Download PDF
ads:
UFRRJ
INSTITUTO DE CIÊNCIAS EXATAS DEPARTAMENTO DE
QUÍMICA PROGRAMA DE PÓS-GRADUAÇÃO EM
QUÍMICA ORGÂNICA.
TESE
CONSIDERAÇÕES SOBRE OS GÊNEROS OURATEA E
LUXEMBURGIA, ESTUDO QUIMICO DE DUAS ESPÉCIES DE
OCHNACEAE: Ouratea hexasperma St. Hil E Ouratea Cuspidata
St. Hil E ATIVIDADES BIOLOGICAS.
LUCIANO RAMOS SUZART
2007
ads:
Livros Grátis
http://www.livrosgratis.com.br
Milhares de livros grátis para download.
UFRRJ
INSTITUTO DE CIÊNCIAS EXATAS/DEPARTAMENTO DE
QUÍMICA PROGRAMA DE PÓS-GRADUAÇÃO EM QUÍMICA
ORGÂNICA.
TESE
CONSIDERAÇÕES SOBRE OS GÊNEROS OURATEA E
LUXEMBURGIA, ESTUDO QUÍMICO DE DUAS ESPÉCIES DE
OCHNACEAE: Ouratea hexasperma St. Hil E Ouratea cuspidata St.
Hil E ATIVIDADES BIOLÓGICAS.
LUCIANO RAMOS SUZART
Orientador: Prof. Dr. Mário Geraldo de Carvalho
Co-orientadora: Profa. Dra. Maria Auxiliadora Coelho Kaplan
2007
ads:
UNIVERSIDADE FEDERAL RURAL DO RIO DE JANEIRO
INSTITUTO DE CIÊNCIAS EXATAS
DEPARTAMENTO DE QUÍMICA
PROGRAMA DE PÓS-GRADUAÇÃO EM QUÍMICA ORGÂNICA
CONSIDERAÇÕES SOBRE OS GÊNEROS OURATEA E
LUXEMBURGIA, ESTUDO QUÍMICO DE DUAS ESPÉCIES DE
OCHNACEAE: Ouratea hexasperma St. Hil E Ouratea cuspidata St. Hil E
ATIVIDADES BIOLOGICAS.
LUCIANO RAMOS SUZART
Sob a Orientação do Professor
Dr. Mário Geraldo de Carvalho
Co-Orientação da professora
Dra. Maria Auxiliadora Coelho Kaplan
Tese submetida como requisito
parcial para obtenção do grau de
Doutor em Ciências, no Programa
de Pós-Graduação em Química
Orgânica, Área de Concentração
em Química Produtos Naturais
Seropédica, RJ
fevereiro de 2007
UNIVERSIDADE FEDERAL RURAL DO RIO DE JANEIRO
INSTITUTO DE CIÊNCIAS EXATAS
DEPARTAMENTO DE QUÍMICA
PROGRAMA DE PÓS-GRADUAÇÃO EM QUÍMICA ORGÂNICA
LUCIANO RAMOS SUZART
Tese submetida como requisito parcial para obtenção do grau de Doutor em Ciências, no
Programa de Pós-Graduação em Química Orgânica, área de Concentração em Química de
Produtos Naturais.
TESE APROVADA EM -----/-----/------
Dr. Mário Geraldo de Carvalho (DEQUIM-UFRuralRJ)
(Orientador)
Dra. Maria Auxiliadora Coelho Kaplan (NPPN-UFRJ)
(Co-Orientadora)
Dra. Maria Raquel Figueiredo (Far-Manguinhos/FIOCRUZ)
.
Dra. Lavínia de Carvalho Brito (DBB/LARAMG-UERJ)
Dr. Antonio Jorge R. da Silva (NPPN-UFRJ)
Dr. Marco Edílson Freire de Lima (DEQUIM-UFRuralRJ)
Dr.Victor Marcus Rumjanek (DEQUIM-UFRRJ)
À Elise Regina Rodrigues Carvalho
Pelo amor, compreensão e pelo incentivo necessário para enfrentar este desafio.
À Colomba Ribeiro da Costa (In Memorian).
Por em vida ter incentivado e contribuído para meu desenvolvimento.
Se o homem não sabe a que porto se dirige, nenhum vento lhe será favorável.
(Sêneca, filosofo latino, 4 a.C. – 65 d. C.)
AGRADECIMENTOS
- Ao Prof. Dr. Mário Geraldo de Carvalho pela amizade, orientação, ensinamentos, meu
sincero respeito e a sua família pela forma calorosa com que sempre fui recebido.
- À Prof
a
Dra Maria Auxiliadora Coelho Kaplan, pelo constante apóio,incentivo,
ensinamentos e principalmente pela amizade, mais uma vez minha sincera gratidão;
- À Prof
a
Dra Rosane Nora Castro por estar sempre de prontidão, toda vez que necessitei de
seu auxílio;
- Aos professores do do PPGQO pela formação e evolução profissional;
- Dra Tânia Sarmento e á Dra Maria de Fátima Agra que me cederam a espécie Ouratea
hexasperma para o estudo.
Ao Prof. Dr. Edilberto Rocha Silveira do CENAUREM, Curso de Pós-graduação em Química
Orgânica da UFC pela obtenção dos espectros a 500 MHz;
- A FIOCRUZ (CIVA),Erika e Pedro pela obtenção de espectros a 500 MHz;
- A Faculdade de Farmácia USP-Ribeirão Preto pelos espectros de massas de alta resolução ;
- Ao Prof. Dr. Ronald Bastos Freire (IB-UFRRJ), juntamente com a aluna de mestrado Renata
da Silva Ribeiro pela realização dos teste antiparasitários;
- Aos técnicos do ICE-UFRRJ, Francis, Eli, Carlão, Fábio, Maurício, Rui, Aldir, Conceição,
Áurea Tatagiba (In Memoriam);
- Aos amigos do LQPN-UFRuralRJ: Virginia, Mário Sérgio, Marli,Juliana, Ildomar, Luiz
Roberto (Pilha), Maritza, pela amizade e pelos momentos de alegrias, tristeza e desespero que
passamos, mas que certamente fortaleceram nossos elos E ao mais recente amigo Eduardo
(Ceará) a quem desejo muito sucesso;.
- À amiga Virginia Claudia, cuja agitação e inconformidade, em alguns momentos me
serviram como estimulo;.
- À Maritza Cardozo pela alegria de uma convivência feliz e harmoniosa.;
-À Lorena, aluna de iniciação científica, pela amizade e auxílio durante a realização deste
trabalho;
-Aos demais alunos de iniciação cientifica Ana Paula, Aline, Alessandra, Jose Geraldo, pela
amizade e agradável convivência;
- A todos os colegas do PPGQO pelo bom convívio;
- Especial aos amigos Cláudio, Ari; Andréa Rosane, Bauer,
- Á Regina, grande amiga e parceira durante toda esta trajetória;
- Desde já a banca examinadora pelas sugestões e correções sugeridas a esse trabalho;
- À UFRRJ pela oportunidade e tão agradável acolhimento;
- Ao Cnpq pela concessão da bolsa de estudos e a CAPES e FAPERJ pelo apoio financeiro
aos projetos do nosso grupo de pesquisa;
- Á turma das sextas-feiras no Bar do Arnaldo com discussões complementares a formação
Prof
a
.Áurea, Prof. Braz, Prof. Waldomiro, Ildomar, Regina, Heloisa, Juliana, Ari, Kenia,;
- Aos meus familiares pelo apoio e confiança depositada;
- À minha mãe, manifestação de Deus em minha vida;
- A todos que de alguma forma me ajudaram na realização desse trabalho;
- E a cima de tudo a DEUS.
ÍNDICE
ÍNDICE DE FIGURAS
I
ÍNDICE DE TABELAS
VII
ÍNDICE DE ESQUEMAS
VIII
ÍNDICE DE FLUXOGRAMAS
IX
ÍNDICE DE QUADROS
X
LISTA DE ABREVIATURAS
XI
RESUMO
XII
ABSTRACT
XIII
INTRODUÇÃO
1
CONSIDERAÇÕES SOBRE OS GENEROS Ouratea E Luxemburgia
(OCHNACEAE)
4
PARTE EXPERIMENTAL
12
ESTUDO QUÍMICO DE ESPÉCIES DE OURATEA
12
EQUIPAMENTOS E REAGENTES 12
REAÇÕES DE DERIVAÇÃO 13
Reação de metilação com diazometano
13
Reação de acetilação.
13
Ouratea hexasperma St. Hil
14
MATERIAL VEGETAL. 14
ELABORAÇÃO E FRACIONAMENTO DOS EXTRATOS 14
Ouratea cuspidata St. Hil.
19
MATERIAL VEGETAL 19
E
LABORAÇÃO E FRACIONAMENTO DOS EXTRATOS 20
RESULTADOS E DISCUSSÃO
24
Identificação dos constituintes isolados de inflorescência de Ouratea
hexasperma (St. Hil).
26
Campesterol (1), Estigmasterol (2) e Sitosterol (3)
26
3-β-O-β-D-glicopiranosil sitosterol (4)
30
3-β-O-β-D-tetracetil glicopiranosil sitosterol (4a)
31
3-β-O–acil–olean–12-en–28-óico (5)
32
Rutina (6)
36
Orientina e Vitexina (7+8)
42
Swertisina (9)
53
Swertiajaponina (10)
57
Identificação dos constituintes isolados do caule de Ouratea hexasperma
(St. Hil).
57
Ácido 2,4-diidroxifenil acético (11)
63
3,4’,5-triidroxi-6-δ,δ-dimetilalil -7-O-β-D-glicopiranosil-flavanona (12)
66
3,4’,5-triidroxi-6-δ,δ-dimetilalil -7-O -β-D-glicopiranosil-flavona (13)
79
3,4’-dimetoxi-5-hidroxi-6-δ,δ-dimetilalil-7-O-β-D glicopiranosil–flavona (13a)
88
3,5,4’,2’’3’’,4’’,6’’heptaacetil-6-δ,δ-dimetilalil7-O-β-D-glicopiranosilflavona(13b)
90
Identificação dos constituintes isolados das folhas de Ouratea cuspidata.
St Hil
95
Lupeol (14), α-Amirina,(15) β-Amirina.(16)
95
Amentoflavona (17)
96
Tetrametilamentoflavona (17a)
100
Peracetilamentoflavona (17b)
109
Putraflavona (18)
113
5,7,4’ triidroxi-3’,5’ dimetoxi-flavona (19)
127
Identificação dos constituintes isolados de caule de Ouratea cuspitada
(St Hil)
132
1-Metil βD-glucopiranosil (20)
132
4’, 3, 5, 7-tetraidroxi-3’-metoxi flavonol (21)
134
5, 4’,7-triidroxi-3’-metoxi-3-β-O-galactopiranosil flavona (22)
136
ASPECTOS GERAIS DA BIOSSÍNTESE DE CONSTITUINTES DE O. hexasperma E
O. cuspidata.
140
Atividade Biológica.
Preparação das Amostras 147
Ensaios de bioproteção contra a geração de radicais livres 147
Teste de ação antiparasitária 149
Curva de crescimento 149
Teste de exclusão do Azul de Trypan 150
Medidas de atividade mitocondrial 153
Atividade Antiinflamatória 155
Avaliação da capacidade de fagocitose dos macrófagos 155
CONCLUSÃO
158
REFERÊNCIAS
159
I
ÍNDICE DE FIGURAS
Figura 1
Dímeros de flavonóides 5
Figura 2
Estrutura de flavonóides isolados de espécies de Ouratea e
Luxemburgia
9
Figura 3
Espestro de RMN
1
H das substâncias 1+2+3 em CDCl
3
(200
MHz).
27
Figura 4:
Espectro de RMN de
13
C das substâncias 1+2+3 CDCl
3
(200
MHz).
27
Figura 5
Cromatograma da mistura dos esteróides 1+2+3. Indicando os
picos de 1 e 2.
28
Figura 6
Espectro de massas de (1) comparado com biblioteca do aparelho 28
Figura 7
Espectro de massas de (2) comparado com biblioteca do aparelho. 29
Figura 8
Espectro de massas de (3) comparado com biblioteca do aparelho. 29
Figura 9
Espectro de I V da substância 4. 30
Figura 10
Espectro de RMN de
1
H da substância 4 em piridina d
5
. (200
MHz)
30
Figura 11
Espectro de RMN
1
H (200 MHz, em CDCl
3
) da substância 4a 31
Figura 12
Espectro de RMN
1
H da substância 5 em CDCl
3.
(200MHz). 34
Figura 13
Espectro de RMN
13
C da substância 5 em CDCl
3
. (50MHz). 34
Figura 14
Expansão do espectro de RMN
13
C da substância da 5 entre 15 a
56 ppm em CDCl
3.
(50MHz)
35
Figura 15
Espectro de I V da substância 6 38
Figura 16
Espectro de RMN
1
H (200 MHz) da substância 6 em DMSO-d
6
38
Figura 17
Expansão do espectro de RMN
1
H (200 MHz DMSO-d
6
) da
substância 6 entre 1–8 ppm.
39
Figura 18
Espectro de
13
C (BBD 50 MHz) da substância 6 em DMSO-d
6
. 40
Figura 19
Espectro de RMN de
13
C (BBD e DEPT 50 MHz) da substância 6
em DMSO-d
6
.
41
Figura 20
Espectro de I V da mistura de substâncias 7+8. 45
Figura 20
Espectro de RMN
1
H (400MHz) da mistura das substâncias 7+8
em DMSO-d
6
.
45
Figura 21
Expansão do espectro de RMN
1
H (400 MHz) da mistura 7+8 em
DMSO-d
6
entre 6,2 – 8,2 ppm.
46
Figura 22
Expansão do espectro de RMN
1
H (400 MHz) na região de
açúcares entre 3–5 ppm da substância 7+8.
47
Figura 23
Espectro de RMN
13
C (100 MHz) da mistura das substâncias 7+8.
em DMSO-d
6
.
47
Figura 24
Expansão do espectro de RMN
13
C (100 MHz) da mistura das
substâncias 7+8 entre 145–183 ppm em DMSO-d
6
.
48
Figura 25
Expansão do espectro de RMN
13
C (100 MHz) da mistura das
substâncias 7+8 entre 97–130 ppm em DMSO-d
6
.
48
Figura 26
Expansão do espectro de RMN
13
C (100 MHz) da mistura das
substâncias 7+8 em DMSO-d
6
.
49
Figura 27
Espectro RMN
13
C DEPT 100 MHz substância 7+8.em DMSO-d
6
50
II
Figura 28
Mapa de contorno HMQC (400/100 MHz DMSO-d
6
) na região de
C-sp
2
(95-132 ppm) da mistura das substâncias 7+8.
51
Figura 29
Mapa de contorno de HMQC (400/100 MHz DMSO-d
6
) das
substâncias 7+8 na região de C-sp
3
(30 – 85 ppm).
52
Figura 30
Espectro de RMN
1
H (500 MHz) da substância 9 em DMSO-d
6
55
Figura 31
Espectro de RMN-NOEDIFF (200 MHz DMSO-d6) da substância
9.
56
Figura 32
Espectro de RMN
1
H (200 MHz, DMSO-d
6
) da substância 10 59
Figura 33
Espectro de RMN
13
C (50 MHz, DMSO-d
6
) da substância 10. 60
Figura 34
Espectro de RMN–NOEDIFF (200 MHz) da substância 10. 61
Figura 35
Espectro de I V da substância 11. 63
Figura 36
Espectro de RMN
1
H (200 MHz CD
3
OD) da substância 11 64
Figura 37
Espectro de RMN
13
C(BBD 50MHz DMSO-d
6
) da substância 11. 64
Figura 38
Cromatograma da substância 11 65
Figura 39
Espectro de massas da substância 11. [ Coluna CPSIL8CB (30m x
0,25 x 0,25mm), Temperatura: 180C/1min-10C/min–290/20min.
Ionização: EI (70eV)].
65
Figura 40
Espectro de RMN
1
H (200 MHz) DMSO-d
6
. (Região 8,0-12 ppm é
apresentada no centro da figura).
71
Figura 41
Espectro de RMN
13
C(BBD, 50 MHz) DEPT θ= 135, DMSO-d6
da substância 12
72
Figura 42
Mapa de contorno HETCOR (200/50 MHz DMSO-d
6
) da
substância 12
73
Figura 43
Mapa de contorno COLOC (200/50 MHz) DMSO-d
6
da substância
12
74
Figura 44
Mapa de contorno
1
Hx
1
H COSY da substância 12. 75
Figura 45
Espectro de NOEDIFF (200 MHz) DMSO-d
6
substância 12, com
impureza de 13.
76
Figura 46-a
Espectro de massas de alta resolução da substância 12 obtido com.
Ionização elétron spray (IES) e detecção de íons negativos.
77
Figura 46-b
: Espectro de massas de alta resolução MS/MS do pico m/z 553
(46-a) da substância 12 obtido com Ionização electrospray (IES) e
detecção de íons negativos.
77
Figura 46-c
Espectro de massas de alta resolução MS/MS do pico 517 (46-a)
da substância 12. obtido com Ionização electrospray (IES) e
detecção de íons negativos.
78
Figura 46-d
Espectro de massas de alta resolução MS/MS do pico 515 (46-a)
da substância 12. obtido com Ionização electrospray (IES) e
detecção de íons negativos
78
Figura 47
Espectro de RMN
1
H (200 MHz) DMSO-d
6
da substância 13
Substancia 12.*
82
Figura 48
Espectro de RMN
13
C (BBD), DEPT θ 135 (50 MHz DMSO-d6)
da substância 13.
83
Figura 49:
Mapa de contorno HETCOR (50 MHz DMSO-d
6
) da substância
13.
84
Figura 50
Mapa de contorno
1
Hx
1
H COSY (200 MHz DMSO-d
6
)
de 13 85
III
Figura 51-a
Espectro de massas de alta resolução da substância 13, obtido com
Ionização elétron Spray (IES) e detecção de íons negativos.
86
Figura 51-b
Espectro de massas de alta resolução MS/MS do pico 515 (51-a)
da substância 13, obtido com Ionização elétron Spray (IES) e
detecção de íons negativos
86
Figura 51-c
Espectro de massas de alta resolução MS/MS do pico 399 (51-a)
da substância 13, obtido com Ionização elétron Spray (IES) e
detecção de íons negativos
87
Figura 52
Espectro de RMN-NOEDIFF (200 MHz DMSO-d
6
) da substncia
13a
89
Figura 53
Espectro de RMN
1
H (200 MHz DMSO-d
6
) da substância 13b 90
Figura 54
Espectro de RMN 1H (200 MHz DMSO-d
6
) expansão da região
entre 2,7-1,0 ppm da substância 13b.
91
Figura 55
Modelos para atribuição dos dados de RMN
13
C do derivado
acetilado (13b).
92
Figura 56
Espectro de RMN
13
C (BBD 50 MHz CDCl
3
) do derivado 13b. 93
Figura 57
Espectro de RMN
1
H (200MHz, CDCL
3
) das substância 14, 15, e
16.
95
Figura 58
Espectro de RMN
1
H (200 MHz, CD
3
COCD
3
) da substância 17 98
Figura 59
Espectro de RMN
13
C (200 Mhz, CD
3
COCD
3
) da substância 17 99
Figura 60
Espectro de RMN
1
H (500 MHz CDCl
3
) substância 17a. 102
Figura 61
Expanção do espectro de RMN
1
H (500MHz CDCl
3
) substância
17a entre 6,5 a 8,5ppm.
102
Figura 62
Mapa de contorno RMN 2D HMQC
(500 MHz CDCl
3
) ampliado
em 6,3 – 8,0 ppm da substância 17a
103
Figura 63
Mapa de contorno RMN 2D de HMBC (500 MHz CDCl
3
)
ampliado em 6,5–7,5 ppm da substância 17a.
104
Figura 64
Mapa de contorno RMN 2D de HMBC (500 MHz CDCl3)
ampliado em 6,5 – 7,3 ppm da substância 17a
105
Figura 65
Mapa de conotorno de HxH COSY (500 MHz, CDCl
3
) da
substância 17a
106
Figura 66
Mapa de contorno de RMN-2D HMBC (500 MHz, CDCl3)
ampliado em 3,7 – 4,0 ppm. Da substância 17a
107
Figura 67
Mapa de cotrono RMN 2D NOESY (500 MHz, CDCl
3
) ampliado
em 3,7 – 4,0 ppm da substância 17a
108
Figura 68
Espectro de RMN
1
H (200 MHz, CDCl
3
) do derivado 17b 111
Figura 69
Espectro de RMN
13
C (BBD, 50 MHz CDCl
3
) do derivado 17b 111
Figura 70
Expansão do espectro de RMN
13
C (BBD, 50 MHz CDCl
3
) do
derivado 17b. Entre a região 105-180 ppm.
112
Figura 71
Espectro de RMN
1
H (500 MHz, DMSO-d
6
) da substância 18 115
Figura 72
Espectro de RMN
1
H (500 MHz, DMSO –d
6
) da substância 18
ampliado entre 6,2 – 8,2 ppm.
116
Figura 73: Mapa de contornode
1
Hx
1
H COSY (500 MHz, DMSO-d
6
) da
substância 18.
117
Figura 74
Espectro de RMN
13
C(BBD 500 MHz, DMSO-d
6
) da substância
18
118
Figura 75
Expanção Figura 74 entre 92–135 ppm. 118
IV
Figura 76
Expanção do espectro de RMN
13
C (BBD, 500 MHz, DMSO-d6)
da substância 18, entre 155 – 185 ppm
119
Figura 77
Mapa de contorno HMQC (500/125 MHz, DMSO-d
6
) da
substância 18.
120
Figura 78
Mapa de contorno HMBC ( 500/125 MHz, DMSO –d
6
) da
substância 18
121
Figura 79
Mapa de contorno HMBC (500/125 MHz, DMSO –d
6
) da
substancia 18 entre 101–125 ppm.
122
Figura 80
Mapa de contorno HMBC (500/125 MHz, DMSO- d
6
) da
substância 18, entre 157–169 ppm.
123
Figura 81
Mapa de contorno HMBC (500/125 MHz, DMSO –d
6
) da
substância 18, entre 96 – 108 ppm.
124
Figura 82
Mapa de contorno HMBC (500/125 MHz, DMSO –d
6
) da
substância 18, entre 159 – 169 ppm
125
Figura 83
Espectro de RMN-NOEDIFF da substância 18 126
Figura 84
Espectro de RMN
1
H ( 200 MHz, CDCl
3
) da substância 19 129
Figura 85
Espectro de RMN
13
C (50 MHz, CDCl
3
) da substância 19 129
Figura 86
Espectro de RMN-NOEDIFF da substância 19 130
Figura 87
Espectro de RMN
1
H (200 MHz, DMSO-d
6
) da substância 20 133
Figura 88
Espectro de RMN
13
C (BBD 50 MHz, DMSO-d
6
) da substância 20 133
Figura 89
Espectro de RMN
1
H (200 MHz, DMSO-d
6
) da substancia 21 134
Figura 90
Espectro de RMN
1
H NOEDIFF ( 200 MHz DMSO-d
6
)da
substância 21
135
Figura 91
Espectro de RMN
1
H NOEDIFF ( 200 MHz DMSO-d
6
)da
substância 21
135
Figura 92
Espectro de RMN
1
H (500 MHz DMSO-d
6
) da mistura contento a
substância 22
137
Figura 93
Expansão do espectro de RMN
1
H(500 MHz, DMSO-d6) da
mistura contendo a substância 22 entre as regiões 4,5-8,0 ppm
137
Figura 94
Espectro de RMN
13
C (125 MHz DMSO-d
6
) da fração contendo a
substância 22. * Sinais de outros glicosideos presentes na fração
138
Figura 95
Expanção da figua 94 na região entre 115-180 ppm 138
Figura 96
Espectro de RMN
13
C (DEPT 135, 125 MHz DMSO-d
6
)
expandido entre as regiões 55-85 ppm da fração contendo a
substância 22. * Sinais de outros glicosideos presentes na fração
139
Figura 97
Curva padrão de malonildialdeído (MDA) gerada através da indução de
radicais livres , medidos espectrofotométricamente a 532nm frente a um
padrão de malonildialdeído adquirido comercialmente (Fisher, USA,
AC14861-1000). Os resultados representam a média de quatro
repetições adicionadas do erro padrão (p0,01)
148
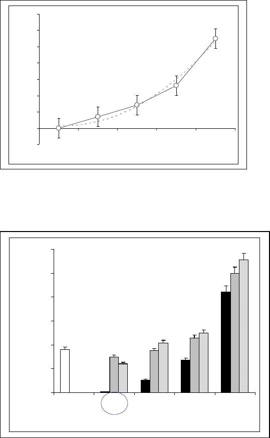
Figura 98
Figura 98: Ensaio de redução de radicais livres com extratos de
Ouratea cuspidata. Concentrações diferentes do extrato metanólico
(barras negras), do extrato hexânico (barras cinzas) e do extrato acetato
de etila (barras listradas) foram adicionadas a sistema biológico gerador
de substâncias reativas ao ácido tiobarbitúrico (TBARS). Os tubos foram
lidos a 540 nm e a concentração de TBARS determinada contra uma
curva padrão malonildialdeído (barra branca) em nnMoles por mL. Os
resultados são a média de quatro repetições acrescidas do erro padrão
(p0,5). O círculo evidência a maior eficiência bioprotetora da fração
metanólica em relação às demais
148
V
Figura 99
Curva de crescimento de promastigotas de Leishmania (Viannia)
braziliensis (L566+OCMeOH) em meio axênico bifásico (NNN)
adicionado de 16 mg/mL de extrato metanólico de Ouratea cuspidata
(OCMeOH), em relação ao sistema controle (L566) constituído de
promastigotas não expostas ao extrato. Os resultados expressam a média
de quatro observações turbidimétricas, adicionadas do erro padrão (
p0,01).
150
Figura 100
Viabilidade de promastigotas de Leishmania braziliensis (L566) e de
macrófagos peritoneais (Mφ) de hamsters (Crycetus crycetus) frente a
diferentes concentrações do extrato metanólico de Ouratea cuspidata .
Os pontos assinalados representam a média de quatro observações
adicionadas do erro padrão. As diferenças foram analisadas através de
ANOVA, sendo considerados significativas quando p0,05.
152
Figura 101
Alterações morfológicas de promastigotas de Leishmania braziliensis
(L566) e de macrófagos peritoneais (Mφ) de hamsters (Crycetus
crycetus) frente a diferentes concentrações do extrato metanólico de
Ouratea cuspidata . Os pontos assinalados representam a média de
quatro observações adicionadas do erro padrão. As diferenças foram
analisadas através de ANOVA, sendo considerados significativas
quando p0,05
152
Figura 102
Medidas de Absorbância da atividade enzimática mitocondrial em
macrófagos peritoneais (Mφ) de hamsters (Cricetus cricetus), através da
dosagem de formazana, gerada pelo desdobramento fisiológico do
brometo de metiltetrazólico (MTT), após exposição por 24 horas a
diferentes concentrações do extrato metanólico de Ouratea cuspidata
(OCMeOH). N= 5 (p0,05
154
Figura 103
Medidas de Absorbância da atividade enzimática mitocondrial em
promastigotas de Leishmania (Viannia) braziliensis (L566) através da
dosagem de formazanas, geradas pelo desdobramento fisiológico do
brometo de metiltetrazólico (MTT), após exposição por 24 horas a
diferentes concentrações do extrato metanólico de Ouratea cuspidata
(OCMeOH). N= 5 (p0,05)
154
Figura 104
Percentual de endocitose de parículas inertes (Zymozan) em macrófagos
peritoneais de hamsters (Cricetus cricetus) tratados com diferentes doses
do extrato metanólico de Ouratea cuspidata (OCMeOH) durante duas
horas a 37°C, 5% CO
2
, em comparação ao controle constituído por
células não tratadas. Os resultados estão expressos como sendo a média
de quatro repetições por concentração analizada adicionados do erro
padrão (p0,01).
156
Figura 105
Percentual de bioproteção contra a geração de radicais livres por
diferentes concentrações da fração metanólica de Ouratea cuspidata
(OCMeOH). Os resultados representam a média de quatro repetições de
ensaios realizados “in vitro” onde as diferentes concentrações do extrato
vegetal foram adicionadas sobre sistema gerador de substâncias reativas
ao ácido tiobarbitúrico (TBARS).
156
VI
Figura 106
Curva de regressão linear evidenciando a hormese bioprotetora obtida
pela adição da fração metanólica de Ouratea cuspidata (OCMeOH)
sobre sistema biológico sujeito à indução de radicais livres reativos ao
ácido tiobarbitúrico (TBARS). Os resultados estão representados como a
média de quatro repetições acrescidos do erro padrão (p0,01).
157
VII
ÍNDICE DE TABELAS
Tabela 1
Ocorrência de flavonóides em espécies dos gêneros Ouratea e Luxemburgia
(Ochnaceae.)
7
Tabela 2
Dados de RMN
13
C da substância 5 comparada com a literatura 32
Tabela 3
Atribuição dos dados de RMN
1
H e de
13
C da substância 6 e comparação com
deslocamentos químicos de carbono 13 registrados na literatura
37
Tabela 4
Dados de RMN
1
H e
13
C incluindo acoplamento heteronuclear (HMQC) da
substância 7 e comparação com δ
H
e δc da orientina
43
Tabela 5
Dados de RMN
1
H e
13
C incluindo acoplamento heteronuclear (HMQC) da
substância 8 e comparação com δ
H
e δc da vitexina
44
Tabela 6
Dados de RMN
1
H (500 MHz) e RMN
13
C (125 MHz)da substância 9 em
DMSO-d
6
comparado com a literatura em D
3
COD (KUMARASAMY, et. al,
2004). ª DMSO-d
6
;
b
D
3
COD
54
Tabela 7
Dados de RMN
1
H e
13
C (200 MHz, 50 MHz) (DMSO-d
6
) da substância 10 e
comparação com valores de deslocamento químico de carbono-13 da
literatura (KUMARASAMY, et. al., 2004).
58
Tabela 8
Dados de RMN
1
H (200 MHz) e
13
C (BBD, 50 MHz), em CD
3
OD 61
Tabela 9
Dados de RMN
1
H * (δ, J Hz, DMSO-d
6
) (200 MHz)
13
C (50 MHz) da
substância 12
68
Tabela 10
Dados de RMN
1
H e
13
C (200 e 50 MHz, DMSO-d
6
) da substância 12 com
parados com dados de RMN
1
H e
13
C (500 e 125 MHz, DMSO-d
6
) do modelo
da literatura
69
Tabela 11
Dados de RMN
1
H e
1
H-
1
H-COSY (200 MHz)
13
C , 2D HETCOR, em
DMSO-d
6
da substância 13
80
Tabela 12
Tabela de dados de RMN
13
C e 1H de 13b comparados com dados de RMN
13
C de modelos da literatura (SILVA 2002; BASTOS et al., 2002)
92
Tabela 13
Dados de RMN
1
H e
13
C (200 MHz , 50 MHz, D
3
CCOCD
3
) da substância 17 97
Tabela 14
Dados de RMN
1
H (500 MHz),
13
C (125 MHz) 1D e 2D da substância 17a
(CDCl
3
).
101
Tabela 15
Dados de RMN
1
H e
13
C (200 e 50 MHz CDCl
3
) do derivado 17b comparado
com valores de RMN
1
H e
13
C (400 e 100 MHz CDCl
3
) da literatura
(VELANDIA et al, 2002)
110
Tabela 16
Dados de RMN
1
H e
1
H-
1
H-COSY (500MHz)
13
C (125MHz) e 2D da
substância 18 em DMSO-d
6
114
Tabela 17
Dados espectrométricos de RMN
1
H-NOEDIFF da substância 18 115
Tabela 18
-Dados de RMN
1
H e
13
C (200 MHz e 50 MHz, em CDCl
3
) da substância 19
e comparação com RMN
1
H
e
13
C (400 MHz e 100 MHz, em DMSO-d
6
) da
literatura (KWABARA et al., 2003).
128
Tabela 19
Dados espectrométrico de experimento RMN
1
H NOEDIFF da substância 19 128
Tabela 20
Dados de RMN
13
C(BBD, 50 MHz DMSO-d
6
) da substância 20 comparada
com valores da literatura
132
Tabela 21
Dados de RMN
1
H e
13
C (500 e 125 MHz DMSO-d
6
) do constituinte
majoritário da fração da fração 22 (5,4’,7-triidroxi-3’-metoxi-3-β-O-D-
galactopiranosil flavona com valores da literatura (CARVALHO et al., 2001
e DANIEL, 2004).
136
VIII
ÍNDICE DE ESQUEMAS
Esquema 1
Proposta de fragmentação e constituição dos íons compatíveis com os
valores dos picos detectados nos espectros de massas de 12.
70
Esquema 2
Proposta de fragmentação e constituição dos íons compatíveis com os
valores dos picos detectados nos espectros de massa de 13.
81
Esquema 3
Rota biossintética geral para flavonóides. (Adaptado de DEY et al., 1997;
DEWICK, 1997).
141
Esquema 4
Proposta biossintética de dimerização na formação da amentoflavona e
putraflavona
142
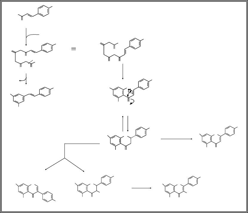
Esquema 5
Proposta biossintética da formação das substâncias 12 e 13 (adaptado de
DEWICK, 1997).
143
Esquema 6
Proposta biogenética para os esteróides isolados de O. cuspidata e O.
hexasperma (Adaptado de MANN,1994; DEWICK, 1997)
145
Esquema 7
Rota biossintética de formação dos triterpenos isolados das espécies O.
cuspidata e O. hexasperma. (Adaptado de DEWIK, 1997)
146
IX
ÍNDICE DE FLUXOGRAMAS
Fluxograma 1
Preparação e fracionamento do extrato metanólico da inflorescência
de O. hexasperma St. Hil
16
Fluxograma 2
Fracionamento cromatográfico da fração OHIMAc 17
Fluxograma 3
Preparação e fracionamento do extrato metanolico do caule de O.
hexasperma st. Hil.
19
Fluxograma 4
Preparação e fracionamento cromatográfico dos extratosdas folhas
de Ouratea cuspidata
21
Fluxograma 5
Preparação e fracionamento cromatográfico do extrato metanólico
do caule de Ouratea cuspidata
23
X
ÍNDICE DE QUADROS
Quadro 1
Constituintes químicos isolados de inflorescência de Ouratea
hexasperma
25
Quadro 2
Constituintes químicos isolados de caules de Ouratea hexasperma 62
Quadro 3
Constituintes químicos isolados de folhas de Ouratea cuspidata 94
Quadro 4
Constituintes químicos isolados de caules de Ouratea cuspidata; 131
XI
LISTA DE ABREVIATURAS E SÍMBOLOS
δ
deslocamento químico (ppm)
ν
estiramento
M
+
íon molecular
AcOEt acetato de etila
CC cromatografia em coluna (pressão atmosférica)
CCDP cromatografia em camada delgada preparativa
CCDA cromatografia em camada delgada analitica
CG-EM cromatografia em fase gasosa acoplado ao espectro de massas
CDCl
3
clorofórmio deuterado
COLOC COrrelation spectroscopy via log-range couplings
COSY COrrelated SpectroscopY
d
dubleto
dd
duplo dubleto
DEPT Distortionless Enhancement by Polarization Transfer
DMSO-d
6
dimetilsulfóxido deuterado
EM espectroscopia de massas
eV. electron volt
HBBD(BBD) Hydrogen Band Broad Decoupled
HETCOR Heteronuclear correlated spectroscopy
HMBC Heteronuclear Multiple-Bond Correlation
HMQC Heteronuclear Multiple-Quantum Coherence
Hz hertz
IV infravermelho
J
constante de acoplamento em Hertz
m
multipleto
m/z
relação carga/massa
MeOH metanol
Me metila
NOE Nuclear Overhauser Effect
NOESY Nuclear Overhauser and Exchangue Spectroscopy
OMe metoxila
P.F. ponto de fusão
RMN
1
H ressonância magnética nuclear de hidrogenio
RMN
13
C ressonância ragnética ruclear de carbono-13
s
singleto
sl
singleto largo
t
tripleto
OBS.: As abreviatura e símbolos utilizados neste trabalho e que não constam nesta relação,
encontram-se descritas no texto ou são convenções adotadas universalmente.
XII
RESUMO
Além das considerações sobre a diversidade flavonoídica dos gêneros Ouratea e
Luxemburgia, desenvolveram-se o estudo químico de duas espécies de Ouratea (Ochnaceae):
O. cuspidata, coletada na restinga do município de Barra de Maricá-RJ e O. hexasperma,
coletada na região de tabuleiro, município de João Pessoa-PB, Brasil. As substâncias descritas
nesta investigação fitoquímica foram isoladas através de partição com solventes e técnicas
cromatográficos de extratos obtidos através de maceração a frio com hexano, acetato de etila e
metanol. As estruturas foram determinadas através da análise de dados fornecidos por
espectrometria na região do infravermelho, de massas, RMN
1
H e
13
C (técnicas 1D e 2D) das
substâncias naturais e de alguns derivados. Do extrato metanólico das inflorescências de O.
hexasperma foram isolados campesterol, sitosterol, estigmasterol, ácido 3-β-O-acil-olean-12-
en-28-óico, 3-β-O-D-glicopiranosil-sitosterol, os flavonóides, orientina, vitexina, rutina,
swertisina e swertiajaponina; do extrato metanólico dos caules dessa espécie isolaram-se o
ácido 1,5-diidroxifenilacético, 3,4’,5-triidroxi-6-prenil-7-O-βD-glicosil-flavanona e 3,4’,5-
triidroxi-6-prenil-7-O-β-D-gli-copiranosil-flavona. Das folhas de O. cuspidata foram isolados
lupeol, α-amirina, β-amirina, amentoflavona, putraflavona e 5,7,4’-triidroxi-3’,5’-dimetoxi-
flavona. Esse estudo com os caules dessa espécie forneceu 4’,3,5,7-tetraidroxi-3’-metoxi-
flavonol, 4’,3,5,7-tetraidroxi-3’-metoxi-3-β-O-D-galctopiranosil-flavona e metil-β-D-
glicopira-nosídeo. Os glicosil-prenil-flavonóides são novos na literatura. Os extratos de O.
cuspidata foram submetidos à avaliação de atividade antiparasitária frente a Leishmania
brasiliensis.
XIII
ABSTRACT
Besides the considerations concerning the flavonoidic biodiversity of Ouratea and
Luxemburgia genera, the chemical study of two Ouratea (Ochnaceae) species was achieved.
O. cuspidata, collected in the beach ridge of Barra de Maricá township, RJ and O.
hexaseperma, collected in tabuleiro region, João Pessoa township, PB, Brazil. The described
substances in this phytochemical investigation were isolated using solvent partition and
chromatographyc technique of the extract obtained by cold maceration with hexane, ethyl
acetate and methanol. The structures were determined by IR, MS and
1
H and
13
C NMR (1D
and 2D techniques) analysis of natural substances and of some derivatives. From the
inflorescence methanol extract of O. hexasperma were isolated campesterol, sitosterol,
stigmasterol, 3-β-O-acyl-olean-12-en-28-oic acid, sitosterol-3-O-βD-glycopyranoside, the
flavonoids, orientin, vitexin, rutin, swertisin and swertiajaponin; from the methanolic extract
of stem of this specie the 1,5-dihydroxyphenylacethyc acid, flavanone-3,4’,5-trihydroxi-6-
prenyl-7-O-βD-glycopyranoside, and flavone-3,4’,5-trihydroxi-6-prenyl-7-O-βD-
glycopyranoside were isolated. From the O. cuspidata leaves were isolated lupeol, α-amyrin,
β-amyrin, amentoflavone, putraflavone and 5,7,4’-trihydroxy-3’,5’-dimethoxy-flavone. The
same study of the stem of this specie yielded 4’,3,5,7,-tetrahydroxy-3’-methoxy-flavonol,
4’,3,5,7-tetrahydroxy-3’-methoxy-3-β-OD-galactopiranosyl-flavone and methyl-βD-
glycopiranoside. The glycopiranosyl-prenyl-flavonoids are new in the literature. The extracts
of O. cuspidata were avaluated as antiparasitic against Leishmania brasiliensis.
1
INTRODUÇÃO
O Brasil é certamente um dos países que possui maior diversidade de plantas
terrestres, comportando entre 15 a 20% de todas as espécies conhecidas. Nesse sistema as
Angiospermae destacam-se constituindo cerca de 16 a 20% do total mundial. Esses valores
representam uma fração substancial da diversidade do globo mas, junto com uma condição
privilegiada, impõe ao Brasil uma grande responsabilidade na exploração, utilização e
preservação dessa biodiversidade.(SHEPHERD, 2002).
As principais causas da perda da diversidade genética têm sido associadas à
destruição, fragmentação dos ecossistemas e aos estresses ambientais como a poluição e as
mudanças climáticas globais. A preocupante taxa de extinção de espécies vegetais leva à
necessidade de se considerar urgente o estabelecimento de políticas e ações de conservação.
Entre as diversas ações de proteção dos ecossistemas, está a avaliação do conhecimento
etnobotânico acumulado há milênios pelas comunidades a eles associadas além dos estudos
químico e farmacológico das espécies para, através de dados científicos, dar orientações no
uso popular de plantas.(NODARI, et al., 2000).
Nesses estudos estão incluídas as formas de preservar as espécies, levando em
consideração o ambiente no qual as mesmas se desenvolvem. O entendimento que
microconstituintes respondendo pela utilidade das diferentes partes das plantas dependem do
ecossistema onde elas se desenvolvem, é um dos fatores mais relevantes sobre a utilização de
espécies vegetais.
A química de produtos naturais está inserida no contexto da biodiversidade, pois além
do conhecimento dos constituintes químicos relacionados às espécies em estudo, gera também
informações para o entendimento de outras áreas de conhecimento como ecologia química,
quimiotaxonomia, etnofarmacologia, genética, farmacologia, bioquímica, etc. Os profissionais
da área de química de produtos naturais sempre deram maior atenção ao estudo das
substâncias micromoleculares, mas ultimamente têm produzido trabalhos com estruturas mais
complexas, não se limitando às substâncias elaboradas via processos do metabolismo especial.
O avanço tecnológico tem permitido o aperfeiçoamento da ligação entre os trabalhos de
química de produtos naturais, bioquímica e farmacologia. A evidência disso pode ser
confirmada pelos surgimento de novos títulos de divulgações cientificas como:
“Phytomedicine”, “Biochemical Systematics and Ecology”, “Journal Nat. Cancer Inst.”,
Journal Med. Biol. Res.”, etc além da exigência no mercado de trabalho de profissionais com
formação mais diversificada.
Em todo este contexto o parâmetro mais considerado sobre o conhecimento cientifico
de plantas está relacionado aos estudos que contribuem para indústria farmacêutica,
procurando soluções para os problemas relacionados com a saúde humana.
Diferentes classes químicas de produtos naturais originaram diversos fármacos, de
distintas categorias terapêuticas. Curare, alcalóide tetraidroquinolínico, originários da flora da
América do Sul, inspirou os bloqueadores ganglionares representados, entre outros, pelo
hexametoneo, succinilcolina e pancurônio. Os alcalóides indólicos diméricos vincristina e
vimblatina são fármacos eficazes no tratamento de leucemia infantil e são isolados da Vinca
rosea pela empresa farmacêutica Eli Lilly. O diterpeno paclitaxel extraído de Taxus brevifolia
Nutt, é importante antitumoral útil no tratamento do câncer de ovários e mama. É importante
ressaltar que sua atividade biológica foi detectata na década de sessenta e o produto entrou no
mercado quase 25 anos após seu isolamento. Os glicosídeos de Digitalis, que apesar de
apresentarem reduzido índice terapêutico, são empregados até hoje como cardiotônicos em
virtude de não ter sido identificado um substituto adequado com as mesmas propriedades e
mais seguro. Eles podem ser considerados como um dos mais antigos produtos naturais de
2
origem vegetal com aplicação terapêutica. (BARREIROS et al, 2001, SCHENKEL, et al,
2000).
Uma outra forma de fazer uso das virtudes terapêuticas das plantas, sem
necessariamente isolar suas substâncias, é através dos fitoterápicos. Medicamentos originados
exclusivamente de material botânico integral ou seus extratos usados com o propósito de
tratamento médico. Esse tipo de medicamento tem se mostrado atraente principalmente pela
indústria farmacêutica de países desenvolvidos as quais se caracterizam pela alta tecnologia e
rápido crescimento, buscando novas oportunidades de diversificação. A maior restrição que se
tinha para o emprego desses medicamentos era a dificuldade de sua reprodutibilidade e em
quantificar seus constituintes e realizar o seu controle de qualidade. Isso deixava em dúvida
sua eficácia clínica e sua segurança.
O aprimoramento da tecnologia farmacêutica, permitindo melhor controle de
qualidade baseado na moderna tecnologia de isolamento, identificação, determinação
estrutural e quantificação de substâncias químicas vem tornando possível a produção de
fitoterápicos seguros, eficazes e com efeito totalmente reprodutível. Por outro lado os avanços
na pesquisa de fitoterápicos em nível farmacológico e molecular permitiram constatar que
essesprodutos apresentam um mecanismo de ação total ou parcialmente esclarecidos, com
avaliação toxicológica segura e estudos de farmacologia pré-clinicos e clínicos realizados
segundo as normas que regem os processos de validação de fármacos puros. Exemplos podem
ser citados: Hyperium perforatum (erva de São João) largamente prescrito na Europa para
tratamento de distúrbios psíquicos, sua atividade antidepressiva sobre o SNC é devida a
presença de naftodiantronas como a hipericina, pseudohipericina e isohipericina; e as
xantinas; outro exemplo, Serenoa repens cujo extrato lipoesterólico é usado no tratamento da
hiperplasia benigna da próstata. Sua ação baseia-se na inibição da enzima 5α-redutase. Esse
extrato age melhorando tanto as complicações urológicas como as inflamatórias, ou seja, age
em diferentes alvos bioquímicos responsáveis pela etiologia da doença o que seria difícil com
o uso de um único fármaco sintético para o tratamento desta patologia. Outros exemplos: o
Tanacetum partenium empregado para o tratamento da enxaqueca; Allium sativum, usado no
tratamento de problemas cardiovasculares e redução do colesterol; Echinacea púrpurea,
empregada como antiinflamatório e imunoestimulante, são alguns dos fitoterapicos que foram
analisados por vários estudos clínicos(YUNES et. al.,2001, CALIXTO 2001).
A indústria brasileira de fitoterápico é constituída por empresas de pequeno ou médio
porte, fundamentadas apenas no uso popular das plantas sem nenhuma comprovação pré-
clinica, nem clínica, não podendo portanto ser competitiva em nível nacional e muito menos
internacional. Caso os investimentos das empresas em pesquisa, controle de qualidade etc.,
não venham a ocorrer, a defasagem em relação as empresas de fitoterapicos de outros países
irá se ampliar. Como essas empresas estão se internacionalizando, eventualmente associadas
ou incorporadas as multinacionais do setor farmacêutico é razoável supor que o futuro da
produção brasileira de fitoterápicos dependerá diretamente das estratégias das grandes
empresas. O incentivo ao desenvolvimento da indústria de fitoterapico nacional seria uma
política estratégica para a conservação e aproveitamento racional da nossa biodiversidade
(FERREIRA et. al., 1998).
O grupo de pesquisa em química de produtos naturais da UFRRJ tem registrado,
dentre outros trabalhos, estudos de espécies do gênero Ouratea e Luxemburgia (Ochnaceae)
dando valiosas contribuições para o conhecimento da química dessa família, propiciando
subsídios para avaliações quimiotaxonômicas, além de apresentar substâncias com
importantes atividades biológicas contribuindo para busca de novos fármacos (SUZART, et
al.2007). A quantidade de resultados obtidos até o momento com estudo de espécies desses
gêneros orientou a fazer uma coletânia de informações relacionadas a esses gêneros e fazer
considerações sobre eles constituindo o capítulo II deste trabalho
3
Outro objetivo deste trabalho é dar continuidade ao estudo químico de espécies
de Ochnaceae desenvolvendo estudo de Ouratea hexasperma e Ouratea cuspidata. Apesar de
haver estudos anteriores dessas espécies, principalmente de O. hexasperma coletada na
Amazônia (Moreira, 1994, 1999 ) e coletada na Mata Atlântica, Nordeste do Brasil (Daniel,
2005), o estudou versou apenas as folhas dessa planta. Dando continuidade ao estudo desse
material foi desenvolvida a pesquisa com os galhos e inflorescências da planta. Em relação a
O cuspidata fez-se apenas uma comunicação divulgando a presença de carboidratos (SILVA,
et al., 1997). Além do isolamento e identificação dos constituintes das diferentes partes dessas
espécies, procurou-se dentro do possível, preparar derivados dos constituintes verificando a
probabilidade de registrar substâncias novas na literatura; fazer a completa atribuição de
dados espectrométricos das substâncias naturais isoladas e derivados e fazer avaliação de
atividades biológicas de alguns constituintes ou extratos.
.
4
CONSIDERAÇÕES QUIMIOSISTEMATICAS E FARMACOLOGICAS
SOBRE OS GENEROS
Ouratea E.Luxemburgia (OCHNACEAE)
O levantamento na literatura sobre os constituintes químicos desses gêneros (Tabela 1)
permitiu tirar deduções e fazer considerações sobre a biodiversidade da classe de substâncias
mais freqüentes e constatar seus aspectos farmacológicos.
A família Ochnaceae pertence à ordem Theales (DAHLGREN, 1980)
e compreende
cerca de 28 gêneros e 400 espécies de ampla distribuição nas regiões tropicais e subtropicais
de todo o mundo. No Brasil, ocorrem aproximadamente 9 gêneros com 105 espécies
(JOLY,1988). São plantas essencialmente arbóreas ou arbustivas. As espécies de Ouratea
espalhadas pelo país recebem designações específicas como Angelim (Ouratea vaccinoides),
Caju Bravo (Ouratea floribunda e Ouratea salicifolia) e Coração de Bugre (Ouratea
parviflora). Ouratea floribunda e Ouratea castanaefolia são empregadas em ornamentação
urbana. No Nordeste as espécies desse gênero são conhecidas como batiputá (BARROSO,
1986).
As espécies de Ochnaceae, são capazes de biossintetizar flavonóides e biflavonóides,
sendo essa família mais bem representada pelos gêneros Ouratea, Luxemburgia, Ochna e
Lophira. (TIH et al.,1989; TIH, et al., 1992; MESSANGA,et al., 2002;
LIKHITWITAYAWUID, 2001). A freqüência e a diversidade estrutural dos biflavonóides em
espécies desses gêneros permitem utilizá-los como marcadores taxonômicos.
Os biflavonóides constituem uma classe de flavonóides diméricos, diferenciando-se de
outros oligômeros como as proantocianidinas, devido a origem biogenética das unidades
constituintes. A maioria dos representantes dessa classe de produtos naturais é formada pelos
dímeros flavona-flavona, flavona-flavanona, flavanona-flavanona além de ocorrer, mais
raramente, os dímeros de chalconas e de isoflavonas. Quando as duas unidades são iguais
constituem os bisflavonóides e quando as duas unidades são diferentes são os biflavonóides.
As ligações entre as unidades flavonoídicas podem ser C-C ou C-O-C envolvendo os anéis A,
B ou C dos monômeros (Figura 1 Pág, 5). Raramente ocorre alteração no padrão de
oxigenação dos precursores, sendo garantida a oxigenação em 5, 7 e 4' e raramente uma
oxidação adicional em 3'. Podem ocorrer oxidações nas posições 6, 8 ou 3' e quando isso
acontece é, certamente, proveniente da outra unidade ligada nessa posição via C-O-C
(XXXIV, Figura 2, pág, 9). A primeira biflavona, foi isolada em 1929 e é conhecida como
gingentina. Desde então mais de mil biflavonóides foram isolados de plantas e muitas
atividades biológicas, têm sido relacionadas a essa classe de substâncias (LIN et., al 1999).
Utiliza-se a numeração dos biflavonóides atribuindo números ordinários para os anéis A e C e
primados () para o anel B de um dos monômeros. Para a segunda unidade empregam-se
números ordinários duplamente primados (′′) para os núcleos A e C e números ordinários
triplamente primados (′′′) para o núcleo B. De acordo com os átomos de carbonos envolvidos
na ligação entre as unidades, os dímeros são classificados em grupos de biflavonóides
(Figura-1),(SIMÕES et al., 2001, CHARI, et. al., 1977, DORA, et. al., 1991) além dos
dímeros de chalconas: C-3O-C-4''' (luxenchalconas) (DE CARVALHO et al., 2004) e C-
3'C3'' (brackeninas) (DREWES, et al., 1984) e dos dímeros de isoflavonas C-2C-2''
(hexaspermonas) (MOREIRA et al.,1994), sem destacar os dímeros com duas ligações entre
as unidades. Certos grupos hidroxila podem apresentar-se metilados originando os respectivos
éteres metílicos que, às vezes, recebem nomes especiais (MOREIRA, et. al., 1999; FELICIO
et al., 1995; VELANDIA et al., 2002; DANIEL et al., 2005).
5
2
3
4
6
8
4'
5'
6'
9
10
7
5
O
OO
O
O
R
R
2'
3'
Ο
Ο
Ο
Ο
O
ΟΟ
Ο
3'
2'
5
7
10
9
Ο
O
O
O
O
Ar
Ο
Ο
Ο
Ο
8
6
4
3
2
6'
4'
5'
2"
3"
9"
7"
5"
4'
2'
6'
4
3
2
2"
4'"
Chalconas
Isofla vanona s
Flavonas/Flavanonas
Figura-1. meros de flavonóides.
3'
C-6C-8'': agatisflavona
C-8 C-8'': cupressuflavonas
C-3' C-8'': amentoflavonas
C-3',5' C-6'': robustaflavonas
C-2C-8'': garcinias
C-3'C-3'': chamejasminas
C-4'-O C-8'': lanaraflavonas
C-3'O-C-4'': ochanaflavonas
Nos casos dos gêneros Ouratea e Luxemburgia, além de alguns monômeros, tem-se
detectado com freqüência a presença de bi- ou bisflavonóides. Destacando-se as
hexaspermonas (IV-VI), amentoflavonas (XI, XVIII, XXIV), agatisflavonas (XII),
robustaflavona (XXIV) e lanaraflavonas (XV-XVII, XXXIV) em Ouratea, Figura 2. Em
Luxemburgia foram detectados os biflavonóides derivados de chalconas, luxenchalcona
(XXV, C-3'O-C-4''') e ochnaflavona (XX, também C-3'O-C-4'''), Figura 2, que pode ter
como precursor a luxenchalcona. Isso permite perceber a diferença entre esses gêneros sendo
que Luxemburgia próximo ao gênero Ochna, que metabolizam com freqüência os dímeros de
chalconas (PEGNYEMB, et. al., 2001). Por outro lado Ouratea tem tendência em metabolizar
com mais freqüência os dímeros de flavonas. A ocorrência de biflavonóides nos gêneros
Ouratea e Luxemburgia permite destacar a importância da química dos mesmos como
potencial farmacológico e considerar substâncias dessa classe como marcadores
quimiotaxonômicos.
Flavonóides identificados nos gêneros Ouratea e Luxemburgia
Além dos flavonóides e biflavonóides, esses gêneros são bioprodutores de outras
classes de metabólitos especiais como triterpenos, diterpenos, depsídeos, ésteres graxos, e
triglicerídeos (VELANDIA et al., 2002; FELICIO et. al., 2004; DE CARVALHO et al., 2000
e 2002; VELANDIA, et al., 1998). Entre essas classes de substâncias os biflavonóides
recebem destaque na literatura, devido a freqüência e abundância com que são encontrados
nesses gêneros e cuja diversidade estrutural é devida, principalmente, aos diferentes padrões
de ligações entre seus monômeros.
Do gênero Ouratea foram isolados biflavonóides dos grupos amentoflavona (XI),
agatisflavona (XXXV), bigenkanina (VIII), podocarpusflavona (XVIII), lanaraflavona (XV)
e seus derivados além de outros derivados de lofironas (XXXII), calodeninas (XXVIII,
XXXI) e flavumonas (XXIX, XXX). A junção de isoflavanonas (C-2C-2'') deu origem às
hexaspermonas A, B e C (IV; V; VI), respectivamente. A ligação tipo C-O-C é característica
das ochnaflavonas (C-3'O-C-4'''), das lanaraflavonas (C-4'-OC-8'') e do grupo das
ochnaflavonas (XX) que ocorrem em espécies de Luxemburgia (DE CARVALHO et al.,
6
2004; OLIVEIRA et. al.,2002) e Ochna (LIKHITWITAYAWUID, 2001). Desse gênero
foram isoladas as chalconas, XXII, XXIII e a bichalcona XXV (C-3O- C-4'',), Figura 2.
Uma característica do gênero Ouratea é a ligação entre seus monômeros, sendo as
mais abundantes C-3C-8'' e C-6C-8'', acrescentando uma variação no padrão de
metilação. No caso dos derivados da agatisflavona (C-6C-8'') a metilação é mais freqüente
na posição 7 (X). Com ligações (C-O-C), foram isolados os dímeros (C-4'-OC-8'') e (C-
3'O-C-4'''), incluindo a ligação entre os monômeros das bichalconas, que são característicos
do gênero Luxemburgia
,
(DE CARVALHO et al., 2004; OLIVEIRA et al., 2002), enquanto
que de Ouratea isolaram-se os derivados de lanaraflavona (C-4'-O-C-8'') com diferentes
padrões de metilação (XVI, XVII, XXXIV). A forma de ligação e os tipos de monômeros
podem ser usados como diferenciadores entre esses gêneros. A diferença principal entre
ambos é que em Ouratea a biflavona mais abundante é a 7''- metilagatisflavona (X) e de
Luxemburgia a diidroochnaflavona (XX), Figura 2.
As flavonas e flavonóis (3-oxiflavonas) glicosilados são descritos como bioprodutos
de espécies de Ouratea e Luxemburgia. São geralmente derivados da luteolina (5,7,3',4'-
tetraidroxiflavona, XXXVI) e de quercetina (3,5,7,3',4'-pentaidroxiflavona, XXXVII),
podendo ser, inclusive, metilados. A rutina (3-O-rutinosil quercetina, XIX) foi isolada de
Luxemburgia nobilis (OLIVEIRA et al.,2002) e de Ouratea semisserrata (VELANDIA et al.,
2002). Das flores de Luxemburgia octandra foram isolados dois flavonóides 8-C-glicosilas
(XXVI, XXVII), Figura 2. A glicose aparece como o único carboidrato encontrado até o
momento, entre os flavonóides C-glicosilas isolados de espécies desses gêneros. Chama
atenção a presença de isoflavonóides clorados, monoméricos , isolados somente de O.
semisserata (XIII, XIV), além de chalconas presentes em duas espécies do gênero
Luxemburgia (XXII, XXIII).
Aspectos farmacológicos e importância econômica de algumas espécies estudadas.
A avaliação dos trabalhos na literatura permitiu verificar a existência de vários estudos
farmacológicos tanto com frações de extratos brutos como com biflavonóides naturais e seus
derivados isolados de espécies do gênero Ouratea e Luxemburgia.
Os biflavonóides 7′′-O-metilagatisflavona (O. hexasperma), e a amentoflavona (O.
semisserrata) e o derivado acetilado da amentoflavona apresentaram atividade inibitória da
DNA topoisomerase humana tipo I. Potente atividade sobre a inibição do crescimento de
células de carcinoma de Ehrlich, porém, apenas a agatisflavona apresentou atividade sobre a
inibição da DNA topoisomerase humana tipo II-α e inibição de 42% do crescimento de
células de leucemia humana K562. (GRYNBERG et al., 2002; DE CARVALHO et al., 2002)
As biflavonas 66′′- begenkwanina e a 7,7''-dimetoxiagatisflavona isoladas da O. spectabilis
apresentaram atividade inibitória sobre a enzima aldose redutase de cristalino bovino. O
aumento da atividade dessa enzima está relacionado com a patogênese da maioria das
complicações da diabetes como cataratas, retinopatia, neuropatia (FELICIO, et. al., 1995).
O
extrato hidroetanólico e a fração acetato de etila de O semiserrata apresentaram efeito
vasodilatador endotélio-dependente e atividade antiipertensiva in vitro, inibindo a conversão
da enzima angiotensina I(ACE) (CORTES et al.,2002). O extrato aquoso de Ouratea sp.,
contendo proantocianidinas, mostrou atividade antitumoral contra o carcinossarcoma de
Walker 256 e sarcoma 180 em ratos (SAMPAIO et al., 1975; OLIVEIRA et al., 1972). O óleo
extraído do extrato hexânico dos frutos de Ouratea parviflora apresentou atividade
antibacteriana e antifúngica (MARCOL et al., 1988). Os biflavonóides isolados de O.
spectabilis, O. multiflora e O. parviflora mostraram inibição da produção de aflatoxina por
Aspergillus flavus (GONÇALEZ, et al., 2001).
7
Neste estudo foi verificado que as substâncias mais significativas do gênero Ouratea
são os biflavonóides com ligação interflavonoídica do tipo C-C, sendo o representante mais
abundante o derivado 7''-O-metilagatisflavona. Por outro lado o gênero Luxemburgia é
caracterizado pela ligação do tipo C-O-C, cujo componente mais abundante a 2′′-
diidroochnaflavona, além das chalconas presentes apenas em espécies desse gênero, tanto na
forma monomérica como nas bichalconas.
A distribuição do grupo de produtos naturais formados por acoplamento de duas
unidades flavonoídicas nos gêneros Ouratea e Luxemburgia e o levantamento de suas
propriedades biodinâmicas permitiram: caracterizá-los como marcadores quimiotaxonômicos
para os referidos táxons, propor uma nomenclatura com notação para esse grupo de
substâncias e evidenciar suas potencialidades farmacológicas.
Apesar dessas espécies não serem tão conhecidas na medicina popular, a freqüência
das biflavonas é indicativo de ótimas perspectivas para se tornarem constituintes de
medicamentos.
Tabela 1. Ocorrência de flavonóides em espécies dos gêneros Ouratea e Luxemburgia
(Ochnaceae.)
Flavonóide Espécie. Ref.
proantocianidina I
Ouratea sp.
MARCOL et
al, 1988.
catequina II
Ouratea sp.
MARCOL et
al, 1988.
cianidina III
O. affinis
Gonçalez et.
al,2001
cianidina III
O. calantha
Gonçalez et.
al,2001
5-OH-4’,7-OMe-2/3- trans-isoflavonona (22”)–5”-OH 4’”
7”- OMe -2''/3''- trans–isoflavanona. (hexaspermona A, IV)
O. hexasperma
MOREIRA
et.al, 1994
5-OH -4
,7- OMe-2/3- trans-isoflavanona (22
’’
)-4
”’
OH
5
,7
-OMe -2''/3''-
trans-isoflavanona. (hexaspermona B, V)
O. hexasperma
MOREIRA
et.al, 1994
5-OH - 4
,7- OMe -2/3-trans-isoflavanona-(22
’’
)-4
”’
,5
’’
-
OH-7
-OMe -2''/3''-trans-isoflavanona. (hexaspermona C, VI)
O. hexasperma
MOREIRA
et.al, 1994
5,7,4
-OMe-isoflavona (VII)
O. hexasperma
MOREIRA
et.al, 1994
6,6”- bigenkanina (VIII) O. spectabilis
FELICIO
et.al.1995
4,5- OH-7-metoxiflavona (68)-5′′,4′′′- OH- 7′′-OMe-
flavona (7,7′′-O-dimetilagastiflavona, IX)
O. spectabilis
FELICIO
et.al.1995
4,5,7- OH-flavona (68′′) 5′′,4′′′ -OH -7′′-OMe-flavona
(7′′-O-metilagatisflavona, X)
O. hexasperma
MOREIRA et.
al. 1999
4’,5,7-OH-flavona-(3’8”)-4”’,5”,7”-OH-flavona.
(amentoflavona, XI)
O. multifora
MONACHE
et. al, 1967
3-OH -4
,5,7-OMe-flavona-(68
’’
)- 3
’’
-OH -3
’’’
,4
’’’
,5
,7
-
OMe-flavona (XII)
O. multifora
MONACHE
et. al, 1967
3
,6,8-cloro-4
,5-OH-7-OMe-isoflavona (XIII)
O. semisserata
VELANDIA,
et al 2002
3
,5
,6,8-cloro-4
,5-OH-7-OMe-isoflavona (XIV)
O. semisserata
VELANDIA,
et al 2002
5,7-OH-flavona-(4’O8
’’
)- 4
’”
,5
,7
’’
-OH-flavona (XV)
O. semisserata
VELANDIA,
et al 2002
8
Tabela 1 Continuação
Flavonóide Espécie. Ref.
5-OH-7-OMe-flavona-(4’O8
’’
)-4
’’’
,5
,7
’’
- OH-flavona
(XVI)
O. semisserata
VELANDIA,
et al 2002
5-OH-7-OMe-flavona-(4’O8
’’
)-5
,7
’’
-OH-4
’’’
-OMe-
flavona (XVII)
O. semisserata
VELANDIA,
et al 2002
4’,5,7-OH-flavona-(3’8”)-4”’,5”,7”- OH-flavona.
(amentoflavona XI)
O. semisserata
VELANDIA,
et al 2002
45,7- OH-flavona-(3′→ 8′′)-5′′,7′′-OH– 4′′′-OMe-flavona
(podocarpusflavona XVIII)
O. semisserata
VELANDIA,
et al 2002
3-O-α-L- raminosil (16)-β-D-glicopiranosil-quercetina
(rutina, XIX)
O. semisserata
VELANDIA,
et al 2002
3-O-α-L- raminosil (16)-β-D-glicopiranosil-quercetina
(rutina, XIX)
Luxemburgia
nobilis
*CARVALHO
et al 2002
4,5,7-OH- flavona-(3′→O4′′′)-5′′,7′′- OH-flavanona (XX)
Luxemburgia
nobilis
*CARVALHO
et al 2002
Epicatequina, (XXI)
Luxemburgia
nobilis
*CARVALHO
et al 2002
2,4,34-OH-chalcona (3-hidroxiisoliquiritigenina, XXII)
Luxemburgia
nobilis
*CARVALHO
et al 2002
2,4,4- OH- chalcona (isoliquiritigenina, XXIII)
Luxemburgia
nobilis
*CARVALHO
et al 2002
4’,5,7-OH- flavona-(3’8”)-4”’,5”,7”- OH-flavona.
(amentoflavona, XI)
Luxemburgia
nobilis
*CARVALHO
et al 2002
4,5,7-OH-flavona-(3′→6)-4′′′,5′′,7′′-OH-flavona
(robustaflavona, XXIV)
Luxemburgia
nobilis
*CARVALHO
et al 2002
4,2,4-OH- chalcona-(3O4′′)-2′′′,4′′′-OH-chalcona
(luxenchalcona, XXV)
Luxemburgia
octandra.
*CARVALHO
et al, 2004
2,4,34- OH- chalcona (3-hidroxiisoliquiritigenina, XXII)
Luxemburgia
octandra.
*CARVALHO
et al, 2004
2,4,4 -OH- chalcona (isoliquiritigenina, XXIII)
Luxemburgia
octandra.
*CARVALHO
et al, 2004
4,5,7-OH- flavona-(3′→O4′′′)-5′′,7′′- OH-flavanona (XX)
Luxemburgia
octandra.
*CARVALHO
et al, 2004
5,7,3,4-OH- 8 -C- glicopiranosil-flavona (XXVI)
Luxemburgia
octandra.
ALVES.C.C
2003
5,3,4-OH- 7-OMe-8-C- glicopiranosil-flavona (XXVII)
Luxemburgia
octandra..
ALVES. C. C
2003
calodenina B (XXVIII) O. flava
GARTLAN et
al, 1980
flavumona A (XXIX) O. flava
GARTLAN et
al, 1980
flavumona B (XXX) O. flava
GARTLAN et
al, 1980
calodenina C (XXXI) O. flava
GARTLAN et
al, 1980
lophirona A (XXXII) O. flava
GARTLAN et
al, 1980
4
,5-OMe - 6,7- metilenodioxi-isoflavona (XXXIII) O. flava
GARTLAN et
al, 1980
5-OH -7- OMe - flavona-(4′→O8′′)-5′′,4′′′′- OH - , 7′′′-
OMe flavona (7,7′′-O-dimetillanaraflavona, XXXIV)
O. hexasperma
DANIEL et.
al.,2005
9
Tabela 1 Continuação
Flavonóide Espécie. Ref.
4,5,7- OH- flavona- (68′′)-5′′,4′′′- OH- 7′′- OMe-flavona.
(7′′-O-metilagastiflavona, X)
O. hexasperma
DANIEL et.
al.,2005
4,5,7-OH - flavona(68′′)- 4′′′,5,′′7′′-OH- flavona.
(agastiflavona XXXV)
O. hexasperma
DANIEL et.
al.,2005
epicatequina (XXI)
O. hexasperma
DANIEL et.
al.,2005
6-C-glicopiranosil-luteolina (XXXVI)
O. hexasperma
DANIEL et.
al.,2005
3-O-glicopiranosil-quercetina (XXXVII)
O. hexasperma
DANIEL et.
al.,2005
8-C-β-D-glicopiranosil 2′′-O-β-D- glicopiranosil-luteolina
(XXXVIII)
O. hexasperma
DANIEL et.
al.,2005
* DE CARVALHO.
Figura 2 Estrutura de flavonóides isolados de espécies de Ouratea e Luxemburgia.
O
O
OH
OH
OH
HO
HO
OH
OH
OMe
OH
OH
I
II
O
OH
OH
OH
OMe
OH
HO
III
+
O
OH
OH
OH
OH
HO
IV: R=H, R
1
=Me
V
: R=Me, R
1
=H
VI:
R=R
1
=H
O
O
Me O
OH
OMe
H
H
O
OR
OMe
R
1
O
H
H
O
VII
O
O
MeO
OMe
OMe
VIII
O
OOH
O
O
HO
OH
MeO
OMe
OH
O
O
HO
OH
OH
HO OH
OR
O
O
XI: R=H
XVIII: R=Me
XIX: R=R1=Me
X: R=H, R1=Me
O
OOH
OH
O
O
OH
HO
RO
OR
1
O
OH
O
OMe
MeO
O
O
OH
OMe
OMe
MeO
OH
OH
XII
O
O
OH
OH
OH
HO
HO
OH
OH
OMe
OH
OH
I
II
O
OH
OH
OH
OMe
OH
HO
III
+
O
OH
OH
OH
OH
HO
IV: R=H, R
1
=Me
V
: R=Me, R
1
=H
VI:
R=R
1
=H
O
O
Me O
OH
OMe
H
H
O
OR
OMe
R
1
O
H
H
O
VII
O
O
MeO
OMe
OMe
VIII
O
OOH
O
O
HO
OH
MeO
OMe
OH
O
O
HO
OH
OH
HO OH
OR
O
O
XI: R=H
XVIII: R=Me
XIX: R=R1=Me
X: R=H, R1=Me
O
OOH
OH
O
O
OH
HO
RO
OR
1
O
OH
O
OMe
MeO
O
O
OH
OMe
OMe
MeO
OH
OH
XII
10
Continuação figura 2.
XIII: R=H
XIV: R=Cl
O
Cl
MeO
Cl
OH
R
Cl
OH
O
XV: R=R
1
=H
XVI: R=Me, R
1
=H
XVII: R=R
1
=Me
O
RO
OH
O
O
HO
O
OR
1
O
OH
O
O
OH
OH
HO
OH
O
O
O
O
HO
OH
OH
OH
OH
OH
XIX
XX
O
O
OH
OH
O
O
HO
OH
O
OH
XXI
O
OH
OH
OH
HO
R
1
R
O
HO
HO
XXII: R=R
1
=OH
XIII: R=OH, R
1
=H
O
O
HO
OH
OH
OH
O
O
HO
OH
XXIV
XXV
O
OH
O
OH
OH
O
HO
HO
XIII: R=H
XIV: R=Cl
O
Cl
MeO
Cl
OH
R
Cl
OH
O
XV: R=R
1
=H
XVI: R=Me, R
1
=H
XVII: R=R
1
=Me
O
RO
OH
O
O
HO
O
OR
1
O
OH
O
O
OH
OH
HO
OH
O
O
O
O
HO
OH
OH
OH
OH
OH
XIX
XX
O
O
OH
OH
O
O
HO
OH
O
OH
XXI
O
OH
OH
OH
HO
R
1
R
O
HO
HO
XXII: R=R
1
=OH
XIII: R=OH, R
1
=H
O
O
HO
OH
OH
OH
O
O
HO
OH
XXIV
XXV
O
OH
O
OH
OH
O
HO
HO
11
Continuação da figura 2.
O
OH
OH
OH
O
RO
O
OH
OH
OH
OH
XXVI: R=H
XXVII: R=CH
3
OH
OH
O
OH
O
O
O
HO
OH
XXX
O
HO
H
OH
H
H
O
H
HO
OH
H
OH
OH
OH
XXXI
OH
OH
OH
O
HO
O
O
H
H
HO
XXXII
O
O
OMe
OMe
O
O
XXXIII
O
OH
MeO OH
O
O
O
M
eO
OH
O
XXXIV
XXXV
O
O
O
O
OH
OH
OH
OH
HO
XXXVI
O
O
HO
OH
OH
OH
O
HO
HO
HO
HO
XXXVII
O
OH
HO
OH
OH
O
O
HO
OH
O
OH
OH
O
HO
HO
HO
OH
O
OH
OH
OH
O
O
OH
HO
OH
O
XXXVIII
OR
OR
OR
OR
O
O
RO
R
1
OR
O
XXVIII: R=R1=H
XXIX: R=H,R1=OH
O
OH
OH
OH
O
RO
O
OH
OH
OH
OH
XXVI: R=H
XXVII: R=CH
3
OH
OH
O
OH
O
O
O
HO
OH
XXX
O
HO
H
OH
H
H
O
H
HO
OH
H
OH
OH
OH
XXXI
OH
OH
OH
O
HO
O
O
H
H
HO
XXXII
O
O
OMe
OMe
O
O
XXXIII
O
OH
MeO OH
O
O
O
M
eO
OH
O
XXXIV
XXXV
O
O
O
O
OH
OH
OH
OH
HO
XXXVI
O
O
HO
OH
OH
OH
O
HO
HO
HO
HO
XXXVII
O
OH
HO
OH
OH
O
O
HO
OH
O
OH
OH
O
HO
HO
HO
OH
O
OH
OH
OH
O
O
OH
HO
OH
O
XXXVIII
OR
OR
OR
OR
O
O
RO
R
1
OR
O
XXVIII: R=R1=H
XXIX: R=H,R1=OH
12
PARTE EXPERIMENTAL
ESTUDO QUÍMICO DE ESPÉCIES DE OURATEA
EQUIPAMENTOS E REAGENTES.
- Os pontos de fusão foram determinados em placa de aquecimento Reicherd, acoplada
a um microscópio ou em aparelho MEL–TEMP II, Laboratory Devices USA, utilizando
capilar e sem correção dos valores obtidos.
- Os espectros de absorção no infravermelho (IV) foram registrados em um
espectrofotômetro Perkin-Elmer , modelo 1600 com transformada de Fourier, em pastilhas de
KBr ou em filmes sobre cela de NaCl.
- Os espectros de ressonância magnética nuclear de hidrogênio ( RMN
1
H) e carbono
(RMN
13
C) foram registrados em espectrômetros Bruker AC (200 (200MHz), Varian Unit-
400 (400MHz), Varian unit-500 (500MHz). Os solventes utilizados foram clorofórmio
deuterado (CDCl
3
), metanol deuterado (D
3
COD), acetona deuterada (D
3
CCOCD
3
),
dimetilsufóxido deuterado (DMSO-d
6
), utilizando como referência interna o tetrametilsilano
(TMS) ou residuo do solvente utilizado. Os deslocamentos químicos (δ) são indicados em
ppm e as constantes de acoplamentos (J) em Hertz (Hz).
- Os espectros de massas de alta resolução foram obtidos por ionização electrospray
(EM-IES) em um espectrômetro ultrOTOF
Q
-ESI-TOF Mass Spectrometer da Bruker
Daltonics, Billerica, MA, EUA. Condições do experimento: Bomba de Infusão, fluxo 300µl/h.
Fase móvel para solubilização: água. O modo de detecção: Negativo.
Os espectros de massas de baixa resolução foram registrados em espectrômetro de
massas computadorizado HP-5897A de analisador de ionização por impacto de elétrons, 70
eV acoplado a um cromatógrafo com fase gasosa HP-5880A.
- As cromatografias em coluna foram realizadas com gel sílica (230-400 e 70-230
mesh, Vetec), e sobre Sephadex LH-20(Sigma, USA).
- Cromatografia em camada preparativa foram realizadas em gel silica 60 PF
254
da
Merck e da Vetec sobre suporte de vidro e espessura de 1mm. As substâncias foram
detectadas por irradiação com lâmpada ultravioleta (254 e 366nm).
- As cromatografias em camada delgada analítica foram realizadas em cromatofolhas
de gel de Sílica 60 F
254
e como reveladores foram usados, além da detecção por irradiação
ultravioleta (254 e 366), reagentes Liebermann-Burchard, Iodo, solução de AlCl
3
-EtOH
(1%), sulfato cérico (1%)-H
2
SO
4
(10%), reagente de Godin (DOMINGUEZ, 1973 e MATOS,
1988).
- Os solventes utilizados para extração, técnicas cromatográficas e reações foram todos
grau P. A. da industria química Vetec. Alguns solventes comerciais foram destilados antes de
serem utilizados (metanol, hexano, diclorometano, acetato de etila e clorofórmio).
13
REAÇÕES DE DERIVAÇÃO.
A preparação de derivados acetilados e metoxilados das substâncias isoladas foram
feitas para facilitar a análise dos dados espectrométricos,e inclusive em analises com algumas
técnicas especiais de RMN, devido aumento da solubilidade destes compostos em
clorofórmio.
Reação de metilação com diazometano.
A solução de diazometano foi preparada de acordo com a metodologia experimental
descrita na literatura (VOGEL, 1989). Adicionou-se a solução etérea do diazometano em
excesso as substâncias dissolvidas em clorofórmio ou metanol. Os derivados metilados foram
obtidos após evaporação do solvente.
Reação de acetilação.
A reação de acetilação das substâncias foi feita adicionando-se piridina/anidrido
acético (1:1, v.v.) nas amostras. Após repouso de 48 horas a temperatura ambiente foi
adicionada água gelada (25,0 ml) e em seguida extraído com clorofórmio (3x). A solução
clorofórmica foi lavada com HCl (10%) para eliminar a piridina e em seguida lavou-se várias
vezes com água destilada. A fase orgânica foi seca com sulfato de sódio anidro e evaporada
em rotavapor , obtendo-se as substâncias acetiladas (SHRINER, 1979).
14
Ouratea hexasperma (St. Hil).
MATERIAL VEGETAL.
O material vegetal, inflorescência e galhos foram coletados na região do tabuleiro,
município de João Pessoa–PB, em dezembro de 2003 e identificado pela Doutora Maria de
Fátma Agra. Uma exsicata desta espécime (N° 3497) está depositada no herbário Prof. Lauro
Pires Xavier (JPB–21438), Universidade Federal da Paraíba, João Pessoa, Paraíba, Brasil.
ELABORAÇÃO E FRACIONAMENTO DOS EXTRATOS.
a) Inflorescências.
As inflorescências secas e moídas (330,0 g) foram submetidas a extração por
maceração dinâmica com metanol. O extrato foi filtrado e a remoção do solvente foi feita
através de destilação sob pressão reduzida, fornecendo o extrato OHIM (Ouratea hexasperma
Inflorescência Metanol) (50,0 g).
O extrato obtido OHIM (50,0 g) foi solubilizado em metanol-água (8:2) e submetido a
partição líquido/líquido com os solventes hexano e acetato de etila fornecendo
respectivamente, as frações OHIMH (12,1 g) e OHIMAc (8,2 g). (Fluxograma 1 Pág-16).
A fração OHIMH (12,1 g) foi cromatografada em coluna de gel sílica com gradiente
de polaridade crescente de mistura binária dos solventes: hexano, acetato de etila e metanol
gerando 40 frações de 125 ml. As frações 30-35 forneceram um precipitado que foi
recromatografado sob as mesmas condições gerando 20 novas frações.
A fração 4 desta coluna forneceu um pó branco identificado como o triterpeno 5 (3β-
O-acil-olean-12-en-28-oico) [(116,0 mg); P.F. 110°C; RMN
1
H (CDCl
3
, 200 MHz) δ: 5,24
(sl, H-12); 4,47 (t, J=7,6Hz, H-3); 2,77 (dl, J=10, H-18); 2,26 (t, J=7,2Hz, H-21); 0,71-1,90(8
x CH
3
) (Figura 12, pág.34). RMN
13
C (CDCl
3
, 50MHz) δ: 15,32 (C-25); 16,68 (C-26); 22,66
(C-24); 23,54 (C-30); 25,14 (C-27); 25,87 (C-23); 33,03 (C-29); 122,48 (C-12); 143,55 (C-
13), 173,72 (C-1’); 184,58 (C-28); 80,51 (C-3)] (Figura 13 pág, 34).
As frações 11-12 foram identificadas como a mistura dos esteróides Campesterol (1),
Estigmasterol (2), Sitosterol (3)[(95 mg), P.F.:120°C, RMN
1
H (CDCl
3
, 200 MHz) δ: 5,33
(sl, H-6); 5,18 (m, H-22, 23); 3,54 (m, H-6); 0,64-0,97 (Me
(s)
) (Figura 3 Pág 27). RMN
13
C
(CDCl
3
, 50MHz) δ (ppm) 140,68 (C-5), 138,28 (C-22); 129,18(C-23); 121,63 (C-6), 71,69
(C-3) (Figuras 4, pág 27). EM (IE, 70eV): 400 (60%); 413 (25%); 414 (33%)] (Figuras 6, 7,
8, págs 28, 29)
A fração OHIMAc (8,2 g) foi cromatografada em coluna de gel.sílica Iniciou-se a
eluição com clorofórmio e foi desenvolvida aumentando-se a polaridade do eluente pela
adição gradativa de metanol até metanol (100%), foram recolhidas 15 frações de 125 ml.
(Fluxograma 2, pág-17)
A fração 1 forneceu um precipitado branco amorfo que após purificação com metanol,
filtração e secagem foi identificado como a saponina 3-O-β-D-glicopiranosil sitosterol
(4)[(160,0 mg), P.F. 300ºC IV: (KBr)ν
max
cm
-1
:
3394 (ν
O-H
); 2957, 2921, 2851 (ν
C-H
);1460,
1379 (δ
C-H
), 1075, 1025 (ν
C-O
)(Figura 9 pág 30); RMN
1
H (Piridina-d
5
200 MHz) δ: 5,33 (sl,
H-6); 5,1(d, J=8,0Hz, H-1’), 0,82-1,04 (6 x CH
3
) (Figura 10 pág 30)] O derivado 4a foi
obtido através do tratamento de 4 (50,0 mg) com anidrido acético e piridina. A fração 3
15
apresentou um precipitado solúvel em metanol que foi submetido a uma coluna de Sephadex
LH–20 eluida com metanol, recolhendo-se 20 frações de 15 ml.
As frações 3-5 forneceram um sólido amarelo identificado como mistura dos
flavonóides orientina (7) e vitexina (8). [(15,0 mg), P.F. 260°C; IV: (KBr)ν
max
cm
-1
3384,
3246 (ν
O-H
); 1655 (ν
C=O
); 1614, 1508, 1428, (ν
C=C
); 1094, 1041 (ν
C-O
). Flavonóide 7
(Orientina) RMN
1
H (DMSO-d
6
400 MHz,) δ: 6,64 (s, H-3), 6,27 (s, H-6), 7,48 (s, H-2’);
6,85 (d,J=8,0Hz, H-5’); 7,52 (d, J=8,0Hz, H-6’) 4,68 (d, J=10,0Hz, H-1’’); 3,82(m, H-2’’);
3,35 (m, H-3’’); 3,25 (m, H-4’’); 3,35 (m, H-5’’); 3,78 (m, H-6’’); 13,17(s, HO-5); RMN
13
C
(DMSO-d
6
100 MHz,)] (Figura 23, Pág-47,Tabela 4, pág-43) Flavonóide 8 (Vitexina) RMN
1
H (DMSO-d
6
400 MHz,) δ: 6,78 (s, H-3), 6,27 (s, H-6), 8,02 (d, J=8,0Hz , H-2’,6’); 6,89
(d,J=8,0Hz, H-3’, 5’); 4,68 (d, J=10,0Hz, H-1’’); 3,82(m, H-2’’); 3,25 (m, H-3’’); 3,35 (m, H-
4’’); 3,25 (m, H-5’’); 3,78 (m, H-6’’); 13,17(s, HO-5); RMN
13
C (DMSO-d
6
100 MHz,)]
(Figura 23 pág-47, Tabela 5, Pág-44).
As frações 7-10 foram reunidas e identificadas como o flavonóide Rutina (6) [(170,0
mg) P.F. 190ºC; IV: (KBr)ν
max
cm
-1
3423 (ν
O-H
); 1654 (ν
C=O
); 1504, 1458 (ν
C=C
); 1063, 1012
(ν
C-O
); RMN
1
H (DMSO-d
6
200 MHz,) δ: 6,19 (d, J=1,9 Hz, H-6); 6,35 (d, J=1,9 Hz, H-8);
7,51 (s, H-2’); 6,82 (d, J=8,0 Hz, 5’); 7,55 (D, J=8,0 Hz, 6’); 5,32 (d, J= 8,0 Hz, H-1’’); 3,25
(sl, H-2’’); 3,28 sl, H-3’’); 3,66 (sl, H-4’’); 3,22 (sl, H-5’’); 3,72 (sl, H-6’’), 4,36 (sl, H-1’’’);
3,05 (sl, H-2’’’); 3,37 (sl, H-3’’’); 3,00 (sl, H-4’’’); 3,09 (sl, H-5’’’); 0,97 (sl, H-6’’’); 12,57
(s, HO-5)] (Figura 17, pág). RMN
13
C (DMSO-d
6
50 MHz,)] (Figura 18 pág-40, Tabela 3
Pág-37).
As frações 11-20 foram reunidas e purificadas em nova coluna de Sephadex LH–20
eluida sob as mesmas condições. A fração 3 um pó amarelo foi identificada como flavonóide
Swertisina (9),(5,0 mg). RMN
1
H (DMSO-d
6
,
500 MHz) δ: 6,81 (s, H-3); 6,51 (s, H-8);
8,02(d, J=8,5 Hz, H-2’, 6’); 6,89 (d, J= 8,5 Hz, H-3’, 5’); 4,72 (d, J= 10,0 Hz, H-1’’); 3,25-
3,60 (H-açucar); 3,86 (s, MeO) (Figura 30 pág-55).
As frações 5–8 foram reunidas e delas obitido o flavonóide Swertiajaponina (10)
[(23,0 mg). RMN
1
H (DMSO-d
6
500 MHz,) δ (ppm) 6,79 (s, H-3); 6,59 (s, H-8); 7,55(s, H-
2’); 6,92 (d, J= 8,6 Hz, H-5’); 7,56 (m, H-6’)4,76 (d, J= 10,0 Hz, H-1’’); 3,25-3,50 (H-
açucar); 3,88 (s, MeO) (Figura 32 pág-59). RMN
13
C (DMSO-d
6
50 MHz,)] (Figura 33 pág-
60, Tabela 7 Pág-58).
16
Fluxograma 1: Preparação e fracionamento do extrato metanólico da inflorescência
de O. hexasperma St. Hil.
Inflorescência
O. hexasperma
330,0g
Maceração dinâmica
(metanol)
Extrato metanolico
OHIM (50,0 g)
Resíduo
Partição MeOH/H
2
O (8:2)
Hexano
Fração Hexano
OHIMH 12,1 g
Fração Acetato de etila
OHIMAc 8,2 g
Solução aquosa
I
Acetato de etila
Solução aquosa
II
30 – 35
2,0 g
4
11-12
116,0 mg
5
95,0 mg
1, 2, 3
FE: silica gel
FM: hexano/act./MeOH
FE: silica gel
FM: hexano/act./MeOH
O
O
OH
O
()
n
1
2
3
4
5
6
7
8
9
10
11
12
13
14
15
16
17
18
19
20
21
22
23
24
25 26
27
28
29
30
5
HO
2 :
22, 23
3 : 22, 23-
diidro
22
23
HO
1
Inflorescência
O. hexasperma
330,0g
Maceração dinâmica
(metanol)
Extrato metanolico
OHIM (50,0 g)
Resíduo
Partição MeOH/H
2
O (8:2)
Hexano
Fração Hexano
OHIMH 12,1 g
Fração Acetato de etila
OHIMAc 8,2 g
Solução aquosa
I
Acetato de etila
Solução aquosa
II
30 – 35
2,0 g
4
11-12
116,0 mg
5
95,0 mg
1, 2, 3
FE: silica gel
FM: hexano/act./MeOH
FE: silica gel
FM: hexano/act./MeOH
30 – 35
2,0 g
4
11-12
116,0 mg
5
95,0 mg
1, 2, 3
FE: silica gel
FM: hexano/act./MeOH
FE: silica gel
FM: hexano/act./MeOH
O
O
OH
O
()
n
1
2
3
4
5
6
7
8
9
10
11
12
13
14
15
16
17
18
19
20
21
22
23
24
25 26
27
28
29
30
5
O
O
OH
O
()
n
1
2
3
4
5
6
7
8
9
10
11
12
13
14
15
16
17
18
19
20
21
22
23
24
25 26
27
28
29
30
5
HO
2 :
22, 23
3 : 22, 23-
diidro
22
23
HO
1
17
Fluxograma 2: Fracionamento cromatográfico da fração OHIMAc
OHIMAC
8,2 g
CC
FE: Silica gel
FM: CHCl
3
/MeOH
1
(160,0 mg)
4
3
400,0 mg
FE: Sephadex LH – 20
FM:MeOH
3 – 5
(15,0 mg)
7 + 8
7 -10
(170,0 mg)
6
11 – 20
(200 ,0 mg)
3
(5,0 mg)
9
5 - 8
(23,0 mg)
10
FE: Sephadex LH -20
FM: MeOH
1
(35,0 mg)
4a
Piridina
Anidrido acetico
46
11
12
13
14
15
16
17
18
19
20
21
22
23
24
25
26
27
28
1
2
3
5
7
8
9
10
29
1
'
O
O
OR
R
O
RO
OR
4 R = H
4a R = Ac
7 R
1
= H; R
2
= OH
8 R
1
= R
2
= H
O
OR
1
HO
OH O
R
2
O
OH
HO
OH
OH
2
3
4
5
6
7
8
9
10
1
'
2
'
3
'
4
'
5
'
6
'
1
''
2
''
3
''
4
''
5
''
6
''
O
OH
OH
HO
OH O
O
O
O
OH
OH
HO
2
3
4
5
7
8
9
10
1
'
2
'
3
'
4
'
5
'
6
'
6
1
''
2
''
3
''
4
''
5
''
6
''
1
'''
2
'''
3
'''
4
'''
5
'''
6
''''
O
OH
OH
OH
6
O
O
O
H
OH
OH
O
OH
HO
HO
HO
H
2
3
45
6
7
8
9
10
1
'
2
'
3
'
4
'
5
'
6
'
1
''
2
''
3
''
4
''
5
''
6
''
CH
3
O
10
O
O
OH
OH
O
OH
HO
HO
HO
H
2
3
45
6
7
8
9
10
1
'
2
'
3
'
4
'
5
'
6
'
1
''
2
''
3
''
4
''
5
''
6
''
CH
3
O
9
OHIMAC
8,2 g
CC
FE: Silica gel
FM: CHCl
3
/MeOH
1
(160,0 mg)
4
3
400,0 mg
FE: Sephadex LH – 20
FM:MeOH
3 – 5
(15,0 mg)
7 + 8
7 -10
(170,0 mg)
6
11 – 20
(200 ,0 mg)
3
(5,0 mg)
9
5 - 8
(23,0 mg)
10
FE: Sephadex LH -20
FM: MeOH
1
(35,0 mg)
4a
Piridina
Anidrido acetico
46
11
12
13
14
15
16
17
18
19
20
21
22
23
24
25
26
27
28
1
2
3
5
7
8
9
10
29
1
'
O
O
OR
R
O
RO
OR
4 R = H
4a R = Ac
46
11
12
13
14
15
16
17
18
19
20
21
22
23
24
25
26
27
28
1
2
3
5
7
8
9
10
29
1
'
O
O
OR
R
O
RO
OR
4 R = H
4a R = Ac
7 R
1
= H; R
2
= OH
8 R
1
= R
2
= H
O
OR
1
HO
OH O
R
2
O
OH
HO
OH
OH
2
3
4
5
6
7
8
9
10
1
'
2
'
3
'
4
'
5
'
6
'
1
''
2
''
3
''
4
''
5
''
6
''
7 R
1
= H; R
2
= OH
8 R
1
= R
2
= H
O
OR
1
HO
OH O
R
2
O
OH
HO
OH
OH
2
3
4
5
6
7
8
9
10
1
'
2
'
3
'
4
'
5
'
6
'
1
''
2
''
3
''
4
''
5
''
6
''
O
OH
OH
HO
OH O
O
O
O
OH
OH
HO
2
3
4
5
7
8
9
10
1
'
2
'
3
'
4
'
5
'
6
'
6
1
''
2
''
3
''
4
''
5
''
6
''
1
'''
2
'''
3
'''
4
'''
5
'''
6
''''
O
OH
OH
OH
6
O
OH
OH
HO
OH O
O
O
O
OH
OH
HO
2
3
4
5
7
8
9
10
1
'
2
'
3
'
4
'
5
'
6
'
6
1
''
2
''
3
''
4
''
5
''
6
''
1
'''
2
'''
3
'''
4
'''
5
'''
6
''''
O
OH
OH
OH
6
O
O
O
H
OH
OH
O
OH
HO
HO
HO
H
2
3
45
6
7
8
9
10
1
'
2
'
3
'
4
'
5
'
6
'
1
''
2
''
3
''
4
''
5
''
6
''
CH
3
O
10
O
O
O
H
OH
OH
O
OH
HO
HO
HO
H
2
3
45
6
7
8
9
10
1
'
2
'
3
'
4
'
5
'
6
'
1
''
2
''
3
''
4
''
5
''
6
''
CH
3
O
O
O
O
H
OH
OH
O
OH
HO
HO
HO
H
2
3
45
6
7
8
9
10
1
'
2
'
3
'
4
'
5
'
6
'
1
''
2
''
3
''
4
''
5
''
6
''
CH
3
O
10
O
O
OH
OH
O
OH
HO
HO
HO
H
2
3
45
6
7
8
9
10
1
'
2
'
3
'
4
'
5
'
6
'
1
''
2
''
3
''
4
''
5
''
6
''
CH
3
O
9
O
O
OH
OH
O
OH
HO
HO
HO
H
2
3
45
6
7
8
9
10
1
'
2
'
3
'
4
'
5
'
6
'
1
''
2
''
3
''
4
''
5
''
6
''
CH
3
O
9
18
b) Caule.
O caule seco e moído (410,0 g) foi submetido ao processo de maceração dinâmica com
metanol a temperatura ambiente. O extrato líquido foi filtrado e então concentrado em
evaporador rotativo sob pressão reduzida fornecendo o extrato seco OHGM (Ouratea
hexasperma Galhos Metanol) (44,0 g). O extrato (OHGM) foi submetido a filtração seletiva
em gel sílica com os solventes diclorometano e acetato de etila que após a remoção do
solvente em evaporador rotativo forneceu as respectivas frações: OHGMD ( 193,0 mg) e
OHGMAc (16,5 g).
A fração OHGMAc foi cromatografada em coluna de gel sílica eluida com mistura dos
solventes diclorometano / metanol com gradiente de polaridade crescente até metanol 100%,
gerando 30 subfrações. Essas foram analisadas por CCDA e reunidas conforme seu perfil
cromatográfico. A fração 4 apresentou um precipitado branco, identificado como os esteróides
estigmasterol (2) e sitosterol (3) (25,0 mg); a fração 6 apresentou um pó amorfo de difícil
solubilidade nos solventes orgânicos e posteriormente identificado como a saponina 3-β-O-β-
D-glicopiranosil sitosterol (4) (40,0 mg) As frações 8-9 ( 20,0 mg) foram reunidas e
submetidas à cromatografia em camada delgada preparativa, fornecendo uma resina
avermelhada identificada como a substância ácido 1,5-diiroxifenilacetico (11) [(5,0 mg) IV.:
(KBr)ν
max
cm
-1
:
3437 (ν
O-H
); 1695 (ν
C=O
); 1390, 1293 (ν
C-O
) RMN
1
H (D
3
COD), 200 MHz).δ
6,85(d, J=8,0 Hz, H-3); 6,20 (dd, J= 8,0 e 2,4 Hz, H-4); 6,28 (d, J= 2,4 Hz, H-6); 3,4 (s, 2H-
7). RMN
13
C (D
3
COD), 50 MHz) δ 156,7 (C-1); 115,4 (C-2); 130,2 (C-3); 104,9 (C-4); 158,9
(C-5); 104,1 (C-6); 43,7 (C-7); 176,9 (C-8)].
As frações 11–15 foram reunidas e purificas em coluna de Sephadex LH–20 eluida
com metanol e forneceu um pó amarelo identificado como o glicopiranosil diidroflavonol
prenilado (12). [(50,0 mg) P.F.:173ºC RMN
1
H (DMSO-d
6
200 MHz).δ 5,11 (d, J= 11,0 HZ,
H-2); 4,55 (m, H-3); 6,22 (s, H-8); 7,30 (d, J= 8,0 HZ, H-2’, 6’); 6,79 (d, J= 8,0 Hz H-3’, 5’);
4,92 (d, J= 8,0 Hz, H-1’’); 3,29 (m, H- 2’’, 3’’); 3,18 (m, H-4’’); 3,35 (m H-5’’); 3,50 (m, 2H-
6’’); 3,31 e 3,14 (m, 2H-1’’’); 5,17 (dd, H-2’’’); 1,61 (s Me-4’’’);1,75 (s, Me-5’’’);12,04
(OH-5) RMN
13
C (DMSO-d
6
50 MHz). (Figura 41,Tabela 9 Pág-72,68).
As frações 20–23 foram também reunidas e purificadas nas mesmas condições e
forneceu um pó amarelo e identificado como o glicopiranosil flavonol prenilado (13). [(80,0
mg) P.F.: 180º C RMN
1
H (DMSO-d
6
) 200 MHz).δ (ppm) 6,89 (s, H-8); 8,08 (d, J= 8,8 Hz
H-2’, 6’); 6,95 (d, J= 8,8 Hz H-3’, 5’); 4,90 (d, J= 8,0 Hz H-1’’); 3,29 (m, H-2’’); 3,33(m,
3’’); 3,36 (m, H-4’’); 3,44 (m, H-5’’); 3,51 (m, 2H-6’’); 3,31 e 3,27 (m, 2H-1’’’); 5,08 (dd, H-
2’’’); 1,64 (s, Me-4’’’); 1,77 (s, Me-5’’’). RMN
13
C (DMSO-d
6
) 50 MHz). (Figura 47,pág-
82 e Tabela 11 Págs-80).
Foram preparados dois derivados de 13. O tratamento de 13 (20,0 mg) com
diazometano forneceu o derivado 7-glicosil-6-prenil-3,4’-dimetoxi-5-hidroxi-flavona (13a)
(12,0 mg). O tratamento de 13 (35,0 mg) com piridina e anidrido acético forneceu o derivado
3,5,4’,2’’,3’’,4’’,6’’-heptacetil-7-0-β-glicopiranosil flavona (13b) (20,0 mg).
19
Fluxograma 3 Preparação e fracionamento do extrato metanólico do caule de O.
hexasperma St. Hil.
Ouratea cuspidata (St. Hil).
MATERIAL VEGETAL.
O material vegetal, folhas e caules de Ouratea cuspidata foram coletados na restinga
do município de Barra de Maricá, Rio de Janeiro, RJ, em setembro de 2002 e identificado pela
Dra. Luci de Senna Valle Uma excicata (N° 206313) desta espécie esta depositada no
herbário do Museu Nacional do Rio de Janeiro, Rio de Janeiro, RJ, Brasil.
2
3
4
5
6
7
8
9
10
O
OAc
AcO
AcO
AcO
H
O
O
O
OAc
OAc
OAc
H
2
'
3
'
4
'
5
'
6
'
1
'
1
''
2
''
3
''
4
''
5
''
6
''
1
'''
2
'''
3
''''
4
'''
5
'''
13b
Caule
410,og
OHGM
44,0g
Resíduo
OHGMD
193,0 mg
OHGMAc
16,5g
Filtração silica gel
1) Diclorometano
2) Acetato de etila
Evaporação
4
25,0 mg
2, 3
8 - 9
20 ,0mg
11 – 15
75,0 mg
20 – 23
105,0mg
6
40,0 mg
4
5 ,0mg
11
50,0mg
12
CCDP
80,0 mg
13
FE: Silica gel
FM: CH
2
Cl
2
/MeOH
Sephadex LH 20
MeOH
Maceração dinâmica
MeOH
10,0mg
13a
Diazometano
20,0mg
13b
Piridina
anidridoacetico
HO
2 :
22, 23
3 : 22, 23-
diidro
22
23
46
11
12
13
14
15
16
17
18
19
20
21
22
23
24
25
26
27
28
1
2
3
5
7
8
9
10
29
1
' O
O
OH
HO
HO
OH
4
HO
OH
OH
O
1
2
3
4
5
6
7
8
11
3
4
5
6
7
8
9
10
O
OH
HO
HO
HO
H
O
O
O
OH
OH
OH
2
'
3
'
4
'
5
'
6
'
1
'
1
''
2
''
3
''
4
''
5
''
6
''
1
'''
2
'''
3
''''
4
'''
5
'''
12
O
OH
HO
HO
HO
H
O
O
O
OH
OH
OH
13
2
3
4
5
6
7
8
9
10
O
OH
HO
HO
HO
H
O
O
O
OH
OCH
3
OCH
3
H
2
'
3
'
4
'
5
'
6
'
1
'
1
''
2
''
3
''
4
''
5
''
6
''
1
'' '
2
'' '
3
'' ''
4
'' '
5
'' '
13a
2
3
4
5
6
7
8
9
10
O
OAc
AcO
AcO
AcO
H
O
O
O
OAc
OAc
OAc
H
2
'
3
'
4
'
5
'
6
'
1
'
1
''
2
''
3
''
4
''
5
''
6
''
1
'''
2
'''
3
''''
4
'''
5
'''
13b
2
3
4
5
6
7
8
9
10
O
OAc
AcO
AcO
AcO
H
O
O
O
OAc
OAc
OAc
H
2
'
3
'
4
'
5
'
6
'
1
'
1
''
2
''
3
''
4
''
5
''
6
''
1
'''
2
'''
3
''''
4
'''
5
'''
13b
Caule
410,og
OHGM
44,0g
Resíduo
OHGMD
193,0 mg
OHGMAc
16,5g
Filtração silica gel
1) Diclorometano
2) Acetato de etila
Evaporação
4
25,0 mg
2, 3
8 - 9
20 ,0mg
11 – 15
75,0 mg
20 – 23
105,0mg
6
40,0 mg
4
5 ,0mg
11
50,0mg
12
CCDP
80,0 mg
13
FE: Silica gel
FM: CH
2
Cl
2
/MeOH
Sephadex LH 20
MeOH
Maceração dinâmica
MeOH
10,0mg
13a
Diazometano
20,0mg
13b
Piridina
anidridoacetico
HO
2 :
22, 23
3 : 22, 23-
diidro
22
23
46
11
12
13
14
15
16
17
18
19
20
21
22
23
24
25
26
27
28
1
2
3
5
7
8
9
10
29
1
' O
O
OH
HO
HO
OH
4
HO
OH
OH
O
1
2
3
4
5
6
7
8
11
3
4
5
6
7
8
9
10
O
OH
HO
HO
HO
H
O
O
O
OH
OH
OH
2
'
3
'
4
'
5
'
6
'
1
'
1
''
2
''
3
''
4
''
5
''
6
''
1
'''
2
'''
3
''''
4
'''
5
'''
12
O
OH
HO
HO
HO
H
O
O
O
OH
OH
OH
13
2
3
4
5
6
7
8
9
10
O
OH
HO
HO
HO
H
O
O
O
OH
OCH
3
OCH
3
H
2
'
3
'
4
'
5
'
6
'
1
'
1
''
2
''
3
''
4
''
5
''
6
''
1
'' '
2
'' '
3
'' ''
4
'' '
5
'' '
13a
Caule
410,og
OHGM
44,0g
Resíduo
OHGMD
193,0 mg
OHGMAc
16,5g
Filtração silica gel
1) Diclorometano
2) Acetato de etila
Evaporação
4
25,0 mg
2, 3
8 - 9
20 ,0mg
11 – 15
75,0 mg
20 – 23
105,0mg
6
40,0 mg
4
5 ,0mg
11
50,0mg
12
CCDP
80,0 mg
13
FE: Silica gel
FM: CH
2
Cl
2
/MeOH
Sephadex LH 20
MeOH
Maceração dinâmica
MeOH
10,0mg
13a
Diazometano
20,0mg
13b
Piridina
anidridoacetico
Caule
410,og
OHGM
44,0g
Resíduo
OHGMD
193,0 mg
OHGMAc
16,5g
Filtração silica gel
1) Diclorometano
2) Acetato de etila
Evaporação
4
25,0 mg
2, 3
8 - 9
20 ,0mg
11 – 15
75,0 mg
20 – 23
105,0mg
6
40,0 mg
4
5 ,0mg
11
50,0mg
12
CCDP
80,0 mg
13
FE: Silica gel
FM: CH
2
Cl
2
/MeOH
Sephadex LH 20
MeOH
Maceração dinâmica
MeOH
10,0mg
13a
Diazometano
20,0mg
13b
Piridina
anidridoacetico
HO
2 :
22, 23
3 : 22, 23-
diidro
22
23
46
11
12
13
14
15
16
17
18
19
20
21
22
23
24
25
26
27
28
1
2
3
5
7
8
9
10
29
1
' O
O
OH
HO
HO
OH
4
46
11
12
13
14
15
16
17
18
19
20
21
22
23
24
25
26
27
28
1
2
3
5
7
8
9
10
29
1
' O
O
OH
HO
HO
OH
4
HO
OH
OH
O
1
2
3
4
5
6
7
8
11
HO
OH
OH
O
1
2
3
4
5
6
7
8
11
3
4
5
6
7
8
9
10
O
OH
HO
HO
HO
H
O
O
O
OH
OH
OH
2
'
3
'
4
'
5
'
6
'
1
'
1
''
2
''
3
''
4
''
5
''
6
''
1
'''
2
'''
3
''''
4
'''
5
'''
12
3
4
5
6
7
8
9
10
O
OH
HO
HO
HO
H
O
O
O
OH
OH
OH
2
'
3
'
4
'
5
'
6
'
1
'
1
''
2
''
3
''
4
''
5
''
6
''
1
'''
2
'''
3
''''
4
'''
5
'''
12
O
OH
HO
HO
HO
H
O
O
O
OH
OH
OH
13
O
OH
HO
HO
HO
H
O
O
O
OH
OH
OH
13
2
3
4
5
6
7
8
9
10
O
OH
HO
HO
HO
H
O
O
O
OH
OCH
3
OCH
3
H
2
'
3
'
4
'
5
'
6
'
1
'
1
''
2
''
3
''
4
''
5
''
6
''
1
'' '
2
'' '
3
'' ''
4
'' '
5
'' '
13a
2
3
4
5
6
7
8
9
10
O
OH
HO
HO
HO
H
O
O
O
OH
OCH
3
OCH
3
H
2
'
3
'
4
'
5
'
6
'
1
'
1
''
2
''
3
''
4
''
5
''
6
''
1
'' '
2
'' '
3
'' ''
4
'' '
5
'' '
13a
20
ELABORAÇÃO E FRACIONAMENTO DOS EXTRATOS.
a) Folhas
As folhas após terem sido secas a sombra em temperatura ambiente e moídas em
moinho de facas (580,0 g) foram submetidas a extração por maceração dinâmica em
seqüência com hexano, acetato de etila e metanol . Os extratos foram filtrados e os solventes
removidos até completa secura em evaporador rotativo sob pressão reduzida e ar quente
fornecendo respectivamente os extratos OCFH (29,69 g) (Ouratea cuspidata Folha Hexano);
OCFAc (36,2 g) (O. cuspidata Folha Acetato); OCFM (117,0g)(O. cuspidata Folha
Metanol).
O extrato OCFH (14,0 g) foi submetido à filtração seletiva em sílica com
diclorometano. A fração diclorometano (OCFHD 3,03 g) foi cromatografada em coluna de gel
de sílica e eluida com mistura de solventes hexano, acetato de etila, metanol em gradiente de
polaridades crescentes gerando 35 frações de 125 ml. As frações 8–14 foram reunidas pois
apresentaram um precipitado branco identificado como a mistura dos esteróides estigmasterol
(2) e sitosterol (3) (35,0 mg). (Fluxograma 4, Pág-21)
A fração 17–22 apresentou precipitado branco (20,0 mg) identificado como mistura
dos triterpenos lupeol (14),α-amirina (15), β-amirina (16) [P.F. 180ºC RMN
1
H (CDCl
3
, 200
MHz) δ: 5,15 (M, H-12 (16); 5,10 (m, H-12 (15); 4,65 (d, J=2,2 Hz, H-29a .(14)); 4,54 (d,
J=1,28 Hz H-29b (14)); 3,24 (dd, J= 10,0; 7,2 Hz, Hβ-3); 0,76-1,10 (Me
(s)
)] (Figura 57 pag-
95)
O extrato OCFAc (36,2 g) foi solubilizado em metanol-água (8:2) e submetido a
partição líquido/líquido com clorofórmio fornecendo respectivamente, as frações OCFAcH
(2,49 g) e OCFAcC (11,43 g). Da fração OCAcC houve a formação de um precipitado
solúvel em metanol, que foi submetido a uma coluna de Sephadex LH–20 eluida com metanol
gerando 10 fração de 50 ml.
As frações 5–7 foram reunidas e forneceram um prepitado amarelo, solúvel em
metanol identificado como a biflavona Amentoflavona (17). (95,0 mg.) RMN
1
H
(D
3
CCOCD
3
, 200 MHz) δ: 6,65 (s, H-3); 6,22 (d, J= 2,0 Hz, H-6); 6,51 (d, J= 2,0 Hz, H-8);
8,12 (d, J= 2,2 Hz, H-2’); 7,23 (d, J= 8,8 Hz, H-5’); 8,02 (dd, J= 8,8; 2,2 Hz, H-6’); 6,72 (s,
H-3’’); 6,43 (s, H-6’’); 7,64 (d, J= 8,8 Hz, H-2’’’, 6’’’); 6,82 (d, J=8,8 Hz, H-3’”, 5’”), 13,6
(s, OH), 12,99 (s, OH);(Figura 58, pág-.98) RMN
13
C (D
3
CCOCD
3
), 50 MHz,)] (Figura 58
Tabela 13 Pág-97).
A água–mãe da fração OCAcC foi submetida a uma coluna de gel sílica eluida com a
mistura dos solventes hexano/acetato de etila, metanol com gradiente de polaridade crescente
até metanol 100% gerando 80 frações 125 ml. As frações 12–35 foram reunidas, purificadas e
identificadas como a biflavona 17 (25,0 mg). A substancia 17 foi tratada com diazometano
produzindo o derivado metilado tetrametilamentoflavona (17a) (12,0 mg), e também tratada
com piridina e anidrido acetido obtendo-se o derivado acetilado peracetilamentoflavona
(17b).(19,0 mg)(Paginas 100 e 109..)
As frações 45–61 forneceu um precipitado amarelo solúvel em metanol que foi
identificado como biflavona putraflavona18. (110,0 mg) P.F. 256ºC; RMN
1
H (DMSO-d
6
,
500 MHz)δ: 6,90 (s, H-3); 6,36 (d, J= 1,9 HZ, H-6); 6,76 (sl, H-8); 8,09 (m, H-2’, 6’); 7,15
(d, J= 9,1 Hz, H-5’); 6,91 (s, H-3’’); 6,40 (s, H-6’’); 7,68 (d, J= 8,7 Hz, 2’’’, 6’’’); 6,93 (d, J=
8,7 Hz, H- 3’’’, 5’’’); 12,91 (s, HO-5); 13,07 (s, HO-5’’); 3,83 (s, MeO-7); 3,75 (s, MeO-
4’’’); (Figura 71 pág.115 ); RMN
13
C (DMSO-d
6
, 125 MHz,)] (Figura 72, pág-116 Tabela
16 Pág-114).
O extrato metanolico OCFM (30,0 g) foi fracionado numa coluna cromatográfica
contendo gel sílica. Iniciou-se a eluição com acetato de etila aumentando a polaridade do
21
eluente pela adição gradativa de metanol até metanol 100%. Obtiveram-se 60 frações. As
frações 8–10 forneceram novamente o biflavonoide amentoflavona (17) (15,0 mg).
As frações 15–20 forneceu pó amarelo identificado como flavonoide 5,7,4’-triidroxi-
3’,5’-dimetoxi-flavona (19). (10,0 mg) [RMN
1
H CDCl
3
, 200 MHz) δ: 6,97 (s, H-3); 6,19 (d,
J= 2,1 Hz, H-6), 6,55 (d, J= 2,1 Hz, H-8); 7,31 (s, H-2’, 6’); 3,87 (s MeO-3’, 5’), (Figura 84 e
85 pág-129, Tabela 18 pág-128.) RMN
13
C (CDCl
3
, 50 MHz,)]
Fluxograma 4: Preparação e fracionamento cromatográfico dos extratos das folhas de
Ouratea cuspidata
OCFAcC
11,43 g
CC
FE: silica gel
FM: hex / acet /MeOH
Folhas
O. cuspidata
580,0g
Maceração dinâmica
OCFH
13,6 g
OCFAc
36,0g
Acetato de
etila
OCFM
130,0 g
MeOH
Hexano
MeOH:água (8;2)
cloroformio
CC
FE: Silica gel
FM: hex / acet /MeOH
Filtração silica gel
diclorometano
OCFHD
3,30g
17 - 22
8 - 14
2, 3
35,0 mg
14, 15, 16
20,0 mg
8 - 10 15 - 20
17
15,0 mg
19
10,0 mg
CC
FE:silica gel
FM:hex / acet / MeOH
H
2
0Mãe
17
95,0 mg
5 - 7
precipitado
45 - 61
CC
FE: Sephadex LH20
FM: MeOH
18
110,0 mg
12 - 35
17
25,0 mg
17a
12,0 mg
17b
19,0 mg
Diazometano
Piridina
Anidrido acetico
H
O
2 :
22, 23
3 : 22, 23-
diidro
22
23
R
1
HO
R
15: R = Me, R
1
= H
16: R = H , R
1
= Me
19
18
17
16
15
14
13
12
11
10
9
8
7
6
5
4
3
2
1
20
21
22
2324
25
26
28
29
HO
27
30
14
O
OOR
1
R
2
O
OR
3
O
O
R
6
O
OR
5
OR
4
17- R
1
= R
2
= R
3
= R
4
= R
5
= R6= H
17a- R1= R5= H; R2= R3= R4 = R6= CH
3
17b- R1= R2= R3= R4= R5= R6= Ac
O
OH O
O
OH O
OC H
3
OH
CH
3
O
HO
18
OCFAcC
11,43 g
CC
FE: silica gel
FM: hex / acet /MeOH
Folhas
O. cuspidata
580,0g
Maceração dinâmica
OCFH
13,6 g
OCFAc
36,0g
Acetato de
etila
OCFM
130,0 g
MeOH
Hexano
MeOH:água (8;2)
cloroformio
CC
FE: Silica gel
FM: hex / acet /MeOH
Filtração silica gel
diclorometano
OCFHD
3,30g
17 - 22
8 - 14
2, 3
35,0 mg
14, 15, 16
20,0 mg
8 - 10 15 - 20
17
15,0 mg
19
10,0 mg
CC
FE:silica gel
FM:hex / acet / MeOH
H
2
0Mãe
17
95,0 mg
5 - 7
precipitado
45 - 61
CC
FE: Sephadex LH20
FM: MeOH
18
110,0 mg
12 - 35
17
25,0 mg
17a
12,0 mg
17b
19,0 mg
Diazometano
Piridina
Anidrido acetico
H
O
2 :
22, 23
3 : 22, 23-
diidro
22
23
R
1
HO
R
15: R = Me, R
1
= H
16: R = H , R
1
= Me
19
18
17
16
15
14
13
12
11
10
9
8
7
6
5
4
3
2
1
20
21
22
2324
25
26
28
29
HO
27
30
14
O
OOR
1
R
2
O
OR
3
O
O
R
6
O
OR
5
OR
4
17- R
1
= R
2
= R
3
= R
4
= R
5
= R6= H
17a- R1= R5= H; R2= R3= R4 = R6= CH
3
17b- R1= R2= R3= R4= R5= R6= Ac
OCFAcC
11,43 g
CC
FE: silica gel
FM: hex / acet /MeOH
Folhas
O. cuspidata
580,0g
Maceração dinâmica
OCFH
13,6 g
OCFAc
36,0g
Acetato de
etila
OCFM
130,0 g
MeOH
Hexano
MeOH:água (8;2)
cloroformio
CC
FE: Silica gel
FM: hex / acet /MeOH
Filtração silica gel
diclorometano
OCFHD
3,30g
17 - 22
8 - 14
2, 3
35,0 mg
14, 15, 16
20,0 mg
8 - 10 15 - 20
17
15,0 mg
19
10,0 mg
CC
FE:silica gel
FM:hex / acet / MeOH
H
2
0Mãe
17
95,0 mg
5 - 7
precipitado
45 - 61
CC
FE: Sephadex LH20
FM: MeOH
18
110,0 mg
12 - 35
17
25,0 mg
17a
12,0 mg
17b
19,0 mg
Diazometano
Piridina
Anidrido acetico
OCFAcC
11,43 g
CC
FE: silica gel
FM: hex / acet /MeOH
Folhas
O. cuspidata
580,0g
Maceração dinâmica
OCFH
13,6 g
OCFAc
36,0g
Acetato de
etila
OCFM
130,0 g
MeOH
Hexano
MeOH:água (8;2)
cloroformio
CC
FE: Silica gel
FM: hex / acet /MeOH
Filtração silica gel
diclorometano
OCFHD
3,30g
17 - 22
8 - 14
2, 3
35,0 mg
14, 15, 16
20,0 mg
8 - 10 15 - 20
17
15,0 mg
19
10,0 mg
CC
FE:silica gel
FM:hex / acet / MeOH
H
2
0Mãe
17
95,0 mg
5 - 7
precipitado
45 - 61
CC
FE: Sephadex LH20
FM: MeOH
18
110,0 mg
12 - 35
17
25,0 mg
H
2
0Mãe
17
95,0 mg
5 - 7
precipitado
45 - 61
CC
FE: Sephadex LH20
FM: MeOH
18
110,0 mg
12 - 35
17
25,0 mg
17a
12,0 mg
17b
19,0 mg
Diazometano
Piridina
Anidrido acetico
H
O
2 :
22, 23
3 : 22, 23-
diidro
22
23
R
1
HO
R
15: R = Me, R
1
= H
16: R = H , R
1
= Me
19
18
17
16
15
14
13
12
11
10
9
8
7
6
5
4
3
2
1
20
21
22
2324
25
26
28
29
HO
27
30
14
O
OOR
1
R
2
O
OR
3
O
O
R
6
O
OR
5
OR
4
17- R
1
= R
2
= R
3
= R
4
= R
5
= R6= H
17a- R1= R5= H; R2= R3= R4 = R6= CH
3
17b- R1= R2= R3= R4= R5= R6= Ac
O
OOR
1
R
2
O
OR
3
O
O
R
6
O
OR
5
OR
4
17- R
1
= R
2
= R
3
= R
4
= R
5
= R6= H
17a- R1= R5= H; R2= R3= R4 = R6= CH
3
17b- R1= R2= R3= R4= R5= R6= Ac
O
OH O
O
OH O
OC H
3
OH
CH
3
O
HO
18
O
OH O
O
OH O
OC H
3
OH
CH
3
O
HO
18
22
b) Caule
O caule após ter sido seco a sombra em temperatura ambiente e moído em moinho de
facas, (650,0 g) foi submetido à extração por maceração dinâmica com metanol. O extrato
metanólico foi filtrado e o solvente removidos até completa secura em evaporador rotativo
sob pressão reduzida fornecendo o extrato OCGM (Ouratea Cuspidata Galho Metanol).
O extrato metanolico dos galhos OCGM ( 130,0 g) foi submetido ao processo de
filtração seletiva em gel de sílica com os solventes hexano, acetato de etila e metanol gerando
as respectivas frações OCGMH (8,0 g), OCGMAc (38,0g) e OCGMM (65,0).
A fração OCGMH (8,0g) foi cromatografada em coluna de gel de sílica e
eluida com mistura dos solventes hexano, acetato de etila, metanol em gradiente de
polaridades crescentes até metanol 100%, gerando 25 frações de 125 mL. Essas frações foram
reunidas conforme seu perfil em CCDA. As frações 5-10 apresentaram um precipitado branco
que foi identificado como a mistura dos esteróides estgmasterol (2) e sitosterol (3) (25,0 mg).
A fração 12-15 apresentou precipitado branco identificado como a mistura dos triterpenos
Lupeol (14), α-amirina (15), β-amirina( 16). (30,0mg). (Fluxograma 5 pág-23)
A fração OCGMAc (20,0 g) foi submetida ao mesmo tratamento cromatográfico e nas
mesmas condições que a fração OCGMH. Gerando 50 frações de 125 mL. As frações 8-13
foram reunidas e forneceu uma substância pastosa (80,0 mg) identificada como o carboidrato
1-Metil-β-D-glicopiranosil (20) [RMN
13
C DMSO-d
6
, 50 MHz) δ: 105,3 (C-1); 77,9 (C-3);
77,8 (C-5); 71,5 (C_4); 62,6 (C-6); 57,3 (OCH
3
)].
A reunião das frações 25-26 seguida de sua purificação em coluninha de gel de sílica
eluida com Hexano:acetato de etila (4:6) forneceu pó amarelo (8,0 mg) identificado como o
flavonóide 4’,3,5,7-tetraidroxi-3’-metoxi-flavonol (21). RMN
1
H DMSO-d
6
, 200 MHz) δ:
12,5 (HO-5); 7,93 (s,H-2’);7,49 (d, J=8,0 Hz, H-6’); 6,92 (d, J= 8,0 Hz, H-5’); 6,38 (sl, H-8);
6,15 (sl, H-6); 3,82 (s, MeO-3’)].
As frações 42-48 (3,30 g) foram reunidas e recromatografadas em gel de sílica e eluida
com mistura de solventes hexano, acetato de etila, metanol em gradiente de polaridade
crescente até metanol 100% gerando 20 frações de 50 mL a fração 15 apresentou uma mistura
de flavonóides e carboidratos contendo como substância majoritária o flavonóide 4’,5,7-
triidroxi-3’-metoxi-3-β-O-galactopiranosil (22); RMN
1
H DMSO-d
6
, 200 MHz) δ: 6,2 (sl, H-
6); 6,4 (sl, H-8); 7,9 (d, J=2,oHz, H-2’); 6,9 (d, J= 8,0 Hz, H-5’); 7,5 (dd, J= 8,0 e 2,0 Hz H-
6’); 5,56 (d, J= 7,0 Hz, H-1’’); 3,9-3,1(m, H-2’’,3’’,4’’.5’’,6’’); 3,83 (s, MeO-3’); 12,5 (HO-
5). RMN
13
C DMSO-d
6
, 50 MHz) (Figura 92 pag ).
23
Fluxograma 5: Preparação e fracionamento cromatográfico do extrato metanólico do
caule de Ouratea cuspidata
O
HO
HO
O
OH
OCH
3
O
O
OH
OH
OH
OH
22
OCGM
(650,0g)
Filtração seletica
1) Hexano
2) Acetato etila
3) Metanol
OCGMH
(8,0g)
OCGMM
(65,0g)
CC
FE: Gel silica
FM: hex/acet/MeoH
OCGMAc
(20,0g)
5-10 12-15
Cristalização
MeOH
2 e 3
(25,0mg)
14,15 e 16
(30,0mg)
CC
FE: Gel silica
FM: hex/acet/MeoH
8-13 25-26 42-48
20
(80,0mg)
21
(8,0mg)
Mistura+
22
(12,0mg)
H
O
2 :
22, 23
3 : 22, 23-
diidro
22
23
19
18
17
16
15
14
13
12
11
10
9
8
7
6
5
4
3
2
1
20
21
22
2324
25
26
28
29
HO
27
30
14
R
1
HO
R
15: R = Me, R
1
= H
16: R = H , R
1
= Me
O
HO
HO
OH
OH
OCH
3
O
21
1
2
3
4
5
6
O
OCH
3
OH
OH
HO
HO
20
O
HO
HO
O
OH
OCH
3
O
O
OH
OH
OH
OH
22
O
HO
HO
O
OH
OCH
3
O
O
OH
OH
OH
OH
22
OCGM
(650,0g)
Filtração seletica
1) Hexano
2) Acetato etila
3) Metanol
OCGMH
(8,0g)
OCGMM
(65,0g)
CC
FE: Gel silica
FM: hex/acet/MeoH
OCGMAc
(20,0g)
5-10 12-15
Cristalização
MeOH
2 e 3
(25,0mg)
14,15 e 16
(30,0mg)
CC
FE: Gel silica
FM: hex/acet/MeoH
8-13 25-26 42-48
20
(80,0mg)
21
(8,0mg)
Mistura+
22
(12,0mg)
OCGM
(650,0g)
Filtração seletica
1) Hexano
2) Acetato etila
3) Metanol
OCGMH
(8,0g)
OCGMM
(65,0g)
CC
FE: Gel silica
FM: hex/acet/MeoH
OCGMAc
(20,0g)
5-10 12-15
Cristalização
MeOH
2 e 3
(25,0mg)
14,15 e 16
(30,0mg)
CC
FE: Gel silica
FM: hex/acet/MeoH
8-13 25-26 42-48
20
(80,0mg)
21
(8,0mg)
Mistura+
22
(12,0mg)
H
O
2 :
22, 23
3 : 22, 23-
diidro
22
23
19
18
17
16
15
14
13
12
11
10
9
8
7
6
5
4
3
2
1
20
21
22
2324
25
26
28
29
HO
27
30
14
R
1
HO
R
15: R = Me, R
1
= H
16: R = H , R
1
= Me
O
HO
HO
OH
OH
OCH
3
O
21
O
HO
HO
OH
OH
OCH
3
O
21
1
2
3
4
5
6
O
OCH
3
OH
OH
HO
HO
20
1
2
3
4
5
6
O
OCH
3
OH
OH
HO
HO
20
24
RESULTADOS E DISCUSSÕES.
Antes do início da década de 70, a determinação da estrutura de um produto natural,
necessitava-se de um longo período de tempo e uma grande quantidade de substâncias. Isto,
porque essas análises baseavam-se fundamentalmente em métodos de degradação, e derivação
porque os métodos físicos eram menos informativos como UV, IV, RMN com baixa
resolução. Hoje são mais usadas as técnicas espectroscópicas são mais informativas. Além da
espectrometria no infravermelho (IV) e espectrometria de massas, a ressonância magnética
nuclear tem sido aprimorada a cada dia gerando mais informações e tornando as análises mais
interessantes.
Esse constante desenvolvimento da RMN com ímãs supercondutores, com a
introdução das técnicas de pulso e da transformada de Fourier, não somente aumentaram a
sensibilidade dos equipamentos, mas também abriram caminho para o desenvolvimento de
várias técnicas especiais canalizando melhores informações estruturais.
Hoje, as técnicas mono e bidimensionais são superiores ao número de duzentas, porém
só algumas dezenas são usadas com mais freqüência..
Para um químico de produtos naturais, os fundamentos físicos e matemáticos, sobre os
quais são baseadas essas técnicas, não são essenciais. O mais importante é o uso adequado
delas.
Mesmo com toda essa evolução dos métodos físicos, é muito importante para a
elucidação estrutural o conhecimento do metabolismo condutor à formação dos representantes
das diferentes classes das substâncias naturais. O conhecimento dos precursores e, as vezes,
das etapas necessárias para elaborações desses constituintes naturais é a base fundamental de
raciocínio para a determinação estrutural das substâncias isoladas.
O estudo químico de O.hexasperma e O. cuspidata levou ao isolamento, purificação e
determinação estrutural de trinta e duas substâncias naturais e de cinco derivados obtidos dos
produtos naturais. Essas informações estão sistematizadas em quatro quadros:
Quadro 1 Constituintes químicos isolados de inflorescências de Ouratea hexasperma;
Quadro 2 Constituintes químicos isolados de caules de Ouratea hexasperma;
Quadro 3 Constituintes químicos isolados de folhas de Ouratea cuspidata;
Quadro 4 Constituintes químicos isolados de caules de Ouratea cuspidata;
25
Quadro 1 - Constituintes químicos isolados de inflorescência de Ouratea
hexasperma.
HO
1
HO
2
HO
3
O
O
OH
HO
HO
OH
4
O
O
OH
O
()
n
5
O
OH
OH
HO
OH O
O
O
O
OH
OH
HO
O
OH
OH
OH
6
O
OH
HO
OH O
OH
O
OH
HO
OH
OH
7
O
OH
HO
OH O
O
OH
HO
OH
OH
8
O
O
OH
OH
OH
O
OH
HO
HO
HO
H
CH
3
O
10
O
O
OH
OCH
3
O
OH
HO
HO
HO
H
2
3
45
6
7
8
9
10
1
'
2
'
3
'
4
'
5
'
6
'
1
''
2
''
3
''
4
''
5
''
6
''
CH
3
O
9
Derivado Obtido a partir da substância 4
4
6
11
12
13
14
15
16
17
18
19
20
21
22
23
24
25
26
27
28
1
2
3
5
7
8
9
10
29
1
'
O
O
O
Ac
AcO
AcO
OAc
4a
HO
1
HO
1
HO
2
HO
2
HO
3
HO
3
O
O
OH
H
O
HO
OH
4
O
O
OH
H
O
HO
OH
4
O
O
OH
O
()
n
5
O
O
OH
O
()
n
5
O
OH
OH
HO
OH O
O
O
O
OH
OH
HO
O
OH
OH
OH
6
O
OH
OH
HO
OH O
O
O
O
OH
OH
HO
O
OH
OH
OH
6
O
OH
HO
OH O
OH
O
OH
HO
OH
OH
7
O
OH
HO
OH O
OH
O
OH
HO
OH
OH
7
O
OH
HO
OH O
O
OH
HO
OH
OH
8
O
OH
HO
OH O
O
OH
HO
OH
OH
8
O
O
OH
OH
OH
O
OH
HO
HO
HO
H
CH
3
O
10
O
O
OH
OH
OH
O
OH
HO
HO
HO
H
CH
3
O
10
O
O
OH
OCH
3
O
OH
HO
HO
HO
H
2
3
45
6
7
8
9
10
1
'
2
'
3
'
4
'
5
'
6
'
1
''
2
''
3
''
4
''
5
''
6
''
CH
3
O
9
O
O
OH
OCH
3
O
OH
HO
HO
HO
H
2
3
45
6
7
8
9
10
1
'
2
'
3
'
4
'
5
'
6
'
1
''
2
''
3
''
4
''
5
''
6
''
CH
3
O
9
Derivado Obtido a partir da substância 4
4
6
11
12
13
14
15
16
17
18
19
20
21
22
23
24
25
26
27
28
1
2
3
5
7
8
9
10
29
1
'
O
O
O
Ac
AcO
AcO
OAc
4a
4
6
11
12
13
14
15
16
17
18
19
20
21
22
23
24
25
26
27
28
1
2
3
5
7
8
9
10
29
1
'
O
O
O
Ac
AcO
AcO
OAc
4a
26
Identificação dos constituintes isolados de inflorescência de Ouratea
hexasperma (St. Hil).
Mistura de esteróides, Campesterol (1), Estigmasterol (2) e Sitosterol (3)
Os esteróides 1, 2 e 3 foram obtidos em mistura e identificados através da análise dos
espectros de IV, RMN
1
H e
13
C e comparação com dados descritos na literatura
(CARVALHO et al., 2001, VEGA et. al. 2001) e principalmente pela análise com CG-EM
O espectro de RMN
1
H (Figura 3, pág-27) mostra sinais entre δ
H
0,64–0,97
correspondentes aos grupos metílicos. O multipleto em δ
H
3,54 corresponde aos hidrogênios
carbinólicos H–3, o singleto largo em δ
H
5,33 representa o hidrogênio olefínico H–6 e o
multipleto em δ
H
5,18 corresponde aos H–22 e H–23 característico da ligação dupla do
estigmasterol. O espectro de RMN
13
C (Figura 4, pág-27) revela a presença de sinais de
carbonos olefínicos δ
CH
121,63 atribuído a C–6 do campesterol (1), estigmasterol (2) e
sitosterol (3) δ
CH
138,28 e 129,18 (C–22 e23 de 2), um sinal de carbono quaternário olefínico
com δc 140,68 (C–5, 1, 2e 3) e um carbono carbinólico δ
CH
71,69 (C-3) comum aos três
esteróides. Essas análises permitiram propor a presença de 2 e 3 nessa fração pois são os
esteroides mais freqüentes em vegetais.
Considerando que os espectros de RMN
1
H e
13
C dessa mistura não garantem a
presença de apenas 2 e 3, uma vez que a multiplicidade dos sinais na região de metila não
permite distinguir as possíveis ramificações da cadeia aberta dos esteróides. Por isso decidiu-
se fazer análise adicional dessa amostra com CG-EM. Essa análise permitiu detectar além de
2 e 3 um terceiro componente (1) (TR: 17,82; 18,26 e 19,47) para 1, 2 e 3, respectivamente
(Figura 5). Os espectros de massas correspondentes a cada componente apresenta os
respectivos valores de m/z de fragmentos inclusive o do pico do íon molecular (M
+.
) de 1:
(400u, 50%); 2: 413u M
+.
+1, 25%); 3: 414u, 30%) (Figuras 6, 7, 8). A comparação desses
espectros com a biblioteca (REPLIB NIST Library) permitiu caracterizar cada componente.
46
29
H
O
11
12
13
14
15
16
17
18
19
20
21
22
23
24
25
26
2
7
28
1
2
3
5
7
8
9
10
2 - Estigmasterol
46
29
H
O
11
12
13
14
15
16
17
18
19
20
21
22
23
24
25
26
2
7
28
1
2
3
5
7
8
9
10
2 - Estigmasterol
4
6
HO
11
12
13
14
15
16
17
18
19
20
21
22
23
24
25
26
27
28
1
2
3
5
7
8
9
10
1 - Campesterol
4
6
HO
11
12
13
14
15
16
17
18
19
20
21
22
23
24
25
26
27
28
1
2
3
5
7
8
9
10
1 - Campesterol
46
29
11
12
13
14
15
16
17
18
19
20
21
22
24
25
26
2
7
28
1
2
3
5
7
8
9
10
H
O
23
3 - Sitosterol
46
29
11
12
13
14
15
16
17
18
19
20
21
22
24
25
26
2
7
28
1
2
3
5
7
8
9
10
H
O
23
3 - Sitosterol
27
Figura 3 Espectro de RMN
1
H das substâncias 1 + 2 + 3 em CDCl
3
(200 MHz).
Figura 4: Espectro de RMN de
13
C das substâncias 1 + 2+3 CDCl
3
(200 MHz).
C - 6
C - 22
C - 23
C - 5
C - 3
C - 6
C - 22
C - 23
C - 5
C - 3
H - 6
H - 3
H – 22, 23
Região de metilas
4
6
H
O
11
12
13
14
15
16
17
18
19
20
21
22
23
24
25
26
2
7
28
1
2
3
5
7
8
9
10
46
29
H
O
11
12
13
14
15
16
17
18
19
20
21
22
23
24
25
26
2
7
28
1
2
3
5
7
8
9
10
46
29
11
12
13
14
15
16
17
18
19
20
21
22
24
25
26
2
7
28
1
2
3
5
7
8
9
10
H
O
23
1
23
H - 6
H - 3
H – 22, 23
Região de metilas
H - 6
H - 3
H – 22, 23
Região de metilas
4
6
H
O
11
12
13
14
15
16
17
18
19
20
21
22
23
24
25
26
2
7
28
1
2
3
5
7
8
9
10
46
29
H
O
11
12
13
14
15
16
17
18
19
20
21
22
23
24
25
26
2
7
28
1
2
3
5
7
8
9
10
46
29
11
12
13
14
15
16
17
18
19
20
21
22
24
25
26
2
7
28
1
2
3
5
7
8
9
10
H
O
23
1
23
28
Figura 5: Cromatograma da mistura dos esteróides 1 + 2 + 3. Indicando os picos de 1
e 2.
Figura 6: Espectro de massas de (1) comparado com biblioteca do aparelho.
4
6
HO
11
12
13
14
15
16
17
18
19
20
21
22
23
24
25
26
27
28
1
2
3
5
7
8
9
10
1 - Campesterol
46
29
H
O
11
12
13
14
15
16
17
18
19
20
21
22
23
24
25
26
27
28
1
2
3
5
7
8
9
10
2 - Estigmasterol
A
4
6
HO
11
12
13
14
15
16
17
18
19
20
21
22
23
24
25
26
27
28
1
2
3
5
7
8
9
10
1 - Campesterol
46
29
H
O
11
12
13
14
15
16
17
18
19
20
21
22
23
24
25
26
27
28
1
2
3
5
7
8
9
10
2 - Estigmasterol
A
4
6
HO
11
12
13
14
15
16
17
18
19
20
21
22
23
24
25
26
27
28
1
2
3
5
7
8
9
10
1 - Campesterol
4
6
HO
11
12
13
14
15
16
17
18
19
20
21
22
23
24
25
26
27
28
1
2
3
5
7
8
9
10
1 - Campesterol
46
29
H
O
11
12
13
14
15
16
17
18
19
20
21
22
23
24
25
26
27
28
1
2
3
5
7
8
9
10
2 - Estigmasterol
46
29
H
O
11
12
13
14
15
16
17
18
19
20
21
22
23
24
25
26
27
28
1
2
3
5
7
8
9
10
2 - Estigmasterol
A
29
Figura 7: Espectro de massas de (2) comparado com biblioteca do aparelho.
Figura 8: Espectro de massas de (3) comparado com biblioteca do aparelho.
30
Substância 4. (3-β-O-β-D-glicopiranosil sitosterol)
A substância 4 apresentou-se como um sólido branco insolúvel nos solventes
freqüentemente usados para registrar os espectros de RMN. O espectro no IV apresentou
absorções em 3.394 cm
-1
devido a estiramento de O-H e as absorções em 2.957, 2.921, 2.870,
1.467, 1.379 cm
-1
que são ν
C-H
de grupos, CH
2
e CH
3
; 1.649 ν
C=C
, e 1075 e 1025 de ν
C-O
(Figura 9, pág-30). Os dados do espectro de IV, as propriedades dessa substância e as feições
dos sinais no espectro de RMN
1
H permitiram pensar no sitosterol glicosilado. Nesta análise
considerou-se o sinal do H-1’ sobreposto pelo sinal da H
2
O do solvente δ
H
5,1 (d, 8,8 Hz)
(Figura 10 pag 30) deduzido pelo espectro do padrão (CARDOZO, 2006) correspondendo a
um hidrogênio anomérico. Os sinais correspondentes a grupos metílicos entre δ
H
0,82–1,04 e
um sinal de hidrogênio olefínico em δ
H
5,33 (sl, H–6) além de outros sinais do açúcar entre
3,8–4,7. Estas informações e a análise por CCDA da amostra com padrão isolado de Laseguea
erecta levaram a identificação de 4 como sendo o esteróide glicosilado 3-β-O-βD-
glicopiranosil sitosterol.
Figura 9: Espectro de I. V. da substância 4.
Figura 10: Espectro de RMN de
1
H da substância 4 em piridina d
5
. (200 MHz)
ν
O-H
ν
CH
ν
CH
ν
C=C
ν
C-O
ν
O-H
ν
CH
ν
CH
ν
C=C
ν
C-O
4
6
11
12
13
14
15
16
17
18
19
20
21
22
23
24
25
26
27
28
1
2
3
5
7
8
9
10
29
1
'
O
O
OH
HO
HO
OH
4
H - 6
H – 2'
Metilas
H – 1’
4
6
11
12
13
14
15
16
17
18
19
20
21
22
23
24
25
26
27
28
1
2
3
5
7
8
9
10
29
1
'
O
O
OH
HO
HO
OH
4
H - 6
H – 2'
Metilas
H – 1’
31
Derivado 4a. (3-β-O-β-D-tetracetil glicopiranosil sitosterol)
A substância 4 (3-β-O-β-D-glicopiranosil sitosterol 50,0 mg) foi submetida à reação de
acetilação com anidrido acético e piridina, obtendo-se o derivado 4a. O ponto de fusão do
derivado 4a (P.F: 170ºC) e os deslocamentos químicos de RMN
1
H deste derivado mostra
sinais dos hidrogênios do açúcar (δ
H
4,25 dd J=4,0 e 12 ,0 Hz; δ
H
4,09 dl,12,0 Hz, H-6’); δ
H
4,62(J= 8Hz, H-1’) e os δ
H
3,66 (m , H-5’); δ
H
4,96 (tl, H-2’); δ
H
5,03 (tl, H-4’) e δ
H
5,22 (tl,
H-3’). O H-6 apresenta deslocamento em δ
H
5,38 e aos grupos metilas das acetoxilas
absorvem na região de 2,25 a 2,01 ppm.(Figura 11, pág-31). Estes dados estão de acordo
com a literatura (KOJIMA et al., 1990).Permitindo identificá-lo como 3-β-O-β-D-tetraacetil
glicopiranosil sitosterol e confirmando a substância natural 4 como o 3-β-O-β-D-
glicopiranosil sitosterol.
Figura 11 : Espectro de RMN
1
H (200 MHz, em CDCl
3
) da substância 4a
H-3
H-5’
H-6’b
H-6’a
H-1’
H-2’
H-4’
H-3’
H-6
H
3
CC=O
H
3
CC=O
4
6
11
12
13
14
15
16
17
18
19
20
21
22
23
24
25
26
27
28
1
2
3
5
7
8
9
10
29
1
'
O
O
OAc
AcO
AcO
OAc
H-3
H-5’
H-6’b
H-6’a
H-1’
H-2’
H-4’
H-3’
H-6
H
3
CC=O
H
3
CC=O
4
6
11
12
13
14
15
16
17
18
19
20
21
22
23
24
25
26
27
28
1
2
3
5
7
8
9
10
29
1
'
O
O
OAc
AcO
AcO
OAc
32
Substância 5. (3β-O–acil–olean–12-en–28-óico.)
O espectro de RMN
1
H mostrou sinais em δ
H
0.71, 0.82, 0.84, 0.87, 0.90 e 1.90
correspondente a sete grupos metila podendo então se tratar de uma estrutura triterpênica: um
tripleto em δ
H
0.87 (H
3
C-CH
2
),δ
H
2.26 de grupo metilênico alfa a carbonila (t, J= 7,2Hz, H-
2’), sinais em δ
H
2,77 (dl, J= 10,0 Hz, H–18), δ
H
4,47 (t, J= 7,6Hz, H–3) e δ
H
5,24 (sl, H–12)
(Figura 12). Estes dados permitiram propor estrutura de triterpeno e a feição do sinal do H-18
está de acordo com o da série oleanano com carbonila em C-28. O valor do δ
H
do H-3 e o
tripleto representante do H-2’ justificam a inclusão de uma unidade acila na posição 3
constituindo um éster do ácido triterpênico. O espectro de RMN
13
C (BBD) (Figuras 13,
14,pág-35,35) apresentou além dos sinais de grupos metílicos [δc 15.32 (C–25), 16.68 (C–
26), 17,14 (C–24), 22,66 (C–30), 25.14 (C–27), 25.87 (C–23), 33.03 (C–29)], os sinais de
carbonos olefínicos em 122.48, e 143.55, duas carbonilas δc 173.72 (éster) e 184.58 (ácido).
O sinal em δc 80,51 é compatível com o valor do deslocamento químico do C-3, sustentando
o grupo O-acila.
A análise destes dados espectrais e a comparação com dados registrados na literatura
(DE CARVALHO, et al 2001) (Tabela 2 pag-32.), permitiram identificar o triterpeno como
sendo o ácido 3β-O–acil–olean–12-en–28 oico.
COOH
O
O
( )
n
1
2
3
4
5
6
7
8
9
10
11
12
13
14
15
16
17
18
19
20
21
22
2324
25
26
27
28
29
30
33
Tabela 2: Dados de RMN
13
C da substância 3β-O–acil–olean–12-en–28-óico (5) comparada
com (DE CARVALHO et al. 2001;)
Substância 5 Literatura
C
δH δc δc
1 38,00 38,2
2 23,54 26,7
3 4,54(t, J=8,8Hz) 80,51 80,9
4 37,67 37,9
5 55,22 55,2
6 18,11 18,2
7 32,45 32,8
8 39,21 39,3
9 47,49 47,6
10 36,94 37,1
11 22,78 23,7
12 5,24(sl) 122,48 121,6
13 143,55 145,2
14 41,46 42,0
15 27,63 26,2
16 25,87 26,7
17 31,91 32,5
18 2,77(dl, J=10 Hz) 46,49 47,2
19 45,79 46,7
20 30,63 31,0
21 33,76 34,6
22 34,82 33,0
23 27,99 28,3
24 17,14 16,7
25 15,32 15,3
26 16,68 16,8
27 25,14 25,9
28 184,58 184,0
29 33,03 33,0
30 22,66 23,2
O
()
n
173,72
(173,68)
34,82
(34,79)
25,14
(25,15)
31,91
(31,91)
29,66 – 29,15
(29,,70 – 29,15)
22,78
(22,64)
14,11
(14,12)
( ) : Valores da Literatura (SOBRINHO, et al., 1991)
O
()
n
173,72
(173,68)
34,82
(34,79)
25,14
(25,15)
31,91
(31,91)
29,66 – 29,15
(29,,70 – 29,15)
22,78
(22,64)
14,11
(14,12)
( ) : Valores da Literatura (SOBRINHO, et al., 1991)
34
Figura 12: Espectro de RMN
1
H da substância 5 em CDCl
3.
(200MHz).
Figura 13: Espectro de RMN
13
C da substância 5 em CDCl
3
. (50MHz).
C - 28
C - 13
C - 12
C - 3
C - 1'
C - 28
C - 13
C - 12
C - 3
C - 1'
COOH
O
O
( )
n
1
2
3
4
5
6
7
8
9
10
11
12
13
14
15
16
17
18
19
20
21
22
2324
25
26
27
28
29
30
H - 12
H - 3
H - 18
H -2’
CH
3
COOH
O
O
( )
n
1
2
3
4
5
6
7
8
9
10
11
12
13
14
15
16
17
18
19
20
21
22
2324
25
26
27
28
29
30
H - 12
H - 3
H - 18
H -2’
CH
3
35
Figura 14: Expansão do espectro de RMN
13
C da substância da 5 entre 15 a 56 ppm
em CDCl
3.
(50MHz)
C - 5
C - 9
C -18
C - 19
C - 14
C - 8
C
-
1
C - 4
C - 10
C -22
*
C - 21
C - 29
*
C
-
7
C – 17 *
C
-
2
0
C
-
2
3
C
-
1
5
C
-
1
6
C – 25 *
C - 2
C
-
1
1
C -30
C -6
C
-
2
4
C -26
C -25
*
*
*
Unidade Acila
C - 5
C - 9
C -18
C - 19
C - 14
C - 8
C
-
1
C - 4
C - 10
C -22
*
C - 21
C - 29
*
C
-
7
C – 17 *
C
-
2
0
C
-
2
3
C
-
1
5
C
-
1
6
C – 25 *
C - 2
C
-
1
1
C -30
C -6
C
-
2
4
C -26
C -25
*
*
*
Unidade Acila
C - 5
C - 9
C -18
C - 19
C - 14
C - 8
C
-
1
C - 4
C - 10
C -22
*
C - 21
C - 29
*
C
-
7
C – 17 *
C
-
2
0
C
-
2
3
C
-
1
5
C
-
1
6
C – 25 *
C - 2
C
-
1
1
C -30
C -6
C
-
2
4
C -26
C -25
*
*
*
Unidade Acila
*
*
*
Unidade Acila
36
Substância 6 (Rutina)
O espectro de IV do.substância 6 apresentou sinais de absorção no IV em 3.423,cm
-
1
(ν
OH
), 1.654 cm
-1
(ν
C=O
), 1.504, 1.458 cm
-1
ν
C=C
(anel aromático), 1063-1012 cm
-1
de ν
C-O
.
(Figura 15 Pág-38). As análises em CCDA e revelação com AlCl
3
indicou a substância como
um flavonóide.
O espectro de RMN
1
H (Figura 16, pág-38 Tabela 3 pág-37) dessa substância
apresentou sinais de hidrogênio em anel aromático cujas feições são compatíveis com anel
trissubstituido [δ
H
7,51 (s, H-2'), 7,55 (dl, J= 8,0 Hz, H-6'), 6,82 (d, J= 8,0 Hz, H-5')] Os sinais
em δ
H
6,16 (d, J=1,9 Hz), 6,35(d, J= 1,9 Hz) representam os hidrogênios 6 e 8 do anel A do
flavonóide. O singleto em δ
H
12,6 foi atribuído a uma grupo hidroxila quelada (HO-5). A
ausência de um sinal representante do H-3 permitiu propor a presença de um substituinte
nesse carbono. As duas unidades de carboidratos foram identificadas por dois sinais de
hidrogênios anoméricos em δ
H
5,32 (d, J= 8,0 Hz H-1'') e 4,36 (s, H-1''') ligados aos carbonos
δc 101,2, 100,78, respectivamente. O sinal δ
H
0,96 (d, J= 6,0 Hz, H-6''') ligado ao carbono δc
17,78 serviu para propor a rhamnose como um dos carboidratos. A comparação dos demais
sinais de deslocamentos químicos de carbono presentes nos espectros de RMN
13
C (BBD e
DEPT, Figuras 18, 19 pags-40,41 , Tabela 3 pag-37) com os valores atribuídos para a
glicose e rhamnose permitiram identificar estas duas unidades de açúcar.
Os dados discutidos acima e a comparação com valores descritos na literatura
(AGRAWAL, 1989, VELANDIA et al., 2002) possibilitaram definir a substância 6 como
sendo 3 (β-O-β-D–glicopiranosil-6–1-O-β-L–rhamnopiranosil-quercetina conhecida como
rutina. Esta substância foi isolada anteriormente de O. semiserrata (VELANDIA, 2002)e
Luxemburgia nobilis (OLIVEIRA et al., 2002).
O
OH
OH
H
O
OH O
O
O
O
OH
OH
HO
O
O
H
OH
OH
2
3
4
5
7
8
9
10
1
'
2
'
3
'
4
'
5
'
6
'
6
1
''
2
''
3
''
4
''
5
''
6
''
1
'''
2
'''
3
'''
4
'''
5
'''
6
''' '
37
Tabela 3: Atribuição dos dados de RMN
1
H e de
13
C da substância Rutina (6) e
comparação com deslocamentos químicos de carbono 13 registrados na literatura
(AGRAWAL, 1989).
Substância 6 Literatura
δ
C
δ
H
δ
C
δ
C
2 - 156,61 156,60
3 - 133,29 133,60
4 177,36 177,40
5 12,57 (s, OH) 161,25 161,20
6 6,19 (d, J=1,9 Hz) 98,78 98,80
7 - 164,41 163,90
8 6,35 (d, J= 1,9Hz) 93,66 93,60
9 - 156,49 156,40
10 - 103,88 104,20
1’ - 121,16 121,60
2’ 7,51(s) 115,25 115,30
3’ - 144,79 144,60
4’ - 148,49 148,30
5’ 6,82 (d, J= 8,0 Hz) 116,25 116,50
6’ 7,55 (d, J= 8,0 Hz) 121,62 121,60
1’’ 5,32 (d, J=8,0 Hz) 101,24 101,50
2’’ 3,25 (sl) 74,10 74,20
3’’ 3,28 (sl) 75,90 76,10
4’’ 3,66 (sl) 70,55 70,80
5’’ 3,22 (sl) 76,43 76,80
6’’ 3,72 (sl) 67,03 67,10
1’’’ 4,36 (s) 100,78 100,70
2’’’ 3,05 (sl) 70,40 70,40
3’’’ 3,37 (sl) 70,00 70,40
4’’’ 3,00 (sl) 71,85 72,20
5’’’ 3,09 (sl) 68,27 68,20
6’’’ 0,97 (d, J= 6,0 Hz) 17,78 17,50
O
OH
OH
H
O
OH O
O
O
O
OH
OH
HO
O
O
H
OH
OH
2
3
4
5
7
8
9
10
1
'
2
'
3
'
4
'
5
'
6
'
6
1
''
2
''
3
''
4
''
5
''
6
''
1
'''
2
'''
3
'''
4
'''
5
'''
6
''' '
38
Figura 15: Espectro de I. V. da substância Rutina (6).
Figura 16: Espectro de RMN
1
H (200MHz) da substância Rutina (6) em DMSO-d
6
(Ver expansão).
ν
OH
ν
C=O
ν
C=C (Ar
)
ν
C-O
ν
OH
ν
C=O
ν
C=C (Ar
)
ν
C-O
HO - 5
H – 2
H – 6
H – 5
H - 8
H - 6
H – 1
H – 1
H – 6
HO - 5
H – 2
H – 6
H – 5
H - 8
H - 6
H – 1
H – 1
H – 6
39
Figura 17: Expansão do espectro de RMN
1
H (200MHz DMSO d
6
) da substância
Rutina (6) entre 1–8 ppm.
H – 2’
H – 6’
H -5’
H -8
H -6
H -1’’
H -1’’’
H -6’’’
Região de açucares
O
OH
OH
H
O
OH O
O
O
O
OH
OH
HO
O
OH
OH
OH
2
3
4
5
7
8
9
10
1
'
2
'
3
'
4
'
5
'
6
'
6
1
''
2
''
3
''
4
''
5
''
6
''
1
'''
2
'''
3
'''
4
'''
5
'''
6
''''
H – 2’
H – 6’
H -5’
H -8
H -6
H -1’’
H -1’’’
H -6’’’
Região de açucares
H – 2’
H – 6’
H -5’
H -8
H -6
H -1’’
H -1’’’
H -6’’’
Região de açucares
O
OH
OH
H
O
OH O
O
O
O
OH
OH
HO
O
OH
OH
OH
2
3
4
5
7
8
9
10
1
'
2
'
3
'
4
'
5
'
6
'
6
1
''
2
''
3
''
4
''
5
''
6
''
1
'''
2
'''
3
'''
4
'''
5
'''
6
''''
O
OH
OH
H
O
OH O
O
O
O
OH
OH
HO
O
O
H
OH
OH
2
3
4
5
7
8
9
10
1
'
2
'
3
'
4
'
5
'
6
'
6
1
''
2
''
3
''
4
''
5
''
6
''
1
'''
2
'''
3
'''
4
'''
5
'''
6
''' '
40
Figura 18: Espectro de
13
C (BBD 50MHz) da substância Rutina (6) em DMSO-d
6
.
4
7
5
9/2
4’
3’
3
6’
1’
5’
2’
10
1’’
1’’’
6
8
5’’3’’
2’’
4’’’
4’’
2’’’
3’’’
5’’’
6’’
6’’’
4
7
5
9/2
4’
3’
3
6’
1’
5’
2’
10
1’’
1’’’
6
8
5’’3’’
2’’
4’’’
4’’
2’’’
3’’’
5’’’
6’’
6’’’
4
7
5
9/2
4’
3’
3
6’
1’
5’
2’
10
1’’
1’’’
6
8
5’’3’’
2’’
4’’’
4’’
2’’’
3’’’
5’’’
6’’
6’’’
O
OH
OH
H
O
OH O
O
O
O
OH
OH
HO
O
O
H
OH
OH
2
3
4
5
7
8
9
10
1
'
2
'
3
'
4
'
5
'
6
'
6
1
''
2
''
3
''
4
''
5
''
6
''
1
'''
2
'''
3
'''
4
'''
5
'''
6
''' '
41
Figura 19; Espectro de RMN de
13
C (BBD e DEPT 50 MHz) da substância Rutina (6)
em DMSO-d
6
.
C -6’’
C -1’’’
C -1’’
C - 6
C - 8
C -6’’’
C -6’’
C -1’’’
C -1’’
C - 6
C - 8
C -6’’’
O
OH
OH
H
O
OH O
O
O
O
OH
OH
HO
O
O
H
OH
OH
2
3
4
5
7
8
9
10
1
'
2
'
3
'
4
'
5
'
6
'
6
1
''
2
''
3
''
4
''
5
''
6
''
1
'''
2
'''
3
'''
4
'''
5
'''
6
''' '
42
Substância 7 + 8.(Orientina e Vitexina)
Além da indicação de flavonóide pela análise com CCDA revelada com AlCl
3
, o
espectro obtido na região de I V dessa fração revelou presença de sinais de absorção intensa
em 3.384 cm
-1
, 3.246 cm
-1
(atribuido ao estiramento de grupos hidroxílicos); absorção em
1.655 cm
-1
, (referente estiramento de carbonila conjugada); 1.614, cm
-1
, 1.508 cm
-1
, 1.428 cm
-
1
ν
C=C
(de anel aromático) e 1094-1041 estiramento ν
C-O
que são compatíveis com essa classe
de metabolitos naturais. A análise detalhada dos espectros de RMN permitiram identificar
dois flavonóides 7 e 8.
O espectro de RMN
1
H dessa fração apresentou singletos em δ
H
6,64 (H-3, 7), δ
H
6,78
(H-3, 8) e δ
H
6,27 (H-6, 7 e 8). A diferença na intensidade dos sinais permitiu supor a mistura
de duas substâncias. Os sinais δ
H
7,48 (sl), 6,85 (d, J= 8,0Hz) e 7,52 (d, J= 8,0Hz) foram
atribuídos a três átomos de hidrogênio em anel aromático (H-2', 5', 6') de um sistema ABC no
anel B da substância (7). A presença do sistema AA’BB’ foi evidenciado pelos sinais em δ
H
8,02 (d, J= 8,0 Hz, H-2', 6') e 6,89 (d, J= 8,0Hz, H–3', 5') que foram atribuidos a substância
(8). Ainda analisando o espectro RMN
1
H é verificado um sinal em δ
H
4,68 (d, J= 10 Hz)
referente a um hidrogênio anomérico cujo valor é compativel para C–glicosídeos. Os demais
sinais na região de carboidrato e a análise dos espectros de RMN
13
C (BBD e DEPT) e
comparação com dados da literatura (AGRAWAL, 1989) permitiram identificar a unidade β-
D–glicopiranosila em cada uma das substância (7) e (8). A ausência de um carbono em torno
de 94 ppm para HC–8 e o sinal de carbono quaternário em 104,42 ppm permitiu localizar o
carboidrato em 8. Esses valores e os demais valores de δc, δ
H,
δ
CH2
são semelhantes aos da
literatura (Tabela 4, Pág-43) para os flavónoides C-glicosilados 7 e 8.
Além dessas observações a análise do mapa de contorno HMQC (Figuras 28 e 29
pags-51,52) permitiu a correta atribuição dos deslocamentos químicos de H e C de cada
componente da mistura. Conduzindo a identificaçao da substância (7) como sendo a orientina
e a substância (8) como a vitexina. A orientina foi anteriormente isolada de Luxemburgia
octandra (ALVES, 2003) e a vitexina de Piptadenia gonoacantha (CARDOZO, 2006).
O
OH
HO
OH O
O
OH
HO
OH
OH
2
3
4
5
6
7
8
9
10
1
'
2
'
3
'
4
'
5
'
6
'
1
''
2
''
3
''
4
''
5
''
6
''
8
O
OH
HO
OH O
O
OH
HO
OH
OH
2
3
4
5
6
7
8
9
10
1
'
2
'
3
'
4
'
5
'
6
'
1
''
2
''
3
''
4
''
5
''
6
''
8
O
OH
HO
OH O
OH
O
OH
HO
OH
OH
2
3
4
5
6
7
8
9
10
1
'
2
'
3
'
4
'
5
'
6
'
1
''
2
''
3
''
4
''
5
''
6
''
7
O
OH
HO
OH O
OH
O
OH
HO
OH
OH
2
3
4
5
6
7
8
9
10
1
'
2
'
3
'
4
'
5
'
6
'
1
''
2
''
3
''
4
''
5
''
6
''
7
43
Tabela 4: Dados de RMN
1
H e
13
C incluindo acoplamento heteronuclear(HMQC) da
substância orientina (7) e comparação com δ
H
e δc da orientina.(ZHOU et. al. 2005).
Substância 7 Orientina
C HMQC HMQC
2 163,95 - 164,16 -
3 102,32 6,64 (s) 102,41 6,65(s)
4 181,88 - 182,03 -
5 160,25 13,17(s, OH) 160,47 13,17(s, OH)
6 98,01 6,27 (s) 98,31 6,25(s)
7 162,43 - 162,80 -
8 104,42 - 104,65 -
9 155,87 - 156,01 -
10 103,91 - 103,99 -
1’ 121,88 - 121,97 -
2’ 113,93 7,48(s) 114,07 7,44(d,j=2,1Hz)
3’ 145,67 - 145,95 -
4’ 149,47 - 149,90 -
5’ 115,52 6,85(d, J= 8,0 Hz) 115,78 6,90(d, J= 8,2Hz)
6’ 119,23 7,52(d, J= 8,0 Hz) 119,45 7,50(dd, J=2,1 e 8,oHz)
1’’ 73,25 4,68(d, J= 10,0Hz) 73,50 4,72(d, J= 9,0Hz)
2’’ 70,71 3,82(m) 70,90 3,82(t, J= 9,6Hz)
3’’ 78,63 3,35(m) 78,88 3,24(m)
4’’ 70,41 3,25(m) 70,83 3,37(t, J= 9,4Hz)
5’’ 81,87 3,35(m) 82,04 3,21(m)
6’’ 61,50 3,78(m) 61,76 3,75(dd, J= 1,4/11,6Hz)
O
OH
HO
OH O
OH
O
OH
HO
OH
OH
2
3
4
5
6
7
8
9
10
1
'
2
'
3
'
4
'
5
'
6
'
1
''
2
''
3
''
4
''
5
''
6
''
7
O
OH
HO
OH O
OH
O
OH
HO
OH
OH
2
3
4
5
6
7
8
9
10
1
'
2
'
3
'
4
'
5
'
6
'
1
''
2
''
3
''
4
''
5
''
6
''
7
44
Tabela 5: Dados de RMN
1
H e
13
C incluindo acoplamento heteronuclear(HMQC) da
substância vitexina (8) e comparação com δ
H
e δc da vitexina.(ZHOU et. al. 2005).
Substância 8 vitexina
C HMQC HMQC
2 163,82 - 164,98 -
3 102,32 6,78 (s) 102,51 6,94(s)
4 181,96 - 182,73 -
5 160,00 13,17(s, OH) 160,28 13,17(s, OH)
6 98,01 6,27 (s) 98,45 6,44(s)
7 162,43 - 162,31 -
8 104,42 - 104,56 -
9 155,87 - 155,64 -
10 103,91 - 104,07 -
1’ 121,48 - 122,07 -
2’ 128,83 8,02(d, J= 8,0Hz) 128,99 8,26(d, J= 8,7Hz)
3’ 115,68 6,89(d, J=8,0Hz) 115,01 7,05(d, J= 8,7Hz)
4’ 161,00 - 161,32 -
5’ 115,68 6,89(d, J= 8,0 Hz) 115,01 7,05(d, J= 8,7Hz)
6’ 128,83 8,02 (d, J= 8,0 Hz) 128,99 8,26(d, J= 8,7Hz)
1’’ 73,25 4,68(d, J= 10,0Hz) 73,93 4,94(d, J= 9,8Hz)
2’’ 70,42 3,82(m) 71,03 3,82(t, J= 9,6Hz)
3’’ 78,52 3,25(m) 79,01 3,24(m)
4’’ 70,71 3,35(m) 70,20 3,37(t, J= 9,4Hz)
5’’ 81,72 3,25(m) 81,29 3,21(m)
6’’ 61,16 3,78(m) 61,36 3,75(dd, J= 1,4/11,6Hz)
O
OH
HO
OH O
O
OH
HO
OH
OH
2
3
4
5
6
7
8
9
10
1
'
2
'
3
'
4
'
5
'
6
'
1
''
2
''
3
''
4
''
5
''
6
''
8
O
OH
HO
OH O
O
OH
HO
OH
OH
2
3
4
5
6
7
8
9
10
1
'
2
'
3
'
4
'
5
'
6
'
1
''
2
''
3
''
4
''
5
''
6
''
8
45
Figura 20: Espectro de I V da mistura de substâncias 7 + 8.
Figura 20: espectro de RMN
1
H (400MHz) da mistura das substâncias 7 + 8 em
DMSO-d
6
.
ν
OH
ν
C=O
ν
c=c(Ar)
ν
c-O
ν
OH
ν
C=O
ν
c=c(Ar)
ν
c-O
46
Figura 21: Expansão do espectro de RMN
1
H (400 MHz) da mistura 7 +8 em DMSO-
d
6
entre 6,2 – 8,2 ppm.
H - 2‘, 6‘ (8)
H - 6 (7)
H - 2‘ (7)
H - 3, 5‘ (8)
H - 5‘( 7)
H – 3 (8)
H – 3 (7)
H – 6 (8), (7)
H - 2‘, 6‘ (8)
H - 6 (7)
H - 2‘ (7)
H - 3, 5‘ (8)
H - 5‘( 7)
H – 3 (8)
H – 3 (7)
H – 6 (8), (7)
O
OH
HO
OH O
O
OH
HO
OH
OH
2
3
4
5
6
7
8
9
10
1
'
2
'
3
'
4
'
5
'
6
'
1
''
2
''
3
''
4
''
5
''
6
''
8
O
OH
HO
OH O
OH
O
OH
HO
OH
OH
2
3
4
5
6
7
8
9
10
1
'
2
'
3
'
4
'
5
'
6
'
1
''
2
''
3
''
4
''
5
''
6
''
7
O
OH
HO
OH O
O
OH
HO
OH
OH
2
3
4
5
6
7
8
9
10
1
'
2
'
3
'
4
'
5
'
6
'
1
''
2
''
3
''
4
''
5
''
6
''
8
O
OH
HO
OH O
O
OH
HO
OH
OH
2
3
4
5
6
7
8
9
10
1
'
2
'
3
'
4
'
5
'
6
'
1
''
2
''
3
''
4
''
5
''
6
''
8
O
OH
HO
OH O
OH
O
OH
HO
OH
OH
2
3
4
5
6
7
8
9
10
1
'
2
'
3
'
4
'
5
'
6
'
1
''
2
''
3
''
4
''
5
''
6
''
7
O
OH
HO
OH O
OH
O
OH
HO
OH
OH
2
3
4
5
6
7
8
9
10
1
'
2
'
3
'
4
'
5
'
6
'
1
''
2
''
3
''
4
''
5
''
6
''
7
47
Figura 22: Expansão do espectro de RMN
1
H (400 MHz) na região de açúcares entre
3–5 ppm da mistura das substâncias 7 + 8.
Figura 23: Espectro de RMN
13
C (100 MHz) da mistura das substâncias 7 + 8. em
DMSO-d
6
.
H - 1'( 7 )( 8 )
Região de açucar
Região de açucar
H - 1'( 7 )( 8 )
Região de açucar
Região de açucar
48
Figura 24: Expansão do espectro de RMN
13
C (100 MHz) da mistura das substâncias
7 +8 entre 145–183 ppm em DMSO-d
6
.
Figura 25: Expansão do espectro de RMN
13
C (100 MHz) da mistura das substâncias
7 +8 entre 97–130 ppm em DMSO-d
6
.
C
4
(
8
)
C -4(7)
C – 2(7)
C – 2(8)
C -7(7)(8)
C – 5, 4’(8)
C – 5(7)
C – 9(7)(8)
C -4’(7)
C – 3’(7)
C
4
(
8
)
C -4(7)
C – 2(7)
C – 2(8)
C -7(7)(8)
C – 5, 4’(8)
C – 5(7)
C – 9(7)(8)
C -4’(7)
C – 3’(7)
c – 6‘(8 )
c - 1‘(7)
C - 1‘(8)
C - 6‘(7)
C -3' 5(8 )
C - 5‘(7)
C - 2‘(7)
C -8(8)
C – 8(7)
C -10(7),(8)
C – 3(7),(8)
C -6 (7).(8 )
c – 6‘(8 )
c - 1‘(7)
C - 1‘(8)
C - 6‘(7)
C -3' 5(8 )
C - 5‘(7)
C - 2‘(7)
C -8(8)
C – 8(7)
C -10(7),(8)
C – 3(7),(8)
C -6 (7).(8 )
49
Figura 26: Expansão do espectro de RMN
13
C (100 MHz) da mistura das substâncias
7 + 8 em DMSO-d
6
.
C – 1’’(7)(8)
C – 2’’(7)
C – 3’’(7)
C – 3’’(8)
C –2’’/ 4’’(7)/(8)
C – 5’’(8)
C – 5’’(7)
C – 6’’(7)
C – 6’’(8)
C – 1’’(7)(8)
C – 2’’(7)
C – 3’’(7)
C – 3’’(8)
C –2’’/ 4’’(7)/(8)
C – 5’’(8)
C – 5’’(7)
C – 6’’(7)
C – 6’’(8)
50
Figura 27: Espectro de RMN de
13
C DEPT (100 MHz) da mistura substância 7 + 8.em
DMSO-d6
C – 2’,6’(8)
C – 6’(7)
C – 3’,5’(8)
C – 5’(7)
C – 2’(7)
C – 3(8)
C – 6(7)(8)
C – 5’’(8)
C – 3’’(8)
C – 1’’(7)(8)
C – 2’’/4’’(8)/(7)
C – 6’’(8)
C – 6’’(7)
C – 5’’(7)
C – 3’’(7)
C – 2’’(7)
C – 2’,6’(8)
C – 6’(7)
C – 3’,5’(8)
C – 5’(7)
C – 2’(7)
C – 3(8)
C – 6(7)(8)
C – 5’’(8)
C – 3’’(8)
C – 1’’(7)(8)
C – 2’’/4’’(8)/(7)
C – 6’’(8)
C – 6’’(7)
C – 5’’(7)
C – 3’’(7)
C – 2’’(7)
O
O
H
HO
OH O
O
OH
HO
OH
OH
2
3
4
5
6
7
8
9
10
1
'
2
'
3
'
4
'
5
'
6
'
1
''
2
''
3
''
4
''
5
''
6
''
8
O
O
H
HO
OH O
O
H
O
OH
HO
OH
OH
2
3
4
5
6
7
8
9
10
1
'
2
'
3
'
4
'
5
'
6
'
1
''
2
''
3
''
4
''
5
''
6
''
7
O
O
H
HO
OH O
O
OH
HO
OH
OH
2
3
4
5
6
7
8
9
10
1
'
2
'
3
'
4
'
5
'
6
'
1
''
2
''
3
''
4
''
5
''
6
''
8
O
O
H
HO
OH O
O
OH
HO
OH
OH
2
3
4
5
6
7
8
9
10
1
'
2
'
3
'
4
'
5
'
6
'
1
''
2
''
3
''
4
''
5
''
6
''
8
O
O
H
HO
OH O
O
H
O
OH
HO
OH
OH
2
3
4
5
6
7
8
9
10
1
'
2
'
3
'
4
'
5
'
6
'
1
''
2
''
3
''
4
''
5
''
6
''
7
O
O
H
HO
OH O
O
H
O
OH
HO
OH
OH
2
3
4
5
6
7
8
9
10
1
'
2
'
3
'
4
'
5
'
6
'
1
''
2
''
3
''
4
''
5
''
6
''
7
51
Figura 28: Mapa de contorno HMQC (400/100 MHz DMSO-d
6
) na região de C-sp
2
(95-132 ppm) da mistura das substâncias 7 + 8.
C -2’/6’
H - 2’/6’
(8)
H -3’/5’
C -3’/5’
(8)
H -3
C -3
(8) (7)
H -3
C -3
C -6
H - 6
(7)(8)
C - 5’
H – 5’
(7)
C -2’
H -2’
(7)
C – 6’
H – 6’
(7)
C -2’/6’
H - 2’/6’
(8)
H -3’/5’
C -3’/5’
(8)
H -3
C -3
(8) (7)
H -3
C -3
C -6
H - 6
(7)(8)
C - 5’
H – 5’
(7)
C -2’
H -2’
(7)
C – 6’
H – 6’
(7)
52
Figura 29: Mapa de contorno de HMQC (400/100 MHz DMSO-d
6
) mistura das
substâncias 7 + 8 na região de C-sp
3
(30 – 85 ppm).
C - 1’’
H – 1’’
(7)(8)
C – 6’’
H – 6’’
(8)
C -6’’
H -6’’
(7)
C -2’’
H -2’’
(7)(8)
C - 4’’
H – 4’’
(8)
C – 4’’
H – 4’’
(7)
C - 3’’
H - 3’’
(7)
C – 3’’
H - 3’’
(8)
C – 5’’C – 5’’
H - 5’’H - 5’’
(7)(8)
C - 1’’
H – 1’’
(7)(8)
C – 6’’
H – 6’’
(8)
C -6’’
H -6’’
(7)
C -2’’
H -2’’
(7)(8)
C - 4’’
H – 4’’
(8)
C – 4’’
H – 4’’
(7)
C - 3’’
H - 3’’
(7)
C – 3’’
H - 3’’
(8)
C – 5’’C – 5’’
H - 5’’H - 5’’
(7)(8)
C - 1’’
H – 1’’
(7)(8)
C – 6’’
H – 6’’
(8)
C -6’’
H -6’’
(7)
C -2’’
H -2’’
(7)(8)
C - 4’’
H – 4’’
(8)
C – 4’’
H – 4’’
(7)
C - 3’’
H - 3’’
(7)
C – 3’’
H - 3’’
(8)
C – 5’’C – 5’’
H - 5’’H - 5’’
(7)(8)
53
Substância 9 (swertisina)
A análise em CCDA e comparação dos espectros dessa fração com as de 7 e 8
permitiu identificá-la como outro flavonóide C-glicosilado. O espectro de RMN
1
H (Figura
30, pág-55) apresentou além dos singletos em δ
H
6,81, δ
H
6,51, referentes ao hidrogênios H–3
e H–8 respectivamente; os sinais característicos de um sistema AA’BB’ [δ
H
8,02 (d, J= 8,5
Hz, H–2’,6”) e δ
H
6,89 (d, J= 8,5 Hz, H–3’,5’)]. A presença de dubleto em δ
H
4,72(J= 10 Hz)
referente a um hidrogênio anomérico H–1’’ pemitiu surgerir uma flavona C–glicosilada. O
singleto em δ
H
3,86 é representante de um grupo metoxila na molécula. Não se percebeu sinal
de hidrogênio quelado conforme em 7 e 8. Os experimentos de RMN
1
H-NOEDIFF (Figura
31, pág-56) permitiu definir as posições do grupo metoxila e do açúcar. Foram feitas
irradiações em δ
H
3,86 (OMe) e observou-se nOe em δ
H
6,51 (H–8), indicando que o grupo
metoxila esta no C–7. Irradiação em δ
H
6,51 (H–8) gerou nOe na metoxila, confirmando a
observação anterior. Irradiando o dubleto do hidrogênio anomérico em δ
H
4,72 gerou fraco
nOe na metoxila (δ
H
3,86) e não gerou nOe nos hidrogênios 3’,5’, confirmando que o grupo
glicosila deve estar no C–6 ao lado das metoxilas. O dubleto na freqüência dos H-2’,6’,
resultante de nOe devido a irradiação no singleto em δ
H
6,81 (H-3), confirmou a atribuição
dessa freqüência para esse hidrogênio.
Estas análises permitiram definir a estrutura de 9 como 5,4’-diidroxi-7-metoxi-6-C-
glipiranosil-flavona. A comparação dos deslocamentos químicos dos hidrogênios com a
substância 7 e com valores descritos na literatura (KUMARASAMY et al., 2004) para
swertisina isolada de Alliaria petiolada (Tabaela 6, pág-54) confirma essa estrutura. Essa
substância foi isolada pela primeira vez da espécie Swertia japonica (KOMATSU et al.,
1966).
O
O
OH
OH
O
OH
HO
HO
HO
H
2
3
45
6
7
8
9
10
1
'
2
'
3
'
4
'
5
'
6
'
1
''
2
''
3
''
4
''
5
''
6
''
CH
3
O
9
O
O
OH
OH
O
OH
HO
HO
HO
H
2
3
45
6
7
8
9
10
1
'
2
'
3
'
4
'
5
'
6
'
1
''
2
''
3
''
4
''
5
''
6
''
CH
3
O
9
54
Tabela 6: Dados de RMN
1
H (500MHz) e RMN
13
C (125 MHz)da substância 9 em
DMSO-d
6
comparado com a literatura D
3
COD (KUMARASAMY, et. al, 2004). ª DMSO-d
6
;
b
D
3
COD
Substância 9
a
Subst. 8
a
|Literatura
b
C
δ
H
δ
H
δ
H
(D
3
COD)
2 - -
3 6,81(s) 6,78 (s) 6,54
4 -
5 -
6 - 6,27 (s)
7 - -
8 6,51 - 6,60
9 - -
10 - -
1’ - -
2’,6’ 8,02 (d, J= 8,5 Hz) 8,02(d, J= 8,0Hz) 7,78
3’,5’ 6,89 (d, J= 8,5 Hz) 6,89(d, J=8,0Hz) 6,87
4’ - -
1’’ 4,72 (d, J= 10,0Hz) 4,68(d, J= 10,0Hz)
2’’ 3,25(m) 3,82(m)
3’’ 3,25(m) 3,25(m)
4’’ 3,35(m)
5’’ 3,25(m)
6’’ 3,78(m)
OMe 3,86(s) -
OH-5 ? 13,17(s, OH)
O
O
OH
OH
O
OH
HO
HO
HO
H
2
3
45
6
7
8
9
10
1
'
2
'
3
'
4
'
5
'
6
'
1
''
2
''
3
''
4
''
5
''
6
''
CH
3
O
9
O
O
OH
OH
O
OH
HO
HO
HO
H
2
3
45
6
7
8
9
10
1
'
2
'
3
'
4
'
5
'
6
'
1
''
2
''
3
''
4
''
5
''
6
''
CH
3
O
9
55
Figura 30: Espectro de RMN
1
H (500 MHz) da substância 9 em DMSO-d
6
H – 2’,6’
H -3’,5’
H -3
H - 8
H -1’’
OMe
H – 2’,6’
H -3’,5’
H -3
H - 8
H -1’’
OMe
O
O
OH
OH
O
OH
HO
HO
HO
H
2
3
45
6
7
8
9
10
1
'
2
'
3
'
4
'
5
'
6
'
1
''
2
''
3
''
4
''
5
''
6
''
CH
3
O
9
O
O
OH
OH
O
OH
HO
HO
HO
H
2
3
45
6
7
8
9
10
1
'
2
'
3
'
4
'
5
'
6
'
1
''
2
''
3
''
4
''
5
''
6
''
CH
3
O
9
56
Figura 31: Espectro de RMN-NOEDIFF (200 MHz DMSO-d6) da substância 9.
H -2’,6’
H – 3’,6’
H - 3
H - 8
H – 1’’
O
M
e
H - 8
H -1’’
OMe
H - 8
OMe
H - 3
H – 2’,6’
H -2’,6’
H – 3’,6’
H - 3
H - 8
H – 1’’
O
M
e
H - 8
H -1’’
OMe
H - 8
OMe
H - 3
H – 2’,6’
O
O
OH
OH
O
OH
HO
HO
HO
H
2
3
45
6
7
8
9
10
1
'
2
'
3
'
4
'
5
'
6
'
1
''
2
''
3
''
4
''
5
''
6
''
CH
3
O
57
Substancia 10. (swertiajaponina).
As mesmas análise feitas com a fração contendo a substância 9 foram feitas com essa
fração Isso conduziu a proposta de um flavonóide. A diferença entre os espectros dessa
substância e os de 9 está nas feições dos sinais de um anel aromatico. O espectro de RMN
1
H
(Figura 32, pág-59) apresentou singletes em δ
H
6,79 (H-3); δ
H
6,59 (H-8) e os sinais
característicos de sistema ABC para o anel C de uma flavona: δ
H
6,92 (d, J= 8,6 Hz, H-5’); δ
H
7,55 ( sl, H-2’); δ
H
7,56 (m, H-6’). As mesmas observações feitas para a substância 7 e 8
discutidas anteriormente foram feitas para a substância 10, chegando-se a conclução que esta
substância é um flavonóide C-glicosilado mas, entretanto, com grupo metoxila adicional.
Esses grupos estão representados pelos sinais em δ
H
3,88 (s, OMe); δ
H
4,76 (d, J=10Hz, H–
1’’) e multipleto entre 3,0 e 3,7 ppm. Os sinais no espectro de RMN
13
C são compatíveis com
o grupo glicosila em 6 [δ
CH
-
8
94,9; δ
C-6
108,56] e o valor (56.7) para a metoxila. Os demais
valores de deslocamento químico estão de acordo com o anel B diidroxilado e o anel A
sustentando a unidade de açúcar, um grupo hidroxila em 5 e a metoxila em 7 (Tabela 7, pág-
58). Essas deduções foram confirmadas pela análise dos espectros obtidos com experimento
de NOEDIFF (Figura 34, pág-61). Foram feitas irradiações em δ
H
3,88 (OMe) e observou-se
sinal de nOe em δ
H
6,59 (H–8); indicando que o grupo metoxila está no C-7; irradiação em δ
H
6,59 (H-8) gerou nOe na metoxila (δ
H
3,88); irradiando no δ
H
6,79 (H-3) observou-se nOe em
δ
H
7,55 (H-2’) confirmando não haver substituinte na posição 3 nem na posição 2’. A
comparação desses dados com valores da literatura (KUMARASAMY et. al., 2004)
confirmam a proposta da 6-C-glicosil-7-metoxi-5,3’,4’-triidroxiflavona para 10. Essa
substância foi isolada de Swertia japonica e de Alliaria petiolatados. É conhecida como
swertiajaponina (KOMATSU et al., 1966, KUMARASAMY, et. al., 2004). A Tabela 7 pág-
58) mostra a completa atribuição dos dados de RMN
1
H e
13
C e comparação com os valores
divulgados por KUMARASAMY et. al. (2004).
O
O
OH
OH
OH
O
OH
HO
HO
HO
H
2
3
45
6
7
8
9
10
1
'
2
'
3
'
4
'
5
'
6
'
1
''
2
''
3
''
4
''
5
''
6
''
CH
3
O
10
58
Tabela 7: Dados de RMN
1
H e
13
C (200 MHz, 50MHz) (DMSO-d
6
) da substância
swertiajaponina (10) e comparação com valores de deslocamento químico de carbono-13 da
literatura (KUMARASAMY, et. al., 2004).
Substância 10 Literatura
C
δc δ
H
δc
2 164,54 - 164,8
3 102,28 6,79 (s) 102,5
4 182,25 - 182,7
5 161,29 - 160,8
6 108,56 - 108,4
7 163,30 - 163,4
8 94,94 6,59 (s) 90,0
9 155,60 - 157,6
10 104,41 - 104,0
1’ 121,69 - 122,1
2’ 113,95 7,55 (s) 112,9
3’ 145,90 - 145,2
4’ 150,01 - 149,0
5’ 115,61 6,92 (d, J= 8,6 Hz) 115,6
6’ 119,51 7,56 (m) 119,1
1’’ 73,12 4,76 (d, J= 10 Hz) 74,0
2’’ 70,65 3,50(m) 71,4
3’’ 78,73 3,50(m) 78,9
4’’ 70,65 3,50(m) 70,6
5’’ 82,09 3,50(m) 81,4
6’’ 61,60 3,50(m) 61,7
OMe 56,58 3,88 (s) 56,0
O
O
OH
OH
OH
O
OH
HO
HO
HO
H
2
3
45
6
7
8
9
10
1
'
2
'
3
'
4
'
5
'
6
'
1
''
2
''
3
''
4
''
5
''
6
''
CH
3
O
10
59
Figura 32: Espectro de RMN
1
H (200MHz, DMSO-d
6
) substância swertiajaponina
(10).
H - 3
H - 8
H -1’’
H – 2’
H – 6’
OMe
Região de açucar
H – 5’
O
O
OH
OH
OH
O
OH
HO
HO
HO
H
2
3
45
6
7
8
9
10
1
'
2
'
3
'
4
'
5
'
6
'
1
''
2
''
3
''
4
''
5
''
6
''
CH
3
O
10
H - 3
H - 8
H -1’’
H – 2’
H – 6’
OMe
Região de açucar
H – 5’
H - 3
H - 8
H -1’’
H – 2’
H – 6’
OMe
Região de açucar
H – 5’
O
O
OH
OH
OH
O
OH
HO
HO
HO
H
2
3
45
6
7
8
9
10
1
'
2
'
3
'
4
'
5
'
6
'
1
''
2
''
3
''
4
''
5
''
6
''
CH
3
O
10
O
O
OH
OH
OH
O
OH
HO
HO
HO
H
2
3
45
6
7
8
9
10
1
'
2
'
3
'
4
'
5
'
6
'
1
''
2
''
3
''
4
''
5
''
6
''
CH
3
O
10
60
Figura 33: Espectro de RMN
13
C (50 MHz, DMSO-d
6
) substância swertiajaponina
(10).
C - 4
C - 2
C - 7
C - 5
C - 9
C – 4’
C – 3’
C – 1’
C – 6’
C – 5’
C – 2’
C - 6
C - 10
C -3
C - 8
C – 5’’
C – 3’’
C – 1’’
C – 2’’, 4’’
C – 6’’
OMe
C - 4
C - 2
C - 7
C - 5
C - 9
C – 4’
C – 3’
C – 1’
C – 6’
C – 5’
C – 2’
C - 6
C - 10
C -3
C - 8
C – 5’’
C – 3’’
C – 1’’
C – 2’’, 4’’
C – 6’’
OMe
O
O
OH
OH
OH
O
OH
HO
HO
HO
H
2
3
45
6
7
8
9
10
1
'
2
'
3
'
4
'
5
'
6
'
1
''
2
''
3
''
4
''
5
''
6
''
CH
3
O
10
61
Figura 34 : Espectro de RMN–NOEDIFF (200 MHz) da swertiajaponina 10.
H - 3
H - 8
H – 6’
H – 6’
H – 5’
H – 1’’
OMe
OMe 7
H - 8
H -3
H – 2’
H - 3
H – 2’
H - 3
H - 8
H – 6’
H – 6’
H – 5’
H – 1’’
OMe
H - 3
H - 8
H – 6’
H – 6’
H – 5’
H – 1’’
OMe
OMe 7
H - 8
H -3
H – 2’
H - 3
H – 2’
O
O
O
H
OH
OH
O
OH
HO
HO
HO
H
2
3
45
6
7
8
9
10
1
'
2
'
3
'
4
'
5
'
6
'
1
''
2
''
3
''
4
''
5
''
6
''
CH
3
O
62
Quadro 2 - Constituintes químicos isolados de caule de Ouratea
hexasperma St Hil
H
O
2 :
22, 23
3 : 22, 23-
diidro
22
23
46
11
12
13
14
15
16
17
18
19
20
21
22
23
24
25
26
27
28
1
2
3
5
7
8
9
10
29
1
' O
O
OH
HO
HO
OH
4
HO
OH
OH
O
1
2
3
4
5
6
7
8
11
3
4
5
6
7
8
9
10
O
OH
HO
HO
HO
H
O
O
O
OH
OH
OH
2
'
3
'
4
'
5
'
6
'
1
'
1
''
2
''
3
''
4
''
5
''
6
''
1
'''
2
'''
3
''' '
4
'''
5
'''
13
4
5
6
7
8
9
10
O
OH
HO
HO
HO
H
O
O
O
OH
OH
OH
H
H
2
'
3
'
4
'
5
'
6
'
1
'
1
''
2
''
3
''
4
''
5
''
6
''
1
'' '
2
'' '
3
'' ''
4
'' '
5
'' '
2
3
12
Derivados obtidos a partir da substância 13
2
3
4
5
6
7
8
9
10
O
OH
HO
HO
HO
H
O
O
O
OH
OCH
3
OCH
3
H
2
'
3
'
4
'
5
'
6
'
1
'
1
''
2
''
3
''
4
''
5
''
6
''
1
'' '
2
'' '
3
'' ''
4
'' '
5
'' '
13a
2
3
4
5
6
7
8
9
10
O
OAc
AcO
AcO
AcO
H
O
O
O
OAc
OAc
OAc
H
2
'
3
'
4
'
5
'
6
'
1
'
1
''
2
''
3
''
4
''
5
''
6
''
1
'''
2
'''
3
''''
4
'''
5
'''
13b
H
O
2 :
22, 23
3 : 22, 23-
diidro
22
23
46
11
12
13
14
15
16
17
18
19
20
21
22
23
24
25
26
27
28
1
2
3
5
7
8
9
10
29
1
' O
O
OH
HO
HO
OH
4
46
11
12
13
14
15
16
17
18
19
20
21
22
23
24
25
26
27
28
1
2
3
5
7
8
9
10
29
1
' O
O
OH
HO
HO
OH
4
HO
OH
OH
O
1
2
3
4
5
6
7
8
11
HO
OH
OH
O
1
2
3
4
5
6
7
8
11
3
4
5
6
7
8
9
10
O
OH
HO
HO
HO
H
O
O
O
OH
OH
OH
2
'
3
'
4
'
5
'
6
'
1
'
1
''
2
''
3
''
4
''
5
''
6
''
1
'''
2
'''
3
''' '
4
'''
5
'''
13
3
4
5
6
7
8
9
10
O
OH
HO
HO
HO
H
O
O
O
OH
OH
OH
2
'
3
'
4
'
5
'
6
'
1
'
1
''
2
''
3
''
4
''
5
''
6
''
1
'''
2
'''
3
''' '
4
'''
5
'''
13
4
5
6
7
8
9
10
O
OH
HO
HO
HO
H
O
O
O
OH
OH
OH
H
H
2
'
3
'
4
'
5
'
6
'
1
'
1
''
2
''
3
''
4
''
5
''
6
''
1
'' '
2
'' '
3
'' ''
4
'' '
5
'' '
2
3
12
4
5
6
7
8
9
10
O
OH
HO
HO
HO
H
O
O
O
OH
OH
OH
H
H
2
'
3
'
4
'
5
'
6
'
1
'
1
''
2
''
3
''
4
''
5
''
6
''
1
'' '
2
'' '
3
'' ''
4
'' '
5
'' '
2
3
12
Derivados obtidos a partir da substância 13
2
3
4
5
6
7
8
9
10
O
OH
HO
HO
HO
H
O
O
O
OH
OCH
3
OCH
3
H
2
'
3
'
4
'
5
'
6
'
1
'
1
''
2
''
3
''
4
''
5
''
6
''
1
'' '
2
'' '
3
'' ''
4
'' '
5
'' '
13a
2
3
4
5
6
7
8
9
10
O
OH
HO
HO
HO
H
O
O
O
OH
OCH
3
OCH
3
H
2
'
3
'
4
'
5
'
6
'
1
'
1
''
2
''
3
''
4
''
5
''
6
''
1
'' '
2
'' '
3
'' ''
4
'' '
5
'' '
13a
2
3
4
5
6
7
8
9
10
O
OAc
AcO
AcO
AcO
H
O
O
O
OAc
OAc
OAc
H
2
'
3
'
4
'
5
'
6
'
1
'
1
''
2
''
3
''
4
''
5
''
6
''
1
'''
2
'''
3
''''
4
'''
5
'''
13b
2
3
4
5
6
7
8
9
10
O
OAc
AcO
AcO
AcO
H
O
O
O
OAc
OAc
OAc
H
2
'
3
'
4
'
5
'
6
'
1
'
1
''
2
''
3
''
4
''
5
''
6
''
1
'''
2
'''
3
''''
4
'''
5
'''
13b
63
Identificação dos constituintes isolados do caule de Ouratea hexasperma (St.
Hil).
Substância 11 (ácido 2,4-diidroxifenil acético).
O espectro no IV (Figura 37 Pág-64 ) mostra bandas de absorção características de
ácidos: 3.437 cm
-1
(estiramento OH); 1.695 cm
-1
(estiramento de C=O) 1.293 cm
-1
(estiramento C-O).
O espectro de RMN
1
H (Figura 36 Pág-64 ) mostra sinais de hidrogênios em anel
aromático em δ
H
6,85(d, J=8,0 Hz, H-6); 6,28 (d, J= 2,4 Hz H-3) 6,20 (dd, J= 8,0 e 2,4 Hz, H-
5); além de um singleto em 3,4 (CH
2
-7). Os dados detectados no espectro de carbono
desacoplado de RMN
13
C (Figura.37, Pág-64.) estão de acordo com a proposta deduzida com
a análise acima (Tabela 8, pág-61 ). A inserção dessa amostra no cromatógrafo a gás
acoplado com espectrômetro de massas forneceu o pico com TR 2,88 min. O espectro de
massas apresentou picos cujos valores registrados são compatíveis com a estrutura do acido
1,5 diidroxi-fenilacetico. (Figura 38, 39 Pag-65)
Tabela 8: Dados de RMN
1
H (200 MHz) e
13
C (BBD, 50 MHz), em CD
3
OD.
Figura 35: Espectro de I V da substância ácido 1,5-diidroxifenil acético (11).
C
δc δ
H
1 115,4 -
2 156,7 -
3 104,1 6,28 (d, J= 2,4
4 158,9 -
5 104,9 6,20(dd, J= 8,0 e 2,4 Hz)
6 130,2 6,85(d, J= 8,0 Hz))
7 43,7 3,4(s, 2H)
8 176,9 -
HO
OH
OH
O
ν
OH
ν
C=O
ν
C-O
ν
OH
ν
C=O
ν
C-O
-
H
2
O
C
OH
HO
O
m/z 150 (100)
+
OH
O
OH
HO
M
+
168
64
Figura 36: Espectro de RMN
1
H (200 MHz CD
3
OD) da substância ácido 2,4-
diidroxifenil acético (11).
Figura 37: Espectro de RMN
13
C(BBD 50MHz DMSO-d
6
.) substância 11.
C
8
C
-
4
C - 2
C - 6
C - 1
C - 5
C
-
3
C
-
7
OH
O
OH
HO
1
2
3
4
5
6
7
8
C
8
C
-
4
C - 2
C - 6
C - 1
C - 5
C
-
3
C
-
7
OH
O
OH
HO
1
2
3
4
5
6
7
8
OH
HO
OH
O
H -6
H - 3
H -5
H - 7
OH
HO
OH
O
H -6
H - 3
H -5
H - 7
65
Figura 38: Cromatograma da substância 11
Figura 39 Espectro de massas da substância 11. [ Coluna CPSIL8CB (30m x 0,25 x
0,25mm), Temperatura: 180C/1min-10C/min–290/20min. Ionização: EI (70eV)].
66
Substância 12 ( 3,4’,5-triidroxi-6-γ,γ dimetil-alil-7-O-β-D-glicosil-flavanona)
O espectro de RMN
1
H de 12 (Figura 40 Pág.71) apresenta sinais de hidrogênios de
anel aoromático para substituído δ
H
7,30 (d, 8,0 Hz, 2H); 6,79 (d, 8,0 Hz, 2H) que podem ser
atribuídos a hidrogênios do anel B do flavonoíde. O sinal em δ
H
6,22 (s, 1H) representa um
hidrogênio do anel A. Além dos sinais múltiplos em 5,2-4,9 e 4,7-4,5 e 3,5-3,0 aparecem dois
sinais simples em 1,61 e 1,75 compativeis com grupos metilas de unidade prenila. Estes dados
permitiram propor a presença de uma unidade de açúcar e um grupo prenila na molécula. Esta
dedução foi confirmada pela análise dos espectros de RMN
13
C (BBD e DEPT (Figura 41
pág-72) que apresentou dois sinais de CH
3
(25,7 e 17,18) dois sinais de CH
2
(21,03 e 60,74)
além de 11 sinais de CH. Esses dados são compatíveis com os carbonos metínicos sp
2
do
flavonoíde [94,15, (C-8); 129,7, (C-2’, 6’); 115,11, (C-3’, 5’); com os da prenila [122,55, (C-
2’’’); 21,03 (C-1’’’); 25,7 e 17,68 (C-4’’’ e 5’’’)]. Os demais sinais de carbonos hidrogenados
7 CH e 1 CH
2
pode ser representantes de uma glicose [100,5 (C-1’’); 77,19 (C-5’’); 76,7 (C-
3’’); 73,4 (C-2’’); 69,1 (C-4’’) e 60,7 (CH
2
-6’’)] e de dois carbonos sp
3
do flavonoíde [83,2
(C-2) e 71,85 (C-3)]. A análise do espectro de correlação heteronuclear a uma ligação
1
J
CH
(Figura 42 pág-73 ) permitiu confirmar as freqüências de absorção dos hidrogênios ligados
aos respectivos carbonos das unidades da molécula (Tabela 9 pag-68 ). O dubleto em 5,84
pode ser atribuído ao OH ligado a carbono 3 do flavononol uma vez que não apareceu sinal de
acoplamento com
1
J
CH
. Os sinais de carbonos quaternários (Figura.41 Pág-72) com δ
C
199,7
(C=O); 163,2; 160,6; 159,6; 157,96; 130,67; 127,6; 109,87; 101,83 possui valores
compatíveis com carbonos quaternários das unidades propostas (Tabela 9 pág-68)O valor CH
94,15 é compatível com o valor do CH-8 do anel A de flavonoides e o δ
C
109,87 pode ser
atribuído ao C-6 sustentando o grupo prenila. Se esse grupo estivesse ligado no C-8 deveria
aparecer um δ
CH
em torno de 98 ppm. Esta dedução foi também confirmada pelos sinais de
interação heteronuclear
1
H x
13
C no mapa de contorno (COLOC,
2,3
J
CH
). Este espectro
apresenta sinais entre C-9 (160,6) com o sinal do H-8 (6,22) e entre C-6 (109,87) e H-
1’’’(3,31, m) e entre o carbono 2’’’ com os hidrogenios das metilas (H-4’’’ e H-5’’’). Os
sinais de
3
J
CH
com os carbonos metílicos 4’’’ e 5’’’ permitiram confirmar a freqüência de
absorção dos H-2’’’ e dos carbonos metínicos 2’ e 6’ com os sinais 5,11 permitiram confirmar
essa freqüência para o H-2. Dentro do multiplete entre 5,2-4,9 aparece um sinal que pode ser
interpretado como dubleto (11 Hz) esse pode ser usado para informar a freqüência para H-2
trans ao H-3. Outra justificativa para essa atribuição é o
1
J
CH
com os respectivos carbonos
(Tabela 9 pág-68, Figura 42 Pág-73). A comparação dos espectros de 12 com os de 13
serviu para confirmar as atribuições para HC-2, HC-3, e HO-3 os sinais desses núcleos não
aparecem em 13.
A análise de uma fração contento as substâncias 12+13 (sendo 12 em maior
quantidade) usando experimento 1D para detectar NOE (NOEDIFF, Figura 45 pág-76)
permitiu tirar algumas conclusões que podem ser utilizadas como confirmação adicional para
a proposta estrutural de 12, a irradiação na freqüência δ
H
4,92 do hidrogênio ligado ao
carbono (1’’, δ
CH
: 100,15) gerou NOE no H-8 (6,22);(Figura 45-e) irradiação na freqüência
de H-2’’’ e H-2 ( 5,1) gerou fraco NOE nas metilas e não gerou NOE no H-3 (Figura 45-c)
os demais experimentos não foram conclusivos. Estas análises e comparação com dos dados
de modelo da literatura(Tabela 10 pag-69) permitiram propor para 12 a estrutura da 3,4’,5-
triidroxi-6-prenil-7-O-β-D-glicosil-flavanona. Após essa proposta registraram-se espectros de
massas desse material com sistema de ionização eletron Spray usando H
2
O como dispersante
(Figuras 46-a, 46-b, 46-c e 46-d págs-77 e 78). O espectro de massas obtido na primeira
ionização (Fig 46-a pag-77) apresentou como principais picos m/z 607, 553, 515, 399, 355 e
255. No esquema 1 pág-70 são propostas partículas responsáveis pelos respectivos íons
negativos detectados. Os espectros obtidos da 2ª Ionização dos íons detectados em 46-a
67
(Figura 46-b, 46-c e 46-d pág-77,78 ) forneceu picos que permitiu deduzir que os íons com
m/z 517 e 515 são responsáveis pelos picos em m/z 355 e 327 (Figura 46-c e 46-d pág-78). O
pico 553 é de 517 com duas moléculas de H
2
O (Fig 45-b pág-77) o 517 produz o 515 e o pico
em m/z 255 é formado pelo fragmento 219 com uma molécula de H
2
O (Fig 46-c pág-78) uma
vez que este não aparece nos demais espectros. Esses fragmentos confirmam a estrutura
proposta. Além dessa substância ser nova na literatura esse é o primeiro registro de
flavonoídes prenilados em Ouratea.
O modelo I utilizado corresponde a uma substância que difere de 12 apenas na
hidroxila adicional em 3’. Essa substância foi isolada da espécie Ochna integerrima
(Ochnaceae) sendo o único exemplo de flavonoíde prenilado nessa família
(LIKHITWITAYAWUID, et al., 2001).
OH
OH
H
H
3
4
5
6
7
8
9
10
O
OH
HO
HO
HO
H
O
O
O
OH
OH
2
'
3
'
4
'
5
'
6
'
1
'
1
''
2
''
3
''
4
''
5
''
6
''
1
'''
2
'''
3
''''
4
'''
5
'''
Modelo I
3
4
5
6
7
8
9
10
O
OH
HO
HO
HO
H
O
O
O
OH
OH
2
'
3
'
4
'
5
'
6
'
1
'
1
''
2
''
3
''
4
''
5
''
6
''
1
'''
2
'''
3
''''
4
'''
5
'''
OH
H
H
Substância 12
OH
OH
H
H
3
4
5
6
7
8
9
10
O
OH
HO
HO
HO
H
O
O
O
OH
OH
2
'
3
'
4
'
5
'
6
'
1
'
1
''
2
''
3
''
4
''
5
''
6
''
1
'''
2
'''
3
''''
4
'''
5
'''
Modelo I
OH
OH
H
H
3
4
5
6
7
8
9
10
O
OH
HO
HO
HO
H
O
O
O
OH
OH
2
'
3
'
4
'
5
'
6
'
1
'
1
''
2
''
3
''
4
''
5
''
6
''
1
'''
2
'''
3
''''
4
'''
5
'''
Modelo I
3
4
5
6
7
8
9
10
O
OH
HO
HO
HO
H
O
O
O
OH
OH
2
'
3
'
4
'
5
'
6
'
1
'
1
''
2
''
3
''
4
''
5
''
6
''
1
'''
2
'''
3
''''
4
'''
5
'''
OH
H
H
Substância 12
3
4
5
6
7
8
9
10
O
OH
HO
HO
HO
H
O
O
O
OH
OH
2
'
3
'
4
'
5
'
6
'
1
'
1
''
2
''
3
''
4
''
5
''
6
''
1
'''
2
'''
3
''''
4
'''
5
'''
OH
H
H
Substância 12
68
Tabela 9: Dados de RMN* (δ, J Hz, DMSO-d
6
)
1
H (200 MHz)
13
C (50 MHz) da substância 12.
*Espectro 2D de correlação homonuclear (
1
H x
1
H COSY), heteronuclear (
1
H x
13
C-
COSY) e espectros de RMN 13C(BBD e DEPT) e NOEDIFF
b
foram usados nas
atribuições desses valores.
1
Hx
13
C HETCOR
1
J
CH
1
Hx
13
C COLOC
1
H x
1
H Cosy
NOE
b
C
δc δ
H
2
J
CH
3
J
CH
2 83,2 5,11(d,J= 11,0Hz) H-3
3 71,85 4,55(m) H-2, HO-3 H-2
4 199,70 - H-2
5 159,59
OH - 12,04 (s) H-3
6 109,87 - H-1’’’ H-8, H-2’’’
7 163,24 - H-8
8 94,15 6,22 (s)
9 160,63 - H-8
10 101,83 - H-8
1’ 127,61 - H-3’, 5’
2’ 129,71 7,30(d,J= 8,0Hz) H-2 H-6’
3’ 115,11 6,79(d,J= 8,0Hz) H-5’
4’ 157,96 - H-3’, 5’ H-2’,6’
5’ 115,11 6,79(d,J= 8,0Hz) H-3’
6’ 129,71 7,30(d,J= 8,0Hz) H-2 H-2’
1’’ 100,15 4,92(d,J= 8,0Hz) H-2’’ H-8,H-2’’
2’’ 73,43 3,29 (m) H-1’’
3’’ 76,70 3,29 (m)
4’’ 69,60 3,18 (m)
5’’ 77,19 3,35 (m)
6’’ 60,74 3,50 (m)
1’’’ 21,03 3,31 e 3,14 (m) 1’’’(a)(b) / 2’’’
2’’’ 122,55 5,17(dd,) H-4’’’,5’’’ 1’’’(a) (b)
3’’’ 130,67 - H-5’’’ H-4’’’
4’’’ 25,70 1,61 (s) H-5’”, H-2’”
5’’’ 17,68 1,75 (s) H-4’”, H-2’”
HO-3 - 5,34(d)
3
4
5
6
7
8
9
10
O
OH
HO
HO
HO
H
O
O
O
OH
OH
2
'
3
'
4
'
5
'
6
'
1
'
1
''
2
''
3
''
4
''
5
''
6
''
1
'''
2
'''
3
''''
4
'''
5
'''
OH
H
H
12
3
4
5
6
7
8
9
10
O
OH
HO
HO
HO
H
O
O
O
OH
OH
2
'
3
'
4
'
5
'
6
'
1
'
1
''
2
''
3
''
4
''
5
''
6
''
1
'''
2
'''
3
''''
4
'''
5
'''
OH
H
H
12
69
Tabela 10: Dados de RMN
1
H e
13
C (200 e 50 MHz, DMSO-d
6
) da substância 3,4’,5-
triidroxi-6-prenil-7-O-β-D-glicosil-flavanona (12) com parados com dados de RMN
1
H e
13
C
(500 e 125 MHz, DMSO-d
6
) do modelo da literatura.
Substancia 12 Modelo I (LIKHITWITAYAWUID,2001)
C
δc δ
H
δc δ
H
2 83,2 5,11(d,J= 11,0Hz) 83,3 5,01 (d,11,0 Hz)
3 71,85 4,55(m) 71,8 4,55 (d, 11,0 Hz)
4 199,70 - 199,0 -
5 159,59 159,5 -
OH - 12,04 (s) -
6 109,87 - 109,7 -
7 163,24 - 163,1 -
8 94,15 6,22 (s) 94,0 6,22 (s)
9 160,63 - 160,5
10 101,83 - 101,7
1’ 127,61 - 128,0
2’ 129,71 7,30(d,J= 8,0Hz) 115,4 6,88 (sl)
3’ 115,11 6,79(d,J= 8,0Hz) 145,0
4’ 157,96 - 145,9
5’ 115,11 6,79(d,J= 8,0Hz) 115,2 6,74 (sl)
6’ 129,71 7,30(d,J= 8,0Hz) 119,5 6,74 (sl)
1’’ 100,15 4,92(d,J= 8,0Hz) 100,1 4,91 (d, 7,6 Hz)
2’’ 73,43 3,29 (m) 73,3 3,27 (m)
3’’ 76,70 3,29 (m) 76,6 3,27 (m)
4’’ 69,60 3,18 (m) 69,6 3,14 (m)
5’’ 77,19 3,35 (m) 77,1 3,40 (m)
6’’ 60,74 3,50 (m) 60,6 3,43 (m) 36,5 (dd 11,3; 1,8 Hz)
1’’’ 21,03 3,31 e 3,14 (m) 20,9 3,38 (m)
2’’’ 122,55 5,17(dd,) 122,5 5,17 (dd, 7.0; 7,0 Hz)
3’’’ 130,67 - 130,5 -
4’’’ 25,70 1,61 (s) 25,6 1,61 (s)
5’’’ 17,68 1,75 (s) 17,8 1,71 (s)
OH
OH
H
H
3
4
5
6
7
8
9
10
O
OH
HO
HO
HO
H
O
O
O
OH
OH
2
'
3
'
4
'
5
'
6
'
1
'
1
''
2
''
3
''
4
''
5
''
6
''
1
'''
2
'''
3
''''
4
'''
5
'''
Modelo I
3
4
5
6
7
8
9
10
O
OH
HO
HO
HO
H
O
O
O
OH
OH
2
'
3
'
4
'
5
'
6
'
1
'
1
''
2
''
3
''
4
''
5
''
6
''
1
'''
2
'''
3
''''
4
'''
5
'''
OH
H
H
Substância 12
OH
OH
H
H
3
4
5
6
7
8
9
10
O
OH
HO
HO
HO
H
O
O
O
OH
OH
2
'
3
'
4
'
5
'
6
'
1
'
1
''
2
''
3
''
4
''
5
''
6
''
1
'''
2
'''
3
''''
4
'''
5
'''
Modelo I
OH
OH
H
H
3
4
5
6
7
8
9
10
O
OH
HO
HO
HO
H
O
O
O
OH
OH
2
'
3
'
4
'
5
'
6
'
1
'
1
''
2
''
3
''
4
''
5
''
6
''
1
'''
2
'''
3
''''
4
'''
5
'''
Modelo I
3
4
5
6
7
8
9
10
O
OH
HO
HO
HO
H
O
O
O
OH
OH
2
'
3
'
4
'
5
'
6
'
1
'
1
''
2
''
3
''
4
''
5
''
6
''
1
'''
2
'''
3
''''
4
'''
5
'''
OH
H
H
Substância 12
3
4
5
6
7
8
9
10
O
OH
HO
HO
HO
H
O
O
O
OH
OH
2
'
3
'
4
'
5
'
6
'
1
'
1
''
2
''
3
''
4
''
5
''
6
''
1
'''
2
'''
3
''''
4
'''
5
'''
OH
H
H
Substância 12
70
CO
Esquema 1. Proposta de fragmentação e constituição dos íons compatíveis com
os valores dos picos detectados nos espectros de massas de 12 (figuras: 46-a; 46-b;
46-c e 46-d).
O
OH
OOH
O
O
OH
OH
H
O
HO
OH
.
-
O
O
-
OOH
RO
OH
12 C
26
H
30
O
11
(m/z 518 u, 10%)
R=glic: m/z 517
R=H: m/z 355
O
O
-
O
O.
gliO
O.
m/z 515
O
O
-
OH
HO
OH
m/z 327
OH
HO
O
O
-
HO
O
162
o
m/z 219
(a)
+H
2
O
EM-IES (46-a)
m/z: on; %)
607(M - H + 5xH
2
O; 20%)
553 (M - H + 2xH
2
O; 80%)
517 (M - H; 90%)
515 (M - H - H
2
; 100%)
399 (12)
355 (60)
255 (219 + H
2
O); 10%)
EM/EM-IES (46-b; 46-c; 46-d); m/z* (%)
(*)
(46-b)
(46-c)
(46-d)
515 (45); 355(100)
515 (45); 355(100); 327(15); 219(20)
335(100); 327(15)
71
Figura 40: Espectro de RMN
1
H (200 MHz) DMSO-d
6
. (Região 8,0-12 ppm é
apresentada no centro da Figura).
H – 3’/5
H – 2’/6’
H
-
8
OH - 5
OH - 7
OH – 4’
H – 1’’
H – 2’’’/ 2
H
-
3
H – 1’’’a
H – 1’’’b
M
e
M
e
H – 3’/5
H – 2’/6’
H
-
8
OH - 5
OH - 7
OH – 4’
H – 1’’
H – 2’’’/ 2
H
-
3
H – 1’’’a
H – 1’’’b
M
e
M
e
3
4
5
6
7
8
9
10
O
OH
HO
HO
HO
H
O
O
O
OH
OH
2
'
3
'
4
'
5
'
6
'
1
'
1
''
2
''
3
''
4
''
5
''
6
''
1
'''
2
'''
3
''''
4
'''
5
'''
OH
H
H
12
3
4
5
6
7
8
9
10
O
OH
HO
HO
HO
H
O
O
O
OH
OH
2
'
3
'
4
'
5
'
6
'
1
'
1
''
2
''
3
''
4
''
5
''
6
''
1
'''
2
'''
3
''''
4
'''
5
'''
OH
H
H
12
72
Figura 41: Espectro de RMN
13
C(BBD, 50MHz) DEPT θ= 135, DMSO-d6 da
substância 3,4’,5-triidroxi-6-prenil-7-O-β-D-glicosil-flavanona (12)
C – 2’ / 6’
C – 2’’’
C 3’ / 5’
C – 1’’
C - 8
C - 2
C - 3
C – 4’’
C – 2’’
C – 3’’
C – 5’’
C – 6’ C – 1’
C – 4’ C –
C - 7
C - 9
C - 5
C – 4’
C - 4
C – 3’’’
C – 1’
C - 6
C - 10
C – 2’ / 6’
C – 2’’’
C 3’ / 5’
C – 1’’
C - 8
C - 2
C - 3
C – 4’’
C – 2’’
C – 3’’
C – 5’’
C – 6’ C – 1’
C – 4’ C –
C - 7
C - 9
C - 5
C – 4’
C - 4
C – 3’’’
C – 1’
C - 6
C - 10
3
4
5
6
7
8
9
10
O
OH
HO
HO
HO
H
O
O
O
OH
OH
2
'
3
'
4
'
5
'
6
'
1
'
1
''
2
''
3
''
4
''
5
''
6
''
1
'''
2
'''
3
''''
4
'''
5
'''
OH
H
H
12
3
4
5
6
7
8
9
10
O
OH
HO
HO
HO
H
O
O
O
OH
OH
2
'
3
'
4
'
5
'
6
'
1
'
1
''
2
''
3
''
4
''
5
''
6
''
1
'''
2
'''
3
''''
4
'''
5
'''
OH
H
H
12
73
Figura 42: Mapa de contorno HETCOR (200/50 MHz) DMSO-d
6
da substância
3,4’,5-triidroxi-6-prenil-7-O-β-D-glicosil-flavanona (12).
C – 5’’’
C – 4’’’
C – 1’’’
C – 6’’
C – 4’’
C
-
3
C
2
’’
C – 3’’ / 5’’
C
-
2
C - 8
C
1
C – 3’ / 5’
C – 2’ / 6’
C
2
H – 4’’’
H – 5’’’
H – 1’’’a
H – 1’’’b
H – 6’’a
H – 6’’b
H – 4’’
H - 3
H – 2’’
H – 3’’ / 5’’
H - 2
H – 1’’
H - 8
H – 3’ / 5’
H – 2’ / 6’
H -2’’’
C – 5’’’
C – 4’’’
C – 1’’’
C – 6’’
C – 4’’
C
-
3
C
2
’’
C – 3’’ / 5’’
C
-
2
C - 8
C
1
C – 3’ / 5’
C – 2’ / 6’
C
2
C – 5’’’
C – 4’’’
C – 1’’’
C – 6’’
C – 4’’
C
-
3
C
2
’’
C – 3’’ / 5’’
C
-
2
C - 8
C
1
C – 3’ / 5’
C – 2’ / 6’
C
2
H – 4’’’
H – 5’’’
H – 1’’’a
H – 1’’’b
H – 6’’a
H – 6’’b
H – 4’’
H - 3
H – 2’’
H – 3’’ / 5’’
H - 2
H – 1’’
H - 8
H – 3’ / 5’
H – 2’ / 6’
H -2’’’
3
4
5
6
7
8
9
10
O
OH
HO
HO
HO
H
O
O
O
OH
OH
2
'
3
'
4
'
5
'
6
'
1
'
1
''
2
''
3
''
4
''
5
''
6
''
1
'''
2
'''
3
''''
4
'''
5
'''
OH
H
H
12
3
4
5
6
7
8
9
10
O
OH
HO
HO
HO
H
O
O
O
OH
OH
2
'
3
'
4
'
5
'
6
'
1
'
1
''
2
''
3
''
4
''
5
''
6
''
1
'''
2
'''
3
''''
4
'''
5
'''
OH
H
H
12
74
Figura 43: Mapa de conotorno COLOC (200/50 MHz) DMSO-d
6
da substância
3,4’,5-triidroxi-6-prenil-7-O-β-D-glicosil-flavanona (12).
C – 4’’’
C – 5’’’
C - 8
C 10
C
-
6
C – 3’/ 5’
C – 2’’’
C – 1’
C
2
/
6
C – 3’’’
C – 4’
C - 9
C - 7
C -
4
H – 5’’’
H – 4’’’
H – 1’’’
H - 2
H
-
8
H – 3’ / 5’
H – 2’ / 6’
C – 2’’’
H – 4’’’ J
3
C – 2’’’
H – 5’’’ J
3
C – 3’’’
H – 4’’’ J
2
C – 3’’’
H – 5’’’ J
2
C – 5’’’
H – 4’’’ J
3
C – 5’’’
H – 5’’’ J
1
C – 4’’’
H – 4’’’ J
1
C – 4’’’
H – 5’’’ J
3
C – 6
H – 1’’’ J
2
C – 4
H – 2 J
3
C – 2’ / 6’
H – 2 J
3
C – 7
H – 8 J
2
C – 9
H – 8 J
2
C – 4’
H – 2’ / 6J
3
C – 2’ / 6’
H – 2’ / 6’ J
1
C – 3’ / 5’
H – 3’ / 5’ J
1
C – 4’
H – 3’ / 5’ J
2
C – 1’
H – 3’ / 5’ J
3
C – 6
H – 8 J
3
C – 10
H – 8 J
3
C – 6
H – 2’’’ J
3
C – 4’’’
H – 2’’’ J
3
C – 5’’’
H – 2’’’ J
3
H - 2’’’
C – 4’’’
C – 5’’’
C - 8
C 10
C
-
6
C – 3’/ 5’
C – 2’’’
C – 1’
C
2
/
6
C – 3’’’
C – 4’
C - 9
C - 7
C -
4
H – 5’’’
H – 4’’’
H – 1’’’
H - 2
H
-
8
H – 3’ / 5’
H – 2’ / 6’
C – 4’’’
C – 5’’’
C - 8
C 10
C
-
6
C – 3’/ 5’
C – 2’’’
C – 1’
C
2
/
6
C – 3’’’
C – 4’
C - 9
C - 7
C -
4
C – 4’’’
C – 5’’’
C - 8
C 10
C
-
6
C – 3’/ 5’
C – 2’’’
C – 1’
C
2
/
6
C – 3’’’
C – 4’
C - 9
C - 7
C -
4
H – 5’’’
H – 4’’’
H – 1’’’
H - 2
H
-
8
H – 3’ / 5’
H – 2’ / 6’
C – 2’’’
H – 4’’’ J
3
C – 2’’’
H – 5’’’ J
3
C – 3’’’
H – 4’’’ J
2
C – 3’’’
H – 5’’’ J
2
C – 5’’’
H – 4’’’ J
3
C – 5’’’
H – 5’’’ J
1
C – 4’’’
H – 4’’’ J
1
C – 4’’’
H – 5’’’ J
3
C – 6
H – 1’’’ J
2
C – 4
H – 2 J
3
C – 2’ / 6’
H – 2 J
3
C – 7
H – 8 J
2
C – 9
H – 8 J
2
C – 4’
H – 2’ / 6J
3
C – 2’ / 6’
H – 2’ / 6’ J
1
C – 3’ / 5’
H – 3’ / 5’ J
1
C – 4’
H – 3’ / 5’ J
2
C – 1’
H – 3’ / 5’ J
3
C – 6
H – 8 J
3
C – 10
H – 8 J
3
C – 6
H – 2’’’ J
3
C – 4’’’
H – 2’’’ J
3
C – 5’’’
H – 2’’’ J
3
H - 2’’’
3
4
5
6
7
8
9
10
O
OH
HO
HO
HO
H
O
O
O
OH
OH
2
'
3
'
4
'
5
'
6
'
1
'
1
''
2
''
3
''
4
''
5
''
6
''
1
'''
2
'''
3
''''
4
'''
5
'''
OH
H
H
12
3
4
5
6
7
8
9
10
O
OH
HO
HO
HO
H
O
O
O
OH
OH
2
'
3
'
4
'
5
'
6
'
1
'
1
''
2
''
3
''
4
''
5
''
6
''
1
'''
2
'''
3
''''
4
'''
5
'''
OH
H
H
12
75
Figura 44 ; Mapa de contorno
1
Hx
1
H COSY da substância 12.
H-1’’’(a)
H-1’’’(b)
H-1’’’(b)
H-2’’’
H-1’’’(a)
H-2’’’
H-1’’
H-2’’
HO-3
H-3
H-2
H-3
H-2’, 6’
H-3’, 5’
H-1’’’(a)
H-1’’’(b)
H-1’’’(b)
H-2’’’
H-1’’’(a)
H-2’’’
H-1’’
H-2’’
HO-3
H-3
H-2
H-3
H-2’, 6’
H-3’, 5’
3
4
5
6
7
8
9
10
O
OH
HO
HO
HO
H
O
O
O
OH
OH
2
'
3
'
4
'
5
'
6
'
1
'
1
''
2
''
3
''
4
''
5
''
6
''
1
'''
2
'''
3
''''
4
'''
5
'''
OH
H
H
12
3
4
5
6
7
8
9
10
O
OH
HO
HO
HO
H
O
O
O
OH
OH
2
'
3
'
4
'
5
'
6
'
1
'
1
''
2
''
3
''
4
''
5
''
6
''
1
'''
2
'''
3
''''
4
'''
5
'''
OH
H
H
12
76
Figura 45: Espectro de experimento de NOEDIFF (200 MHz) DMSO-d
6
da substância
3,4’,5-triidroxi-6-prenil-7-O-β-D-glicosil-flavanona (12), com impureza de 13.
H - 3
H - 2
OH -3
H – 2 / 2’’’
Me-5’’’
H – 1’’
H
-
8
H 2’’’
H – 1’’’
*
H
O
(
1
3
)
HO(12)
*HO(13)
HO(12)
*H-2’, 6’(13)
*
H
-
3
,
5
(
1
3
)
HO-3 (12)
H-2’’
H
-
2
(
b
(
a
(c)
(d)
(
e
H - 3
H - 2
OH -3
H – 2 / 2’’’
Me-5’’’
H – 1’’
H
-
8
H 2’’’
H – 1’’’
H - 3
H - 2
OH -3
H – 2 / 2’’’
Me-5’’’
H – 1’’
H
-
8
H 2’’’
H – 1’’’
*
H
O
(
1
3
)
HO(12)
*HO(13)
HO(12)
*H-2’, 6’(13)
*
H
-
3
,
5
(
1
3
)
HO-3 (12)
H-2’’
H
-
2
(
b
(
a
(c)
(d)
(
e
OH
H
H
3
4
5
6
7
8
9
10
O
OH
HO
HO
HO
H
O
O
O
OH
O
H
2
'
3
'
4
'
5
'
6
'
1
'
1
''
2
''
3
''
4
''
5
''
6
''
1
'''
2
'''
3
''''
4
'''
5
'''
77
Figura 46-a: Espectro de massas de alta resolução da substância 12 obtido com.
Ionização elétron spray (IES) e detecção de íons negativos.
Figura 46-b: Espectro de massas de alta resolução MS/MS do pico m/z 553 (46-a) da
substância 12 obtido com Ionização elétron spray (IES) e detecção de íons negativos.
a
353327
aa
353327
bb
78
Figura 46-c: Espectro de massas de alta resolução MS/MS do pico 517 (46-a) da
substância 12. obtido com Ionização elétron spray (IES) e detecção de íons negativos.
Figura 46-d: : Espectro de massas de alta resolução MS/MS do pico 515 (46-a) da
substância 12. obtido com Ionização elétron spray (IES) e detecção de íons negativos.
cc
dd
79
Substância 13 (3,4’,5-triidroxi-6-γ,γdimetil-alil-7-O -β-D-glicopiranosil-flavona)
As mesmas frações que forneceram 12 continham esta substância com as mesmas
propriedades cromatográficas.
A comparação dos espectros de RMN
1
H e
13
C de 13 com os de 12 permitiu perceber
que a única diferença entre as estruturas é na dupla ligação (
2,3
) tendo como esqueleto básico
uma flavona. Os espectros de RMN
1
H de 13 (Figuras 47, Pág-82) apresenta os dubletos δ
H
8,08 (H-2’, 6’) e 6,95 (H-3’, 5’) do sistema aromático para substituído (anel B) da flavona. O
sinal do H-8 aparece em 6,89 (s, 1H). Os demais sinais são compatíveis com as unidades de
açucar e prenila. O mapa de contorno (Figura 50 pág-85) do espectro
1
Hx
1
H COSY confirma
o sistema AA’BB’ do anel B da flavona e permite perceber sinais de acoplamento do 1’’ com
H-2’’ e do H-1’’’ com H-2’’’ (5,08) (Tabela 11 pág-80 ) A análise dos espectros de RMN
13
C (BBD e DEPT, Figura 48 pág-83) e do HETCOR de 13 permitiu deduzir alguns valores
de δ
H
e de δ
C
e a comparação com modelo da literatura (Mod-1) (LIKHITWITAYAWUID, et
al., 2001) e com 12 permitiu compor a tabela 11 pág-80 com as atribuições dos
deslocamentos químicos dos carbonos e hidrogênios de 13. As mesmas análises com EM-IES
(Figura 51-a-c,págs 86,86 esquema 2 Pag-81)foi feita com essa substância e os dados estão
relacionados no esquema 2 Pág 81. Esses dados confirmam valor da massa de 13 e revela que
os sinais dos picos em m/z 353, 219 são formados a partir do 515 e o 399 é um de 219 com
glicose mais uma molécula de H
2
O. Na segunda ionização o carboidrato sofre fragmentação
formando outros picos de menor m/z.
A preparação de derivados de 13 forneceu dois produtos 13a (pág-88)e 13b(Pág-90)
que serviram para confirmar a proposta.estrutural dessa substância como 3,5,4’-triidroxi-7-O-
β-D-glicopiranosil-6-prenil-flavona
2
3
4
5
6
7
8
9
10
O
OH
HO
HO
HO
H
O
O
O
OH
OH
OH
2
'
3
'
4
'
5
'
6
'
1
'
1
''
2
''
3
''
4
''
5
''
6
''
1
'''
2
'''
3
''''
4
'''
5
'''
80
Tabela 11: Dados de RMN
1
H e
1
H-
1
H-COSY (200 MHz)
13
C , 2D HETCOR, em
DMSO-d
6
da substância 13.
HETCOR H x H
COSY
C
δc δ
H
2 153,99 H-3
3 136,07 H-2
4 176,15 -
5 159,59 -
OH - 12,04 (s) H-3
6 111,76 -
7 147,38 -
8 93,19 6,89 (s)
9 160,60 -
10 104,41 -
1’ 121,64 -
2’ 129,91 8,08(d,J= 8,8Hz) H-3’/5’
3’ 115,54 6,95(d,J= 8,8Hz) H-2’/6’
4’ 156,41 -
5’ 115,54 6,95(d,J= 8,8Hz) H-2’/6’
6’ 129,91 8,08(d,J= 8,8Hz) H-3’/5’
1’’ 100,38 4,90(d,J= 8,0Hz)
2’’ 73,39 3,29 (m)
3’’ 76,76 3,33 (m)
4’’ 69,68 3,36 (m)
5’’ 77,24 3,44 (m)
6’’ 60,68 3,51 (m)
1’’’ 21,27 3,31 e 3,27 (m) 1’’’/ 2’’’
2’’’ 122,20 5,08(dd,) 1’’’(a) (b)
3’’’ 130,70 -
4’’’ 25,58 1,64 (s)
5’’’ 17,82 1,77 (s)
2
3
4
5
6
7
8
9
10
O
OH
HO
HO
HO
H
O
O
O
OH
OH
OH
2
'
3
'
4
'
5
'
6
'
1
'
1
''
2
''
3
''
4
''
5
''
6
''
1
'''
2
'''
3
''''
4
'''
5
'''
81
Esquema 2. Proposta de fragmentação e constituição dos íons compatíveis com
os valores dos picos detectados nos espectros de massas de 13 (figuras: 51-a; 51-b
e
51-c).
O
OH
OOH
O
O
OH
OH
H
O
HO
OH
.
-
O
O
-
OOH
RO
OH
13
C
26
H
28
O
11
(m/z 516 u, 30%)
R=glic: m/z 515
R=H: m/z 353
OH
HO
O
O
-
HO
O
162
o
m/z 219
(a)
+H
2
O
EM-IES (51-a)
m/z: on; %)
605(M - H + 5xH
2
O; 10)
551 (M - H + 2xH
2
O; 10)
515 (M - H; 100)
399 (219 + [162] + H
2
0; 15)
353(2)
255 (219 + H
2
O); 1)
EM/EM-IES (51-b; 53-c); m/z* (%)
(*)
(51-b)
(51-c)
353(100); 219(10)
219(100)
O
OH
HO
OH
HO
m/z 162
.
-
o
82
Figura 47: Espectro de RMN
1
H (200 MHz) DMSO-d
6
da substância 13.
* Substancia 12.
H – 2’ / 6’
H – 3’ / 6’
H - 8
H – 2’’’
H – 1’’’a/b
**
*
Me
Me
H – 2’ / 6’
H – 3’ / 6’
H - 8
H – 2’’’
H – 1’’’a/b
**
*
Me
Me
2
3
4
5
6
7
8
9
10
O
OH
HO
HO
HO
H
O
O
O
OH
OH
OH
2
'
3
'
4
'
5
'
6
'
1
'
1
''
2
''
3
''
4
''
5
''
6
''
1
'''
2
'''
3
''''
4
'''
5
'''
83
Figura 48 Espectro de RMN
13
C (BBD), DEPT θ 135 (50 MHz DMSO-d6) da
substância 13.
C - 2
C - 3
C - 4
C -5
C - 6
C - 7
C - 8
C
-
9
C - 10
C – 1’
C 2’ / 6’
C – 3’ / 5’
C – 4’
C – 1’’
C – 2’’’
C – 3’’’
C
4
C – 5
C – 1’’
C – 2’’
C – 3’’
C – 4’’
C – 5’’
C – 6’’
C - 2
C - 3
C - 4
C -5
C - 6
C - 7
C - 8
C
-
9
C - 10
C – 1’
C 2’ / 6’
C – 3’ / 5’
C – 4’
C – 1’’
C – 2’’’
C – 3’’’
C
4
C – 5
C – 1’’
C – 2’’
C – 3’’
C – 4’’
C – 5’’
C – 6’’
2
3
4
5
6
7
8
9
10
O
OH
HO
HO
HO
H
O
O
O
OH
OH
OH
2
'
3
'
4
'
5
'
6
'
1
'
1
''
2
''
3
''
4
''
5
''
6
''
1
'''
2
'''
3
''''
4
'''
5
'''
84
Figura 49: Mapa de contorno HETCOR (50 MHz DMSO-d
6
) da substância 13.
H – 2’/ 6’
H – 3’/5’
H - 8
H – 2’’’
H – 1’’
Me a
Me b
C – 2’/6’
C – 2’’’
C – 1’’
C – 3’/5’
C - 8
C –
4
C –
5
C – 2’/6’
H – 2’/6’
C – 3’/5’
H - 3’/5’
C – 8
H - 8
C – 2’’’
H – 2’’’
C – 1’’
H – 1’’
C – 4’’’
Me b
C -5’’’
Me a
H – 2’/ 6’
H – 3’/5’
H - 8
H – 2’’’
H – 1’’
Me a
Me b
C – 2’/6’
C – 2’’’
C – 1’’
C – 3’/5’
C - 8
C –
4
C –
5
C – 2’/6’
H – 2’/6’
C – 3’/5’
H - 3’/5’
C – 8
H - 8
C – 2’’’
H – 2’’’
C – 1’’
H – 1’’
C – 4’’’
Me b
C -5’’’
Me a
2
3
4
5
6
7
8
9
10
O
OH
HO
HO
HO
H
O
O
O
OH
OH
OH
2
'
3
'
4
'
5
'
6
'
1
'
1
''
2
''
3
''
4
''
5
''
6
''
1
'''
2
'''
3
''''
4
'''
5
'''
85
Figura 50; Mapa de contorno
1
Hx
1
H COSY (200 MHz DMSO-d
6
)
da sunbstância 13.
H – 2’ / 6’
H – 3’ / ‘5
H – 1’’’a
H – 2’’’
H – 1’’’b
H – 2’’’
H – 1’’
H – 2’’
H – 2’ / 6’
H -3’ / 5’
H – 2’’’
H – 1’’
H – 2’ / 6’
H – 3’ / ‘5
H – 1’’’a
H – 2’’’
H – 1’’’b
H – 2’’’
H – 1’’
H – 2’’
H – 2’ / 6’
H -3’ / 5’
H – 2’’’
H – 1’’
2
3
4
5
6
7
8
9
10
O
OH
HO
HO
HO
H
O
O
O
OH
OH
OH
2
'
3
'
4
'
5
'
6
'
1
'
1
''
2
''
3
''
4
''
5
''
6
''
1
'''
2
'''
3
''''
4
'''
5
'''
86
Figura 51-a :Espectro de massas de alta resolução da substância 13, obtido com
Ionização elétron Spray (IES) e detecção de íons negativos.
Figura 51-b :Espectro de massas de alta resolução MS/MS do pico 515 (51-a) da
substância 13, obtido com Ionização elétron Spray (IES) e detecção de íons negativos.
aa
bb
87
Figura 51-c :Espectro de massas de alta resolução MS/MS do pico 399 (51-a) da
substância 13, obtido com Ionização elétron Spray (IES) e detecção de íons negativos.
CC
88
Derivado 13a (3,4’-dimetoxi-5-hidroxi-6-prenil-7-O-glicosil–flavona
A substância 13 foi submetida à reação de metilação com diazomento gerando a
substância 13a. No seu espectro de RMN
1
H são observados os mesmos sinais de 13 além dos
sinais em δ
H
3,87 e 3,85 referentes aos grupos metila adicionados pela reação. Através deste
derivado foi possível confirmar a localização dos grupos OH livres da flavona e do prenila em
13. Esta confirmação foi feita através de experimento com NOEDIFF com irradiação nos
grupos metoxila (Figura 52-c e 52-d pág-89) que revelou NOE nos hidrogênios H-3’, 5’(3,87
MeO-4’) e no H-2’, 6’(3,85,MeO-3). Isso confirma que os demais substituintes no flavonol
estão localizados no anel A. Outra informação relevante foi o NOE observado no H-1’’ com
irradiação na freqüência do H-8 que confirma a localização do açúcar (Figura 52 pag 89).
2
3
4
5
6
7
8
9
10
O
OH
HO
HO
HO
H
O
O
O
OH
OCH
3
OCH
3
H
2
'
3
'
4
'
5
'
6
'
1
'
1
''
2
''
3
''
4
''
5
''
6
''
1
'''
2
'''
3
''''
4
'''
5
'''
89
Figura 52: espectro de RMN-NOEDIFF (200 MHz DMSO-d
6
) da substancia 13a
2
3
4
5
6
7
8
9
10
O
OH
HO
HO
HO
H
O
O
O
OH
OCH
3
OCH
3
H
2
'
3
'
4
'
5
'
6
'
1
'
1
''
2
''
3
''
4
''
5
''
6
''
1
'''
2
'''
3
''''
4
'''
5
'''
nOe
H – 2’,6’
H – 3’,5’
H - 8
Meo4’
Meo-3’
H-1’’
OH
H-8
H-1’’
Meo-4’
H-3’,5’
Meo-3
H-2’,6’
a
b
c
d
H – 2’,6’
H – 3’,5’
H - 8
Meo4’
Meo-3’
H-1’’
OH
H-8
H-1’’
Meo-4’
H-3’,5’
Meo-3
H-2’,6’
H – 2’,6’
H – 3’,5’
H - 8
Meo4’
Meo-3’
H-1’’
OH
H-8
H-1’’
Meo-4’
H-3’,5’
Meo-3
H-2’,6’
a
b
c
d
90
Derivado 13b (3, 5, 4’,2’’,3’’,4’’,6’’-heptaacetil-6-prenil-7-O-glicopiranosil-flavona)
A substância 13 foi submetida a reação de acetilação com piridina e anidrido acético
produzindo o derivado acetilado 13b. O espectro de RMN
1
H (200MHz) apresentou além dos
demais sinais sete sinais dos grupos acetoxilas (Figura 53 pág-90) revelando a reação nos
grupos hidroxilas aromáticos e do açúcar.
Considerando que este derivado é novo utilizaram-se de modelos de estruturas
semelhantes (Mod-2, Mod- 3 e Mod-4) (SILVA, 2002; BASTOS et al., 2002)(Figura 55 pag-
92) para comparar os dados de RMN
13
C e fazer as atribuições dos deslocamentos químicos
registrados no espectro (Figura 56 pág-93) conforme mostrado na tabela.12 Pág-92
Figura 53: Espectro de RMN
1
H (200 MHz DMSO-d
6
) da substância 13b
2
3
4
5
6
7
8
9
10
O
OAc
AcO
AcO
AcO
H
O
O
O
OAc
OAc
OAc
H
2
'
3
'
4
'
5
'
6
'
1
'
1
''
2
''
3
''
4
''
5
''
6
''
1
'''
2
'''
3
''''
4
'''
5
'''
H-2’,6’
H-3’,5’
H
-
8
H- 1’’’
Me-5
Me-4
Acetoxilas
H-2’’’
H-1’’
H-3’’
H
-
6
H-2’’, 4’’, 3’’
H-2’,6’
H-3’,5’
H
-
8
H- 1’’’
Me-5
Me-4
Acetoxilas
H-2’’’
H-1’’
H-3’’
H
-
6
H-2’’, 4’’, 3’’
91
Figura 54 Espectro de RMN 1H (200 MHz DMSO-d
6
) expansão da região entre 2,7-
1,0 ppm da substância 13b.
O
Ac
O
A
c
OAc
OAc
O
A
c
OAc
Me-5
Me-4
O
A
c
2
3
4
5
6
7
8
9
10
O
OAc
AcO
AcO
AcO
H
O
O
O
OAc
OAc
OAc
H
2
'
3
'
4
'
5
'
6
'
1
'
1
''
2
''
3
''
4
''
5
''
6
''
1
'''
2
'''
3
''''
4
'''
5
'''
O
Ac
O
A
c
OAc
OAc
O
A
c
OAc
Me-5
Me-4
O
A
c
O
Ac
O
A
c
OAc
OAc
O
A
c
OAc
Me-5
Me-4
O
A
c
2
3
4
5
6
7
8
9
10
O
OAc
AcO
AcO
AcO
H
O
O
O
OAc
OAc
OAc
H
2
'
3
'
4
'
5
'
6
'
1
'
1
''
2
''
3
''
4
''
5
''
6
''
1
'''
2
'''
3
''''
4
'''
5
'''
92
Figura 55:Modelos para atribuição dos dados de RMN
13
C do derivado acetilado
(13b).
Tabela 12 Tabela de dados de RMN
13
C e
1
H de 13b comparados com dados de
RMN
13
C de modelos da literatura (SILVA 2002; BASTOS et al., 2002)
Modelo 2 Modelo 3 Derivado 13b
C
δ
C
δ
C
δ
C
δ
H
2 154,0 144,0 148,0 -
3 133,7 134,0 133,7 -
4 170,1 170,0 170,1 -
5 152,0 150,0 154,3 -
6 108,0 114,0 120,5 -
7 163,8 154,0 155,8 -
8 98,8 109,0 98,4 7,01 (s)
9 158,2 157,0 158,8 -
10 111,1 114,9 112,5 -
1’ 127,0 127,4 127,2 -
2’,6’ 129,5 - 129,5 7,82 (d, J=8,0 Hz)
3’,5’ 121,9 - 122,0 7,26 (d, j= 8,0 Hz)
4’ 150,7 - 152,7 -
*1’’ 95,8 100,8 5,23 (sl)
*2’’ 70,3 70,9 5,0 (m)
*3’’ 72,2 72,5 5,0 (m)
*4’’ 68,2 68,0 5,0 (m)
*5’’ 72,3 72,5 4,0 (m)
*6’’ 61,7 62,0 4,23 (s)
1’’’ 29,7 3,29 (d J= 8,0 Hz)
2’’’ 123,1 5,36 (m)
3’’’ 128,8 -
4’’’ 25,6 1,64 (s)
5’’’ 17,9 1,77 (s)
OCOCH
3
167,9-169,4
OCOCH
3
20,6-21,2
O
O
O
3
HCO
O
O
O
O
O
Mod-2
O
O
O
O
O
R
O
O
O
O
O
7
2
61
,
7
68
,
2
72
,
2
70
,
3
Mod-4*
O
O
O
O
O
O
O
O
O
O
O
O
Mod-3
O
O
O
3
HCO
O
O
O
O
O
Mod-2
O
O
O
3
HCO
O
O
O
O
O
Mod-2
O
O
O
O
O
R
O
O
O
O
O
7
2
61
,
7
68
,
2
72
,
2
70
,
3
Mod-4*
O
O
O
O
O
R
O
O
O
O
O
7
2
61
,
7
68
,
2
72
,
2
70
,
3
Mod-4*
O
O
O
O
O
O
O
O
O
O
O
O
Mod-3
O
O
O
O
O
O
O
O
O
O
O
O
Mod-3
93
Figura 56 : Espectro de RMN
13
C (BBD 50 MHz CDCl
3
) do derivado 13b.
OCOCH
3
C-9
C
-
7
C-5
C-4’
C-2
C-3
C-2’,5’
C-3’’’
C
-
1
C-2’’’
C-3’, 5’
C
-
6
C-10
C-1’’
C-8
C-3’’,5’’
C-2’’
C-4’’
C-6’’
C
-
1
’’’
C-4’’’
C
-
5
OCOCH
3
OCOCH
3
C-9
C
-
7
C-5
C-4’
C-2
C-3
C-2’,5’
C-3’’’
C
-
1
C-2’’’
C-3’, 5’
C
-
6
C-10
C-1’’
C-8
C-3’’,5’’
C-2’’
C-4’’
C-6’’
C
-
1
’’’
C-4’’’
C
-
5
OCOCH
3
2
3
4
5
6
7
8
9
10
O
OAc
AcO
AcO
AcO
H
O
O
O
OAc
OAc
OAc
H
2
'
3
'
4
'
5
'
6
'
1
'
1
''
2
''
3
''
4
''
5
''
6
''
1
'''
2
'''
3
''''
4
'''
5
'''
94
Quadro-3 - Constituintes químicos isolados das folhas de Ouratea
cuspidata St. Hil
R
1
HO
R
15: R = Me, R
1
= H
16: R = H , R
1
= Me
HO
14
O
OOH
H
O
OH
O
O
HO
OH
OH
17
O
OH O
O
OH O
OCH
3
OH
CH
3
O
HO
18
O
O
OH
OCH
3
OCH
3
HO
OH
19
HO
2 :
22, 23
3 : 22, 23-
diidro
22
23
Derivados obtidos a partir da substância 17
O
OH O
O
OH O
OCH
3
OCH
3
CH
3
O
CH
3
O
7
4
'
7
''
4
'' '
3
'
8
''
2
'
2
3
4
5
6
8
9
10
1
'
5
'
6
'
2
''
3
''
4
''
5
''
6
''
9
''
10
''
1
'' '
3
'' '
5
'' '
6
'' '
2
'' '
17a
O
O
O
O
O
O
O
O
O
O
O
O
O
O
O
O
17b
R
1
HO
R
15: R = Me, R
1
= H
16: R = H , R
1
= Me
HO
14
HO
14
O
OOH
H
O
OH
O
O
HO
OH
OH
17
O
OOH
H
O
OH
O
O
HO
OH
OH
17
O
OH O
O
OH O
OCH
3
OH
CH
3
O
HO
18
O
OH O
O
OH O
OCH
3
OH
CH
3
O
HO
18
O
O
OH
OCH
3
OCH
3
HO
OH
19
O
O
OH
OCH
3
OCH
3
HO
OH
19
HO
2 :
22, 23
3 : 22, 23-
diidro
22
23
Derivados obtidos a partir da substância 17
O
OH O
O
OH O
OCH
3
OCH
3
CH
3
O
CH
3
O
7
4
'
7
''
4
'' '
3
'
8
''
2
'
2
3
4
5
6
8
9
10
1
'
5
'
6
'
2
''
3
''
4
''
5
''
6
''
9
''
10
''
1
'' '
3
'' '
5
'' '
6
'' '
2
'' '
17a
O
OH O
O
OH O
OCH
3
OCH
3
CH
3
O
CH
3
O
7
4
'
7
''
4
'' '
3
'
8
''
2
'
2
3
4
5
6
8
9
10
1
'
5
'
6
'
2
''
3
''
4
''
5
''
6
''
9
''
10
''
1
'' '
3
'' '
5
'' '
6
'' '
2
'' '
17a
O
O
O
O
O
O
O
O
O
O
O
O
O
O
O
O
17b
O
O
O
O
O
O
O
O
O
O
O
O
O
O
O
O
17b
95
Identificação dos constituintes isolados das folhas de Ouratea cuspidata. St
Hil
.
Substâncias 14, 15 e 16 Lupeol, α-amirina, β-amirina.
As estruturas dos três componentes da mistura foram definidas pela interpretação do
espectro de RMN
1
H (Figura 57, pág 95), reconhecendo-se a presença dos sinais
correspondentes aos grupos metila ligados a carbono sp
3
em δ
H
0,76 – 1,10 e sp
2
δ
H
1,65.
Sinais de hidrogênio carbinólicos metínicos em δ
H
3,24 ( dd J= 10,0 Hz e J= 7,2 Hz, Hβ-3) e
de hidrogênios olefinicos em δ
H
5,15 (m H–12 de 16), 5,10 (m, H–12 de 15), 4,65 (d, J=
2,2Hz H–29a de 14) e 4,54 (d, J= 1,28 Hz H–29b de 14). A analise dos dados espectrais e a
comparação com amostra padrão da mistura em CCDA e com espectros dessa mistura
isolados de outras espécies vegetais como Luxemburgia nobilis (OLIVEIRA 2000); e
Parahancornia amapá (VELLOSO, 1998) permitiu identificar os três isômeros triterpênicos
da mistura como sendo Lupeol (14), α-amira (15) e β-amirina (16).
Figura 57; Espectro de RMN
1
H (200MHz, CDCl
3
) das substância 14, 15, e 16
Lupeol, α-amirina, β-amirina.
H – 29b (14)
H
2
9
a
(
1
4
)
H -3
H – 12 (16)
H 12 (15)
19
18
17
16
15
14
13
12
11
10
9
8
7
6
5
4
3
2
1
20
21
22
2324
25
26
28
29
HO
27
30
14
1
2
3
4
5
6
7
8
9
10
11
12
13
14
15
16
17
18
19
R
1
HO
R
27
29
28
26
25
24
23
22
21
20
15: R = Me, R
1
= H
16: R = H , R
1
= Me
H – 29b (14)
H
2
9
a
(
1
4
)
H -3
H – 12 (16)
H 12 (15)
H – 29b (14)
H
2
9
a
(
1
4
)
H -3
H – 12 (16)
H 12 (15)
19
18
17
16
15
14
13
12
11
10
9
8
7
6
5
4
3
2
1
20
21
22
2324
25
26
28
29
HO
27
30
14
1
2
3
4
5
6
7
8
9
10
11
12
13
14
15
16
17
18
19
R
1
HO
R
27
29
28
26
25
24
23
22
21
20
15: R = Me, R
1
= H
16: R = H , R
1
= Me
96
Substância 17 (Amentoflavona)
A fração contendo essa substância apresentou-se como um sólido amorfo amarelado
cuja revelação em CCDA com AlCl
3
foi compatível com flavonóide. O espectro de RMN
1
H
(Figura 58 pág-98), apresentou dois sinais simples referentes a grupos hidroxila quelados (δ
H
13,16 e 12, 99) sinais indicativos de biflavonóides (VELANDIA, 2002). Essas observações
permitiram fazer a análise dos espectros direcionando as conclusões para o dímero Na região
de hidrogênios em anel aromáticos foi observado os sinais: em δ
H
8,12 (d, J= 2,2 Hz, H–2’);
8,02 (dd, J= 2,2 e 8,4 Hz H – 6’) e 7,23 (d, J= 8,4 Hz, H–5’) compatíveis com um sistema
ABC de um anel B com 3’, 4’ quaternário de um flavonóide; δ
H
em 7,64 (d, J= 8,8 Hz H–2’’’
e 6’’’); 6,82 (d, J= 8,8 Hz, H–3’’’ e 5’’’) característico de um anel para substituido, δ
H
6,51
(d, J= 2,0 Hz H–8), 6,22 (d, J= 2,0 Hz H–6) indicando um sistema de hidrogenios em anel
aromático com acoplamento meta; e δ
H
6,72 (s, H–3’’); 6,65 (s, H–3), 6,43 (s, H–6’’)
surgerindo indicar que a substância 17 possui duas unidades de flavonas cuja ligação entre as
unidades envolve um carbono do anel A. O valor dos deslocamentos químicos do H-2’ (8,12)
e a ausência de um sinal compatível para H-8 permitiu pensar em uma estrutura do grupo das
amentoflavonas (SUZART et al., 2007; VELANDIA et al., 2002)
O espectro de RMN
13
C ( BBD) (figura 59 Pág-99) mostrou 30 sinais de carbonos
dentre os quais foi possível observar os carbonos metínicos do sistema de acoplamento meta
no anel A de flavonoide δc 94,49 (C–8), δc 99,43 (C–6); carbonos metínicos do sistema
AA’BB’ δc 116,38 (C–3’’’ e C–5’’’), δc 129,09 (C–2’’’ e C–6’’’). O sinal de CH em 101,40
(C-6’’) esta de acordo com dados de amentoflavonas. Além dos sinais para as duas carbonilas
conjugadas δc 183,16 e 182,77.
A ligação interflavonoídica pôde ser confirmada através do deslocamento
químico do C-3’ que, quando comparado com o da apigenina {
δ
C: 120,54 (17) 116,09
(apg.) = 4,45} apresentou deslocamento para campo mais baixo por estar mais desprotegido.
Logo envolvido na ligação com a outra unidade de flavonóide. Esta dedução confirma a
observação acima com referencia ao δ
H
-2’. OH–6’’ apresenta-se como um sinal simples não
ocorrendo o acoplamento meta com o H–8’’ como foi observado para outra unidade.
Comparando o deslocamento químico do C–8’’ com o da apigenina constata-se que C–8’’
também esta mais desprotegido{
δC
C: 105,19 (17) 95 (apg.) = 11,19}. Estas observações
surgerem a ligação entre os dímeros estar ocorrendo entre C–3’ de uma apigenina com o C–
8’’ da outra unidade. As observações acima juntamento com a comparção dos valores de
deslocamentos químicos de carbono com valores descritos na literatura (VELANDIA et. al.
2002) e comparação com amostra padrão em CCDA confirma que a substância 17 é o
biflavonóide amentoflavona.
Considerando que apenas a comparação de dados de RMN pode acarretar em erro
sempre que possível deve-se preparar derivados para confirmar a proposta. Por isso preparou-
se dois derivados17a.e 17b.
O
OH
H
O
OH O
116
,
09
94
,
00
8
3
'
Apigenina
O
O
HO
OH
O
O
OH
HO
OH
OH
120
,
54
116
,
3
8
6
6
''
3
'
105
,
19
substância
17
97
Tabela 13: Dados de RMN
1
H e
13
C (200 MHz , 50 MHz D
3
CCOCD
3
) da substância
amentoflavona (17).
C
δc δ
H
VELANDIA et al, 2002
2 164,78 - 165,12
3 103,38 6,65 (s) 103,78
4 182,77 - 183,47
5 162,33 - 162,83
6 99,43 6,22 (d, J= 2,0 Hz) 99,75
7 161,51 - 163,37
8 94,49 6,51 (d, J= 2,0 Hz) 94,81
9 155,81 - 156,15
10 105,04 - 105,38
1’ 122,97 - 123,31
2‘ 132,64 8,12 (d, J= 2,2 Hz) 132,61
3’ 120,54 - 120,90
4’ 158,54 - 158,51
5’ 117,17 7,23 (d, J= 8,8 Hz) 117,53
6’ 128,54 8,02 (dd, J= 8,8 3 2,2Hz) 128,83
2’’ 164,57 - 165,12
3’’ 103,92 6,72 (s) 104,32
4’’ 183,16 - 183,08
5’’ 162,15 - 162,66
6’’ 101,40 6,43 (s) 99,80
7’’ 163,02 - 164,91
8’’ 105,19 - 104,44
9’’ 159,99 - 160,30
10’’ 105,19 - 105,56
1’’’ 123,03 - 123,41
2’’’/6’’’ 129,09 7,64 (d, J= 8,8 Hz) 129,14
3’’’/5’’’ 116,28 6,82 (d, J= 8,8 Hz) 116,73
4’’’ 162,48 - 161,83
OH 13,16
OH 12,99
O
OOH
HO
OH
O
O
HO
OH
OH
98
Figura 58 Espectro de RMN
1
H (200 MHz, CD
3
COCD
3
) da substância amentoflavona
(17).
H - 6
H – 2’
H -6’
H – 2’’’/6’’
H
5
H 3’’’/5’’’
H -3’’
H -3
H - 8
H – 6’’
OH
OH
H - 6
H – 2’
H -6’
H – 2’’’/6’’
H
5
H 3’’’/5’’’
H -3’’
H -3
H - 8
H – 6’’
OH
OH
O
OOH
HO
OH
O
O
HO
OH
OH
99
Figura 59: Espectro de RMN
13
C (200 Mhz, CD
3
COCD
3
) da substância
amentoflavona (17).
100
Derivado 17a (Tetrametilamentoflavona)
O produto 17a foi obtido da reação de metilação com diazometano da substância
amentoflavona (17). Esta reação incorpora diazometano nas hidroxilas livres e fazendo-se a
análise dos espectros confirma-se o padrão de substituição e a conexação entre as unidades.
O espectro de RMN
1
H (Figura 60 Pag-102) do derivado metilado 17a, mostra dois
sinais em campo baixo δ
H
13,11 e 12, 79 indicando a presença de dois grupos hidroxilas
quelados, além de 4 sinais simples δ
H
3,87, 3,85, 381, 3,80 correspondentes as metilações das
hidroxilas livres 7, 4’, 7’’ e 4’’’. O mapa de contorno HMQC (Figura 62,Pág-103) da
substância 17a mostra correlação para 12 carbonos sp
2
(CH) (Tabela 14 Pag-101). Os
carbonos quaternários tiveram seus deslocamentos determinados através da análise do mapa
de contorno HMBC (Figura 65, 64 Pag-105, 106) mostrando seus acoplamentos
.
O mapa de
contorno (Figura 65 Pag-106)
1
Hx
1
H-COSY apresenta os acoplamentos do sistema AA’BB’
(H–2’’’ e 6’’’ com H–3’’’ e 5’’’) e acoplamento do sistema ABC H–6’ com H–5’.
As posições das metoxilas foram definidas por meio do mapa de contorno NOESY
(Figura 67 pag-108) onde é observado nOe entre a MeO-7’’ (δ
H
3,87) com H–6’’ (δ
H
6,44) ;
entre Meo-7 (δ
H
3,85) com H–6 e H–8 entre Meo-4’ (δ
H
3,81) com H–5’ e entre Meo-4’’’ δ
H
3,80 com H–3’’’ e 5’’’ . Esses dados permitiram definir os deslocamentos químicos dos
hidrogênios de cada metoxila e com a análise do espectro HMBC definiu-se os δ
C
dos
carbonos C-7; 7’’; 4’ e 4’’’. Outra confirmação obtida deste experimento é a conexão C-
3’C-8’’ devido ao nOe no H-5’ e MeO 4’. Se esta metoxila estivesse em 3’ daria nOe no H-
2’. Além do nOe no H-6’’ gerado pela MeO-7’’; o acoplamento a três ligações entre o H-5’
(δ
H
7,17)e o C-3’ (δ
C
122,0) e entre H-6’’ e C-8’’(HMBC, Figura 64 Pag-105) confirma a
ligação das unidades de flavona através dos C-3’ e 8’’. A tabela 14 pág-101 mostra a
completa atribuição dos dados de RMN
1
H e
13
C de 17a. Os valores dos deslocamentos
químicos dos carbono C–5’, C–6, C–6’’, C–8, C–8’’ C–3’’’ e 5’’’ que estão em posição orto
às metoxilas possuem deslocamentos químicos menores do que os respectivos carbono de 17.
Nesses casos ocorre a proteção gama das metoxilas 4’, 7, 7’’, 4’’’sobre esses núcleos. Esse
derivado está registrado na literatura, (VELANDIA, et al 2002).
101
Tabela 14; Dados de RMN
1
H (500 MHz),
13
C (125 MHz) 1D e 2D da substância 17a
(CDCl
3
).
C
δc
a
δ
H
HMBC
b
H xH cosy NOESY
2
J
ch
3
J
ch
2 163,9 - H - 3
3 103,7 6,61 (s)
4 183,0 - H - 3
5 ? -
6 98,1 6,37 (d,J= 1,85Hz) Meo-7
7 165,9 - Meo-7
MeO-7 ? 3,85 (s) H-6 / H-8
8 93,1 6,44 (d, J=1,85Hz) Meo-7
9 ?
10 105,1 H-3
1’ 123,6 H-3
2’ 131,2 7,88 (s)
3’ 122,5 - H-5’
4’ 161,0 - MeO-4’
MeO-4’ ? 3,81 (s) H-5’
5’ 111,2 7,17 (d, J= 8,8Hz) H-6’ MeO-4’
6’ 129,0 7,98 (dd, J= 1,8/6,6Hz) H-5’
2’’ 164,1 - H-3’’ H-2’’’/6’’’
3’’ 104,9 6,64 (s)
4’’ 182,5 H-3’’
5’’ ?
6’’ 95,6 6,54 (s) MeO-7’’
7’’ 163,0 MeO-7’’
MeO-7’’ ? 3,87 (s) H-6’’
8’’ 104,9 H-6’’
9’’ ?
10’’ 105,9 H-3’’ /H-6’’
1’’’ 123,3 H-3’’
2’’’/6’’’ 129,0 7,48 (d, J= 8,8Hz) H-3’’’/5’’’
3’’’/5’’’ 114,8 6,84 (d, J= 8,8Hz) H-2’’’/6’’’ MeO-4’’’
4’’’ 162,8 H-3’’’/5’’’ MeO-4’’’
MeO-4’’’ ? 3,80 (s) H-3’’’/5’’’
Aguardando espectro da região que fornece esses valores.
O
OH O
O
OH O
OCH
3
OCH
3
CH
3
O
CH
3
O
7
4
'
7
''
4
'''
3
'
8
''
2
'
102
Figura 60: Espectro de RMN
1
H (500 MHz CDCl
3
) substância (17a).
Figura 61: Expanção do espectro de RMN
1
H (500MHz CDCl
3
) substância
tetrametilamentoflavona (17a) entre 6,5 a 8,5ppm.
H -6’
H -2’
H -2’’’/6’’’
H -5’
H -3’’’/5’’’
H – 3’’
H - 3
H -6’’
H -8
H -6
7
4
'
7
''
4
'''
3
'
8
''
2
'
OCH
3
OCH
3
CH
3
O
CH
3
O
O
OH O
O
OH O
H -6’
H -2’
H -2’’’/6’’’
H -5’
H -3’’’/5’’’
H – 3’’
H - 3
H -6’’
H -8
H -6
7
4
'
7
''
4
'''
3
'
8
''
2
'
OCH
3
OCH
3
CH
3
O
CH
3
O
O
OH O
O
OH O
103
Figura 62: Mapa de contorno RMN 2D HMQC
(500 MHz CDCl
3
) ampliado em 6,3 –
8,0 ppm da substância 17a
H - 6
H - 8
H – 6’’
H - 3
H – 3’’
H – 3’’’/5’’’
H – 5’
H – 2’’’/6’’’
H – 2’
H – 6’
H – 6
C - 6
H – 8
C - 8
H – 6
C – 6
H – 3
C – 3
H – 3
C - 3
H 3’’’/5’’’
C 3’’’/5’’’
H – 5
C – 5
H 2’’’/6’’’
C 2’’’/6’’’
H -2’
C -2’
H -6’
C -6’
H - 6
H - 8
H – 6’’
H - 3
H – 3’’
H – 3’’’/5’’’
H – 5’
H – 2’’’/6’’’
H – 2’
H – 6’
H – 6
C - 6
H – 8
C - 8
H – 6
C – 6
H – 3
C – 3
H – 3
C - 3
H 3’’’/5’’’
C 3’’’/5’’’
H – 5
C – 5
H 2’’’/6’’’
C 2’’’/6’’’
H -2’
C -2’
H -6’
C -6’
O
OH O
O
OH O
OCH
3
OCH
3
CH
3
O
CH
3
O
7
4
'
7
''
4
'''
3
'
8
''
2
'
2
3
4
5
6
8
9
10
1
'
5
'
6
'
2
''
3
''
4
''
5
''
6
''
9
''
10
''
1
'''
3
'''
5
'''
6
'''
2
'''
104
Figura 63: Mapa de contorno RMN 2D de HMBC (500MHz CDCl
3
) ampliado em
6,5–7,5 ppm da substância tetrametilamentoflavona 17a.
O
OH O
O
OH O
OCH
3
OCH
3
CH
3
O
CH
3
O
7
4
'
7
''
4
'''
3
'
8
''
2
'
2
3
4
5
6
8
9
10
1
'
5
'
6
'
2
''
3
''
4
''
5
''
6
''
9
''
10
''
1
'''
3
'''
5
'''
6
'''
2
'''
H - 8
H – 6’’
H - 3
H – 3’’
H – 3’’’/5’’’
H – 5’
H – 2’’’/6’’’
H–6
C–7
H -3
C - 2
H – 3
C – 2
H 3’’’/5’’’
C 4’’’
H – 3
C – 4
H – 3
C - 4
J
3
H 2’’’/6’’’
C – 2’
H - 8
H – 6’’
H - 3
H – 3’’
H – 3’’’/5’’’
H – 5’
H – 2’’’/6’’’
H–6
C–7
H -3
C - 2
H – 3
C – 2
H 3’’’/5’’’
C 4’’’
H – 3
C – 4
H – 3
C - 4
J
3
H 2’’’/6’’’
C – 2’
105
Figura 64: Mapa de contorno RMN 2D de HMBC (500MHz CDCl3) ampliado em 6,5
– 7,3 ppm da substância tetrametilamentoflavona (17a).
H - 8
H – 6’’
H
-
3
H – 3’’
H – 5’
H – 3’’’/5’’’
H – 6
C – 8
H -6
C – 10
H – 3
C - 10
H – 3
C -10’
H -3
C – 1
H – 3
C 1 ’’’
H – 5
C – 3
H - 8
H – 6’’
H
-
3
H – 3’’
H – 5’
H – 3’’’/5’’’
H – 6
C – 8
H -6
C – 10
H – 3
C - 10
H – 3
C -10’
H -3
C – 1
H – 3
C 1 ’’’
H – 5
C – 3
O
OH O
O
OH O
OCH
3
OCH
3
CH
3
O
CH
3
O
7
4
'
7
''
4
'''
3
'
8
''
2
'
2
3
4
5
6
8
9
10
1
'
5
'
6
'
2
''
3
''
4
''
5
''
6
''
9
''
10
''
1
'''
3
'''
5
'''
6
'''
2
'''
106
Figura 65: Mapa de conotorno de HxH COSY (500 MHz, CDCl
3
) da substância 17a.
H
6
H – 2’
H – 2’’’/6’’’
H – 5’
H -3’’’/5’’’
H – 6’
H – 5’
H – 5’
H – 6’
H 2’’’/6’’’
H 3’’’/6’’’
H 3’’’/5’’’
H 2’’’/6’’’
H
6
H – 2’
H – 2’’’/6’’’
H – 5’
H -3’’’/5’’’
H – 6’
H – 5’
H – 5’
H – 6’
H 2’’’/6’’’
H 3’’’/6’’’
H 3’’’/5’’’
H 2’’’/6’’’
O
OH O
O
OH O
OCH
3
OCH
3
CH
3
O
CH
3
O
7
4
'
7
''
4
'''
3
'
8
''
2
'
2
3
4
5
6
8
9
10
1
'
5
'
6
'
2
''
3
''
4
''
5
''
6
''
9
''
10
''
1
'''
3
'''
5
'''
6
'''
2
'''
107
Figura 66 Mapa de contorno de RMN-2D HMBC (500 MHz, CDCl3) ampliado em
3,7 – 4,0 ppm. Da substância 17a.
MeO-4’’’
MeO-4
MeO-7
MeO-7’’
M e O -4 ’’’
C 4 ’’’
MeO-4
C – 4
161,0
162,8
165,9
163,0
MeO- 7
C - 7
MeO- 7
C – 7
MeO-4’’’
MeO-4
MeO-7
MeO-7’’
M e O -4 ’’’
C 4 ’’’
MeO-4
C – 4
161,0
162,8
165,9
163,0
MeO-4’’’
MeO-4
MeO-7
MeO-7’’
M e O -4 ’’’
C 4 ’’’
MeO-4
C – 4
161,0
162,8
165,9
163,0
MeO- 7
C - 7
MeO- 7
C – 7
O
OH O
O
OH O
OCH
3
OCH
3
CH
3
O
CH
3
O
7
4
'
7
''
4
'''
3
'
8
''
2
'
2
3
4
5
6
8
9
10
1
'
5
'
6
'
2
''
3
''
4
''
5
''
6
''
9
''
10
''
1
'''
3
'''
5
'''
6
'''
2
'''
108
Figura 67: Mapa de cotrono RMN 2D NOESY (500 MHz, CDCl
3
) ampliado em 3,7 –
4,0 ppm da substância 17a
H - 6
H - 8
H – 6’’
H - 3
H – 3’’
H – 3’’’/5’’’
H – 5’
MeO-7
H - 6
MeO-7
H - 8
MeO- 4’’’
H – 3’’’/5’’’
MeO-4
H – 5’
Meo-7’’
H – 6’’
MeO -4’’’
MeO- 4’
MeO-7
MeO- 7’’
H - 6
H - 8
H – 6’’
H - 3
H – 3’’
H – 3’’’/5’’’
H – 5’
MeO-7
H - 6
MeO-7
H - 8
MeO- 4’’’
H – 3’’’/5’’’
MeO-4
H – 5’
Meo-7’’
H – 6’’
MeO -4’’’
MeO- 4’
MeO-7
MeO- 7’’
O
OH O
O
OH O
OCH
3
OCH
3
CH
3
O
CH
3
O
7
4
'
7
''
4
'''
3
'
8
''
2
'
NOE
109
Derivado 17b. (Amentoflavona Peracetilada).
O derivado 17b foi obtido através da reação de acetilação da substância 17 com
piridina e anidrido acético. A analise do espectro de RMN
1
H do derivado 17b (Figura 68
Pág-111) quando comparado com o da substância 17 foram observados desaparecimento dos
singletes δ
H
13,16 e 12,99 e surgimento de sinais adicionais nas freqüências 2,45; 2,40; 2,28;
2,23; 2,05; 2,01 ppm referentes aos grupos acetoxilas incorcoparados à molécula. O espectro
de RMN
13
C (Figuara 69 pág-111) mostra deslocamento químico referentes as carbonilas do
grupo acetato na região entre 169,4-167,9 e 21,08-20,59 para as metilas desse grupo. São
também observado diferenças acentuadas em alguns deslocamentos químicos de carbono que
são compatíveis com as alterações eletrônicas provocadas pela conversão dos grupos hidroxila
em grupos acetoxila (Figuara 70 pág-112.) (CARVALHO, et al., 1993).
Os dados espectrais fornecidos pelos espectros de RMN
1
H e
13
C do derivado 17b
confirmam a estrutura e as atribuições do δ
H
e δ
C,
de
17. Considerando-se obviamente as
modificações previstas com base nos efeitos eletrônicos e estéricos incorporados pela
derivação. Os deslocamentos químicos de carbonos do derivado 17b foram atribuídos com
base nos valores descritos na literatura (VELANDIA et al., 1997, 2002).
O
O
O
O
O
O
O
O
O
O
O
O
O
O
O
O
110
Tabela 15 Dados de RMN
1
H e
13
C (200 e 50 MHz CDCl
3
) do derivado 17b
comparado com valores de RMN
1
H e
13
C (400 e 100 MHz CDCl
3
) da literatura
(VELANDIA et al, 2002)
Derivado 17b
(VELANDIA et al, 2002
C
δC δH δ
C
2 161,0 161,0
3 108,81 6,64(s) 108,86
4 176,22 - 176,16
5 150,14 - 150,20
6 113,93 6,75 113,96
7 154,11 - 154,13
8 109,08 7,46 109,09
9 157,54 - 157,57
10 114,78 - 114,91
1’ 127,88 - 128,78
2’ 129,88 8,04 (m) 129,92
3’ 125,0 - 125,05
4’ 151,90 - 151,41
5’ 123,91 6,98 (d) 123,94
6’ 127,30 8,04 (m) 127,89
2’’ 161,66 - 161,66
3’’ 108,20 6,66 (s) 108,24
4’’ 176,22 - 176,34
5’’ 150,14 - 149,97
6’’ 115,24 6,989 (sl) 114,91
7’’ 151,90 - 151,93
8’’ 117,02 - 117,06
9’’ 155,11 - 155,11
10’’ 115,24 115,29
1’’’ 127,88 128,19
2’’’,6’’’ 127,30 7,48 (d) 127,32
3’’’,5’’’ 122,42 7,06 (d) 122,45
4’’’ 153,32 - 153,36
OCOCH
3
169-167,9 - 169-167,9
OCOCH
3
21,.08-20,59 2,01-2,45
O
O
O
O
O
O
O
O
O
O
O
O
O
O
O
O
111
Figura 68 Espectro de RMN
1
H (200 MHz, CDCl
3
) do derivado 17b.
Figura 69 Espectro de RMN
13
C (BBD, 50 MHz CDCl
3
) do derivado 17b.
H-2’,6’
H-2’’’,6’’’
H-8
3’’’,5’’’
H-5’
H-6
H-3’’
H-3
Acetoxilas
O
O
O
O
O
O
O
O
O
O
O
O
O
O
O
O
H-2’,6’
H-2’’’,6’’’
H-8
3’’’,5’’’
H-5’
H-6
H-3’’
H-3
Acetoxilas
O
O
O
O
O
O
O
O
O
O
O
O
O
O
O
O
OCOCH
3
OCOCH
3
O
O
O
O
O
O
O
O
O
O
O
O
O
O
O
O
OCOCH
3
OCOCH
3
O
O
O
O
O
O
O
O
O
O
O
O
O
O
O
O
112
Figura 70 Expansão do espectro de RMN
13
C (BBD, 50 MHz CDCl
3
) do derivado
17b. Entre a região 105-180 ppm.
4,4’’
OCOCH
3
2’’
2(161,0)
9
9’’(155,11)
7
4’’’
7’’,4’
5, 5’’
2’
1’, 1’’’
6’, 2’’’,6’’’
3’(125,0)
5’
3’’’, 5’’’
8’’ 6’’
10
6
8
3’’
3
O
O
O
O
O
O
O
O
O
O
O
O
O
O
O
O
4,4’’
OCOCH
3
2’’
2(161,0)
9
9’’(155,11)
7
4’’’
7’’,4’
5, 5’’
2’
1’, 1’’’
6’, 2’’’,6’’’
3’(125,0)
5’
3’’’, 5’’’
8’’ 6’’
10
6
8
3’’
3
O
O
O
O
O
O
O
O
O
O
O
O
O
O
O
O
113
Substância 18 (Putraflavona)
O espectro de RMN
1
H (Figura 71 Pág-115) da substância 18 mostra dois sinais
singletos em δ
H
13,07 e δ
H
12,97 correspondentes a hidroxilas queladas. Na região de
hidrogênios em aneis aromáticos foram observados três sinais em δ
H
8,06 (m, H–2’ e 6’), e
7,17 (d, J= 9,1 Hz, H–5’) de um anel B trissubstituido. Os sinais em δ
H
7,68 (d, J= 8,7 Hz, H–
2’’’ e 6’’’); 6,93 (d, J= 8,7 Hz H–3’’’e 5’’’) para um sistema AA’BB’e os sinais em δ
H
6,76
(d, J= 1,9 Hz H–8); 6,36 (d, J= 1,9 Hz H–6) de dois hidrogênios meta do anel A de um
flavonóide. Os sinais em δ
H
6,91, 6,90 e 6,40 representam os hidrogênios 3’’, 3, 6’’ das
unidades de flavona. (Figura 72 Pág-116)
O mapa de contorno 2D de
1
Hx
1
H COSY (Figura 73 Pág-117,) mostra os
acoplamentos entre hidrogênios H–5’ com H–6’; H–2’ com H–6’; e do H–2’’’, 6’’’ com H–
3’’’, 5’’’, e do H-6 com H-8. Estas análises confere à substância 18 o mesmo esqueleto que o
da biflavona 17. Diferindo apenas pela presença no espectro de RMN
1
H (Figura 71 pág-115)
de dois sinais simples δ
H
3,82, δ
H
3,75 referentes a grupos metoxila.
O espectro de RMN
13
C (BBD Figura 74 Pág-118) mostra duas carbonilas conjugadas
δc 182,0, δc 181,0; sinais de δ
CH
114,49 (C–3’’’ e 5’’’); 127,99 (C–2’’’ e 6’’’); 92,67 (C–8);
98,08 (C–6); δ
CH3
em 56,05 e 55, 51 para as metoxila.
Os mapas de contorno 2D de HMQC (Figura 77 Pág-120) mostra acoplamento para
12 carbonos metínicos com os respectivos hidrogênios (Tabela 16 Pág-114). A atribuição dos
deslocamentos químicos dos carbonos quaternários foram feitos através da análise dos mapas
de contorno 2D HMBC (
2
J
CH
,
3
J
CH
)
(Figuras 78-82 Págs-,121-125).
A posição de cada hidroxila quelada foi determinada através do mapa de contorno 2D
HMBC (
2
J
CH
) (Fifgura 81 Pag-124) no qual é observado acoplamento a duas ligações entre
δc 161,12 (C-5) com δ
H
12,9 (OH–5); δ
C
160,56 (C–5’’) com δ
H
13,07 (OH–5’’). Os sinais de
acoplamento a longa distância (
3
J
CH
) entre os carbonos 6 (δ
CH
: 98,08) e 10 (104,7) e o (HO-5
e entre HO-5’’ e os carbonos 6’’ (98,91) e C-10’’ (104,22) e (
3
J
CH
) entre δ
H
8,06 (H-2’) com
o C-8’’ (104,22) confirmam a proposta da amentoflavona.(Tabela 16 pág-114) para a
substância 18.
Para definir a posição das metoxilas fez-se análise com experimentos de RMN-
NOEDIFF com irradiação nas metoxilas. Irradiação em 3,75 gerou nOe em 6,36 (H-6) e 6,76
(H-8) e irradiação em 3,85 gerou nOe em 6,93 (H-3’’’,5’’’) (Tabela 17 pág-115). Esses
dados permitiram localizar as metoxilas (δ
H
3,75) em 7 e a metoxila δ
H
3,85 em 4’’’. A tabela
16 pág-114)mostra as atribuições dos demais sinais detectados nos espectros 2D. A estrutura
de 18 ficou assim definida como 7, 4’’’ dimetilamentoflavona sendo conhecida com
putraflavona. Esta substância foi isolada de Putranjiva roxburghii Wall (GARG et al., 1971) e
é a primeira vez que esta sendo registrada no gênero Ouratea os dados de RMN
13
C está
sendo descrito pela primeira vez.
Substâncias semelhantes foram isoladas dos extratos das folhas de Ouratea
semiserrata através do travalho de VELANDIA (1997) que usou as técnicas usuais de
cromatografia de adsorção e o trabalho de Bosso (2004) que além de usar fracionamento
cromatográfico em gel sílica, utilisou a técnica HPLC-DAD, UV e RMN
1
H (incluindo
NOEDIFF) para identificar outros flavonóides não isolados anteriormente com as técnicas
usuais. Estes biflavonóides são: Amentoflavona, 4’-metil-amentoflavona (Podocarpusflavona-
A); 7-metil-amentoflavona (Podocarpusflavona) e 7,4’-dimetil-amentoflavona
(Podocarpusflavona-B), (BOSSO, 2004).
114
Tabela 16: Dados de RMN
1
H e
1
H-
1
H-COSY (500MHz)
13
C (125MHz) e 2D da
substância putraflavona (18) em DMSO-d
6
HMQC HMBC HxH COSY
C
δc δ
H
2
J
CH
3
J
CH
2 164,13 - H-3 H-2’, H-6’
3 103,10 6,90 (s)
4 182,12 - H-3
5 161,12 - H-6, OH -5
OH-5 12,91
6 98,08 6,36 (d,J= 1,9Hz) OH- 5 H-8
7 165,12 - Meo-7
Meo-7 56,05 3,83
8 92,67 6,76 (s l) H-6
9 157,32 - H-8
10 104,70 - OH-5, H-6, H-3 H-8
1’ 120,80 - H-3
2’ 131,42 8,06 (m)
3’ 120,24 -
4’ 157,32 -
5’ 116,42 7,15 (d,J= 9,1 Hz) H-6’
6’ 127,99 8,06 (m) H-5’
2’’ 163,16 - H-3’’ H-2’’’/6’’’
3’’ 103,55 6,91 (s)
4’’ 181,94 H-3’’
5’’ 160,56 H-6’’, OH-5’’
OH-5’’ 13,07
6’’ 98,91 6,40 (s) OH-5’’
7’’
8’’ 104,22 H-6’’, H-2’
9’’ 154,57
10’’ 104,22 OH-5’’, H-6’’, H-3’’
1’’’ 122,99 H-3’’
2’’’/6’’’ 127,99 7,68 (d,J= 8,7 Hz) H-3’’’/5’’’
3’’’/5’’’ 114,49 6,93 (d,J= 8,7 Hz) H-2’’’/6’’’
4’’’ 162,20 H-3’’’/5’’’ H-2’’’/6’’’, MeO-4’’’
MeO-4’’’ 55,51 3,75 (s)
7
4
'
7
''
4
'''
3
'
8
''
2
'
2
3
4
5
6
8
9
10
1
'
5
'
6
'
2
''
3
''
4
''
5
''
6
''
9
''
10
''
1
'''
3
'''
5
'''
6
'''
2
'''
O
OH O
O
OH O
OCH
3
OH
CH
3
O
HO
115
Tabela 17: Dados espectrométricos de RMN
1
H-NOEDIFF da substância 18
Figura 71: Espectro de RMN
1
H (500MHz, DMSO-d
6
) da substância putraflavona
(18).
H Irradiado NOE
δ
H
H
δ
H
(mult. Hz)
H
3,83
Meo-7
6,76 (s l), 6,36 (d,J= 1,9Hz)
8 e 6
3,75
Meo-4’’’
6,93 (d,J= 8,7 Hz)
3’’’ e 5’’’
6,90
3
8,06 (s l) e 8,04 9 (s l)
2’ e 6’
6,91
3’’
7,68 (d,J= 8,7 Hz)
2’’’ e 6’’’
7
4
'
7
''
4
'''
3
'
8
''
2
'
2
3
4
5
6
8
9
10
1
'
5
'
6
'
2
''
3
''
4
''
5
''
6
''
9
''
10
''
1
'''
3
'''
5
'''
6
'''
2
'''
O
OH O
O
OH O
OCH
3
OH
CH
3
O
HO
NOE
7
4
'
7
''
4
'''
3
'
8
''
2
'
2
3
4
5
6
8
9
10
1
'
5
'
6
'
2
''
3
''
4
''
5
''
6
''
9
''
10
''
1
'''
3
'''
5
'''
6
'''
2
'''
O
OH O
O
OH O
OCH
3
OH
CH
3
O
HO
7
4
'
7
''
4
'''
3
'
8
''
2
'
2
3
4
5
6
8
9
10
1
'
5
'
6
'
2
''
3
''
4
''
5
''
6
''
9
''
10
''
1
'''
3
'''
5
'''
6
'''
2
'''
O
OH O
O
OH O
OCH
3
OH
CH
3
O
HO
116
Figura 72: Espectro de RMN
1
H (500MHz, DMSO –d
6
) da substância Putraflavona
(18) ampliado entre 6,2 – 8,2 ppm.
H – 2’
H – 6’
H – 2’’’/6’’’
H – 5’
H – 3’’’/5’’’
H – 3’’
H - 3
H
-
8
H – 6’’
H - 6
H – 2’
H – 6’
H – 2’’’/6’’’
H – 5’
H – 3’’’/5’’’
H – 3’’
H - 3
H
-
8
H – 6’’
H - 6
7
4
'
7
''
4
'''
3
'
8
''
2
'
2
3
4
5
6
8
9
10
1
'
5
'
6
'
2
''
3
''
4
''
5
''
6
''
9
''
10
''
1
'''
3
'''
5
'''
6
'''
2
'''
O
OH O
O
OH O
OCH
3
OH
CH
3
O
HO
117
Figura 73: Mapa de contornode
1
Hx
1
H COSY (500 MHz, DMSO-d
6
) da substância
putraflavona (18).
H – 2’
H – 6’
H -2’’’/6’’’
H – 5’
H – 3’’’/5’’’
H – 3’’
H
-
3
H - 8
H – 6’’
H - 6
H – 6’
H – 2’
H – 6’
H – 5’
H -2’’’/6’’’
H -3’’’/5’’’
H – 8
H - 6
H – 6
H - 8
H – 3’’’/5’’
H – 2’’’/6’’
H – 5’
H – 6’
H – 2’
H – 6’
H -2’’’/6’’’
H – 5’
H – 3’’’/5’’’
H – 3’’
H
-
3
H - 8
H – 6’’
H - 6
H – 6’
H – 2’
H – 6’
H – 5’
H -2’’’/6’’’
H -3’’’/5’’’
H – 8
H - 6
H – 6
H - 8
H – 3’’’/5’’
H – 2’’’/6’’
H – 5’
H – 6’
7
4
'
7
''
4
'''
3
'
8
''
2
'
2
3
4
5
6
8
9
10
1
'
5
'
6
'
2
''
3
''
4
''
5
''
6
''
9
''
10
''
1
'''
3
'''
5
'''
6
'''
2
'''
O
OH O
O
OH O
OCH
3
OH
CH
3
O
HO
118
Figura 74: Espectro de RMN
13
C(BBD 500MHz, DMSO-d
6
) da substância 18.
Figura 75 :Expanção do Espectro de RMN
13
C(BBD 500MHz, DMSO-d
6
) da
substância putraflavona (18) entre 92–135 ppm.
7
4
'
7
''
4
'''
3
'
8
''
2
'
2
3
4
5
6
8
9
10
1
'
5
'
6
'
2
''
3
''
4
''
5
''
6
''
9
''
10
''
1
'''
3
'''
5
'''
6
'''
2
'''
O
OH O
O
OH O
OCH
3
OH
CH
3
O
HO
7
4
'
7
''
4
'''
3
'
8
''
2
'
2
3
4
5
6
8
9
10
1
'
5
'
6
'
2
''
3
''
4
''
5
''
6
''
9
''
10
''
1
'''
3
'''
5
'''
6
'''
2
'''
O
OH O
O
OH O
OCH
3
OH
CH
3
O
HO
C -2’
C – 2’’’/6’’
C – 6’
C – 1’’’
C – 3’
C – 5’
C
3
/
5
C
-
1
0
C
-
1
0
C
3
C
-
3
C – 6’’
C
-
6
C - 8
7
4
'
7
''
4
'''
3
'
8
''
2
'
2
3
4
5
6
8
9
10
1
'
5
'
6
'
2
''
3
''
4
''
5
''
6
''
9
''
10
''
1
'''
3
'''
5
'''
6
'''
2
'''
O
OH O
O
OH O
OCH
3
OH
CH
3
O
HO
C – 8’’
C -2’
C – 2’’’/6’’
C – 6’
C – 1’’’
C – 3’
C – 5’
C
3
/
5
C
-
1
0
C
-
1
0
C
3
C
-
3
C – 6’’
C
-
6
C - 8
7
4
'
7
''
4
'''
3
'
8
''
2
'
2
3
4
5
6
8
9
10
1
'
5
'
6
'
2
''
3
''
4
''
5
''
6
''
9
''
10
''
1
'''
3
'''
5
'''
6
'''
2
'''
O
OH O
O
OH O
OCH
3
OH
CH
3
O
HO
C – 8’’
119
Figura 76: Expanção do espectro de RMN
13
C (BBD, 500MHz, DMSO-d6) da
substância putraflavona (18), entre 155 – 185 ppm
7
4
'
7
''
4
'''
3
'
8
''
2
'
2
3
4
5
6
8
9
10
1
'
5
'
6
'
2
''
3
''
4
''
5
''
6
''
9
''
10
''
1
'''
3
'''
5
'''
6
'''
2
'''
O
OH O
O
OH O
OCH
3
OH
CH
3
O
HO
C - 4
C – 4’’
C - 7
C - 2
C – 2’’
C – 4’’’
C - 5
C – 5’’
C – 9 / C – 4’
C -9’’
C - 4
C – 4’’
C - 7
C - 2
C – 2’’
C – 4’’’
C - 5
C – 5’’
C – 9 / C – 4’
C -9’’
120
Figura 77: Mapa de contorno HMQC (500/125 MHz, DMSO-d
6
) da substância
putraflavona (18).
H – 2’
C – 2’
H – 6’
C – 6’
H – 2’’’/6’’’
C – 2’’’/6’’’
H – 5’
C – 5’
H – 3’’’/5’’’
C - 3’’’/5’’’
H – 3
C - 3
H - 3’’
C – 3’’
H – 8
C - 8
H – 6
C - 6
H – 6’’
C – 6’’
H-2’/6’
H - 2’’’/6’’’
H – 5’
H -3’’’/5’’’
H - 3’’
H - 3
H - 8
H – 6’’
H -6
C - 8
C - 6
C – 6’’
C - 3
C – 3’’
C – 3’’’/5’’’
C – 5’
C
-
2
/
6
/
C
-
6
C – 2’
H – 2’
C – 2’
H – 6’
C – 6’
H – 2’’’/6’’’
C – 2’’’/6’’’
H – 5’
C – 5’
H – 3’’’/5’’’
C - 3’’’/5’’’
H – 3
C - 3
H - 3’’
C – 3’’
H – 8
C - 8
H – 6
C - 6
H – 6’’
C – 6’’
H-2’/6’
H - 2’’’/6’’’
H – 5’
H -3’’’/5’’’
H - 3’’
H - 3
H - 8
H – 6’’
H -6
H – 2’
C – 2’
H – 6’
C – 6’
H – 2’’’/6’’’
C – 2’’’/6’’’
H – 5’
C – 5’
H – 3’’’/5’’’
C - 3’’’/5’’’
H – 3
C - 3
H - 3’’
C – 3’’
H – 8
C - 8
H – 6
C - 6
H – 6’’
C – 6’’
H-2’/6’
H - 2’’’/6’’’
H – 5’
H -3’’’/5’’’
H - 3’’
H - 3
H - 8
H – 6’’
H -6
C - 8
C - 6
C – 6’’
C - 3
C – 3’’
C – 3’’’/5’’’
C – 5’
C
-
2
/
6
/
C
-
6
C – 2’
7
4
'
7
''
4
'''
3
'
8
''
2
'
2
3
4
5
6
8
9
10
1
'
5
'
6
'
2
''
3
''
4
''
5
''
6
''
9
''
10
''
1
'''
3
'''
5
'''
6
'''
2
'''
O
OH O
O
OH O
OCH
3
OH
CH
3
O
HO
121
Figura 78 ; Mapa de contorno HMBC ( 500/125MHz, DMSO –d
6
) da substância
putraflavona (18).
3
J
CH
H – 2’ / 6’
C - 2
3
J
CH
H – 2’’’/6’’’
C – 4’’’
3
J
CH
H – 2’’’/6’’’
C – 2’’
2
J
CH
H – 3’’’/5’’’
C – 4’’’
2
J
CH
H – 3
C – 2
2
J
CH
H – 3’’
C – 2’’
2
J
CH
H – 8
C - 9
2
J
CH
H – 3’’
C – 4’’
2
J
CH
H – 6’’
C – 5’’
2
J
CH
H – 6
C – 5
2
J
CH
H – 3
C – 4
H – 2’/6
H -2’’’/6’’’
H
3
’’
/
5
’’
H
-
3
H - 8
H – 6’
H - 6
C
-
4
C – 4’’
C - 2
C – 2’’
C – 4’’’
C - 5
C – 5’’
C - 9
H -3’
3
J
CH
H – 2’ / 6’
C - 2
3
J
CH
H – 2’’’/6’’’
C – 4’’’
3
J
CH
H – 2’’’/6’’’
C – 2’’
2
J
CH
H – 3’’’/5’’’
C – 4’’’
2
J
CH
H – 3
C – 2
2
J
CH
H – 3’’
C – 2’’
2
J
CH
H – 8
C - 9
2
J
CH
H – 3’’
C – 4’’
2
J
CH
H – 6’’
C – 5’’
2
J
CH
H – 6
C – 5
2
J
CH
H – 3
C – 4
H – 2’/6
H -2’’’/6’’’
H
3
’’
/
5
’’
H
-
3
H - 8
H – 6’
H - 6
3
J
CH
H – 2’ / 6’
C - 2
3
J
CH
H – 2’’’/6’’’
C – 4’’’
3
J
CH
H – 2’’’/6’’’
C – 2’’
2
J
CH
H – 3’’’/5’’’
C – 4’’’
2
J
CH
H – 3
C – 2
2
J
CH
H – 3’’
C – 2’’
2
J
CH
H – 8
C - 9
2
J
CH
H – 3’’
C – 4’’
2
J
CH
H – 6’’
C – 5’’
2
J
CH
H – 6
C – 5
2
J
CH
H – 3
C – 4
H – 2’/6
H -2’’’/6’’’
H
3
’’
/
5
’’
H
-
3
H - 8
H – 6’
H - 6
C
-
4
C – 4’’
C - 2
C – 2’’
C – 4’’’
C - 5
C – 5’’
C - 9
H -3’
7
4
'
7
''
4
'''
3
'
8
''
2
'
2
3
4
5
6
8
9
10
1
'
5
'
6
'
2
''
3
''
4
''
5
''
6
''
9
''
10
''
1
'''
3
'''
5
'''
6
'''
2
'''
O
OH O
O
OH O
OCH
3
OH
CH
3
O
HO
122
Figura 79: Mapa de contorno HMBC (500/125 MHz, DMSO –d
6
) da substancia
putraflavona (18) entre 101–125 ppm.
7
4
'
7
''
4
'''
3
'
8
''
2
'
2
3
4
5
6
8
9
10
1
'
5
'
6
'
2
''
3
''
4
''
5
''
6
''
9
''
10
''
1
'''
3
'''
5
'''
6
'''
2
'''
O
OH O
O
OH O
OCH
3
OH
CH
3
O
HO
H – 2’
C – 8’’
H – 3’’
C – 10’’
H – 3
C - 3
H – 8
C -10
H – 6’’
C – 10’’
H – 6’’
C – 8’’
H – 6
C - 10
H – 5’
C – 3’
H – 3’’’/5’’’
C – 1’’’
H – 3’’
C – 1’’’
H – 3
C – 1’
H -2
H – 6
H – 5
H
3
/
5
H -3
H
-
3
H - 8
H – 6
H
-
6
C – 1’’’
C – 1’
C – 3’
C – 5’
C – 3’’’/5’’’
C - 10
C – 10’’
C –8’’
C – 3’’
C
-
3
H – 2’
C – 8’’
H – 3’’
C – 10’’
H – 3
C - 3
H – 8
C -10
H – 6’’
C – 10’’
H – 6’’
C – 8’’
H – 6
C - 10
H – 5’
C – 3’
H – 3’’’/5’’’
C – 1’’’
H – 3’’
C – 1’’’
H – 3
C – 1’
H -2
H – 6
H – 5
H
3
/
5
H -3
H
-
3
H - 8
H – 6
H
-
6
C – 1’’’
C – 1’
C – 3’
C – 5’
C – 3’’’/5’’’
C - 10
C – 10’’
C –8’’
C – 3’’
H – 2’
C – 8’’
H – 3’’
C – 10’’
H – 3
C - 3
H – 8
C -10
H – 6’’
C – 10’’
H – 6’’
C – 8’’
H – 6
C - 10
H – 5’
C – 3’
H – 3’’’/5’’’
C – 1’’’
H – 3’’
C – 1’’’
H – 3
C – 1’
H -2
H – 6
H – 5
H
3
/
5
H -3
H
-
3
H - 8
H – 6
H
-
6
H – 2’
C – 8’’
H – 3’’
C – 10’’
H – 3
C - 3
H – 8
C -10
H – 6’’
C – 10’’
H – 6’’
C – 8’’
H – 6
C - 10
H – 5’
C – 3’
H – 3’’’/5’’’
C – 1’’’
H – 3’’
C – 1’’’
H – 2’
C – 8’’
H – 3’’
C – 10’’
H – 3
C - 3
H – 8
C -10
H – 6’’
C – 10’’
H – 6’’
C – 8’’
H – 6
C - 10
H – 5’
C – 3’
H – 3’’’/5’’’
C – 1’’’
H – 3’’
C – 1’’’
H – 3
C – 1’
H -2
H – 6
H – 5
H
3
/
5
H -3
H
-
3
H - 8
H – 6
H
-
6
C – 1’’’
C – 1’
C – 3’
C – 5’
C – 3’’’/5’’’
C - 10
C – 10’’
C –8’’
C – 3’’
C
-
3
123
Figura 80: Mapa de contorno HMBC (500/125 MHz, DMSO- d
6
) da substância
putraflavona (18), entre 157–169 ppm.
OH – 5
C - 5
OH – 5’’
C – 5’’
4
J
CH
OH – 5
C - 7
OH - 5
OH – 5’’
C – 5’’
C - 5
C - 7
OH – 5
C - 5
OH – 5’’
C – 5’’
4
J
CH
OH – 5
C - 7
OH - 5
OH – 5’’
OH – 5
C - 5
OH – 5’’
C – 5’’
4
J
CH
OH – 5
C - 7
OH - 5
OH – 5’’
C – 5’’
C - 5
C - 7
7
4
'
7
''
4
'''
3
'
8
''
2
'
2
3
4
5
6
8
9
10
1
'
5
'
6
'
2
''
3
''
4
''
5
''
6
''
9
''
10
''
1
'''
3
'''
5
'''
6
'''
2
'''
O
OH O
O
OH O
OCH
3
OH
CH
3
O
HO
124
Figura 81: Mapa de contorno HMBC (500/125 MHz, DMSO –d
6
) da substância
putraflavona (18), entre 96 – 108 ppm.
OH – 5
C - 6
OH – 5
C - 10
OH – 5’’
C – 6’’
OH – 5’’
C – 10’’
OH - 5
OH – 5’’
C - 6
C - 10
C
–6
C – 10’’
OH – 5
C - 6
OH – 5
C - 10
OH – 5’’
C – 6’’
OH – 5’’
C – 10’’
OH - 5
OH – 5’’
OH – 5
C - 6
OH – 5
C - 10
OH – 5’’
C – 6’’
OH – 5’’
C – 10’’
OH - 5
OH – 5’’
C - 6
C - 10
C
–6
C – 10’’
7
4
'
7
''
4
'''
3
'
8
''
2
'
2
3
4
5
6
8
9
10
1
'
5
'
6
'
2
''
3
''
4
''
5
''
6
''
9
''
10
''
1
'''
3
'''
5
'''
6
'''
2
'''
O
OH O
O
OH O
OCH
3
OH
CH
3
O
HO
125
Figura 82 Mapa de contorno HMBC (500/125 MHz, DMSO –d
6
) da substância
putraflavona (18), entre 159 – 169 ppm.
Meo – 4’’’
M
eO
-
7
MeO – 4’’’
C – 4’’’
MeO – 7
C - 7
C – 4’’’
C - 7
Meo – 4’’’
M
eO
-
7
MeO – 4’’’
C – 4’’’
MeO – 7
C - 7
Meo – 4’’’
M
eO
-
7
MeO – 4’’’
C – 4’’’
MeO – 7
C - 7
C – 4’’’
C - 7
7
4
'
7
''
4
'''
3
'
8
''
2
'
2
3
4
5
6
8
9
10
1
'
5
'
6
'
2
''
3
''
4
''
5
''
6
''
9
''
10
''
1
'''
3
'''
5
'''
6
'''
2
'''
O
OH O
O
OH O
OCH
3
OH
CH
3
O
HO
126
Figura 83 Espectro de RMN-NOEDIFF (200 Mhz) da substância putraflavona (18).
H-3
H-3
H
-
3
H
-
3
H-2’,6
H-2’,6’
H-2’’’, 6’’’H-2’’’, 6’’’
H-3
H-3
H
-
3
H
-
3
H-2’,6
H-2’,6’
H-2’’’, 6’’’H-2’’’, 6’’’
H-8
H-6
H-6
H-8
Meo-7
H-3’’’,5’’’
H-3’’’,5’’’
Meo-4’’’
H-8
H-6
H-6
H-8
Meo-7
H-3’’’,5’’’
H-3’’’,5’’’
Meo-4’’’
7
4
'
7
''
4
'''
3
'
8
''
2
'
2
3
4
5
6
8
9
10
1
'
5
'
6
'
2
''
3
''
4
''
5
''
6
''
9
''
10
''
1
'''
3
'''
5
'''
6
'''
2
'''
O
OH O
O
OH O
OCH
3
OH
CH
3
O
HO
NOE
127
Substância 19. (5,7,4’ triidroxi-3’,5’ dimetoxi-flavona)
O espectro de RMN
1
H (Figura 84 pág-129) apresenta um sinal simples em δ
H
12,95
evidenciando grupo hidroxila formando ligação de hidrogênio. Sinais em δ
H
7,31 (s 2H, H-2’
e 6’); 6,97 (s, H–3); 6,55(d, J= 2,1 Hz, H-8); 6,19 (d, J= 2,1 Hz, H–6) e 3,87 ( s, 6H. 2x
MeO). A análise desses dados permitiu sugerir uma flavona com anel A contendo hidrogênio
com acoplamento meta e o anel B trisubstituido contendo dois hidrogênios equivalentes
representados por um singleto. O espectro de RMN
13
C (Figura 85 pág-129) mostra entre os
sinais os representantes de carbonila conjugada δc 181,94 (C–4) e δ
CH
98,97 (C–6); 94,34 (C–
8) e as duas metoxilas 56,50. A Tabela 18 pág-128 mostra as atribuições dos deslocamentos
químicos de hidrogênio e carbono de 19.
Experimento de RMN
1
H NOEDIFF (Figura 86, pág-130 Tabela 19 pág-128)
permitiu determinar a posição dos substituintes do anel B. Irradiação na freqüência das
metoxilas obteve-se nOe nos H-2’,6’(δ
H
7,31); irradiando na freqüência do H–3(6,97) obteve-
se nOe no H–2’,6’; irradiando na freqüência dos hidrogenios H–2’ e 6’ (7,31) obteve-se nOe
no H-3 (6,97) e nas metoxilas (3,87). Esses dados confirmam a localização das metoxilas em
3’ e 5’ ficando um grupo OH em 4’. As análises acima e comparação com valores descritos na
literatura (KUWABARA, et al., 2003) concluímos que a substância 19 é o flavonoide 5,7,4’-
triidroxi-3’,5’-dimetoxi-flavona, anteriormente isolada de Agelaea pentagyna (Connaraceae).
O
O
OH
OCH
3
OCH
3
H
O
OH
128
Tabela 18 -Dados de RMN
1
H e
13
C (200MHz e 50 MHz, em CDCl
3
) da substância 19 e
comparação com RMN
1
H
e
13
C (400MHz e 100 MHz, em DMSO-d
6
) da literatura
(KWABARA et al., 2003).
Tabela 19: Dados espectrométrico de experimento RMN
1
H NOEDIFF da substância
19.
Substância 19
KWABARA et al., 2003
C
δc δ
H
δc δ
H
2 163,78 - 163,6 -
3 103,86 6,97 (s) 103,5 6,97 (s)
4 181,94 - 181,7 -
5 161,54 157,3 -
OH -5 12,95
6 98,97 6,19 (d, J= 2,1Hz) 98,8 6,21(d, J=2,0 Hz)
7 164,30 - -
8 94,34 6,55 (d, J= 2,1 Hz) 94,1 6,56( d, J=2,0 Hz)
9 157,48 - 161,3 -
10 104,40 - 103,6 -
1’ 120,51 - 120,3 -
2’ 105,0 7,31 (s) 104,3 7,32 (s)
3’ 148,32 - 148,1 -
MeO-3’ 56,50 3,87 (s) 56,3 3,89 (s)
4’ 139,98 - 139,8 -
5’ 148,32 - 148,1 -
Meo-5’ 56,50 3,87 (s) 56,3 3,89 (s)
6’ 105,0 7,31 (s) 104,3 7,32 (s)
H irradiado NOE
δ
H
H
δ
H
(Mult Hz)
H
3,87 (s) MeO-3’, 5’ 7,31 (s) 2’ e 6’
6,97 (s) 3 7,31 (s) 2’ e 6’
7,31 (s) 2’ e 6’ 6,97 (s) e 3,87 (s) 3 e Meo 3’, 5’
O
O
OH
OCH
3
OCH
3
H
O
OH
2
'
3
'
3
NOE
129
Figura 84: Espectro de RMN
1
H ( 200 MHZ, CDCl
3
) da substância 19.
Figura 85: Espectro de RMN
13
C (50 MHz, CDCl
3
) da substância 19.
OH -5
H -2’ / 6’
H
-
3
H - 8
H - 6
Meo 3’ / 5’
O
O
OH
OCH
3
OCH
3
HO
OH
2
'
3
'
3
6
8
5
OH -5
H -2’ / 6’
H
-
3
H - 8
H - 6
Meo 3’ / 5’
O
O
OH
OCH
3
OCH
3
HO
OH
2
'
3
'
3
6
8
5
C -4
C - 7
C
-
3
C - 5
C - 9
C – 3’ / 5’
C – 4’
C -1’
C - 10
C
2
/
6
C - 3
C - 6
C - 8
MeO -3’ / 5’
C -4
C - 7
C
-
3
C - 5
C - 9
C – 3’ / 5’
C – 4’
C -1’
C - 10
C
2
/
6
C - 3
C - 6
C - 8
MeO -3’ / 5’
130
'
Figura 86: Espectro de RMN-NOEDIFF da substância 19.
H -2’ / 6’
H - 3
MeO 3’ /5’
MeO 3’ /5’
H -2’ / 6’
H - 3
H -2’ / 6’
H -2’ / 6’
H - 3
MeO 3’ /5’
H -2’ / 6’
H - 3
MeO 3’ /5’
MeO 3’ /5’
H -2’ / 6’
H - 3
H -2’ / 6’
H -2’ / 6’
H - 3
MeO 3’ /5’
NOE
O
O
OH
OCH
3
OCH
3
H
O
OH
2
'
3
'
3
6
8
5
131
Quadro 4 - Constituintes químicos isolados de caules de Ouratea
cuspidata St Hil
H
O
2 :
22, 23
3 : 22, 23-
diidro
22
23
R
1
HO
R
15: R = Me, R
1
= H
16: R = H , R
1
= Me
19
18
17
16
15
14
13
12
11
10
9
8
7
6
5
4
3
2
1
20
21
22
2324
25
26
28
29
HO
27
30
14
1
2
3
4
5
6
O
OCH
3
OH
OH
HO
HO
20
O
HO
HO
OH
OH
OCH
3
O
21
O
HO
HO
O
OH
OCH
3
O
O
OH
OH
OH
OH
22
H
O
2 :
22, 23
3 : 22, 23-
diidro
22
23
R
1
HO
R
15: R = Me, R
1
= H
16: R = H , R
1
= Me
19
18
17
16
15
14
13
12
11
10
9
8
7
6
5
4
3
2
1
20
21
22
2324
25
26
28
29
HO
27
30
14
1
2
3
4
5
6
O
OCH
3
OH
OH
HO
HO
20
1
2
3
4
5
6
O
OCH
3
OH
OH
HO
HO
20
O
HO
HO
OH
OH
OCH
3
O
21
O
HO
HO
OH
OH
OCH
3
O
21
O
HO
HO
O
OH
OCH
3
O
O
OH
OH
OH
OH
22
O
HO
HO
O
OH
OCH
3
O
O
OH
OH
OH
OH
22
132
Identificação dos constituintes isolados de caule de Ouratea cuspitada (St
Hil
)
Substância 20 (1-Metil βD-glucopiranosil).
A substância apresentou-se com um material pastoso. O espectro de RMN
1
H (Figura
87 pág 133) apresentou sinais entre 4,2-3,18 ppm compatíveis com deslocamentos químicos
de carboidratos. O espectro de RMN
13
C (Figura 88 Pag 133) apresentou sinais cujos valores
foram comparados com os da literatura (BREITMAIER et al, 1989) e levou a concluir que a
substância 20 é o carboidrato 1-Metil βD-glucopiranosil.
Tabela 20:Dados de RMN
13
C(BBD, 50 MHz DMSO-d
6
) da substância 20 comparada
com valores da literatura
Substancia 20 Breitmaier et at., 1989
C
δ
C
δ
C
1 105,33 103,40
2 74,99 73,40
3 77,86 75,20
4 70,0 71,55
5 77,98 75,20
6 62,67 61,40
OCH
3
57,33 57,50
1
2
3
4
5
6
O
OCH
3
OH
OH
H
O
HO
133
Figura 87 Espectro de RMN
1
H (200 MHz, DMSO-d
6
) da substância 20.
Figura 88: Espectro de RMN
13
C (BBD 50 MHz, DMSO-d
6
) da substância 20.
C-3,5
C-1
C
-
2
C-6
O
C
H
3
C-4
C-3,5
C-1
C
-
2
C-6
O
C
H
3
C-4
134
Substância 21 (4’, 3, 5, 7-tetraidroxi-3’-metoxi flavonol)
A análise feita em CCDA revelada com AlCl
3
indicou tratar-se de um flavonóide. O
espectro de RMN
1
H desta fração mostrou dois singletos δ
H
6,38; e 6,15 compatíveis com H-8
e H-6 do anel A de um flavonoíde; um singleto 3,82 é freqüência característica de metoxila.
Além de outros sinais δ
H
7,93 (s); 7,49 (d, J= 8,28 Hz), 6,92 (d, J= 8,30 Hz) de um anel
aromático trissubstituido. A ausência de um singleto atribuível ao H-3 permitiu propor a
estrutura de um flavonol. O experimento de RMN
1
H NOEDIFF permitiu determinar a
posição dos substituintes do anel B. Irradiação na freqüência 7,93 (s, H-2’) obteve-se NOE na
freqüência da metoxila, e irradiação na freqüência da metoxila gerou NOE no H_2’ isso
mostra que a metoxila esta ligada no C-3’. (Figura 90 Pág-135 ). Irradiação na freqüência
5,56 não é observado NOE levando a concluir que este sinal é de impureza na amostra.
(Figura 91 pág-135). Estas análises permitiram propor para 21 a estrutura do. 4’, 3, 5, 7-
tetraidroxi-3’-metoxi flavonol. A comparação da substância 21 com 22 em CDDA eluída com
CH
2
Cl
2
/MeOH (8;2) apresentou Rf
s
diferentes sendo 21 menos polar.
Figura 89: Espectro de RMN
1
H (200 MHz, DMSO-d
6
) da substancia 21.
H-2
H-6’
H-5’
H-8
H-6
Meo-3’
*
OH-5
O
O
HO
OH
OCH
3
OH
OH
2
3
3
'
4
4
'
5
6
'
5
'
1
'
2
'
6
7
8
9
10
H-2
H-6’
H-5’
H-8
H-6
Meo-3’
*
OH-5
O
O
HO
OH
OCH
3
OH
OH
2
3
3
'
4
4
'
5
6
'
5
'
1
'
2
'
6
7
8
9
10
135
Figura 90: Espectro de RMN
1
H NOEDIFF ( 200 MHz DMSO-d
6
)da substância 21.
Figura 91: Espectro de RMN
1
H NOEDIFF ( 200 MHz DMSO-d
6
)da substância 21.
O
O
HO
OH
OCH
3
OH
OH
2
3
3
'
4
4
'
5
6
'
5
'
1
'
2
'
6
7
8
9
10
NOE
H-2’
H
-
6
H-5’
H-8
H-6
Meo-3’
H-2’
c
d
H-2’
H
-
6
H-5’
H-8
H-6
Meo-3’
H-2’
c
d
H-2’
H-6’
H-5’
H-8
H-6
H-2’
H-8
*
MeO-3’
a
b
H-2’
H-6’
H-5’
H-8
H-6
H-2’
H-8
*
MeO-3’
H-2’
H-6’
H-5’
H-8
H-6
H-2’
H-8
*
MeO-3’
a
b
136
Fração 22 (5, 4’,7-triidroxi-3’-metoxi-3-β-O-galactopiranosil flavona
A analise dos espectros de RMN
1
H e
13
C (BBD e DEPT) (Figuras 92-96, pág-137-
139)da fração 22 contendo mistura de flavonóides glicosilados permitiu detectar como
principal componente a 5, 4’,7-triidroxi-3’-metoxi-3-β-O-galactopiranosil flavona. Esta
proposta foi feita através de comparação dos deslocamentos químicos de carbonos registrados
nos espectros pelos sinais mais intensos com valores da literatura (CARVALHO et al., 2001 e
Daniel, 2004) conforme registrado na tabela 21 ´pág-136. Os demais sinais podem ser de
outro (s) glicosideos contendo a glicose e ou a rhamnose como carboidrato.
Tabela 21: Dados de RMN
1
H e
13
C (500 e125 MHZ DMSO-d
6
) do constituinte
majoritário da fração da fração 22 (5,4’,7-triidroxi-3’-metoxi-3-β-O-D-galactopiranosil
flavona com valores da literatura (CARVALHO et al., 2001 e Daniel, 2004).
5, 4’, 7-triidroxi-3’-metoxi-3-β-O-D-galactopiranosil
Refer. Literat.
C
δ
C
δ
H
δ
C
2 156,2 - 156,2
3 133,1 - 135,4
4 177,3 - 177,7
5 161,2 - 161,3
6 98,8 6,2 (sl) 98,8
7 165,3 - 164,2
8 93,7 6,4 (sl) 93,7
9 156,5 - 156,4
10 103,7 - 104,2
1’ 121,1 - 121,9
2’ 112,9 7,9 (d, J= 2,0 Hz) 113,9
3’ 146,0 - 145,1
4’ 149,5 - 147,1
5’ 115,9 6,9 (d, J= 8,0 Hz) 115,3
6’ 122,0 7,5 (dd, J= 8,0 e 2,0 Hz) 102,0
1’’ 100,9 5,56 (d, J= 7,0 Hz) 73,3
2’’ 74,1 3,9-3,1 (m) 75,2
3’’ 76,2 71,3,
4’’ 69,4 77,3
5’’ 77,2 61,9
6’’ 60,4
OCH
3
55,5 3,83 (s, 3H)
OH 12,5 (sl)
O
H
O
HO
O
OH
OCH
3
O
O
OH
OH
OH
OH
137
Figura 92 Espectro de RMN
1
H (500 MHz DMSO-d
6
) da mistura contento a
substância 22.
Figura 93: Expansão do espectro de RMN
1
H(500 MHz, DMSO-d6) da mistura
contendo a substância 22 entre as regiões 4,5-8,0 ppm.
H-2’
H-6’
H-5’
H-8
H
-
6
O
HO
HO
O
OH
OCH
3
O
O
OH
O
O
OH
H
-
1
H-2’
H-6’
H-5’
H-8
H
-
6
O
HO
HO
O
OH
OCH
3
O
O
OH
O
O
OH
H
-
1
138
Figura 94 Espectro de RMN
13
C (125 MHz DMSO-d
6
) da fração contendo a
substância 22. * Sinais de outros glicosíeos presentes na fração.
Figura 95: Expansão da figua 94 na região entre 115-180 ppm..
C-4
C-7
C
-
5
C-9
C
-
2
C
-
2
C
-
4
C
-
3
C-3
C-1’
C-6’
C-2’
C
-
1
0
C-1’’
C-6
C-8
C-5’’
C-3’’
C-4’’
C
-
6
CH
3
C-4
C-7
C
-
5
C-9
C
-
2
C
-
2
C
-
4
C
-
3
C-3
C-1’
C-6’
C-2’
C
-
1
0
C-1’’
C-6
C-8
C-5’’
C-3’’
C-4’’
C
-
6
CH
3
C-4
C-5
C-9
C-2
C-4’
C-3’
C
-
3
C-1’
C-5’
O
HO
HO
O
OH
OCH
3
O
O
OH
OH
OH
OH
C-4
C-5
C-9
C-2
C-4’
C-3’
C
-
3
C-1’
C-5’
C-4
C-5
C-9
C-2
C-4’
C-3’
C
-
3
C-1’
C-5’
O
HO
HO
O
OH
OCH
3
O
O
OH
OH
OH
OH
139
Figura 96: Espectro de RMN
13
C (DEPT 135, 125 MHz DMSO-d
6
) expandiado entre
as regiões 55-85 ppm da fração contendo a substância 22. * Sinais de outros glicosídeos
presentes na fração.
C-5’’
C-3’’
C-2’’
C-4’’
C
-
3
C-5’’
C-4’’’
C-3’’,2’’’
C-4’’,2’’’,5’’’
C-5’’’
C-6’’
C-6’’
C-6’’
C-6’’
OC
H
3
O
HO
HO
O
OH
OCH
3
O
O
OH
OH
OH
OH
C-5’’
C-3’’
C-2’’
C-4’’
C
-
3
C-5’’
C-4’’’
C-3’’,2’’’
C-4’’,2’’’,5’’’
C-5’’’
C-6’’
C-6’’
C-6’’
C-6’’
OC
H
3
C-5’’
C-3’’
C-2’’
C-4’’
C
-
3
C-5’’
C-4’’’
C-3’’,2’’’
C-4’’,2’’’,5’’’
C-5’’’
C-6’’
C-6’’
C-6’’
C-6’’
OC
H
3
O
HO
HO
O
OH
OCH
3
O
O
OH
OH
OH
OH
140
ASPECTOS GERAIS DA BIOSSÍNTESE DE CONSTITUINTES DE O. hexasperma E O.
cuspidata.
FLAVONÓIDES.
Os flavonóides compreendem uma larga família de metabolitos especias que têm parte
de sua estrutura derivada do chiquimato e parte da via dos policetídeos. Sua biossíntese
procede via condensação de uma unidade 4–hidroxicinamoil-CoA com três unidades da
malonil-CoA, produzindo estilbeno (resveratrol) ou chalconas (narigenina–chalcona) a
depender da natureza da enzima que catalisa a reação estilbeno sintase ou chalcona sintase
respectivamente. Os padrões de oxigenação nos anéis aromáticos ilustram as partes oriundas
do chiquimato e da via do acetato. Os flavonóides isolados neste trabalho indicam que sua
síntese foi mediada via a chalcona sintase.
Chalconas agem como precursoras para uma vasta extensão de derivados de
flavonóides encontrados por todo reino vegetal. Maior parte contém anel heterocíclico com
seis membros formado por ataque nucleofilico, tipo adição de Michael, produzindo flavonona
(ex narigenina). Essa isomerização pode ocorrer sendo que quimicamente, condições ácidas
favorecem a flavonona e condições básicas a chalconas, mas na natureza a reação é catalizada
por enzimas esterioespecíficas. A partir do esqueleto básico de flavononas podem ser
formados uma variedade de flavonóides (Ex.: flavonas, flavonol, falvononol, antocianidinas
etc). Modificações no padrão de hidroxilação nos dois anéis aromáticos podem acontecer.
Geralmente ocorrem nas flavonas ou diidroflavononol. Podem ocorrer também metilação e
dimetilalilação aumentando assim a variedade estrutural destes compostos. Ocorrem também
flavonóides glicosilados que são solúveis em água (Esquemas 3, 5 pág-141 e 143). Eles são
geralmente encontrados conjugados com açúcares como as pentoses: D-apiose, L- arabinose,
L- ramnose e D-xilose; as hexoses: D-glicose, D-galactose, D-alose, e os ácidos D-
galacturônico e D-glicurônico. Podem também, estar associados a dissacarídeos e a
trissacarídeos. São responsáveis pelas cores das flores, frutos, algumas folhas e asas de
insetos. Os biflavonoides constituem uma classe de flavonóides dímeros. A maioria dos
representantes dessa classe de produtos naturais é formada pelos dímeros flavona-flavona,
flavona-flavanona, flavanona-flavanona além de ocorrer, mais raramente, os dímeros de
chalconas e de isoflavonas, (Esquema 4, pág-142).
141
Esquema 3 Rota biossintética geral para flavonóides. (Adaptado de DEY et al., 1997;
DEWICK, 1997)..
SCoAO
O
OO
OH
O
HO
OH
OH
OH
Claisen
(chalcona sintase)
narigenina-chalcona
(uma chalcona)
O
HO
OH O
OH
ataque nucleofilico tipo-Michael
da OH a α,β cetona insaturada
narigenina
(um flavonoide)
SCoA
O
OO
O
OH
3 x malonil-CoA
CO
2
OH
H
O
OH
Aldol
(Estibeno sintase
)
resveratrol
(um estilbeno)
CoAS
O
OH
4 – hidroxicinamoil-CoA
Chalcona isomerase
Flavona sintase
Flavona sintase II
Isoflavona sintase Flavonona 3 hidroxilase
O
HO
OH O
OH
Flavona
O
HO
OH O
OH
OH
diidroflavonol
O
HO
OH O
OH
OH
Flavonol sintase
Flavonol
O
HO
OH O
OH
Isoflavona
SCoAO
O
OO
OH
O
HO
OH
OH
OH
Claisen
(chalcona sintase)
narigenina-chalcona
(uma chalcona)
O
HO
OH O
OH
ataque nucleofilico tipo-Michael
da OH a α,β cetona insaturada
narigenina
(um flavonoide)
SCoAO
O
OO
OH
O
HO
OH
OH
OH
Claisen
(chalcona sintase)
narigenina-chalcona
(uma chalcona)
O
HO
OH O
OH
ataque nucleofilico tipo-Michael
da OH a α,β cetona insaturada
narigenina
(um flavonoide)
SCoA
O
OO
O
OH
3 x malonil-CoA
CO
2
OH
H
O
OH
Aldol
(Estibeno sintase
)
resveratrol
(um estilbeno)
CoAS
O
OH
4 hidroxicinamoil-CoA
SCoA
O
OO
O
OH
3 x malonil-CoA
CO
2
OH
H
O
OH
Aldol
(Estibeno sintase
)
resveratrol
(um estilbeno)
CoAS
O
OH
4 – hidroxicinamoil-CoA
Chalcona isomerase
Flavona sintase
Flavona sintase II
Isoflavona sintase Flavonona 3 hidroxilase
O
HO
OH O
OH
Flavona
O
HO
OH O
OH
OH
diidroflavonol
O
HO
OH O
OH
OH
Flavonol sintase
Flavonol
O
HO
OH O
OH
Isoflavona
142
Esquema 4 : Proposta biossintética de dimerização na formação da amentoflavona e
putraflavona.
O
O
O
RO
OH
O
O
O
RO
OH
O
OH
O
R
O
OH
H
+
H
+
O
OR
O
O
OH
O
O
R
OH
O
O
O
O
O
O
O
O
OH
OH
OR
RO
O
OR
O
HO
OH
(A)
(A)
(B)
(B)
O
O
O
RO
OH
O
OR
OH
O
O
(A)
(B)
isomerase
R=H = Amentoflavona
R=CH
3
= Putraflavona
O
O
O
OOH
OH
OR
RO
OH
HO
143
Esquema 5: Proposta biossintética da formação das substâncias 12 e 13 (adaptado de
DEWICK, 1997).
O
O
H
O
OH
OH
O
O
HO
OH
OH
OH
O
2
2-oxoglutarato
O
O
HO
OH
OH
OH
diidroflavononol
flavonol
O
2
2-oxoglutarato
O
O
H
O
OH
OH
O
O
HO
OH
OH
OH
O
2
2-oxoglutarato
O
O
HO
OH
OH
OH
diidroflavononol
flavonol
O
2
2-oxoglutarato
(I) Reação de glicosilação
O
OH
O P
H
HO
HO
OH
Glicose 1-P
+ UTP*
O
OH
OP
H
HO
HO
OH
P
U
HO
OH
+
UDP
(II) Reação de alquilação
O
OH
O
OH
HO
HO
OH
H
OPP
O
OH
O
OH
HO
HO
OH
H
OH
O
OH
H
O
HO
HO
OH
(I) Reação de glicosilação
O
OH
O P
H
HO
HO
OH
Glicose 1-P
+ UTP*
O
OH
OP
H
HO
HO
OH
P
U
HO
OH
+
UDP
(II) Reação de alquilação
O
OH
O
OH
HO
HO
OH
H
OPP
O
OH
O
OH
HO
HO
OH
H
OH
O
OH
H
O
HO
HO
OH
144
ESTEROIDES E TRITERPENO
Tanto os esteroides como triterpenos e saponinas são formados pela via do ácido
acético/ácido mevalônico. Nesta via, três unidades de AcetilCoA sofrem condensações para
formar o pirofosfato de isopentenila (IPP) que sofre isomerização para pirofosfato de
dimetilalila (DMAPP). Estes são os precursores básicos dos terpenóides e esteróides que
sofrerão polimerização dando origem a moléculas de cadeias carbônicas crescentes de cinco
átomos de carbono. A reação do IPP com seu isômero DMAPP formam o trans –pirofosfato
de geranila (GPP), a partir do qual podem ser formados os demais terpenos. Novas ligações
cabeça-cauda entre GPP e IPP resultarão em pirofosfato de farnesila (FPP) e pirofosfato de
geranilgeranila com 15 e 20 átomos de carbono respectivamente. O farnesilpirofosfato é o
intermediário para a biossíntese dos sesquiterpenos (C15), (C20), triterpenos (C30), e
esteróides C18-29). Duas moléculas de FPP se unem cauda-cauda para formar o
hidrocarboneto esqualeno, principal precursor dos esteroides, triterpenos. Após sua formação
o esqualeno sofre oxidação gerando o esqualeno epóxi (óxido de esqualeno),que sofre
ciclização catalisada por flavoproteina e pelos cofatores NADPH e O
2..
Na etapa seguinte uma
enzima ciclase modifica a conformação do òxido de esqualeno para cadeira-cadeira-cadeira-
barco, e através de vários rearranjos 1,2-metil é formado o carbocation damarenil. O
carbocation damarenil é muito instável e sofre novamente migrações do tipo 1,2-alquil para
formar o cátion bacharenil Acredita-se que a passagem do cátion terciário (damarenil) para o
secundário (Bacharenil) seja resultado de transformações enzimáticas. Novas migrações
formam o sistema pentacíclico do cátion lupenila terciário precursor dos esqueletos do tipo
ursano e oleanano (Esquema 6 pág-145).
Já para formar os esteróides o oxido de esqualeno com conformação cadeira-barco-
cadeira-barco, cicliza após vários rearranjos do tipo 1,2 formando o cicloartenol. O
cicloartenol após clivagem oxidativa de três metilas forma os esteroides (Esquema 5 pág-
143). (DEWICK, 2002).
145
Esquema 6 Proposta biogenética para os esteroides isolados de O. cuspidata e O.
hexasperma (Adaptado de MANN,1994; DEWICK, 1997).
PPO
*
HH
*
OPP
*
*
H
H
OPP
*
*
H
H
*
*
H
*
H
*
H
(NADPH)
*
*
H
H
(Esqualeno)
O
2
NADP
H
Oxido de esqualeno
O
H+
Rearanjo
HO
H
H
H
H
H
H
O
[O] das metilas
C-4 e C-14 até COOH
e perda de CO
2
.
H
O
S
CH
3
HO
H
2
C
H
H+
HO
H
S
CH
3
HO
H
H+
[H]
HO
SITOSTEROL
Glicosilação
Gli-O
3β-O-βD-GLICOPIRANOSIL SITOSTEROL
HO
H
H
+
HO
Estigmasterol
PPO
*
HH
*
OPP
*
*
H
H
OPP
*
*
H
H
*
*
H
*
H
*
H
(NADPH)
*
*
H
H
(Esqualeno)
O
2
NADP
H
Oxido de esqualeno
O
H+
Rearanjo
HO
H
H
H
H
H
HO
H
H
H
H
H
H
O
[O] das metilas
C-4 e C-14 até COOH
e perda de CO
2
.
H
O
S
CH
3
H
O
S
CH
3
HO
H
2
C
H
HO
H
2
C
H
H+
HO
H
S
CH
3
HO
H
S
CH
3
HO
H
H+
HO
H
H+H+
[H]
HO
SITOSTEROL
HO
SITOSTEROL
Glicosilação
Gli-O
3β-O-βD-GLICOPIRANOSIL SITOSTEROL
Gli-O
3β-O-βD-GLICOPIRANOSIL SITOSTEROL
HO
H
H
+
HO
H
H
+
HO
Estigmasterol
HO
Estigmasterol
146
Esquema 7; Rota biossintetica de formação dos triterpenos isolados nas espécies O.
cuspidata e O. hexasperma. (Adaptado de DEWIK, 1997).
H+
O
Óxido 2,3-esqualeno
H
H
H
HO
HO
H
H
H
H
Cátion damarenil
HO
H
H
H
Cátion bacharenil
HO
H
H
H
Cátion lupenil
HO
H
H
H
H
Cátion oleanil
HO
H
H
H
Oleanano
HO
H
H
H
β Amirina
HO
H
H
H
Α Amirina
HO
H
H
H
H
Lupeol
H+
O
Óxido 2,3-esqualeno
H
H
H
HO
HO
H
H
H
H
Cátion damarenil
HO
H
H
H
H
Cátion damarenil
HO
H
H
H
Cátion bacharenil
HO
H
H
H
Cátion bacharenil
HO
H
H
H
Cátion lupenil
HO
H
H
H
Cátion lupenil
HO
H
H
H
H
Cátion oleanil
HO
H
H
H
H
Cátion oleanil
HO
H
H
H
Oleanano
HO
H
H
H
Oleanano
HO
H
H
H
β Amirina
HO
H
H
H
β Amirina
HO
H
H
H
Α Amirina
HO
H
H
H
Α Amirina
HO
H
H
H
H
Lupeol
HO
H
H
H
H
Lupeol
147
Atividade Biológica.
Os ensaios de atividade biológica foram realizados no Laboratório de
Imunofarmacologia e Imunologia Parasitária do Departamento de Biologia Animal – IB da
UFRRJ sob orientação do Professor Dr. Ronald Bastos Freire e consistiram de testes de
bioproteção contra radicais livres, atividade antiparasitária frente a Leishmania brasiliensis,
efeitos antiinflamatórios e a associação entre a bioproteção química
Preparação das Amostras.
Para a realização de todos os ensaios biológicos os extratos hexano, acetato de etila e
metanol de Ouratea cuspidata St. Hil foram previamente solubilizados em PBS (solução
salina tamponada com fosfato) e esterelizados por filtração através de membranas com 0,22µ
de diâmetro (Nalgene, USA). O material solubilizado e esterelizado foi identificado e
acondicionado à temperatura de -20°C para seu uso nas diferentes etapas dos ensaios
biológicos.
Ensaios de bioproteção contra a geração de radicais livres
Diferentes concentrações dos extratos metanólico, hexânico e acetato de etila de
Ouratea cuspidata foram adicionadas a sistema biológico gerador de substâncias reativas ao
ácido tiobarbitúrico (TBARS), constituída de 0,2 mL de uma suspensão contendo 16 mg/mL
de membranas de eritrócitos de carneiro, 2 mM de deoxirribose, 100 mM de FeCl
3
. Cada
frasco foi incubado a 45°C durante 60 minutos e adicionado de 0,65 mL de solução de ácido
Tiobarbitúrico (TBA) previamente dissolvido em acetonitrila numa concentração de
10,3mM. Após incubação a 95-100 °C 10 min, os tubos foram lidos a 540 nm e a
concentração de, TBARS determinada contra uma curva padrão malonildialdeído em nnMoles
por mL.
A curva padrão obtida para o sistema controle, na ausência dos extratos, apresentou
grande reprodutibilidade, com R
2
superior a 0,9 e tendência exponencial, com correlação
direta entre a concentração de malonildialdeído (MDA) e a absorbância observada a 532 nm
(Figura 97). Nos ensaios de bioproteção, pela franca diminuição de produtos reativos ao
ácido tiobarbitúrico (Figura 98), ficou evidente que o extrato OCMeOH, de maior polaridade,
apresentou atividade protetora, com eliminação de TBARS. Na concentração de 0,2 mg/mL
houve a diminuição de 98% das substâncias oxigênio-reativas. Nas concentrações de 25 e de
60 mg/mL, entretanto, esta atividade bioprotetora mostrou-se progressivamente diminuída,
com a detecção respectiva de 71% e 24,4%. Os demais extratos avaliados não apresentaram
ação inibitória da geração de radicais livres nessas concentrações. De outro modo, ficou
evidente que todos os extratos apresentaram potencial tóxico, uma vez que induziram a
formação de concentrações elevadas de radicais livres, quando adicionados na concentração
de 100mg/mL. A produção de TBARS foi entre duas a quatro vezes maior que a concentração
de radicais livres produzidos pelo sistema controle.
148
Figura 97; Curva padrão de malonildialdeído (MDA) gerada através da indução de
radicais livres , medidos espectrofotométricamente a 532nm frente a um padrão de
malonildialdeído adquirido comercialmente (Fisher, USA, AC14861-1000). Os resultados
representam a média de quatro repetições adicionadas do erro padrão (p0,01).
Figura 98: Ensaio de redução de radicais livres com extratos de Ouratea cuspidata.
Concentrações diferentes do extrato metanólico (barras negras), do extrato hexânico
(barras cinzas) e do extrato acetato de etila (barras listradas) foram adicionadas a sistema
biológico gerador de substâncias reativas ao ácido tiobarbitúrico (TBARS). Os tubos
foram lidos a 540 nm e a concentração de TBARS determinada contra uma curva padrão
malonildialdeído (barra branca) em nnoMoles por mL. Os resultados são a média de
quatro repetições acrescidas do erro padrão (p0,5). O círculo evidência a maior eficiência
bioprotetora da fração metanólica em relação às demais.
R
2
0,9841 =
-0,1
0
0,1
0,2
0,3
0,4
0,5
0,6
0,7
0 12,5 25 50 100
nmoles MDA
Absorbância 532 nm
0
0,25
0,5
0,75
1
1,25
1,5
0 0,2 25 60 100
Concentração (mg/mL)
MDA (nMol/mL)
0
0,25
0,5
0,75
1
1,25
1,5
0 0,2 25 60 100
Concentração (mg/mL)
MDA (nMol/mL)
149
Teste de ação antiparasitária
Devido ao fato de que o extrato metanólico apresentou melhor atividade bioprotetora
em concentrações atóxicas para o sistema hospedeiro. Os demais extratos não foram
ensaiados por apresentarem toxidade resídual. Assim, realizaram-se ensaios para
determinação dos efeitos do extrato metanólico sobre o crescimento, desenvolvimento e
metabolismo de formas promastigotas de Leishmania brasiliensis. Para tanto, inóculos
contendo 10
4
formas promastigotas do parasito (cepa L566-FIOCRUZ) foram cultivados, a
27ºC, em tubos de ensaio contendo 4,0 mL de meio de infusão de cérebro e coração (BHI)
adicionado de 10% de soro fetal bovino, e de diferentes concentrações dos extratos (2, 4, 8,
32, 64, mg/mL). Em intervalos de 12 horas, foram colhidas alíquotas de 0,1 mL de cada tubo
para realização de ensaios de contagem dos parasitas em câmara de Neubauer ao microscópio
ótico comum, originando dados quantitativos e morfológicos do parasito sob as diferentes
concentrações de exposição aos extratos. Concomitantemente foram realizados testes de
exclusão do Azul de Trypan (Viabilidade) e ensaios de biotransformação do azul de tetrazólio
(atividade enzimática-mitocondrial). Todos os ensaios foram realizados com quatro repetições
e comparativamente analisados, em relação a cultivos parasitários na ausência de drogas, ou
aditivos extras. Os resultados foram estatisticamente avaliados usando ANOVA. Os dados
que apresentaram diferenças em relação ao controle foram expressos como a média das
repetições adicionada do desvio padrão ou do erro padrão para cada ponto, sendo
considerados significativos os dados com p 0,5.
Uma vez que as formas promastigotas de Leishmania não penetram ativamente nas
células do hospedeiro, sua capacidade infectante é considerada bem sucedida quando o
parasito é fagocitado. Por conta disso, foram utilizados, também, ensaios de viabilidade e
funcionalidade de fagócitos de hospedeiro vertebrado com a finalidade de se observar a
alteração anti-fagocitária de constituintes do extrato vegetal capazes de interferir
prematuramente no ciclo biológico parasitário, evitando sua assimilação em macrófagos de
um sistema hospedeiro (roedor) e conseqüente implantação da doença (leishmaniose
tegumentar americana). Desta forma, os resultados obtidos nessa segunda fase experimental
permitiram, também, a avaliação do potencial antiinflamatório dos extratos.
Curva de crescimento parasitário.
Foi empregada a metodologia clássica da avaliação numérica de formas parasitarias
desenvolvidas em meio acelular, conforme descrito na literatura (JENSEN, 1983). Para cada
cultivo iniciado, foi elaborado uma curva de crescimento, onde as absorbâncias das
suspensões celulares, tratadas com as diferentes concentrações de extratos vegetais, foram
colorimétricamente medidas no comprimento de onda de 540 nm. Os valores turbidimétricos
obtidos foram associados à quantificação hemocitométrica (câmara de Neubauer) das
alíquotas dos tratamentos nos diferentes intervalos de tempo, gerando curvas de crescimento
quantitativo das formas promastigotas em meio axênico frente aos extratos. Os resultados
evidenciaram um efeito estimulador da proliferação de promastigotas de L. braziliensis
quando tratadas com o extrato metanólico (Figura 97 pág-148).
150
Figura 99: Curva de crescimento de promastigotas de Leishmania (Viannia)
braziliensis
(L566+OCMeOH) em meio axênico bifásico (NNN) adicionado de 16
mg/mL de extrato metanólico de
Ouratea cuspidata (OCMeOH), em relação ao sistema
controle (L566) constituído de promastigotas não expostas ao extrato. Os resultados
expressam a média de quatro observações turbidimétricas, adicionadas do erro padrão (
p0,01).
Teste de exclusão do Azul de Trypan (Viabilidade):
Para realização dos ensaios de viabilidade, empregou-se a metodologia descrita por
(SAVOIA et al., 2002), que foi aplicada tanto em promastigotas quanto em fagócitos do
hospedeiro submetidos aos diferentes tratamentos com extrato vegetal. Os resultados serviram
para comparar o efeito antiparasitário com a toxidade relativa das substâncias biologicamente
ativas contidas no extrato da planta.
a) Em promastigotas de L. braziliensis:
No ensaio com promastigotas L566, alíquotas referentes aos diferentes tratamentos
foram adicionadas de 10% de uma solução de azul Trypan-CI23850(J.T. Baker
Chemical Co., USA) e mantidas em repouso por dez minutos à temperatura ambiente.
Em seguida as células foram centrifugadas sob baixa rotação(100
rpm/10minutos/27ºC) em centrifuga clínica convencional Ecelsa 2, mod 205
(FANEM, Brasil). O sobrenadante contendo o corante não absorvido foi descartado e,
ao sedimento, adicionou-se solução salina tamponada com fosfato (PBS -8,0 g NaCl,
0,2g KCl, 1,44g Na
2
HPO
4
, 0,24g KH
2
PO
4
, H
2
O q.s.p 1000mL, pH 7,2-7,4) em volume
equivalente ao da alíquota inicial. As células coradas (mortas) foram quantificadas
hemocitometricamente (câmara de Neubauer) sob aumento de 400
X
em microscópio
ótico comum BX-41 (Olympus, Japão), em relação às células viáveis, que não foram
permeáveis ao corante, para a estimativa do percentual de viabilidade. Assim, os
valores numéricos foram aplicados à formula:
V% = NCV – NCM x 100
TCC
Onde, V% = Percentual de Viabilidade; NCV = Numero de células vivas;
NCM = Numero de células mortas; TCC = Total de células contadas
0
0,5
1
1,5
0 6 12 24 48 72
Tempo de incubação (horas)
Absorbância (540nm)
L566+OCMeOH
L566
0
0,5
1
1,5
0 6 12 24 48 72
Tempo de incubação (horas)
Absorbância (540nm)
L566+OCMeOH
L566
151
b) Em macrófagos do hospedeiro vertebrado
No ensaio com macrófagos do hospedeiro vertebrado foram utilizados lavados
peritoneais de acordo com a metodologia descrita na literatura (HERSCOWITZ et al.,
1981), adaptada para nossas condições experimentais, de acordo com (HERZOG-
SOARES et al., 2004). Os macrófagos foram obtidos de Hamsters (Crycetua crycetus)
adultos jovens, gerando suspensões contendo 10
6
celulas/mL em meio RMPI-1640
(Difco-Inglatera), isento de soros, antibióticos ou aditivos. As suspensões foram
divididas em alíquotas de 1mL sobre as quais foram adicionadas diferentes
concentrações do extrato vegetal. As células submetidas aos diferentes tratamentos
foram mantidas, durante 24 horas a 37°C, 5% CO
2.
Ao final do período de incubação,
as diferentes suspensões celulares foram adicionadas de Azul de Trypan e submetidas
às avaliações microscópicas para a caracterização da viabilidade e de alterações
morfológicas relacionadas ao processo de morte celular programada (morte natural),
ou apoptose. A avaliação da apoptose foi realizada de acordo com as metodologias
descritas por (SHWARTZ, et al 1995).
Nesse ensaio foi observado que as formas promastigotas permaneceram viáveis em
todas as concentrações do extrato (Ouratea cuspidata metanolico) OCMeOH, entretanto
alterações morfológicas foram observadas partir da exposição à concentração equivalente a 2
mg/10
6
L566/mL. A exposição às concentrações de 8, 16 e 32 mg de OCMeOH/10
6
L566/mL,
respectivamente causou a deformação de 62%, 78% e 98% das células que perderam suas
características de forma, tornando-se totalmente redondas, mas ainda com flagelos, sugerindo
tratarem-se de células defectivas e não de formas amastigotas.
A viabilidade das células hospedeiras, macrófagos (Mφ) foi mais afetada quando
comparadas com as promastigotas (L566). Entretanto, nas concentrações do extrato
OCMeOH de 2 e 4 mg/10
6
Mφ/mL 99% das células se apresentavam viáveis, enquanto que
alterações morfológicas extensas já aconteciam nas formas parasitárias submetidas a
tratamento idêntico. A viabilidade dos macrófagos (Mφ), diminuiu gradativamente a partir da
exposição à concentração de OCMeOH equivalente a 8, 16, 32 mg/10
6
Mφ/mL, onde
observou-se viabilidade de 87%, 78% e 70%, respectivamente. Em relação a alterações
morfológicas, os macrófagos (Mφ) foram menos afetados que as L566. As alterações foram
visualizadas somente em Mφ tratados com as doses iguais ou superiores a 4 mg de
OCMeOH/10
6
Mφ/mL. Nesta concentração 7% das células apresentaram alguma alteração
morfológica. Nas concentrações de 16 e 32 mg de OCMeOH/10
6
Mφ/mL as alterações
morfológicas foram compatíveis com as ocorrentes em processos apoptóticos, com
fragmentação nuclear, aparecimento de bolhas citoplasmáticas e fragmentação celular. Nas
concentrações de 16 e 32 mg de OCMeOH/10
6
Mφ/mL foram observadas alterações em 40%
e 62%, dos Mφ tratados, respectivamente.
152
Figura 100: Viabilidade de promastigotas de Leishmania braziliensis (L566) e de
macrófagos peritoneais (M
φ) de hamsters (Crycetus crycetus) frente a diferentes
concentrações do extrato metanólico de
Ouratea cuspidata . Os pontos assinalados
representam a média de quatro observações adicionadas do erro padrão. As diferenças
asterisco) foram analisadas através de ANOVA, sendo considerados significativas quando
p0,05.
Figura 101: Alterações morfológicas de promastigotas de Leishmania braziliensis
(L566) e de macrófagos peritoneais (M
φ) de hamsters (Crycetus crycetus) frente a
diferentes concentrações do extrato metanólico de
Ouratea cuspidata . Os pontos
assinalados representam a média de quatro observações adicionadas do erro padrão. As
diferenças asterisco) foram analisadas através de ANOVA, sendo considerados
significativas quando p0,05.
0
20
40
60
80
100
120
02481632
Cocentração (mg/10
6
células/ mL)
Viabilidade (%)
0
20
40
60
80
100
120
02481632
Concentração (mg/10
6
células/mL)
Alterações morfológicas (%)
153
Medidas de atividade mitocondrial (metabolismo enzimático intermediário).
O efeito dos tratamentos sobre a atividade enzimática-mitocondrial foi medida
através da metodologia descrita na literatura ( BERG et al., 1994, DUTTA et al., 2005), onde
a taxa de atividade das desidrogenases mitocondriais, foi aferida através do desdobramento do
azul de Tetrazólio (MTT), assimilado pelas células viáveis, com a geração de formazanas
intracelulares. Os produtos corados passam ao sobrenadante dos cultivos quando as
suspensões celulares livres do excesso de MTT não assimilado (lavadas com PBS) são
rompidas pela adição de dimetilsulfóxido (DMSO) na concentração de 5%. Ocorre a geração
proporcional de cor nos sobrenadantes que foi medido espectrofotometricamente (492nm)
gerando dados proporcionais onde a coloração citoplasmática das células tratadas foi
proporcional a atividade enzimática intracelular, permitindo, assim, estimar a potencialidade
metabólica celular nos diferentes tratamentos realizados.
Nas avaliações realizadas com as promastigotas L566, células foram previamente
cultivadas em meio BHI em microplacas de fundo chato com 96 orifícios, contendo 10
6
formas promastigotas por mL e tratadas com as diferentes concentrações de extrato vegetal
durante 24 horas. Posteriormente, as células foram centrifugadas o meio de cultura foi
aspirado e as células foram ressuspendidas com 100 µL de uma solução de MTT em solução
salina tamponada com fosfato (PBS), na concentração de 2 mg/mL e encubadas durante
quatro horas a 37 °C na ausência de luz. Os cristais de formazana oriundos da redução
enzimática do corante pelas células viáveis, foram dissolvidos em DMSO. A atividade
mitocondrial foi estimada através de leitura espectofotométrica a 492nm.
A intensidade da cor azulada desenvolvida nas células controle, foi considerada como
representando 100 % de viabilidade em todas as medidas realizadas. Todas as comparações
posteriores foram baseadas nesse critério de referência. Comparativamente foram realizados
testes de controle negativo, onde a absorbância do MTT e do veículo, nas diluições de 1:1
foram avaliadas, na ausência de células.
Os resultados indicaram haver alteração das funções mitocondriais nos Mφ tratados,
que apresentaram diminuição da capacidade de desdobrar o metiltetrazólico em cristais de
formazana pelos macrófagos (Mφ) tratados, quando comparados com o controle (Mφ não
tratados) (Figura 102 pág-154). Nesse caso, a atividade mitocondrial foi gradativamente
afetada, sendo diretamente relacionada ao aumento das concetrações de OCMeOH.
Foi observada uma diminuição da atividade enzimática intracelular em 13,51%, 33,7%
e 51,35%, nos tratamentos com 8, 16 e 32 mg de OCMeOH/10
6
Mφ/mL .
Embora as L566 também tenham sido afetadas pelo tratamento, tal efeito não
apresentou correlação direta entre a dose de OCMeOH e a diminuição da atividade enzimática
(Figura103pág-154). Embora tenha havido uma diminuição de 26% da atividade
mitocondrial parasitária em L566 tratadas com 4mg /10
6
L566/mL, em relação ao tratamento
com 2 mg/10
6
L566/mL, a atividade mitocondrial das promastigotas foi sempre superior a
atividade detectada nas L566 não tratadas (controle), sugerindo terem sido a uma aceleração
metabólica induzida pelo tratamento com OCMeOH. Nas concentrações 8, 16, 32 mg de
OCMeOH/10
6
L566/mL houve um aumento de 220%, 389% e 480%, respectivamente, na
atividade enzimática parasitária. O aumento na atividade metabólica mitocondrial evidenciado
nas formas L566 apresentou correlação direta com o aumento das taxas de proliferação celular
observado nas avaliações do crescimento de promastigotas frente às mesmas concentrações de
OCMeOH (Figura 99 pág-150), sugerindo que constituintes do extrato possam afetar mitose
parasitária.
154
Figura 102 : Medidas de Absorbância da atividade enzimática mitocondrial em
macrófagos peritoneais (M
φ) de hamsters (Cricetus cricetus), através da dosagem de
formazana, gerada pelo desdobramento fisiológico do brometo de metiltetrazólico (MTT),
após exposição por 24 horas a diferentes concentrações do extrato metanólico de
Ouratea
cuspidata
(OCMeOH). N= 5 (p0,05).
Figura 103: Medidas de Absorbância da atividade enzimática mitocondrial em
promastigotas de
Leishmania(Viannia) braziliensis (L566) através da dosagem de
formazanas, geradas pelo desdobramento fisiológico do brometo de metiltetrazólico
(MTT), após exposição por 24 horas a diferentes concentrações do extrato metanólico de
Ouratea cuspidata (OCMeOH). N= 5 (p0,05).
0
0,1
0,2
0,3
0,4
0,5
0,6
0,7
0,8
0,9
2481632
OCMeOH (mg/10 células/mL)
Absorbância (492nm)
Controle
M
Φ
0
0,1
0,2
0,3
0,4
0,5
0,6
0,7
0,8
0,9
2481632
OCMeOH (mg/10 células/mL)
Absorbância (492nm)
Controle
M
Φ
0
0,5
1
1,5
2
2,5
3
3,5
4
4,5
02481632
OCMeOH (mg/10 células/mL)
Absorbância (492nm)
L566
Controle
0
0,5
1
1,5
2
2,5
3
3,5
4
4,5
02481632
OCMeOH (mg/10 células/mL)
Absorbância (492nm)
L566
Controle
155
Atividade Antiinflamatória
A atividade antiinflamatória foi estimada em macrófagos peritoneais de
mamíferos hospedeiros e consistiu nas avaliações da viabilidade, morfologia e atividade
enzimática, associadas a ensaios de avaliação da atividade fagocitária para partículas inertes.
Todas as metodologias empregadas nesses ensaios foram inicialmente baseadas naquelas
descritas por (HERSCOWITZ et al 1981).
Avaliação da capacidade de fagocitose dos macrófagos
A capacidade de fagocitose dos macrófagos peritoniais dos hamsters foi avaliada pelo
método previamente descrito por (TORRES-SANTOS et al., 1999). Os macrófagos foram
cultivados em quatro repetições na presença de 5 concentrações de extratos vegetaais
(2mg/mL, 4mg/mL, 8mg/mL, 16mg/mL e 32mg/mL) por 2 horas. As células foram
centrifugadas a 600rpm/10
0
C por 15 minutos (três vezes), para a retirada do sobrenadante e
novamente acrescidas de meio RPMI-1640 adicionado de uma suspensão de Zymozan
equivalente a uma concentração de 5-10mg/mL de partículas inertes para cada 10
6
macrófagos
peritoneais. Após 1 hora de incubação a 37
0
C (5% CO
2
) as células foram novamente
centrifugas por três vezes consecutivas, para a retirada das partículas de Zymosan que não
foram fagocitadas. As células foram fixadas e coradas pelo Panótico (hematoxilina-Eosina), e
avaliadas quanto à capacidade fagocítica, de acordo com a seguinte fórmula:
IF = Número de Mφ que fagocitaram 3 ou mais partículas X 100
Número total de Mφ contados
Onde IF corresponde ao índice fagocítico (%) e Mφ corresponde aos macrófagos.
Os resultados foram comparados aos controles constituídos de Mφ não tratados
e expressos em percentuais de atividade fagocítica.
A capacidade fagocítica, assim determinada, diminuiu drasticamente à partir da
exposição à concentração de OCMeOH equivalente a 16 mg/10
6
Mφ/mL, onde observou-se
uma capacidade de ingestão equivalente a 8% da capacidade fagocítica observada nos
controles (Mφ não tratados). A exposição à concentração de 32 mg de OCMeOH/10
6
Mφ/mL
causou uma inibição de 98% da capacidade fagocítica em relação ao controle. A perda da
função fagocitária foi irreversível, uma vez que os macrófagos tratados com as doses
limitantes do extrato vegetal, quando lavados por centrifugações seqüenciais e adicionados
em meio de cultivo livre de aditivos, na presença de soro fetal bovino inativado, não
recuperaram suas funções metabólicas.
156
Figura 104: Percentual de endocitose de parículas inertes (Zymozan) em macrófagos
peritoneais de hamsters (
Cricetus cricetus) tratados com diferentes doses do extrato
metanólico de
Ouratea cuspidata (OCMeOH) durante duas horas a 37°C, 5% CO
2
, em
comparação ao controle constituído por células não tratadas. Os resultados estão expressos
como sendo a média de quatro repetições por concentração analizada adicionados do erro
padrão (p0,01).
A avaliação das alterações morfofisiológicas presentemente detectadas sugeriu que
OCMeOH exerce efeitos distintos para ambos, células hospedeiras e promastigotas. Tal
possibilidade foi corroborada através de ensaios de bioproteção in vitro, nos quais
comprovou-se que as doses atóxicas para as células hospedeiras corresponderam àquelas que
melhor eliminaram substâncias oxigênio-reativas ocorrentes pela indução artificial de TBARS
em membranas eritrocitárias, através de mecanismos não enzimáticos (Figuras 97 pág-148 e
105 pág-156).
Figura 105: Percentual de bioproteção contra a geração de radicais livres por diferentes
concentrações da fração metanólica de
Ouratea cuspidata (OCMeOH). Os resultados
0
50
100
0 2 4 8 16 32
mg/10
6
células/mL)
Fagocitose (%)
Controle
OCMeOH
0
50
100
0 2 4 8 16 32
mg/10
6
células/mL)
Fagocitose (%)
Controle
OCMeOH
-130
-80
-30
20
70
00,22560100
OCMeOH (mg/mL)
Bioproteção (%)
157
representam a média de quatro repetições de ensaios realizados “in vitro” onde as diferentes
concentrações do extrato vegetal foram adicionadas sobre sistema gerador de substâncias
reativas ao ácido tiobarbitúrico (TBARS).
Neste experimento, foi confirmada a ação bioprotetora em doses decrescentes de
OCMeOH, onde a concentração de 0,2 mg/mL foi capaz de proteger 98% das membranas
quanto à formação de peróxidos de lipídeos e formação de TBARS. A concentração de 100
mg/mL (500 vezes maior) induziu a formação de TBARS adicionais no sistema, que
apresentou concentração de radicais livres 1,3 vezes maior que o sistema de experimental
utilizado. As concentrações de 25 mg/mL (125 vezes maior) e de 60 mg/mL (300 vezes
maior), apresentaram percentual de bioproteção de 71% e 24%, respectivamente. Sugerindo
ter ocorrido o efeito farmacológico, comum em plantas com atividade medicinal, denominado
de hormese, onde as doses mais baixas de um extrato exercem efeito biológico mais
pronunciado que aquelas mais elevadas (Figura 106).
Figura 106; Curva de regressão linear evidenciando a hormese bioprotetora obtida pela
adição da fração metanólica de
Ouratea cuspidata (OCMeOH) sobre sistema biológico
sujeito à indução de radicais livres reativos ao ácido tiobarbitúrico (TBARS). Os
resultados estão representados como a média de quatro repetições acrescidos do erro
padrão (p0,01).
No presente ensaio pôde-se notar uma intensa atividade biológica sobre a proliferação
parasitária e concomitante efeito antiinflamatório decorrente da paralisação metabólica nas
células hospedeiras. Nesse contexto, a atividade antiparasitária exercida pelos constituintes
presentes no extrato OCMeOH estariam relacionados à inibição da fagocitose dos parasitas
que, por não penetrarem ativamente nas células do hospedeiro, estariam mais expostos aos
efeitos locais da droga
R
2
= 0,9762
0
20
40
60
80
100
120
0,2 25 60
OCMeOH (mg/mL)
Bioproteção (%)
158
Conclusão.
O estudo sobre a diversidade flavonoídica dos gêneros Ouratea e Luxemburgia
permitiu verificar que que as substâncias mais significativas do gênero Ouratea são os
biflavonóides com ligação interflavonoídica do tipo C-C, sendo o representante mais
abundante o derivado da agatisflavona. Por outro lado o gênero Luxemburgia é caracterizado
pela ligação do tipo C-O-C, cujo componente mais abundante a 2′′-diidroochanaflavona, além
das chalconas presentes apenas em espécies desse gênero, tanto na forma monomérica como
nas bichalconas A distribuição do grupo de produtos naturais formados por acoplamento de
duas unidades flavonoídicas nos gêneros Ouratea e Luxemburgia e o levantamento de suas
propriedades biodinâmicas permitiram: caracterizá-los como marcadores quimiotaxonômicos
para os referidos táxons, propor uma nomenclatura com notação para esse grupo de
substâncias e evidenciar suas potencialidades farmacológicas. Apesar dessas espécies não
serem tão conhecidas na medicina popular, a freqüência das biflavonas é indicativo de ótimas
perspectivas para se tornarem constituintes de medicamentos.
Este é o primeiro estudo químico de inflorescência de Ouratea hexasperma e revelou a
presença de glicosídeos não isolados anteriormente de Ouratea e, inclusive, permitiu verificar
que, certamente, nessa parte da planta não são metabolisados biflavonas.
Quanto ao estudo químico de caule de O. hexasperma permitiu identificar duas
substâncias novas a serem registradas na literatrura e verificar que espécies desse gênero
podem metabolisar flavonóides prenilados.
O estudo químico de folhas e caule de Ouratea cuspidata levou ao isolamento de
substâncias pertencentes as classes de metabólitos identificados em outras espécies de
Ouratea. A presença de biflavonóides do grupo da amentoflavona foi confiramda nessa parte
da planta. Tanto o biflavonóide putraflavona como a monoflavonoide tricina são registradas
pela primeira vez no gênero Ouratea.
A avaliação da atividade biológica dos extratos das folhas de Ouratea cuspidata
revelou que em baixas concentrações o extrato metanólico apresenta maior atividade
antiparasitária frente a Leishmania braziliensis, maior ação bioprotetora contra radicais livres
e antiinflamatória. Esses resultados demonstram que folhas dessa espécie podem ser
empregadas como fonte de fármaco na terapêutica contra Leishmaniose.
159
REFERÊNCIAS
AGRAWAL, P. K.; BANSAL, M. C.; PORTER, L. J.; FOO, L. Y. Carbon-13 NMR of
flavonoids – studies in organic chemistry 39; AGRAWAL, P. K. ed; elsevier Science
Publishers B. V.: Amsterdam v 39 201p. 1989.
ALVES C. C. F.; Estudo químico de Luxemburgia octandra (Ochnaceae), Laseguea erecta
(Apocynaceae), do Látex de Parahancornia amapá (Apocinaceae) e de Solanum crinitum
(Solanaceae)Tese, Doutorado Universidade Federal Rural do Rio de Janeiro, Departamento de
Ciências Exatas, PPGQO, Seropédica-RJ, Brasil, 2003.
BARREIRO, E. J.; Fraga; C. A. M; Química medicinal As bases moleculares da ação dos
fármacos, Porto Alegra,: Artmed Editora, p 53-81, 2001
BAROSO; G. M.; Sistemática de Angiospermas do Brasil, UFV-MG 130p, 1986.
BASTOS, A. B. F. D.O; CARVALHO, M. G.; VELANDIA J.R.; BRAZ-FILHO,R;
Constituintes químicos isolados de Simira glazeava e a atribuição dos deslocamentos
químicos dos átomos de carbono e hidrogênio do alcalóide ofiorina e seus derivados, Química
Nova, v. 25 n.2, p. 241-245, 2002.
BERG, K., ZHAI, L., KHARAZMI, A.;OWEN, T. C. The use of a water-soluble formazan-
complex to quantitate the cell number and mitochondrial function of Leishmania major
promastigotes. Parasitology Research, v. 80: p. 235-239, 1994
BOSSO, A. A. Identificação de biflavonoides de Luxemburgia nobilis e Ouratea semiserrata
(Ochnaceae) por cromatografia Liquida de Alta Eficiência HPLC. Dissertação de Mestrado
Universidade Federal Rural do Rio de Janeiro, Departamento de Ciências Exatas, PPGQO,
Seropédica-RJ, Brasil, 2003.
BREITMAIER, E.; VOELTER, W.; Carbon-13 NMR Spectroscopy high-resolution methods
and applications in organic chemistry and biochemistry, New York third, completely revised
edition, 1989
CALIXTO; J. B.; Medicamentos fitoterápicos In: YUNES; R. A.; CALIXTO J. B;(Org)
Plantas medicinais sob a ótica da química medicinal moderna, Chapecó: Agros p. 297-315,
2001
CARDOZO, M. A. R; Metabólitos especiais isolados dos galhos e folhas de Piptadenia
gonoacantha (Mart.) J. F. Macbr. (Leguminosae) e das flores de Laseguea erecta Mull. Arg.
(Apocynaceae). Dissertação Mestrado Universidade Federal Rural do Rio de Janeiro,
Departamento de Ciências Exatas, PPGQO, Seropédica-RJ, Brasil, 2006.
160
CARVALHO, M. G. DE.; ALVES, C. C. F.; SILVA, K. G. S.; EBERLIN, M. N.; WERLE,
A. A.; Luxenchalcone, a new bichalcone and other Constituents from Luxemburgia octandra
J. Braz. Chem. Soc. V.15, n. 1 p. 146-149, 2004,.
CARVALHO M. G. DE; VELANDIA, J. R.; de OLIVEIRA J. C. C.; ECHEVARRIA, A.;
BRAZ-FILHO, R.; GRYNBERG, N. F. Chemical Structure, Cytotoxic and Antitumour
Activities of Biflavonoids from Brazilian Ouratea (Ochanceae). In Phytochemical and
Pharmacologiy II of the Series “Recent Progress in Medicinal Plants”, Majumdar, D.K.;
Govil, J.N.; Singh, V.K. eds., SCI Tech Publishing LLC: Texas, USA, 8, p 77-92, 2002
CARVALHO, M. G. DE., DE CARVALHO G. J. A. de, BRAZ-FILHO; R; chemical
constituents from Ouratea floribunda: Complete
1
H and
13
C NMR assignments of Atranorin
and new acetyl derivate J. Braz. Chem. Soc. V. 11, n.2 p. 143-147,2000.
CARVALHO, M. G. DE.; OLIVEIRA, M. C. C.; WERLE, A. A.;Chemical constituents from
Luxemburgia nobilis (EICHL), J. Braz. Chem. Soc. V. 11, n. 3 p. 232-236, 2000.
CARVALHO M. G. DE; BRAZ-FILHO, R Novas técnicas de RMN e os deslocamentos
químicos dos átomos de 1H e 13C da isoflavona Duartina. Química Nova, v. 16, n. 2. p. 89-
94, 1993
CHARI; V. M.; CHEN, F.; CHEN; L.; ILYAS, M.; LIN, Y. C.; LIN, Y. M.; NESAMELY; A
;WAGNER; H.; 13C-NMR Spectroscopy of biflavanoids Phytochemistry v.16 p.1273-1278,
.1977.
CORTES, S. F.; VALADARES, M. Y.; OLIVEIRA, A B. DE; LEMOS. S. V.; BARBOSA,
M. P. T.; BRAGA, F. C.;Mechanism of endothelium-dependent vasodilation induced bv a
proanthocyanidin-rich fractaion from Ouratea semisserata, Planta Medica v.68 n.5, p. 412-
415; 2002
DAHLGREN, R. M. T.; Bot. J. Line Soc. 80(2), 91. 1980
DANIEL, J. F. De S.; DE CARVALHO, M. G.; CARDOSO, R. dA S.; AGRA, M. dE F.;
EBERLIN, M. N.;Others flavonoids from Ouratea hexasperma (Ochnaceae). J. Braz. Chem.
Soc. V.16, p. 634, 2005
DANIEL, J. F. DE S.; Metabólitos especiais isolados de Ouratea hexasperma (Ochnacea),
Dipladenia martiana (Apocynaceae) e de Caesalpinia peltophoroides (Leguminosae), Tese
doutorado Universidade Federal Rural do Rio de Janeiro, Departamento de Ciências Exatas,
PPGQO, Seropédica-RJ, Brasil, 2006.
DE CARVALHO G. J., CARVALHO, M. G DE., BRAZ-FILHO, R.; Terpenos, triterpenos e
esteroides de flores de Wedelia paludosa, Química Nova, V. 24 n. 1 p. 24-26, 2001.
DEWICK, P. M.; Medicinal natural products. A biosynthetic approach, ed John Wiley & Sons
LTD: England 466p 1997,
DEWICK, P. M.; Medicinal natural products. A biosynthetic approach, 2 ed John Wiley &
Sons LTD: England 507p 2002,
DOMINGUEZ; A X.; Metodos de investigacion fitoquímica, México, Ed Limusa, p. 139,
149, 211, 1973.
161
DORA;G.; EDWARDS, J. M.; Taxonomic status of Lanaria lanata and isolation of a novel
biflavone, J. Nat. Products v. 54 n.3, p. 796.-801, 1991
DREWES S. E.; Hudson, N. A.; Bates, R. B.; Linz, G. S.;Novel dimeric c halcone –based
pigments from Brackenridgea zanguebarica. Tetrahedron Letters v. 25 n. 1 105-108, 1984
DUTTA, A., ANDYOPADHYAY, S., MANDAL, C. CHATTERJEE, M., Development of a
modified MTT assay for screening antimonial resistant field isolates of Indian visceral
leishmaniasis. Parasitology International, v. 54: p. 119-122. 2005.
FELÍCIO J. D.; GONÇALEZ,E.; BRAGGIO, M. M.; CONSTANTINO, L.; ALBASINI, A;
LINS, A P.; Inibition of lens aldose reductase by biflavones from Ouratea spectabilis, Planta
Medica v. 61, p. 217-220, 1995.
FELÍCIO, J. D.; ROSSI, M. H.; BRAGGIO M. M.; GONÇALZ, E., PAK, A.; CORDEIRO,
I.; FELÍCIO; R. C.; Chemical constituents from Ouratea paviflora, Biochem. Syst. And
Ecology, v.32, p. 79-81,2004.
FELÍCIO, J. D.; ROSSI, M. H.; PARK, H. R.; GONÇALEZ, E.; BRAGGIO, M. M.;
DAVID,J. M.; CORDEIRO, I; Biflavonoids from Ouratea multiflora,.; Fitoterapia v. 72, p.
453-455, 2001.
FERREIRA;S. H.; BARATA; L.E.S.; SALLES;S. L. M ; QUEIRÓZ; S.R. R.; NETO; N. E.
H.; CORAZZA; R.; FARIAS; R. C.; Medicamentos a partir de plantas medicinais do Brasil
Rio de Janeiro, Academia Brasileira de Ciências, 131p 1998
GARG, H. S.; MITRA, C. R.; Putraflavona, A new biflavonoid from Putranjiva roxburghii,
Phytochemistry, v. 10, p. 2787-2791, 1971.
GRYNBERG N. F.; DE CARVALHO, M. G.; VELANDIA, J. R.; OLIVEIRA, M. C.;
MOREIRA, I. C.; BRAZ-FILHO, R.; ECHEVARRIA, A.; DNA topoisomerase inhibitors:
biflavonoids from Ouratea species, Braz. J. Med. Biol. Res.v.35 n. 7 p. 819-822, 2002.
GONZALEZ; E.; FELÍCIO, J. D.; PINTO, M. M.; Biflavonoids inhibit the production of
aflatoxin bv Aspergillus flavus. Braz. J. Med. Biol. Res. v. 34 p. 1453-1456, 2001.
GARTLAN, S.; MCKEY D. B.; WATERMAN, P. G.; MBI, C. N.; STRUHSAKER, T. T.; A
comparative study of the phytochemistry of two African rain florests. Biochem. Syst. Ecol. ,
V. 8, p. 401-422. 1980.
HERSCOWITZ , H. B, HOLDEN H. T. BELLANTI, JA. ;GHAFFAR, A Manual of
macrofhage methodology, collention, characterization and function, ed Marcel Dekker, INC,
New York, 531p. 1981
HERZORG-SOARES, J. D. A. & FREIRE, R. B.. Effect of Citrinin and in Association with
Aflatoxin B
1
on the Infectivity and Proliferation of Toxoplasma gondii in vitro. The Brazilian
Journal of Infection Diseases, 8:101-108. 2004
JENSEN, J. B.; In vitro cultivation of protozoan parasites, ed CRC Press, Florida, 297 p, 1983
JOLY, A B.; Botânica: Introdução à Taxonomia Vegetal, 12
a
Ed., São Paulo, Cia Editora
Nacional, 777p., 1988.
162
KOJIMA, H; SATO, N.; ATANO, A., OGURA, H.; Constituents of the Labiatae plants. 5.
sterol glucosides from Prunella vulgaris. Phytochemistry, v. 29 n. 7 p. 2351-2355 1990
KOMATSU, M; TOMIMORI, T.; Studies on the constituents of Swertia japonica: isolation
and structure of new flavonoids, swertisin and swertijaponin. Tetrahedron Letters n. 15 p.
1611-1617, 1966.
KUMARASAMY Y.; BYRES, M.; COX, P. J.; DELAZAR, A.; JASPARS, M.; NAHAR, L.;
SHOEB, M.; SARKER, S. D.; Isolation, structure elucidation, and biological activity of
flavone 6-cglycosides, Chemistry of Natural compounds, v. 40, n. 2, 2004
KUWABARA, H.; MOURI, K.; OTSUKA, H.; KASAI, R.; YAMASAKI, K.; Tricin form a
Malagasy Connaraceous plant with potent antihistaminic Activity, J. Nat. Prod, v. 66, p.
1273-1275, 2003.
LIKHITWITAYAWUID, K.; RUNGSERICHAI, R.; RUANGRUNGSI, N.;
PHADUNGCHAROEN, T.; Flavonoids from Ochna integérrima, Phytochemistry, V. 56, p.
353-357, 2001.
LIN, Y. M.; FLAVIN M. T.; SCHURE, R.; CHEN, F. C.; SIDWEL, R.; BARNARD, D. L.;
HUFFMAN, J.H.; KERN, E. R.; Antiviral activities of biflavonoids; Planta Medica,v. 65, n.
2 p. 120-125 1999.
MANN J., Chemical Aspects of biosynthesis, 1 ed, Oxford University press, 92p, 1994.
MATOS; F. J. A; Introdução a fitoquímica experimental, Fortaleza, Ed. Edições UFC, p.121,
1988.
MBING, J. N.; PEGNYEMB, D. E.; TIH, R. GHOGOMU T. R.; SONDEMGAM, B. L.;
BLOND A.; BODO, B.; Two biflavonoids from Ouratea flava stem bark; Phytochemistry,
v.63, p.427-431, 2003.
MESSANGA, B. B.; KIMBU, S. F.; SONDENGAM, B. L.; BODO, B.; Triflavonoids of
Ochna calodendron, Phytochemistry, V. 59, p. 435. 2002.
MOREIRA I. C.; SOBRINHO, D. C.; DE CARVALHO, M. G.; BRAZ-FILHO, R.;
Isoflavanone dimers Hexaspermone A, B, and C from Ouratea hexasperma, Phytochemistry,
v. 35, n. 6 p. 1567-1572 1994.
MOREIRA, I. C.; DE CARVALHO, M. G.; BASTOS A B. F.; BRAZ-FILHO, R.; A flavone
dimer from Ouratea hexasperma, Phytochemistry, v. 51, p.833-838 1999.
MARCAL, P. Q.; LIMA, E. O.; MAIA, R. F.; XAVIER, L. F.;Antimicrobial active of theoil
of the fruit of Ouratea parviflora Baill (Ochnaceae). Laboratorio de Tecnologia Farmac.,
UFPB CCS, v. 8 n.3 19-21, 1986. Resumo do Chemical Abstracts vol 108: 91748n, p. 399,
1988.
MONACHE, F. D; Determinação estrutural de produtos naturais através da técnica de
ressonância magnética nuclear In: YUNES; R. A.; CALIXTO J. B.; (ORG) Plantas
medicinais sob a ótica da química medicinal moderna Chapeco: Argos p. 101-146, 2001
163
MONACHE F. D.; ALBUQUERQUE, I. L.DE; FERRARI, F.; BETOLLO, G. B. M.; A new
catechin and a dimeric proantocianidin from Ouratea especies; Tetrahedron Letters, 1967, 8
(43) p. 4211-42144. 1967. Resumo do Chemical Abstracts, vol. 68:104905u, p 10120, 1968.
NODARI; R. O.; GUERRA, M. P.; Biodiversidade: Aspectos bilogicos, geográficos, legais e
éticos, In: SIMÕES , C. M. O.; SCHENKEL, E. P.; GUSMAN, G.; MELLO J. C. P. de;
MENTZ L. A; PETROVICK, P. R.; Farmacognosia: Da Planta ao Medicamento,
UFSC/UFRGS, p. 11-24,2001.
OLIVEIRA; M. M. de; SAMPAIO, M. P.; SIMON, F.; GILBERT, B; MORS, W. B.;
Antitumor activicty of Condensend flavanols, An. Acad. Bras. Ciênc., v. 44, n. 1 P. 41-43,
1972.
OLIVEIRA , M. C. C.; DE CARVALHO, M. GSILVA, C. J.; WERLE, A. A.; New
biflavonoids and Other constituents from Luxemburgia nobilis (EICHL) J. Braz. Chem. Soc.,
v.13, n. 1 p. 119123 2002.
PEGNYEMB, D. E.; TIH, R. G.; SONDENGAM, B. L.; BLOND A.; BODO, B.;
Biflavonoids from Ochna afzelii, Phytochemistry , v. 57,p. 579-582 2001.
SIMÕES , C. M. O.; SCHENKEL, E. P.; GUSMAN, G.; MELLO J. C. P. de; MENTZ L. A;
PETROVICK, P. R.; Farmacognosia: Da Planta ao Medicamento, UFSC/UFRGS 821p,
2001.
SAMPAIO M. P.; OLIVEIRA, M. M. de; Triagem de substâncias e extratos de origem
vegetal no carcinossarcroma de Walker 256, An. Acad. Bras. Cienc., V. 47,n. 1 p. 149-153
1975.
SCHENKEL, E. P.; GOSMANN; G.; PETROVICK; P. R.; Produtos de origem vegetal e o
desenvolvimento de medicamentos; In:, SIMÕES , C. M. O.; SCHENKEL, E. P.; GUSMAN,
G.; MELLO J. C. P. de; MENTZ L. A; PETROVICK, P. R.; Farmacognosia: Da Planta ao
Medicamento, UFSC/UFRGS, p. 291-320, 2001.
SHRINER, R. L; The systematic identification of organic compounds 6 th Singapure, ed John
Wiley & sons, p. 160, 1979
SHEPHERD, G. J.; Conhecimento de Diversidade de Plantas terrestres do Brasil; In: T. M.
Lewinsohn; P. I. Prado (org) Biodiversidade brasileira síntese do estado atual do
conhecimento, São Paulo, Ed. Contexto, p. 155-159, 2002
SHWARTZ, et al 1995
SILVA, T. M. S; Estudo químico de espécie de Solanum (Solanaceae). Tese Doutorado
Universidade Federal Rural do Rio de Janeiro, Departamento de Ciências Exatas, PPGQO,
Seropédica-RJ, Brasil, 2002.
SOBRINHO, D. C., HAUPTLI, M. B.; APPOLINARIO, E. V.; KOLLENZ, C. L. M.;
CARVALHO M. G.; BRAZ-FILHO, R.; Triterpenoids isolated from Parahancornia amapá.
J. Braz. Chem. Soc., v. 2, n.1, p. 15-20, 1991.
SUZART, L. R.; DANIEL; J. F. de S.; DE CARVALHO; M. G.; KAPLAN; M. A C.;
Biodiversidade flavonoídica e aspectos farmacológicos de espécies dos gêneros Ouratea e
Luxemburgia (Ochnaceae), Química Nova, QN 336/06, aceito, 2007.
164
TIH A.; MARTIN M. T.; TIH, R. G.; VUIDEPOT, I.; SONDENGAM, B. L.; BODO, B.;
Lophiroflavans B and C, Tetraflavonoids of Lophira alata, Phytochemistry, v.31, n. 10 p.
3595-3599 1992.
TIH R. G.; SONDENGAM, B. L.; MARTIN, M. T.; BODO, B.; Structure of Lophirones B
and C, biflavonoids from the bark of Lophira lanceolata, Phytochemistry , v. 28, n. 5 p.
1557-1559 1989.
VELANDIA , J. R.; DE CARVALHO M. G.; BRAZ-FILHO, R.; Quím. Nova 21, 397, 1998,.
VELANDIA J. R.; DE CARVALHO, M. G.; BRAZ-FILHO, R.; WERLE A A; Biflavonoids
and glucopyranoside derivative from Ouratea semiserrata Phytochem. Anal., v. 13, p. 283-292
2002.
VELLOSO, C. R. X.; Triterpenos isolados de Parahancornia amapa (Apocynaceae) e
Diterpenos isolados de Pinus caribaea var. bahamensis Barr et Golf, Dissertação de Mestrado
Universidade Federal Rural do Rio de Janeiro, Departamento de Ciências Exatas, PPGQO,
Seropédica-RJ, Brasil, 1998.
VOGEL, A. I. Vogel’s Textbook of pratical organic chemistry, 5 th, England, Longman p.
433, 1989.
YUNES; R. A.; PEDROSA; R. C.; CECHINEL FILHO; V. C.; Farmácos e fitoterápicos: A
necessidade do desenvolvimento da industria de fitoterápicos e fitofarmacos no Brasil,
Química Nova, V. 24 n. 1 p. 147-152, 2001.
ZHOU, X., PENG, J.; FAN, GUORONG; WU, Y; Isolation and purification of flavonoid
glycosides from Trollius ledebouri using high-speed counter-current chromatography by
stepwise increasing the flow-rate of the mobile phase, Journal of Chromatography A, 1092 p.
216-221, 2005.
Livros Grátis
( http://www.livrosgratis.com.br )
Milhares de Livros para Download:
Baixar livros de Administração
Baixar livros de Agronomia
Baixar livros de Arquitetura
Baixar livros de Artes
Baixar livros de Astronomia
Baixar livros de Biologia Geral
Baixar livros de Ciência da Computação
Baixar livros de Ciência da Informação
Baixar livros de Ciência Política
Baixar livros de Ciências da Saúde
Baixar livros de Comunicação
Baixar livros do Conselho Nacional de Educação - CNE
Baixar livros de Defesa civil
Baixar livros de Direito
Baixar livros de Direitos humanos
Baixar livros de Economia
Baixar livros de Economia Doméstica
Baixar livros de Educação
Baixar livros de Educação - Trânsito
Baixar livros de Educação Física
Baixar livros de Engenharia Aeroespacial
Baixar livros de Farmácia
Baixar livros de Filosofia
Baixar livros de Física
Baixar livros de Geociências
Baixar livros de Geografia
Baixar livros de História
Baixar livros de Línguas
Baixar livros de Literatura
Baixar livros de Literatura de Cordel
Baixar livros de Literatura Infantil
Baixar livros de Matemática
Baixar livros de Medicina
Baixar livros de Medicina Veterinária
Baixar livros de Meio Ambiente
Baixar livros de Meteorologia
Baixar Monografias e TCC
Baixar livros Multidisciplinar
Baixar livros de Música
Baixar livros de Psicologia
Baixar livros de Química
Baixar livros de Saúde Coletiva
Baixar livros de Serviço Social
Baixar livros de Sociologia
Baixar livros de Teologia
Baixar livros de Trabalho
Baixar livros de Turismo