
TABELA 1.6 Poder (%), sob H
0
parcial, para diferentes números de populações (k), de
valores do parâmetro π no primeiro grupo (π
(1)
), de tamanhos de amos-
tras (n) e diferenças entre os parâmetros π de cada grupo (∆), para os
testes de razão verossimilhanças (G
2
) e formas quadráticas (X
2
), ao nível
nominal de 5%.
∆ = 0,01 ∆ = 0,1 ∆ = 0,4
k π
(1)
n G
2
X
2
G
2
X
2
G
2
X
2
5 0,30 10 9,00 5,05 10,73 6,82 63,94 58,24
5 0,30 30 5,66 5,07 15,23 14,45 98,81 98,71
5 0,30 100 5,37 5,24 42,32 42,17 100,00 100,00
10 0,30 10 9,14 4,93 12,50 7,64 85,39 81,06
10 0,30 30 6,08 4,93 19,29 17,47 100,00 100,00
10 0,30 100 6,12 5,79 61,95 61,35 100,00 100,00
5 0,45 10 7,38 4,86 9,38 6,67 70,96 61,98
5 0,45 30 5,19 4,67 14,19 13,44 99,37 99,30
5 0,45 100 5,33 5,20 38,93 38,71 100,00 100,00
10 0,45 10 6,75 4,40 11,16 7,16 90,57 86,48
10 0,45 30 5,74 5,10 18,70 17,15 100,00 100,00
10 0,45 100 5,24 5,03 57,39 56,73 100,00 100,00
5 0,50 10 6,74 4,47 9,92 6,89 76,22 66,11
5 0,50 30 5,71 5,09 14,22 13,44 99,78 99,75
5 0,50 100 5,44 5,26 39,36 38,91 100,00 100,00
10 0,50 10 6,83 4,35 11,21 7,64 94,33 90,37
10 0,50 30 5,57 4,95 18,22 16,75 100,00 100,00
10 0,50 100 5,15 5,01 56,95 56,17 100,00 100,00
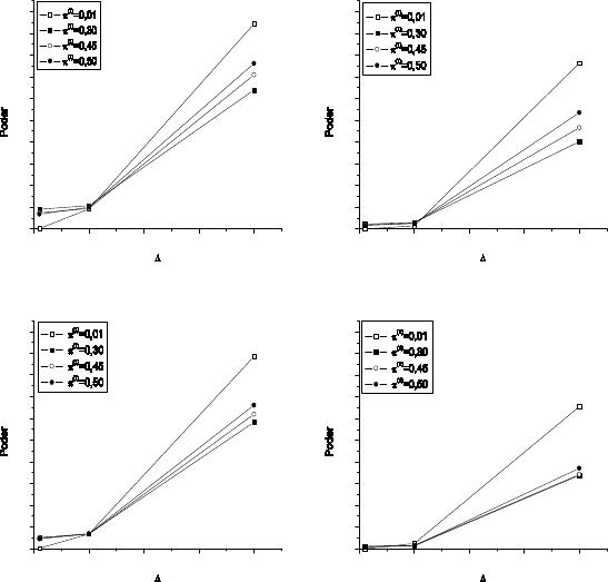
Observou-se que, se a diferença entre os valores de π é pequena (∆ = 0,01),
o poder dos testes é pequeno e, à medida que essa diferença torna-se maior (∆ =
0,1 e 0,4), o poder dos testes tem um aumento avultado, principalmente para grandes
amostras (n ≥ 30). Isso pode ser verificado na Tabela 1.6, fixando-se um valor de k,
π
(1)
, n e o teste. Finalmente, pode-se observar um grande aumento do poder dos testes
com o aumento de k = 5 para k = 10. Esse desempenho também foi semelhante ao
observado para valores de π afastado de 0,5 (Tabela 1.4).
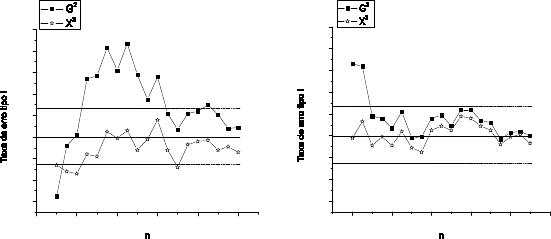
Para o nível nominal de significância de 1%, os valores de poder de ambos os
testes simulados apresentaram grandes similaridades aos resultados obtidos para α =
79