Download PDF
ads:
14
E
E
s
s
p
p
e
e
c
c
t
t
r
r
o
o
s
s
c
c
o
o
p
p
i
i
a
a
d
d
e
e
L
L
e
e
n
n
t
t
e
e
T
T
é
é
r
r
m
m
i
i
c
c
a
a
a
a
p
p
l
l
i
i
c
c
a
a
d
d
a
a
a
a
o
o
s
s
i
i
s
s
t
t
e
e
m
m
a
a
Á
Á
c
c
i
i
d
d
o
o
O
O
l
l
e
e
i
i
c
c
o
o
/
/
B
B
e
e
t
t
a
a
C
C
a
a
r
r
o
o
t
t
e
e
n
n
o
o
M
M
e
e
s
s
t
t
r
r
a
a
n
n
d
d
o
o
:
:
J
J
o
o
ã
ã
o
o
P
P
a
a
u
u
l
l
o
o
R
R
o
o
c
c
h
h
a
a
d
d
o
o
s
s
P
P
a
a
s
s
s
s
o
o
s
s
O
O
r
r
i
i
e
e
n
n
t
t
a
a
d
d
o
o
r
r
:
:
S
S
a
a
n
n
c
c
l
l
a
a
y
y
t
t
o
o
n
n
G
G
e
e
r
r
a
a
l
l
d
d
o
o
C
C
a
a
r
r
n
n
e
e
i
i
r
r
o
o
M
M
o
o
r
r
e
e
i
i
r
r
a
a
ads:
Livros Grátis
http://www.livrosgratis.com.br
Milhares de livros grátis para download.
15
DISSERTAÇÃO DE MESTRADO
Espectroscopia de Lente Térmica aplicada ao sistema
Ácido oléico/Beta Caroteno
Mestrando: João Paulo Rocha dos Passos
Orientador: Prof. Dr. Sanclayton Geraldo Carneiro Moreira
Banca Examinadora:
Prof. Dr. Sanclayton Geraldo Carneiro Moreira (Presidente e Orientador)
Prof. Dr. Antonio Manoel Mansanares (Membro Externo)
Prof. Dr. Petrus Agrippino Alcantara Junior (Membro Interno)
Prof. Dr. Klaus Cozzolino (Suplente)
Belém – PA
2007
ads:
16
Aos meus pais Wanda e
Benedito Passos, à minha irmã Ana
Paula e a minha avó Fabriciana
Rocha (in memorian).
17
AGRADECIMENTOS
A DEUS, por ter me dado a família maravilhosa que tenho, e por ter me dado
à oportunidade de chegar até aqui.
Ao Prof. Dr. Sanclayton Geraldo Carneiro Moreira, pelo qual tenho um carinho
especial, pela orientação e dedicação para o desenvolvimento desse trabalho, assim
como na redação deste texto e as lições profissionais e de vida transmitidas durante
a nossa convivência nestes anos.
Ao Prof. Dr. Petrus A. Alcântara Junior, pelo apoio e pela ajuda com
discussões que me ajudaram neste trabalho.
A minha namorada Lene, que apesar do pouco tempo de convivência, faz
parte do meu coração e espero que nunca mais deixe de estar ao meu lado.
Ao meu grande amigo profissional e pessoal Frederico Bicalho, que muito me
ajudou desde a época da graduação até os dias de hoje em todos os momentos que
precisei da sua sincera amizade.
Aos meus grandes amigos pessoais Anderson Moraes e Adriano Rocha, pela
força que sempre me deram esses grandes companheiros de luta.
Aos Professores da Pós-Graduação, em especial ao prof. Dr. Sérgio Vizeu
Lima Pinheiro, que possibilitaram a minha formação, assim como as lições de
profissionalismo e de vida dadas durante as disciplinas.
Ao amigo do Laboratório de Materiais da Amazônia Edson Carlos, pela ajuda
em várias medidas e pelas discussões que foram importantes para a conclusão
desse trabalho.
Aos amigos do Grupo de Física de Materiais da Amazônia e do Laboratório de
Pesquisa, em especial, Ezequiel Belo, Marcel Ferreira, Elaine Palheta, Armando
Neto, Eliane Epifane, Alex Cabral, Wagner Ormanes e Mizael Lima. E a todos que
contribuíram direta ou indiretamente para que eu chegasse até esta formação. Muito
obrigado de coração.
SUMÁRIO
18
RESUMO 7
ABSTRACT 8
LISTA DE FIGURAS 9
LISTA DE TABELAS 13
CAPÍTULO 1 - PROPOSTA DE TRABALHO
E DESCRIÇÃO
DO ÁCIDO OLÉICO E DO BETA CAROTENO 14
1.1 INTRODUÇÃO 14
1.2 ESTRUTURA DO TRABALHO 16
1.3 OBJETIVOS 17
1.4 ÁCIDO OLÉICO 18
1.5 BETA CAROTENO 20
1.6 PREPARAÇÃO DAS AMOSTRAS 22
REFERÊNCIAS 24
CAPÍTULO 2 - TEORIA DO EFEITO DE LENTE TÉRMICA 26
2.1 INTRODUÇÃO 26
2.2 O LASER COMO FONTE LUMINOSA 28
2.3 ABSORÇÃO DE LUZ 30
2.4 LENTE TÉRMICA 31
2.4.1 Modelo Aberrante 33
2.4.2 Mudança no índice de refração 33
2.4.3 Cálculo da diferença de fase 37
2.4.4 Modelo aberrante para LT de dois feixes 38
2.4.5 Intensidade do laser de prova no detector 42
2.4.6 Simulações do sinal de lente térmica 47
REFERÊNCIAS 51
CAPÍTULO 3 - MONTAGEM EXPERIMENTAL 53
3.1 DETERMINAÇÃO DA CINTURA DO FEIXE DO LASER 53
3.2 GEOMETRIA DO ARRANJO EXPERIMENTAL DE LT 58
3.3 MEDIDAS DE ÍNDICE DE REFRAÇÃO 60
3.3.1 Processo de obtenção de n(T) 62
3.4 MEDIDAS DE ABSORBÂNCIA 63
REFERÊNCIAS 67
CAPÍTULO 4 - RESULTADOS E DISCUSSÕES 68
4.1 ESPECTROS DE ABSORBÂNCIA DAS AMOSTRAS ESTUDADAS 68
4.2 VARIAÇÃO DO ÍNDICE DE REFRAÇÃO COM A TEMPERATURA 69
4.3 SINAL DE LENTE TÉRMICA 73
4.4. SINAL DE LT PARA CADA UM DOS LASERS EM SEPARADO 75
4.5 SINAL DE LT EM FUNÇÃO DA FREQÜÊNCIA DE MODULAÇÃO 77
19
4.6 SINAL DE LT PARA DIFERENTES ESPESSURAS DE CUBETAS 84
4.7 SINAL DE LT PARA DIFERENTES CONCENTRAÇÕES DE BC:AO 88
4.8 ANÁLISE DA MAGNITUDE DO SINAL DE LT E DA DIFUSIVIDADE TÉRMICA
EM FUNÇÃO DA POTÊNCIA DO LASER DE EXCITAÇÃO 91
4.8.1 Amostra de concentração 93,75 µg/cm
3
de BC em AO 91
4.8.2 Amostra de concentração 46,87 µg/cm
3
de BC em AO 95
4.8.3 Amostra de concentração 2,43 µg/cm
3
de BC em AO 96
4.8.4 Amostra de concentração 1,17 µg/cm
3
de BC em AO 97
4.9 MEDIDAS DE DIFUSIVIDADE EM TEMPOS CURTOS 97
4.10 MEDIDAS DE ABSORÇÃO NÃO LINEAR 100
REFERÊNCIAS 101
CAPÍTULO 5 - CONCLUSÕES E PERSPECTIVAS FUTURAS 103
REFERÊNCIAS 106
20
RESUMO
Neste trabalho apresentamos um estudo na mistura formada pelo beta-
caroteno diluído em ácido oleico (BC:AO) em diferentes concentrações, usando-se
para isso a técnica fototérmica chamada de Lente Térmica. Procuramos variar os
diferentes parâmetros de controle como: a espessura da amostra, a sua
concentração, a potência do laser de excitação, etc. Aplicamos o modelo aberrante
desenvolvido por Shen para encontrar a difusividade térmica, a variação do índice
de refração com a temperatura (dn/dT), e a magnitude do sinal de lente térmica, nas
amostras. Verificamos, com base no modelo teórico apresentado no capítulo 2, que
se o aumento da potência e da concentração é muito grande e atinge um certo valor,
parâmetros como difusividade térmica passam a apresentar distorções nos valores
medidos. Observamos também que a mistura BC:AO apresenta absorção não linear,
mesmo para potências pequenas do laser de excitação usado.
As contribuições apresentadas neste trabalho são inéditas e devem contribuir
para um melhor entendimento das propriedades térmicas do sistema BC:AO ou de
sistemas similares como alguns óleos vegetais que são ricos em ácido oleico e beta-
caroteno.
21
ABSTRACT
In this work we present a study in the mixture formed by the beta-carotene
diluted in oleic acid in different concentrations being used for that the technique
called of Thermal Lens. We tried to vary the different control parameters as: the
thickness of the sample, his/her concentration, the potency of the excitation laser,
etc. We applied the aberrant model developed by Shen to find the thermal diffusivity,
the variation of the refraction index with the temperature (dn/dT), and the magnitude
of the sign of thermal lens, in the samples. We verified, with base in the theoretical
model presented in the chapter 2, that if the increase of the potency and of the
concentration it is very big and it reaches a certain value, parameters as thermal
diffusivity start to present distortions in the measured values. We also observed that
the mixture BC:AO presents nonlinear absorption, even for small potencies of the
excitation laser used.
The contributions presented in this work are unpublished and they should
contribute to a better understanding of the thermal properties of the system BC:AO or
of similar systems as some vegetable oils that are rich in acid oleic and beta-
carotene.
LISTA DE FIGURAS
22
Figura 1.1 - Molécula de ácido oleico na forma cis (cis-9-ácido
octadecanóico)...................................................................................................19
Figura 1.2 - Molécula de ácido oleico na forma trans (trans-9-ácido
octadecanóico)...................................................................................................19
Figura 1.3 - Fórmula estrutural do caroteno......................................................20
Figura 1.4 - Fórmula estrutural do BC...............................................................21
Figura 1.5 - Esquema da produção das amostras de BC:AO............................22
Figura 1.6 – Fotografia das amostras estudadas..............................................23
Figura 2.1 - Representação esquemática de um feixe laser com simetria
cilíndrica.............................................................................................................29
Figura 2.2 - Redução máxima de um feixe laser limitada pela difração............30
Figura 2.3 - Representação esquemática da absorção de parte da
intensidade do laser ao atravessar a amostra...................................................31
Figura 2.4 - Gráfico da variação de temperatura em função da relação
entre r e ω
1
para diferentes valores de t............................................................36
Figura 2.5 - Variação de temperatura em função do tempo para
valores de r........................................................................................................36
Figura 2.6 - Representação esquemática das frentes de onda do feixe
laser de prova....................................................................................................37
Figura 2.7 - Representação dos dois feixes na amostra para a
configuração de modo descasado. A amostra fica na cintura do laser de excitação
(Z
1
), e na posição confocal (Z
c
)do laser de prova.............................39
Figura 2.8 - Variação da fase nas frentes de onda do laser de prova
em função do tempo para valores de m............................................................40
Figura 2.9 - Variação da fase nas frentes de onda do laser de prova
em função de m.................................................................................................41
Figura 2.10 - Diagrama representando as frentes de onda após a saída
da amostra até o plano de entrada do detector.................................................42
Figura 2.11 – Intensidade do feixe de prova com e sem o termo ln
para
θ
= 0,2........................................................................................................47
Figura 2.12 – Intensidade do feixe de prova com e sem o termo ln
23
para
θ
= 0,4........................................................................................................48
Figura 2.13 – Intensidade do feixe de prova com e sem o termo ln
para
θ
= 0,2 e m = 50.........................................................................................48
Figura 2.14 – Intensidade do feixe de prova com e sem o termo ln
para
θ
= 0,4 e m = 50.........................................................................................49
Figura 2.15 – Sinal de LT para diferentes valores de tc....................................50
Figura 2.16 – Sinal de LT para diferentes valores de θ.....................................50
Figura 3.1 – Representação esquemática da montagem utilizada para
a obtenção das cinturas dos feixes de excitação e de prova............................54
Figura 3.2 - Medida da potência normalizada do feixe laser em função
da posição da lâmina.........................................................................................55
Figura 3.3 - Quadrado da cintura do feixe do laser de estado sólido em
função da distância da lente convergente de foco f = 20 cm.............................56
Figura 3.4 - Quadrado da cintura do feixe do laser de estado sólido,
com o centro da parábola em z = 0...................................................................57
Figura 3.5 - Representação do arranjo experimental de LT
no modo descasado utilizado............................................................................59
Figura 3.6 - Refratômetro de Abbé acoplado a um banho térmico de temperatura
controlada......................................................................................60
Figura 3.7 - Campos visuais do microscópio de leitura da ocular de
focalização.........................................................................................................61
Figura 3.8 - Fotografias do monocromador.......................................................64
Figura 3.9 - Vista lateral do arranjo experimental da Absorbância....................65
Figura 3.10 - Vista superior do arranjo experimental da Absorbância...............65
Figura 4.1 - Espectro de absorbância das amostras com diferentes concentrações de
BC:AO..................................................................................69
Figura 4.2 – Variação do índice de refração com a temperatura para
a amostra com concentração de 93,75 µg/cm
3
de BC:AO na faixa
de 20 a 60 ºC.....................................................................................................70
Figura 4.3 – variação do índice de refração com a temperatura para
24
a amostra de concentração de 46,87 µg/cm
3
de BC:AO na faixa
de 20 a 60 ºC.....................................................................................................71
Figura 4.4 – variação do índice de refração com a temperatura para
a amostra de concentração de 2,43 µg/cm
3
de BC:AO na faixa
de 20 a 60 ºC.....................................................................................................71
Figura 4.5 – variação do índice de refração com a temperatura para
a amostra de concentração de 1,17 µg/cm
3
de BC:AO na faixa de
20 a 60 ºC..........................................................................................................72
Figura 4.6 - Na vertical à esquerda temos o dn/dT e á direita temos
o índice de refração ambos em função da concentração de BC:AO.................73
Figura 4.7 – Sinal de LT gerado na amostra com concentração de
93,75 µg/cm
3
de BC:AO.....................................................................................74
Figura 4.8 – Sinal de LT gerado na amostra com concentração
93,75 µg/cm
3
de BC:AO. A linha em violeta representa a curva de
aquecimento que foi redesenhada com concavidade para baixo.....................75
Figura 4.9 – Sinal no detector do laser de prova ao passar pela
amostra com uma concentração de 93,75 µg/cm
3
de BC:AO............................76
Figura 4.10 – Sinal do laser de excitação ao passar pela amostra de concentração
de 93,75 µg/cm
3
de BC:AO.........................................................77
Figura 4.11 - Sinal de típico de LT.....................................................................78
Figura 4.12 - Sinal mostrando a formação da LT (aquecimento) e em
seguida o retorno ao equilíbrio térmico..............................................................79
Figura 4.13 - Sinal alternado gerado por vários pulsos de LT sucessivos........79
Figura 4.14 - Simulação mostrando uma série de pulso de calor
com um período menor que o tempo necessário para o retorno
ao equilíbrio térmico de cada pulso...................................................................80
Figura 4.15 - A linha em verde representa o sinal de LT para um primeiro
pulso de calor. As linhas de 1 à 8 representam o pulso seguinte que pode
ser disparado antes de haver a formação completa do primeiro pulso.............81
Figura 4.16 - (a) Sinal alternado gerado por um conjunto de pulsos
de LT sucessivos em função da freqüência. (b) O mesmo que em
(a), porém em uma escala logarítmica..............................................................82
Figura 4.17 - dependência do sinal de LT com a freqüência de modulação retirada
da referência [4.5].................................................................................82
Figura 4.18 - sinal fotoacústico em função da modulação da freqüência
25
retirada da referência [4.7].................................................................................83
Figura 4.19 – Sinal de LT para a amostra com a concentração de 1,17 µg/cm
3
de
BC:AO para diferentes caminhos ópticos.........................................85
Figura 4.20 – Parâmetro de ajuste da amostra com concentração de
1,17 µg/cm
3
de BC:AO em função das diferentes espessuras da
cubeta................................................................................................................86
Figura 4.21 -
θ
em função da espessura da cubeta para a concentração
de 1,17 µg/cm
3
de BC:AO.................................................................................87
Figura 4.22 - Sinal de LT em função das diferentes concentrações
de BC:AO...........................................................................................................89
Figura 4.23 – Difusividade térmica em função das diferentes
concentrações de BC:AO..................................................................................90
Figura 4.24 -
θ
em função da potência do laser de excitação para a
amostra com concentração de 93,75 µg/cm
3
de BC:AO. A figura inserida
é uma ampliação na região de baixa potência..................................................92
Figura 4.25 – Sinal de LT para a amostra de concentração
93,75 µg/cm
3
de BC:AO onde a potência do laser de excitação
foi de 60, 4 mW..................................................................................................93
Figura 4.26 – Difusividade Térmica da amostra com concentração de
93,75 µg/cm
3
de BC:AO em função da potência do laser de excitação.
A figura interna é uma ampliação na região entre 3.1 mW e 6 mW..................94
Figura 4.27 -
θ
em função da potência do laser de excitação para uma concentração
de 46,87µg/cm
3
de BC:AO.;........................................................95
Figura 4.28 -
θ
em função da potência do laser de excitação para
uma concentração de 2,43 µg/cm
3
de BC:AO...................................................96
Figura 4.29 -
θ
em função da potência do laser de excitação para
uma concentração de 1,17 µg/cm
3
de BC:AO...................................................97
Figura 4.30 - sinal de LT em função do tempo para a concentração
de 1,17 µg/cm
3
de BC:AO..................................................................................98
Figura 4.31 – Difusividade térmica para a amostra com concentração
de 1,17 µg/cm
3
de BC em AO em função dos vários conjuntos de pontos
de tempo............................................................................................................99
Figura 4.32 – Medida de absorção não linear para a amostra com
concentração de 1,17 µg/cm
3
de BC:AO para P
le
60 mW............................100
LISTA DE TABELAS
26
Tabela 1.1 - Quantidade de ácido oleico em alguns alimentos.........................16
Tabela 1.2 - Propriedades físicas e químicas do ácido oleico...........................20
Tabela 3.1 - Valores dos parâmetros usados nos experimentos de LT............58
27
CAPÍTULO 1
Proposta de Trabalho e Descrição
do Ácido Oleico e do Beta caroteno
1.1 INTRODUÇÃO
As propriedades físicas de óleos vegetais extraídos da flora amazônica
têm sido, nos últimos anos, muito investigadas [1.1,1.2] devido às vastas
possibilidades de aplicações e importância dos mesmos nas áreas alimentícias, de
cosméticos e fármacos [1.3,1.4]. Entre os mais conhecidos temos, por exemplo, o
óleo de Buriti (Mauritia flexuosa L.), extraído do fruto de uma palmeira conhecida
popularmente como buritizeiro, e o azeite de andiroba (Carapa guineesis),
amplamente utilizado pela população da região amazônica no tratamento de
luxações. Em 1996, o Grupo de Física dos Materiais da Amazônia (GFMA)
1
do
Departamento de Física da UFPA iniciou seus trabalhos com óleos vegetais na
tentativa de caracterizar os mesmos através das medidas de suas propriedades
físicas.
No primeiro trabalho publicado pelo grupo, A. V. de Morais [1.5] realizou
um estudo experimental sobre propriedades físicas de diversos óleos vegetais da
Amazônia (andiroba, copaíba, babaçu e buriti) em sua forma natural (óleo bruto). As
medidas realizadas foram de índice de refração, coeficiente óptico de extinção e
1
O grupo ainda não tinha este nome nesta época.
28
constante dielétrica em função da temperatura. Embora essas medidas tenham sido
pioneiras, os resultados experimentais eram muito difíceis de serem interpretados,
uma vez que a natureza multicomponente complexa dos óleos, formados
basicamente por carotenóides, tocoferóis e ácidos graxos saturados e insaturados
de cadeias longas, não permitia identificar a causa das respostas desses materiais
às excitações ópticas e elétricas aplicadas. Em seguida, Garcia-Quiroz e
colaboradores [1.6] apresentaram um estudo do óleo de buriti associando às
medidas da constante dielétrica (κ) dependente de temperatura (T), técnicas de
cromatografia em fase gasosa e calorimetria de varredura diferencial, dando uma
interpretação para as diferentes transições de fase presentes na curva κ x T, na
faixa de temperaturas entre –100
o
C e 40
o
C. Tal interpretação, apesar de
satisfatória, não esclarecia ainda, o papel dos diferentes componentes formadores
do óleo. Tornou-se, portanto, importante uma correlação entre as medidas feitas nos
óleos in natura (bruto) e em suas substâncias constituintes em separado.
M.L.S. Albuquerque e colaboradores [1.2,1.7], em 2003, procederam uma
investigação sobre os espectros de absorção do óleo de buriti nas regiões do
infravermelho e, separadamente, de seus principais constituintes em ácidos graxos,
carotenóides e tocoferóis, correlacionando os espectros e mostrando o efeito de
cada um dos componentes nos espectros do óleo. Verificou-se, posteriormente, que
os espectros de absorção óptica do óleo de palma (azeite de dendê), outro óleo
vegetal de muita relevância no Estado do Pará, estão diretamente relacionados com
os teores de ácido oleico (AO) e beta-caroteno (BC) em sua composição [1.8,1.9].
Para caracterizar fisicamente estes óleos e seus constituintes, a
comunidade científica tem utilizado as mais variadas técnicas experimentais e entre
elas destacamos: Espectroscopia óptica [1.8,1.9], medidas de constante dielétrica
[1.10], de índice de refração [1.11], lente térmica [1.12], fotopiroelétrica [1.13] entre
outras. Neste trabalho, nosso interesse será focado em dois materiais: o ácido oleico
(AO) e o beta-caroteno (BC). O primeiro destaca-se por ser um dos ácidos graxos
mais abundantes na natureza e por ser encontrado em praticamente todos os óleos
e gorduras vegetais [1.14] (ver tabela 1.1). o segundo, é um carotenóide muito
comum em vegetais e essencial em animais por ser precursor da síntese de
Vitamina A nos organismos.
29
Alimento Quantidade de ácido oleico
(g/100 da porção comestível)
Azeite de Oliva 72
Óleo de Amendoim 46
Banha 41
Óleo de farelo de arroz 39
Azeite de dendê 38
Gordura de Cacau 38
Sebo bovino 36
Castanha de caju 26
Óleo de milho 25
Óleo de soja 23
Manteiga 20
Ovo de galinha 6
Leite humano 1
Leite de vaca 0,9
Tabela 1.1 - quantidade de ácido oléico em alguns alimentos.
1.2 ESTRUTURA DO TRABALHO
Esta dissertação está dividida da seguinte forma: este primeiro capítulo
traz uma introdução ao trabalho, assim como os objetivos gerais e específicos do
mesmo, e descreve, de uma forma simplificada, os materiais estudados e suas
importâncias, mostrando suas estruturas moleculares e algumas de suas
propriedades físicas, em especial algumas propriedades térmicas e ópticas. No
30
segundo capítulo, é descrita a teoria da cnica de Lente Térmica (LT), a qual foi
utilizada para a investigação das propriedades térmicas das amostras estudadas. As
metodologias experimentais usadas são mostradas no terceiro capítulo. Os
resultados obtidos estão apresentados e discutidos no quarto capítulo e no quinto
capítulo; e no último apresentam-se as conclusões finais da pesquisa e algumas
sugestões sobre temas para trabalhos futuros.
1.3 OBJETIVOS
Objetivos Gerais:
Estudar as teorias envolvidas sobre a difusão do calor, especificamente
as aplicadas a técnica de LT;
Montar no Laboratório de Física de Matérias da Amazônia da
Universidade Federal do Pará o aparato capaz de medir a difusividade térmica por
LT.
Objetivos Específicos:
Apresentar os resultados de Difusividade Térmica (D) para diferentes
concentrações do sistema BC:AO;
Apresentar os resultados da variação do Índice de Refração com a
Temperatura (dn/dT) para diferentes concentrações do sistema BC:AO;
Observar a validade do modelo aberrante de LT através da
comparação das medidas com diferentes concentrações do sistema BC:AO;
Observar a validade do modelo aberrante de LT através da
comparação das medidas com diferentes espessuras para as cubetas e com o
tempo de medida.
Fizemos uso, para isso, como já mencionado anteriormente, da técnica de
LT levando-se em conta as variantes acima citadas. A idéia básica desta técnica
consiste em relacionar a medida da variação da intensidade no centro do feixe no
campo distante com a variação do índice de refração da amostra. Esta técnica se
31
destaca por sua simplicidade na montagem experimental, pela alta sensibilidade e
por ser uma técnica não destrutiva.
1.4 ÁCIDO OLEICO
O ácido oleico é um ácido graxo de cadeia longa possuindo 18 carbonos
na sua estrutura e por possuir uma dupla ligação no nono carbono de sua cadeia, é
chamado de ácido graxo mono-insaturado. É também um ácido carboxílico por
possuir um grupo funcional COOH. Ele se encontra em uma classe de compostos
orgânicos chamados de lipídios, os quais são vitais na construção da membrana
celular, estando presente na epiderme, a qual protege e faz parte da barreira da pele
evitando a sua desidratação por perda de água transepidérmica. Principalmente nas
áreas de nutrição e bioquímica, uma tendência de agrupar os ácidos graxos
insaturados em famílias conhecidas como Ômega (ω) e o AO faz parte da família
Omega 9, essencial na participação do nosso metabolismo, desempenhando um
papel fundamental na síntese dos hormônios.
O AO é um isômero geométrico que ocorre naturalmente em sua forma
cis, como mostrada na figura 1.1, onde os átomos de hidrogênio estão ligados no
mesmo lado do plano que contém as ligações duplas entre os carbonos. As bolinhas
azuis representam átomos de carbono, as brancas representam os átomos de
hidrogênio e as vermelhas, os átomos de oxigênio. O AO possui em uma das
extremidades uma ligação C=O e uma hidroxila e em conseqüência disso é uma
molécula polar. Devido à sua dupla ligação ele possui uma curvatura na cadeia, o
que dificulta o rearranjo das moléculas, enfraquecendo as interações entre
moléculas vizinhas (interação de Van der Waals). Sendo assim, à temperatura
ambiente, o ácido oleico encontra-se na fase líquida.
32
Figura 1.1 - Molécula de ácido oleico na forma cis (cis-9-ácido octadecanóico).
É possível através de um processo de hidrogenação (rançosidade auto-
oxidativa, catálise metálica ou aquecimento prolongado) um átomo de hidrogênio
mover-se para o lado oposto do plano que contém a dupla ligação, fazendo com que
a molécula adquira uma nova forma isomérica denominada trans (ver figura 1.2),
fugindo, portanto da ocorrência natural do AO na forma isomérica cis. Esses
processos de hidrogenação, normalmente realizados por indústrias de alimentos,
têm como intuito dar maior consistência aos seus produtos como, por exemplo,
biscoitos de chocolate, margarinas e outros. Contudo, produtos desta natureza são
altamente prejudiciais à saúde, pois podem aumentar os riscos de doenças
coronárias, susceptibilidade a câncer (seio e próstata), diabetes e obesidade.
Figura 1.2 - Molécula de ácido oleico na forma trans (trans-9-ácido octadecanóico).
O ácido oleico, através da eliminação de hidrogênio e aumento da cadeia
carbônica, funciona como precursor para os ácidos da família ω-9 com 18, 20 e 22
átomos de carbono contendo duas e três ligações duplas [1.14]. Mostramos na
33
tabela 1.2 algumas propriedades físicas e químicas de ácido oleico com mais de
99% de pureza, na sua forma cis.
Fórmula molecular C
18
H
34
O
2
Massa molar 282,47 g/mol
Densidade 0,891 g/cm
3
Índice de refração 1,4595
Ponto de fusão 16 -17
o
C
Ponto de ebulição 286
o
C
Tabela 1.2 - Propriedades físicas e químicas do ácido oleico.
1.5 BETA CAROTENO
Os carotenos o pigmentos orgânicos encontrados nas plantas e
microrganismos como algas e fungos. São essenciais para a vida e nenhum animal
pode sintetizá-los, por isso devem ser ingeridos na dieta. Quimicamente são
membros da família dos terpenóides, e são formados por quarenta átomos de
carbono. o moléculas de estrutura isoprenóide, ou seja, moléculas que podem
contém um número variável de duplas ligações conjugadas. Isto lhes confere à
propriedade de absorver a luz visível em diferentes comprimentos de onda, desde
380 até 550 nm, e são amplamente empregados como corantes.
Figura 1.3 - Fórmula estrutural do caroteno.
34
Podemos, pela teoria de Huckel [1.15], relacionar o número de duplas
ligações com a captação de comprimentos de ondas, sendo que, quanto maior for o
número de duplas ligações, mais largos são os comprimentos de ondas captados
(mais para o vermelho). Assim, com somente três ligações conjugadas, o fitoeno
pode captar luz ultravioleta (sendo, portanto, incolor), e o licopeno (coloração
vermelha do tomate), com onze duplas ligações conjugadas, absorve desde o
ultravioleta até o vermelho. Além destes, existem ainda carotenos de cor verde como
o zeta-caroteno, laranja como a neurosporaxantina e de cor amarelada como o beta-
caroteno (que é o carotenóide em estudo). É importante ressaltar que os
carotenóides podem apresentar anéis, os quais também influenciam na absorção
dos comprimentos de onda.
Os carotenos são classificados na família chamada de carotenóides que
são hidrocarbonetos, oxidáveis com coloração amarela, alaranjada ou vermelha,
solúveis em gordura (lipossolúveis). Dos mais de 600 tipos de carotenóides
conhecidos, o beta-caroteno (BC) é o mais ativo. O BC é a substância que
apresenta a maior capacidade de transformar-se em vitamina A, sendo também
denominado de pró-vitamina A. Na figura 1.4 temos a representação estrutural do
BC, o qual possui 40 carbonos, 56 hidrogênios, 11 duplas ligações e 2 ciclos
alcênicos nas suas extremidades.
Figura 1.4 - Fórmula estrutural do BC.
O BC possui propriedades antioxidantes que ajudam a neutralizar os
radicais livres, que podem danificar os lipídios nas membranas celulares, bem como
o material genético das células, gerando danos que levam ao desenvolvimento do
35
câncer. Além disso, possuem grandes afinidades (facilidade de reação) com radicais
de oxigênio e pode diminuí-los por hiperoxidação dos lipídeos. Este carotenóide
pode extinguir o oxigênio singleto, que é uma molécula reativa que é gerada, por
exemplo, na pele, por exposição à luz ultravioleta e que pode induzir alterações pré-
cancerígenas nas células. O oxigênio singleto tem a capacidade de iniciar inúmeras
reações em cadeia, as quais produzem os chamados radicais livres.
1.6 PREPARAÇÃO DAS AMOSTRAS
As amostras foram preparadas no Laboratório de Física de Matérias da
Amazônia da Universidade Federal do Pará. Foram obtidas, a partir da diluição de
Beta-caroteno (BC) em Ácido Oleico (AO), as seguintes concentrações de BC:AO:
93,75 µg/cm
3
, 46,87 µg/cm
3
, 2,43 µg/cm
3
e 1,17 µg/cm
3
. Para a homogeneização
das amostras foi realizada agitação mecânica durante 15 minutos a temperatura
ambiente (aproximadamente 22,5 °C). Na figura 1.5 temos uma representação
esquemática da produção das amostras de BC:AO.
Figura 1.5 – Esquema da produção das amostras de BC:AO.
36
Na figura 1.6 temos as fotografias das amostras em ordem decrescente de
concentrações de BC:AO. A cor alaranjada exibida pelas concentrações é devido ao
fato de que esta é a cor característica do BC, enquanto que a cor do AO é
transparente. Para produzir estas concentrações, primeiramente foi produzida a
amostra de maior concentração (93,75 µg/cm
3
) e a partir desta, a próxima
concentração (46,87 µg/cm
3
) foi produzida através da diluição da anterior com a
adição de AO. O mesmo procedimento foi realizado para a obtenção das outras
concentrações (2,43 µg/cm
3
e 1,17 µg/cm
3
). Percebemos que à medida que a
quantidade de AO aumenta em relação à quantidade de BC nas concentrações, a
cor alaranjada das amostras, que como dissemos, é característica do BC, vai se
tornando mais clara, tendendo para a transparência.
Figura 1.6 – Fotografia das amostras estudadas.
37
REFERÊNCIAS
[1.1]. RODRIGUES, J.E.; ARAUJO, M.E.; AZEVEDO, F.F.M.; MACHADO, N.T.
Phase equilibrium measurements of Brazil nut (Bertholletia excelsa) oil in
supercritical carbon dioxide. Journal of Supercritical Fluids 34 (2): 223-229, 2005.
[1.2]. ALBUQUERQUE, M.L.S; GUEDES, I.; ALCANTARA P.A., et al. Infrared
absorption spectra of Buriti (Mauritia flexuosa L.) oil, Vibrational Spectroscopy
33 (1-2), 2003.
[1.3]. FORTINI, L.B.; RABELO, F.G.; ZARIN, D.J. Mixed potential for sustainable
forest use in the tidal floodplain of the Amazon River, Forest Ecology and
Management 231 (1-3): 78-85, 2006.
[1.4]. SILVA, A.; CABRAL, E.; GONZALO, E. Biodiversidade da Amazônia: Usos e
Potencialidades dos mais Importantes Produtos Naturais do Pará. Belém:
NUMA/UFPA, 2003.
[1.5]. MORAES, A.V. Caracterização dos óleos de andiroba, copaíba, babaçu e
buriti através das suas propriedades dielétricas e ópticas. Dissertação de
Mestrado, DF/UFPA, Belém (PA), 1996.
[1.6] GARCÍA-QUIROZ, A.; MOREIRA, S.G.C. ; MORAIS, A. V.; SILVA, A.S.;
ROCHA FILHO, G.N. ; ALCANTARA, P. Physical and chemical analysis of
dielectric properties and differential scanning calorimetry techniques on buriti
oil. Instrumentation science & technology 31 (1): 93-101, 2003.
[1.7] ALBUQUERQUE, M.L.S. Caracterização espectroscópica do óleo de buriti
(Mauritia flexuosa L.). Dissertação de Mestrado, DF/UFC, Fortaleza (CE), 2003.
[1.8]. OLIVEIRA, G. C. A. Espectroscopia óptica aplicada à análise do azeite de
dendê produzido e comercializado no estado do Pará. Trabalho de Conclusão de
Curso, DF/UFPA, Belém (PA), 2004.
[1.9]. SILVA, R. Estudo das Propriedades Ópticas de Absorção e
Fotoluminescência do Ácido Oléico Dopado com Beta-caroteno, Dissertação de
mestrado, PPGF/UFPA, Belém (PA), 2004.
38
[1.10]. SOUZA, F. F. Propriedades Dielétricas do Óleo de Palma Extraído no
Estado do Pa e Determinação do Momento de Dipolo do Ácido Oléico,
Dissertação de mestrado, PPGF/UFPA, Belém (PA), 2005.
[1.11]. NUNES, E.C.B. Caracterização óptica de óleos extraídos dos frutos da
palmeira elaies guineensis, Trabalho de conclusão de curso, DF/UFPA, Belém
(PA), 2006.
[1.12]. PASSOS, J.P.R. Estudo do efeito de lente térmica, Trabalho de conclusão
de curso, DF/UFPA, Belém (PA), 2004.
[1.13]. BELO, E.A. Estudo de propriedades térmicas através da técnica
fotopiroelétrica, Trabalho de conclusão de curso, DF/UFPA, Belém (PA), 2006.
[1.14]. MORETTO, E.; FETT, R. Tecnologia de óleos e gorduras vegetais na
indústria de alimentos, São Paulo, Livraria Varella, 1998.
[1.15]. VIANNA, J.D.M.; FAZZIO, A.; CANUTO, S. Teoria quântica de moléculas e
sólidos, São Paulo, Editora Livraria da Física, 2004.
39
CAPÍTULO 2
Teoria do efeito de lente térmica
2.1 Introdução
As técnicas experimentais que envolvem a geração de calor a partir da
absorção luminosa constituem um grupo chamado de espectroscopias fototérmicas.
A utilização destas técnicas tem se mostrado bastante eficiente, ao longo dos anos,
para a caracterização dos materiais. Elas constituem uma classe de técnicas
espectroscópicas ultra-sensíveis, capazes de determinar traços e medidas de
absorbância extremamente baixas [2.1]. Tais técnicas têm como base o aumento de
temperatura induzido na amostra pela absorção luminosa. A luz absorvida por um
meio, não perdida por emissões subseqüentes, resulta na geração de calor. Como
conseqüência, ocorrem mudanças na temperatura e em todas as propriedades da
amostra que dela dependem. Apesar de estas técnicas terem em comum a detecção
do calor gerado na amostra após a absorção de luz, elas se diferenciam pela forma
de detecção. A partir delas podemos obter parâmetros rmicos e ópticos de
diferentes materiais, que cada uma das técnicas é particularmente apropriada
para a investigação de certos tipos dos mesmos (amostras opacas, transparentes,
sólidas, liquidas etc).
40
O fato de a absorbância de uma amostra ser medida indiretamente
confere aos métodos fototérmicos maior sensibilidade do que aqueles tradicionais
por transmitância. A principal razão para isso está no fato de um efeito fototérmico
amplificar o sinal óptico medido. Assim, a absorbância de uma amostra pode não ser
detectável por transmitância (ou sua detecção se tornar inviável pelo ruído),
enquanto que o efeito do calor gerado no meio é facilmente observado por
alterações nas propriedades térmicas e ópticas da amostra.
Devido à absorção de luz podemos ter efeitos distintos: um provocado
pela própria absorção dos fótons de luz e como conseqüência, mudanças de níveis
de energia sofridas pelos elétrons, produzindo mudanças nas propriedades ópticas
do meio absorvedor. Outro efeito seria o de mudanças nas dimensões da amostra e
conseqüentes mudanças em parâmetros como a densidade do meio, o que pode
indiretamente alterar as propriedades ópticas macroscópicas medidas. No caso
especifico da lente térmica (LT), técnica utilizada neste trabalho, observamos o
efeito da mudança do índice de refração da amostra, devido ao aquecimento da
mesma por absorção de luz, que normalmente acontece em algumas dezenas ou
centenas de milisegundos enquanto que a absorção dos tons em si acontece
numa fração bem menor de tempo (alguns pico ou micro segundos). Se o
experimento for realizado num tempo muito curto, antes que o calor produza seus
efeitos indiretos, como, por exemplo, à expansão térmica, estaremos medindo as
mudanças no índice de refração causadas pelo campo elétrico da luz. Porém, se
realizarmos a medida num intervalo de tempo maior, onde podermos monitorar o
efeito de geração e propagação do calor, estamos diante do efeito de LT.
Nesta dissertação, exploramos, portanto, a técnica de LT, a qual está
intimamente ligada as mudanças na densidade e na polarizabilidade eletrônica do
meio estudado em função do aumento de temperatura. Esta mudança pode ser
detectada por variações no índice de refração. Neste capítulo, descrevemos este
efeito, mostrando, desde um breve histórico até a configuração experimental mais
sensível utilizada e o modelo matemático conhecido como modelo aberrante, o qual
se fundamenta na teoria de difração de Fresnel. Precisamos antes, porém, dar
ênfase à importância do laser como fonte luminosa utilizada nas técnicas
fototérmicas.
41
2.2 O LASER COMO FONTE LUMINOSA
O laser pode ser descrito, de uma maneira simplificada, como sendo uma
fonte luminosa que utiliza a luz emitida por um átomo ou molécula para estimular a
emissão de mais luz por outros átomos ou moléculas, e, neste processo, amplificar a
luz original. Esses átomos ou moléculas são previamente excitados para energias
mais altas. Ao perderem a energia armazenada o fazem pela emissão de luz que
inicia todo o processo em cadeia.
Por ser uma fonte de luz coerente, concentrada (espacialmente falando) e
de alta energia, o laser é a fonte de luz mais comumente usado nas espectroscopias
fototérmicas. Aqueles que operam no modo fundamental gaussiano, TEM
00
(modo
transversal eletromagnético 00), são comumente preferidos por sua simples
descrição matemática, o que facilita a descrição matemática dos experimentos
fototérmicos. Para estes lasers, o perfil de intensidade, I, é dado por [2.2]:
2 2
2 2
2
2 2 1
( , , ) exp ( . )
( ) ( )
P x y
I x y z
z z
πω ω
+
=
onde P é potência total do feixe laser, z é a direção de propagação, x e y são
direções perpendiculares entre si e a z ao mesmo tempo, e
( )
z
ω
é o diâmetro do
feixe ao longo do eixo de propagação. A simetria azimutal da propagação deste
laser torna conveniente a substituição das coordenadas cartesianas por
coordenadas cilíndricas:
2 2 2
x y r
+ =
, logo
( , , ) ( , )
I x y z I r z
=
.
42
Figura 2.1 - Representação esquemática de um feixe laser com simetria cilíndrica.
O diâmetro de um feixe de luz gaussiano é definido no plano xy como o
dobro da distância entre a posição de maior intensidade e uma outra posição
qualquer aonde a intensidade seja 1/e
2
menor. Como a intensidade é proporcional
ao quadrado da amplitude, podemos repetir a afirmação anterior substituindo a
palavra “intensidade” por “amplitude” e trocando o fator para 1/e.
Lentes podem reduzir o diâmetro de um feixe laser até um valor limitado
pela difração e é dado por [2.2]:
0
4
2 2
λ
ω
π
=
( . )
F
d
onde
0
ω
é a menor cintura do feixe possível de se obter com uma lente de distância
focal F à qual incide-se um feixe colimado com diâmetro d, e
λ
é o comprimento de
onda do feixe.
43
Figura 2.2
- Redução máxima de um feixe laser limitada pela difração.
O diâmetro de um feixe após a lente e ao longo de sua trajetória pode ser
escrito como [2.2]:
2
2 2
0
1 2 3
( ) ( . )
c
Z
z
Z
ω ω
= +
onde Z
c
é o comprimento Rayleigh, também conhecido como distância confocal,
posição em que o raio de curvatura das frentes de onda de um feixe laser é mínimo:
2
0
2 4
( . )
c
Z
πω
λ
=
2.3 ABSORÇÃO DE LUZ
Ao atravessar uma determinada amostra um feixe laser pode ou não ser
parcialmente absorvido. A Lei de Lambert Beer da absorção óptica nos diz que a
variação na intensidade do laser,
( , )
I r t
, após atravessar uma determinada amostra
pode ser descrita, em termos matemáticos, como
0 0
2
0
1
2 5
( , ) ( , ) ( , ) ( , )( )
( , ) [ ] ( . )
Al
I r t I r t I r t I r t e
I r t Al O
= =
+
Laser
Lente
Detector
ω
0p
d
F
44
Laser
Detector
Amostra
I
0
(r,t)
I(r,t)
onde I
0
(r,t) é a intensidade do feixe ao penetrar a amostra, r é a distância radial em
relação ao centro do feixe, I(r,t) é a intensidade do feixe ao deixar a amostra, A é o
coeficiente de absorção, l o caminho óptico na amostra e O
2
indica que a expansão
foi truncada nos termos de segunda ordem, ou seja, em primeira aproximação a
intensidade absorvida é diretamente proporcional ao caminho óptico.
Figura 2.3
- Representação esquemática da absorção de parte da intensidade do
laser ao atravessar a amostra.
2.4 LENTE TÉRMICA
Em janeiro de 1965 [2.3], J.P. Gordon, R.S. Moore, J.R. Whinery, e os
brasileiros R.C.C. Leite e S.P.S. Porto publicaram o primeiro trabalho sobre o efeito
de lente rmica (LT). Com um arranjo experimental projetado para o estudo da
espectroscopia Raman em líquidos, ao introduzir corante na cavidade de um laser
de He-Ne, os pesquisadores observaram que a intensidade no centro do laser, no
detector, sofria variação na escala de milisegundos. Descoberto nos laboratórios da
Bell Telephone, o efeito foi observado acidentalmente por J.P. Gordon em 1964, que
deduziu uma expressão para a distância focal da LT formada numa amostra
localizada dentro da cavidade de um laser.
Em 1973, o efeito extracavidade foi observado e C. Hu e J.R. Whinery
[2.4] mostraram que o efeito de LT poderia ser amplificado focalizando-se o feixe
laser e colocando a amostra na posição de menor raio de curvatura do feixe (Z
c
). A
partir daí, percebeu-se que esta técnica tinha uma alta sensibilidade. Nestes dois
primeiros modelos, os autores propuseram uma aproximação segundo a qual o perfil
45
do índice de refração que atua como uma lente na amostra seria parabólico,
podendo, a lente formada na amostra, ser considerada uma perfeita lente fina, ideal
e livre de aberrações. Entretanto este modelo não se mostrou preciso, pois o
previa os anéis de interferência e nem considerava aberrações esféricas observados
experimentalmente na LT [2.5].
Sheldon e colaboradores [2.6] propuseram, então, um modelo mais
realístico que o modelo parabólico, fundamentando-se na teoria de difração de
Fresnel. O modelo proposto por Sheldon considera a LT formada na amostra como
uma lente de natureza aberrante. Do ponto de vista rmico, as mesmas condições
de contorno do modelo parabólico são mantidas. A partir deste modelo, diversas
configurações experimentais da técnica foram surgindo, até chegar a mais sensível
delas conhecida como modo descasado, na qual se utiliza um laser de prova com
diâmetro na amostra maior do que o do laser de excitação.
O efeito de LT é gerado através da excitação de uma amostra com um
laser de perfil gaussiano. A energia do feixe laser de excitação, ao ser absorvida,
produz aquecimento na região iluminada, e como a intensidade é maior em seu
centro, uma distribuição radial de temperatura é criada na amostra, produzindo uma
variação no índice de refração em função do aquecimento, e conseqüentemente
variando o caminho óptico percorrido pelo laser. Isto faz com que a região iluminada
se comporte como uma lente que poderá mudar a intensidade do centro do feixe
laser que atingirá a amostra para verificar a formação dessa lente, o laser de prova.
Esta mudança depende das propriedades ópticas e térmicas do material analisado,
tais como o coeficiente de absorção óptica (A), a variação do índice de refração com
a temperatura (dn/dT), a condutividade (k) e a difusividade térmica (D). A liberação
de calor no meio ocorre pelo decaimento não radiativo das moléculas da amostra
levadas ao estado excitado. Este efeito pode ocorrer tanto em gases, como em
líquidos e em sólidos.
A formação da LT ocorre através de um transiente que é da ordem de
milisegundos. Este é o tempo necessário para que o equilíbrio rmico, ou seja, o
estado estacionário, seja alcançado. Na maioria dos líquidos, o índice de refração
muda com a temperatura devido à diminuição da densidade dos mesmos na região
iluminada [2.7]. Neste caso, dn/dT é negativo e a LT formada na amostra provocará
46
divergência do feixe laser. Em sólidos, dn/dT pode ser positivo ou negativo,
dependendo da composição da amostra.
2.4.1 Modelo Aberrante
Historicamente o primeiro modelo teórico de lente aberrante foi
desenvolvido por Sheldon, porém este modelo não deixou explícito no seu
desenvolvimento teórico o uso de dois feixes no experimento. Em função das
observações experimentais de que o sinal de LT no detector cresce com o aumento
do raio do laser de prova em relação ao raio do laser de excitação na amostra, J.
Shen [2.7,2.8] propôs um modelo considerando os dois feixes na amostra com
diâmetros diferentes. Descreveremos, a partir daqui, este modelo teórico, até
chegarmos na equação da intensidade do laser de prova no detector, a qual usamos
para ajustar os dados experimentais e obter alguns parâmetros que veremos mais
na frente.
2.4.2 Mudança no índice de refração
A variação no índice de refração da amostra pode ser escrita em função
do aumento de temperatura (
T):
0
2 6
( , ) ( , ) ( . )
dn
n r t n T r t
dT
= +
r r
sendo (dn/dT) é a taxa de mudança do índice de refração com a temperatura.
O aumento local
T(r,t) de temperatura é determinado pela solução da
equação de difusão de calor em um meio isotrópico [2.10]:
47
2
2 7
[ ( , )] [ ( , )] ( , ) ( . )
p
C T r t k T r t Q r t
t
ρ
+ =
r r
onde C
p
é o calor específico a pressão constante,
ρ
é a densidade e k é a
condutividade térmica da amostra.
Por considerarmos a amostra um meio infinito tanto na direção radial
como na direção axial e utilizarmos também a simetria cilíndrica (para amostras de
baixos coeficiente de absorção óptica), a resolução da equação anterior resume-se a
encontrar a solução para o aumento de temperatura apenas na direção radial
(
)
( , ) ( , )
T r t T r t
=
r
.
O calor gerado pela absorção óptica da amostra por unidade de área e
unidade de tempo na posição r é dado pela seguinte equação [2.3]:
2 2 8
( , ) ( ) ( . )
Q r t rAI r
π
=
onde
0
( , )
Q r t
=
para t<0, A é o coeficiente de absorção da amostra e I(r) é a
intensidade do feixe incidente. Reescrevendo a equação (2.1) em função da
coordenada radial temos:
2
2 2
1 1
2 2
2 9
πω ω
=
( ) exp ( . )
P r
I r
onde ω
1
é o raio do feixe na amostra (a intensidade cai a 1/e
2
quando r = ω
1
).
As condições de contorno consideradas pelo modelo são:
0
=
( , )
T t
para
t>0 e
0 0
( , )
T r
=
para r<
. A solução da equação de difusão do calor,
( , )
T r t
, para
o termo de fonte e as condições de contorno acima, é dada por [2.9]:
0 0
2 10
=
( , ) ( ´) ( , ´, ´) ´ ´ ( . )
t
T r t Q r G r r t dt dr
sendo a função de Green G(r,r´,t´) dada por [2.9]:
48
2 2
0
1
2 11
4 4 2
π
+
=
´ ´
( , ´, ´) exp ( . )
´ ´ ´
r r rr
G r r t I
kt Dt Dt
onde =
k
D
C
ρ
é a difusividade térmica da amostra, I
0
é a função de Bessel modificada
de ordem zero
( ) ( )
=
n
n n
I x i J ix
. Substituindo a eq. (2.11) na eq. (2.10) obtém-se:
2 2 2
0
2 2
1 1
0 0
2 2
2
0
2 2
1 1
0 0
2 2 1
2
4 4 2
1 2 1
4 4 2
´ ´ `
( , ) ´ exp exp ´ ´
´ ´
´ `
( , ) exp ´ ´exp ´ ´
´ ´ ´
t
t
P r r r rr
T r t r A I dt dr
kt Dt Dt
PA r r rr
T r t dt r r I dr
k t Dt Dt Dt
π
πω ω π
π ω ω
+
=
+
= +
Usando a formula de recorrência [2.4]:
( ) ( )
2 2 2 2
0
2
0
1
4
2
=
( ´)exp ´ ´ ´ exp /
t
J ar p r r dr a p
p
onde
2
2
1
2 1
2 4
´ ´
ir
a e p
Dt Dt
ω
= = +
e substituindo as equações anteriores na expressão de
( , )
T r t
temos
2 2
1
2
1
0
2
2 1
2 12
1 2 1 2
/
( , ) exp ´ ( . )
´/ ´/
t
c c
r
PA
T r t dt
C t t t t
ω
π ρω
=
+ +
onde
2
1
2 13
4
( . )
c
t
D
ω
=
sendo t
c
a constante característica de tempo térmico. Esta constante representa o
tempo de formação da LT, ou seja, o tempo que o calor leva para atingir a posição r
=
ω
1
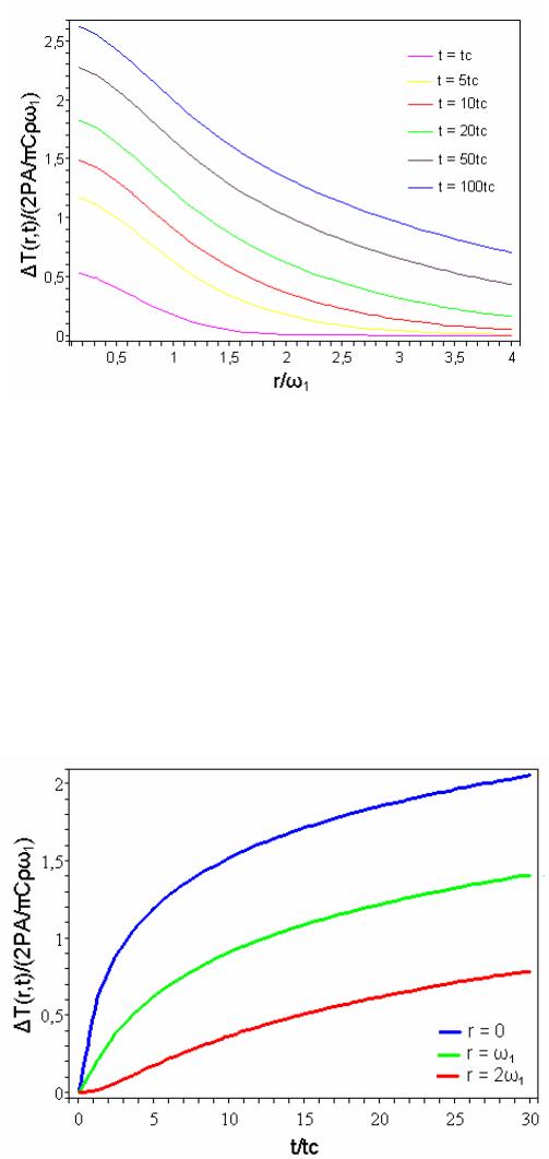
na amostra. Na figura 2.4 apresentamos a distribuição de temperatura em
função da relação r/
ω
1
calculada com o auxílio do programa Maple 9.5. Percebemos
49
que o aumento de temperatura é maior no centro do feixe, tendendo a zero para
valores de r/
ω
1
bem maiores que unidade.
Figura 2.4
- Gráfico da variação de temperatura em função da relação entre r e
ω
1
para diferentes valores de t.
A variação de temperatura em função da relação t/t
c
é vista na figura 2.5.
Percebemos que a taxa de aumento da temperatura diminui à medida que a relação
t/t
c
cresce, mostrando, portanto, que a temperatura tende ao estado estacionário
para valores de t/t
c
relativamente grandes.
Figura 2.5
- Variação de temperatura em função do tempo para valores de r.
50
r
1
r
2
n
2
n
1
z
1
Φ
2
Φ
A variação do índice de refração na amostra, obtida pela substituição
direta da equação (2.12) em (2.6), será, portanto dada pela expressão:
2 2
1
0
2
1
0
2
2 1
2 14
1 2 1 2
/
( , ) exp ´ ( . )
´/ ´/
t
c c
r
dn PA
n r t n dt
dT C t t t t
ω
π ρω
= +
+ +
2.4.3 Cálculo da diferença de fase
O princípio básico do modelo aberrante é a mudança de caminho óptico
sofrida pelo feixe de prova, devido à variação radial no índice de refração da
amostra em função da temperatura. As frentes de onda deste feixe se propagam
através de caminhos ópticos diferentes, de maneira que a fase relativa entre elas se
altera ao longo do raio da amostra. Na figura 2.6 temos uma representação das
frentes de onda do feixe laser de prova, onde as setas vermelhas representam as
frentes de onda do feixe. Em uma posição r
1
temos uma frente de onda com
defasagem
1
Φ
em relação ao centro do feixe, enquanto que uma frente de onda
numa posição r
2
a defasagem será
2
Φ
, onde n
1
e n
2
são os respectivos índices de
refração destas frentes de onda nas posições r
1
e r
2
.
Figura 2.6
- Representação esquemática das frentes de onda do feixe laser de
prova.
51
que uma mudança no índice de refração
n
altera a velocidade da luz
no meio de acordo com a equação
v = c/n
, conseqüentemente teremos uma
diferença de fase entre as frentes de onda do feixe laser de prova que pode ser
encontrada por meio da seguinte expressão [2.10]:
[ ]
1 1
0
2
0 2 15
( , ) ( , , ) ( , , ) ( . )
L
p
r t n r z t n z t dz
π
λ
Φ =
Substituindo a equação (2.14) na expressão anterior temos
2 2
1 1
1
2
1
0
4
2
1
1 2 16
1 2 1 2
/
/
( , ) exp ´ ( . )
´/ ´/
t
le
p p c c
P ALdn dT
r
r t dt
C t t t t
ω
ρω λ
Φ =
+ +
onde
λ
p
é o comprimento de onda do laser de prova e P
le
é a potência do laser de
excitação na posição Z
1
. Para simplificar a expressão anterior, usamos a seguinte
expressão:
2 17
( . )
le
p
P AL
dn
k dT
θ
λ
=
onde
θ
representa a magnitude da lente térmica formada. Podemos, portanto,
reescrever a equação (2.16) da seguinte forma:
2 2
1 1
1
0
2
1
1 2 18
1 2 1 2
/
( , ) exp ´ ( . )
´/ ´/
t
c c c
r
r t dt
t t t t t
ω
θ
Φ =
+ +
2.4.4 Modelo aberrante para LT de dois feixes
J. Shen, similarmente ao modelo de S.J. Sheldon, considerou a amostra
localizada na posição Z
1
, geralmente dada por
3
c
Z
(a origem em z está na cintura
do feixe de prova), local em que o sinal de TL é maior. A diferença entre os dois
modelos está na introdução de uma mudança de variável conveniente, considerando
os dois feixes na amostra realizada por J. Shen [2.8,2.9]. Deste modo, seu modelo
52
apresentou uma expressão para a mudança de fase mais geral que a expressão de
Sheldon. Temos ainda que o modelo aberrante de Shen representa o modelo de
feixe único, desde que os diâmetros do laser de excitação e do laser de prova na
amostra sejam idênticos. Neste caso estamos na configuração casada.
Na figura 2.7, temos uma disposição esquemática para os dois feixes na
configuração descasada, onde
ω
0p
é o raio do laser de prova na cintura do feixe,
ω
1
é o raio do laser de excitação na amostra (normalmente a amostra é colocada na
posição da cintura do feixe de excitação: (
ω
1
=
ω
e
) e
ω
lp
é raio do laser de prova na
posição Z
1
.
Figura 2.7
- Representação dos dois feixes na amostra para a configuração de
modo descasado. A amostra fica na cintura do laser de excitação (Z
1
), e na posição
confocal (Z
c
) do laser de prova.
Tomando-se a seguinte razão para representar a relação entre os raios
dos feixes do laser de prova e do laser de excitação na amostra
2
1
2 19
( . )
lp
m
ω
ω
=
e
2
2 20
( . )
lp
r
g
ω
=
L
Detector
Amostra
ω
0p
Z
1
Z
2
Laser de
prova
L. excitação
53
para representar a relação entre uma posição radial da amostra e o raio do feixe
laser de prova, obtemos através da multiplicação das mesmas a seguinte expressão
2
2
1 1
2 21
( . )
lp
lp
r r
mg
ω
ω ω ω
= =
Substituindo a equação (2.21) na equação (2.18) temos a seguinte
expressão para a diferença de fase
0
1
1 2 22
1 2 1 2
( , ) exp ´ ( . )
´/ ´/
t
c c c
mg
g t dt
t t t t t
θ
Φ =
+ +
A equação (2.22) nos mostra que a diferença de fase induzida nas frentes
de onda do laser de prova, devido à dependência radial do índice de refração,
depende explicitamente do parâmetro m e do tempo t
.
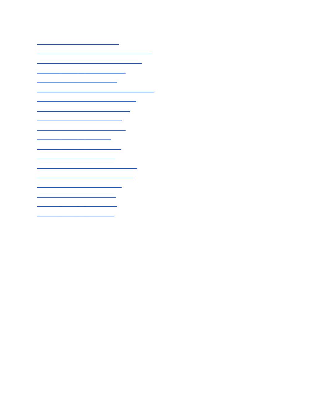
Vemos
na figura 2.8 que a
fase aumenta em função do valor de m, refletindo um aumento na sensibilidade da
LT com respeito ao tamanho do raio do laser de prova incidente na amostra. O
acréscimo na diferença de fase em função de m se desenvolve com o aumento do
diâmetro do laser de prova em relação ao diâmetro do laser de excitação no interior
da amostra, de modo que as frentes de onda mais externas do feixe de prova sofrem
maior mudança na fase, se comparada à do centro do feixe.
Figura 2.8
- Variação da fase nas frentes de onda do laser de prova em função do
tempo para valores de m.
54
Outra informação que podemos obter na fig. 2.8 é o tempo de aquisição
de dados no experimento de LT. Observa-se que para m = 50 necessitamos de
aproximadamente um tempo t = 100 t
c
para atingir 90% do valor da fase no estado
estacionário, enquanto que para m = 1 necessitamos somente de t = 10 t
c
. Isto nos
mostra que à medida que m aumenta, o tempo para atingir a condição de estado
estacionário é maior. Isto ocorre porque a área da amostra que é provada é tanto
maior quanto maior for o valor de m. Por outro lado, tais tempos de aquisição de
dados são válidos somente quando não ocorre fluxo axial de calor da amostra para o
meio exterior. Observa-se ainda, que a taxa de aumento da fase fica maior à medida
que os valores de m tornam-se muito grandes.
na figura 2.9, verifica-se que
pequenas variações no valor de m devem
induzir variações no sinal da lente térmica, ou seja, a sensibilidade do experimento
para qualquer distúrbio tanto no diâmetro do laser de prova como no diâmetro do
laser de excitação, devido a fluxos de ar ou pequenas vibrações na amostra é maior
quando m é pequeno.
Figura 2.9
- Variação da fase nas frentes de onda do laser de prova em função de
m.
55
2.4.5 Intensidade do laser de prova no detector
Nesta seção desenvolvemos, teoricamente, a obtenção do valor da
intensidade de luz no centro de um detector colocado a certa distância da amostra.
Na figura 2.10 temos a representação esquemática para o caminho óptico percorrido
pelo laser de prova, do plano de saída da amostra até o plano de entrada no
detector.
Figura 2.10
- Diagrama representando as frentes de onda após a saída da amostra
até o plano de entrada do detector.
A amplitude complexa do campo elétrico do laser de prova antes de incidir
na amostra é dada por [2.2]:
2 2
1 1
2
2
1
2 2 23
( , ) exp ( . )
p
p
lp p lp lp
P
r r
U r Z i Z
R
π
π ω λ ω
= +
onde P
p
é a potência do laser de prova e R
lp
e
ω
lp
são o raio de curvatura das frentes
de onda e o raio do feixe laser de prova na posição Z
1
. O efeito da LT formada na
amostra é alterar a fase das frentes de onda do laser de prova. A amplitude
2
Z
r
2
Z r
r
r
r
r
Detector
Saída da Amostra
z
56
complexa do campo elétrico no plano de saída da amostra pode ser representada
pela seguinte equação [2.11]:
2 2
1 1
2
2
1 2
2 24
( , ) exp exp ( . )
p
p
lp p p lp lp
P
r r
U r Z i Z i
R
π π
π ω λ λ ω
= + Φ
onde
Φ
é a diferença de fase induzida pela lente térmica. A amplitude complexa de
campo elétrico, incidente no detector é uma superposição das ondas provenientes
de todos os pontos do plano de saída da amostra, sendo dada por [2.7]:
(
)
2
2
1
0 0
2
2
1
2 25
2
exp ( / )
cos
( ) ( , ) ( . )
p
p p
p
i Z r
i
U t U r Z rdrd
Z r
π
π λ
α
θ
λ
+
=
uur r
uur r
que representa a integral de difração (Fresnel Kirchoff), onde o fator U
p
(r,Z
1
) é a
amplitude complexa de campo elétrico da onda, no plano de saída da amostra. O
termo
1 cos
2
+
α
é o fator de inclinação da onda e o terceiro termo é a atenuação da
amplitude e a variação da fase após percorrer a distância
2
uur r
Z r
.
Desde que Z
2
>> r, podemos fazer as seguintes aproximações:
2
2 2 2
2
1
1 2 26
2
( . )
r
Z r Z Z
Z
+
uur r
1
1 2 27
2
cos
( . )
α
+
e o termo exponencial da equação (2.25) pode ser escrito como
2
2 2
2
2 2
2 28
2
( . )
p p
r
Z r Z
Z
π π
λ λ
= +
uur r
Substituindo a equação (2.28) na (2.25) ficamos com a seguinte
expressão para a integral de difração:
57
2
2
1 2 1 2
2 2
0 0
1 2
2 29
2
( , ) ( , )exp ( . )
p p
p p
i r
U Z Z t U r Z i Z rdrd
Z Z
π
π
θ
λ λ
+ = +
Integrando a equação anterior em
θ
, obtemos
2
1 2 2 1
2 2
0
2 2
2 30
( , ) exp ( , )exp ( . )
p p
p p p
r
U Z Z t i i Z U r Z i rdr
Z Z
π π π
λ λ λ
+ =
Substituindo a equação (2.24) no integrando da equação (2.30) obtemos
a amplitude complexa do campo elétrico resultante incidente no centro do detector:
2 2 2
1 2 1
2
2
0
2 31
( , ) exp ( . )
p
p p lp lp
r r
U Z Z t C i rdr
Z R
π π
λ λ ω
+ = + + Φ
onde
1 1 2
2
2
1 2 2 2
2 32
exp exp ( . )
p
lp p p p
P
C i i Z i Z
Z
π π π
π ω λ λ λ
=
Se fizermos a seguinte mudança de variável
2
2 33
( . )
lp
r
g
ω
=
2
2
2 34
( . )
lp
r
dg dr
ω
=
podemos reescrever a equação (2.31) da seguinte forma
[ ]
{ }
1 2 2
0
2 35
( , ) exp ( . )
p
U Z Z t C g i Vg dg
+ = +Φ
onde
2 2
2
2 36
( . )
lp lp
lp lp
V
R Z
ω ω
π
ω
= +
58
e
2
2 1
1
2 37
2
( . )
lp
C C
ω
=
Reescrevendo as equações (2.3) e (2.4) da óptica de propagação de
feixes gaussianos, temos [2.2]
2
2 2
1
0
1 2 38
( . )
lp p
c
Z
Z
ω ω
= +
2
0
2 39
( . )
p
c
p
Z
πω
λ
=
e também da referência [2.2] temos
(
)
2 2
1
1
2 40
( . )
c
lp
Z Z
R
Z
+
=
Substituindo as equações (2.38), (2.39) e (2.40) na equação (2.36)
podemos fazer a seguinte simplificação:
2
1 1
2
1 2 41
( . )
c
c c
ZZ Z
V
Z Z Z
= + +
Considerando o detector na posição Z
2
>> Z
c
,
temos que:
1
2 42
( . )
c
Z
V
Z
o que nos permite simplificar a integral de difração
2
na seguinte forma
[ ]
1 2 2
0
1 2 43
( , ) exp ( ) exp[ ] ( . )
p
U Z Z t C iV g i dg
+ = + Φ
2
A solução desta integral não é trivial, a resolvemos analiticamente fazendo uma
aproximação na exponencial da fase.
59
Se
1
Φ <<
podemos fazer a seguinte expansão
1 2 44
exp( ) ( . )
i i
Φ Φ
Substituindo as equações (2.44) e (2.22) na integral de difração (2.43),
obtemos
[ ]
1 2 2
0 0
1
1
1 2
1 1 2 45
1 2
( , )
´/
exp exp ( ) ´ ( . )
´/
t
p
c c
c
U Z Z t C i
t t t
mg
iV g dgdt
t t
θ
+ = ×
+
× +
+
Realizando a integração primeiro em g e depois em t’, obtemos a seguinte
expressão para U
p
:
( )
( )
( )
1
2
1 2
2
2 2
2
2
2
2
2
1
1 2
1 2 2 1 2
1 2 1 2
2 46
4
1 2
( , ) tan
( / )
/ /
ln ( . )
p
c
c
C
mV
U Z Z t
iV
m V t t m V
m t t V
i
m V
θ
θ
+ = +
+
+ + + + +
+ + +
+ +
A intensidade total no centro do detector é dada pelo módulo quadrado do
campo elétrico resultante
2
1 2
( ) ( , )
= +
p
I t U Z Z t
e nos a seguinte expressão para
descrever a variação de intensidade no centro do laser de prova no detector:
( )
( )
( )
2
1
2
2 2
2
2
2
2
2
2
0 1
2
1 2 2 1 2
1 2 1 2
2 47
4
1 2
( ) ( ) tan
( / )
/ /
ln ( . )
c
c
mV
I t I
m V t t m V
m t t V
m V
θ
θ
= +
+ + + + +
+ + +
+ +
onde
2
2
0
1
( )
C
I
iV
=
+
é a intensidade do laser de prova no detector antes da formação da LT na amostra.
60
Constata-se experimentalmente que a equação (2.47) ajusta os pontos
experimentais somente quando o segundo termo é desconsiderado, principalmente
para valores de m>1 [2.10]. Deste modo ficamos com a seguinte expressão para
ajuste dos dados experimentais para a configuração descasada
( )
2
1
2
2 2
2
0 1 2 48
2
1 2 2 1 2
( ) ( ) tan ( . )
( / )
c
mV
I t I
m V t t m V
θ
=
+ + + + +
2.4.6 Simulações do sinal de lente térmica
Com o auxílio das equações (2.47) e (2.48), podemos simular através do
programa Maple 9.5, gráficos do comportamento de I em função do tempo.
Percebemos que para pequenos valores de m, a diferença entre o comportamento
das curvas descritas pelas equações citadas acima é pequena. Nas figuras 2.11 e
2.12 representamos estas curvas para valores de m=1.
Figura 2.11 – Intensidade do feixe de prova com e sem o termo ln para
θ
= 0,2.
61
Figura 2.12 – Intensidade do feixe de prova com e sem o termo ln para
θ
= 0,4.
Porém, para valores de m relativamente grandes, as curvas passam a ter
diferenças consideráveis e a curva descrita pela equação (2.47) torna-se totalmente
diferente do sinal de LT observado experimentalmente. Nas figuras 2.13 e 2.14
percebemos que as curvas para a equação com o termo de ln tornam-se de
concavidade para baixo, em desacordo com a teoria.
Figura 2.13 – Intensidade do feixe de prova com e sem o termo ln para
θ
= 0,2 e m
= 50.
62
Figura 2.14 – Intensidade do feixe de prova com e sem o termo ln para
θ
= 0,4 e m
= 50.
Podemos também analisar o sinal de LT em função de t
c
. Na figura 2.15
temos diversas curvas para diversos valores de t
c
e percebemos que quanto menor
for a valor do mesmo, mais rápido ocorre à formação da LT. Por conseqüência, o
nível estacionário é alcançado mais rapidamente. Na figura 2.16 vemos a influência
do valor de θ no sinal de LT. Quanto maior for o seu valor, maior será a absorção
óptica. Isto significa, em outras palavras, num aumento na diferença de fase nas
frentes de onda do laser de prova e, portanto, num acréscimo na intensidade no
centro do mesmo.
63
Figura 2.15 – Sinal de LT para diferentes valores de tc.
Figura 2.16 – Sinal de LT para diferentes valores de θ.
64
REFERÊNCIAS
[2.1]. BIALKOWVISKI, S.E., Photothermal spectroscopy for chemical analysis.
New York: Wiley-Interscience, Chemical Analysis, v. 134, 584p, 1996.
[2.2]. SIGMAN, A.E., Introduction to lasers and masers, 2nd Ed. McGraw-Hill,
New York, 1971.
[2.3]. GORDON, J.P., LEITE, R.C.C, MOORE, R.S., PORTO, S.P.S., WHINNERY,
J.R., Long-transient effects in laser with inserted liquid samples, Journal applied
physics 36, 3-8 ,1965.
[2.4]. HU, C., WHINNERY, J.R., New thermo-optical measurement method and a
comparison with other methods, Applied optics, v. 12 (1), p.72-79, 1973.
[2.5]. AKHMANOV, S.A., KRINDACH, D.P., MIGULIN, A.V., SUKHORUK, A.P.,
KHOKHLOV, R.V. Thermal self-actions of laser beams, IEEE journal of quantum
electronics QE, v. 4 (10), p. 568, 1968.
[2.6]. SHELDON, S.J., KNIGHT, L.V., THORME, J.M., Laser-induced thermal lens
effect - a new theoretical-model, Applied optics 21 (9), 1663-1669, 1982.
[2.7]. BAESSO, M.L., SHEN, J., SNOOK, R.D., Mode-mismatched thermal lens
determination of temperature-coefficient of optical-path length in soda lime
glass at different wavelengths, Journal of applied physics, 75 (8), 3732-3737,
1994.
[2.8]. SHEN, J., SNOOK, R.D., A radial finite-model of thermal lens spectrometry
and the influence of sample radius upon the validity of the radial infinite-model,
Journal of applied physics, v.73 (10), p.5286-5288 Part 1, 1993.
[2.9]. CARSLAW, H.S., JAERGER, J., Conduction of heat in solids, 2nd Ed.
Clarendon Press, Oxford, 1959.
[2.10].PEREIRA, J.R.D., Espectroscopia de Lente rmica: Propriedades
térmicas de cristais líquidos, Dissertação de mestrado, Instituto de Física Gleb
Wataghin, UNICAMP, 1997.
65
[2.11]. SHEN, J., LOWE, R.D., SNOOK, R.D., A model for cw laser-induced mode-
mismatched dual-beam thermal lens spectrometry, Chemical physics, v.165 (2-
3), p.385-396, 1992.
66
CAPÍTULO 3
Montagem Experimental
O arranjo experimental utilizado para as medidas de lente térmica foi
aquele que possui a configuração de modo descasado (lasers com diâmetros
diferentes na amostra). Um feixe laser é utilizado para aquecer a amostra, como
dito anteriormente, chamado de laser de excitação, e outro para monitorar a
formação da lente térmica chamado de laser de prova.
Neste capítulo, mostraremos como foram feitas as medidas das cinturas
dos feixes lasers de excitação ω
1
e de prova ω
lp
, as quais nos permitem obter
parâmetros como Z
1
, Z
c
, m e V, fundamentais para os ajustes da equação (2.48) no
experimento de LT. Além disso, descreveremos o aparato utilizado para as medidas
de variação do índice de refração com a temperatura e a geometria do arranjo
experimental de LT utilizada em nossos experimentos.
3.1 DETERMINAÇÃO DA CINTURA DO FEIXE DO LASER
Para obter a cintura do feixe do laser e seus parâmetros confocais,
utilizamos o método conhecido como “Knife-edge” [3.1], que consiste basicamente
67
em medir a potência do laser à frente da lente que o focaliza interrompendo-o com
um obstáculo até que o mesmo não seja mais percebido pelo detector. Essas
medidas são realizadas em várias posições no eixo axial, passando pelo foco da
lente e indo a alguns centímetros além deste. A figura 3.1 mostra uma
representação esquemática do arranjo utilizado no método “knife-edge”.
Figura 3.1 – Representação esquemática da montagem utilizada para a obtenção
das cinturas dos feixes de excitação e de prova.
A medida da potência do laser em função da posição de interrupção do
obstáculo é dada pela expressão [3.1]:
2 3
0 1 2 3
1
(3.1)
1 exp[ ( )]
N
P
a a t a t a t
=
+ + + +
onde P
N
é a potência normalizada, a
0
= - 6,71387 x 10
-3
, a
1
= - 1,55115, a
2
= -
5,13306 x 10
-2
, a
3
= - 5,49164 x 10
-3
e
0
2 /( )
t x x
ω
=
.
Na medida em que o obstáculo se desloca perpendicularmente ao eixo
axial, a potência do laser começa a sofrer um decréscimo anão mais ser medida
pelo detector quando o feixe é totalmente interrompido pelo obstáculo. Através de
ajustes dos dados experimentais, o valor de
ω
é encontrado para cada posição do
obstáculo em relação à lente. Na figura 3.2 temos os dados experimentais, para uma
determinada posição, ajustados pela equação (3.1).
Detector
Lente
ω
0p
Z
Lâmina
68
0,0 0,1 0,2 0,3 0,4
0,0
0,2
0,4
0,6
0,8
1,0
Pontos experimentais
Curva ajustada
Poncia Normalizada
Posão damina (cm)
ω
ωω
ω
le
= (11,83 ± 0.001).10
-3
cm
Figura 3.2
- Medida da potência normalizada do feixe laser de excitação em função
da posição da lâmina.
Através destas medidas, como dito anteriormente, obtivemos um valor de
cintura para o feixe laser em cada posição do eixo axial. Fazendo o gráfico do
quadrado dos valores de
ω
em função da posição, temos uma parábola [3.2], que
pode ser ajustada pela equação:
2
(3.2)
y a bz cz= + +
fornecendo as constantes a, b e c. O centro da parábola
1
2
b
Z
c
=
indica a
posição de menor cintura do feixe, normalmente em torno da distância focal da lente
utilizada. Na figura 3.3 temos a curva ajustada aos valores experimentais para o
diâmetro da cintura do feixe laser de He-Ne em 632 nm utilizado em nossos
experimentos como feixe de prova.
69
10 12 14 16 18 20 22 24 26
31
32
33
34
35
36
37
Z
1
= (18,96 ± 0,03) cm
ω
ω
ω
ω
2
(10
-6
cm
2
)
Pontos experimentais
Curva ajustada
a = (0.405 ± 0.009)
b = (-0.042 ± 0.001)
c= (0.001 ± 0.00003)
Posição (cm)
Figura 3.3
- Quadrado da cintura do feixe do laser de estado sólido em função da
distância da lente convergente de foco f = 20 cm.
Para determinar o valor do parâmetro confocal do feixe (Z
c
), fizemos o
seguinte procedimento [2.2]: diminuímos dos valores das abscissas o valor da
posição da cintura do laser, Z
1
. Fizemos novamente o gráfico de
ω
2
em função da
posição e ajustamos com a equação da parábola (vide figura 3.4). De modo que
fazendo
:
(3.3)
c
a
z
c
=
determinamos o parâmetro confocal do feixe.
Para o feixe laser de excitação temos Z
c
= (2,08±0,08) cm. Utilizando este
valor, determinamos o diâmetro da cintura do feixe na posição de foco através do
cálculo da equação (2.4). Para este laser obtivemos
ω
1
= (5,59±0,007).10
-3
cm. Este
mesmo procedimento foi usado para determinar o diâmetro do feixe de prova
ω
lp
.
Após determinar
ω
1
e
ω
lp
, calculamos através da equação (2.19) o parâmetro m que
é utilizado na equação de ajuste (2.48). Em nossas medidas trabalhamos com V =
70
1,73
, onde se tem a otimização do sinal de LT demonstrado por Sheldon e
colaboradores [2.7].
-8 -6 -4 -2 0 2 4 6 8
31
32
33
34
35
36
37
ω
ωω
ω
0
= (5,59 ± 0,007).10
-3
cm
Z
c
= (2,08 ± 0,08) cm
a= (0.004 ± 0.0005)
b = (0.00019 ± 0.0001)
c = (0.001 ± 0.00003)
ω
ω
ω
ω
2
(10
-6
cm
2
)
Pontos experimentais
Curva ajustada
Posição (cm)
Figura 3.4
- Quadrado da cintura do feixe do laser de estado sólido, com o centro da
parábola em z = 0.
Na tabela 3.1, são mostrados os parâmetros utilizados nas medidas de
LT. Os lasers utilizados foram os de 630 e 473 nm de comprimento de onda,
estando os mesmos, respectivamente, na região do vermelho e do azul do espectro
visível.
71
Laser de prova Laser de excitação
λ(nm)
630
473
ω
1
(10
-3
cm)
_____
(5,59±0,007)
ω
lp
(10
-3
cm)
(15,71±0,04)
_____
Z
c
(cm)
(3,07±0,09)
(2,08±0,08)
m
(7,89±0,03)
(7,89±0,03)
V 1,73 1,73
Tabela 3.1
- Valores dos parâmetros usados nos experimentos de LT.
3.2 GEOMETRIA DO ARRANJO EXPERIMENTAL DE LT
Para as medidas de lente térmica utilizou-se um aparato experimental
com dois lasers contra-propagantes na configuração descasada representado na
figura 3.5. Um laser de estado sólido da marca Viasho em 473nm (60 mW) foi
utilizado como laser de excitação e focado na amostra com uma cintura de raio
(5,59±0,007).10
-3
cm. Como laser de prova, usou-se um laser de He-Ne da marca
Uniphase em 630 nm (20 mW) e raio na amostra de (15,71±0,04).10
-3
cm. O feixe de
excitação, em sua propagação através da amostra, foi modulado eletronicamente
por um gerador de funções da marca Hewlett-Packard 33120A (15 MHz) e
posteriormente bloqueado usando-se filtros ópticos para o mesmo não entrar na
cavidade do feixe laser de prova, que a configuração utilizada era a de dois feixes
lasers contra-propagantes. É importante ressaltar que o mesmo cuidado foi tomado
com o laser de prova, fazendo com que o mesmo fosse interrompido por filtros
ópticos para evitar que o feixe do mesmo chegasse até a cavidade do laser de
excitação. O sistema para a aquisição do sinal de LT era constituído de um
fotodetector FPS10 da marca Ophir, no qual era centrada a intensidade máxima do
feixe de prova. Esta intensidade, medida na forma de voltagem, era registrada por
um osciloscópio digital da marca Hewlett-Packard 54522A(500 MHz). Através de
72
uma interface de comunicação entre uma placa do tipo GPIB da marca National
Instruments e um computador, pelo programa HP 34810B BenchLink Scope, o sinal
de lente térmica era arquivado como função do tempo.
O procedimento básico destas medidas de LT consiste nos seguintes
passos: alinhar os dois feixes lasers de maneira que tenham a mesma altura em
relação ao plano da mesa óptica. Nesta fase não precisamos de nenhuma lente no
caminho óptico. Coloca-se a lente convergente L
1
(em nossas medidas esta lente
tinha um foco de 20cm) com o feixe de excitação passando exatamente no seu
centro. Encontra-se visualmente a posição da cintura, posição Z
1
(onde se centraliza
a célula da amostra), do feixe de excitação devido à lente L
1
. Após ajustar a posição
da lente L
1
acrescenta-se uma lente também convergente L
2
(de foco 10 cm em
nosso aparato) entre o laser de prova e a amostra. Finalmente, colocam-se os filtros
f
1
e f
2
para impedir que os feixes lasers entrem um na cavidade do outro. É
importante destacar que o filtro f
1
, além de ter a função de impedir que o laser de
prova entre na cavidade do laser de excitação, também é usado como espelho para
refletir o feixe laser de prova na direção em que se encontra o fotodetector.
Figura 3.5
- Representação do arranjo experimental de LT no modo descasado
utilizado.
Detector
Laser de prova
f
2
L
2
L
1
Laser de excitação
Amostra
Osciloscópio Digital
Computador
f
1
73
3.3 MEDIDAS DE ÍNDICE DE REFRAÇÃO
As medidas do índice de refração foram feitas usando-se um refratômetro
de Abbé da marca Jena acoplado a um banho térmico (Termo Haake) com
temperatura controlada.
Figura 3.6
- Refratômetro de Abbé acoplado a um banho térmico de temperatura
controlada.
O refratômetro de Abbé tem como principio de funcionamento a medida
do ângulo limite de reflexão interna total em um sistema de prismas contido no em
seu interior, sendo que é possível distinguir dois métodos de medição [3.3]: um por
transmissão onde a luz incide rasante e outro por reflexão através da reflexão total.
Em métodos que empregam a reflexão total (caso que utiliza o
refratômetro), bastam poucas gotas do material caso o mesmo seja líquido ou uma
pequena amostra com uma única face polida para o caso de amostras sólidas. Além
disso, estes métodos são aplicáveis a líquidos e sólidos o totalmente
transparentes, como óleos lubrificantes ou comestíveis (como é o nosso caso) e
plásticos.
Quando se fazem observações por este todo, o “X" do microscópio
(figura 3.7) é colocado na linha de separação mencionada acima.
74
Os principais componentes do refratômetro de Abbé o o prisma de
medição, que mede em uma faixa de índices (para o equipamento disponível no
laboratório
1,300 < n < 1,700
), a objetiva de focalização e o círculo graduado de
cristal com microscópio de leitura.
O prisma de Abbé é de um tamanho razoavelmente grande, permitindo
que se obtenha uma maior luminosidade em relação a prismas pequenos, mesmo
com substâncias bastante turvas. Sua escala é completa, compreendendo toda a
faixa dos índices de refração. Existe recurso para iluminação pelo prisma superior, o
que ajuda a avaliar substâncias opacas.
O prisma de medição está montado em um sistema que pode girar em
torno de um eixo horizontal, juntamente com o prisma de iluminação. As bases dos
dois prismas (medida e iluminação) definem um espaço para receber a amostra, e
estão presos por uma dobradiça que permite um movimento de abertura. Estes
prismas conectados e um termômetro acoplado ao sistema permitem que se faça
leituras sempre nas mesmas temperaturas, eliminando assim a necessidade de
correção dos valores lidos.
Com a ocular se observa a linha limite entre uma parte clara e outra
escura. Um botão compensador serve para eliminar a franja colorida da linha limite,
e a escala serve para a medida da dispersão média respectiva ao número de Abbé.
O anel graduado possui duas escalas com divisões de 0 a 60.
Para a medição do índice de refração, se gira o corpo de prismas com o
botão de acionamento, até ter a linha limite exatamente no ponto de intersecção do
retículo na ocular.
A figura 3.7 mostra a ocular de focalização. Ao lado, está o microscópio
de leitura, o qual indica diretamente o valor do índice medido sobre o círculo
graduado de cristal que está acoplado com o corpo dos prismas.
Figura 3.7
-
Campos visuais do microscópio de leitura da ocular de focalização.
75
3.3.1 Processo de obtenção de n(T)
Neste item será descrito todo o procedimento realizado na determinação
do índice de refração das amostras que se deseja medir.
3.3.1.1. Para começar a operação, nos certificamos que o refratômetro
estava bem apoiado e com um sistema de elevação ajustamos a fonte de luz ao
refratômetro.
3.3.1.2. Tivemos que ajustar o espelho, de modo que iluminasse
uniformemente o disco graduado de cristal, para permitir uma boa observação da
escala.
3.3.1.3. Giramos a trava do prisma até que fosse possível abrir o conjunto
do corpo dos prismas e inclinar a parte superior do aparelho até que a superfície do
prisma de medição fique na posição horizontal.
3.3.1.4. Limpamos e secamos bem as superfícies dos dois prismas e as
molduras metálicas usando um lenço de papel com um pouco de água destilada ou
álcool.
3.3.1.5. Com uma seringa, conta-gotas, ou algo semelhante depositamos
de 2 a 6 gotas do liquido a ser medido na superfície do prisma de medição. Com o
máximo de cuidado, devemos fechar o bloco movendo para isso o prisma de
iluminação até poder travá-lo novamente, evitando deixar bolhas no líquido uma vez
que elas reduzem o contraste da linha limite.
3.3.1.6. Aguardamos alguns minutos até o liquido entrar em equilíbrio
térmico com o conjunto dos prismas.
3.3.1.7. Foi posicionada uma fonte de luz (lâmpada de filamento de
tungstênio de 60W), para que através do espelho fosse possível iluminar a abertura
inferior do prisma de iluminação.
3.3.1.8. Procuramos lentamente na ocular de focalização a linha de
separação, variando o ângulo de incidência através do botão de acionamento,
eliminamos as franjas coloridas da linha de separação por intermédio de um sistema
regulador de franjas contido no próprio refratômetro.
76
3.3.1.9. Com a linha de separação nítida, foi possível posicionar a linha de
separação exatamente no ponto de intersecção do retículo.
3.3.1.10. Fizemos as medidas, anotando os valores observados na escala
de índices e variando lentamente a temperatura da água com a ajuda do banho
térmico (Termo Haake).
3.4 MEDIDAS DE ABSORBÂNCIA
O espectro de absorção óptica de uma amostra é o registro obtido da
intensidade da luz absorvida em função do comprimento de onda. Em geral, em vez
da intensidade da luz absorvida, o que se registra no espectro é o logaritmo da
relação entre a intensidade da luz incidente I
0
e a intensidade da luz transmitida I
.
Tal grandeza é chamada de absorbância (A
bs
) ou densidade óptica e é dada pela
expressão:
0
log (3.4)
bs
I
A
I
=
A relação entre I e I
o
é dada por:
0
exp( ) (3.5)
I I Ax
=
onde A é o coeficiente de absorção e x é a espessura da amostra.
As medidas de absorção óptica foram realizadas no Laboratório de Física
de Matérias da Amazônia da Universidade Federal do Pará à temperatura ambiente
(aproximadamente 22,5 °C). Para realizar tais medidas [3.4], utilizamos um
monocromador Modelo 300i fabricado pela ACTON, instrumento que é capaz de
separar todos os comprimentos de onda de uma radiação incidente com precisão de
0.1 nm e medir a intensidade luminosa de cada um desses comprimentos de onda.
O monocromador utilizado é constituído de um conjunto de espelhos cuja finalidade
é fazer com que o sinal luminoso chegue até um conjunto de três grades de difração
holográficas, responsáveis pela separação do espectro em suas várias
77
componentes. Cada uma dessas grades de difração faz a decomposição em uma
certa faixa do espectro eletromagnético UV, Visível e Infravermelho próximo,
podendo abranger a faixa de 200 nm até 2800 nm. A figura 3.8 mostra uma
fotografia externa do monocromador.
Figura 3.8
-
Fotografias do monocromador.
Todo o controle do monocromador foi feito através da interface NCL
específica, fabricada pela ACTON
,
com padrão RS232 e um software apropriado
chamado Spectra Sense
,
que é capaz de fazer aquisição da intensidade de luz em
função do comprimento de onda ou em função do tempo. Foi necessário ainda
estabelecer um tempo de integração (500 ms) onde o equipamento faz uma média
das medidas de intensidade de luz resultando num melhor desempenho e
eliminando assim quaisquer flutuações e ruídos.
A fonte luminosa utilizada durante o processo experimental consistia de
uma lâmpada especial de Xenônio XBO de largo espectro, com uma potência de 75
W, capaz de emitir luz num espectro contínuo com freqüências que vão do
infravermelho até o ultravioleta.
Para a montagem do experimento, inicialmente dispusemos a lâmpada na
janela de entrada do monocromador e em seguida afixamos o porta-amostra a
janela de saída do mesmo. Um fotodetector de Silício Modelo 440 fabricado pela
ACTON foi fixado na saída do porta-amostra, de forma que a luz proveniente da
fonte e posteriormente transmitida pela amostra em estudo, chegasse até ele. A
figura 3.9 mostra uma visão lateral do arranjo experimental para as medidas de
absorbância.
78
Figura 3.9
-
Vista lateral do arranjo experimental da Absorbância.
As amostras foram cuidadosamente colocadas, com auxilio de uma pinça,
em um suporte dentro do porta-amostra, sendo que toda luz que vinha do
monocromador passava pela amostra antes de chegar no fotodetector. Assim que a
amostra era colocada no porta-amostra, esse era cuidadosamente tampado afim de
que nenhuma luz externa fosse detectada pelo fotodetector e pudesse alterar o
espectro. Na figura 3.10, temos uma vista superior o arranjo experimental e um
esquema de como a medida de absorbância é feita.
Figura 3.10
- Vista
superior do arranjo experimental da Absorbância.
79
De posse desse aparato experimental, realizamos a de medida do
espectro da lâmpada, no sistema sem amostras. Esse procedimento foi feito com
objetivo de obter o espectro da lâmpada para ser usado como referência no
processo de normalização dos espectros de cada concentração de BC:AO. Em
seguida, tomando cuidado para que as condições da experiência praticamente não
se alterassem, substituíamos as amostra na ordem decrescente das concentrações
e tirávamos os espectros de absorbância, usando sempre como referência o
espectro da lâmpada.
80
REFERÊNCIAS
[3.1]. BACHMANN, L., ZEZELL, D.M., MALDONADO, E.P.,
Determination of beam
width and quality for pulsed lasers using the knife-edge method
,
Instrumentation science & technology, v. 31 nº1, p. 47-52, 2003.
[3.2]. ANDRADE, A.A.C.,
Aplicações das técnicas de lente térmica e z-scan ao
estudo de sólidos dopados
, Tese de doutorado, Instituto de Física de São Carlos
da Universidade de São Paulo, 2002.
[3.3]. NUNES, E.C.B.,
Propriedades ópticas de óleos derivados do fruto de
palma
, Trabalho de conclusão de curso, DF/UFPA, Universidade Federal do Pará,
2006.
[3.4]. BICALHO, F.S.,
Propriedades físicas do poliestireno e poli (metacrilato de
metila) modificados com óleo buriti (Mauritia flexuosa)
, Dissertação de
Mestrado, PPGF/UFPA, Universidade Federal do Pará, 2006.
81
CAPÍTULO 4
Resultados e Discussões
Neste capítulo, apresentaremos todos os resultados procurando analisá-
los com base na teoria apresentada no capítulo 2 e nas descrições experimentais
desenvolvidas no capítulo 3 desta dissertação.
4.1 ESPECTROS DE ABSORBÂNCIA DAS AMOSTRAS ESTUDADAS
É muito importante, para o efeito de LT, que o laser de prova seja de
baixa potência, para que não ocorra o fenômeno de lente rmica adicional devido à
absorção de luz do mesmo [4.1], além daquele provocado pelo laser de excitação.
Nas amostras estudadas, não houve este problema, que a linha do laser de prova
utilizado não se encontra na região das bandas de absorção da amostra, sendo
praticamente transparentes ao mesmo como mostrado na figura 4.1. Percebemos
que estas amostras possuem bandas de absorção, na região do espectro visível,
entre 400 nm e 550 nm. Como os dois lasers usados têm comprimento de onda
λ
excitação
= 473 nm e
λ
prova
= 630 nm, vemos que um deles está bem dentro da faixa
de absorção enquanto o outro (o de prova) está completamente fora. Isso nos
82
mostra que para o sistema BC:AO, o espectro de absorção, no visível, se assemelha
ao espectro do BC, estando em bom acordo com a literatura [4.2].
400 450 500 550 600 650 700
-0,2
0,0
0,2
0,4
0,6
0,8
1,0
1,2
1,4
93,75 µ
µµ
µg/cm
3
46,87 µ
µµ
µg/cm
3
2,43 µ
µµ
µg/cm
3
1,17 µ
µµ
µg/cm
3
Absorbância
λ
λλ
λ
(nm)
Figura 4.1
- Espectro de absorbância das amostras com diferentes concentrações
de BC:AO.
4.2 VARIAÇÃO DO ÍNDICE DE REFRAÇÃO COM A TEMPERATURA
Como foi exposto no capítulo 2, quando uma amostra sofre uma
mudança no seu índice de refração devido à variação de temperatura (ver equação
(2.6)), a LT formada na amostra pode ser tanto convergente quanto divergente.
Sabemos que, para a maioria dos líquidos, o dn/dT é negativo, gerando uma LT
divergente na amostra. Para as amostras utilizadas observamos exatamente esse
comportamento. Além disso, investigamos, independentemente, como a temperatura
afeta o índice de refração das amostras, usando para isso um refratômetro de Abbé
(já apresentado no capítulo 3) na faixa de temperatura de 20 a 60 ºC, para todas as
concentrações da mistura BC:AO. Nas figuras a seguir, os círculos cheios são os
83
pontos experimentais e a linha em vermelho representa o ajuste linear (equação
2.6).
20 30 40 50 60
1,458
1,460
1,462
1,464
1,466
1,468
1,470
1,472
1,474
1,476
n(T) = (1,482 ± 0,0002) - (3,855 ± 0,469).10
-4
T
Índice de Refração
TemperaturaC)
93,75
µ
µµ
µ
g/cm
3
Curva ajustada
Figura 4.2
– Variação do índice de refração com a temperatura para a amostra com
concentração de 93,75 µg/cm
3
de BC:AO na faixa de 20 a 60 ºC.
84
20 30 40 50 60
1,458
1,460
1,462
1,464
1,466
1,468
1,470
1,472
1,474
1,476
46,87
µ
µµ
µ
g/cm
3
Curva ajustada
n(T) = (1,481
±
±±
±
0,0003) - (3,703
±
±±
±
0,086).10
-4
T
Índice de Refrão
Temperatura(ºC)
Figura 4.3
– Variação do índice de refração com a temperatura para a amostra de
concentração de 46,87 µg/cm
3
de BC:AO na faixa de 20 a 60 ºC.
20 30 40 50 60
1,458
1,460
1,462
1,464
1,466
1,468
1,470
1,472
1,474
1,476
n(T) = (1,481
±
±±
±
0,0003) - (3,583
±
±±
±
0,079).10
-4
T
Índice de Refração
Temperatura (ºC)
2,43 µ
µµ
µg/cm
3
curva ajustada
Figura 4.4
– Variação do índice de refração com a temperatura para a amostra de
concentração de 2,43 µg/cm
3
de BC:AO na faixa de 20 a 60 ºC.
85
20 30 40 50 60
1,458
1,460
1,462
1,464
1,466
1,468
1,470
1,472
1,474
1,476
n(T) = (1,482 ± 0,0003) - (3,575 ± 0,076).10
-4
T
Índice de Refração
TemperaturaC)
1,17
µ
µµ
µ
g/cm
3
Curva ajustada
Figura 4.5
– Variação do índice de refração com a temperatura para a amostra de
concentração de 1,17 µg/cm
3
de BC:AO na faixa de 20 a 60 ºC.
Para as diferentes concentrações de BC:AO, percebemos que as
amostras possuem um valor de n
o
praticamente constante (ver figura 4.6), o qual
ficou em torno de 1,48. o dn/dT apresentou um decrescimento em relação às
concentrações. Esses primeiros resultados sobre as medidas do dn/dT foram
obtidos pelo método de Abbé (descrito anteriormente na seção 3.3). Como dito,
este é um parâmetro muito importante em experimentos de LT e devido esta
importância, apresentamos na seção 4.6 outra alternativa para a medida desse
parâmetro, usando-se ajustes em dados experimentais de LT.
86
-3,90
-3,85
-3,80
-3,75
-3,70
-3,65
-3,60
-3,55
dn/dT(10
-4
ºC)
Concentração(
µ
µµ
µ
g/cm
3
)
0 20 40 60 80 100
1,30
1,35
1,40
1,45
1,50
1,55
1,60
Índice de Refração n
0
Figura 4.6
- Na vertical à esquerda temos o dn/dT e à direita temos o índice de
refração, ambos em função da concentração de BC:AO.
4.3 SINAL DE LENTE TÉRMICA
O sinal de LT foi obtido conforme está detalhadamente descrito no
capítulo 3 desta dissertação. Este sinal é constituído basicamente da intensidade de
luz no centro do detector medido em função do tempo (alguns milisegundos). A
figura 4.7 mostra um sinal típico obtido com a configuração descasada para uma
amostra de ácido oleico contendo beta-caroteno na concentração 93,75 µg/cm
3
.
Sabemos que a aquisição do sinal pode ser com a contagem do tempo a partir do
momento em que o laser de excitação é ligado ou a partir do momento em que este
é desligado.
87
Figura 4.7
– Sinal de LT gerado na amostra com concentração de 93,75 µg/cm
3
de
BC:AO.
Neste resultado consideramos um intervalo de tempo total de 512 ms,
tempo este, relativamente longo comparado ao tempo característico que permitiu a
formação da LT três vezes. A parte descendente da curva corresponde ao
aquecimento da amostra e está ligada com a formação de uma lente térmica
convergente. a parte ascendente da curva, corresponde ao intervalo de tempo
onde o laser de excitação é desligado e o equilíbrio rmico é restabelecido na
amostra. Os pulsos seguintes são repetições do primeiro.
A forma como a absorção de luz gera um gradiente de temperatura na
amostra, em princípio, é simétrica à forma como o calor se propaga, inversamente,
para recuperar a situação inicial de equilíbrio rmico. Embora os resultados de
aquecimento e arrefecimento em simulações computacionais sejam simétricos,
nossos resultados apresentaram uma pequena distorção entre a propagação do
calor no aquecimento e no arrefecimento. Na figura 4.8, recortamos uma parte da
própria figura, invertemos essa parte e colamos sobre o seu ponto equivalente no
pulso anterior com outra cor (violeta). Dessa forma podemos comparar, facilmente,
88
as curvas descendente e ascendente e perceber que uma pequena diferença
entre elas.
Figura 4.8
– Sinal de LT gerado na amostra com concentração 93,75 µg/cm
3
de
BC:AO. A linha em violeta representa a curva de aquecimento que foi redesenhada
com concavidade para baixo.
4.4. SINAL DE LT PARA CADA UM DOS LASERS EM SEPARADO
Apesar de sabermos que nossas amostras não possuem banda de
absorção na faixa de absorção da linha do laser de prova, para termos certeza de
que o havia LT criada pelo mesmo que fosse detectada pelo nosso sistema,
medimos o sinal modulado do mesmo, passando através da amostra. Na figura 4.9
vemos que o sinal gerado no fotodetector é uma onda quadrada, indicando que não
houve absorção de luz pela amostra, ou seja, não houve formação de LT.
89
Figura 4.9
– Sinal no detector do laser de prova ao passar pela amostra com uma
concentração de 93,75 µg/cm
3
de BC:AO.
Realizamos o mesmo procedimento para o laser de excitação. Diferentemente
do caso anterior, o sinal detectado (ver figura 4.10), a partir do instante em que o
laser é ligado, é bastante intenso (ponto A) e à medida que o tempo passa, sua
intensidade no detector vai diminuindo (ponto B). Isso acontece porque, neste caso,
a amostra absorve a luz do laser e devido a este aquecimento o índice de refração
vai variando, de maneira a produzir diferenças de fase nas frentes de onda. Como
resultado deste processo, temos uma diminuição deste sinal, o qual é o conhecido
como efeito de LT de feixe único. É importante ressaltar que o ruído no sinal de LT
da figura 4.10 é devido ao próprio laser de excitação utilizado.
90
A
B
Figura 4.10
– Sinal do laser de excitação ao passar pela amostra de concentração
de 93,75 µg/cm
3
de BC:AO.
Os resultados apresentados nas figuras 4.9 e 4.10 indicam que o laser de
prova não induz um efeito de LT observável, mas o laser de excitação sim. Apesar
de termos observado o efeito de LT com um único laser essa o é melhor
configuração utilizada em experimentos de detecção deste efeito [4.3]. Usamos a
configuração de dois lasers com cinturas descasadas, pois esta é a configuração
capaz de observar o efeito de LT da forma mais sensível.
4.5 SINAL DE LT EM FUNÇÃO DA FREQÜÊNCIA DE MODULAÇÃO
Como dissemos anteriormente, o sinal de lente térmica foi obtido com
auxílio da modulação da luz de um laser. Essa modulação é relativamente baixa
(alguns Hertz) e por isso o ideal é que ela seja eletronicamente controlada.
Modulações mecânicas (produzidas por chopper mecânico) geralmente são bastante
instáveis no tempo, para baixas freqüências, gerando uma certa dificuldade para
91
observação do sinal quando usamos o osciloscópio. Optamos por uma modulação
eletrônica que nos garantiu uma instabilidade menor que um centésimo de Hz.
Mesmo assim, precisamos tomar um certo cuidado com essa freqüência. Quando
ela era baixa (de 1 a 5 Hz) a LT se forma e se estabiliza sem problema nenhum. No
entanto, quando aumentamos a freqüência, atinge-se um estado onde o segundo
pulso de calor chega antes que o primeiro tenha se propagado integralmente pela
amostra. A partir daí, se continuamos aumentando a freqüência, temos uma grande
superposição de ondas térmicas que tende a diminuir o sinal alternado formado pelo
conjunto de vários pulsos de LT. Para entendermos melhor faremos uma simulação
onde geraremos o sinal alternado a partir de um simples sinal de LT ver figura 4.11.
Figura 4.11
- Sinal de típico de LT.
A figura 4.12 mostra os dois momentos: o de aquecimento e o de retorno
ao equilíbrio térmico inicial. Denominaremos, aqui, pulso como sendo o período
formado por um aquecimento e um retorno ao equilíbrio térmico.
92
Figura 4.12
- Sinal mostrando a formação da LT (aquecimento) e em seguida o
retorno ao equilíbrio térmico.
Figura 4.13
- Sinal alternado gerado por vários pulsos de LT sucessivos.
Se o tempo entre pulsos sucessivos de calor começar a diminuir, haverá
uma superposição dos pulsos de calor gerado. Veja na simulação apresentada na
figura 4.14 abaixo.
93
Figura 4.14
- Simulação mostrando uma série de pulso de calor com um período
menor que o tempo necessário para o retorno ao equilíbrio térmico de cada pulso.
A figura 4.15 mostra de forma superposta, um primeiro pulso (de cor
verde) com um conjunto de situações onde, cada vez mais, um segundo pulso
chega antes do primeiro pulso ter formado completamente a LT. Assim, podemos ter
as situações numeradas de 1 a 8, onde nesta ordem a freqüência, que modula o
aquecimento, está aumentando. Podemos também observar, nesta simulação, que a
amplitude do sinal alternado por esse conjunto de pulso diminui com o aumento da
freqüência.
94
Figura 4.15
- A linha em verde representa o sinal de LT para um primeiro pulso de
calor. As linhas de 1 à 8 representam o pulso seguinte que pode ser disparado antes
de haver a formação completa do primeiro pulso
Por causa desta dependência entre o sinal e a freqüência, resolvemos
sair da simulação e observar experimentalmente o sinal de LT em função da
freqüência de modulação da luz, usando-se para isso, um multímetro no modo de
sinal alternado.
A figura 4.16 (a) mostra a medida observada no multímetro, em função da
freqüência, a 800 Hz. Vemos que, realmente, a intensidade do laser de prova,
medida pelo detector, cai com o aumento da freqüência e tende a estabilizar-se para
freqüências acima de 200 Hz. Um resultado semelhante a este foi mostrado por M.
Soltanolkotabi e M. H. Naderi [4.4] onde os mesmos observam um decaimento do
sinal de LT com a freqüência. Outra referência, interessante, sobre a dependência
do sinal de LT em função da modulação do laser de excitação pode ser encontrada
no artigo de M. Harada e colaboradores [4.5]. Estes autores também apresentam
uma curva semelhante ao nosso resultado, onde o sinal de LT é mostrado em
95
função da freqüência de modulação do laser, porém em escalas logarítmicas (ver
figura 4.17). Na figura 4.16 (b), apresentamos o mesmo resultado apresentado em
4.16(a) só que em escalas logarítmicas.
Figura 4.16
- (a) Sinal alternado gerado por um conjunto de pulsos de LT sucessivos
em função da freqüência. (b) O mesmo que em (a), porém em escalas logarítmicas.
Figura 4.17
- Dependência do sinal de LT com a freqüência de modulação retirada
da referência [4.5].
0 200 400 600 800
0,0
0,1
0,2
0,3
0,4
0,5
Relação entre a Intensidade
e a frequência do modulação do laser de excitação
Intensidade laser de Prova(V)
Frequência (Hz)
1 10 100 1000
0,01
0,1
Relão entre a Intensidade
e a frequência do modulação do laser de excitação
Intensidade laser de Prova(V)
Frequência (Hz)
(a) (b)
96
Em outros experimentos de fototérmica, como a fotopiroelétrica e a
fotoacústica, é comum se variar à freqüência da luz modulada incidente sobre a
amostra e se detectar a onda térmica produzida (por um sensor piroelétrico ou por
um microfone, respectivamente). A solução da equação da difusão do calor para
estes sistemas, considerando-se as suas particularidades e condições de contorno,
nos leva a uma expressão em que o sinal varia com a freqüência de modulação [4.6-
4.8]. A figura 4.18 mostra a queda do sinal fotoacústico em função da freqüência de
modulação da luz, retirado da referência [4.7].
Figura 4.18
- Sinal fotoacústico em função da modulação da freqüência retirada da
referência [4.7].
Embora as situações de fotoacústica e fotopiroelétrica sejam
geometricamente diferentes, ambas têm em comum o fato de uma parte da amostra
ser aquecida (por absorção de luz) e uma onda térmica se propagar na mesma
formando um perfil de temperatura. Nestes dois casos o sinal pode ser detectado
(geralmente utiliza-se um lock-in) pela alternância das situações ligado e desligado.
Então o que é medido é o sinal alternado gerado pela modulação da luz. No caso da
aquisição do sinal de LT, o que geralmente observamos é o processo de
aquecimento que é medido durante a formação da mesma. Porém, podemos
97
também observar o sinal resultante da modulação da luz que produz no fotodetector
um sinal alternado.
4.6 SINAL DE LT PARA DIFERENTES ESPESSURAS DE CUBETAS
Com o intuito de analisarmos o comportamento do sinal de LT em função
do caminho óptico (CO), fizemos uma cubeta (com lâminas de vidro) de espessura
variável. A figura 4.19 mostra a aquisição do sinal de LT em função do tempo para
diferentes CO percorridos pela luz do laser. Percebemos que à medida com que a
espessura da cubeta diminui, a magnitude do sinal de LT também diminui. Isso se
deve ao fato de que a absorção de luz será tão menor quanto menor for a espessura
da amostra e este comportamento está em comum acordo com a teoria apresentada
no capítulo 2. Calculamos ainda a difusividade térmica e o parâmetro
θ
λ
=
le
p
P AL
dn
k dT
(equação 2.17), através dos ajustes da equação (2.48), para cada curva.
Os sinais de LT apresentados na figura 4.19 (a seguir) foram todos
normalizados pelo valor inicial da intensidade I
0
. Esse procedimento é importante
porque pode eliminar possíveis flutuações do laser e permite uma melhor
comparação entre as curvas obtidas já que todas começam de um mesmo ponto.
98
0 20 40 60 80 100 120 140 160 180
0,2
0,3
0,4
0,5
0,6
0,7
0,8
0,9
1,0
1,1
P
le
= 5,6 mW
8,75 mm
7,90 mm
7,03 mm
6,51 mm
5,69 mm
4,76 mm
3,91 mm
3,25 mm
2,21 mm
1,51 mm
Intensidade Relativa
Tempo(ms)
Figura 4.19
– Sinal de LT para a amostra com a concentração de 1,17 µg/cm
3
de
BC:AO para diferentes caminhos ópticos.
Para cada curva da figura 4.19, com o auxílio da equação (2.13),
calculamos o parâmetro de ajuste D e fizemos um outro gráfico (figura 4.20) que
mostra a variação deste parâmetro em função do caminho óptico. Fazendo a média
dos valores de D, obtidos entre as espessuras 1,51 e 4,76 mm, obtivemos um valor
de (1,49 ± 0,01).10
-3
cm
2
/s. No entanto, para espessuras acima de 4,76 mm, o
comportamento deste parâmetro sofreu grande mudança, assumindo valores entre
2,06.10
-3
e 2,32.10
-3
cm
2
/s. Esse comportamento pode ser explicado pelo fato de
que a partir de uma certa espessura (4,7 mm), a absorção de luz aumenta bastante,
fugindo do comportamento dado pela equação (2.48) que é deduzida usando-se a
aproximação de pequenas absorções. É por este motivo que não estamos nos
referindo, na figura 4.20, a difusividade térmica e sim a um parâmetro de ajuste D.
De acordo com o modelo teórico, podemos dizer que a difusividade térmica da
amostra está entre as espessuras 1,51 e 4,76 mm, e tem um valor de (1,49 ±
0,01).10
-3
cm
2
/s.
99
1 2 3 4 5 6 7 8 9
1,4
1,6
1,8
2,0
2,2
2,4
1,17 µ
µµ
µg/cm
3
P
le
=5,6mW
Pametro de ajuste(10
-3
cm
2
/s)
Espessura da cubeta (mm)
Figura 4.20
– Parâmetro de ajuste com concentração de 1,17 µg/cm
3
de BC:AO em
função de diferentes espessuras da cubeta.
Através do ajuste da equação (2.48) para cada curva da figura 4.19,
obtivemos também os valores de
θ
para as diferentes espessuras. Na figura 4.21,
mostramos a magnitude
θ
do sinal de LT em função das espessuras da cubeta.
Percebemos que
θ
aumenta com a espessura de forma praticamente linear, o que
também está em bom acordo com a equação (2.17). A grandeza
θ
está diretamente
relacionada com a quantidade de luz absorvida, que evidentemente é proporcional à
quantidade de pontos de absorção, isto é, a quantidade de meio absorvedor na
amostra (no caso, o BC). E é fácil concluirmos, através da equação (3.5), que esta
quantidade de luz absorvida será o maior, quanto maior for a espessura da
amostra.
100
1 2 3 4 5 6 7 8 9
0,25
0,30
0,35
0,40
0,45
0,50
0,55
0,60
0,65
Y = a + b X
a = (0,189
±
0,004)
b = (0,0464
±
0,0008)
pontos experimentais
curva de ajuste
θ
θ
θ
θ
Espessura da cubeta (mm)
Figura 4.21
-
θ
em função da espessura da cubeta para a concentração de 1,17
µg/cm
3
de BC:AO.
Do ajuste linear da figura 4.21 obtivemos o coeficiente angular b da curva
de ajuste igual a (0,0464 ± 0,0008) mm
-1
. Através deste coeficiente é possível se
chegar ao valor do dn/dT, uma vez que: P
le
= 5,6 mW e
λ
p
= 630 nm. O valor de A (A
= 0,0025 mm
-1
) foi obtido, a partir da figura 4.1, com o auxílio das equações (3.4) e
(3.5). Já o valor de k (k = 16,72.10
-5
J/mm.s.
o
C) foi retirado da referência [4.9].
Comparando a equação (2.17) com o ajuste linear obtido na figura 4.21, podemos
escrever a seguinte expressão:
le
p
P A
dn
b
k dT
λ
=
Substituindo os valores citados acima, na expressão anterior, obtivemos
um valor para dn/dT de aproximadamente (3,491 ± 0,004).10
-4 o
C
-1
. Esse valor é
muito próximo do valor encontrado quando fizemos a medida do índice de refração
em função da temperatura (ver figura 4.6). Isso nos dá uma boa garantia de validade
desta metodologia para a determinação de dn/dT. O conhecimento deste parâmetro
101
é muito importante, sobretudo, quando estamos aplicando a espectroscopia de LT
no estudo de uma determinada amostra. Vários cientistas desenvolveram diferentes
metodologias para este fim. Aqui, apresentamos uma proposta muito simples que,
no entanto, é limitada a uma situação onde o material estudado deva encontrar-se
em uma cubeta de espessura variável.
4.7 SINAL DE LT PARA DIFERENTES CONCENTRAÇÕES DE BC:AO
A presença do beta-caroteno diluído no ácido oleico é fundamental no
estudo das propriedades ópticas desta mistura porque é exatamente o beta-caroteno
que absorve a luz do laser de excitação neste tipo de amostra, sendo o ácido oleico
praticamente transparente neste comprimento de onda. Exatamente por isso
estudamos o efeito da concentração de beta-caroteno na mistura, nos parâmetros
observados através da técnica de LT. Para esta analise, usamos uma cubeta de
espessura igual a 5 mm. Este valor está aproximadamente dentro do limite de
validade do modelo como vimos na seção anterior. De acordo com a equação (2.17),
quanto maior for o coeficiente de absorção da amostra, maior será o valor de
θ
. A
figura 4.22 mostra várias curvas de lente rmica, normalizadas, obtidas para
diferentes concentrações. Nesta figura percebemos que na medida em que a
concentração de BC (meio absorvedor) em AO aumenta, aumentam as intensidades
das curvas traçadas pelo sinal dependente do tempo e, evidentemente, as mesmas
apresentam uma maior variação em relação ao seu ponto de partida, e, portanto,
uma magnitude
θ
também maior.
102
0 50 100 150 200
0,0
0,2
0,4
0,6
0,8
1,0
93,75 µ
µµ
µg/cm
3
46,87 µ
µµ
µg/cm
3
2,43 µ
µµ
µg/cm
3
1,17 µ
µµ
µg/cm
3
Intensidade Relativa
Tempo (ms)
Figura 4.22
- Sinal de LT em função das diferentes concentrações de BC:AO.
Esse comportamento expressa que o efeito de LT fica mais intenso com a
concentração, no entanto isso é um complicador quando se trata da análise real das
medidas, porque o modelo analítico que apresentamos, no capítulo 2 tem limitações
para grandes absorções, não descrevendo tais situações corretamente. Por isso
temos enfatizado, nos resultados apresentados, uma região onde a absorção é
pequena, a qual é bem descrita pelo modelo, e uma outra região que diverge do
mesmo. Algumas dessas divergências são mais sutis e outras mais evidentes
dependendo do parâmetro observado: espessura, concentração, magnitude,
difusividade térmica, etc. Por exemplo, a figura 4.23 apresenta o parâmetro D, obtido
a partir da figura 4.22, para as diferentes concentrações. Para as duas menores
concentrações, tomando a média dos valores obtidos, o parâmetro D encontra-se
em torno de (1,52 ± 0,01).10
-3
cm
2
/s. para as duas maiores concentrações, o
valor de D aumenta abruptamente, tendendo a uma saturação em torno de (2,04 e
2,19) .10
-3
cm
2
/s. Se compararmos esses dados com os apresentados na figura 4.20
vemos que ambos vão para valores próximos de saturação, o que nos indica a não
validade do modelo para esta situação.
103
0 20 40 60 80 100
1,4
1,6
1,8
2,0
2,2
2,4
Difusividade Térmica (10
-3
cm
2
/s)
Concentração de BC:AO (µ
µµ
µg/cm
3
)
Figura 4.23
– Difusividade térmica em função das diferentes concentrações de
BC:AO.
Podemos concluir desse conjunto de medidas que o aumento da espessura
aumenta a absorção da luz do laser na amostra, chegando a um ponto onde a
quantidade de calor absorvido é suficientemente grande para a não validade do
modelo. Quando variamos a concentração de BC, também aumentamos a absorção
de luz chegando a um ponto onde o modelo também gera valores para o parâmetro
D distorcidos, tendendo para valores superiores 2.10
-3
cm
2
/s. Mais uma vez
devemos enfatizar que o que interessa para a validade do modelo aberrante de LT é
o valor do coeficiente de absorção óptica (A) ser pequeno. Como mostramos no
capítulo 2, a espessura é um problema prático e tem que ser muito menor que Z
c
.
104
4.8 ANÁLISE DA MAGNITUDE DO SINAL DE LT E DA DIFUSIVIDADE
TÉRMICA EM FUNÇÃO DA POTÊNCIA DO LASER DE EXCITAÇÃO
Verificamos também o comportamento dos parâmetros em função da potência
do laser de excitação. Isso porque a potência é um parâmetro que altera a
quantidade de luz absorvida pela amostra, gerando mais ou menos calor no seu
interior, e por conseqüência, produzindo um efeito maior ou menor de LT.
Apresentamos então, nas seções a seguir, os resultados para cada uma das
amostras.
4.8.1 Amostra de concentração 93,75
µ
µµ
µ
g/cm
3
de BC:AO
Na figura 4.24, temos a magnitude do sinal de LT em função da potência do
laser de excitação partindo de aproximadamente 3 mW até 60 mW de potência.
Notamos que para potências inferiores a 5 mW os resultados experimentais
mostram um crescimento de
θ
em função da potência do laser de excitação. (Ver
figura inserida na 4.24 que é uma ampliação da mesma na região de potências 5
mW). Este comportamento também é esperado, pois
θ
depende diretamente da
potência P
le
. Para potências acima de 5 mW, o valor de
θ
se apresenta
aproximadamente constante, flutuando em torno de 1,1. É bom lembrarmos que o
conjunto de pontos relativos às potências mais elevadas, não é bem descritos pelo
modelo teórico, tendendo para uma saturação.
105
Figura 4.24
-
θ
em função da potência do laser de excitação para a amostra com
concentração de 93,75 µg/cm
3
de BC:AO. A figura inserida é uma ampliação na
região de baixa potência.
Para demonstrarmos como o modelo teórico feito por Shen [4.10] não se
adequa para grandes absorções, mostramos na figura 4.25 o sinal obtido para uma
potência de aproximadamente 60 mW. É cil notar como o sinal cai muito
rapidamente em função do tempo. Do ajuste da equação (2.48) obtemos um tempo
característico de formação da LT t
c
= (1,307 ± 0,166) ms que é um tempo muito
pequeno e que resulta num valor de D
=
(6,09 ± 0,7).10
-3
cm
2
/s. Este valor é muito
elevado se comparado com os valores obtidos quando usamos baixas potências.
3,0 3,5 4,0 4,5 5,0 5,5 6,0
0,2
0,4
0,6
0,8
1,0
1,2
Magnitude do sinal de LT (
θ
θ
θ
θ
)
Potência (mW)
0 10 20 30 40 50 60
0,2
0,4
0,6
0,8
1,0
1,2
1,4
93,75
µ
g/cm
3
θ
θ
θ
θ
Potência (mW)
106
0 50 100 150 200 250 300
-0,05
0,00
0,05
0,10
0,15
0,20
0,25
0,30
0,35
I
o
= (0,21±0,01)V
θ
= (1,100,038)
t
c
= (1,300,166)ms
D = (6,09 ± 0,7).10
-3
cm
2
/s
Intensidade (V)
tempo(ms)
Figura 4.25
– Sinal de LT para a amostra de concentração 93,75 µg/cm
3
de BC:AO
onde a potência do laser de excitação foi de 60, 4 mW.
Para este mesmo intervalo de potências, mostramos, na figura 4.26, a
mudança da difusividade térmica em função da potência, calculada para cada valor
de P
le
do ajuste da equação (2.48). Observamos que a difusividade aumenta com a
potência de uma forma estranha e completamente fora da validade do modelo
teórico. A figura interna é uma ampliação na região de pequenas potências.
107
0 10 20 30 40 50 60 70
0
5
10
15
20
25
93,75
µ
µµ
µ
g/cm
3
Difusividade Térmica (10
-3
cm
2
/s)
Poncia (mW)
3,0 3,5 4,0 4,5 5,0 5,5 6,0
1,5
1,6
1,7
1,8
1,9
2,0
2,1
2,2
Difusividade Térmica (10
-3
cm
2
/s)
Poncia (mW)
Figura 4.26
– Difusividade Térmica da amostra com concentração de 93,75 µg/cm
3
de BC:AO em função da potência do laser de excitação. A figura interna é uma
ampliação na região entre 3,1 mW e 6 mW.
Na realidade, o valor da potencia do laser de excitação na amostra pode não
dizer nada sobre as propriedades físicas da amostra. Existem materiais, devido
possuírem coeficientes de absorção óptica muito pequenos, que necessitam ser
iluminados com grandes potências para produzirem o efeito de LT. Em nosso caso,
o sistema BC:AO absorve muita luz na faixa compreendida pelo laser de excitação
(em 473 nm), gerando fortes efeitos de LT para potências relativamente baixas como
3 mW. O importante então, não é o valor de P
le,
é sim a quantidade da potência
incidente que é absorvida pela amostra. A discussão real sobre a influência da
potência na difusividade não é tão simples de ser feita, pois D é uma propriedade do
material estudado e não deveria, em princípio, se modificar com a potência do laser.
Mas isso só é observado para baixas potências. O fato é que o aumento de P
le
eleva
a temperatura de cada ponto absorvedor da amostra que é iluminado pelo laser.
Portanto, quando aumentamos P
le
, implicitamente estamos realizando o experimento
cada vez numa temperatura maior, o que conseqüentemente modifica todos os
parâmetros que dependem de T como o coeficiente de absorção A, a condutividade
108
térmica k e o próprio dn/dT. Concluímos então, que como
θ
depende de todos esses
parâmetros ao mesmo tempo, esta análise não se torna tão trivial, pois não sabemos
como estes parâmetros se modificam com o aumento da temperatura.
Para as outras concentrações fizemos também os mesmos estudos e os
resultados são semelhantes aos apresentados anteriormente nesta seção.
4.8.2 Amostra de concentração 46,87
µ
µµ
µ
g/cm
3
de BC:AO
O comportamento mostrado para a magnitude do sinal de LT em função da
potência do laser de excitação para a amostra com concentração de 46,87µg/cm
3
de
BC:AO é muito semelhante ao mostrado na figura 4.24. Na figura 4.27, mostramos a
mudança de
θ
devido à mudança em P
le
.
Figura 4.27
-
θ
em função da potência do laser de excitação para a concentração de
46,87µg/cm
3
de BC:AO.
0 10 20 30 40 50 60
0,2
0,4
0,6
0,8
1,0
1,2
1,4
46,87
µ
µµ
µ
g/cm
3
θ
θ
θ
θ
Potência (mW)
3,0 3,5 4,0 4,5 5,0 5,5
0,2
0,4
0,6
0,8
1,0
1,2
Magnitude do sinal de LT (
θ
θ
θ
θ
)
Potência (mW)
109
4.8.3 Amostra de concentração 2,43
µ
µµ
µ
g/cm
3
de BC em AO
Figura 4.28
-
θ
em função da potência do laser de excitação para a concentração de
2,43 µg/cm
3
de BC:AO.
0 10 20 30 40 50 60
0,0
0,2
0,4
0,6
0,8
1,0
1,2
1,4
2,43 µ
µµ
µg/cm
3
θ
θ
θ
θ
Potência (mW)
3,0 3,5 4,0 4,5 5,0 5,5
0,0
0,2
0,4
0,6
0,8
1,0
1,2
θ
θ
θ
θ
Potência (mW)
110
4.8.4 Amostra de concentração 1,17
µ
µµ
µ
g/cm
3
de BC em AO
Figura 4.29
-
θ
em função da potência do laser de excitação para uma concentração
de 1,17 µg/cm
3
de BC:AO.
4.9 MEDIDAS DE DIFUSIVIDADE EM TEMPOS CURTOS
Nossas medidas mostram que é possível se obter grandes absorções ópticas
no sistema BC:AO modificando-se a espessura da amostra, a concentração de BC
ou a potência do laser de excitação. No intuito de aproveita as medidas que, em
princípio não são bem descritas pelo modelo Shen [4.10] que considera somente
pequenas absorções, fizemos uma observação levando em consideração a
quantidade de pontos experimentais dentro do intervalo de tempo obtido. Temos na
figura 4.30 um típico sinal de LT em função do tempo. Esse conjunto tem 251 pontos
experimentais, começando no instante t = 0 e terminado no instante t = 250 ms. A
variação de intensidade vai de I
0
= 1,344 V até I
= 0,708 V, o que representa uma
queda de 48% do valor inicial. Fizemos, nesta figura, cortes no tempo de 5 em 5 ms
e ajustamos a equação (2.48) para cada novo banco de dados gerado. É de se
0 10 20 30 40 50 60
0,0
0,2
0,4
0,6
0,8
1,0
1,2
1,4
1,17
µ
µµ
µ
g/cm
3
θ
θ
θ
θ
Poncia (mW)
2,5 3,0 3,5 4,0 4,5 5,0
0,0
0,2
0,4
0,6
0,8
1,0
1,2
θ
θ
θ
θ
Potência(mW)
111
esperar que num intervalo de tempo pequeno, pouca luz tenha sido absorvida pela
amostra, sendo pouco calor gerado na amostra e que, portanto, neste intervalo o
modelo seja válido.
0 50 100 150 200 250
0,7
0,8
0,9
1,0
1,1
1,2
1,3
1,4
I
o
= (1.39 ± 0.002)V
θ
= (0.329 ± 0.0005)
t
c
= (6.385 ± 0.054)ms
D = (1,22 ± 0,01).10
-3
cm
2
/s
Intensidade (V)
Tempo(ms)
Figura 4.30
- Sinal de LT em função do tempo para a concentração de 1,17 µg/cm
3
de BC:AO.
Construímos novos bancos de dados da seguinte forma: o primeiro toma
somente os 5 ms iniciais, o segundo é formado pelos 10 ms iniciais e assim vamos
aumentando sucessivamente de 5 em 5 ms até chegarmos aos 250 ms obtidos no
experimento. Formamos então 46 conjuntos com intervalos de tempos diferentes
partindo sempre do início t = 0. Do ajuste da equação (2.48) para cada novo
conjunto, obtivemos a difusividade térmica e construímos a curva abaixo figura 4.31.
112
50 100 150 200 250
0,5
0,6
0,7
0,8
0,9
1,0
1,1
1,2
1,3
1,4
Difusividade Térmica (10
-3
cm
2
/s)
1,17 µ
µµ
µg/cm
3
Tempo(ms)
Figura 4.31
– Difusividade térmica para a amostra com concentração de 1,17
µg/cm
3
de BC:AO em função dos vários conjuntos de pontos de tempo.
É interessante notar que o valor de D tende a se estabilizar em torno de (1,22
± 0,01).10
-3
cm
2
/s. É importante notar que o sinal num tempo de aproximadamente
100 ms já tendeu para o valor obtido para D na figura 4.30. Aquisições feitas
levando-se em conta um conjunto de dados para intervalos de tempos inferiores a
esse nos levam a um erro, com uma difusividade cada vez menor. Nossa intenção
era usar os dados experimentais somente para intervalos de tempos pequenos (a
partir do inicio do aquecimento), onde a amostra ainda não tivesse absorvido muita
luz para que o modelo de Shen pudesse ser usado. O interesse com isso era
encontrar, portanto, de forma satisfatória o valor de D. Infelizmente não obtivemos
um resultado correto para as amostras estudadas.
113
4.10 OBSERVAÇÃO DE ABSORÇÃO NÃO LINEAR
Embora este trabalho não seja especificamente sobre medidas de absorção
não linear do sistema BC:AO, conseguimos observar esta não-linearidade. Como a
montagem experimental, neste caso, tem uma configuração idêntica à da LT de feixe
único, foi relativamente cil obter a curva de intensidade da luz no fotodetector em
função da posição da amostra. Na figura 4.32 temos uma curva típica onde é dada a
intensidade de transmitida em função da posição da amostra em relação a uma
lente.
0 5 10 15 20 25 30 35 40
0,0
0,3
0,6
0,9
1,2
1,5
1,8
2,1
1,17 µ
µµ
µg/cm
3
Intensidade Transmitida(V)
Posição (cm)
Figura 4.32
– Absorção não linear para a amostra com concentração de 1,17 µg/cm
3
de BC:AO para P
le
60 mW.
Analisando a figura 4.32 vemos que a intensidade no fotodetector diminui
quando a amostra se aproxima do foco da lente. Isso acontece porque a absorção
depende da intensidade da luz que é bem mais intensa no foco da lente (z 22,5
cm). Esse efeito pode ser estudado em trabalho futuro, pois os materiais que o
apresentam têm grandes aplicações em dispositivos ópticos.
114
REFERÊNCIAS
[4.1]. SOFFNER, M.E.
Efeito anômalo nas medidas de lente térmica em vidros
com pontos quânticos de CdTe
, Dissertação de mestrado, Instituto de Física Gleb
Wataghin, UNICAMP, 2005.
[4.2]. SILVA, R.
Estudo das Propriedades Ópticas de Absorção e
Fotoluminescência do Ácido Oleico Dopado com Beta-caroteno
, Dissertação de
mestrado, DF/UFPA, Belém (PA), 2004.
[4.3] SHEN, J.; LOWE, R.D.; SNOOK, R.D.
A model for cw laser induced mode-
mismatched dual-beam thermal lens spectrometry, Chemical Physics
, Volume
165, Issues 2-3, Pages 385-396, 15 September 1992.
[4.4] SOLTANOLKOTABI, M.; NADERI, M. H.
Three dimensional photothermal
deflection and thermal lensing in solids: The effect of modulation
frequency
, Japanese journal of applied physics part 1-regular papers short notes &
review papers 43 (2): 611-620 feb 2004.
[4.5] HARADA, M.; SHIBATA, M.; KITAMORI, T.; et al.
Application of coaxial beam
photothermal microscopy to the analysis of a single biological cell in
water
, Analytica Chimica Acta 299 (3): 343-347, 1995.
[4.6] MANDELIS A.; ZVER M.M.
Theory of photopyroelectric spectroscopy of
solids
, Journal of Applied Physics 57 (9): 4421-4430, 1985.
[4.7] FERNELIUS, N.C.
Photoacoustic signal variations with chopping
frequency for znse laser windows
, Journal of Applied Physics 51 (3): 1756-1767,
1980.
[4.8] ROSENCWAIG, A.; GERSHO, A.
Theory of photoacoustic effect with
solids
, Journal of Applied Physics 47 (1): 64-69, 1976.
[4.9] DADARLAT, D.; BICANIC, D.; GIBKES J.; et al.
Study of melting processes
in fatty acids and oils mixtures. A comparison of photopyroelectric (PPE) and
differential scanning calorimetry (DSC)
, Chemistry and Physics of Lipids 82 (1):
15-23, 1996.
115
[4.10]. SHEN, J., LOWE, R.D., SNOOK, R.D.,
A model for cw laser-induced mode-
mismatched dual-beam thermal lens spectrometry, Chemical Physics
, v.165 (2-
3), p.385-396, 1992.
116
CAPÍTULO 5
Conclusões e Perspectivas Futuras
Nessa dissertação, nosso interesse geral foi estudar a teoria de difusão
do calor aplicada ao efeito de Lente Térmica, mas principalmente, queríamos
implantar a técnica de LT no Laboratório de Física de Matérias da Amazônia da
Universidade Federal do Pará, para a mesma se somar ao conjunto de outras
técnicas utilizadas pelo grupo, e auxiliar seus integrantes na investigação das
propriedades ópticas e térmicas dos óleos vegetais da Amazônia e outros materiais.
Este aspecto tem uma importância muito grande porque extrapola o próprio
Laboratório de Física, pois a cnica aqui implantada poderá ser de grande utilidade
para diferentes grupos de pesquisas existente nesta região em todas as área que
hoje usam essa técnica (química, biologia, geofísica, farmácia, engenharia de uma
forma geral, etc)
Apesar das amostras por s utilizadas apresentarem uma grande
absorção para pequenas concentrações de BC:AO, foi possível conhecer e medir
vários parâmetros térmicos do sistema que de forma inédita ampliam o
conhecimento dessa mistura para um melhor entendimento científico da mesma.
Esse conhecimento é muito importante e pode dar subsídios para o entendimento de
muitas outras propriedades.
117
Apesar de algumas dificuldades (obter um bom alinhamento óptico,
flutuações do laser, amostras muito absorvedoras), foi possível encontrar uma
situação de espessura e concentração onde a difusividade térmica foi praticamente
constante e obtivemos um valor de (1,49 ± 0,01).10
-3
cm
2
/s para a amostra com
concentração de 1,17 µg/cm
3
de BC:AO. Como não encontramos na literatura
nenhuma referência sobre a difusividade térmica nesta mistura, ficou difícil de
fazermos uma comparação, mas a difusividade térmica do ácido oleico puro é,
acordo com a referência [5.1], muito próxima desse valor.
Mostramos também a influência exercida pela freqüência de modulação
do laser de excitação no sinal de LT, onde vimos que o sinal de LT tende a diminuir
à medida que a freqüência de modulação aumenta, possuindo uma certa
similaridade com outras técnicas fototérmicas que utilizam exatamente esse recurso
para medir a difusividade térmica. No entanto, é preciso avançar num modelo teórico
analítico para descrever essa diminuição do sinal no caso da LT.
Além disso, pudemos investigar a validade do modelo de LT aberrante
para o sistema BC:AO em função do caminho óptico. Encontrar uma relação de
linearidade entre a magnitude θ e a espessura da amostra, o que é previsto no
modelo teórico. Esta simples metodologia nos possibilitou medir o parâmetro dn/dT,
o qual é muito importante para a caracterização térmica de qualquer amostra.
Obtivemos um valor de dn/dT = (3,491 ± 0,004).10
-4 o
C
-1
para a amostra com
concentração de 1,17 µg/cm
3
de BC:AO, sendo este valor de bom acordo com o
medido através da técnica descrita na seção 3.3 deste trabalho.
E finalmente, fizemos uma análise onde cortamos os pontos
experimentais de um banco de dados (intensidade versus tempo) de 5 em 5 ms e
mostramos o gráfico do valor de D correspondente a cada grupo. Vimos que, a partir
de um certo tempo, o valor de D tornou-se praticamente constante e ficou em torno
de 1,22.10
-3
cm
2
/s. Esta é uma verificação muito importante, pois ela pode nos dizer
a partir de qual momento o ajuste da equação (2.48) poderia torna-se válido (para a
situação apresentada no capitulo 4, a partir de 100 ms o valor de D não sofre mais
grandes alterações) não havendo, portanto, a necessidade de se obter sinais de LT
somente para freqüências baixas de modulação do laser de excitação.
Destaca-se também a importância deste trabalho a nível pessoal,
principalmente em dois aspectos. Para poder desenvolvê-lo tive que estudar
118
bastante toda a teoria da solução da equação da difusão do calor aplicada
especificamente ao caso de lente térmica. Também tive que aprender a manipular o
software Maple 9.5 para fazer algumas simulações de algumas das equações que
regem o modelo teórico de LT e assim expressar os resultados que apresentados no
capítulo 4. Esse aprendizado foi realmente muito importante devido a possível
aplicação em outros sistemas semelhantes que possam envolver soluções
numéricas de equações diferenciais com uma certa complexidade devido à presença
de integrais o triviais. O outro aspecto importante, mas ainda a nível pessoal foi a
independência adquirida para a realização do experimento de LT, técnica essa
capaz de medir a difusividade rmica de diferentes materiais sólidos e líquidos
como enfatizou-se nesta dissertação. Esse conhecimento adquirido, sobretudo a
nível experimental, envolveu o manuseio de vários equipamentos (lasers,
fotodetectores, osciloscópio digital, software de controle e aquisição de dados,
moduladores, etc).
Muitos trabalhos futuros, que foram despertados por este, poderão ser
feitos, tais como:
a) Estudar, usando-se a técnica de LT, outros sistemas orgânicos
inserindo mais componentes cido linoleico, ácido esteárico, ácido linolênico,
clorofila, as antocianinas) para tentar reproduzir a formação de um óleo vegetal e
assim entender a participação de cada componente nas propriedades térmicas;
b) Desenvolver um modelo teórico para descrever o comportamento do
sinal de LT em função da freqüência de modulação do laser de excitação;
c) Estudar com a cnica de LT as propriedades do sistema BC:AO em
função da temperatura e pressão;
d) Estudar com detalhes o efeito de absorção não linear exibido pelo
sistema BC:AO;
e) Fazer um estudo sobre o índice de refração não linear da mistura
BC:AO.
119
REFERÊNCIAS
[5.1]. DADARLAT D.; VISSER H.; BICANIC D.
An improved inverse
photopyroelectric cell for measurement of thermal effusivity - application to
fatty-acids and triglycerides measurement
SCIENCE & TECHNOLOGY 6 (8):
1215-1219, 1995.
Livros Grátis
( http://www.livrosgratis.com.br )
Milhares de Livros para Download:
Baixar livros de Administração
Baixar livros de Agronomia
Baixar livros de Arquitetura
Baixar livros de Artes
Baixar livros de Astronomia
Baixar livros de Biologia Geral
Baixar livros de Ciência da Computação
Baixar livros de Ciência da Informação
Baixar livros de Ciência Política
Baixar livros de Ciências da Saúde
Baixar livros de Comunicação
Baixar livros do Conselho Nacional de Educação - CNE
Baixar livros de Defesa civil
Baixar livros de Direito
Baixar livros de Direitos humanos
Baixar livros de Economia
Baixar livros de Economia Doméstica
Baixar livros de Educação
Baixar livros de Educação - Trânsito
Baixar livros de Educação Física
Baixar livros de Engenharia Aeroespacial
Baixar livros de Farmácia
Baixar livros de Filosofia
Baixar livros de Física
Baixar livros de Geociências
Baixar livros de Geografia
Baixar livros de História
Baixar livros de Línguas
Baixar livros de Literatura
Baixar livros de Literatura de Cordel
Baixar livros de Literatura Infantil
Baixar livros de Matemática
Baixar livros de Medicina
Baixar livros de Medicina Veterinária
Baixar livros de Meio Ambiente
Baixar livros de Meteorologia
Baixar Monografias e TCC
Baixar livros Multidisciplinar
Baixar livros de Música
Baixar livros de Psicologia
Baixar livros de Química
Baixar livros de Saúde Coletiva
Baixar livros de Serviço Social
Baixar livros de Sociologia
Baixar livros de Teologia
Baixar livros de Trabalho
Baixar livros de Turismo