.57541 0.57390 0.51348 0.40888
n
1
0.56177 0.65265 0.44702 0.58879
n
2
16.64885 15.25297 10.62800 9.97588
r
2
0.9970
0.9979 0.9997 0.9981
Peleg
MRD (%) 6.05 5.42 2.10 2.99 4.14
A 0.11013 0.10747 0.10089 0.09685
B 0.43398 0.45991 0.46894 0.45679
r
2
0.9931
0.9963 0.9895 0.9971
Oswin
MRD (%)
9.80
8.14 11.73 5.76
8.86
A 2.41682 2.25529 2.30348 2.41938
B 9.71330 9.33380 10.06193 11.23833
r
2
0.8898
0.9009 0.8963 0.9306
Chung-Pfost
MRD (%)
27.60
28.95 30.19 24.87 27.90
A -6.75778 -6.42535 -6.78527 -8.21692
B 0.93339 0.91137 0.91681 1.01031
r
2
0.9357
0.9504 0.9493 0.9655
Henderson
MRD (%) 29.69 28.71 29.10 23.11 27.65
A -2.34507 -2.40885 -2.51639 -2.57765
B -0.46009 -0.51916 -0.58317 -0.61225
C -0.00237 0.00156 0.01105 0.02152
r
2
0.9998 0.9998 0.9946 0.9988
Chirife
MRD (%) 0.99 2.18 6.44 3.77
3.34
A 0.02277 0.01549 0.01500 0.01746
B -0.29683 -0.31182 -0.29315 -0.26405
r
2
0.9431
0.9513 0.9512 0.9747
Smith
MRD (%)
19.78
19.73 20.96 14.07
18.64
Treatments of sorption data according to the BET and GAB equations (theoretical models) allow the
evaluation of monolayer moisture content values (X
m
) of foods. This is an important parameter in food
114
storage and deterioration. The values of monolayer moisture content of pinhão flour estimated with
BET and GAB models can also be observed in Table 7.2 and are in the acceptable range for food
products. Labuza (1984) indicated 10% (db) as the maximum monolayer moisture content for foods.
The monolayer values decreased as temperature increased calculated by both equations. Similar results
were found by several authors (McLaughlin & Magee, 1998; Cassini, Marczak & Noreña, 2006; Erbas
et al., 2005; Ayranci & Duman, 2005). The X
m
values obtained using BET and GAB models were
approximately equal to each other. It has been observed by several authors that the monolayer moisture
content by BET is lower than the GAB value (Timmermann, Chirife & Iglesias, 2001).
Isosteric heat of sorption (differential enthalpy) and differential entropy
The differential enthalpies of adsorption of pinhão flour were calculated by applying Eq. (2). The
Chirife model, which best describes the experimental adsorption data, has previously been used to
determine aw values for each equilibrium moisture content. Fig. 7.2 shows the results obtained, where
the differential enthalpy of adsorption was plotted against the equilibrium moisture content. The
analysis of this figure reveals that the differential enthalpy has a strong dependence on moisture content
at low equilibrium moisture contents, since the energy required for sorption increases at low
equilibrium moisture contents. Isosteric heats of sorption are high at low moisture contents (<0.15 kg
water kg
-1
ds), decrease sharply as the moisture content increases and become almost constant at 0.3 kg
water kg
-1
ds.
115
0
1000
2000
3000
4000
5000
6000
7000
8000
0 0,1 0,2 0,3 0,4 0,5 0,6 0,7
Moisture content (kg water kg
-1
ds)
Differential enthalpy (J mol
-1
)
Figure 7.2: Differential enthalpy of adsorption of pinhão flour as a function of equilibrium
moisture content.
The
s values for sorption at given moisture content were also calculated by linear regression using
Eq. (2). It was assumed that, at a specific moisture content,
h and
s did not vary with temperature
(Aguerre, Suarez & Viollaz, 1986). These results are shown in Fig.7.3, which presents the differential
entropy as a function of the moisture content. This figure indicates that the differential entropy also
displays a strong dependence on moisture content at low equilibrium moisture contents and increases
sharply at moisture content below 0.15 kg water kg
-1
ds.
116
-2
0
2
4
6
8
10
12
14
16
18
20
0 0,1 0,2 0,3 0,4 0,5 0,6 0,7
Moisture content (kg water kg
-1
ds)
Differential entropy (J mol
-1
K
-1
)
Figure 7.3: Differential entropy of adsorption of pinhão flour as a function of equilibrium
moisture content.
Enthalpy-entropy compensation theory
Figure 7.4 shows the differential enthalpy (
h) versus differential entropy (
s). As can be noted, a
linear relation between these variables was obtained (with a coefficient determination r
2
= 0.993),
indicating that compensation exists. The parameters T
β
and
β
G (Eq.4) were calculated from the data
by means of linear regression. The isokinetic temperature (T
β
) is the temperature at which all sorption
reactions will take place at the same rate. A value of 398 ± 18 K (within a 95% confidence interval) for
adsorption of pinhão flour was found. For adsorption isotherms of starch materials, McMinn et al
(2005) found values between 366.8 and 466.8 K. For quinoa grains, Tolaba et al. (2004) found a value
of 361.0 K, for garlic, Madamba et al. (1996) found a value of 348 ± 9 K, for oatmeal biscuit and oat
flakes, McMinn, McKee & Magee (2007) found values of 430.9 ± 1.88 and 443.4 ± 0.91, respectively.
Values between 458 and 475 K were obtained for adsorption and desorption of persimmon skin and
pulp (Telis et al., 2000). The harmonic mean temperature (Eq.5) was calculated and a value of 297.7 K
was found. This value is significantly different from T
β
, confirming the suitability of the isokinetic
theory.
117
y = 397,83x + 338,74
r
2
= 0,9932
-1000
0
1000
2000
3000
4000
5000
6000
7000
8000
9000
-1 0 1 2 3 4 5 6 7 8 9 10 11 12 13 14 15 16 17 18 19 20
Differential entropy (J mol
-1
K
-1
)
Differential entalpy (J mol
-1
)
Figure 7.4: Differential enthalpy as a function of differential entropy for pinhão flour.
According to Leffler (1955), if T
β
> T
hm
the process is enthalpy driven, while if T
β
< T
hm
the process
is entropy controlled. As the former condition is satisfied in this study, adsorption mechanism can be
considered to be enthalpy-driven. McMinn et al (2005), Aguerre et al. (1986) and Beristain et al. (1996)
also reported an enthalpy-controlled mechanism in the sorption of starch materials.
The value of
G obtained (339 J mol
-1
) suggests that adsorption process is non-spontaneous (
G >
0). For adsorption isotherms of starch materials McMinn et al (2005) found values between -1525 and
69 J mol
-1
, for oatmeal biscuit and oat flakes McMinn et al (2007) found values of 280 and 325 J mol
-1
,
respectively.
Conclusions
The seeds of Araucaria angustifolia, commonly known as pinhão, have high nutritious value and
are widely consumed in the south of Brazil. The literature about technological aspects of pinhão is very
scarce and partly motivated by this lack of information this work presents the adsorption isotherms of
pinhão flour. The results showed that temperature has little effect on the adsorption behavior. As
expected, the equilibrium moisture content decreased as water activity decreased at constant
temperature. Within the temperature range studied, 10 to 40
o
C, and water activity range of 0.11 to
0.98, the Chirife model was found to best represent the experimental data. The differential enthalpy of
118
adsorption was calculated and found to decrease as the moisture content increased; and it was also
found that this variable became almost constant as moisture content of 0.3 kg water kg
-1
ds was
approached; the differential entropy behaved similarly. Plots of differential enthalpy versus differential
entropy satisfied the enthalpy-entropy compensation theory (isokinetic theory). Results suggested that
adsorption processes in pinhão flour are enthalpy-controlled (isokinetic temperature > harmonic mean
temperature) and not spontaneous (
G > 0).
Acknowledgments
The authors gratefully acknowledge the financial support of “Conselho Nacional de
Desenvolvimento Científico e Tecnológico” (CNPq) and “Fundação de Apoio à Pesquisa do Rio
Grande do Sul” (FAPERGS) from Brazil.
References
Aguerre, R.J., Suarez, C., & Viollaz, P.E. (1986). Enthalpy-entropy compensation in sorption
phenomena: application to the prediction of the effect of temperature on food isotherms. Journal of
Food Science, 51 (6), 1547-1549.
AOAC (1990). Official Methods of Analysis (16th ed.). Association of Official Analytical Chemists.
Washington, DC.
Al-Muhtaseb, A.H.; McMinn, W.A.M., & Magee, T.R.A. (2004a). Water sorption isotherms of starch
powders Part 1: mathematical description of experimental data. Journal of Food Engineering, 61, 297-
307.
Al-Muhtaseb, A.H.; McMinn, W.A.M., & Magee, T.R.A. (2004a). Water sorption isotherms of starch
powders Part 2: thermodynamic characteristics. Journal of Food Engineering, 62, 135-142.
Apostolopoulos, D., & Gilbert, S. (1990). Water sorption of coffee solubles by frontal inverse gas
chromatography: Thermodynamic considerations. Journal of Food Science, 55, 475-477.
Ayranci, E., & Duman, O. (2005). Moisture sorption isotherms of cowpea (Vigna unguiculata L. Walp)
and its protein isolate at 10, 20 and 30ºC. Journal of Food Engineering, 70, 83-91.
Berinstain, C.I., Garcia, H.S., & Azuara, E. (1996). Enthalpy-entropy compensation in food vapor
adsorption. Journal of Food Engineering, 30, 405-415.
Brunauer, S., Emmett, P.H., & Teller, E. (1938). Adsorption of gases in multimolecular layer. Journal
of American Chemists Society, 60, 309-319.
119
Cassini, A.S., Marczak, L.D.F., & Noreña, C.P.Z. (2006). Water adsorption isotherms of texturized soy
protein. Journal of Food Engineering, 77, 194–199.
Castillo, M.D., Martínez, E. J., González, H.H.L., Pacin, A.M., & Resnik, S.L. (2003) Study of
mathematical models applied to sorption isotherms of Argentinean black bean varieties. Journal of
Food Engineering, 60, 343–348.
Chung, D.S., & Pfost, H.B. (1967). Adsorption and desorption of water vapor by cereal grains and their
products. Transactions of the American Society of Agricultural Engineers, 10, 549-551.
Cordenunsi, B.R., Menezes, E.W., Genovese, M.I., Dolli, C., Souza, A.G., & Lajolo, F.M. (2004).
Chemical composition and glycemic index of Brazilian pine (Araucaria angustifolia) seeds. Journal of
Agricultural and Food Chemistry, 52, 3412-3416.
Erbas, M., Ertugay, M.F., & Certel, M. (2005). Moisture adsorption behaviour of semolina and farina.
Journal of Food Engineering, 69, 191-198.
Fasina, O.O, Sokhansanj, S., & Tyler, R.T. (1997). Thermodynamics of moisture sorption in alfalfa
pellets. Drying Technology, 15, 1553-1570.
Fasina, O.O., Ajibola, O.O., & Tyler, R.T. (1999). Thermodynamics of moisture sorption in winged
bean seed and gari. Journal of Food Process Engineering, 22, 405-418.
Fasina, O.O. (2006) Thermodynamic properties of sweetpotato. Journal of Food Engineering, 75, 149-
155.
Ferro-Fontan, C., Chirife, J., Sancho, E., & Iglesias, H.A. (1982). Analysis of a model for water
sorption phenomena in foods. Journal of Food Science, 55, 475-477.
Halsey, G. (1948). Physical adsorption on non-uniform surfaces. Journal of Chemistry and Physics, 16,
931-937.
Henderson, S. M. (1952). A basic concept of equilibrium moisture. Agricultural Engineering, 33, 29-
32.
Hebrard, A., Oulahna, D., Galet, L., Cuq, B., Abecassis, J., & Fages, J. (2003). Hydration properties of
durum wheat semolina: Influence of particle size and temperature. Powder Tecnology, 130, 211-218.
Heyrovsky, J. (1970). Determination of isokinetic temperature. Nature, 227. 66-67.
Kaymak-Ertekin, F., & Gedik, A. (2004). Sorption isotherms and isosteric heat of sorption for grapes,
apricots, apples and potatoes. Lebensmittel-Wissenschaft & Technologie, 37, 429-438.
120
Krug, R.R., Hunter, W.G., & Grieger, R.A. (1976a). Enthalpy-entropy compensation 1. Some
fundamental statistical problems associated with the Vant´Hoff and Arrhenius data. Journal of Physical
Chemistry, 80 (21), 2335-2342.
Krug, R.R., Hunter, W.G., & Grieger, R.A. (1976b). Enthalpy-entropy compensation 2. Separation of
the chemical from the statistical effect. Journal of Physical Chemistry, 80 (21), 2335-2342.
Labuza, T.P. (1980) Enthalpy-entropy compensation in food reactions. Food Technology, 34, 67-77.
Labuza, T.P. (1984). Moisture sorption: Practical aspects of isotherm measurement and use. American
Association of Cereal Chemists, American, St. Paul, MN.
Leffler, J.E. (1955). The enthalpy-entropy relationship and its implications for organic chemistry,
Journal of Organic Chemistry, 20, 1202-1231.
Leffler, J.E., & Grunwald, E. (1963). Rates and equilibria of organic reactions. Wiley, New York.
Lomauro, C.J., Bakshi, A.S., & Labuza, T.P. (1985). Evaluation of food moisture sorption isotherm
equations. Part I: Fruit, vegetable and meat products. Lebensmittel-Wissenschaft & Technologie, 18,
111-117.
Madamba, P.S., Driscoll, R.H., & Buckle, K.A. (1996). Enthalpy-entropy compensation models for
sorption and browning of garlic. Journal of Food Engineering, 28, 109-119.
McLaughlin, C.P., & Magee, T.R.A. (1998). The determination of sorption isotherm and the isosteric
heats of sorption for potatoes. Journal of Food Engineering, 35, 267-280.
McMinn, W.A.M., & Magee, T.R.A. (2003). Thermodynamic properties of moisture sorption of potato.
Journal of Food Engineering, 60. 157-165.
McMinn, W.A.M., Al-Muhtaseb, A.H., & Magge, T.R.A. (2005). Enthalpy-entropy compensation in
sorption phenomena of starch materials. Food Research International, 35, 505-510.
McMinn, W.A.M, McKee, D.J., & Magee, R.A. (2007). Moisture adsorption behaviour of oatmeal
biscuit and oat flakes. Journal of Food Engineering, 79 (2), 481-493.
Pearson, D. (1975). Laboratory techniques in food analysis, London, UK: Butterworth & Co. Ltd.
Peleg, M. (1993). Assessment of a semi empirical four parameter general model for sigmoid moisture
sorption isotherms. Journal of Food Processing Engineering, 16(1), 21-37.
Smith, S.E. (1947). The sorption of water vapour by high polymers. Journal of the American Chemical
Society, 69, 646.
Speiss, W.E.L., & Wolf, W.F. (1983). The results of the COST 90 project on water activiti. In R. Jowitt
(Ed.), Physical properties of foods (pp. 65-91). Applied Science Publishers, London.
121
Telis, V.R.N., Gabas, A.L., Menegalli, F.C., & Telis-Romero, J. (2000). Water sorption
thermodynamic properties applied to persimmon skin and pulp. Thermochimica Acta, 343, 49-56.
Timmermann, E.O., Chirife, A., & Iglesias, H.A. (2001). Water sorption isotherms of foods and
foodstuffs: BET or GAB parmeters? Journal of Food Engineering, 48, 19-31.
Tolaba, M.P., Peltzer, M., Enriquez, N., & Pollio, M.L. (2004). Grain sorption equilibria of quinoa
grains. Journal of Food Engineering, 61, 365-371.
Tsami, E. (1991). Differential enthalpy of sorption in dried fruits. Journal of Food Engineering, 14,
327-335.
Urquhart, A.R. (1959). Sorption of water by cellulose and starch. In J. Honeymand (Ed.), Recent
advances in the chemistry of cellulose and starch. London: Heywood & Company.
Van den Berg, C. (1985). Development of B.E.T. like models for sorption of water of foods, therory
and relevance. In D. Simatos & J.L. Multon (Eds), Properties of water in foods (pp. 119-135), Martinus
Nijhoft, Dordrecht..
Wolf, W., Spiess, W.E.L., & Jung, G. (1985). Standardization of isotherms measurements (COST-
PROJECCT 90 and 90 bis). In D. Stimatos & J.L. Multon (Eds.), Properties of water in foods in
relation to quality and stability (pp. 661-679). Martinus Nijhoff Publishers, Dordrecht.
Young, J.F. (1967) Humidity control in the laboratory using salt solutions a review. Journal of
Applied Chemistry, 17, 241-245.
Zandavalli, R.B., Dillenburg, L.R., & de Souza, P.V.D. (2004). Growth response of Araucaria
angustifolia (Araucariaceae) to inoculation with the mycorrhizal fungus Glomus clarum. Applied Soil
Ecology, 24, 245-255.
122
8 CAPÍTULO VIII Artigo 6: “Produção de farinha de pinhão e aplicação no
desenvolvimento de pó para o preparo de suflê”
Artigo a ser submetido na revista Brazilian Journal of Food Technology.
Produção de farinha de pinhão e aplicação no desenvolvimento de mistura para
sulfê
Florencia Cladera-Olivera
1
, Priscila T. Rosa
2
, Ana Carolina Pettermann
2
, Keiko Wada
1
, Ligia D.F.
Marczak
1
, Caciano P.Z. Noreña
2
, Adriano Brandelli
2
1
Departamento de Engenharia Química, Universidade Federal do Rio Grande do Sul (UFRGS), Rua
Luis Englert, s/n. Campus Central, 90040-000, Porto Alegre, RS, Brasil.
2
Instituto de Ciência e Tecnologia de Alimentos, Universidade Federal do Rio Grande do Sul (ICTA-
UFRGS), Av. Bento Gonçalves 9500, Campus do Vale, 91501-970 Porto Alegre, RS, Brasil.
Resumo
O consumo do pinhão é usualmente realizado após cozimento, sendo que a comercialização de
produtos a base de pinhão é escassa e fica geralmente restrita a feiras regionais. O desenvolvimento de
novos produtos a base de pinhão pode consolidar a sua cadeia produtiva e fornecer uma renda extra aos
pequenos produtores. Este trabalho teve como objetivo a produção de farinha de pinhão variando as
seguintes condições de processo: utilização de pinhão cru e cozido e secagem de ambos em diferentes
temperaturas (55, 70 e 85°C). As farinhas produzidas com pinhão cozido apresentaram cor mais escura,
com uma luminosidade menor (L
média
= 75,8) e coordenada de cromaticidade maior (a
média
= 6,9),
quando comparadas com as farinhas de pinhão cru (L
média
= 89,0; a
média
= 2,1). A temperatura de
secagem também influenciou a cor das farinhas produzidas com pinhão cru. Através de análise
multivariada dos dados foi possível agrupar as amostras. Com as farinhas obtidas foi desenvolvida uma
mistura para o preparo de suflê de pinhão. A partir dos resultados da análise sensorial constatou-se que
o suflê produzido com a farinha de pinhão cozido apresentou maior aceitação, obtendo-se um produto
que une praticidade, inovação e apelo regional.
Palavras-chave: Pinhão, Araucaria angustifolia, farinha, suflê, desenvolvimento novos produtos.
123
Introdução
O pinhão (semente comestível da Araucaria angustifolia) possui excelentes características
nutritivas e energéticas. A sua distribuição geográfica inclui a Argentina e o Brasil, onde se concentra
nos estados de Paraná, Santa Catarina e Rio Grande do Sul (Zandavalli et al., 2004). O consumo do
pinhão é realizado após cozimento, sendo que a comercialização de produtos a base de pinhão é rara e
fica geralmente restrita a feiras regionais. A comercialização do pinhão não é apenas um incremento
para a renda familiar durante o inverno, mas também uma forma de sobrevivência para diversas
famílias do sul do Brasil (BRDE, 2005). No entanto, o pinhão é atualmente explorado com escassas
normas ecológicas e às vezes de forma depredatória. O desenvolvimento de novos produtos a base de
pinhão e conseqüente aumento das opções tecnológicas do aproveitamento da semente pode colaborar
na consolidação de sua cadeia produtiva. Isto é importante para o desenvolvimento regional e pode
constituir-se em elemento para a preservação da Araucária, ameaçada de extinção. Segundo Santos et.
al. (2002), para que o consumo e a produção de pinhão se desenvolva, estendendo este hábito alimentar
para outras regiões e países, faz-se necessário pesquisas sobre o desenvolvimento de técnicas de
conservação e industrialização disponibilizando-o nas demais estações do ano. Apesar de sua
importância regional como alimento e fonte de renda alternativa para muitas famílias de agricultores no
sul do país, esta atividade não tem merecido estudos de impacto ecológico, econômico ou social
(Silveira et al., 2007) e pouca atenção tem sido dada a pesquisas sobre os vários aspectos que envolvem
seu consumo (Santos et al., 2002). A literatura a respeito de aspectos tecnológicos deste produto é
praticamente nula.
As sementes podem ser consideradas como fonte de amido, fibra dietética, magnésio e cobre o
seu consumo apresenta um baixo índice glicêmico (Cordenunsi et al., 2004). O pinhão tem uma
umidade e uma atividade de água muito altas, facilitando o crescimento de fungos durante a estocagem,
dificultando a sua comercialização (Cladera-Olivera et al., 2008). pouco ou nenhum estudo sobre
armazenamento ou processamento do pinhão, consequentemente, este produto não é encontrado após a
safra (Kramer et al., 2001). Um dos processos empregados pela tecnologia de alimentos, com a
finalidade de obter produtos estáveis a partir de sementes, é a produção de farinhas. Esta seria também
uma forma de ampliar o consumo do pinhão, que o endosperma possui alta porcentagem de amido e
não é um produto disponível atualmente no mercado. A farinha possibilita também a produção de
diversos produtos à base de pinhão, como suflês, sopas, bolos, biscoitos, molhos, entre outros. Além
124
disso, a farinha de pinhão pelo fato de não conter as proteínas do glúten poderia ser utilizada para
desenvolver produtos para celíacos.
Por outro lado, atualmente existe uma preocupação das pessoas na busca por alimentos de fácil
preparo e saudáveis. Neste aspecto podem se enquadrar as misturas para o preparo de alimentos, que
segundo a Agência Nacional de Vigilância Sanitária (BRASIL, 2005) são produtos obtidos pela mistura
de ingredientes, destinados ao preparo de alimentos pelo consumidor com a adição de outro(s)
ingrediente(s). Podem requerer aquecimento ou cozimento.
Este trabalho teve como objetivos: (1) obter farinha de pinhão a partir de pinhão cru e cozido
desidratado em diferentes temperaturas de secagem; (2) utilizar a farinha para elaborar uma mistura em
pó para o preparo de suflê de pinhão.
Materiais e Métodos
Matéria prima
O pinhão utilizado (safra 2005) foi adquirido em mercado local (Porto Alegre, RS), lavado
abundantemente com água corrente para a retirada das sujeiras, seco a temperatura ambiente durante 24
horas, selecionado e embalado em sacos de polietileno, sendo conservado sob refrigeração (5 ± 2°C)
até o uso, por um período não superior a duas semanas.
Produção das farinhas
Para a produção de farinha de pinhão cozido, este foi previamente colocado em autoclave a
120°C durante 50 min. Após resfriamento foram descascados manualmente e cortados em semi rodelas
uniformes de aproximadamente 1 cm de diâmetro e 0,5 cm de espessura. No caso das sementes frescas
(cruas) foram descascadas tendo o cuidado de retirar a película interna (que cobre o endosperma) e
cortadas como no caso anterior.
Posteriormente, foi realizada a desidratação das rodelas de pinhão em secador de bandejas,
utilizando três temperaturas: 55, 70 e 85
o
C durante 10 horas. O produto seco foi moído em moinho de
martelos Pulverizette 14 (Fritsch, Idar-Oberstein, Alemanha) a 12000 rpm com tamanho de malha
Tyler Nº 35, obtendo-se assim as farinhas.
125
Análises físico-químicas
As análises realizadas nas farinhas foram: atividade de água, umidade, pH, quantidade
compostos fenólicos totais e análise de cor. A atividade de água foi medida diretamente em medidor de
atividade de água a 25°C (AquaLab 3TE-Decagon, Pullman, WA, USA). A umidade foi determinada
por perda de peso em estufa (Biomatic 303, Porto Alegre, RS, Brasil) a 105
o
C até peso constante. Para
a determinação do pH foi empregado 75 mL de água destilada recém fervida e resfriada a temperatura
ambiente e adicionados 10 g de amostra homogeneizando manualmente de 10 em 10 min durante 1 h e
medindo o pH utilizando um pH-metro digital (Quimis Q-400M, São Paulo, Brasil). A quantidade de
compostos fenólicos totais (CFT) foi determinada através de metodologia descrita por Brandelli &
Lopes (2005), utilizando catecol como padrão e expressando os resultados em mg de catecol
equivalente (CE) em 100g de amostra seca. Foi realizada previamente a extração dos compostos
fenólicos das farinhas utilizando como solvente uma mistura de etanol e água (50% v/v), razão
farinha/solvente de 1/10 e temperatura de extração de 50°C sob agitação durante 30 min, posterior
centrifugação (10.000g, 4°C, 15 min) e filtração (com papel filtro a pressão atmosférica). A análise de
cor foi realizada em colorímetro Minolta (Minolta Corporation, Osaka, Japão), determinando-se os
parâmetros a*, b* e L* do sistema CIELAB. Todas as análises foram realizadas em triplicata e os
resultados expressos como o valor médio ± desvio padrão.
Análise estatística
Os dados obtidos nas análises das farinhas foram tratados de duas formas. Primeiramente foi
utilizado o programa Statistica for windows para avaliar os resultados através de experimento fatorial
2x3, utilizando com variáveis o cozimento ou não do pinhão (níveis –1 e +1) e a temperatura de
secagem da farinha (níveis –1, 0 e +1).
Posteriormente foi realizada análise por componentes principais para reduzir a
dimensionalidade dos dados, utilizando o programa SAS for windows.
Desenvolvimento de mistura para suflê
Após provas preliminares foram desenvolvidas quatro formulações para o preparo de suflê de
pinhão conforme Tabela 8.1, utilizando como ingredientes farinha de pinhão cru ou cozido (desidratado
a 70°C), pinhão triturado semi desidratado, clara de ovo em pó, ovo em pó, maltodextrina, sal de
cozinha e glutamato monossódico como realçador de sabor. A presença de pinhão semi desidratado foi
126
testada para verificar se aumentaria a aceitabilidade do produto, considerando que poderia melhorar a
textura e o sabor do suflê.
Tabela 8.1: Ingredientes e quantidades expressas em % das quatro formulações testadas.
Formulação
Ingrediente A B C D
Farinha de Pinhão Cozido (%) 35,08 54,05 - -
Farinha de Pinhão Cru (%) - - 35,08 54,05
Pinhão Triturado semi-desidratado (%) 35,08 - 35,08 -
Clara de Ovo em pó (%) 14,03 21,62 14,03 21,62
Ovo em pó (%) 7,01 10,82 7,01 10,82
Maltodextrina (%) 5,85 9 5,85 9
Sal (%) 2,9 4,44 2,9 4,44
Glutamato Monossódico (%) 0,05 0,07 0,05 0,07
As quatro formulações foram avaliadas através de análise sensorial utilizando um painel de 26
provadores semi-treinados pertencentes ao quadro de estudantes, professores e funcionários do ICTA-
UFRGS, com idades entre 21 e 60 anos, de ambos os sexos. As amostras foram avaliadas pelos
julgadores em cabines individuais, sendo servidas as quatro amostras simultaneamente. Foi realizado
teste de aceitação, utilizando escala hedônica de 5 pontos, conforme Figura 8.1.
Os resultados obtidos na análise sensorial foram submetidos à análise de variância (ANOVA) e
comparação de médias pelo teste de Tukey utilizando o programa EXCEL 2000 (Microsoft
Corporation, USA).
127
Figura 1: Modelo de ficha para o teste de aceitação.
Figura 8.1: Modelo de ficha para a análise sensorial do suflê de pinhão.
Resultados e Discussão
Análises físico-químicas
Os resultados obtidos para o pinhão cru e cozido são apresentados na Tabela 8.2. Observa-se
que o pinhão possui uma umidade e atividade de água elevadas, conforme resultados obtidos também
por Cordenusi et al. (2005) e Cladera-Olivera et al. (2008). O cozimento do pinhão provocou uma
diminuição do seu pH, porém esta não foi significativa (p > 0,05). Quanto ao conteúdo de compostos
fenólicos totais, foram obtidos valores similares aos de Cordenusi et al. (2005). Estes autores obtiveram
um valor de 0,23 ± 0,01 mg CE/g bu (45,5 mg CE/100g bs) para o pinhão cru sem casca e sem película
interna. Para o pinhão cozido (com a película interna) obtiveram um valor de 0,54 ± 0,01 mg CE/g bu
(114,8 mg CE/100g bs). Conforme comentado por estes autores, nas condições normais de cozimento
ANÁLISE SENSORIAL – SUFLÊ DE PINHÃO
Nome:................................ Data: ......./......./.........
Você está recebendo quatro amostras codificadas de SUFLÊ DE
PINHÃO. Por favor, prove as amostras da esquerda para a direita
enumerando-as de 1 a 5 com relação à aceitação, conforme escala
apresentada.
Aceitação: grau de gostar ou desgostar da amostra.
Aceitação
1 - Péssima
2 - Ruim
3 - Indiferente
4 - Boa
5 - Excelente
503 497 812 365
Observações: ............................
...................................................
128
do pinhão (com a casca), existe uma migração de compostos fenólicos da casca para a semente. Este
incremento foi de aproximadamente 2,5 vezes, segundo os dados obtidos neste trabalho e por
Cordenusi et al. (2005). Para verificar o teor de CFT na casca do pinhão, análises foram realizadas,
obtendo-se um valor de 13 ± 0,6 mg CE/g bu. Para cascas de amendoim Yu et al. (2005) encontraram
valores de 90 a 125 mg/g bs (valores expressos como equivalentes de ácido gálico) e Nepote et al.
(2005) um valor de 0,118 g/g bs em condições ótimas de extração (valores expressos como
equivalentes de fenol); em amostras de plantas medicinais algerianas foram reportados por Djeridane et
al (2006) valores entre 3,13 e 32,32 mg/g bs (valores expressos como equivalentes de ácido gálico).
Para cascas de sementes de Tamarindus indica Siddhuraju (2007) obteve valores entre 23,85 e 32,96
g/100g bs (resultados expressos como equivalentes de piragol). Evidências epidemiológicas sugerem
que os compostos fenólicos têm um efeito de proteção contra doenças degenerativas. A maior parte das
características benéficas dos compostos fenólicos foi atribuídaa sua atividade antioxidante (Rice-Evans
et al, 1997).
Tabela 8.2: Análises físico-químicas do pinhão cru e cozido.
Análise Pinhão cru Pinhão cozido
Atividade de água (25°C) 0,984 ± 0,004
a
0,987 ± 0,003
a
Umidade (% bs) 87,60 ± 0,38
a
103,34 ± 0,43
b
pH
6,5 ± 0,4
a
4,8 ± 0,3
a
Acidez (mL NaOH 0,1N/g)
1,4 ± 0,1
a
3,5 ± 0,1
b
CFT (mg CE/100g bs)
48 ± 2
a
119 ± 3
b
CFT, Compostos Fenólicos Totais; CE, Catecol Equivalente
Médias seguidas da mesma letra na mesma linha não diferem significativamente
entre si pelo teste de Tukey (p < 0,05).
As farinhas foram analisadas para atividade de água, umidade, pH e CFT. Observou-se que
quanto maior a temperatura de secagem, menores a atividade de água e a umidade final das farinhas
(Tabela 8.3). Ao comparar as farinhas de pinhão cru e cozido, para uma mesma temperatura, observa-
se que as primeiras possuem uma umidade e atividade de água menor do que as segundas. Isto é
provavelmente devido à gelatinização do amido durante o cozimento do pinhão em autoclave, o que
provoca um aumento de incorporação de água na matriz. A variação de pH não parece apresentar
129
relação com a temperatura de secagem. As farinhas produzidas com pinhão cru apresentaram pH maior
ao das produzidas com pinhão cozido, conforme resultados obtidos para o pinhão cru e cozido. No
entanto, estas diferenças não foram significativas (p > 0,5). Em relação à quantidade de CFT as
farinhas produzidas com pinhão cozido contêm quantidade significativamente (p < 0,5) maior de CFT
do que aquelas produzidas com pinhão cru, em concordância com os resultados obtidos ao comparar
pinhão cru e cozido.
Tabela 8.3: Resultados das análises das farinhas produzidas com pinhão cru ou cozido e
desidratadas em diferentes temperaturas.
Farinha de pinhão cru Farinha de pinhão cozido
Amostra
Temperatura de desidratação Temperatura de desidratação
Análise 55°C 70°C 85°C 55°C 70°C 85°C
aw (25°C) 0,451± 0,009
a
0,128± 0,010
b
0,056 ± 0,003
c
0,606 ± 0,003
d
0,397 ± 0,007
e
0,276 ± 0,003
f
Umidade (% bs)
10,86 ± 0,01
a
5,36 ± 0,05
b
3,09 ± 0,01
c
13,04 ± 0,02
d
9,39 ± 0,06
e
7,16 ± 0,07
f
pH 6,5 ± 0,3
a
5,9 ± 0,1
a
6,0 ± 0,1
a
5,6 ± 0,3
a,
4,9 ± 0,2
a
4,7 ± 0,6
a
Acidez
2,2 ± 0,3
a
3,2 ± 0,2
a
2,8 ± 0,3
a
2, 7± 0,1
a
3,1± 0,2
a
2,6 ± 0,1
a
CFT (mg CE/ 100g ss)
38 ± 1
a
35 ± 1
a
35 ± 1
a
130 ± 3
b
142 ± 2
b
139 ± 2
b
aw, atividade de água; CFT, Compostos Fenólicos Totais; CE, Catecol Equivalente.
Médias seguidas da mesma letra na mesma linha não diferem significativamente pelo teste de Tukey (p
< 0,05).
Os resultados obtidos para as análises de cor das seis farinhas produzidas estão descritos na
Tabela 8.4. Comparando somente as farinhas produzidas com pinhão cru, ao aumentar a temperatura de
secagem do pinhão, diminui a luminosidade (L*) e aumentam as coordenadas de cromaticidade a* e
b*, indicando uma farinha menos branca (L = 89.0; a = 2.1; b = 12.3 em valores médios para a farinha
de pinhão cru e L = 75.8; a = 6.9; b = 15.4 em valores médios para a farinha de pinhão cozido). Ao
comparar as farinhas produzidas com pinhão cru e cozido nota-se uma significativa diminuição na
luminosidade para a farinha produzida com pinhão cozido e um acréscimo na coordenada a*, com
aumento da tonalidade vermelha.
130
Tabela 8.4: Resultados obtidos para a cor das farinhas produzidas com pinhão cru ou cozido e
desidratadas em diferentes temperaturas.
Farinha L* a* b*
Pinhão cru / 55°C 89,92 ± 0,15
a
2,06 ± 0,05
a
10,69 ± 0,20
a
Pinhão cru / 70°C 88,98 ± 0,01
b
2,07 ± 0,01
a
12,06 ± 0,03
b
Pinhão cru / 85°C 88,18 ± 0,01
c
2,21 ± 0,03
a
14,17 ± 0,07
c
Pinhão cozido / 55°C 74,89 ± 0,04
d
6,81 ± 0,01
b
14,21 ± 0,05
c
Pinhão cozido / 70°C 77,24 ± 0,08
e
6,41 ± 0,03
c
14,47 ± 0,11
c
Pinhão cozido / 85°C 75,14 ± 0,02
d
7,38 ± 0,05
d
17,36 ± 0,11
d
Médias seguidas da mesma letra na mesma coluna não diferem significativamente entre
si pelo teste de Tukey a 5% de probabilidade.
L* - Luminosidade (0 = preto, 100 = branco)
a* - Cromaticidade (-a = verde, +a = vermelho)
b* - Cromaticidade (-b = azul, +b = amarelo)
A diferença de cor entre elas foi perceptível até visualmente, sendo que as farinhas de pinhão
cru apresentam cor branca e as farinhas de pinhão cozido cor marrom clara. Estes dados estão em
concordância com os obtidos para o conteúdo de CFT, devido à migração de compostos fenólicos da
casca para a semente durante o cozimento do pinhão, conforme comentado acima. Além disso, a
diferença de cor pode ser devida também à reação de Maillard durante o cozimento em autoclave, pois
o pinhão contém proteínas e açúcares redutores. Segundo Cordenusi et al. (2005) o pinhão contém
2,25 % bu de glicose e 0,07 % bu de frutose.
Foi possível observar que as farinhas produzidas com pinhão cozido possuem odor e sabor
característico de pinhão, o que não acontece com as farinhas produzidas com pinhão cru. Este fato
evidencia a importância do cozimento no desenvolvimento do flavor do pinhão. Ao comparar os
parâmetros de qualidade das farinhas, conclui-se que em termos de cor a farinha de pinhão cru é mais
aceitável, porém em termos de flavor característico de pinhão a farinha de pinhão cozido é mais
adequada.
As variáveis significativas para cada resposta do experimento fatorial 2x3 podem ser
observados nas Figuras 8.2 (para as respostas das análises de cor e CFT) e 8.3 (para as respostas aw,
umidade, pH e acidez). Nas Figuras 8.4 e 8.5 são apresentadas as superfícies de contorno para estas
respostas.
131
13,27713
-15,9699
214,5059
p=,05
Standardized Ef f ect Estimate (Absolute Value)
(2)T sec(L)
T sec(Q)
(1)coz(L)
a
-11,4272
38,84329
43,60471
p=,05
Standardized Effect Estimate (Absolute Value)
T sec(Q)
(2)T sec(L)
(1)coz(L)
b
-14,0674
23,59898
-308,316
p=,05
Standardized Effect Estimate (Absolute Value)
(2)T sec(L)
T sec(Q)
(1)coz(L)
c
2,720965
3,268298
116, 1008
p=,05
Standardized Effect Estimate (Absolute Value)
(2)T sec(L)
T sec(Q)
(1)coz(L)
d
Figura 8.2: Gráficos de pareto mostrando as variáveis significativas no experimento fatorial
2x3 nas respostas: a) parâmetro de cor a*; b) parâmetro de cor b*; c) luminosidade L*; d)
Quantidade de Compostos Fenólicos Totais (CFT).
132
-21,5064
58,03984
-79,9006
p=,05
Standardized Effect Estimate (Absolute Value)
T sec(Q)
(1)coz(L)
(2)T sec(L)
a
-39,9042
133,1551
-235,294
p=,05
Standardized Effect Estimate (Absolute Value)
T sec(Q)
(1)coz(L)
(2)T sec(L)
b
-1,56736
-3,15373
-6,09326
p=,05
Standardized Effect Estimate (Absolute Value)
T sec(Q)
(2)T sec(L)
(1)coz(L)
c
,6464422
1,864926
5,223691
p=,05
Standardized Effect Estimate (Absolute Value)
(1)coz(L)
(2)T sec(L)
T sec(Q)
d
Figura 8.3: Gráficos de pareto mostrando as variáveis significativas no experimento fatorial
2x3 nas respostas: a) atividade de água; b) umidade em base seca; c) pH; d) acidez.
133
7
6
5
4
3
2
-1,2 -1,0 -0,8 -0,6 -0,4 -0,2 0,0 0,2 0,4 0,6 0,8 1,0 1,2
coz
-1,2
-1,0
-0,8
-0,6
-0,4
-0,2
0,0
0,2
0,4
0,6
0,8
1,0
1,2
T sec
a
18
17
16
15
14
13
12
11
-1,2 -1,0 -0,8 -0,6 -0,4 -0,2 0,0 0,2 0,4 0,6 0,8 1,0 1,2
coz
-1,2
-1,0
-0,8
-0,6
-0,4
-0,2
0,0
0,2
0,4
0,6
0,8
1,0
1,2
T sec
b
90
88
86
84
82
80
78
76
74
-1,2 -1,0 -0,8 -0,6 -0,4 -0,2 0,0 0,2 0,4 0,6 0,8 1,0 1,2
coz
-1,2
-1,0
-0,8
-0,6
-0,4
-0,2
0,0
0,2
0,4
0,6
0,8
1,0
1,2
T sec
c
140
120
100
80
60
40
-1,2 -1,0 -0,8 -0,6 -0,4 -0,2 0,0 0,2 0,4 0,6 0,8 1,0 1,2
coz
-1,2
-1,0
-0,8
-0,6
-0,4
-0,2
0,0
0,2
0,4
0,6
0,8
1,0
1,2
T sec
d
Figura 8.4: Superfícies de contorno para as respostas:
a) parâmetro de cor a*; b) parâmetro de cor b*; c) luminosidade L*; d) Quantidade de
Compostos Fenólicos Totais (CFT).
134
0,7
0,6
0,5
0,4
0,3
0,2
0,1
-1,2 -1,0 -0,8 -0,6 -0,4 -0,2 0,0 0,2 0,4 0,6 0,8 1,0 1,2
coz
-1,2
-1,0
-0,8
-0,6
-0,4
-0,2
0,0
0,2
0,4
0,6
0,8
1,0
1,2
T sec
Contorno aw
0,14
0,12
0,1
0,08
0,06
0,04
-1,2 -1,0 -0,8 -0,6 -0,4 -0,2 0,0 0,2 0,4 0,6 0,8 1,0 1,2
coz
-1,2
-1,0
-0,8
-0,6
-0,4
-0,2
0,0
0,2
0,4
0,6
0,8
1,0
1,2
T sec
Contorno umidade
6,8
6,4
6
5,6
5,2
4,8
-1,2 -1,0 -0,8 -0,6 -0,4 -0,2 0,0 0,2 0,4 0,6 0,8 1,0 1,2
coz
-1,2
-1,0
-0,8
-0,6
-0,4
-0,2
0,0
0,2
0,4
0,6
0,8
1,0
1,2
T sec
Contorno pH
3
2,8
2,6
2,4
2,2
-1,2 -1,0 -0,8 -0,6 -0,4 -0,2 0,0 0,2 0,4 0,6 0,8 1,0 1,2
coz
-1,2
-1,0
-0,8
-0,6
-0,4
-0,2
0,0
0,2
0,4
0,6
0,8
1,0
1,2
T sec
Contorno acidez
Figura 8.5: Superfícies de contorno para as respostas:
a) atividade de água; b) umidade em base seca; c) pH; d) acidez.
135
Com os dados obtidos nas análises das farinhas foi também realizada uma análise multivariada.
A Tabela 8.5 mostra a matriz de correlação obtida para as variáveis e a Figura 8.6 mostra a relação
entre as variáveis e o seu peso nas componentes principais. Pode ser observada a alta correlação entre a
atividade de água (aw) e a umidade em base seca (Ubs), entre a componente a* da cromaticidade e os
compostos fenólicos totais (CFT) e a correlação inversa entre estes últimos e a luminosidade (L*). A
correlação entre pH e acidez foi inversa (quanto maior a acidez menor o pH) mas deveria ter
apresentado uma correlação maior (Tabela 8.5). Isto pode ser devido a erros experimentais na sua
determinação.
Tabela 8.5: Matriz de correlação entre as variáveis na análise multivariada.
Variável
L*
a* b* CFT aw Ubs pH acidez
L*
1 - 0,9941
- 0,7704
- 0,9813
- 0,5381
- 0,4749
0,8599 - 0,0969
a*
1 0,7824 0,9891 0,5296 0,4692 - 0,8834
0,0577
b*
1 0,7306 - 0,0666
- 0,1471
- 0,8808
0,1439
CFT
1 0,5515 0,4944 - 0,8914
0,1065
aw
1 0,9943 - 0,1231
- 0,4010
Ubs
1 - 0,0646
- 0,3916
pH
1 - 0,3282
acidez
1
136
-0,8
-0,6
-0,4
-0,2
0
0,2
0,4
0,6
0,8
1
-1,5 -1 -0,5 0 0,5 1 1,5
PC 2 (28,85%)
PC 1 (60,94%)
L*
a*
b*
CFT
aw
Ubs
Acidez
pH
Figura 8.6: Análise por componentes principais dos resultados obtidos nas análises físico-
químicas das farinhas.
A Figura 8.7 mostra os dados obtidos para as amostras nas componentes principais. Pode ser
observado o agrupamento das farinhas de pinhão cru desidratado a 70 e 85°C (Cru70 e Cru85
respectivamente) e das farinhas de pinhão cozido desidratado a 70 e 85°C (Coz70 e Coz85,
respectivamente). Este agrupamento pode também ser observado na Figura 8.8. As farinhas
desidratadas na menor temperatura (55°C) foram separadas das demais pela componente principal 2
(PC 2), representadas principalmente pela umidade, aw e acidez. As farinhas de pinhão cru e cozido
foram separadas pela componente principal 1 (PC 1), representada principalmente pela luminosidade
L*, cromaticidade a* e os compostos fenólicos.
137
-2,0
-1,5
-1,0
-0,5
0,0
0,5
1,0
1,5
2,0
-1,5 -1,0 -0,5 0,0 0,5 1,0 1,5
PC 2 (28,85%)
PC 1 (60,94%)
Cru55
Cru 70
Cru 85
Coz 55
Coz 70
Coz 85
Figura 8.7: Análise multivariada das farinhas obtidas
(cru: farinha de pinhão cru. Coz: farinha de pinhão cozido) em cada temperatura de secagem
(55, 70 e 85°C).
138
D
i
s
t
a
n
c
e
B
e
t
w
e
e
n
C
l
u
s
t
e
r
C
e
n
t
r
o
i
d
s
0
25
50
75
100
125
f ari nha
cr u55C cr u70C cru85C coz55C coz70C coz85C
Figura 8.8: Cluster (agrupamento) das farinhas obtidas.
Desenvolvimento de pó para preparo de suflê sabor pinhão
A análise de variância (ANOVA) dos resultados obtidos no teste de aceitabilidade é mostrada
na Tabela 8.6, onde se observa que houve diferença significativa ao nível de 1% entre pelo menos duas
amostras. As médias obtidas das quatro formulações testadas e a comparação pelo teste de Tukey são
mostradas na Figura 8.9.
Distância entre os centróides dos
clusters
139
Tabela 8.6: ANOVA dos resultados obtidos na análise sensorial.
Fonte de Variação
GL
SQ SQM F
calc
F
tab (1%)
Amostras
3 46,644
15,548
39,39
4,09
Painelistas
25 9,663 0,387 0,98
2,06
Resíduo
75 29,606
0,395
Total
103
85,913
GL = Graus de Liberdade; SQ = Soma dos Quadrados; SQM = Soma dos Quadrados Médios; F
calc
=
valor de F calculado; F
tab
= valor de F tabelado (p<0,01).
2,77 c
3,69 b
4,04 a,b
4,62 a
0,0
1,0
2,0
3,0
4,0
5,0
A B C D
Formulação
Aceitabilidade
Figura 8.9: Médias obtidas na análise sensorial das diferentes formulações de suflê testadas.
Médias seguidas de letras iguais não diferem significativamente entre si no teste de Tukey
(p<0,01).
De acordo com os resultados obtidos a amostra A (suflê produzido com farinha de pinhão
cozido e com pinhão triturado) teve a maior pontuação, com diferenças significativas em relação às
demais, com exceção da amostra B (suflê produzido com farinha de pinhão cozido e sem pinhão
triturado). A formulação B foi a segunda melhor pontuação seguida da formulação C (suflê produzido
com farinha de pinhão cru com pinhão triturado), mas sem diferenças significativas entre elas. A que
apresentou a menor pontuação foi a formulação D (suflê produzido com farinha de pinhão cru e sem
140
pinhão triturado). Com isso é possível afirmar que suflê produzido com farinha de pinhão cozido
apresenta uma aceitação significativamente maior do que suflê produzido com farinha de pinhão cru. A
presença de pinhão triturado (semi-desidratado) tem influência positiva na aceitação do produto. No
entanto, para uma formulação comercial de para preparo de suflê de pinhão poderia se adotar a
formulação da amostra B (sem pinhão triturado semi-desidratado) para facilitar a produção,
estabilidade e comercialização do produto, que não apresentou diferença significativa com a amostra
A.
Conclusões
Neste trabalho foram avaliados parâmetros de processo para a produção de farinha de pinhão. A
temperatura de secagem influenciou na cor das farinhas produzidas com pinhão cru. As farinhas
produzidas com pinhão cru apresentaram cor mais branca (L
média
=89,0; a
média
=2,1; b
média
=12,3), mas
sem sabor e aroma característicos de pinhão quando estão na forma de suflê. As farinhas produzidas
com pinhão cozido apresentaram cor mais escura (L
média
=75,8; a
média
=6,9; b
média
=15,4) e flavor
característico de pinhão, podendo ser utilizada para a produção de produtos regionais. As farinhas
foram agrupadas através de análise por componentes principais. Foi desenvolvida uma mistura em
para o preparo de suflê de pinhão utilizando a farinha de pinhão cozido, unindo praticidade e inovação.
Agradecimentos
Os autores agradecem o apoio financeiro do CNPq e da FAPERGS na realização deste trabalho
e à Pesquisadora Martha Zavariz de Miranda da Embrapa Trigo (Passo Fundo, RS) pela colaboração
nas análises de cor.
Referências
BRASIL. Resolução RDC 273, de 22 de setembro de 2005. Regulamento técnico para misturas para
o preparo de alimentos e alimentos prontos para o consumo. Diário Oficial da União, Brasília, DF, 23
de setembro de 2005.
CLADERA-OLIVERA, F.; PETTERMANN, A.C.; NOREÑA, C.P.Z., WADA, K.; MARCZAK,
L.D.F. (2008). Thermodynamic properties of moisture desorption of raw pinhão (Araucaria
angustifolia seeds). International Journal of Food Science and Technology, 43, 900-907.
141
CORDENUNSI, B.R.; MENEZES, E.W.; GENOVESE, M.I.; DOLLI, C.; SOUZA, A.G. LAJOLO,
F.M. (2004). Chemical composition and glycemic index of Brazilian pine (Araucaria angustifolia)
seeds. Journal of Agricultural and Food Chemistry, 52, 3412-3416.
DJERIDANE, M.; YOUSFI, B.; NADJEMI, B.; BOUTASSOUNA, D.; STOCKER, P.; VIDAL, N.
(2006). Antioxidant activity of some Algerian medicinal plants extracts containing phenolic
compounds. Food Chemistry, 97, 654-660.
KRAMER, G.V.; JONG, E.V.; NOREÑA, C.P.Z. Estudo das operações preliminares ao processamento
e armazenamento do pinhão. In: XVI Salão de Iniciação Científica da UFRGS, Porto Alegre, 2004.
NEPOTE, V.; GROSSO, N.R.; GUZMÁN, C.A. (2005). Optimization of extraction of phenolic
antioxidants from peanut skins. Journal of the Science of Food and Agriculture, 85, p.33-38.
BELLO-PEREZ et al 2006
RIBEIRO, P.A.M. (2000). Os mais antigos caçadores-coletores do sul do Brasil. In: Tenório, M.C.
(Org.). Pré-história da Terra Brasilis. Editora UFRGS. 380p.
RICE-EVANS, C.; MILLER, N.; PAGANGA, G. (1997). Antioxidant properties of phenolic
compounds. Trends in Plant Science, 2, p.152-159.
SANTOS, A.J. dos; CORSO, N. M.; MARTINS, G.; BITTENCOURT, E. (2002). Aspectos produtivos
e comerciais do pinhão no Estado do Paraná, Floresta, 32 (2). p.163-169.
SCHMITZ, P.I. (2000). O Guarani: História e Pré-História. In: Tenório, M.C. (Org.). Pré-história da
Terra Brasilis. Editora UFRGS. 380p.
SILVA, N.; JUNQUEIRA, V. C. A.; SILVEIRA, N. F. A. Manual de métodos de análise
microbiológica de alimentos. Livraria Varela, SP. 295p. 1997.
SILVEIRA, C.F.B. da; RODRIGUES, G.G.; GUERRA, T. (2007). A coleta de pinhão na Floresta
Nacional de São Francisco de Paula, RS: Uso potencial sustentável, Brazilian Journal of Biosciences,
5, p.93-95.
Yu, J.; Ahmedna, M.; Goktepe, I. (2005) Effect of processing methods and extraction solvents on
concentration and antioxidant activity of peanut skin phenolics. Food Chemistry, 90, 199-206.
ZANDAVALLI, R.B.; DILLENBURG, L.R.; DE SOUZA, P.V.D. (2004). Growth response of
Araucaria angustifolia (Araucariaceae) to inoculation with the mycorrhizal fungus Glomus clarum.
Applied Soil Ecology, 24, 245-255.
142
9 CAPÍTULO IX Artigo 7: “Antioxidant activity of phenolic compounds
extracted from Araucaria angustifolia seed coat”
Artigo a ser submetido na revista Food Chemistry.
Antioxidant activity of phenolic compounds extracted from Araucaria angustifolia
seed coat
Florencia Cladera-Olivera
2
, Julio César Tesser
2
, Caciano Pelayo Zapata Noreña
2
, Ligia Damasceno
Ferreira Marczak
1
, Adriano Brandelli
2
*
1
Departamento de Engenharia Química, Universidade Federal do Rio Grande do Sul (UFRGS), Rua
Luis Englert, s/n. Campus Central, 90040-000, Porto Alegre, RS, Brazil.
2
Instituto de Ciência e Tecnologia de Alimentos, Universidade Federal do Rio Grande do Sul, (ICTA-
UFRGS), Av. Bento Gonçalves 9500, 91501-970 Porto Alegre, RS, Brazil.
*
Corresponding author: Tel.: +5551 3308 62849; fax: +5551 3308 7048; e-mail: abrand@ufrgs.br
Abstract
In this work a 2
3
factorial design with six star points and five replications at center point was performed
with the aim of maximizing the extraction of phenolic compounds of Araucaria angustifolia coats. The
extraction was first tested with different solvents (methanol, ethanol, isoamilic alcohol and water) and
ethanol was the selected solvent to test the effect of three variables (solvent volume, ethanol
concentration and extraction temperature) by Response Surface Methodology. Statistical analysis of
results showed that, in the range studied, the three variables have a significant effect on the extraction
of phenolic compounds, however the temperature has the minor effect. The high correlation of the
models exhibited that second-order polynomial model could be used to maximize extraction of
phenolic compounds from pinhão seeds. Better conditions for phenolic compounds concentration
(PCC) and antioxidant activity concentration (AAC) in the extract are using the minimum solvent
volume, ethanol concentration of 55% and 68
o
C; but in this condition the total phenolic compounds
extraction are the smallest. To maximize TPC extracted, it is necessary to use higher rate coat/solvent
(of about 1/12) and ethanol concentration of aprox 59%. Antioxidant activity has not been yet reported
for Araucaria angustifolia. Additional work is needed to identify and quantify phenolic compounds in
pinhão coat extracts.
Keywords: Phenolic compounds, extraction, Pinhão, Araucaria angustifolia, seed.
143
Introduction
Research to identify antioxidant compounds is an important issue, which has gaining increased
attention in food science. Although it remains unclear which of the compounds, of medical plants are
the active ones, polyphenols have recently received increasing interest because of some remarkable
new findings regarding their biological activities. From pharmacological and therapeutic view points,
the antioxidant properties of polyphenols, such as free radical scavenging and inhibition of lipid
peroxidation, are the most crucial (Djeridane, Yousfi, Nadjemi, Boutassouna, Stocker, & Vidal, 2006).
Phenolics in green tea, fruits and vegetables, grape seeds and grape skin have been recognized
as natural antioxidants and have been extensively studied by many investigators for their health
promoting effects, such as prevention of cancer and cardiovascular disease, and anti-inflammatory
activities (Yu, Ahmedna & Goktepe, 2005). Phenolic compounds with antioxidant activity have been
identified in several agricultural by-products, such as rice hulls, buckwheat hulls, almond hulls,
pistachio hulls, citrus industry by-products, peels and seeds of several fruits, by-products of the olive
industry among other (Balasundram, Sundram & Samman, 2006).
The extraction and purification of phytochemicals from natural sources is needed, since these
bioactive molecules are often used in the preparation of dietary supplements, nutraceuticals, functional
food ingredients, food additives, pharmaceutical an cosmetic products (Gao & Mazza, 1996). Recovery
of phenolic compounds is commonly performed through a solvent-extraction procedure. The aim of an
extraction process should be to provide the maximum yield of substances with the highest quality
(concentration of target compounds and antioxidant power of the extracts) (Spigno, Tramelli & De
Faveri, 2007). Many factors such as solvent type, solvent composition, solvent/sample ratio, pre-
treatment of the sample (degreasing and size reduction), extraction temperature, time and pressure may
significantly influence the extraction efficacy. Alcoholic solvents have been commonly employed to
extract phenolics from natural sources: they give quite high yield of total extract even though they are
not highly selective for phenols. Particularly, mixtures of alcohols and water have revealed to be more
efficient in extracting phenolic constituents than the corresponding mono-component solvent system
(Yilmaz & Toledo, 2006; Pinelo, Del Fabbro, Marzocco, Nunez & Vicoli, 2005).
Brazilian Pine (Araucaria angustifolia) belongs to the Araucariaceae family and is the most
economically important native conifer species in Brazil (Zandavalli, Dillenburg & de Souza, 2004). It
is found in both Argentina and Brazil, stretching from southern states of Paraná, Santa Catarina and Rio
Grande do Sul to northern Argentina. People in the South of Brazil usually consume the seeds of this
144
tree, known as pinhão after being cooked and peeled or they are used as raw flour for regional dishes
(Cordenunsi, Menezes, Genovese, Dolli, Souza & Lajolo, 2004). The pinhão seed coat is resistant and
usually discarded on the garbage and it takes so much time to being decomposed (Brasil, et al., 2006).
Literature about utilization of this waste is very scarce. Applications of the use of pinhão wastes as a
biosorbent for successful removal of Cr(VI) (Brasil, et al., 2006) and Cu(II) (Lima et al., 2007) from
aqueous samples were reported. However, phenolic compounds extraction from pinhão coat has not yet
been reported. Cordenusi et al. (2004) reported that seeds cooled in normal conditions (with the seed
coat) showed a total phenolics content five times higher than that of seeds cooked without the coat.
The purpose of this work was to determine the best conditions of extraction for antioxidant
compounds from pinhão coats at laboratory scale using solvent extraction. Factorial design and
response surface methodology were employed for maximize the extraction of phenolic compounds
using ethanol concentration, solvent volume and temperature as variables.
Materials and methods
Materials
Araucaria angustifolia seeds used in this study were purchased at a local market (Porto Alegre,
Brazil). The seeds were cleaned with abundant water, dried at ambient conditions for 24-48 h, selected
and stored at 5
o
C in polythene bags. The weight of each seed varied between 6 and 9g. The seed coats
corresponded to approximately 28% of the total weigh. Seed was separated from the coat manually
with a knife. Pinhão coats were grounded in a disk-mill and stored at –18°C in polythene bags until
use.
Determination of total phenolics
Total phenolics in extract were determined by the Folin-Ciocalteu method as described by
Brandelli & Lopes (2005), which is considered the best method for total phenolics (including tannins)
determination (Engelhardt, 2001). Catecol was used as the standard and results were expressed as mg
of catecol equivalent (mg CE) per mL of extract or per gram of fresh weight (FW).
Measurement of antioxidant activity
The antioxidant activity was determined using ABTS
•+
(2,2-azinobis-(3-ethylbenzothiazoline-6-
sulfonic acid)) radical cation as described by Re et al. (1998) with some modifications. ABTS was
145
dissolved in water to a 7 mM concentration. ABTS radical cation (ABTS
•+
) was produced by reacting
ABTS stock solution with 2.45 mM potassium persulfate (final concentration) and allowing the mixture
to stand in the dark at room temperature for 16 h before use. Stock solution was used for a maximum of
3 days. In the moment of use, the ABTS
•+
solution was diluted with ethanol, to an absorbance of 0.700
± 0.020 at 734 nm. Samples were diluted with ethanol to obtain between 20%–80% inhibition of the
blank absorbance. Ascorbic acid was used as standard (0 - 9 µg). After addition of 10 µL of sample (or
standards) in 2.0 mL of diluted ABTS
•+
solution, the absorbance reading was followed during 5 min.
All determinations were carried out at least three times. The percentage inhibition of absorbance at 734
nm is calculated and plotted as a function of concentration of antioxidants and ascorbic acid for the
standard reference data.
Selection of extraction conditions
The initial step of the preliminary experiment was to select an appropriate extraction medium.
Four different solvents (ethanol, methanol, isopropilic alcohol and water) were tested. The crude
phenolic extracts were prepared by extracting 5 g of samples with 50 mL of different solvents for 30
min at 50°C in batch water with agitation at 125 rpm (Cientec, São Paulo, Brazil). The extract was
centrifuged at 10,000g (15 min, 4°C) and filtered through filter paper. After selecting the solvent,
preliminary experiments were carried out to determine lower, middle and upper levels of the design
variables and the appropriate extraction time.
Experimental design
The response surface approach by using a set of experimental design (2
3
factorial design with
five coded levels) was performed. For the three factors, this design was made up of a full 2
3
factorial
design with its eight points augmented with five replications of the center points (all factors at level 0)
and the six star points, that is, points having for one factor an axial distance to the center of ±α,
whereas the other two factors are at level 0. The axial distance α was chosen to be 1.68 to make this
design orthogonal. A set of 19 experiments was carried out. The central values (zero level) chosen for
experimental design were: solvent volume, 50 mL, ethanol concentration, 50% (v/v) and extraction
temperature, 55
o
C (chosen through previous experiments). In developing the regression equation, the
test factors were coded according to the following equation:
146
(1)
were x
i
is the coded value of the ith independent variable, X
i
the natural value of the ith independent
variable, X
0
the natural value of the ith independent variable at the center point, and X
i
the step change
value (
X
i
is 12.5 for solvent volume, 17.9 for solvent composition, and 14.9 for extraction
temperature). For a three factors system, the model equation is:
where Y, predicted response, in natural value; b
o
, intercept; b
1
, b
2
, b
3
, linear coefficients; b
11
, b
22
, b
33
,
squared coefficients; b
12
, b
13
, b
23
, interaction coefficients.
Results were analyzed by the Experimental Design Module of the Statistica 7.0 software
(Statsoft, Tulsa, OK, USA). The model permitted evaluation of the effects of linear, quadratic and
interactive terms of the independent variables on the chosen dependent variables. Three-dimensional
surface plots were drawn to illustrate the main and interactive effects of the independent variables on
extraction of phenolic compounds and antioxidant activity. The optimum values of the selected
variables were obtained by solving the regression equation and also by analyzing the response surface
contour plots (Myers & Montgomery, 2002).
For each set of experiment, the crude phenolic extracts were prepared by extracting 5 g of
samples with corresponding volume of each solvent composition for 30 min at each temperature in
250-mL Erlenmeyer flask. The extract was centrifuged at 10,000g (15 min, 4°C) and filtered through
filter paper. Concentration of phenolic compounds and antioxidant activity were determined in the
extract and total volume was measured.
Results and discussion
Selection of appropriate extraction conditions
Four different solvents (ethanol, methanol, isopropilic alcohol and water) were tested using 5 g
of sample with 50 mL of solvent and extracting for 30 min at 50°C. Results are shown in Table 9.1. It
can be observed that the better solvent was the methanol followed by the ethanol, isopropilic alcohol
and water. Since the use of ethanol (a dietary alcohol) may be preferable than methanol in view of a
322331132112
2
333
2
222
2
1113322110
xxbxxbxxbxbxbxbxbxbxbbY +++++++++=
(2)
i
i
i
X
XX
x
=
0
147
potential food application of the extracts, ethanol was chosen for experimental design. For phenolic
compounds extraction from peanut skin Yu et al. (2005) found that ethanol and methanol were more
effective in extracting phenolic compounds than water, with 80% ethanol being the most efficient
extraction solvent. Nepote, Grosso, & Guzmán (2005) reported a maximum extraction of the same by
product using 70% ethanol.
Table 9.1: Phenolic compounds (PC) extraction with different solvents using 5 g of coats, 50mL of
solvent, temperature extraction of 30°C and time extraction of 30 min.
Solvent PC concentration (mg CE mL
-1
)
Total PC (mg CE g
-1
)
Water
1.25 ± 0.02
a
6.55 ± 0.08
a
Methanol
2.25 ± 0.02
b
10.91 ± 0.09
b
Ethanol
1.89 ± 0.02
c
8.70 ± 0.11
c
Isopropilic alcohol
1.31 ± 0.02
d
6.82 ± 0.08
d
CE = Catecol equivalent; different letters in the same column means significative differences by
Tukey test (P < 0.05).
Selection of appropriate conditions is crucial in the extraction of antioxidant compounds from
plant materials. The extraction conditions may not be generalized due to the diverse nature of natural
antioxidants exiting in different plant materials (Wettasinghe & Shahidi, 1999).
For the selection of an appropriate extraction time phenolic compounds were extracted from 5 g
coat samples by varying the time course of extraction using 50 mL of 50% aqueous ethanol while
keeping the temperature constant at 50
o
C. As no significant differences were observed using different
times of extraction (between 5 and 120 min), it was chosen a time of 30 min for experimental design as
prolonged extraction times increased cost process (results not shown).
Experimental design
The results of experimental design for studying the effects of three independent variables,
solvent volume, solvent composition (% ethanol) and extraction temperature on phenolic compounds
and antioxidant activity extraction are presented in Table 9.2.
148
Table 9.2. Experimental design and results of the 2
3
factorial design with six star points.
Run
Real variables Codified variables Responses
X
1
V (mL)
X
2
EC (%)
X
3
T (°C)
x
1
x
2
x
3
PCC
(mg CE mL
-1
)
TPC
(mg CE g
-1
)
AAC
(mg AAE mL
-1
)
1
37.5 32.1 40.1 -1 -1 -1 3.97 8.74 7.95
2
62.5 32.1 40.1 +1 -1 -1 2.89 18.22 6.54
3
37.5 67.9 40.1 -1 +1 -1 4.65 10.23 7.99
4
62.5 67.9 40.1 +1 +1 -1 2.97 20.49 6.03
5
37.5 32.1 69.9 -1 -1 +1 4.93 8.78 8.05
6
62.5 32.1 69.9 +1 -1 +1 3.01 18.09 5.80
7
37.5 67.9 69.9 -1 +1 +1 5.27 10.01 9.34
8
62.5 67.9 69.9 +1 +1 +1 3.34 20.70 6.72
9
29 50 55 -1.68 0 0 5.40 2.16 9.28
10
71 50 55 +1.68 0 0 3.09 15.43 6.61
11
50 20 55 0 -1.68
0 2.91 11.64 5.62
12
50 80 55 0 +1.68
0 3.70 14.81 7.24
13
50 50 30 0 0 -1.68 2.85 14.26 8.32
14
50 50 80 0 0 +1.68 4.26 17.88 9.02
15
50 50 55 0 0 0 4.08 17.14 7.64
16
50 50 55 0 0 0 4.34 16.05 7.64
17
50 50 55 0 0 0 4.04 17.76 7.66
18
50 50 55 0 0 0 4.34 16.49 7.85
19
50 50 55 0 0 0 4.15 17.45 8.65
PCC, phenolic compounds concentration; TPC, total phenolic compounds; AAC, antioxidant activity
concentration.
Statistical analysis of results showed that, in the range studied, the three variables have a
significant effect at 95% of confidence level (p<0.05) on phenolic compounds concentration (Fig.
9.1a). Linear effects of the three variables and quadratic effect of ethanol concentration and
temperature were significant (Fig. 9.1a). On antioxidant activity concentration less variables were
statistically significant: the linear effect of volume solvent and the quadratic and linear effect of ethanol
concentration (Fig.9.1b). For total phenolic compounds extraction the linear and quadratic effect of
solvent volume and ethanol concentration were significant (Fig. 9.1c).
149
-,235554
-1,51428
1,650239
-2,70326
-4,68583
5,227831
-6,96649
8,444164
-20,0106
p=,05
Standardized Effect Estimate (Absolute Value)
EC x T
V x EC
V (Q)
V x T
T (Q)
EC (L)
EC (Q)
T (L)
V (L)
-,487648
-,767973
-1,23932
1,618512
1,690451
2,198272
2,791855
-5,03912
-7,93425
p=,05
Standardized Effect Estimate (Absolute Value)
V(Q)
V x EC
V x T
T(L)
T(Q)
EC x T
EC(L)
EC(Q)
V(L)
,0447037
,1298147
,5371428
1,094236
2,310581
-4,77233
4,996829
-13,0508
23,99864
p=,05
Standardized Effect Estimate (Absolute Value)
EC x T
V x T
T (Q)
V x EC
T (L)
EC (Q)
EC (L)
V (Q)
V (L)
Figure 9.1. Pareto graph of standardized
estimated effects of the different variables tested in the
prospective experiment on:
a) phenolic compounds extraction, b) antioxidant
activity concentration and c) total compounds phenolic
extraction from pinhão coats. The variables tested
were solvent volume (V), ethanol concentration (EC)
and temperature (T) showing linear (L) and quadratic
(Q) effects.
The point at which the effect estimates were
statistically significant (at P = 0.05) is indicated by the
vertical solid line.
The results of the second-order response surface models (after disconsidering effects not
significant) were examined by analysis of variance (ANOVA) and Fischer’s F-test (Table 9.3). The
models adequacy was checked by F-test and by R
2
value. Fischer F-test for phenolic compounds
concentration, for antioxidant activity concentration and for total phenolic compounds extraction (F
calc
> F
t
) demonstrates significance for the regression models (Myers & Montgomery, 2002).
b a
c
150
Table 9.3. Analysis of variance (ANOVA) for the quadratic models for phenolic compounds
concentration (PCC) and antioxidant activity concentration (AAC) in the extract and for total phenolic
compound (TPC) extraction.
Results for PPC
Results for AAC Results for TPC
SV SS DF QM F
c
F
t
SS DF
QM F
c
F
t
SS DF
QM F
c
F
t
Regression
11.467
5 2.293
44.41
3.03
18.690
3 6.230
23.04
3.29
385.691
4 96.423
53.61
3.16
Residue
0.671
13 0.052
4.055 15
0.270
25.180 14
1.799
Pure error
0.081
4
0.020
0.31 3.63
0.757 4
0.189
0.63 3.36
1.9590 4
0.490
0.21
3.48
Lack of Fit
0.591
9
0.066
3.298 11
0.300
23.2208
10
2.322
Total
12.138
18
22.745
18
410.8712
18
SV, Source of Variation; SS, Sum of Squares; DF, Degree of Freedom; QM, Quadratic Mean; F
c
,
Fisher value calculated; F
t
, Fisher value tabulated (5% of significance).
Regressions obtained indicated the R
2
value of 0.9447 for phenolic compounds concentration,
0.8217 for antioxidant activity and 0.9387 for total phenolic compounds extraction. A value of R
2
>
0.75 indicates the aptness of the model. The models could explain 94.47 %, 82.17 and 93.87 of the
variability for each response. The significance of each coefficient was determined by Student´s t-test (P
< 0.05). The larger the magnitude of the t-value and smaller the P-value, the more significant is the
corresponding coefficient (Myers & Montgomery, 2002). The following regression equations were
obtained:
(3)
(4)
(5)
with Y
PCC
, phenolic compounds concentration in the extract (response in mg CE mL
-1
); Y
AAC
,
antioxidant activity concentration in the extract (response in mg AAE mL
-1
); Y
TPC
, total phenolic
compounds (response in mg CE g
-1
of FW coat); x
1
, solvent volume; x
2,
ethanol concentration; and x
3,
extraction temperature (coded values).
2
3
2
2321
38.055.065.040.054.124.4 xxxxxY
PCC
++=
2
221
22.166.087.102.8 xxxY
AAC
+=
2
2
2
121
84.198.489.109.999.16 xxxxY
TPC
++=
151
Response and contour surface curves were then plotted (Figures 9.2, 9.3 and 9.4).
5
4
3
2
1
25 30 35 40 45 50 55 60 65 70 75
V (mL)
20
30
40
50
60
70
80
90
T (°C)
5
4
3
2
1
25 30 35 40 45 50 55 60 65 70 75
V (mL)
10
20
30
40
50
60
70
80
90
EC (%)
4
3
2
1
Figure 9.2. Contour plots and response surface
obtained for phenolic compounds concentration
(PCC, mg CE mL
-1
) in the extract observed as a
response of:
a) solvent volume (V, mL) and temperature (T, °C) as
variables and ethanol concentration at level 0 (50%);
b) ethanol concentration (EC, %) and solvent volume
(V, mL) as variables and temperature at level 0 (55
o
C); c) temperature (T, °C) and ethanol concentration
(EC, %) and solvent volume at level 0 (50 mL).
b
a
c
152
9
8
7
6
5
4
3
25 30 35 40 45 50 55 60 65 70 75
V (mL)
10
20
30
40
50
60
70
80
90
EC (%)
Figure 9.3. Contour plots obtained for antioxidant activity concentration
(AAC, mg AAE mL
-1
) in the extract observed as a response of ethanol concentration (EC, %) and
solvent volume (V, mL) as variables and temperature at level 0 (55
o
C).
15
10
5
0
25 30 35 40 45 50 55 60 65 70 75
V (mL)
10
20
30
40
50
60
70
80
90
EC (%)
Figure 9.4. Contour plots obtained for total phenolic compounds
(TPC, mg CE g
-1
FW) extraction, observed as a response of ethanol concentration (EC, %) and
solvent volume (V, mL) as variables and temperature at level 0 (55
o
C).
153
Maximum phenolic compounds concentration (PCC) in the extract was achieved at ethanol
concentration between 45 and 70% and temperatures between 60 and 80
o
C when the volume solvent
was 50 mL
(Fig 9.2c). Spigno, Tramelli, and Faveri (2007) reported that addition of water on ethanol
improved extraction rate, although high water content brought an increased co-extraction of other
compounds, and, then to lower phenols concentrations in the extracts. In terms of solvent volume, the
best results for phenolic compounds concentration and antioxidant activity in the extract were obtained
at smaller values (Fig 9.2a, 9.2b and 9.3). However in these conditions, the extraction of total phenolic
compounds is smaller (Fig 9.4). This is expected as with lower solvent volumes higher concentration is
obtained but the total volume obtained is lower, giving lower values of total compounds extraction per
gram of coat sample.
Conditions for maximize PCC in the extract can be obtained derivating equation 3, obtaining
coded values and then real values through equation 1 for each variable.
Results can be observed in Table 9.4. For x
1
it was considered the value –1.68 as it was the
minimum value used in this study. Values for PCC maximum and for AAC and TPC were then
determined using equations 3, 4 and 5, respectively. However, in these conditions (case 1), Y
TPC
calculated by eq. 5 was negative. Other values were tested for x
1
, and calculating values for each
response (Table 9.4). Maximum values for Y
PCC
can be obtained using a solvent volume of 36 mL
aprox, obtaining a value for Y
PPC
of 6.3 mg CE mL
-1
, Y
AAC
of 10.1 mg AAE mL
-1
and Y
TPC
of about 1.4
mg CE g
-1
.
5383.1
1
=
x
Y
PCC
2
2
1096.14019.0 x
x
Y
PCC
=
3
3
7584.06491.0 x
x
Y
PCC
=
0
2
2
2
<
x
Y
PCC
0
2
3
2
<
x
Y
PCC
154
Table 9.4 Values for maximize PCC in the extract
Case
x
1
X
1
(mL)
x
2
X
2
(%)
x
3
X
3
(°C)
Y
PPC
(mg CE mL
-1
)
Y
AAC
(mg AAE mL
-1
)
Y
TPC
(mg CE g
-1
)
1 -1.68
29.0
0.3622
56.5
0.8559
67.8
7.18
11.23 0*
2 -1.50
31.3
0.3622
56.5
0.8559
67.8
6.90
10.90 0*
3 -1.20
35.0
0.3622
56.5
0.8559
67.8
6.44
10.34 0*
4 -1.15
35.6
0.3622
56.5
0.8559
67.8
6.36
10.24 0.39
5 -1.10
36.3
0.3622
56.5
0.8559
67.8
6.28
10.15 1.41
6 -1.00
37.5
0.3622
56.5
0.8559
67.8
6.13
9.96 3.36
7 0.00
50.0
0.3622
56.5
0.8559
67.8
4.59
8.09 17.44
* negative values calculated by the model
Conditions for maximize AAC in the extract can be obtained derivating equation 4.
Results can be observed in Table 9.5. For x
1
it was considered the value –1.68, as it was the
minimum value used in this study. As x3 is not significative for AAC, it was used the value to
maximize PCC. Values for AAC maximum and for PCC and TPC were then determined using
equations 4, 3 and 5, respectively. However, in these conditions (case 1), Y
TPC
calculated by eq. 5 was
negative. Other values were tested for x
1
, and calculating values for each response (Table 9.5).
Maximum values for Y
AAC
can be obtained using a solvent volume of 36 mL aprox, obtaining a value
for Y
AAC
of 10.2 mg AAE mL
-1
, Y
PPC
of 6.3 mg CE mL
-1
, and Y
TPC
of about 0.9 mg CE g
-1
.
8689.1
1
=
x
Y
AAC
2
2
4494.26576.0 x
x
Y
AAC
=
0
3
=
x
Y
AAC
0
2
2
2
<
x
Y
AAC
155
Table 9.5 Values for maximize AAC in the extract
Case
x
1
X
1
(mL)
x
2
X
2
(%)
x
3
X
3
(°C)
Y
PPC
(mg CE mL
-1
)
Y
AAC
(mg AAE mL
-
1
)
Y
TPC
(mg CE g
-1
)
1
-1.68
29.0
0.2685
54.8
0.8559
67.8
7.17
11.25
0*
2
-1.50
31.3
0.2685
54.8
0.8559
67.8
6.89
10.91
0*
3
-1.20
35.0
0.2685
54.8
0.8559
67.8
6.43
10.35
0*
4
-1.12
36.0
0.2685
54.8
0.8559
67.8
6.31
10.20
0.94
5
-1.10
36.3
0.2685
54.8
0.8559
67.8
6.28
10.16
1.34
6
-1.00
37.5
0.2685
54.8
0.8559
67.8
6.12
9.97
3.30
7
0.00
50.0
0.2685
54.8
0.8559
67.8
4.59
8.11
17.37
* negative values calculated by the model
Conditions for maximize TPC extracted can be obtained derivating equation 5.
Results can be observed in Table 9.6. As x
3
is not significative for TPC, it was used the value to
maximize PCC. Values for TPC maximum and for PCC and AAC were then determined using
equations 5, 3 and 4, respectively. Maximum value for Y
TPC
can be obtained using a solvent volume of
61.4 mL, ethanol concentration of 59.2 % obtaining a value for Y
TPC
of 21.6 mg CE g
-1
. This value is
smaller than TPC extracted from peanut skin 90-125 mg g
-1
(dry basis) reported by Yu, Ahmedna &
Goktepe (2005). These authors reported values for antioxidant activity ranging from 3.39 to 4.10
Trolox Equivalent Antioxidant Capacity (TEAC), and comment that skin extracts had chemically
higher antioxidant potential than green tea infusions. Nepote, Grosso, & Guzmán (2005) reported a
maximum extraction of 118 mg g
-1
for the same by product. Pistachio hulls may contain up to 34 mg
tannic acid equivalents phenolics g
-1
dry weight (Goli, Barzegar, & Sahari, 2005). Apple peels were
found to contain up to 33 mg g
-1
dry weight of phenolics (Wolfe & Liu, 2003). Toor & Savage (2005)
reported that the total phenolic content of skin and seeds of tomatoes were, respectively, 29.1 and 22.0
1
1
963.90933.9 x
x
Y
TPC
=
2
2
6808.38933.1 x
x
Y
TPC
=
0
3
=
x
Y
TPC
0
2
2
2
<
x
Y
TPC
0
2
1
2
<
x
Y
TPC
156
mg gallic acid equivalents in 100g. For Algerian medicinal plants extracts Djeridane et al. (2006)
reported values from 3.13 to 32.32 mg g
-1
dry weight (expressed as gallic acid equivalents) and
antioxidant activities between 9.40 and 33.06 mM Trolox equivalents.
Table 9.6 Values for maximize TPC in the extract
Case
x
1
X
1
(mL)
x
2
X
2
(%)
x
3
X
3
(°C)
Y
PPC
(mg CE mL
-1
)
Y
AAC
(mg AAE mL
-1
)
Y
TPC
(mg CE g
-1
)
1 0.9127
61.4
0.5144
59.2
0.8559
67.8
3.17 6.33
21.63
Conclusions
This work was developed to study the best conditions of extraction for antioxidant compounds
from pinhão coats at laboratory scale using solvent extraction. Factorial design and response surface
methodology were employed to maximize phenolic compounds using volume of solvent, ethanol
concentration, and temperature extraction as variables. Analysis of results show that the three variables
have a significant effect on phenolic compound extraction but temperature has the minor effect.
Maximum PCC and AAC in the extract can be obtained using the minimum solvent volume (a rate
coat/solvent of about 1/5), ethanol concentration aprox 55% and temperature about 68
o
C; but in this
condition the TPC extraction are the smallest. Maximum values for PCC and AAC were aprox 6.3 mg
CE mL
-1
and 10.2 mg AAE mL
-1
. To maximize TPC extracted, it is necessary to use higher rate
coat/solvent (of about 1/12) and ethanol concentration of aprox 59%, obtaining a value for Y
TPC
of 21.6
mg CE g
-1
. Additional work is needed to identify and quantify phenolic compounds in pinhão coat
extracts, to test their antioxidant activity in biological systems, and to test the contribution of each
individual compound to the total antioxidant activity.
Acknowledgments
The authors gratefully acknowledge the financial support of “Conselho Nacional de
Desenvolvimento Científico e Tecnológico” (CNPq) and “Fundação de Apoio à Pesquisa do Rio
Grande do Sul” (FAPERGS) from Brazil.
157
References
AOAC (1990). Official Methods of Analysis (16th ed.). Association of Official Analytical Chemists.
Washington, DC.
Balasundram, N., Sundram, K., Samman, S. (2006). Phenolic compounds in plants and agri-industrial
by-products: Antioxidant activity, occurrence, and potential uses. Food Chemistry, 99, 191-203.
Box, G.E.P., & Wilson, K.B. (1951). On the experimental attainment of optimum conditions. Journal
of the Royal Statistical Society, 13, 1-45.
Brandelli, A., Lopes, C.H.G. (2005). Polyphenoloxidase activity, browning potential and phenolic
content of peaches during postharvest ripening. Journal of Food Biochemistry, v. 29, 624-637.
Cacace, J.E., & Mazza, G. (2003). Optimization of extraction of anthocyanins from black currants with
aqueous ethanol. Journal of Food Engineering, 59, 379-389.
Cordenunsi, B.R., Menezes, E.W., Genovese, M.I., Dolli, C., Souza, A.G., & Lajolo, F.M. (2004).
Chemical composition and glycemic index of Brazilian pine (Araucaria angustifolia) seeds. Journal of
Agricultural and Food Chemistry, 52, 3412-3416.
Djeridane, A., Yousfi, M., Nadjemi, B., Boutassouna, D., Stocker, P., & Vidal, N. (2006). Antioxidant
activitiy of some Algerian medicinal plants extracts containinig phenolic compounds. Food Chemistry,
97, 654-660.
Gao, L., Mazza, G. (1996). Extraction of anthocyanin pigments from purple sunflower hulls. Journal of
Food Science, 61, 600-603.
Goli, A.H., Barzegar, M., & Sahari, M.A. (2005). Antioxidant activity and total phenolic compounds of
pistachio (Pistachia vera) hull extracts. Food Chemistry, 92, 521-525.
Lima, E.C., Royer, B., Vaghetti, J.C.P., Brasil, J.L., Simon, N.M., Dos Santos, A.A.Jr., Pavan, F.A.,
Dias, S.L.P., Benvenutti, E.V., & Da Silva, E.A. (2007). Adsorption of Cu(II) on Araucaria
angustifolia wastes: Determination of the optimal conditions by statistic design of experiments. Journal
of Hazardous Materials, 140, 211-220.
Liyana-Pathirana, C., & Shahidi, F. (2005). Optimization of extraction of phenolic compounds from
wheat using response surface methodology. Food Chemistry, 93, 47-56.
Myers, R.H., & Montgomery, R.C. Response Surface Methodology: Process and product optimization
using designed experiments. Wiley, New York, 2002.
Pinelo, M., Del Fabbro, P., Marzocco, L., Nunez, M.J., Vicoli, M.C. (2005). Optimization of
continuous phenol extraction from Vitis vinifera byproducts. Food Chemistry, 92, 109-117.
158
Re, R., Pellegrini, N., Proteggente, A., Panala, A., Yang, M. Rice-Evans, C. (1998). Antioxidant
activity applying an improved ABTS radical cation decolorization assay. Free Radical Biology &
Medicine, 26, 1231-1237.
Spigno, G., Tramelli, L., & Faveri, D.M. (2007). Effects of extraction time, temperature and solvent on
concentration and antioxidant activity of grape marc phenolics. Journal of Food Engineering, 81, 200-
208.
Wettasinghe, M., & Shahidi, F. (1999). Evening primrose meal: A source of natural antioxidants and
scavenger of hydrogen peroxide and oxygen-derived free radicals. Journal of Agricultural and Food
Chemistry, 47, 1801-1812.
Yu, J., Ahmedna, M., & Goktepe, I. (2005). Effects of processing methods and extraction solvents on
concentration and antioxidant activitiy of peanut skin phenolics. Food Chemistry, 90, 199-206.
Yilmaz, Y., Toledo, R.T. (2006). Oxygen radical absrobance capacities of grape/wine industry
byproducts and effect of solvent type on extraction of grape seed polyphenos. Journal of Food
Composition and Analysis, 19, 41-44.
Wettasinghe, M., & Shahidi, F. (1999). Antioxidant and free radical-scavenging poperties of ethanolic
extracts of deffated borage (Borago officinalis L.) seeds. Food Chemistry, 67, 399-414.
Wolfe, K.L., & Liu, R.H. (2003). Apple peels as a value-added food ingredient. Journal of Agricultural
and Food Chemistry, 51, 1676-1683.
159
10 CAPÍTULO X – RESULTADOS COMPLEMENTARES
Neste capítulo serão apresentados resultados que não foram incluídos nos artigos ou
comparações não realizadas anteriormente entre resultados apresentados. Primeiramente, serão
comparados os resultados das análises físico-químicas do pinhão cru e cozido e da farinha de pinhão
cru. Posteriormente serão apresentados dados de isotermas do pinhão cru e cozido em baixos valores de
atividade de água e curvas de secagem do pinhão inteiro com casca.
10.1 ANÁLISES FISICO-QUÍMICAS
Foram realizadas as análises fisico-químicas do pinhão cru da safra 2004, do pinhão cozido da
safra 2005 e da farinha de pinhão produzido com pinhão cru da safra 2005 (obtida ao desidratar em ar
quente a 70
o
C). Os resultados foram mostrados nos artigos 2, 3 e 5 e serão comparados nesta seção
(Tabela 10.1). Os resultados indicam que para pinhão cru e cozido os teores de proteínas, gorduras,
cinzas e amido não foram expressivamente diferentes aos valores reportados por Cordenunsi et al.
(2004) (mostrados na Tabela 1.1 do Capítulo I). Pequenas diferenças podem ser devidas à composição
química dos materiais biológicos que dependem da safra, da região de coleta do pinhão ou da
amostragem realizada.
Tabela 10.1: Análises físico-químicas do pinhão cru, cozido e da farinha de pinhão (% base seca).
Análise Pinhão cru
(zafra 2004)
Pinhão cozido
(zafra 2005)
Farinha de
pinhão
(zafra 2005)
Umidade (% bs)
87,6 ± 0,4 103,34 ± 0,43
5,83 ± 0,02
Atividade de água a 25° C
0,984 ± 0,004 0,987 ± 0,001
0,305 ± 0,03
Proteína (% bs)
5,57 ± 0,09 5,57 ± 0,11
5,62 ±0,07
Lipídios (% bs)
2,33 ± 0,17 2,05 ± 0,06
2,35 ± 0,05
Resíduo mineral fixo (% bs)
2,16 ± 0,09 2,66 ± 0,09
2,52 ± 0,1
Amido (% bs)
66,6 ± 0,4 67,9 ± 0.6
63,9 ± 0,5
Fibra bruta (% bs)
2,8 ± 0.3 3,3 ± 0.4 1,6 ± 0.3
Acidez (mL de NaOH 0,1N /g bs)
2,70 ± 0,15 6,38 ± 0,25
3,02 ± 0,07
pH
6,5 ± 0,4 4,8 ± 0,3
5,7 ± 0,1
Como comentado anteriormente, os altos valores de atividade de água e umidade encontrados
fazem com que o pinhão seja um produto muito suscetível às reações de deterioração. A alta umidade e
160
atividade de água do pinhão são reduzidas drasticamente no processo de produção da farinha, obtendo-
se assim um produto menos perecível. Demais compostos não são alterados significativamente, com
exceção da fibra bruta que diminui levemente. Porém, no pH e acidez são observadas diferenças entre o
pinhão cru e cozido.
10.2 DADOS DE ISOTERMAS DO PINHÃO CRU E COZIDO A BAIXAS AW
Nos Capítulos II e III foram descritas as isotermas de dessorção do pinhão cru e cozido, obtidas
através da medida direta da atividade de água (com medidor de aw) e pelo método descrito por Ajibola
et al. (2003). Com esse método não foi possível estudar a faixa de baixas atividades de água, pois
foram obtidos valores de aw > 0,4. Para obter valores a baixa aw foi aplicado o mesmo método
utilizado para a farinha de pinhão, descrito no artigo 5. Vale destacar que este método não pode ser
utilizado para valores altos de aw para o pinhão devido à rápida contaminação por fungos. As Figuras
10.1 e 10.2 mostram os dados de sorção obtidos utilizando todos os valores (obtidos por ambos os
métodos) para o pinhão cru e cozido. Nas Tabelas 10.2 e 10.3 observam-se os resultados do ajuste dos
dados aos modelos de sorção. Nelas pode-se constatar que o modelo de Chirife novamente foi o que
melhor ajustou os dados e que os coeficientes do modelo em cada caso foram semelhantes aos obtidos
anteriormente (Capítulos IV e V). Os modelos que apresentaram um elevado erro (MRE
médio
> 30) não
foram apresentados (Henderson, Chung-Pfost e Smith para o pinhão cru e Henderson, Chung-Pfost
para o pinhão cozido).
161
0,00
0,10
0,20
0,30
0,40
0,50
0,60
0,70
0,80
0,90
1,00
0,00 0,20 0,40 0,60 0,80 1,00 1,20
atividade de água (aw )
Umidade (kg água/kg ss)
15°C
25°C
30°C
40°C
Figura 10.1: Isoterma de dessorção do pinhão cru para toda a faixa de aw estudada.
0,00
0,10
0,20
0,30
0,40
0,50
0,60
0,70
0,80
0,00 0,20 0,40 0,60 0,80 1,00 1,20
atividade de água (aw )
Umidade (kg água/kg ss)
15°C
25°C
30°C
40°C
Figura 10.2: Isoterma de dessorção do pinhão cozido para toda a faixa de aw estudada.
162
Tabela 10.2: Valores dos coeficientes e do erro relativo médio (ERM) obtido para os modelos de
sorção aplicados aos dados experimentais de dessorção do pinhão cru.
Temperatura
Modelo Constantes
15
o
C 25
o
C 30
o
C
40
o
C
Média
GAB X
m
0,0347 0,0284 0,0262 0,0291
C 1402311 559587 1330216 1712864
K 0,9700 0,9804 0,9852 0,9758
r
2
0.963
0.972 0.957 0.980
ERM (%)
19,70
22,48 25,38 19,60
21,79
BET
X
m
0,0606 0,0571 0,0576 0,0508
C 133,17 28,32 17,97 21,05
r
2
0.621 0.725 0.737 0.887
ERM (%) 11.47 13.13 13.67 8.36
11.66
Halsey
A 0,010 0,0119 0,0134 0,0087
B 1,7765 1,5980 1,4916 1,8036
r
2
0.977
0.988 0.972 0.993
ERM (%)
13.07
11.90
15.80 8.58
12.34
Peleg k
1
0,8581 1,0446 1,3643 0,9212
k
2
0,1589 0,1843 0,2152 0,2083
n
1
21,9131 31,6792 43,3115 33,5823
n
2
0,4784 0,7586 1,0206 1,0496
r
2
0.969
0.980 0.970 0.984
ERM (%)
10.41
11.79
18.06 14.41
13.67
Oswin A 0,0867 0,0706 0,0633 0,0806
B 0,5322 0,5946 0,6361 0,5287
r
2
0.973
0.982 0.966 0.992
ERM (%)
18.59
18.75 22.37 12.87
18.15
Chirife A -2,4387 -2,5569 -2,5179 -2,6600
B -0,4817 -0,5036 -0,4594 -0,5704
C -0,0060 -0,0078 -0,0134 0,0009
r
2
0.980 0.994 0.989 0.994
ERM (%) 12.00 9.35 11.61 8.44
10.35
163
Tabela 10.3: Valores dos coeficientes e do erro relativo médio (ERM) obtido para os modelos de
sorção aplicados aos dados experimentais de desorção do pinhão cozido.
Temperatura
Modelo Constantes
15
o
C 25
o
C 30
o
C
40
o
C
Média
GAB X
m
0,0439 0,0439 0,0400 0,0394
C 665690 836917 2517 47,21
K 0,9365 0,9448 0,9657 0,9700
r
2
0,973
0,987 0,991
0,990
ERM (%)
11.43
8.85 11.57 12.14
11.00
BET
X
m
0,0555 0,0523 0,0570 0,0579
C 31,4847 26,8082 6,6899 4,4385
r
2
0.916 0.954 0.961 0.957
ERM (%) 10.07 5.30 5.74 6.79
5.97
Halsey
A 0,0004 0,0038 0,0138 0,0163
B 3,7921 2,4615 1,6533 1,5383
r
2
0,907
0,963 0,994 0,993
ERM (%)
33.15
22.62
10.53 13.38
20.17
Peleg k
1
0,4602 0,5668 0,7819 0,8390
k
2
0,2691 0,1927 0,2162 0,2330
n
1
30,4215 15,8501 19,6213 20,7633
n
2
1,3350 0,8842 1,1450 1,3695
r
2
0.972
0.980 0.988 0.986
ERM (%)
17.28
9.54
10.27 13.98
12.77
Oswin A 0,1397 0,1155 0,0869 0,0809
B 0,2512 0,3836 0,5635 0,6046
r
2
0,927
0,975 0,995
0,994
ERM (%)
29.04
15.14 7.03 8.53
14.93
Chirife A -2,4331 -2,5584 -2,6662 -2,7303
B -0,5236 -0,6305 -0,6642 -0,6960
C 0,0165 0,0213 0,0064 0,0050
r
2
0,991 0,992 0,995 0,994
ERM (%) 6.67 6.46 9.02 11.70
8.46
Smith A 0,0307 -0,0077 -0,0365 -0,0454
B -0,2428 -0,3208 -0,3830 -0,3975
r
2
0,990
0,974 0,923 0,918
ERM (%)
8.58
20,54 34.26 40.20
25.90
As Figuras 10.3 a 10.6 mostram os dados comparativamente para cada temperatura para o pinhão cru e
cozido.
164
0,00
0,10
0,20
0,30
0,40
0,50
0,60
0,70
0,80
0,90
1,00
0,00 0,20 0,40 0,60 0,80 1,00 1,20
atividade de água (aw)
Umidade (kg água/kg ss)
pinhao cozido 15C
pinhao cru 15C
Figura 10.3: Comparação entre as isotermas de dessorção do pinhão cru e do pinhão cozido na
temperatura de 15°C.
0,00
0,10
0,20
0,30
0,40
0,50
0,60
0,70
0,80
0,90
1,00
0,00 0,20 0,40 0,60 0,80 1,00 1,20
atividade de água (aw)
Umidade (kg água/kg ss)
pinhao cozido 25C
pinhao cru 25C
Figura 10.4: Comparação entre as isotermas de dessorção do pinhão cru e do pinhão cozido na
temperatura de 25°C.
165
0,00
0,10
0,20
0,30
0,40
0,50
0,60
0,70
0,80
0,90
1,00
0,00 0,20 0,40 0,60 0,80 1,00 1,20
atividade de água (aw )
Umidade (kg água/kg ss)
pinhao cozido 30C
pinhao cru 30C
Figura 10.5: Comparação entre as isotermas de dessorção do pinhão cru e do pinhão cozido na
temperatura de 30°C.
0,00
0,10
0,20
0,30
0,40
0,50
0,60
0,70
0,80
0,90
1,00
0,00 0,20 0,40 0,60 0,80 1,00 1,20
atividade de água (aw)
Umidade (kg água/kg ss)
pinhao cozido 40C
pinhao cru 40C
Figura 10.6: Comparação entre as isotermas de dessorção do pinhão cru e do pinhão cozido na
temperatura de 40°C.
166
As Figuras 10.7 e 10.8 mostram a comparação entre os dados de equilíbrio para a dessorção do
pinhão cru e para adsorção da farinha de pinhão cru, para as temperaturas de 30 e 40°C
respectivamente.
0,00
0,10
0,20
0,30
0,40
0,50
0,60
0,70
0,80
0,90
1,00
0 0,2 0,4 0,6 0,8 1 1,2
atividade de água (aw)
Umidade (kg água/ kg ss)
pinhao cru 30C
farinha de pinhao cru 30C
Figura 10.7: Comparação entre as isotermas de adsorção da farinha de pinhão cru e de
dessorção do pinhão cru na temperatura de 30°C.
167
0,00
0,10
0,20
0,30
0,40
0,50
0,60
0,70
0,80
0,90
1,00
0 0,2 0,4 0,6 0,8 1 1,2
atividade de água (aw)
Umidade (kg água/ kg ss)
pinhao cru 40C
farinha de pinhao cru 40C
Figura 10.8: Comparação entre as isotermas de adsorção da farinha de pinhão cru e de
dessorção do pinhão cru na temperatura de 40°C.
Na Tabela 10.4 é realizada uma comparação dos valores de umidade de monocamada (X
m
) obtidos
utilizando a equação de GAB para o pinhão cru, cozido e a farinha de pinhão. Os valores obtidos para a
farinha foram mais semelhantes aos obtidos para o pinhão cozido do que para o pinhão cru. Isto pode
ser explicado pelo fato de que a farinha foi obtida desidratando o pinhão cru a temperatura de 70°C, o
que pode provocar gelatinização do amido durante as primeiras etapas da secagem.
Tabela 10.4: Comparação dos valores de monocamada (X
m
) obtidos utilizando a equação de GAB.
Temperatura (°C)
Produto / faixa estudada 10 15 20 25 30 40
Pinhão cru / aw>0,4 0,0325
0,0266
0,0243
0,0316
Pinhão cru / toda a faixa de aw 0,0347
0,0284
0,0262
0,0291
Pinhão cozido / aw>0,4 0,0425
0,0435
0,0398
0,0394
Pinhão cozido / toda a faixa de aw 0,0439
0,0439
0,0400
0,0394
Farinha de pinhão cru / toda a faixa de aw
0,0660
0,0604
0,0577
0,0517
168
A Figuras 10.9 mostra a variação da entalpia diferencial de sorção em função da umidade do pinhão
cru, cozido e da farinha de pinhão cru. A Figura mostra que não existem diferenças entre a entalpia de
adsorção da farinha e de dessorção do pinhão cru. O mesmo pode ser observado na Figura 10.10 em
relação à entropia de sorção. Comparando com entalpia e entropia de dessorção do pinhão cozido são
observadas diferenças, conforme comentado no artigo 3.
-1000
0
1000
2000
3000
4000
5000
6000
7000
8000
0 0,2 0,4 0,6 0,8 1
Umidade (kg água/ kg ss)
pinhao cru
pinhao cozido
farinha
Figura 10.9: Comparação entre os valores obtidos para a entalpia diferencial de sorção do
pinhão cru, cozido e da farinha de pinhão cru para cada umidade.
-4,0
1,0
6,0
11,0
16,0
21,0
0 0,1 0,2 0,3 0,4 0,5 0,6 0,7 0,8 0,9 1
Umidade (kg água/kg ss)
Entropia diferencial (J/mol)
pinhao cru
pinhao cozido
farinha
Figura 10.10: Comparação entre os valores obtidos para a entropia diferencial de sorção do
pinhão cru, cozido e da farinha de pinhão cru para cada umidade.
169
A Tabela 10.5 mostra a comparação entre os valores obtidos para a temperatura isocinética e para a
energia livre de Gibbs para os três casos. Pode ser observado que para T
β
não existem diferenças
significativas. Para G foram obtidos valores próximos para o pinhão cru e para a farinha de pinhão
cru, no entanto, para o pinhão cozido obteve-se um valor duas vezes maior, indicando a maior
afinidade entre a água e o alimento no pinhão cozido, devido à gelatinização do amido.
Tabela 10.5: comparação entre os valores obtidos de T
β
e G para o pinhão cru, cozido e a farinha
de pinhão.
Propriedade
Pinhão cru
Pinhão cozido
Farinha de pinhão cru
T
β
ββ
β
(K)
422 ±18 401 ± 17 407 ± 20
G (J/mol)
192 524 209
10.3 CURVAS DE SECAGEM DO PINHÃO CRU INTEIRO E COM CASCA
Foram obtidas as curvas de secagem para o pinhão cru inteiro e com casca nas temperaturas de 55, 70 e
85°C. Os resultados obtidos para a variação da umidade (bs) e para a atividade de água são mostrados
nas Figuras 10.11 e 10.12, respectivamente.
170
0
10
20
30
40
50
60
70
80
90
100
0 2 4 6 8 10 12 14 16 18 20 22 24 26 28 30 32 34 36
Tempo (h)
Umidade (% bs)
70° C
85° C
55° C
Figura 10.11: Curvas de secagem do pinhão cru inteiro e com casca em diferentes
temperaturas.
0,00
0,10
0,20
0,30
0,40
0,50
0,60
0,70
0,80
0,90
1,00
0 2 4 6 8 10 12 14 16 18 20 22 24 26 28 30 32 34 36
Tempo (h)
Atividade de água
85C
70C
55C
Figura 10.12: Variação da atividade de água das sementes em função do tempo de secagem em
diferentes temperaturas para o pinhão cru inteiro e com casca.
171
Pode ser observado, que os tempos de secagem para obter umidades e atividades de água
semelhante às obtidas para o pinhão cru descascado e cortado em semi-rodelas é maior, devido à
resistência da casca à transferência de umidade (ver resultados do Capítulo IV). Além disso, os erros
obtidos são maiores (desvio padrão).
A Tabela 10.6 mostra os dados obtidos ao ajustar os modelos de secagem para período de
secagem decrescente (Tabela 1.3 do Capítulo I) utilizando a aproximação para X
R
(considerando
0
X
X
X
R
= para longos tempos de secagem, conforme Thakor et al., 1999) . Pode-se observar que os
modelos de Henderson & Pabis (Eq 3), logarítmico (Eq 4) e exponencial com dois termos (Eq 5) foram
os que melhor conseguiram ajustar os dados experimentais para todas as temperaturas de secagem.
172
Tabela 10.6: Parâmetros estimados, R
2
, χ
2
, RMSD e MRD para os modelos de secagem de pinhão
cru inteiro e com casca considerando a simplificação
0
X
X
X
R
= .
Eq T (°C) Estimated values R
2
χ
χχ
χ
2
RMSD MRD (%)
1 55 k = 0,03810 0.9000 3,228x 10
-3
0,0562 9,15
70 k = 0,0813 0.8901 5,376x 10
-3
0,0725 20,09
85 k = 0,1330 0.9775 1,626x 10
-4
0,0398 23,88
2 55 a = 0,9051 k = 0,0314 0.9572 1,414x 10
-3
0,0368 5,31
70 a = 0.9742 k = 0.5919 0.9405 2,981x 10
-3
0,0533 12,83
85 a = 0,9602 k = 0,1260 0.9795 1,518 x 10
-4
0,0380 22,15
3 55 a = 0,1590 k = 0,2066 b = 0,7781
g = 0,0375 c = 0,0505 h = -0,0344
0.9973
9,693x 10
-5
0,0092 1,13
70 a = 0,0043 k =-0,0793 b = 0,5932
g = 0,0454 c = 0,4189 h = 0,3005
0.9993
3,722x 10
-5
0,0057 0,79
85 a = 0,0751 k = -0,0049 b = 0,6843
g = 0,1665 c = 0,2535 h = 0,1665 0.9993 5,906x 10
-5
0,0071 2,41
4 55 a = 0,6373 k = 0,0803 c = 0,3398 0.9970 1,011x 10
-4
0,0097 1,15
70 a = 0,7706 k = 0,1401 c = 0,2058 0.9949 2,615 x 10
-4
0,0156 3,52
85 a = 0,9284 k = 0,1692 c = 0,0857 0.9993 5,515 x 10
-5
0,0071 2,16
5 55 a
1
=0,5142 k
1
= 0,0985
a
2
= 0,4678 k
2
= 0,0079
0.9972 9,719 x 10
-5
0,0094 1,17
70 a
1
= 0,4975 k
1
= 0,0321
a
2
= 0,5136 k
2
= 0,2478
0.9991
4,473x 10
-5
0,0066
1,38
85 a
1
= 0,0751 k
1
= -0,0049
a
2
= 0,9378 k
2
= 0,1665
0.9993 5,577x 10
-5
0,0071
2,41
6 55 k =0,0942 n = 0,6832 0.9922 2,533 x 10
-4
0,0157 2,52
70 k = 0,1852 n = 0,6644 0.9900 5,017 x 10
-4
0,0219 4,29
85 k = 0,1854 n = 0,8345 0.9888 8,315x 10
-4
0,0281 14,46
7 55 a = 1,0283 k = 0,1106 n = 0,6428 0.9932 2,297 x 10
-4
0,0146 2,26
70 a = 1,0582 k = 0,2227 n = 0,6158 0.9925 3,678 x 10
-4
0,0190 3,64
85 a = 1,0533 k = 0,2182 n = 0,7833 0.9904 7,278 x 10
-4
0,0259 13,14
8 55 k = 0,0315 n = 0,6832 0.9922 2,592 x 10
-4
0,0157 2,52
70 k = 0,0790 n = 0,6644 0.9900 5,017x 10
-4
0,0219 4,29
85 k = 0,1327 n = 0,8345 0.9888 8,315x 10
-4
0,0281 14,46
9 55 a
1
= -0,0437 a
2
= 0,0008 0.9743 8,488x 10
-4
0,0285 4,32
70 a
1
= -0,0744 a
2
= 0,0017 0.9100 4,510x 10
-3
0,0656 15,87
85 a
1
= -0,0931 a
2
= 0,0022 0.9156 6,248x 10
-3
0,0770 36,23
10 55 a = -9,3901 b = 24,4107 0.9931 7,521 x 10
-1
0,8477 7,12
70 a = -3,1203 b = 9,0623 0.9965 3,136 x 10
-1
0,5472 8,94
85 a = -2,3326 b = 3,7272 0.9773 2,104 1,4138 18,69
Neste caso não foi calculada a difusividade mássica devido à falta de homogeneidade da
semente quanto à espessura, impedindo a aproximação dos cálculos como camada delgada.
173
11 CAPÍTULO XI - DISCUSSÃO GERAL
Neste trabalho foram realizados diversos estudos sobre o pinhão: suas características físicas,
químicas, termodinâmicas e tecnológicas com o intuito de contribuir com os conhecimentos sobre esta
semente, melhorar as condições de armazenamento e distribuição e diversificar a sua utilização, que
hoje praticamente se restringe ao consumo da semente após cozimento em água.
Primeiramente foi estudada a vida de prateleira do pinhão armazenado em três temperaturas: 25,
5 e –18
o
C (Capítulo III). Durante a estocagem houve pequenas flutuações do conteúdo de umidade nas
diferentes condições de armazenamento (Figura 3.2), mas não houve mudanças significativas da
atividade de água durante a estocagem nas diferentes condições. O pH apresentou uma leve tendência à
queda durante o armazenamento, sendo que o pH final foi aproximadamente de 6,4, não havendo
diferença significativa da temperatura de estocagem (Figura 3.3). Houve uma leve tendência ao
aumento da acidez durante a estocagem do pinhão sob refrigeração e congelamento, condizente com a
tendência de diminuição do pH (Figura 3.4). Nos primeiros dias de estocagem do pinhão a 25°C este
apresentou contaminação por bolores e leveduras e, após aproximadamente 1 mês de estocagem
contaminação bacteriana (Tabela 3.1). Além disso, foram detectados pinhões brotados a partir do 5° dia
de armazenamento a 25°C. A semente armazenada sob refrigeração (5°C) não apresentou crescimento
bacteriano durante os 8 meses de estocagem mas apresentou uma contagem > 1x10
3
UFC/g de bolores
e leveduras nos dias 28, 78 e 253. Também foi observada a presença de sementes brotadas a partir do
3
o
mês de armazenamento, limitando a sua vida de prateleira. O pinhão estocado sob congelamento não
apresentou nenhum tipo de crescimento microbiano durante os 8 meses de estocagem. Também não
foram detectados pinhões brotados.
Quando o pinhão é armazenado a temperatura ambiente ou de refrigeração, a respiração aeróbia
continuá acontecendo, com o conseqüente aumento da água livre e da umidade relativa entorno da
semente. Quando esta umidade não é retirada, aumenta a atividade de água da semente e da casca
possibilitando o rápido crescimento de fungos. Isto foi verificado neste estudo, pois os pinhões foram
armazenados em sacos hermeticamente fechados, sem possibilidade de retirar a água formada pela
respiração.
174
A análise sensorial do pinhão armazenado em cada temperatura separadamente não apresentou
diferenças significativas (p<0,05) em nenhum dos atributos durante a estocagem, comparando os
diferentes dias testados nesta condição (Tabela 3.2). Ou seja, as características sensoriais do pinhão não
são alteradas ao longo de 40 dias a temperatura ambiente, 6,5 meses sob refrigeração e 8 meses de
armazenamento sob congelamento. No entanto, quando comparadas as temperaturas de estocagem
foram observadas algumas diferenças significativas. Para o atributo aroma, existiu diferença
significativa apenas no dia 106, ao comparar o pinhão armazenado sob refrigeração e sob
congelamento, sendo que o primeiro apresentou uma média maior do que o segundo. Para o atributo
mastigabilidade, houve diferença significativa (p<0,05) em três dos dias testados podendo-se observar
uma média menor para o pinhão armazenado sob congelamento, indicando que este se apresenta mais
duro do que o pinhão armazenado a temperatura ambiente ou sob refrigeração. Para os atributos
aparência e sabor não houve diferenças significativas em nenhum dos pontos testados entre as amostras
armazenadas nas diferentes condições. Isto indica que o pinhão poderia ser armazenado sob
refrigeração ou congelamento sem alterações organolépticas importantes.
O pinhão, por possuir alta umidade e atividade de água, facilita o crescimento de fungos durante
a estocagem à temperatura ambiente e refrigerado, assim como o aparecimento de brotação. Como
mencionado anteriormente, estes fenômenos são perceptíveis nos seus primeiros estágios somente
quando descascada a semente. Portanto, para evitar este problema é importante a adoção de boas
práticas durante a colheita e minimizar ao máximo o tempo entre a colheita e a estocagem. Neste
trabalho (Capítulo III) foram propostas uma série de operações preliminares (simples e baratas) prévias
ao armazenamento e ao processamento do pinhão com o intuito de melhorar as condições de higiene e
aumentar a vida de prateleira do produto (Figura 3.5). As operações sugeridas são: recepção, limpeza,
seleção e classificação. A recepção deve ser realizada em ambiente limpo, seco e fresco, isolado de
animais e insetos, de modo a não aumentar a carga de contaminantes. A limpeza tem o objetivo de
retirar o material estranho e diminuir a carga microbiana, através de lavagem com água clorada (200
ppm) e posterior secagem. A seleção deve ser realizada por operários treinados, capazes de captar
simultaneamente certos fatores de classificação, sendo visual e manual. O intuito desta etapa é
descartar pinhões brotados, com contaminação por fungos, abertos ou com quebras e eventuais falhas
que tenham ficado da etapa anterior. A classificação visa padronizar ou uniformizar a venda e
175
comercialização das sementes, sendo classificados os pinhões por cor da superfície da casca e tamanho.
Os principais problemas do armazenamento do pinhão são: brotamento, ataque por fungos, perda ou
ganho de umidade (dependendo da umidade relativa do meio) e infestação por larvas. A casca do
pinhão, estando intacta e a semente sadia, oferece uma boa resistência para ataque de fungos, em
ambientes de baixa umidade relativa e temperatura. Para armazenar por um tempo mais prolongado,
recomenda-se a estocagem sob refrigeração ou congelamento, conforme resultados obtidos neste
trabalho. Quando retirado da câmera fria, o aumento de temperatura deverá ser lento, para evitar que o
pinhão agregue umidade do ar.
Para otimizar as condições de armazenamento é também importante conhecer as isotermas de
sorção dos produtos alimentícios. Neste trabalho foram apresentadas as isotermas de dessorção do
pinhão cru (Capítulo IV) e cozido (Capítulo V) e as isotermas de adsorção da farinha de pinhão cru
(obtida ao desidratar pinhão cru a 70°C, Capítulo VII). As isotermas de dessorção do pinhão cru e
cozido foram obtidas primeiramente através da medida direta da atividade de água (com medidor de
aw) e da determinação da umidade de amostras com diferentes teores de água. Com este método não
foi possível estudar toda a faixa de aw, sendo necessária a aplicação do método padrão recomendado
pelo Projeto COST 90 (Speiss & Wolf, 1983) para obter dados de equilíbrio em valores de aw baixos.
Ao comparar os dados obtidos para o pinhão cru e cozido pode-se observar que em ambos os casos a
temperatura tem uma influência relativamente pequena nas isotermas de dessorção (Figuras 10.1 e
10.2). Em ambos os casos, o modelo que melhor se ajustou aos dados foi o de Chirife, tanto para o
ajuste utilizando dados para aw maiores (Tabela 2 do Capítulo IV e Tabela 5.2), quanto para toda a
faixa de aw estudada (Tabelas 10.2 e 10.3). Os valores de umidade de monocamada obtidos através da
equação de GAB (X
m
) foram maiores para o pinhão cozido, indicando a influência da gelatinização do
amido durante o cozimento (Tabela 10.4). O cozimento do pinhão resultou num aumento da entalpia
diferencial para baixos conteúdos de água provavelmente devido à gelatinização do amido e
conseqüente requerimento maior de energia para remover água do pinhão (Figura 10.9). No entanto, foi
observado o efeito contrário em conteúdos de água maiores, mas deve ser notado que um valor
negativo de entalpia diferencial (como o obtido no caso) não tem um significado físico e deve estar
dentro do erro da determinação, conforme especificado por Kaymak-Ertekin & Gedik (2004). Os
valores de entropia diferencial também foram maiores para o pinhão cozido a baixas umidades,
indicando que tem um maior número de sítios de sorção disponíveis para um determinado nível de
176
energia; mas o efeito contrário foi obtido para aw maiores (Figura 10.10). A teoria compensatória foi
aplicada tanto para o pinhão cru quanto para o pinhão cozido, sendo determinada a temperatura
isocinética (Tabela 10.5), obtendo-se valores semelhantes para ambos e um processo entalpicamente
controlado (T
β
> T
hm
). Para ambos os casos o processo de dessorção é não espontâneo (
G > 0), sendo
que o valor de energia livre de Gibbs foi maior para o pinhão cozido (Tabela 10.5), indicando que este
tem maior afinidade por água do que o pinhão cru, resultado que pode ser explicado pela gelatinização
do amido.
Para as isotermas de adsorção da farinha de pinhão cru o modelo que melhor se ajustou aos dados
foi também o modelo de Chirife (Tabela 7.2). A farinha utilizada foi obtida desidratando o pinhão cru a
temperatura de 70°C, o que poderia provocar gelatinização do amido durante as primeiras etapas da
secagem (pois esta temperatura é de aproximadamente 63,4°C segundo Bello-Pérez et al., 2006). Isto
pode explicar os valores de umidade de monocamada obtidos para a farinha utilizando a equação de
GAB, que foram mais semelhantes aos obtidos para o pinhão cozido do que para o pinhão cru (Tabela
10.4).
No Capítulo VI foi avaliada a cinética de secagem do pinhão cru e cozido descascado e cortado
em semi-rodelas, em diferentes temperaturas (55, 70 e 85°C). O pinhão não apresentou um período de
taxa constante, apresentando apenas um período de taxa decrescente (Figuras 6.1 e 6.3). As umidades
de equilíbrio foram determinadas experimentalmente através de grandes tempos de secagem (Tabela
6.2). Os valores para o pinhão cozido foram maiores dos obtidos para o pinhão cru (para cada
temperatura) devido à gelatinização do amido que acontece durante o cozimento do pinhão. Isto faz
com que o pinhão consiga absorver uma maior quantidade de água na sua matriz. Este fato está em
concordância com os maiores valores obtidos nas isotermas de dessorção do pinhão cru e cozido para a
umidade de monocamada calculada através da equação de GAB (Tabela 10.4). Foram testados vários
modelos descritos na literatura para este período utilizando ou não a aproximação para X
R
. Foi
constatado que os modelos ajustaram-se melhor aos dados quando utilizou-se o valor da umidade de
equilíbrio (X
e
) para o cálculo de X
R
e também ao usar os dados para o pinhão cozido ao comparar com
o pinhão cru (Tabelas 6.3 a 6.6). Dentre os modelos, os que apresentaram melhores resultados foram os
modelos Logarítmico e de Page, amplamente utilizados na literatura para modelar secagem de produtos
alimentícios. A difusividade foi posteriormente calculada e aumentou com o aumento da temperatura
177
(Tabelas 6.7 e 6.8). Os valores de difusividade usando a aproximação para X
R
foram menores do que
aqueles calculados utilizando os valores experimentais de X
e
, pois os valores de X
R
utilizando a
aproximação são maiores. Os valores de difusividade para o pinhão cru foram maiores do que os
obtidos para o pinhão cozido, indicando que a gelatinização do amido afeta a estrutura celular e pode
aumentar a resistência interna ao movimento de água na matriz. Outros autores obtiveram resultados
similares (Leeratanarak et al., 2006) em batata após branqueamento. No entanto alguns autores
obtiveram resultados opostos para outros produtos (Ibanoglu & Maskan, 2002). A energia de ativação,
calculada através da equação de Arrhenius foi menor para o pinhão cozido do que para o pinhão cru
(Tabelas 6.7 e 6.8), indicando que é necessária uma energia menor para remover a água do pinhão após
o cozimento. Isto está em concordância com o maior valor de energia livre de Gibbs obtido para a
dessorção do pinhão cozido (Tabela 10.5). No entanto, não parece concordar com as diferenças obtidas
para a difusividade mássica (Tabelas 6.7 e 6.8). Cabe ressaltar que a formação de crosta na superfície
do pinhão pode também afetar a transferência de massa.
Na produção de farinha de pinhão, foram estudados seis tipos de farinha (Capítulo VII). Foram
produzidas três farinhas com pinhão cru (desidratado nas temperaturas de 55, 70 e 85°C) e três farinhas
com pinhão cozido (desidratado nas mesmas condições usadas para o pinhão cru). As farinhas foram
analisadas, determinando-se a atividade de água, umidade, pH, acidez e quantidade de compostos
fenólicos totais (CFT). Observou-se que quanto maior a temperatura de secagem, menores a atividade
de água e a umidade final das farinhas (Tabela 8.3). Ao comparar as farinhas de pinhão cru e cozido,
para uma mesma temperatura, observou-se que as primeiras possuem uma umidade e atividade de água
menor do que as segundas, o que está em concordância com os valores de umidade de equilíbrio
obtidas nas curvas de secagem do pinhão (Tabela 6.2). Isto, como citado anteriormente, é
provavelmente devido à gelatinização do amido durante o cozimento do pinhão em autoclave, o que
provoca um aumento de incorporação de água na matriz. Em relação à quantidade de CFT as farinhas
produzidas com pinhão cozido contêm maior quantidade de CFT do que aquelas produzidas com
pinhão cru (Tabela 8.3). Estes mesmos resultados foram obtidos ao comparar o conteúdo de CFT para o
pinhão cru e cozido (Tabela 8.2) e evidencia a migração dos compostos fenólicos presentes na casca
para a semente durante o cozimento. Este fato foi relatado também por Cordenusi et al. (2004). Com
respeito à cor (Tabela 8.4), quando comparado somente as farinhas produzidas com pinhão cru, ao
aumentar a temperatura de secagem do pinhão, diminui a luminosidade (L*) e aumentam as
178
coordenadas de cromaticidade a* e b*, indicando uma farinha menos branca. Ao comparar as farinhas
produzidas com pinhão cru e cozido nota-se uma significativa diminuição na luminosidade para a
farinha produzida com pinhão cozido e um acréscimo na coordenada a*, com aumento da tonalidade
vermelha. As diferenças de cor entre elas foram percebidas até visualmente, sendo que as farinhas de
pinhão cru apresentam cor branca e as farinhas de pinhão cozido cor marrom clara. Estes dados estão
em concordância com os obtidos para o conteúdo de CFT, devido à migração de compostos fenólicos
da casca para a semente durante o cozimento do pinhão, conforme comentado. Além disso, a diferença
de cor pode ser devida também à reação de Maillard durante o cozimento em autoclave, já que o pinhão
cru contém proteínas e aproximadamente 2,25 % bu de glicose e 0,07 % bu de frutose (açúcares
redutores), segundo dados de Cordenusi et al (2005). Foi possível agrupar as farinhas através de análise
por componentes principais utilizando os dados das análises realizadas, sendo agrupadas pelo
cozimento e pela temperatura de secagem. Foi observado também que as farinhas produzidas com
pinhão cozido possuem odor e sabor característico de pinhão, o que não acontece com as farinhas
produzidas com pinhão cru. Este fato evidencia a importância do cozimento no desenvolvimento do
flavor do pinhão (onde a reação de Maillard provavelmente também seja importante). Ao comparar os
parâmetros de qualidade das farinhas, conclui-se que em termos de cor a farinha de pinhão cru foi a
mais aceita, mas não em termos de flavor característico de pinhão.
Utilizando as farinhas de pinhão cru e cozido desidratados a 70°C foram desenvolvidas quatro
formulações para sulfê de pinhão, sendo avaliadas através de análise sensorial quanto à aceitabilidade.
De acordo com os resultados obtidos a amostra de suflê produzido com farinha de pinhão cozido e com
pinhão triturado semi-desidratado obteve a maior pontuação, com diferenças significativas em relação
às demais, com exceção da amostra de suflê produzido com farinha de pinhão cozido e sem pinhão
triturado semi-desidratado. Esta formulação foi a segunda melhor pontuação seguida da formulação C
(suflê produzido com farinha de pinhão cru com pinhão triturado), mas sem diferenças significativas
entre elas. A que apresentou a menor pontuação foi a formulação de suflê produzido com farinha de
pinhão cru e sem pinhão triturado. Com isso é possível afirmar que suflê produzido com farinha de
pinhão cozido apresenta uma aceitação significativamente maior do que suflê produzido com farinha de
pinhão cru. A presença de pinhão triturado semi-desidratado tem influência positiva na aceitação do
produto. No entanto, para uma formulação comercial de para preparo de suflê de pinhão poderia se
179
adotar a formulação da amostra sem pinhão triturado semi-desidratado para facilitar a produção,
estabilidade e comercialização do produto.
A migração de compostos fenólicos da casca do pinhão para a semente durante o cozimento foi
evidenciada nos resultados obtidos ao comparar o pinhão cru e cozido e as farinhas de pinhão cru e
cozido. No estudo da extração dos compostos fenólicos da casca, primeiramente foi avaliada a extração
com quatro solventes diferentes: metanol, etanol, álcool isopropílico e água. O metanol apresentou os
melhores resultados, no entanto, o etanol foi escolhido, pois apresentou resultados um pouco inferiores
mas é mais adequado em termos de toxicidade. Posteriormente foi realizado um experimento fatorial 2
3
com 6 pontos axiais e 5 repetições no ponto central, utilizando o volume de solvente, a concentração de
etanol e a temperatura de extração como variáveis. As três apresentaram efeito significativo na extração
de compostos fenólicos, sendo o volume de solvente e a concentração do etanol as mais relevantes.
Quanto à atividade antioxidante, a temperatura não apresentou efeito significativo (p < 0,05). Foram
obtidos modelos utilizando as três variáveis codificadas para a concentração de compostos fenólicos no
extrato (mg CE/mL), a quantidade total de compostos fenólicos extraídos por grama de casca (mg
CE/g) e a capacidade antioxidante do extrato (mg AAE/mL). Os modelos obtidos foram significativos
através do teste de Fischer e apresentarm R
2
> 0.82. Foram avaliadas as condições em que é
maximizada a concentração de compostos fenólicos no extrato e a sua capacidade antioxidante
(utilizando volumes menores de solvente e concentração de etanol entre 50 e 70%). No entanto,
utilizando volumes menores a quantidade total de compostos fenólicos extraídos por grama de casca é
menor, como era de esperar. Vários autores reportaram que a adição de água ao etanol aumenta o
rendimento da extração, utilizando concentrações de 70 e 80% (Yu et al., 2005; Nepote et al., 2005,
respectivamente). Utilizando os modelos obtidos, foi possível determinar as condições onde tem-se
uma maior concentração de compostos fenólicos e de atividade antioxidante no extrato, obtendo-se
valores de 6,3 mg CE mL
-1
e 10.2 mg AAE mL
-1
, respectivamente. No entanto, se o objetivo é
maximizar a quantidade total de compostos fenólicos extraída (e não a concentração no extrato), deve
ser usado uma quantidade maior de solvente por grama de casca, obtendo-se um valor máximo de 21,6
mg CE mL
-1
. Este valor é semelhando ao obtido para extratos de plantas medicinais da Argélia, cascas
de maçã e pistache, aproximadamente 100 vezes maior ao obtido para casca e sementes de tomate e 5
vezes menor ao obtido para cascas de amendoim. A casca de pinhão poderia ser uma interessante fonte
180
de compostos fenólicos com atividade antioxidante, sendo que devem ser realizados estudos para
identificar estes compostos e avaliar o seu efeito in vivo.
181
12 CAPÍTULO XII - CONCLUSÕES
Através dos resultados obtidos neste trabalho é possível concluir o que segue.
a) O pinhão tem uma umidade (> 80% bs) e uma atividade de água (~ 0,98) muito altas, o que
dificulta a sua comercialização.
b) O pinhão pode ser armazenado durantes 5 dias a temperatura ambiente, 3 meses sob
refrigeração e pelo menos, durante 8 meses sob congelamento. Os principais fatores limitantes na sua
vida de prateleira são a germinação e o desenvolvimento de fungos. Nenhum destes acontece sob
congelamento.
c) É importante a adoção das seguintes operações preliminares para preservar a qualidade das
sementes até a comercialização: limpeza, seleção, classificação e armazenamento. Sugere-se adotar
boas práticas de colheita para minimizar a contaminação. Sugere-se realizar o armazenamento sob
refrigeração ou congelamento.
d) A forma das isotermas do pinhão cru e cozido são muito semelhantes, sendo pouco afetadas
pela temperatura na faixa estudada. Para ambos os casos, o modelo que melhor se ajustou aos dados
experimentais foi o de Chirife. Os dados experimentais foram utilizados para determinar as
propriedades termodinâmicas: calor de sorção (entalpia diferencial) e entropia diferencial. A entalpia
diferencial de desorção foi calculada utilizando a equação de Clausius-Clapeyron, sendo decrescente
com o aumento da umidade e tornando-se assintótica a um valor de umidade de aproximadamente 0,25
kg/kg (bs) para o pinhão cru e de 0,30 kg/kg (bs) para o pinhão cozido. A entropia diferencial
apresentou a mesma tendência. O gráfico da entalpia diferencial versus a entropia diferencial satisfez a
teoria compensatoria. O processo de desorção é um processo controlado pela entalpia (temperatura
isocinética > temperatura média harmónica) e não espontâneo (G > 0), tanto para o pinhão cru quanto
para o pinhão cozido.
182
e) As isotermas de adsorção da farinha produzida com pinhão cru também foram obtidas. O
modelo de Chirife, foi novamente o que melhor se ajustou aos dados. A entalpia e entropia diferenciais
de adsorção foram praticamente iguais aos obtidos para o pinhão cru. O processo de adsorção da
farinha é um processo controlado pela entalpia e não espontâneo com um valor de G muito
semelhante ao de dessorção do pinhão cru.
f) Nas curvas de secagem do pinhão cru, descascado e cortado em rodelas pôde ser observado
que os valores de atividade de água diminuem mais rapidamente para temperaturas de 70 e 85° C do
que para 55°C. Os resultados obtidos para o pinhão cozido são similares, porém a influência da
temperatura nas curvas de secagem parece ser menor para o pinhão cozido (na faixa estudada). Os
valores de difusividade foram menores para o pinhão cozido indicando que a gelatinização do amido
pode afetar a estrutura celular e aumentar a resistência interna aos movimentos da água na matriz. No
entanto a energia de ativação para o pinhão cozido foi menor da obtida para o pinhão cru.
g) Foram avaliados parâmetros de processo para a produção de farinha de pinhão. A temperatura
de secagem influenciou na cor das farinhas produzidas com pinhão cru. As farinhas produzidas com
pinhão cru apresentaram cor mais branca (L
média
=89,0; a
média
=2,1; b
média
=12,3), mas sem sabor e aroma
característicos de pinhão. As farinhas produzidas com pinhão cozido apresentaram cor mais escura
(L
média
=75,8; a
média
=6,9; b
média
=15,4) e flavor característico de pinhão, podendo ser utilizada para a
produção de produtos regionais. Foi possível agrupar as farinhas obtidas através de análise por
componentes principais. Foi desenvolvida uma mistura em pó para o preparo de suflê de pinhão
utilizando a farinha de pinhão cozido, unindo praticidade e inovação.
i) Foi estudada a extração de compostos fenólicos da casca de pinhão utilizando extração por
solventes. Foi utilizada a metodologia de superfície de resposta para maximizar a extração utilizando
como variáveis o volume de solvente, a concentração de etanol e a temperatura de extração; sendo que
as três variáveis apresentaram efeito significativo. A máxima concentração de compostos fenólicos e
atividade antioxidante no extrato foi obtida utilizando volumes menores e concentração de etanol entre
50 e 70% aproximadamente. No entanto, utilizando volumes menores obtém-se uma menor extração
total de compostos fenólicos por grama de casca. Foram obtidos modelos quadráticos significativos
183
para as três respostas estudadas (concentração de CF, antividade antioxidante no extrato e CF totais
extraídos por grama de casca).
184
13 CAPÍTULO XIII – CONSIDERAÇÕES FINAIS
A consolidação da cadeia produtiva do pinhão é importante para o desenvolvimento regional e
uma alternativa para a preservação da Araucária, sendo necessárias pesquisas sobre o desenvolvimento
de técnicas de conservação e industrialização. Este trabalho teve o objetivo de colaborar neste sentido,
aumentando os conhecimentos sobre condições de armazenamento e processamento do pinhão.
Apresentou-se um exemplo de desenvolvimento de um novo produto obtido a partir da semente unindo
praticidade, inovação e apelo regional.
O desenvolvimento de produtos a partir da farinha de pinhão pode gerar uma maior opção para
pessoas com a doença celíaca que não podem consumir produtos a base de trigo e constitui um
importante nicho de mercado a ser considerado.
Como também foi demonstrado neste trabalho, o pinhão é uma rica fonte de amido, sendo que
este poderia ser estudado como uma nova fonte de amido, com propriedades peculiares, como avaliado
por alguns autores recentemente. Seria de interesse avaliar possíveis modificações deste amido com
fins tecnológicos nas indústrias de alimentos e farmacêuticas.
Para aprimorar os conhecimentos sobre o pinhão sugere-se estudar as enzimas polifenoloxidases
e peroxidases presentes e que podem afetar a qualidade do produto processado.
Foi relatada também a utilização da casca como uma nova fonte de compostos antioxidantes e
avaliadas as melhores condições de extração. No entanto, são necessárias mais pesquisas para
identificar os compostos fenólicos presentes na casca do pinhão e testar a sua capacidade antioxidante
em sistemas biológicos. Estes compostos poderiam também ser avaliados quanto a sua utilização na
indústria de alimentos como possíveis substitutos de antioxidantes utilizados atualmente, como por
exemplo, o BHA e BHT.
185
REFERÊNCIAS BIBLIOGRÁFICAS
AGUERRE, R.J.; SUEAREZ, C.; VIOLLAZ, P.E. (1986). Enthalpy-entropy compensation in sorption
phenomena: application to the prediciton of the effect of temperature on food isotherms. Journal of
Food Science, 51 (6), 1547-1549.
AJIBOLA, O.O.; AVIARA, N.A.; AJETUMOBI, O.E. (2003). Sorption equilibrium and
thermodynamic properties of cowpea (Vigna unguiculata). Journal of Food Engineering, 58, 317-324.
AL-MUHTASEB, A.H.; MCMINN, W.A.M.; MAGEE, T.R.A. (2004 a). Water sorption isotherms of
starch powders Part 2: Thermodynamic characteristics. Journal of Food Engineering, 62. 135-142.
AL-MUHTASEB, A.H.; MCMINN, W.A.M.; MAGEE, T.R.A. (2004 b). Water sorption isotherms of
starch powders Part 1: mathematical description of experimental data. Journal of Food Engineering,
61. 297-307.
AOAC (1990). Official Methods of Analysis, 15th ed.; Association of Official Analytical Chemists:
Arlington, Virginia, USA.
APOSTOLOPOULOS, D. & GILBERT, S. (1990). Water sorption of coffee soluble by frontal inverse
gas chromatography: Thermodynamic considerations. Journal of Food Science, 55, 475-477.
AROGBA, S.S. (2001). Effect of temperature on the moisture sorption isotherm of a biscuit containing
processed mango (Mangifera indica) kernel flour. Journal of Food Engineering, 48. 121-125.
ARSLAN, N.; TOGRUL, H. (2006). The fitting of various models to water sorption isotherms of tea
stored in a chamber under controlled temperature and humidity. Journal of Stored Products Research,
42. 112-135.
ASSOCIATION OF OFFICIAL ANALYTICAL CHEMISTS (AOAC). Official Methods of the
Analytical Chemists. Arlington: AOAC, 1995.
AVIARA, N.A.; AJIBOLA, O.O. (2002). Thermodynamics of moisture sorption in melon seed and
cassava. Journal of Food Engineering, 55. 107-113.
AVIARA, N.A.; AJIBOLA, O.O.; DAIRO, U.O. (2002). Thermodynamics of moisture sorption in
sesame seed. Biosystems Engineering, 83. 423-431.
AVIARA, N.A.; AJIBOLA, O.O.; ONI, S.A. (2004). Sorption equilibrium and thermodynamic
characteristics of soya bean. Biosystems Engineering, 87. 179-190
186
AYRANCI, E.; DUMAN, O. (2005). Moisture sorption isotherms of cowpea (Vigna unguiculata L.
Walp) and its protein isolate at 10, 20 and 30°C. Journal of Food Engineering, 70. 83-91.
AZOUBEL, P.M.; MURR, F.E.X. (2004). Mass transfer kinetics of osmotic dehydration of cherry
tomato. Journal of Food Engineering, 61, 291-295.
AZUARA, E.; BERISTAIN, C.I.; GUTIERREZ, G.F. (1998). A method for continuous kinetic
evaluation of osmotic dehydration. Lebensm. Wiss. U. Technology, 31, 317-321.
BALASUNDRAM, N.; SUNDRAM, K.; SAMMAN, S. (2006). Phenolic compounds in plants and
agri-industrial by-products: Antioxidant activity, occurrence, and potential uses. Food Chemistry,
99(1), 191-203.
BARAT, J.M.; FITO, P.; CHIRALT, A. (2001). Modeling of simultaneous mass transfer and structural
changes in fruit tissues. Journal of Food Engineering, 49, 77-85.
BARBOSA-CÁNOVAS, G.V., & VEGA-MERCADO, H. Dehydration of Foods, Chapman & Hall,
1996. 330p.
BARUFFALDI, R.; OLIVEIRA, M.N. Fundamentos de teconlogia de alimentos. São Paulo: Atheneu,
1998. 317p.
BELITZ, H.D. Food Chemistry, 3ed, Berlin: Springer, 2004. 1070p.
BELLO-PEREZ, L.A., GARCÍA-SUÁREZ, F.J., MÉNDEZ-MONTEALVO, G., NASCIMENTO,
J.R.O., LAJOLO, F.M., & CORDENUSI, B.R. (2006). Isolation and characterization of starch from
seeds of Araucaria brasiliensis: a novel starch for application in food industry. Starch, 58, 283-291.
BENADO, A.L. & RIZVI, S.S.H. (1985). Thermodynamic properties of water on rice as calculated
from reversible and irreversible isotherms. Journal of Food Science, 50, 101-105.
BERISTAIN, C.I.; GARCIA, H.S.; AZUARA, E. Enthalpy-entropy compensation in food vapour
adsorption. Journal of Food Engineering, 30. 405-415.
BOCHI, V.C., LOBATO, L.P., STAHL, J.A., EMANUELLI, T., COSTABEBER, I., KUBOTA, E.
Avaliação da capacidade de ligação à água e cor do gel do amido de pinhão modificado por fosfatação.
Anais do XXIII Congresso Brasileiro de Ciência e Tecnologia de Alimentos, SBCTA, Porto Alegre,
2002. 2582-2585.
BOX, G.E.P., & WILSON, K.B. (1951). On the experimental attainment of optimum conditions.
Journal of the Royal Statistical Society, 13, 1-45.
BRANDELLI, A., LOPES, C.H.G. (2005). Polyphenoloxidase activity, browning potential and
phenolic content of peaches during postharvest ripening. Journal of Food Biochemistry, v. 29, 624-637.
187
BRASIL, J.L.; EVA, R.R.; MILCHAREK, C.D.; MARTINS, L.C.; PAVAN, F.A.; DOS SANTOS,
A.A.J.; DIAS, S.L.P.; DUPONT, J.; NOREÑA, C.P.Z.; LIMA, E.C. (2006). Statistical design of
experiments as a tool for optimizing the batch conditions to Cr(VI) biosorption on Araucaria
angustifolia wastes. Journal of Hazardous Materials, 33. 143-153.
BRDE. Cultivo da Araucária angustifólia: Análise de viabilidade econômica-financeira. Florianópolis:
BRDE, 2005. 53p.
BRUNAUER, S.; EMMETT, P.H.; TELLER, E. (1938). Adsorption of gases in multi-molecular layers.
Journal of American Chemical Society, 60, 309-320.
CACACE, J.E., & MAZZA, G. (2003). Optimization of extraction of anthocyanins from black currants
with aqueous ethanol. Journal of Food Engineering, 59, 379-389.
CARVALHO, H.H.; JONG, E.V. BELLÓ, R.M.; SOUZA, R.B.; TERRA, M.F.(2002). Alimentos:
Métodos Físicos e Químicos de Análise. Porto Alegre: Ed. Universidade/UFRGS.
CASSINI, A.S., MARCZAK, L.D.F., & NOREÑA, C.P.Z. (2006). Water adsorption isotherms of
texturized soy protein. Journal of Food Engineering, 77. 194-199.
CASTILLO, M.D.; MARTÍNEZ, E. J.; GONZÁLEZ, H.H.L.; PACIN, A.M.; RESNIK, S.L. (2003)
Study of mathematical models applied to sorption isotherms of Argentinean black bean varieties
Journal of Food Engineering, 60, 343–348.
CEPEDA, E.; LATIERRO, R.O.; SAN JOSÉ, M.J.; OLAZAR, M. (1999). Water sorption isotherms of
roasted coffee and coffee roasted with sugar. International Journal of Food Science and Technology,
34. 287-290.
CHEN, C. S. (1971). Equilibrium moisture curves for biological materials. Transaction of the ASEA,
14, 924-926.
CHUNG, D.S. & PFOST, H.B. (1967). Adsorption and desorption of water vapor by cereal grains and
their products. Transactions of the American Society of Agricultural Engineers, 10, 549-551.
CHUTINTRASRI, B., NOOMHORM, A. (2006). Thermal inactivation of polyphenoloxidase in
peneapple puree. LWT, 39, 492-495.
CLADERA-OLIVERA, F.; PETTERMANN, A.C.; NOREÑA, C.P.Z., WADA, K.; MARCZAK,
L.D.F. (2008). Thermodynamic properties of moisture desorption of raw pinhão (Araucaria
angustifolia seeds). International Journal of Food Science and Technology, 43, 900-907.
188
CORDENUNSI, B.R.; MENEZES, E.W.; GENOVESE, M.I.; DOLLI, C.; SOUZA, A.G. LAJOLO,
F.M. (2004). Chemical composition and glycemic index of Brazilian pine (Araucaria angustifolia)
seeds. Journal of Agricultural and Food Chemistry, 52, 3412-3416.
CORZO, O.; BRACHO, N. (2004). Shrinkage of osmotically dehydrated sardine sheets at changing
moisture contents. Journal of Food Engineering, 64, 333-339.
CRANK, J. (1975). The mathematics of diffusion. Oxford, UK: Clarendon Press.
DAS, M.; DAS, S.K. (2002). Analysis of moisture sorption characteristics of fish protein myosin.
International Journal of Food Science and Technology, 37. 223-227.
DE JONG, G.I.W.; VAN DEN BERG, C.; KOKELAAR, A.J. (1996). Water vapour sorption behaviour
of original and defatted wheat gluten. International Journal of Food Science and Technology, 31. 519-
526.
DINCER, B., COLAK, A., AYDIN, N., KADIOGLU, A., GUNER, S. (2002). Characterization of
polyphenoloxidase from medlar fruits (Mespilus germanica L., Rosaceae). Food Chemistry, 77, 1-7.
DJERIDANE, M.; YOUSFI, B.; NADJEMI, B.; BOUTASSOUNA, D.; STOCKER, P.; VIDAL, N.
(2006). Antioxidant activity of some Algerian medicinal plants extracts containing phenolic
compounds. Food Chemistry, 97, 654-660.
DOYMAZ, I. (2004). Convective air drying characteristics of thin layer carrots. Journal of Food
Engineering, 61, 359-364.
DOYMAZ, I., & PALA, M. (2003). The thin-layer drying characteristics of corn. Journal of Food
Engineering, 60, 125-130.
DUANGMAL, K., APENTEN, R.K.O. (1999). A comparative study of polyphenoloxidases form taro
(Colocasia esculenta) and potato (Solanum tuberosum var. Romano). Food Chemistry, 64, 351-359.
ERAT, M., SAKIROGLU, H., KUFREVIOGLU, O.I. (2006). Purification and characterization of
polyphenol oxidase form Ferula sp. Food Chemistry, 95, 503-508.
ERBAS, M.; ERTUGAY, M.F.; CERTEL, M. (2005). Moisture adsorption behaviour of semolina and
farina. Journal of Food Engineering, 69. 191-198.
FASINA, O.O. (2006). Thermodynamic properties of sweetpotato. Journal of Food Engineering, 75.
149-155.
FELLOWS, J.P. Tecnologia do Processamento de Alimentos: Princípios e Prática. 2
a
ed., Porto Alegre:
Artmed, 2006.
FENNEMA, O. Química de los Alimentos. 2
a
Ed. Editorial Acribia. Espanha, 2000. 1258p.
189
GAO, L., MAZZA, G. (1996). Extraction of anthocyanin pegments from purple sunflower hulls.
Journal of Food Science, 61, 600-603.
FERRO-FONTAN, C., CHIRIFE, J., SANCHO, E. & IGLESIS, H.A. (1982). Analysis of a model for
water sorption phenomena in foods. Journal of Food Science, 55, 475-477.
GOLI, A.H., BARZEGAR, M., SAHARI, M.A. (2005). Antioxidant activity and total phenolic
compounds of pistachi (Pistachia vera) hull extracts. Food Chemistry, 92, 521-525.
GUINÉ, R.P.F., & FERNANDES, R.M.C. (2006). Analysis of the drying kinetics of chestnuts. Journal
of Food Engineering, 76, 460-467.
HELDMAN, D.R., & HARTEL, R.W. Principles of Food Processing. Chapman & Hall, 2000. 218p.
HELSEY, G. (1948). Physical adsorption on non-uniform surfaces. Journal of Chemistry and Physics,
16, 931-937.
HENDERSON, S. M. (1952). A basic concept of equilibrium moisture. Agricultural Engineering, 33,
29-32.
HEBRARD, A., OULAHNA, D., GALET, L., CUQ, B., ABECASSIS, J., & FAGES, J. (2003).
Hydration properties of durum wheat semolina: Influence of particle size and temperature. Powder
Tecnology, 130, 211-218.
HEYROVSKY, J. (1970). Determination of isokinetic temperature. Nature, 227. 66-67.
HOSSAIN, M.D.; NBALA, B.K.; HOSSAIN, M.A.; MONDOL, M.R.A. (2001). Sorption isotherms
and heat of sorption of pineapple. Journal of Food Engineering, 48. 103-107.
IBANOGLU, S.; MASKANK, M. (2002). Effect of cooking on the drying behaviour of tarhana dough,
a wheat flour-yoghurt misture. Journal of Food Engineering, 54. 119-123.
IGLESIAS, H.A. & CHIRIFE, J. (1976). Prediction of the effect of temperature on water sorption
isotherms of food material. Journal of Food Technology, 11, 109-116.
IGLESIAS, H.A. & CHIRIFE, J. (1978). An empirical equation for fitting water sorption isotherms of
fruits and related products. Canadian Institute of Food Science and Technology Journal, 11, 12-15.
JAY, J. Microbiologia de Alimentos. Porto Alegre: Artmed, 2005.
JOHNSON, P.N.T.; BRENNAN, J.G. (2000). Moisture sorption isotherm characteristics of plantain
(Musa, AAB). Journal of Food Engineering, 44. 79-84.
KAYMAK-ERTEKIN, F.; GEDIK, A. Sorption isotherms and isosteric heat of sorption for grapes,
apricots, apples and potatoes. (2004). Lebensn. Wiss. U. Technol., 37, 429-438.
190
KIRANOUDIS, C.T., MAROULIS, Z.B, & MARINOS-KOURIS, D. (1992). Drying kinetics of onions
and green peppers. Drying Technology, 10 (4), 995-1011.
KOWALSKA, H.; LENART, A. (2001). Mass exchange during osmotic pretreatment of vegetables.
Journal of Food Engineering, 49. 137-140.
KRAMER, G.V.; JONG, E.V.; NOREÑA, C.P.Z. Estudo das operações preliminares ao processamento
e armazenamento do pinhão. In: XVI Salão de Iniciação Científica da UFRGS, Porto Alegre, 2004.
Perez-Bello, L.A., García-Suárez, F.J., Méndez-Montealvo, G., Nascimento, J.R.O., Lajolo, F.M.,
Cordenunsi, B.R. (2006). Isolation and characterization of starch from seeds of Araucaria brasiliensis:
A novel starch for application in food industry. Starch, 58, 283-291.
KROKIDA, M.K.; OREOPOULOU, V.; MAROULIS, Z.B.; MARINOS-KOURIS, D. (2001). Effect
of osmotic dehydration pretreatment on quality of French fries. Journal of Food Engineering, 49, 339-
345.
KRUG, R.R.; HUNTER, W.G.; GREIGER, R.A. (1976a). Enthalpy-entropy compensation. 2.
Separation of the chemical from the statistical effect. Journal of Physics Chemistry, 80. 2335-2342.
KRUG, R.R.; HUNTER, W.G.; GREIGER, R.A. (1976b). Enthalpy-entropy compensation. 1. Some
fundamental statistical problems associated with the van´tHoff and Arrhenius data. Journal of Physics
Chemistry, 80. 2335-2342.
LABUZA, T.P. (1968). Sorption phenomea in foods. Food Technology, 22, 263-272.
LABUZA, T.P. (1980). Enthalpy-entropy compensation in food reactions. Food Technology, 34. 67-77.
LEERATANARAK, N.; SAKAMON, D., & CHIEWCHAN, N. (2006). Drying kinetics and quality of
potato chips undergoing different drying techniques. Journal of Food Engineering, 77, 635-643.
LEFFLER, J.E. (1955). The enthalpy-entropy relationship and its implications for organic chemistry,
Journal of Organic Chemistry, 20, 1202-1231.
LEFFLER, J.E. & GRUNWALD, E. (1963). Rates and equilibria of organic reactions. New York:
Wiley.
LEHNINGER, A.L. Princípios de Bioquímica. 2
a
Ed: Sarvier, SP, 1995. 839p.
LEITE, D.M.C. ; JONG, E. V. ; NOREÑA, C. P. ; BRANDELLI, A. (2008). Nutritional evaluation of
Araucaria angustifolia seed flour as a protein complement for growing rats. Journal of the Science of
Food and Agriculture, 88, 1166-1171.
LI, C et al. Optimizing of a cultural medium for bacteriocin production by Lactococcus lactis using
response surface methodology. Journal of Biotechnology, Amsterdam, v. 93, p.27-34, 2002.
191
LIMA, E.C., ROYER, B., VAGHETTI, J.C.P., BRASIL, J.L., SIMON, N.M., DOS SANTOS,
A.A.JR., PAVAN, F.A., DIAS, S.L.P., BENVENUTTI, E.V., & DA SILVA, E.A. (2007). Adsorption
of Cu(II) on Araucaria angustifolia wastes: Determination of the optimal conditions by statistic design
of experiments. Journal of Hazardous Materials, 140, 211-220.
LIYANA-PATHIRANA, C., & SHAHIDI, F. (2005). Optimization of extraction of phenolic
compounds from wheat using response surface methodology. Food Chemistry, 93, 47-56.
LOBATO, L.P., STAHL, F.A., BOCHI, V.C., KUBOTA, E., MONTAGNER, S.T., KRIESE, P.R.,
COSTABEBER, I., EMANUELLI, T. Composição centesimal do amido de pinhão: nativo e
modificado por fosfatação. Anais do XXIII Congresso Brasileiro de Ciência e Tecnologia de
Alimentos, SBCTA, Porto Alegre, 2002. 2586-2590.
LOMAURO, C.J.; BAKSHI, A.S.; LABUZA, T.P. (1985). Evaluation of food moisture sorption
isotherm equations. Part I: Fruit, vegetable and meat products. Lebensmittel-Wissenschaft &
Technologie, 18(2), 111-117.
LOPEZ, A., IGUAZ, A., ESNOZ, A., & VIRSEDA, P. (2000). Thin layer drying behaviour of
vegetable wastes from wholesale market. Drying Technology, 18, 995-1006.
MADAMBA, P.S.; DRISCOLL, R.H.; BUCKLE, K.A. (1996). Enthalpy-entropy compensation
models for sorption and browning of garlic. Journal of Food Engineering, 28, 109-119.
MAROUSIS, S.N., KARATHANOS, V.T., SARAVACOS, G.D. (1989). Effect of sugars on the water
diffusivity in hydrated granular starches. Journal of Food Science, 54, 1496-1552.
MAROUZÉ,C.; GIROUX, F.; COLLIGNAN, A.; RIVIER, M. (2001). Equipment design for osmotic
treatments. Journal of Food Engineering, 49. 207-221.
MARTINEZ, M.V., WHITAKER, J.R. (1995). The biochemistry and control of enzymatic browning.
Trends in Food Science and Technology, 6, 195-200.
MATÉ, J.I., QUARTAERT, C., MEERDINK, G., & VAN´T RIED, K. (1998). Effect of blanching on
structural quality of dried potato slices. Journal of Agricultural and Food Chemistry, 46, 676-681.
MAURO, M.A.; MENEGALLI, F.C. (2003). Evaluation of water and sucrose diffusion coefficients in
potato tissue during osmotic concentration. Journal of Food Engineering, 57. 367-374.
MCLAUGHLIN, C.P., & MAGEE, T.R.A. The determination of sorption isotherm and the isosteric
heats of sorption for potatoes. Journal of Food Engineering 1998, 35, 267-280.
MCMINN, W.A.M.; MAGEE, T.R.A. (2003). Thermodynamic properties of moisture sorption of
potato. Journal of Food Engineering, 60. 157-165.
192
MEDINA-VIVANCO, M.; SOBRAL, P.J.A.; HUBINGER, M.D. (2002). Osmotic dehydration of
tilapia fillets in limited volume of ternary solutions. Chemical Engineering Journal, 86. 199-205.
MINOLTA, Precise color communication color control from perception to instrumentation. Japão:
Minolta Co., Ltd., 1998, 59p
MORALES-BLANCA, E.F.; CHANDIA, V.E.; CISNEROS-ZEVALLOS, L. (2002). Termal
inactivation kinetics of peroxidase and lipoxygenase from brócoli, green asparagus and carrots. Journal
of Food Science, 67(1), 146-154.
MOREIRA, R.; SERENO, A.M. (2003). Evaluation of mass transfer coefficients and volumetric
shrinkage during osmotic dehydration of apple using sucrose solutions in static and non-static
conditions. Journal of Food Engineering,57. 25-31.
MOYANO, P.C.; ZÚÑIGA. (2004). Enthalpy-entropy compensation for browning of potato strips
during deep-fat frying. Journal of Food Engineering, 63. 57-62.
MULET, A., BLASCO, M., GARCÍA-REVERTER, J., GARCÍA-PÉREZ, J.V. (2005). Drying kinetics
of Curcuma longa Rhizomes. Journal of Food Science, 70, 318-323.
MYERS, R.H., & MONTGOMERY, R.C. Response Surface Methodology: Process and product
optimization using designed experiments. Wiley, New York, 2002.
NEPOTE, V.; GROSSO, N.R.; GUZMÁN, C.A. (2005). Optimization of extraction of phenolic
antioxidants from peanut skins. Journal of the Science of Food and Agriculture, 85, p.33-38.
OH, S. et al. Optimizing conditions for the growth of Lactobacillus casei YIT9018 in tryptone-glucose
medium by using response surface methodology. Applied and Environmental Microbiology,
Washington, v.61, p.3809-3814, 1995.
OLIVAS, R., MOLINA, F.J., PÉREZ, A., & ORTEGA, E. (1999). Development of mathematical
model for drying of jalapeño peppers in batch process. Conference in meeting of American Institute of
Chemical Engineers, New York, USA.
ORDOÑEZ, J.A., CAMBERO, M.I.R., FERNÁNDEZ, L.A., GARCÍA SANZ, M.L., GARCÍA DE
FERNANDO, G.D., HOZ PERALES, L., SELGAS CORTECER, M.D. Tecnologia de Alimentos,
volume 1: Componentes dos Alimentos e Processos. Porto Alegre: Artmed, 2005.
OZEN, A., COLAK, A., DINCER, B., GUNER, S. (2004). A diphenolase from persimmon fruits
(Diospyros kaki L., Ebenaceae). Food Chemistry, 85, 431-437.
PALOU, E., PEZ-MALO, A., & ARGAIZ, A. (1997). Effect of temperature on the moisture
sorption isotherms of some cookies and corn snacks. Journal of Food Engineering, 31, 85-93.
193
PARK, K.J.; VOHNIKOVA, Z. & BROD, F.P.R. (2002). Evaluation of drying parameters and
desorption isotherms of garden mint leaves. Journal of Food Engineering, 51, 193-199.
PEARSON, D. (1975). Laboratory techniques in food analysis, London, UK: Butterworth & Co. Ltd.
PELEG, M. (1993). Assessment of a semi empirical four parameter general model for sigmoid
moisture sorption isotherms. Journal of Food Processing Engineering, 16(1), 21-37.
PINELO, M., DEL FABBRO, P., MARZOCCO, L., NUNEZ, M.J., VICOLI, M.C. (2005).
Optimization of continuous phenol extraction from Vitis vinifera byproducts. Food Chemistry, 92, 109-
117.
PROJETO PINHÃO. Disponível em: http://www.ecoplan.org.br/port/projetos/pinhao02.htmL Acesso
em: 15/03/2008.
RAPEANU, G., VAN LOEY,A., SMOUT, C., HENDRICKX, M. Biochemical characterization and
process stability of polyphenoloxidase extracted from Victoria grape (Vitis vinifera spp. Sativa). Food
Chemistry, 94, 253-261.
KAVRAYAN, D., AYDEMIR, T. (2001). Partial purification and characterization of
polyphenoloxidase from peppermint (Mentha piperita). Food Chemistry, 74, 147-154.
RAO, V.G.; PFOST, H.B. (1978). Physical properties related to drying 20 grains. ASAE paper no. 78.
St. Joseph, Michigan: American Society of Agricultural Engineers. 3539.
RASTOGI, N.K.; RAGHAVARAO, K.S.M.S.; NIRANJAN, K.; KNORR, D. (2002). Recent
developments in osmotic dehydration: methods to enhance mass transfer. Food Science and
Technology, 13. 48-59.
RASTOGI, N.K.; RAGHAVARAO, K.S.M.S. (2004). Mass transfer during osmotic dehydration of
pineapple: considering Fickian diffusion in cubical configuration. Lebensmittel-Wissenschaft &
Technologie, 37. 43-47.
REITZ, R.; KLEIN, R.M.; REIS, A. (1978). Projeto Madeira de Santa Catarina, Separata 28 de
Sellowia-Herbário Barbosa Rodrigues, Itajaí.
RIBEIRO, P.A.M. (2000). Os mais antigos caçadores-coletores do sul do Brasil. In: Tenório, M.C.
(Org.). Pré-história da Terra Brasilis. Editora UFRGS. 380p.
RICE-EVANS, C.A., MILLER, N.J., PAGANGA, G. (1997). Antioxidant properties of phenolic
compounds. Trends in Plant Science, 2, 152-159.
194
RODRIGUES, A.C.C.; CUNHA, R.L.; HUBINGER, M.D. (2003). Rheological properties and colour
evaluation of papaya during osmotic dehydration processing. Journal of Food Engineering, 59. 129-
135.
ROSA, M.D.; GIROUX, F. (2001). Osmotic treatments (OT) and problems related to the solution
management. Journal of Food Engineering, 49. 223-236.
ROWLAND, I. (1999). Optimal nutrition: fibre and phytochemicals. Proceedings of the Nutrition
Society, 58, 415-420.
SABLANI, S.S.; ARMAN, M.S. (2003). Effect of syrup concentration, tempeature and sample
geometry on equilibrium distribution coefficients during osmotic dehydration of mango. Food
Research International, 36. 65-71.
SANDOVAL, A.J. & BARREIRO, J.A. (2002). Water sorption isotherms of non-fermented cocoa
beans. Journal of Food Engineering, 51, 119-123.
SANTOS, A.J. dos; CORSO, N. M.; MARTINS, G.; BITTENCOURT, E. (2002). Aspectos produtivos
e comerciais do pinhão no Estado do Paraná, Floresta, 32 (2). p.163-169.
SARAVACOS, G. D.; TSIOURVAS, D.A.; TSAMI, E. (1986). Effect of temperature on the watr
adsorption isotherms of sultana raisins. Journal of food Science, 51, 381-383.
SCHMITZ, P.I. (2000). O Guarani: História e Pré-História. In: Tenório, M.C. (Org.). Pré-história da
Terra Brasilis. Editora UFRGS. 380p.
SHIVHARE, U.S.; ARORA, S.; AHMED, J.; RAGHAVAN, G.S.V. Moisture adsorption isotherms for
mushroom. Lebensmittel-Wissenschaft & Technologie, 37. 133-137.
SILVA, N.; JUNQUEIRA, V. C. A.; SILVEIRA, N. F. A. Manual de métodos de análise
microbiológica de alimentos. Livraria Varela, SP. 295p. 1997.
SILVEIRA, C.F.B. da; RODRIGUES, G.G.; GUERRA, T. (2007). A coleta de pinhão na Floresta
Nacional de São Francisco de Paula, RS: Uso potencial sustentável, Brazilian Journal of Biosciences,
5, p.93-95.
SMITH, S.E. (1947). The sorption of water vapour by high polymers. Journal of the American
Chemical Society, 69, 646.
SOYSAL, C., SOYLEMEZ, Z. (2005). Kinetic and inactivation of carrot preoxidase by heat treatment.
Journal of Food Engineering, 68, 349-356.
195
SPEISS, W.E.L.; WOLF, W. (1987). Critical evaluation of methods to determine moisture sorption
isotherms. In: Atividade de água; Theory and Applications to Foods (Rockland L B; Beuchat L R, eds),
pp 215-233. Marcel Dekker Inc., New York.
SPIGNO, G., TRAMELLI, L., & FAVERI, D.M. (2007). Effects of extraction time, temperature and
solvent on concentration and antioxidant activity of grape marc phenolics. Journal of Food
Engineering, 81, 200-208.
STAHL, J.A., LOBATO, L.P., BOCHI, V.C., KUBOTA, E., COSTABEBER, I., EMANUELLI, T.
Modificação química de amido de pinhão com médio e alto grau de fosfatação. Anais do XXIII
Congresso Brasileiro de Ciência e Tecnologia de Alimentos, SBCTA, Porto Alegre, 2002. 2578-2581.
STENEL, J. (2004). Modelling the water sorption isotherms of yoghurt powder spray. Mathematics
and Computers in Simulation, 65, 157-164.
TEDJO, W.; TAIWO, K.A.; ESHTIAGHI, M.N.; KNORR, D. (2002). Comparison of pretreatment
methods on water and solid diffusion kinetics of osmotically dehydrated mangos. Journal of Food
Engineering, 53. 133-142.
TELIS, V.R.N., GABAS, A.L., MENEGALLI, F.C. & TELIS-ROMERO, J. (2000). Water sorption
thermodynamic properties applied to persimmon skin and pulp. Thermochimica Acta, 343, 49-56.
TELIS, V.R.N.; MURARI, R.C.B.D.L.; YAMASHITA, F. (2004). Diffusion coefficients during
osmotic dehydration of tomatoes in ternary solutions. Journal of Food Engineering, 61. 253-259.
THAKOR, N.J., SOKHANSANJ, S., SOSULSKI, F.W., & YANNACOPOULOS, S. (1999). Mass and
dimensional changes of single canola kernels during drying. Journal of Food Processing
Engineering,40, 153-160.
TIMMERMANN, E.O., CHIRIFE, A., & IGLESIAS, H.A. (2001). Water sorption isotherms of foods
and foodstuffs: BET or GAB parmeters? Journal of Food Engineering, 48, 19-31.
TOLABA, M.P.; PELTZER, M.; ENRIQUEZ, N.; POLLIO, M.L. (2004). Grain sorption equilibria of
quinoa grains. Journal of Food Engineering, 61. 365-371.
TORRINGA, E.; ESVELD, E.; SCHEEWE, I.; VAN DEN BERG, R. BARTELS, P. (2001). Osmotic
dehydration as a pré-treatment before combined microwave-hot-air drying of mushrooms. Journal of
Food Engineering, 49. 184-191.
TSAMI, E. (1991). Differential enthalpy of sorption in dried fruits. Journal of Food Engineering, 14,
327-335.
196
TSAMI, E.; MAROULIS, Z.B.; MARINOS-KOURIS, D.; SARACAVOS, G.D. (1990). Heat of
sorption of water in dried foods. International Journal of Food Science and Tchnology, 25, 350-359.
UDDIN, M.B.; AINSWORTH, P.; IBANOGLU, S. (2004). Evaluation of mass exchange during
osmotic dehydration of carrots using response surface methodology. Journal of Food Engineering, 65.
473-477.
URQUHART, A.R. (1959). Sorption of water by cellulose and starch. In J. Honeymand (Ed.), Recent
advances in the chemistry of cellulose and starch. London: Heywood & Company.
UZMAN, D., SAHBAZ, F. (2000). Drying kinetics of hydrated and gelatinized corn starches in te
presence of sucrose and sodium chloride. Journal of Food Science, 65, 115-122.
VAN DEN BERG, C. (1985). Development of B.E.T. like models for sorption of water of foods;
therory and relevance. In D. Simatos & J.L. Multon (Eds), Properties of water in foods (119-135).
VISWANATHAN, R.; JAYAS, D.S.; HULASARE, R.B. (2003). Sorption isotherms of tomato slices
and onion shreds. Biosystems Engineering, 86. 465-472.
WELTI-CHANES, J.; VERGARA, B.F. (1997). Actividad de agua. Concepto y aplicación en
alimentos con alto contenido de humedad. In J.M. Aguilera (Ed.) Temas en Tecnología de Alimentos.
México.
WEEMAES, C.A., LUDIKHUYZE, L.R., VAN DEN BROECK, I., HENDRICKX, M.E., TOBBACK,
P.P. (1998). Activity, electrophoretic characteristics and heat inactivation of polyphenoloxidases from
apples, avocados, grapes, pears and plums. Lebensm Wiss u Technol, 31, 44-49.
WETTASINGHE, M., & SHAHIDI, F. (1999). Evening primrose meal: A source of natural
antioxidants and scavenger of hydrogen peroxide and oxygen-derived free radicals. Journal of
Agricultural and Food Chemistry, 47, 1801-1812.
WOLF, W., SPIESS, W.E.L., & JUNG, G. (1985). Standardization of isotherms measurements (COST-
PROJECCT 90 and 90 bis). In D. Stimatos & J.L. Multon (Eds.), Properties of water in foods in
relation to quality and stability (pp. 661-679). Martinus Nijhoff Publishers, Dordrecht.
YILMAZ, Y., TOLEDO, R.T. (2006). Oxygen radical absrobance capacities of grape/wine industry
byproducts and effect of solvent type on extraction of grape seed polyphenos. Journal of Food
Composition and Analysis, 19, 41-44.
YOUNG, J.F. (1967) Humidity control in the laboratory using salt solutions a review. Journal of
Applied Chemistry, 17, 241-245.
197
YU, J.; AHMEDNA, M.; GOKTEPE, I. (2005). Effects of processing methods and extraction solvents
on concentration and antioxidant activity of peanut skin phenolics. Food Chemistry, 90. 199-206.
ZAINOL, M.K., ABD-HAMID, A., YUSOF, S., MUSE, R. (2003). Antioxidant activity and total
phenolic compounds of leaf, root and petiole of four accessions of Centella asiatica (L.) urban. Food
Chemistry, 81, 575-581.
ZANDAVALLI, R.B.; DILLENBURG, L.R.; DE SOUZA, P.V.D. (2004). Growth response of
Araucaria angustifolia (Araucariaceae) to inoculation with the mycorrhizal fungus Glomus clarum.
Applied Soil Ecology, 24, 245-255.
Livros Grátis
( http://www.livrosgratis.com.br )
Milhares de Livros para Download:
Baixar livros de Administração
Baixar livros de Agronomia
Baixar livros de Arquitetura
Baixar livros de Artes
Baixar livros de Astronomia
Baixar livros de Biologia Geral
Baixar livros de Ciência da Computação
Baixar livros de Ciência da Informação
Baixar livros de Ciência Política
Baixar livros de Ciências da Saúde
Baixar livros de Comunicação
Baixar livros do Conselho Nacional de Educação - CNE
Baixar livros de Defesa civil
Baixar livros de Direito
Baixar livros de Direitos humanos
Baixar livros de Economia
Baixar livros de Economia Doméstica
Baixar livros de Educação
Baixar livros de Educação - Trânsito
Baixar livros de Educação Física
Baixar livros de Engenharia Aeroespacial
Baixar livros de Farmácia
Baixar livros de Filosofia
Baixar livros de Física
Baixar livros de Geociências
Baixar livros de Geografia
Baixar livros de História
Baixar livros de Línguas
Baixar livros de Literatura
Baixar livros de Literatura de Cordel
Baixar livros de Literatura Infantil
Baixar livros de Matemática
Baixar livros de Medicina
Baixar livros de Medicina Veterinária
Baixar livros de Meio Ambiente
Baixar livros de Meteorologia
Baixar Monografias e TCC
Baixar livros Multidisciplinar
Baixar livros de Música
Baixar livros de Psicologia
Baixar livros de Química
Baixar livros de Saúde Coletiva
Baixar livros de Serviço Social
Baixar livros de Sociologia
Baixar livros de Teologia
Baixar livros de Trabalho
Baixar livros de Turismo