
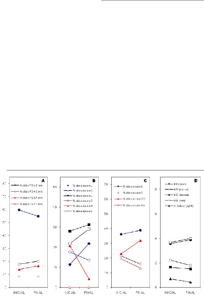
101
Relaxamento: Seguiu-se o protocolo descrito por Farah (1995), que será
transcrito literalmente (pp.115 – 116)
15
:
As pessoas deverão estar deitadas, preferencialmente com os olhos
fechados, pernas descruzadas, braços estendidos ao longo do corpo.
Eventualmente poderão estar sentadas, ou ainda, recostadas16. Procure
observar como você se sente no momento, em termos gerais: que
sentimentos, sensações ou mesmo emoções estão presentes em você?
Alguma coisa o preocupa neste momento? Alguma coisa o incomoda,
alegra ou entristece? Apenas observe essas coisas acontecendo em
você.Tente não se ocupar com elas nos próximos, minutos. Procure agora
voltar sua atenção para as sensações do seu corpo, especialmente para
aquelas partes que vão ser citadas.Passamos então a enunciar as partes do
corpo, tomando o de dar um intervalo de tempo equivalente a duas ou três
respirações – de quem coordena o grupo – para a atenção das pessoas
poder se fixar sobre cada parte citada. Podemos iniciar pelo pé direito,
dizendo:Sinta seu pé direito, perceba como ele está neste momento. Sinta
seu calcanhar, perceba o contato de seu calcanhar com o colchão.Sinta a
barriga da perna, procure perceber como ela toca o colchão.Vamos agora
para o seu pé esquerdo (dão-se então instruções equivalentes para o pé e
perna esquerdos.) Prosseguindo, sinta agora sua pélvis: as nádegas, a
região dos genitais. Observe as sensações dessas áreas.Procure perceber
agora a região posterior de sua cintura; se e como esta área toca o
colchão.Concentre-se agora em suas costas, procurando percebe sua
coluna vertebral: que partes da coluna tocam ou não o colchão. Sinta as
massas musculares ao lado de sua coluna.Sinta seu tórax. Observe como
ele se movimenta, seguindo o ritmo de sua respiração.Perceba seu ombro
direito; agora o braço, antebraço, cotovelo, punho e mãos direitos: sinta
como se dá o contato dessas partes do seu corpo com o colchão. (dão-se
instruções equivalentes para o lado esquerdo.) Agora você vai observar o
seu pescoço, bem como a região da nuca,. Preste atenção, então, á sua
boca, aos olhos, à testa. Sinta sua cabeça como um todo, bem como o seu
contato com o colchão.Volte a atenção para a sua respiração: não queira
alterá-la intencionalmente, apenas observe como ela está em termos de
ritmo, amplitude e localização. Em suma, observe o que está acontecendo
com sua respiração (“...).
A autora referiu que algumas variações podem ser feitas neste intervalo. Na
presente pesquisa, criou-se o seguinte procedimento:
Visualize seu corpo, neste momento, como se você o estivesse
sobrevoando. Perceba as partes mais tensas e as mais relaxadas. Veja se
alguma das partes do corpo ou algum órgão chama a sua atenção. Se ele
pudesse falar com você, o que ele diria? O que você responderia? Se
quiser, converse com ele.
Em seguida, retornou-se ao relaxamento segundo Farah (1995, p.118):
Depois de um intervalo de dois a três minutos podemos passar ás
instruções de retorno. (...) Movimente lentamente os dedos das mãos e dos
pés.Também muito lentamente, movimente a cabeça para os lados.Respire
15
As técnicas, com exceção da primeira, foram sendo escolhidas de acordo com a dinâmica grupal.
As razões de escolha de cada uma serão explicitadas no capítulo que discute as sessões e os
resultados.
16
As pessoas permaneceram sentadas.