Download PDF
ads:
UNIVERSIDADE ESTADUAL PAULISTA “JULIO DE MESQUITA FILHO”
FACULDADE DE CIÊNCIAS AGRONÔMICAS
CAMPUS DE BOTUCATU
COMPORTAMENTO FISIOLÓGICO E MORFOLÓGICO DE CLONES
DE Eucalyptus sp. W. (HILL ex. MAIDEN) SUBMETIDOS A DIFERENTES
NÍVEIS DE ÁGUA NO SOLO.
MARIA RENATA ROCHA PEREIRA
Dissertação apresentada à Faculdade de Ciências
Agronômicas da UNESP - Campus de Botucatu, para
obtenção do título de Mestre em Agronomia – Área de
Concentração em Irrigação e Drenagem.
BOTUCATU-SP
Janeiro - 2006
ads:
Livros Grátis
http://www.livrosgratis.com.br
Milhares de livros grátis para download.
UNIVERSIDADE ESTADUAL PAULISTA “JULIO DE MESQUITA FILHO”
FACULDADE DE CIÊNCIAS AGRONÔMICAS
CAMPUS DE BOTUCATU
COMPORTAMENTO FISIOLÓGICO E MORFOLÓGICO DE CLONES
DE Eucalyptus sp. W. (HILL ex. MAIDEN) SUBMETIDOS A DIFERENTES
NÍVEIS DE ÁGUA NO SOLO.
MARIA RENATA ROCHA PEREIRA
Dissertação apresentada à Faculdade de Ciências
Agronômicas da UNESP - Campus de Botucatu,
para obtenção do título de Mestre em Agronomia – Área
de Concentração em Irrigação e Drenagem.
BOTUCATU-SP
Janeiro – 2006
ads:
AGRADECIMENTOS
A Deus pela sabedoria, compreensão, paciência e disposição para
transpor os obstáculos encontrados no caminho.
Agradeço a todas as pessoas e instituições que contribuíram de alguma
forma para minha evolução profissional e pessoal. Entre elas:
- À Faculdade de Ciências Agronômicas da Universidade Estadual Paulista – UNESP,
juntamente com a coordenação do curso de Irrigação e Drenagem, pela oportunidade de
realização do curso.
- À Coordenação de Aperfeiçoamento de Pessoal de Nível Superior (CAPES) pela
concessão da bolsa de estudo.
- À Empresa Eucatex Florestal, pelo fornecimento das mudas utilizadas.
- Ao Departamento de Recursos Naturais Setor de Ciências Florestais, pela infra-estrutura
utilizada. Em especial a Profa. Dra. Magali Ribeiro da Silva pela amizade, apoio e
estímulo durante o desenvolvimento deste trabalho, os quais foram decisivos.
- Ao orientador Prof. Dr. Antônio Evaldo Klar pela orientação, atenção dedicada,
conhecimentos transmitidos, pela simpatia com que sempre me recebeu e por mostrar-
me novos e maiores horizontes durante toda a realização desta dissertação.
- Aos funcionários da FCA, em especial aos do viveiro do Departamento de Recursos
Naturais e ao Gilberto e Rosângela, pelo bom convívio que será lembrado como boas
recordações.
- À Raquel Albuquerque pela ajuda indispensável e ótimo convívio.
- À Nara, Andréia e Adriana, pela amizade, apoio nos momentos difíceis desprendimento
e dedicação essencial à finalização desse trabalho.
- Ao Neumarcio Vilanova da Costa pela essencial ajuda nas análises estatísticas.
- Às novas e queridas amizades encontradas: Douglas, Maritane, Martha, Vladimir,
Rodrigo, Leopoldo, Cleusinha e Elisa.
- À minha família pelo apoio sem restrições durante toda essa fase.
- Ao André pelo incentivo, preciosas sugestões, sem as quais nada disto seria possível.
OFEREÇO
Aos meus pais, Sebastião Antônio Pereira e Valéria Rocha Pereira, que souberam me
conduzir na vida à procura de um ideal, pelo exemplo de vida e pelo apoio em momentos
decisivos.
v
LISTA DE TABELAS
Tabela Página
1 Granulometria e classificação textural do solo.......................................................... 15
2 Análise química de fertilidade do solo....................................................................... 15
3 Relações entre teores e potenciais de água do solo.................................................... 16
4 Resultados médios das variáveis morfológicas das mudas de Eucalyptus urograndis,
aos 15 dias após plantio e a significância do teste
F..................................................................................................................................
21
5 Características morfológicas médias das plantas de Eucalyptus urograndis, ao final
de 15 dias após implantação e o resultado estatístico da comparação entre potencial
de água no solo...............................................................................................................
23
6 Características morfológicas médias das plantas de Eucalyptus urograndis, ao final
de 15 dias após implantação e o resultado estatístico da comparação entre clones.......
24
7 Resultados médios das variáveis morfológicas das mudas de Eucalyptus urograndis,
aos 30 dias após plantio e a significância do teste
F................................................................................................................................... 25
8 Características morfológicas médias das plantas de Eucalyptus urograndis, ao final
de 30 dias após implantação e o resultado estatístico da comparação entre potencial
de água no
solo.............................................................................................................................. 27
9 Características morfológicas médias das plantas de Eucalyptus urograndis, ao final
de 30 dias após implantação e o resultado estatístico da comparação entre
clones........................................................................................................................... 28
10 Resultados médios das variáveis morfológicas das mudas de Eucalyptus urograndis,
aos 50 dias após plantio e a significância do teste
F.................................................................................................................................. 29
11 Características morfológicas médias das plantas de Eucalyptus urograndis, ao final
de 50 dias após implantação e o resultado estatístico da comparação entre potencial
de água no solo.............................................................................................................. 31
vi
12 Características morfológicas médias das plantas de Eucalyptus urograndis, ao final
de 50 dias após implantação e o resultado estatístico da comparação entre clones....... 31
13 Resultados médios das variáveis morfológicas das mudas de Eucalyptus urograndis,
aos 70 dias após plantio e a significância do teste F....................................................... 32
14 Características morfológicas médias das plantas de Eucalyptus urograndis, ao final
de 70 dias após implantação e o resultado estatístico da comparação entre potencial
de água no solo .............................................................................................................. 34
15 Características morfológicas médias das plantas de Eucalyptus urograndis, ao final
de 70 dias após implantação e o resultado estatístico da comparação entre
clones.............................................................................................................................. 35
16 Matéria seca de parte aérea (MSPA) de plantas de Eucalyptus urograndis, ao final de
70 dias após implantação e o resultado estatístico da comparação entre potencial de
água no solo e de material
genético...........................................................................................................................
36
vii
LISTA DE FIGURAS
Figura Página
1 Altura da parte aérea de plantas de Eucalyptus urograndis, em avaliações
realizadas aos 15, 30, 50 e 70 dias após implantação no campo..................... 37
2 Diâmetro de colo de plantas de Eucalyptus urograndis, em avaliações
realizadas aos 15, 30, 50 e 70 dias após implantação no campo..................... 38
3 Matéria seca da parte aérea de plantas de Eucalyptus urograndis, em
avaliações realizadas aos 15, 30, 50 e 70 dias após implantação no campo... 39
4 Área foliar de plantas de Eucalyptus urograndis, em avaliações realizadas
aos 15, 30, 50 e 70 dias após implantação no
campo............................................................................................................... 40
5 Matéria seca radicular de plantas de Eucalyptus urograndis, em avaliações
realizadas aos 15, 30, 50 e 70 dias após implantação no campo..................... 41
6 Potencial hídrico foliar plantas de Eucalyptus urograndis, ao longo do dia,
submetidas a dois manejos hídricos e diferentes materiais genéticos............. 42
7 Resistência estomática foliar plantas de Eucalyptus urograndis, ao longo do
dia, submetidas a dois manejos hídricos e diferentes materiais genéticos...... 44
8 Transpiração foliar plantas de Eucalyptus urograndis, ao longo do dia,
submetidas a dois manejos hídricos e diferentes materiais genéticos............. 46
9 Temperatura foliar de plantas de Eucalyptus urograndis, ao longo do dia,
submetidas a dois manejos hídricos e diferentes materiais genéticos............. 47
v
Índice
Páginas
LISTA DE TABELAS................................................................................................... v
LISTA DE FIGURAS................................................................................................... vii
RESUMO...................................................................................................................... 1
SUMMARY................................................................................................................... 3
1. INTRODUÇÃO......................................................................................................... 5
2. REVISÃO DE LITERATURA................................................................................. 7
2.1. Água na planta 7
2.2. Estresse Hídrico 10
3. MATERIAL E MÉTODOS...................................................................................... 14
3.1. Caracterização geral da área experimental 14
3.1.1. Clima 14
3.1.2. Solo 15
3.2. Escie utilizada e obtenção das mudas 15
3.3. Relações entre teores e potenciais de água do solo 16
3.4. Enchimentos dos vasos e plantio 16
3.5. Aplicação dos tratamentos 17
3.6. Avaliações do experimento 17
3.6.1.Determinação das características Morfológicas 17
3.6.2. Determinação das Características Fisiológicas 18
3.6.3. Delineamento estatístico 18
4. RESULTADOS E DISCUSSÃO.............................................................................. 20
4.1. Características Morfológicas 20
4.1.1. Avaliações aos 15 dias após plantio 20
4.1.2. Avaliações aos 30 dias após plantio 25
4.1.3. Avaliações aos 50 dias após plantio 28
4.1.4. Avaliações aos 70 dias após plantio 32
4.2. Comportamento das características morfológicas 36
vi
4.2.1. Altura da planta 37
4.2.2. Diâmetro de colo 38
4.2.3. Matéria seca de parte aérea 39
4.2.4. Área foliar 40
4.2.5. Matéria seca radicular 41
4.3. Características Fisiológicas 41
4.3.1. Potencial hídrico foliar 41
4.3.2. Resistência estomática 43
4.3.3.Transpiração 45
4.3.4.Temperatura da folha 47
4.4. Sobrevivência das plantas 48
5. CONCLUSÕES......................................................................................................... 49
6. REFERÊNCIAS BIBLIOGRÁFICAS.................................................................... 51
1
RESUMO
O presente trabalho teve por objetivo avaliar os possíveis efeitos do
estresse hídrico no crescimento, nas características morfológicas e fisiológicas de dois
materiais genéticos distintos de Eucalyptus urograndis. O experimento foi conduzido em casa
de vegetação, na Faculdade de Ciências Agronômicas da UNESP, campus de Botucatu nos
meses de março a julho de 2005. O manejo hídrico foi estabelecido com base no potencial de
água no solo. Foram estabelecidos dois níveis de água, fazendo-se a reposição da água
evapotranspirada por pesagem dos vasos. Foram utilizados dois clones, 105 e 433 de
Eucalyptus urograndis, sendo o primeiro mais resistente ao déficit hídrico e o 433 mais
sensível ao estresse. O ensaio constituiu-se de um fatorial 2X2 (dois níveis de água x dois
materiais genéticos). Para o manejo hídrico as plantas eram irrigadas ao atingirem um
potencial de água no solo de -0,03 MPa ou -1,5 MPa. As avaliações realizadas foram: altura da
parte aérea, diâmetro do colo, área foliar, massa seca da parte aérea, massa seca da parte
radicular, resistência estomática, transpiração, temperatura foliar e potencial de água na
folha. Foram realizadas quatro avaliações morfológicas durante os 75 dias após o plantio,
avaliações diárias de sobrevivência e uma avaliação fisiológica ao longo do dia, ao final do
experimento. Os resultados indicaram influência dos tratamentos nas características
morfológicas nas diferentes épocas de avaliação. Na avaliação aos 70 dias após
implantação, apenas a altura da parte aérea e matéria seca da parte aérea foram maiores
estatisticamente no clone 433, em relação ao 105. O inverso ocorre nas outras épocas.
Tratamentos sem estresse hídrico tiveram maior desempenho em todas características
2
estudadas, não havendo influência dos clones. Os potenciais de água na planta foram
menores às 14:15 h. A resistência estomática acompanhou os potenciais, apresentando
maiores valores nos tratamentos submetidos à deficiência hídrica, com mais intensidade no
clone 433, tal como ocorreu com o potencial de água na folha. A transpiração também
acompanhou o potencial de água na folha e a resistência estomática com maior intensidade
no clone 105 tanto na comparação entre plantas estressadas como nas não estressadas.
Conseqüentemente, as temperaturas das folhas tiveram valores mais elevados no clone 433, no
tratamento estressado. Assim, conclui-se que um melhor desempenho das plantas
mantidas a um potencial de água no solo de -0,03 MPa e comprova-se a maior resistência
ao estresse hídrico pelo clone 105.
3
MORPHOLOGICAL AND PHYSIOLOGICAL BEHAVIOR OF TWO GENETIC
MATERIALS FROM Eucalyptus urograndis SUBMITTED TO TWO SOIL WATER
LEVELS. Botucatu, 2006. 58p. Dissertation (Mestrado em Agronomia / Irrigação e
Drenagem) – Faculdade de Ciências Agronômicas, Universidade Estadual Paulista.
Author: MARIA RENATA ROCHA PEREIRA
Adviser: ANTÔNIO EVALDO KLAR
SUMARY
The present study had as its objective the assessment of the possible
effects of hydric stress on the growth, morphological and physiological characteristics of
two different genetic materials from Eucalyptus grandis. The experiment was carried out in
a greenhouse at Faculdade de Ciências Agronômicas of UNESP, campus Botucatu from
March to July, 2005. The hydric management was established based in the soil water
potential. Two water levels were established, doing the evapotranspired water replacement
by vase weighing. Two clones were used, Eucalyptus grandis 433 and 105, being the first
one more resistant to the hydric deficit and the 105 more sensitive to stress. The study was
made from a 2X2 factorial (two levels of water x two genetic materials). For the hydric
management, the plants were irrigated when they reached a water potential through the soil
of -0.03 MPa or -1.5 MPa. The assessments made were: aerial part height, diameter, leaf
area, aerial part dry mass, root part dry mass, as well as stomatic resistance, transpiration,
leaf temperature and leaf water potential. Four morphological evaluations were carried out
throughout the seventy five days after planting, daily survival evaluations and one
physiological throughout the day, in the end of the experiment. The results indicated
influence of the treatments in the morphological characteristics in different evaluation
periods. When the evaluation was carried after seventy days of implantation, only the aerial
part height and the aerial part dry mass were statistically higher for clone 433, compared to
clone 105. The opposite occurs in other periods. Treatments without hydric stress had a
4
higher performance in all studied characteristics, being that the clones had no influence. At
specific times of day measured, the water potentials were the lowest at 14:15. The stomatic
resistance followed the potentials, showing higher values in the treatments submitted to
hydric deficiency, more intensely for clone 433, being that this happened with the leaf
water potential. The transpiration also followed the leaf water potential and the stomatic
resistance more intensely for clone 105 both comparing stressed plants and non-stressed
plants. Consequently, the leaf temperatures had higher values for clone 433, on the stressed
treatment. Thus, it can be concluded that there is a better performance in plants kept on a
soil water potential of -0.03 MPa and a higher resistance to hydric stress for clone 105 can
be proved.
5
1. INTRODUÇÃO
A atividade florestal brasileira participa com 4% do produto
interno bruto (PIB), proporcionando milhões de empregos e é considerada uma das
principais atividades para responder aos desafios da exportação. No entanto, a participação
do Brasil no mercado internacional de produtos florestais é insignificante (2%), à exceção
da celulose de eucalipto com 47% do mercado mundial (www.sbs.org.br).
A produtividade das plantações florestais brasileiras está aquém de
seu potencial, havendo amplas possibilidades de elevá-la, adotando-se manejo silvicultural
adequado e técnicas de melhoramento. O grande desafio consiste em identificar o equilíbrio
entre as práticas silviculturais que mantenham ou elevem a produtividade em longo prazo
reduzindo os impactos ambientais (Gonçalves et al., 2000).
Um questionamento muito importante é relacionado ao consumo
de água, com a alegação de que a espécie é considerada “ressecadora de solo e precursora
de desertos”. Outro questionamento é quanto à sua possível influência sobre o solo, tanto
do ponto de vista de proteção quanto das propriedades físicas, químicas, efeitos alelopáticos
sobre a microflora e de seu esgotamento, em função da alta demanda de nutrientes pela
cultura do eucalipto.
Quando se analisa o balanço hídrico numa floresta, deve-se levar
em consideração a interceptação, infiltração, percolação, evaporação, transpiração e
escoamento superficial da água. A maioria das críticas ao eucalipto é relativa à
6
transpiração. Mesmo dentre as diferentes espécies do gênero Eucalyptus, existem
diferenças marcantes. O Eucalyptus camaldulensis, espécie muito plantada no cerrado
mineiro, onde a deficiência hídrica é elevada, apresenta uma transpiração muito baixa,
quando comparada com Eucalyptus urophylla e Eucalyptus pelita. Em função da alta taxa
de crescimento, há uma conseqüente alta taxa de consumo de água, mas altos valores de
eficiência de uso da água do solo.
Assim, pesquisas envolvendo aspectos fisiológicos em relação à
eficiência do uso da água, sobrevivência, taxa de crescimento e desempenho de mudas de
eucalipto no campo sob condições de estresse hídrico, ainda são escassas e, portanto, de
grande relevância para a pesquisa florestal brasileira.
As quantidades de água necessárias às plantas variam em função do
período do ano, do tipo de solo e, em grande maioria da disponibilidade desta água. Com o
fechamento dos estômatos há aumento da temperatura da folha, que acompanhará as
variações da temperatura ao longo do dia. Quando se inicia um período de défice hídrico no
solo, as plantas acionam seus sistemas de defesa e, entre eles, o fechamento dos estômatos
que mais rapidamente se fecham à medida que a temperatura ambiente se eleva e a umidade
relativa do ar decresce (KLAR, 1988).
Dentro do contexto, o presente trabalho teve como objetivo avaliar os possíveis efeitos do
estresse hídrico no, nas características morfológicas e fisiológicas de dois clones distintos
de Eucalyptus sp., visando o menor consumo de água sem perda de produtividade.
7
2. REVISÃO DE LITERATURA
2.1. Água na planta
A água é uma das substâncias mais comuns e mais importantes na
superfície da Terra, foi nela que a vida evoluiu e é nela que se processam os principais
processos bioquímicos (Larcher, 1995). Sua estrutura e propriedades influenciam
fortemente a estrutura e propriedades das proteínas, membranas, ácidos nucléicos, e outros
constituintes das células (TAIZ & ZEIGER, 1998). O vegetal necessita da água em todas as
fases do seu crescimento e do seu desenvolvimento. Das inúmeras importâncias fisiológicas
da água para o vegetal destacam-se:
reagentes e produtos da atividade fotossintética. Fonte de elétrons, após a ativação
da clorofila pela luz, para produzir energia química;
meio de transporte de solutos e gases;
afeta a divisão celular;
afeta o crescimento celular (expansão) e conseqüentemente o crescimento do
vegetal;
influi na turgescência das raízes e conseqüentemente na penetração delas no solo;
participa nos processos de abertura e de fechamento dos estômatos;
8
afeta a viscosidade e a permeabilidade do protoplasma e a atividade das enzimas
envolvidas;
produto final da atividade respiratória;
efeito resfriante, funcionando como tampão de temperatura;
afeta a translocação de assimilados.
O transporte de água do solo para o interior da raiz inicia-se nos
pêlos absorventes, através dos tecidos não diferenciados da proximidade do ápice radicular
e pelas células mais ou menos suberizadas, que formam o córtex de quase todo o sistema
radicular (DEVLIN, 1980). O potencial osmótico dentro das células da raiz é menor do que
da água do solo e em resposta a gradientes de potencial entre o solo e os tecidos da planta, a
água penetra nas raízes (KLAR, 1984).
A absorção de água pelas raízes ocorre em resposta à demanda da
transpiração foliar e a disponibilidade de água do solo na proximidade de radicelas
individuais e da rizosfera em geral se reduz, conseqüentemente diminui o potencial da água
no solo, provocando um gradiente, que ocasiona um fluxo da água do solo em direção ao
sistema radicular (WINTER & VIPOND, 1977).
Na planta, a água se movimenta basicamente pela diferença entre o
potencial de vapor d’água na atmosfera em torno das folhas e o potencial da água do solo.
Assim, existe na planta um complexo sistema hidráulico, todas as partes funcionais
interligadas por uma fase líquida permitindo o movimento da água nas folhas, no xilema, e
nas raízes, sendo esse movimento causado pela redução do potencial da água nas folhas,
resultante da transpiração (AWARD & CASTRO, 1983).
A transpiração é a perda de vapor d’água pelas plantas. É um
processo resultante do conjunto de fenômenos físicos ligados à difusão dos gases, sendo o
intercâmbio de gás carbônico e de oxigênio, diretamente proporcional ao do vapor d’água.
Portanto, plantas que possuem altas taxas de absorção de CO
2
apresentam grandes perdas
por transpiração e, provavelmente, grandes consumos de água implicam no incremento
positivo da produtividade (KLAR, 1984).
9
Segundo Inoue & Ribeiro (1988), a transpiração é um fenômeno
bastante influenciado pelas condições do ambiente, principalmente a temperatura e a
saturação de vapor de água. Sob condições idênticas, diferenças na transpiração podem
indicar um mecanismo estomático com maior ou menor eficiência, implicando na
economicidade de água pela planta. A transpiração é um processo fisiológico conhecido
como um 'mal inevitável'. Mal, porque através de uma perda relativamente grande de água,
na forma de vapor para o ambiente, pode resultar em uma diminuição do crescimento e
podendo também, em casos extremos, provocar a morte da planta por dessecação. É
inevitável devido às características estruturais das folhas, pois são indispensáveis as trocas
de CO
2
e O
2
entre a folha e o ar atmosférico, nos processos de fotossíntese e respiração.
Esses processos são realizados principalmente através da abertura estomática que, ao
mesmo tempo, permite a difusão de vapor de água para a atmosfera (transpiração).
Existem os efeitos denominados benéficos da transpiração, mas
que são discutíveis. Alguns desses efeitos são listados a seguir por Lucchesi, citado por
Peres (2004):
1) Efeito resfriante: sabe-se que a passagem de água do estado líquido para o gasoso é o
processo em que há perda de energia na forma de calor (calor latente de vaporização). É
conhecido que há uma perda de cerca de 600 calorias por grama de água transpirada. Esse
efeito resfriante poderia ser benéfico para o vegetal. No entanto, no período em que o
vegetal mais necessitaria deste efeito (nas horas mais quentes do dia, sobretudo nos meses
de verão) pode haver fechamento estomático e a transpiração cair drasticamente. O
fechamento estomático ocorre porque a absorção de água do solo pelas raízes não possui a
mesma intensidade da transpiração pelas folhas, provocando um déficit hídrico.
2) Evitaria a turgidez excessiva: com uma absorção grande de água (período de chuva
prolongada) poderia chegar a ponto de provocar até processos de rupturas celulares. Mas,
alcançando a turgidez, as células vegetais paralisam a absorção de água, pela pressão da
parede celular. Existem casos, ocasionais, em frutos maduros (como no caquizeiro e alguns
genótipos de tomateiro) e raízes suculentas, que podem rachar devido à excessiva pressão de
turgescência. Além disso, existem os hidatódios em muitas plantas, pelos quais haverá perda
de água no estado líquido, quando em excesso.
10
3) Efeito da corrente transpiratória: através do fenômeno da transpiração haveria o
transporte de água e substâncias minerais da raiz para as folhas. Entretanto, é conhecido
que há gastos de água dentro da planta pelos seus processos fisiológicos normais, como a
fotossíntese e, dessa forma, haveria fluxo de água, embora pequeno, mesmo que não
houvesse a transpiração. Outro fato é que a quantidade de minerais que chega às folhas
depende da quantidade que entra na raiz e não da velocidade da corrente transpiratória.
Também não está estabelecido que plantas em meio ambiente úmido, desfavorável à
transpiração, sofram deficiências de minerais.
Todos os fatores exógenos e endógenos que afetam a transpiração
estão sujeitos a alterações durante o dia, originando uma periodicidade diurna na taxa a que
este processo ocorre. Para a maior parte das plantas durante a noite, a taxa de transpiração é
geralmente baixa, perto de zero, aumentando depois do nascer do Sol até atingir um
máximo ao meio-dia, depois do que começa a diminuir até atingir, ao entardecer, os valores
mínimos, semelhantes aos da noite (SEBANEK, 1992).
Como os vegetais superiores estão fixos no solo e a um
determinado ambiente, seus processos metabólicos vão variar de acordo com as variações
ambientais. Variações durante o dia (24 horas) mudam de uma região para outra e durante
as diferentes estações. Como exemplo, num dia típico de verão, considerando-se os fatores
intensidade de luz solar, as temperaturas do solo e do ar e a pressão de vapor de água, vão
variar durante as 24 horas do dia. Estudos de eficiência de uso da água mostram que a
produção de matéria seca total é linearmente proporcional à quantidade de água usada. Ao
longo da evolução, tem sido desenvolvida alteração no metabolismo e tem aumentado a
capacidade da planta para resistir a um suprimento de água limitante, particularmente na
fotossíntese (KRAMER & BOYER, 1995).
11
2.2. Estresse Hídrico
O estresse é, na maior parte das definições, um desvio
significativo das condições ótimas para a vida, o que origina mudanças e respostas em
todos os níveis do organismo. Estas respostas são inicialmente reversíveis, mas podem
tornar-se permanentes. Mesmo se o acontecimento causador de estresse for temporário, a
vitalidade da planta diminui com o prolongar do estresse. (LARCHER, 2000).
Entre os agentes causadores de estresse abióticos muitos são
climáticos, exercendo os seus efeitos na atmosfera e no solo descrita por Larcher (1995):
Entre os fatores atmosféricos temos a radiação excessivamente elevada ou
insuficiente, a temperatura que também pode ser excessiva ou insuficiente,
podendo esta última ser acompanhada por geada, gelo ou neve, precipitação
deficiente e seca, ventos fortes, etc;
No solo podem ocorrer concentrações elevadas de sais, ou deficiências minerais,
acidez ou alcalinidade excessiva, solos instáveis, areias movediças, deficiência em
oxigênio nas zonas em que os solos são muito compactos, ou estão encharcados.
De acordo com Lima (1995), a eficiência no uso da água pode ser
entendida como um eficiente mecanismo evolutivo pelo qual a planta adquire maior
elasticidade para enfrentar possíveis déficits hídricos.
A resposta ao estresse pode ser vista como uma situação de
competição entre o esforço da planta se adaptar e os processos potencialmente letais no
protoplasma. Dessa forma, a dinâmica do estresse compreende a perda de estabilidade, um
componente destrutivo (“diestresse”), bem como a promoção da resistência e do
restabelecimento (“euestresse”) (LACHER, 2000).
Sob baixa disponibilidade de água nos solos, vários processos
metabólicos nas plantas podem ser influenciados, promovendo o fechamento parcial ou
total dos estômatos, limitando a perda de água e, como conseqüência, a fixação de CO
2
(NOBEL, 1974). Dessa forma, os mecanismos que previnem o abaixamento do potencial
hídrico das plantas quase sempre são incompatíveis com a produção vegetal (TEIXEIRA,
1978). A associação entre déficit hídrico e fechamento estomático restringe fortemente a
assimilação de carbono. Nesse contexto, o controle estomático tem sido indicado como a
12
fração principal da limitação total da fotossíntese (CHAVES, 1991). Ajustes internos não
estomáticos, porém, em diferentes níveis, têm sido observados, incluindo redução da
atividade de enzimas do ciclo de Calvin e Benson (KICHEVA et al., 1994), inibição do
transporte de fotoassimilados (MASOJIDEK et al., 1991) e alterações do estoque de
carboidratos nas células (QUICK et al., 1992).
A condutância estomática pode ser entendida como mecanismo
fisiológico que as plantas terrestres vasculares possuem para o controle da transpiração
(JARVIS & McNAUGHTON, 1986). Segundo Lima (1993), a epiderme das folhas
encontra-se normalmente envolvida por uma cutícula relativamente impermeável, tanto ao
vapor d'água quanto ao gás carbônico, mas contém grande quantidade de estômatos, cuja
resposta, mediante a regulação da condutância estomática, controla a transpiração da folha
e é influenciada por: luz, concentração de gás carbônico atmosférico, umidade e temperatura.
Para Ludlow (1980), a condutância estomática é proporcional à transpiração, à fotossíntese
líquida e ao potencial da água na folha.
O funcionamento dos estômatos constitui um comportamento
fisiológico. Quando abertos, permitem a assimilação de gás carbônico e, fechando-se,
conservam água e reduzem o risco de desidratação (TENHUNEN et al., 1987). Segundo
Barlow (1983), pela regulação da demanda transpirativa das folhas, a condutância
estomática influenciará diretamente o potencial de água da planta. Dessa forma, o potencial
de água das folhas, por sua vez, também influencia a condutância estomática,
particularmente durante as condições de deficiência hídrica. Entre os fatores ambientais, a
luz, a umidade do ar, a concentração de gás carbônico, o potencial de água da folha e a
temperatura influem, significativamente, na condutância estomática (SCHULZE et al.,
1987, TENHUNEN et al., 1987).
Khera & Sandhu (1986) avaliaram a temperatura da copa de cana-
de-açúcar, num clima seco e quente do norte da Índia, para estabelecer índices de estresse
hídrico. Durante o período mais quente de dias sem nuvens, a temperatura da cultura não-
estressada foi de 2 a 7
0
C menor do que a estressada. Tanto a temperatura da cultura não-
estressada quanto da estressada permaneceu de 1 a 12
0
C abaixo da temperatura ambiental.
13
A análise de crescimento das plantas também tem sido um meio
bastante eficaz nos estudos de comparação de diferentes genótipos ou interação genótipo
ambiente.
Segundo Araújo (1995), a análise de crescimento vem sendo
utilizada para investigar a adaptação de culturas a novos ambientes, a competição entre
espécies e variedades, o efeito de manejo e tratos culturais e a identificação da capacidade
produtiva de genótipos. Sua aplicação estende-se a estudos sobre eficiência fotossintética,
absorção e utilização de nutrientes, análise de componentes da produção e em modelos de
previsão do crescimento vegetal, obtidos através de coletas seqüenciais, para descrever
mudanças na produção vegetal em função do tempo, por meio de cálculo das taxas de
crescimento. A análise de crescimento, segundo Magalhães (1979), é um método que
descreve as condições morfológicas da planta em diferentes intervalos de tempo, entre duas
amostragens sucessivas, e se propõe a acompanhar a dinâmica da produção fotossintética,
analisada através da acumulação de matéria seca. Dentre os parâmetros ambientais
associados com as alterações do crescimento das plantas, a radiação solar, temperatura,
suprimento de água e nutrientes tem sido os mais estudados.
De acordo com Benincasa et al. (1976), a área foliar é, em geral,
um excelente indicador da capacidade fotossintética de uma planta e sua determinação é
muito importante em estudos de nutrição, competição e relações solo-água-planta. Além
disso, é importante como índice de crescimento da planta e está estreitamente
correlacionada com o acúmulo de matéria seca, metabolismo, produção, maturação e
qualidade da cultura.
Vários trabalhos têm mostrado decréscimos no índice de área
foliar, rendimento da matéria seca com o aumento do déficit hídrico, como foi relatado por
Millar & Gardner (1972).
Seiler & Johnson (1988), estudando Pinus taeda e Myers &
Landsberg (1989), estudando Eucalyptus, verificaram alterações morfofisiológicas
decorrentes do estresse hídrico aplicado às mudas. Essas alterações incluíram diminuição
na taxa de transpiração e maior eficiência no uso da água, condicionamento da fotossíntese
ao baixo potencial hídrico, diminuição da relação parte radicular/parte aérea.
14
3. MATERIAL E MÉTODOS
O experimento foi desenvolvido na Fazenda Experimental Lageado,
Faculdade de Ciências Agronômicas, campus de Botucatu, UNESP, no período de março a
julho de 2005, utilizando-se dois clones de Eucalyptus grandis (433 e 105), cedidos pela
Empresa Eucatex Florestal.
3.1. Caracterização geral da área experimental
3.1.1. Clima
Na Classificação de Köeppen, o tipo climático da região é definido
como Cfb e na Classificação de Thornthwaite, BlrB’3 a’ (KLAR, 1974).
A precipitação pluviométrica anual média é de 1518,8mm, com
valores médios de 229,5 mm e 37,5 mm para os meses de maior e menor precipitação.A
evapotranspiração média anual é de 692 mm. A temperatura média anual é de 20,6
0
C e as
médias máximas e nimas de 23,5 e 17,4
0
C, respectivamente (MARTINS, 1989).
Em casa de vegetação também na mesma fazenda Experimental do
Lageado, orientada no sentido leste/oeste, apresentou a média de evaporação diária de
tanque classe “A” dentro da casa de 3,94 mm e fora de 5,73 mm (BRAGA e KLAR, 2000)
15
Granulometria % Classe textural
3.1.2 Solo
O solo utilizado apresentou características constantes nas Tabelas 1 e
2.
Tabela 1. Granulometria e classificação textural do solo.
Areia Silte Argila
23,9 25,7 50,4 Argilosa
Tabela 2. Análise química de fertilidade do solo.
pH
M.O P resina
mmol/dm
3
V
CaCl
2
g/dm
3
mg/dm
3
H+Al K Ca Mg SB CTC (%)
5,2 24 24 34 5,3 28 19 53 87 61
Com base nesta análise química e de acordo com as recomendações do
Boletim 100 (IAC, 19), não foi necessária a adubação deste solo para o plantio de eucalipto.
3.2. Espécie utilizada e obtenção das mudas
A espécie usada foi Eucalyptus urograndis. Os clones foram adquiridos
da Eucatex Florestal SA, procedentes da Unidade Florestal de Botucatu. Foram utilizados
tubetes cilindro-cônicos de polietileno com dimensões de 12,5 cm de comprimento, 2,5 cm de
diâmetro da abertura superior, 0,8 cm de diâmetro de abertura inferior e volume de 50 cm
3
,
com seis estrias internas saliente, preenchidos por substrato possuindo uma adubação de base
contendo macro e micronutrientes. As mudas foram conduzidas pela empresa até o momento
de ir a campo (90 dias), não havendo rustificação das mesmas. Os clones são 433 e 105, sendo
este mais resistente a seca, conforme informações da empresa.
16
3.3. Relações entre teores e potenciais de água do solo
As relações entre os potenciais e os teores de água do solo foram
determinadas pelo método da Placa de Pressão de Richards (Klar, 1984) e encontram-se na
Tabela 3.
Tabela 3. Relações entre teores e potenciais de água do solo
Potencial (MPa)
Saturado -0,01 -0,03 -0,05 -0,1 -0,5 -1,5
Umidade
Base Massa
Seca (%)
52 26 24 22 21 21 19
Após a obtenção dos resultados da análise de retenção de água do solo,
procedeu-se a instalação do experimento.
3.4. Enchimento dos vasos e plantio
Antes de o solo ser colocado nos vasos, foi esparramado sobre uma
lona plástica dentro da casa de vegetação, em camada de 15 cm aproximadamente, revolvido
duas vezes por semana até ficar seco ao ar. Os vasos de polietileno usados foram internamente
forrados com lâmina plástica a fim de evitar perda de água por percolação e, então receberam
8Kg do solo seco ao ar, já peneirado em malha de 5mm. Após enchimento dos vasos, estes
foram colocados em estufa coberta e as mudas com 90 dias, que foram conduzidas de acordo
com procedimentos da empresa que as forneceu, foram transplantadas.
A partir dos resultados da curva de potencial de água no solo, foram
estabelecidos dois níveis de água, fazendo-se a reposição da água evapotranspirada. Para este
controle foi utilizada a pesagem dos vasos.
As avaliações do experimento foram realizadas a cada 15 dias a partir
do dia de instalação.
17
3.5. Aplicação dos tratamentos
Os manejos hídricos foram estabelecidos de acordo com a umidade do
solo (Tabela 3) e avaliado pelo método da pesagem. Todos os vasos eram pesados diariamente
e quando atingiam as medidas do peso pré-determinado para cada tratamento, correspondente
a um determinado potencial de água no solo, a água era reposta até alcançar o peso
correspondente ao potencial de água de -0,01 MPa (26% de umidade).
Foram estabelecidos 2 manejos hídricos, aplicados a 2 clones
diferentes. Seguindo-se então os tratamentos:
T1 : plantas irrigadas ao atingirem um potencial de água pelo solo de -0,03 MPa e clone 105.
T2 : plantas irrigadas ao atingirem um potencial de água pelo solo de -1,5 MPa e clone 105.
T3 : plantas irrigadas ao atingirem um potencial de água pelo solo de -1,5 MPa e clone 433.
T4 : plantas irrigadas ao atingirem um potencial de água pelo solo de -0,03 MPa e clone 433.
Cada tratamento foi composto por 15 vasos, sendo cada vaso uma
repetição. Foi determinado previamente o peso destes, do solo seco e das plantas (sendo que a
massa das plantas foi determinada semanalmente em função do seu crescimento). A partir do
peso seco do solo e dos dados de retenção de água, determinou-se o peso que este solo deveria
ter quando estivesse com a umidade correspondente ao seu manejo hídrico.
Com a somatória de todos estes componentes, se fez uma tabela dos
valores que cada tratamento deveria ter para ser submetido à irrigação.
3.6. Avaliações do experimento
3.6.1.Determinação das características morfológicas
As seguintes avaliações foram elaboradas para as estimativas dos
efeitos dos tratamentos no desenvolvimento vegetal: altura da parte aérea (HPA), diâmetro do
18
colo (D), área foliar (AF), massa seca da parte aérea (MSA), massa seca da parte radicular
(MSR). Os instrumentos utilizados foram: régua, paquímetro, e balança digital. Utilizaram três
plantas por época de avaliação totalizando quatro épocas. A matéria seca foi obtida em estufa
a uma temperatura de 60
0
C até atingir peso constante.
3.6.2. Determinação das características fisiológicas
As características fisiológicas avaliadas foram: a resistência
estomática, transpiração e temperatura da folha medidas com um porômetro 1.600 da LICOR,
o potencial de água na folha pela Bomba de Scholander.
De cada tratamento foram utilizadas três plantas para análise que foi
realizada ao final de 75 dias.
De acordo com a metodologia utilizada por Silva (1998) para o uso do
porômetro, todos os tratamentos tiveram o solo levados ao potencial de -0,01 MPa na noite
anterior, e na manhã seguinte ao alvorecer foram realizadas as avaliações de acordo com a
seqüência: resistência estomática, transpiração, temperatura de folha e o potencial de água na
folha, seguindo-se 4 medições durante o dia (8:00, 11:00, 13:00 15:00 h) sendo utilizada para
cada tratamento a folha mais nova totalmente expandida.
As avaliações de sobrevivência foram feitas diariamente durante toda
a condução do experimento.
3.6.3. Delineamento estatístico
O experimento foi inteiramente casualizado, tendo 4 tratamentos (dois
níveis de água x dois materiais genéticos) com 15 repetições, perfazendo num total de 60
mudas (15 plantas x 4 tratamentos).
Para a análise estatística, foi utilizada a técnica de análise de variância
(ANAVA), seguido do teste de Tukey com nível de significância de 5%, para a comparação de
19
médias entre tratamentos e das interações dos desdobramentos ocorridos com o programa
SISVAR. Foram seguidas as seguintes etapas:
1.ANAVA considerando manejo hídrico, clone e interação entre manejo e clone;
2. Para as variáveis que apresentaram efeito significativo do manejo hídrico e de clone, foi
feito teste de comparação de médias (Tukey);
3. Para as variáveis que apresentaram efeito significativo da interação entre manejo hídrico e
clone, foi feito teste de comparação de médias (Tukey) para se verificar o efeito do manejo
dentro dos clones e dos clones dentro do manejo hídrico.
20
4. RESULTADOS E DISCUSSÃO
4.1. Características Morfológicas
Nas Tabelas 4 a 16 são apresentadas as características da planta em
função da época de avaliação.
4.1.1. Avaliações aos 15 dias após plantio
A matéria seca radicular e o diâmetro de colo foram às únicas
características morfológicas que diferiram estatisticamente sob o efeito dos tratamentos. As
demais características, como a altura de parte área, matéria seca de parte aérea e área foliar
não foram influenciadas pelos tratamentos a que foram submetidas, conforme se pode verificar
na Tabela 4. De acordo com os resultados, os níveis de estresse hídrico e a diferença de
material genético não interferiram no desenvolvimento da parte aérea da planta, nos primeiros
15 dias após o plantio em vaso, uma vez que na fase de implantação nos vasos a planta já
passou pela fase de crescimento rápido, que ocorre na fase de produção de mudas, onde a
quantidade de água e nutrientes não são limitados. Sendo assim, a quantidade de água e a
diferença dos clones não afetaram estatisticamente o crescimento da parte aérea da planta, pois
quando esta vai a campo, tenta se aclimatar nos primeiros dias as atuais condições, visando a
sobrevivência e não o crescimento.
21
Tabela 4. Resultados médios das variáveis morfológicas das mudas de Eucalyptus urograndis,
aos 15 dias após plantio e a significância do teste F.
Tratamentos
H
(cm)
D
(mm)
AF
(cm
2
)
MSPA
(g)
MSR
(g)
T 1
28,4 3,470 80,484 1,429 0,817
T 2
27,8 3,140 74,145 1,157 0,682
T 3
25,0 3,010 62,650 1,153 0,645
T 4
30,6 3,323 76,191 1,384 0,720
C.V. (%)
13,75 5,69 20,54 26,29 3,83
p (S) 0,2065 0,0164
*
0,2839 0.2692 0,0002
*
p (C) 0,9015
0,2293 0,3877 0.8180
0,0030
*
p (S – C) 0,2955 0,9394
0,6943
0,8310
0,0932
HPA = altura da parte aérea; D = diâmetro de colo; AF = área foliar; MSPA = matéria seca da parte aérea; MSR
= matéria seca radicular.
T1 : plantas irrigadas ao atingirem um potencial de água pelo solo de -0,03 MPa e clone 105.
T2 : plantas irrigadas ao atingirem um potencial de água pelo solo de -1,5 MPa e clone 105.
T3 : plantas irrigadas ao atingirem um potencial de água pelo solo de -1,5 MPa e clone 433.
T4 : plantas irrigadas ao atingirem um potencial de água pelo solo de -0,03 MPa e clone 433.
C.V. = Coeficiente de Variação.
*
= significância da ANAVA (p < 0,05)
p (S) = valor de p considerando apenas os níveis de estresse.
p (C) = valor de p considerando apenas os diferentes clones.
P (S-C) = valor de p considerando a interação estresse x clone.
Outros pesquisadores, trabalhando com estresse hídrico em mudas de
diferentes espécies de Eucalyptus, obtiveram resultados semelhantes. Rawat et al. (1984),
trabalhando com E. tereticornis mantidos constantemente sob diferentes níveis de umidade do
solo, concluíram que o crescimento em altura não foi proporcional ao aumento da umidade do
solo. Já Clemens & Jones (1978), estudando diferentes níveis de sombreamento, nutrição e
22
irrigação, concluíram que o condicionamento ao estresse hídrico teve pouco ou nenhum efeito
sobre a altura das plantas.
Os valores médios de matéria seca da parte aérea (MSPA) e área foliar
(AF) não apresentaram diferenças estatísticas entre os tratamentos. Ismael (2001) observou
efeito da deficiência hídrica somente na matéria seca aérea. Façanha (1983), estudando
partição de matéria seca em três espécies de Eucalyptos spp. verificou que em solos perto da
capacidade de campo, a matéria seca de folhas foi igual para as três espécies. Lima (1996),
estudando a distribuição de matéria seca em mudas de Eucalyptus spp. submetidas à
deficiência hídrica em solos arenoso e argiloso, verificou que o estresse hídrico promoveu
maiores reduções na matéria seca foliar das plantas crescidas no arenoso.
Resultados semelhantes foram encontrados por Silva (2003), que
verificou não existir efeito do nível de estresse e de doses de potássio.
O diâmetro (D) sofreu influência significativa do estresse hídrico
(Tabela 4). Verifica-se que os diâmetros dos tratamentos irrigados ao atingir o potencial de
retenção de água pelo solo de -0,03 MPa, foram superiores estatisticamente em relação aos
tratamentos T2 e T3, independentemente do clone utilizado (Tabelas 5 e 6). Trabalhos de
Sasse et al (1996) e Silva (1998) encontraram diferenças significativas nos diâmetros das
mudas submetidas a manejos hídricos diferenciados. As taxas de crescimento em diâmetro
foram reduzidas pelo estresse hídrico, mais acentuadamente nas mudas produzidas através de
estaquia, em trabalho realizado por SASSE et al. (1996). No trabalho de Silva (1998), apesar
das mudas apresentarem valores estatisticamente diferentes, não houve definição de tendência
do efeito do nível de estresse hídrico sobre o diâmetro.
A matéria seca radicular (MSR) foi afetada pelo estresse hídrico e
pelo material genético. Observa-se que plantas irrigadas ao atingir o potencial de retenção de
água pelo solo de -0,03 MPa, tiveram massas secas radiculares superiores estatisticamente à
retenção mínima de -1,5 MPa, o clone 105 apresentou valores estatisticamente superiores para
MSR em relação ao clone 433 (Tabela 5 e 6). Sendo que o tratamento T1 apresentou maior
massa radicular. Li (1998c) verificou diferenças significativas na matéria seca radicular entre
os tratamentos submetidos a regimes hídricos diferentes. Concluiu que a disponibilidade de
água foi o fator principal a afetar a relação matéria seca radicular/ matéria seca aérea e que a
adaptação ao déficit hídrico de E. microtheca envolve a alteração nessa relação. De acordo
23
com Lima (1996), a maioria das espécies pesquisadas submetidas a estresse hídrico apresentou
aumento na relação raiz / parte aérea. Os maiores aumentos ocorreram no solo argiloso, o que
pode ser atribuído, em parte, ao crescimento mais rápido das raízes, e às reduções na matéria
seca de caule nos tratamentos sob estresse. Farrel et al. (1996), trabalhando com seis clones de
E. camaldulensis submetidos a tratamentos de estresse hídrico, constataram que os clones
diferiram significamente em sua capacidade de produzir raízes durante o período de estresse.
Embora tenham existido diferenças na matéria seca radicular, a matéria
seca da parte aérea não diferiu estatisticamente (Tabela 4), isso porque o percentual
representado pela matéria seca radicular é minoria dentro da matéria seca total da planta após
15 dias de implantação no campo.
Tabela 5. Características morfológicas médias das plantas de Eucalyptus urograndis, ao final
de 15 dias após implantação e o resultado estatístico da comparação entre potencial
de água no solo.
Potencial de Água no Solo (MPa)
Característica
Morfológica
-0,03 -1,5
D (mm)
3,396 a 3,075 b
MSR(g)
0,7686 a 0,6638 b
D.M.S. (Diferença Mínima Significativa do Teste de Tukey, α = 5%), (D) = 0,245
D.M.S. (Diferença Mínima Significativa do Teste de Tukey, α = 5%), (MSR) = 0,011
Médias seguidas de letras iguais na linha não diferem pelo Teste de Tukey, ao nível de 5% de significância.
24
Tabela 6. Características morfológicas médias de plantas de Eucalyptus urograndis, ao final de
15 dias após implantação do experimento e o resultado estatístico da comparação
entre clones.
Material Genético (Clones)
Característica
Morfológica
105 433
D (mm)
3,305 a 3,166 a
MSR(g)
0,7686 a 0,6638 b
D.M.S. (Diferença Mínima Significativa do Teste de Tukey, α = 5%), (D) = 0,245
D.M.S. (Diferença Mínima Significativa do Teste de Tukey, α = 5%), (MSR) = 0,036
Médias seguidas de letras iguais na linha não diferem pelo Teste de Tukey, ao nível de 5% de significância.
25
4.1.2.Avaliações aos 30 dias após plantio
Aos 30 dias após plantio, houve maior diferença nos tratamentos, o que
pode ser atribuído ao maior tempo de estresse hídrico pelo qual as plantas estão sendo
submetidas e ao fato da planta retomar, após adaptação, seu desenvolvimento (Tabela 7).
Tabela 7. Resultados médios das variáveis morfológicas das plantas de Eucalyptus urograndis,
aos 30 dias após plantio e a significância do teste F.
Tratamentos
HPA
(cm)
D
(mm)
AF
(cm
2
)
MSPA
(g)
MSR
(g)
T 1
32,1 3,609 103,1174 1,845 1,113
T 2
28,0 3,180 88,2720 1,705 0,918
T 3
29,8 3,135 82,9768 1,741 0,824
T 4
34,1 3,477 99,8556 1,832 0,993
C.V. (%)
4,35 2,24 8,26 10,20 2,49
p (S) 0,0008
*
0,0000
*
0,0058
*
0,4210 <0,0000
*
p (C) 0,0447
*
0,0335
*
0,5242 0,9300 0,0001
*
p (S – C) 0,8519 0,2810 0,2520 0,8551 0,3636
HPA = altura da parte aérea; D = diâmetro de colo; AF = área foliar; MSPA = matéria seca da parte aérea; MSR
= matéria seca radicular.
T1 : plantas irrigadas ao atingirem um potencial de água pelo solo de -0,03 MPa e clone 105.
T2 : plantas irrigadas ao atingirem um potencial de água pelo solo de -1,5 MPa e clone 105.
T3 : plantas irrigadas ao atingirem um potencial de água pelo solo de -1,5 MPa e clone 433.
T4 : plantas irrigadas ao atingirem um potencial de água pelo solo de -0,03 MPa e clone 433.
C.V. = Coeficiente de Variação.
*
= significância da ANAVA (p < 0,05)
p (S) = valor de p considerando apenas os níveis de estresse.
p (C) = valor de p considerando apenas os diferentes clones.
P (S-C) = valor de p considerando a interação estresse x clone.
26
Na característica morfológica altura da parte aérea, verificou-se
diferenças significativas entre os manejos hídricos como também entre os dois materiais
genéticos (Tabela 8 e 9, respectivamente). Os tratamentos T1 e T4, sem estresse, tiveram
valores superiores em relação aos demais (Tabela 8). Na diferença entre os clones, foram
obtidos valores mais altos nos tratamentos com clone 433 (Tabela 9). Segundo Brouwer
(1962), a taxa de crescimento difere entre as diferentes partes da planta, e isto conduz à forma
característica de cada espécie. De acordo com Façanha (1983), as taxas de crescimento das
diferentes partes da planta são fixadas geneticamente, e isto leva especialmente às diferenças
interespecíficas. Condições do meio ambiente também podem afetar essas taxas fixadas
geneticamente. Lemcoff et al.(1997), constataram que, durante o primeiro período de restrição
hídrica, o estresse hídrico não afetou significativamente a altura de clones de E.
camaldulensis. Entretanto, um segundo período mais severo de estresse reduziu
significativamente a altura em alguns clones.
A matéria seca da parte aérea não apresentou diferenças
estatisticamente significativas (Tabela 7), mas acompanhou a tendência da maioria das
características morfológicas, onde houve maiores valores nos tratamentos sem estresse hídrico,
irrigadas a um potencial de água no solo de -0,03 MPa. Em E. urophyla e E. pellita, Gonçalves
(1992) obteve aumento na temperatura de copa e reduções na matéria seca da parte aérea, e os
maiores teores de nitrogênio quando submetidas a estresse hídrico.
As médias dos valores do diâmetro e da massa seca radicular foram
maiores nos tratamentos T1 e T4 (sem estresse hídrico) (Tabela 8). Os valores entre clones
apontam o clone 105, presente nos tratamentos T1 e T2 com os melhores diâmetros e o clone
433 com maior matéria seca de raiz (Tabela 8 e 9).
Alvarenga et al. (1994) constataram que a matéria seca radicular foi
proporcional à quantidade de água aplicada. Já Bachelard (1986) observou que a matéria seca
radicular não diferiu entre as espécies E. pilularis, E. maculata e E. sieberi em resposta ao
potencial de água no solo.
Ismael (2001) verificou que a matéria seca radicular de Eucalyptus sp
não diferiu entre os tratamentos hídricos (potenciais de água no substrato de -0,05 e -1,5 MPa).
Com a indução da deficiência hídrica, Gonçalves (1992) observou aumento da relação raiz /
parte aérea, e também Façanha (1983), relatou decréscimo na relação parte aérea / sistema
27
radicular, o que pode ser esperado em espécies que apresentam características de prevenção à
seca.
A área foliar aos 30 dias após plantio apresentou diferenças entre o
manejo hídrico, verificando os maiores valores no clone 105 e nos tratamentos com potencial
de água de -0,03 MPa (Tabelas 8 e 9, respectivamente). De acordo com Lima (1996), as
plantas submetidas ao déficit hídrico apresentam, em geral, reduções na expansão foliar,
independente do tipo de solo. Com base nas reduções de área foliar provocadas pelo estresse
hídrico, as espécies de eucalipto podem ser separadas em três grupos distintos: E.
camaldulensis, E. cloeziana e E. pellita, com reduções acima de 30%; E. saligna e E.
urophylla, com reduções entre 10% e 30%; e E. grandis e E. tereticornis, com reduções
inferiores a 10%.
Tabela 8. Características morfológicas médias de plantas de Eucalyptus urograndis, ao final
de 30 dias após implantação e o resultado estatístico da comparação entre potencial
de água no solo.
Potencial de Água no Solo (MPa)
Característica
Morfológica
-0,03 -1,5
HPA(cm)
33.0 a 28.9 b
D(mm)
3,5391 a 3,1433 b
MSR(g)
1.0530 a 0.8713 b
AF(cm
2
)
101.641 a 85.032 b
D.M.S. (Diferença Mínima Significativa do Teste de Tukey, α = 5%), (HPA) = 1,794
D.M.S. (Diferença Mínima Significativa do Teste de Tukey, α = 5%) (D) = 0,087
D.M.S. (Diferença Mínima Significativa do Teste de Tukey, α = 5%) (MSR) = 0,009
D.M.S. (Diferença Mínima Significativa do Teste de Tukey, α = 5%), (AF) = 3,146
Médias seguidas de letras iguais na linha não diferem pelo Teste de Tukey, ao nível de 5% de significância.
28
Tabela 9 Características morfológicas médias de plantas de Eucalyptus urograndis, ao final de
30 dias após implantação e o resultado estatístico da comparação entre clones.
Material Genético (Clones)
Característica
Morfológica
105 433
HPA(cm)
30,0 b 31,9 a
D (mm)
3,3898 a 3,2926 b
MSR(g)
0,8243 b 0,9926 a
AF(cm
2
)
94,818 a 91,855 b
D.M.S. (Diferença Mínima Significativa do Teste de Tukey, α = 5%), (HPA) = 1,794
D.M.S. (Diferença Mínima Significativa do Teste de Tukey, α = 5%), (D) = 0,026
D.M.S. (Diferença Mínima Significativa do Teste de Tukey, α = 5%), (MSR) = 0,013
D.M.S. (Diferença Mínima Significativa do Teste de Tukey, α = 5%), (AF) = 3,146
Médias seguidas de letras iguais na linha não diferem pelo Teste de Tukey, ao nível de 5% de significância.
4.1.3. Avaliações aos 50 dias após plantio
Todas as características morfológicas apresentaram diferenças
estatisticamente significativas para os diferentes manejos hídricos, não se verificando
diferenças entre os clones, nem interação entre estes dois fatores, aos 50 dias após plantio.
Este fato pode ter ocorrido devido a um maior tempo que as plantas estão submetidos aos
diferentes tratamentos, comparando-se às demais avaliações, havendo uma resposta com
valores maiores nos tratamentos sem estresse hídrico em relação aos conduzidos sob estresse
(Tabela 10).
Observou-se maior altura no tratamento T4 (Tabela 10), onde houve
manejo sem estresse, e no clone 433, o que não foi verificado nas outras características
morfológicas, onde o tratamento T1 teve melhor desempenho, sendo de mesmo manejo
hídrico, com o clone 105. Mesmo quando comparamos os tratamentos com estresse (irrigados
29
quando o solo atinge potencial de água de -1,5 MPa), o clone 105 na maioria das
características morfológicas tem melhor comportamento e maiores valores de crescimento.
Tabela 10. Resultados médios das variáveis morfológicas das plantas de Eucalyptus
urograndis, aos 50 dias após plantio e a significância do teste F.
Tratamentos
HPA
(cm)
D
(mm)
AF
(cm
2
)
MSPA
(g)
MSR
(g)
T 1
35,0 3,897 204,0097 3,335 1,316
T 2
29,3 3,531 178,6395 2,505 1,116
T 3
31,7 3,473 160,834 2,594 1,039
T 4
35,5 3,674 193,0746 3,497 1,218
C.V. (%)
4,53 3,96 9,07 10,63 9,16
p (S) 0,0004
*
0,0063
*
0,0109
*
0,0013
*
0,0114
*
p (C) 0,1558 0,1578 0,1791 0,5834 0,1840
p (S – C) 0,2576 0,5104 0,7672 0,6291 0,7586
HPA = altura da parte aérea; D = diâmetro de colo; AF = área foliar; MSPA = matéria seca da parte aérea; MSR
= matéria seca radicular.
T1 : plantas irrigadas ao atingirem um potencial de água pelo solo de -0,03 MPa e clone 105.
T2 : plantas irrigadas ao atingirem um potencial de água pelo solo de -1,5 MPa e clone 105.
T3 : plantas irrigadas ao atingirem um potencial de água pelo solo de -1,5 MPa e clone 433.
T4 : plantas irrigadas ao atingirem um potencial de água pelo solo de -0,03 MPa e clone 433.
C.V. = Coeficiente de Variação.
*
= significância da ANAVA (p < 0,05)
p (S) = valor de p considerando apenas os níveis de estresse.
p (C) = valor de p considerando apenas os diferentes clones.
P (S-C) = valor de p considerando a interação estresse x clone.
Vários autores observaram redução da matéria seca da parte aérea
pela indução ao estresse hídrico (OLIVA et al., 1989, ALVARENGA et al., 1994,
STOMEMAN et al., 1994, STONEMAN et al., 1994, LI, 1998 b, LI, 1998 c e SILVA, 1998)
citados pr Silva (2003). Wang et al. (1988) também concluíram que a matéria seca aérea de E.
30
glóbulos foi aumentada significativamente com o aumento dos níveis de água e adubação, e
que houve interação entre ambos fatores.
Lima (1996), verificou que em tratamentos de estresse hídrico houve
um aumento de peso de matéria seca radicular de E grandis e E. pellita e redução em E.
saligna e E. camaldulensis. Contudo, este mesmo autor, observou em valores absolutos que
E. camaldulensis foi a espécie que apresentou a maior produção de matéria seca radicular sem
estresse e não está entre as menores produções com estresse hídrico, principalmente no solo de
textura franca, onde os problemas de condutividade hidráulica são maiores. A capacidade de
enraizamento profundo e ramificado tem sido atribuída como uma das principais estratégias
para resistência à seca em E. camaldulensis (FAÇANHA, 1983; REIS e HALL, 1987;
GOMES, 1993) citados por Lima (1996).
A área foliar teve um decréscimo significativo nos tratamentos com
estresse hídrico.Dentro dos tratamentos com mesmo clone podem-se observar reduções de 13
a 17% na superfície foliar (Tabela 12). Isto se deve a uma tentativa de prevenção contra a seca
de acordo com Taiz e Zeiger (2002), sendo uma das três linhas de defesa da planta quando
estressadas hidricamente, sendo estas: i) diminuição da área foliar; ii) crescimento das raizes
mais profundas; iii) fechamento estomático.O estresse hídrico cíclico não reduziu o número de
folhas de E. camaldulensis, embora o tenha reduzido nas outras espécies. As plantas
submetidas a déficit hídrico apresentaram redução na área foliar, sendo que E. camaldulensis
foi a mais influenciada, apresentando, no final do experimento, uma redução de 28,9% no
estresse moderado e 28,6% no estresse severo, em relação às plantas sem déficit hídrico
(FAÇANHA, 1983).
31
Tabela 11. Características morfológicas médias de plantas de Eucalyptus urograndis, ao final
de 50 dias após implantação e o resultado estatístico da comparação entre potencial
de água no solo.
Potencial de Água no Solo (MPa)
Característica
Morfológica
-0,03 -1,5
HPA(cm)
35,4 a 30,4 b
D(mm)
3,789 a 3,484 b
MSPA(g)
3,417 a 2,529 b
MSR(g)
2,0000 a 1,3333 b
AF(cm
2
)
198,769 a 167,158 b
D.M.S. (Diferença Mínima Significativa do Teste de Tukey, α = 5%), (HPA) = 1,986
D.M.S. (Diferença Mínima Significativa do Teste de Tukey, α = 5%), (D) = 0,058
D.M.S. (Diferença Mínima Significativa do Teste de Tukey, α = 5%), (MSPA) = 0,129
D.M.S. (Diferença Mínima Significativa do Teste de Tukey, α = 5%), (MSR) = 0,117
D.M.S. (Diferença Mínima Significativa do Teste de Tukey, α = 5%), (AF) = 22,10
Médias seguidas de letras iguais na linha não diferem pelo Teste de Tukey, ao nível de 5% de significância.
Tabela 12. Características morfológicas médias de plantas de Eucalyptus urograndis, ao final
de 50 dias após implantação e o resultado estatístico da comparação entre clones.
Material Genético (Clones)
Característica
Morfológica
105 433
HPA(cm)
32,2 a 33,6 a
D(mm)
3,701 a 3,572 a
MSPA(g)
3,025 a 2,921 a
MSR(g)
1,8333 a 1,5000 a
AF(cm
2
)
190,020 a 175,907 b
D.M.S. (Diferença Mínima Significativa do Teste de Tukey, α = 5%), (HPA) = 0,609
D.M.S. (Diferença Mínima Significativa do Teste de Tukey, α = 5%), (D) = 0,058
D.M.S. (Diferença Mínima Significativa do Teste de Tukey, α = 5%), (MSPA) = 0,129
D.M.S. (Diferença Mínima Significativa do Teste de Tukey, α = 5%), (MSR) = 0,117
32
D.M.S. (Diferença Mínima Significativa do Teste de Tukey, α = 5%), (AF) = 6,77
Médias seguidas de letras iguais na linha não diferem pelo Teste de Tukey, ao nível de 5% de significância.
4.1.4.Avaliações aos 70 dias após plantio
Na Tabela 13 tem-se a última avaliação das características
morfológicas do presente experimento. A altura da parte aérea continua tendo os maiores
valores no clone 433 nos dois manejos hídricos. Estes valores vêm comprovar seu maior
desempenho em altura mesmo sob estresse hídrico. E com o aumento dos ciclos de seca, a
matéria seca da parte aérea também teve comportamento semelhante, indicando um maior
acúmulo de massa do caule, havendo juntamente uma interação de manejo hídrico com os
diferentes clones.
Tabela 13. Resultados médios das variáveis morfológicas das plantas de Eucalyptus
urograndis, aos 70 dias após plantio e a significância do teste F.
Tratamentos
HPA
(cm)
D
(mm)
AF
(cm
2
)
MSPA
(g)
MSR
(g)
T 1
44,0 4,489 664,4203 5,218 1,728
T 2
39,8 3,891 548,6850 4,005 1,518
T 3
43,9 3,657 488,3848 3,695 1,354
T 4
48,5 4,320 572,4313 6,359 1,649
C.V. (%)
5,86 3,58 4,77 8,53 17,32
p (S) 0,0260
*
0,0000
*
0,0002
*
0,0000
*
0.0001
*
p (C) 0,0119
*
0,0914 0,0012
*
0,1845 0.0089
*
p (S – C) 0,9482 0,6277 0,3575 0,0352
*
0.1740
HPA = altura da parte aérea; D = diâmetro de colo; AF = área foliar; MSPA = matéria seca da parte aérea; MSR
= matéria seca radicular.
T1 : plantas irrigadas ao atingirem um potencial de água pelo solo de -0,03 MPa e clone 105.
T2 : plantas irrigadas ao atingirem um potencial de água pelo solo de -1,5 MPa e clone 105.
T3 : plantas irrigadas ao atingirem um potencial de água pelo solo de -1,5 MPa e clone 433.
T4 : plantas irrigadas ao atingirem um potencial de água pelo solo de -0,03 MPa e clone 433.
33
C.V. = Coeficiente de Variação.
*
= significância da ANAVA (p < 0,05)
p (S) = valor de p considerando apenas os níveis de estresse.
p (C) = valor de p considerando apenas os diferentes clones.
P (S-C) = valor de p considerando a interação estresse x clone.
Nas Tabelas 14 e 15 pode-se comprovar o que foi descrito acima,
onde o clone 433 teve significamente maiores valores que o clone 105 e que há um decréscimo
significativo da altura da planta com déficit hídrico. Outros trabalhos, citados por Silva (2003),
mostraram que o estresse hídrico afetou negativamente o crescimento em altura de mudas de
Eucalyptus, entre eles: Reis et al., (1988), trabalhando com E. camaldulensis submetidos a três
regimes de irrigação, Wang et al. (1988), estudando relações hídricas e desenvolvimento de
mudas de duas subespécies de E. globulus, Oliva et al., (1989), trabalhando com E.
camaldulensis em vasos, Teixeira et al. (1995), trabalhando com adubação potássica e estresse
hídrico em solos, Sasse et al., (1996), estudando relações hídricas da espécie E. globulos
produzidas através de sementes e estaquia e Li (1998 b), pesquisando E. microtheca
originados de regiões com regimes hídricos diferentes. Alvarenga et al. (1994) encontraram
um aumento superior a 65% na altura de mudas de Eucalyptus sp quando compararam plantas
sob condições favoráveis (capacidade de campo) e plantas submetidas a um regime hídrico
severo (potencial de água no solo de -1,5 MPa). Myers & Landsberg (1989), pesquisando E.
brockwayi e E. maculata, concluíram que a aplicação de um estresse moderado por um longo
período foi mais prejudicial para o crescimento do que um estresse severo por um curto
período.
Na avaliação do diâmetro obtivemos valores de maiores para
tratamentos sem estresse hídrico com uma redução de até 16% nos tratamentos com o clone
433 (Tabela 13). Este aumento no diâmetro pode estar contribuindo para o aumento da matéria
seca da parte aérea. Não foi observada diferença dos valores dos diâmetros entre os clones.
Ferreira (1997), constatou que a partir dos 70 dias, mudas que receberam água suficiente para
garantir seu desenvolvimento inicial no campo, descreveram crescimento constante. E.
citriodora apresentou incrementos notáveis até os 120 dias, já E. camaldulensis exibiu o pior
desempenho no campo.
34
Para área foliar e matéria seca radicular houve diferenças
estatisticamente significativas entre os manejos (-0,03 MPa e -1,5 MPa) e entre os clones (105
e 433). Tanto a área foliar quanto a massa seca radicular, aos 70 dias após o plantio, teve
maiores incrementos do crescimento, nos tratamentos sem estresse hídrico e no clone 105
(Tabela 14).
As diferenças entre os clones podem ser bastante evidenciadas nestas
características, onde se obteve maior expansão foliar e massa seca radicular no clone 105
(Tabela 15). Entre espécies estudadas por Façanha (1983), observou-se que E. cloeziana foi a
que mais acumulou assimilado nas folhas, em plantas com ou sem déficit hídrico, E.
camaldulensis no caule e E. grandis nas raízes. Em condições de déficit hídrico, a matéria seca
radicular aumentou em E. camaldulensis, enquanto em E. grandis e E. cloeziana decresceu.
Tabela 14. Características morfológicas médias de plantas de Eucalyptus urograndis, ao final
de 70 dias após implantação e o resultado estatístico da comparação entre potencial
de água no solo.
Potencial de Água no Solo (MPa)
Característica
Morfológica
-0,03 -1,5
HPA(cm)
46,1 a 42,0 b
D(mm)
4,431 a 3,754 b
AF(cm
2
)
618,189 a 519,027 b
MSR(g)
1,6813 a 1,4252 b
D.M.S. (Diferença Mínima Significativa do Teste de Tukey, α = 5%), = 1,05
D.M.S. (Diferença Mínima Significativa do Teste de Tukey, α = 5%), = 0,059
D.M.S. (Diferença Mínima Significativa do Teste de Tukey, α = 5%), (AF) = 11,07
D.M.S. (Diferença Mínima Significativa do Teste de Tukey, α = 5%), (MSR) = 0,02
Médias seguidas de letras iguais não diferem pelo Teste de Tukey, ao nível de 5% de significância.
35
Tabela 15. Características morfológicas médias de plantas de Eucalyptus urograndis, ao final
de 70 dias após implantação e o resultado estatístico da comparação entre clones.
Material Genético (Clones)
Característica
Morfológica
105 433
HPA(cm)
41.6 b 46.5 a
D(mm)
4.174 a 4.011 a
AF(cm
2
)
607,110 a 530,107 b
MSR(g)
1,6098 a 1,4968 b
D.M.S. (Diferença Mínima Significativa do Teste de Tukey, α = 5%), (HPA) = 3,44
D.M.S. (Diferença Mínima Significativa do Teste de Tukey, α = 5%), (D) = 0,059
D.M.S. (Diferença Mínima Significativa do Teste de Tukey, α = 5%), (AF) = 11,07
D.M.S. (Diferença Mínima Significativa do Teste de Tukey, α = 5%), (MSR) = 0,02
Médias seguidas de letras iguais na linha não diferem pelo Teste de Tukey, ao nível de 5% de significância
.
solo.
A matéria seca da parte aérea ao final de 70 dias foi a única
característica que apresentou interação entre os tratamentos de manejo hídrico e material
genético.
Na Tabela 16 pode-se observar o aumento da matéria seca da parte
aérea nos tratamentos sem restrição hídrica. Não houve diferenças estatísticas significativas
entre as médias dos clones, mas verificou-se interação entre os manejos e o material genético.
Os clones se comportaram de maneira diferente estatisticamente conforme o manejo aplicado:
em condições de déficit hídrico, o clone 105 apresentou valores mais elevados, já sem estresse
hídrico, o clone que alcançou maiores médias foi o clone 433. Este aumento da matéria seca
da parte aérea pode ter sido contribuído pelo aumento da altura evidenciado neste tratamento
(sem estresse e clone 433) em todas as avaliações. Podemos aferir que o clone 105 quando
submetido ao déficit hídrico tem um comportamento, em relação ao acúmulo de matéria seca
aérea, semelhante ao clone 433, já em condições de disponibilidade de água ele apresenta
desempenho inferior ao clone 433. Isto evidencia que o melhoramento genético do clone 433
36
foi para produção e do 105 para resistência. Embora não houve diferenças estatística, na
situação de déficit hídrico o clone 105 teve a melhor matéria seca de parte aérea.
O déficit hídrico reduziu o acúmulo de matéria seca da parte aérea de
três espécies estudadas por Façanha (1983), sendo que a espécie mais influenciada foi a E.
camaldulensis, apresentando uma redução na produção de matéria seca total de 22% em
estresse moderado e 26,1% em estresse severo, em relação ao controle. O E.grandis
apresentou as menores reduções na produção na matéria seca total, que foram de 18,9% em
estresse moderado e 20,8% em estresse severo.
Tabela 16. Matéria seca de parte aérea (MSPA) de plantas de Eucalyptus urograndis,ao final
de 70 dias após implantação e o resultado estatístico da interação entre potencial de
água no solo e de material genético.
Potencial de Água no Solo (MPa)
Clones
-0,03 -1,5
Médias
105
5,3510 a B 3,9323 b A
4,6416 A
433
6,2950 a A 3,6766 b A
4,9854 A
Médias
5,8230 a 3,8045 b
Médias seguidas de letras minúsculas na linha e maiúsculas nas colunas não diferem pelo Teste de Tukey, ao
nível de 5% de significância.
4.2.Comportamento das características morfológicas
Os gráficos das Figuras 1 a 5 demonstram o comportamento de cada
característica morfológica, HPA (cm), D (mm), AF (cm
2
), MSPA (g), MSR (g), durante as
avaliações realizadas aos 15, 30, 50 e 70 dias após o plantio.
37
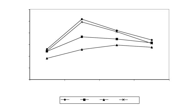
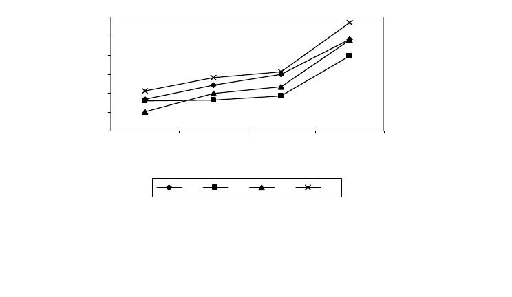
4.2.1. Altura da planta
O Trat 4 obteve maiores alturas de plantas, como já foi comprovado
pelas análises estatísticas anteriormente. Os tratamentos 1 e 3 tiveram mesmo
comportamento na curva, se igualando os 70 dias de implantação. No tratamento 2, foram
observados os menores valores de altura. O clone 433 mesmo quando sob estresse hídrico
obteve melhor desempenho.Todos os tratamentos tiveram um crescimento mais acentuado
após os 50 dias.
20,0
25,0
30,0
35,0
40,0
45,0
50,0
15 30 50 70
tempo implantação (dias
)
Altura de plantas (cm)
T1 T2 T3 T4
Como já foi descrito nas analises estatísticas o Trat 4 apresentou maior
altura em todas as épocas de avaliação, Trat 1 e Trat 3 tiveram o mesmo comportamento
com valores
Figura 1. Altura da parte aérea de plantas de Eucalyptus urograndis em avaliações realizadas aos
15, 30, 50 e 70 dias após implantação em vaso
Trat 1
Sem estresse (-0,03 MPa) + clone 105 Trat 3
Com estresse (-1,5 Mpa) + clone 433
Trat 4 – Sem estresse (-0,03 MPa) + clone 433 Trat 2 – Com estresse (-1,5 MPa) + clone 105
38
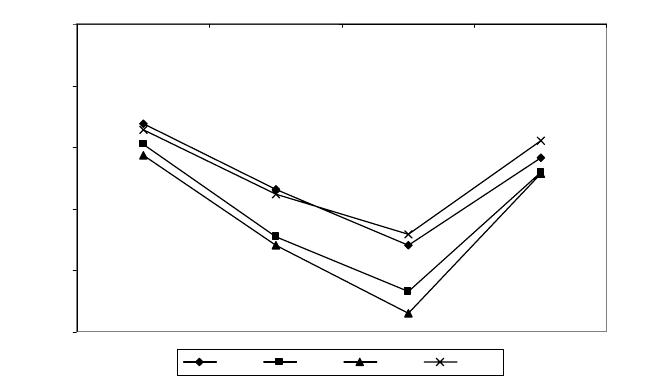
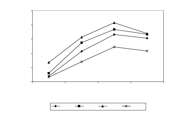
4.2.2. Diâmetro de colo
Tratamentos sem déficit hídrico apresentaram os maiores diâmetros
de colo, com melhor desempenho do clone 105. Havendo um comportamento crescente das
curvas para todos tratamentos, sendo observado na avaliação aos 30 dias após implantação
um baixo crescimento nas plantas do Tratamento 2.
Figura 2. Diâmetro de colo de plantas de Eucalyptus urograndis em avaliações realizadas aos
15, 30, 50 e 70 dias após implantação em vaso
3,00
3,30
3,60
3,90
4,20
4,50
4,80
15 30 50 70
tempo de implantação (dias)
Diâmetro de plantas
(mm)
Trat 1 Trat 2 Trat 3 Trat 4
Trat 1 – Sem estresse (-0,03 MPa) + clone 105 Trat 3 – Com estresse (-1,5 Mpa) + clone 433
Trat 4 – Sem estresse (-0,03 MPa) + clone 433 Trat 2 – Com estresse (-1,5 MPa) + clone 105
39
4.2.3. Matéria seca de parte aérea
O comportamento da matéria seca da parte aérea foi semelhante ao da
altura no Trat 4, onde se obteve os maiores valores. Os tratamentos sem déficit hídrico tiveram
os maiores incrementos de massa seca, não sendo observada diferenças significativas entre os
clones, e sim na interação dos manejos com os materiais genéticos já citados anteriormente.
Também constata-se um maior desenvolvimento das plantas a partir dos 50 dias.
Figura 3. Matéria seca da parte aérea de plantas de Eucalyptus urograndis em avaliações
realizadas aos 15, 30, 50 e 70 dias após implantação em vaso
1,000
2,000
3,000
4,000
5,000
6,000
7,000
15 30 50 70
tempo de implantação (dias)
Massa seca (g)
Trat 1 Trat 2 Trat 3 Trat 4
Trat 1 – Sem estresse (-0,03 MPa) + clone 105 Trat 3 – Com estresse (-1,5 Mpa) + clone 433
Trat 4 – Sem estresse (-0,03 MPa) + clone 433 Trat 2 – Com estresse (-1,5 MPa) + clone 105
40
4.2.4. Área foliar
A área foliar apresentou grande desenvolvimento após os 50 dias de
implantação, com diferenças de até 70% entre as avaliações 3 e 4.Entre os tratamentos,
observa-se maiores superfícies foliares em tratamentos sem estresse hídrico, com melhor
desempenho do Trat 1. O clone 105 se desenvolveu melhor mesmo sob estresse hídrico em
relação ao 433.
Figura 4. Área foliar de plantas de Eucalyptus urograndis em avaliações realizadas aos 15, 30,
50 e 70 dias após implantação em vaso
0
100
200
300
400
500
600
700
15 30 50 70
tempo de implantação (dias
)
Área foliar (cm2
)
Trat 1 Trat 2 Trat 3 Trat 4
Trat 1 – Sem estresse (-0,03 MPa) + clone 105 Trat 3 – Com estresse (-1,5 Mpa) + clone 433
Trat 4 – Sem estresse (-0,03 MPa) + clone 433 Trat 2 – Com estresse (-1,5 MPa) + clone 105
41
4.2.5. Matéria seca radicular
A matéria seca radicular teve curvas com mesmo comportamento para
todos tratamentos, observando maiores valores nos tratamentos sem déficit hídrico e com
clone 105.
Figura 5. Matéria seca radicular de plantas de Eucalyptus urograndis em avaliações realizadas
aos 15, 30, 50 e 70 dias após implantação em vaso.
4.3. Características Fisiológicas
4.3.1.Potencial hídrico foliar
O potencial hídrico foliar reflete as condições da dinâmica do processo
do transporte no sistema solo-água-planta-atmosfera, constituindo o principal componente
responsável pelo fluxo de água na planta.
Nas avaliações de potencial de água na folha (ψ
w
) ao longo do dia, às
8:00, 11:00, 13:00 e 15:00, em condições de céu claro, pode-se verificar na figura 5 as
0,000
0,500
1,000
1,500
2,000
15 30 50 70
tempo de implantação (dias
)
Matéria seca radicular (g)
Trat1 Trat2 Trat 3 Trat4
Trat 1 – Sem estresse (-0,03 MPa) + clone 105 Trat 3 – Com estresse (-1,5 Mpa) + clone 433
Trat 4 – Sem estresse (-0,03 MPa) + clone 433 Trat 2 – Com estresse (-1,5 MPa) + clone 105
42
diferenças entre os tratamentos. Os tratamentos T1 e T4, com ψ
w
de -0,03 MPa, apresentaram
os maiores potencias hídricos, e os T2 e T3, com ψ
w
de -1,5 MPa apresentaram os menores.
Nos horários mais quentes do dia, observaram-se menores potenciais, devido à maior
resistência estomática (Figura 7).Todas as curvas seguem o mesmo comportamento, não sendo
observada diferenças entre os clones, já que as curvas dos tratamentos de mesmo manejo
hídrico e diferentes clones quase se sobrepõem.
Houve diferença significativa entre os potenciais de água na folha,
normalmente nas horas mais quentes do dia, entre os dois estresse aplicados (-0,03 e -1,5
MPa) para ambos os clones, demonstrando que houve adaptações à déficit hídricos.
-25,0
-20,0
-15,0
-10,0
-5,0
0,0
8:20h 11:00h 14:15 16:30
horas
potencial de água na folha(bares)
Trat 1 Trat 2 Trat 3 Trat 4
Figura 6. Potencial hídrico foliar plantas de Eucalyptus urograndis, ao longo do dia,
submetidas a dois manejos hídricos e dois clones.
Segundo Gonçalves (1992), em períodos caracterizados por seca,
ocorre redução gradual no potencial hídrico das plantas, cuja magnitude vai depender dos
mecanismos de prevenção à desidratação, podendo decrescer até valores críticos, que resultam
em prejuízo ou morte de células, de tecidos, de órgãos ou de plantas inteiras. Neste mesmo
trabalho, foi observado que o ψ
w
de plantas mantidas à capacidade de campo não diferiu entre
espécies e entre regimes de adubação. Lima (1996) verificou que o ψ
w
, semelhantemente à
43
condutância estomática, atingiu menores valores (mais negativos) pós-meio-dia e maiores
(maior hidratação), principalmente, no antemanhã (4 horas). De todas as espécies estudadas
por este mesmo autor, o E.grandis não exibiu diferenças de ψ
w
entre os tratamentos, as demais
espécies foram afetadas pelo estresse, com amplitudes maiores de variação de ψ
w
pós-meio-
dia. Relativamente a recuperação às 4 e 17 horas, E. tereticornes recuperou-se completamente.
Turner (1986) sugeriu que plantas com altas condutâncias hidráulicas
podem mostrar pequenas mudanças no potencial hídrico da folha e estas seriam sensíveis às
mudanças hídricas radiculares. Em contraste, plantas com baixa condutância hidráulica podem
ter grandes alterações no ψ
w
das folhas (menos sensíveis às relações hídricas na parte aérea),
com menor condutância hidráulica a partir das raízes. Neste sentido, as espécies E. sp e E.
tereticornes enquadrar-se-iam mais na primeira condição sugerida por Turner, e E. cloeziana e
E. saligna seriam mais bem enquadradas na segunda condição.
4.3.2.Resistência estomática
Verificou-se que o clone 433 sob estresse hídrico apresentou os
maiores valores de resistência estomática. Já os tratamentos sem restrição hídrica (T1 e T4)
não apresentaram diferenças mesmo com diferente material genético. No geral constatou-se
que todos tratamentos tiveram comportamento semelhante para esta variável nos diferentes
horários, sendo que às 14:00 horas foi o período mais crítico, com maior resistência estomática
de todos os tratamentos, e nos horários onde não se tem uma evaporação e incidência solar alta
(manhã e final da tarde) há maior abertura dos estômatos (Figura 6). Comparando-se o gráfico
do potencial hídrico foliar pode-se observar que quanto maior a pressão exigida maior a
resistência dos estômatos, existindo uma relação direta destes fatores.
44
Figura 7. Resistência estomática foliar plantas de Eucalyptus urograndis, ao longo do dia,
submetidas a dois manejos hídricos e diferentes materiais genéticos.
Pode-se inferir que o clone 105 tende a ser mais tolerante à seca que o
433, pois foi menos exigido quanto ao fechamento estomático, portanto, havendo maior
condutividade de vapor d’água e CO
2
.
Em função do manejo hídrico o comportamento do clone variou, o
clone 105, mais tolerante à seca, quando é disponibilizada água, este diminui sua resistência,
já sob estresse hídrico há um aumento da resistência à seca. Comportamento diferente foi
verificado no clone 433, quando esta está sob estresse hídrico há um aumento da resistência,
mesmo sendo um clone menos resistente à seca.
Façanha (1983) verificou que plantas de E. sp submetidas à mesma
intensidade de estresse hídrico, aumentam a resistência estomática à medida que se
acumularam os ciclos de desidratação. O efeito do déficit hídrico sobre os estômatos parece
estar associado ao aumento dos níveis de ácido abscísico, o qual atua nas células guardas
(Raschke, 1975 citado por FAÇANHA, 1983). Déficits cíclicos causam um aumento no teor
de ácido abscísico que, por estar compartimentalizado, mostra-se inativo na folha túrgida
(Raschke et alii,1976; Raschke e Zeevart, 1976; Ackerson, 1980 citados por FAÇANHA,
0,0
0,8
1,6
2,4
3,2
4,0
4,8
8:20h 11:00h 14:15 16:30
Horário
Resist. Estomática (s.cm-1)
Trat 1 Trat 2 Trat 3 Trat 4
45
1983). Em plantas de eucalipto, submetidas a estresse hídrico, o nível de ácido abscísico pode
aumentar de duas a três vezes (Itai, 1975; Netting et alii, 1982 citados por FAÇANHA, 1983).
No trabalho de Gonçalves (1992), não houve relação entre
potencial de água na folha e resistência estomática nas espécies estudas, o que pode ser
explicado segundo o mesmo, ao decréscimo curvilíneo diário de potencial hídrico foliar que
as plantas sofrem em decorrência da manutenção do estresse (Slatyer, 1967 citado por
GONÇALVES, 1992) e da variação em valores de potencial hídrico críticos entre espécies
e procedências de eucalipto em que o fechamento estomático ocorre.
4.3.3.Transpiração
A transpiração nos tratamentos sem estresse hídrico (T1 e T4) foi
maior, não havendo diferença entre os clones. Já para os tratamento com restrição hídrica, o
clone 105 apresentou maiores valores em relação ao 433. Verifica-se também que a
transpiração ocorre de acordo com as horas do dia, nos horários mais quentes, por volta do
meio-dia, têm-se maiores perdas de água pela planta (Figura 8). Também podemos observar
maiores variações de transpiração nos tratamentos 1 e 4 ao longo do dia, pois não foram
rustificados, assim perdem muita água até o fechamento dos estômatos. Já os tratamentos T2 e
T3 não sofrem tanta variação na perda d’agua pois foram mais eficinetes na “percepção” ao
estresse e fecharam seus estômatos mais eficientemente.Estas variações na perda de água entre
as horas mais quentes e menos quentes do dia provêm de uma resposta menos eficiente dos
estômatos à transpiração (SILVA, 2003).
46
Figura 8. Transpiração foliar de plantas de Eucalyptus urograndis, ao longo do dia,
submetidas a dois manejos hídricos e diferentes materiais genéticos.
Comparando-se a transpiração com a resistência estomática, observa-
se uma relação inversa e óbvia, onde quanto menor a resistência estomática maior vai ser a
transpiração, e plantas que estão submetidas a estresse hídrico possuem menor potencial de
água na folha, fazendo com que haja maior resistência estomática e conseqüente menor
transpiração. Segundo Silva (2003), a “percepção” do estresse hídrico e a relação de defesa
contra a desidratação, através do fechamento dos estômatos, é mais veloz em plantas
submetidas à estresse hídrico, por esta razão a variação é menos brusca. Já em plantas sem
estresse hídrico demonstram comportamento semelhante ao encontrado: perdem bastante água
por transpiração, tem atraso em suas reações contra a desidratação. Outros autores, citados por
Silva (2003), também verificaram a influência do estresse hídrico na redução da transpiração
de plantas. Rawat et al. (1984), estudando a taxa de transpiração em espécies de Eucalyptus
mantidas constantemente sob diferentes níveis de umidade no solo, verificaram que as plantas
mantidas na capacidade de campo apresentaram elevada transpiração. Ismael (2001) também
observou que as plantas menos estressadas tiveram taxas de transpiração maiores.
0,0
5,0
10,0
15,0
20,0
25,0
30,0
08:20 11:00 14:15 16:30
Horas
Transpiração (Mg cm-2 s-1)
Trat 1 Trat 2 Trat 3 Trat 4
47
4.3.4. Temperatura da folha
Quando a temperatura da folha é analisada, comparando-se com outras
características fisiológicas, mostra que esta segue o mesmo comportamento diretamente ou
inversamente proporcional com o ψ
w
, a resistência estomática e a transpiração.
Figura 9. Temperatura foliar de plantas de Eucalyptus urograndis, ao longo do dia, submetidas
a dois manejos hídricos e diferentes materiais genéticos.
Observam-se maiores temperaturas nos tratamentos T2 e T3, com
estresse hídrico, onde o clone 433 se mostra um pouco mais sensível e atinge maiores valores.
Este mesmo clone quando não tem restrição hídrica já apresenta menores temperaturas que o
clone 105 (Figura 8). O aumento da temperatura foliar em tratamentos com estresse hídrico se
deve ao fechamento dos estômatos, o que é mais crítico nos horários mais quentes do dia, e
conseqüente diminuição da transpiração, que tem um efeito “resfriante” na planta.
Como defesa contra o aumento da temperatura foliar, a planta possui
outros mecanismos, segundo Façanha (1983), dentre os quais destacam-se: mudança na
orientação foliar em relação a interceptação da radiação foliar; dissipação de calor através da
irradiação infravermelha de calor e também um aumento da transpiração, que em altas
20,0
22,0
24,0
26,0
28,0
30,0
08:20 11:00 14:15 16:30
Horas
Temperatura na folha (oC
Cl 1 M 1 Cl 1 M 2 Cl 2 M 2 Cl 2 M 2
48
temperaturas ambientes pode ser esperado por causa do efeito direto da temperatura na
constante de difusão da água e em virtude de um aumento no gradiente de pressão de vapor
entre a folha e o ar. O diferencial de temperatura foliar, que indica a diferença de temperatura
entre uma planta estressada e outra túrgida, é um parâmetro que tem sido utilizado para indicar
a resistência de plantas à seca.
4.4 Sobrevivência das plantas
O bom desempenho e sobrevivência das plantas foi o objetivo final
deste trabalho bem como de todo processo de produção. Em todos os tratamentos houve 100%
de sobrevivência das plantas. Mesmo com um potencial de água no solo de -1,5 MPa os clones
menos resistentes à seca sobreviveram ao estresse hídrico. Podemos inferir assim, que este
potencial de água no solo não foi suficiente para causar um estresse hídrico significativo,
sendo necessário a realização de novos experimentos com maiores déficits hídricos para o
eucalipto.
49
5. CONCLUSÕES
Após a análise e interpretação dos resultados obtidos, nas condições em
que foi realizado o experimento, pode-se concluir que:
a) os materiais genéticos utilizados tiveram comportamentos diferentes nas características
morfológicas em cada época de avaliação, sendo que na avaliação aos 70 dias após
implantação, apenas a altura da parte aérea e matéria seca da parte aérea foram maiores
estatisticamente no clone 433. A área foliar e a matéria seca radicular foram maiores no clone
105. O diâmetro não foi influenciado pelos clones;
b) tratamentos sem estresse hídrico tiveram maior desenvolvimento em todas características
estudadas, não havendo influência dos clones;
c) Houve interação entre manejo hídrico e clones na matéria seca de parte aérea na avaliação
dos 70 dias;
d) nos horários do dia medidos os potenciais de água foram menores às 14:15 h, havendo
nítido ajuste osmótico de ambos os clones em todas as épocas medidas. A resistência
estomática acompanhou os potenciais, apresentando maiores valores nos tratamentos
submetidos a deficiência hídrica, com mais intensidade no clone 433, tal ocorreu com o
potencial de água na folha. A transpiração também acompanhou o potencial de água na folha e
50
a resistência estomática com maior intensidade no clone 105 tanto na comparação entre
plantas estressadas como nas não estressadas. Conseqüentemente, as temperaturas das folhas
tiveram valores mais elevados no clone 433, no tratamento estressado.
e) O clone 105 foi o mais resistente ao estresse hídrico, não comprometendo seu
desenvolvimento e produtividade, com maior eficiência no uso de água;
51
6. REFERÊNCIAS BIBLIOGRÁFICAS
ALBUQUERQUE, P.E.P. Evapotranspiração, balanços de energia e da água no solo e índices
de estresse hídrico da cultura, em feijoeiro (Phaseolus vulgaris L.), submetido a diferentes
freqüências de irrigação.Botucatu, 1997. 147 p. Tese (Doutorado) – Universidade Estadual
Paulista – Faculdade de Ciências Agrárias.
ALVARENGA, R.C., BARROS, N.F., DANTAS, C.E.S., LOBÃO, D.E.V.P. Efeitos do
conteúdo de água no solo e da poda de raízes sobre o crescimento de mudas de Eucalipto.
Revista Árvore, v.18, n.2, p.107-114, 1994.
ARAÚJO, A.P. A análise de variância em experimentos de analise de crescimento
vegetal: um estudo de caso. In: CONGRESSO BRASILEIRO DE CIÊNCIA DO SOLO, 25,
1995, Viçosa. Resumos...Viçosa: Sociedade Brasileira de Ciência do Solo, Universidade
Federal de Viçosa, 1995. v.3, p. 1311-3.
AWARD, M., CASTRO, P.R.C. A água na planta. In:_.Introdução à fisiologia vegetal:
movimento da água na planta. São Paulo: Nobel, 1983. p.30-6.
BACHELARD, E.P. Effects of soil moisture stress on the growth of seedlings of three
eucalypt species. II. Growth Effects. Australian Forester Researcher, v.16, p.51-61, 1986.
52
BARLOW, E.W.R. Water relations of the mature leaf. In: DALE, J.E. & MILTHORPE, F.L.,
eds. The growth and functioning of leaves. Cambridge, University Press, 1983. p.315-45.
BRAGA, M.B., KLAR, A. E. Evaporação e evapotranspiração de referência em campo e em
estufas orientadas nos sentidos norte/sul e leste/oeste. Irriga, Botucatu, v.5, n.3, 2000.
BENINCASA, M.M.P. et al. Método não destrutivo para estimativa da área foliar de
Phaseolus vulgaris L. (feijoeiro). Científica, v.4, p.43-8, 1976.
BROUWER, R. Distribution of dry matter in plant.
Netherlands Journal of Agricultural
Science, v.10, p. 361-375.
CLEMENS, J., JONES, P.G. Modification of drought resistance by water stress conditioning
in Acacia and Eucalyptus. Journal Experimental Botanical, 1978. v.29, p.895-904.
CHAVES, M.M. Effects of water deficits on carbon assimilation. Journal of Experimental
Botanical, Oxford, p.1-16, 1991.
DEVLIN, R.M. Fenômenos relacionados con el água. In:_.Fisiologia vegetal: absorcion y
transporte de água. Barcelona: Ômega, 1980. p.83-100.
FAÇANHA, J.G.V. Aspectos fisiológicos do crescimento de Eucalyptus spp. Submetido a
deficiência hídrica. Viçosa, 1983. 47 p. Dissertação (Mestrado) – Universidade Federal de
Viçosa.
FARREL, R.C.C., BELL, D.T., AKILAN, K., MARSHALL, J.K. Mophological and
physiological comparisons of clonal lines of Eucalyptus camaldulensis. I. Responses to
drought and waterlogging. Australin Journal of Plant Physiology, v.23, n.4, p.497-507,
1996.
53
FERREIRA, C.A.G. Aspectos de relações hídricas e crescimento de mudas de Eucalyptus spp.
Produzidas em tubetes e aclimatadas. Lavras, 1997.64 p. Dissertação (Mestrado) –
Universidade Federal de Lavras.
GONÇALVES, J.L.M.; STADE, J.L.; BENEDETTI, V.; FESSEL, V.A.G.; GAVA, J.L.
Reflexos do cultivo mínimo e intensivo do solo em sua fertilidade e nutrição das árvores. In:
GONÇALVES, J.L.M., BENEDETTI, V. (Ed.) Nutrição e fertilização florestal. Piracicaba.
IPEF, 2000. 427 p.
GONÇALVES, M.R. Crescimento, acúmulo de nutrientes e temperatura de copa em cinco
espécies de Eucalyptus spp. sob dois regimes hídricos.Viçosa, 1992. 84 p. Dissertação
(Mestrado) – Universidade Federal de Viçosa.
Home page: Ciagri. Texto: Relações Hídricas. Desenvolvido por Lázaro E. P. Peres.
Disponível em: <http://www.ciagri.usp.br/~lazaropp/FisioVegGrad/RelacoesHidricas.html
.
Acesso em 15 de agosto de 2004.
Home page: SBS. Disponível em: <http:/www.sbs.org.br/estatísticas.html. Acesso em 15 de
agosto de 2004.
Home page: Texto: As Relações Hídricas das Plantas Vasculares. Desenvolvido por Alexandra
Rosa da Costa. Disponível em: < http://www.angelfire.com/ar3/alexcosta0/RelHid/Rhw7.htm
.
Acesso em 30 de setembro de 2004.
INOUE, M.T., RIBEIRO, F.A. Fotossíntese e transpiração de clones de Eucalyptus sp e E.
saligna. Revista do IPEF, v.40, p.15-20, 1988.
INOUE, Y. Remote and visualized sensing of physiological depression in crop plants with
infrared thermal imagery. Japan Agric. Res. Quart., Ibaraki, v.25, p.1-5, 1991.
54
ISMAEL, J.J. Efeitos da fertilização nitrogenada e da umidade do substrato na aclimatação e
na adaptação no campo de mudas de Eucalyptus sp W.(Hill ex Maiden). Jaboticabal, 2001.
108 p. Tese (Doutorado) – Universidade Estadual Paulista – faculdade de Ciências Agrárias e
Veterinárias.
JARVIS, P.G. & McNAUGHTON, K.G. Stomatal control of transpirations: scaling up from
leaf to region. Advances Ecological Research, London, v.15, p.1-49, 1986.
KHERA, K.L., SANDHU, B.S. Canopy temperature of sugarcane as influenced by irrigation
regime. Agric. and For. Meteorol., Amsterdam, v.37, p.245-58, 1986.
KICHEVA, M.I.; TSONEV, T.D. & POPOVA, L.P. Stomatal and nonstomatal limitations to
photosynthesis in the wheat cultivars subjected to water stress. Photosynthetica, Dordrecht,
p.107-16, 1994.
KLAR, A. E. A influência do solo e do clima nas necessidades hídricas da cultura da cebola.
Tese de Livre-Docência, FCA, Unesp, 1974, 171p.
KLAR, A.E. Evapotranspiração. In:___ A água no sistema solo-planta-atmosfera. 2ed. São
Paulo: Nobel, 1984, 408 p.
KRAMER, P.J., BOYER, J.S. Function and properties of water. In: _. Water relations of
plant and soils. San Diego – California: Academic Press, 1995. p.16-41.
LARCHER, W. Plantas sob estresse. In:_. Ecofisiologia Vegetal. São Carlos: Editora RIMA,
2000, p.341-430.
LEMCOFF, J.H., GARAU, A., GUARNASCHELLI, A., PRYSTUPA, P. Water stress in
seedlings of Eucalyptus camaldulensis clones and its effects on growth characteristics. In:
IUFRO CONFERENCE ON SIVICULTURE AND IMPROVEMENT OF EUCALYPT,
1997, Salvador. Proceedings. Colombo: EMBRAPA – Centro Nacional de Pesquisa de
Florestas, 1997.
55
LI, C. Growth response of Eucalyptus microteca provenances to water stress. Journal of
Tropical Forest Science, v. 10, n.3, p. 379-387, 1998b.
LI, C.Variation of seedling traits of Eucalyptus microteca origins in differents watering
regimes. Silvae Genetica, v. 47, n.2-3, p. 132-135, 1998c.
LIMA, W.P. Impacto ambiental do eucalipto. 2.ed. São Paulo: Editora da Universidade de
São Paulo, 1993, 301p.
LIMA, W.P. Impacto ambiental do eucalipto. São Paulo, Universidade de São Paulo, 1996.
301p.
LIMA, W.P. Impactos da cultura do eucalipto. Revista Silvicultura, n.64, p.32-8, 1995.
LUDLOW, M.M. Adaptative significance of stomatal responses to water stress. In: TURNER,
N.C. & KRAMER, P.J., eds. Adaptation of plants to water and high temperature stress.
New York, John-Wiley, 1980. p. 123-138.
MAGALHÃES, A.C.N. Análise quantitativa do crescimento. In: FERRI, M.G. (Coord.)
Fisiologia Vegetal. São Paulo: EDUSP, 1979. v.1 cap.8, p.331-50.
MARTINS, D. O clima da região de Botucatu. In: _. ENCONTRO DE ESTUDOS SOBRE
AGROPECUÁRIA NA REGIÃO DE BOTUCATU, 1989. Botucatu. Anais... Botucatu: FCA-
UNESP, p.8-19, 1989.
MASOJIDEK, J.; TRIVEDI, S. & HALSHAW, L. The synergistic effect of drought and light
stresses in sorghum and pearl millet. Plant Physiology, Bethesda, v.96, p.198-207, 1991.
MILLAR, A.A., GARDNER, W.R. Effect of the soil and plant water potentials on the dry
matter production of snap beans. Agron. J., v.64, p.559-62, 1972.
56
MYERS, M.A., LANDSBERG, J.J. Water stress and seedling growth of two eucalipt species
from contrasting habitats. Tree Physiology, v.5, p.207-18, 1989.
NOBEL, P.S. Introduction to biophysical plant physiology. San Francisco, W.H. Freeman,
1974. 488p.
OLIVA, M.A., BARROS, N.F., GOMES, M.M.S., LOPES, N.F. Seca de ponteiros em
Eucalyptus camaldulensis Dehn em relação a estresse hídrico e nutrição mineral. Revista
Árvore, v.13, p. 19-33, 1989.
QUICK, W.P.; CHAVES, M.M. & WENDLER, R. The effect of water stress on
photosynthetic carbon metabolism in four species grown under field conditions. Plant Cell
and Environment, Oxford, v.15, p.25-35, 1992.
RAIJ, V. B., CANTARELA, H., QUAGGIO, J. A., FURLANI, A. M. C. Recomendações de
adubação e calagem para o Estado de São Paulo. Campinas, Instituto Agronômico/
Fundação IAC, 1997, 285 p. (Boletim 100).
RAWAT, P.S., GUPTA, B.B., RAWAT, J.S. Transpiration as affected by soil moisture in
Eucalyptus tereticornes seedlings. Indian Forester, v.110, n.1, p.35-39, 1984.
REIS, G.G., GOMES, R.T., MAESTRINI, M., REIS, M.G.F. A.E. Determinação da área
foliar em espécies e em proced|ências de Eucalyptus. Revista Árvore, v.12, n.1, p.25-33.
1988.
REIS, G.G., HALL, A.E. Relações hídricas e atividade do sistema radicular em Eucalyptus
camaldulensis Dehn. Em condições de campo. Revista Árvore, v.11, n.1. p.43-55. 1987.
SASSE, J.R., SANDS, R., WHITEHEAD, D., KELLIHER, F.M. Comparative responses of
cuttings and seedlings of Eucalyptus globules to water stress. Tree Physiology, v.16, p. 287-
294, 1996.
57
SCHULZE, E.D.; TURNER, N.C.; GOLLAN, T. & SHACKEL, K.A. Stomatal responses to
air humidity and to soil drought. In: ZEIGER, E.; FARQUHAR, G. & COWAN, I., (Ed)
Stomatal function. Stanford, Stanford University Press, 1987. p.311-321.
SEILER, J.R., JOHNSON, J.D. Physiological and morphological responses of three Half-Sib
families of loblolly pine to water-stress conditioning. Forest Science, v.34, p.487-93, 1988.
SILVA, M.R. caracterização morfológica, fisiológica e nutricional de mudas de Eucalyptus sp
Hill ex. Maiden submetidas a diferentes níveis de estresse hídrico durante a fase de
rustificação. Curitiba, 1998. 105 p. Dissertação (Mestrado) – Setor de Ciências Agrárias,
Universidade Federal do Paraná.
SILVA, M.R. Efeitos do manejo hídrico e da aplicação de potássio na qualidade de mudas de
Eucalyptus sp. W. (Hill ex. Maiden). Botucatu, 2003. 100 p. Tese (Doutorado) –Universidade
Estadual Paulista, Faculdade de Ciências Agronômicas.
STOMEMAN, G.L., TURNER, N.C., DELL, B. Leaf growth photosintesis and tissue water
relations of greenhouse-growth Eucalyptus marginata seedlings response to water deficits.
Tree Physiology, p. 633-646, 1994.
TAIZ, L., ZEIGER, E. Stress Physiology. In_. Plant Physiology. 2.ed. Sunderland-
Massachusetts: Sinauer Associates, 1998. p.725-54.
TAIZ, L., ZEIGER, E. Fisiologia do Estresse. In. Fisiologia Vegetal. 3.ed., 2002. p.613-615-
54.
TEIXEIRA, J.B. Efeito do déficit hídrico sobre a fotossíntese, a respiração e a eficiência no
uso de água, em seis espécies de leguminosas forrageiras. Viçosa, 1978. 45p. Tese (Mestrado)
- Fisiologia Vegetal - Universidade Federal de Viçosa, 1978.
TEIXEIRA, P.C., LEAL, P.G.L., BARROS, N.F., NOVAIS, R.F. Nutrición potásica y
relaciones hídricas em plantas de Eucalyptus spp. Bosque, v.16, n.1, p.61-68, 1995.
58
TENHUNEN, J.D.; PEARCY, R.W. & LARANCE, O.L. Diurnal variation in leaf
conductance and gas exchange in natural environments. In: ZEIGER, E.; FARQUHAR, G. &
COWAN, I., (Ed) Stomatal function. Stanford, Stanford University Press, 1987. p.323-351.
TURNER, N.C. Adaptation to water deficits: A changing perspective. Aust. J. Plant.
Physiology, p.175-190, 1986.
WANG, D., BACHELARD, E.P., BANK, J.C.G. Growth and water relations of seedlings of
two subspecies of Eucalyptus globules. Tree Physiology, v.4, p.129-138, 1988.
WINTER, B., VIPOND, S. Irrigação projeto e prática. Trad. F.C. Verdade. São Paulo: EPU,
1977. p.77-111. Original inglês.
Livros Grátis
( http://www.livrosgratis.com.br )
Milhares de Livros para Download:
Baixar livros de Administração
Baixar livros de Agronomia
Baixar livros de Arquitetura
Baixar livros de Artes
Baixar livros de Astronomia
Baixar livros de Biologia Geral
Baixar livros de Ciência da Computação
Baixar livros de Ciência da Informação
Baixar livros de Ciência Política
Baixar livros de Ciências da Saúde
Baixar livros de Comunicação
Baixar livros do Conselho Nacional de Educação - CNE
Baixar livros de Defesa civil
Baixar livros de Direito
Baixar livros de Direitos humanos
Baixar livros de Economia
Baixar livros de Economia Doméstica
Baixar livros de Educação
Baixar livros de Educação - Trânsito
Baixar livros de Educação Física
Baixar livros de Engenharia Aeroespacial
Baixar livros de Farmácia
Baixar livros de Filosofia
Baixar livros de Física
Baixar livros de Geociências
Baixar livros de Geografia
Baixar livros de História
Baixar livros de Línguas
Baixar livros de Literatura
Baixar livros de Literatura de Cordel
Baixar livros de Literatura Infantil
Baixar livros de Matemática
Baixar livros de Medicina
Baixar livros de Medicina Veterinária
Baixar livros de Meio Ambiente
Baixar livros de Meteorologia
Baixar Monografias e TCC
Baixar livros Multidisciplinar
Baixar livros de Música
Baixar livros de Psicologia
Baixar livros de Química
Baixar livros de Saúde Coletiva
Baixar livros de Serviço Social
Baixar livros de Sociologia
Baixar livros de Teologia
Baixar livros de Trabalho
Baixar livros de Turismo