Download PDF
ads:
COSMOLOGIA NA TEORIA DE VISSER
arcio Eduardo da Silva Alves
Disserta¸ao de Mestrado em Astrof´ısica,
orientada p elo Dr. Oswaldo Duarte Miranda e Dr. Jos´e Carlos Neves de Araujo.
INPE
ao Jos´e dos Campos
Agosto, 2006
ads:
Livros Grátis
http://www.livrosgratis.com.br
Milhares de livros grátis para download.
XXX.XX.XX.XX(XX.XX)
ALVES, M. E. S.
Cosmologia na Teoria de Visser / M. E. S. Alves.
ao Jos´e dos Campos: INPE, Agosto, 2006.
XXp. (INPE-XXXX-TDI/XXX).
1. Cosmologia. 2. Energia Escura. 3. Gr´avitons
Massivos. 4. Teoria Alternativa de Gravita¸ao.
ads:
Aprovada pela Banca Examinadora
em cumprimento a requisito exigido
para a obten¸ao do T´ıtulo de Mes-
trado em Astrof´ısica.
Dr. Carlos Alexandre Wuensche de Souza
Presidente
Dr. Oswaldo Duarte Miranda
Orientador
Dr. Jos´e Carlos Neves de Araujo
Orientador
Dr. Jorge Ernesto Horvath
Membro da Banca
Candidato: arcio Eduardo da Silva Alves
ao Jos´e dos Campos, 30 de Agosto de 2006.
Aos meus pais.
AGRADECIMENTOS
Agrade¸co aos meus pais, sem os quais jamais teria chegado onde cheguei.
Agrade¸co `a Dani, a pessoa mais maravilhosa e o cora¸ao mais puro que a conheci, por
suportar minhas ausˆencias, pela paciˆencia, compreens˜ao, amor, apoio e al´em de tudo
isso, por me auxiliar em meu crescimento individual como ningu´em jamais havia feito.
Agrade¸co ao Oswaldo e Jos´e Carlos, pesquisadores brilhantes que al´em de professores e
orientadores, foram amigos com os quais sempre pude contar e que depositaram em mim
uma confian¸ca fora do comum.
Agrade¸co ao C´esar, meu companheiro de sala, por sua grande amizade (praticamente
irmandade), pela pasciˆencia com que sempre atendeu todas as minhas d´uvidas (que ao
foram poucas) e aos aux´ılios t´ecnicos que me forneceu in´umeras vezes.
Agrade¸co `a todos os amigos incr´ıveis que fiz em Rio Claro, os quais, atrav´es de nossas
conversas e discuss˜oes, possibilitaram ao o minha inicia¸ao no mundo do pensamento
cient´ıfico e filos´ofico, mas tamb´em me acolheram de tal forma que juntos, passamos a
formar uma verdadeira fam´ılia.
Agrade¸co ao Tiago e ao Lucas, que como meus amigos de infˆancia sempre estiverem
comigo em certo sentido.
Agrade¸co ao C´esar Lenzi e sua ae, pela hospitalidade e amizade que me permitiu iniciar
uma nova vida em ao Jos´e dos Campos.
Agrade¸co a todos os novos amigos que fiz na Divis˜ao de Astrof´ısica, pessoas fascinantes
que sempre me incentivaram e que me acolheram alegremente ao seu conv´ıvio.
Agrade¸co `a Marina, pelas diversas noites de estudo, nas quais compartilhamos tamb´em
nossas frustra¸oes e realiza¸oes (al´em de cachorro quente), ao abio, pelo incentivo e
inconaveis caronas e `a Clara que, de certa forma, esteve conosco desde o in´ıcio da
jornada.
Agrade¸co ao Mauro, que apesar de ir al´em do que eu poderia ir, me deu incentivo para
continuar buscando a essˆencia de todas as coisas.
Agrade¸co `a Valdirene e `a Nilda, nossas secret´arias, pela simpatia e eficiˆencia fora do
comum com as quais sempre atenderam minhas solicita¸oes.
Agrade¸co aos membros dessa banca, pela paciˆencia e aten¸ao que prestaram ao meu
trabalho nesse momento de grande importˆancia em minha vida.
Agrade¸co a todas as pessoas que ao foram mensionadas aqui, mas que, de alguma forma,
deram sua contribui¸ao para este trabalho.
Agrade¸co `a CAPES, a agˆencia que financiou esse projeto, sem a qual o trabalho seria
inviabilizado.
RESUMO
O advento da cosmologia observacional tem nos levado `a conclus˜ao de que apenas 4 %
do Universo ´e constitu´ıdo pela mat´eria conhecida (b´arions). Por outro lado 23 % corres-
pondem `a mat´eria escura ao bariˆonica, enquanto o dom´ınio da dinˆamica osmica foi
legado `a, assim chamada, energia escura (geralmente considerada um tipo de fluido),
correspondendo a 73 % da densidade de energia de todo o cosmos. Nos ´ultimos anos,
surgiram muitas propostas para tal fluido, paralelamente desenvolvem-se teorias de gra-
vita¸ao alternativas `a Relatividade Geral (RG) no intuito de nos levar a uma melhor
compreens˜ao das leis f´ısicas. No presente trabalho revisamos fluidos que nos permitem
obter modelos com expans˜ao acelerada atrav´es da parametriza¸ao de suas equa¸oes de
estado, onde a constante cosmol´ogica ´e um caso particular. A seguir apresentamos as ba-
ses da teoria de gravita¸ao de M. Visser, uma teoria alternativa que admite a hip´otese de
gr´avitons massivos em contraponto `a RG. Em sua teoria, Visser acrescenta uma etrica
de fundo ao dinˆamica que entra na constru¸ao do tensor respons´avel pela inser¸ao da
massa do gr´aviton. No limite ao relativ´ıstico, o potencial ao ´e mais Newtoniano, mas
sim do tipo Yukawa. Estudos do movimento planet´ario no sistema solar, utilizando um
potencial desse tipo, nos levam ao limite m
g
< 10
54
g. No regime radiativo, gr´avitons
massivos implicam na dispers˜ao das ondas gravitacionais e surgem estados de polariza¸ao
adicionais que ao encontramos na RG. Dessa forma, as futuras detec¸oes da radia¸ao
gravitacional constituem-se novos testes para a RG e teorias alternativas. Nossas an´ali-
ses nos mostram a possibilidade de impor limites para a massa do gr´aviton atrav´es do
modelo cosmol´ogico resultante dessa teoria bim´etrica que estejam em concordˆancia com
os dados observacionais. Mesmo com um gr´aviton com massa aparentemente desprez´ıvel,
nosso intuito ´e mostrar que a teoria pode nos levar a um modelo cosmol´ogico consistente
que explique os atuais dados observacionais sem a necessidade de energia (e talvez de
mat´eria) escura.
COSMOLOGY FROM THE VISSER’S THEORY
ABSTRACT
The advent of observational cosmology has led us to conclude that only 4 % of whole
Universe is composed by known matter (baryons). On the other hand 23 % comes from a
kind of non barionic dark matter. Moreover the cosmic dynamics is almost fully domina-
ted by the so called dark energy (usually considered a kind of fluid), which corresponds
to 73 % of the energy density of the cosmos. In the last years, a lot of proposals ari-
ses in order to explain such a fluid, while many alternative gravitational theories have
been developed aiming to lead us to know more about the physics laws. In this work we
review a parametric equation of state of such fluids, which imply on models with acce-
lerated expansion where the cosmological constant is a particular case. We then present
the gravitational theory proposed by M. Visser. Such alternative theory assumes that
the graviton is massive. In his theory, Visser uses a non-dynamic background metric in
order to construct a tensor, which is necessary to take in account a massive graviton. In
the non-relativistic limit, the potential is non-Newtonian, it is instead Yukawian. Some
studies about orbital motions in the solar system (using this kind of potential) give an
upper limit to the graviton mass of m
g
< 10
54
g. Under the radiative regime, massive
gravitons produce dispersive gravitational waves and introduce new polarization states
which are not found in the GR. So, future detections of gravitational radiation will offer
new tests to GR and to the alternative theories of gravity. In particular, our results show
the possibility to constrain the graviton mass through a cosmological model that results
from this bimetric theory. Although the graviton has an apparently negligible mass, our
aim is to show that the theory may lead us to a consistent cosmological model, which
explains the current observational data without dark energy (and maybe without dark
matter).
Perceber o quanto somos pequenos pode ajudar a nos libertar da arroancia, o pecado
que persegue os cientistas.
(Freeman Dyson)
SUM
´
ARIO
ag.
LISTA DE FIGURAS
CAP
´
ITULO 1 INTRODU ¸C
˜
AO 17
CAP
´
ITULO 2 O ANTIGO E O NOVO CEN
´
ARIO COSMOL
´
OGICO 23
2.1. Uma Pequena Revis˜ao da Relatividade Geral . . . . . . . . . . . . . . . . . . 23
2.2. O modelo FRW . . . . . . . . . . . . . . . . . . . . . . . . . . . . . . . . . . 25
2.3. O Universo Acelerado e a Constante Cosmol´ogica . . . . . . . . . . . . . . . 29
2.4. Parametrizando a Energia Escura . . . . . . . . . . . . . . . . . . . . . . . . 32
2.5. O que ´e a Energia Escura? . . . . . . . . . . . . . . . . . . . . . . . . . . . . 34
CAP
´
ITULO 3 TEORIA DE GRAVITA ¸C
˜
AO E GR
´
AVITONS MAS-
SIVOS 37
3.1. Massa para o Gr´aviton? . . . . . . . . . . . . . . . . . . . . . . . . . . . . . 37
3.2. A aproxima¸ao linear e o termo de massa . . . . . . . . . . . . . . . . . . . . 40
3.3. Equa¸oes de movimento no limite ao relativ´ıstico . . . . . . . . . . . . . . . 42
3.4. A Teoria de Gravita¸ao de Visser . . . . . . . . . . . . . . . . . . . . . . . . 44
3.5. Sobre a Escolha de Uma etrica de Fundo . . . . . . . . . . . . . . . . . . . 46
3.6. Sobre as Equa¸oes de Movimento . . . . . . . . . . . . . . . . . . . . . . . . 47
CAP
´
ITULO 4 IMPLICA ¸C
˜
OES COSMOL
´
OGICAS DA TEORIA DE
VISSER 51
4.1. Sobre as Densidades de Energia . . . . . . . . . . . . . . . . . . . . . . . . . 51
4.2. Da Dinˆamica do Universo . . . . . . . . . . . . . . . . . . . . . . . . . . . . 55
4.3. O Universo Observ´avel e a Massa do Gr´aviton . . . . . . . . . . . . . . . . . 56
4.4. A Idade do Universo . . . . . . . . . . . . . . . . . . . . . . . . . . . . . . . 58
4.5. O Passado e o Futuro . . . . . . . . . . . . . . . . . . . . . . . . . . . . . . . 60
4.6. Universo Acelerado? . . . . . . . . . . . . . . . . . . . . . . . . . . . . . . . 63
CAP
´
ITULO 5 TESTANDO O MODELO 67
5.1. O Redshift . . . . . . . . . . . . . . . . . . . . . . . . . . . . . . . . . . . . . 67
5.2. Uma Defini¸ao Cosmol´ogica de Distˆancia . . . . . . . . . . . . . . . . . . . . 68
5.3. A Distˆancia de Luminosidade e a Massa do Gr´aviton . . . . . . . . . . . . . 71
5.4. As Supernovas Tipo Ia . . . . . . . . . . . . . . . . . . . . . . . . . . . . . . 74
CAP
´
ITULO 6 CONCLUS
˜
AO 81
REFER
ˆ
ENCIAS BIBLIOGR
´
AFICAS 85
LISTA DE FIGURAS
ag.
2.1 Evolu¸ao dos parˆametros de densidade no modelo ΛCDM. . . . . . . . . . . 31
2.2 Evolu¸ao do parˆametro de desacelera¸ao no modelo XCDM. . . . . . . . . . 33
2.3 Evolu¸ao do parˆametro de Hubble no modelo XCDM. . . . . . . . . . . . . . 34
2.4 Rela¸ao entre a idade do Unvierso e o parˆametro de estado ω
x
. . . . . . . . 35
3.1 Decaimento orbital do pulsar bin´ario PSR B1913+16 . . . . . . . . . . . . . 38
3.2 Os seis modos de polariza¸ao de ondas gravitacionais permitidos em qualquer
teoria m´etrica de gravita¸ao . . . . . . . . . . . . . . . . . . . . . . . . . . . 39
4.1 Evolu¸ao dos parˆametros de densidade no modelo massivo. . . . . . . . . . . 54
4.2 Rela¸ao dentre a idade do Universo e a massa do gr´aviton. . . . . . . . . . . 59
4.3 Evolu¸ao do fator de escala normalizado . . . . . . . . . . . . . . . . . . . . 61
4.4 Rela¸ao entre o tempo de vida do Universo com a massa do gr´aviton. . . . . 61
4.5 Evolu¸ao do parˆametro de Hubble no modelo massivo para diferentes valores
de
A
m
. . . . . . . . . . . . . . . . . . . . . . . . . . . . . . . . . . . . . . . 62
4.6 Evolu¸ao do parˆametro de Hubble para diferentes valores de m
g
. . . . . . . . 63
4.7 Evolu¸ao do parˆametro de desacelera¸ao no modelo massivo para diferentes
valores de
A
m
. . . . . . . . . . . . . . . . . . . . . . . . . . . . . . . . . . . 64
4.8 Evolu¸ao do parˆametro de desacelera¸ao para diferentes valores de m
g
. . . . 65
4.9 Rela¸ao entre o valor atual do parˆametro de desacelera¸ao, a massa do gr´a-
viton e
A
m
. . . . . . . . . . . . . . . . . . . . . . . . . . . . . . . . . . . . . 66
5.1 Definindo distˆancia de luminosidade . . . . . . . . . . . . . . . . . . . . . . . 70
5.2 Distˆancia de luminosidade para o modelo massivo, ΛCDM, mat´eria dominante
e de Sitter. . . . . . . . . . . . . . . . . . . . . . . . . . . . . . . . . . . . . 73
5.3 Distˆancia de luminosidade para diferentes combina¸oes dos parˆametros
0
m
e
m
g
comparadas com o modelo ΛCDM
. . . . . . . . . . . . . . . . . . . . . 74
5.4 Compara¸ao entre as distˆancias de luminosidade calculadas no modelo mas-
sivo e no modelo ΛCDM . . . . . . . . . . . . . . . . . . . . . . . . . . . . . 75
5.5 Compara¸ao espectral entre duas supernovas tipo Ia em diferentes redshifts . 76
5.6 Melhor ajuste dos dados das Supernovas Ia com o odulo de distˆancia no
modelo Λ-CDM . . . . . . . . . . . . . . . . . . . . . . . . . . . . . . . . . . 77
5.7 Compara¸ao dos dados das Sup ernovas Ia com o odulo de distˆancia no
modelo massivo . . . . . . . . . . . . . . . . . . . . . . . . . . . . . . . . . . 78
CAP
´
ITULO 1
INTRODU ¸C
˜
AO
O passado sempre influencia o presente. Quando olhamos para o eu noturno, o que
vemos ao estrelas que, muitas vezes, sequer existem mais. Isso se deve a um simples,
por´em fundamental, princ´ıpio. A informa¸ao tem velocidade finita de propaga¸ao. E a
axima velocidade permitida pela natureza ´e c, a velocidade da luz. Enao, a luz das
estrelas que vemos hoje as deixaram a muito tempo atr´as.
Mas o mais curioso ´e que essa velocidade axima ´e a mesma para qualquer observador!
Quer eles estejam em movimento relativo ou ao. Isto implica, entre outras coisas, que
a velo cidade da luz ´e a mesma em qualquer referencial. Esse ´e o alicerce da relatividade
restrita publicada por Einstein em 1905.
Por que a relatividade restrita ´e restrita? Porque ela ao leva em conta a ao de cam-
pos gravitacionais, sendo alida apenas para os casos nos quais eles ao ao relevantes.
Como construir uma teoria que leve em conta a gravidade e a velocidade axima de
informa¸ao? Einstein deu a resposta 10 anos depois.
Uma das quest˜oes mais fundamentais para a constru¸ao de uma teoria geral da relati-
vidade ´e: o que sentir´ıamos se estiv´essemos, por exemplo, num elevador em queda livre
sob a ao de um camp o gravitacional uniforme? A resposta ´e nada. Um observador
em queda livre ao sente a ao do campo gravitacional que age sobre ele. Enao, ao
existir˜ao experimento locais que permitam esse observador disting
¨
uir-se de outro que ao
sofra a ao de campos gravitacionais. Os dois ao equivalentes. E aqui se inicia toda a
jornada intelectual que levou Einstein `a cria¸ao de uma teoria relativ´ıstica de gravita¸ao
descrita numa linguagem geom´etrica.
Ap´os a relatividade geral (doravante denominada RG) a cosmologia nunca mais foi a
mesma.
O pr´oprio Einstein iniciou o estudo do Universo em grandes escalas atrav´es de suas equa-
¸oes de campo. Mas ele tinha uma cren¸ca, o Universo deveria ser est´atico. As equa¸oes de
campo ao diziam isso, elas eram despidas de consistˆencia f´ısica quando o Universo es-
atico era assumido a priori. Para tornar seu modelo condizente com sua vis˜ao, Einstein
adicionou uma constante em suas equa¸oes de campo, uma nova constante da natureza
segundo ele, que ao abalava nenhum fundamento da teoria. Esta era a constante cos-
mol´ogica, que tornava o Universo est´atico, com curvatura positiva e portanto finito.
Alguns anos depois, Edwin Hubble revolucionava a cosmologia por outra via: a observa-
cional. Hubble foi capaz, pela primeira vez, de medir grandes distˆancias com consider´avel
precis˜ao. Confirmou que as supostas nebulosas estavam, na realidade, fora de nossa ga-
axia e mais, eram gal´axias semelhantes `a nossa. Al´em disso, descobriu que as linhas
17
espectrais desses objetos estavam deslocadas para o vermelho. A magnitude desses des-
locamentos o podia ser explicada se essas gal´axias estivessem se afastando da nossa.
Estava descoberta a expans˜ao do Universo.
Ap´os esse fato, Einstein recomendou que a constante cosmol´ogica fosse retirada de suas
equa¸oes de campo, pois ela a ao fazia mais sentido.
A busca, agora, era por encontrar o modelo cosmol´ogico mais adequado que explicasse a
expans˜ao, origem e destino do Universo. E a RG era a melhor alternativa para se fazer
isso, pois era a teoria de gravita¸ao que fornecia os resultados mais condizentes com as
observoes, como as medidas de desvio da luz por corpos massivos, o avan¸co do perih´elio
de Merc´urio, o redshift gravitacional entre outros testes que, cada vez mais precisos, em
consolidado, at´e os dias de hoje, o sucesso da RG perante outras teorias de gravita¸ao.
Nesse contexto, desenvolveu-se um modelo simples, considerado o mais adequado. Era o
modelo de Alexander Friedmann, o qual associava a evolu¸ao da expans˜ao com a curva-
tura espacial. Em seu modelo, ao importando a curvatura, a expans˜ao sempre se daria
de forma desacelerada.
Dando um salto na hist´oria, em 1965 Arno Penzias e Robert W. Wilson dos laborat´orios
da Bell Telephone, uma empresa de telecomunica¸oes de Nova Jersey, estavam traba-
lhando num radiˆometro. Havia um ru´ıdo em seus equipamentos que eles ao podiam
identificar a origem. Esse ru´ıdo correspondia a uma temperatura de aproximadamente
3 K. ao muito longe dali, Robert Dicke, Jim Peebles e David Wilkinson estavam pla-
nejando medir o fundo de radia¸ao em microondas conforme havia sido previsto por
Gamow e colaboradores no final dos anos 1940. Se o Universo est´a em expans˜ao, no
passado a densidade e a temperatura ao maiores. Em alguma ´epoca, mat´eria e radia-
¸ao estavam acopladas em equil´ıbrio t´ermico. Com a expans˜ao, num dado momento, a
radia¸ao desacopla da mat´eria e espalha-se livremente. A radia¸ao osmica de fundo ´e
o res´ıduo desta ´epoca, e o modelo de Friedmann estava de acordo com essa id´eia. Em
1978, Penzias e Wilson ao agraciados com o Prˆemio Nob el pela descoberta da radia¸ao
osmica de fundo em microondas (RCF).
Para evitar a absor¸ao atmosf´erica, a melhor maneira de se medir a CMB ´e atrav´es de
sat´elites. Com esse intuito, em 1989, a agˆencia espacial americana (NASA) colocou em
´orbita o sat´elite COBE (Cosmic Background Explorer ). Em 1992, um grupo de cien-
tistas americanos anunciou que haviam sido encontradas as sementes primordiais das
estruturas de mat´eria, as anisotropias na CMB haviam sido identificadas nos dados do
COBE. Com os dados do COBE mostrou-se que a CMB era a uma radia¸ao de corpo
negro de 2,726 K. Verificou tamb´em que essas anisotropias correspondem a desvios na
temperatura de T/T 10
5
[1].
O estudo da CMB tornou-se uma nova e rica ´area dentro da cosmologia. Em 2001, o su-
18
cessor do sat´elite COBE foi lan¸cado, em homenagem a David Wilkinson ele foi nomeado
WMAP (Wilkinson Microwave Anisotropy Probe). Sua alta resolu¸ao angular permitiu
medir com precis˜ao as anisotropias na CMB, obtendo novos e interessantes resultados.
Confrontando as medidas do sat´elite WMAP com o modelo cosmol´ogico de Friedmann,
confirmou-se que o Universo ´e, com boa aproxima¸ao, plano. Resultado esse que a havia
sido encontrado por experimentos precedentes. Al´em disso, a mat´eria total do Universo
deve corresponder a cerca de 27 %, enquanto a mat´eria bariˆonica que comp˜oe tudo o que
conhecemos corresponde a apenas 4 %! Os 23 % de diferen¸ca devem corresponder a um
tipo de mat´eria desconhecida que tem sido chamada de mat´eria escura. Mas e os 73 %
restantes da energia do Universo? A partir do modelo de Friedmann o a uma forma de
responder a essa pergunta, ´e necess´ario acrescentar um fluido nas equa¸oes dinˆamicas. A
maneira mais simples de se fazer isso ´e “ressuscitar” a constante cosmol´ogica, a mesma
repudiada por Einstein, por´em sem a premissa de um Universo est´atico.
Mas essa ao era a ´unica evidˆencia da existˆencia de um fluido adicional. Em 1999 grupos
de astrof´ısicos interessados em testar as teorias cosmol´ogicas tinham observado a reces-
ao de Supernovas do Tipo Ia [2] que, por serem eventos que apresentam luminosidade
intr´ınseca aproximadamente uniforme, nos fornecem um padr˜ao de luminosidade permi-
tindo assim a obten¸ao de medidas diretas da expans˜ao do Universo, constituindo uma
´otima forma de testar nossos modelos cosmol´ogicos. Quando observadas a alto redshift
trouxeram a tona a informa¸ao de que o Universo expande-se aceleradamente no tempo
presente. E para explicar esse efeito, o modelo mais adequado, surpreendemente, era o
mesmo que emergiria dos dados do WMAP alguns anos depois.
Um novo e revolucion´ario cen´ario cosmol´ogico tomou lugar no meio cient´ıfico, o modelo
ΛCDM, ou seja, um modelo com constante cosmol´ogica e mat´eria escura fria.
Por´em, se a constante cosmol´ogica for uma realidade, ela deve estar associada `a energia
do acuo e portanto deve ser poss´ıvel estimar seu valor no contexto da mecˆanica quˆan-
tica. No entanto, o alculo nos leva a uma discrepˆancia de 120 ordens de grandeza maior
do que o valor observado. Algo inaceit´avel no que diz respeito `a consistˆencia das leis
f´ısicas.
Desde a constata¸ao de um Universo em expans˜ao acelerada muitas em sido as sugest˜oes
para candidatos `a “Energia Escura”, como tem sido denominado esse fluido desconhecido.
Al´em da constante cosmol´ogica, que apresenta densidade de energia constante ao longo
do tempo, surgiram propostas de fluidos com diferentes equa¸oes de estado e dos mais
variados comportamentos. Um dos candidatos muito explorados pela literatura ´e o as
de Chapligyn [3], um flu´ıdo que apresenta uma equa¸ao de estado ex´otica que implica
num comportamento dual, numa fase da evolu¸ao do Universo o fluido se comporta como
mat´eria escura e em outra como energia escura. Outra possibilidade ´e um acuo dinˆamico
19
ou quintessˆencia [4, 5].
De qualquer forma, a energia e a mat´eria escura ao problemas abertos. ao a, at´e o
momento, um modelo completo e satisfat´orio capaz de dar conta de todos os observ´aveis
cosmol´ogicos e, ao mesmo tempo, possuir a consistˆencia f´ısica requerida.
Todos esses fatos podem nos sucitar uma quest˜ao: a RG ´e, realmente, a teoria f´ısica que
melhor descreve os efeitos da gravidade? E se existir uma teoria que e conta de todos
os testes da RG, mas que apresente diferen¸cas significativas em grandes escalas?
Estas, sem d´uvida, ao quest˜oes que ao po dem ser ignoradas.
Por exemplo, a teoria de Einstein admite que o campo gravitacional possui alcance in-
finito. Ser´a uma premissa verdadeira? Se o campo gravitacional possuir longo, por´em
finito, alcance o que mudaria na RG? Uma forma de restringir o alcance da intera¸ao
gravitacional ´e considerar que o campo seja massivo. Numa linguagem de f´ısica de part´ı-
culas, significa dizer que o oson (p´articula de intera¸ao fundamental) respons´avel pela
intera¸ao gravitacional tenha massa de repouso ao nula, assim como nas intera¸oes nu-
cleares. Chamemos esse oson de gr´aviton.
Assim, no limite ao relativ´ıstico, o potencial ao seria mais Newtoniano, mas sim do
tipo Yukawa que descreve interoes de alcance finito. O alcance da intera¸ao ´e inver-
samente proporcional `a massa do gr´aviton. Mas qu˜ao pequena deveria ser a massa do
gr´aviton para que essa nova gravita¸ao descreva, por exemplo, os movimentos dos pla-
netas no sistema solar ao bem quanto a teoria Newtoniana? Estes estudos existem,
observando pequenas varia¸oes na terceira lei de Kepler, aplicadas para as ´orbitas dos
planetas no sistema Solar, foi encontrado o seguinte limite superior para a massa do
gr´aviton m
g
< 10
54
g [
6].
Bem (algu´em poderia pensar), ent˜ao uma massa dessa ordem ao deveria fazer qualquer
diferen¸ca para o estudo do Universo como um todo. Esse ponto demanda s´eria aten¸ao,
e essa afirma¸ao pode ao ser correta. Lembremo-nos que estamos falando de escalas da
ordem do tamanho do sistema solar e da teoria ao relativ´ıstica. Quando consideramos
grandes escalas, a finitude da intera¸ao poder´a implicar em diferen¸cas consider´aveis, que
ser˜ao mensur´aveis desde que o alcance seja inferior `a distˆancia do horizonte observ´avel.
Enao, o que precisamos ´e de uma teoria relativ´ıstica de gravitao com gr´avitons massi-
vos. A constru¸ao de tal teoria ´e um trabalho ao trivial. Em 1998 Matt Visser publicou
um trabalho [7] lan¸cando nova luz a esse problema. O que Visser fez, de forma simplista,
foi acrecentar uma geometria definida a priori como alternativa para o acr´escimo de um
termo massivo nas equa¸oes de campo. Isso torna a teoria ao Einsteniana, pois a RG
ao necessita de nenhuma geometria “especial” para sua constru¸ao. Mas, por outro lado,
a teoria respeita outros princ´ıpios asicos “canonizados” por Einstein como, por exemplo,
o princ´ıpio da equivalˆencia e o princ´ıpio da covariˆancia geral. Al´em disso, aparentemente
20
recupera todos os resultados da RG para gr´avitons com massa suficientemente pequenas.
Mas, como saber se tal teoria ´e a mais adequada se passar por todos os testes que a RG
passa?
A resposta para essa quest˜ao provavelmente est´a num futuro ao muito distante. A RG
prevˆe que objetos massivos emitem ondas gravitacionais, deforma¸oes do espa¸co tempo
que propagam-se `a velocidade da luz. Se esses objetos forem de alta massa (sistemas
estelares bin´arios ou buracos negros, por exemplo), as amplitudes dessas ondas podem,
em princ´ıpio, ser medidas em nosso planeta. a diversos trabalhos pelo mundo, que tem
esse objetivo. Existem detectores de base terrestre como LIGO e VIRGO, detectores
de massa ressonante como o brasileiro Mario Schenberg e at´e projetos desafiadores de
detectores espaciais como o LISA. A detec¸ao da radia¸ao gravitacional, al´em de abrir
uma nova janela para a compreens˜ao do cosmos, nos permitir´a submeter a RG, e as
teorias alternativas de gravita¸ao, a testes no regime radiativo, os quais nos dar˜ao pistas
decisivas na busca dos melhores modelos de gravita¸ao como, por exemplo, informa¸oes
a respeito dos estados de polariza¸ao das ondas gravitacionais e de sua velocidade de
propaga¸ao.
Se o gr´aviton possuir massa, diversas caracter´ısticas das ondas gravitacionais ser˜ao dis-
tintas do modelo previsto pela RG como, por exemplo, velocidade de propaga¸ao (a
velocidade seria menor do que c no modelo massivo), dispers˜ao das ondas gravitacionais
e n´umero dos estados de polariza¸ao.
No presente trabalho, propomos um primeiro teste para a teoria de Visser, o teste cos-
mol´ogico. Poder´a a teoria de Visser explicar a expans˜ao acelerada sem a necessidade da
energia (e talvez, da mat´eria) escura? Como veremos no decorrer do trabalho, a resposta
para essa quest˜ao nos reserva algumas surpresas.
O plano do presente trabalho ´e o seguinte:
No cap´ıtulo 2, ap´os uma breve revis˜ao da relatividade geral, exploramos os
conceitos asicos do modelo Friedmann-Robertson-Walker padr˜ao, discutimos
equa¸oes de estado de diferentes tipos de fluidos alternativos `a energia escura
e, atrav´es da an´alise do parˆametro de desacelera¸ao, mostramos como podem
produzir expans˜ao acelerada;
No cap´ıtulo 3 apresentamos a hip´otese de massa para o gr´aviton, mostramos
como ela se aplica na teoria linearizada da RG a partir do qual recuperamos
um potencial do tipo Yukawa no limite ao relativ´ıstico. Extrap olando para
campos fortes mostramos como a teoria de Visser ´e constru´ıda a partir da
inclus˜ao de uma m´etrica de fundo ao dinˆamica, mostramos ainda como as
equa¸oes de Visser mantˆem inalteradas as equa¸oes de movimento e adotamos
21
um crit´erio de simplicidade na escolha da m´etrica de fundo;
No cap´ıtulo 4 calculamos as equa¸oes de evolu¸ao das densidades de energia
cosmol´ogicas para enfim obter uma descri¸ao da dinˆamica do Universo. Mos-
tramos ainda como ´e poss´ıvel estabelecer limites para a massa do gr´aviton
atrav´es do modelo cosmol´ogico e discutimos a possibilidade de uma expan-
ao acelerada como um resultado natural do modelo resultante da teoria de
Visser;
No cap´ıtulo 5 derivamos as express˜oes anal´ıticas para a distˆancia de luminosi-
dade em fun¸ao do redshift, para enao compararmos os resultados obtidos do
modelo massivo com os dados de Sup ernovas tipo Ia existentes na literatura;
Finalmente, no ´ultimo cap´ıtulo, apresentamos nossas discuss˜oes e conclus˜oes
a respeito do trabalho.
22
CAP
´
ITULO 2
O ANTIGO E O NOVO CEN
´
ARIO COSMOL
´
OGICO
2.1 Uma Pequena Revis˜ao da Relatividade Geral
As equa¸oes de campo para a gravita¸ao ser˜ao inevitavelmente mais complicadas do que
as do eletromagnetismo. As equa¸oes de Maxwell ao lineares porque o campo eletro-
magn´etico por ele mesmo ao carrega carga, de outra forma, os campos gravitacionais
carregam energia e momentum e devem, portanto, contribuir para sua pr´opria fonte.
Assim, as equa¸oes de campo gravitacional dever˜ao ser equa¸oes diferenciais parciais ao
lineares, a ao linearidade representa o efeito da gravita¸ao sobre ela mesma.
A relatividade geral (RG) descreve a gravita¸ao como geometria. Qualquer geometria
suave ´e localmente plana, e na RG isto significa que ela ´e localmente Minkowskiana.
Quando dizemos local estamos nos referindo ao espa¸co-tempo. O sistema de referˆencia
de Minkowski ´e um observador em queda livre. Nesse sistema de referˆencia um elemento
de linha do espa¸co-tempo ´e dado por
ds
2
= η
µν
dx
µ
dx
ν
, (2.1)
onde η denota a matriz diag(1, 1, 1, 1), os ´ındices repetidos indicam a soma de 0 a 3
e os diferenciais das coordenadas ao denotadas da seguinte forma: dx
0
= cdt, dx
1
= dx,
dx
2
= dy e dx
3
= dz em coordenadas cartesianas.
Num sistema geral de coordenadas o elemento de linha de Minkowski ´e trocado por
ds
2
= g
µν
dx
µ
dx
ν
, (2.2)
onde g ´e uma matriz sim´etrica 4 × 4 que ´e fun¸ao das coordenadas. Assim como na
relatividade especial, a m´etrica mede tempo pr´oprio e distˆancia pr´opria. As coordenadas
ao arbitr´arias na RG, mas em muitas situa¸oes a an´alise ´e facilitada com a escolha
apropriada das coordenadas.
Uma part´ıcula livre segue uma geod´esica desta etrica, definida como uma linha de
mundo localmente reta.
A descri¸ao tensorial da geometria ´e feita atrav´es do tensor curvatura de Riemann, que
cont´em derivadas segundas da m´etrica. Ele ´e dado por:
R
λ
µνκ
=
ν
Γ
λ
µκ
κ
Γ
λ
µν
+ Γ
σ
µκ
Γ
λ
σν
Γ
σ
µν
Γ
λ
σκ
, (2.3)
23
onde Γ ´e a conex˜ao etrica que relaciona-se com a etrica por:
Γ
λ
µν
=
1
2
g
λκ
(
µ
g
κν
+
ν
g
κµ
κ
g
µν
) . (2.4)
Se a m´etrica ´e Minkowski, Γ
λ
µν
= 0 e portanto R
λ
µνκ
= 0.
De particular interesse, podemos construir o tensor de Einstein a partir do tensor de
Riemann:
G
µν
= R
µν
1
2
g
µν
R, (2.5)
onde R
µν
= g
σκ
g
λσ
R
λ
µκν
e R = g
µν
R
µν
. O tensor de Einstein ´e a base das equa¸oes de
campo.
Em resumo, uma teoria de gravita¸ao ´e Einsteniana se [8]:
a) for uma teoria m´etrica (grosso modo: satisfaz o princ´ıpio da eq
¨
uivalˆencia);
b) as equa¸oes de campo forem lineares na segunda derivada da etrica;
c) ao tiver derivadas de ordem mais alta nas equa¸oes de campo;
d) satisfaz o limite Newtoniano para camp os fracos;
e) e, ao depende de qualquer geometria a priori.
Respeitando todos esses itens, as equa¸oes de campo da RG tal qual derivadas por Eins-
tein ao [9, 10]:
G
µν
=
8πG
c
4
T
µν
, (2.6)
onde T
µν
´e o tensor energia-momentum cujas componentes contˆem a densidade de energia,
densidade de momento e press˜ao da fonte do campo. Na RG, momento e press˜ao assim
como densidade de energia geram gravidade. O tensor de Einstein ´e livre de divergˆencia
para qualquer m´etrica:
ν
G
µν
= 0. (2.7)
Esta ´e a chamada identidade de Bianchi. Ela implica, das equa¸oes de campo, que
ν
T
µν
= 0, (2.8)
que ´e a equa¸ao de conserva¸ao de energia e momentum nas fontes materiais.
No limite ao relativ´ıstico as equa¸oes de campo (2.6) recuperam a equa¸ao de Poisson:
2
φ = 4πGρ. (2.9)
24
Uma vez que a auxˆencia da gravidade deixa o espa¸co plano, um campo gravitacional
fraco ´e aquele no qual o espa¸co-temp o ´e aproximadamente plano. A m´etrica, nesse caso,
pode ser representada por:
ds
2
= (η
µν
)dx
µ
dx
ν
, |h
µν
|. (2.10)
Definindo o tensor chamado tra¸co-reverso:
h
µν
h
µν
1
2
η
µν
h, (2.11)
e adotando o calibre de Lorentz:
ν
h
µν
= 0, (2.12)
as equa¸oes de Einstein tornam-se simplesmente um conjunto de equa¸oes de onda de-
sacopladas[11, 12]:
2
h
µν
=
16πG
c
4
T
µν
. (2.13)
A solu¸ao para essas equa¸oes no acuo ao as ondas planas:
h
µν
= A
µν
exp(2πik
α
x
α
), (2.14)
para amplitudes constantes A
µν
e vetor de onda k
α
. As equa¸oes de Einstein implicam
que o vetor de onda ´e um vetor nulo k
α
k
α
= 0[
13], o que significa que a onda se propaga
`a velocidade da luz, e a condi¸ao de calibre implica que a amplitude e o vetor de onda
ao ortogonais, A
µν
k
ν
= 0.
Assim, num paralelo com a teoria de campos, as equa¸oes da RG ao compat´ıveis com
uma part´ıcula de intera¸ao (gr´aviton) de massa nula.
2.2 O modelo FRW
Um dos conceitos fundamentais que o estudo da cosmologia tem fundamentado nas
´ultimas ecadas ´e que o Universo ao ´e uma mera cole¸ao de mat´eria distribu´ıda irre-
gularmente, mas sim uma entidade ´unica, partes da qual est˜ao, de alguma forma, em
uni˜ao com todas as outras partes. Esta, em certo sentido, ´e a vis˜ao assumida no “modelo
padr˜ao” que ser´a assunto na continuidade do cap´ıtulo
1
.
Consideraremos que a mat´eria est´a distribu´ıda no Universo de forma homogˆenea e isotr´o-
pica. Esse ponto de vista ´e chamado de “princ´ıpio cosmol´ogico”. Ele implica, entre outras
coisas, que a distˆancia entre duas gal´axias t´ıpicas tem um fator universal, o mesmo para
cada par de gal´axias. Esse fator ´e chamado de “fator de escala” R(t) e entra na constru-
1
Alguns textos que contribu´ıram para esse e os pr´oximos opicos ao e.g. [14, 15, 16, 17, 18]
25
¸ao da etrica que utilizaremos. Num espa¸co com curvatura k, assumindo o princ´ıpio
cosmol´ogico, a m´etrica ser´a dada por:
ds
2
= c
2
dt
2
R
2
(t)
dr
2
1 kr
2
+ r
2
(
2
+ sin
2
θ
2
)
. (2.15)
Essa ´e a m´etrica de Robertson-Walker (RW). O comportamento do fator de escala dita
a evolu¸ao temporal de uma se¸ao espacial do espa¸co-tempo.
O tensor energia-momentum para fluido perfeito ´e tipicamente utilizado em cosmologia
devido `a sua simplicidade e consistˆencia com o conte´udo observado no Universo. Sua
forma ´e:
T
µν
= (ρ + p)U
µ
U
ν
pg
µν
(2.16)
onde U
µ
´e a quadrivelocidade do fluido, ρ ´e a densidade de energia no referencial em
repouso em rela¸ao ao fluido e p ´e a press˜ao no mesmo referencial.
Os elementos do fluido movem-se em conjunto num referencial cosmol´ogico em repouso,
a quadrivelocidade nesse referencial ´e dada por:
U
µ
= (1, 0, 0, 0). (2.17)
Com as equa¸oes (
2.15), (2.16) e (2.17) nas equa¸oes de Einstein (2.6) somos capazes de
obter rela¸oes que regem a evolu¸ao do fator de escala. Elas ao chamadas equa¸oes de
Friedmann:
˙
R
R
2
=
8πG
3c
2
ρ
kc
2
R
2
(2.18)
e
¨
R
R
+
1
2
˙
R
R
2
=
4πG
c
2
p
kc
2
2R
2
(2.19)
Nas equa¸oes anteriores,
ρ =
i
ρ
i
e p =
i
p
i
onde a soma corre sobre todos os fluidos que comp˜oem o Universo tais como mat´eria
bariˆonica, radia¸ao, neutrinos, mat´eria escura ao bariˆonica entre outros.
A curvatura k que aparece nas equa¸oes precedentes pode ser:
k =
+1, curvatura positiva
0, espa¸co plano
1, curvatura negativa
26
Assim, a partir da equa¸ao (2.18) definimos a densidade cr´ıtica de energia para a qual
as se¸oes espaciais ao precisamente planas (k = 0):
ρ
c
3H
2
c
2
8πG
(2.20)
onde H ´e o parˆametro de Hubble definido como H =
˙
R
R
.
Com o aux´ılio de (2.20) podemos definir um parˆametro adimensional da distribui¸ao de
mat´eria chamado parˆametro de densidade dado por:
i
ρ
i
ρ
c
(2.21)
lembrando que o ´ındice i refere-se a cada fluido considerado e portanto:
total
=
i
i
Quando fazemos a substitui¸ao desta equa¸ao em (2.18) fica clara a conex˜ao entre cur-
vatura e conte´udo energ´etico. Encontramos a rela¸ao:
(Ω
total
1)
˙
R
2
= k. (2.22)
A partir dessa express˜ao conclu´ımos que:
k = +1, se
total
> 1
k = 0, se
total
= 1
k = 1, se
total
< 1
Utilizando o tensor dado p or (
2.16) em (2.8) e fazendo o alculo chegamos `a seguinte
equa¸ao de evolu¸ao para os fluidos cosmol´ogicos:
˙ρ + 3H(ρ + p) = 0 (2.23)
Desta forma dada a equao de estado de determinado fluido ´e poss´ıvel saber como evolui
o parˆametro de densidade do mesmo. Por exemplo, na aproxima¸ao de poeira a mat´eria
´e descrita atrav´es da equa¸ao de estado:
p
m
= 0
27
que levando em (2.23) nos fornece ap´os integra¸ao:
ρ
m
(R) = ρ
mA
R
R
A
3
. (2.24)
Por sua vez, a radia¸ao ´e regida pela equa¸ao de estado:
p
r
=
1
3
ρ
r
que, adotando o procedimento anterior nos a:
ρ
r
(R) = ρ
rA
R
R
A
4
. (2.25)
Veja que as equa¸oes (2.24) e (2.25) descrevem a evolu¸ao das densidades de energia da
mat´eria e radia¸ao em fun¸ao do fator de escala. Nessas equa¸oes o ´ındice A indica o
valor das grandezas no tempo atual.
´
E usual pensar sobre uma curvatura espacial ao nula como mais uma componente do
conte´udo energ´etico cosmol´ogico, tal que:
ρ
k
=
3kc
4
8πGR
2
(2.26)
p
k
=
kc
4
8πGR
2
. (2.27)
´
E claro que ao ´e uma densidade de energia, mas simplesmente uma maneira conveniente
de avaliar a quantidade de energia que sobra ou falta em compara¸ao com um Universo
plano.
Um parˆametro que ser´a muito ´util em nossas an´alises ´e o parˆametro de desacele-
rao, definido como:
q(a)
¨aa
˙a
2
(2.28)
onde a ´e o fator de escala normalizado em rela¸ao ao seu valor no tempo atual, ou seja:
a(t)
R(t)
R
A
com R(t
A
) = R
A
O termo “parˆametro de desacelera¸ao” ´e de cunho hist´orico pois imaginava-se que o
Universo estava em expans˜ao desacelerada, enao criou-se esse parˆametro adimensional
para medir sua desacelera¸ao. Portanto, quando tivermos expans˜ao desacelerada q ser´a
positivo, caso contr´ario ser´a negativo.
28
Quando utilizamos a defini¸ao (2.28) em conjunto com as equa¸oes (2.18) e (2.19) somos
levados a:
q =
4πG
H
2
c
2
p +
1
3
ρ
(2.29)
Fica claro nesta equa¸ao que quando consideramos um Universo permeado somente pelos
fluidos “comuns”, tais como mat´eria e radia¸ao, que o parˆametro de desacelera¸ao ´e
positivo, pois densidade de energia e press˜ao sempre ao positivos. Ou seja, num Universo
dominado por mat´eria e radia¸ao a expans˜ao deve se dar de forma desacelerada em
qualquer ´epoca. No entanto, as recentes observoes da recess˜ao de Supernovas do tipo
Ia em mostrado que o Universo se expande de forma acelerada no tempo presente. Assim
somos levados a pensar na existˆencia de outro fluido, al´em dos conhecidos, que domine
a dinˆamica osmica.
Desenvolvido o cen´ario FRW padr˜ao, nos dedicaremos, a partir da pr´oxima se¸ao, aos
modelos que apresentam uma fase de expans˜ao acelerada come¸cando pelo problema da
constante cosmol´ogica.
2.3 O Universo Acelerado e a Constante Cosmol´ogica
Analisando a rela¸ao (2.6) vemos que ´e poss´ıvel introduzir um termo cosmol´ogico sem
interferir nas equa¸oes de conservao, assim as equa¸oes de Einstein tomam a forma:
R
µν
1
2
Rg
µν
+ Λg
µν
=
8πG
c
4
T
µν
(2.30)
onde Λ ´e a constante cosmol´ogica. Passando o termo cosmol´ogico para o lado direito de
(
2.30) podemos interpret´a-lo como a inclus˜ao de um novo tensor energia-momentum. Ou
seja:
R
µν
1
2
Rg
µν
=
8πG
c
4
T
µν
+ T
Λ
µν
, (2.31)
onde identificamos:
T
Λ
µν
=
Λc
4
8πG
g
µν
(2.32)
Considerando (2.32) um fluido perfeito tal qual descrito pela equa¸ao (2.16) encontramos
que:
T
Λ
00
= ρ
Λ
(2.33)
e portanto:
ρ
Λ
=
Λc
4
8πG
. (2.34)
Da mesma forma:
p
Λ
=
Λc
4
8πG
. (2.35)
29
Estas duas ´ultimas equa¸oes combinadas levam-nos `a seguinte equa¸ao de estado:
p
Λ
= ρ
Λ
. (2.36)
Levando (2.36) `a equa¸ao de conservao (2.23) verificamos que:
ρ
Λ
= constante,
ou seja, a constante cosmol´ogica implica num fluido com densidade de energia constante
ao longo do tempo.
Como visto, para levar a constante cosmol´ogica em considera¸ao em nosso modelo de
Universo basta acrescentar sua densidade de energia nas equa¸oes de Friedmann, desen-
volvidas na se¸ao precedente. Tomando a rela¸ao (2.29) e a defini¸ao (2.21) podemos
obter:
q(a) =
1
2
m
(a) +
r
(a)
Λ
(a) (2.37)
onde
m
(a),
r
(a) e
Λ
(a) ao os parˆametros de densidade para a mat´eria, radia¸ao e
constante cosmol´ogica respectivamente. Para obter a evolu¸ao temporal dos parˆametros
de densidade basta aplicar a defini¸ao (2.21) nas equa¸oes (2.24) e (2.25), e no caso da
constante cosmol´ogica basta considerar sua densidade de energia constante ao aplicar a
defini¸ao (2.21). As express˜oes que obtemos para esses parˆametros ao as seguintes:
m
(a) =
H
2
A
H
2
A
m
a
3
, (2.38)
r
(a) =
H
2
A
H
2
A
r
a
4
, (2.39)
e
Λ
(a) =
H
2
A
H
2
A
Λ
. (2.40)
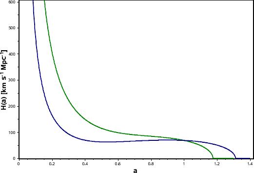
Na figura 2.1 vemos a evolu¸ao da densidade relativa de cada tipo de fluido. Veja que
a contribui¸ao do termo cosmol´ogico o se a numa ´epoca tardia, sendo dominante no
tempo atual.
As an´alises recentes das anisotropias na radia¸ao osmica de fundo em microondas reali-
zadas pelo grupo do sat´elite WMAP tˆem indicado, com boa aproxima¸ao, que o Universo
´e plano. Por quest˜oes de completeza, podemos assumir um parˆametro de densidade re-
lacionado com a curvatura que quando somado com os outros parˆametros de densidade
nos fornece:
m
(a) +
r
(a) +
k
(a) +
Λ
(a) = 1 , (2.41)
30
0
0.2
0.4
0.6
0.8
1
1.2
-4 -3 -2 -1 0 1
log(a)
r
(a)
m
(a)
Λ
(a)
total
(a)
FIGURA 2.1 Evolu¸ao dos parˆametros de densidade no modelo ΛCDM.
a partir da qual obtemos:
H
2
(a) = H
2
A
(Ω
A
m
a
3
+
A
r
a
4
+
A
k
a
2
+
A
Λ
) , (2.42)
que ´e a equa¸ao que nos a a evolu¸ao do parˆametro de Hubble em fun¸ao em fun¸ao do
fator de escala.
Voltando nossa aten¸ao para a express˜ao (
2.37) e substituindo as equa¸oes (2.38), (2.39)
e (2.40) encontramos:
q(a) =
H
2
A
H
2
1
2
A
m
a
3
+
A
r
a
4
A
Λ
(2.43)
E como a conhecemos o comportamento de H
2
(a), podemos obter a evolu¸ao do
parˆametro de desacelera¸ao em fun¸ao do fator de escala normalizado. Na figura 2.2
vemos que nesse cen´ario a evolu¸ao se inicia de forma desacelerada, a desacelera¸ao
diminue at´e que o Universo inicia uma fase de expans˜ao acelerada na qual continua no
tempo presente.
31
2.4 Parametrizando a Energia Escura
Os fluidos que vimos at´e o momento podem ser resumidos considerando uma equa¸ao de
estado geral com parˆametro ω:
p = ωρ.
Assim, o que determina o tipo de fluido ´e simplesmente o valor de ω como vemos na
tabela 2.1. Dessa forma, podemos sugerir fluidos com press˜oes negativas assim como
a constante cosmol´ogica por´em com densidades de energia que ao ao constantes ao
longo do tempo. Esse enfoque ´e conhecido como parametriza¸ao XCDM e foi analisado
em detalhes em [19].
fluido ω
mat´eria 0
radia¸ao
1
3
Λ 1
TABELA 2.1 Rela¸ao entre o parˆametro de estado e o tipo de fluido
Na parametriza¸ao XCDM tomamos, portanto, a seguinte equa¸ao de estado para a
energia escura:
p
x
= ω
x
ρ
x
(2.44)
Onde ω
x
´e o parˆametro que determina a evolu¸ao da densidade de energia do “fluido
x. Veja que a constante cosmol´ogica ´e um caso particular da equa¸ao (2.44) quando
ω
x
= 1.
A an´alise da evolu¸ao do fluido x segue o mesmo procedimento tomado para a constante
cosmol´ogica. Substitu´ımos a equa¸ao de estado (
2.44) na equa¸ao (2.23) para obter:
ρ
x
= ρ
xA
a
3(1+ω
x
)
(2.45)
e o parˆametro de densidade fica:
x
(a) =
H
2
A
H
2
A
x
a
3(1+ω
x
)
. (2.46)
O parˆametro de desacelera¸ao toma a forma:
q(a) =
1
2
m
(a) +
r
(a) +
1 + 3ω
x
2
x
(a) . (2.47)
32
FIGURA 2.2 Evolu¸ao do parˆametro de desacelera¸ao no modelo XCDM.
Para que ocorra acelera¸ao devemos ter ω
x
<
1
3
e o valor absoluto do termo que carrega
x
deve preponderar sobre os outros. Substituindo as respectivas fun¸oes dos parˆametros
de densidade, a express˜ao (2.47) fica:
q(a) =
H
2
A
H
2
1
2
A
m
a
3
+
A
r
a
4
+
1 + 3ω
x
2
A
x
a
3(1+ω
x
)
. (2.48)
E o comportamento do parˆametro de Hubble pode ser obtido fazendo-se
total
(a) = 1,
que nos fornece:
H
2
(a) = H
2
A
A
m
a
3
+
A
r
a
4
+
A
k
a
2
+
A
x
a
3(1+ω
x
)
. (2.49)
Dessa forma, escolhido o fluido x atrav´es do parˆametro ω
x
, temos express˜oes gerais que
nos permitem estudar sua influˆencia na evolu¸ao do fator de escala bem como a evolu¸ao
dos parˆametros de densidade de cada um dos constituintes do cosmos. Na figura 2.2
vemos o comportamento do parˆametro de desacelera¸ao para alguns valores de ω
x
.
A Figura
2.3 mostra a evolu¸ao do parˆametro de Hubble para um Universo permeado
com esses mesmos tipos de fluidos. Os valores atuais dos parˆametros de densidade que
33
FIGURA 2.3 Evolu¸ao do parˆametro de Hubble no modelo XCDM.
usamos ao
A
m
= 0, 25 sendo a soma de 0, 20 de mat´eria escura e 0, 05 de mat´eria
bariˆonica,
A
r
0 e
A
x
= 0, 75. Al´em de estarmos considerando um Universo plano
(k = 0 e portanto
A
k
= 0)[1, 2].
Adotando esse tipo de equa¸ao de estado geral para a energia escura (2.44), podemos
restringir o parˆametro de estado atrav´es dos observ´aveis cosmol´ogicos. Al´em disso, a
idade do Universo tamb´em ´e dependente desse parˆametro (fig. 2.4). Tanto mais negativa
´e a press˜ao, mais antigo ´e o Universo.
´
E interessante notar que ω
x
< 1 descreve um fluido cuja densidade de energia aumenta
com a expans˜ao do Universo (eq. 2.45), esse fluido ´e conhecido como fluido fantasma [20].
Para ω
x
> 1 a densidade de energia diminue. O grupo do sat´elite WMAP [1] limita
ω
x
< 0, 78 que ´e consistente, portanto, com a constante cosmol´ogica.
2.5 O que ´e a Energia Escura?
Atrav´es de argumentos puramente cl´assicos os ao podemos dizer se o valor absoluto
de Λ ´e “grande” ou “pequeno”. Ela ´e simplesmente uma constante da natureza que pode-
r´ıamos obter atrav´es de experimentos.
34
12
12.5
13
13.5
14
14.5
-1.6 -1.4 -1.2 -1 -0.8 -0.6 -0.4
Idade do Universo [Ganos]
Parametro de estado ω
t
U
(ω)
FIGURA 2.4 Rela¸ao entre a idade do Unvierso e o parˆametro de estado ω
x
Por outro lado, na teoria quˆantica, podemos vincular a densidade de energia associada a
Λ como sendo a energia do estado fundamental (ou energia do ponto zero) do oscilador
harmˆonico, ou seja a densidade de energia do acuo. Tal alculo leva-nos, todavia, a uma
das maiores discrepˆancias no que diz respeito `a concordˆancia entre as leis f´ısicas [15]:
ρ
obs
vac
10
120
ρ
teoria
vac
. (2.50)
Esse ´e o famoso problema de 120 ordens de magnitude. O enigma tem incentivado as
pesquisas em duas vias. A primeira ´e a busca de novas alternativas para a Energia Escura.
A segunda ´e uma melhor compreens˜ao do alculo da energia do acuo atrav´es das teorias
de grande unifica¸ao (GUTs).
Entre outras alternativas `a constante cosmol´ogica, o as de Chaplygin (e.g. [3]) tem se
destacado na literatura. Caracteriza-se como sendo um fluido perfeito com equa¸ao de
estado:
p =
A
ρ
, (2.51)
onde A ´e uma constante positiva. Chaplygin utilizou essa equa¸ao de estado em 1904
como uma adequada aproximao matem´atica para o alculo da for¸ca de sustenta¸ao
produzida sobre a asa de um avi˜ao. O modelo foi redescoberto no in´ıcio dos anos 40 sob
35
o mesmo contexto.
A conveniˆencia do as de Chaplygin est´a ligada ao fato de que as correspondentes equa-
¸oes de Euler tem um grande grupo de simetria, o que implica em sua integrabilidade.
O interesse por esse modelo em cosmologia remonta ao final do s´eculo XX e vem da sua
conex˜ao com a teoria de cordas. Al´em disso, a equa¸ao de estado p = A/ρ po de ser
obtida a partir da ao de Nambu-Goto para “D-Branas” se movendo num espa¸co-tempo
a (d + 2) dimens˜oes [21].
Quando tomamos a equa¸ao de estado (2.51) e seguimos o mesmo procedimento reali-
zado para o fluido x, tamb´em encontramos express˜oes anal´ıticas para o parˆametro de
desacelera¸ao [22], as quais exibem um comportamento similar ao dos fluidos da Figura
2.2. Algo interessante que obtemos, dessa an´alise, ´e que o as de Chaplygin apresenta
um comportamento dual, ou seja, no passado sua densidade de energia comporta-se como
mat´eria escura, assumindo um comportamento de energia escura no futuro. Por isso diz-
se que ele possui um car´ater dual ou unificado. Todavia, para esse modelo, a influˆencia da
Energia Escura ´e desprez´ıvel quando inicia-se a forma¸ao de estruturas e a aglomera¸ao
de mat´eria ocorre de forma mais coerente num modelo CDM [3].
Outra possibilidade ´e um acuo dinˆamico ou quintessˆencia. Os modelos de quintessˆencia
envolvem, na maior parte dos casos, um ´unico campo escalar [4] ou dois campos escalares
acoplados [5]. Nesses modelos, o problema da coincidˆencia osmica, i.e. porque a energia
escura come¸cou a dominar a evolu¸ao osmica apenas ao recentemente, ao tem solu¸ao
satisfat´oria e ajustes finos ao requeridos.
De qualquer forma, a energia e a mat´eria escura ao problemas abertos. ao a, at´e o
momento, um modelo completo e satisfat´orio capaz de dar conta de todos os observ´aveis
cosmol´ogicos e, ao mesmo tempo, possuir a consistˆencia f´ısica requerida.
No pr´oximo cap´ıtulo iniciaremos o estudo de uma nova possibilidade, at´e o momento
praticamente inexplorada, mas que pode nos levar a algumas surpresas.
36
CAP
´
ITULO 3
TEORIA DE GRAVITA ¸C
˜
AO E GR
´
AVITONS MASSIVOS
3.1 Massa para o Gr´aviton?
O gr´aviton pode ter massa de repouso ao nula? Como podemos construir uma teoria
consistente de gravita¸ao com gr´avitons massivos? Estas ao quest˜oes que em gerado
discuss˜oes ao longo dos anos e que ao possuem at´e o momento respostas un´ıvocas ou
definitivas.
Do ponto de vista experimental, existem limites estabelecidos para a massa do gr´aviton
para campos gravitacionais est´aticos. Se o gr´aviton possuir massa de repouso ao nula,
o potencial altera-se de um potencial Newtoniano para um potencial do tipo Yukawa
φ(r) r
1
exp(r
g
). Uma das restri¸oes mais robustas para a massa do gr´aviton
prov´em do movimento planet´ario do sistema solar. Varia¸oes na terceira lei de Kepler
quando comparadas as ´orbiras da Terra e de Marte levam a m
g
< 7, 8×10
55
g [6]. Outra
resti¸ao para a massa dessa part´ıcula prov´em da an´alise do movimento das gal´axias em
aglomerados ligados que levam a m
g
< 2 × 10
62
g [23]. Embora seja um limite mais
restritivo, esse segundo resultado ´e considerado menos robusto devido `a incerteza em
torno do conte´udo do Universo em grandes escalas.
Em 2002, Finn e Sutton [24] apresentaram o primeiro limite para m
g
independente do
potencial de Yukawa. O etodo empregado por eles foi baseado na concordˆancia com a
RG dos dados observacionais existentes do decaimento orbital dos pulsares bin´arios PSR
B1913+16 (o pulsar bin´ario de Hulse-Taylor) e PSR B1534+12. O limite encontrado por
eles foi de m
g
< 1, 4 × 10
52
g, cerca de duas ordens de grandeza menor do que o limite
imposto pelo movimento planet´ario no sistema solar. Vale ressaltar que as medidas do
pulsar bin´ario de Hulse-Taylor ([25] ou mais recentemente [26]), por exemplo, ao muito
precisas, e concordam muito bem com a emiss˜ao de radia¸ao gravitacional (ver Figura
3.2). O limite imposto por Finn e Sutton demonstra que as equa¸oes de campo fraco da
RG permitem o acr´escimo de um termo massivo sem a altera¸ao dos resultados obseva-
cionais.
Al´em disso, existem estimativas para a massa do gr´aviton a partir de futuros testes gra-
vitacionais no regime radiativo, tais como a back-reaction gravitacional, a polariza¸ao de
ondas gravitacionais e a velocidade das ondas gravitacionais (ver por exemplo [
27, 28].
Se o gr´aviton for uma part´ıcula massiva, enao a velocidade das ondas gravitacionais ´e
dependente da freq
¨
uˆencia. Um sistema bin´ario em revolu¸ao espirala devido `a emiss˜ao de
ondas gravitacionais. A freq
¨
uˆencia da ´orbita aumenta ao longo do tempo, aumentando
rapidamente nos ´ultimos est´agios de sua evolu¸ao antes da coalescˆencia.
37
FIGURA 3.1 Decaimento orbital de PSR B1913+16. Os pontos indicam a mudan¸ca
observada na ´epoca do periastro com a data, enquanto a par´abola ilustra
a mudan¸ca esperada teoricamente para um sistema emitindo radia¸ao
gravitacional de acordo com a relatividade geral. Figura tomada de [26].
Os detectores interferom´etricos laser de ondas gravitacionais devem ser capazes de acom-
panhar a evolu¸ao temporal da forma de onda desses sistemas usando as ecnicas de
matched filtering requerida para esse tipo de an´alise. Detectores de base espacial como o
LISA seriam capazes de observar a coalescˆencia de buracos negros bin´arios massivos ou
estrelas compactas (estrelas de eutrons ou estrelas de nˆeutrons bin´arias). Se o gr´aviton
possuir massa, ent˜ao os sinais observados ao ser˜ao compat´ıveis com os modelos extra´ıdos
da RG, pois um gr´aviton massivo causaria dispers˜ao das ondas gravitacionais. Usando
o matched filtering poderia-se estabelecer limites para a dispers˜ao, restringindo a massa
do gr´aviton. Will [27] encontrou que o LIGO poderia restringir a massa do gr´aviton em
m
g
< 3, 7 ×10
55
g observando a espirala¸ao de dois buracos negros de 10M
, enquanto
inteferˆometros de base espacial como o LISA poderiam nos dar m
g
< 6, 9 ×10
55
g obser-
vando a espirala¸ao de dois buracos negros de 10
7
M
. Os n´umeros representam a m´ınima
massa detect´avel por tais observoes se o gr´aviton for massivo.
Ainda poderiam ser estabelecidas restri¸oes para a massa do gr´aviton realizando-se
observoes simultˆaneas na faixa do ´optico e de radia¸ao gravitacional. Por exemplo,
comparando-se a fase do sinal eletromagn´etico orbitalmente mo dulado (a curva de luz) e
um sinal de onda gravitacional de um sistema estelar IBWD (Interacting Binary White
Dwarf ). Observoes do LISA, de fontes de IBWD conhecidas, poderiam nos levar a um
38
FIGURA 3.2 Os seis modos de polariza¸ao de ondas gravitacionais permitidos em qual-
quer teoria etrica de gravita¸ao. Aqui mostramos a deforma¸ao que
cada modo induz em uma esfera de part´ıculas teste. A onda gravitacio-
nal propaga-se para fora do plano em (a), (b) e (c), e propaga-se no plano
em (d), (e) e (f). A teoria de gravita¸ao de Visser apresenta todos os seis
estados de polariza¸ao. Figura retirada de [29]
limite ao forte quanto m
g
< 4 × 10
58
g, consideravelmente mais restritivo do que os
presentes limites inferidos a partir do sistema solar[
28].
Para a inclus˜ao de um termo massivo nas equa¸oes linearizadas da RG, Boulware e Deser
[30] utilizaram um termo do tipo Pauli-Fierz (PF), no entanto as predi¸oes de tal teoria
ao reduzem-se para aquelas da relatividade geral quando m
g
0 (e.g. [31] e [32]). To-
davia, ao a raz˜ao para preferir termos do tipo PF no lugar de outros termos ao-PF.
´
E importante enfatizar que estes termos de massa ao possuem clara extrapola¸ao para
campos fortes. Uma maneira de fazer isso foi proposta por M. Visser [7] que procura reali-
zar esse processo atrav´es da inser¸ao de uma m´etrica de fundo ao dinˆamica, preservando
o princ´ıpio da equivalˆencia e o princ´ıpio da covariˆancia. Outras teorias alternativas de
gravita¸ao que apresentam duas etricas tˆem sido propostas ao longo dos anos. Dentre
elas uma das mais conhecidas ´e a teoria de Rosen [33] que insere uma segunda etrica
39
representativa das for¸cas inerciais. Mas a id´eia de Visser possui a caracter´ıstica singular
de unir o fato de ser uma teoria bim´etrica e abarcar a massa do gr´aviton no mesmo
modelo de gravita¸ao.
Lembremos tamb´em que as ondas gravitacionais na RG apresentam dois estados de po-
lariza¸ao (h
+
e h
×
). No entanto, de forma geral, em uma teoria m´etrica de gravita¸ao
qualquer, podemos ter no aximo seis estados de polariza¸ao [29](fig. 3.2). Se forem de-
tectadas com certeza mais de duas polariza¸oes de uma onda incidente, o resultado ser´a
devastador para a RG. A teoria de Visser apresenta todos os seis estados de polariza¸ao
[34]. Assim, as observoes das polariza¸oes das ondas gravitacionais al´em de serem mais
um teste para as teorias de gravita¸ao, tamb´em servem para impor restri¸oes para a
massa do gr´aviton.
Nas se¸oes que seguem desenvolveremos as bases de uma teoria de gravita¸ao com gr´a-
vitons massivos, partindo do limite de campo fraco escolhendo o termo massivo mais
adequado. Mostraremos, em seguida, como Visser generaliza a teoria para campos arbi-
tr´arios atrav´es da inclus˜ao de uma m´etrica de fundo.
3.2 A aproxima¸ao linear e o termo de massa
No regime de campo fraco podemos assumir a etrica como sendo aproximadamente
plana definindo-a como:
g
µν
= η
µν
+ h
µν
, |h| << 1. (3.1)
Desprezando os termos de ordem maior ou igual a dois em h obtemos a chamada teo-
ria linearizada. Esse tratamento ´e caracterizado por podermos considerar essa pequena
perturba¸ao da etrica como um tensor num plano de fundo Minkowskiano, ou seja, ´e a
m´etrica plana de Minkowski que atua como etrica dinˆamica respons´avel por opera¸oes
como subir e abaixar ´ındices.
Esse formalismo ´e utilizado no estudo de campos gravitacionais gerados por fontes dis-
tantes do observador e corresponde uma b oa aproxima¸ao da RG nesses casos. Utilizando
(
3.1), a lagrangiana linearizada da RG fica escrita na forma:
L
RG
=
1
2
h
µν,λ
h
µν,λ
2h
µν
h
µλ
+ 2h
µν
h
h
h
8πG
c
4
h
µν
T
µν
, (3.2)
onde o tra¸co da perturba¸ao ´e dado por:
h η
µν
h
µν
, (3.3)
40
e a v´ırgula representa a diferencia¸ao parcial ordin´aria.
A teoria resultante dessa lagrangiana, como sabemos, ´e consistente com um oson de
massa nula que viaja `a velocidade da luz.
A maneira fenomenol´ogica de intro duzir um oson massivo na teoria ´e adicionar uma
lagrangiana que seja proporcional a termos quadr´aticos de h
µν
, cuja forma mais geral ´e
[32]:
L
mass
=
1
2
m
2
h
µν
h
µν
κh
2
, (3.4)
onde
m =
m
g
c
. (3.5)
Portanto a ao linearizada mais geral de uma teoria relativ´ıstica de gravita¸ao com
gr´aviton massivo ´e dada por:
I =
d
4
x (L
RG
+ L
mass
) . (3.6)
As equa¸oes de campo resultantes dessa ao ao:
2
h
µν
h
µ
λ
,λν
h
ν
λ
,λµ
+h
,µν
+η
µν
h
ρσ
,ρσ
η
µν
2
hm
2
(h
µν
κη
µν
h) =
16πG
c
4
T
µν
. (3.7)
Embora a escolha para o termo de massa ao seja ´unica, pode ser demonstrado que
a mais natural ´e quando utilizamos κ = 1/2 (essa demonstra¸ao pode ser encontrada
em [24]). Para tal, vamos requerer que a teoria possua as seguintes propriedades: (1) as
equa¸oes de campo para perturba¸oes m´etricas possam ser escritas na forma padr˜ao:
(
2
m
2
)h
µν
=
16πG
c
4
S
µν
, (3.8)
onde o termo fonte S
µν
´e uma fun¸ao local do tensor energia momentum e ´e independente
de h
µν
; e (2) tomando o limite m 0 na teoria massiva recobramos as predi¸oes da
relatividade geral.
Partindo das equa¸oes de campo (3.7) e aplicando a divergˆencia em amb os os lados
encontramos a condi¸ao:
h
µν
, ν
= κh
, µ
. (3.9)
Tomando o tra¸co de (3.7) e utilizando (3.9) chegamos `a rela¸ao:
2(1 κ)
2
h + (1 4κ)m
2
h =
16πG
c
4
T (3.10)
onde
T η
µν
T
µν
. (3.11)
41
Retornando (3.9) e (3.10) para as equa¸oes de campo chegamos a
2
m
2
h
µν
=
16πG
c
4
T
µν
1
2
η
µν
T
+ (2κ 1)
h
,µν
+
1
2
η
µν
m
2
h
, (3.12)
que ´e da forma desejada (
3.8) exceto pelo ´ultimo termo do lado direito. Este po de ser re-
movido para apenas dois valores especiais de κ. Para κ = 1/2 o termo anula-se, deixando
a express˜ao:
2
m
2
h
µν
=
16πG
c
4
T
µν
1
2
η
µν
T
. (3.13)
Para κ = 1 (o termo de massa Pauli-Fierz usado por Boulware e Deser [
30]) podemos
utilizar a condi¸ao (3.10) para reescrever o termo em colchetes como uma fun¸ao local
do tensor energia momentum, o que nos conduz a
2
m
2
h
µν
=
16πG
c
4
T
µν
1
3
η
µν
T +
1
3m
2
T
µν
, (3.14)
que tamb´em ´e da forma desejada (3.8). Todavia, ´e bem conhecido que as predi¸oes
da teoria para esse caso ao reduzem para aquelas da RG quando m 0, essa ´e, a
assim chamada, descontinuidade van Dam-Veltman-Zakharov [31]. Assim, somos levados
a escolher κ = 1/2 para representar o termo massivo nessa teoria de gravita¸ao com
equa¸oes de campo dadas por (3.13).
Se reescrevemos a condi¸ao (3.9) na forma:
h
µν
= 0, (3.15)
onde
h
µν
h
µν
1
2
η
µν
h, (3.16)
notamos que ela representa o calibre de Lorentz, utilizado na teoria linearizada derivada
da RG, mas aqui ´e uma condi¸ao que surge naturalmente da conservao de energia.
3.3 Equa¸oes de movimento no limite ao relativ´ıstico
A RG ´e constru´ıda de tal forma que esteja em concordˆancia com a gravita¸ao Newtoni-
ana no limite ao relativ´ıstico. Esse ´e um fator essencial para que a teoria abarque os
resultados experimentais em todos os casos. Verificaremos nessa se¸ao qual o resultado
das equa¸oes de campo linearizadas com gr´aviton massivo, desenvolvidas anteriormente,
nesse regime de baixas velocidades (comparadas `a velocidade da luz), e campos gravita-
cionais de baixa intensidade.
Aplicando a condi¸ao (3.15)nas equa¸oes de campo (3.7) podemos reescrevˆe-las em ter-
42
mos de h
µν
, asim:
2
m
2
h
µν
=
16πG
c
4
T
µν
, (3.17)
que ´e equivalente `a forma (3.13).
Lembrando que o operador D’Alembertiano ´e dado por:
2
=
2
2
t
2
, (3.18)
vemos que ao tomar campos aproximadamente estacion´arios podemos fazer:
2
2
. (3.19)
O tensor energia-momentum no limite ao relativ´ıstico reduz-se a:
T
µν
T
00
= ρ, (3.20)
onde ρ, em nossa nota¸ao, representa a densidade de energia.
Retornando agora (3.19) e (3.20) para (3.17) ficamos com:
2
m
2
h
00
=
16πG
c
4
ρ. (3.21)
Na correspondˆencia newtoniana identificamos h
00
= 2φ/c
2
[17] e portanto h
00
=
4φ/c
4
. Assim obtemos a equa¸ao:
2
m
2
φ =
4πG
c
2
ρ (3.22)
A solu¸ao para a equa¸ao (3.22) em coordenadas polares esf´ericas ´e o potencial do tipo
Yukawa:
φ(r) =
GM
r
exp(r
g
) (3.23)
onde identificamos λ
g
= /m
g
c como sendo o comprimento de onda Comptom do gr´avi-
ton.
Veja que quando tomamos m
g
0 recuperamos o potencial Newtoniano e as equa¸oes
de campo voltam a ser Einstenianas.
43
3.4 A Teoria de Gravita¸ao de Visser
Utilizando a condi¸ao (3.15) podemos reescrever a ao que resulta na equa¸ao (3.17) na
seguinte forma:
I =
d
4
x
1
2
h
µν
2
h
µν
1
2
h
2
h
+
1
2
m
2
g
c
2
2
h
µν
h
µν
1
2
h
2
8πG
c
4
h
µν
T
µν
(3.24)
O primeiro termo ´e bem conhecido, sua extrapola¸ao para campos fortes ´e a ao de
Einstein-Hilbert (
d
4
x
gR(g)). No entanto, o segundo termo ao possui clara extra-
pola¸ao para campos fortes. Aqui reside uma grande dificuldade em se construir uma
teoria de gravita¸ao completa que inclua gr´avitons massivos.
Segundo Visser [7], uma maneira de fazer isso ´e introduzir uma etrica de fundo g
0
, que
ao est´a sujeita a equa¸oes dinˆamicas. A lagrangiana que Visser prop˜oe para representar
o termo massivo no regime de campos fortes ´e:
L
mass
(g, g
0
) =
1
2
m
2
g
c
2
2
g
0
(g
1
0
)
µν
(g g
0
)
µσ
(g
1
0
)
σρ
(g g
0
)
ρν
(3.25)
1
2
(g
1
0
)
µν
(g g
0
)
µν
2
,
que ´e constru´ıda de tal forma que recupere a parte massiva da ao linearizada que vimos
anteriormente.
Esse termo depende de duas m´etricas: a m´etrica de dinˆamica do espa¸co-tempo g, e da
m´etrica de fundo g
0
. De fato, a uma certa arbitrariedade em sua constru¸ao, qualquer
rela¸ao alg´ebrica entre a etrica de fundo e a etrica dinˆamica que tenha a mesma
extrapola¸ao no limite de campos fracos pode ser utilizada.
O erito desse etodo ´e que as equa¸oes de campo resultantes continuam respeitando
os princ´ıpios de covariˆancia geral e o princ´ıpio da eq
¨
uivalˆencia.
Veja que tomar o limite de campo fraco, nesse caso, consiste em considerar a etrica
dinˆamica como sendo g = g
0
+ h com h pequeno.
Finalmente, a ao completa dessa teoria alternativa de gravita¸ao ´e dada por:
I =
d
4
x
g
c
4
R(g)
16πG
+ L
mass
(g, g
0
) + L
matter
(g)
. (3.26)
Note que g
0
aparece somente no termo massivo. A partir da lagrangiana (3.25) podemos
mostrar que a contribui¸ao para as equa¸oes de movimento ´e dada por um tensor energia-
momentum efetivo:
T
µν
mass
=
2
g
0
δL
mass
δg
µν
(3.27)
44
que nos leva a:
T
µν
mass
=
m
2
g
c
6
8πG
2
(g
1
0
)
µσ
(g g
0
)
σρ
1
2
(g
0
)
σρ
(g
1
0
)
αβ
(g g
0
)
αβ
(g
1
0
)
ρν
. (3.28)
Dessa forma, as equa¸oes de campo da teoria de Visser podem ser escritas como:
G
µν
=
8πG
c
4
[T
µν
+ T
µν
mass
] , (3.29)
que ao semelhantes `as equa¸oes de Einstein exceto pela inclus˜ao do termo massivo.
Com todas as caracter´ısticas que mencionamos, a teoria caracteriza-se como uma teoria
quase Einsteniana, no sentido em que possui as mesmas caracter´ısticas de invariˆancia
requeridas para uma teoria relativ´ıstica de gravita¸ao, al´em de recuperar os resultados
observacionais para gr´avitons com massas suficientemente pequenas. Todavia, ela fere
um dos princ´ıpios fundamentais da RG ao requerer a inser¸ao da etrica representativa
de uma geometria definida a priori. Mas, como veremos na pr´oxima se¸ao, uma adequada
escolha dessa m´etrica de fundo ´e de suma importˆancia para que a teoria de Visser esteja
o mais pr´oxima poss´ıvel da teoria de Einstein, o que a coloca na posi¸ao de uma forte
candidata `a teoria de gravita¸ao.
Mas, se essa teoria ´e praticamente relatividade geral, qual a necessidade, ou importˆancia,
em prefer´ı-la `a RG?
Segundo o princ´ıpio heur´ıstico do fil´osofo e te´ologo medieval Guilherme de Occam, as
entidades ao devem ser adicionadas al´em do necess´ario. Em nosso caso, isso significa
que termos adicionais nas equa¸oes que descrevem a gravita¸ao seriam desnecess´arios,
uma vez que a RG concorda muito bem com a experimenta¸ao.
No entanto, embora gr´avitons com massa suficientemente pequena, nos proporcionem
uma teoria com os mesmos resultados que a obtemos atrav´es da RG nas escalas do
sistema solar ou at´e mesmo em escalas gal´acticas, diferen¸cas consider´aveis podem surgir
quando consideramos o estudo do Universo em grandes escalas. Em particular, em escalas
compar´aveis ao comprimento de onda Compton do gr´aviton.
A cosmologia resultante dessa teoria ser´a assunto do cap´ıtulo 4. Como veremos, esse
ser´a um contexto no qual o princ´ıpio de Occam ainda estar´a presente, nos mostrando,
dessa vez, que essa teoria alternativa de gravita¸ao pode ser a teoria f´ısica mais simples
que nos permita a explica¸ao dos efeitos cosmol´ogicos dinˆamicos obervados atualmente.
Efeitos estes que, atrav´es da RG, somente ao explicados postulando-se flu´ıdos ex´oticos
de natureza desconhecida.
45
3.5 Sobre a Escolha de Uma M´etrica de Fundo
Qual a melhor escolha para uma etrica de fundo na teoria de Visser? Em princ´ıpio a
escolha de uma etrica de fundo ´e completamente arbitr´aria. No entanto com um pouco
de intui¸ao f´ısica podemos fazer a escolha mais adequada do ponto de vista cosmol´ogico.
Tomemos a equa¸ao (3.29) para o acuo:
G
µν
=
8πG
c
4
T
µν
mass
. (3.30)
Nesse caso particular a conservao de energia implica em:
ν
T
µν
mass
= 0 (3.31)
Uma vez que o tensor de massa (eq. 3.28) ´e constru´ıdo pela etrica dinˆamica e pela
m´etrica de fundo (e ao por derivadas de m´etricas), verificamos que a maneira mais
simples de satisfazer (3.31) ´e:
ν
(g
µν
0
) = 0, (3.32)
a que a divergˆencia de g
µν
´e nula por constru¸ao da derivada covariante.
Enao, a solu¸ao natural de (3.32) ´e dada por:
(g
0
)
µν
= g
µν
. (3.33)
A qual, por constru¸ao do termo massivo (3.28) leva a
T
µν
mass
= 0 (3.34)
e portanto
G
µν
= 0. (3.35)
Na ausˆencia de fontes de campos gravitacionais (ou muito distante de fontes), a solu¸ao
mais simples dessa ´ultima ´e:
g
µν
= η
µν
(3.36)
onde η
µν
´e a etrica de Minkowski e por (3.33) os temos:
(g
0
)
µν
= η
µν
. (3.37)
O significado de nosso resultado pode ser resumido dizendo que na ausˆencia de fontes
gravitacionais as duas etricas coincidem, nos deixando com uma ´unica etrica plana:
Minkowski. Na realidade, este ´e um crit´erio de simplicidade, uma vez que esperamos
46
recuperar os resultados da relatividade especial na ausˆencia de gravidade.
Tomemos, por exemplo, a divergˆencia covariante de (3.29) que nos a:
ν
[T
µν
+ T
µν
mass
] = 0. (3.38)
Se a m´etrica de fundo ´e Minkowski, quando a etrica dinˆamica for Minkowski tamb´em,
somos levados naturalmente para a conservao da energia tal qual dada na relatividade
especial:
ν
(T
µν
) = 0, (3.39)
a que o termo de massa se anula.
Se, por outro lado, a m´etrica de fundo ao for Minkowski, a relatividade especial ao
ser´a recup erada ao naturalmente quanto dessa forma. Isso porque o termo de massa ao
desaparecer´a devido ao acoplamento entre as duas m´etricas.
Com todas essas caracter´ısticas, as bases da teoria, mais uma vez, est˜ao muito pr´oximas
dos fundamentos da relatividade geral.
Nosso pr´oximo passo ´e conjecturar que se a m´etrica de fundo ´e a de Minkowski num Uni-
verso vazio enao ela tamb´em o ser´a para um Universo permeado de mat´eria e radia¸ao.
Consideramos esse argumento razo´avel, uma vez que a etrica de fundo, por defini¸ao,
ao ´e afetada pela distribui¸ao de mat´eria-energia.
A forma mais adequada para a etrica de fundo, no tratamento cosmol´ogico do pr´oximo
cap´ıtulo, ´e uma transforma¸ao de coordenadas de (3.37) para coordenadas polares es-
f´ericas. Nesse sistema de coordenadas, o elemento de linha que representa a m´etrica de
fundo Minkowskiana fica escrito na forma:
ds
2
0
= c
2
dt
2
dr
2
+ r
2
2
+ sin
2
θ
2

(3.40)
onde o ´ındice “0” indica que este ´e o elemento de linha da m´etrica de fundo.
3.6 Sobre as Equa¸oes de Movimento
Verificaremos se a equa¸ao (3.38) est´a de acordo com as equa¸oes de movimento de uma
part´ıcula teste de baixa massa, em queda livre, descrevendo uma geod´esica e, portanto,
se ela concorda com o princ´ıpio de equivalˆencia. Esse ´e um ponto importante, uma vez
que a equa¸ao de uma geoesica pode ser obtida independente das equa¸oes de campo
da teoria de gravita¸ao.
Para fazer isso, adotaremos o tensor energia-momentum para o fluido perfeito (2.16) e
reescrevemos (3.38):
[(ρ + p)U
µ
U
ν
+ pg
µν
]
;ν
= T
µν
mass ;ν
(3.41)
47
[(ρ + p)U
ν
]
;ν
U
µ
+ (ρ + p)U
µ
;ν
U
ν
= T
µν
mass ;ν
(3.42)
onde “;” passar´a a denotar a diferencia¸ao covariante por simplifica¸ao. Multiplicando
por U
µ
vem:
[(ρ + p)U
ν
]
;ν
+ (ρ + p)U
µ
U
µ
;ν
U
ν
= T
µν
mass ;ν
U
µ
(3.43)
onde utilizamos o fato de que:
U
µ
U
µ
= 1. (3.44)
Manipulando (
3.44) encontramos que:
U
µ
;ν
U
ν
= U
µ
U
ν
;ν
(3.45)
com a qual podemos reescrever a equa¸ao (
3.43) como sendo:
[(ρ + p)U
ν
]
;ν
(ρ + p)U
µ
U
ν
U
ν
;ν
= T
µν
mass ;ν
U
µ
. (3.46)
Ainda a partir de (3.44) podemos mostrar que o segundo termo de (3.46) se anula,
simplificando a express˜ao para:
[(ρ + p)U
ν
]
;ν
= T
µν
mass ;ν
U
µ
. (3.47)
Agora substitu´ımos (3.47) em (3.42) e obtemos:
U
α
T
αν
mass ;ν
U
µ
+ (ρ + p)U
µ
;ν
U
ν
= T
µν
mass ;ν
. (3.48)
Para que as equa¸oes de campo estejam de acordo com a equa¸ao de geod´esica temos:
U
µ
;ν
U
ν
= 0 , (3.49)
que pode ser reescrita como:
d
2
x
µ
2
+ Γ
µ
αν
dx
α
dx
ν
= 0 , (3.50)
onde τ ´e o tempo pr´oprio. Portanto, concu´ımos que, para que as equa¸oes de campo
de Visser concordem com as equa¸oes de movimento, devemos ter obedecida a seguinte
rela¸ao:
T
µν
mass ;ν
= U
µ
U
α
T
αν
mass ;ν
. (3.51)
e se adotamos a quadrivelocidade no referencial em repouso (2.17) essa condi¸ao reduz-se
a:
T
µν
mass ;ν
= U
µ
T
0ν
mass ;ν
(3.52)
48
que implica que apenas para µ = 0 temos um resultado ao nulo, ou seja:
T
mass ;ν
= 0 (3.53)
Note que a condi¸ao imposta para o termo de massa (eq. 3.51) ´e independente da forma
do tensor T
µν
mass
, enao a express˜ao (
3.38) ´e alida para qualquer tensor de segunda ordem
“interagindo” com o fluido perfeito.
49
50
CAP
´
ITULO 4
IMPLICA ¸C
˜
OES COSMOL
´
OGICAS DA TEORIA DE VISSER
O que podemos esperar da cosmologia resultante de uma teoria bim´etrica de gravita¸ao
com gr´avitons massivos? Tal teoria produz uma expans˜ao acelerada sem a necessidade
de uma constante cosmol´ogica?
´
E poss´ıvel estab elecer limites para a massa do gr´aviton
atrav´es de modelos cosmol´ogicos extra´ıdos dessa teoria?
´
E poss´ıvel julgar se a teoria ´e
correta ou ao atrav´es do modelo do Cosmos que ela produz?
Buscar as respostas para essas, e outras quest˜oes, ´e o objetivo do presente cap´ıtulo.
4.1 Sobre as Densidades de Energia
Os resultados obtidos no cap´ıtulo anterior nos garantem que podemos aplicar a equa¸ao
de conservao de energia (3.38) para determinar a evolu¸ao das densidades de energia
cosmol´ogicas desde que (3.51) seja satisfeita. De fato, quando calculamos a divergˆencia
covariante do tensor de massa para µ = i, a condi¸ao (3.53) ´e automaticamente satisfeita.
Assim, obteremos a evolu¸ao das densidades de energia efetivamente a partir da equa¸ao:
ν
T
0ν
= −∇
ν
T
0ν
mass
(4.1)
O resultado do termo do lado esquerdo de (4.1) a ´e conhecido do cap´ıtulo 2 e nos a:
ν
T
µν
= [ ˙ρ + 3H(ρ + p)] δ
µ
0
(4.2)
Calculando o lado direito de (4.1) utilizando RW como a etrica dinˆamica (eq. 2.15) e
(3.40) como a m´etrica de fundo encontramos a seguinte rela¸ao:
ν
T
µν
mass
=
t
3m
2
g
c
6
16πG
2
R
2
1
δ
µ
0
+3
˙
R
R
3m
2
g
c
6
16πG
2
R
2
1
+
m
2
g
c
6
16πG
2
R
4
R
2
δ
µ
0
(4.3)
Voltando nossa aten¸ao para a defini¸ao do tensor energia-momentum para fluido perfeito
(2.16) podemos fazer a seguinte identifica¸ao:
T
0
0
= ρ e T
i
j
=
i
j
(4.4)
Tomando a equa¸ao (3.28) como a representa¸ao de um fluido, podemos associar a den-
sidade de energia e a press˜ao devido ao tensor massivo por:
ρ
mass
=
3m
2
g
c
6
16πG
2
R
2
1
(4.5)
51
e
p
mass
=
m
2
g
c
6
16πG
2
R
4
R
2
. (4.6)
Assim, com o aux´ılio destas equa¸oes podemos reescrever (
4.3) na forma:
ν
T
µν
mass
= [ ˙ρ
mass
+ 3H(ρ
mass
+ p
mass
)] δ
µ
0
(4.7)
e enao, com (4.2) e (4.7) em (4.1) a express˜ao completa para a conservao de energia
nessa teoria pode ser escrita de forma simplificada como:
˙ρ + 3H(ρ + p) = [ ˙ρ
mass
+ 3H(ρ
mass
+ p
mass
)] (4.8)
A partir dessa equa¸ao podemos obter a evolu¸ao dos parˆametros de densidade cosmo-
ogicos. Em nosso caso, assumiremos um Universo com mat´eria e radia¸ao e portanto:
ρ = ρ
m
+ ρ
r
e p = p
m
+ p
r
. (4.9)
Levando (4.9) em (4.8) obtemos:
˙ρ
m
+ 3H(ρ
m
+ p
m
) + ˙ρ
r
+ 3H(ρ
r
+ p
r
) = [ ˙ρ
mass
+ 3H(ρ
mass
+ p
mass
)] (4.10)
Considerando que o termo massivo contribui isoladamente para a densidade de energia
de cada tipo de fluido podemos separar a equa¸ao anterior em duas:
˙ρ
m
+ 3Hρ
m
= α(a) [ ˙ρ
mass
+ 3H(ρ
mass
+ p
mass
)] (4.11)
e
˙ρ
r
+ 4Hρ
r
= β(a) [ ˙ρ
mass
+ 3H(ρ
mass
+ p
mass
)] , (4.12)
nas quais utilizamos as equa¸oes de estado p
m
= 0 e p
r
=
1
3
ρ
r
.
As fun¸oes α(a) e β(a) especificam os pesos com os quais o termo massivo contribui
para a densidade de energia de um dado fluido para um dado valor do fator de escala.
Para que tenhamos consistˆencia no modelo cosmol´ogico, essas fun¸oes devem obedecer
algumas caracter´ısticas:
Para que a conservao de energia seja respeitada (eq. 4.8) devemos ter α(a)+
β(a) = 1;
Quando a 0, α 0 e β 1, ou seja, o termo massivo contribui somente
para a radia¸ao no passado, quando a densidade de mat´eria ´e desprez´ıvel;
52
Quando a >> 0, α 1 e β 0, ou seja, o termo massivo contribui somente
para a mat´eria quando a densidade de radia¸ao ´e desprez´ıvel;
No momento da eq
¨
uiparti¸ao das densidades de energia da mat´eria e radia¸ao
devevemos ter α(a
eq
) = β(a
eq
).
Duas fun¸oes simples que obedecem todas essas caracter´ısticas ao:
α(a) =
A
m
a
A
m
a +
A
r
(4.13)
e
β(a) =
A
r
A
m
a +
A
r
. (4.14)
Substituindo essas fun¸oes em (4.11) e (4.12) e integrando notamos que a contribui¸ao do
termo massivo para a radia¸ao ´e desprez´ıvel ao longo de toda a evolu¸ao do Universo. Isso
porque a radia¸ao ´e dominante apenas numa fase muito curta que data aos prim´ordios
da hist´oria osmica. Assim, como os termos massivos ao proporcionais a potˆencias de
R, na ´epoca em que a densidade de radia¸ao domina, eles tornam-se desprez´ıveis.
Assim, obtemos as seguintes equa¸oes de evolao para as densidades de energia:
ρ
m
(a) =
ρ
A
m
a
3
3m
2
g
c
6
8πG
2
R
4
A
14
a
4
+
2R
2
A
5
a
2
1
2
(4.15)
e
ρ
r
(a) =
ρ
A
r
a
4
. (4.16)
Com a defini¸ao do parˆametro de densidade adimensional
ω
= ρ
ω
c
podem ser rees-
critas como:
m
(a) =
H
2
A
H
2
A
m
a
3
m
2
g
m
2
H
R
4
A
14
a
4
+
2R
2
A
5
a
2
1
2

(4.17)
e
r
(a) =
H
2
A
H
2
A
r
a
4
, (4.18)
onde
m
H
=
H
A
c
2
(4.19)
´e uma constante com unidade de massa (como veremos adiante, m
H
´e de grande impor-
ancia no contexto dessa teoria) e R
A
´e o valor atual do fator de escala.
Essas express˜oes ao constitu´ıdas da soma de duas contribui¸oes:
m
(a) =
m
(a) +
mass
m
(a) (4.20)
53
0
0.2
0.4
0.6
0.8
1
-4 -3 -2 -1 0 1
log(a)
r
(a)
m
(a)
G
(a)
total
(a)
FIGURA 4.1 Evolu¸ao dos parˆametros de densidade no modelo massivo.
e
r
(a) =
r
(a) +
mass
r
(a), (4.21)
onde
m
(a) e
r
(a) ao dados pelas equa¸oes (2.38) e (2.39) respectivamente. Esses ao
os termos provenientes puramente da RG. Enquanto os termos
mass
m
(a) =
H
2
A
H
2
m
2
g
m
2
H
1
14
a
4
R
4
A
+
2
5
a
2
R
2
A
1
2

(4.22)
e
mass
r
(a) = 0 (4.23)
ao as contribui¸oes do termo massivo devido `a mudan¸ca na interao gravitacional.
Podemos, ainda, associar um parˆametro de densidade com a equa¸ao (
4.5):
mass
(a) =
H
2
A
H
2
1
2
m
2
g
m
2
H
R
2
A
a
2
1
. (4.24)
A contribui¸ao total do tensor massivo para as densidades de energia pode ser resumida
por:
G
(a) =
mass
m
(a) +
mass
r
(a) +
mass
(a)
54
e assim
G
(a) =
H
2
A
H
2
m
2
g
m
2
H
R
4
A
14
a
4
R
2
A
10
a
2
. (4.25)
Na figura
4.1 apresentamos a evolu¸ao dos parˆametros de densidade de cada tipo de
fluido (a dedu¸ao da fun¸ao H(a), utilizada na constru¸ao dessas fun¸oes, ser´a mostrada
na pr´oxima se¸ao). Note que a evolu¸ao dos parˆametros de densidade de mat´eria e
radia¸ao ´e idˆentica ao modelo Λ-CDM. Veja tamb´em que a contribui¸ao do termo massivo
evolui da mesma forma como
Λ
(a) (fig. 2.1), desde o passado at´e o presente. Por´em, o
futuro ´e drasticamente diferente, pois teremos um valor aximo para o fator de escala.
Estudaremos esse ponto com mais detalhes nas se¸oes que seguem.
4.2 Da Dinˆamica do Universo
O caminho para a obten¸ao das equa¸oes dinˆamicas ´e similar ao processo de obten¸ao
das equa¸oes de Friedmann a partir das equa¸oes de Einstein. Se assumimos a m´etrica
RW (eq. 2.15) com k = 0 e (3.40) como a etrica de fundo e desenvolvemos as equa¸oes
de campo de Visser (eq.
3.29) obtemos:
˙
R
R
2
=
8πG
3c
2
ρ
+
3m
2
g
c
6
16πG
2
R
2
1
(4.26)
e
¨
R
R
+
1
2
˙
R
R
2
=
4πG
c
2
p
+
m
2
g
c
6
16πG
2
R
4
R
2
, (4.27)
que com o aux´ılio de (4.5) e (4.6) podem ser reescritas na forma:
˙
R
R
2
=
8πG
3c
2
[ρ
+ ρ
mass
] , (4.28)
e
¨
R
R
+
1
2
˙
R
R
2
=
4πG
c
2
[p
+ p
mass
] . (4.29)
Note que as equa¸oes (4.28) e (4.29) ao semelhantes `as equa¸oes de Friedmann e as
contribui¸oes do termo massivo aparecem como o acr´escimo de um termo de densidade
de energia e um termo de press˜ao.
Se utilizamos a defini¸ao do parˆametro de desacelera¸ao (eq. 2.28) e combinamos as
express˜oes acima chegamos a:
q(R) =
H
2
A
H
2
1
2
m
(R) +
r
(R) +
1
2
(R
2
+ 1)Ω
mass
(R)
(4.30)
55
Substituindo (4.17), (4.18) e (4.24) em (4.30) obtemos a equa¸ao de evolu¸ao do parˆa-
metro de desacelera¸ao em fun¸ao do fator de escala:
q(R) =
H
2
A
H
2
1
2
A
m
R
A
R
3
+
A
r
R
A
R
4
m
2
g
m
2
H
3
14
R
4
+
R
2
5
(4.31)
ou, em fun¸ao do fator de escala normalizado:
q(a) =
H
2
A
H
2
1
2
A
m
a
3
+
A
r
a
4
m
2
g
m
2
H
3R
4
A
14
a
4
+
R
2
A
5
a
2

. (4.32)
A evolu¸ao do parˆametro de Hubble, assim como no cap´ıtulo 2, p ode ser obtida atrav´es
de:
m
(a) +
r
(a) +
mass
(a) = 1 (4.33)
ou:
m
(a) +
r
(a) +
G
(a) = 1, (4.34)
da qual encontramos:
H
2
(a) = H
2
A
A
m
a
3
+
A
r
a
4
m
2
g
m
2
H
R
4
A
14
a
4
R
2
A
10
a
2

(4.35)
Com essa ´ultima em (4.32) obtemos enfim a express˜ao completa para a evolao do
parˆametro de desacelera¸ao em fun¸ao do fator de escala.
4.3 O Universo Observ´avel e a Massa do Gr´aviton
Veja que a equa¸ao (
4.35) a princ´ıpio possui duas constantes desconhecidas; uma delas
´e R
A
e a outra ´e m
g
. No entanto podemos estabelecer uma rela¸ao entre as duas se
tomamos (4.35) para o tempo presente (a = 1), obtendo:
A
m
+
A
r
m
2
g
m
2
H
R
4
A
14
R
2
A
10
= 1 (4.36)
ou ainda:
R
4
A
14
R
2
A
10
+
m
2
H
m
2
g
1
A
m
A
r
= 0. (4.37)
Solucionando (
4.37) para R
A
= R
A
(m
g
) encontramos:
R
A
=
7
10
1 ±
1
200
7
m
H
m
g
2
(1
)
1
2
1
2
, (4.38)
56
onde
=
A
m
+
A
r
.
Assim dado o valor atual do parˆametro de densidade da mat´eria e da radia¸ao podemos
encontrar o valor de R
A
para um dado m
g
.
Note que para que tenhamos valores reais de R
A
, o termo entre colchetes em (4.38) deve
obedecer a rela¸ao:
1
200
7
m
H
m
g
2
(1
) > 0, (4.39)
o que imp˜oe um limite inferior para a massa do gr´aviton, em nosso modelo, dado por:
m
g
>
200
7
(1
)m
H
. (4.40)
Por exemplo, se adotarmos
= 0, 05, obtemos:
m
g
> 5, 21m
H
, (4.41)
ou tomando
= 0.27:
m
g
> 4, 57m
H
. (4.42)
A constante m
H
que temos usado por simplicidade, ´e chamada de “massa de Hubble” em
[
35] e, como vemos, parece haver algo de mais fundamental devido `a coincidˆencia com a
ordem de grandeza da massa do gr´aviton. Essa quest˜ao pode ser melhor compreendida se
convertemos a rela¸ao (4.40) num limite superior para o comprimento de onda Compton
associado ao gr´aviton:
λ
g
<
200
7
(1
)
1
2
c
H
A
, (4.43)
que nos leva a
λ
g
< 0, 19
c
H
A
(4.44)
e
λ
g
< 0, 22
c
H
A
, (4.45)
para
= 0, 05 e
= 0, 27 respectivamente.
Ou seja, se o gr´aviton possuir massa, o comprimento de onda Compton associado deve ser
inferior ao tamanho atual do horizonte observ´avel, o que ´e um ponto de vista razo´avel
uma vez que o comprimento de onda Compton diz respeito ao alcance da intera¸ao.
Portanto, essa informa¸ao nos mostra que a contribui¸ao do termo massivo deve ser
relevante em nosso Universo no tempo atual.
57
4.4 A Idade do Universo
A escala de tempo que nos a a ordem de grandeza da idade do Universo em um modelo
cosmol´ogico, assim como nos modelos de Friedmann, ´e o inverso da constante de Hubble:
t
H
=
1
H
A
. (4.46)
Com o valor dado pelo sat´elite WMAP, que ´e de H
A
= 71 km s
1
Mpc
1
, chegamos a:
t
H
= 13, 7 Ganos
Esperamos portanto que um modelo cosmol´ogico razo´avel apresente idades dessa ordem,
que contempla a idade das estrelas mais antigas e o tempo de forma¸ao de estruturas.
Para calcular a idade em nosso modelo basta tomar a defini¸ao do parˆametro de Hubble:
H(a) =
1
a
da
dt
t
U
=
1
0
da
aH(a)
(4.47)
Enao, substitu´ımos (4.35) em (4.47) e com o aux´ılio de (4.38), a idade do Universo
depender´a apenas de m
g
e
.
Na figura 4.2 mostramos a dependˆencia da idade do Universo com a massa do gr´aviton,
considerando dois casos particulares. Em primeiro lugar, consideramos que a contribui¸ao
atual do termo de massa para a densidade corresponde a
A
G
= 0, 73, ou seja, o valor
atual do parˆametro de densidade que tem sido atribu´ıdo `a constante cosmol´ogica, ou a
algum dos fluido-X como vimos no cap´ıtulo 2. Nesse caso, o valor atual da densidade de
mat´eria corresponderia `a soma das densidades de mat´eria bariˆonica e de mat´eria escura.
Em segundo lugar, consideramos a possibilidade do termo massivo tamb´em representar
mat´eria escura em grandes escalas, e para tal consideramos
A
G
= 0, 95. Como vemos, a
Idade do Universo ´e bastante sens´ıvel a pequenas varia¸oes na massa do gr´aviton. Assim,
essa rela¸ao proporciona um limite superior bastante restritivo para a massa.
Para estabelecer um limite superior podemos levar em conta, por exemplo, a idade das
estrelas e aglomerados mais antigos estimada a partir da metalicidade. Essas idades
podem chegar a aproximadamente 14 Ganos (ver e.g. [36]), o que, pela figura 4.2, nos
leva a um limite de
m
g
< 1, 26 × 10
65
g (4.48)
quando
A
m
= 0, 27 e de
m
g
< 3, 53 × 10
65
g (4.49)
58
4
6
8
10
12
14
16
18
20
22
24
0 2e-65 4e-65 6e-65 8e-65 1e-64 1.2e-64 1.4e-64
Idade do Universo [Ganos]
m
g
[g]
G
=0,73
G
=0,95
FIGURA 4.2 Rela¸ao dentre a idade do Universo e a massa do gr´aviton.
para
A
m
= 0, 05. Esses valores nos deixam com limites cerca de 10 ordens de magnitude
mais restritivos do que os atuais limites impostos para a dinˆamica planet´aria no sistema
solar, e cerca de 3 ordens de magnitude mais restritivos do que as inferˆencias em aglo-
merados de gal´axias.
Resumindo esses resultados com os resultados da se¸ao precedente, a massa do gr´aviton,
nesse modelo, estar´a restrita aos intervalos:
2, 00 × 10
65
h g < m
g
3, 53 × 10
65
g para
A
G
= 0, 95 (4.50)
1, 75 × 10
65
h g < m
g
1, 26 × 10
65
g para
A
G
= 0, 73, (4.51)
onde h = 0, 71
+0,04
0,03
[1].
Note que a rela¸ao (4.38) possui duas respostas: a primeira para o sinal “+” e outra para
o sinal “-” do termo que aparece entre colchetes. Os resultados dessa se¸ao foram obtidos
utilizando a primeita alternativa. Nossa escolha foi fundamentada na curva idade × m
g
resultante para ambas as rela¸oes. Quando consideramos a segunda rela¸ao (com o sinal“-
59
), a idade do Universo ´e maior para massas maiores, o que, fisicamente, ao faz sentido.
Esperamos que quando m
g
0 recuperemos os resultados da RG, e p ortanto, que
tenhamos idades maiores. Quando tomamos maiores valores de massa o modelo deve
apresentar resultados diferentes da RG, o que significa idades menores em nosso caso.
Enao, foi para que tiv´essemos consistˆencia f´ısica, que escolhemos a primeira solu¸ao de
(4.38):
R
A
=
7
10
1 +
1
200
7
m
H
m
g
2
(1
)
1
2
1
2
, (4.52)
a qual, quando utilizada no alculo da idade, gera o comportamento da curva represen-
tada na figura 4.2.
4.5 O Passado e o Futuro
Podemos obter a hist´oria evolutiva completa do Universo integrando a equa¸ao (4.28),
uma vez que a conhecemos a evolu¸ao das densidades de energia. Utilizaremos tamb´em
a rela¸ao entre R
A
e m
g
dada por (4.52). Com isso, obtivemos numericamente a evolu¸ao
do fator de escala normalizado em fun¸ao do tempo, o resultado pode ser visto na figura
4.3.
´
E interessante notar que o comportamento da curva a(t) no passado e presente assemelha-
se `a evolu¸ao dos modelos de Friedmann com constante cosmol´ogica. Por´em, o futuro
´e drasticamente diferente. O termo massivo contribui de tal forma que, no passado ´e
capaz de gerar uma for¸ca cosmol´ogica repulsiva, tornando-a atrativa no futuro e levando
o Universo a colapsar no evento chamado de big crunch. Al´em disso, embora a evolu¸ao
seja qualitativamente a mesma para qualquer valor da massa do gr´aviton, ´e not´avel a
forte dependˆencia do tempo de evolu¸ao com m
g
. Na figura 4.4 mostramos a rela¸ao
entre o tempo de vida do Universo e a massa do gr´aviton. As curvas ao semelhantes ao
comportamento da idade visto anteriormente. Novamente, apresentamos os resultados
para o caso de
A
m
= 0, 27, que ´e a soma das densidades de mat´eria bariˆonica e mat´eria
escura, e
A
m
= 0, 05, ou seja, somente mat´eria bariˆonica.
Apresentamos, ainda, nas figuras 4.5 e 4.6 a evolu¸ao do parˆametro de Hubble em fun¸ao
do fator de escala normalizado, obtido da equa¸ao (4.35). Mais uma vez, identificamos
a semelhan¸ca entre o comportamento do Universo, no passado, em nosso mo delo e o
modelo ΛCDM apresentado na figura 2.3 do cap´ıtulo 2.
No gr´afico 4.5, fixamos um valor de m
g
e comparamos a diferen¸ca de comportamentos
quando consideramos os diferentes valores de densidade de mat´eria, os quais temos as-
sumido como possibilidade. Variar a densidade de mat´eria ou radia¸ao tem um efeito
de deslocamento da curva e para pequenos valores de a as duas curvas tendem para o
60
0
0.2
0.4
0.6
0.8
1
1.2
1.4
1.6
0 0.5 1 1.5 2 2.5 3
a(t)
t/t
H
m
g
= 1,2e-65 g
m
g
= 5,0e-65 g
m
g
= 2,0e-65 g
FIGURA 4.3 Evolu¸ao do fator de escala normalizado com o tempo (em unidades do
tempo de Hubble).
20
40
60
80
100
1e-65 2e-65 3e-65 4e-65 5e-65 6e-65 7e-65 8e-65 9e-65 1e-64 1.1e-64 1.2e-64
Tempo de vida do Universo [Ganos]
m
g
[g]
Dens. mat. = 0.044
Dens. mat .= 0.27
FIGURA 4.4 Rela¸ao entre o tempo de vida do Universo com a massa do gr´aviton.
mesmo comportamento. a no gr´afico 4.6 fixamos um valor de densidade para a mat´eria
e comparamos o comportamento da curva para diferentes valores de massa para o gr´a-
viton. Repare que no passado as curvas confundem-se, mostrando, mais uma vez, que
61
FIGURA 4.5 Evolu¸ao do parˆametro de Hubble em fun¸ao do fator de escala norma-
lizado. A curva azul corresponde a
A
m
=
A
b
= 0, 044 enquanto a verde
corresponde a
A
m
= 0, 27. As duas curvas foram constru´ıdas usando
m
g
= 1.4 × 10
65
g.
o termo massivo tem influˆencia numa ´epoca mais tardia da hist´oria do Universo. Essa
caracter´ıstica tamb´em pode ser observada na evolu¸ao de a(t) vista na figura
4.3, a que
H(a) a a evolu¸ao modulada da derivada temporal do fator de escala. Na realidade,
devido `a estrutura da contribui¸ao do termo massivo para o parˆametro de Hubble (eq.
4.35), quando a 0 ele pode ser desprezado se comparado com a contribui¸ao da ma-
t´eria e radia¸ao.
O ponto em que as curvas tocam o eixo das abcissas corresponde ao valor aximo que
o fator de escala atinge (turn point), e pode ser calculado fazendo-se:
H(a
max
) = 0. (4.53)
Quanto menor a massa do gr´aviton maior ´e esse valor. Isso mostra a rela¸ao entre o
ponto de retorno e o alcance da intera¸ao gravitacional, pois quanto menor a massa do
gr´aviton maior ´e o comprimento de onda Compton associado.
A contra¸ao que se inicia ap´os a
max
pode ser representada pelo mesmo gr´afico de H(a)
com os sinais trocados (ou seja, ˙a < 0).
62
FIGURA 4.6 Evolu¸ao do parˆametro de Hubble para diferentes valores de m
g
. Utili-
zamos
A
m
= 0, 27
.
4.6 Universo Acelerado?
Na figura 4.7 e 4.8 apresentamos a evolu¸ao do parˆametro de desacelera¸ao (eq. 4.32)
cuja express˜ao derivamos anteriormente.
Vemos que ter uma expans˜ao acelerada no tempo presente ´e um fator fortemente depen-
dente do valor de m
g
e dos parˆametros de densidades atuais que consideramos. Quanto
ao passado, o Universo tem uma fase de expans˜ao desacelerada tal qual apresentada no
modelo XCDM. O crescimento da fun¸ao q(a) no futuro ´e explicado pela revers˜ao na
expans˜ao que vimos na se¸ao anterior. No ponto de retorno, o valor do parˆametro de
desacelera¸ao vai a infinito. No per´ıodo de contra¸ao, os valores de q(a) ao os mesmos
do que aqueles para a expans˜ao, indicando que, em um ciclo completo, temos duas fases
aceleradas, uma enquanto o Universo se expande, e outra quando est´a em contra¸ao.
Para verificar a dependˆencia entre o valor atual do parˆametro de desacelera¸ao e os
parˆametros de densidade basta fazer a = 1 na equa¸ao (4.32):
q
A
=
A
m
2
+
A
r
m
g
m
H
2
3R
4
A
14
+
R
2
A
5
. (4.54)
Apresentamos essa dependˆencia na figura
4.9. Se assumimos
A
m
= 0, 27 teremos o Uni-
63
FIGURA 4.7 Evolu¸ao do parˆametro de desacelera¸ao em fun¸ao do fator de escala
normalizado. A curva azul corresponde a
A
m
=
A
b
= 0, 044 enquanto
a verde corresponde a
A
m
= 0, 27. As duas curvas foram constru´ıdas
usando m
g
= 1.4 × 10
65
g.
verso acelerado no presente para m
g
< 1, 27 ×10
65
g. Se
m
= 0, 044 ent˜ao o Universo
estar´a acelerado no tempo presente se m
g
< 1, 47 × 10
65
g.
´
E interessante notar que esse resultado ´e compat´ıvel com universos de idades e ciclos
maiores, o que pode indicar uma tendˆencia para o melhor modelo nessas faixas de mas-
sas. No entanto, ´e poss´ıvel obter um modelo com idade coerente e com desacelera¸ao
no presente. Assim, o modelo poderia explicar a grande parcela de densidade de ener-
gia desconhecida, por´em sem proporcionar uma fase de expans˜ao acelerada no tempo
presente, embora tenhamos obrigatoriamente fases de acelera¸ao na hist´oria do Universo
independentemente do valor da massa do gr´aviton.
A ´unica evidˆencia at´e o momento de uma fase de expans˜ao acelerada no tempo presente
prov´em da observao das Supernovas do tipo Ia a altos redshifts. Por´em os dados obser-
vacionais indicam que a acelera¸ao da expans˜ao no tempo presente quando confrontados
com os modelos XCDM, as de Chaplygin ou outros.
´
E de suma importˆancia, p ortanto,
que nosso modelo possa explicar as observoes e, o assim, poderemos decidir sobre a
expans˜ao acelerada atual nesse novo contexto.
O estudo dos observ´aveis no modelo massivo ser´a assunto do pr´oximo cap´ıtulo.
64
FIGURA 4.8 Evolu¸ao do parˆametro de desacelera¸ao para diferentes valores de m
g
.
Foi utilizado
A
m
= 0, 27
65
-1
-0.5
0
0.5
1
1.5
1.2e-65 1.25e-65 1.3e-65 1.35e-65 1.4e-65 1.45e-65 1.5e-65 1.55e-65
q
A
m
g
[g]
Dens. mat. = 0.27
Dens. mat. = 0.044
0
FIGURA 4.9 Rela¸ao entre o valor atual do parˆametro de desacelera¸ao, a massa do
gr´aviton e
A
m
66
CAP
´
ITULO 5
TESTANDO O MODELO
5.1 O Redshift
A informa¸ao mais importante a respeito do fator de escala R(t) prov´em das observoes
dos deslocamentos em freq
¨
uˆencia da luz emitida por fontes distantes. Para calcular tal
deslocamento, podemos nos colocar na origem r = 0 das coordenadas (de acordo com
o princ´ıpio cosmol´ogico, isso ´e mera conven¸ao) e considerar uma onda eletromagn´etica
viajando at´e os ao longo da dire¸ao r, com θ e φ fixados. Na teoria de Visser, assim
como na teoria de Einstein, ´e a m´etrica dinˆamica a respons´avel por descrever as equa¸oes
de movimento. Da etrica RW (2.15), a equa¸ao de movimento de uma frente de crista
de onda ´e ent˜ao (e.g. [17]):
ds
2
= c
2
dt
2
R
2
(t)
dr
2
1 kr
2
= 0. (5.1)
Se a onda deixa uma gal´axia t´ıpica, localizada em r
1
, θ
1
, φ
1
, no temo t
1
, enao ela chegar´a
a os no tempo t
0
1
dado por:
t
0
t
1
cdt
R(t)
= f(r
1
), (5.2)
onde f(r
1
) ´e independente do tempo, e dada por:
f(r
1
)
r
1
0
dr
1 kr
2
=
sin
1
r
1
k = +1
r
1
k = 0
sinh
1
r
1
k = 1
Se a pr´oxima crista deixa r
1
no tempo t
1
+ δt
1
, ela nos alcan¸car´a no tempo t
0
+ δt
0
, que
mais uma vez ´e dado por:
t
0
+δt
0
t
1
+δt
1
cdt
R(t)
= f(r
1
) . (5.3)
Considerando que R(t) varia muito pouco no per´ıodo t´ıpico de um sinal luminoso, po-
demos fazer:
t
0
+δt
0
t
1
+δt
1
cdt
R(t)
=
t
0
t
1
cdt
R(t)
. (5.4)
1
Neste cap´ıtulo, utilizaremos o ´ındice “0” para simbolizar quando o valor das grandezas for tomado
no tempo atual
67
Renomeando a integral:
cdt
R(t)
= A(t) e
dA(t)
dt
=
1
R(t)
, (5.5)
podemos reescrever (5.4) na forma:
A(t
0
+ δt
0
) A(t
1
+ δt
1
) = A(t
0
) A(t
1
)
A(t
0
+ δt
0
) A(t
0
) = A(t
1
+ δt
1
) A(t
1
)
δt
0
A(t
0
+ δt
0
) A(t
0
)
δt
0
= δt
1
A(t
1
+ δt
1
) A(t
1
)
δt
1
(5.6)
Tomando δt
0
0 e δt
1
0, a equa¸ao (5.6) fica:
δt
0
dA(t)
dt
t
0
= δt
1
dA(t)
dt
t
1
, (5.7)
e por (5.5) encontramos:
δt
0
R(t
0
)
=
δt
1
R(t
1
)
. (5.8)
A freq
¨
uˆencia observada ν
0
´e, enao, relacionada com a freq
¨
uˆencia emitida por:
ν
0
ν
1
=
δt
1
δt
0
=
R(t
1
)
R(t
0
)
. (5.9)
Essa rela¸ao pode ser convenientemente expressa atrav´es do parˆametro conhecido como
redshift z. Ele ´e definido como a fra¸ao do crescimento do comprimento de onda:
z
λ
0
λ
1
λ
1
=
ν
1
ν
0
1 , (5.10)
assim temos:
a(t) =
1
1 + z
, (5.11)
onde a(t) = R(t)/R(t
0
) e t ´e o tempo em que o oton foi emitido.
Assim, se o Universo est´a expandindo, ent˜ao R(t
0
) > R(t), e (5.11) a um deslocamento
para o vermelho, enquanto que se o Universo est´a contraindo, ent˜ao R(t
0
) < R(t), e
(5.11) a um desvio para o azul.
5.2 Uma Defini¸ao Cosmol´ogica de Distˆancia
Nossa defini¸ao de distˆancia ser´a baseada na luminosidade aparente de uma fonte dis-
tante.
68
Seja E = a energia de um oton emitido pela fonte, e E
0
=
0
a energia observada
do mesmo oton. Devido `a expans˜ao do Universo, por (5.10), a energia recebida ´e dada
por E
0
= (z + 1)
1
, ou seja, a energia recebida ´e reduzida por um fator (1 + z)
1
em
rela¸ao `a energia emitida:
E
0
=
E
(z + 1)
. (5.12)
Admitindo que a fonte irradie isotropicamente, e que os otons ao emitidos num intervalo
de tempo δt, num per´ıodo T o n´umero de otons emitidos ´e:
T
δt
= n .
No mesmo intervalo de tempo, numa superf´ıcie esfericamente sim´etrica distante, ao redor
da fonte, o n´umero de otons que chegam ´e:
T
δt
0
= n
0
.
Fazendo a raz˜ao entre essas duas equa¸oes:
δt
δt
0
=
n
0
n
, (5.13)
e por (5.9) encontramos que o n´umero de otons que chegam na superf´ıcie esf´erica ´e
alterado por
n
0
= n(1 + z)
1
. (5.14)
Assim, a energia total recebida da fonte no per´ıodo T ´e:
E
T
0
= n
0
E
0
E
T
0
=
E
T
(z + 1)
2
, (5.15)
onde E
T
= nE ´e a energia total que emana da fonte no mesmo intervalo de tempo.
Dessa forma, o fluxo recebido ´e alterado pelo mesmo fator:
F
0
=
F
(z + 1)
2
. (5.16)
Considere, agora, que a luz emanada da fonte P no tempo t
1
, ´e observada por os
“agora” em O no tempo t = t
0
(t
1
< t
0
)(ver figura 5.1). A luz se espalhar´a para fora da
superf´ıcie de uma esfera com centro no evento P
0
(t = t
0
, r = r
1
) passando no evento
O
0
(t = t
0
, r = 0). A ´area superficial dessa esfera ´e a mesma da esfera centrada em
O
0
passando atrav´es de P
0
(linha pontilhada da fig. 5.1) devido `a homogeneidade. Essa
69
FIGURA 5.1 Luz de P
1
espalhando-se sobre uma esfera passando por O
0
. Figura de
[16]
esfera possui raio R(t
0
)r
1
e, portanto, sua ´area superficial ´e 4πR
2
(t
0
)r
2
1
. Assim, o fluxo
ser´a dado por:
F =
L
4πr
2
1
R
2
(t
0
)
, (5.17)
onde L ´e a liminosidade absoluta da fonte. Pela equa¸ao (
5.16) o fluxo observado fica
[16]:
F
0
=
L
4πr
2
1
R
2
(t
0
)(1 + z)
2
, (5.18)
ou
F
0
=
L
4πd
2
L
, (5.19)
onde d
L
´e a distˆancia de luminosidade:
d
L
= r
1
R(t
0
)(1 + z) (5.20)
70
5.3 A Distˆancia de Luminosidade e a Massa do Gr´aviton
A distˆancia de luminosidade depende tanto da curvatura espacial quanto da dinˆamica
da expans˜ao do Universo. Para demonstrar isso, tomemos novamente a express˜ao (5.1)
que, como vimos, resulta em:
r
0
dr
1 kr
2
=
t
0
t
cdt
R(t)
= ϑ , (5.21)
que nos a
r = sin ϑ k = +1
r = ϑ k = 0
r = sinh ϑ k = 1
Pela defini¸ao do parˆametro de Hubble e por (5.11) temos que:
dz
dt
= (1 + z)H(z) , (5.22)
que nos permite reescrever a rela¸ao (5.21) na forma:
ϑ =
t
0
t
cdt
R(t)
=
c
R
0
H
0
z
0
dz
h(z
)
, (5.23)
onde h(z) = H(z)/H
0
. Tomando a equa¸ao de Friedmann (2.18) para o tempo atual,
temos a seguinte rela¸ao para o parˆametro de densidade total do Universo:
k
R
2
0
H
2
0
=
total
1 . (5.24)
Assim, com (5.24) e (5.23) em (5.20) temos a express˜ao geral para a distˆancia de lumi-
nosidade num Universo com diversos componentes [37]:
d
L
(z) =
(1 + z)cH
1
0
|
total
1|
1
2
S(ϑ) (5.25)
onde
ϑ = |
total
1|
1
2
1
0
dz
h(z
)
, (5.26)
71
e S(ϑ) ´e definido como segue:
S(ϑ) =
sin ϑ k = +1 (Ω
total
> 1)
ϑ k = 0 (Ω
total
= 1)
sinh ϑ k = 1 (Ω
total
< 1)
Tomando, por exemplo, o mo delo com mat´eria dominante e Universo plano, temos:
d
MD
L
= (1 + z)cH
1
0
z
0
dz
h(z
)
= (1 + z)cH
1
0
z
0
dz
(1 + z
)
3
2
(5.27)
d
MD
L
= 2cH
1
0
(1 + z) (1 + z)
1
2
. (5.28)
Para a solu¸ao de de Sitter (Ω
Λ
= 1 e
m
= 0), a distˆancia de luminosidade ´e simplificada
para:
d
dS
L
= cH
1
0
z(1 + z) . (5.29)
Considerando o modelo com mat´eria, radia¸ao e constante cosmol´ogica, a equa¸ao (5.25)
fica:
d
ΛCDM
L
= (1 + z)cH
1
0
z
0
dz
0
m
(1 + z
)
3
+
0
r
(1 + z
)
4
+
0
Λ
, (5.30)
e para o modelo que constru´ımos a partir da teoria de Visser, utilizando a equa¸ao (4.35),
ficamos com:
d
mass
L
= (1 + z)cH
1
0
z
0
dz
Π(z
) , (5.31)
onde
Π(z
) =
(1 + z
)
4
0
m
(1 + z
)
7
+
0
r
(1 + z
)
8
(m
g
/m
H
)
2
[R
4
0
/14 (R
2
0
/10)(1 + z
)
2
]
. (5.32)
Se utilizamos a rela¸ao entre o fator de escala tomado para o tempo atual, e a massa do
gr´aviton (eq. 4.52), os parˆametros livres para a rela¸ao (5.31) ao
0
r
,
0
m
e m
g
.
Calculamos numericamente a distˆancia de luminosidade para o modelo massivo e para
o modelo ΛCDM. Na figura 5.2 comparamos esses dois modelos e, de forma ilustrativa,
graficamos tamb´em d
MD
L
(z) e d
dS
L
(z). O alculo da distˆancia de luminosidade d
mass
L
que
apresentamos nessa figura foi realizado utilizando m
g
= 1, 25 × 10
65
g e
0
m
= 0, 27, no
entanto ´e interessante verificar, tamb´em, como se comporta a distˆancia de luminosidade
para outras combina¸oes de parˆametros.
Na figura 5.3 apresentamos diferentes possibilidades, inclusive para
0
m
= 0, 04 que,
como vemos, para certos valores de massa, aproxima-se da curva d
ΛCDM
L
(z) para baixos
redshifts. De outra forma, a distˆancia de luminosidade calculada para
0
m
= 0, 27 descreve
72
FIGURA 5.2 Distˆancia de luminosidade (em unidades de cH
1
0
) para o modelo mas-
sivo, ΛCDM, mat´eria dominante e de Sitter.
o mesmo comportamento que no modelo ΛCDM, sendo p oss´ıvel ajustar uma dado valor
de massa para o gr´aviton que sobrep˜oe as duas curvas, esse valor ´e m
g
1, 4 × 10
65
g.
Para esse valor de massa, o parˆametro de desacelera¸ao possui valor positivo no tempo
atual (ver fig 4.9), ou seja, o modelo nos fornece expans˜ao desacelerada no tempo atual
para a mesma evolu¸ao que, no modelo ΛCDM, nos fornece expans˜ao acelerada.
No entanto, a diferen¸ca entre as curvas com diferentes valores de massa ´e muito sutil,
aumentando pouco para altos redshifts. Note, por exemplo, os valores de massa para o
gr´aviton que escolhemos na figura 5.3, o menor valor corresponde a q
A
< 0, enquanto o
maior corresponde a q
A
> 0.
´
E claro que, nesses casos, os menores valores ao prefer´ıveis,
uma vez que eles proporcionam um modelo de Universo com maiores valores de idade.
Para verificar as diferˆen¸cas entre a distˆancia de luminosidade no modelo massivo e no
modelo com costante cosmol´ogica, graficamos d
mass
L
(z) × d
ΛCDM
L
na figura 5.4
Estivemos comparando nosso modelo com o modelo ΛCDM que melhor ajusta os dados
observacionais (Ω
m
= 0, 27 e
Λ
= 0, 73), no entanto, esse modelo possui suas limita¸oes.
Assim, faz-se mister a compara¸ao direta do modelo massivo com os dados observacionais.
A pr´oxima se¸ao ser´a dedicada a essa tarefa.
73
FIGURA 5.3 Distˆancia de luminosidade (em unidades de cH
1
0
) para diferentes com-
bina¸oes dos parˆametros
0
m
e m
g
comparadas com o modelo ΛCDM. A
legenda est´a dada da seguinte forma: (Ω
0
m
; m
g
[1 × 10
65
g])
5.4 As Supernovas Tipo Ia
Supernova ´e uma explos˜ao estelar que produz um plasma remanescente extremamente
brilhante, que pode emitir na regi˜ao vis´ıvel do espectro por semanas ou meses. a dife-
rentes tipos de supernovas e duas poss´ıveis rotas para sua formao. Uma estrela massiva
pode cessar de gerar energia por fus˜ao dos n´ucleos atˆomicos em sua regi˜ao central e co-
lapsar sob a ao de sua pr´opria gravidade, formando uma estrela de eutrons ou um
buraco negro, ou uma an˜a branca pode acumular material de uma estrela companheira
at´e atingir o limite de Chandrasekhar.
As supernovas do tipo Ia correspondem `a segunda classe e ao caracterizadas pela au-
sˆencia completa de linhas de hidrogˆeneo e h´elio, al´em de uma distinta e forte linha de
absor¸ao pr´oxima a 6100
˚
A, a qual vem de um dubleto de sil´ıcio uma vez ionizado. O
alto valor de sua luminosidade (M
B
19, 5) sugere que ela pode ser vista a grandes
distˆancias, o que a torna um candidato ideal para medir e restringir os parˆametros cosmo-
ogicos. A importˆancia crucial em utilizar as supernovas tipo Ia para estimar a distˆancia
de luminosidade d
L
vem da observao de que: (a) a dispers˜ao em sua luminosidade
axima ´e extremamente pequena ( 0, 3); (b) a largura da curva de luz da supernova
74
0
1
2
3
4
5
0 1 2 3 4 5
d
mass
d
Λ-CDM
0,04; 1,46
0,04; 2,50
0,27; 1,25
0,27; 1,50
d
Λ-CDM
=d
mass
FIGURA 5.4 Compara¸ao entre as distˆancias de luminosidades (em unidades de cH
1
0
)
calculada no modelo massivo e no modelo ΛCDM para diferentes combi-
na¸oes dos parˆametros
0
m
e m
g
. A legenda est´a dada da seguinte forma:
(Ω
0
m
; m
g
[1 × 10
65
g]).
est´a fortemente correlacionada com sua luminosidade intr´ınseca: uma supernova mais
brilhante ter´a uma curva de luz mais larga indicativa de um decl´ınio mais gradual do
brilho. As caracter´ısticas (a) e (b) reduzem a dispers˜ao da luminosidade absoluta da
supernova do tipo Ia para 10% [37] tornando-as excelentes “velas padr˜ao” (standard
candle).
Na figura 5.5 mostamos a compara¸ao entre os espectros de uma supernova descoberta
em janeiro de 1999 [38] com outra supernova em diferente redshift. A figura ilustra que
ao a diferen¸ca significativa, o que a suporte `a hip´otese de vela padr˜ao.
No intuito de restringir os parˆametros cosmol´ogicos, levantamentos de supernovas tipo
Ia foram realizados por alguns grupos de pesquisa tais como o Supernova Cosmology
Project [2], o High-z Supernova Search Team [40] ou mais recentemente Riess et al [39]
entre outros.
75
FIGURA 5.5 Compara¸ao espectral entre duas supernovas tipo Ia a alto (z = 0, 46) e
baixo (z = 0, 0) redshift mostrando uma not´avel similaridade. Figura de
[38].
Uma quantidade de particular interesse nesse contexto ´e a magnitude aparente m de um
objeto de magnitude absoluta M, que relaciona-se com o redshift por:
µ m M = 5 log(d
L
) 5 + A, (5.33)
onde µ ´e conhecido como odulo de distˆancia, A ´e a absor¸ao em magnitudes e d
L
´e a
distˆancia de luminosidadeluminosidade (em pc) dep endente da cosmologia que estuda-
mos nas se¸oes anteriores. Num modelo XCDM, a rela¸ao (5.33) pode ser utilizada, em
princ´ıpio, para determinar os parˆametros
m
e
total
se m e M ao conhecidos dentro de
limites razo´aveis. Em nosso modelo ela nos permitir´a determinar tamb´em m
g
.
76
32
34
36
38
40
42
44
46
48
0 0.5 1 1.5 2
µ
z
Dados de Riess et al (2004)
Modelo Λ-CDM
FIGURA 5.6 Melhor ajuste do odulo de distˆancia te´orico (curva olida), obtida a
partir do modelo Λ-CDM, com os dados da tabela 5 de [39]. As barras
de erro ao aquelas tomadas dos dados publicados.
Na figura 5.6 reproduzimos o melhor ajuste no modelo ΛCDM utilizando (5.30) em
(5.33). A curva te´orica ´e comparada com os dados de Riess et al [39]. O pr´oximo passo
´e comparar nosso modelo com os dados observacionais. Aplicando (5.31) em (5.33) obte-
mos como o odulo de distˆancia se comporta com o redshift. Na figura 5.7 comparamos o
modelo massivo para alguns valores de massa do gr´aviton e para os valores de densidade
da mat´eria que temos tomado como padr˜oes. Veja que o melhor ajuste para todos os da-
dos (e o que descreve o mesmo comportamento que o modelo Λ-CDM) ´e obtido quando
utilizamos
m
= 0, 27. Pequenas varia¸oes na massa do gr´aviton, para esse valor de den-
sidade relativa da mat´eria, ao alteram a concordˆancia com os pontos observacionais,
as curvas para m
g
= 1, 25 × 10
65
g e m
g
= 1, 35 × 10
65
g est˜ao praticamente sobre-
postas e caem perfeitamente dentro das barras de erro. No entanto, o primeiro valor nos
confere um universo acelerado no tempo presente (ver fig. 4.9), enquanto o segundo nos
guia para uma solu¸ao desacelerada. Assim, em princ´ıpio, nosso modelo po de explicar os
dados sem a necessidade de impor um universo acelerado no tempo presente, embora ele
tenha passado por uma fase de acelera¸ao da expans˜ao no passado. O modelo massivo
admite, inclusive, a possibilidade de que o universo esteja se expandindo com velocidade
77
32
34
36
38
40
42
44
46
48
0 0.5 1 1.5 2
µ
z
Dados de Riess et al (2004)
0,27; 1,35
0,27; 1,25
0,04; 1,45
0,04; 1,75
FIGURA 5.7 Compara¸ao entre o odulo de distˆancia te´orico, obtida a partir do mo-
delo massivo, com os dados da tab ela 5 de [39]. A legenda ´e dada na
seguinte forma: (Ω
m
; m
g
[10
65
g]) As barras de erro ao aquelas toma-
das dos dados publicados.
constante no tempo presente (q
A
= 0), o valor para a massa do gr´aviton nesse caso seria
de 1, 28 × 10
65
g quando utilizamos
m
= 0, 27.
Voltemos nossa aten¸ao para o caso
m
= 0, 04. O que vemos pela figura 5.7 ´e que, para
m
g
= 1, 45×10
65
g (q
A
< 0), a curva ´e condizente com as observoes at´e z 1, 2. Para
redshifts mais altos, os objetos observados deveriam parecer menos brilhantes segundo
essa curva. Mas, veja que a quantidade de dados para redshifts mais altos ´e menor, o
que mostra tamb´em a dificuldade em se observar objetos muito distantes. Para maiores
valores de massa do gr´aviton, a curva se distancia mais dos dados, como ´e o caso da
curva para m
g
= 1, 75 ×10
65
g (q
A
> 0). Mesmo assim essa curva ainda est´a dentro das
barras de erros para baixos redshifts.
Essa an´alise nos motiva a escolher
m
= 0, 27 e valores de massa para o gr´aviton pr´oxi-
mas ao limite inferior como sendo os parˆametros que proporcionam melhor concordˆancia
78
com as observoes. No entanto, como a mencionamos, as diferen¸cas mais significativas
na escolha de diferentes parˆametros aparecem para altos redshifts (z 1, 2). Assim,
somente o ac´umulo de observoes de eventos cada vez mais distantes pode nos levar a
uma inferˆencia a respeito dos corretos valores dos parˆametros.
79
80
CAP
´
ITULO 6
CONCLUS
˜
AO
a um fato not´avel que emerge do modelo obtido. Veja que, nas an´alises que fizemos
a respeito da massa do gr´aviton, em todos os casos, a massa tende para um mesmo, e
muito pequeno, conjunto de poss´ıveis valores.
Analisemos em particular o caso
m
= 0, 27. No alculo da idade obtivemos os limites
(4.51), sendo que o limite superior depende do valor da idade que admitimos, em nosso
caso assumimos um modelo com idade m´ınima de 14Ganos. Dentro das massas poss´ıveis
nesse intervalo, a curva µ × z praticamente ao ´e alterada, sendo condizente com as
observoes das supernovas do tipo Ia (ver fig. 5.7) e mais, o comportamento dessa curva
´e o mesmo do melhor ajuste previsto pelo modelo ΛCDM para os redshifts observados.
Enao esperamos que a massa do gr´aviton possua um valor muito pr´oximo do limite
inferior para que o modelo tenha consistˆencia.
´
E justamente para esses pequenos valores
que teremos um modelo acelerado no tempo presente. No entanto, ´e importante ressal-
tar, mais uma vez, que a linha divis´oria entre um Universo acelerado ou desacelerado no
tempo atual ´e extremamente sens´ıvel ao valor da massa do gr´aviton. De tal forma que
se relaxarmos um pouco o crit´erio do valor m´ınimo da idade, somos capazes de descrever
as observoes das Supernovas sem que o Universo esteja acelerado no tempo presente,
embora tenha passado inevitavelmente por uma fase acelerada em sua hist´oria evolutiva.
Sendo assim, nossa conclus˜ao a respeito desse modelo, que podemos chamar (abusando
da linguagem) de massCDM, ´e que ao ´e poss´ıvel distingu´ı-lo do ΛCDM a partir das
observoes das Supernovas tipo Ia.
E o caso
m
= 0, 04? A mesma figura 5.7 nos mostra que os dados podem ser explicados
para at´e aproximadamente z = 1, 2 para um dado valor de massa. Para redshifts mais
altos, como a vimos, o modelo sai dos pontos exp erimentais e ao ´e capaz de descrever
ao bem os dados como o modelo ΛCDM ou massCDM. Mas ´e importante ressaltar a
baixa quantidade de dados para altos redshifts, o que ao nos deixa em posi¸ao de ex-
cluir o modelo sem outros testes ou medidas em maiores distˆancias. Mas aqui devemos
estar atentos a um ponto. Explicar mat´eria ou energia escura ao tarefas distintas. A
energia escura ´e necess´aria para as escalas cosmol´ogicas, e como vimos, em princ´ıpio,
nosso modelo ´e capaz de explic´a-la. Por outro lado, a mat´eria escura ´e necess´aria a em
escalas gal´acticas, devido `a diferen¸ca observada nas curvas de rota¸ao te´orica (utilizando
gravita¸ao Newtoniana) e exp erimental, surgindo a necessidade ent˜ao de impor a exis-
tˆencia de mat´eria adicional ao observada ou de uma modifica¸ao na lei de gravita¸ao.
Esses resultados utilizam-se do limite ao relativ´ıstico e, nesse limite, a teoria de Visser
resulta num potencial do tipo Yukawa. Para gr´avitons com massas da ordem qua estamos
81
considerando ( 10
65
g), o potencial de Yukawa deve prever os mesmos resultados que o
Newtoniano para escalas do tamanho de gal´axias t´ıpicas [41], pois estes valores de massa
nos conferem um comprimento de onda Compton da ordem do tamanho do Universo
observ´avel. Desse ponto de vista conclu´ımos que o modelo massivo ao po de explicar a
mat´eria escura.
Vale ressaltar que, algumas id´eias na constru¸ao de nosso modelo foram assumidas a
priori como por exemplo os valores das densidades de energia e a planura do Universo
(k = 0). Embora sejam conceitos bem aceitos de forma geral, ´e interessante manter es-
ses parˆametros livres e, atrav´es de estudos estat´ısticos, determin´a-los pelas observoes
atrav´es dos melhores ajustes com os dados.
Cabe aqui algumas palavras sobre a curvatura espacial na teoria de Visser. Se a etrica
dinˆamica ao for plana, ´e consistente conceitualmente utilizarmos uma m´etrica de fundo
tipo Minkowski? Ou, de outra forma, a etrica de fundo deveria descrever a mesma
curvatura que a etrica dinˆamica? ao quest˜oes para as quais ainda ao temos respos-
tas, mas que ao importantes na constru¸ao de um modelo completo que seja capaz de
abarcar todas as possibilidades. o o que podemos adiantar ´e que, se as curvaturas das
duas etricas forem distintas a complexidade das equa¸oes aumenta consideravelmente.
De qualquer forma, esse ´e apenas um primeiro teste para o modelo cosmol´ogico com
gr´avitons massivos. Muitas outras quest˜oes podem ser levantadas para testar o modelo,
dentre elas podemos ressaltar algumas, por exemplo: como ´e o cen´ario de forma¸ao de
estruturas?
´
E poss´ıvel reproduzir o espectro de potˆencia da radia¸ao osmica de fundo
nesse modelo? Como se daria a evolu¸ao de ondas gravitacionais primordiais nesse con-
texto?
´
E poss´ıvel encontrar alguma assinatura na CMB que indique a existˆencia de um
gr´aviton com massa ao nula?
Em particular, o chamado modo-B de polariza¸ao da CMB nos fornece uma oportuni-
dade ´unica de disting
¨
uir entre efeitos de perturba¸oes tensoriais (ondas gravitacionais) e
escalares, uma vez que este ´e excitado apenas por modos tensoriais ou vetoriais [42].
Deste ponto de vista, futuras miss˜oes com sat´elites, como o Planck, os quais ter˜ao sensi-
bilidade suficiente para detectar ou estabelecer limites para o modo-B da CMB predito
pelos modelos inflacion´arios mais simples, podem representar o primeiro detector espa-
cial de ondas gravitacionais [43]. Ent˜ao, as futuras miss˜oes da CMB apresentar˜ao uma
forma alternativa de impor um novo limite superior para a massa do gr´aviton e para
restringir o n´umero de modos de polariza¸ao das ondas gravitacionais.
No que diz respeito `a detec¸ao de ondas gravitacionais, podemos dizer que atraes de seu
estudo experimental ser´a poss´ıvel testar diretamente a gravidade no regime radiativo. A
RG poder´a ser testada como nunca antes havia sido, e novos limites ser˜ao impostos `as
teorias alternativas.
82
Um aspecto interessante dentro do estudo de fontes de radia¸ao gravitacional, ´e que os
modelos inflacion´arios prevˆeem a gera¸ao de um fundo estoastico de ondas gravitacio-
nais primordiais. Esse fundo ´e uma consequˆencia da amplifica¸ao da parte “tranversa e
sem tra¸co” das flutua¸oes quˆanticas do tensor m´etrico. O resultado disso ´e a forma¸ao de
um fundo estoastico primordial de ondas gravitadionais distribu´ıdo sobre uma grande
faixa de frequˆencias [44].
A forma e as caracter´ısticas de um fundo estoastico detectado ao dependentes tanto
da cosmologia como da teoria de gravita¸ao adotada. Esperamos portanto, que teorias
alternativas de gravita¸ao, como a teoria de Visser, apresentem fundos estoasticos dis-
tintos dos previstos pela RG. Esta via constitui-se numa maneira de identificar a correta
teoria de gravita¸ao.
Esses estudos ao de encontro aos interesses do Grupo Gr´aviton da Divis˜ao de Astrof´ı-
sica do INPE. Algumas das quest˜oes levantadas neste cap´ıtulo ser˜ao analisadas de forma
direta no meu projeto de doutoramento.
Embora o valor da massa do gr´aviton possa ser ao pequeno e ao venha a ser relevante
para o sistema solar, a um teste simples, que pode servir para limitar a massa do gr´a-
viton ou ainda pode ser um fator excludente da teoria de Visser. Trata-se do avan¸co
do perih´elio da ´orbita dos planetas. Esse problema a ´e conhecido de longa data e, na
relatividade geral, sua solu¸ao surge considerando-se termos perturbativos na ´orbita, que
prov´em da utiliza¸ao de uma m´etrica esfericamente sim´etrica para o acuo: a m´etrica de
Schwarzschild. Os resultados da RG est˜ao em b om acordo com as observoes. A quest˜ao
´e que na teoria de Visser, a solu¸ao que encontrar´ıamos cosiderando simetria esf´erica no
acuo e na presen¸ca de campos gravitacionais seria diferente da etrica de Schwarzs-
child. Enao, ser´a que essa nova etrica estaria tamb´em de acordo com as observoes?
Esta ´e uma quest˜ao importante que deve, com certeza ser levada em considera¸ao.
Como vemos, essa ´e uma teoria que apenas est´a come¸cando a ser explorada, mas que
demanda aten¸ao em virtude dos bons resultados obtidos no que diz respeito `a cosmo-
logia. Perante os atuais modelos para a energia escura, a teoria de Visser vem em boa
hora trazendo uma poss´ıvel explica¸ao que apresenta consider´avel simplicidade concei-
tual, procurando manter a f´ısica no campo do “conhecido”, ou seja, sem a necessidade
de postular a existˆencia de fluidos ex´oticos que dominem a dinˆamica do Universo como
um todo. Neste ponto, evocamos mais uma vez o princ´ıpio de Occam, para dizer que
as solu¸oes mais simples tendem a ser as corretas, tornando desnecess´arias a adi¸ao de
quaisquer termos ou entidades extras.
83
84
REFER
ˆ
ENCIAS BIBLIOGR
´
AFICAS
[1] Spergel, D. N.; Bean, R.; Dore’, O.; Nolta, M. R.; Bennett, C. L.; Hinshaw, G.;
Jarosik, N.; Komatsu, E.; Page, L.; Peiris, H. V.; Verde, L.; Barnes, C.; Halpern,
M.; Hill, R. S.; Kogut, A.; Limon, M.; Meyer, S. S.; Odegard, N.; Tucker, G. S.;
Weiland, J. L.; Wollack, E.; Wright, E. L. Wilkinson Microwave Anisotropy Probe
(WMAP) Three Year Results: Implications for Cosmology. ArXiv Astrophysics
e-prints, mar 2006.
[2] Perlmutter, S.; Aldering, G.; Goldhaber, G.; Knop, R. A.; Nugent, P.; Castro, P. G.;
Deustua, S.; Fabbro, S.; Goobar, A.; Groom, D. E.; Hook, I. M.; Kim, A. G.; Kim,
M. Y.; Lee, J. C.; Nunes, N. J.; Pain, R.; Pennypacker, C. R.; Quimby, R.; Lidman,
C.; Ellis, R. S.; Irwin, M.; McMahon, R. G.; Ruiz-Lapuente, P.; Walton, N.; Schaefer,
B.; Boyle, B. J.; Filippenko, A. V.; Matheson, T.; Fruchter, A. S.; Panagia, N.;
Newberg, H. J. M.; Couch, W. J.; Project, T. S. C. Measurements of Omega and
Lambda from 42 High-Redshift Supernovae. Astrophysical Journal, v. 517, p.
565–586, jun 1999.
[3] Bertolami, O. Dark Energy - Dark Matter Unification: Generalized
Chaplygin Gas Model. [online], 2005. Dispon´ıvel em: http://www.arxiv.org/
astro-ph/0504275. Acesso em: 14/04/2005.
[4] Albrecht, A.; Skordis, C. Phenomenology of a Realistic Accelerating Universe Using
Only Planck-Scale Physics. Physical Review Letters, v. 84, p. 2076–2079, mar
2000.
[5] Bento, M. C.; Bertolami, O.; Santos, N. C. A two-field quintessence model. Phy-
sical Review D, v. 65, n. 6, p. 067301–+, mar 2002.
[6] Talmadge, C.; Berthias, J.-P.; Hellings, R. W.; Standish, E. M. Model-independent
constraints on possible modifications of Newtonian gravity. Physical Review Let-
ters, v. 61, p. 1159–1162, sep 1988.
[7] Visser, M. Mass for the Graviton. General Relativity and Gravitation, v. 30,
p. 1717–1728, dec 1998.
[8] C. W. Misner, K. S. T.; Wheeler, J. A. Gravitation. San Francisco: Freeman,
1973.
[9] Einstein, A. N
¨
aherungsweise Integration der Field Gleichungen der Gravitation. In:
Sitzungsberichte der Koniglish Preussischen Akad. der Wissenschaften.
Berlin: Erster Halbband, 1916. p. 688–696.
85
[10] Einstein, A. The Principal Ideas of the Theory of Relativity. In: Janssen, M.; Schul-
mann, R.; Illy, J.; Lehner, C.; Buchwald, D. K. (ed.). The Collected Papers of
Albert Einstein. The Berlin Years: Writings, 1918-1921. Princeton: Univer-
sity Press, 2002. v. 7, p. 3–8.
[11] Einstein, A. On Gravitational Waves. In: Janssen, M.; Schulmann, R.; Illy, J.;
Lehner, C.; Buchwald, D. K. (ed.). The Collected Papers of Albert Einstein.
The Berlin Years: Writings, 1918-1921. Princeton: University Press, 2002. v. 7,
p. 11–29.
[12] Einstein, A.
¨
Uber gravitationswellen. In: Sitzungsberichte der Koniglish
Preussischen Akad. der Wissenschaften. Berlin: Erster Halbband, 1918. p.
154–167.
[13] Schutz, B. F. First Course in General Relativity. UK: Cambridge University
Press, 1992.
[14] Trodden, M.; Carrol, S. M. TASI Lectures: Introduction to Cosmology.
[online], 2004. Dispon´ıvel em: http://www.arxiv.org/astro-ph/0401547. Acesso
em: 26/01/2004.
[15] Padmanabhan, T. Cosmological constant-the weight of the vacuum. Physics Re-
ports, v. 380, p. 235–320, jul 2003.
[16] d’Inverno, R. Introducing Einstein’s Relativity. USA: Oxford, 1992.
[17] Weinberg, S. Gravitation and Cosmology. USA: John Wiley Sons, 1972.
[18] Islam, J. N. An introduction to mathematical cosmology. UK: Cambridge
University Press, 1992.
[19] de Araujo, J. C. N. The dark energy-dominated Universe. Astroparticle Phy-
sics, v. 23, p. 279–286, jan 2005.
[20] Caldwell, R. R. A phantom menace? Cosmological consequences of a dark energy
component with super-negative equation of state. Physics Letters B, v. 545, p.
23–29, oct 2002.
[21] Gorini, V.; Moschella, U.; Kamenshchik, A.; Pasquier, V. The Chaplygin gas, a
model for dark energy in cosmology. In: Espositio, G.; Lambiase, G.; Marmo, G.;
Scarpetta, G.; Vilasi, G. (ed.). AIP Conf. Proc. 751: General Relativity and
Gravitational Physics. [S.l.: s.n.], 2005. p. 108–125.
86
[22] Alves, M. E. S.; Miranda, O. D.; Ara´ujo, J. C. N. de. as de Chaplygin e Gr´avitons
Massivos - Poss´ıveis Candidatos `a Energia Escura? In: Martins, V. A. F.; Santiago,
B. X.; Wuensche, C. A.; Gruenwald, R. B. (ed.). Proceedings of XXXI Reuni˜ao
Anual da Sociedade Astronˆomica Brasileira,
´
Aguas de Lind´oia, 1-4 Agosto,
2005. ao Paulo: IAG/USP, 2005. p. 65–66.
[23] Goldhaber, A. S.; Nieto, M. M. Mass of the graviton. Physical Review D, v. 9,
p. 1119–1121, feb 1974.
[24] Finn, L. S.; Sutton, P. J. Bounding the mass of the graviton using binary pulsar
observations. Physical Review D, v. 65, n. 4, p. 044022–+, feb 2002.
[25] Taylor, J. H. Pulsar timing and relativistic gravity. Classical and Quantum
Gravity, v. 10, p. 167–+, dec 1993.
[26] Weisberg, J. M.; Taylor, J. H. The Relativistic Binary Pulsar B1913+16: Thirty
Years of Observations and Analysis. In: Rasio, F. A.; Stairs, I. H. (ed.). ASP Conf.
Ser. 328: Binary Radio Pulsars. [S.l.: s.n.], 2005. p. 25–+.
[27] Will, C. M. Bounding the mass of the graviton using gravitational-wave observa-
tions of inspiralling compact binaries. Physical Review D, v. 57, p. 2061–2068,
feb 1998.
[28] Larson, S. L.; Hiscock, W. A. Using binary stars to bound the mass of the graviton.
Physical Review D, v. 61, n. 10, p. 104008–+, may 2000.
[29] Will, C. M. Theory and experiment in gravitational physics. New York,
U.S.A.: Cambridge University Press, 1993.
[30] Boulware, D. G.; Deser, S. Can gravitation have a finite range? Physical Review
D, v. 6, p. 3368–3382, dec 1972.
[31] Dam, H. van; Veltman, M. Massive and mass-less Yang-Mills and gravitational
fields. Nuclear Physics B, v. 22, p. 397–411, jun 1970.
[32] Gabadadze, G.; Gruzinov, A. Graviton mass or cosmological constant? Physical
Review D, v. 72, n. 12, p. 124007–+, dec 2005.
[33] Rosen, N. A Theory of Gravitation. Annals of Physics, v. 84, p. 455–473, sept
1974.
[34] Paula, W. L. S. de; Miranda, O. D.; Marinho, R. M. Polarization states of gravita-
tional waves with a massive graviton. Classical and Quantum Gravity, v. 21,
p. 4595–4605, sept 2004.
87
[35] Gershtein, S. S.; Lugonov, A. A.; Mestvirishvili, M. A. Graviton mass and
total relative density of mass
tot
in Universe. [online], 2003. Dispon´ıvel em:
http://www.arxiv.org/astro-ph/0302412. Acesso em: 20/02/2003.
[36] Oliveira, C. Mendes de; Coelho, P.; Gonz´alez, J.; Barbuy, B. Ages, Metallicities, and
α-Element Enhancement for Galaxies in Hickson Compact Groups. Astronomical
Journal, v. 130, p. 55–64, jul 2005.
[37] Sahni, V.; Starobinsk, A. The Case for a Positive Cosmological Λ-term.
[online], 2000. Dispon´ıvel em: http://www.arxiv.org/astro-ph/9904398. Acesso
em: 19/04/2000.
[38] Robert A. Schommer, N. S.; Smith, R. Measurements of Faint Supernovae.
[online], 1999. Dispon´ıvel em:
http://www.arxiv.org/astro-ph/9909088. Acesso
em: 04/09/1999.
[39] Riess, A. G.; Strolger, L.-G.; Tonry, J.; Casertano, S.; Ferguson, H. C.; Mobasher,
B.; Challis, P.; Filippenko, A. V.; Jha, S.; Li, W.; Chornock, R.; Kirshner, R. P.;
Leibundgut, B.; Dickinson, M.; Livio, M.; Giavalisco, M.; Steidel, C. C.; Ben´ıtez, T.;
Tsvetanov, Z. Type Ia Supernova Discoveries at z > 1 from the Hubble Space Te-
lescope: Evidence for Past Deceleration and Constraints on Dark Energy Evolution.
Astrophysical Journal, v. 607, p. 665–687, jun 2004.
[40] Garnavich, P. M.; Kirshner, R. P.; Challis, P.; Tonry, J.; Gilliland, R. L.; Smith,
R. C.; Clocchiatti, A.; Diercks, A.; Filippenko, A. V.; Hamuy, M.; Hogan, C. J.;
Leibundgut, B.; Phillips, M. M.; Reiss, D.; Riess, A. G.; Schmidt, B. P.; Schommer,
R. A.; Spyromilio, J.; Stubbs, C.; Suntzeff, N. B.; Wells, L. Constraints on Cosmo-
logical Models from Hubble Space Telescope Observations of High-z Supernovae.
Astrophysical Journal, v. 493, p. L53+, feb 1998.
[41] de Araujo, J. C. N.; Miranda, O. D. A solution for disks with Yukawian gravi-
tational potential. General Relativity and Gravitation, 2006. Submetido e
aguardando julgamento.
[42] Kamionkowski, M.; Kosowsky, A.; Stebbins, A. A Probe of Primordial Gravity
Waves and Vorticity. Physical Review Letters, v. 78, p. 2058–2061, mar 1997.
[43] Caldwell, R. R.; Kamionkowski, M.; Wadley, L. The first space-based gravitational-
wave detectors. Physical Review D, v. 59, n. 2, p. 027101–+, jan 1999.
88
[44] Allen, B.; Romano, J. D. Detecting a stochastic background of gravitational radi-
ation: Signal processing strategies and sensitivities. Physical Review D, v. 59,
n. 10, p. 102001–+, may 1999.
89
Livros Grátis
( http://www.livrosgratis.com.br )
Milhares de Livros para Download:
Baixar livros de Administração
Baixar livros de Agronomia
Baixar livros de Arquitetura
Baixar livros de Artes
Baixar livros de Astronomia
Baixar livros de Biologia Geral
Baixar livros de Ciência da Computação
Baixar livros de Ciência da Informação
Baixar livros de Ciência Política
Baixar livros de Ciências da Saúde
Baixar livros de Comunicação
Baixar livros do Conselho Nacional de Educação - CNE
Baixar livros de Defesa civil
Baixar livros de Direito
Baixar livros de Direitos humanos
Baixar livros de Economia
Baixar livros de Economia Doméstica
Baixar livros de Educação
Baixar livros de Educação - Trânsito
Baixar livros de Educação Física
Baixar livros de Engenharia Aeroespacial
Baixar livros de Farmácia
Baixar livros de Filosofia
Baixar livros de Física
Baixar livros de Geociências
Baixar livros de Geografia
Baixar livros de História
Baixar livros de Línguas
Baixar livros de Literatura
Baixar livros de Literatura de Cordel
Baixar livros de Literatura Infantil
Baixar livros de Matemática
Baixar livros de Medicina
Baixar livros de Medicina Veterinária
Baixar livros de Meio Ambiente
Baixar livros de Meteorologia
Baixar Monografias e TCC
Baixar livros Multidisciplinar
Baixar livros de Música
Baixar livros de Psicologia
Baixar livros de Química
Baixar livros de Saúde Coletiva
Baixar livros de Serviço Social
Baixar livros de Sociologia
Baixar livros de Teologia
Baixar livros de Trabalho
Baixar livros de Turismo