Download PDF
ads:
ANA PAULA OLIVEIRA RODRIGUES
ESTUDO DOS EFEITOS DE OSMÓLITOS DE OCORRÊNCIA NATURAL
“BETAÍNA E ÓXIDO DE TRIMETILAMINA” NA TRANSMISSÃO
NEUROMUSCULAR, NA JUNÇÃO MIONEURAL E NO PROCESSO DE
ACOPLAMENTO EXCITAÇÃO-CONTRAÇÃO DE MÚSCULO ESTRIADO
ESQUELÉTICO DE MAMÍFERO.
Dissertação apresentada ao Programa de Pós-
Graduação em Biologia Celular e Molecular, do
Setor de Ciências Biológicas da Universidade
Federal do Paraná UFPR. Orientador: Prof.
Doutor Rosalvo Tadeu Hochmuller Fogaça,
Universidade Federal do Paraná, Paraná, Brasil.
CURITIBA
2006
ads:
Livros Grátis
http://www.livrosgratis.com.br
Milhares de livros grátis para download.
ii
ANA PAULA OLIVEIRA RODRIGUES
ESTUDO DOS EFEITOS DE OSMÓLITOS DE OCORRÊNCIA NATURAL
“BETAÍNA E TMAO” NA TRANSMISSÃO NEUROMUSCULAR, NA JUNÇÃO
MIONEURAL E NO PROCESSO DE ACOPLAMENTO EXCITAÇÃO-CONTRAÇÃO
DE MÚSCULO ESTRIADO ESQUELÉTICO DE MAMÍFERO.
Dissertação apresentada ao Programa de Pós-
Graduação em Biologia Celular e Molecular, do
Setor de Ciências Biológicas da Universidade
Federal do Paraná UFPR. Orientador: Prof.
Doutor Rosalvo Tadeu Hochmuller Fogaça,
Universidade Federal do Paraná, Paraná, Brasil.
CURITIBA
2006
ads:
iii
À minha mãe Ana e
irmãs Ana Ruth e Ana Cláudia.
iv
AGRADECIMENTOS
A Deus, pela vida, amor e alegria de estar prosseguindo nesta caminhada.
Ao meu orientador Prof. Dr. Rosalvo Tadeu Homchmuller Fogaça pela amizade e por ter me
ensinado que a ciência não se faz em poucas horas, mas sim em investigação científica rica na
observação e experimentação, com perseverança e muita dedicação. E principalmente, pela
sua paciência comigo.
À Profª Drª Ilana Kassouf Silva e Prof. Dr. Carlos E.N. Damiani pelas suas orientações
durante estes dois anos de laboratório.
Aos colegas de laboratório Marcos, Laura e Fernando pela amizade, companheirismo e pelo
auxílio na realização dos experimentos.
À minha mãe e familiares pela educação, apoio e por acreditarem em mim.
Ao meu companheiro e amigo Maurício Staude e sua família pela paciência e apoio.
v
SUMÁRIO
Lista de Abreviaturas .............................................................................................................. vii
Lista de Figuras ....................................................................................................................... ix
Lista de Quadros ...................................................................................................................... xi
Lista de Tabelas ...................................................................................................................... xii
Resumo .................................................................................................................................. xiii
Summary ........................................................................................................................….... xiv
INTRODUÇÃO ...................................................................................................................... 01
1.1 Acoplamento Excitação-Contração ................................................................................... 02
1.1. 1 AEC no Músculo Esquelético ....................................................................................... 03
1.1.2 Bases moleculares do AEC ............................................................................................ 06
1.2 Efeitos da Hipertonicidade sobre o AEC de Músculo Estriado Esquelético .................... 16
1.3 Osmólitos Naturais ........................................................................................................... 18
II. OBJETIVOS ....................................................................................................................... 21
III. MATERIAIS E MÉTODOS ............................................................................................ 22
3.1. Materiais ........................................................................................................................... 22
3.1.1. Drogas e Reagentes ....................................................................................................... 23
3.2. Métodos ............................................................................................................................ 24
3.2.1. Músculo Intacto ............................................................................................................. 24
3.2.2. Fibra muscular desmembranada com uso de saponina ................................................. 28
3.3. Estatística ..........................................................................................................................31
IV. RESULTADOS ............................................................................................................... 33
4.1. Efeito da betaína e sacarose na contração muscular induzida por potássio ..................... 33
4.2. Efeito da betaína e sacarose sobre a contração cafeínica ................................................. 36
4.3. Efeito da betaína e sacarose na produção de força muscular induzida por EEI ............... 39
vi
4.3.1. Efeito da exposição súbita de 300 mM de betaína ou sacarose na produção de força
muscular induzida por EEI .......................................................................................... 43
4.4. Efeito da betaína e sacarose na produção de força muscular induzida por EED ............. 46
4.4.1. Efeito da exposição súbita de 300 mM de betaína ou sacarose na produção de força
muscular induzida por EED ........................................................................................ 48
4.5. Efeito do TMAO na produção de força muscular induzida por EEI ............................... 51
4.6. Efeito do TMAO na produção de força muscular induzida por EED...............................56
4.7. Efeito da betaína e da sacarose em fibra muscular esquelética desmembranada com
uso de saponina ........................................................................................................... 58
V. DISCUSSÃO .................................................................................................................... 62
VI. CONCLUSÃO ................................................................................................................. 72
VII. REFERÊNCIAS BIBLIOGRÁFICAS ........................................................................... 74
vii
LISTA DE ABREVIATURAS
ACh acetilcolina
AEC acoplamento excitação-contração
apoCaM calmodulina livre de cálcio
Asp ácido aspártico
ATP trifosfato de adenosina
Ca
2+
íon cálcio
Ca
2+
CaM cálcio ligado à calmodulina
CaCl
2
cloreto de cálcio
Caf. cafeína
CaM calmodulina
CaMK calmodulina proteína quinase
CSQ calsequestrina
CICR liberação de cálcio induzida por cálcio
Cl
-
íon cloreto
CTD domínio carboxi-terminal
DHPR receptor dihidropiridínico
DTB d- tubocurarina
EGTA ácido etileno-bis(β-amino-etil-éter-N,N,N’,N’-tetracético)
EED estimulação elétrica direta
EEI estimulação elétrica indireta
Fmáx força máxima
Glu ácido glutâmico
IP
3
trifosfato de inositol
viii
IP
3
R receptor de trifosfato de inositol
K
+
íon potássio
KCl cloreto de potássio
kDa quilodalton
KMSO
4
metanossulfonato de potássio
Mg
2+
íon magnésio
MgCl
2
cloreto de magnésio
Na
+
íon sódio
NaCl cloreto de sódio
NaHCO
3
bicarbonato de sódio
NTD domínio amino-terminal
RS retículo sarcoplasmático
RyR receptor rianodínico
SERCA bomba de Ca
2+
/ATPase do retículo sarcoplasmático
Sol. solução
TMAO óxido de trimetilamina
TnC troponina C
ix
LISTA DE FIGURAS
Fig.1. Tríade juncional ............................................................................................................ 04
Fig.2. Seqüência do Acoplamento Excitação-Contração......................................................... 05
Fig.3. Receptor DHPR de músculo esquelético ...................................................................... 07
Fig.4. Receptor DHPR de músculo cardíaco .......................................................................... 08
Fig.5. Receptor Rianodínico.................................................................................................... 09
Fig.6. Interações proteína-proteína no retículo sarcoplasmático ............................................ 10
Fig.7. Calmodulina ................................................................................................................. 11
Fig.8. Interação triadina - RyR ................................................................................................ 13
Fig.9. Interação DHPR-RyR ................................................................................................... 14
Fig.10. Registro original de um experimento de contração potássica ..................................... 34
Fig.11.Efeito de soluções hipertônicas na produção de força muscular induzida por
substituição isotônica de NaCl por KCl (100 mM) ..................................................... 35
Fig.12. Registro original de um experimento de produção de força muscular induzida por
cafeína ......................................................................................................................... 37
Fig.13. Efeito de soluções hipertônicas ajustadas com betaína ou sacarose na contração
muscular induzida pela cafeína (3 mM) ..................................................................... 38
Fig.14. Registro original de experimento de contração muscular induzida por EEI em
solução contendo sacarose ......................................................................................... 40
Fig.15. Registro original de experimento de contração muscular induzida por EEI em
solução contendo betaína .......................................................................................... 41
Fig.16. Efeito de soluções hipertônicas ajustadas com betaína ou sacarose na produção de
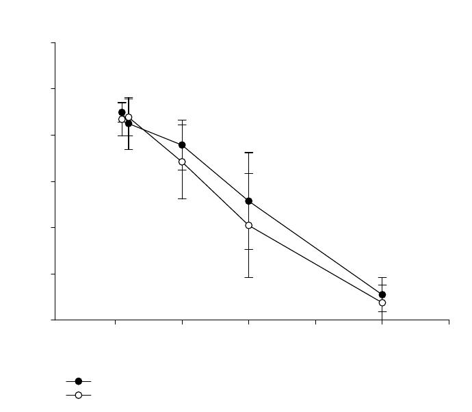
força muscular induzida por EEI .............................................................................. 42
Fig.17. Registros originais de experimentos de produção de força muscular induzida por
EEI na exposição súbita de 300 mM de betaína ou sacarose .................................... 44
Fig.18. Efeito da betaína e sacarose (300 mM) na contração muscular induzida por EEI..... 45
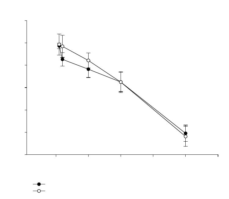
Fig.19. Efeito da betaína e sacarose na produção de força muscular induzida por EED........47
Fig.20. Registros originais de experimentos de produção de força muscular induzida por
EED na exposição súbita de 300 mM de betaína ou sacarose ................................... 49
Fig.21. Efeito da betaína e da sacarose (300 mM) na produção de força muscular induzida
por EED .................................................................................................................... 50
Fig.22. Registro original de experimento de contração muscular induzida por EEI em
soluções com TMAO ............................................................................................... 52
x
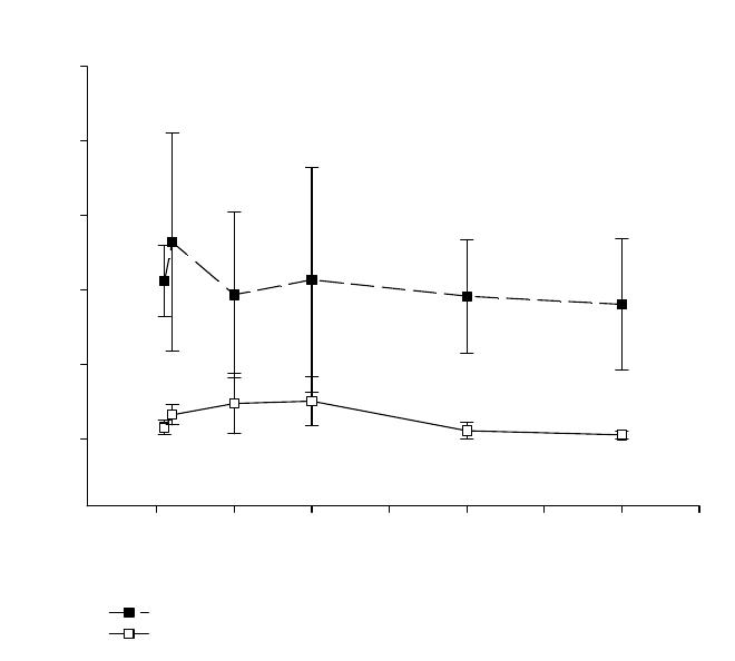
Fig.23. Efeito do TMAO e da sacarose na contração basal de experimento de contração
muscular induzida por EEI ...................................................................................... 53
Fig.24. Efeito do TMAO e da sacarose no abalo muscular induzida por EEI ..................... 54
Fig.25. Efeito do TMAO e da sacarose na amplitude máxima de contração muscular
induzida por EEI ..................................................................................................... 55
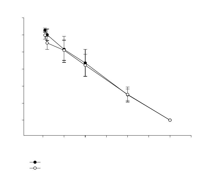
Fig.26. Efeito do TMAO e da sacarose na produção de força muscular induzida por EED 57
Fig.27 Registro original de um experimento de fibra muscular esquelética desmembranada
com uso de saponina ................................................................................................59
Fig.28. Efeito da betaína e sacarose na produção de força muscular de fibra
desmembranada com saponina ( Representação gráfica com dados normalizados
em relação à cafeína 30 mM) ................................................................................. 60
Fig.29. Efeito da betaína e sacarose na produção de força muscular de fibra
desmembranada com saponina ( Representação gráfica com dados normalizados
em relação à cafeína 3 mM) ................................................................................... 61
xi
LISTA DE QUADROS
Quadro 1. Drogas e Reagentes ................................................................................................ 23
Quadro 2. Protocolo de contração potássica ........................................................................... 25
Quadro 3. Protocolo de contração cafeínica ............................................................................
26
Quadro 4. Protocolo de contração muscular induzida por EEI ................................................27
Quadro 5. Protocolo de contração muscular induzida por EEI (exposição súbita de fibra
muscular à 300 mM de soluto) .............................................................................. 27
Quadro 6. Protocolo de contração induzida por estimulação elétrica direta ...........................28
Quadro 7. Protocolo de contração muscular induzida por EED (exposição súbita de fibra
muscular à 300 mM de soluto) .............................................................................. 28
Quadro 8. Protocolo de fibra desmembranada com uso de saponina .................................... 30
xii
LISTA DE TABELAS
Tabela 1. Duração das Fases do AEC em músculo esquelético .............................................. 06
Tabela 2. Composição das soluções empregadas em experimentos com fibra
desmembranada .........................................................................................................31
Tabela 3. Produção de força muscular induzida por EEI .........................................................39
Tabela 4. Produção de força muscular induzida por EED ....................................................... 46
1
INTRODUÇÃO
Diversos organismos submetidos a situações de estresse de água acumulam
intra e extracelularmente osmólitos naturais, como o óxido de trimetilamina (TMAO),
betaína, sarcosina, taurina, entre outros (Yancey et al., 1982). O aumento da tonicidade do
meio extracelular promove movimento de água para fora da célula com resultante aumento da
força iônica intracelular promovendo redução na produção de força muscular pelo aparato
contrátil (Vaughan et al., 1983; Gordon & Godt, 1970). O processo de acoplamento
excitação-contração (AEC) é provavelmente, uma das etapas afetadas por soluções
hipertônicas. Visando estudar os efeitos destes osmólitos naturais sobre o músculo estriado
esquelético, avaliamos os efeitos da betaína e do TMAO sobre a transmissão neuromusculas,
a junção mioneural e sobre o AEC de músculo estriado esquelético.
A contração muscular é regulada por mudanças na conformação dos filamentos
finos. Quando o músculo encontra-se relaxado, a tropomiosina oclui o sítio de ligação da
miosina no filamento de actina, inibindo a actomiosina-ATPase (Cooke, 1997; Vibert et
al.,1997). A ativação da contração muscular depende da presença de íons cálcio no meio
intracelular (Ashley et al., 1991; Lamb & Stephenson, 1990; Brenner, 1986; Brenner, 1988).
A despolarização do sarcolema e a consequente liberação de íons cálcio do retículo
sarcoplasmático (RS) levam ao aumento da concentração de Ca
2+
citoplasmático. O cálcio
livre liga-se a sítios de baixa afinidade existentes na molécula da troponina C (TnC),
resultando em modificações conformacionais do complexo troponina-tropomiosina (Guth &
Potter, 1987; Brenner, 1986). A tropomiosina move-se desbloqueando o sítio e permitindo a
interação cíclica das pontes transversas da miosina com a actina a qual resulta na produção de
força pelo sistema contrátil, ou em seu encurtamento (Brenner, 1986; Vibert et al.,1997). O
relaxamento muscular é obtido graças a mecanismos de transporte ativo de íons cálcio do
2
citoplasma para o RS através da SERCA (bomba de Ca
2+
/ATPase) presente na membrana
longitudinal do RS (Bers et al., 1990; Wolska & Lewartowski, 1993).
1.1. Acoplamento Excitação-Contração
O músculo esquelético é ativado por uma série de eventos altamente
organizados que são coletivamente denominados acoplamento excitação-contração
(Sperelakis,1998). Fisiologicamente, o AEC é o processo no qual a despolarização da
membrana citoplasmática induz, pela ativação de sensores de voltagem do sarcolema, a
liberação de íons cálcio de estoques do retículo sarcoplasmático (Brenner, 1991, Dirksen,
2002, Lacampagne et al., 2000). Existem três processos que podem ser distinguidos no
acoplamento excitação-contração: 1) sensibilização à voltagem, no túbulo-T; 2) transmissão
do sinal e 3) liberação de Ca
2+
do retículo sarcoplasmático (Rios et al.,1992; Rios et al.,
1991).
As duas principais proteínas envolvidas neste processo de AEC são os
receptores dihidropiridínicos (DHPRs) e os receptores rianodínicos (RyRs), sendo ambos
canais de Ca
2+
(Hamilton et al., 2000). A proteína-receptor DHP está presente na membrana
do túbulo-T do músculo esquelético e tem a função de sensor de voltagem do sarcolema e de
canal de Ca
2+
tipo-L (Dulhunty et al.,2002), enquanto os RyRs estão presentes na membrana
do RS (Franzini-Armstrong & Protasi, 1997). Assim, a abertura dos canais de cálcio presentes
na cisterna terminal do RS (RyRs) e a conseqüente liberação de íons cálcio poderia ocorrer
em conseqüência das alterações da voltagem ou do fluxo de corrente que seriam propagados a
partir dos receptores dihidropiridínicos (Huang & Peachey, 1989; Ashley et al., 1991; Rios et
al., 1991; Schneider, 1994; Felder et al., 2002 ).
3
No músculo cardíaco, os potenciais de ação propagam-se pela superfície da
membrana e ativam os canais sensíveis à voltagem (DHPRs) que rapidamente se abrem
permitindo o influxo de Ca
2+
extracelular para o citoplasma (Lamb, 2000). O Ca
2+
no
citoplasma liga-se aos receptores RyRs, na membrana do retículo sarcoplasmático, liberando
Ca
2+
do retículo e ativando mais canais RyRs, reforçando a liberação de Ca
2+
para o
citoplasma, processo conhecido por liberação de cálcio induzida por cálcio (CICR) (Fabiato &
Fabiato,1978; Fabiato, 1981; Fabiato, 1992). O aumento da concentração de Ca
2+
livre no
citosol ativa o complexo troponina, desencadeando assim a contração do músculo cardíaco.
Apesar de ser mediado por proteínas homólogas, o acoplamento excitação-
contração no músculo esquelético difere substancialmente do músculo cardíaco (Lamb, 2000).
1.1.1 AEC no Músculo Esquelético
No músculo esquelético, a ativação inicia-se quando um potencial de ação
gerado no neurônio motor é propagado até os terminais axônicos, resultando na liberação do
neurotransmissor acetilcolina (ACh) na fenda sináptica (Sperelakis, 1998). A ACh difunde-se
em direção à membrana sarcoplasmática, e liga-se a sua molécula receptora. Esta molécula
receptora é um canal iônico não seletivo, que quando ativado pela ACh permite o influxo de
Na
+
e efluxo de K
+
levando a despolarização do sarcolema.
O potencial de ação propaga-se pelo interior da fibra por um sistema
especializado de membranas tubulares chamados túbulos transversos ou túbulos T, estes são
contínuos ao sarcolema e invaginam-se transversalmente para o interior da célula. As
membranas dos túbulos T e o sarcolema são organizados para conduzir rapidamente o
potencial de ação para toda a fibra muscular. Juntamente com as membranas do RS, o túbulo
T forma uma junção especializada denominada tríade, que medeia a comunicação entre o
4
sarcolema (túbulo T) e a cisterna terminal do RS (Figura 1). Estas membranas estão separadas
por uma fenda de ~15 nm (Radermacher et al., 1994). Esta arquitetura entre as membranas
permite que a transdução do sinal ocorra em 0.5 msec e o pico de Ca
2+
citoplasmático
ligando-se a TnC em torno de 2 a 3 msec (Tabela1) (Sperelakis,1998). Estes valores
confirmam a sincronia da ativação do aparato contrátil e a rapidez da transdução do sinal
devido às tríades juncionais.
TRÍADE JUNCIONAL
Figura 1. Célula de músculo estriado esquelético. À direita observamos as miofibrilas, o RS (em azul)
juntamente com o Túbulo T (em amarelo) formando a tríade juncional, (Benjamin Cummings, 2004).
Na tríade, os receptores DHPRs detectam a despolarização da membrana e
através de uma mudança conformacional em domínios intramembrana destes receptores
ativam os canais de Ca
2+
do RS (Huang & Peachey, 1989; Hamilton, 2000; Fill & Copello,
2002). O RS é uma organela altamente especializada no controle de Ca
2+
citosólico. Além de
liberação de Ca
2+
para o citoplasma, o RS possui duas funções adicionais: recaptação de Ca
2+
para iniciar o relaxamento muscular e armazenamento daquele para manter o relaxamento na
fase quiescente. O citosol de uma fibra muscular em repouso contém [Ca
2+
] em torno de 0,1
5
µM, pela função da bomba Ca
2+
/ATPase presente na membrana longitudinal do RS (SERCA)
(Viires,1998). Após a liberação de Ca
2+
no citosol, estes íons difundem-se e ligam-se a TnC
ativando o aparato contrátil actina-miosina (Berchtold et al.,2000).
O AEC é finalizado quando a [Ca
2+
] citosólica retorna aos níveis de repouso,
com sua recaptação pela SERCA, inibição do RyR e ligação do Ca
2+
à calsequestrina (CSQ)
(Sperelakis,1998). A CSQ é uma proteína de baixa afinidade para o Ca
2+
. Este liga-se a essa
proteína no lúmen do RS (Favero,1999). A sequência do AEC está mostrada
esquematicamente na Figura 2.
ACOPLAMENTO EXCITAÇÃO-CONTRAÇÃO
Figura 2. Seqüência do acoplamento excitação-contração no músculo esquelético:
Transdução do sinal do DHPR RyR;
Liberação de Ca
2+
do RS;
[Ca
2+
] citosólico, (www.neuro.wustl.edu).
6
DURAÇÃO DAS FASES DO AEC EM MÚSCULO ESQUELÉTICO
Tabela 1. Duração das Fases do AEC no Músculo Esquelético. Duração das fases do AEC no músculo
esquelético de sapo, fibra de 50µm em diâmetro e 5 cm de comprimento, (Sperelakis, 1998).
1.1.2. Bases moleculares do AEC
1.1.2.1. Sensores de voltagem do AEC
Os canais de Ca
2+
dependentes de voltagem, também chamados de canais de
Ca
2+
tipo L, são complexos protéicos presentes em diversos tipos celulares, como células
musculares e no tecido cerebral. Nas células musculares, estes são denominados receptores
dihidropiridínicos por serem sensíveis às drogas do grupo das dihidropiridinas, como a
nifedipina, que bloqueiam a abertura deste canal (Posterino & Lamb, 1998; Lamb, 2002).
Estes receptores estão localizados no sarcolema e funcionalmente atuam como sensores de
voltagem e canais de Ca
2+
com corrente tipo L de longa duração (Chawla et al., 2001). Porém
no músculo esquelético, o influxo de Ca
2+
via DHPR não ocorre como no músculo cardíaco
(Hamilton, 2000), pois o receptor dependente de voltagem induz a abertura dos canais RyRs
no sarcolema, pelos quais há a passagem de íons cálcio do RS para o citoplasma.
No músculo esquelético, a proteína DHPR é formada de quatro subunidades,
α
1
(190-250 kDa)
,
α
2
-δ (125 kDa), β (52-58 kDa), γ (25 kDa) (Hamilton, 2000;
Dulhunty,2002) (Figura 3).
Fases do AEC Duração
(msec)
Propagação do PA pelo sarcolema 5-10
Propagação do PA para o centro das fibras pelos Túbulos T ~0,7
Transdução de sinal na tríade, da despolarização Túbulo T à ativação do RyR ~0,5
Pico de liberação de Ca
2+
ao pico de ligação Ca
2+
/TnC (início da tensão) 2-3
7
RECEPTOR DHPR DE MÚSCULO ESQUELÉTICO
Figura 3. Receptor DHPR de músculo esquelético. Observa-se as subunidades transmembrana α e γ, a
subunidade α-δ extracelular e a subunidade β intracelular, (Jones, 1998).
A subunidade α
1
é o componente funcional principal do canal. Ela é
constituída de quatro domínios (I-IV), cada domínio composto por seis segmentos
transmembrana (S1-S6) (Lamb et al., 2000). Ela forma o poro do canal iônico, contém o
sensor de voltagem no segmento S4 formado, principalmente, de cargas positivas com
resíduos de arginina e lisina e possui o sítio de ligação para as dihidropiridinas (Kamp & Hell,
2000). A subunidade β tem o papel de direcionar o complexo protéico para a membrana do
túbulo T (Dulhunty, 2002), e é responsável pela modulação do canal, possuindo sítios de alta
e baixa afinidade com a subunidade α
1
(Garcia et al., 2002), aumentando a corrente de cálcio
por mecanismos desconhecidos (Garcia et al., 2005). A subunidade α
2
-δ é formada por duas
outras subunidades protéicas ligadas por uma ponte dissulfeto. A subunidade δ é uma proteína
integral com segmento transmembrana único, seqüência protéica intracelular curta e
seqüência protéica extracelular longa. A subunidade α
2
é uma proteína glicosilada
8
extracelular. Esta subunidade atua modificando as propriedades de “gating” do canal (Kamp
& Hell, 2000). A subunidade γ é uma glicoproteína formada por quatro segmentos
transmembrana (Jones, 1998). Estudos de voltage-clamp, em miotubos de ratos deficientes de
subunidades γ, mostraram pequeno aumento na liberação de Ca
2+
dependente de voltagem e
nenhuma alteração na sensibilidade à voltagem, sendo necessário maiores investigações em
relação à função da subunidade γ nos receptores DHPRs de músculo esquelético (Ursu et al.,
2001).
O receptor DHPR do músculo cardíaco apresenta diferentes isoformas. O
complexo protéico é constituído de três subunidades, α
1
(240 kDa), α
2
-δ (125 kDa) e β (62
kDa), não possui a subunidade γ (Figura 4) ( Hamilton, 2000). Estudos em receptores DHPRs
cardíacos quiméricos contendo alças citoplasmáticas de DHPRs esqueléticos mostraram a
produção de AEC característico de músculo esquelético, independentes de Ca
2+
extracelular e
com corrente tipo L (Tanabe et al., 1990).
RECEPTOR DHPR DE MÚSCULO CARDÍACO
Figura 4. Receptor DHPR de músculo cardíaco. Observa-se a subunidades α, β e α-δ, (Kamp & Hell, 2000).
9
1.1.2.2. Canais liberadores de Ca
2+
do RS
O RS contém canais especializados na liberação de íons cálcio. Eles integram
duas famílias de canais: receptores IP
3
(IP
3
Rs) e receptores rianodínicos. Cada família
apresenta três diferentes isoformas e ambos apresentam conformação estrutural tetramérica
(Fill & Copello, 2002).
Os receptores IP
3
Rs necessitam da presença de trifosfato de inositol (IP
3
) para
serem ativados, e conduzem uma corrente de cálcio lenta, estando envolvidos na regulação da
expressão gênica (Jaimovich & Carrasco, 2002).
O receptor RyR leva este nome devido a rianodina ligar-se a ele. A rianodina é
um alcalóide neutro encontrado em plantas (Sutko et al., 1997; Franzini-Armstrong & Protasi,
1997). A proteína RyR consiste em quatro subunidades idênticas, cada qual com massa ~560-
kDa (Dulhunty et al., 2002) (Figura 5).
RECEPTOR RIANODÍNICO
Figura 5. Receptor RyR, região citoplasmática, intra-organela e transmembrana respectivamente,
(www.info.med.yale.edu).
Três diferentes genes que codificam receptores rianodínicos em mamíferos
foram identificados, RyR1 (expresso principalmente em músculo esquelético), RyR2
(predominante em músculo cardíaco e cérebro) e RyR3 (expresso em músculo liso, cérebro e
células não excitáveis como os linfócitos) (Priori & Napolitano, 2005; Dulhunty et al., 2002;
10
Chawla et al., 2001). Em células estriadas de não mamíferos existem duas isoformas
identificadas, denominadas α e β, que apresentam homologia ao RyR1 e RyR3
respectivamente (Coronado et al., 1994; Ogawa, 1994).
Os receptores RyRs fazem interações proteína-proteína com diferentes
moléculas, FKBP12, calmodulina (CaM), calsequestrina, triadina, entre outras (Figura 6).
INTERAÇÕES PROTEÍNA-PROTEÍNA NA MEMBRANA DO RETÍCULO SARCOPLASMÁTICO
Figura 6. Esquema de interações proteína-proteína no RS relacionadas ao RyR. RyR, receptor rianodínico;
FKBP, proteína ligante à FK506; CSQ, calsequestrina; Triadin, triadina; Junctin, junctina,
(www.med.uc.edu/kranias/calsequestrin.html).
Cada monômero de RyR liga-se a uma molécula de FKBP12 em sítios
específicos, situados na face citoplasmática da proteína canal (Avila et al., 2003). A proteína
FKBP12 é membro da família das imunofilinas, sendo receptores de drogas
imunossupressoras como a FK506 e a rapamicina (Lamb & Stephenson, 1996). Estudos com
FK506 e rapamicina demonstram o comprometimento da liberação de Ca
2+
induzida pela
despolarização devido à FKBP12 desligar-se do receptor RyR (Ahern et al.,1994) alterando o
acoplamento ortógrado (liberação de cálcio do RS por sensor de voltagem) (Avila et al.,
11
2003). A FKBP12 está, portanto, relacionada com a modulação do canal, sendo que sua
função provavelmente é capacitar os sensores de voltagem a ativar os canais liberadores de
cálcio (Lamb & Stephenson,1996).
A calmodulina é uma proteína sensível ao cálcio freqüente no citoplasma que
modula proteínas através da CaMK (calmodulina proteína quinase) ou ligando-se a própria
proteína (Figura7) (Yamaguchi et al., 2001; Yamaguchi et al., 2003). A proteína é composta
por um domínio amino-terminal (NTD) e um domínio carboxi-terminal (CTD) conectadas por
uma 8-α-helix, sendo que, cada domínio possui dois sítios de ligação sensíveis ao Ca
2+
(Hamilton et al., 2000). A CaM apresenta-se de duas formas: calmodulina livre de Ca
2+
(apoCaM) e calmodulina ligada ao Ca
2+
(Ca
2+
CaM) (Hamilton, 2000; Yamaguchi et al.,
2001). Em cada tetrâmero RyR1 se ligam quatro moléculas de CaM (O’Connell et al, 2002).
A CaM inibe as três isoformas de RyRs em concentrações micro a milimolares de Ca
2+
livre
(Yamaguchi et al., 2003). Entretanto, os receptores RyR1 e RyR3 são ativados pela apoCaM
quando a concentração de cálcio é menor que 1 µM (Yamaguchi et al., 2001). Diferentes
regiões estão relacionadas a modulação da CaM no RyR1 e RyR2, estudos com quimeras e
mutações de múltiplos sítios de ambos os receptores estão sendo realizados a fim de
evidenciar os domínios de ligação da calmodulina (Yamaguchi et al., 2004).
CALMODULINA
Figura 7. Forma estrutural da calmodulina ligada a quatro íons cálcio (em verde) (Bernhard Rupp, 2000).
12
A calsequestrina é uma proteína que se liga ao Ca
2+
intraluminal no RS (Figura
6). Ela permanece ancorada à membrana do RS por meio de uma glicoproteína, triadina,
próxima aos canais liberadores de Ca
2+
, na tríade juncional (Favero, 1999). A CSQ e o
receptor rianodínico são funcionalmente acoplados, a ativação do RyR induz a dissociação do
cálcio da CSQ, para que o cálcio livre possa ser liberado do RS (Coronado et al., 1994). Esta
interação é mediada por uma terceira proteína, a triadina.
A triadina é uma proteína transmembrana, localizada na tríade do músculo
esquelético e cardíaco. Sua estrutura é formada de um pequeno domínio amino-terminal
citoplasmático de 47 aminoácidos (1-46), seguido de único segmento transmembrana e longa
região luminal (Groh et al., 1999). A triadina associa-se ao RyR e à CSQ no lúmen do RS e
está envolvida no acoplamento funcional entre ambos no lúmen (Figura 6) (Guo & Campbell,
1995). O domínio luminal é formado de aminoácidos carregados, alternados positiva e
negativamente, sendo principalmente resíduos de lisina e ácido glutâmico. Estes motifs são
chamados de “KEKE” (Kobayashi et al., 2000; Lee et al., 2004). Dentro deste motif de 25
aminoácidos (201-224), os resíduos pares 210-224 da triadina formam uma estrutura β-
folheada e se ligam aos resíduos carregados da CSQ, podendo ligar esta proteína à membrana
juncional do RS (Kobayashi et al., 2000). Na segunda alça intraluminal do RyR (região
próxima ao poro do canal) encontram-se resíduos de ácido aspártico (Asp) e ácido glutâmico
(Glu), que podem ser facilmente acessados pela triadina, segundo Lee e colaboradores, 2004,
esta interação pode alterar propriedades dielétricas próxima ao poro, inibindo o canal
liberador de cálcio (Figura 8).
13
INTERAÇÃO TRIADINA – RYR
Figura 8. Interação entre triadina e RyR. A interação ocorre entre os resíduos de Asp (D) e Glu (E) e os resíduos
carregados da triadina dentro do lúmen do RS (Lee et al., 2004).
A junctina é uma proteína de 26-kDa que liga a calsequestrina à membrana
juncional do RS juntamente com a triadina. Foi descrita primeiramente em músculo cardíaco
de cães e posteriormente em músculo esquelético (Jones et al., 1995). Possui uma pequena
região amino-terminal voltada para o citoplasma, um segmento transmembrana e uma longa
cauda carboxi-terminal, carregada positiva e negativamente alternadamente, na face luminal
do RS, região esta que faz ligação com a CSQ (Jones et al., 1995). Estudos recentes mostram
que quatro elementos centrais estão envolvidos no mecanismo de transdução de sinal na
membrana juncional do RS, o receptor RyR (canal liberador de Ca
2+
), a CSQ (proteína que se
liga ao Ca
2+
), a triadina e a junctina (proteínas que estabilizam a CSQ na membrana
juncional). Estas formam um complexo protéico quaternário necessário para que a liberação
de íons cálcio ocorra adequadamente (Glover et al., 2002).
14
1.1.2.3. Interação DHPR-RyR
No músculo esquelético, os receptores DHPR comunicam-se com os canais
RyRs através de um processo físico proteína-proteína, no qual as membranas do túbulo-T e do
retículo sarcoplasmático estão justapostas e os canais alinhados de maneira que para cada dois
receptores RyR um não faz associação com DHPR e o outro está associado a uma tétrade
DHPR e um juncional (Dulhunty et al., 2002; Radermacher et al., 1994) (Figura 9). Em
estudos de microscopia eletrônica são vistos estes pés juncionais, que fazem a junção entre
túbulo-T e retículo sarcoplasmático (Rios & Pizarro, 1991). Os pés juncionais são domínios
citoplasmáticos do RyRs, que fazem conexão direta entre o canal liberador de Ca
2+
e o DHPR
presente no túbulo T (Franzini-Armstrong & Protasi, 1997).
INTERAÇÃO DHPR-RyR
Figura 9. Interação DHPR e RyR1(www.bioscience.org).
15
Na ativação da contração do músculo estriado, tem-se como primeiro evento a
despolarização da membrana do túbulo T. Esta é detectada pelos sensores de voltagem
DHPRs, cuja atividade é iniciada na forma de movimento de carga (Rios et al., 1992). No
músculo esquelético, a corrente de íons cálcio através do receptor DHPR é lenta e de pequena
magnitude, sendo que a ativação do RyR ocorre por uma ação direta do receptor DHPR sobre
o canal liberador de Ca
2+
do RS (Franzini-Armstrong & Protasi, 1997). Embora o primeiro
sinal no músculo esquelético aparentemente seja uma interação mecânica, a “liberação de
cálcio induzido por cálcio” pode caracterizar a propagação do sinal de cálcio para ativação
dos RyR1s que não estão emparelhados com os DHPRs (Hamilton et al., 2000).
Estudos com microinjeções de cDNAs cardíacos e esqueléticos em miotubos
disgênicos, que não expressavam a subunidades α
1
do receptor DHPR de músculo
esquelético, indicaram que a região citoplasmática de alça II-III da subunidade α
1
do DHPR é
responsável por mediar o AEC no músculo esquelético (Tanabe et al., 1990; Stange et al.,
2001). Stange, 2001, mostra que a alça II-III da subunidade α
1
possui duas regiões específicas
que ativam o canal RyR no RS, os resíduos 671-680 e 720-765, enquanto o resíduo 681-685,
contendo 5 aminoácidos carregados positivamente, induzem a um estado de subcondutância
do canal RyR. Portanto, o receptor RyR possui domínios exclusivos para ativar a liberação de
cálcio do RS (Lamb et al., 2001).
A atividade de liberação de íons cálcio do RS é controlada por uma variedade
de interações protéicas e a interação entre os dois tipos de canais, DHPR no túbulo T e RyR
na membrana do RS, é dominante no processo de acoplamento excitação-contração.
16
1.2. Efeitos da Hipertonicidade sobre o AEC de Músculo Estriado Esquelético
Vários autores mostraram os efeitos da hipertonicidade sobre as fibras
musculares (Caputo, 1968; Gordon &Godt, 1970; Homsher, 1974; Somlyo et al., 1977). Sabe-
se que as soluções hipertônicas diminuem a força de contração do músculo esquelético,
embora a excitabilidade da membrana seja minimamente afetada (Gordon & Godt, 1970;
Lännergren & Noth, 1973; Vaughan et al., 1983). Este efeito tem sido interpretado como
conseqüência tanto de alterações estruturais das proteínas envolvidas no AEC (Caputo, 1966;
Suarez-Kurtz & Sorenson, 1977b; Coutinho et al., 1982; Sato & Fujino, 1987; Chawla et al.,
2001), como também por alterações na habilidade das proteínas contráteis em gerar força e
promover encurtamento do sarcômero ( Homsher et al., 1974; Godt et al., 1984; Piazzesi et
al., 1994).
O aumento da força iônica intracelular per se, a qual depende da quantidade de
água intracelular perdida, provoca redução da tensão quando essas células são expostas a
soluções hipertônicas (Vaughan et al., 1983). As interações entre RyRs-DHPRs e outras
proteínas são modificadas pelo aumento da força iônica produzido pelo aumento da
tonicidade do meio extracelular (Chawla et al., 2001). Dentre estas mudanças estruturais
temos lesões no sarcolema, aumento no diâmetro de abertura do túbuloT, a fenda entre túbulo
T e membrana do RS diminui (Chawla et al., 2001) e ruptura da tríade juncional (Oota et al.,
1982). Alguns estudos tem mostrado que o músculo esquelético intacto polarizado possui
atividade CICR em soluções hipertônicas na ausência de um bloqueador RyR (Chawla et al.,
2001; Huang, 1992). Esta atividade CICR pode ser resultante do desacoplamento entre RyR e
DHPR e de alterações no “gating” do canal rianodínico.
Em seus estudos com fibras de músculo esquelético de anfíbio, Homsher, 1974,
afirma que as alterações no processo de contração muscular devido à exposição a soluções
17
hipertônicas provavelmente ocorreram por um aumento na concentração de íon cálcio no
sarcoplasma comprometendo as atividades ATPase miofibrilar e sarcotubular.
Mansson (1989), ressalta que a velocidade máxima de encurtamento e a tensão
isométrica máxima são reduzidas em resposta ao aumento da tonicidade e estes efeitos são
relacionados à diminuição do número de pontes cruzadas entre os filamentos de actina e
miosina. Em 1993, Mansson sugere que a distância entre as pontes cruzadas é reduzida
diminuindo a produção de força.
Outro importante efeito encontrado é o aumento da tensão de repouso
(Lännergren & Noth, 1973) de fibras musculares intactas quando a tonicidade da solução é
aumentada. Estes autores sugeriram que quando a fibra é exposta à solução hipertônica, o
efluxo de água em direção ao meio extracelular leva a um aumento da concentração de soluto
no interior da lula e também a uma diminuição no espaço entre os filamentos de actina e
miosina, o qual pode ser o início da interação entre os filamentos e geração de tensão. Chawla
e colaboradores (2001), entretanto, sugeriram que este pequeno aumento da tensão resulte da
liberação de cálcio dos estoques intracelulares devido a aumento da atividade CICR descrita
anteriormente.
Estudos com o uso da técnica de crioultramicrotomia, mostraram que as
soluções hipertônicas produzem: vacúolos freqüentemente pareados adjacentes a linha Z, com
concentrações de Na
+
e Cl
-
ou S
2+
maiores que as citoplasmáticas (Somlyo et al., 1977).
Em músculo de crustáceo foi demonstrado que o aumento da força iônica induz
redução da capacidade de produção de força do sistema contrátil (Godt et al., 1993). Tal
redução de força de contração pode ser revertida quando adiciona-se à solução osmólitos de
ocorrência natural como TMAO (Godt et al., 1993). Tais estudos demonstram a importância
biológica de certos osmólitos intracelulares encontrados em várias espécies de animais
marinhos e de estuários (Altringham et al., 1982; Yancey et al., 1982).
18
1.3. Osmólitos Naturais
Osmólitos orgânicos são solutos de baixo peso molecular acumulados por
células de organismos que vivem sobre o estresse de água, como os invertebrados marinhos
(Baskakov et al., 1998; Yancey, 2005). Tal acúmulo tem a finalidade de balancear o aumento
da osmolaridade extracelular protegendo dessa forma os processos celulares (Nakanishi et
al.,1990), protegendo as proteínas da desnaturação e perda de função (Baskakov et al., 1998).
Estes osmólitos são geralmente categorizados em três grupos: aminoácidos
(glicina, prolina, taurina, etc.) e seus derivados, carboidratos e metilaminas (óxido de
trimetilamina, betaína e sarcosina) (Tseng & Graves, 1998). Aminoácidos e carboidratos são
considerados “osmólitos compatíveis”, pois agem como estabilizadores protéicos, e mesmo
em altas concentrações não afetam a função da proteína (Bowlus & Somero, 1979). Os
eventos estressores contra os quais estes osmólitos agem incluem a desidratação, ambientes
salinos e altas temperaturas (Yancey et al., 1982).
As metilaminas são consideradas “osmólitos neutralizadores ou contra-
atuantes” pois possuem a habilidade de proteger as proteínas intracelulares contra os efeitos
deletérios da uréia (Yancey & Somero,1979; Withers & Guppy, 1996; Burg & Peters, 1997).
As principais metilaminas, como óxido de trimetilamina (TMAO), betaína e sarcosina
possuem efeitos opostos aos da uréia sobre as propriedades cinéticas de várias enzimas
(Yancey & Somero, 1979). Quando estes compostos, metilaminas e uréia, estão presentes em
concentrações fisiológicas (proporção 1:2), seus efeitos se contrapõem equivalendo-se na
maioria dos casos (Yancey & Somero, 1979; Ortiz-Costa et al., 2002).
O fluido extracelular da maioria das espécies marinhas contém NaCl como o
seu maior componente osmótico, sendo que o meio intracelular é composto por
aproximadamente 50 % de solutos orgânicos, incluindo-se óxido de trimetilamina (TMAO) e
19
betaína (Bowlus & Somero, 1979). Lutz & Robertson (1971) pesquisando os osmólitos do
coelacanto Latimeria Chalumna encontraram uma amostra significativa de uréia e TMAO no
sangue e no músculo do animal. Geralmente em elasmobrânquios, o osmólito encontrado em
altas concentrações intracelulares é o TMAO (Bedford et al., 1998). Porém em células da
medula renal de mamíferos, as quais possuem altas concentrações de uréia, o óxido de
trimetilamina é ausente, portanto, para se adaptar a esta condição as células acumulam
osmólitos como betaína, sorbitol, inositol e glicerofosforilcolina (Tseng & Graves, 1998;
Bedford et al, 1998). Burg & Peters (1997) analisaram os efeitos das metilaminas e uréia em
células da medula renal de mamíferos e demonstraram que TMAO, betaína e
glicerofosforilcolina não atuam contra os efeitos da uréia em todas enzimas intracelulares,
mas que em algumas enzimas estas metilaminas atuam como agentes protetores dos efeitos da
uréia. Estudos nos mostram que um osmólito pode agir estabilizando ou não uma enzima,
dependendo de condições específicas, como a natureza do osmólito e a natureza da proteína.
Além disso, dependendo da estrutura terciária e quaternária da proteína, um osmólito pode
agir com maior ou menor intensidade como agente estabilizador ou desestabilizador (Meis &
Inesi, 1988; Barton et al., 1999; Saad-Nehme et al., 2001; Ortiz-Costa et al., 2002).
A betaína é um composto amônico quaternário, encontrado em
microorganismos expostos a estresse de temperatura e/ou alta salinidade e plantas de áreas
áridas e salinas (Holmström et al., 2000). Também é denominada glicina betaína, licina,
trimetilglicina, ou ainda, oxineurina (Craig, 2004). Esta é sintetizada a partir da colina pela
ação da enzima colina dehidrogenase no córtex renal e no fígado (Nakanishi et al., 1990;
Holmström et al., 2000). Possui a fórmula (CH
3
)
3
N
+
CH
2
COO
-
e peso molecular igual a 117,2
(Withers et al., 1994) e é caracterizada como metilamina devido aos 3 grupos metil (Yancey
et al., 1982). Sua principal função é proteger as células contra inativação por estresse
osmótico.
20
Vários são os exemplos que demonstram a função de osmólito da betaína. As
células da medula renal de mamíferos contêm alta concentração de betaína e outros osmólitos
a fim de balancear a pressão osmótica das altas concentrações de NaCl extracelular
encontrada nesta região renal (Nakanishi et al., 1990). Em condições hiperosmóticas, a
betaína regula o balanço hídrico e o movimento de água através do epitélio intestinal na
porção duodenal (Kettunen et al., 2001). Ela protege a atividade da miosina ATPase de
músculo esquelético na presença de baixa concentração de uréia plasmática tão bem quanto
previne mudanças estruturais na miosina em altas concentrações de uréia (Ortiz-Costa et al,
2002). Alfieri (2002) demonstra que a betaína é capaz de adaptar as lulas endoteliais da
artéria pulmonar à hipertonicidade e evitar a apoptose celular. Portanto, a adaptação osmótica
ao estresse auxilia uma série de tipos celulares a manter sua função e integridade celular.
Estudos sugerem, portanto, que certos osmólitos teriam duplo papel: funcionar
como osmólitos e ao mesmo tempo proteger estruturas celulares dos efeitos deletérios devido
aumento da força iônica resultante da perda de água intracelular ( Yancey & Somero, 1979;
Yancey et al., 1982; Zou et al., 2002). Tem-se que os tipos de solutos e as proporções em que
estes encontram-se nas células variam de acordo com o tecido e, além disso, as ações não-
osmóticas de cada soluto ainda não estão bem esclarecidas (Miller et al., 2000). Assim, em
células musculares, as alterações na tonicidade do meio extracelular poderão afetar pelo
menos e não exclusivamente dois processos: o acoplamento excitação-contração e a
contratilidade propriamente dita. Estas alterações provocam modificações na capacidade de
produção de força de células musculares que se refletirão na capacidade de adaptação e/ou
sobrevivência de animais submetidos ao stress de água.
21
II. OBJETIVOS
2.1. Objetivo Geral
Esta pesquisa tem como objetivo geral avaliar os efeitos de osmólitos de
ocorrência natural “betaína e TMAO” sobre a transmissão neuromuscular, sobre o AEC e
sobre as proteínas contráteis de músculo estriado esquelético de mamíferos.
2.2. Objetivos Específicos
a) Avaliar os efeitos de soluções de tonicidades idênticas àquelas do líquido extracelular
(ajustadas com diferentes osmólitos) em músculo esquelético de mamíferos, sobre a
contratura induzida por diferentes concentrações extracelulares de potássio, assim como,
sobre a contração promovida pela cafeína;
b) Investigar as conseqüências das alterações nos níveis de tonicidade da solução extracelular
(ajustadas com betaína, TMAO ou sacarose), sobre a capacidade de produção de força de
preparações musculares estimuladas diretamente (via eletrodos de platina colocados
paralelamente às células musculares) ou indiretamente (estimulação do nervo frênico);
c) Investigar os efeitos de soluções de diferentes tonicidades (ajustadas com betaína, TMAO
ou sacarose) em preparações musculares que tiveram o sarcolema permeabilizado com o
uso de saponina e estudar assim seus efeitos sobre o retículo sarcoplasmático e sistema
contrátil.
22
III. MATERIAIS E MÉTODOS
3.1. Materiais
Os equipamentos estão instalados no Laboratório de Fisiologia da Contração
Muscular que conta com uma área física de aproximadamente 50 m
2
, localizado no
Departamento de Fisiologia da Universidade Federal do Paraná, Curitiba-PR.
Equipamentos:
Transdutor de força (e amplificadores) fabricado pela Scientific Instruments (G.M.B.H,
Heidelberg, República Federal da Alemanha) com sensibilidade para registro de força
produzido por uma única célula muscular;
Polígrafos (Backmann e ECB);
Computadores;
Microscópio binocular;
Estéreo microscópio;
Transdutores de força isométrica (fabricado pela WPI).
Sistema de câmaras móveis, construído em bloco de acrílico;
Balança analítica;
Potenciômetro para a determinação de pH das soluções empregadas;
Registradores potenciométricos (para registro da força de contração muscular);
Mesa com isolamento mecânico de vibrações constituintes diferentes filtros
mecânicos;
Geladeira e freezer.
23
3.1.1. Drogas e Reagentes
REAGENTES EMPREGADOS, FABRICANTE E LOTE
Reagente Fabricante Lote de Fabricação
NaCl Merck 1064041000
KCl Vetec 950526
MgCl
2
Sigma 125H1183
CaCl
2
Riedel 12064
NaH
2
PO
4
Riedel 411135-53
NaHCO
3
Merck 52S37
Glicose LabSynth 16372
Sacarose Carlo Erba 21398
Sarcosina Sigma 117F-08444
TMAO Sigma 092K3665
Quadro1. Drogas e reagentes.
24
3.2. Métodos
O estudo foi realizado com células musculares de mamíferos, utilizando-se
ratos Wistar, machos, com peso corporal de aproximadamente 250-300 g. Os ratos foram
fornecidos pelo biotério do Setor de Ciências Biológicas da Universidade Federal do Paraná, e
após terem sido anestesiados, com emprego de éter etílico - (CH
3
CH
2
)
2
O, estes foram
sacrificados. A seguir, os músculos diafragmas foram dissecados observando-se sempre
conservação da junção neuromuscular de cada músculo. As preparações foram mantidas em
solução nutritora de Tyrode (solução T), com a composição (em mM): NaCl 136; KCl 5;
MgCl
2
0,98; CaCl
2
2; NaH
2
PO
4
0,36; NaHCO
3
11,9; Glicose 5,5 e pH 7,4. O aumento da
tonicidade da solução Tyrode foi realizado mediante a adição de sacarose (grupo controle) ou
de betaína, sendo este o tratamento experimental. A seguir, para cada condição experimental
realizaram-se:
3.2.1. Músculo intacto
Os músculos isolados juntamente com o nervo foram colocados em câmaras
horizontais, contendo solução Tyrode e mantidos a uma temperatura ambiente (22-26 °C). As
extremidades das fibras musculares do diafragma foram fixadas a um micromanipulador e a
um transdutor de força em condições isométricas. Com o uso do micromanipulador, ajustou-
se o músculo a um comprimento máximo (tensão na qual se obtem a maior produção de
força). As respostas contráteis mecânicas foram registradas em polígrafo (Beckmann
Recorder). Na solução contendo alta concentração de KCl este substituiu isosmoticamente o
NaCl. As drogas (cafeína, por exemplo) foram adicionadas diretamente à solução.
25
a) Contração muscular induzida por potássio:
Três contrações controles foram induzidas, através da imersão do músculo em
soluções contendo 100 mM de potássio (KCl 100 mM). Nestas condições o músculo é
despolarizado e produz uma contratura, que neste trabalho foi denominada como contratura
potássica. A preparação, após ter encontrado seu estado estacionário de força, voltou a ser
banhada com solução de Tyrode contendo 5 mM de K
+
(solução T). Em seguida, o feixe
muscular foi submetido a soluções hipertônicas ajustadas com 100 mM de sacarose e
despolarizadas com 100 mM de K
+
. Após nova contratura controle, as fibras foram
novamente incubadas em solução hipertônica, desta vez ajustadas com 100 mM de betaína e
despolarizadas com 100 mM de K
+
. Ao final, realizou-se mais uma contratura controle. Os
dados foram normalizados para os valores de força gerada obtidos em solução de Tyrode
contendo 100 mM de potássio (Quadro 2).
PROTOCOLO DE CONTRAÇÃO POTÁSSICA
1.º ) Imersão da preparação em solução T e ajuste para o comprimento máximo;
2.º) Imersão da preparação em solução KCl 100 mM (contração) e retorno para solução T (relaxamento); repete 3
vezes;
3.º) Imersão da preparação em solução T + Sacarose 100 mM por 20’;
4.º) Imersão da preparação em solução hipertônica com Sacarose + KCl 100 mM;
5.º) Imersão da preparação em solução T;
6.º) Imersão da preparação em solução T + Betaína 100 mM por 20’;
7.º) Imersão da preparação em solução hipertõnica com Betaína + KCl 100 mM;
8.º) Imersão da preparação em solução T.
Quadro 2. Roteiro do protocolo experimental em músculo intacto: contração muscular induzida por substituição
isotônica do NaCl por KCl 100 mM.
26
b) Contração muscular induzida por cafeína:
Após três contraturas potássicas, as células foram submetidas à solução T
contendo 3 mM de cafeína. A cafeína é uma substância capaz de liberar cálcio do retículo
sarcoplasmático. No entanto, nesta concentração, é insuficiente para provocar a contração
máxima. Isto nos permitiu observar a existência ou não de potencialização da contração
cafeínica com a adição do osmólito. Após a preparação ter alcançado o estado estacionário da
contração, foram adicionados à solução 100 mM de sacarose ou 100 mM de betaína (Quadro
3).
PROTOCOLO DE CONTRAÇÃO CAFEÍNICA
1.º) Imersão da preparação em solução T;
2.º) Imersão da preparação em solução KCl 100 mM (contração) e retorna para solução T (relaxamento);
repete 3 vezes;
3.º) Imersão da preparação em solução T + cafeína 3 mM;
4.º) Imersão da preparação em solução T + cafeína 3 mM + Sacarose ou Betaína 100 mM.
Quadro 3. Roteiro de protocolo experimental em músculo intacto: contração muscular induzida por cafeína.
c) Contração muscular induzida por estímulo elétrico indireto:
Com o intuito de analisarmos os efeitos dos osmólitos naturais sobre a
transmissão neuromuscular e junção mioneural, realizamos experimentos com estimulação
elétrica indireta (EEI).
Feixes de células musculares foram submetidos à EEI, estimulando o nervo
frênico. Inicialmente, foi realizada estimulação elétrica em feixes musculares imersos em
solução T, sendo a amplitude desta contração considerada como controle em comparação com
as seguintes. Neste protocolo aumentamos a tonicidade da solução de forma crescente, com 5,
10, 50, 100, 200 e 300 mM de sacarose, betaína ou TMAO (Quadro 4). Em outra série de
experimentos, a tonicidade do meio foi aumentada de forma abrupta pela adição de betaína ou
27
sacarose (300 mM) à solução (Quadro 5). O coto distal do nervo frênico foi estimulado com
intensidade supralimiar, com pulsos quadrados de voltagem de duração de 1 mseg, a uma
freqüência constante de 0,5Hz .
PROTOCOLO DE CONTRAÇÃO MUSCULAR INDUZIDA POR EEI
1.º) Imersão da preparação em solução T e estimulação elétrica supralimiar do coto distal do nervo frênico;
2.º) Imersão da preparação em solução T + concentrações crescentes (5 a 300 mM) Sacarose + EEI;
3.º) Imersão da preparação em solução T 1h (fase de recuperação);
4.º) Imersão da fibra em solução T + concentrações crescentes (5 a 300 mM) Betaína ou TMAO + EEI;
5.º) Imersão da preparação em solução T 1h (fase de recuperação);
6.º) Imersão da fibra em solução T + EEI.
Quadro 4. Roteiro de protocolo experimental em músculo intacto: Contração muscular induzida por EEI.
PROTOCOLO DE CONTRAÇÃO MUSCULAR INDUZIDA POR EEI (EXPOSIÇÃO SÚBITA DE
FIBRA MUSCULAR À 300 mM DE SOLUTO)
1.º) Imersão da preparação em T e estimulação elétrica do coto distal do nervo frênico;
2.º) Imersão da preparação em solução T + 300 mM Sacarose + EEI;
3.º) Imersão da preparação em solução T;
4.º) Imersão da preparação em solução T + 300 mM Betaína + EEI;
5.º) Imersão da preparação em solução T.
Quadro 5. Roteiro de protocolo experimental em músculo intacto: Fibras expostas subitamente à 300 mM de
soluto e a contração muscular foi induzida por EEI.
d) Contração muscular induzida por estímulo elétrico direto:
Neste protocolo, as células musculares foram estimuladas eletricamente e a
uma freqüência constante. Todavia, a contração foi obtida de forma direta, ou seja,
estimulando-se diretamente o músculo, assim poderíamos avaliar se os efeitos encontrados em
EEI deviam-se à ação dos osmólitos sobre a placa motora. No protocolo empregado, da
mesma forma que o anterior, após a obtenção da amplitude de contração controle,
aumentamos a tonicidade da solução de forma crescente, com 5, 10, 50, 100, 200 e 300 mM
de sacarose, betaína ou TMAO. Nestas soluções, foi adicionado d-tubocurarina 60 µg (DTB),
28
para bloqueio de placa motora (Quadro 6). Em outra série de experimentos, a tonicidade do
meio foi aumentada de forma abrupta pela adição de betaína ou sacarose à solução de forma a
obter-se uma concentração destes solutos de 300 mM na presença de 60 µg (DTB) (Quadro
7).
PROTOCOLO DE CONTRAÇÃO MUSCULAR INDUZIDA POR EED
1.º) Imersão da preparação em solução T e estimulação direta das fibras musculares;
2.º) Imersão da preparação em solução T + concentrações crescentes (5 a 300 mM) Sacarose + 60 µg DTB +
EED;
3.º) Imersão da preparação em solução T 1h (fase de recuperação);
4.º) Imersão da preparação em solução T + concentrações crescentes (5 a 300 mM) Betaína ou TMAO+ 60 µg
DTB + EED;
5.º) Imersão da preparação em solução T 1h (fase de recuperação);
6.º) Imersão da preparação em solução T + EED.
Quadro 6. Roterio de protocolo experimental em músculo intacto: Contração muscular induzida por EED.
PROTOCOLO DE CONTRAÇÃO MUSCULAR INDUZIDA POR EED (EXPOSIÇÃO SÚBITA Da
FIBRA MUSCULAR À 300 mM DE SOLUTO)
1.º) Imersão da preparação em T e estimulação direta das fibras musculares;
2.º) Imersão da preparação em solução T + 300 mM Sacarose + 60 µg DTB + EED;
3.º) Imersão da preparação em solução T;
4.º) Imersão da preparação em solução T + 300 mM Betaína + 60 µg DTB + EED;
5.º) Imersão da preparação em solução T.
Quadro 7. Roteiro de protocolo experimental em músculo intacto: Fibras expostas subitamente à 300 mM de
soluto e a contração muscular foi induzida por EED.
3.2.2. Fibra muscular desmembranada com o uso de saponina
Foram realizados experimentos em fibra desmembranada com saponina
objetivando avaliar se os osmólitos naturais agiriam diretamente na liberação de íons lcio
no RS.
29
A técnica de fibra muscular desmembranada tem sido vastamente empregada
com o objetivo de se estudar o processo de acoplamento excitação-contração bem como o
fenômeno da ativação do sistema contrátil (Godt et al., 1991; Zhu & Nosek, 1992; Godt et al.,
1993; Lamb, 2002). Esta técnica apresenta a vantagem de se manter sob controle a
composição química da solução que irá banhar o sistema tubular transverso, o retículo
sarcoplasmático e o sistema contrátil.
Nestes experimentos, empregamos sobre os feixes musculares saponina 30 µg.
A saponina é um glicosídeo, que acaba com a permeabilidade seletiva da membrana
citoplamática, pois, ao reagir com grupamentos de colesterol promove a formação de poros,
os quais permitem a passagem de moléculas de alto peso molecular para o espaço
miofilamentar. Contudo, a organização, a estrutura e a funcionalidade do sistema tubular
transverso, retículo sarcoplasmático e do sistema contrátil são mantidos preservados.
Após a permeabilização da membrana, as células musculares eram transferidas
para uma câmara contendo solução relaxante (R) composição descrita na Tabela 2. As
extremidades do feixe muscular erram fixadas a um transdutor de força (Scientific
Instruments G.M.B.H, Heidelberg, República Federal da Alemanha) mantido em posição
estacionária e a um micromanipulador, o qual permitia o ajuste de comprimento ideal do
músculo. As contrações musculares eram registradas em um polígrafo. Um conjunto de
câmaras construídas num bloco móvel de acrílico e contendo diferentes soluções, permitia que
a fibra muscular fosse submetida a diferentes protocolos experimentais (Brenner, 1986;
Fogaça et al., 1997).
Após fixação da fibra muscular, a qual era realizada em solução R, a fibra era
transferida para uma câmara contendo solução pCa 4,0 (pCa = - log [Ca
2+
]) objetivando
avaliar a funcionalidade do sistema contrátil. Esta concentração de íons lcio (10
-4
M) é
suficiente para ativar o sistema contrátil de forma máxima, sendo a contração induzida
30
registrada em polígrafo. Após a obtenção do estado estacionário de força (Fmáx), a fibra foi
transferida e mantida, durante 1 minuto, em uma câmara com solução R.
A seguir, a fibra foi transferida para uma câmara contendo solução R acrescida
de 30 mM de cafeína, objetivando promover a depleção de íons cálcio do retículo
sarcoplasmático.
Para que o RS fosse recarregado com íons cálcio, a fibra muscular era
transferida para uma solução pCa 6,4 e alto EGTA (solução C). O tempo necessário para o
recarregamento máximo do RS era de 2 minutos (Andrews et al., 1991).
A seguir, a fibra muscular era transferida para uma câmara contendo solução
pCa 8,5 e alto EGTA (solução L) por 30 segundos, objetivando a retirada de íons cálcio
presentes entre as miofibrilas. Logo após, a preparação era transferida para uma câmara
contendo solução L acrescida de 30 mM de cafeína e era mantida nesta solução por 30
segundos. Como nesta solução a capacidade de tamponamento dos íons cálcio é reduzida, isto
permitia a ativação do sistema contrátil. A contração muscular assim obtida fornecia um
índice apropriado da quantidade de cálcio liberada do RS.
Após a obtenção da contratura cafeínica (30 mM), a preparação era transferida
para uma câmara contendo solução R por 1 min. e em seguida para a solução C permanecendo
imersa nesta solução por 2 min.. Após relaxamento e recarregamento do RS, a fibra era
imersa em solução L, na ausência e na presença de cafeína (3 mM) para a obtenção de uma
contração submáxima (contração controle). Em alguns experimentos repetiu-se o
procedimento anterior na presença de sacarose ou betaína (100 mM). Ao final do
experimento, uma nova contratura cafeínica submáxima (3 mM) era realizada para verificar se
o grau de contração era o mesmo do início do experimento (Quadro 8).
PROTOCOLO DE FIBRA DESMEMBRANADA COM USO DE SAPONINA
1.º) Dissecação – solução R (pCa 8,5 EGTA);
2.º) Permeabilização – solução R + saponina (60 µg/ml), durante 40 min.;
3.º) Relaxamento – solução R, 1 min.;
31
4.º) Verificação do sistema contrátil – solução pCa 4,0 EGTA, 1 min.;
5.º) Relaxamento – solução R, 1 min.;
6.º) Depleção de íons cálcio – solução R + cafeína (30 mM), 1 min.;
7.º) Recarregamento do RS – solução C (pCa 6,4 EGTA), 2 min.;
8.º) Lavagem das miofibrilas – solução L (pCa 8,5 EGTA), 30 seg.;
9.º) Liberação de cálcio do RS (contração muscular máxima) – solução L + cafeína (30 mM), 30 seg.;
10.º) Relaxamento – solução R, 1 min.;
11.º) Recarregamento do RS – solução C, 2 min.;
12.º) Liberação de cálcio do RS (contração muscular controle) – solução L + cafeína (3 mM), 30 seg.;
13.º) Relaxamento – solução R, 1 min.;
14.º) Recarregamento do RS – solução C, 2 min.;
15.º) Lavagem das miofibrilas – solução L + betaína ou sacarose (100 mM), 30 seg;
16.º) Liberação de cálcio do RS (contração muscular) – solução L + betaína ou sacarose (100 mM) + cafeína (3
mM), 30 seg.;
17.º) Relaxamento – solução R, 1 min.;
18.º) Recarregamento do RS – solução C, 2 min.;
19.º) Liberação de cálcio do RS (contração muscular final) – solução L + cafeína (3 mM), 30 seg.;
Quadro 8. Roteiro de protocolo de fibra desmembranada com uso de saponina.
COMPOSIÇÃO DAS SOLUÇÕES EMPREGADAS EM EXPERIMENTOS COM FIBRA
DESMEMBRANADA
Solução R Solução C Solução L
Mg
2+
1 1 0,1
MgATP
2 2 2
Fosfocreatina
15 15 15
EGTA
5 5 0,05
BES
50 50 50
pCa (-log[Ca
2+
])
8,5 6,4 8,5
Creatina kinase*
0,25 0,25 0,25
Força iônica**
200 200 200
PH
7 7 7
Tabela 2. As concentrações estão expressas em mM,exceto quando indicado.
* mg/ml
** A força iônica das soluções foi ajustada com metanosulfonato de potássio (KMSO
4
).
Para se realizar o cálculo da composição das soluções empregadas em fibras
quimicamente permeabilizadas foi utilizado um programa de computador em linguagem
Turbo Pascal, o qual descreve as múltiplas constantes de equilíbrio de íons em solução usando
constantes de associação previamente publicadas (Godt & Lindley, 1982; Andrews et al.,
1991).
3.3. Estatística
32
No presente estudo, para a análise dos dados e plotagem das figuras foi
utilizado o programa Sigma Plot (fabricante: SYSTAT) e para a análise estatística utilizamos
o programa estatístico Sigma Stat (fabricante: SYSTAT), o qual nos permitiu o emprego de
diferentes testes, em conformidade com cada experimento. Em experimentos com contração
muscular induzida por potássio foi empregado o teste estatístico Student Newman Keuls. Em
experimentos de contração muscular induzida por cafeína e fibra desmembranada foi utilizado
o teste-T pareado, enquanto que em experimentos com estimulações elétricas foi utilizado o
teste estatístico de análise de variância (One Way Anova). Para a comparação de contrastes,
foi utilizado a “posteriori” o teste de Tukey. Os dados foram considerados significativos
quando p< 0,05.
33
IV. RESULTADOS
4.1. Efeito da betaína e sacarose na contração muscular induzida por potássio
Os registros originais da contração potássica em meio isotônico, bem como, na
presença de betaína ou sacarose (100 mM) são mostrados na Figura 10. Os efeitos de soluções
hipertônicas sobre as contrações induzidas por KCl 100 mM são mostrados na Figura 11. A
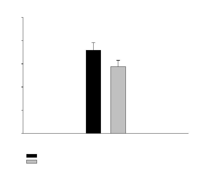
contração potássica na presença de betaína ou sacarose foi, em relação ao controle (solução de
Tyrode isotônica), respectivamente, de 358,90 ± 32,18 % (n=6) e 287,75 ± 27,36 % (n=6).
Tanto a betaína quanto a sacarose potencializaram a força de contração induzida pelo KCl 100
mM em comparação com a força induzida pela contração em meio isotônico. Todavia, a força
de contração induzida pela presença de betaína quando comparada aquela induzida na
presença de sacarose não apresenta diferença estatística.
34
REGISTRO ORIGINAL DE UM EXPERIMENTO DE CONTRAÇÃO POTÁSSICA
Figura 10. Registro original de experimento típico de variação de força no tempo. A) Registro original de um
experimento de contração induzida por KCl 100 mM (seta início de contração potássica) em meio isotônico. B)
Registro original de um experimento de contração potássica (seta KCl marca o início da contração induzida por
KCl 100 mM) na presença de sacarose 100 mM. C) Registro original de um experimento de contração potássica
na presença de betaína 100 mM. Em B e C observamos um aumento na força de contração quando comparados à
força de contração registrada em meio isotônico (A).
A)
B)
C)
Início da contração potássica
Relaxamento
KCl
KCl
Sacarose
Betaína
10s
14 mN
35
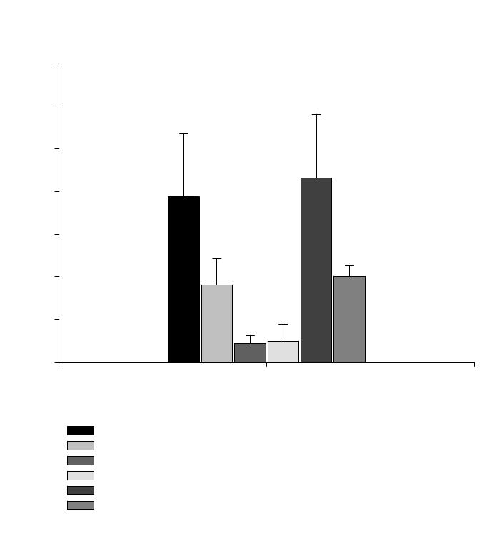
EFEITO DE SOLUÇÕES HIPERTÔNICAS NA PRODUÇÃO DE FORÇA
MUSCULAR INDUZIDA POR SUBSTITUIÇÃO ISOTÔNICA DO NaCl POR KCl
(100 mM)
Força (% Contração Potássica)
0
100
200
300
400
500
Tyrode 100 + Betaína 100 mM (n = 6)
Tyrode 100 + Sacarose 100 mM (n = 6)
Figura 11. Representação gráfica dos dados de produção de força muscular induzida por substituição isotônica
de NaCl por KCl (100 mM). Os dados estão expressos em valores percentuais e foram normalizados para a
contração obtida em solução isotônica de Tyrode. * Os resultados são apresentados como média ± erro padrão,
p<0,05; teste Student Newman Keuls; sacarose e betaína 100mM vs controle.
*
*
36
4.2 Efeito da betaína e sacarose sobre a contração cafeínica
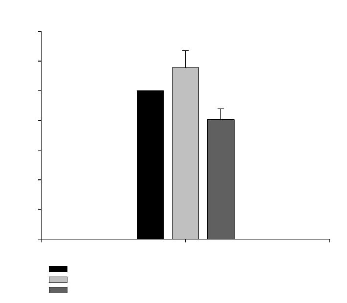
Os efeitos da betaína e da sacarose sobre a contração induzida por cafeína são
mostrados na figura 12. Neste experimento, a baixa concentração de cafeína (3 mM) utilizada
é suficiente apenas para a obtenção de uma contração submáxima. Isso nos permitiu observar
a eventual potencialização ou não da contração cafeínica quando da adição dos osmólitos
naturais. A produção de força induzida pela cafeína na presença de betaína ou sacarose (100
mM) foi, respectivamente, de 140,27 ± 36,6 % (n = 6) e 398,61 ± 85,33 % (n = 6) (Figura 13).
Os resultados demonstram que tanto a betaína quanto a sacarose (100 mM) potencializaram a
contração submáxima induzida pela cafeína (3 mM). Entretanto, a potencialização da
contração na presença de sacarose foi bem maior (258,33%) do que na presença de betaína.
37
REGISTRO ORIGINAL DE UM EXPERIMENTO DE PRODUÇÃO DE FORÇA MUSCULAR
INDUZIDA POR CAFEÍNA
Figura 12. A) Registro original de um experimento de produção de força induzida por cafeína (3 mM) na
ausência e na presença de betaína. B) Registro original de um experimento de produção de força induzida por
cafeína (3 mM) na ausência e na presença de sacarose. Tanto em A quanto em B observamos a potencialização
da contração submáxima induzida por cafeína na adição de betaína ou sacarose, respectivamente.
Cafeína 3 mM
Adição de Betaína 100 mM
A)
Cafeína 3 mM
Adição de Sacarose 100 mM
B)
4,5 mN
10s
38
EFEITO DE SOLUÇÕES HIPERTÔNICAS AJUSTADAS COM BETAÍNA OU
SACAROSE NA CONTRAÇÃO MUSCULAR INDUZIDA PELA CAFEÍNA (3mM)
Força (% Contração Cafeínica)
0
100
200
300
400
500
600
Cafeína (3 mM) + Betaína (100 mM) (n = 6)
Cafeína (3 mM) + Sacarose (100 mM) (n = 6)
Figura 13. Representação gráfica dos dados de produção de força muscular induzida por cafeína (3 mM) na
presença de betaína ou sacarose (100 mM). Os dados estão normalizados em valores percentuais àqueles obtidos
com a cafeína (3 mM), e expressos na média ± erro padrão. *A produção de força induzida por cafeína na
presença de sacarose difere significativamente em relação ao controle e ao tratamento com betaína.
4.3. Efeito da betaína e da sacarose na produção de força muscular induzida por EEI
*
*
39
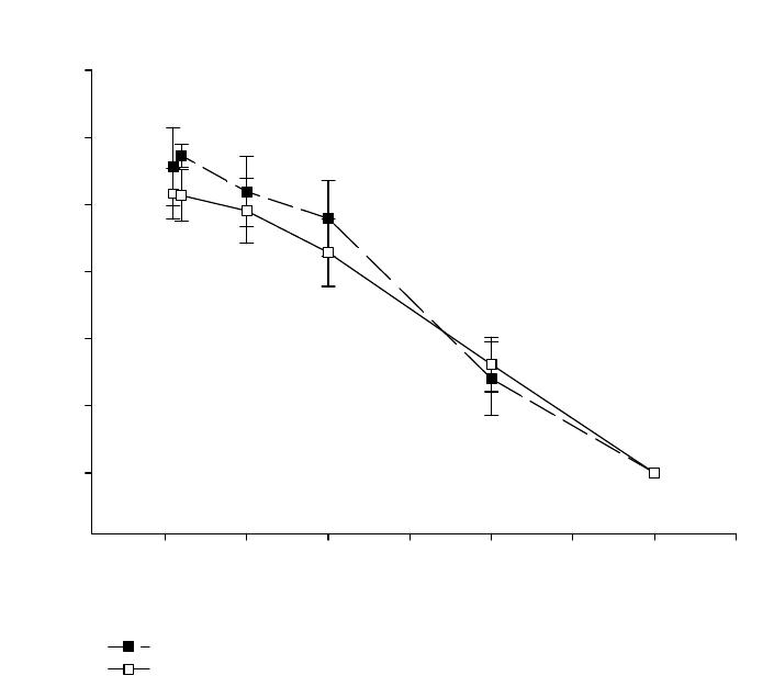
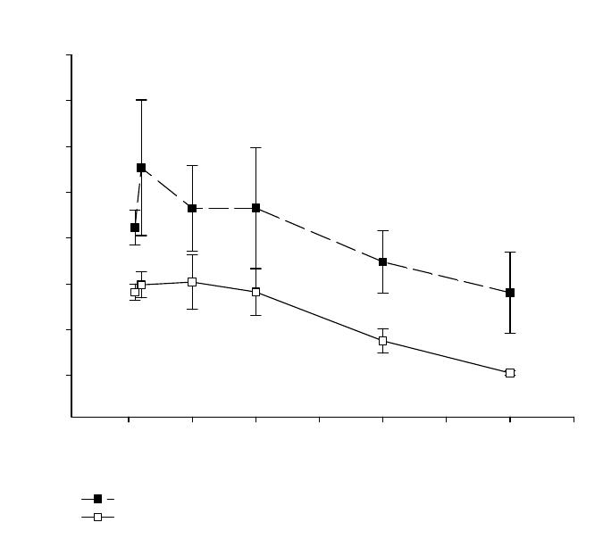
Os registros originais dos experimentos de contração muscular induzida por
EEI são mostrados nas Figuras 14 e 15. Nestes experimentos adicionou-se sacarose ou betaína
na solução T, em concentrações crescentes (5, 10, 50, 100, 200 e 300 mM) (n = 6). Os
resultados mostram que a força de contração muscular foi deprimida de forma concentração
dependente tanto pela sacarose quanto pela betaína (Tabela 3). A concentração de betaína ou
sacarose necessária para produzir a inibição de 50 % da força foi de aproximadamente 125
mM para ambos os compostos (Figura 16). Após o tratamento em solução hipertônica, a fibra
muscular foi imersa em solução isotônica, na qual observou-se a recuperação da produção de
força muscular em 72,37% em comparação à força controle inicial.
PRODUÇÃO DE FORÇA MUSCULAR INDUZIDA POR EEI
CONCENTRAÇÃO
(mM)
BETAÍNA
(média ± erro padrão)
SACAROSE
(média ± erro padrão)
5
98,55 ± 9,41 % 97,23 ± 2,47 %
10
96,89 ± 9,89 % 85,24 ± 6,03 %
50
84,25 ± 6,69 % 76,44 ± 7,4 %
100
64,91 ± 9,36 % 64,96 ± 8,51 %
200
16,23 ± 8,89 % 19,03 ± 7,33 %
300
0,00 0,00
Tabela 3. Valores da produção de força muscular na presença de betaína ou sacarose nos experimentos de
contração muscular induzida por EEI.
REGISTRO ORIGINAL DE UM EXPERIMENTO DE CONTRAÇÃO MUSCULAR INDUZIDA POR
EEI EM SOLUÇÃO CONTENDO SACAROSE
A)
40
Figura 14. Registro original de experimento típico de produção de força muscular induzida por EEI em
preparações contendo sacarose, em concentrações crescentes: A) sacarose 5 mM, não observa-se alteração no
abalo; B) sacarose 10 mM; C) sacarose 50 mM; D) sacarose 100 mM; E) sacarose 200 mM e F) sacarose 300
mM. Em B, C, D, E e F houve diminuição da produção de força muscular de forma concentração-dependente.
Em F, a fibra muscular foi imersa em solução isotônica após imersão em soluções hipertônicas, observa-se nesta
fase a recuperação da produção de força muscular.
REGISTRO ORIGINAL DE EXPERIMENTO DE CONTRAÇÃO MUSCULAR INDUZIDA POR EEI
EM SOLUÇÃO CONTENDO BETAÍNA
Tyrode
Sacarose 5 mM
Sacarose 10 mM
Sacarose 50 mM
Sacarose 100 mM
Sacarose 200 mM
Sacarose 300 mM
B)
C)
D)
E)
F)
Tyrode Isotônico
14,5 mN
10s
G)
41
Figura 15. Registro original de experimento típico de contração muscular induzida por EEI em preparações
contendo betaína, em concentrações crescentes: A) betaína 5 mM, sem alteração significativa no abalo; B)
betaína 10 mM; C) betaína 50 mM; D) betaína 100 mM; E) betaína 200 mM e F) betaína 300 mM. Em B, C, D,
E e F houve diminuição da produção de força muscular de maneira concentração-dependente.
Tyrode
Betaína 5 mM
A)
B)
Betaína 10 mM
Betaína 50 mM
C)
Betaína 100 mM
D)
Betaína 200 mM
Betaí
na 300 mM
E)
F)
5,9 mN
13s
42
EFEITO DE SOLUÇÕES HIPERTÔNICAS AJUSTADAS COM BETAÍNA OU
SACAROSE NA PRODUÇÃO DE FORÇA MUSCULAR INDUZIDA POR EEI
Concentração (mM)
0 50 100 150 200 250
Força (% Abalo)
0
20
40
60
80
100
120
Sacarose (n =6)
Betaína (n = 6)
Figura16. Representação gráfica dos dados de produção de força gerada nas preparações de nervo
frênico/músculo diafragma estimulados indiretamente. Os dados foram normalizados para a força muscular
obtida em solução isotônica de Tyrode e estão expressos em valores percentuais como a média ± erro padrão.
43
4.3.1. Efeito da exposição súbita de 300 mM de betaína ou sacarose na produção de força
muscular induzida por EEI
Realizamos o mesmo protocolo anterior de contração induzida por EEI,
adicionando-se diretamente à solução T 300 mM de betaína ou sacarose. Os registros
originais deste experimento são mostrados na Figura17.
Os níveis de força de contração obtidos na presença de 300 mM de betaína ou
sacarose foram normalizados para os valores de contração muscular obtidos em solução
isotônica de Tyrode. Foi observado aumento da contração basal (representado pelo
levantamento da linha de base) nas contrações obtidas na presença de betaína ou sacarose de
35,41 ± 7,51 % e 31,69 ± 26,03 %, respectivamente, em relação ao controle. A amplitude
máxima da contração muscular (somatório da contração basal e abalo muscular), em ambas as
soluções (betaína ou sacarose), foi reduzida a 44,64 ± 13,87 % e 47,05 ± 24,01 %,
respectivamente, em relação ao controle (Figura 18).
Comparando-se os valores de força de contrações musculares obtidas em
solução contendo betaína ou sacarose (300 mM), não encontramos diferença significativa
entre os tratamentos.
44
REGISTROS ORIGINAIS DE EXPERIMENTOS DE PRODUÇÃO DE FORÇA MUSCULAR
INDUZIDA POR EEI NA EXPOSIÇÃO SÚBITA DE 300 mM DE BETAÍNA OU SACAROSE
Figura 17. Registros originais de experimentos típicos de preparação de nervo frênico/diafragma estimulado
indiretamente em solução isotônica e posteriormente na adição súbita de 300 mM de A) betaína e B) sacarose.
Em ambos os experimentos observamos aumento da tensão basal.
Tyrode isotônico
Betaína 300 mM
Sacarose 300 mM
13,8 mN
10s
12,3 mN
10s
A)
B)
Tensão basal
Tensão basal
45
EFEITO DA BETAÍNA E DA SACAROSE (300 mM) NA CONTRAÇÃO MUSCULAR
INDUZIDA POR EEI
Força (% Abalo)
0
20
40
60
80
Contração basal Sacarose (300 mM)
Contração basal Betaína (300 mM)
Abalo Sacarose (300 mM)
Abalo Betaína (300 mM)
Amplitude máxima Sacarose (300 mM)
Amplitude máxima Betaína (300 mM)
Figura 18. Representação gráfica do nível basal de força (contração basal), do abalo e da amplitude máxima
(somatório da contração basal e abalo) de contração induzida por EEI, em músculo diafragma de rato expostos a
soluções hipertônicas, ajustadas com Betaína ou Sacarose (300 mM). Os dados estão expressos em % de força
em relação à contração controle obtida em solução T.
46
4.4. Efeito da betaína e da sacarose na produção de força muscular induzida por EED
Foram realizados experimentos de contrações musculares obtidas a partir da
estimulação elétrica direta do músculo diafragma, em solução T. Nestes experimentos
adicionou-se em solução T sacarose ou betaína, em concentrações crescentes (5, 10, 50, 100,
200 e 300 mM) (n = 6) (Tabela 4). Nestes experimentos utilizamos d-tubocurarina (60 µg)
para bloqueio de placa motora.
Os registros originais obtidos nestes experimentos são semelhantes aos obtidos
quando do uso de EEI, assim sendo, os mesmos o são aqui apresentados. Os resultados
mostram que a força de contração muscular foi deprimida de forma concentração dependente
tanto pela sacarose quanto pela betaína (Figura 19). Não houve diferença significativa entre os
tratamentos.
PRODUÇÃO DE FORÇA MUSCULAR INDUZIDA POR EED
CONCENTRAÇÃO
(mM)
BETAÍNA
(média ± erro padrão)
SACAROSE
(média ± erro padrão)
5
86,80 ± 7,23 % 89,77 ± 4,29 %
10
87,68 ± 7,98 % 84,98 ± 11,25 %
50
68,42 ± 16,10 % 75,69 ± 10,71 %
100
40,95 ± 22,46 % 51,43 ± 20,98 %
200
13,03 ± 7,52 % 11,00 ± 7,27 %
300
0,00 0,00
Tabela 4. Valores da produção de força muscular na presença de betaína ou sacarose nos experimentos de
contração muscular induzida por EED.
47
EFEITO DA BETAÍNA E DA SACAROSE NA PRODUÇÃO DE FORÇA MUSCULAR
INDUZIDA POR EED
Concentração (mM)
0 50 100 150 200 250
% Força
0
20
40
60
80
100
120
Sacarose (n = 6)
Betaína (n = 6)
Figura 19. Representação gráfica dos dados de produção de força gerada pelo músculo diafragma de rato
estimulado diretamente em solução contendo betaína ou sacarose. Os dados foram normalizados para os valores
de força obtidos em solução T e estão expressos em valores percentuais como a média ± erro padrão. Não houve
diferença entre os tratamentos, em ambos a produção de força muscular diminui de forma concentração-
dependente.
48
4.4.1. Efeito da exposição súbita de 300 mM de betaína ou sacarose na produção de força
muscular induzida por EED
Os registros originais mostram discreto aumento da contração basal, tanto para
betaína quanto para sacarose, os quais se mantêm durante todo o tratamento com betaína ou
sacarose. Todavia, a amplitude máxima de contração foi deprimida de forma tempo-
dependente (Figura 20).
As fibras musculares expostas à sacarose desenvolveram aumento da contração
basal, que atingiu 77,52 ± 29 % do valor de força controle. Em solução contendo betaína, o
aumento da contração basal obtido foi de aproximadamente 36,16 ± 12,23 %. A amplitude
máxima de contração muscular obtida em solução contendo betaína ou sacarose foi
respectivamente de 40,19 ± 5,09 % e 86,19 ± 29,98 %. Não diferença significativa entre os
tratamentos. Os efeitos do tratamento com solução contendo betaína ou sacarose (300 mM) na
produção de força induzida por EED são mostrados na Figura 21 (n = 4).
49
REGISTROS ORIGINAIS DE EXPERIMENTOS DE PRODUÇÃO DE FORÇA MUSCULAR
INDUZIDA POR EED NA EXPOSIÇÃO SÚBITA DE 300 mM DE BETAÍNA OU SACAROSE
Figura 20. Registros originais de experimentos típicos de contração muscular estimulada diretamente em
solução isotônica e posteriormente na adição súbita de 300 mM de A) betaína e B) sacarose. Em ambos os
experimentos observamos aumento da tensão basal.
Tyrode isotônico
Betaína 300 mM
A)
B)
Tyrode isotônico
Sacarose 300 mM
5,9 mN
10s
50
EFEITO DA BETAÍNA E DA SACAROSE (300 mM) NA PRODUÇÃO DE FORÇA
MUSCULAR INDUZIDA POR EED
Força (% Abalo)
0
20
40
60
80
100
120
140
Contração basal Sacarose (300 mM)
Contração basal Betaína (300 mM)
Abalo Sacarose (300 mM)
Abalo Betaína (300 mM)
Amplitude máxima Sacarose (300 mM)
Amplitude máxima Betaína (300 mM)
Figura 21. Representação gráfica do nível basal de força (contração basal), do abalo e da amplitude máxima
(somatório da contração basal e abalo) de contração induzida por EED, em músculo diafragma de rato expostos a
soluções hipertônicas, ajustadas com Betaína ou Sacarose (300 mM). Os dados estão expressos em % de força
em relação à contração controle obtida em solução T.
51
4.5. Efeito do TMAO na produção de força muscular induzida por EEI
Foram realizados experimentos com diferentes concentrações de TMAO com o
objetivo de comparar seus efeitos com os da betaína, que em experimentos anteriormente
realizados em nosso laboratório com TMAO, em músculo estriado esquelético de anfíbio,
demonstrou-se que este composto produziu a potencialização da contração induzida pela
cafeína.
Realizamos o mesmo protocolo descrito no item 4.3, com concentrações
crescentes de TMAO (5, 10, 50, 100, 200, 300 mM) (n = 4) (Figura 22). Em relação aos dois
parâmetros avaliados, contração basal (representado nos registros originais pelo levantamento
da linha de base) (Figura 23) e abalo (força máxima obtida por estimulação elétrica),
verificou-se que o TMAO e a sacarose reduziram, de forma concentração dependente o
segundo parâmetro. A concentração tanto de TMAO quanto de sacarose, necessárias para
produzir 50 % de inibição do abalo foram idênticas, ou seja, de aproximadamente 150 mM
(Figura 24). Em relação à contração basal, verificou-se que o TMAO, mas não a sacarose,
promoveu aumento nesse parâmetro, efeito este que não mostrou ser dependente das
concentrações empregadas. O aumento na contração basal obtido com 5 mM de TMAO foi
praticamente idêntico ao obtido com 300 mM deste osmólito. O somatório entre contração
basal e abalo é igual a amplitude máxima de força. Em experimentos com TMAO, houve um
aumento da amplitude máxima, observado na Figura 25.
52
REGISTROS ORIGINAIS DE EXPERIMENTOS DE CONTRAÇÕES MUSCULARES INDUZIDAS
POR EEI EM SOLUÇÕES CONTENDO TMAO OU SACAROSE
Figura 22. Registros originais de um experimento típico de contração muscular induzida por EEI em soluções
contendo concentrações crescentes de TMAO: A) TMAO 5 mM; B) TMAO 10 mM; C) TMAO 50 mM; D)
Sacarose 5 mM. Em A, B e C houve aumento na contração basal, o mesmo não é observado em D.
Tyrod
e
A)
TMAO 5 mM
Contração basal
TMAO 10 mM
TMAO 50 mM
B)
C)
D)
Tyrode
Sacarose 5 mM
6,36 mN
15s
53
EFEITO DO TMAO E DA SACAROSE NA CONTRAÇÃO BASAL DE
EXPERIMENTO DE CONTRAÇÃO MUSCULAR INDUZIDA POR EEI
Concentração (mM)
0 50 100 150 200 250 300 350
Força (% Contração basal)
0
50
100
150
200
250
TMAO
Sacarose
Figura 23. Representação gráfica dos dados de produção de força basal induzida por EEI, em músculo
diafragma de rato exposto a soluções hipertônicas, ajustadas com TMAO ou sacarose. Os dados foram
normalizados para as contrações obtidas em solução isotônica de Tyrode.
54
EFEITO DO TMAO E DA SACAROSE NO ABALO MUSCULAR INDUZIDO POR
EEI
Concentração (mM)
0 50 100 150 200 250 300 350
Força (% Abalo)
0
20
40
60
80
100
120
TMAO
Sacarose
Figura 24. Representação gráfica dos dados de produção de força gerada nas preparações de nervo
frênico/músculo diafragma estimulados indiretamente e expostos à soluções hipertônicas, ajustadas com TMAO
ou sacarose. Os dados foram normalizados para a força muscular obtida em solução isotônica de Tyrode e estão
expressos em valores percentuais como a média ± erro padrão.
55
EFEITO DO TMAO E DA SACAROSE NA AMPLITUDE MÁXIMA DE
CONTRAÇÃO MUSCULAR INDUZIDA POR EEI
Concentração (mM)
0 50 100 150 200 250 300 350
Força (% Abalo)
0
50
100
150
200
250
300
350
TMAO
Sacarose
Figura 25. Representação gráfica dos dados de produção de força muscular máxima induzida por EEI, em
músculo diafragma de rato exposto à soluções hipertônicas ajustadas com TMAO ou sacarose. Os dados foram
normalizados para o percentual de força do abalo obtido em solução isotônica de Tyrode, e estão expressos como
média ± erro padrão. A amplitude máxima de contração muscular é igual ao somatório da força obtida no abalo
mais a força basal.
56
4.6. Efeito do TMAO na produção de força muscular induzida por EED
O efeito do óxido de trimetilamina sobre a produção de força induzida por
EED está apresentado na Figura 26. Os dados demonstram que de forma concentração-
dependente tanto o TMAO quanto a sacarose induziram uma diminuição da força de
contração muscular. Nestes experimentos não foram observados aumentos da contração basal
como visto nos experimentos induzidos por estimulação elétrica indireta. Visto que neste
experimento, as fibras foram imersas em soluções contendo DTB 60 µg, acredita-se que o
aumento na contração basal esteja relacionado a efeito sobre as proteínas presentes em região
de placa motora, efeito este abolido com o bloqueio realizado pela DTB em placa motora.
Não houve diferença significativa entre os tratamentos.
57
EFEITO DO TMAO E DA SACAROSE NA PRODUÇÃO DE FORÇA MUSCULAR
INDUZIDA POR EED
Concentração (mM)
0 50 100 150 200 250 300 350
Força ( % Abalo)
0
20
40
60
80
100
120
TMAO (n = 4)
Sacarose (n = 4)
Figura 26. Representação gráfica dos dados de produção de força muscular induzida por EED, em músculo
diafragma de rato exposto a soluções hipertônicas, ajustadas com TMAO ou sacarose. Os dados foram
normalizados para o percentual de força muscular obtido em solução T, e estão expressos como média ± erro
padrão.
58
4.7. Efeito da betaína e da sacarose em fibra muscular esquelética desmembranada com uso de saponina:
Os registros originais de experimentos em fibra muscular esquelética
desmembranada com uso de saponina são mostrados na Figura 27. Inicialmente, as
preparações foram expostas à sol.L acrescida de cafeína (30 mM) objetivando a obtenção de
resposta contrátil máxima. A seguir, empregou-se uma concentração de cafeína capaz de
produzir uma resposta contrátil submáxima (3 mM). Tanto a betaína quanto a sacarose (100
mM) foram incapazes de potencializar a força de contração muscular quando em presença de
cafeína (3 mM). Por outro lado, quando comparadas entre si, a amplitude da força de
contração muscular induzida pela sacarose e pela betaína (100 mM) na presença de cafeína (3
mM) o praticamente iguais (Figuras 28 e 29). Não houve diferença significativa entre os
tratamentos.
59
REGISTRO ORIGINAL DE UM EXPERIMENTO DE FIBRA MUSCULAR ESQUELÉTICA
DESMEMBRANADA COM USO DE SAPONINA
Figura 27. Registro original de experimento típico de produção de força muscular de fibra muscular
desmembranada com uso de saponina, induzida por cafeína (3 mM), na ausência ou na presença de betaína ou
sacarose (100 mM).
Sol. L+ caf 3 mM +
sacarose 100 mM
Sol. L+caf 3 mM +
betaína 100 mM
Sol. L + caf 3 mM
Sol. R
Sol. L+ caf. 30 mM
Sol. L+caf 3 mM
Sol.L + Sacarose
100 mM
0,72 mN
7s
60
EFEITO DA BETAÍNA E DA SACAROSE NA PRODUÇÃO DE FORÇA MUSCULAR
DE FIBRA DESMEMBRANADA COM SAPONINA (REPRESENTAÇÃO GRÁFICA
COM DADOS NORMALIZADOS EM RELAÇÃO À CAFEÍNA 30 mM)
Força (% Contração Cafeínica 30 mM)
0
20
40
60
80
100
120
Cafeína (30 mM)
Cafeína (3 mM) + Sacarose (100 mM)
Cafeína (3 mM) + Betaína (100 mM)
Figura 28. Representação gráfica dos dados de produção de força muscular de fibra desmembranada com
saponina em soluções hipertônicas ajustadas com betaína ou sacarose (100 mM). Os dados foram normalizados
para as contrações obtidas em solução contendo cafeína (30 mM).
61
EFEITO DA BETAÍNA E DA SACAROSE NA PRODUÇÃO DE FORÇA MUSCULAR
DE FIBRA DESMEMBRANADA COM SAPONINA (REPRESENTAÇÃO GRÁFICA
COM DADOS NORMALIZADOS EM RELAÇÃO À CAFEÍNA 3 mM)
Força (% Contração cafeínica 3 mM)
0
20
40
60
80
100
120
140
Cafeína (3 mM)
Cafeína (3 mM) + Sacarose (100 mM)
Cafeína (3 mM) + Betaína (100 mM)
Figura 29. Representação gráfica dos dados de produção de força muscular de fibra desmembranada com
saponina em soluções hipertônicas ajustadas com betaína ou sacarose (100 mM). Os dados foram normalizados
para as contrações obtidas em solução contendo cafeína (3 mM).
62
V. DISCUSSÃO
A perfeita funcionalidade celular depende de um estado de equilíbrio entre os
meios extracelular e intracelular. As células de mamíferos são banhadas por um fluído
extracelular com osmolaridade relativamente constante. Qualquer desequilíbrio na
osmolaridade intra ou extracelular é acompanhado de movimento de água através das
membranas celulares com conseqüentes alterações no volume celular (Lang et al., 1998). As
alterações no volume ocorrem não somente por alterações na tonicidade do meio extracelular,
mas também na diferenciação celular, apoptose, hipertrofia ou atrofia celular e para manter
seu volume as células criaram mecanismos reguladores do mesmo (O’Neill, 1999). Dentre
estes mecanismos, destaca-se o transporte iônico através da membrana. Quando a célula é
exposta a um meio hipertônico, esta inicialmente murcha e então, por meio de aumento
regulatório do volume celular (RVI), aproxima-se do seu volume original (Lang et al., 1998).
Esta regulação ocorre através de transportadores de íons (Na
+
, K
+
e Cl
-
) presentes na
membrana plasmática (O’Neill, 1999). Durante o RVI, há um aumento da concentração iônica
intracelular. Este aumento é limitado, pois a alta concentração iônica interfere na estrutura e
na função das macromoléculas (Lang et al., 1998). Para lograr estes efeitos contrários à
funcionalidade celular, as células produzem substâncias denominadas osmólitos. Os osmólitos
são substâncias designadas a contrabalancear os efeitos de alterações da osmolaridade sem
comprometer as funções celulares, mesmo em altas concentrações (Pierce et al., 1999). O
maior exemplo de atuação de osmólitos em mamíferos está relacionado às células da medula
renal, as quais permanecem em meio hipertônico podendo conter uréia a 5,4 molar. A
sobrevivência destas células é possível devido à presença de osmólitos neutralizadores que
atuam contra os efeitos deletérios da uréia (Rösgen et al., 2005)
63
As células musculares sofrem alterações importantes quando expostas a altas
tonicidades, não somente em seu volume, mas também na capacidade de geração de força
(Caputo, 1968; Gordon & Godt, 1970; Homsher et al., 1974). Estudos demonstram que esta
alteração na capacidade de produção de força está relacionada com alterações no processo
AEC e/ou na capacidade de desenvolvimento de força pelo sistema contrátil (Gordon & Godt,
1970; Homsher, 1974; Godt et al., 1984).
Visando analisar os efeitos da hipertonicidade sobre o processo de AEC foram
realizados experimentos em músculo esquelético de ratos. O aumento da tonicidade foi
obtido com a adição de osmólitos naturais (betaína, TMAO ou sacarose) à solução isotônica.
A realização do presente estudo foi motivada por estudos anteriormente realizados neste
laboratório de Fisiologia da Contração Muscular com a utilização de TMAO, nos quais
observou-se que o TMAO (100 mM) é capaz de potencializar a força de contração induzida
por potássio ou cafeína em músculo sartório de (Lunkmoss, 2002), bem como aumentar a
amplitude máxima de contração induzida por EEI em músculo reto-abdominal de
(Zamproni, 2004). Portanto a questão central era se os osmólitos naturais betaíana e TMAO
produziriam ou não o mesmo efeito potencializador da força muscular ou agiriam como
osmólitos compatíveis em músculo estriado esquelético de mamíferos. Osmólitos compatíveis
são substâncias naturais que independente de sua concentração, não induz a alterações
estruturais e/ou juncionais nas proteínas presentes no meio intra e/ou extracelular (Yancey,
2005).
Assim sendo, foram realizados experimentos em músculo diafragma de rato
tanto com fibras intactas quanto com fibra desmembranada. Os experimentos de produção de
força muscular induzida por substituição isotônica do NaCl por KCl (100 mM) realizados em
músculo diafragma de rato mostraram aumento na produção de força com a adição de
sacarose ou betaína 100 mM em relação à força obtida em solução isotônica. Estes dados
64
mostram que a betaína age como agente compatível, pois a fibra exposta à solução hipertônica
não produz força, mas esta é potencializada. Nestes experimentos, a força gerada pelas
fibras em solução hipertônica ajustada com betaína foi maior do que a força gerada pelas
fibras em solução hipertônica ajustada com sacarose. Estes experimentos mostraram que não
apenas um efeito da tonicidade, uma vez que os resultados obtidos entre os tratamentos
foram diferentes. Tem sido demonstrado que o aumento da tonicidade do meio extracelular
reduz a produção de força induzida por despolarização do sarcolema por KCl (Gordon &
Godt, 1970; Suarez-Kurtz & Sorenson, 1977b; Vaughan et al., 1983). Entretanto, outros
autores demonstraram um aumento na produção de força, não apenas em condições
experimentais semelhantes, como também na contratura caféinica (Caputo, 1966; Kita et
al.,1982).
A cafeína é frequentemente utilizada para induzir a liberação de íons cálcio do
RS em fibras intactas e desmembranadas (Caputo, 1966; Gordon & Godt, 1970; Kita et al,
1982; Godt et al., 1993; Chawla et al., 2001). Esta promove a contração sem alterações no
potencial de membrana e em concentrações menores potencializa a liberação de íons cálcio
induzida pela despolarização da membrana (Rios & Pizarro, 1991). Nagasaki e Kasai, em
1983, em estudos com vesículas do RS sugeriram que a cafeína aumentava a liberação de
Ca
2+
presumivelmente pelo aumento da afinidade do sítio ativador no RS pelos íons cálcio.
Os dados obtidos neste trabalho demonstram a potencialização da contratura
cafeínica, com o aumento da tonicidade do meio. Tais resultados estão de acordo com aqueles
obtidos por Caputo, 1966 e Chawla et al., 2001. De acordo com Caputo, 1966, a
hipertonicidade produz alterações no RS, mas estas não interferem na difusão da cafeína ao
longo do RS e sim poderiam facilitar a ação da cafeína na indução de contração. Chawla et
al., 2001, demonstraram que as soluções hipertônicas ajustadas com sacarose induziram o
aparecimento de oscilações na concentração de íons cálcio intracelular, em músculo
65
esquelético de rã. Tais oscilações mantiveram-se independentes à presença de Ca
2+
extracelular ou à atividade elétrica do sarcolema, persistindo na presença de bloqueadores do
receptor DHPR, bloqueadas com inibidores do receptor RyR, contudo estas oscilações eram
aumentadas na presença de cafeína. Estes efeitos foram atribuídos às soluções hipertônicas
que poderiam estar potencializando o mecanismo de liberação de cálcio induzido por cálcio
(CICR). Efeitos semelhantes foram demonstrados por Godt et al.,1993. Os dados obtidos
neste trabalho demonstraram que as soluções hipertônicas potencializaram a contratura
cafeínica indicando que o mecanismo de CICR poderia estar envolvido, visto que soluções
hipertônicas reduzem a fenda entre as membranas do túbulo T e RS, conforme demonstrado
por Chawla et al., 2001. Podemos sugerir ainda que a betaína esteja novamente estabilizando
a estrutura protéica celular, em razão da potencialização da contração em 40 %. Enquanto
com a sacarose obtivemos um aumento três vezes maior na produção de força, em
experimentos anteriormente realizados neste laboratório com TMAO, o aumento obtido foi de
até vinte vezes maior que a contratura cafeínica em solução isotônica. Portanto, as diferenças
na magnitude das potencializações das contraturas induzidas por soluções hipertônicas
sugerem a existência de múltiplos mecanismos envolvidos em tal atividade.
Nos experimentos de contração muscular induzida por estimulação elétrica
indireta e direta, em soluções hipertônicas ajustadas com sacarose ou betaína, não observamos
a potencialização da produção de força em relação aos experimentos anteriores. Tais
experimentos mostraram a diminuição da força de contração muscular de forma
concentração-dependente. Esta redução tem sido relacionada a alterações na capacidade
intrínseca do aparato contrátil desenvolver tensão através de alterações na força iônica
intracelular (Gordon et al., 1973; Coutinho et al., 1982; Godt et al. 1984; Piazessi et al.,
1994). Howarth, em 1958, sugeriu que as soluções hipertônicas, por causarem movimento de
água para o meio extracelular, concentrariam sal dentro das células e afetariam diretamente a
66
interação do aparato contrátil, causando assim uma diminuição na tensão. Alguns autores
ressaltam que o aumento da força iônica pode deprimir ou até mesmo inibir a atividade
ATPásica da cabeça da miosona, (Gordon et al., 1973; Homsher et al., 1974; Vaughan et al.,
1983). Godt & Maughan, 1981, em experimento com células desmembranadas, demonstraram
que em alta osmolaridade há uma redução no espaço entre os filamentos, diminuindo o
desenvolvimento de força ativado por íon cálcio. Acredita-se que esta redução na capacidade
máxima de força seja decorrente de uma alteração na angulação da cabeça da miosina ao
ligar-se com actina, impedindo a ciclagem das pontes transversas e conseqüentemente
diminuição na tensão muscular. O aumento na força iônica poderia influenciar, também, as
interações proteína-proteína entre os receptores RyR e DHPR, bem como as proteínas
acessórias que interagem com a proteína RyR na membrana do RS (Chawla et al., 2001).
Os dados obtidos neste trabalho mostraram que a concentração de betaína ou
sacarose necessária para produzir 50% de inibição da força máxima foi de aproximadamente
125 mM para ambos os compostos nos experimentos de contração de EED e EEI. Entretanto,
a contratura cafeínica submáxima obtida na presença de sacarose ou betaína (100 mM) foi
potencializada.Caputo, 1968, sugere que o aumento na força iônica no interior da célula
devido à perda de água pode afetar tanto as estruturas das proteínas contráteis, como também
das proteínas presentes no RS, comprometendo dessa forma o AEC. Assim as respostas de
contração induzidas pela despolarização da membrana, por estimulação elétrica indireta ou
direta, seriam afetadas. Enquanto a contração induzida por cafeína não seria afetada, já que
esta age diretamente na liberação de íons cálcio (Caputo, 1968). Com o murchamento das
fibras por um aumento da tonicidade ainda maior, o aumento da força iônica pode agir
diretamente nas proteínas contráteis, reduzindo assim a força de contração. De acordo com a
hipótese que para certas concentrações de soluto haveria alterações ou não na funcionalidade
do aparato contrátil, não podemos descartar as propriedades biofísicas das proteínas. Rösgen
67
et al., 2005, afirma que o mecanismo de ação de osmólitos protetores (ex: TMAO, betaína)
muda de acordo com a concentração do mesmo. A estabilização das proteínas pelos osmólitos
protetores através do mecanismo de hidratação é pequena quando os osmólitos estão em
baixas ou altas concentrações. Nossos dados estão em concordância com esta afirmativa, pois
a betaína, sendo um osmólito protetor, em uma concentração 100 mM atua estabilizando o
processo AEC, como visto nas contraturas potássica e cafeínica, já em concentrações maiores
podemos observar a diminuição de sua atuação pela diminuição na tensão muscular. Em
fibras desmembranadas com uso de saponina, podemos observar os efeitos estabilizadores dos
osmólitos betaína e sarcosina. Foram utilizadas concentrações intermediárias (50 e 100 mM)
de osmólito. Não houve potencialização da produção de força muscular em ambos os
tratamentos, contudo não observamos efeitos deletérios sobre as proteínas contráteis, uma vez
que a produção de força obtida manteve-se semelhante à produção em solução isotônica
controle, confirmando a função de estabilizador dos osmólitos empregados. Godt et al., 1993,
demonstraram que osmólitos naturais, como TMAO, protegem as proteínas contra a
desestabilização protéica por altas concentrações de sal ou outros desnaturantes.
Nos experimentos com estimulação elétrica direta ou indireta, foram utilizadas
concentrações crescentes de solutos, sendo as fibras imersas em soluções hipertônicas por
tempo prolongado. Com o intuito de descartar os efeitos em função do tempo de exposição à
hipertonicidade, foram realizados experimentos com eletroestimulação direta ou indireta, nos
quais adicionava-se oosmólito (300 mM) subitamente na solução controle. Como foi descrito
por Länergren & Noth, em 1973, nossos registros também demonstraram um aumento na
contração basal, que segundo estes autores, deve-se à ativação assincrônica das fibras
musculares e à maior liberação de íons cálcio do RS. Além disso,os íons cálcio não são
recaptados adequadamente pela organela devido às alterações do RS pelo aumento da
tonicidade no meio intracelular.
68
Tem sido proposto que os osmólitos naturais, incluindo betaína, TMAO e
sarcosina, possuem a propriedade de aumentar o enovelamento das proteínas, sendo este
efeito denominado efeito osmofóbico (Celinski & Scholtz, 2002). Este efeito é caracterizado
pela interação desfavorável entre o osmólito e o eixo central do peptídeo, gerando uma força
termodinâmica solvofóbica. O eixo central peptídico é exposto no seu estado desnaturado ao
osmólito, o efeito osmofóbico preferencialmente aumenta a energia livre do estado
desnaturado, levando o equilíbrio a favor do estado protéico nativo (Bolen & Baskakov,
2001). Baskakov et al, 1998 demonstrou que a interação entre TMAO e o eixo central do
peptídeo promovia uma alta força para minimizar a exposição do eixo a este soluto. Isto é,
existe uma força de repulsão entre o estabilizador e o eixo central do peptídeo (força
termodinâmica desfavorável) e devido a esta repulsão a proteína tende a compactação
reduzindo a exposição do seu eixo central. Segundo Timasheff (2002), existe um sistema
ternário água-proteína-soluto que é regido por ligações termodinâmicas, sendo estas
favoráveis (osmólitos desestabilizadores, como a uréia e outros sais) ou desfavoráveis
(osmólitos estabilizadores). Yancey, 2005, enfatiza que os osmólitos estabilizadores não se
ligam às proteínas, mas sim são excluídos da camada de hidratação protéica (moléculas de
água adjacentes a superfície protéica). Bolen & Baskakov, 2001, Celinski & Scholtz, 2002,
ressaltam que os osmólitos protetores possuem maior ou menor capacidade osmofóbica,
demonstrando que as metilaminas, principalmente o TMAO, são capazes de manter em maior
grau a conformação nativa protéica.
Com intuito de analisarmos os efeitos do TMAO em músculo de mamíferos,
foram realizados experimentos com estimulação elétrica direta e indireta na presença deste
osmólito. Sob estimulação elétrica direta, não observamos diferença significativa entre os
tratamentos com TMAO, sacarose ou betaína.
69
Nos experimentos de contração muscular induzida por estimulação elétrica
indireta em solução contendo TMAO, em concentrações crescentes, podemos notar o efeito
estabilizador do osmólito. Nossos dados demonstraram que na presença de TMAO (5-150
mM) é mantida a funcionalidade da maquinaria contrátil estimulada indiretamente (via
estimulação elétrica nervo frênico/diafragma). Outro dado interessante foi o aumento da
contração basal, que se manteve praticamente constante independente da concentração
utilizada, sendo esta duas vezes maior que a contração controle. A amplitude máxima de
contração (somatório entre contração basal e abalo) se manteve aumentada, apesar da
diminuição do abalo. Estes dados confirmam a teoria de Bolen & Baskakov, 2001, sobre o
TMAO ser mais efetivo que outros osmólitos, como sacarose, betaína e sarcosina.
O mecanismo de estabilização protéica pelo TMAO é explicado pelo seu efeito
osmofóbico. De acordo com a força termodinâmica desfavorável, o TMAO é excluído da
camada de hidratação da proteína, e envolvido por uma camada de água ao seu redor
diminuindo a exposição do substrato à água (Yancey, 2005). Alterando a camada de
solvatação em torno das proteínas, o TMAO desfavorece a competição entre água-proteína e
pontes de hidrogênio entre proteína-proteína. Dessa forma, o osmólito diminui as pontes de
hidrogênio água-proteína e aumenta as pontes intraproteína, resultando numa maior
estabilização protéica (Bennion et al, 2004; Gonnelli & Strambini, 2001).
Como descrito anteriormente, o aumento na contração basal deve-se a uma
maior concentração de íons cálcio no meio intracelular (Lännergren & Noth, 1973). Este
aumento pode ocorrer por um déficit na recaptação do Ca
2+
livre ou um aumento na entrada
de cálcio intracelularmente. Sabe-se que alterações devido à hipertonicidade ocorrem não
somente na membrana celular, mas também nas organelas celulares. Poderíamos, então,
atribuir tal déficit de recaptação a uma alteração na SERCA (bomba transportadora de
Ca
2+
/ATPase do RS), porém notaríamos o aumento da contração basal em todos os
70
experimentos de eletroestimulação realizados nesta pesquisa. Uma outra hipótese seria se o
TMAO atuasse protegendo esta proteína no RS e mantivesse sua função inalterada, porém
este osmólito, devido a seu peso molecular, não atravessa a membrana celular. Supomos então
que o mecanismo mais provável seria um aumento na entrada de íons cálcio no citosol pelos
receptores nicotínicos. Observamos que o efeito de aumento da contração basal não se repetia
nos experimentos realizados com EED. Baseados nestas duas afirmativas, sugerimos que o
TMAO esteja agindo a nível de receptor nicotínico, na placa motora. Assim, o TMAO estaria
estabilizando esta proteína, influenciando seu estado conformacional, mantendo-a ativa para a
entrada de íons cálcio no interior da célula. Allard e colaboradores, em 1996, demonstraram a
atividade de receptores nicotínicos na placa motora, sendo que em condições fisiológicas de
[Ca
2+
]
extracelular, o Ca
2+
entra na célula pelos receptores nicotínicos aumentando a
concentração interna local do mesmo íon. Esta concentração interna de íons cálcio é suficiente
para abertura dos canais de K
+
induzidos por Ca
2+
.
Estudos com sacarose demonstram que este osmólito também é capaz de
alterar a interação proteína-solvente, sem induzir mudanças conformacionais protéicas.
Termodinamicamente, significa que a sacarose age desfavoravelmente na interação com a
proteína, sendo excluída da camada de hidratação protéica e assim age diminuindo o
desnovelamento protéico e favorecendo a força de enovelamento ( Lee & Timasheff, 1981).
Tais estudos estão em concordata com os experimentos realizados nesta pesquisa, nos quais
observamos que a sacarose age como osmólito estabilizador tanto em fibras intactas
(contração com alta concentração de K
+
ou induzida por cafeína) quanto em fibras
desmembranadas, preservando a força de contração muscular.
Nossos estudos, portanto, demonstram que os osmólitos podem atuar como
estabilizadores protéicos em células musculares de mamíferos, mantendo sua capacidade de
produção de força dependendo das concentrações empregadas. Porém ressaltamos que os
71
osmólitos possuem características próprias, as quais interferem na sua atividade osmofóbica,
podendo esta ter alta magnitude como TMAO e betaína ou menor magnitude como sacarose.
Devido a estas peculiaridades, estudos posteriores deverão ser realizados a fim de elucidar os
mecanismos envolvidos entre as interações proteínas-osmólitos-solvente.
72
CONCLUSÃO
Neste estudo avaliamos o efeito do aumento da tonicidade do meio obtido com
adição de betaína, sacarose e TMAO (óxido de trimetilamina) na transmissão neuromuscular e
no processo de AEC de músculo esquelético de mamíferos. A betaína é um osmólito
estabilizador da classe das metilaminas, encontrado em microorganismos expostos a estresse
de temperatura e/ou alta salinidade e plantas de áreas áridas e salinas (Holmström et al, 2000).
Em condições hiperosmóticas, ela protege a atividade da miosina ATPase de músculo
esquelético na presença de baixa concentração de uréia plasmática tão bem quanto previne
mudanças estruturais na miosina em altas concentrações de uréia (Ortiz-Costa et al, 2002).
Podendo atuar também, contra os efeitos da uréia na medula renal de mamíferos (Yancey,
2005). Bolen & Baskakov (2001) descreveram o efeito osmofóbico dos osmólitos
estabilizadores, classe na qual a betaína está inclusa. Este efeito está relacionado com a
interação desfavorável entre o osmólito e a proteína, dessa maneira o osmólito pode agir
aumentando o valor constante de enovelamento da proteína, a ponto dela tornar-se mais
compacta. Na presente pesquisa estudamos os efeitos do TMAO, da betaína e da sacarose na
transmissão neuromuscular, no processo AEC e nas proteínas contráteis.
Na presente pesquisa concluímos que os osmólitos estudados parecem ser
compatíveis com a espécie estudade; uma vez que a funcionalidade, ou seja a contratilidade
do músculo foi mantida quando da presença destes osmólitos em soluções contendo
concentrações menores que 100 mM.
A betaína e a sacarore parecem estabilizar o AEC quando presentes em baixas
concentrações (< 100 mM), visto que a contratura potássica e cafeínica foram potencializadas
em preparações de músculo intacto.
73
Em concentrações maiores que 100 mM ambos os osmólitos diminuíram a
capacidade máxima de produção de força de forma dose dependente quando o músculo era
estimulado eletricamente direta ou indiretamente. Isto confirma o efeito deletério do aumento
da tonicidade do meio extracelular sobre as células, independente do osmólito utilizado, fato
que está em concordata com Rösgen et al, 2005, que mostra que a contribuição da hidratação
para estabilização de proteínas feita por osmólitos protetores é pequena em concentrações
muito altas.
Em fibras musculares esqueléticas desmembranadas com saponina, a sacarose
(100 mM) potencializou a contratura cafeínica. Isto indica que além do efeito potencializador
a nível de transmissão do sinal dos DHPRs para os RyRs, ela também possui efeito
potencializador sobre a liberação de cálcio do RS. Porém, a betaína não mostrou este último
efeito.
O TMAO e a sacarose diminuíram a produção de força muscular (abalo)
quando a contração era induzida por EEI, de forma dose dependente, sendo que 50 % de
inibição de força correspondeu a aproximadamente a 150 mM de ambos os solutos. O TMAO
promoveu aumento na contração basal nos mesmos experimentos, que relacionamos a priori a
um efeito provavelmente a nível de placa motora, pois quando a fibra foi estimulada
diretamente não houve aumento da contração basal. O mesmo efeito não foi visto com a
adição de sacarose. A amplitude máxima de contração foi elevada com a adição de TMAO e
não com sacarose, sendo provavelmente este efeito conseqüência do aumento da contração
basal.
Os dados obtidos neste trabalho demonstram que a tonicidade não é o único
fator responsável pelas alterações no processo de transmissão neuromuscular ou do processo
de AEC, e que estas alterações dependem do osmólito empregado.
74
VII. REFERÊNCIAS BIBLIOGRÁFICAS
1. Ahern, G.P., Junankar, P.R. & Dulhunty, A.F. (1994). Single channel activity of ryanodine
receptor calcium relelase channel is modulated by FK-506. FEBS Lett. 352, 369-374.
2. Alfieri, R.R., Cavazzoni, A., Petronini, P.G., Bonelli, M.A. et al. (2002). Compatible
osmolytes modulate the response of porcine endothelial cells to hypertonicity and protect
them from apoptosis. J. Physiol. 540, 499-508.
3. Allard, B., Bemengo, J.C., Rougir, O. & Jacquemond, V. (1996). Intracellular Ca
2+
changes
and Ca
2+
- activated K
+
channel activation induced by acetylcholine at the endplate of mouse
skeletal muscle fibers. J. Physiol. 494, 337.
4. Altringham, J.D., Yancey, P.H. & Johnston, I.A. (1982). The effects of osmoregulatory
solutes on tension generation by dogfish skinned muscle fibres. J. Exp. Biol. 96, 443-445.
5. Andrews, M.A., Maughan, D.W., Nosek, T.M. & Godt, R.E. (1991). Ion-specific and
general ionic effects on contraction of skinned fast-twitch skeletal muscle from the rabbit. J.
Gen. Physiol. 98, 1105-1125.
6. Ashley, C.C., Mulligan, I.P. & Lea, T.J. (1991). Ca
2+
and activation mechanisms in skeletal
muscle. Q. Rev. Biophys. 24, 1-73.
7. Avila, G., Lee, E.H., Perez, C.F., Allen, P.D. & Dirksen, R.T. (2003). FKBP12 binding to
RyR modulates excitation-contraction coupling in mouse skeletal myotubes. J. Biol. Chem.
278, 22600-22608.
8. Barton, K.N., Buhr, M.M. & Ballantyne, J.S. (1999). Effects of urea and trimethylamine N-
oxide on fluidity of liposomes and membranes of an elasmobranch. Am. J. Physiol. 276,
R397-R406.
9. Baskakov, I., Wang, A. & Bolen, D.W. (1998). Trimethylamine N-oxide counteracts urea
effects on rabbit muscle lactate dehydrogenase function: a test of the counteraction
hypothesis. Biophy. J. 74, 2666-2673.
10. Bedford, J.J., Harper, J.L., Leader, J.P., Yancey, P.H. & Smith, R.A.J. (1998). Betaine is
the principal counteracting osmolyte in tissues of the elephant fish, Callorhinaes millii
(Elasmobranchii, Holocephali). Comp. Bioch. Physiol. Part B 119, 521-526.
11. Bennion, B.J., De Marco, M.L. & Daggett, V. (2004). Preventing misfolding of the prion
protein by trimethylamine N-oxide. Biochemistry. 43, 12955-12963.
75
12. Berchtold, M.W., Brinkmeier, H. & Müntener, M. (2000). Calcium ion in skeletal muscle:
its crucial role for muscle function, plasticity and disease. Physiol. Rev. 80, 1215-1265.
13. Bers, D.M., Lederer, W.J. & Berlin, J.R. (1990). Intracellular Ca
2+
transients in rat cardiac
myocytes: role of Na
+
/Ca
2+
exchange in excitation-contraction coupling. Am. J. Physiol. 258,
C944-C954.
14. Bolen, D.W. & Baskakov, I.V. (2001). The osmofobic effect: natural selection of a
thermodynamic force in protein folding. J. Mol. Biol.310(5), 955-963.
15. Bowlus, R.D. & Somero, G.N. (1979). Solute compatibility with enzyme function and
structure: rationales for the selection of osmotic agents and end-products of anaerobic
metabolism in marine invertebrates. J. Exp. Zool. 208, 137-152.
16. Brenner, B. (1986). The cross-bridge cycle in muscle. Mechanical, biochemical, and
structural studies on single skinned rabbit psoas fibers to characterize cross-bridge kinetics in
muscle for correlation with the actomyosin-ATPase in solution. Bas. Res. Cardiol. 81, 1-15.
17. Brenner, B. (1988). Effect of Ca2+ on cross-bridge turnover kinetics in skinned single
rabbit psoas fiber: Implications for regulation of muscle contraction. Proc. Nat. Aca. Sci.
USA. 85, 3265-3269.
18. Brenner, B. (1991). Muscle mechanics and biochemical kinetics. In Molecular
Mechanisms in Muscular Contraction, ed. Squire, J. M., pp. 77-149. CRC Press, Inc., Boca
Raton.
19. Burg, M.B. & Peters, E.M. (1997). Urea and methylamines have similar effects on aldose
reductase activity. Am. J. Physiol. 273, 1048-1053.
20. Caputo, C. (1966). Caffeine and potassium-induced co0ntractures of frog striated muscle
fibers in hypertonic solutions. J. Gen. Physiol. 50, 129-139.
21. Caputo, C. (1968). Volume and twitch tension changes in single muscle fibers in
hypertonic solutions. J. Gen. Physiol. 52, 793-809.
22. Celinsk, S.A. & Scholtz, J.M. (2002). Osmolyte effects on helix formation in peptides and
the stability of coiled-coils. Prot. Sci.11, 2048-2051.
23. Chawla, S., Skepper, J.N., Hockaday, A.R. & Huang, C.L. (2001). Calcium waves
induced by hypertonic solutions in intact frog skeletal muscle fibres. J. Physiol. 536, 351-359.
76
24. Coutinho, S., Braga, D. & Suarez, K. (1982). Effects of hypertonicity on frog muscle
contractures induced by quinine. Braz. J. Med. Biol. Res. 15, 275-280.
25. Cooke, R. (1997). Actomyosin interaction in striated muscle. Am. Physiol. Soc. 77, 671-
697.
26. Coronado, R., Morissette, J., Sukhareva, M. & Vaughan, D. M. (1994). Structure and
function of ryanodine receptors. Am. Physiol. Soc. 266, C1485-C1504.
27. Craig, S.A.S. (2004). Betain in human nutrition. Am. J. Clin. Nutr. 80, 539-549.
28. Dirksen, R.T. (2002). Bi-directional coupling between dihydropyridine receptors and
ryanodine receptors. Front. Biosci. 7, d659-d670.
29. Dulhunty, A.F., Haarmann, C.S., Green, D., Laver, D.R. et al. (2002). Interactions
between dihydropyridine receptors and ryanodine receptoras in striated muscle. Prog. Bio.
Mol. Biol. 79, 45-75.
30. Fabiato, A. (1981). Myoplasmic free calcium concentration reached during the twitch of
an intact isolated cardiac cell and during calcium-induced release of calcium from the
sarcoplasmic reticulum of a skinned cardiac cell from the adult rat or rabbit ventricle. J. Gen.
Physiol. 78, 457-497.
31. Fabiato, A. (1992). Two kinds of calcium-induced release of calcium from the
sarcoplasmic reticulum of skinned cardiac cells. Adv. Exp. Med. Biol. 311, 245-262.
32. Fabiato, A. & Fabiato, F. (1978). Effect of pH on the myofilaments and the sarcoplasmic
reticulum of skinned cells from cardiac and skeletal muscles. J. Physiol. (Lond.) 276, 233-
255.
33. Favero, T.G. (1999). Sarcoplasmic reticulum Ca
2+
release and muscle fatigue. J. Appl.
Physiol. 87(2), 471-483.
34. Felder, E., Protasi, F., Hirsch, R., Franzini, A. & Allen, P. D. (2002). Morphology and
molecular composition of sarcoplasmic reticulum surface junctions in the absence of DHPR
and RyR in mouse skeletal muscle. Biophy. J. 82, 3144-3149.
35. Fill, M. & Copello, J.A. (2002). Ryanodine receptor calcium release channels. Physiol.
Rev. 82, 893-922.
77
36. Fogaça, R.T.H., Cavalcante, A.D.A., Serpa, A.K.L., Sousa, P.J.C., et al. (1997). The
effects of essential oil of Mentha x villosa on skeletal muscle of the toad. Phytoter.Res. 11,
552-557.
37. Franzini-Armstrong, C. & Protasi, F. (1997). Ryonodine receptors of striated muscle: a
complex channel capable of multiple interactions. Physiol.Rev. 77, 699-729.
38. Garcia, M.C., Carrillo, E., Galindo, J.M., Hernández, A., et al, (2005). Short-term
regulation of excitation-contraction coupling by the β
1
a-subunit in adult mouse skeletal
muscle. Biophys.J. BIOFAST. 10.1529/biophysj.105.067116.
39. Garcia, R., Carrilo, E., Rebolledo, S., Garcia, M.C. & Sanchez, J.A. (2002). The β
1
a-
subunit regulates the functional properties of adult frog and mouse L-type Ca
2+
channels os
skeletal muscle. J. Physiol. 545.2, 407-419.
40. Glover, L., Quinn, S., Ryan, M., Pette, D. & Ohlendieck, K. (2002). Supramolecular
calsequestrin complex: protein-protein interactions in chronic low-frequency stimulated
muscle, postnatal development and ageing. Eur. J. Biochem. 269, 4607-4616.
41. Godt, R.E., Fogaca, R.T.H., Andrews, M.A. & Nosek, T.M. (1993). Influence of ionic
strength on contractile force and energy consumption of skinned fibers from mammalian and
crustacean striated muscle. Adv. Exp. Med. Biol. 332, 763-773.
42. Godt, R.E., Fogaça, R.T.H. & Nosek, T.M. (1991). Changes in force and calcium
sensitivity in the developing avian heart. Can. J. Physiol. Pharm. 69, 1692-1697.
43. Godt, R.E., Kirby, A.C. & Gordon, A.M. (1984). Effects of hypertonic solutions on
contraction of frog tonic muscle fibers. Am. J. Physiol. 246, C148-C153.
44. Godt, R.E. & Lindley, B.D. (1982). Influence of temperature upon contractile activation
and isometric force production in mechanically skinned muscle fibers of the frog. J. Gen.
Physiol. 80, 279-297.
45. Godt, R.E. & Maughan, D.W. (1981). Influence of osmotic compression on calcium
activation and tension in skinned muscle fibers of the rabbit. Pflug. Arch. 391, 334-337.
46. Gonelli, M. & Strambini, G.B. (2001). No effect of trimethylamine N-oxide on the
internal dynamics of the protein native fold. Bioph. Chem. 89, 77-85.
47. Gordon, A.M. & Godt, R.E. (1970). Some effects of hypertonic solutions on contraction
and excitation-contraction coupling in frog skeletal muscle. J. Gen. Physiol. 55, 254-275.
78
48. Gordon, A.M. & Godt, R.E., Donaldson, S.K.B., Harris, C.E. (1973). Tension in skinned
frog muscle fibers in solutions. J. Gen. Physiol. 62, 550-574.
49. Groh, S., Marty, I., Ottolia, M., Prestipino, G. et al. (1999). Functional interaction of the
cytoplasmic domain of triadin with the skeletal ryanodine receptor. J. Biol. Chem. 274,
12278-12283.
50. Guo, W. & Campbell, K.P. (1995). Association of triadin with the ryanodine receptor and
calsequestrin in the lumen of the sarcoplasmic reticulum. J. Biol. Chem. 270, 9027-9030.
51. Guth, K. & Potter, J.D. (1987). Effect of rigor and cycling cross-bridges on the structure
of troponin C and on the Ca2+ affinity of the Ca2+-specific regulatory sites in skinned rabbit
psoas fibers. J. Biol.Chem. 262, 13627-13635.
52. Hamilton, S.L., Serysheva, I. & Strasburg, G.M. (2000). Calmodulin and excitation-
contraction coupling. News Physiol. Sci. 15, 281-284.
53. Holmström, K-O., Somersalo, S., Mandal, A., Palva, T.E. & Welin, B. (2000). Improved
tolerance to salinity and low temperature in transgenic tobacco producing glycine betaine. J.
Exp. Bot. 51, 177-185.
54. Homsher, E., Briggs, F.N. & Wise, R.M. (1974). Effects of hypertonicity on resting and
contracting frog skeletal muscles. Am. J. Physiol. 226, 855-863.
55. Howarth, J.V. (1958). The behaviors of frog muscle in hypertonic solutions. J. Physiol
(Lond). 144, 167.
56. Huang, C.L-H. (1992). Intramembrane charge movements in frog skeletal muscle in
strongly hypertonic solutions. J. Gen. Physiol. 99, 531-544.
57. Huang, C.L-H. & Peachey, L.D. (1989). Distribution of voltage-dependent membrane
capacitance in frog skeletal muscle fibres. J. Gen. Physiol. 93, 565-584.
58. Jaimovich, E. & Carrasco, J.A. (2002). IP
3
dependent Ca
2+
signals in muscle cells are
involved in regulation of gene expression. Biol. Res. 35, 195-202.
59. Jones, L.R., Zhang, L., Samborn, K., Jorgensen, A.O. & Kelley, J. (1995). Purification,
primary structure and immunological characterization of the 26-kDa calsequestrin binding
protein (junctin) from cardiac junctional sarcoplasmic reticulum. J. Biol. Chem. 270, 30787.
79
60. Jones, S.W. (1998). Overview of voltage-dependent calcium channels. J. Bioen. Biom. 30,
299-312.
61. Kamp, T.J. & Hell, J.W. (2000). Regulation of cardiac L-type calcium channels by protein
kinase A and protein kinase C. Circ.Res. 87, 1095-1102.
62. Kettunen, K., Peuramen, S. & Tiihonen, K. (2001). Betaine aids in the osmoregulation of
duodenal epithelium of broiler chiks, and the affects the movement of water across the small
intestinal epithelium in vitro. Comp. Bioch. Physiol. Part A: 129, 595-603.
63. Kita, H., Narita, K., Van Der Kloot, W. (1982). The relation between tonicity and
impulse-evoked transmitter release in the frog. J. Physiol. 325, 213-222.
64. Kobayashi, Y.M., Alseikhan, B.A. & Jones, L.R.(2000). Localization and characterization
of the calsequestrin-binding domain of Triadin 1. J. Biol. Chem. 275, 17269-17246.
65. Lacampagne, A., Klein, M.G., Ward, C.W. & Schneider, M.F. (2000). Two mechanisms
for termination of individual Ca2+ sparks in skeletal muscle. Proc. Nat. Aca. Sci. USA. 97,
7823-7828
66. Lamb, G.D. (2000). Excitation-contraction coupling in skeletal muscle: comparisons with
cardiac muscle. Clin. Exp. Pharm. Physiol. 27, 216-224.
67. Lamb, G.D. (2002). Voltage-sensor control of Ca
2+
release in skeletal muscle: insights
from skinned fibers. Front. Biosci. 7, d834-d842.
68. Lamb, G.D. & Stephenson, D.G. (1990). Calcium release in skinned muscle fibers of the
toad by transverse tubule depolarization or by direct stimulation. J. Physiol. 423, 495-517.
69. Lamb, G.D. & Stephenson, D.G. (1996). Effects of FK506 and rapamycin on excitation-
contraction coupling in skeletal muscle fibers of the rat. J. Physiol. Lond 494, 569-576.
70. Lamb, G.D., El, H., Ikemoto, N. & Stephenson, D.G. (2000). Effects of dihydropyridine
receptor II-III loop peptides on Ca
2+
release in skinned skeletal muscle fibers. Am. J. Physiol.
Cell Physiol. 279, C891-C905.
71. Lamb, G.D., Posterino, G.S., Yamamoto, T. & Ikemoto, N. (2001). Effects of a domain
peptide of the ryanodine receptor on Ca
2+
release in skinned skeletal muscle fibers. Am. J.
Physiol. Cell Physiol. 281, C207-C214.
80
72. Lang, F., Busch, G.L., Ritter, M., Volkl, H., et al. (1998). Functional significance of cell
volume regulatory mechanisms. Physiol. Rev. 78, 247-306.
73. Lännergren, J. & Noth, J. (1973). Tension in isolated frog muscle fibers induced by
hypertonic solutions. J. Gen. Physiol. 61, 158-175.
74. Lee, J.C. & Timasheff, S.N. (1981). The stabilization of proteins by sucrose. J. Biol.
Chem. 256, 7193-7201.
75. Lee, M.J., Rho, S., Shin, D.W., Cho, C. et al. (2004). Negativelycharged amino acids
within the intraluminal loop of ryanodine receptor are involved in the interaction with triadin.
J. Biol. Chem. 279, 6994-7000.
76. Lunkmoss, G. (2002). Efeitos de soluções hipertônicas ajustadas com óxido de
trimetilamina (TMAO), sacarose, betaína ou cloreto de sódio no processo de acoplamento
excitação contração de músculo esquelético de rã. Dissertação apresentada à coordenação do
curso de Pós-graduação em Biologia Celular – UFPR – PR.
77. Lutz, P.L. & Robertson, J.D. (1971). Osmotic constituents of the coelacanth Latimeria
Chalumnae Smith. Biol. Bull. 141, 553-560.
78. Mansson, A. (1993). Tension transients in skeletal muscle fibers of the frog at varied
tonicity of the extracellular medium. J. Musc. Reser. Cell Motil.14, 15-25.
79. Mansson, A. (1989). Changes in force and stiffness during stretch of skeletal muscle
fibers, effects of hypertonicity. Biophys. J. 56,429-433.
80. Meis, L. & Inesi, G. (1988). Effects of organic solvents, methylamines and urea on the
affinity for Pi of the Ca
2+
-ATPase of sarcoplasmic reticulum. J. Biol. Chem. 263, 157-161.
81. Miller, T.J., Hanson, R.D. & Yancey, P.H. (2000). Developmental changes in organic
osmolytes in prenatal and postnatal rat tissues. Comp. Bioch. Physiol. Part A: 125, 45-56.
82. Nagasaki, K. & Kasai, M. (1983). Fast release of calcium from sarcoplasmic reticulum
vesicles monitored by chlortetracycline fluorescence. J. Bioch. 94, 1101-1109.
83. Nakanishi, T., Turner, R.J. & Burg, M.B. (1990). Osmoregulation of betaine transport in
mammalian renal medullary cells. Am. J. Physiol. 258, 1061-1067.
81
84. O’Connell, K.M.S., Yamaguchi, N., Meissner, G. & Dirksen, R.T. (2002). Calmodulin
binding to the 3614-3643 region of RyR1 is not essential for excitation-contraction coupling
in skeletal myotubes. J. Gen. Physiol. 120, 337-347.
85. Ogawa, Y. (1994). Role of ryanodine receptors. Crit. Rev. Biochem. Mol. Biol.29, 229-
274.
86. O’Neill, W.C. (1999). Physiological significance of volume-regulatory transporters. Am.
J. Physiol. 276, C995-C1011.
87. Oota, I., Kosaka, I., Nagai, T. & Yabu, H. (1982). Extracelular divalent cations in
excitation-contraction coupling: hypertonic solutions effects. Can. J. Physiol. Pharm. 60, 440-
445.
88. Ortiz-Costa, Susana; Soreson M.M.; Sola-Penna Mauro (2002). Counteracting Effects of
Urea and Methylamines in Function and Structure of Skeletal Muscle Myosin. Arch.
Biochem. Biophys. 408, 272-278.
89. Piazzesi, G., Linari, M. & Lombardi, V. (1994). The effect of hypertonicity on force
generation in tetanized single fibres from frog skeletal muscle. J. Physiol. 476, 531-546.
90. Pierce, V.A., Mueller, L.D., Gibbs, A.G. (1999). Osmoregulation in Drosophila
melanogaster selected for urea tolerance. J. Exp. Biol. 202, 2349-2358.
91. Posterino, G.S. & Lamb, G.D. (1998). Effect of nifedipine on depolarization-induced
force responses in skinned skeletal muscle fibres of rat and toad. J. Muscle Res. Cell Motil.
19, 53-65.
92.Priori, S.G. & Napolitano, C. (2005). Cardiac and skeletal muscle disorders caused by
mutations in intracellular Ca
2+
release channels. J. Clin. Invest. 115, 2033-2038.
93. Radermacher, M., Rao, V. Grassucci, R. Frank, J. et al. (1994). Cryo-electron microscopy
and three-dimensional reconstruction of the calcium release channel / ryanodine receptor from
skeletal muscle. J. Cell Biol. 127, 411-423.
94. Rios, E. & Pizarro,G.(1991). Voltage sensor of excitation-contraction coupling in skeletal
muscle. Physiol. Rev. 71, 849-907.
95. Rios, E., Pizarro, G. & Stefani, E. (1992). Charge movement and the nature of signal
transduction in skeletal muscle excitation-contraction coupling. Annu. Rev. Physiol. 54, 109-
133.
82
96. Rios, E., Ma, J. & Gonzalez, A. (1991). The mechanical hypothesis of excitation-
contraction coupling in skeletal muscle. J. Mus.Res. Cell Motil. 12, 127-135.
97. Rösgen, J., Montgomery, P. & Bolen, D.W. (2005). Protein folding, stability and solvation
structure in osmolyte solutions. Biophy, J. 89, 2988-2997.
98. Saad-Nehme, J., Silva, J.L. & Meyer-Fernandes, J.R. (2001). Osmolytes protect
mitochondrial F
0
F
1
-ATPase complex against pressure inactivation. Bioch. Biophy. Acta 1546,
164-170.
99. Sato, Y. & Fujino, M. (1987). Hypertonicity-induced inhibition of excitation-contraction
coupling in Xenopus twitch fibers. Jpn. J. Physiol. 37, 947-953.
100. Schneider, M. F. (1994). Control of calcium release in functioning skeletal muscle
Fibers. Annual Rev. Physiol. 556, 463-484.
101. Sperelakis, N. (1998). Cell Physiology. 2.º edition, Ed. Academic Press.
102. Somlyo, A.V., Shuman, H. & Somlyo, A.P. (1977). Elemental distribution in striated
muscle and the effects of hypertonicity. J. Cell Biol. 74, 828-857.
103. Stange, M., Tripathy, A. & Meissner, G. (2001). Two domains in dihydropyridine
receptor activate the skeletal muscle Ca
2+
release channel. Bioph. J. 81, 1419-1429.
104. Suarez-Kurtz, G. & Sorenson, A.L. (1977a). Effects of verapamil on excitation-
contraction coupling in single crab muscle fibers. Pflug. Arch. 368, 231-239.
105. Suarez-Kurtz, G. & Sorenson, A.L. (1977b). Inhibition by hypertonic solutions of Ca-
dependent electrogenesis in single crab muscle fibers. J. Gen. Physiol. 70, 491-505.
106. Sutko, J.L, Airey, J.A., Welch, W. & Ruest, L. (1997). The pharmacology of ryanodine
and related compounds. Pharm. Rev. 49, 53-98.
107. Tanabe, T., Beam, K.G., Adams, B.A., Niidome, T. & Numa, S. (1990). Regions of the
skeletal muscle dihydropyridine receptor critical for excitation-contraction coupling. Nature,
346, 567-569.
108. Timasheff, S.N. (2002). Protein-solvent preferential interactions protein hydration and
the modulation of biochemical reactions by solvent components. PNAS, 99, 9721-9726.
83
109. Tseng, H-C. & Graves, D.J. (1998). Natural methylamine osmolytes, trimethylamine N-
oxide and betaine, increase tau-induced polymerization. Bio. Res. Com. 250, 726-730.
110. Ursu, D., Sebille, S., Diatze, B., Freise, D., et al. (2001). Excitation-contraction coupling
in skeletal muscle of a mouse lacking the dihydropyridine receptor subunit γ
1
. J. Physiol.
533.2, 367-377.
111. Vaughan, P.C., Bressler, B.H., Dusik, L.A. & Trotter, M.J. (1983). Hypertonicity and
force development in frog skeletal muscle fibers. Can. J. Physiol. Pharm. 61, 847-856.
112. Vibert, P., Craig, R. & Lehman, W. (1997). Steric-model for activation of muscle thin
filaments. J. Mol. Biol. 266, 8-14.
113. Viires, M.A. (1998). Calcium ATPase and respiratory muscle function. Eur. Resp. J. 11,
758-766.
114. Withers, P.C. & Guppy, M.(1996). Do australian desert frogs co-accumulate
counteracting solutes with urea during aestivation?. J.Exper. Biol 199, 1809-1816.
115. Withers, P.C., Morrison, G., Hefter, G.T. & Pang, T-S. (1994). Role of urea and
methylamines in buoyancy of elasmobranches. J. Exp. Biol. 188, 175-189.
116. Wolska, B. M. & Lewartowski, B. (1993). The role of sarcoplasmic reticulum and Na-Ca
exchange in the Ca
2+
extrusion from the resting myocytes of guinea- pig heart: comparison
with rat. J. Mol. Cell Cardiol. 25, 75-91.
117. Yamaguchi, N., Xin, C. & Meissner, G. (2001). Identification of apocalmodulin and
Ca
2+
-calmodulin regulatory domain in skeletal muscle Ca
2+
release channel, ryanodine
receptor. J. Biol. Chem. 276, 22579-22585.
118. Yamaguchi, N., Xu, L. Pasek, D.A., Evans, K.E. & Meissner, G. (2003). Molecular basis
of calmodulina binding to cardiac muscle Ca
2+
release channel (ryanodine receptor). J. Biol.
Chem. 278, 23480-23486.
119. Yamaguchi, N., Xu, L. Pasek, D.A., Evans, K.E. & Meissner, G. (2004). Different
regions in skeletal and cardiac muscle ryanodine receptors are involved in transducing the
functional effects of calmodulina.J. Biol. Chem. 279, 36433-36439.
120. Yancey, P.H. (2005). Organic osmolytes as compatible, metabolic and counteracting
cytoprotectans in high osmolarity and other stresses. J. Exp. Biol. 208, 2818-2830.
84
121. Yancey, P.H., Clark, P.H., Hand, S.C., Bowlus, R.D. & Somero, G.N. (1982). Living
with water stress: evolution of osmolyte systems. Science. 217, 1214-1222.
122. Yancey, P.H. & Somero, G.N. (1979). Counteraction of urea destabilization of protein
structure by methylamine osmoregulatory compounds of elasmobranch fishes. Biochem. J.
183, 317-323.
123. Zamproni, L.N. (2004). Efeitos de soluções hipertônicas ajustadas com sacarose ou
óxido de trimetilamiana (TMAO) sobre a junção neuromuscular e o acoplamento excitação-
contração de vertebrados. Relatório Técnico-Científico Final (CNPQ), Departamento de
Fisiologia, Setor de Ciências Biológicas, Universidade Federal do Paraná. 1-26.
124. Zhu, Y. & Nosek, T.M. (1992). Ruthenium red affects the contractile apparatus but not
sarcoplasmic reticulum Ca2+ release of skinned papillary muscle. Pflug. Arch. 420, 255-258.
125. Zou, Q., Bennion, B.J., Daggett, V. & Murphy, K.P. (2002). The molecular mechanism
of stabilization of proteins by TMAO and its ability to counteract the effects of urea. J. Am.
Chem. Soc. 124, 1192-1202.
Livros Grátis
( http://www.livrosgratis.com.br )
Milhares de Livros para Download:
Baixar livros de Administração
Baixar livros de Agronomia
Baixar livros de Arquitetura
Baixar livros de Artes
Baixar livros de Astronomia
Baixar livros de Biologia Geral
Baixar livros de Ciência da Computação
Baixar livros de Ciência da Informação
Baixar livros de Ciência Política
Baixar livros de Ciências da Saúde
Baixar livros de Comunicação
Baixar livros do Conselho Nacional de Educação - CNE
Baixar livros de Defesa civil
Baixar livros de Direito
Baixar livros de Direitos humanos
Baixar livros de Economia
Baixar livros de Economia Doméstica
Baixar livros de Educação
Baixar livros de Educação - Trânsito
Baixar livros de Educação Física
Baixar livros de Engenharia Aeroespacial
Baixar livros de Farmácia
Baixar livros de Filosofia
Baixar livros de Física
Baixar livros de Geociências
Baixar livros de Geografia
Baixar livros de História
Baixar livros de Línguas
Baixar livros de Literatura
Baixar livros de Literatura de Cordel
Baixar livros de Literatura Infantil
Baixar livros de Matemática
Baixar livros de Medicina
Baixar livros de Medicina Veterinária
Baixar livros de Meio Ambiente
Baixar livros de Meteorologia
Baixar Monografias e TCC
Baixar livros Multidisciplinar
Baixar livros de Música
Baixar livros de Psicologia
Baixar livros de Química
Baixar livros de Saúde Coletiva
Baixar livros de Serviço Social
Baixar livros de Sociologia
Baixar livros de Teologia
Baixar livros de Trabalho
Baixar livros de Turismo