Download PDF
ads:
UNIVERSIDADE FEDERAL DE MINAS GERAIS
INSTITUTO DE CIÊNCIAS BIOLÓGICAS
DEPARTAMENTO DE FISIOLOGIA E BIOFÍSICA
PÓS-GRADUAÇÃO EM CIÊNCIAS BIOLÓGICAS:
FISIOLOGIA E FARMACOLOGIA
IMUNOPATOLOGIA DA DENGUE:
RECEPTORES DE QUIMIOCINAS CC E
CÉLULAS iNKT
Rodrigo Guabiraba Brito
2010
ads:
Livros Grátis
http://www.livrosgratis.com.br
Milhares de livros grátis para download.
UNIVERSIDADE FEDERAL DE MINAS GERAIS
INSTITUTO DE CIÊNCIAS BIOLÓGICAS
DEPARTAMENTO DE FISIOLOGIA E BIOFÍSICA
PÓS-GRADUAÇÃO EM CIÊNCIAS BIOLÓGICAS:
FISIOLOGIA E FARMACOLOGIA
IMUNOPATOLOGIA DA DENGUE:
RECEPTORES DE QUIMIOCINAS CC E
CÉLULAS iNKT
Tese apresentada ao Programa de
Pós-Graduação em Ciências Biológicas:
Fisiologia e Farmacologia, do Instituto de
Ciências Biológicas, Universidade Federal
de Minas Gerais, como pré-requisito para a
obtenção do título de doutor em Ciências
Biológicas: Farmacologia.
Orientador: Prof. Dr. Mauro Martins Teixeira
(Depto. de Bioquímica e Imunologia, ICB/UFMG)
Co-Orientador: Profa. Dra. Danielle G. Souza
(Depto. de Microbiologia, ICB/UFMG)
Aluno: Rodrigo Guabiraba Brito
Belo Horizonte
2010
ads:
III
Aos sempre magníficos condutores do
livre pensamento e do conhecimento
cientifico e social, Frank Zappa, Jack
Kerouac e Manoel de Barros.
IV
"The only people for me are the mad ones,
the ones who are mad to live, mad to talk,
mad to be saved, desirous of everything at the same time,
the ones who never yawn or say a commonplace thing,
but burn, burn, burn,
like fabulous yellow roman candles
exploding like spiders across the stars
and in the middle you see the blue centerlight pop
and everybody goes “Awww!"
Jack Kerouac
“...que a importância de uma
coisa não se mede com fita
métrica nem com balanças nem
barômetros etc. Que a
importância de uma coisa há
que ser medida pelo
encantamento que a coisa
produza em nós.”
Manoel de Barros
“…The pojama people are boring me
to pieces; They make me feel like I am
wasting my time…”
Frank Zappa, Po-Jama People, 1975
V
Este trabalho foi desenvolvido com o apoio financeiro do CNPq
(CONSELHO NACIONAL DE DESENVOLVIMENTO CIENTÍFICO E
TECNOLÓGICO).
Agradecimentos
VI
AGRADECIMENTOS
Ao meu orientador, Dr. Mauro Teixeira, pelos 10 anos de ensinamentos e apoio.
Sou-lhe eternamente grato pela base cientifica e pela forma pratica de encarar
algumas das dificuldades inerentes a vida acadêmica, as quais ele lida com
habilidade invejável. Este trabalho é mais um reflexo de sua orientação aberta, mas
criteriosa, e tantos outros ainda virão...
Ao Dr. Bernhard Ryffel e a Dra. Valérie Quesniaux (IEM/CNRS, Orléans, França),
por me acolherem em seu laboratório, me integrarem sem restrições as suas
respectivas equipes e me darem a liberdade de conduzir os experimentos que
compõe esta tese de doutorado.
Ao Dr. François Trottein e Dra. Joelle Renneson (Institute Pasteur Lille, França), pela
colaboração aberta e frutífera que geraram resultados que também compõem a
presente tese.
A Dra. Danielle G. Souza, a Dani, pela desenvoltura cientifica, pelo apoio, amizade e
sinceridade. Você me apresentou a Imunofarmacologia. Serei sempre grato.
A coordenação e membros da Pós-Graduação em Fisiologia e Farmacologia, pelo
incentivo.
Ao CNPq pelo apoio financeiro durante todo o doutorado, além do período de
doutorado sanduíche no exterior.
Aos membros da banca pelo interesse e disponibilidade.
A minha e, um exemplo de coragem e superação, pelo apoio incondicional desde
sempre. Estarei ao seu lado, buscando com carinho e entendimento o melhor a se
viver neste caminhar.
Agradecimentos
VII
Ao amigo Rafael Elias, companheiro de trabalho e amizade garantida para qualquer
momento. Devo parte deste trabalho ao seu apoio técnico e intelectual, sem contar o
constante encorajamento em face das atribulações inexoráveis desta vida cientifica.
Aos colegas de hoje e de sempre do Laboratório de Imunofarmacologia e anexos,
pela diversão e ciência em uma escala difícil de quantificar. Em especial ao amigo
Remo, pelas varias discussões recheadas de novidades, questionamentos e idéias,
a Cris, pela amizade e paciência valiosas, a Ester, Adriano, Talvani e Lucíola pelo
companheirismo desde muito cedo, ao Prof. Antônio Lucio, pela amizade e bom
senso e também aos essenciais: Angélica, Flávio, Flavio Lopes, Caio, Daniel
Cisalpino, Gustavo, Fred, Dani Sachs, Vanessa, Kátia, Michele (in memoriam),
Rafael Souza, Pedro Elias, Bráulio, Vivian, Mila, Fernando Lopes, Letícia, rcia,
David, Norinne, Barbara, Ciça, Roberta, Landa, Valdinéria, Ilma, Gil e tantos outros
bons amigos sem os quais a convivência diária nestes últimos 10 anos seria muito
menos interessante.
Aos queridos amigos franceses do Laboratoire d'Immunologie et d'Embryologie
Moléculaires, em Orléans, França onde passei o melhor ano de minha vida cientifica
e pessoal. Em especial a Anne-Gaëlle, por me mostrar a verdadeira França e suas
raízes: ainda maior e mais viva do que eu imaginava. E aos amigos para sempre:
Thomas Secher, Virginie Vasseur, Paméla Gasse, Nicolas Riteau, Louis Fauconnier,
Mathilde Fauconnier, Johan Leyritz, Isabelle Maillet e Rachel Vacher. Vous me
manquez touts !
Aos grandes amigos desta vida, Daniel Camargos, Vinicius Fonseca e Mateus
Guerra, companheiros inconstantes e ainda assim tão responsáveis por toda esta
forma nada convencional de “estudar” as coisas da natureza humana.
Aos amigos inclassificáveis, caríssimos Daniel Mansur, Chico Lobo, Bruno Eduardo,
Diogo Magnani e Gabriel Magno. Porque o mundo será como realmente deve ser,
mesmo que ainda demore: infinito. Estamos esperando.
Aos amigos da Biologia e do DA Biologia pelo apoio, companheirismo, diversão e
excentricidade, dentro e fora deste Instituto de Ciências Biológicas.
Agradecimentos
VIII
A querida professora Salete, pela forma apaixonante de traduzir ciência e vida em
momentos mais do que agradáveis. Este aprendizado é para a vida toda.
LISTA DE ABREVIATURAS,
SIGLAS E SÍMBOLOS
Lista de abreviaturas, siglas e símbolos
LISTA DE ABREVIATURAS, SIGLAS E SÍMBOLOS
aa - aminoácidos
APC - Antigen-presenting cell - Célula apresentadora de antígenos
ADE - Antibody-dependent enhancement - Intensificação dependente de
anticorpos
ALT - alanina aminotransferase
AST - aspartato aminotransferase
BSA - Bovine serum albumin - Albumina de soro bovino
C - core protein - proteína do capsídeo
CCL2 (MCP-1) - Monocyte chemoattractant protein-1
CCL3 (MIP-1α) - Macrophage inflammatory protein-1 alpha
CCL5 (RANTES) - Regulated upon Activation, Normal T Cell Expressed and
Secreted
CCL17 (TARC) - TGF-beta1-mediated regulation of thymus and activation-
regulated chemokine
CD () - cluster of differentiation ()
cm - centímetro - unidade de comprimento
CO
2
- Dióxido de carbono
CTLs - Linfócito T citolítico ou citotóxico
CXCL1 (KC) - keratinocyte derived chemokine
DCs - Dendritic cells - células dendríticas
DC-SIGN - Dendritic cell - specific intracellular adhesion molecule 3(ICAM-3)-
grabbing nonintegrin
DENV-2 - vírus da dengue sorotipo 2
DL
50
- dose necessária para matar 50% de animais (Dose letal 50)
DMEM – Dulbecco’s Modified Eagle’s Medium
DNA - ácido desoxirribonucléico
E - proteína E do envelope
E-NS1 - proteína do envelope - proteína não-estrutural 1
EDTA - EthyleneDiamineTetracetic acid - Ácido etilenodiamino tetraacético
ELISA - Enzyme linked immunosorbent assay
EPM - Erro padrão da média
X
Lista de abreviaturas, siglas e símbolos
FcγR - Fc gamma receptor. Receptor Fc γ
FD - Febre do dengue
FHD - Febre hemorrágica do dengue
g - grama - unidade de massa
GRP78/BiP - 78-kDa glucose-regulated protein/immunoglobulin binding
protein
h - hora - unidade de tempo
H
2
O
2
- Peróxido de hidrogênio
H
2
SO
4
- Ácido sulfúrico
HCV - Hepatitis C virus - Vírus da Hepatite C
HLA - Human leukocyte antigen
Hsp () - heat shock protein()
HTAB - hexadecyltrimethylammonium
i.c. - intracerebral
i.p. - intraperitoneal
i.v. - intravenoso
IFN-αβ - Interferon alfa-beta
IFN-γ - Interferon gamma
IL- () - interleucin - ()
iNOS - Inducible Nitric Oxide Synthase
JNK - Janus kinase
KO - Knock-out - geneticamente deficiente para determinado gene ou função
L-SIGN - liver/lymph node- specific ICAM-3-grabbing nonintegrin
M - molar - unidade de medida de concentração
MEM - Modified Eagle’s Medium
MHC () - complexo principal de histocompatibilidade ()
mRNA - RNA mensageiro
min - minutos – unidade de tempo
ml - mililitro – unidade de volume
mm
2
- milímetro quadrado – unidade de área
MPO Myeloperoxidase/Mieloperoxidase
N ou n - número de repetições ou animais
XI
Lista de abreviaturas, siglas e símbolos
NaCl - Cloreto de sódio
NADPH - Nicotinamida adenina dinucleotideo fosfato
NaPO
4
- Fosfato de sódio
ND - não detectável
NK - Natural Killer
NKT- Natural killer T cells
NS1 - Proteína não-estrutural 1
NS2a - Proteína não-estrutural 2a
NS2b - Proteína não-estrutural 2b
NS3 - Proteína não-estrutural 3
NS4a - Proteína não-estrutural 4a
NS4b - Proteína não-estrutural 4b
NS5 - Proteína não-estrutural 5
nm - nanômetro - unidade de comprimento
NO - Nitric oxide - Ó xido nitrico
NOS - Nitric Oxide Synthase - Óxido nítrico sintase
°C - grau Celsius, escala de medida de temperatura
OD - optical density
OPD - o-phenylenediamine dihidrocloride
OMS - Organização Mundial de Saúde
p/v - peso por volume - unidade de medida de concentração
PBMCs - (células mononucleares do sangue periférico)
PBS - phosphate-buffered saline
UFP - unidade formadora de placas
pg - picograma - unidade de massa
PKR - protein kinase regulated by double-stranded RNA
RE – Retículo endoplasmatico
RNA - ribonucleic acid - ácido ribonucléico
SCD - Síndrome de Choque do Dengue
SDS - Sodium dodecyl sulfate
SFB - soro fetal bovino
STAT - Signal Transducers and Activators of Transcription protein
XII
Lista de abreviaturas, siglas e símbolos
Th() - linfócitos T auxiliares do tipo ()
TNF-α - Tumor necrosis factor-alpha/Fator de necrose tumoral-alfa
U/mL - unidade por mililitro, unidade de medida de concentração
WT - Wild type
WHO - World Health organization
WNV West nile virus – Vírus da febre do oeste do nilo
µg/ml - micrograma por mililitro, unidade de medida de concentração
µl - microlitro - unidade de volume
XIII
Resumo
RESUMO
O Dengue virus (DENV), um flavivirus transmitido por mosquitos, é um sério
problema de saúde publica em países tropicais. Meca nismos da resposta imune na
infecção ainda não estão bem elucidados. Dados clín icos têm mostrado uma
associação entre níveis de quimiocinas CC no plasma e a severidade da doença.
Neste contexto, avaliamos o papel de receptores de quimiocinas CC, CCR1, CCR2 e
CCR4, na infecção pelo dengue utilizando animais KO para estes receptores. Além
disso, avaliamos in vivo a contribuição de células NKT invariantes (iNKT), linfócitos T
αβ não convencionais, na resposta do hospedeiro utili zando uma amostra de DENV-
2 adaptada em camundongos que leva a uma infecção que se assemelha ao quadro
de FHD/SCD. Camundongos C57/Bl6 (WT) apresentam sinais clínicos e dano
tecidual, incluindo trombocitopenia, hemoconcentração, níveis elevados de
transaminases e citocinas pró-inflamatórias, além de mortalidade. Quimiocinas CC,
como CCL2, CCL3 e CCL5, são produzidas no baço e fígado de animais WT.
Animais CCR1
-/-
possuem fenótipo moderado, com doença e mortalidade similares a
animais WT. Em animais CCR2
-/-
a mortalidade, dano hepático, níveis de IL-6 e IFN-
γ, e ativação de leucócitos foram atenuadas. Entretanto, trombocitopenia,
hemoconcentração e níveis sistêmicos de TNF- α foram similares aos de animais
WT. CCL17, um ligante de CCR4, é produzido durante a infecção. Em
animais CCR4
-/-
a mortalidade, lesão tecidual e inflamação sistêmi ca estão
fortemente reduzidas. Mesmo com diferenças no perfil de doençaem animais KO,
não houve alterações na carga viral. Células iNKT esplênicas e hepáticas são
ativadas e produzem IFN-γ na infecção. Animais deficientes em iNKT (Jα18
-/-
) são
bastante resistentes a infecção, comparados a animais WT. Este fenótipo é
parcialmente revertido pela transferência de células iNKT purifi cadas para animais
Jα18
-/-
. Estes animais apresentam resposta inflamatória reduzida, com baixos níveis
de IL-6, IFN-γ e CXCL1, reduzida lesão hepática e menor ativação d e células NK e
neutrófilos. A carga viral no baço e fígado também foi reduzida. Tratamento com
αGalCer e a deleção de CD1d não alteram o fenótipo observado em animais WT.
Em resumo, receptores de quimiocinas CC têm papeis diferentes na infecção pelo
DENV-2 e a ativação endógena de células iNKT durante a infecção contribui de
forma importante para a resposta sistêmica e local associada a síndr ome do choque
pelo dengue em camundongos.
XIV
Abstract
ABSTRACT
Dengue virus (DENV), a mosquito-borne flavivirus, is a serious public health
problem in many tropical countries. Immune mechanisms involved in the
pathogenesis of DENV infection are not fully elucidated. Recent clinical data showed
an association between levels of different CC chemokines in plasma and severity of
dengue. In this regard, we evaluated the role of CC chemokine receptors CCR1,
CCR2 and CCR4 in dengue infection using KO mice for these receptors.
Furthermore, we assessed the in vivo contribution of invariant Natural Killer T (iNKT)
cells, non-conventional αβ T lymphocytes, to the host response using a mouse-
adapted DENV-2 strain that causes a disease resembling severe dengue infection.
Infected C57/Bl6 mice (WT) presented clinical disease and tissue damage, including
thrombocytopenia, hemoconcentration, increased levels of transaminases and pro-
inflammatory cytokines, and lethality. CC chemokines, such as CCL2, CCL3 and
CCL5, are strongly produced in spleen and liver of WT mice. CCR1
-/-
mice had a mild
phenotype with disease presentation and lethality similar to those of WT mice. In
CCR2
-/-
mice, lethality, liver damage, levels of IL-6 and IFN-γ, and leukocyte
activation were attenuated. However, thrombocytopenia, hemoconcentration and
systemic TNF-α levels were similar to infected WT mice. CCL17, a CCR4 ligand, is
produced upon infection. In CCR4
-/-
mice, lethality, tissue injury and systemic
inflammation were markedly decreased. Despite differences in disease presentation
in CCR-deficient mice, there were no significant differences in viral load. Splenic and
hepatic iNKT cells became activated and produce IFN-γ upon infection. Mice
deficient in iNKT cells (Jα18
-/-
) are highly resistant to the infection when compared to
WT animals. The phenotype was partially recovered by adoptive transfer of iNKT
cells to Jα18
-/-
animals. Jα18
-/-
mice presented decreased systemic and local
inflammatory responses, with lower levels of IL-6, IFN-γ and CXCL1, reduced liver
injury and diminished activation of NK cells and neutrophils. Viral load in spleen and
liver was also lower in Jα18
-/-
mice relative to WT mice. αGalCer treatment and CD1d
ablation had no effects in disease progression. In conclusion, CC chemokine
receptors have discrete roles in DENV-2 and endogenous iNKT cell activation during
DV infection contributes to the systemic and local inflammatory responses that lead
to shock and death, suggesting that CC chemokine receptors and iNKT cells may be
associated to the inflammatory response involved in dengue shock syndrome in
mice.
XV
Sumario
XVI
SUMARIO
I. REVISÃO DA LITERATURA............................................................................................21
1. IMUNIDADE, OS VÍRUS E A DENGUE...........................................................................22
1.2. A FAMÍLIA FLAVIVIRIDAE E A BIOLOGIA DO DENGUE VÍRUS...............................25
1.2.1.
I
NTERAÇÕES COM O HOSPEDEIRO
.............................................................................28
1.2.2.
M
ANIFESTAÇÕES DA DOENÇA E MODELOS EXPERIMENTAIS
.........................................30
1.2.3.
A
S CONTROVÉRSIAS E A INFECÇÃO SECUNDÁRIA PELO DENGUE
..................................31
1.3. A RESPOSTA INFLAMATÓRIA NA INFECÇÃO PELO DENGUE...............................33
1.3.1.
M
EDIADORES INFLAMATÓRIOS
:
CITOCINAS E QUIMIOCINAS
..........................................34
1.3.1.1.
C
ITOCINAS E A INFECÇÃO PELO DENGUE
.................................................................35
1.3.1.2.
Q
UIMIOCINAS
:
FUNÇÃO E ESTRUTURA
.....................................................................36
1.3.1.3.
Q
UIMIOCINAS DA FAMÍLIA
CC
E INFECÇÕES VIRAIS
...................................................41
1.3.1.4.
Q
UIMIOCINAS NA RESPOSTA A INFECÇÃO PELO DENGUE
...........................................42
1.4. CÉLULAS NKT INVARIANTES (INKT)........................................................................46
1.4.1.
D
EFINIÇÃO E DISTRIBUIÇÃO
.......................................................................................46
1.4.2.
A
MOLÉCULA
CD1
D
..................................................................................................47
1.4.3.
R
ECONHECIMENTO DE ANTÍGENOS GLICOLIPÍDICOS POR CÉLULAS I
NKT ......................48
1.4.4.
V
IAS DE ATIVAÇÃO DE CÉLULAS I
NKT........................................................................49
1.4.5.
P
APEL DE CÉLULAS I
NKT
EM INFECÇÕES MICROBIANAS
..............................................50
1.4.6.
C
ÉLULAS I
NKT,
TLR
S E EVASÃO
...............................................................................53
1.4.7.
O
PAPEL DE CÉLULAS I
NKT
NA RESPOSTA IMUNE EM INFECÇÕES VIRAIS
......................54
1.4.8.
Q
UIMIOCINAS E O TRAFEGO DE CÉLULAS I
NKT...........................................................58
II. JUSTIFICATIVA E OBJETIVOS......................................................................................61
2.1. JUSTIFICATIVA...........................................................................................................62
2. 2. OBJETIVOS................................................................................................................63
2.1.1.
O
BJETIVOS ESPECÍFICOS
1.......................................................................................63
2.1.2.
O
BJETIVOS ESPECÍFICOS
2.......................................................................................64
III. MATERIAL E METODOS...............................................................................................66
3.1. ANIMAIS.......................................................................................................................67
3.2. VÍRUS...........................................................................................................................67
Sumario
XVII
3.3. ESTRATÉGIA EXPERIMENTAL..................................................................................68
3.4. COMITÊ DE ÉTICA......................................................................................................72
3.5. AVALIAÇÃO DE PARÂMETROS HEMATOLÓGICOS................................................72
3.6. TITULAÇÃO DO VÍRUS DA DENGUE.........................................................................72
3.7. DOSAGEM DE TRANSAMINASES HEPÁTICAS TGO E TGP....................................73
3.8. DETERMINAÇÃO DOS NÍVEIS DE CITOCINAS E QUIMIOCINAS.............................73
3.9. AVALIAÇÃO DA ATIVIDADE DA MIELOPEROXIDASE (MPO) TECIDUAL...............74
3.10. PREPARAÇÃO DOS CORTES PARA ANÁLISE HISTOLÓGICA.............................74
3.11. PURIFICAÇÃO DE CÉLULAS INKT E TRANSFERÊNCIA ADOTIVA.......................75
3.12. TRATAMENTO COM O ATIVADOR DE CÉLULAS NKT ΑGALCER ........................75
3.13. ANÁLISE DE POPULAÇÕES CELULARES POR CITOMETRIA DE FLUXO (FACS)
............................................................................................................................................75
3.13.1.
O
BTENÇÃO DE LEUCÓCITOS DO BAÇO E FÍGADO
.......................................................75
3.13.2.
M
ARCAÇÃO COM ANTICORPOS ESPECÍFICOS
............................................................76
3.14. ANÁLISE ESTATÍSTICA............................................................................................78
IV. RESULTADOS...............................................................................................................80
4.1. MORTALIDADE E PERDA DE PESO EM CAMUNDONGOS INFECTADOS PELO
DENV-2 ...............................................................................................................................81
4.2. PARÂMETROS HEMATOLÓGICOS E CARGA VIRAL...............................................83
4.3. INFLAMAÇÃO E LESÃO HEPÁTICA..........................................................................86
4.4. CITOCINAS E QUIMIOCINAS NA RESPOSTA SISTÊMICA.......................................90
4.5. NÚMERO E ATIVAÇÃO DE LEUCÓCITOS NO BAÇO APÓS INFECÇÃO PELO
DENV-2 ...............................................................................................................................94
4.6. ATIVAÇÃO DE CÉLULAS INKT DURANTE A INFECÇÃO PELO DENV-2.................98
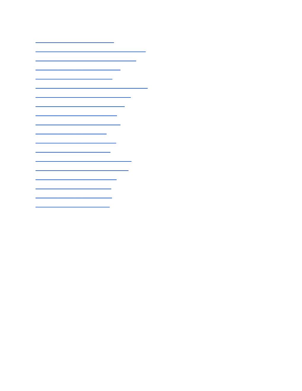
4.7. MORTALIDADE E PERDA DE PESO EM CAMUNDONGOS DEFICIENTES PARA
CÉLULAS INKT (JΑ18
-/-
) OU PARA CD1D.......................................................................102
4.8. CAMUNDONGOS JΑ18
-/-
DESENVOLVEM DOENÇA MENOS GRAVE APÓS A
INFECÇÃO........................................................................................................................104
4.9. CAMUNDONGOS JΑ18
-/-
APRESENTAM MENOR PRODUÇÃO DE CITOCINAS PRO-
INFLAMATÓRIAS.............................................................................................................107
Sumario
XVIII
4.10. REDUÇÃO DA ATIVAÇÃO DE CÉLULAS NK E NEUTRÓFILOS DURANTE A
INFECÇÃO PELO DENV-2 EM CAMUNDONGOS JΑ18
-/-
................................................112
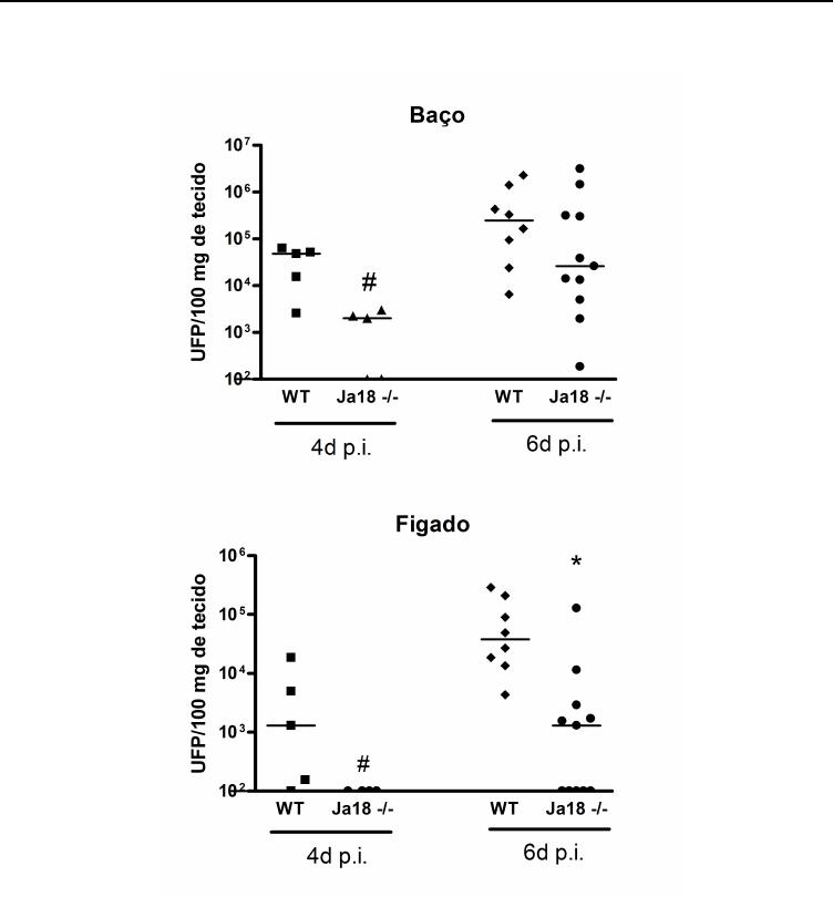
4.11. RELAÇÃO ENTRE CÉLULAS INKT E CARGA VIRAL EM CAMUNDONGOS
INFECTADOS PELO DENV-2...........................................................................................116
4.12. EFEITOS DO TRATAMENTO COM ΑGAL-CER SOBRE A MORTALIDADE E
PARÂMETROS HEMATOLÓGICOS DURANTE A INFECÇÃO COM DENV-2 ................118
V. DISCUSSÃO.................................................................................................................121
5. DISCUSSÃO .................................................................................................................122
VI. CONCLUSÃO ..............................................................................................................135
6. CONCLUSÃO................................................................................................................136
VII. REFERËNCIAS...........................................................................................................137
BIBLIOGRAFICAS............................................................................................................137
7. REFERËNCIAS BIBLIOGRAFICAS..............................................................................138
VIII. ANEXOS....................................................................................................................157
ANEXO I............................................................................................................................158
ROLE OF THE CHEMOKINE RECEPTORS CCR1, CCR2 AND CCR4 IN THE
PATHOGENESIS OF EXPERIMENTAL DENGUE INFECTION IN MICE..........................158
ANEXO II...........................................................................................................................159
A DETRIMENTAL ROLE FOR INVARIANT NATURAL KILLER T CELLS IN THE
PATHOGENESIS OF DENGUE VIRUS INFECTION.........................................................159
Lista de figuras
XIX
LISTA DE FIGURAS
Figura 1. Distribuição dos sorotipos do Dengue vírus entre os continentes 24
Figura 2: Óbitos por febre hemorrágica do dengue no Brasil em 2009 25
Figura 3: Transmissão do vírus da Dengue 25
Figura 4. Esquema simplificado para a replicação de um flavivirus
na célula do hospedeiro 29
Figura 5. Quimiocinas e seus receptores 37
Figura 6. Receptores para quimiocinas CC e sua sinalização 40
Figura 7. Vias de ativação propostas para células iNKT 51
Figura 8. Alinhamento da seqüência do DENV-2 adaptado em camundongos 70
Figura 9. Design experimental esquemático proposto para os Objetivos 1 e 2 71
Figura 10. Determinação das regiões (gates) referentes às populações leucocitárias
analisadas nos órgãos alvo 80
Figura 11. Mortalidade e perda de peso após infecção pelo DENV-2 em animais WT ou KO
para receptores de quimiocinas 82
Figura 12. Alterações hematológicas e carga viral após infecção pelo DENV-2 em animais
WT ou KO para receptores de quimiocinas 85
Figura 13. Níveis de transaminases e acúmulo de neutrófilos no tecido após infecção pelo
DENV-2 em animais WT ou KO para receptores de quimiocinas 87
Figura 14. Produção de citocinas no fígado após infecção pelo DENV-2 em animais WT ou
KO para receptores de quimiocinas 88
Figura 15. Alterações histológicas no fígado após infecção pelo DENV-2 em animais WT ou
KO para receptores de quimiocinas 89
Figura 16. Produção de quimiocinas no fígado após infecção pelo DENV-2 em animais WT
ou KO para receptores de quimiocinas 91
Figura 17. Produção de citocinas no soro após infecção pelo DENV-2 em animais WT ou
KO para receptores de quimiocinas 91
Figura 18. Produção de citocinas quimiocinas no baço após infecção pelo DENV-2 em
animais WT ou KO para receptores de quimiocinas 93
Figura 19. Leucócitos e perfil de ativação após infecção pelo DENV-2 em animais WT ou
KO para receptores de quimiocinas 95
Figura 20. Perfil de células NK, macrófagos e neutrófilos após infecção pelo DENV-2 em
animais WT ou KO para receptores de quimiocinas 97
Lista de figuras
XX
Figura 21. Ativação de células iNKT durante a infecção pelo DENV-2 100
Figura 22. Produção de IFN-γ por células iNKT e NK durante a infecção pelo DENV-2 101
Figura 23. Variação do peso corporal e mortalidade induzida pelo DENV-2 em animais WT e
deficientes para iNKT (Jα18-/-) 103
Figura 24. Variação do peso corporal e mortalidade induzida pelo DENV-2 em animais WT e
deficientes para CD1d 105
Figura 25. Cinética de hemoconcentração após infecção pelo DENV-2 em animais WT e
Jα18-/- 105
Figura 26. Alterações hematológicas após infecção pelo DENV-2 em animais WT e Jα18-/-
106
Figura 27. Produção de citocinas no soro após infecção pelo DENV-2 em animais WT e
Jα18-/- 108
Figura 28. Alterações histológicas no fígado após infecção pelo DENV-2 em animais WT e
Jα18-/- 108
Figura 29. Produção de citocinas e quimiocinas no baço após infecção pelo DENV-2 em
animais WT e Jα18-/- 109
Figura 30. Produção de citocinas no baço após infecção pelo DENV-2 em animais WT e
Jα18-/- 111
Figura 31. Produção de citocinas no fígado após infecção pelo DENV-2 em animais WT e
Jα18-/- 111
Figura 32. Porcentagem e ativação de células NK durante a infecção pelo DENV-2 em
animais WT e Jα18-/- 113
Figura 33. Porcentagem e ativação de linfócitos T durante a infecção pelo DENV-2 em
animais WT e Jα18-/- 115
Figura 34. Carga viral no baço e fígado de camundongos WT e Jα18-/- após infecção pelo
DENV-2 117
Figura 35. Mortalidade, perda de peso e hematologia em camundongos WT tratados com
αGal-Cer e infectados com DENV-2 119
Figura 36. Carga viral no baço e fígado de camundongos WT tratados com αGal-Cer e
infectados com DENV-2 120
I. REVISÃO DA LITERATURA
Revisão da literatura
22
1. Resposta imune, os vírus e a dengue
Em termos históricos, imunidade se origina de “proteção” contra doenças
infecciosas. lulas e moléculas envolvidas na imunidade formam o sistema
imunológico (ou sistema imune), componente essencial da fisiologia do organismo, e
a sua resposta coletiva e coordenada à introdução de substâncias estranhas ao
individuo é então classificada como resposta imune. O sistema imune tem como
função fisiológica essencial a defesa contra substâncias estranhas, sejam elas
macromoléculas, proteínas ou polissacarídeos, por exemplo, ou microrganismos
infecciosos (Abbas e Lichtman, 2009). A origem do termo imunidade remete ao latim
immunitas, o que se referia a proteção contra processos legais os quais senadores
romanos possuíam durante o seu mandato (Abbas e Lichtman, 2005). Tucídides,
ainda no século V a.C., foi quem utilizou o termo referindo-se a uma infecção a qual
chamou vagamente de “peste”. O conceito de imunidade pode ser ainda mais
remoto, como sugere o antigo costume na China de se estimular a imunidade das
crianças contra a varíola através da inalação de um da lesão cutânea obtida da
pele de pacientes se recuperando da doença (Abbas e Lichtman, 2005). Dentre a
plêiade de agentes infecciosos capazes de desencadear uma resposta por parte de
um hospedeiro destacamos aqui os vírus.
A descrição inicial dos vírus os classificou como “agentes filtráveis”, devido ao
seu reduzido tamanho permitir a passagem através de filtros utilizados então para
reter bactérias (Tortora et al., 2002). Dmitri Iwanowski descreveu o fenômeno em
1892, onde buscava desvendar a etiologia da doença do mosaico do tabaco (TMD).
Estes primeiros pesquisadores não podiam imaginar, naquela época, que partículas
submicroscópicas poderiam ser agentes causadores de doenças. Este tipo de
agente infeccioso foi então classificado como um contagium vivum fluidum ou “fluido
contagioso”. Por volta de 1930 a utilização do termo vírus, do latim “veneno”, era
comum para descrever os chamados “agentes filtráveis”. Em 1935, Wendell Stanley
isolou finalmente o vírus do mosaico do tabaco, permitindo o desenvolvimento de
estudos químicos e estruturais com um vírus purificado, fato inédito até o momento.
De forma também importante, a invenção do microscópio eletrônico possibilitou, pela
primeira vez, a visualização de um vírus (Tortora et al., 2002).
A primeira doença humana associada a um vírus foi a febre amarela
(Chambers et al., 1990; Tortora et al., 2002). Diferentemente do observado para
Revisão da literatura
23
outros microrganismos, os vírus são agentes infecciosos que necessitam da
maquinaria bioquímica celular do hospedeiro para sua replicação, sendo, portanto,
classificados como parasitas intracelulares obrigatórios. São constituídos no geral
por um genoma de ácido nucléico (desoxirribonucléico) (DNA) ou ribonucléico
(RNA); empacotados em uma estrutura de constituição protéica (capsídeo) podendo
ainda apresentar uma membrana externa de origem protéica ou lipídica denominada
envelope. O vírion ainda pode conter enzimas essenciais e/ou acessórias, além de
outras proteínas (Murray et al., 2005; Madigan et al., 2006). Os vírus são capazes de
infectar uma grande variedade de populações celulares utilizando as moléculas
fisiológicas da superfície celular, como receptores para permitir sua adsorção às
células alvo. A replicação viral interfere com a síntese e função das proteínas
celulares normais e leva à lesão e, por fim, à morte da célula infectada. Em
infecções virais latentes pode haver prejuízo pelo estímulo da ntese de proteínas
que alteram determinadas funções celulares. Os mecanismos envolvendo estas
respostas são diversos e ainda não completamente descritos (Tortora et al., 2002;
Abbas e Lichtman, 2009)
O vírus da dengue merece atenção especial dentre os diversos vírus capazes
de infectar e causar doenças na espécie humana. O relato de uma infecção
semelhante à causada pelo vírus da dengue consta em uma enciclopédia de
medicina chinesa datada do ano 992 d.C. (Gubler, 1998). Benjamin Rush descreveu
na Filadélfia, em 1780, uma epidemia caracterizada por febre, dor de cabeça,
náusea e vômitos, além de intensas dores musculares e articulares, com eventuais
manifestações hemorrágicas (Rigau-Perez, 2006). Esta síndrome foi denominada
“febre quebra-ossos”. Em Madrid (1801), uma síndrome similar foi nomeada
“dengue”, que em espanhol significa melindre ou lamúria, e se refere ao estado
bastante deteriorado dos acometidos (Rigau-Perez, 1998). Ao final do século XVIII
uma doença caracterizada como dengue causou epidemias intermitentes na Ásia e
nas Américas. Entre os séculos XIX e XX o vírus se disseminou por áreas tropicais e
subtropicais (Hayes e Gubler, 1992; Monath, 1994).
A febre hemorrágica do dengue (FHD), a forma mais grave da doença, tem
seu primeiro registro datado de 1953 em Manila, no leste asiático (Halstead, 1980).
Nos últimos 60 anos, este tipo de manifestação se tornou um grave problema de
saúde pública no leste asiático e na região pacífica ocidental (Holmes e Twiddy,
2003). A cada década o número de casos, de países afetados e a distribuição
Revisão da literatura
24
geográfica da doença têm crescido rapidamente (Figura 1). Estima-se hoje que
cerca de três bilhões de pessoas, distribuídas por mais de 100 países, estão sob o
risco de infecção pelo vírus da Dengue (WHO). Por volta de 50 a 100 milhões de
pessoas são infectadas a cada ano e, dentre esses casos, 250 a 500 mil pessoas
desenvolvem a forma mais grave da doença (WHO).
Areas infestadas por Aedes aegypti
Areas com Aedes aegypti e epidemias de dengue
Areas infestadas por Aedes aegypti
Areas com Aedes aegypti e epidemias de dengue
Figura 1. Distribuição dos sorotipos do Dengue vírus entre os continentes. A
associação entre a presença de mais de um sorotipo do vírus com a presença de um
mosquito vetor, no caso o Aedes aegypti, é considerado como fator determinante para
estabelecimento da epidemia em determinado local. America latina e sudeste asiático são
as áreas mais criticas. Adaptado de http://www.chikungunya.in/what-causes-chikungunya-
fever.shtml.
No que diz respeito ao Brasil, o Ministério da Saúde brasileiro registrou em
2007, no período de janeiro a julho, 438.949 casos de dengue clássica, 926 casos
de FHD e a ocorrência de 98 óbitos. Outro aspecto epidemiológico relevante em
2007 relaciona-se a concentração de casos de FHD, sendo 68% das notificações
nos estados do Ceará, Rio de Janeiro, Maranhão, Pernambuco, Mato Grosso do Sul,
Amazonas e Piauí. A mesma característica é observada em relação aos óbitos,
concentrando-se 50% nos estados do Rio de Janeiro, São Paulo, Pará e Piauí. A
análise destes dados demonstra a expressiva ocorrência dos casos de dengue em
municípios que não constituem aglomerados urbanos complexos, ou seja, aqueles
Revisão da literatura
25
com menos de 1.000.000 de habitantes. Por outro lado demonstra também o
impacto positivo das iniciativas realizadas em alguns grandes centros urbanos, a
exemplo do Plano Integrado de Ações de Controle da Dengue na Região
Metropolitana de Belo Horizonte, o “Pan Sem Dengue” na região metropolitana do
Rio de Janeiro e o Plano de Intensificação Verão 2007 no município de São Paulo,
que foram capazes de conter a explosão de casos nestes grandes aglomerados
urbanos. Os números relativos à epidemia de dengue no Brasil, segundo dados do
Ministério da Saúde, têm aumentado e ainda são alarmantes na esfera da saúde
publica como mostram os registros até 2009 (Figura 2).
Figura 2: Óbitos por febre hemorrágica do dengue no Brasil em 2009. Dados obtidos da
Secretaria de Vigilância em Saúde (SVS) e atualizados em 15/03/2009. Adaptado de
http://portal.saude.gov.br/portal/saude/Gestor/area.cfm?id_area=1498.
1.2. A família Flaviviridae e a biologia do Dengue vírus
Os membros da família Flaviviridae representam um importante grupo de
vírus envelopados cujo genoma é constituído por RNA de fita simples positivo.
Possuem importante impacto saúde pública em função de sua ampla distribuição e
de sua grande habilidade em causar significativa morbidade e mortalidade em
humanos. Compreendem mais de 70 espécies identificadas sendo que
Revisão da literatura
26
aproximadamente metade é capaz de causar doença em humanos. A maioria dos
flavivírus é transmitida aos humanos através da picada de mosquitos ou carrapatos,
mesmo que ainda existam espécies sem vetor conhecido (Chambers et al., 1990;
Mackenzie et al., 2004; Gould e Solomon, 2008; Pierson e Diamond, 2008). As
infecções causadas pelos flavivírus resultam em manifestações clínicas que variam
desde uma doença febril branda até as formas mais graves como a encefalite e a
febre hemorrágica. Dentre os importantes representantes deste grupo podemos
citar: o vírus da febre amarela, os quatro sorotipos do vírus da dengue (DENV 1-4), o
vírus da encefalite japonesa, o vírus da encefalite do oeste do Nilo (West nile virus
ou WNV), o vírus da encefalite de Powassan e o vírus da encefalite de St. Louis,
entre outros. Dentre estes, os DENV 1-4 e o WNV, são considerados emergentes ou
re-emergentes, dado que nas últimas décadas a incidência de doença humana
causada por estes tem aumentado em uma taxa elevada (Chambers et al., 1990;
Pierson e Diamond, 2008).
O vírus da dengue (DENV) é o agente etiológico da mais importante
arbovirose da atualidade (Shresta, Kyle, Robert Beatty, et al., 2004). A dengue é
associada com inúmeras epidemias urbanas e é hoje a maior ameaça de saúde
pública nos países em desenvolvimento. No momento não existem tratamentos
específicos ou vacina disponível para a doença (Holmes e Twiddy, 2003; Shresta,
Kyle, Robert Beatty, et al., 2004; Pang et al., 2007; Kyle e Harris, 2008).
O DENV possui um genoma constituído por uma fita única de RNA, de
sentido positivo, como os outros flavivirus, formada por cerca de onze mil bases.
Sua tradução origem a uma poli-proteína grande, cujo processamento co-
traducional por enzimas virais e do hospedeiro origina três proteínas estruturais
(proteínas C, prM e E) e sete não estruturais (NS1, NS2a, NS2b, NS3, NS4a, NS4b
e NS5), envolvidas na replicação viral (Chambers et al., 1990). Os humanos são os
principais hospedeiros do vírus da dengue sendo que a transmissão se pela
picada de fêmeas do mosquito do gênero Aedes, especificamente Aedes aegypti e
Aedes albopictus (HOLMES & TWIDDY, 2003).
O modelo de desenvolvimento encontrado em países endêmicos para a
doença, especialmente nas áreas urbanas, é um dos principais fatores que fazem da
doença um grave problema de saúde publica. Suprimentos de água potável e de
serviços de saneamento inadequados levaram a um aumento na reprodução dos
mosquitos transmissores (Rigau-Perez, 1998). A grande concentração de humanos
Revisão da literatura
27
susceptíveis à infecção em proximidade aos mosquitos favorece dispersão do vírus
nos dois hospedeiros. O aumento da circulação de pessoas, o desenvolvimento dos
meios de transporte modernos e a negligência nas políticas de controle dos vetores
são outros fatores apontados para a disseminação da doença (Rigau-Perez, 2006).
O ciclo de transmissão do vírus da dengue tem início a partir da picada do
mosquito em uma pessoa contaminada, onde o vírus presente na circulação é
ingerido pelo artrópode (Whitehead et al., 2007) (Figura 3).
EpidêmicoSelvagem
Primatas
Humanos
EpidêmicoSelvagem
Primatas
Humanos
Figura 3: Transmissão do vírus da Dengue. Devido à alta viremia resultante da infecção
pelo vírus da Dengue em humanos, os vírus são eficientemente transmitidos entre
mosquitos e humanos, sem necessidade de outro hospedeiro para amplificação. O vírus é
disseminado especialmente pelo mosquito Aedes aegypti Um ciclo silvestre também é
descrito para o vírus no oeste africano e sudoeste asiático. Modificado de (Whitehead et al.,
2007).
Uma vez presente no mosquito, o vírus se multiplica no intestino médio e,
após algum tempo, são encontrados vírus também no ovário, sistema nervoso e nas
glândulas salivares, local este por onde o vírus é passível de transmissão. Uma vez
na circulação sanguínea de um novo hospedeiro o vírus passa a se multiplicar em
células permissivas de órgãos específicos, como baço, fígado e tecidos linfáticos.
Revisão da literatura
28
1.2.1. Interações com o hospedeiro
O vírus da Dengue tem tropismo por um amplo espectro de lulas humanas
e o principal alvo da infecção pelo vírus ainda é controverso. um consenso geral
de que células da linhagem fagocítica mononuclear (células dendríticas,
monócitos/macrófagos, células de Langerhans) são os alvos primários (Clyde et al.,
2006). No entanto, existem evidências de que o vírus é capaz de infectar também
linfócitos B, linfócitos T, células natural killer, células endoteliais, hepatócitos e
neurônios (Scott et al., 1980; King et al., 2002; Neves-Souza et al., 2005; Clyde et
al., 2006).
O ciclo de replicação do rus da dengue inicia-se com a ligação do vírion e
sua entrada na lula hospedeira pelo processo de endocitose mediada por
receptor. Vários receptores celulares distintos são candidatos a mediadores da
adsorção viral, entre eles o sulfato de heparana (Chen et al., 1997; Germi et al.,
2002), heat shock protein (Hsp)-70 e Hsp-90 (Reyes-Del Valle et al., 2005),
GRP78/BiP (Jindadamrongwech et al., 2004), CD14 (Chen et al., 1999), bem como
DC-SIGN (Dendritic cell- specific intracellular adhesion molecule 3(ICAM-3)-grabbing
nonintegrin) (Navarro-Sanchez et al., 2003; Tassaneetrithep et al., 2003; Lozach et
al., 2005), LSIGN (liver/lymph node- specific ICAM-3-grabbing nonintegrin)
(Tassaneetrithep et al., 2003) e o receptor para manose (Miller et al., 2008). Após
internalização e acidificação do endossoma ocorre a fusão da membrana vesicular
com a membrana viral, permitindo a passagem do nucleocapsídeo viral para o
citoplasma e a liberação do genoma do vírus. A tradução do genoma é então
conduzida e é seguida pela síntese de uma fita de RNA de sentido negativo. Esta
fita intermediária serve como molde para a produção de múltiplas cópias da fita do
RNA viral, de sentido positivo. Após vários ciclos de tradução, níveis elevados das
proteínas “Cerne” (C, do inglês “core”), “Pré-envoltório” (prM) e “Capsídeo” (E) são
sintetizadas. Estas proteínas são arranjadas juntamente com o RNA viral, dando
origem à progênie de vírions, que é transportada pelo complexo de Golgi e
secretada (CLYDE et al., 2006). A duração deste ciclo pode variar de quatro a sete
dias, período que coincide com o aparecimento dos primeiros sintomas na infecção
humana (Figura 4).
Revisão da literatura
29
adsorção
entrada
liberação
tradução
replicação
montagem
liberação ESTRUTURA DO VIRION
Mecanismo de replicação
Microscopia eletronica
Nucleocapsideo
o
adsorção
entrada
liberação
tradução
replicação
montagem
liberação ESTRUTURA DO VIRION
Mecanismo de replicação
Microscopia eletronica
Nucleocapsideo
o
Figura 4. Esquema simplificado para a replicação de um flavivirus na célula do
hospedeiro. Iniciando-se com o processo de adsorção na membrana do hospedeiro,
observamos a internalização e acidificação do endossoma (entrada), fusão da membrana
vesicular com a membrana viral, liberação do nucleocapsídeo viral para o citoplasma e a
liberação do genoma do rus. A tradução do genoma é então conduzida no rER (reticulo
endoplasmático), seguida pela síntese de uma fita de RNA de sentido negativo. Esta fita
intermediária serve como molde para a produção de múltiplas cópias da fita do RNA viral, de
sentido positivo (replicação). Após vários ciclos de tradução, níveis elevados das proteínas
estruturais são sintetizadas. Estas proteínas são arranjadas juntamente com o RNA viral,
dando origem à progênie de vírions, que é transportada pelo complexo de Golgi e secretada
(montagem e liberação). À direita: Estrutura básica de um vírion, mecanismo de replicação
do RNA e microscopia eletrônica mostrando a replicação viral intracelular. Adaptado de Tan,
2006.
Revisão da literatura
30
1.2.2. Manifestações da doença e modelos experimentais
A infecção pelo rus da Dengue é caracterizada por um amplo espectro de
manifestações. Segundo a Organização Mundial de Saúde (OMS), além das
infecções assintomáticas, as infecções pelo vírus da dengue podem ser
classificadas em três categorias distintas: febre indiferenciada, febre do dengue (FD)
e febre hemorrágica do dengue (FHD) (Deen et al., 2006). A primeira apresenta
sintomas semelhantes ao de qualquer síndrome viral. A FD é a forma clássica da
infecção, e se manifesta como um quadro gripal, caracterizado por febre alta,
cefaléia, dor retro-orbital, mialgia, artralgia, náusea, vômito, diarréia, hipotensão
postural, dor abdominal, lombar e de membros inferiores. Além disso, pode haver
alterações de pele e mucosas, tais como petéquias. Mesmo sendo a forma clássica,
podem-se observar manifestações hemorrágicas como epistaxe, gengivorragia e
hemorragia digestiva (Deen et al., 2006). A FHD, forma grave da doença, possui
inicialmente as mesmas manifestações da forma clássica. Os fenômenos
hemorrágicos ocorrem no segundo ou terceiro dia da doença e manifestam-se
principalmente na pele e tubo digestivo, podendo surgir metrorragias, epistaxes,
gengivorragia e outros sangramentos (Deen et al., 2006).
Outros eventos característicos da FHD são plaquetopenia e aumento da
permeabilidade vascular, evidenciados por hemoconcentração e desenvolvimento de
efusões pleurais. A FHD pode também ser dividida em quatro graus de gravidade,
de acordo com a presença ou ausência de sangramento espontâneo e o grau de
extravasamento plasmático. A Síndrome de Choque do Dengue (SCD) se refere aos
graus III e IV da FHD, sendo que no primeiro queda da pressão arterial e choque
hipovolêmico moderado, ao passo que no último há choque profundo, com pressão
sanguínea não detectável (Deen et al., 2006)
Até o presente momento não tratamento específico para a doença
causada pelo vírus da dengue. O tratamento sintomático apropriado é a opção de
escolha. No entanto, o principal meio de prevenção do dengue é o controle do
mosquito vetor, um método dispendioso e geralmente ineficiente, como pode ser
comprovado pela expansão do número de casos ocorrida nos últimos anos. O
desenvolvimento de tratamentos específicos ou de uma vacina efetiva contra o vírus
tem sido considerado prioridade, inclusive pela Organização Mundial da Saúde
(Rothman, 2003). Desta forma, o desenvolvimento de modelos animais para a
Revisão da literatura
31
infecção pelo vírus é uma abordagem importante para estudo de potenciais alvos
terapêuticos e vacinais.
A maioria dos modelos experimentais hoje utilizados não reproduz de maneira
fidedigna as características da infecção vista em humanos (Rothman, 2003). Além
de não mimetizar as características fisiopatológicas da doença humana, os modelos
animais utilizados atualmente utilizam inóculos com cargas virais elevadas, o que
leva a uma infecção disseminada, aparentemente inconsistente com o que é visto
durante a infecção humana (Green e Rothman, 2006). Por fim, tais modelos utilizam
animais com idades precoces, muitas vezes com o sistema imune ainda em período
de maturação, o que impede a extrapolação das informações obtidas para infecção
em indivíduos adultos, como acontece na doença humana (Rothman, 2003). Souza
e colaboradores (2009) desenvolveram recentemente um modelo que reproduz as
manifestações observadas nos quadros graves da doença em humanos. Trata-se de
um modelo de infecção primária baseado na injeção de um isolado clínico do vírus
de dengue adaptado ao hospedeiro murino. A injeção do vírus adaptado é capaz de
induzir as principais manifestações características da doença humana, entre elas
plaquetopenia e hemoconcentração, na maioria das vezes com fenômenos
hemorrágicos e mortalidade apreciável. Além disso, camundongos infectados com o
vírus adaptado desenvolvem dor inflamatória, outro sintoma marcante da patologia
humana mais branda. O modelo em questão parece ser uma ferramenta
interessante para o estudo da fisiopatologia da infecção pelo dengue e novos
estudos têm elucidado mecanismos importantes envolvidos na progressão da
doença através do presente modelo (Atrasheuskaya et al., 2003; Assuncao-Miranda
et al., 2010).
1.2.3. As controvérsias e a infecção secundária pelo dengue
Existem controvérsias a respeito dos mecanismos envolvidos na
manifestação da forma hemorrágica da doença, seja durante uma infecção primária
ou secundária. Hipóteses contrastantes têm atribuído a gravidade da doença a
fatores virais e do hospedeiro (Rosen, 1977; Halstead, 1989; Rothman, 2003).
Estudos recentes no Peru e Sri Lanka demonstraram a associação da forma
hemorrágica da doença a determinados genótipos virais. Alguns determinantes
Revisão da literatura
32
genéticos específicos que explicariam tal associação foram identificados (Watts et
al., 1999; Messer et al., 2002; Messer et al., 2003). Estudos ainda pouco conclusivos
associam outros fatores à gravidade da doença, tais como idade, fatores genéticos e
o estado nutricional do hospedeiro (Rothman, 2003). Estudos epidemiológicos têm
associado a resposta imune do hospedeiro ao vírus e o desenvolvimento da forma
hemorrágica da infecção. Para tal, vários mecanismos têm sido considerados, tais
como deposição de complexos imunes, reação cruzada de anticorpos com endotélio
vascular, intensificação da infecção mediada por anticorpos, ativação do sistema do
complemento e seus produtos, liberação exacerbada de mediadores solúveis, como
citocinas, dentre outros (Bokisch et al., 1973; Theofilopoulos et al., 1976; Halstead,
1979; Malasit, 1987; Halstead, 1989; Markoff et al., 1991; Chungue et al., 1994;
Kurane et al., 1994; Morens, 1994; Falconar, 1997; Chaturvedi et al., 2000; Libraty et
al., 2002; Mangada et al., 2004; Lin et al., 2005)
A maioria dos dados epidemiológicos tem sugerido que o desenvolvimento da
FHD/SCD é mediado pela resposta imune do hospedeiro. Na Tailândia foi
demonstrado que em mais de 99% dos casos de FHD os indivíduos apresentaram
anticorpos heterólogos contra o sorotipo que causou a FHD (Kurane, 2007). Na
epidemia de dengue ocorrida em Cuba em 1981 pelo sorotipo 2 do vírus, a maioria
dos casos de FHD ocorreram naqueles indivíduos que adquiriram previamente
anticorpos em outras epidemias contra o sorotipo 1 nos anos de 1977 e 1978
(Guzman et al., 1990). Esses resultados sugerem que a presença de anticorpos
heterólogos após a segunda infecção pelo vírus da dengue é um fator de risco
importante para o desenvolvimento da FHD/SCD (Navarro-Sanchez et al., 2005)
Além disso, foi demonstrado que a transferência passiva de anticorpos contra os
DENV em primatas não-humanos previamente infectados foi responsável pelo
aumento da viremia nestes animais. Estudos ainda mais recentes em humanos
demonstram correlação positiva entre o pico da viremia e a gravidade da doença,
suportando a idéia da importância do fenômeno de ADE para a patogênese.
(Vaughn et al., 2000; Rothman, 2004). Mais um exemplo importante que reforça
essa teoria é justificado pela ocorrência de FHD durante a infecção primária pelos
DENV em crianças durante o primeiro ano de vida nascidas de mães imunes aos
DENV, onde essas crianças teriam adquirido anticorpos pela via transplacentária,
fato que também sugere o papel in vivo do fenômeno de ADE nas infecções pelos
DENV (Stephenson, 2005; Halstead, 2007). Além dos anticorpos de reatividade
Revisão da literatura
33
cruzada contra outros sorotipos, alguns trabalhos têm relatado que anticorpos anti-
dengue podem apresentar reação cruzada com plaquetas, fatores de coagulação e
células endoteliais (Falconar, 1997). Tais anticorpos poderiam contribuir para a
patogênese durante a infecção pelo dengue por causar destruição de plaquetas
(Saito et al., 2004; Lin et al., 2006). Anticorpos anti- NS1 também parecem se ligar a
células endoteliais, levando as mesmas ao processo de apoptose (Lin et al., 2003;
Lin et al., 2006). Todos estes eventos parecem favorecer o aumento da
permeabilidade vascular característico da FHD/SCD.
Brevemente, essa teoria, chamada em inglês de antibody-dependent
enhancement (ADE), sugere que os anticorpos heterólogos pré-existentes para o
vírus da dengue reconhecem o novo vírus infectante e formam um complexo
antígeno-anticorpo de baixa avidez (incapaz de neutralizar o novo sorotipo),
entretanto, este complexo ainda assim é capaz de interagir e ser internalizado pelos
receptores Fcγ (FcγR) de imunoglobulinas presentes na membrana celular dos
leucócitos, especialmente dos monócitos e macrófagos. Esses anticorpos são
denominados anticorpos sub-neutralizantes. Uma vez que o anticorpo é heterólogo e
o vírus não é neutralizado, este permanece livre para se replicar dentro da
maquinaria celular das células da linhagem mononuclear, especialmente. O aumento
da replicação dos vírus da dengue nessas células-alvo é provavelmente responsável
pelos elevados níveis de viremia nos estágios inicias da doença, no qual também
tem sido correlacionado com a maior incidência dos casos de FHD/SCD. (Gubler,
1998; Vaughn et al., 2000; Rothman, 2004; Navarro-Sanchez et al., 2005;
Stephenson, 2005; Pang et al., 2007; Kyle et al., 2008; Yauch e Shresta, 2008)
1.3. A resposta inflamatória na infecção pelo dengue
A inflamação é definida como uma reação secundária a lesões traumáticas,
danos químicos ou físicos, de natureza auto-imune ou em resposta a agentes
infecciosos, visando a restauração da estabilidade do organismo. Ela atua de forma
importante como mecanismo de regulação fisiológica, conservado ao longo da
história evolutiva e buscando o bem estar do indivíduo (Nathan, 2002). Este tipo de
resposta do sistema imune é guiado inicialmente por componentes inatos, tais como
proteínas sinalizadoras, seus receptores e alguns grupos celulares, e posteriormente
Revisão da literatura
34
com participação de elementos da imunidade adquirida. Modificações na micro-
circulação, migração leucocitária através do leito vascular e liberação de moléculas
solúveis nos tecidos danificados são as principais características do processo
(Nathan, 2002).
1.3.1. Mediadores inflamatórios: citocinas e quimiocinas
Os mediadores inflamatórios são moléculas solúveis de atuação local ou
sistêmica que são liberadas ou produzidas em face a uma lesão ou estimulo. São
originários do plasma, de células inflamatórias ou dos tecidos lesados, e apresentam
redundância funcional. Sistemas derivados do plasma, tais como complemento,
cininas e fibrinogênio, são ativados e seus produtos serão responsáveis pelos
efeitos inflamatórios, assim como os produtos de células que produzem mediadores
lipídicos, espécies reativas de oxigênio, citocinas e quimiocinas (Margolius, 1995;
Carroll, 1998; Nathan, 2002).
As citocinas são proteínas secretadas e possuem como função regular a
resposta imune, podendo regular também o tráfego e organização celulares em
órgãos linfóides. As citocinas, em geral, agem como fatores de crescimento na
diferenciação e proliferação celular, e também na maturação de lulas na medula
óssea. Algumas são quimiotáticas e possuem propriedades ativadoras e
supressoras, incluindo indução da morte celular programada nos mais diversos
grupos celulares que determinam a natureza da resposta imune (Borish e Steinke,
2003; Commins et al., 2010). Dentre elas, destacamos algumas citocinas pró-
inflamatórias clássicas, como a IL-1β (Interleucina-1 β), IL-6 e TNF-α, que causam
modificações locais, tais como edema e exsudação, ou podem agir de forma
sistêmica quando sinalizando de forma parácrina, maturando e recrutando leucócitos
da medula e até desencadear febre (Nathan, 2002; Borish e Steinke, 2003; Steinke e
Borish, 2006). O Interferon-γ (IFN-γ) é um mediador relacionado a respostas virais,
inibindo muitas vezes sua replicação, e é produzido especialmente por linfócitos e
células Natural Killer, atuando também na apresentação de antígeno, expressão de
moléculas de MHC (Complexo de Histocompatibilidade Principal) do tipo I e II, e
estimulação da secreção de citocinas nos demais leucócitos (Borish e Steinke,
2003). Pertencentes a família das citocinas, as quimiocinas, denominadas citocinas
Revisão da literatura
35
quimioatrativas (Murphy, 1994), desempenham um importante papel em processos
inflamatórios, primeiramente por guiarem o recrutamento e ativação de leucócitos no
sítio inflamatório e também por participarem dos processo de resolução e reparo
(Wynn, 2008).
1.3.1.1. Citocinas e a infecção pelo dengue
Existe uma grande produção de citocinas durante a FHD/SCD, liberadas
principalmente por linfócitos T, monócitos/macrófagos e células endoteliais; e a
expressão de muitos de seus receptores é encontrada no soro dos pacientes com
FHD/SCD em relação aos pacientes com a forma clássica da doença (FD). As
citocinas comumente encontradas em altos níveis no soro de pacientes com FHD
incluem TNF-α, IFN-γ e várias interleucinas: IL-2, IL-6, IL-8, IL-10, IL-12, IL-1β
(Chaturvedi et al., 2000; Dewi et al., 2004; Green e Rothman, 2006; Kurane, 2007;
Pang et al., 2007). As citocinas desempenham papel fundamental na
imunopatogênese da infecção pelo vírus da dengue. Isto se deve especificamente
ao papel pró-inflamatório que elas exercem sobre as células endoteliais. O TNF-α foi
a primeira citocina a ser implicada na patogênese da FHD (Chaturvedi, 2006). Ela
pode atuar localmente na ativação de macrófagos, entretanto a sua atividade
sistêmica pode levar ao aumento da permeabilidade vascular (Clyde et al., 2006;
Kurane, 2007). O soro de pacientes com infecção aguda pelos DENV tem níveis
aumentados de TNF-α (Vitarana et al., 1991; Hober et al., 1993; Hober et al., 1996;
Chaturvedi et al., 2000; Chaturvedi, 2006). A associação de TNF-α com as
manifestações mais graves da doença é também confirmada por diferentes modelos
animais (Atrasheuskaya et al., 2003; Shresta et al., 2006) e por estudos in vitro
(Dewi et al., 2004; Chua et al., 2005). O papel do TNF-α no aumento da
permeabilidade vascular das células endoteliais é bem conhecido. Além disso, o
TNF-α é capaz de induzir a liberação de uma gama de outras citocinas e
quimiocinas com atividade pró-inflamatória (Dewi et al., 2004).
Revisão da literatura
36
1.3.1.2. Quimiocinas: função e estrutura
Quimiocinas são grupos de moléculas relativamente pequenas (8 a 12 kDa)
pertencentes a classe das citocinas, as quais exercem importante papel na biologia
dos leucócitos, uma vez que controlam atividades de recrutamento e de ativação nos
estados basal e inflamatório, guiando e direcionando os movimentos dos leucócitos
(Luster, 1998). Além disso, outros tipos celulares, incluindo lulas epiteliais,
endoteliais, do sculo liso e parênquimais, sofrem ação das quimiocinas
(Mantovani, 1999; Locati et al., 2002). São atribuídas às quimiocinas e seus
receptores as propriedades de haptotaxia de leucócitos, controle da proliferação,
embriogênese. Durante um processo patofisiológico, as quimiocinas contribuem para
angiogênese, recrutamento e transmigração de leucócitos, remodelamento vascular
e tecidual, eliminação de patógenos, apresentação de antígenos, cronificação da
inflamação e reparo/cicatrização de tecidos, fibrose, tumorogênese e também são
co-receptores para HIV (Murphy, 1994; Locati e Murphy, 1999; Mantovani, 1999;
Locati et al., 2002; Rosenkilde e Schwartz, 2004; Dorner et al., 2009). Desta forma,
quimiocinas são consideradas importantes tanto na homeostase quanto na
patogênese de doenças.
O sistema de quimiocinas em mamíferos é complexo, compreendendo cerca
de 50 ligantes, constitutivos ou induzidos, e 20 receptores de sete domínios
transmêmbranares pertencentes à classe A dos receptores acoplados a proteína G
(GPCR) do tipo rhodopisin-like (Thelen e Stein, 2008). As quimiocinas são
consideravelmente promíscuas quanto à ativação de receptores (Figura 5). Neste
sistema encontramos uma redundância funcional: a maioria dos receptores interage
com vários ligantes e a maioria das quimiocinas interage com mais de um receptor
(Mantovani, 1999). Atualmente são conhecidas 28 quimiocinas CC (CCL1-28), 16
quimiocinas CXC (CXCL1-16), duas quimiocinas C (XCL1-2), uma CX3C (CX3CL1)
e uma C6C (CCL21) que interagem com 10 receptores CC (CCR1-10), seis
receptores CXC (CXCR1-6), um receptor XC (XCR1) e um receptor CX3C
(CX3CR1), respectivamente (Locati et al., 2002); alguns receptores não possuem
ligantes conhecidos e são classificados como sendo do tipo órfão. Os receptores de
quimiocinas são estruturalmente relacionadas e sub-classificados de acordo com a
posição relativa dos resíduos de cisteína conservados.
Revisão da literatura
37
Quimiocinas
Nomes Nomes
Comuns sistematicos
Receptores
Quimiocinas
Nomes Nomes
Comuns sistematicos
Receptores
Figura 5. Quimiocinas e seus receptores. Estão representados no esquema (a direita),
classificadas por seus nomes comuns e sistemáticos, as quimiocinas das famílias CC
(CCL1-28), CXC (CXCL1-16), C (XCL1-2) e CX3C (CX3CL1) que interagem com 10
receptores, representado a direita, sendo CC (CCR1-10), seis receptores CXC (CXCR1-6),
um receptor XC (XCR1) e um receptor CX3C (CX3CR1). Adaptado de (Proudfoot, 2002).
Revisão da literatura
38
Os membros do grupo de quimiocinas mais numeroso, CC ou a subfamília de
quimiocinas–β, tem as primeiras duas cisteínas adjacentes. As 28 quimiocinas que
compõem esse grupo (CCL1-CCL28) interagem com 10 receptores (CCR1-CCR10),
sendo que um mesmo receptor pode interagir com mais de uma quimiocina e uma
mesma quimiocina pode se ligar com alta afinidade a mais de um tipo de receptor
desta classe (Mantovani, 1999; Locati et al., 2002).
As quimiocinas são peptídeos que tem afinidade de ligação a heparanas
sulfatadas, heparina e glicosaminoglicanas na matriz extracelular, que servem de
sítio de ancoragem destes mediadores e possuem a capacidade de criar um
gradiente de quimiocinas essencial para o processo de haptotaxia (Proudfoot et al.,
2003; Johnson et al., 2004). Durante um processo inflamatório, várias proteases, tais
como serino-proteases, metaloproteinases e dipeptidil peptidases, regulam a
atividade biológicas das quimiocinas. Através de clivagem estas são liberadas de
seus sítios de fixação na matriz, de forma a criar um gradiente de concentração
causado pela sua solubilização, podendo também se tornar ativas ou inativas, ou
mudar funcionalmente de agonistas para antagonistas de seus receptores (Allen et
al., 2007). Quimiocinas também agem naturalmente como antagonistas de
receptores de sua mesma classe, independente de clivagem. Como exemplo,
podemos citar alguns agonistas de receptores do tipo CXCR, que exercem funções
como antagonistas de receptores CCR. Desta forma, uma quimiocina é agonista de
seu respectivo receptor, mas exibe capacidade inibitória de outros receptores de
quimiocinas, impedindo ou competindo pela ligação (Ogilvie et al., 2001; Ogilvie et
al., 2003).
Como visto na Figura 6, o domínio de interação dos receptores de
quimiocinas consiste em três voltas extracelulares e uma porção amino-terminal, que
se unem para ligar ao núcleo da quimiocina ligante (Allen et al., 2007). A sinalização
mediada pela formação do complexo quimiocina:receptor causa uma mudança
conformacional na estrutura terciária deste receptor e subseqüente endocitose, que
dispara sinais de ativação intracelulares. A dissociação das subunidades Gα e Gβγ
causada pela sinalização do receptor de quimiocinas disparam a ativação de
adenilato ciclase, fosfolipase-Cβ, PI3K, GTPases pequenas e canais iônicos, que
levam ao aumento dos níveis de AMP (adenosina monofosfato) cíclico, inositol
trifosfato (IP3) e cálcio intracelular, alterando o estado de ativação celular (Murphy,
1994). Dentre estas alterações encontramos a polimerização de filamentos de actina
Revisão da literatura
39
e polarização celular, aumento da capacidade fagocítica e aumento da sobrevida
celular, translocação de NF-kB e transcrição de genes pró-inflamatórios, com
aumento de produção de quimiocinas e expressão de seus receptores via de novo
(Mantovani, 1999; Allen et al., 2007; Thelen e Stein, 2008).
A interação da quimiocina com seu receptor, além de ativar as vias de
sinalização intracelular leva à modificação de vacúolos e organelas citoplasmáticas,
necessária para duas funções básicas: (i) reciclagem de receptores, e (ii)
degradação de quimiocinas e receptores. Estas duas funções o de extrema
importância para a regulação dos níveis de receptores na membrana, proferindo
capacidade regulatória sobre a atividade celular e, também, como mecanismo de
controle pós-transcricional dos níveis de quimiocinas pela sua atividade como
scavenger natural, tanto em condições patológicas como homeostáticas,
respectivamente (Mantovani et al., 2006; Cardona et al., 2008; Mantovani e Locati,
2008). Após a ligação da molécula com seu receptor, este é internalizado
rapidamente via endocitose mediada por clatrina, associada principalmente a duas
moléculas adaptadoras, adaptina 2 (AP-2) e B-arrestina, em um processo
dependente de GTPases pequenas. Então, os complexos quimiocina:receptor são
dissociados pela acidificação dos endossomas, que se fundem aos lisossomos
imaturos (early) onde as quimiocinas são degradadas pela ação do baixo pH destas
vesículas. Posteriormente, os receptores são ubiquitinados e degradados nos
lisossomos maduros (late). Alternativamente, os endossomos ácidos contendo
receptores se fundem ao retículo endoplasmático com posterior fusão com a
membrana celular, completando a reciclagem do receptor. Várias modificações nos
receptores, tais como nas quimiocinas, também alteram a citrulinação, palmitolação,
sulfatação e glicosilação, interferindo na sua sinalização, tráfego e reciclagem (Neel
et al., 2005; Marchese, 2009)
Os receptores de quimiocinas estão distribuídos na superfície celular e
funcionam como sensores do meio externo atuando de forma dinâmica, quando
transmitem sinais químicos extracelulares até o seu núcleo. Precisamente, estão
localizados em “lipid rafts”, que são micelas flutuantes de colesterol presentes na
membrana celular, importantes para o processo de oligodimerização de receptores,
tanto na forma homodímera como heterodímeros, contribuindo para uma alteração
da estrutura quaternária destes. A mudança estrutural atribui novas propriedades
funcionais como co-internalização e até dessensibilização cruzada do receptor. Da
Revisão da literatura
40
mesma forma, quimiocinas se homo- ou hetero-oligomerizam de forma natural nos
organismos quando presentes em altas concentrações, potencializando suas
atividades sobre seus receptores (Thelen e Stein, 2008; Thelen et al., 2010).
Figura 6. Receptores para quimiocinas CC e sua sinalização. O presente esquema
mostra como os receptores para quimiocinas, neste caso da família CC, são agrupados de
acordo com sua especificidade relacionada ao tipo de interação entre proteínas G. O
esquema identifica as subunidades heterotrimericas das proteínas G normalmente
relacionadas a diversos receptores de quimiocinas da família CC, assim como as vias de
sinalização comuns a maioria dos tipos celulares relacionados à resposta inflamatória. As
linhas pontilhadas indicam alguns mecanismos de ativação onde proteínas envolvidas ainda
não foram completamente identificadas. Varias vias de sinalização e proteínas, incluindo
MAP quinases, JNK e ERK, e fatores de transcrição como NFkB, estão envolvidos na
produção, por exemplo, de citocinas e quimiocinas em respostas a patógenos e outros
estimulos (New e Wong, 2003).
Revisão da literatura
41
1.3.1.3. Quimiocinas da família CC e infecções virais
Além de constituir o grupo mais numeroso de quimiocinas e de possuir um
amplo espectro de funções na resposta inflamatória, diversas evidências
experimentais e epidemiológicas sugerem um importante papel para as quimiocinas
CC e seus receptores em infecções virais. Dentre as fisiopatologias mais estudadas,
e intimamente ligadas com o sistema de quimiocinas, se encontram as infecções
pelo HIV (vírus da Imunodeficiência humana), pelo WNV e pelo HCV (vírus da
hepatite C).
O HIV usa moléculas de membrana como o CD4 e os receptores para
quimiocinas CCR5 e CXCR4 para invadir a célula do hospedeiro. Os linfócitos T,
macrófagos, células dendríticas e outras células apresentadoras de antígenos
expressam a molécula CD4 primariamente. As células de Langerhans ou monócitos/
macrófagos expressam o co-receptor CCR5 de quimiocinas e permitem a infecção
por cepas com tropismo por monócitos (M-Tropic). os linfócitos T CD4+
expressam o co-receptor CXCR4, que se liga somente em cepas virais com tropismo
para células T (T-Tropic). As células T CD4+ primárias possuem ambos co-
receptores (CCR5 e CXCR4), podendo ser infectadas tanto pelas cepas virais M
quanto T (Fauci, 1996; Moriuchi et al., 1996). A afinidade do HIV-1 a co-receptores
específicos é um fator determinante para o tropismo celular das diferentes cepas do
vírus. A importância fisiopatológica destes co-receptores é demonstrada pelo fato de
que indivíduos que possuem mutações nos genes ccr5 e cxcr4 o resistentes à
infecção pelo HIV-1 (Harouse, Bhat, et al., 1991; Harouse, Laughlin, et al., 1991),
talvez porque estes co-receptores se ligam às quimiocinas controladoras da ativação
e migração de vários leucócitos aos sítios de infecção.
O WNV induz febre e, menos comumente, complicações neurológicas,
incluindo encefalite, que é o alvo dos modelos experimentais em uso. Em
camundongos observa-se o recrutamento maciço de células B, T (CD8+ e γδ),
células NK, além de macrófagos. Dentre as moléculas mais estudadas nestes
modelos estão o receptor CCR5 e seus ligantes CCL3/MIP-1α, CCL4/MIP-1β e
CCL5/RANTES. O receptor CCR1, o qual compartilha ligantes com o CCR5, também
tem sua expressão aumentada. Os receptores CCR2 e CCR3 parecem ser os
menos proeminentes. Camundongos KO para estes receptores de quimiocinas
mostram graus diferentes de susceptibilidade, sendo que o animal CCR5 KO é o
Revisão da literatura
42
mais susceptível deles, uma vez que o receptor CCR5, na infecção por WNV é quem
regula o recrutamento leucocitário para o SNC. Aproximadamente 20% dos linfócitos
T, células NK e macrófagos presentes no SNC de animais infectados por WNV
expressam CCR5. O uso de anticorpos anti-quimiocinas ligantes de CCR5, 1 ou 3
também levam a um fenótipo similar ao dos animais CCR5 KO, demonstrado que o
sistema de quimiocinas rege a infecção viral em nível de receptor e ligante (Glass et
al., 2005; Lim et al., 2006; Lim et al., 2008; Lim et al., 2010). A função do CCR5, e
receptores para quimiocinas associados, parecem mediar diretamente o clearance
viral e a progressão da doença do que modular a resposta imune de forma indireta,
como em outros modelos experimentais de infecção viral ou por outro microrganismo
(Klein e Diamond, 2008).
O recrutamento de células T para o fígado na infecção pelo HCV é um passo
essencial para a eliminação do vírus. O movimento leucocitário a favor do gradiente
de quimiocinas e a expressão seletiva de receptores para quimiocinas em células T
são eventos chave no processo de recrutamento na infecção por HCV. Lichterfeld e
colaboradores (2002) demonstraram a diminuição na expressão do receptor CCR5
na superfície de células CD4+ e CD8+ de pacientes com HCV, resultando em um
menor recrutamento de leucócitos em resposta a CCL3/MIP-1α, CCL4/MIP-1β e
CCL5/RANTES. O mecanismo pelo qual o HCV interfere na expressão de CCR5
parece ser resultante da interação de proteínas virais com receptores de membrana,
como CD81 (Nattermann et al., 2004; Nattermann et al., 2006). CCL5/RANTES, em
face da donwregulation de CCR5 por interação por interação proteína viral-CD81,
tem sua produção aumentada e parece potencializar a internalização de mais
receptores CCR5, e também CCR1 e CCR3, uma vez que é capaz de se ligar a
estes dois receptores. CCL3/MIP-1α e CCL4/MIP-1β parecem não contribuir para
este fenômeno. Este mecanismo leva a deficiência de recrutamento leucocitário para
órgãos alvo, o que favorece a proliferação viral e a cronificação da doença
(Lichterfeld et al., 2002; Ajuebor et al., 2004).
1.3.1.4. Quimiocinas na resposta a infecção pelo dengue
Estudos clínicos recentes têm sugerido um papel fundamental para citocinas
na patogênese da FHD (Rothman, 2003; Navarro-Sanchez et al., 2005; Green e
Revisão da literatura
43
Rothman, 2006). TNF-α, IL-1β e IL-6 têm sido especialmente associadas com a
severidade da doença, sendo considerados marcadores de ativação e severidade da
infecção. Embora o sistema de citocinas/quimiocinas seja complexo e mal elucidado
no contexto da infecção pelo vírus da dengue, estas moléculas parecem representar
marcadores interessantes para a triagem de pacientes e para o prognostico da
doença. O interesse em definir marcadores e elucidar sua associação com os
eventos que culminam no quadro grave da infecção pode levar a futuras estratégias
terapêuticas e atenuar o impacto social e econômico da doença nas regiões mais
afetadas. Nestes termos, quimiocinas e citocinas têm sido usadas como
marcadores em doenças como a hepatite C, ARDS (Síndrome da Angústia
Respiratória Adulta) e sepse (Bouros et al., 2004; Wright et al., 2005; Bozza et al.,
2007).
No que diz respeito à quimiocinas, a carência de modelos experimentais e a
variabilidade de cepas virais controladas para estudo não permitiram até o momento
a caracterização satisfatória do sistema de quimiocinas na infecção por este vírus.
Alguns estudos com amostras de pacientes apresentado tanto FD como FHD têm
sido feitos em busca de correlações que ajudem a entender a fisiopatologia em
termos celulares e moleculares. existem alguns trabalhos demonstrando o papel
da quimiocina MCP-1/CCL2 e MIP-1α/ CCL3 na infecção pelo dengue. Estas
quimiocinas são capazes de recrutar monócitos, linfócitos T e células natural killer,
sendo estas envolvidas na fisiopatologia da infecção. Elas são capazes também,
quando produzidas em grandes concentrações, de atuar em células endoteliais
causando permeabilidade vascular e contribuindo para o extravasamento de plasma,
evento critico na FHD (Stamatovic et al., 2003; Deshmane et al., 2009).
A maioria dos estudos envolvendo MCP-1/CCL2 e MIP-1α/ CCL3 em dengue
estão focados na ação destas quimiocinas em células endoteliais, o que levaria a
redução das junções entre estas lulas, facilitando o fenômeno de extravasamento.
Entretanto, a função destas quimiocinas é provavelmente subestimada. Pouco se
sabe sobre os tipos celulares envolvidos nesta produção e a cinética de
aparecimento destas moléculas quando correlacionada com a severidade da
doença. Sierra e colaboradores (2010) demonstraram de forma importante que
MCP-1/CCL2 e MIP-1α/ CCL3 possuem um papel importante na resposta inicial a
infecção em estudos de ADE ex vivo, onde estas quimiocinas são produzidas em
altos níveis em pacientes imunizados com DENV-1 e DENV-3, o que coincide com a
Revisão da literatura
44
produção maciça de TNF- α e IFN-γ (Sierra et al., 2010). Desta forma, os autores
sugerem que uma re-infecção com diferente sorotipo do vírus parece contribuir para
uma maior produção destas quimiocinas do que o observado na infecção primaria.
Além do mais, linfócitos T CD4+ e CD8+, incluindo células T de memória, o
capazes de produzir tanto MCP-1/CCL2 como MIP-1α/ CCL3 após re-estimulação
(Riley et al., 1998; Yang e Mosmann, 2004). CCL2 e CCL3 podem estar associados
então a uma expansão preferencial de lulas de T de memória com reatividade
cruzada a determinados sorotipos, o que tem sido atribuído como importante fator
para a FHD, onde estes pacientes apresentam ativação de células T bastante
aumentada em comparação a pacientes com FD. Este fenótipo é associado ao
aumento significativo de TNF- α e IFN-γ (Kalayanarooj et al., 1997; Rothman, 2003;
2004; Green e Rothman, 2006).
MCP-1/CCL2 tem seus efeitos mediados pelo receptor CCR2. O papel pró-
inflamatório de CCR2 depende basicamente de sua expressão em APCs (células
apresentadoras de antígeno) e em células T (Deshmane et al., 2009). A
superexpressão de MCP-1/CCL2 induzida pelo DENV em pacientes é transiente e
sistemática quando comparada a doenças crônicas. Avirutnan e colaboradores
(1998) foram os primeiros a demonstrar a superexpressão de CCL2 no soro de
pacientes com dengue. Lee e colaboradores (2006) demonstraram que a expressão
de CCL2 em pacientes com FHD é muito maior do que a observada em pacientes
com FD. Lin e colaboradores (2005) demonstraram de forma interessante que o
anticorpo anti-DENV NS1 se liga a células endoteliais vasculares e induz a
expressão de CCL2, o que leva a expressão de ICAM-1 e a uma maior adesão de
leucócitos ao endotélio. Entretanto os autores não demonstraram se MCP-1/CCL2
produzido por monócitos infectados são capazes de estimular a expressão de
moléculas de adesão e contribuir para a inflamação no contexto de recrutamento e
ativação de leucócitos.
Em conjunto, os estudos acerca de CCL2 e CCL3 ainda estão bastante
restritos a fenômenos vasculares pontuais e a ativação de tipos celulares em
situações não naturais. Entretanto estes dados sugerem que a produção inicial,
especialmente de MCP-1/CCL2, parece contribuir de forma importante para o
fenômeno de extravasamento vascular observado na FHD (Avirutnan et al., 1998;
Lin et al., 2005; Lee et al., 2006; Sierra et al., 2010)
Revisão da literatura
45
RANTES/CCL5 (regulated upon activation, normal T cell expressed and
secreted) é uma quimiocina ligante dos receptores CCR1 e CCR5 com atividade
quimiotática para linfócitos T, monócitos, células NK, entre outras (Schall et al.,
1990). Algumas infecções causadas por vírus podem levar a expressão de CCL5 em
uma grande variedade de células (Avirutnan et al., 1998; Matsukura et al., 1998;
Thomas et al., 1998), sendo que a expressão de CCL5 parece ser um evento
importante na resposta do hospedeiro a infecções.
Lin e colaboradores (2005) encontraram uma importante correlação entre a
produção de RANTES/CCL5 em células hepáticas e a infecção pelo dengue. De
forma interessante, esta produção parece estar intimamente associada à ativação de
vias de estresse oxidativo e com a produção de IL-6, ambos importantes mediadores
da resposta inflamatória e comumente associados ao choque. Entretanto, a relação
entre a produção de CCL5 e os níveis de transaminases hepáticas, marcadores de
lesão, não esta correlacionada, sugerindo que níveis elevados de RANTES/CCL5
não podem ser diretamente correlacionados com disfunção ou lesão hepática.
Hepatocitos parecem ser grandes produtores de RANTES/CCL5, e apesar desta
correlação não estar estabelecida, a quimiocina parece mediar outros eventos, como
por exemplo, o recrutamento e ativação de leucócitos durante a infecção,
favorecendo a perpetuação da resposta inflamatória (Lin et al., 2000; King et al.,
2002; Glass et al., 2003; Lin et al., 2005; Conceicao et al., 2010). Assim como MCP-
1/CCL2, a literatura para RANTES/CCL5 na infecção pelo DENV permanece pouco
fundamentada.
Dentre os mais importantes eventos do processo inflamatório em doenças
infecciosas podemos citar o recrutamento, acúmulo e ativação de leucócitos em
órgãos alvo, onde contribuem para a produção de citocinas/quimiocinas e para
eventual lesão tecidual. Evento este que se retro-alimenta e contribui muitas vezes
para a morte do hospedeiro em função de uma exacerbação da resposta contra o
patógeno. Não existem estudos em dengue onde se correlaciona eventos essenciais
como a produção de mediadores inflamatórios (citocinas/quimiocinas), o papel de
seus respectivos receptores e seus efeitos em determinados tipos celulares. Células
T CD4, CD8 e NK têm sido sugeridas como fundamentais na infecção pelo vírus da
dengue (Liu et al., 2002; Shresta, Kyle, Robert Beatty, et al., 2004; Shresta, Kyle,
Snider, et al., 2004; Chau et al., 2008). Entretanto, estudos restritos a amostras de
pacientes e modelos experimentais em camundongos imunodeficientes levam a
Revisão da literatura
46
conclusões um tanto quanto precipitadas se colocarmos a infecção pelo dengue em
um contexto maior, como por exemplo, quando comparada a outras infecções
melhor estabelecidas, como HCV ou WNV.
A carência de modelos experimentais apropriados assim como a escassez de
literatura contundente envolvendo pacientes torna urgente este tipo de estudo. Uma
estruturação um pouco mais elaborada de tipos celulares e mediadores chave
envolvidos na infecção pelo dengue contribuiria para tanto para a compreensão da
fisiopatologia como para o estudo de drogas capazes de reduzir os sintomas e
manifestações das formas graves da doença.
1.4. Células NKT invariantes (iNKT)
1.4.1. Definição e distribuição
As células iNKT fazem parte de um subtipo único de linfócitos T e apresentam
um fenótipo hibrido de lulas NK e células T convencionais. Por esta razão, uma
origem tímica e extra- tímica para células NKT tem sido sugeridas (Levitsky et al.,
1991; Makino et al., 1996). No entanto, existem poucas evidências de que a via
extra-timica possui um papel fundamental no desenvolvimento de células NKT.
iNKTs expressam a lectina do tipo c CD161 (também conhecida como NK1.1 e
encontrada em algumas linhagens de camundongos) além de um TCR invariante.
Embora a maioria das células NKT pertença às populações CD4- CD8- (duplo-
negativas) ou CD4+ CD8-, um subtipo destas células caracterizadas como CD4-
CD8+ são encontrados em humanos (Cerundolo et al., 2009; Yuling et al., 2009).
Células NKT são geralmente divididas em dois subtipos: tipo I e tipo II (Swain,
2008). A maioria das células NKT pertence ao tipo I e expressam um TCR invariante
ao contrario de células T convencionais, vindo daí a sua classificação como “iNKT”.
Diversas evidências bastantes consistentes levantadas na ultima década ressaltam
a importância destas células em respostas imunes contra diversos agentes
infecciosos. Por outro lado, células NKT do tipo II, também conhecidas como vNKT
(não-clássicas ou não-invariantes) expressam um repertório mais diversificado de
TCR, e seu papel na regulação ou ativação da resposta imune o ainda pouco
estudados (Ambrosino et al., 2007; Halder et al., 2007; Arrenberg et al., 2009).
Revisão da literatura
47
No que diz respeito a sua distribuição, as células iNKT são encontradas em
pequeno número no timo, baço, medula óssea, sangue e linfonodos. E ao contrario
do encontrado em outros tecidos, células iNKT de camundongos são encontradas
em abundância no fígado (representam 40% dos linfócitos intra-hepáticos) (Eberl et
al., 1999). Este número esta reduzido para aproximadamente 12% no fígado de
humanos (Swain, 2008).
Em camundongos, as lulas iNKT expressam um rearranjo Vα14-Jα18 com
uma região invariante CDR3 que é tipicamente co-expressa com cada uma das mais
diversas cadeias Vβ8.2, Vβ2 ou Vβ7. Em humanos, as células iNKT expressam um
rearranjo invariante Vα24-Jα18 com Vβ11, que são os ortólogos humanos de Vα14 e
Vβ8 presentes em camundongos, respectivamente (Kronenberg, 2005). Os TCRs de
células iNKT reconhecem tipicamente antígenos de estrutura glicolipídica,
apresentados através de moléculas CD1d presentes em APCs como células
dendriticas (DCs), macrófagos e células B. Após apresentação via APCs e estímulo
de seu TCR, as células iNKT são ativadas e produzem grandes concentrações de
citocinas do tipo Th1 (i.e. IFN-γ) e/ou do tipo Th2 (i.e. IL-4). A sua importância na
regulação da resposta imune e na prevenção de doenças auto-imunes é
conhecida (Sharif et al., 2001; Sharif et al., 2002; Wu e Van Kaer, 2009). Além de
seus papéis imunoregulatórios, as células iNKT participam de forma importante no
reconhecimento e resposta em infecções microbianas (Kinjo et al., 2005).
1.4.2. A molécula CD1d
Logo após a síntese no reticulo endoplasmático (RE), as moléculas CD1d se
ligam a fosfolípides endógenos que facilitam a saída do RE e seu transporte para a
superfície celular (Joyce e Van Kaer, 2003; Major et al., 2006; Barral e Brenner,
2007). Trabalhos recentes indicam que a ligação de fosfolípides a CD1d no RE
envolvem a ação da proteína de transferência de triglicerídeo microssomal, que se
trata de uma proteína de transferência de lipídios (PTL) capaz de desempenhar um
importante papel na montagem da apolípoproteina B (apoB) com lipídeos no RE.
A molécula CD1d de superfície é então internalizada por endocitose mediada
por clatrina, processo este que depende de um motivo baseado em tirosina presente
na cauda citoplasmática da molécula CD1d. Em complemento a esta via, foi
Revisão da literatura
48
relatado que um subtipo de moléculas CD1d alcançam compartimentos
endossomais após associação com a cadeia invariante associada ao MHC de
classe II no RE. Em endossomas mais tardios, os fosfolipídios formados no RE são
trocados por lipídios antigênicos que podem ativar células iNKT. Estes glicolípides
podem ser derivados de fontes endógenas, como, por exemplo, o iGb3 lisossomal,
ou então de fontes exógenas. Múltiplas vias podem ser acionadas para fornecer
glicolípides exógenos ao compartimento de formação de CD1d: (a) fagocitose de
micróbios ou seus produtos, (b) associação de manose com glicolípides através do
receptor de manose, (c) associação de proteínas de baixa densidade (LDL)
modificadas por receptores scavenger, e (d) internalização de complexos lipídicos
contendo apoE (apolipoproteina E) através do receptor para LDL ou receptores para
outras lipoproteínas relacionadas.
Após a sua chegada em compartimentos endossomais tardios, glicolípides
endógenos ou exógenos podem passar por processamento (i.e. por hidrolases de
carboidratos), seguido por sua associação com CD1d com a ajuda de uma
variedade de PTLs, incluindo saposinas. Estes complexos antigênicos CD1d-
glicolípides são então disponibilizados na superfície celular para o reconhecimento
por células iNKT. Têm ficado claro nos últimos anos que uma grande variedade de
patógenos virais, como o herpes vírus associado ao Sarcoma de Kaposii, o HIV-1, o
herpes simplex-1, o vírus da estomatite vesicular e o Vaccinia virus podem interferir
no trafico intracelular de CD1d e, desta forma, impedir a apresentação de
glicolípides antigênicos às células iNKT (Van Kaer e Joyce, 2006). Além do mais,
Chlamydia trachomatis é capaz de regular negativamente a expressão de CD1d em
células epiteliais humanas através de sua degradação, utilizando tanto proteasomas
celulares como clamidiais (Kawana et al., 2007).
1.4.3. Reconhecimento de antígenos glicolipídicos por células iNKT
Devido a sua limitada diversidade, o TCR de células iNKT é mais associado
aos receptores de reconhecimento de padrões expressos em células do sistema
imune inato do que os variados receptores antígeno-especificos expressos por
células da resposta imune adaptativa. Por haver uma propensão em reagir com
células autólogas, tem se considerado que células iNKT reconhecem tanto
Revisão da literatura
49
glicolípides endógenos como exógenos (Joyce et al., 1998; De Silva et al., 2002). O
iGb3 foi o primeiro ligante endógeno de CD1d a ser identificado, o que facilitou o
estudo da ativação de células iNKT na ausência de um lipídeo antigênico, neste
caso utilizando um camundongo deficiente em iGb3 (hexB
-/-
) (Zhou et al., 2004).
Entretanto, muito pouco ainda se conhece sobre os ligantes endógenos que podem
ser ativadores de células iNKT. Além do mais, a importância de iGb3 como um
ligante fisiológico para células iNKT é ainda bastante contestado.
Todas as células iNKT de camundongos e humanos são capazes de reagir
com o αGal-Cer (α-Galactosil-Ceramida) (Kawano et al., 1997), um glicoesfingolipide
isolado da esponja marinha Agelas mauritianus durante uma triagem de produtos
naturais com atividade anti-metastatica em camundongos. Muitos pesquisadores
têm especulado que este composto pode ter se originado de microrganismos
presentes na esponja (Kinjo et al., 2005). O αGal-Cer é um potente agonista de
células iNKT e tem sido bastante estudado, principalmente no que diz respeito a sua
interação com CD1d e com a o TCR invariante de células iNKT, suas atividades
imunomodulatórias e suas propriedades terapêuticas.
Como citado, as células iNKT reconhecem glicolípides apresentados por
moléculas semelhantes ao MHC-I, mas essencialmente por moléculas menos
polimórficas, CD1d, presentes em APCs. O mecanismo de ligação do antígeno nos
bolsos hidrofóbicos da molécula CD1d e sua interação com o TCR de células iNKT
já foram descritos anteriormente em detalhes (Godfrey et al., 2005).
1.4.4. Vias de ativação de células iNKT
Na maioria das respostas imunes onde células iNKT parecem estar
implicadas, o mecanismo de ativação destes tipos celulares ainda é pouco
compreendido (Figura 7). Estudos com patógenos microbianos têm sugerido duas
vias para a ativação de células iNKT (Van Kaer e Joyce, 2005; Barral e Brenner,
2007). Na chamada “via direta”, que pode ser ativada por espécies do gênero
Novosphingobium e por B. burgdorferi, onde lipídios derivados destes patógenos são
associados a moléculas de CD1d em endossomas e então apresentados na
superfície de APCs para reconhecimentos pelo TCR de células iNKT. Entretanto,
células iNKT também podem ser ativadas por vários microrganismos que não
Revisão da literatura
50
possuem antígenos a serem reconhecidos diretamente via CD1d (Tupin et al., 2007).
Este tipo de ativação durante infecções, assim chamada de “ativação indireta”, é
geralmente mediado por citocinas.
Após a ativação de receptores de reconhecimento de padrões associados a
patógenos, ou receptores do tipo TOLL (TLRs), seja na superfície da célula ou
intracelulares, ocorre a ativação de cascatas de sinalização com a conseqüente
ativação de fatores de transcrição e produção de citocinas. Dentre estas citocinas
ativadoras de lulas iNKT podemos citar notadamente IL-12, IL-18 e/ou interferons
(IFNs) do tipo I. Este tipo de ativação é o mais relatado em processos infecciosos
(Van Kaer e Joyce, 2005). Para alguns microorganismos a ativação de células iNKT
também requer a expressão de CD1d em APCs. Neste caso as citocinas parecem
funcionar na amplificação da resposta, onde, por exemplo, ocorram interações de
baixa afinidade entre células iNKT e o complexo CD1d/glicolípides endógenos, como
o iGb3. Mecanismos similares parecem estar envolvidos em condições inflamatórias
agudas e crônicas (Van Kaer e Joyce, 2005; Yu e Porcelli, 2005; Tupin et al., 2007).
1.4.5. Papel de células iNKT em infecções microbianas
A descoberta de que células iNKT são ativadas diretamente pelo
reconhecimento de certos glicolípides antigênicos e, subseqüentemente, produzem
grandes quantidades de citocinas proporcionalmente a quantidade de células
participantes da resposta, levou a investigação intensa de varias formas de
antígenos lipídicos de uma variedade de espécies de microrganismos. Células iNKT
parecem desempenhar um papel protetor em varias infecções, como aquelas
causadas por Listeria monocytogenes, Streptococcus pneumoniae, Leishmania
major e Plasmodium berghei (Yu e Porcelli, 2005; Emoto e Emoto, 2009).
Em alguns casos, entretanto, as células iNKT parecem estar envolvidas na
exacerbação da resposta inflamatória associada ao patógeno, levando a efeitos
deletérios para o hospedeiro, como por exemplo, em infecções causadas por
Salmonella choleraesuis e Escherichia coli (Shimizu et al., 2002; Hiromatsu et al.,
2003; De Lalla et al., 2004; Dong et al., 2007). A infecção por E. coli, por exemplo,
leva a lesão hepática caracterizada por necrose, inflamação local, dano celular a
hepatócitos e grande infiltrado linfocítico em camundongos selvagens.
Revisão da literatura
51
Figura 7. Vias de ativação propostas para células iNKT. Células iNKT ativadas e suas
diversas funções no organismo em condições patológicas estão representadas na figura.
Em A: Células iNKT possuem uma potente atividade pró-inflamatória e são capazes de
produzir uma grande diversidade de mediadores, incluindo citocinas, quimiocinas e fatores
citotóxicos, como granzima B. Em B: Podem ativar e cooperar com diversos outros tipos
celulares da imunidade inata e adquirida, dependendo do tecido e do estimulo. Diversos
mecanismos para a ativação de iNKT por patógenos foram identificados. Em C:
Microrganismos que possuem glicolípides restritos a apresentação via CD1d
(Sphingomonas, Borrelia) podem ativar diretamente células iNKT via TCR, na ausência de
co-estimulação. Em D: Bactérias que possuem LPS (Salmonella) ativam TLR4 expresso em
APCs que então podem ativar indiretamente células iNKT através da apresentação de
glicolípides próprios, utilizando IL-12 como co-estimulo. Em E: Uma variação do citado em
D, com a participação do eixo IL-12/IL-18 e CD1d-independente. Em F: Patógenos
intracelulares podem estimular TLR7/9 para induzir a apresentação de antígenos
glicolipídicos próprios, restritos a CD1d, para células iNKT. Neste caso, co-estimulação por
IFN-α/β é requerida. (Matsuda et al., 2008).
Revisão da literatura
52
Estas alterações fisiopatológicas estão bastante reduzidas em camundongos
Jα18
-/-
, animais deficientes em células iNKT (Hiromatsu et al., 2003). Além do mais,
se sabe que células iNKT intra-hepáticas, que expressam mRNA para o receptor
TOLL do tipo 2 (TLR2), são ativadas in vitro em resposta a uma lipoproteína sintética
ligante de TLR2 (Hiromatsu et al., 2003). O mesmo foi relatado por Shimizu e
colaboradores (2002), que demonstraram aumento de dano hepático em animais
selvagens após infecção por S. choleraesuis em comparação com animais Jα18
-/-
.
Estes dados reforçam a idéia de que a lesão hepática mediada por células NKT
parece ser, em parte, dependente de interações entre TLR2 e seus ligantes.
Outros tipos de receptores associados ao reconhecimento de patógenos,
principalmente do tipo TOLL, são amplamente conhecidos por desencadear a
ativação de vias de sinalização intracelulares e conseqüentemente a translocação
de fatores de transcrição para o cleo, o que acarreta a expressão e conseqüente
produção de um amplo espectro de citocinas (Iwasaki e Medzhitov, 2004; Medzhitov,
2007). Nagarajan e Kronenberg (2007) mostraram o aumento da produção de IFN-γ
e TNF-α por células iNKT em resposta ao LPS (Lipopolissacarideo) de E. coli, um
ligante de TLR4, o que é TCR-independente mas requer a produção de IL-12 e IL-18
por DCs. O mesmo grupo demonstrou que DCs primadas com um agonista de TLR9
(CpGODN) podem ativar células iNKT e leva-las à produção de IFN-γ, um fenômeno
independente de IL-12 (Tyznik et al., 2008). Importante frisar que a expressão de
TLR-2, -4, -5 mas não TLR9 foi demonstrado em células NKT em nível transcricional
(Shimizu et al., 2002). De maneira geral, estes estudos sugerem que células iNKT
podem reconhecer sinais, diretos ou indiretos, gerados por interações entre TLRs e
seus ligantes. Entretanto, embora exista a expressão de certos TLRs em células
iNKT, não existem evidências da ativação direta destes subtipos celulares por
agonistas de TLR. Estes dados reforçam a idéia de que APCs são essenciais para a
transmissão de sinais associados à TLRs para células iNKT, com sua subseqüente
ativação e produção de citocinas.
Todos estes estudos supracitados se tornaram possíveis com o advento de
ferramentas experimentais mais adequadas, incluindo o isolamento de células iNKT
e a geração de animais deficientes para este subtipo celular. Tais ferramentas
abriram as portas para estudos envolvendo microrganismos mais complexos, com
fisiopatologia muitas vezes pouco elucidada, o que inclui muitas infecções virais.
Dois animais deficientes geneticamente têm sido utilizados no estudo de células
Revisão da literatura
53
iNKT: o Jα18
-/-
e o CD1d
-/-
. Como citado, o animal Jα18
-/-
não possui células iNKT,
enquanto o CD1d
-/-
não expressa a molécula CD1d, que é necessária para a seleção
positiva de células iNKT e vNKT durante o desenvolvimento tímico. Desta forma,
estes animais são deficientes para estes dois tipos de células. Em alguns casos,
entretanto, estes animais são responsivos a algum tipo de células T convencionais
ditas “CD1d-reativas”. O estudo com anticorpos contra CD1d se torna complementar
e necessário nestes casos.
1.4.6. Células iNKT, TLRs e evasão
Como se têm discutido em relação à ativação e participação de células iNKT
em infecções, interações entre TLRs e padrões moleculares associados a vírus
podem ser requeridos para ativação e execução da função efetora por lulas iNKT.
Um estudo recente demonstrou que células NKT humanas são capazes de se
expandirem e aumentarem a produção de IFN-γ quando PBMCs (células
mononucleares do sangue periférico) são tratadas com agonistas TLR3, -7 e -9
(Raftery et al., 2008). O mesmo foi também observado para PBMCs tratadas com
HSV-1 inativado por luz UV. De forma importante, a depleção de células dendríticas
plasmocitoides (pDCs) dentre as PBMCs reduz significativamente a ativação de
células iNKT no mesmo sistema. Estes dados sugerem a importância de pDCs e de
citocinas produzidas por estas células, como IFN-γ, na ativação de células NKT.
Outro dado interessante demonstra que PBMCs tratadas com LPS levam a redução
da produção de IFN-γ e o aumento da produção de IL-10, sugerindo que a interação
DC-iNKT deve compreender uma regulação fina para o tipo de sinal derivado de
DCs após ativação de TLRs específicos (Raftery et al., 2008).
Um papel similar para pDCs e IFN-γ na ativação de células iNKT foi
demonstrado em PBMCs tratadas com um ligante de TLR9 (CpG-ODN) (Suzuki et
al., 2004). Tyznik e colaboradores (2009) demonstraram que a co-cultura de DCs
expostas a ligantes TLR7 e -9 com células iNKT purificadas do baço de
camundongos selvagens leva a uma grande produção de IFN-γ no meio. Além do
mais, a ativação de células iNKT e a produção de IFN-γ também foram
demonstradas em camundongos durante a infecção por citomegalovirus (CMV),
sendo esta resposta dependente de TLR-9 e IL-12 (Raftery et al., 2008).
Revisão da literatura
54
Complementar a estas interações TLRs-virus, é possível que antígenos virais
possam ativar células iNKT diretamente através de seu TCR. Considerando que
vírus não possuem nenhum antígeno lipídico, ao contrario de bactérias e
protozoários, é difícil especular como se daria este tipo de interação. A melhor
explicação é que, durante infecções virais, ocorreria a síntese de lipídeos
endógenos, e células iNKT podem ser ativadas por estas moléculas, auxiliadas por
citocinas produzidas por APCs neste microambiente. Neste panorama, células
infectadas, apresentando antígenos no contexto de moléculas CD1d, podem ser
alvos para a atividade citotóxica exercida por células iNKT. Um estudo recente
demonstrou que um acilpeptídeo, o peptídeo dodecamérico de N-acil glicina (lipo-
12), capaz de mimetizar lipoproteínas e produzido por células e vírus, pode ser
apresentado por moléculas CD1c a células T humanas (Van Rhijn et al., 2009). De
qualquer forma a apresentação via CD1d em infecções virais, por mecanismos ainda
não bem esclarecidos, não deve ser uma hipótese descartada.
Os vírus desenvolveram estratégias de evasão contra o sistema imune do
hospedeiro, incluindo a citada regulação negativa da expressão de CD1d por
APCs (Van Kaer e Joyce, 2006). O exemplo melhor estudado sobre a interferência
viral sobre a função de CD1d é a proteína NEF, do HIV, e a manosiltransferase, o
receptor para o trifosfato de inositol e o receptor de rianodina para o Sarcoma de
Kaposi (um herpes vírus), que o reconhecidamente capazes de interferir no
transporte de CD1d do complexo de Golgi para a superfície assim com a endocitose
de moléculas CD1d de superfície (Cho et al., 2005)
1.4.7. O papel de células iNKT na resposta imune em infecções virais
No contexto da infecção pelo vírus da hepatite B (HBV, um flavivirus), poucos
trabalhos m sido feito em modelos animais da doença. Kakimi e colaboradores
(2000) mostraram um aumento de mRNA para IFN-γ e IFN-α/β no fígado de animais
tratados com αGal-Cer, o que foi também associado com um aumento do clearance
viral no órgão. Este efeito foi temporalmente associado com uma rápida queda de
células NKT no fígado acompanhada por um recrutamento de células NK para este
órgão. O desaparecimento de células NKT parece estar relacionado a uma
regulação negativa do TCR ou de NK1.1 após a ativação. De qualquer forma a
Revisão da literatura
55
possibilidade de recrutamento para outros órgãos não foi investigada (Kakimi et al.,
2000). Os mesmo autores demonstraram que o clearance viral mediado por células
NKT durante a infecção por HBV não era dependente do recrutamento de células
inflamatórias (Kakimi et al., 2001). Importante frisar que o papel de células iNKT na
resposta imune contra o HBV o é conhecido. Um estudo recente demonstrou que
o tratamento de pacientes com HBV crônica utilizando αGal-Cer não resultou no
clearance viral, o que pode sugerir que lulas NKT não estão envolvidas na
resposta imune ao HBV em humanos (Woltman et al., 2009).
Um importante papel tem sido sugerido para as células iNKT na infecção pelo
vírus da hepatite C (HCV, também flavivirus) (Inoue et al., 2006). Pacientes que
sofrem de hepatite crônica induzida por HCV possuem números elevados de células
NKT no fígado, incluindo uma grande regulação positiva de CD1d em células
hepáticas (Yamagiwa et al., 2008). Yamagiwa e colaboradores (2008) mostraram
também um aumento significativo da proporção e número absoluto de células NK e
NKT no fígado de pacientes infectados por HCV e que estavam recebendo terapia
antiviral, incluindo IFN-α. Outros estudos têm demonstrado uma alta freqüência de
células NKT hepáticas CD1d-reativas, que apresentam perfil Th1, mas são do tipo
não invariante ou vNKT (Exley et al., 2002). Estas lulas são abundantes no fígado
e baço em humanos, sugerindo uma nova linhagem celular, especialmente no
fígado. Além do mais, o IFN-γ produzido por estas células esta associado com dano
tecidual em resposta a infecção por HCV, reforçando a idéia de uma melhor
caracterização destes tipos celulares em órgãos alvo durante a infecção. O papel
protetor ou deletério de células vNKT ou iNKT nas infecções por HBV ou HCV é
questionável, especialmente devido às diferenças entre as populações de células
NKT no fígado em humanos e camundongos, o que impede maiores extrapolações
no que diz respeito as suas funções.
Dados recentes indicam que células iNKT e vNKT podem ter papeis opostos
na resposta imune, pelo menos no contexto de resposta contra tumores (Ambrosino
et al., 2007; Halder et al., 2007; Arrenberg et al., 2009). A estimulação seletiva de
células vNKT é capaz de suprimir a atividade de “vigilância” antitumoral das células
iNKT, e a estimulação de células iNKT leva a proteção contra o crescimento de
tumores mesmo quando a resposta era dirigida em direção a um fenótipo Th2.
Quando os dois tipos celulares são ativados simultaneamente, as células vNKT
Revisão da literatura
56
parecem suprimir a ativação e o efeito protetor de células iNKT in vivo (Ambrosino et
al., 2007).
De forma semelhante, seria interessante examinar o papel destes dois
subtipos celulares e suas interações na resposta imune antiviral. Um papel protetor
para células iNKT tem sido sugerido na infecção experimental pelo HSV-1 (cepa
SC16). Camundongos Jα18
-/-
e o CD1d
-/-
mostraram maior susceptibilidade a
infecção do que camundongos C57BL/6 selvagens. Os animais deficientes
apresentaram clearance viral inadequado na pele e em gânglios da raiz dorsal,
sugerindo um importante papel para células iNKT neste modelo de infecção (Grubor-
Bauk et al., 2003). De forma similar, em um modelo experimental de infecção vaginal
pelo HSV-2, lulas iNKT são necessárias para a resolução e controle da infecção
(Ashkar e Rosenthal, 2003). Mas ao contrario dos achados de Grubor-Bauk e
colaboradores (2003), outro estudo com camundongos CD1d
-/-
sugerem que células
iNKT não são necessárias para a resolução e controle da severidade da doença
Após infecção pelo HSV-1 (cepa KOS). Estas discrepâncias parecem estar
diretamente relacionadas com a virulência das cepas em questão: KOS é menos
virulenta que SC16 (Cornish et al., 2006).
Alguns poucos estudos também investigaram o papel de células CD1d-
reativas na infecção experimental com o vírus da encefalomiocardite (EMCV), um
picornavirus que pode causar diabetes aguda, paralisia e miocardite ainda nos
primeiros dias de infecção (Exley et al., 2003; Ilyinskii et al., 2006). Camundongos
CD1d
-/-
são bastante susceptíveis a infecção quando comparados a camundongos
selvagens, e esta resistência a infecção parece ser mediada por IL-12 e IFN-γ (Exley
et al., 2003). A depleção de lulas NK e NKT em camundongos selvagens
utilizando anticorpos anti-asialo GM1 também levaram a um aumento considerável
da susceptibilidade a infecção pelo EMCV-D, e a resposta a infecção em animais
CD1d
-/-
prevalece, mostrando que a resposta é essencialmente mediada por iNKT, e
não NK. Como camundongos Jα18
-/-
não foram utilizados no estudo, é possível que
células T CD1d-reativas estejam participando também da resposta. A eficácia do
anticorpo anti-asialo GM1 em depletar somente NKT é um ponto critico, uma vez
que anticorpos contra NK1.1 podem depletar tanto NKT como iNKT (Seki et al.,
1997).
Similar a infecção por HCV, o papel das células iNKT em um modelo
experimental murino de infecção pelo RSV (vírus respiratório sincicial) é bastante
Revisão da literatura
57
controverso, uma vez que o desenvolvimento da doença depende do background
genético do camundongo (Johnson et al., 2002). Linhagens resistentes ao RSV,
como BALB/c, respondem ao tratamento com αGal-Cer basicamente com o aumento
do clearance viral e com perfil de produção de citocinas tanto Th1 como Th2. De
forma relevante, existe uma expansão efetiva de lulas T CD8+ na infecção por
RSV, dependente de células NKT, realçando a importância deste subtipo no controle
da infecção. Resultados similares foram observados na infecção experimental por
Plasmodium berghei (Hansen et al., 2003). Estes dados reforçam a idéia de que
tanto o patógeno como o background genético do hospedeiro são aspectos
essenciais para se determinar a função e dinâmica de células iNKT em doenças
infecciosas.
Em infecções pelo HIV-1 tem sido demonstrado que subtipos celulares
iNKT/CD4+ o alvos do HIV-1 devido ao seu tropismo por lulas que co-
expressam CD4 com CCR5 e/ou CXCR4 (Motsinger et al., 2002; Li e Xu, 2008).
Células iNKT/CD4+ presentes em PBMCs humanos expressam altos níveis de
CCR5 em comparação a células T CD4+ convencionais, sendo altamente
responsivas a infecção após tratamento com αGal-Cer (Motsinger et al., 2002). No
geral, o HIV causa uma rápida queda no número total de células iNKT na circulação
a uma taxa mais rápida do que aquela observada para lulas T CD4+. Importante
frisar que estudos são necessários para se estabelecer a cinética de
ativação/freqüência de células iNKT durante os estágios crônicos e agudos da
infecção pelo HIV.
Em termos gerais, os dados discutidos aqui reforçam a evidência de que
células iNKT parecem participar de forma importante em diversas infecções virais.
Mesmo que em muitos casos o background genético e a virulência do patógeno,
associado a discrepâncias de resposta do hospedeiro em estágios agudos e
crônicos da doença contribuam para as lacunas existentes a respeito do fenótipo a
ser interpretado. O estudo destes subtipos celulares pode trazer novas informações
no âmbito das interações celulares e moleculares entre patógeno e hospedeiro.
Não existem estudos acerca do papel de células iNKT e vNKT em modelos
experimentais de infecção pelo vírus da dengue, assim como em amostras de
pacientes cometidos pela FD ou FHD, o que torna o presente estudo de importância
para a ampliação do conhecimento acerca de tipos celulares fundamentais
Revisão da literatura
58
envolvidos na infecção pelo Dengue vírus e sua contribuição para o
desenvolvimento da doença.
1.4.8. Quimiocinas e o trafego de células iNKT
O recrutamento de leucócitos para os tecidos é dependente de uma série de
passos de adesão e ativação mediados por moléculas e pela interação quimiocinas-
receptores, como revisto nos tópicos iniciais (Johnston e Butcher, 2002). A
expressão de receptores para quimiocinas e de moléculas de adesão em células T é
regulada durante o desenvolvimento, enquanto a expressão de quimiocinas é
geralmente controlada por citocinas e outros sinais que restringem sua distribuição
no microambiente tecidual. Isso resulta em padrões de migração distintos para
vários subtipos de leucócitos (Kunkel e Butcher, 2002).
Todas as células T naïve expressam uniformemente L-selectina e CCR7, que
medeiam o acesso a tecidos linfóides através de vênulas de endotélio alto (HEV) e
possuem e possuem um importante papel na localização de células T no paracortex
dos linfonodos. Em contraste, células T de memória e efetoras são heterogêneas no
que diz respeito à expressão de receptores de quimiocinas e moléculas de adesão,
além de exibirem comportamento diverso no que diz respeito ao seu recrutamento.
Subtipos distintos de células T foram caracterizados por terem como alvo a pele
(expressando antígeno cutâneo para linfócitos, ou CLA+, e CCR4+), intestino (α4β7
hi e CCR9+) e regiões de mucosa (CCR10+), assim como vários sítios inflamatórios
(i.e. CCR1+, CCR2+, CCR5+ e CXCR3+) (Kim et al., 2001; Johnston e Butcher,
2002; Kunkel e Butcher, 2002).
Células Vα24 iNKT se assemelham a células T efetoras neste caso, uma vez
que subtipos CD4+, CD8+ ou duplo-negativas (DN) expressam de forma homogênea
receptores de quimiocinas não relacionados ao recrutamento para o tecido linfóide,
como CCR2, CCR5 e CXCR3 (Gumperz et al., 2002; Kim et al., 2002; Lee et al.,
2002; Motsinger et al., 2002). Em contraste, somente 20% das células iNKT
expressam CCR7, e quase nenhuma célula iNKT do sangue expressa CXCR5
(Gumperz et al., 2002; Kim et al., 2002; Lee et al., 2002), sendo estes receptores
necessários para o recrutamento para as regiões T e B de órgãos linfóides. Isto é
consistente com a relativa escassez de células iNKT em órgãos linfóides
Revisão da literatura
59
secundários. Vários receptores para quimiocinas, como CCR1, CCR4, CCR6 e
CXCR6 são diferencialmente expressos por CD4+ e subtipos CD4-NKT.
Um número bem significativo de células CD4+NKT expressa CCR4 (Kim et
al., 2002), enquanto CCR1, CCR6 e CXCR6 são preferencialmente expressos por
duplo-negativas e células CD8+NKT (Gumperz et al., 2002; Kim et al., 2002; Lee et
al., 2002). Importante frisar que células NKT não-restritas a CD1d (CD3+CD56+)
compartilham padrões de expressão de receptores de quimiocinas com células Vα24
iNKT (Campbell et al., 2001), sugerindo que estas células com TCRs diversificados
podem migrar para regiões similares. Entretanto, CCR4 somente foi detectado em
níveis significativos em células CD4+ Vα24 iNKT, sugerindo que estas células
podem ainda migrar para outras regiões adicionais. Atualmente existem poucos
dados sobre o papel de quimiocinas no recrutamento de células NKT para diferentes
tecidos in vivo, sendo que os estudos raramente estão focados entre a relação
receptores de quimiocina versus acúmulo de células NKT. A discussão se atém
muito mais à produção e interação de citocinas e moléculas pró-inflamatórias
produzidas por estes subtipos celulares com as células residentes no microambiente
em questão.
Células NKT são capazes de migrar em resposta a CXCL2/MIP-2, ligante
natural de CXCR2, além de que CXCR2 é necessário para o acúmulo de células
NKT CD1d-restritas no baço durante a indução de tolerância em resposta a antígeno
pela via ocular. Entretanto, a migração de células Vα14 iNKT murinas (ou células
não restritas a CD1d) induzida por MIP-2 o é observada, o que sugere que a
necessidade de CXCR2 para este recrutamento é um perfil de outro tipo celular
(Faunce et al., 2001). No mesmo modelo, os autores mostraram que a produção de
CCL5/RANTES por células NKT murinas é importante para o recrutamento de APCs
e a para a indução de células T regulatórias (Tregs) (Faunce e Stein-Streilein, 2002),
sugerindo que células NKT podem participar da resposta imune através da geração
de quimiocinas em adição a citocinas.
Em outro estudo, CCL2/MCP-1 esta implicada no recrutamento de células
Vα14 iNKT para o pulmão, em camundongos, após infecção por criptococos
(Kawakami et al., 2001). Os autores, entretanto, não definem o quanto CCL2/MCP-1
é diretamente ativo em células NKT. Seria importante determinar as interações
quimiocina:receptor que medeiam tanto o trafego homeostático de subpopulações
de células NKT como o seu recrutamento para sítios de inflamação. Também existe
Revisão da literatura
60
uma heterogeneidade na expressão de moléculas de adesão em células Vα24 iNKT.
Mais de 20% das células NKT humanas expressam CLA (Gumperz et al., 2002; Kim
et al., 2002), associado com a ligação a E-selectina e direcionamento linfocitico para
a pele, enquanto uma maior proporção de células NKT expressa a integrina α4β7,
que interage com outra molécula de adesão, a MAdCAM-1 (Gumperz et al., 2002;
Kim et al., 2002). Em adição a estes dados, LFA-1 possui um papel crucial no
recrutamento de células NKT NK1.1+ (a maioria células Vα24 iNKT) para o fígado de
camundongos mas não para outros tecidos (Emoto et al., 1999). Entretanto, isto
pode ser um efeito indireto relacionado ao recrutamento de células NK antes do
recrutamento de células NKT para o órgão (Miyamoto et al., 2000).
A diversidade de combinações que resultam na expressão diferencial tanto de
receptores para quimiocinas como para moléculas de adesão contribuem de forma
importante para direcionar células NKT para diferentes tecidos. Quimiocinas também
produzidas em sítios específicos durante a resposta parecem tanto ativar como
recrutar mais tipos celulares para o microambiente. A diferença entre os subtipos de
células NKT parece também contribuir para esta diversidade imunoregulatória
observada em diversos estudos in vivo.
II. JUSTIFICATIVA E OBJETIVOS
Justificativa e objetivos
62
2.1. JUSTIFICATIVA
Enquanto a última década testemunhou importantes avanços na biologia do
DENV, incluindo as determinações estruturais da partícula viral e as proteínas-chave
envolvidas, as análises dos mecanismos de tradução e replicação viral, além da
caracterização funcional das proteínas virais, a patogênese do dengue permanece
pouco elucidada, onde a complexa inter-relação entre os fatores virais e do
hospedeiro ainda não são bem conhecidos. As observações clínicas da doença têm
fornecido algumas informações a respeito da patogênese da infecção pelos DENV,
principalmente no que diz respeito a mediadores inflamatórios como quimiocinas e
citocinas, além de populações celulares envolvidas nesta resposta, como DCs e
células T CD4+. Entretanto, a ausência de modelo animal adequado,
imunocompetente, tem atrasado as pesquisas acerca da fisiopatologia da doença,
principalmente os mecanismos celulares e moleculares que medeiam o seu
agravamento e possíveis interações sistêmicas, mecanismos chave na lesão
tecidual e no mau prognóstico da doença.
Com um modelo animal reprodutível e capaz de mimetizar a doença e seus
sintomas assim como observados em humanos, tornou-se possível o estudo de
moléculas chave na doença. A maioria é relatada na clinica e possuem notável
associação com eventos observados em quadros de FHD, como os elevados níveis
de quimiocinas da família CC. Além do mais, populações celulares com importante
função na resposta imune, e que participam de uma complexa rede de ativação
celular e produção de mediadores inflamatórios, como as células NKT invariantes
(iNKT), se tornam um importante alvo de estudo em infecções virais. Uma possível
relação entre quimiocinas CC e células iNKT na infecção pela dengue pode trazer
novas abordagens e estratégias para o estudo da fisiopatologia da infecção pelo
vírus, além de abrir possibilidades para o estudo de alvos terapêuticos. A escassez
de literatura envolvendo modelos experimentais de infecções por flavivírus e sua
resposta inflamatória sistêmica, o que inclui choque e hemorragia, acaba também
por validar o objeto de trabalho.
Justificativa e objetivos
63
2. 2. Objetivos
O presente trabalho de tese foi baseado em dois objetivos principais de estudo,
consistindo em se investigar o papel dos receptores de quimiocinas CCR1, CCR2 e
CCR4 na patogênese da dengue experimental em camundongos (Objetivo 1) além
de se avaliar também o papel deletério das células NKT invariantes (iNKT) na
patogênese da infecção pelo vírus da dengue, utilizando-se o mesmo modelo
experimental (Objetivo 2).
2.1.1. Objetivos específicos 1
1. Investigar se os receptores para quimiocinas CC, respectivamente CCR1,
CCR2 e CCR4, são importantes para a mortalidade e perda de peso
associada à infecção pelo DENV-2 em camundongos WT ou
geneticamente deficientes para estes receptores (KO).
2. Investigar se os receptores CCR1, CCR2 e CCR4 o importantes para o
clearance viral no fígado e se também participariam das alterações
hematológicas associadas à infecção pelo DENV-2 no presente modelo
experimental, incluindo analise de plaquetas, hematócrito e granulócitos
em camundongos WT ou geneticamente deficientes para estes receptores
(KO) no dia 6 pós-infecção.
3. Investigar a participação dos receptores CCR1, CCR2 e CCR4 na lesão
hepática associada à infecção experimental pelo DENV-2, avaliando-se
por ELISA os níveis de citocinas (IL-6 e IFN-γ) e quimiocinas (CCL2/JE,
CCL3/MIP-1α e CCL5/RANTES) no fígado, além do acúmulo neutrofílico
por MPO, analise histopatológica e dosagem de transaminases hepáticas
no soro de camundongos WT ou geneticamente deficientes para estes
receptores (KO) no dia 6 pós-infecção.
4. Investigar a participação dos receptores CCR1, CCR2 e CCR4 na resposta
inflamatória sistêmica associada à infecção experimental pelo DENV-2,
Justificativa e objetivos
64
avaliando-se por ELISA os níveis de citocinas (TNF-α, IL-6, IFN-γ) e/ou
quimiocinas (CCL2/JE, CCL3/MIP-1α, CCL5/RANTES e CCL17/TARC) no
soro e baço, além do acúmulo neutrofílico por MPO no baço de
camundongos WT ou geneticamente deficientes para estes receptores
(KO) no dia 6 pós-infecção.
5. Investigar por citometria de fluxo a freqüência e perfil geral de ativação de
células T CD4+, T CD8+ NKT (CD3+ DX5+), NK (CD3-, DX5+), neutrófilos
(CD11b+ Ly6G+), e macrófagos (CD11b+ F4/80+) no baço de animais WT
e deficientes para os receptores CCR1, CCR2 e CCR4 após a infecção
pelo DENV-2, a fim de se avaliar a contribuição destes receptores para o
trafego e ativação de tipos celulares relevantes para a infecção no dia 6
pós-infecção.
2.1.2. Objetivos específicos 2
1. Investigar por citometria de fluxo a participação, cinética de ativação
(CD69) e produção de IFN-γ por células iNKT após infecção pelo DENV-2
em animais WT entre os dias 3 e 5 pós-infecção.
2. Investigar se células iNKT participam da mortalidade e perda de peso
associada a infecção pelo DENV-2 em camundongos WT, Jα18
-/-
e CD1d
-/-
.Investigar também se a transferência de células iNKT purificadas do
fígado (CD5+ NK1.1+) de animais WT para animais Jα18
-/-
é capaz de
reverter o fenótipo observado.
3. Investigar se células iNKT participam do clearance viral em órgãos alvo
(baço e fígado) e também das alterações hematológicas e inflamatórias
associadas a infecção pelo DENV-2 no presente modelo experimental,
incluindo analise de plaquetas, hematócrito, monócitos e linfócitos, lesão
hepática por analise histológica, além da produção de citocinas (IL-1β, IL-
6, IFN-
γ, TNF-α e IL-12p40) e/ou quimiocinas (CXCL1/KC), por ELISA, no
Justificativa e objetivos
65
soro, baço e/ou fígado de animais WT e Jα18
-/-
entre os dias 4 e 6 pós-
infecção.
4. Investigar por citometria de fluxo o perfil geral de ativação de células NK
(CD3- NK1.1+), neutrófilos (CD11c+ Ly6G+), células T CD4+ e T CD8+
após a infecção pelo DENV-2 em animais WT e Jα18
-/-
, utilizando-se
marcadores de ativação e/ou produção de IFN-γ afim de se avaliar a
colaboração entre células iNKT e estas populações no presente modelo no
dia 5 pós-infecção.
5. Investigar a ativação de células iNKT utilizando estratégias de pré-
tratamento e pós-tratamento com o glicolípide αGalCer em animais WT
durante a infecção experimental pelo DENV-2, afim de se investigar o
efeito da ativação desta população sobre a mortalidade, perda de peso e
alterações hematológicas (plaquetas, hematócrito e granulócitos) e carga
viral em órgãos alvo (baço e fígado) no dia 6 pós-infecção.
III. MATERIAL E METODOS
Material e métodos
67
3.1. Animais
Foram utilizados neste estudo camundongos selvagens (WT, wild type)
C57BL/6 (H-2D
b
) machos ou fêmeas, com 8 a 10 semanas de idade, adquiridos da
empresa Janvier (Le Genest-St-Isle, França). Camundongos CCR1
-/-
, CCR2
-/-
e
CCR4
-/-
machos ou fêmeas, de 8 a 10 semanas de idade, cruzados pelo menos 10
vezes em background C57BL/6, foram criados e mantidos até o momento dos
experimentos no centro de criação do Instituto de Transgenose (CNRS, Orléans,
França). O estudo com estes animais foi parte de um projeto colaborativo com o Dr.
Bernhard Ryffel no Laboratoire d'Immunologie et d'Embryologie Moléculaires (IEM),
UMR 6218 CNRS, Université d'Orléans, França, financiado pelo CNPq (Bolsa SWE
PhD 04/2009-04/2010).
Animais Jα18
-/-
e CD1d
-/-
, machos ou fêmeas, de 8 a 10 semanas de idade,
cruzados pelo menos 10 vezes em background C57BL/6, foram cedidos como parte
de um projeto colaborativo com o Dr. François Trottein (Center for Infection and
Immunity of Lille, Institut Pasteur de Lille, INSERM U1019, CNRS UMR8204,
University Lille Nord de France, França) e mantidos no Instituto de Transgenose
(CNRS, Orléans, França) até o momento dos experimentos. Todos os animais foram
mantidos sob temperatura controlada (23°C) com um c iclo claro/escuro controlado
de 12 horas, ração autoclavada ad libitum, sob condições isentas de patógenos, em
caixas com ventilação individual (SPF, specific pathogen–free conditions).
3.2. Vírus
O vírus da dengue, sorotipo 2 (DENV-2), amostra P23085, foi obtido do State
Collection of Viruses, Moscou, Rússia, e isolado de amostra clínica pelo Dr. George
Ignatyev no SRC VB “Vector”, Koltsovo, Rússia, em nível de biosegurança 3 (BSL-
3). Para se aumentar a virulência da amostra no hospedeiro murino, o vírus foi
injetado intracerebralmente em camundongos. De forma resumida, o vírus foi
submetido a duas passagens no cérebro de camundongos neonatos. Os cérebros
dos camundongos apresentando morbidade, no dia a pós infecção, foram
recolhidos e preparados em uma solução de homogenato de cérebro em meio MEM
(modified Eagles’s médium, Gibco) a 10% (p/v). Após este procedimento, 8
passagens seqüenciais foram realizadas em camundongos BALB/c de diferentes
Material e métodos
68
idades (1-4 semanas), por via intraperitoneal (i.p.). Duas passagens seqüências
foram feitas em cada grupo de cada idade. Após cada passagem, os cérebros de
camundongos moribundos, no dia após infecção, fo ram recolhidos e preparados
em uma solução de homogenato de cérebro em meio MEM a 10% (p/v), estocados a
-80°C, e então utilizados em infecções posteriores, além da padronização do modelo
(Atrasheuskaya et al., 2003). As últimas passagens do vírus adaptado DENV-2
P23085 foram feitas em lulas LLC-MK2 (rim de macaco Rhesus, ATCC) para
produzirem estoques virais em meio DMEM (Dulbecco’s Modified Eagle’s Medium,
Sigma-Aldrich), sendo então armazenados a -80°C.
Para se calcular o titulo viral em sobrenadante de células LLC-MK2, expresso
como a DL
50
(dose letal média), grupos de 10 camundongos BALB/c, 4 semanas,
foram inoculados com DENV-2, em diluições seriais, por via i.p. e a curva de
letalidade foi calculada. O titulo do estoque de DENV-2 utilizado neste trabalho foi
determinado por titulação convencional em placa (ver a seguir) e representa 2 x 10
6
UFP/ml ou 10
5
DL
50
/ml de sobrenadante de LLC-MK2 assim como calculado em
camundongos BALB/c, uma linhagem mais susceptível (Shresta, Kyle, Robert
Beatty, et al., 2004). A seqüência das porções dos genes das proteínas E e NS1 do
vírus DENV-2 adaptado forem depositadas no GenBank sob o número de acesso
AY927231 (Atrasheuskaya et al., 2003) e apresentam 99% de identidade com
seqüências completas de DENV-2 já depositadas (Figura 8).
3.3. Estratégia experimental
Para os dois grandes grupos de experimentos descritos, componentes dos
Objetivos 1 e 2 desta tese, a estratégia experimental seguiu basicamente o mesmo
padrão, diferenciado-se apenas por determinadas dosagens ou abordagens em
órgãos ou sistemas específicos (Figura 9).
Durante o protocolo de infecção pelo vírus DENV-2, até o momento do
sacrifício, os animais foram mantidos em nível de biosegurança 2 (BSL-2) no
Instituto de Transgenose (CNRS, Orléans, França).
Para avaliação da letalidade e inflamação, os camundongos foram
inoculados, por via intraperitoneal, com 100µl de uma solução contendo DENV-2 a
10 ou 30DL
50
diluídos em DPBS (Gibco) estéril (10DL
50
para os experimentos
componentes do Objetivo 1, 30 DL
50
para os experimentos componentes do
Material e métodos
69
Objetivo 2, inóculos escolhidos de acordo com o tipo de resposta desejada ainda no
inicio de cada estudo. Importante frisar que não há diferença apreciável na letalidade
entre os dois inóculo). Camundongos dos grupos controles não infectados
receberam injeção de sobrenadante de células LLC-MK2, não infectadas, diluído em
DPBS estéril da mesma forma que o vírus. Uma DL
50
corresponde ao inóculo
necessário para matar 50% de camundongos BALB/c com 4 semanas, e
corresponde a aproximadamente 20 UFP, como calculado por titulação em células
LLC-MK2 e citado anteriormente. A taxa de letalidade e perda de peso foram
avaliadas a cada 12h ao dia 14 pós-infecção (p.i.). Em todos os experimentos, os
camundongos que sobreviviam até o dia 14 não possuíam mais sinais de doença,
como piloereção, perda de peso ou prostração.
Os outros parâmetros foram avaliados geralmente nos dias 4 ou 6 p.i.
(experimentos para avaliar a resposta inflamatória) ou 3, 5 ou 6 p.i. (experimentos
para análise de populações celulares por citometria de fluxo), pontos de sacrifício
definidos pelo momento onde a doença começa a apresentar sinais clínicos ou onde
a maioria dos animais ainda estava viva e apresentavam sinais clínicos da doença
grave. Em todos os experimentos utilizando-se camundongos geneticamente
modificados (KO), experimentos com os controles não infectados foram realizados.
Nos dias definidos para o sacrifício p.i., os camundongos foram anestesiados
por via intraperitoneal com uma solução de Quetamina (100 mg/Kg) e Xilazina (10
mg/Kg) diluídas em DPBS estéril. O sangue foi recolhido após incisão no plexo
braquial e separado para preparação de soro ou para análise hematológica. Logo
após, os animais foram sacrificados por deslocamento cervical e amostras
homogêneas de baço e fígado foram recolhidas para avaliação de citocinas,
atividade de MPO, citometria de fluxo (FACS) e/ou carga viral. Todas as amostras
foram estocadas a -80°C após o sacrifício. Preparaç ões de fígado para análise
histológica também foram realizadas. Para todos os experimentos foram utilizados
um n experimental de 4 a 7 animais (experimentos para investigar resposta
inflamatória) ou de 10 a 12 animais (letalidade e perda de peso)
Material e métodos
70
A
B
Figura 8. Alinhamento da seqüência do DENV-2 adaptado em camundongos. Em A,
alinhamento da seqüência parcial do dengue vírus sorotipo-2 adaptado em camundongos
(AY927231) com seqüências completas e parciais de DENV-2 utilizando-se o BLAST. Em B,
alinhamento da seqüência AY927231 com a seqüência completa do DENV-2 com maior
identidade (HM582117), mostrando que AY927231 corresponde as regiões do genoma de
DENV-2 referentes às proteínas E e NS1 (traços em preto).
Material e métodos
71
Figura 9. Design experimental esquemático proposto para os Objetivos 1 e 2.
Material e métodos
72
3.4. Comitê de Ética
Todos os procedimentos experimentais utilizados neste trabalho estão de
acordo com as regulamentações vigentes sobre ética e experimentação animal do
governo francês assim como foram aprovados pelo Comité National de Réflexion
Ethique sur l’Expérimentation Animale, CNRS, Orléans, França (documento CLE
CCO 2009-013).
3.5. Avaliação de parâmetros hematológicos
O sangue foi obtido através do plexo braquial de animais anestesiados
utilizando-se seringas e pipetas heparinizadas nos dias de sacrifício p.i.
anteriormente indicados. Após coleta, o sangue foi estocado em tubos heparinizados
(50 U/ml de heparina) e deixado sob leve agitação durante todo processo de
aquisição dos dados. Número de plaquetas e porcentagens de hematócrito e
granulócitos foram obtidas através de contagem no aparelho Coulter Counter (S-
Plus Jr, Beckman Coulter), utilizando-se 60µl de sangue para duas leituras por
amostra. Os resultados estão expressos como porcentagem de hematócrito ou
granulócito, além do número de plaquetas por µl de sangue.
3.6. Titulação do vírus da Dengue
Células LLC-MK2 foram crescidas em meio DMEM completo com 5% de SFB
(soro fetal bovino, Cultilab) e antibióticos (penicilina 100 U/ml e gentamicina 50
µg/ml), sendo cultivadas em placa de seis poços (Techno Plastic Products AG) a
uma densidade média de 1,5x10
6
células/poço. Tecidos de animais infectados foram
macerados utilizando-se cadinho e pistilo, em ambiente estéril, a fim de se preparar
uma solução 10% (p/v) em DMEM incompleto (sem SFB) com antibióticos que foi
então diluída serialmente. Alíquotas de 500 µl desta série de diluições foram
inoculadas em células com monocamadas recém fechadas, utilizando-se como
controle um poço com células não infectadas, um com sobrenadante de células LLC-
MK2 não infectadas e outro com alíquota do vírus DENV-2 utilizado. Após uma hora
de incubação sob agitação a cada 20 minutos, o meio foi desprezado, e as células
lavadas com uma solução de tampão fosfato estéril (PBS, pH 7.4). Em seguida, foi
adicionado meio 199 (Earle's salts, Gibco) com L-glutamina, antibióticos, 3% de SFB
Material e métodos
73
e 1.5% de carboximetilcelulose, sendo as placas incubadas a 37ºC por 9 dias. As
placas foram coradas com solução 1% (p/v) de cristal violeta para a determinação do
título das amostras, os quais foram expressos em UFP/mL (unidades formadoras de
placas por mililitro de material utilizado). Os dados da titulação viral são aqui
expressos como UFP/100 mg de tecido.
3.7. Dosagem de transaminases hepáticas TGO e TGP
A transaminase glutâmico oxalacética (TGO), também chamada de aspartato
aminotransferase (AST), e transaminase glutâmico pirúvica (TGP), também
conhecida como alanina aminotransferase (ALT), ou alanina transaminase, são
indicadores sensíveis de dano hepático em diferentes tipos de doenças, incluindo as
formas severas da infecção pelo Dengue vírus. As enzimas foram dosadas em
amostras de soro não-hemolisado nos dias 4 e 6 p.i. O ensaio colorimétrico utilizado
foi feito seguindo as recomendações do fabricante, utilizando-se kit diagnostico
estabelecido (Quibasa, Bioclin, Brasil).
3.8. Determinação dos níveis de citocinas e quimiocinas
Amostras de baço ou fígado, previamente estocadas a -80°C, foram
homogeneizadas em DPBS estéril contendo um coquetel de inibidores de proteases
Roche® (F. Hoffmann-La Roche Ltd) utilizando-se um homogeneizador de tecidos
(Power Gen 125 - Fisher Scientific Pennsylvania, USA). Amostras de soro ou
sobrenadante do homogeneizado tecidual foram utilizados para as dosagens, após
diluição em albumina do soro bovino (BSA, Sigma) a 0,1%. Os níveis de TNF-α, IFN-
γ, IL-1β, IL-6, IL-12p40/IL-23, CXCL1/KC, CCL2/JE, CCL5/RANTES, CCL3/MIP-1α e
CCL17/TARC foram medidos diferencialmente no soro, baço ou fígado utilizando-se
kits de anticorpos adquiridos do fabricante (R & D Systems, Minneapolis, USA),
seguindo o protocolo recomendado. Todos os ensaios foram realizados em placas
de 96 poços (96 MicroWellPlates, NUNC, Thermo Fisher Scientific, Waltham, MA,
USA ). Os anticorpos de captura foram diluídos em PBS, pH 7.4 e incubados
overnight a C. A reação foi bloqueada com uma solução de BSA a 1% em PBS. A
reação foi detectada por incubação com estreptavidina conjugada com peroxidase
(HRP-Streptavidin Pharmingem diluída a 1:4000) e revelada com OPD (o-
phenylenediamine dihidrocloride, Sigma). Após 30 minutos a reação foi parada com
Material e métodos
74
H
2
SO
4
a 1M. A leitura foi feita em leitor de ELISA com filtro para um comprimento de
onda de 492 nm. Os ensaios têm uma sensibilidade de 8-16 pg/ml de acordo com o
fabricante.
3.9. Avaliação da atividade da Mieloperoxidase (MPO) tecidual
Para a análise da atividade da MPO, como um parâmetro indireto para avaliar
o acúmulo de neutrófilos no tecido após a infecção (Souza et al., 2003), amostras de
baço e fígado de animais infectados e não infectados, foram homogeneizadas
(Dispomix, Medic Tools) em DPBS estéril na proporção de 10% (p/v) contendo 0,5%
de Hexadecil-Trimetil Brometo de Amônia (HTAB) e 5 mM de EDTA. As amostras
foram então incubadas a 60°C por 1 hora para inativação da catalase endógena e
centrifugadas a 10.000 g por 10 mins., a C. Uma a líquota de 100 µl do
sobrenadante obtido foi colocada em microtubos com 600 µL de HBSS (Hank’s
Balanced Salt Sodium, Gibco), 100 µl de dihidrocloreto de o-dianisidina (1.25 mg/ml)
e 100 µl de uma solução a 0.1% de H
2
O
2
(Merck). Após cerca de 15 mins. de
incubação a 37°C sob agitação, a reação foi parada com 100 µl de uma solução de
NaN
3
a 1% e 200 µl da solução final foram transferidos para placas de 96 poços
(NUNC, Thermo Fisher Scientific, Waltham, MA, USA). A atividade da MPO foi
determinada por absorbância a 460 nm, com o branco como correção. Os resultados
são expressos como unidades arbitrarias (O.D. 460 nm).
3.10. Preparação dos cortes para análise histológica
No dia 6 p.i, os animais foram sacrificados e amostras homogêneas de fígado,
órgão de escolha pelo tipo de lesão peculiar e representativa da manifestação grave
da infecção, foram coletadas e guardadas em tubos de 15 ml (Falcon) contendo uma
solução de formaldeído a 10% em PBS (pH 7.4) por no maximo 2 dias e depois
transferidas para tubos contendo uma solução de etanol a 70%, até o
processamento e inclusão. O processamento para histologia e inclusão em parafina
foi feito no IEM, Orléans, França seguindo protocolo padrão estabelecido no
laboratório. A preparação das lâminas, incluindo corte em micrótomo, fixação em
lâminas histológicas e coloração com Hematoxilina e Eosina (HE) foram gentilmente
realizados no Institute of Infectious Disease and Molecular Medicine, University of
Cape Town, África do Sul (Prof. Frank Brombacher). As fotos foram obtidas
Material e métodos
75
utilizando-se o programa QCapture Pro 6.0 (QImaging, Canadá) e são
representativas de 10-15 campos por lâmina, no aumento de 200X ou 400X.
3.11. Purificação de células iNKT e transferência adotiva
Para os experimentos de células adotivas, células do fígado de camundongos
selvagens doadores (C57BL/6) foram marcadas com anticorpos anti-NK1.1 (PE-
conjugado) e anti-CD5 (APC-Conjugado), ambos adquiridos da BD Pharmigen. As
células marcadas foram isoladas utilizando o separador de células BD FACSAria e o
programa BD FACSDiva (BD Biosciences). Células iNKT representam
aproximadamente 80-90% do total de lulas NKT presentes no fígado.
Camundongos recipientes Jα18
-/-
receberam por via intravenosa (i.v.) 100µl de
DPBS contendo 1x10
6
células NKT purificadas ou somente DPBS (controle). Após
aproximadamente 16 horas estes camundongos foram infectados com DENV-2,
seguindo o mesmo protocolo já citado.
3.12. Tratamento com o ativador de células NKT αGalCer
O glicolípide αGalCer (αGalactosil-Ceramida), ativador de células NKT, foi
gentilmente cedidos pelo Prof. François Trottein para os experimentos presentes no
Objetivo 2. Animais C57BL/6, WT, de 8 a 10 semanas foram tratados com 200µl, por
via intraperitoneal, de uma solução de DPBS estéril contendo αGalCer levando a
uma dose final de 2µg/animal. Animais controle foram tratados com DPBS. Foi
realizado um tratamento único 1 hora antes da infecção (pré-tratamento) ou 2 dias
depois da infecção (pós-tratamento). Letalidade, e perda de peso foram analisadas
até o dia 14 para os animais sobreviventes. Um experimento com o s-tratamento
foi realizado, com sacrifício no dia 6, a fim de se investigar parâmetros
hematológicos.
3.13. Análise de populações celulares por citometria de fluxo (FACS)
3.13.1. Obtenção de leucócitos do baço e fígado
Amostras de baço foram coletadas nos dias 3, 5 ou 6 p.i. para se investigar o
perfil das populações leucocitárias nos tecidos durante a infecção pelo DENV-2. Os
Material e métodos
76
pontos para avaliação foram escolhidos considerando-se o inicio da doença e
recrutamento celular (dia 3 p.i., Objetivo 2), ou momentos anteriores ao dia onde a
maioria dos animais sucumbem a doença, para se evitar células em
apoptose/necrose ou em estado de ativação exacerbado (dia 5 p.i. para Objetivo 2,
ou dia 6 p.i. para o Objetivo 1). Importante frisar que as diferenças para os dias 5 ou
6 reside principalmente no inóculo, no caso 3 vezes maior para os experimentos
realizados no dia 5, referentes aos resultados obtidos no Objetivo 2. Amostras de
fígado foram utilizadas nos dias 3 e 5 p.i. para os experimentos ex vivo de ativação
celular demonstrados no Objetivo 2.
Para a obtenção de leucócitos viáveis, amostras homogêneas de baço foram
maceradas em peneiras estéreis (cell strainers de 100 µm, BD Biosciences, USA) e
resuspendidas em DPBS suplementado com 2% de SFB. Após centrifugação,
hemácias foram lisadas com tampão de lise (Sigma-Aldrich). Para os experimentos
onde as marcações foram feitas em número definido de células, as mesmas foram
contadas em azul de trypan e plaqueadas considerando-se o número de células
viáveis.
Antes da extração dos leucócitos do tecido, o fígado dos animais foi
perfundido com DPBS estéril para a remoção de células circulantes. Amostras
homogêneas de fígado foram removidas e passaram por 20 mins. de digestão em
meio RPMI contendo 1 mg/ml colagenase tipo VIII (Sigma-Aldrich) e 1 µg/ml de
DNase tipo I (Sigma-Aldrich), a 37°C sob agitação. Após centrifugação a 2.300 RPM,
10 mins. a 4°C, as células foram lavadas e resuspen didas em gradiente de Percoll™
36%, cuidadosamente depositado sobre outro gradiente de Percoll™ 72%. A
preparação foi centrifugada por 30 mins. a 2.300 rpm a 22°C. As populações
coletadas na interface foram lavadas em DPBS suplementado com 2% de SFB e
posteriormente contadas em azul de trypan.
3.13.2. Marcação com anticorpos específicos
Leucócitos murinos hepáticos e esplênicos foram marcados para identificação
de subtipos celulares e perfil de ativação utilizando-se anticorpos monoclonais para
determinadas moléculas de interesse. Objetivo 1: CD3 (PerCP-Cy5-conjugado),
DX5 (FITC- conjugado), CD4 (Pacific Blue- conjugado), CD8 (APC-Cy7- conjugado),
F4/80 (PE- conjugado) CD69 (PE- conjugado), CD11b (PerCp-Cy5.5- conjugado),
Material e métodos
77
Ly6G (PE-Cy7- conjugado), CD86 (APC- conjugado) e controles de isotipo. Objetivo
2: TCRβ (FITC-conjugado), NK1.1 (PE- ou PerCp-Cy5.5- conjugado), CD5 (FITC- or
APC- conjugado), CD4 (FITC- conjugado), CD8 (APC- conjugado), CD69 (PE-,
PerCp-Cy5.5- ou APC- conjugado), IFN-γ (Alexa Fluor
®
647- conjugado), IL-4 (APC-
conjugado), CD11c (PE-Cy7- conjugado), CD11b (PerCp-Cy5.5- conjugado), Ly6G
(Alexa Fluor
®
647- conjugado), CD62-L (PE- conjugado), granzima B (FITC-
conjugado), CD107α (PE- conjugado) e controles de isotipo. Todos os anticorpos
foram adquiridos da BD Pharmigen (Le Pont de Claix, France). O anticorpo PE-
tetrâmero CD1d carregado com PBS-57, foi adquirido do NIAID Tetramer Facility
(Emory University, Atlanta, GA).
A fim de se analisar lulas iNKT, suspensões de leucócitos obtidas como
citado anteriormente foram incubadas com diluições do tetrâmero CD1d por 30 mins
em DPBS contendo 2% de SFB e 0,01% de NaN
3
. As células foram então lavadas e
marcadas com outros marcadores de superfície. Para marcação intracelular, as
células foram incubas por 20 mins a 4°C com tampão de fixação (BD Biosciences),
lavadas, e então incubadas com tampão de permeabilização (Cytofix/Cytoperm, BD
Biosciences). Após lavagem, a lulas foram incubadas com IFN-γ (Alexa Fluor
®
647- conjugado), IL-4 (APC- conjugado) ou granzima B (FITC- conjugado). Em todos
os casos, entre 5x10
5
a 1x10
6
eventos totais foram adquiridos para análise posterior
através do citômetro de fluxo BD FACSCanto II (BD Biosciences).
As populações analisadas foram selecionadas através da delimitação de
gates em que as células em estudo situam-se de acordo com o seu tamanho e
granulosidade (Figura 10). As análises de uma determinada população definida nos
gates foram feitas levando em consideração o marcador constitutivo daquela
população, por exemplo, CD3 para linfócitos ou, em, em outros casos, pelo controle
de isotipo. Após a determinação dos quadrantes de marcações -/-, +/-, -/+, e +/+, os
dois quadrantes positivos para o marcador constitutivo eram selecionados para a
análise do segundo marcador, por determinação de picos de histograma. Com base
nesses picos, definiam-se as duas subpopulações positivas para o primeiro
marcador, sendo uma negativa para o segundo marcador e a outra positiva para o
segundo marcador. No caso onde foram avaliados também os marcadores
constitutivos individualmente, foi utilizado o valor referente à porcentagem da
população nos dois quadrantes positivos para aquele marcador, em relação aos
eventos adquiridos. Os valores utilizados para a determinação dessas duas
Material e métodos
78
subpopulações utilizados foram as porcentagens daquelas subpopulações em
relação aos eventos totais adquiridos ou os dados foram expressos em número
absoluto de células, ajustando-se a porcentagem da subpopulação com a contagem
de células após a extração destas dos tecidos. As análises finais foram realizadas
utilizando-se o programa FlowJo 7.5.3 (TreeStar Inc.).
3.14. Análise Estatística
Todos os dados foram expressos como média ± erro padrão da média (EPM).
As diferenças entre as médias foram comparadas utilizando-se análise de variância
(ANOVA) com pós-testes de Student-Newman-Keuls. Na comparação entre dois
grupos foi utilizado o teste t de Student não pareado. Os resultados foram
considerados significativos quando valor foi de p< 0.05. Para a construção dos
gráficos, foi utilizado o software GraphPad PRISM 4. A exclusão de valores que se
portaram como outlyers foi feita através do teste de Grubbs, com nível de
significância igual a 0.05. As curvas de letalidade, construídas no mesmo software,
foram comparadas utilizando o teste Log-rank qui-quadrado. Todos os dados
apresentados são representativos de pelo menos 2 experimentos.
Material e métodos
79
Figura 10. Determinação das regiões (gates) referentes às populações leucocitárias
analisadas nos órgãos alvo. À esquerda: Exemplificação do método empregado para
determinação das freqüências das subpopulações avaliadas. À direita: No primeiro quadro,
é mostrada a delimitação do gate para linfócitos; em seguida, os quadrantes foram divididos
com base na densidade da distribuição de células. Por último, foi selecionada uma área em
que as células são, no caso, CD3+. Essa área é analisada em forma de histograma para o
segundo marcador, no caso CD8 e a subpopulação positiva em relação ao esse marcador é
expressa em freqüência do total de eventos adquiridos.
IV. RESULTADOS
Resultados
81
Objetivo 1
PAPEL DOS RECEPTORES DE QUIMIOCINAS CCR1, CCR2 E CCR4 NA
PATOGÊNESE DA DENGUE EXPERIMENTAL EM CAMUNDONGOS
4.1. Mortalidade e perda de peso em camundongos infectados pelo DENV-2
Camundongos infectados com a amostra adaptada do DENV-2 apresentam
manifestações clinicas que se assemelham a FHD/SCD em humanos, incluindo
trombocitopenia e aumento de permeabilidade vascular, o que eventualmente pode
levar ao choque e morte (Atrasheuskaya et al., 2003; Souza et al., 2009; Assuncao-
Miranda et al.). Como visto na Figura 11A, animais WT infectados com um inóculo
de 10 DL
50
apresentam mortalidade de aproximadamente 80% entre os dias 6 e 8
p.i. A taxa de mortalidade em camundongos CCR1
-/-
infectados foi bastante similar a
observada em camundongos WT. Em contraste a mortalidade observada em
camundongos CCR1
-/-
,
camundongos CCR2
-/-
e CCR4
-/-
apresentam maior sobrevida
e um perfil de proteção apreciável em relação a camundongos WT (P=0,0312 e
P=0,0091, respectivamente). Nestes estudos de mortalidade após infecção pelo
DENV-2 é possível observar uma rápida perda de peso, começando no dia 4 p.i. e
levando a uma perda de cerca de 5% em torno do dia 7 p.i. para os animais
sobreviventes. Esta perda de peso é freqüentemente associada com uma baixa
mobilidade na caixa e prostração. Camundongos CCR1
-/-
perderam peso de uma
forma similar a camundongos WT, sendo que esta perda foi significativamente
reduzida em camundongos CCR2
-/-
e CCR4
-/-
, que perderam cerca de 3% a menos
quando comparados a camundongos WT (Figura 11B). O dia 6 p.i. foi escolhido para
as demais analises subseqüentes.
Resultados
82
Figura 11. Mortalidade e perda de peso após infecção pelo DENV-2 em animais WT ou
KO para receptores de quimiocinas. Animais WT ou CCR1
-/-
, CCR2
-/-
e CCR4
-/-
(KO)
foram infectados por via intraperitoneal com 10 LD
50
da amostra adaptada de DENV-2 e
monitorados para avaliação da mortalidade e perda de peso até o dia 14 p.i. No painel A:
Porcentagem de sobrevida (n=10-12 animais). No painel B: Variação do peso corporal
associada à infecção pelo DENV-2 em animais WT e KO. Resultados foram expressos como
média ± EPM e são representativos de pelo menos 2 experimentos. * P< 0.05 quando
comparado a animais WT infectados. NI: animais não infectados.
Resultados
83
4.2. Parâmetros hematológicos e carga viral
A trombocitopenia, ou redução do número de plaquetas circulantes, é um
fenômeno comumente observado em pacientes com a febre do dengue ou com
FHD/SCD, mesmo que se tenha sugerido que esta não parece relacionar-se com
a severidade da doença ou com o seu resultado (Gubler, 1998; Guzman et al.,
2002). A trombocitopenia é primeiramente observada nos dia 3 após a infecção,
apresentando seu pico entre os dias 6 e 7 após a infecção (Balmaseda et al., 2006;
Bozza et al., 2008; Binh et al., 2009). No presente estudo, o número de plaquetas foi
avaliado no dia 6 p.i., momento onde estes números eram mínimos e a porcentagem
de animais vivos era máxima. O número de plaquetas em um animal WT infectado
foi cerca de 30% do mero observado em animais não infectados (Figura 12A).
Ouve uma queda similar no número de plaquetas tanto em camundongos CCR1
-/-
como CCR2
-/-
infectados em comparação a seus controles. Entretanto, esta
trombocitopenia esta significativamente reduzida em animais CCR4
-/-
infectados
quando comparados a WT infectados (Figura 12A).
O extravasamento vascular, e conseqüente hemoconcentração, é um evento
tardio e comumente observado em pacientes com o quadro de dengue grave (Green
e Rothman, 2006; Lee et al., 2006; Srikiatkhachorn et al., 2007; Binh et al., 2009;
Srikiatkhachorn, 2009). A infecção pelo DENV-2 levou a uma hemoconcentração
significativa em camundongos WT, como visto pela porcentagem de hematócrito
(Figura 12B). Aumento similar foi observado em camundongos CCR1
-/-
e CCR2
-/-
quando comparados ao controle. Apesar de apresentar hemoconcentração,
camundongos CCR4
-/-
infectados apresentam redução significativa neste parâmetro
quando comparados a camundongos WT infectados (Figura 12B).
Uma importante alteração hematológica observada neste modelo
experimental é um aumento significativo da porcentagem de granulócitos circulantes
em camundongos WT após infecção, com inicio no dia 4 e pico no dia 6. Neste
estudo, camundongos infectados pelo DENV-2 apresentam apreciável aumento na
porcentagem de granulócitos circulantes (Figura 12C). De forma interessante,
camundongos CCR1
-/-
e CCR2
-/-
infectados apresentam um aumento nesta
porcentagem de granulócitos quando comparados aos animais WT controles.
Entretanto, esta granulocitóse esta significativamente reduzida em animais CCR4
-/-
infectados (Figura 12C). A porcentagem de monócitos circulantes se apresenta
Resultados
84
discretamente reduzida em todos os animais infectados estudados e deficientes para
CCRs, em comparação a animais WT controles, um dado razoavelmente esperado
(dados não mostrados).
Embora os camundongos CCR1
-/-
,
CCR2
-/-
e CCR4
-/-
infectados apresentem
diferenças significativas na letalidade e nas alterações hematológicas decorrentes
da infecção pelo DENV-2, quando comparados a animais WT, incluindo proteção em
animais CCR2
-/-
e CCR4
-/-
,
não foi observada
alteração na carga viral presente no
fígado no dia 6 p.i. em animais WT e KO para os receptores em estudo (Figura 12D).
O fígado foi escolhido como órgão alvo para estudo do titulo viral, tanto por ser alvo
da doença durante a infecção experimental, gerando lesão, quanto pelo fato de
hepatócitos serem alvos clássicos do vírus, onde estes podem se replicar (Jessie et
al., 2004; Suksanpaisan et al., 2007; Souza et al., 2009; Conceicao et al., 2010).
Dados anteriores do grupo sugerem que a replicação viral no fígado e no baço
segue o mesmo perfil, com uma cinética bastante próxima, na maioria das vezes
independente do fenótipo em estudo (Souza et al., 2009)
Mesmo com as diferenças observadas durante a infecção nas curvas de
letalidade, perda de peso e parâmetro hematológicos analisados, não foi observada
diferenças entre os níveis basais de cada parâmetro entre camundongos não
infectados WT e KO.
Resultados
85
Figura 12. Alterações hematologicas e carga viral Após infecção pelo DENV-2 em
animais WT ou KO para receptores de quimiocinas. Analise hematológica foi feita no dia
6 p.i. para se avaliar alterações no número de plaquetas (A), porcentagem de hematócrito
(B) e porcentagem de granulócitos (C) no sangue de animais não infectados e infectados
WT e KO. Painel D: Carga viral avaliada no fígado de animais WT e KO no dia 6 p.i.
expressa como log de UFP/100 mg de tecido. Resultados foram expressos como média ±
EPM e são representativos de pelo menos 2 experimentos (n=5-6 animais). * P< 0.05, *** P
< 0.001 quando comparado a animais não infectados. # P < 0.05, ## P < 0.01 quando
comparado a animais WT infectados. NI: animais não infectados.
Resultados
86
4.3. Inflamação e lesão hepática
O fígado é um dos órgãos alvo afetados em casos severos de infecção pelo
dengue (Gubler, 1998; Suksanpaisan et al., 2007; Martina et al., 2009). A infecção
pelo DENV-2 no dia 6 p.i. resultou em um aumento significativo nos níveis séricos
das transaminases TGO e TGP em animais WT, marcadores de disfunção hepática
(Figura 13A e B). Granulócitos, notadamente neutrófilos, são ativados durante a
infecção pelo dengue e podem se acumular e contribuir para lesão em órgão alvos
(Juffrie et al., 2000). Existe um acúmulo significativo de neutrófilos no fígado e
também no baço de camundongos WT infectados, como avaliado pelos níveis
teciduais da enzima MPO (Figura 13C e D). Estas alterações patológicas foram
acompanhadas pelo aumento significativo das citocinas IL-6 e IFN-γ no fígado de
animais WT após infecção pelo DENV-2, citocinas pró-inflamatórias associadas à
infecção (Figura 14A e B).
Cortes histológicos de animais WT infectados mostraram alterações
representativas do fenótipo observado, incluindo congestão, focos de hemorragia,
degeneração de hepatócitos assim como necrose, levando a alterações patológicas
no parênquima hepático (Figura 15).
Em uma visão geral, animais CCR1
-/-
infectados apresentaram grau similar de
lesão quando comparados a animais WT, com discreto aumento na atividade de
MPO assim como nos níveis de IL-6 e IFN-γ no fígado (Figuras 13 e 14). Os cortes
histológicos não revelam diferenças apreciáveis (Figura 15). Camundongos CCR2
-/-
infectados também apresentaram níveis elevados de MPO, mas este aumento não
parece estar associado a dano hepático, uma vez que os níveis de transaminases
hepáticas encontram-se significativamente reduzidos (Figura 13). Estes achados
encontram-se associados tanto a uma menor concentração local de IL-6 e IFN-γ
além de menor lesão hepática avaliada pela histológica, com redução apreciável de
áreas de hemorragia e necrose (Figuras 14 e 15). De forma importante, o acúmulo
de neutrófilos nos tecidos, assim como os níveis de transaminases e citocinas
avaliadas encontram-se significativamente reduzidos em animais CCR4
-/-
infectados,
um achado consistente com a reduzida lesão tecidual observada no parênquima
hepático destes animais quando comparados a animais WT infectados.
Resultados
87
Figura 13. Niveis de transaminases e acúmulo de neutrofilos no tecido Após infecção
pelo DENV-2 em animais WT ou KO para receptores de quimiocinas. Animais WT e KO
foram infectados com 10DL
50
de DENV-2 e então sacrificados no dia 6 p.i para analise de
amostras de sangue e tecido. As transaminases TGO (A) e TGP (B) foram dosados no soro
de animais WT e KO, como marcadores de lesão hepatica. A atividade de MPO, como
índice para o acúmulo de neutrófilos no tecido, foi avaliada no baço e no fígado de animais
WT e KO. Resultados foram expressos como média ± EPM e são representativos de pelo
menos 2 experimentos (n=5-6 animais). ** P< 0.05, *** P < 0.001 quando comparado a
animais não infectados. # P < 0.05, ## P < 0.01, ###P<0.001 quando comparado a animais
WT infectados. NI: animais não infectados.
Resultados
88
Figura 14. Produção de citocinas no fígado após infecção pelo DENV-2 em animais WT
ou KO para receptores de quimiocinas. Animais WT e KO foram infectados com 10DL
50
de DENV-2 e então sacrificados no dia 6 p.i para analise de amostras de tecido. Produção
das citocinas IL-6 (A) e IFN-γ (B) em homogenato de figado foi avaliada por ELISA. Os
dados estão expressos em pg por 100 mg de tecido. Resultados foram expressos como
média ± EPM e são representativos de pelo menos 2 experimentos (n=5-6 animais). ** P<
0.05, *** P < 0.001 quando comparado a animais não infectados. # P < 0.05, ## P < 0.01,
quando comparado a animais WT infectados. NI: animais não infectados.
Resultados
89
Figura 15. Alterações histológicas no fígado após infecção pelo DENV-2 em animais
WT ou KO para receptores de quimiocinas. Animais WT e KO foram infectados com
10DL
50
de DENV-2 e então sacrificados no dia 6 p.i para analise de amostras de tecido.
Cortes histológicos corados com HE em animais infectados ou não mostram sinais de
congestão, hemorragia, degeneração de hepatócitos e necrose em animais WT, mas em
menor grau em animais CCR2
-/-
e CCR4
-/-
infectados. Cada corte apresentado no painel é
representativo de pelo menos 15 campos. Aumento: 400X.
Não infectado
Resultados
90
Os níveis das quimiocinas CCL2/JE, CCL3/MIP-1α, CCL5/RANTES e
CCL17/TARC foram também avaliadas em amostras de fígado de animais WT e
deficientes para os receptores para quimiocinas de interesse após infecção pelo
DENV-2. Com a exceção de CCL17, que não apresenta alterações significativas
após a infecção (dados não mostrados), houve um aumento significativo das
quimiocinas CCL2, CCL3 e CCL5 em animais WT, reforçando a importância do
sistema de quimiocinas no contexto da infecção pelo dengue (Figura 16A-C).
Animais CCR1
-/-
infectados apresentam níveis significativamente aumentados de
CCL3 em comparação ao grupo controle. Animais CCR2
-/-
apresentaram um discreto
aumento nos níveis de CCL2 e CCL5, dados consistentes com o aumento da
atividade de MPO no tecido. Entretanto, níveis das quimiocinas CCL2 e CCL5
encontram-se significativamente reduzidos no fígado de animais CCR4
-/-
(Figura 16).
Não foram observadas diferenças entre os níveis basais das
citocinas/quimiocinas avaliadas em animais não infectados WT e KO (dados não
mostrados).
4.4. Citocinas e quimiocinas na resposta sistêmica
Estudos anteriores demonstraram que as citocinas IL-6 e IFN-γ
apresentam
níveis sistêmicos elevados em pacientes com dengue ou em modelos experimentais
da infecção (Lin et al., 2000; Atrasheuskaya et al., 2003; Shresta, Kyle, Snider, et al.,
2004; Suksanpaisan et al., 2007; Bozza et al., 2008; Kyle et al., 2008; Fink et al.,
2009). Desta forma, animais WT infectados pelo DENV-2 apresentaram
concentrações bastante elevadas tanto de IL-6 como de IFN-γ no soro (Figura 17A e
B). Em camundongos CCR1
-/-
infectados
,
a concentração de IFN-γ foi similar a
encontrada em controles WT, embora haja um aumento significativo da produção de
IL-6 nestes animais. Em animais CCR2
-/-
e CCR4
-/-
infectados os níveis de IL-6 e
IFN-γ encontram-se significativamente reduzidos (Figura 17), o que vai de acordo
com o fenótipo de proteção contra a infecção descrito até o momento para estes
animais.
Resultados
91
Figura 16. Produção de quimiocinas no fígado após infecção pelo DENV-2 em animais
WT ou KO para receptores de quimiocinas. Animais WT e KO foram infectados com
10DL
50
de DENV-2 e então sacrificados no dia 6 p.i para analise de amostras de tecido.
Produção das quimiocinas CCL2/JE (A), CCL3/MIP-1α (B) e CCL5/RANTES (C) em
homogenato de fígado foi avaliada por ELISA. Os dados estão expressos em pg por 100 mg
de tecido. Resultados foram expressos como média ± EPM e são representativos de pelo
menos 2 experimentos (n=5-6 animais). *** P < 0.001 quando comparado a animais não
infectados. ## P < 0.01, ### P < 0.001, quando comparado a animais WT infectados. NI:
animais não infectados.
Figura 17. Produção de citocinas no soro após infecção pelo DENV-2 em animais WT
ou KO para receptores de quimiocinas. Animais WT e KO foram infectados com 10DL
50
de DENV-2 e então sacrificados no dia 6 p.i para analise de amostras de sangue. Produção
das citocinas IL-6 (A) e IFN-γ no soro foi avaliada por ELISA. Os dados estão expressos em
pg por ml. Resultados foram expressos como média ± EPM e são representativos de pelo
menos 2 experimentos (n=5-6 animais). **P< 0.01, *** P < 0.001 quando comparado a
animais não infectados. # P< 0.05, ## P < 0.01, ### P < 0.001, quando comparado a
animais WT infectados. NI: animais não infectados.
Resultados
92
Níveis de TNF-α foram avaliados no baço de animais infectados pelo DENV-2,
citocina demonstrada como importante fator envolvido na fisiopatologia da
infecção pelo dengue (Vitarana et al., 1991; Hober et al., 1993; Hober et al., 1996;
Atrasheuskaya et al., 2003), principalmente em termos sistêmicos. A produção de
quimiocinas de interesse neste estudo também foi avaliada a fim de se obter um
panorama conciso da resposta inflamatória sistêmica após infecção. Níveis de
outras citocinas no soro não foram avaliados por restrições relativas à quantidade de
amostra. O mesmo para o baço, onde em experimentos subseqüentes, analises por
citometria de fluxo neste órgão se fizeram necessárias. Entretanto as moléculas de
escolha são fatores já relativamente bem associados à infecção objeto de estudo.
Como visto na Figura 18A, os níveis de TNF-α estão significativamente
aumentados no baço de animais WT após a infecção experimental. De forma similar,
houve um aumento apreciável nos níveis de quimiocinas CCL2, CCL3, CCL5 e
CCL17 em amostras de baço de camundongos WT infectados (Figura 18B-E). Este
é também o primeiro relato da literatura a demonstrar a produção da quimiocina
CCL17/TARC na infecção pelo dengue, tanto em humanos como em modelos
experimentais. CCL2, CCL3, CCL5, além de TNF-α, encontram-se reduzidas no
baço de animais CCR4
-/-
infectados quando comparados a animais WT. Confirmando
o fenótipo de regulação negativa da resposta inflamatória após infecção neste grupo
de animais. Interessantemente, CCL17 apresenta níveis elevados nos animais
CCR4
-/-
infectados (Figura 18E)
,
o que corrobora a idéia de receptores de
quimiocinas como scavengers ou controladores de seus próprios ligantes em
condições patológicas (Cardona et al., 2008), fenômeno este observado para os
níveis de quimiocinas ligantes de receptores ausentes nos camundongos utilizados
no presente estudo. Os níveis de TNF-α foram similares aos encontrados em
camundongos CCR1
-/-
e CCR2
-/-
infectados quando comparados a camundongos
WT. Alterações menores mais significativas foram observadas no que diz respeito à
concentração de quimiocinas. Níveis de CCL3 encontram-se elevados no baço de
animais CCR1
-/-
infectados, enquanto níveis de CCL2 e CCL5 encontram-se
elevados no baço de animais CCR2
-/-
infectados, sempre quando comparados aos
níveis observados em animais WT. O maior aumento de CCL3 em animais CCR1
-/-
,
e de CCL2 e CCL5 em animais CCR2
-/-
podem explicar o acúmulo de neutrófilos no
baço (Figura 13D), mesmo que o fenótipo final, como para CCR2
-/-
,
não reflita a
resposta global de proteção contra a infecção.
Resultados
93
Figura 18. Produção de citocinas quimiocinas no baço após infecção pelo DENV-2 em
animais WT ou KO para receptores de quimiocinas. Animais WT e KO foram infectados
com 10DL
50
de DENV-2 e então sacrificados no dia 6 p.i para analise de amostras de tecido.
Produção da citocina TNF-α (A) e quimiocinas CCL2/JE (B), CCL3/MIP-1α (C) e
CCL5/RANTES (D) em homogenato de baço foi avaliada por ELISA. Os dados estão
expressos em pg por 100 mg de tecido. Resultados foram expressos como média ± EPM e
são representativos de pelo menos 2 experimentos (n=5-6 animais). *P< 0.05, *** P < 0.001
quando comparado a animais não infectados. # P< 0.05, ## P < 0.01, ### P < 0.001, quando
comparado a animais WT infectados. NI: animais não infectados.
Resultados
94
Já foi sugerido que, em determinadas respostas inflamatórias, neutrófilos
podem ser recrutados para o sitio inflamatório através de CCR1, CCR2 ou CCR5
(Cheng et al., 2001; Reichel et al., 2006; Furuichi et al., 2008). o foram
observadas diferenças entre os níveis basais das citocinas/quimiocinas avaliadas
em animais não infectados WT e KO (dados não mostrados).
4.5. Número e ativação de leucócitos no baço após infecção pelo DENV-2
Em seguida avaliamos no dia 6 p.i. o número e perfil de leucócitos no baço de
camundongos WT e deficientes para os receptores para quimiocinas em estudo
após a infecção pelo DENV-2. Em termos gerais, a infecção experimental levou a
um aumento significativo no número total de linfócitos CD3
+
CD4
+
e CD3
+
CD8
+
, além
de lulas NKT (CD3
+
DX5
+
) no baço de animais WT infectados quando comparados
a animais não infectados (Figura 19A, C e E). Embora haja redução no número total
de leucócitos, células T CD4+, CD8+ e NKT ativadas, como avaliado pela expressão
do marcador de ativação CD69, se encontram aumentadas no baço de
camundongos infectados (Figura 19B, D e F). Esta linfopenia decorrente da
infecção, esta provavelmente relacionada à saída e/ou recirculação de células no
baço em direção a outros órgãos (ex: fígado), um fenômeno comumente observado
no presente modelo experimental, assim como a internalização do TCR.
Perfil similar foi observado em camundongos CCR1
-/-
infectados, tanto para a
linfopenia como para o perfil de ativação, quando comparados a animais WT. Em
contraste, animais CCR2
-/-
e CCR4
-/-
infectados apresentam uma reversão parcial do
fenótipo observado em animais WT. Uma menor redução de células T CD8+, CD4+
e NKT, assim como um menor perfil de ativação, foram parâmetros
significativamente diferentes nestes animais (Figura 19).
Resultados
95
Figura 19. Leucócitos e perfil de ativação após infecção pelo DENV-2 em animais WT
ou KO para receptores de quimiocinas. Animais WT e KO foram infectados com 10DL
50
de DENV-2 e então sacrificados no dia 6 p.i. Leucócitos esplênicos foram marcados com
anticorpos específicos. Citometria de fluxo, de acordo com tamanho e granulosidade, foi
tomada como analise. O número absoluto das populações foi calculado em função do
número total de leucócitos. Linfócitos T CD3
+
CD4
+
(A) e CD3
+
CD8
+
(C) foram avaliados em
animais WT e KO infectados, assim como células CD3
+
DX5
+
NKT (E). O perfil de ativação
destes tipos celulares foi avaliado pela expressão de CD69 para células CD4
+
(B), CD8
+
(D),
e NKT (F). Resultados foram expressos como média ± EPM e são representativos de pelo
menos 2 experimentos (n=5-6 animais). *P < 0.05, ** P < 0.01, *** P < 0.001 quando
comparado a animais não infectados. # P< 0.05, ## P < 0.01, quando comparado a animais
WT infectados. NI: animais não infectados. MFI: Intensidade de fluorescência média.
Resultados
96
Em contraste à linfopenia observada essencialmente pela queda no número
de células T CD8+, CD4+ e NKT, a infecção pelo DENV-2 levou ao aumento de
células relacionadas à imunidade inata como NK (CD3
-
DX5
+
), macrófagos
(CD11b
+
F4/80
+
) e neutrófilos (CD11b
+
Ly6G
+
) no baço de animais WT (Figura 20A-
C). De forma similar aos achados anteriores, camundongos CCR1
-/-
infectados
apresentaram perfil celular semelhante ao observado em animais WT, com exceção
de um maior número de neutrófilos no baço. Os dados referentes à população de
neutrófilos no baço vão, inclusive, de acordo com os achados referentes à atividade
de MPO neste tecido (Figura 13). Camundongos CCR2
-/-
infectados apresentaram
diferenças discretas quanto ao número das células analisadas em relação a animais
WT, apesar de apresentarem uma significativa redução no número de macrófagos
(Figura 20B). Isto vai de acordo com o importante papel do receptor CCR2 no
recrutamento de monócitos/macrófagos (Mantovani, 1999; Zlotnik e Yoshie, 2000;
Locati et al., 2002). os camundongos CCR4
-/-
apresentaram redução dos 3 tipos
celulares aqui avaliados, corroborando o perfil de resposta linfocítica (Figura 19).
Não foram observadas diferenças no perfil de ativação de células NK (CD3
-
DX5
+
),
como avaliado por CD69 entre os grupos de camundongos estudados (dados não
mostrados). Como dado complementar, a ativação de macrófagos (CD11b
+
F4/80
+
),
avaliada pela expressão de CD86, apresenta aumento em animais WT infectados
mas se apresenta significativamente reduzida em camundongos CCR4
-/-
(dados não
mostrados), mais uma vez sugerindo um fenótipo pró-inflamatório reduzido neste
grupo de animais.
Resultados
97
Figura 20. Perfil de células NK, macrófagos e neutrófilos após infecção pelo DENV-2
em animais WT ou KO para receptores de quimiocinas. Animais WT e KO foram
infectados com 10DL
50
de DENV-2 e então sacrificados no dia 6 p.i. Leucócitos esplênicos
foram marcados com anticorpos específicos. Citometria de fluxo, de acordo com tamanho e
granulosidade, foi tomada como analise. O número absoluto das populações foi calculada
em função do mero total de leucócitos. Células NK CD3
-
DX5
+
(A), macrófagos
CD11b
+
F4/80
+
(B) e neutrófilos infiltrados CD11b
+
Ly6G
+
(C) foram avaliados em animais WT
e KO infectados. Resultados foram expressos como média ± EPM e o representativos de
pelo menos 2 experimentos (n=5-6 animais). *P < 0.05, ** P < 0.01, *** P < 0.001 quando
comparado a animais não infectados. # P< 0.05, ## P < 0.01, quando comparado a animais
WT infectados. NI: animais não infectados.
Resultados
98
OBJETIVO 2
PAPEL DELETÉRIO DAS CELULAS NKT INVARIANTES (iNKT) NA
PATOGÊNESE DA INFECÇÃO PELO VIRUS DA DENGUE
4.6. Ativação de células iNKT durante a infecção pelo DENV-2
Uma das importantes características das células iNKT é sua rápida ativação a
fim de iniciar sua participação na resposta imune inata e adaptativa. Perguntamos se
estas células participavam e tornavam-se mais ativadas na infecção experimental
pelo DENV-2 em camundongos WT. Como observado na Figura 21A, a freqüência e
o número absoluto (dados não mostrados) de células iNKT esplênicas permanecem
estáveis em comparação a animais WT controle (células tetrâmero CD1d carregado
com PBS-57
+
e TCRβ
+
) no dia 3 p.i., considerando-se o inicio da doença em termos
inflamatórios. Entretanto, uma queda de aproximadamente 50% na freqüência
destes tipos celulares no dia 5 p.i., característico da linfopenia observada e citada no
Objetivo 1. Esta redução na freqüência de células iNKT durante a infecção é
comumente observada a fenômenos de ativação dependente de TCR e também
decorrente da internalização do TCR (Parekh et al., 2005; Chiba et al., 2008; Kim et
al., 2008).
O dia 5 p.i foi escolhido para análise por citometria de fluxo no presente
trabalho em função do inóculo (3 vezes maior do que o inóculo utilizado no Objetivo
1, além de que foi o momento onde observamos sinais clínicos da doença grave
associado a uma maior taxa de letalidade para os camundongos em estudo. O dia 6
p.i. foi considerado, por exemplo, para a maioria das analises de mediadores
inflamatórios e histologia). Importante frisar, que, no presente modelo experimental,
uma evidente esplenomegalia observada em animais infectados, com aumento
do número de células no baço em relação a animais não infectados. Entretanto, em
diversos trabalhos do grupo, ao se observar diferenças apreciáveis entre animais
WT e deficientes para moléculas em estudo, mesmo havendo fenótipo de piora ou
mesmo de melhora em alguns casos, esta esplenomegalia e o aumento do número
de células parecem estar diretamente associados ao influxo de neutrófilos e
macrófagos, além de edema.
Resultados
99
A fim de se estudar o perfil de ativação de células iNKT, investigamos a
expressão de um marcador de ativação inicial em lulas linfocíticas, a molécula
CD69. Na Figura 21B, o nível de expressão de CD69 em células iNKT foi
significativamente aumentado no dia 5 p.i., não sendo observadas diferenças de
ativação no dia 3 p.i. De forma importante, células NK (CD5
-
NK1.1
+
) também
apresentaram a mesma cinética de ativação por CD69 (Figura 21B).
Durante infecções, células iNKT estão entre as primeiras lulas a produzir
citocinas que podem exercer efeitos diversos em células imunes e não-imunes
(residentes em geral, incluindo fibroblastos e células endoteliais)(Kim et al., 2008;
Tyznik et al., 2008). Desta forma, investigamos se células iNKT expressavam
citocinas comumente associadas ao fenótipo Th1 e/ou Th2, especificamente IFN-γ e
IL-4, durante o modelo de infecção experimental pelo dengue. Comparado a animais
controles não infectados, a infecção pelo DENV-2 levou a um aumento da freqüência
de células iNKT produtoras de IFN-γ, mas não de IL-4 (dados não mostrados) no dia
5 p.i. (Figura 22A). Em contraste, no dia 3 p.i. as células iNKT permanecem
negativas para a produção de IFN-γ, como avaliado por citometria de fluxo. De forma
similar, células NK também expressam IFN-γ intracelular no dia 5 p.i. (Figura 22B)
mas não no dia 3. Dados similares foram obtidos para células iNKT e NK isoladas do
fígado de animais WT infectados nos dias 3 e 5 p.i. (dados não mostrados).
Juntos estes dados sugerem que a infecção pelo DENV-2 leva a uma
ativação sistêmica de células iNKT no dia 5 p.i., momento este que precede o dia
onde a maioria dos animais apresentam mortalidade máxima, além de sinais clínicos
da doença grave, refletindo o pico da replicação viral no dia 6 p.i. (a ser discutido
posteriormente).
Resultados
100
Figura 21. Ativação de células iNKT durante a infecção pelo DENV-2. Animais WT foram
infectados com 30DL
50
de DENV-2 e então sacrificados nos dias 3 e 5 p.i. Leucócitos
esplênicos foram marcados com anticorpos específicos. Citometria de fluxo, de acordo com
tamanho e granulosidade, foi tomada como analise. Painel A: Freqüência de células iNKT
(Tetrâmero CD1d
+
TCRβ
+
) no baço de animais não infectados ou infectados com DENV-2.
Painel B: Expressão do marcador de superfície CD69 nas células iNKT ou NK (CD5
-
NK1.1
+
) marcadas nos dias 3 e 5 p.i. Histogramas de barras representam a expressão do marcador
em animais não infectados ou infectados pelo DENV-2 como expresso por MFI. Resultados
foram expressos como média ± EPM e são representativos de pelo menos 2 experimentos
(n=4 animais). ** P < 0.01 quando comparado a animais não infectados. NI: animais não
infectados ou mock. MFI: Intensidade de fluorescência média.
A
B
NK
NI
iNKT
Resultados
101
Figura 22. Produção de IFN-γ por células iNKT e NK durante a infecção pelo DENV-2.
Animais WT foram infectados com 30DL
50
de DENV-2 e então sacrificados nos dias 3 e 5 p.i.
Leucócitos esplênicos foram marcados com anticorpos específicos. Citometria de fluxo, de
acordo com tamanho e granulosidade, foi tomada como analise. Painel A: Produção de IFN-
γ intracelular por células iNKT esplênicas (Tetrâmero CD1d
+
TCRβ
+
) em animais não
infectados ou infectados com DENV-2. Populações definidas quando comparadas ao isotipo
controle. Painel B: Porcentagem de células iNKT ou NK (CD5
-
NK1.1
+
) marcadas nos dias
3 e 5 p.i. positivas para IFN-γ. Histogramas de barras representam a porcentagem de
populações positivas para a citocina em animais não infectados ou infectados pelo DENV-2.
Resultados foram expressos como média ± EPM e são representativos de pelo menos 2
experimentos (n=4-10 animais). *** P < 0.001 quando comparado a animais não infectados.
NI: animais não infectados ou mock.
A
B
NK
NI
iNKT
Resultados
102
4.7. Mortalidade e perda de peso em camundongos deficientes para células
iNKT (Jα18
-/-
) ou para CD1d.
Como citado anteriormente, o presente modelo constitui uma ótima
ferramenta para o estudo da imunopatologia da infecção pelo dengue dadas as
similaridades com os fenômenos observados na clinica (Atrasheuskaya et al., 2003;
Souza et al., 2009; Assuncao-Miranda et al., 2010). A trombocitopenia,
extravasamento vascular e exacerbação da resposta inflamatória sistêmica foram
previamente discutidos (Objetivo 1). O choque e letalidade associados à infecção,
eventualmente presentes na FHD/SCD em humanos, se torna a base do presente
grupo de estudos.
Para identificar um potencial papel de células iNKT no desenvolvimento e/ou
controle da imunopatologia, camundongos WT, Jα18
-/-
e CD1d
-/-
(deficientes em uma
molécula fundamental envolvida na apresentação de antígeno para NKTs) foram
infectados com uma dose de 30DL
50
da amostra adaptada de DENV-2 e
monitorados diariamente para avaliação da mortalidade e perda de peso associadas
a infecção. Como visto na Figura 23A, camundongos WT infectados apresentaram
rápida perda de peso, começando no dia 4 p.i., com todos os camundongos
sucumbindo a infecção entre os dias 6 e 7 p.i. De forma interessante, camundongos
deficientes para células iNKT (Jα18
-/-
) não apresentam perda de peso significativa e
sobrevivem até 22 dias Após a infecção (Figura 23A, p < 0.01.).
Para se comprovar o envolvimento de células iNKT na mortalidade associada
a infecção pelo DENV-2, camundongos Jα18
-/-
foram reconstituídos com células
iNKT purificadas do fígado de animais WT e então infectados com 30DL
50
de DENV-
2. Como observado na Figura 23B, apenas 40% dos animais Jα18
-/-
que receberam
células iNKT sucumbiram a infecção entre os dias 6 e 10 p.i quando comparados a
Jα18
-/-
não reconstituídos (p=0.0291), não havendo inclusive perda de peso
significativa. Importante ressaltar que esta reversão considerada parcial, e não
completa, pode ocorrer devido aos vários fatores que podem interferir nesta re-
população de células iNKT, incluindo órgãos alvo após a transferência e estado de
ativação, sem excluir apoptose.
Resultados
103
Figura 23. Variação do peso corporal e mortalidade induzida pelo DENV-2 em animais
WT e deficientes para iNKT (Jα18-/-). Painel A: Camundongos WT ou Jα18
-/-
do mesmo
sexo e idade foram infectados com 30DL
50
de DENV-2 e monitorados diariamente para
avaliação da mortalidade e perda de peso. À esquerda, perda de peso expressa como a
porcentagem de peso em comparação ao peso inicial do animal. À direita, porcentagem de
sobrevida de camundongos WT e Jα18
-/-
após infecção. Painel B: À esquerda, variação do
peso corporal e mortalidade em camundongos Jα18
-/-
reconstituídos ou não com células
iNKT (1x10
6
células/animal) 18 horas antes da infecção. À direita, porcentagem de sobrevida
de animais WT, Jα18
-/-
ou Jα18
-/-
-reconstituídos. Resultados para a perda de peso foram
expressos como média ± EPM. * p <0.05. Todos os dados são representativos de pelo
menos 2 experimentos (n=10-25 animais).
Resultados
104
Complementar a estes achados, camundongos deficientes para a molécula
CD1d apresentaram mortalidade e perda de peso similar a animais WT (P= 0,1053)
Após infecção pelo DENV-2 (Figura 24). Sugerindo que provavelmente o papel de
células vNKT é adicional ou antagônico ao desempenhado por células iNKT. Estes
últimos dados confirmam o fenótipo encontrado em animais Jα18
-/-
e sugere o
importante papel de células iNKT na resposta a infecção, um achado inédito no que
diz respeito à associação das células iNKT com a fisiopatologia do dengue.
4.8. Camundongos Jα18
-/-
desenvolvem doença menos grave após a infecção
A hemoconcentração, importante alteração hematológica associada ao
extravasamento vascular decorrente da inflamação, foi observada tanto em
camundongos WT e Jα18
-/-
entre os dias 4 e 6 p.i. a fim de se validar o modelo e
identificar o fenótipo protetor anteriormente observado em Jα18
-/-
. De forma
importante, camundongos Jα18
-/-
apresentaram redução importante da
hemoconcentração no dia 6 p.i., momento de maior gravidade na infecção
experimental, associado à grande mortalidade e morbidade. O hematócrito
permanece em níveis basais nestes animais em todos os pontos avaliados. (Figura
25). Considerando-se a trombocitopenia e sua importante correlação com a clinica
em pacientes infectados, observamos na Figura 26A uma queda significativa no
número de plaquetas em camundongos WT e Jα18
-/-
no dia 5 p.i., embora no grupo
de animais deficientes para iNKT esta queda foi menos expressiva.
A freqüência de granulócitos e outras populações de células circulantes
tendem a se alterar durante a infecção pelo dengue, podendo inclusive estar
associada tanto com leucopenia como com leucocitose (Gubler, 1998; Green e
Rothman, 2006). Camundongos WT infectados apresentam aumento significativo na
freqüência de granulócitos quando comparados a animais controle. Este aumento
não foi observado no sangue de animais Jα18
-/-
durante a infecção pelo DENV-2
(Figura 26A). Não foram observadas diferenças apreciáveis nas freqüências de
monócitos e linfócitos entre camundongos WT e Jα18
-/-
infectados (Figura 26B).
Não foram observadas diferenças entre os veis basais dos parâmetros
hematológicos avaliados em animais não infectados WT e KO (dados não
mostrados).
Resultados
105
Figura 24. Variação do peso corporal e mortalidade induzida pelo DENV-2 em animais
WT e deficientes para CD1d. Camundongos WT ou CD1d
-/-
do mesmo sexo e idade foram
infectados com 30DL
50
DENV-2 e monitorados diariamente para avaliação da mortalidade e
perda de peso. No alto: porcentagem de sobrevida de camundongos WT e Jα18
-/-
após
infecção. Embaixo: A perda de peso foi expressa como a porcentagem de peso em
comparação ao peso inicial do animal.
Figura 25. Cinética de hemoconcentração Após infecção pelo DENV-2 em animais WT
e Jα18-/-. Analise hematológica foi feita nos dias 4, 5 e 6 p.i. com 30 LD
50
de DENV-2 para
se avaliar alterações na porcentagem de hematócrito no sangue de animais não infectados
e infectados WT e KO. Resultados foram expressos como média ± EPM e são
representativos de pelo menos 2 experimentos (n=5-6 animais). *** P < 0.001. NI: animais
não infectados.
Resultados
106
A
B
Plaquetas
Granulocitos
Monocitos Linfocitos
Monocitos Linfocitos
Porcentagem
Porcentagem
Porcentagem
10
3
/ µl de sangue
A
B
Plaquetas
Granulocitos
Monocitos Linfocitos
Monocitos Linfocitos
Porcentagem
Porcentagem
Porcentagem
10
3
/ µl de sangue
Figura 26. Alterações hematológicas após infecção pelo DENV-2 em animais WT e
Jα18-/-. Painel A: Analise hematológica foi feita no dia 5 p.i. com 30 LD
50
de
DENV-2 para
se avaliar alterações no número de plaquetas (A) e porcentagem de granulócitos (B) no
sangue de animais não infectados e infectados WT e KO. Painel B: Porcentagem de
monócitos (C) e linfócitos (D) no sangue de animais não infectados e infectados WT e KO.
Resultados foram expressos como média ± EPM e são representativos de pelo menos 2
experimentos (n=6-11 animais). * p < 0.05, ** p < 0.01, *** p < 0.001. mock: animais não
infectados. Branco: WT. Preto: DENV-2 dia 5 p.i..
Resultados
107
O próximo passo foi associar a redução de mortalidade e alterações
hematológicas observadas em animais Jα18
-/-
com uma possível alteração na forte
resposta inflamatória associada à infecção. Como visto na Figura 27, os níveis
séricos de IL-6 e IFN-γ se encontram bastante aumentados entre os dias 4 e 6 p.i.
em animais WT. De forma importante, observamos uma redução significativa do
nível destas citocinas no soro de animais Jα18
-/-
, especialmente IL-6, sugerindo uma
menor resposta inflamatória sistêmica frente à infecção
Para se visualizar a extensão da lesão tecidual decorrente da infecção grave
pelo dengue, o fígado de animais WT e Jα18
-/-
foi analisado no dia 6 p.i. A coloração
por HE revelou claros sinais de hemorragia e degeneração de hepatócitos por todo o
parênquima hepático. Congestão e focos de necrose foram também evidenciados.
Nos animais Jα18
-/-
infectados estas alterações histopatológicas foram
significativamente menos evidentes, com apenas algumas regiões de hemorragia e
ainda algum infiltrado inflamatório (Figura 28). Em conjunto estes dados sugerem
que células iNKT contribuem significativamente para a mortalidade, resposta
inflamatória sistêmica e dano tecidual associados a infecção experimental pelo
DENV-2.
4.9. Camundongos Jα18
-/-
apresentam menor produção de citocinas pro-
inflamatórias
Em face da cytokine storm, ou produção exacerbada de citocinas observada
durante a infecção pelo dengue, normalmente correlacionada com a gravidade da
doença em pacientes (Martina et al., 2009), investigamos a produção de citocinas
pro-inflamatórias no baço de animais WT e Jα18
-/-
infectados. Como visto na Figura
29, foi observado um aumento significativo da produção das citocinas IL-6, IFN-γ e
IL-12p40 em animais WT entre os dias 4 e 6 p.i., importantes citocinas também
envolvidas na resposta dirigida por iNKT em infecções (Matsumoto et al., 2000;
Nagarajan e Kronenberg, 2007). O mesmo foi observado para o nível de expressão
de IFN-γ e IL-12p40 por QPCR (dados não mostrados).
Resultados
108
Figura 27. Produção de citocinas no soro após infecção pelo DENV-2 em animais WT
e Jα18-/-. Animais WT e KO foram infectados com 30DL
50
de DENV-2 e então sacrificados
entre os dias 4 e 6 p.i para analise de amostras de sangue. Produção das citocinas IL-6 e
IFN-γ no soro foi avaliada por ELISA. Os dados estão expressos em pg por ml. Resultados
foram expressos como média ± EPM e são representativos de pelo menos 2 experimentos
(n=6-11 animais).
* p < 0.05, ** p < 0.01.
mock: animais não infectados. Branco: WT.
Cinza: KO.
40X
20X
40X
20X
Figura 28. Alterações histológicas no fígado após infecção pelo DENV-2 em animais
WT e Jα18-/-. Animais WT e KO foram infectados com 30DL
50
de DENV-2 e então
sacrificados no dia 6 p.i para analise de amostras de tecido. Cortes histológicos corados
com HE em animais infectados ou não mostram sinais de congestão, hemorragia,
degeneração de hepatócitos e necrose em animais WT, mas em menor grau em animais
Jα18
-/-
. Cada corte apresentado no painel é representativo de pelo menos 15 campos.
Aumento: 20X e 40X. mock: animais não infectados.
Resultados
109
pg por 100 mg de baço
pg por 100 mg de baço
pg por 100 mg de baço
pg por 100 mg de baço
pg por 100 mg de baço
pg por 100 mg de baço
pg por 100 mg de baço
pg por 100 mg de baço
Figura 29. Produção de citocinas e quimiocinas no baço após infecção pelo DENV-2
em animais WT e Jα18-/-. Animais WT e KO foram infectados com 30DL
50
de DENV-2 e
então sacrificados entre os dias 4 e 6 p.i para analise de amostras de tecido. Produção da
citocina IL-6, IFN-γ, IL-12p40, CXCL1/KC em homogenato de baço foi avaliada por ELISA.
Os dados estão expressos em pg por 100 mg de tecido. Resultados foram expressos como
média ± EPM e são representativos de pelo menos 2 experimentos (n=4-8 animais).
* p <
0.05, ** p < 0.01, *** p < 0.001.
mock: animais não infectados. Branco: WT. Cinza: KO.
Resultados
110
De forma similar, a quimiocina CXCL1/KC é produzida em grandes
concentrações no baço de animais WT infectados. Análoga da IL-8 humana e
importante quimiocina produzida durante a infecção pelo dengue (Juffrie et al., 2000;
Medin et al., 2005), KC é associada ao recrutamento e acúmulo de neutrófilos para
órgãos alvo, este ultimo fenômeno observado em nosso modelo experimental
(Objetivo 1).
Em paralelo ao exposto, camundongos Jα18
-/-
apresentaram níveis
significativamente reduzidos de todas as citocinas avaliadas entre os dias 4 e 6 p.i.
(Figura 29). Além do mais, níveis de TNF-α e IL-1β, apesar de apresentarem perfil
de produção irregular, tendem a uma redução nestes animais, especialmente TNF-α
nos dias associados à doença grave (Figura 30). Não foram observadas diferenças
significativas para as citocinas IFN-γ e IL-12p40 no fígado de animais WT e Jα18
-/-
infectados, fator muitas vezes relacionado ao alto background encontrado durante a
infecção, normalmente em função da acidez e metabolismo do órgão lesionado,
mascarando diferenças sutis possivelmente encontradas somente em nível
transcricional (Figura 31). Além do mais, não foram observadas diferenças entre os
níveis basais das citocinas/quimiocinas avaliadas em animais não infectados WT e
KO (dados não mostrados).
Em conjunto estes dados sustentam a relevância de células iNKT em mediar
parte importante da exacerbação da resposta inflamatória associada a infecção via
um cytokine storm.
Resultados
111
pg por 100 mg de baço
pg por 100 mg de baço
pg por 100 mg de baço
Figura 30. Produção de citocinas no baço após infecção pelo DENV-2 em animais WT
e Jα18-/-. Animais WT e KO foram infectados com 30DL
50
de DENV-2 e então sacrificados
entre os dias 4 e 6 p.i para analise de amostras de tecido. Produção da citocina TNF-α e IL-
1β em homogenato de baço foi avaliada por ELISA. Os dados estão expressos em pg por
100 mg de tecido. Resultados foram expressos como média ± EPM e são representativos de
pelo menos 2 experimentos (n=4-8 animais).
* p < 0.05.
mock: animais não infectados.
Branco: WT. Cinza: KO.
Figura 31. Produção de citocinas no fígado após infecção pelo DENV-2 em animais WT
e Jα18-/-. Animais WT e KO foram infectados com 30DL
50
de DENV-2 e então sacrificados
entre os dias 4 e 6 p.i para analise de amostras de tecido. Produção da citocina IFN-γ e IL-
12p40 em homogenato de fígado foi avaliada por ELISA. Os dados estão expressos em pg
por 100 mg de tecido. Resultados foram expressos como média ± EPM e são
representativos de pelo menos 2 experimentos (n=4-8 animais).
* p < 0.05, ** p < 0.01.
mock: animais não infectados. Branco: WT. Cinza: KO.
Resultados
112
4.10. Redução da ativação de células NK e neutrófilos durante a infecção pelo
DENV-2 em camundongos Jα18
-/-
A ativação in vivo de células iNKT desencadeia uma estimulação seqüencial,
e as vezes expansão, de varias células componentes da resposta imune, incluindo
NK, neutrófilos e linfócitos T convencionais, importantes na resposta a infecção pelo
dengue (Liu et al., 2002; Van Dommelen e Degli-Esposti, 2004; Chau et al., 2008).
Desta forma confirmamos o impacto destas lulas durante a infecção experimental
pelo DENV-2 no dia 5 p.i e conseqüente relação com a ausência de células iNKT.
Como visto na Figura 32, a infecção pelo DENV-2 foi associada com a
redução na freqüência de células NK (Figura 32A) no baço de animais WT. De forma
contraria, a freqüência desta população não foi significativamente alterada em
animais Jα18
-/-
quando comparados a animais não infectados. No que diz respeito
ao perfil de ativação durante a infecção, células NK de animais WT infectados
apresentam maior expressão da molécula CD69 em comparação às células de
animais Jα18
-/-
. Além do mais, a expressão de granzima B (Figura 32B) e CD107α
(dados não mostrados) em células NK de animais WT encontram-se
significativamente aumentada em relação a animais Jα18
-/-
. As duas moléculas são
reconhecidamente importantes na resposta celular citotóxica.
Células NK do baço de camundongos WT infectados positivamente marcadas
para IFN-γ estão significativamente aumentadas no dia 5 p.i., enquanto este
fenômeno foi reduzido em camundongos Jα18
-/-
(Figura 32B).
A Figura 32C mostra que o acúmulo de neutrófilos no baço de animais WT foi
significativamente aumentado em decorrência da infecção pelo DENV-2 5 dias p.i..
Animais Jα18
-/-
apresentam níveis similares ao de animais não infectados. Em
termos de ativação, animais WT infectados expressam maior nível de ativação de
ativação, como observado pelo marcador CD62L (L-selectina, onde níveis menores
representam maior ativação ou células já transmigradas). Neutrófilos de animais
Jα18
-/-
apresentam perfil de ativação de neutrófilos similar ao de animais não
infectados, pelo menos termos de expressão de CD62L.
Resultados
113
Porcentagem
Neutrofilos
C
Porcentagem
Neutrofilos
Porcentagem
Neutrofilos
C
Figura 32. Porcentagem e ativação de células NK durante a infecção pelo DENV-2 em
animais WT e J
α
18-/-.
Animais WT e KO foram infectados com 30DL
50
de DENV-2 e então
sacrificados nos dia 5 p.i. Leucócitos esplênicos foram marcados com anticorpos
específicos. Citometria de fluxo, de acordo com tamanho e granulosidade, foi tomada como
analise.
Painel A
: Freqüência de células NK (CD5
-
NK1.1
+
) no baço de animais não
infectados ou infectados com DENV-2 e expressão do marcador de superfície CD69.
Painel
B:
Expressão de Granzima B e porcentagem de células positivas para IFN-γ nas células NK
(CD5
-
NK1.1
+
) marcadas no dia 5 p.i.
Painel C
: Freqüência de neutrofilos (CD11c
+
Ly6G
+
)
no baço de animais não infectados ou infectados com DENV-2 e expressão do marcador de
superfície CD62L. Histogramas de barras representam a expressão do marcador em
animais WT ou KO infectados pelo DENV-2 como expresso por MFI ou porcentagem.
Resultados foram expressos como média ± EPM e são representativos de pelo menos 2
experimentos (n=3-8 animais). * p < 0.05, ** p < 0.01, *** p < 0.001. mock: animais não
infectados.
MFI
: Intensidade de fluorescência média.
Branco
: mock.
Preto
: DENV-2.
Resultados
114
A ativação de linfócitos T CD8
+
and CD4
+
tem sido comumente associada a
severidade da infecção pelo dengue (Chau et al., 2008), além de que em nosso
modelo experimental esta associação foi também demonstrada no Objetivo 1.
Não observamos diferenças na porcentagem de células T CD8
+
apesar de
haver uma redução significativa na porcentagem de células T CD4
+
após a infecção
pelo DENV-2 no dia 5 p.i. (Figura 33). Não houve diferenças entre as porcentagens
destas populações celulares para camundongos WT e Jα18
-/-
. Entretanto, linfócitos T
CD8
+
e CD4
+
apresentam elevada expressão de CD69 em camundongos WT
infectados no dia 5 p.i. De forma importante, esta ativação é significativamente
menos pronunciada em animais Jα18
-/-
(Figura 33).
Como nota, é importante ressaltar que algumas variações encontradas nas
porcentagens ou no perfil de certas populações aqui estudadas podem diferir
daquelas apresentadas no Objetivo 1, tanto pelo inóculo utilizado como pelo ponto
escolhido para avaliação. Estas diferenças foram estratégias escolhidas em função
das hipóteses avaliadas. De qualquer forma a mensagem segue o mesmo sentido
no que diz respeito à relevância destes tipos celulares nos dois estudos
componentes da presente tese.
Os dados aqui apresentados mostram uma menor ativação geral de células
da imunidade inata (NK e neutrófilos) e também de células da resposta adaptativa
na ausência de células iNKT durante a infecção experimental pelo DENV-2.
Apresentamos aqui um importante papel cooperativo entre estas populações
celulares durante a infecção experimental.
Resultados
115
Células T CD4+
Células T CD8+
Porcentagem
Porcentagem
Células T CD4+
Células T CD8+
Porcentagem
Porcentagem
Figura 33. Porcentagem e ativação de linfócitos T durante a infecção pelo DENV-2 em
animais WT e Jα18-/-. Animais WT e KO foram infectados com 30DL
50
de DENV-2 e então
sacrificados nos dia 5 p.i. Leucócitos esplênicos foram marcados com anticorpos
específicos. Citometria de fluxo, de acordo com tamanho e granulosidade, foi tomada como
analise. Porcentagem de linfócitos T CD4+ (CD3
+
CD4
+
) e T CD8+ no baço de animais não
infectados ou infectados com DENV-2 e expressão do marcador de superfície CD69.
Histogramas de barras representam a expressão do marcador em animais WT ou KO
infectados pelo DENV-2 como expresso por MFI. Resultados foram expressos como média
± EPM e são representativos de pelo menos 2 experimentos (n=3-8 animais). * p < 0.05, ** p
< 0.01, *** p < 0.001. mock: animais não infectados. MFI: Intensidade de fluorescência
média. Branco: mock. Preto: DENV-2.
Resultados
116
4.11. Relação entre células iNKT e carga viral em camundongos infectados
pelo DENV-2
Como discutido até o momento, camundongos Jα18
-/-
apresentam doença
branda, além menor resposta inflamatória sistêmica e dano tecidual após infecção
experimental pelo DENV-2. Perguntamo-nos então se células iNKT contribuiriam
para a resposta do hospedeiro contra o vírus a infecção, como avaliado pela carga
viral em órgãos alvo.
Como evidenciado na Figura 34, foram observados títulos virais significativos
no baço e fígado de camundongos WT no dia 6 p.i. No dia 4 p.i. é possível
detectar títulos virais nestes mesmos órgãos. Entretanto, a carga viral no fígado de
camundongos Jα18
-/-
infectados é significativamente menor do que a observada em
camundongos, tanto no dia 4 como no dia 6, representando em média 8.4 x 10
2
UFP/100 mg de tecido quando comparada a de camundongos WT (4.1 x 10
4
UFP/100 mg de tecido) no momento mais tardio da doença. Embora não significativa
no dia 6, a carga viral apresenta tendência a redução no baço de camundongos
Jα18
-/-
em comparação a animais WT (3.6 x 10
4
contra 1.8 x 10
5
UFP/100 mg de ,
respectivamente), pelo menos no tempo escolhido. No dia 4 p.i, entretanto,
camundongos Jα18
-/-
apresentam menor carga viral quando comparados a animais
WT (P=0.0139).
Assim, em nosso modelo experimental, a deficiência em células iNKT não
resulta em disfunção do clearance viral durante a infecção, mas, ao contrario, leva a
uma redução da carga viral em órgãos alvo da doença, como o fígado. Isto parece
estar associado a eventos iniciais, uma vez que no dia 4 p.i. o clearance em animais
Jα18
-/-
se mostra eficiente. Isto sugere que, neste modelo de infecção, células iNKT
não somente favorecem a resposta inflamatória sistêmica como também a
replicação viral. Fenômeno este que pode ser associado direta ou indiretamente com
a exacerbação da resposta inflamatória, o que culminaria em uma resposta
deficiente do hospedeiro ou falência, ao contrario do que se preconiza
freqüentemente em doenças inflamatórias de origem infecciosa. Considerando que
animais Jα18
-/-
não sucumbem a doença como animais WT, mecanismos
moleculares e celulares que medeiam a relação das células iNKT com o clearance
viral, principalmente em momentos anteriores ao choque hemorrágico, merecem
estudos mais aprofundados.
Resultados
117
Figura 34. Carga viral no baço e fígado de camundongos WT e Jα18-/- após infecção
pelo DENV-2. Animais WT e KO foram infectados com 30DL
50
de DENV-2 e então
sacrificados nos dias 4 e 6 p.i para processamento das amostras de tecido e obtenção dos
títulos virais em células LLC-MK2. Os dados estão expressos em log de UFP (unidades
formadoras de placas) por 100 mg de tecido. Resultados foram expressos como a média
geométrica e são representativos de pelo menos 2 experimentos (n=5-10 animais). Baço: #
P=0.0139. Figado: #P=0,0159, *P=0,0026.
Resultados
118
4.12. Efeitos do tratamento com αGAL-CER sobre a mortalidade e parâmetros
hematológicos durante a infecção com DENV-2
Após demonstrarmos que a ausência de células iNKT leva a uma redução da
resposta inflamatória associada a infecção pelo DENV-2 e conseqüentemente menor
mortalidade e carga viral, resolvemos investigar o efeito da ativação destas células
in vivo. Para tanto, grupos de animais WT foram tratados com o glicolípide αGAL-
CER 1 dia antes da infecção (pré-tratamento) ou 2 dias depois da infecção (pós-
tratamento) em dose única. Apesar de estatisticamente significativas (P<0.05), tanto
o pré como o pos tratamento com αGAL-CER (2 µg/animal) levaram a pequenas
diferenças na letalidade e perda de peso, de aproximadamente 1 dia a mais de
sobrevida e menor perda de peso associada a infecção experimental em
camundongos WT (Figura 35A). Na abordagem de pós-tratamento/terapêutica, o
atraso observado para a mortalidade não refletiu em redução das alterações
hematológicas associadas à doença no dia 6 p.i., avaliado pela contagem de
plaquetas e porcentagem de hematócrito e granulócitos (Figura 35B). O tratamento
com αGAL-CER em animais WT não infectados não leva a perda de peso ou
alterações hematológicas (dados não mostrados).
No que diz respeito à carga viral, não foram observadas diferenças quanto
aos títulos encontrados no fígado e baço de animais WT e Jα18
-/-
nos dias 4 p.i.
(dados não mostrados) e no dia 6 p.i. (Figura 36)
.
Apesar de intrigantes, estes dados
sugerem que a ativação artificial de células iNKT durante a infecção não interfere na
progressão da doença, onde se esperaria uma possível exacerbação baseados nos
resultados apresentados até o momento. Tais fatos reforçam a idéia de que a
ativação natural de células iNKT é multifatorial e progressiva, dependendo de
componentes que parecem não ser disponibilizados somente com a ativação via
αGAL-CER/CD1d, como a produção diferencial de citocinas e a necessidade de a
presença e/ou ativação de certas populações celulares.
Resultados
119
Figura 35. Mortalidade, perda de peso e hematologia em camundongos WT tratados
com αGal-Cer e infectados com DENV-2. Painel A: Camundongos WT ou WT+αGal-Cer
(2 µg/animal), passando por pré (1 hora antes da infecção) ou pós-tratamento (2 dias p.i.),
do mesmo sexo e idade, foram infectados com 30DL
50
DENV-2 e monitorados diariamente
para avaliação da mortalidade e perda de peso. Painel A: No alto, porcentagem de
sobrevida de camundongos WT ou tratados com αGal-Cer. Embaixo, perda de peso
expressa como a porcentagem de peso em comparação ao peso inicial do animal.
Resultados para a perda de peso foram expressos como média ± EPM. Todos os dados são
representativos de pelo menos 2 experimentos (n=10-15 animais). Painel B: Analise
hematológica foi feita no dias 6 p.i. em animais WT infectados com 30DL
50
DENV-2 e pós-
tratados com 2µg de αGal-Cer (2 dias p.i.) para se avaliar alterações na contagem de
plaquetas e porcentagem de hematócrito e granulócitos no sangue de animais infectados
WT e tratados. Resultados foram expressos como média ± EPM e são representativos de
pelo menos 2 experimentos (n=5-6 animais). *** P < 0.001. NI: animais não infectados.
Resultados
120
Figura 36. Carga viral no baço e fígado de camundongos WT tratados com αGal-Cer e
infectados com DENV-2. Camundongos WT ou WT+αGal-Cer (2µg/animal) passando por
pós-tratamento (2 dias p.i.) foram infectados com 30DL
50
de DENV-2 e então sacrificados no
dia 6 p.i para processamento das amostras de tecido e obtenção dos títulos virais em
células LLC-MK2. Os dados estão expressos em log de UFP (unidades formadoras de
placas) por 100 mg de tecido. Resultados foram expressos como a média geométrica e são
representativos de pelo menos 2 experimentos (n=5-6 animais).
V. DISCUSSÃO
Discussão
5. Discussão
No presente trabalho investigamos o papel desempenhado pelos receptores
para quimiocinas da família CC, especificamente CCR1, CCR2 e CCR4, no contexto
da infecção experimental pelo Dengue vírus, sugerindo que estes receptores
desempenham papéis distintos na resposta inflamatória associada à infecção (i.e.
maior relação com a resposta inflamatória sistêmica e/ou com a resposta inflamatória
associada ao dano hepático). Além do mais, investigamos em paralelo o papel de
células iNKT neste mesmo modelo experimental, sugerindo que estas células
desempenham papel fundamental na progressão da doença, especialmente por
estarem associadas a produção maciça de mediadores inflamatórios, provavelmente
contribuindo para o dano tecidual e levando a falência do hospedeiro. Além do
mais, apesar de não demonstrado experimentalmente, receptores como CCR2 e
CCR4 podem estar envolvidos neste fenômeno, contribuindo para o menor
recrutamento e ativação de células iNKT neste modelo. O presente trabalho abre
portas para duas frentes de intervenção terapêutica a serem desenvolvidas: inibição
de receptores de quimiocinas e antagonismo/inibição de células iNKT.
Mais do que isso, esta tese aporta informações até então pouco discutidas em
termos práticos, devido essencialmente a ausência de modelos experimentais
viáveis, como o envolvimento de quimiocinas, import antes marcadores da resposta
inflamatória em doenças infecciosas, e sua associação com mortalidade e dano
tecidual, assim como células da resposta imune e sua relação com a produção de
mediadores e conseqüente contribuição para dano tecidual. O advento de um
modelo murino imunocompetente serviu como base para a fundamentação deste
estudo e tende a ser a melhor ferramenta para esclarecer minuciosamente os
diversos aspectos celulares e moleculares envolvidos na resposta ao vírus da
dengue em vertebrados.
No que diz respeito aos receptores para quimiocinas CC avaliados, nosso
maiores achados podem ser resumidos da seguinte maneira: 1) O receptor CCR1
parece não possuir um papel fundamental na patogêne se da infecção experimental
grave em camundongos; 2) o receptor CCR2 parece contribuir para a lesão hepática
associada à infecção pelo dengue, o que se refletiu em menor ativação leucocitária e
menor mortalidade em camundongos CCR2
-/-
. Entretanto não observamos
diferenças apreciáveis na resposta inflamatória sistêmica associada à infecção (i.e.
122
Discussão
citocinas/quimiocinas no baço) e 3) o receptor CCR4 também contribui para a
patogênese da infecção experimental pelo dengue e é relevante para o
dano hepático associado a infecção assim como para a res posta inflamatória
sistêmica. Menor ativação leucocitária global e menor mortalidade foram marcantes
em animais CCR4
-/-
.
Além do importante papel desempenhado por quimiocinas em doenças
infecciosas e o interesse emergente em se compreender e encontrar alvos
moleculares e celulares que possam servir como pontos de intervenção terapêutica
na infecção pelo dengue, o desenvolvimento de um modelo experimental que reflita a
FHD/SCD se faz necessário e permite maiores abordagens experimentais sobre o
assunto.
Os pontos avaliados para o estudo da infecção experimental pelo dengue
vírus, em geral entre os dias 4 e 6 p.i., estão de acordo com a dinâmica da infecção
encontrada em humanos, coincidindo com o momento em que estes procuram por
ajuda médica, seja na FD ou na FHD (Gibbons e Vaughn, 2002; Green e Rothman,
2006; Martina et al., 2009). Além do mais, o conhecimento prévio dos mecanismos
envolvidos em síndromes com choque associado, como SIRS e sepse, podem
contribuir para a elucidação e desenvolvimento de estratégias experimentais para o
controle da resposta inflamatória exacerbada, o que gera os maiores problemas de
saúde publica relacionados a infecção pelo dengue. Antes de tudo estamos lidando
com uma resposta inflamatória sistêmica multifatorial e com mecanismos de
desencadeamento e resolução praticamente desconhecidos.
O receptor CCR1 é amplamente expresso em populações tanto monocíticas e
como não-monocíticas (Murphy, 1994; Baggiolini, 199 8; Locati et al., 2002).
Ligantes para CCR1, como CCL3/MIP-1α e CCL4/ MIP-1β, são encontrados em
grandes concentrações no plasma de pacientes infectados pelo DENV, podendo
haver associação com a severidade da doença (Spain-Santana et al., 2001; Bozza et
al., 2008; Sierra et al.). Consistente com estes achados, níveis de CCL3/MIP-1α
estavam aumentados no baço e fígado de animais WT infectados pelo DENV-2.
Entretanto, observamos que o curso da infecção em animais CCR1
-/-
foi bastante
similar ao observado em camundongos WT, sem diferenças na letalidade ou perda
de peso. De forma interessante, a produção de CCL3/MIP-1α estava aumentada no
baço e fígado de animais CCR1
-/-
infectados. Isto vai de acordo com a idéia de
que receptores para quimiocinas funcionam como importantes moduladores da
123
Discussão
concentração de quimiocinas em tecidos inflamados, onde são capazes de
seqüestrar seus ligantes (ditos “ scavengers”) e assim reduzir esta concentração
(Cardona et al., 2008).
Uma vez que populações que expressam o receptor CCR1, como linfócitos e
células NKT, não apresentam freqüência e ativação diferentes das observadas
em animais WT após a infecção, o papel de células da imunidade inata, como NK e
neutrófilos, deve ser levado em consideração. Neste sentido, macrófagos parecem
desempenhar também um papel importante, uma vez que o acúmulo/ativação desta
população no baço de animais CCR1
-/-
esta aumentada em comparação a animais
WT, o que pode contribuir de forma importante para a produção de citocinas e
quimiocinas em sinergismo com neutrófilos, também aumentados neste órgão. Os
níveis de CCL2/JE estão significativamente aumentad os no baço de animais CCR1
-/-
, o que corrobora esta hipótese.
Embora os níveis de CCL3 estejam aumentados no pico de gravidade deste
modelo experimental, este achado não se relaciona diretamente com maior
letalidade, carga viral e acúmulo linfocitico em órgãos alvo através do receptor
CCR1. De forma complementar, a quimiocina CCL3 pode estar envolvida
indiretamente no recrutamento de neutrófilos, mecanismo já descrito em modelos de
sepse e que é dependente de uma cascata de fatores quimiotáticos (Ramos et al.,
2006). Já foi demonstrado também que CCL3/MIP-1 α pode, através dos receptores
CCR5 e CCR3, podem contribuir para o recrutamento e ativação de neutrófilos
em lesões isquêmicas e na inflamação sistêmica decorrente da infecção pelo
HIV (Jan et al., 2006; Reichel et al., 2006). Níveis elevados de CCL3 podem
também ativar outro receptor importante para esta quimiocina: CCR5. Especialmente
na infecção por outro flavivirus, a febre do oeste do Nilo (WNV), este receptor possui
um papel fundamental na patogênese da doença (Lim et al., 2006; Lim et al., 2008;
Lim et al., 2010). Não investigamos aqui o papel do receptor CCR 5 no presente
modelo experimental (Guabiraba et al, em preparação) mas sugerimos aqui que o
camundongo CCR1
-/-
não apresenta fenótipo diferente quando comparado a animais
WT infectados com um inóculo que causa doença similar a FHD/SCD em
camundongos. CCR1 parece desempenhar um papel discreto e não fundamental na
progressão e severidade da infecção pelo DENV. Este receptor, entretanto, parece
ter função consideravelmente complexa na resposta inflamatória, devido à sua
124
Discussão
variedade de ligantes e distribuição ubíqua entre populações celulares em diferentes
estágios da resposta.
A quimiocina CCL2/MCP-1 é produzida em diversas condições inflamatórias e
exerce suas funções através do receptor CCR2, expresso em monócitos,
macrófagos, algumas linhagens linfociticas e também neutrófilos. (Johnston et al.,
1999; Zlotnik e Yoshie, 2000; Locati et al., 2002; Speyer et al., 2004). Níveis de
CCL2 já estão associados com o mau prognostico em p acientes infectados
peloDENV (Lee et al., 2006; Bozza et al., 2008). No presente trabalho, a taxa de
mortalidade foi significativamente reduzida em animais CCR2
-/-
infectados pelo
DENV-2 e isto parece estar diretamente associado com uma menor concentração de
transaminases hepáticas assim como com a menor inflamação e lesão hepáticas.
Importante frisar que hepatócitos são alvos comuns do DENV e podem responder
ativamente através da produção de citocinas e quimiocinas, contribuindo para a
lesão local e conseqüente déficit de função hepática (Suksanpaisan et al., 2007). A
trombocitopenia e a hemoconcentração observadas em animais CCR2
-/-
foi similar a
observada em animais WT infectados, embora os níveis de IL-6 e IFN-γ, mas não
TNF- α, estarem reduzidos sistemicamente nos animais CCR2
-/-
. Estas alterações
hematológicas parecem ser secundárias ao pico de produção de citocinas pro-
inflamatórias. Níveis de CCL2 estão elevados tanto no baço como fígado destes
animais, corroborando a hipótese do controle fisiológico de quimiocinas. CCL3/MIP-
1α e CCL5/RANTES também aparecem em concentrações elevadas quando
comparadas a animais WT no dia 6 p.i., mesmo que o fenômeno não parece
contribuir para a maior ativação ou recrutamento leucocitário em animais CCR2
-/-
.
Observamos uma importante redução na ativação de populações celulares
envolvidas na infecção pelo DENV-2, notadamente células CD4+, CD8+, NKT e
macrófagos. Os achados envolvendo células NKT/iNKT vão de encontro com os
apresentados na presente tese (Objetivo 2), sugerindo um importante papel para
estas populações na resposta inflamatória (cytokine storm) associada ao DENV.
Alguns estudos demonstram que estas células respondem a CCL2/MCP-1 em
doenças infecciosas (Kawakami et al., 2001), assim como podem ser recrutadas
para sítios inflamatórios através do receptor CCR2(Kim et al., 2002; Thomas et al.,
2003). Além do mais, a menor ativação leucocitária, por si só, já pode ser um
indicativo da menor produção sistêmica de citocinas e a menor lesão hepática
nestes animais.
125
Discussão
Embora haja um acúmulo significativo de neutrófilos no baço e fígado de
animais CCR2
-/-
, isto não parece contribuir para o mau prognostico da doença,
incluindo mortalidade. A menor concentração de IL-6 observada no fígado de animais
CCR2
-/-
infectados, pode, por exemplo, contribuir para menor ativação e
degranulação de neutrófilos. Além do mais, esta ativação de neutrófilos dependente
de IL-6 e quimiocinas CC já foi demonstrada na seps e experimental (Speyer et al.,
2004). Estas diferenças no recrutamento e ativação de leucócitos não resultaram em
alterações na carga viral no fígado, sugerindo que animais CCR2
-/-
devem recuperar
precocemente o status hemodinâmico, que estaria associado a uma menor le são
tecidual, colaborando assim para um clearance efetivo após o pico da doença.
Um maior extravasamento plasmático decorrente da resposta inflamatória
associada à infecção pelo DENV pode levar a hemoconcentração, hipotensão e
morte (Green e Rothman, 2006; Lee et al., 2006; Srikiatkhachorn et al., 2007; Binh et
al., 2009; Srikiatkhachorn, 2009). Entretanto, não est á muito claro o porquê da
hemoconcentração observada em animais CCR2
-/-
no dia 6 p.i., uma vez que os
níveis séricos de citocinas pró-inflamatórias estão significativamente reduzidos, assim
como a lesão hepática e conseqüente mortalida de associada. É possível que alguns
animais podem eventualmente se recuperar da permeabilidade vascular grave
observada na infecção, o que levaria a hemoconcentração e não necessariamente a
mortalidade uma vez que eles ainda possuiriam função hepática adequada. Uma
abordagem experimental para explicar este fenômeno se torna difícil uma vez que a
maioria dos animais WT está morta neste estágio da doença para fins de
comparação ao controle. Animais CCR2
-/-
que resistem à infecção possuem
parâmetros hematológicos inalterados em estágios tardios (dia 14), sugerindo uma
recuperação em detrimento do pico de permeabilidade vascular observado na fase
critica da doença (dados não mostrados).
Desta forma, o receptor para quimiocinas CCR2 desempenha papel
importante na patogênese da infecção experimental pelo DENV-2. A maior sobrevida
observada em animais CCR2
-/-
é provavelmente secundaria ao menor dano hepático,
menor ativação celular e menor produção d e citocinas/quimiocinas.
O receptor CCR4 é expresso em células T, especialmente linfócitos do tipo
Th2, e participa de diversas condições patológicas como, por exemplo, asma, câncer
e doença inflamatória intestinal (Vijayanand et
al.; Luster, 2001; Nouri-Aria et al.,
2002; Schuh et al., 2002; Yuan et al., 2007;
Di Stasi et al., 2009). De forma
126
Discussão
interessante, a deficiência no receptor CCR4 resulta na diminuição da resposta
inflamatória induzida pela sepse polimicrobiana em camundongos e no choque
endotóxico induzido por LPS, implicando este receptor na patogênese de condições
inflamatórias agudas (Chvatchko et al., 2000; Traeger et al., 2008). Outros
experimentos, entretanto, demonstraram um papel protetor para a quimiocina
CCL22/MDC, um dos ligantes para CCR4, em um modelo de sepse (CLP) em
camundongos (Matsukawa et al., 2000).
Em experimentos preliminares observamos que a quimiocina CCL17/TARC,
um dos ligantes para CCR4, era produzida em níveis relativamente altos no baço de
camundongos infectados pelo DENV-2. Até o presente momento não existem outros
relatos mostrando a produção desta quimiocina em uma infecção por flavivirus.
Experimentos com camundongos CCR4
-/-
revelaram que estes animais estão
protegidos da mortalidade e perda de peso associadas a infecção experimental pelo
DENV-2. Complementar a este achado, estes animais não apresentam
hemoconcentração apreciável e considerável redução na trombocitopenia,
granulocitóse, dano hepático, resposta inflamatória sistêmica e ativação de
leucócitos após a infecção experimental, incluindo reduzido acúmulo de neutrófilos
no baço e fígado. Toda esta forte regulação negativa da resposta inflamatória
associada ao DENV se reflete em maior sobrevida para animais CCR4
-/-
. Importante
frisar que apesar do fenótipo de proteção observado em animais CCR4
-/-
, não houve
diferença na carga viral quando comparada a de animais WT. Isto sugere que o
receptor CCR4 não parece estar envolvido com contro le da replicação viral ou
mesmo da entrada do vírus, e sim participaria na cascata de eventos que levam ao
dano tecidual e a resposta inflamatória sistêmica deletéria associada ao DENV.
Neste quesito, nossos resultados vão de acordo com o papel deletério do receptor
CCR4 na patogênese da sepse bacteriana (Chvatchko et al., 2000; Traeger et al.,
2008).
É difícil sugerir um mecanismo pelo qual o CCR4 contribuiria para a
patogênese da infecção pelo dengue. Entretanto, CCR 4 pode ser importante para o
trafego e ativação de células NKT e linfócitos T CD8+ por pelo menos duas vias de
quimiocinas independentes, incluindo CCL17/TARC e CCL22/MDC (Kim et al., 2002;
Semmling et al.). Considerando o importante papel atribuído a células NKT/iNKT na
patogênese do presente modelo experimental, é possí vel que CCR4, assim como
CCR2, estejam envolvidos no recrutamento e ativação destes tipos celulares,
127
Discussão
contribuindo assim para lesão e mortalidade. Desta forma, considerando
doenças/patologias com choque associado, no caso viral (presente estudo) e
bacteriano (sepse), o bloqueio do receptor CCR4 pode ser benéfico em termos
terapêuticos, um conceito que ainda deve ser melhor elucidado em modelos animais
e então testado em humanos. Até o momento não conhe cemos estudos sugerindo
intervenções terapêuticas ou o antagonismo funciona l do receptor CCR4 em
doenças virais envolvendo choque hemorrágico, o que torna esta abordagem inédita
e de relevância no campo da imunopatologia de doenç as infecciosas.
Em termos gerais, demonstramos nesta primeira seção que os receptores
para quimiocinas da família CC, especificamente CCR1, CCR2 e CCR4
desempenham papeis diferentes na patogênese da infe cção experimental pelo
DENV. Em contraste, estes receptores parecem não de sempenhar um papel
essencial na proteção contra a infecção primária pe lo vírus da dengue. Nossos
estudos sugerem que a produção exacerbada de quimiocinas (ou chemokine storm)
que se segue após desencadeada a infecção está associada principalmente ao
desenvolvimento da doença do que proteção. É possível, desta forma, inferir que
antagonistas para receptores de quimiocinas, notadamente CCR2 e CCR4, além de
ligantes solúveis para quimiocinas envolvidas nestas respostas, podem servir como
co-adjuvantes na terapia para as manifestações severas da infecção pelo dengue.
Tendo em vista o importante efeito que a deleção dos receptores CCR2
e CCR4 exercem sobre o recrutamento e ativação de populações linfociticas,
especialmente NKT, contribuindo para uma menor gravidade e maior sobrevida
associada à doença, nossos resultados apontam para um quadro onde quimiocinas
produzidas durante a infecção pela dengue parecem contribuir para o acúmulo e
função de células NKT/iNKT no presente modelo, o que discutiremos em seguida.
Não podemos ainda inferir se CCR2 e CCR4 seriam os receptores diretamente
envolvidos no acúmulo de células iNKT, mas nossas evidências sugerem que o
caminho a ser discutido na fisiopatologia do dengue deve passar pelas interações
quimiocinas/receptores versus populações celulares participantes da resposta.
Até o presente momento, os mecanismos responsáveis em desencadear a
doença e a resposta do hospedeiro são pouco definidos e a natureza da resposta
imune protetora versus a resposta deletéria na infecção pelo dengue ainda é pouco
conclusiva. Em particular, é importante definir o quanto a produção exacerbada de
citocinas (cytokine storm) e o choque relacionado aos quadros graves da doença
128
Discussão
são induzidos e eventualmente controlados. Consider ando o papel de células iNKT
na resposta do hospedeiro durante infecções virais e o controle e/ou estimulação da
resposta inflamatória em vários sistemas, nos perguntamos o quanto estas células
seriam importantes para a resposta do hospedeiro durante a infecção pelo DENV.
Mostramos desta forma que células iNKT possuem um papel deletério durante a
infecção pelo vírus, estando relacionadas de forma importante com a mortalidade e
fisiopatologia características do modelo em questão .
As células NKT invariantes desempenham diferentes papeis em infecções
virais, onde no geral trazem algum beneficio para o hospedeiro (Van Dommelen e
Degli-Esposti, 2004; Barral e Brenner, 2007; Bendelac et al., 2007). Nenhum estudo
envolvendo infecções pelos vírus da família Flaviviridae, que incluem o DENV, WNV
e o vírus da febre amarela, demonstram algum papel para células iNKT na
fisiopatologia associada. Existe, entretanto, um relato sugerindo a participação de
células iNKT na infecção pelo HCV (Inoue et al., 2006), que apesar de pouco
conclusivo sugere um importante papel para estas células na produção de IL-13
durante a infecção. Além do mais, é importante ressaltar que a infecção por alguns
destes vírus, notadamente o da febre amarela e o WNV, incluem sintomatologia e
aspectos clínicos similares ao DENV, o que incluem febre hemorrágica, resposta
inflamatória sistêmica exacerbada e em alguns casos encefalite (Gubler, 1998; Gould
e Solomon, 2008; Maximova et al., 2009; Suthar et al., 2009).
Embora a compreensão acerca de mecanismos celulare s envolvidos nestas
doenças esteja em pleno crescimento (Diamond, 2009; Sampath e Padmanabhan,
2009), incluindo o envolvimento de diferentes populações linfociticas, a participação
de células iNKT e vNKT em infecções por flavivirus é, em geral, desconhecida.
Infecções viras podem levar a ativação de células iNKT e no geral este
mecanismo é importante para o controle da resposta imune local e sistêmica. Em um
primeiro momento avaliamos a ativação e o perfil de células iNKT na infecção
experimental pelo DENV-2, assim como o seu possível recrutamento/acúmulo e
expansão no baço e fígado de animais infectados. Utilizando um inóculo capaz de
induzir mortalidade significativa em animais WT, nossos dados mostram uma
expansão massiva de células iNKT no baço e fígado, vista em termos de
recrutamento e ativação durante as fases iniciais da infecção.
De forma contraria, a freqüência e número de células iNKT diminui no 5° dia
após a infecção, um fenômeno provavelmente relacionado a internalização do TCR
129
Discussão
que se segue a ativação destas células. Esta linfopenia, comentada na seção de
resultados, pode estar também associada ao trafico de leucócitos no baço,
especialmente linfócitos, que estariam sendo recrutados para órgãos alvos, como o
fígado. Além do mais, este fenômeno observado para leucócitos esplênicos reflete
bastante a resposta sistêmica. Dados de nosso grupo mostram um aumento de
linfócitos CD4 e CD8, além de células NKT, no fígado de animais infectados a partir
do dia 4 p.i. (Guabiraba et al. 2010 em preparação), confirmando esta hipótese.
No que diz respeito ao status destas células no dia 5 após a infecção,
observamos que a expressão da molécula marcadora de ativação CD69 esta
bastante aumentada em células iNKT. Também neste contexto, as células iNKT
(assim como as células NK), tem a produção de IFN-γ intracelular aumentada sem
re-estimulação (i.e. PMA/ionomicina). Em conjunto, demonstramos pela primeira vez
que células iNKT são ativadas durante a infecção ex perimental pelo DENV-2, além
serem capazes de produzir IFN-γ, fenômeno já relatado na literatura para células T
CD4, CD8 e NK em humanos ou modelos experimentais de infecção pelo DENV
(Mangada et al., 2004; Shresta, Kyle, Robert Beatty, et al., 2004).
Os mecanismos pelos quais estas células se tornam ativadas durante a
infecção, seja através de CD1d e/ou de co-fatores, como as citocinas IL-12, IL-18 ou
IFN-γ, já demonstrados em outros modelos experimentais ( Exley et al., 2003; Van
Kaer e Joyce, 2005; Halder et al., 2007; Tyznik et al., 2008), estão atualmente sendo
estudados. No que diz respeito à molécula CD1d, envolvida no mecanismo de
ativação classificado como “direto”, demonstramos q ue camundongos CD1d
-/-
infectados apresentam letalidade similar a camundongos WT em nosso modelo.
Apesar do mecanismo de ativação de células iNKT não estar completamente
elucidado na infecção pelo DENV, sugerimos que no presente estudo a ativação e
função efetora de células iNKT é independente de CD1d. De fato, após
processamento pelas APCs, antígenos virais não poss uem estruturas lipídicas,
excluindo assim a apresentação clássica via CD1d. E stes dados realçam o conceito
de que APCs (i.e. células dendriticas) produtoras de citocinas como IL-12 e IFN-γ,
em momentos ainda iniciais da infecção, parecem ser fundamentais para este
processo. Além do mais, células vNKT parecem desempenhar um papel diferente
das iNKT em nosso modelo, provavelmente contrabalanceando a resposta mediada
por iNKT. Estudos mais aprofundados podem trazer informações mais precisas
sobre o balanço iNKT/vNKT na infecção pelo DENV.
130
Discussão
A inflamação sistêmica exacerbada observada na infe cção aguda pelo DENV-
2 em camundongos é um dos eventos essenciais que levam a mortalidade
associada à infecção. A trombocitopenia e extravasamento vascular associados ao
choque e a febre hemorrágica são pontos críticos na doença humana e nos
modelos experimentais. Além do mais, no presente modelo, é possível observar
apreciável dano tecidual, principalmente no parênquima hepátic o, associado à
produção de citocinas/quimiocinas pro inflamatórias e replicação viral não controlada
no baço, fígado e sangue (Souza et al., 2009; Assuncao-Miranda et al., 2010).
Em termos fisiológicos, as células iNKT podem aumentar ou diminuir a
resposta inflamatória associada a uma infecção ou lesão de outra origem por uma
variedade de mecanismos, dependentes essencialmente do contexto (i.e inflamação
estéril ou não estéril), o que inclui os tecidos afetados, células locais e células
recrutadas para o sitio de lesão/infecção. Diversos modelos experimentais têm
sugerido um papel benéfico para células iNKT na resposta inflamatória associada a
infecções virais e bacterianas (Van Dommelen e Degli-Esposti, 2004; Kim et al.,
2008; Emoto e Emoto, 2009; Brigl e Brenner, 2010). Entretanto, células iNKT podem
apresentar um perfil deletério em respostas locais e sistêmicas, como por exemplo
em modelos de hepatite induzida por concanavalina-A (Toyabe et al., 1997; Takeda
et al., 2000) ou no choque séptico induzido por LPS ou CLP (cecal ligation and
puncture) (Nagarajan e Kronenberg, 2007; Hu et al., 2009).
De forma importante, em experimentos com número ele vado de animais,
observamos que camundongos Jα18
/
, deficientes em células iNKT são resistentes
a infecção pelo DENV-2, apresentando mortalidade abaixo de 15% e sobrevivendo
por mais de 3 semanas sem nenhum sinal clinico. Complementar a estes achados, a
transferência adotiva de células iNKT isoladas do fígado de animais naïve para
animais WT foi capaz de reverter parcialmente a mortalidade encontrada em animais
Jα18
/
após a infecção. A reversão parcial do fenótipo, e não completa, pode ser
relacionada tanto com a distribuição destes tipos celulares em outros órgãos, que
não os imediatamente afetados pela infecção em estágios iniciais, assim como
mecanismos inibitórios/apoptóticos diversos aos quais estas podem ter sido
expostas no camundongo recipiente. Reversões comple tas e parciais do fenótipo já
foram encontradas em modelos experimentais do grupo do Dr. Trottein (artigos em
revisão). Importante também frisar que células iNKT isoladas do fígado são mais
puras, não passam por processo de ativação, além de que neste órgão ~90-95% das
131
Discussão
células CD5
+
NK1.1
+
são células iNKT, sendo que no baço esta freqüênci a é bem
menor, exigindo etapas que envolvem isolamento com tetrâmeros carregados com
glicolípides, o que levaria a ativação desta população.
Analise histológica do fígado de animais infectados no momento onde a
doença apresenta maior gravidade revelou menor lesão hepática em
animais Jα18
/
. Focos de hemorragia e necrose não foram observado s nos animais
deficientes para células iNKT, apesar de que alguns leucócitos podem ser
observados distribuídos pelo parênquima hepático. A pesar da dosagem de
transaminases não ter sido efetuada e as citocinas pró-inflamatórias não
apresentarem alteração quando comparamos animais WT e Jα18
/
infectados, a
menor lesão hepática parece ser secundária a respos ta sistêmica, o que mediaria,
ainda em momentos inicias, o desencadeamento de lesão e replicação viral em
órgãos alvo. Ainda podemos sugerir que outras citocinas, que não IL-12 e IFN- γ,
podem ser melhores marcadores desta proteção no sistema avaliado.
Portanto, em nosso modelo, a deficiência em células iNKT reduziu o dano
hepático e letalidade associada a infecção, sugerin do que células iNKT são
deletérias na resposta fisiopatológica em órgãos alvo, o que parece estar também
diretamente relacionado com a mortalidade em função de falência de sistemas
fisiológicos elementares, como aqueles dependentes da função hepática. Além do
mais, a analise da produção de citocinas indicou que células iNKT parecem
orquestrar, seja de forma direta ou indireta, a resposta inflamatória local e sistêmica.
Os mecanismos exatos ainda estão indefinidos, mas é possível que as células iNKT
estejam entre os maiores produtores de citocinas pro inflamatórias na infecção
experimental pelo DENV-2. Estas citocinas podem contribuir tanto para a ativação de
outros tipos celulares envolvidos na doença, como linfócitos e células NK, e
conseqüente manutenção da resposta sistêmica e local, como também podem
induzir, diretamente, danos em células e tecidos favorecendo, por exemplo, a
disfunção endotelial e a ativação de células residentes (i.e. células epiteliais,
hepatócitos e macrófagos).
Como descrito no modelo de hepatite induzida por concanavalina-A (Toyabe
et al., 1997; Takeda et al., 2000), e também possivel que células iNKT medeiem a
lesão hepática através da interação FasL-Fas, contr ibuindo para os efeitos
citotóxicos em hepatocitos. Outra possibilidade é que células iNKT participariam de
forma direta ou indireta com a produção de IL-17 durante a infecção pelo vírus da
132
Discussão
dengue. A citocina IL-17 e capaz de mediar o recrutamento de neutrófilos e a
ativação de células epiteliais contribuindo desta forma para a lesão local e para a
resposta inflamatória sistêmica (Kolls e Linden, 2004; Iwakura et al., 2008).
Camundongos Jα18
/
infectados apresentam menor expressão de IL-17 no baço em
comparação a animais WT (dados não mostrados), o qu e vai de acordo, por
exemplo, com o menor acúmulo e ativação de neutrófilos no baço. Além do mais,
demonstramos que IL-17/IL-22 participam de fenômenos envolvidos no controle da
resposta inflamatória observada neste modelo de infecção experimental pelo DENV-
2 (Guabiraba e colaboradores, em preparação).
De forma contraria a observada em outros modelos, a deficiência em células
iNKT não levou a deficiência do clearance viral no fígado e no baço de animais
infectados em nosso modelo. Alguns trabalhos já dem onstraram que células iNKT
são dispensáveis para o controle da carga viral em modelos experimentais de
infecção pelo HSV-1 e CMV (Van Dommelen et al., 2003; Cornish et al., 2006).
De forma importante, a carga viral se apresentou diminuída no fígado de
animais Jα18
/
infectados no dia 6 p.i quando comparada a de animais WT (~1 log
de diferença). Além do mais, no dia 4 p.i. esta diferença é ainda mais nítida, inclusive
no baço, sugerindo que os fenômenos envolvidos neste controle da replicação viral
acontece em momentos ainda iniciais da infecção. Estudos anteriores sugeriram que
a produção de mediadores inflamatórios favorece a replicação in vivo e/ou in vitro
(Lin et al., 2002; Mangada e Rothman, 2005; Kamau et al., 2009).
É possível então que no presente modelo experimental as células iNKT
favoreçam a replicação viral promovendo um maior background inflamatório, como
demonstrado. Uma vez que em camundongos Jα18
/
infectados a resposta
inflamatória esta fortemente reduzida, esta regulação positiva da replicação viral
estaria também regulada negativamente. Nossos dados demonstram também que,
durante a infecção pelo DENV-2, as células iNKT são capazes de produzir IFN-γ e
que estas células parecem trans-ativar células NK para produzir a citocina.
Considerando o importante papel de IFN-γ no controle da replicação do DENV
(Shresta, Kyle, Robert Beatty, et al., 2004; Azeredo et al., 2006), a ausência de uma
função para células iNKT/NK no clearance viral é de certa forma surpreendente. O
papel de células NK na infecção pelo DENV não é bem estabelecido, entretanto tem
sido proposto que estas podem exercer alguma função citotóxica em células
133
Discussão
infectadas, embora este tipo de atividade não tenha sido confirmada in vivo (Kurane
et al., 1984; Green et al., 1999; Azeredo et al., 2006).
De forma importante, a ausência de função para célu las iNKT/NK no controle
direto da replicação viral foi confirmada utilizando-se o glicolípide αGal-Cer. Nestes
termos, tanto o pré- como o pós-tratamento com αGal-Cer, conhecido por induzir
uma forte produção de IFN-γ por células iNKT e NK in vivo, não foi capaz de
aumentar de forma apreciável a sobrevida dos animais infectados assim como não
interferiu no controle da replicação viral e das alterações hematológicas decorrentes
da infecção. Este é o primeiro relato, até onde conhecemos, de que o αGal-Cer,
utilizado de uma forma profilática, se mostra incap az de intervir na replicação viral in
vivo. Estes dados confirmam a ausência de funções para c élulas iNKT após ativação
utilizando um agonista natural deste tipo celular. Além do mais, estes dados sugerem
que uma cascata de eventos envolvendo desde o reconhecimento do vírus por
APCs, até a produção de citocinas/quimiocinas por células da imunidade inata e
adquirida, são responsáveis por desencadear a ativação e função efetora de células
iNKT na fisiopatologia da infecção pelo DENV.
Em termos gerais, nossos dados demonstraram uma papel fundamental para
células iNKT no desenvolvimento da fisiopatologia e na mortalidade associadas a
infecção experimental pelo DENV-2. Uma melhor compreensão dos mecanismos
acerca da ativação in vivo desta população celular e suas funções durante a infecção
podem levar a estratégias terapêuticas como, por exemplo, a inibição desta
população em manifestações graves da doença. Este tipo de estratégia pode ser
principalmente através da co-inibição de quimiocinas envolvidas no recrutamento
destas células assim como possíveis antagonistas/inibidores da ativação de células
iNKT.
134
VI. CONCLUSÃO
Conclusão
6. CONCLUSÃO
Os resultados aqui discutidos sugerem um importante e ainda não discutido
papel para os receptores de quimiocinas da família CC, CCR1, CCR2 e CCR4, na
patogênese da infecção experimental pelo dengue. Estes receptores, especialmente
CCR2 e CCR4, parecem estar diretamente ligados com a progressão da doença e
sua associação direta com a inflamação sistêmica e local induzida pela produção
maciça de mediadores inflamatórios, especialmente quimiocinas. Neste contexto,
diversos tipos celulares recrutados e ativados durante a infecção podem participar
dos eventos que levam a FHD/SCD, sendo que células iNKT parecem ser
fundamentais e contribuem diretamente para a produção exacerbada de mediadores
inflamatórios, ainda em momentos iniciais da infecção, e estão associadas a
gravidade da doença. Apesar de ainda não relacionarmos os receptores para
quimiocinas diretamente envolvidos com células iNKT no presente modelo, é
possível que CCR2, CCR4 e outros CCRs colaborem neste processo de
recrutamento e ativação de células NKT invariantes. Acreditamos que o presente
trabalho de tese abre duas frentes de estudo para intervenções terapêuticas na
imunopatologia da dengue: receptores para quimiocinas da família CC e células
iNKT.
136
VII. REFERËNCIAS
BIBLIOGRAFICAS
Referências bibliográficas
7. REFERËNCIAS BIBLIOGRAFICAS
ABBAS, A. K.; LICHTMAN, A. H. Cellular and molecular immunology. 5th. ed.
Philadelphia, PA: Elsevier/Saunders, 2005.
______. Basic immunology : functions and disorders of the immune system. 3rd. ed.
Philadelphia, PA: Saunders/Elsevier, 2009.
AJUEBOR, M. N. et al. CCL3/MIP-1alpha is pro-inflammatory in murine T cell-mediated
hepatitis by recruiting CCR1-expressing CD4(+) T cells to the liver. Eur J Immunol [S.I.],
v. 34, n. 10, p. 2907-18, Oct 2004.
ALLEN, S. J. et al. Chemokine: receptor structure, interactions, and antagonism. Annu Rev
Immunol [S.I.], v. 25, p. 787-820, 2007.
AMBROSINO, E. et al. Cross-regulation between type I and type II NKT cells in regulating
tumor immunity: a new immunoregulatory axis. J Immunol [S.I.], v. 179, n. 8, p. 5126-36,
Oct 15 2007.
ARRENBERG, P. et al. Cross-regulation between distinct natural killer T cell subsets
influences immune response to self and foreign antigens. J Cell Physiol [S.I.], v. 218, n. 2,
p. 246-50, Feb 2009.
ASHKAR, A. A.; ROSENTHAL, K. L. Interleukin-15 and natural killer and NKT cells play a
critical role in innate protection against genital herpes simplex virus type 2 infection. J Virol
[S.I.], v. 77, n. 18, p. 10168-71, Sep 2003.
ASSUNCAO-MIRANDA, I. et al. Contribution of macrophage migration inhibitory factor to the
pathogenesis of dengue virus infection. FASEB J [S.I.], v. 24, n. 1, p. 218-28, Jan 2010.
ATRASHEUSKAYA, A. et al. Anti-TNF antibody treatment reduces mortality in
experimental dengue virus infection. FEMS Immunol Med Microbiol [S.I.], v. 35, n. 1, p.
33-42, Jan 21 2003.
AVIRUTNAN, P. et al. Dengue virus infection of human endothelial cells leads to chemokine
production, complement activation, and apoptosis. J Immunol [S.I.], v. 161, n. 11, p. 6338-46,
Dec 1 1998.
AZEREDO, E. L. et al. NK cells, displaying early activation, cytotoxicity and adhesion
molecules, are associated with mild dengue disease. Clin Exp Immunol [S.I.], v. 143, n. 2, p.
345-56, Feb 2006.
BAGGIOLINI, M. Chemokines and leukocyte traffic. Nature [S.I.], v. 392, n. 6676, p. 565-8,
Apr 9 1998.
BALMASEDA, A. et al. Serotype-specific differences in clinical manifestations of dengue.
Am J Trop Med Hyg [S.I.], v. 74, n. 3, p. 449-56, Mar 2006.
138
Referências bibliográficas
BARRAL, D. C.; BRENNER, M. B. CD1 antigen presentation: how it works. Nat
Rev Immunol [S.I.], v. 7, n. 12, p. 929-41, Dec 2007.
BENDELAC, A. et al. The biology of NKT cells. Annu Rev Immunol [S.I.], v. 25, p. 297-
336, 2007.
BINH, P. T. et al. Early clinical and biological features of severe clinical manifestations of
dengue in Vietnamese adults. J Clin Virol [S.I.], v. 45, n. 4, p. 276-80, Aug 2009.
BOKISCH, V. A. et al. The potential pathogenic role of complement in dengue hemorrhagic
shock syndrome. N Engl J Med [S.I.], v. 289, n. 19, p. 996-1000, Nov 8 1973.
BORISH, L. C.; STEINKE, J. W. 2. Cytokines and chemokines. J Allergy Clin Immunol
[S.I.], v. 111, n. 2 Suppl, p. S460-75, Feb 2003.
BOUROS, D. et al. The clinical significance of serum and bronchoalveolar lavage
inflammatory cytokines in patients at risk for Acute Respiratory Distress Syndrome. BMC
Pulm Med [S.I.], v. 4, p. 6, Aug 17 2004.
BOZZA, F. A. et al. Multiplex cytokine profile from dengue patients: MIP-1beta and IFN-
gamma as predictive factors for severity. BMC Infect Dis [S.I.], v. 8, p. 86, 2008.
______. Cytokine profiles as markers of disease severity in sepsis: a multiplex analysis. Crit
Care [S.I.], v. 11, n. 2, p. R49, 2007.
BRIGL, M.; BRENNER, M. B. How invariant natural killer T cells respond to infection by
recognizing microbial or endogenous lipid antigens. Semin Immunol [S.I.], v. 22, n. 2, p. 79-
86, Apr 2010.
CAMPBELL, J. J. et al. Unique subpopulations of CD56+ NK and NK-T peripheral blood
lymphocytes identified by chemokine receptor expression repertoire. J Immunol [S.I.], v. 166,
n. 11, p. 6477-82, Jun 1 2001.
CARDONA, A. E. et al. Scavenging roles of chemokine receptors: chemokine receptor
deficiency is associated with increased levels of ligand in circulation and tissues. Blood
[S.I.], v. 112, n. 2, p. 256-63, Jul 15 2008.
CARROLL, M. C. The role of complement and complement receptors in induction and
regulation of immunity. Annu Rev Immunol [S.I.], v. 16, p. 545-68, 1998.
CERUNDOLO, V. et al. Harnessing invariant NKT cells in vaccination strategies. Nat
Rev Immunol [S.I.], v. 9, n. 1, p. 28-38, Jan 2009.
CHAMBERS, T. J. et al. Flavivirus genome organization, expression, and replication. Annu
Rev Microbiol [S.I.], v. 44, p. 649-88, 1990.
CHATURVEDI, U. C. Tumour necrosis factor & dengue. Indian J Med Res [S.I.], v. 123, n.
1, p. 11-4, Jan 2006.
139
Referências bibliográficas
CHATURVEDI, U. C. et al. Cytokine cascade in dengue hemorrhagic fever: implications for
pathogenesis. FEMS Immunol Med Microbiol [S.I.], v. 28, n. 3, p. 183-8, Jul 2000.
CHAU, T. N. et al. Dengue in Vietnamese infants--results of infection-enhancement assays
correlate with age-related disease epidemiology, and cellular immune responses correlate with
disease severity. J Infect Dis [S.I.], v. 198, n. 4, p. 516-24, Aug 15 2008.
CHEN, Y. et al. Dengue virus infectivity depends on envelope protein binding to target
cell heparan sulfate. Nat Med [S.I.], v. 3, n. 8, p. 866-71, Aug 1997.
CHEN, Y. C. et al. Bacterial lipopolysaccharide inhibits dengue virus infection of primary
human monocytes/macrophages by blockade of virus entry via a CD14-dependent
mechanism. J Virol [S.I.], v. 73, n. 4, p. 2650-7, Apr 1999.
CHENG, S. S. et al. Granulocyte-macrophage colony stimulating factor up-regulates CCR1 in
human neutrophils. J Immunol [S.I.], v. 166, n. 2, p. 1178-84, Jan 15 2001.
CHIBA, A. et al. Rapid NKT cell responses are self-terminating during the course of
microbial infection. J Immunol [S.I.], v. 181, n. 4, p. 2292-302, Aug 15 2008.
CHO, S. et al. Impaired cell surface expression of human CD1d by the formation of an HIV-1
Nef/CD1d complex. Virology [S.I.], v. 337, n. 2, p. 242-52, Jul 5 2005.
CHUA, J. J. et al. Recombinant non-structural 1 (NS1) protein of dengue-2 virus interacts
with human STAT3beta protein. Virus Res [S.I.], v. 112, n. 1-2, p. 85-94, Sep 2005.
CHUNGUE, E. et al. Correlation between detection of plasminogen cross-reactive antibodies
and hemorrhage in dengue virus infection. J Infect Dis [S.I.], v. 170, n. 5, p. 1304-7, Nov
1994.
CHVATCHKO, Y. et al. A key role for CC chemokine receptor 4 in lipopolysaccharide-
induced endotoxic shock. J Exp Med [S.I.], v. 191, n. 10, p. 1755-64, May 15 2000.
CLYDE, K. et al. Recent advances in deciphering viral and host determinants of dengue virus
replication and pathogenesis. J Virol [S.I.], v. 80, n. 23, p. 11418-31, Dec 2006.
COMMINS, S. P. et al. Immunologic messenger molecules: cytokines, interferons, and
chemokines. J Allergy Clin Immunol [S.I.], v. 125, n. 2 Suppl 2, p. S53-72, Feb 2010.
CONCEICAO, T. M. et al. Gene expression analysis during dengue virus infection in HepG2
cells reveals virus control of innate immune response. J Infect [S.I.], v. 60, n. 1, p. 65-75, Jan
2010.
CORNISH, A. L. et al. NKT cells are not critical for HSV-1 disease resolution. Immunol Cell
Biol [S.I.], v. 84, n. 1, p. 13-9, Feb 2006.
DE LALLA, C. et al. Production of profibrotic cytokines by invariant NKT cells
characterizes cirrhosis progression in chronic viral hepatitis. J Immunol [S.I.], v. 173, n. 2, p.
1417-25, Jul 15 2004.
140
Referências bibliográficas
DE SILVA, A. D. et al. Lipid protein interactions: the assembly of CD1d1 with cellular
phospholipids occurs in the endoplasmic reticulum. J Immunol [S.I.], v. 168, n. 2, p. 723-33,
Jan 15 2002.
DEEN, J. L. et al. The WHO dengue classification and case definitions: time for
a reassessment. Lancet [S.I.], v. 368, n. 9530, p. 170-3, Jul 8 2006.
DESHMANE, S. L. et al. Monocyte chemoattractant protein-1 (MCP-1): an overview. J
Interferon Cytokine Res [S.I.], v. 29, n. 6, p. 313-26, Jun 2009.
DEWI, B. E. et al. In vitro assessment of human endothelial cell permeability: effects of
inflammatory cytokines and dengue virus infection. J Virol Methods [S.I.], v. 121, n. 2, p.
171-80, Nov 2004.
DI STASI, A. et al. T lymphocytes coexpressing CCR4 and a chimeric antigen receptor
targeting CD30 have improved homing and antitumor activity in a Hodgkin tumor model.
Blood [S.I.], v. 113, n. 25, p. 6392-402, Jun 18 2009.
DIAMOND, M. S. Mechanisms of evasion of the type I interferon antiviral response by
flaviviruses. J Interferon Cytokine Res [S.I.], v. 29, n. 9, p. 521-30, Sep 2009.
DONG, Z. et al. Impairment of liver regeneration correlates with activated hepatic NKT cells
in HBV transgenic mice. Hepatology [S.I.], v. 45, n. 6, p. 1400-12, Jun 2007.
DORNER, B. G. et al. Selective expression of the chemokine receptor XCR1 on cross-
presenting dendritic cells determines cooperation with CD8+ T cells. Immunity [S.I.], v. 31, n.
5, p. 823-33, Nov 20 2009.
EBERL, G. et al. Tissue-specific segregation of CD1d-dependent and CD1d-independent NK
T cells. J Immunol [S.I.], v. 162, n. 11, p. 6410-9, Jun 1 1999.
EMOTO, M.; EMOTO, Y. Intracellular bacterial infection and invariant NKT cells.
Yonsei Med J [S.I.], v. 50, n. 1, p. 12-21, Feb 28 2009.
EMOTO, M. et al. Critical role of leukocyte function-associated antigen-1 in liver
accumulation of CD4+NKT cells. J Immunol [S.I.], v. 162, n. 9, p. 5094-8, May 1 1999.
EXLEY, M. A. et al. Innate immune response to encephalomyocarditis virus
infection mediated by CD1d. Immunology [S.I.], v. 110, n. 4, p. 519-26, Dec 2003.
______. Cutting edge: Compartmentalization of Th1-like noninvariant CD1d-reactive T cells in
hepatitis C virus-infected liver. J Immunol [S.I.], v. 168, n. 4, p. 1519-23, Feb 15 2002.
FALCONAR, A. K. The dengue virus nonstructural-1 protein (NS1) generates antibodies to
common epitopes on human blood clotting, integrin/adhesin proteins and binds to human
endothelial cells: potential implications in haemorrhagic fever pathogenesis. Arch Virol [S.I.],
v. 142, n. 5, p. 897-916, 1997.
FAUCI, A. S. Host factors and the pathogenesis of HIV-induced disease. Nature [S.I.], v.
384, n. 6609, p. 529-34, Dec 12 1996.
141
Referências bibliográficas
FAUNCE, D. E. et al. MIP-2 recruits NKT cells to the spleen during tolerance induction. J
Immunol [S.I.], v. 166, n. 1, p. 313-21, Jan 1 2001.
FAUNCE, D. E.; STEIN-STREILEIN, J. NKT cell-derived RANTES recruits APCs and
CD8+ T cells to the spleen during the generation of regulatory T cells in tolerance. J Immunol
[S.I.], v. 169, n. 1, p. 31-8, Jul 1 2002.
FINK, K. et al. Depletion of macrophages in mice results in higher dengue virus titers
and highlights the role of macrophages for virus control. Eur J Immunol [S.I.], v. 39, n.
10, p. 2809-21, Oct 2009.
FURUICHI, K. et al. Chemokine receptor CCR1 regulates inflammatory cell infiltration after
renal ischemia-reperfusion injury. J Immunol [S.I.], v. 181, n. 12, p. 8670-6, Dec 15 2008.
GERMI, R. et al. Heparan sulfate-mediated binding of infectious dengue virus type 2 and
yellow fever virus. Virology [S.I.], v. 292, n. 1, p. 162-8, Jan 5 2002.
GIBBONS, R. V.; VAUGHN, D. W. Dengue: an escalating problem. BMJ [S.I.], v. 324, n.
7353, p. 1563-6, Jun 29 2002.
GLASS, W. G. et al. Chemokine receptor CCR5 promotes leukocyte trafficking to the
brain and survival in West Nile virus infection. J Exp Med [S.I.], v. 202, n. 8, p. 1087-98,
Oct 17 2005.
______. Chemokine regulation of inflammation during acute viral infection. Curr
Opin Allergy Clin Immunol [S.I.], v. 3, n. 6, p. 467-73, Dec 2003.
GODFREY, D. I. et al. CD1d antigen presentation: treats for NKT cells. Nat Immunol [S.I.],
v. 6, n. 8, p. 754-6, Aug 2005.
GOULD, E. A.; SOLOMON, T. Pathogenic flaviviruses. Lancet [S.I.], v. 371, n. 9611, p.
500-9, Feb 9 2008.
GREEN, S. et al. Early CD69 expression on peripheral blood lymphocytes from children with
dengue hemorrhagic fever. J Infect Dis [S.I.], v. 180, n. 5, p. 1429-35, Nov 1999.
GREEN, S.; ROTHMAN, A. Immunopathological mechanisms in dengue and dengue
hemorrhagic fever. Curr Opin Infect Dis [S.I.], v. 19, n. 5, p. 429-36, Oct 2006.
GRUBOR-BAUK, B. et al. Impaired clearance of herpes simplex virus type 1 from
mice lacking CD1d or NKT cells expressing the semivariant V alpha 14-J alpha 281
TCR. J Immunol [S.I.], v. 170, n. 3, p. 1430-4, Feb 1 2003.
GUBLER, D. J. Dengue and dengue hemorrhagic fever. Clin Microbiol Rev [S.I.], v. 11, n.
3, p. 480-96, Jul 1998.
GUMPERZ, J. E. et al. Functionally distinct subsets of CD1d-restricted natural killer T cells
revealed by CD1d tetramer staining. J Exp Med [S.I.], v. 195, n. 5, p. 625-36, Mar 4 2002.
142
Referências bibliográficas
GUZMAN, M. G. et al. Effect of age on outcome of secondary dengue 2 infections. Int J
Infect Dis [S.I.], v. 6, n. 2, p. 118-24, Jun 2002.
______. Dengue hemorrhagic fever in Cuba, 1981: a retrospective seroepidemiologic study.
Am J Trop Med Hyg [S.I.], v. 42, n. 2, p. 179-84, Feb 1990.
HALDER, R. C. et al. Type II NKT cell-mediated anergy induction in type I NKT cells
prevents inflammatory liver disease. J Clin Invest [S.I.], v. 117, n. 8, p. 2302-12, Aug 2007.
HALSTEAD, S. B. In vivo enhancement of dengue virus infection in rhesus monkeys
by passively transferred antibody. J Infect Dis [S.I.], v. 140, n. 4, p. 527-33, Oct 1979.
______. Dengue haemorrhagic fever--a public health problem and a field for research.
Bull World Health Organ [S.I.], v. 58, n. 1, p. 1-21, 1980.
______. Antibody, macrophages, dengue virus infection, shock, and hemorrhage: a
pathogenetic cascade. Rev Infect Dis [S.I.], v. 11 Suppl 4, p. S830-9, May-Jun 1989.
______. Dengue. Lancet [S.I.], v. 370, n. 9599, p. 1644-52, Nov 10 2007.
HANSEN, D. S. et al. Regulation of murine cerebral malaria pathogenesis by CD1d-restricted
NKT cells and the natural killer complex. Immunity [S.I.], v. 18, n. 3, p. 391-402, Mar 2003.
HAROUSE, J. M. et al. Inhibition of entry of HIV-1 in neural cell lines by antibodies against
galactosyl ceramide. Science [S.I.], v. 253, n. 5017, p. 320-3, Jul 19 1991.
______. Entry of human immunodeficiency virus-1 into glial cells proceeds via an
alternate, efficient pathway. J Leukoc Biol [S.I.], v. 49, n. 6, p. 605-9, Jun 1991.
HAYES, E. B.; GUBLER, D. J. Dengue and dengue hemorrhagic fever. Pediatr Infect Dis J
[S.I.], v. 11, n. 4, p. 311-7, Apr 1992.
HIROMATSU, T. et al. NK T cells stimulated with a ligand for TLR2 at least partly
contribute to liver injury caused by Escherichia coli infection in mice. Eur J Immunol [S.I.],
v. 33, n. 9, p. 2511-9, Sep 2003.
HOBER, D. et al. High levels of sTNFR p75 and TNF alpha in dengue-infected patients.
Microbiol Immunol [S.I.], v. 40, n. 8, p. 569-73, 1996.
______. Serum levels of tumor necrosis factor-alpha (TNF-alpha), interleukin-6 (IL-6), and
interleukin-1 beta (IL-1 beta) in dengue-infected patients. Am J Trop Med Hyg [S.I.], v. 48, n.
3, p. 324-31, Mar 1993.
HOLMES, E. C.; TWIDDY, S. S. The origin, emergence and evolutionary genetics of
dengue virus. Infect Genet Evol [S.I.], v. 3, n. 1, p. 19-28, May 2003.
HU, C. K. et al. The role of hepatic invariant NKT cells in systemic/local inflammation and
mortality during polymicrobial septic shock. J Immunol [S.I.], v. 182, n. 4, p. 2467-75, Feb
15 2009.
143
Referências bibliográficas
ILYINSKII, P. O. et al. CD1d mediates T-cell-dependent resistance to secondary infection
with encephalomyocarditis virus (EMCV) in vitro and immune response to EMCV infection
in vivo. J Virol [S.I.], v. 80, n. 14, p. 7146-58, Jul 2006.
INOUE, M. et al. Enhanced ability of peripheral invariant natural killer T cells to produce
IL-13 in chronic hepatitis C virus infection. J Hepatol [S.I.], v. 45, n. 2, p. 190-6, Aug 2006.
IWAKURA, Y. et al. The roles of IL-17A in inflammatory immune responses and host
defense against pathogens. Immunol Rev [S.I.], v. 226, p. 57-79, Dec 2008.
IWASAKI, A.; MEDZHITOV, R. Toll-like receptor control of the adaptive
immune responses. Nat Immunol [S.I.], v. 5, n. 10, p. 987-95, Oct 2004.
JAN, M. S. et al. CC chemokines induce neutrophils to chemotaxis, degranulation, and alpha-
defensin release. J Acquir Immune Defic Syndr [S.I.], v. 41, n. 1, p. 6-16, Jan 1 2006.
JESSIE, K. et al. Localization of dengue virus in naturally infected human tissues, by
immunohistochemistry and in situ hybridization. J Infect Dis [S.I.], v. 189, n. 8, p. 1411-8,
Apr 15 2004.
JINDADAMRONGWECH, S. et al. Identification of GRP 78 (BiP) as a liver cell expressed
receptor element for dengue virus serotype 2. Arch Virol [S.I.], v. 149, n. 5, p. 915-27, May
2004.
JOHNSON, T. R. et al. NK T cells contribute to expansion of CD8(+) T cells and
amplification of antiviral immune responses to respiratory syncytial virus. J Virol [S.I.], v.
76, n. 9, p. 4294-303, May 2002.
JOHNSON, Z. et al. Interference with heparin binding and oligomerization creates a novel
anti-inflammatory strategy targeting the chemokine system. J Immunol [S.I.], v. 173, n. 9,
p. 5776-85, Nov 1 2004.
JOHNSTON, B. et al. Chronic inflammation upregulates chemokine receptors and induces
neutrophil migration to monocyte chemoattractant protein-1. J Clin Invest [S.I.], v. 103, n. 9,
p. 1269-76, May 1999.
JOHNSTON, B.; BUTCHER, E. C. Chemokines in rapid leukocyte adhesion triggering and
migration. Semin Immunol [S.I.], v. 14, n. 2, p. 83-92, Apr 2002.
JOYCE, S.; VAN KAER, L. CD1-restricted antigen presentation: an oily matter. Curr Opin
Immunol [S.I.], v. 15, n. 1, p. 95-104, Feb 2003.
JOYCE, S. et al. Natural ligand of mouse CD1d1: cellular glycosylphosphatidylinositol.
Science [S.I.], v. 279, n. 5356, p. 1541-4, Mar 6 1998.
JUFFRIE, M. et al. Inflammatory mediators in dengue virus infection in children: interleukin-
8 and its relationship to neutrophil degranulation. Infect Immun [S.I.], v. 68, n. 2, p. 702-7,
Feb 2000.
144
Referências bibliográficas
KAKIMI, K. et al. Natural killer T cell activation inhibits hepatitis B virus replication in
vivo. J Exp Med [S.I.], v. 192, n. 7, p. 921-30, Oct 2 2000.
______. Cutting edge: Inhibition of hepatitis B virus replication by activated NK T cells does
not require inflammatory cell recruitment to the liver. J Immunol [S.I.], v. 167, n. 12, p. 6701-
5, Dec 15 2001.
KALAYANAROOJ, S. et al. Early clinical and laboratory indicators of acute dengue illness.
J Infect Dis [S.I.], v. 176, n. 2, p. 313-21, Aug 1997.
KAMAU, E. et al. Dengue virus infection promotes translocation of high mobility group box 1
protein from the nucleus to the cytosol in dendritic cells, upregulates cytokine production and
modulates virus replication. J Gen Virol [S.I.], v. 90, n. Pt 8, p. 1827-35, Aug 2009.
KAWAKAMI, K. et al. Monocyte chemoattractant protein-1-dependent increase of V
alpha 14 NKT cells in lungs and their roles in Th1 response and host defense in
cryptococcal infection. J Immunol [S.I.], v. 167, n. 11, p. 6525-32, Dec 1 2001.
KAWANA, K. et al. CD1d degradation in Chlamydia trachomatis-infected epithelial cells is
the result of both cellular and chlamydial proteasomal activity. J Biol Chem [S.I.], v. 282, n.
10, p. 7368-75, Mar 9 2007.
KAWANO, T. et al. CD1d-restricted and TCR-mediated activation of valpha14 NKT cells by
glycosylceramides. Science [S.I.], v. 278, n. 5343, p. 1626-9, Nov 28 1997.
KIM, C. H. et al. Trafficking machinery of NKT cells: shared and differential chemokine
receptor expression among V alpha 24(+)V beta 11(+) NKT cell subsets with distinct
cytokine-producing capacity. Blood [S.I.], v. 100, n. 1, p. 11-6, Jul 1 2002.
______. Rules of chemokine receptor association with T cell polarization in vivo. J Clin
Invest [S.I.], v. 108, n. 9, p. 1331-9, Nov 2001.
KIM, S. et al. Impact of bacteria on the phenotype, functions, and therapeutic activities of
invariant NKT cells in mice. J Clin Invest [S.I.], v. 118, n. 6, p. 2301-15, Jun 2008.
KING, C. A. et al. Dengue virus selectively induces human mast cell chemokine
production. J Virol [S.I.], v. 76, n. 16, p. 8408-19, Aug 2002.
KINJO, Y. et al. Recognition of bacterial glycosphingolipids by natural killer T cells. Nature
[S.I.], v. 434, n. 7032, p. 520-5, Mar 24 2005.
KLEIN, R. S.; DIAMOND, M. S. Immunological headgear: antiviral immune responses
protect against neuroinvasive West Nile virus. Trends Mol Med [S.I.], v. 14, n. 7, p. 286-94,
Jul 2008.
KOLLS, J. K.; LINDEN, A. Interleukin-17 family members and inflammation. Immunity
[S.I.], v. 21, n. 4, p. 467-76, Oct 2004.
KRONENBERG, M. Toward an understanding of NKT cell biology: progress and paradoxes.
Annu Rev Immunol [S.I.], v. 23, p. 877-900, 2005.
145
Referências bibliográficas
KUNKEL, E. J.; BUTCHER, E. C. Chemokines and the tissue-specific migration
of lymphocytes. Immunity [S.I.], v. 16, n. 1, p. 1-4, Jan 2002.
KURANE, I. Dengue hemorrhagic fever with special emphasis on immunopathogenesis.
Comp Immunol Microbiol Infect Dis [S.I.], v. 30, n. 5-6, p. 329-40, Sep 2007.
KURANE, I. et al. Lysis of dengue virus-infected cells by natural cell-mediated cytotoxicity
and antibody-dependent cell-mediated cytotoxicity. J Virol [S.I.], v. 52, n. 1, p. 223-30, Oct
1984.
______. Immunopathologic mechanisms of dengue hemorrhagic fever and dengue shock
syndrome. Arch Virol Suppl [S.I.], v. 9, p. 59-64, 1994.
KYLE, J. L. et al. Antibodies play a greater role than immune cells in heterologous protection
against secondary dengue virus infection in a mouse model. Virology [S.I.], v. 380, n. 2, p.
296-303, Oct 25 2008.
KYLE, J. L.; HARRIS, E. Global spread and persistence of dengue. Annu Rev
Microbiol [S.I.], v. 62, p. 71-92, 2008.
LEE, P. T. et al. Distinct functional lineages of human V(alpha)24 natural killer T cells. J
Exp Med [S.I.], v. 195, n. 5, p. 637-41, Mar 4 2002.
LEE, Y. R. et al. MCP-1, a highly expressed chemokine in dengue haemorrhagic
fever/dengue shock syndrome patients, may cause permeability change, possibly through
reduced tight junctions of vascular endothelium cells. J Gen Virol [S.I.], v. 87, n. Pt 12, p.
3623-30, Dec 2006.
LEVITSKY, H. I. et al. The fate of CD4-8- T cell receptor-alpha beta+ thymocytes. J
Immunol [S.I.], v. 146, n. 4, p. 1113-7, Feb 15 1991.
LI, D.; XU, X. N. NKT cells in HIV-1 infection. Cell Res [S.I.], v. 18, n. 8, p. 817-22, Aug
2008.
LIBRATY, D. H. et al. Differing influences of virus burden and immune activation on
disease severity in secondary dengue-3 virus infections. J Infect Dis [S.I.], v. 185, n. 9, p.
1213-21, May 1 2002.
LICHTERFELD, M. et al. Reduced CC chemokine receptor (CCR) 1 and CCR5
surface expression on peripheral blood T lymphocytes from patients with chronic
hepatitis C infection. J Infect Dis [S.I.], v. 185, n. 12, p. 1803-7, Jun 15 2002.
LIM, J. K. et al. CCR5: no longer a "good for nothing" gene--chemokine control of West Nile
virus infection. Trends Immunol [S.I.], v. 27, n. 7, p. 308-12, Jul 2006.
______. Genetic deficiency of chemokine receptor CCR5 is a strong risk factor for
symptomatic West Nile virus infection: a meta-analysis of 4 cohorts in the US epidemic. J
Infect Dis [S.I.], v. 197, n. 2, p. 262-5, Jan 15 2008.
146
Referências bibliográficas
______. CCR5 deficiency is a risk factor for early clinical manifestations of West Nile virus
infection but not for viral transmission. J Infect Dis [S.I.], v. 201, n. 2, p. 178-85, Jan 15 2010.
LIN, C. F. et al. Expression of cytokine, chemokine, and adhesion molecules during
endothelial cell activation induced by antibodies against dengue virus nonstructural protein
1. J Immunol [S.I.], v. 174, n. 1, p. 395-403, Jan 1 2005.
______. Antibodies from dengue patient sera cross-react with endothelial cells and induce
damage. J Med Virol [S.I.], v. 69, n. 1, p. 82-90, Jan 2003.
______. Autoimmune pathogenesis in dengue virus infection. Viral Immunol [S.I.], v. 19, n.
2, p. 127-32, Summer 2006.
LIN, Y. L. et al. Involvement of oxidative stress, NF-IL-6, and RANTES expression in
dengue-2-virus-infected human liver cells. Virology [S.I.], v. 276, n. 1, p. 114-26, Oct 10
2000.
LIN, Y. W. et al. Virus replication and cytokine production in dengue virus-infected human B
lymphocytes. J Virol [S.I.], v. 76, n. 23, p. 12242-9, Dec 2002.
LIU, C. C. et al. Transient CD4/CD8 ratio inversion and aberrant immune activation
during dengue virus infection. J Med Virol [S.I.], v. 68, n. 2, p. 241-52, Oct 2002.
LOCATI, M.; MURPHY, P. M. Chemokines and chemokine receptors: biology and
clinical relevance in inflammation and AIDS. Annu Rev Med [S.I.], v. 50, p. 425-40, 1999.
LOCATI, M. et al. The chemokine system: tuning and shaping by regulation of receptor
expression and coupling in polarized responses. Allergy [S.I.], v. 57, n. 11, p. 972-82, Nov
2002.
LOZACH, P. Y. et al. Dendritic cell-specific intercellular adhesion molecule 3-grabbing non-
integrin (DC-SIGN)-mediated enhancement of dengue virus infection is independent of DC-
SIGN internalization signals. J Biol Chem [S.I.], v. 280, n. 25, p. 23698-708, Jun 24 2005.
LUSTER, A. D. Chemokines--chemotactic cytokines that mediate inflammation. N Engl
J Med [S.I.], v. 338, n. 7, p. 436-45, Feb 12 1998.
______. Antichemokine immunotherapy for allergic diseases. Curr Opin Allergy Clin
Immunol [S.I.], v. 1, n. 6, p. 561-7, Dec 2001.
MACKENZIE, J. S. et al. Emerging flaviviruses: the spread and resurgence of Japanese
encephalitis, West Nile and dengue viruses. Nat Med [S.I.], v. 10, n. 12 Suppl, p. S98-109,
Dec 2004.
MADIGAN, M. T. et al. Brock biology of microorganisms. 11th. ed. Upper Saddle River, NJ:
Pearson Prentice Hall, 2006.
MAJOR, A. S. et al. Lipid metabolism, atherogenesis and CD1-restricted
antigen presentation. Trends Mol Med [S.I.], v. 12, n. 6, p. 270-8, Jun 2006.
147
Referências bibliográficas
MAKINO, Y. et al. Development of Valpha4+ NK T cells in the early stages of
embryogenesis. Proc Natl Acad Sci U S A [S.I.], v. 93, n. 13, p. 6516-20, Jun 25 1996.
MALASIT, P. Complement and dengue haemorrhagic fever/shock syndrome. Southeast
Asian J Trop Med Public Health [S.I.], v. 18, n. 3, p. 316-20, Sep 1987.
MANGADA, M. M. et al. Quantitation of dengue virus specific CD4+ T cells by intracellular
cytokine staining. J Immunol Methods [S.I.], v. 284, n. 1-2, p. 89-97, Jan 2004.
MANGADA, M. M.; ROTHMAN, A. L. Altered cytokine responses of dengue-specific
CD4+ T cells to heterologous serotypes. J Immunol [S.I.], v. 175, n. 4, p. 2676-83, Aug 15
2005.
MANTOVANI, A. The chemokine system: redundancy for robust outputs. Immunol Today
[S.I.], v. 20, n. 6, p. 254-7, Jun 1999.
MANTOVANI, A. et al. Tuning inflammation and immunity by chemokine
sequestration: decoys and more. Nat Rev Immunol [S.I.], v. 6, n. 12, p. 907-18, Dec 2006.
MANTOVANI, A.; LOCATI, M. Housekeeping by chemokine scavenging. Blood [S.I.],
v. 112, n. 2, p. 215-6, Jul 15 2008.
MARCHESE, A. Ubiquitination of chemokine receptors. Methods Enzymol [S.I.], v. 460, p.
413-22, 2009.
MARGOLIUS, H. S. Theodore Cooper Memorial Lecture. Kallikreins and kinins. Some
unanswered questions about system characteristics and roles in human disease.
Hypertension [S.I.], v. 26, n. 2, p. 221-9, Aug 1995.
MARKOFF, L. J. et al. Development of cross-reactive antibodies to plasminogen during
the immune response to dengue virus infection. J Infect Dis [S.I.], v. 164, n. 2, p. 294-301,
Aug 1991.
MARTINA, B. E. et al. Dengue virus pathogenesis: an integrated view. Clin Microbiol
Rev [S.I.], v. 22, n. 4, p. 564-81, Oct 2009.
MATSUDA, J. L. et al. CD1d-restricted iNKT cells, the 'Swiss-Army knife'of the immune
system. Curr Opin Immunol [S.I.], v. 20, n. 3, p. 358-68, Jun 2008.
MATSUKAWA, A. et al. Pivotal role of the CC chemokine, macrophage-derived chemokine, in
the innate immune response. J Immunol [S.I.], v. 164, n. 10, p. 5362-8, May 15 2000.
MATSUKURA, S. et al. Expression of RANTES by normal airway epithelial cells after
influenza virus A infection. Am J Respir Cell Mol Biol [S.I.], v. 18, n. 2, p. 255-64, Feb 1998.
MATSUMOTO, G. et al. Adhesion mediated by LFA-1 is required for efficient IL-12-
induced NK and NKT cell cytotoxicity. Eur J Immunol [S.I.], v. 30, n. 12, p. 3723-31, Dec
2000.
148
Referências bibliográficas
MAXIMOVA, O. A. et al. Cellular inflammatory response to flaviviruses in the central
nervous system of a primate host. J Histochem Cytochem [S.I.], v. 57, n. 10, p. 973-89, Oct
2009.
MEDIN, C. L. et al. Dengue virus nonstructural protein NS5 induces interleukin-
8 transcription and secretion. J Virol [S.I.], v. 79, n. 17, p. 11053-61, Sep 2005.
MEDZHITOV, R. Recognition of microorganisms and activation of the immune response.
Nature [S.I.], v. 449, n. 7164, p. 819-26, Oct 18 2007.
MESSER, W. B. et al. Emergence and global spread of a dengue serotype 3, subtype III
virus. Emerg Infect Dis [S.I.], v. 9, n. 7, p. 800-9, Jul 2003.
______. Epidemiology of dengue in Sri Lanka before and after the emergence of epidemic
dengue hemorrhagic fever. Am J Trop Med Hyg [S.I.], v. 66, n. 6, p. 765-73, Jun 2002.
MILLER, J. L. et al. The mannose receptor mediates dengue virus infection of
macrophages. PLoS Pathog [S.I.], v. 4, n. 2, p. e17, Feb 8 2008.
MIYAMOTO, M. et al. Cutting edge: contribution of NK cells to the homing of thymic
CD4+NKT cells to the liver. J Immunol [S.I.], v. 165, n. 4, p. 1729-32, Aug 15 2000.
MONATH, T. P. Dengue: the risk to developed and developing countries. Proc Natl Acad Sci
U S A [S.I.], v. 91, n. 7, p. 2395-400, Mar 29 1994.
MORENS, D. M. Antibody-dependent enhancement of infection and the pathogenesis of viral
disease. Clin Infect Dis [S.I.], v. 19, n. 3, p. 500-12, Sep 1994.
MORIUCHI, H. et al. CD8+ T-cell-derived soluble factor(s), but not beta-chemokines
RANTES, MIP-1 alpha, and MIP-1 beta, suppress HIV-1 replication in
monocyte/macrophages. Proc Natl Acad Sci U S A [S.I.], v. 93, n. 26, p. 15341-5, Dec
24 1996.
MOTSINGER, A. et al. CD1d-restricted human natural killer T cells are highly susceptible to
human immunodeficiency virus 1 infection. J Exp Med [S.I.], v. 195, n. 7, p. 869-79, Apr 1
2002.
MURPHY, P. M. The molecular biology of leukocyte chemoattractant receptors. Annu Rev
Immunol [S.I.], v. 12, p. 593-633, 1994.
MURRAY, P. R. et al. Medical microbiology. 5th. ed. Philadelphia: Mosby, 2005.
NAGARAJAN, N. A.; KRONENBERG, M. Invariant NKT cells amplify the innate immune
response to lipopolysaccharide. J Immunol [S.I.], v. 178, n. 5, p. 2706-13, Mar 1 2007.
NATHAN, C. Points of control in inflammation. Nature [S.I.], v. 420, n. 6917, p. 846-52, Dec
19-26 2002.
149
Referências bibliográficas
NATTERMANN, J. et al. Binding of HCV E2 to CD81 induces RANTES secretion and
internalization of CC chemokine receptor 5. J Viral Hepat [S.I.], v. 11, n. 6, p. 519-26, Nov
2004.
______. Hepatitis C virus E2 and CD81 interaction may be associated with altered trafficking
of dendritic cells in chronic hepatitis C. Hepatology [S.I.], v. 44, n. 4, p. 945-54, Oct 2006.
NAVARRO-SANCHEZ, E. et al. Dendritic-cell-specific ICAM3-grabbing non-integrin
is essential for the productive infection of human dendritic cells by mosquito-cell-derived
dengue viruses. EMBO Rep [S.I.], v. 4, n. 7, p. 723-8, Jul 2003.
______. Innate immune responses to dengue virus. Arch Med Res [S.I.], v. 36, n. 5, p. 425-35,
Sep-Oct 2005.
NEEL, N. F. et al. Chemokine receptor internalization and intracellular trafficking. Cytokine
Growth Factor Rev [S.I.], v. 16, n. 6, p. 637-58, Dec 2005.
NEVES-SOUZA, P. C. et al. Inducible nitric oxide synthase (iNOS) expression in monocytes
during acute Dengue Fever in patients and during in vitro infection. BMC Infect Dis [S.I.], v.
5, p. 64, 2005.
NEW, D. C.; WONG, Y. H. CC chemokine receptor-coupled signalling pathways. Sheng Wu
Hua Xue Yu Sheng Wu Wu Li Xue Bao (Shanghai) [S.I.], v. 35, n. 9, p. 779-88, Sep 2003.
NOURI-ARIA, K. T. et al. CCR4 in human allergen-induced late responses in the skin
and lung. Eur J Immunol [S.I.], v. 32, n. 7, p. 1933-8, Jul 2002.
OGILVIE, P. et al. Eotaxin is a natural antagonist for CCR2 and an agonist for CCR5. Blood
[S.I.], v. 97, n. 7, p. 1920-4, Apr 1 2001.
______. Eotaxin-3 is a natural antagonist for CCR2 and exerts a repulsive effect on human
monocytes. Blood [S.I.], v. 102, n. 3, p. 789-94, Aug 1 2003.
PANG, T. et al. Of cascades and perfect storms: the immunopathogenesis of dengue
haemorrhagic fever-dengue shock syndrome (DHF/DSS). Immunol Cell Biol [S.I.], v. 85, n.
1, p. 43-5, Jan 2007.
PAREKH, V. V. et al. iNKT-cell responses to glycolipids. Crit Rev Immunol [S.I.], v. 25, n.
3, p. 183-213, 2005.
PIERSON, T. C.; DIAMOND, M. S. Molecular mechanisms of antibody-mediated
neutralisation of flavivirus infection. Expert Rev Mol Med [S.I.], v. 10, p. e12, 2008.
PROUDFOOT, A. E. Chemokine receptors: multifaceted therapeutic targets. Nat
Rev Immunol [S.I.], v. 2, n. 2, p. 106-15, Feb 2002.
PROUDFOOT, A. E. et al. Glycosaminoglycan binding and oligomerization are essential for
the in vivo activity of certain chemokines. Proc Natl Acad Sci U S A [S.I.], v. 100, n. 4, p.
1885-90, Feb 18 2003.
150
Referências bibliográficas
RAFTERY, M. J. et al. Viral danger signals control CD1d de novo synthesis and NKT cell
activation. Eur J Immunol [S.I.], v. 38, n. 3, p. 668-79, Mar 2008.
RAMOS, C. D. et al. Neutrophil recruitment in immunized mice depends on MIP-2 inducing
the sequential release of MIP-1alpha, TNF-alpha and LTB(4). Eur J Immunol [S.I.], v. 36, n.
8, p. 2025-34, Aug 2006.
REICHEL, C. A. et al. Chemokine receptors Ccr1, Ccr2, and Ccr5 mediate neutrophil
migration to postischemic tissue. J Leukoc Biol [S.I.], v. 79, n. 1, p. 114-22, Jan 2006.
REYES-DEL VALLE, J. et al. Heat shock protein 90 and heat shock protein 70 are
components of dengue virus receptor complex in human cells. J Virol [S.I.], v. 79, n. 8, p.
4557-67, Apr 2005.
RIGAU-PEREZ, J. G. The early use of break-bone fever (Quebranta huesos, 1771) and
dengue (1801) in Spanish. Am J Trop Med Hyg [S.I.], v. 59, n. 2, p. 272-4, Aug 1998.
______. Severe dengue: the need for new case definitions. Lancet Infect Dis [S.I.], v. 6, n.
5, p. 297-302, May 2006.
RILEY, J. L. et al. Naive and memory CD4 T cells differ in their susceptibilities to human
immunodeficiency virus type 1 infection following CD28 costimulation: implicatip6s for
transmission and pathogenesis. J Virol [S.I.], v. 72, n. 10, p. 8273-80, Oct 1998.
ROSEN, L. The Emperor's New Clothes revisited, or reflections on the pathogenesis of
dengue hemorrhagic fever. Am J Trop Med Hyg [S.I.], v. 26, n. 3, p. 337-43, May 1977.
ROSENKILDE, M. M.; SCHWARTZ, T. W. The chemokine system -- a major regulator of
angiogenesis in health and disease. APMIS [S.I.], v. 112, n. 7-8, p. 481-95, Jul-Aug 2004.
ROTHMAN, A. L. Immunology and immunopathogenesis of dengue disease. Adv Virus
Res [S.I.], v. 60, p. 397-419, 2003.
______. Dengue: defining protective versus pathologic immunity. J Clin Invest [S.I.], v. 113,
n. 7, p. 946-51, Apr 2004.
SAITO, M. et al. Association of increased platelet-associated immunoglobulins with
thrombocytopenia and the severity of disease in secondary dengue virus infections. Clin
Exp Immunol [S.I.], v. 138, n. 2, p. 299-303, Nov 2004.
SAMPATH, A.; PADMANABHAN, R. Molecular targets for flavivirus drug discovery.
Antiviral Res [S.I.], v. 81, n. 1, p. 6-15, Jan 2009.
SCHALL, T. J. et al. Selective attraction of monocytes and T lymphocytes of the memory
phenotype by cytokine RANTES. Nature [S.I.], v. 347, n. 6294, p. 669-71, Oct 18 1990.
SCHUH, J. M. et al. Airway hyperresponsiveness, but not airway remodeling, is attenuated
during chronic pulmonary allergic responses to Aspergillus in CCR4-/- mice. FASEB J [S.I.],
v. 16, n. 10, p. 1313-5, Aug 2002.
151
Referências bibliográficas
SCOTT, R. M. et al. Isolation of dengue viruses from peripheral blood leukocytes of
patients with hemorrhagic fever. J Infect Dis [S.I.], v. 141, n. 1, p. 1-6, Jan 1980.
SEKI, S. et al. Antimetastatic effect of NK1+ T cells on experimental haematogenous tumour
metastases in the liver and lungs of mice. Immunology [S.I.], v. 92, n. 4, p. 561-6, Dec 1997.
SEMMLING, V. et al. Alternative cross-priming through CCL17-CCR4-mediated attraction
of CTLs toward NKT cell-licensed DCs. Nat Immunol [S.I.], v. 11, n. 4, p. 313-20, Apr 2010.
SHARIF, S. et al. Regulation of autoimmune disease by natural killer T cells. J Mol Med
[S.I.], v. 80, n. 5, p. 290-300, May 2002.
______. Activation of natural killer T cells by alpha-galactosylceramide treatment prevents
the onset and recurrence of autoimmune Type 1 diabetes. Nat Med [S.I.], v. 7, n. 9, p.
1057-62, Sep 2001.
SHIMIZU, H. et al. Toll-like receptor 2 contributes to liver injury by Salmonella infection
through Fas ligand expression on NKT cells in mice. Gastroenterology [S.I.], v. 123, n. 4, p.
1265-77, Oct 2002.
SHRESTA, S. et al. Early activation of natural killer and B cells in response to primary
dengue virus infection in A/J mice. Virology [S.I.], v. 319, n. 2, p. 262-73, Feb 20 2004.
______. Interferon-dependent immunity is essential for resistance to primary dengue virus
infection in mice, whereas T- and B-cell-dependent immunity are less critical. J Virol [S.I.],
v. 78, n. 6, p. 2701-10, Mar 2004.
______. Murine model for dengue virus-induced lethal disease with increased vascular
permeability. J Virol [S.I.], v. 80, n. 20, p. 10208-17, Oct 2006.
SIERRA, B. et al. MCP-1 and MIP-1alpha expression in a model resembling early
immune response to dengue. Cytokine [S.I.], Jul 21 2010.
SOUZA, D. G. et al. Essential role of platelet-activating factor receptor in the pathogenesis
of Dengue virus infection. Proc Natl Acad Sci U S A [S.I.], v. 106, n. 33, p. 14138-43, Aug
18 2009.
______. IL-1-driven endogenous IL-10 production protects against the systemic and local
acute inflammatory response following intestinal reperfusion injury. J Immunol [S.I.], v.
170, n. 9, p. 4759-66, May 1 2003.
SPAIN-SANTANA, T. A. et al. MIP-1 alpha and MIP-1 beta induction by dengue virus.
J Med Virol [S.I.], v. 65, n. 2, p. 324-30, Oct 2001.
SPEYER, C. L. et al. Novel chemokine responsiveness and mobilization of neutrophils
during sepsis. Am J Pathol [S.I.], v. 165, n. 6, p. 2187-96, Dec 2004.
SRIKIATKHACHORN, A. Plasma leakage in dengue haemorrhagic fever. Thromb Haemost
[S.I.], v. 102, n. 6, p. 1042-9, Dec 2009.
152
Referências bibliográficas
SRIKIATKHACHORN, A. et al. Natural history of plasma leakage in dengue hemorrhagic
fever: a serial ultrasonographic study. Pediatr Infect Dis J [S.I.], v. 26, n. 4, p. 283-90;
discussion 291-2, Apr 2007.
STAMATOVIC, S. M. et al. Potential role of MCP-1 in endothelial cell tight junction
'opening': signaling via Rho and Rho kinase.J Cell Sci [S.I.], v. 116, n. Pt 22, p. 4615-28,
Nov 15 2003.
STEINKE, J. W.; BORISH, L. 3. Cytokines and chemokines. J Allergy Clin Immunol [S.I.],
v. 117, n. 2 Suppl Mini-Primer, p. S441-5, Feb 2006.
STEPHENSON, J. R. Understanding dengue pathogenesis: implications for vaccine
design. Bull World Health Organ [S.I.], v. 83, n. 4, p. 308-14, Apr 2005.
SUKSANPAISAN, L. et al. Infection of human primary hepatocytes with dengue
virus serotype 2. J Med Virol [S.I.], v. 79, n. 3, p. 300-7, Mar 2007.
SUTHAR, M. S. et al. Evasion and disruption of innate immune signalling by hepatitis C and
West Nile viruses. Cell Microbiol [S.I.], v. 11, n. 6, p. 880-8, Jun 2009.
SUZUKI, Y. et al. Liposome-encapsulated CpG oligodeoxynucleotides as a potent adjuvant for
inducing type 1 innate immunity. Cancer Res [S.I.], v. 64, n. 23, p. 8754-60, Dec 1 2004.
SWAIN, M. G. Hepatic NKT cells: friend or foe? Clin Sci (Lond) [S.I.], v. 114, n. 7, p. 457-
66, Apr 2008.
TAKEDA, K. et al. Critical contribution of liver natural killer T cells to a murine model
of hepatitis. Proc Natl Acad Sci U S A [S.I.], v. 97, n. 10, p. 5498-503, May 9 2000.
TASSANEETRITHEP, B. et al. DC-SIGN (CD209) mediates dengue virus infection of
human dendritic cells. J Exp Med [S.I.], v. 197, n. 7, p. 823-9, Apr 7 2003.
THELEN, M. et al. Chemokine receptor oligomerization: functional considerations. Curr
Opin Pharmacol [S.I.], v. 10, n. 1, p. 38-43, Feb 2010.
THELEN, M.; STEIN, J. V. How chemokines invite leukocytes to dance. Nat Immunol
[S.I.], v. 9, n. 9, p. 953-9, Sep 2008.
THEOFILOPOULOS, A. N. et al. Replication of dengue-2 virus in cultured human
lymphoblastoid cells and subpopulations of human peripheral leukocytes. J Immunol [S.I.], v.
117, n. 3, p. 953-61, Sep 1976.
THOMAS, L. H. et al. Respiratory syncytial virus-induced RANTES production from human
bronchial epithelial cells is dependent on nuclear factor-kappa B nuclear binding and is
inhibited by adenovirus-mediated expression of inhibitor of kappa B alpha. J Immunol [S.I.],
v. 161, n. 2, p. 1007-16, Jul 15 1998.
THOMAS, S. Y. et al. CD1d-restricted NKT cells express a chemokine receptor profile
indicative of Th1-type inflammatory homing cells. J Immunol [S.I.], v. 171, n. 5, p. 2571-80,
Sep 1 2003.
153
Referências bibliográficas
TORTORA, G. J. et al. Microbiology : an introduction. 7th. ed. San Francisco: Benjamin
Cummings, 2002.
TOYABE, S. et al. Requirement of IL-4 and liver NK1+ T cells for concanavalin A-
induced hepatic injury in mice. J Immunol [S.I.], v. 159, n. 3, p. 1537-42, Aug 1 1997.
TRAEGER, T. et al. Detrimental role of CC chemokine receptor 4 in murine
polymicrobial sepsis. Infect Immun [S.I.], v. 76, n. 11, p. 5285-93, Nov 2008.
TUPIN, E. et al. The unique role of natural killer T cells in the response to
microorganisms. Nat Rev Microbiol [S.I.], v. 5, n. 6, p. 405-17, Jun 2007.
TYZNIK, A. J. et al. Cutting edge: the mechanism of invariant NKT cell responses to viral
danger signals. J Immunol [S.I.], v. 181, n. 7, p. 4452-6, Oct 1 2008.
VAN DOMMELEN, S. L.; DEGLI-ESPOSTI, M. A. NKT cells and viral immunity. Immunol
Cell Biol [S.I.], v. 82, n. 3, p. 332-41, Jun 2004.
VAN DOMMELEN, S. L. et al. Activation of natural killer (NK) T cells during murine
cytomegalovirus infection enhances the antiviral response mediated by NK cells. J Virol
[S.I.], v. 77, n. 3, p. 1877-84, Feb 2003.
VAN KAER, L.; JOYCE, S. Innate immunity: NKT cells in the spotlight. Curr Biol [S.I.], v.
15, n. 11, p. R429-31, Jun 7 2005.
______. Viral evasion of antigen presentation: not just for peptides anymore. Nat
Immunol [S.I.], v. 7, n. 8, p. 795-7, Aug 2006.
VAN RHIJN, I. et al. CD1c bypasses lysosomes to present a lipopeptide antigen with
12 amino acids. J Exp Med [S.I.], v. 206, n. 6, p. 1409-22, Jun 8 2009.
VAUGHN, D. W. et al. Dengue viremia titer, antibody response pattern, and virus serotype
correlate with disease severity. J Infect Dis [S.I.], v. 181, n. 1, p. 2-9, Jan 2000.
VIJAYANAND, P. et al. Chemokine receptor 4 plays a key role in T cell recruitment into the
airways of asthmatic patients. J Immunol [S.I.], v. 184, n. 8, p. 4568-74, Apr 15.
VITARANA, T. et al. Elevated tumour necrosis factor in dengue fever and dengue
haemorrhagic fever. Ceylon Med J [S.I.], v. 36, n. 2, p. 63-5, Jun 1991.
WATTS, D. M. et al. Failure of secondary infection with American genotype dengue 2 to
cause dengue haemorrhagic fever. Lancet [S.I.], v. 354, n. 9188, p. 1431-4, Oct 23 1999.
WHITEHEAD, S. S. et al. Prospects for a dengue virus vaccine. Nat Rev Microbiol [S.I.], v.
5, n. 7, p. 518-28, Jul 2007.
WOLTMAN, A. M. et al. Alpha-galactosylceramide in chronic hepatitis B infection: results
from a randomized placebo-controlled Phase I/II trial. Antivir Ther [S.I.], v. 14, n. 6, p. 809-
18, 2009.
154
Referências bibliográficas
WRIGHT, H. et al. Multiplex cytokine profiling of initial therapeutic response in
patients with chronic hepatitis C virus infection. Dig Dis Sci [S.I.], v. 50, n. 10, p. 1793-
803, Oct 2005.
WU, L.; VAN KAER, L. Natural killer T cells and autoimmune disease. Curr Mol Med [S.I.],
v. 9, n. 1, p. 4-14, Feb 2009.
WYNN, T. A. Cellular and molecular mechanisms of fibrosis. J Pathol [S.I.], v. 214, n. 2, p.
199-210, Jan 2008.
YAMAGIWA, S. et al. Sustained response to interferon-alpha plus ribavirin therapy for
chronic hepatitis C is closely associated with increased dynamism of intrahepatic natural
killer and natural killer T cells. Hepatol Res [S.I.], v. 38, n. 7, p. 664-72, Jul 2008.
YANG, L.; MOSMANN, T. Synthesis of several chemokines but few cytokines by primed
uncommitted precursor CD4 T cells suggests that these cells recruit other immune cells
without exerting direct effector functions. Eur J Immunol [S.I.], v. 34, n. 6, p. 1617-26, Jun
2004.
YAUCH, L. E.; SHRESTA, S. Mouse models of dengue virus infection and disease. Antiviral
Res [S.I.], v. 80, n. 2, p. 87-93, Nov 2008.
YU, K. O.; PORCELLI, S. A. The diverse functions of CD1d-restricted NKT cells and their
potential for immunotherapy. Immunol Lett [S.I.], v. 100, n. 1, p. 42-55, Aug 15 2005.
YUAN, Q. et al. CCR4-dependent regulatory T cell function in inflammatory bowel
disease. J Exp Med [S.I.], v. 204, n. 6, p. 1327-34, Jun 11 2007.
YULING, H. et al. EBV-induced human CD8+ NKT cells suppress tumorigenesis by
EBV-associated malignancies. Cancer Res [S.I.], v. 69, n. 20, p. 7935-44, Oct 15 2009.
ZHOU, D. et al. Lysosomal glycosphingolipid recognition by NKT cells. Science [S.I.], v.
306, n. 5702, p. 1786-9, Dec 3 2004.
ZLOTNIK, A.; YOSHIE, O. Chemokines: a new classification system and their role
in immunity. Immunity [S.I.], v. 12, n. 2, p. 121-7, Feb 2000.
155
VIII. ANEXOS
ANEXO I
Role of the chemokine receptors CCR1, CCR2 and CCR4 in the pathogenesis of
experimental dengue infection in mice
PLoS One (Under review)
1
Role of the chemokine receptors CCR1, CCR2 and CCR4 in the 1
pathogenesis of experimental dengue infection in mice 2
3
Rodrigo Guabiraba
1,2
, Rafael Elias Marques
1
, Anne-Gaëlle Besnard
2
, Caio T. Fagundes
1
, 4
Danielle G. Souza
3
, Bernhard Ryffel
2
, Mauro M. Teixeira
1*
5
6
1 Immunopharmacology, Departamento de Bioquímica e Imunologia, Instituto de Ciências Biológicas, 7
Universidade Federal de Minas Gerais. 31270-901. Belo Horizonte, MG, Brazil. 8
2 Université d’Orléans and CNRS, UMR 6218, Molecular Immunology and Embryology. 45071. 9
Orléans, France. 10
3 Departamento de Microbiologia, Instituto de Ciências Biológicas, Universidade Federal de Minas 11
Gerais. 31270-901. Belo Horizonte, MG, Brazil. 12
13
14
*Corresponding author: 15
Dr. Mauro Martins Teixeira, MD, PhD 16
Departamento de Bioquimica e Imunologia, Instituto de Ciencias Biológicas, Universidade Federal de 17
Minas Gerais, Av. Antonio Carlos, 6627 – Pampulha. 31270-901 BELO HORIZONTE-MG, BRAZIL. 18
Phone/Fax # 55 31 3409 2651 19
e-mail: [email protected] 20
21
Running head: CC chemokine receptors and dengue infection 22
23
24
25
26
2
Abstract 27
Dengue virus (DENV), a mosquito-borne flavivirus, is a public health problem in many 28
tropical countries. Recent clinical data have shown an association between levels of different 29
chemokines in plasma and severity of dengue. We evaluated the role of CC chemokine 30
receptors CCR1, CCR2 and CCR4 in an experimental model of DENV-2 infection in mice. 31
Infection of mice induced evident clinical disease and tissue damage, including 32
thrombocytopenia, hemoconcentration, increased levels of transaminases and pro-33
inflammatory cytokines, and lethality in WT mice. Importantly, infected WT mice presented 34
increased levels of chemokines CCL2/JE, CCL3/MIP-1α and CCL5/RANTES in spleen and 35
liver. CCR1
-/-
mice had a mild phenotype with disease presentation and lethality similar to 36
those of WT mice. In CCR2
-/-
mice, lethality, liver damage, levels of IL-6 and IFN-γ, and 37
leukocyte activation were attenuated. However, thrombocytopenia, hemoconcentration and 38
systemic TNF-α levels were similar to infected WT mice. Infection enhanced levels of 39
CCL17/TARC, a CCR4 ligand. In CCR4
-/-
mice, lethality, tissue injury and systemic 40
inflammation were markedly decreased. Despite differences in disease presentation in CCR-41
deficient mice, there was no significant difference in viral load. In conclusion, activation of 42
chemokine receptors has discrete roles in the pathogenesis of dengue infection. These studies 43
suggest that the chemokine storm that follows severe primary dengue infection associates 44
mostly to development of disease rather than protection. 45
46
47
48
3
Introduction 49
Dengue fever (DF) and its severe forms, dengue hemorrhagic fever (DHF) and dengue 50
shock syndrome (DSS), are mosquito-borne diseases caused by one of four serotypes of 51
Dengue virus (DENV 1-4) [1,2,3]. DENV is a single-stranded RNA virus that belongs to the 52
Flaviviridae family and is transmitted to humans mainly by Aedes mosquitoes [1,4]. They 53
constitute a serious public health problem in tropical and subtropical areas, where the 54
incidence, distribution and clinical severity of dengue cases have dramatically increased in the 55
last 60 years [4]. Treatment of DF or DHF/DSS is largely supportive and the lack of clinical 56
or laboratory markers for an efficient diagnostic associated to the lack of a vaccine or specific 57
treatment put a serious burden on health systems of low income countries [1,4,5]. 58
The pathogenesis of DENV remains poorly understood and involves a complex 59
interplay of viral and host factors, including viral serotype [6,7], genotype [6], and the genetic 60
background of the host [8,9]. Secondary infection by a heterologous serotype has been shown 61
to be the single greatest risk factor for DHF/DSS in human subjects [9,10,11,12] although 62
severe disease in primary infections is also reported [6,13,14,15]. 63
DHF/DSS is characterized by hemorrhagic manifestations, thrombocytopenia and 64
hemoconcentration [1,4,7], where the dysfunction of vascular endothelial cells that leads to 65
plasma leakage is mediated by host immune response [5,12,13]. DENV can interact with 66
immune cells such as dendritic cells (DCs), monocytes/macrophages, hepatocytes and 67
endothelial cells [7,16,17,18,19,20], resulting in the production of immune mediators that 68
shape innate and acquired immune responses. High levels of pro-inflammatory cytokines and 69
chemokines, including TNF-, IL-6, IL-8, CCL2/MCP-1 and IFN-, have been reported in 70
patients with severe dengue disease [2,21,22,23]. However, it is not clearly understood how 71
this massive cytokine production is induced and eventually controlled, a phenomenon that 72
also occurs in bacterial sepsis and other shock related syndromes [24,25]. 73
4
Chemokines are members of a structurally related family of cytokines involved in 74
leukocyte traffic during inflammation. They are classified according to the relative position of 75
conserved N-terminal cysteine residues, in which CC chemokines represent the most 76
abundant family and have the first 2 cysteines placed adjacently [26,27]. Chemokine receptors 77
are expressed on the surface of leukocytes and are G protein-coupled receptors containing 7 78
transmembrane domains [26,28,29]. They may also contribute to angiogenesis, recruitment 79
and transmigration of leukocytes, vascular and tissue remodeling, chronification of 80
inflammation, among others [27,28,30,31,32]. Experimental and epidemiological evidences 81
suggest an important role for chemokines, especially those from the CC family, and their 82
receptors in infectious diseases such as HIV, HSV-1 and other viral infections 83
[27,33,34,35,36]. 84
Recent clinical studies in endemic areas describe a correlation between dengue disease 85
outcome and levels of CC chemokines, including CCL4/MIP1- and CCL3/MIP1-α, both 86
ligands for the CCR1 receptor, and for CCL2/MCP-1, the ligand for CCR2 [37,38,39]. A link 87
between CCL5/RANTES, a CCR1/CCR5 ligand, and hepatic dysfunction had already been 88
shown [40,41]. In addition, CCL2/MCP-1 and IL-8 are intimately related to hypotension, 89
thrombocytopenia and hemorrhagic shock [21,22,37,41,42]. However, the relevance of 90
chemokines for the pathogenesis and host response in the context of dengue infection remains 91
to be determined. 92
We have recently developed a model of dengue infection in mice that resembles many 93
of the features of severe dengue infection in humans, including thrombocytopenia, increased 94
vascular permeability, cytokine storm, systemic inflammation and death [43,44,45]. Using 95
this model, we have investigated the role of CC chemokine receptors CCR1, CCR2 and CCR4 96
during experimental DENV infection. Ligands to these receptors have been shown to be 97
elevated in human and experimental dengue infection [21,37,38,39,40,41,46,47]. 98
5
Material and Methods 99
Ethics statement 100
All experimental procedures were approved and complied with the French government’s 101
ethical and animal experiment regulations and the Comité National de Réflexion Ethique sur 102
l’Expérimentation Animale, CNRS, Orléans, France (CLE CCO 2009-013). 103
104
Mice 105
Eight to ten week-old male wild type (WT) C57BL/6 (H-2D
b
) mice were purchased from 106
Janvier (Le Genest-St-Isle, France). CCR1

CCR2

and CCR4

male mice, eight to ten 107
week-old, backcrossed
at least 10 times in C57BL/6, were bred in the animal facility of the 108
Transgenose Institute (CNRS, Orléans, France). All animals were kept under controlled 109
temperature (23°C) with a strict 12 h light/dark cycle, autoclaved food and water available ad 110
libitum under SPF (specific pathogen–free conditions). 111
112
Virus 113
The mouse-adapted DENV serotype 2 strain (DENV-2) P23085 was obtained from the State 114
Collection of Viruses, Moscow, Russia, and adapted as previously described [44]. Sequence 115
of portions of E and NS1 genes of the adapted virus was deposited previously at GenBank 116
under the accession number AY927231. Virus adaptation was performed in a maximum 117
containment biosafety level-3 (BSL-3) of the SRC VB “Vector”, Koltsovo, Russia. For the 118
current set of experiments, the last 2 passages of the mouse-adopted DENV-2 strain was 119
performed in LLC-MK2 cells (Kidney, Rhesus monkey, ATCC) to produce stocks which 120
were stored in Dulbecco’s Modified Eagles Medium (DMEM, Sigma-Aldrich) at -80°C. To 121
calculate virus titers in LLC MK2 cells supernatants, expressed as LD
50,
groups of ten mice 122
were inoculated i.p. with serial dilutions of the virus and lethality recorded. The titer of our 123
6
DENV-2 stock was 10
5
LD
50
/ml or 2 x 10
6
PFU/ml of LLC MK2 supernatant, as calculated in 124
8-10-week-old BALB/c mice, a more susceptible lineage [48]. 125
126
Infection and experimental design 127
For DENV infection, mice were handled and kept in a biosafety level 3 (BSL-3) in the animal 128
facility of the Transgenose Institute (CNRS, Orléans, France). For the evaluation of lethality 129
and inflammation, mice were inoculated i.p. with DENV-2 virus (10 LD
50
)
diluted in 100 µl 130
of endotoxin-free DPBS (Gibco). One LD
50
corresponds to the innoculum necessary to kill 131
50% of 4 weeks old BALB/c mice and correspond to approximately 20 PFU, as assessed in 132
LLC-MK2 cells. Lethality rates and body weight loss were evaluated every 12 h until day 14 133
post infection (p.i.). The other parameters were evaluated at day 6 after i.p. inoculation of the 134
virus, a time point where animals were still alive and showed significant clinical signs of 135
disease. In all experiments using genetically deficient mice (KO mice), experiments with the 136
relevant WT controls were performed in parallel. Viral stocks were prepared in LLC MK2 137
cells and non-infected animals were inoculated with DMEM supernatants from non-infected 138
LLC MK2 cells diluted in a similar manner. At day 6 p.i., mice were anesthetized i.p. with a 139
ketamine (100 mg/kg)/xylazine (10 mg/kg) solution diluted in sterile DPBS and blood were 140
recovered for serum preparation and hematological analysis. Then, mice were killed by 141
cervical displacement and spleen and liver samples were recovered for cytokine dosage, 142
FACS analysis and/or viral titration. Samples were stocked at -80°C prior to the analysis. 143
Liver samples were also used for histological analysis. 144
145
Titration of virus 146
Mice were assayed for viral titers in the liver, as previously described [43,45]. Briefly, tissue 147
samples were prepared as 10% (w/v) homogenates in DMEM without fetal bovine serum (FBS). 148
7
Viral load in the supernatants of tissue homogenates was assessed by direct plaque assays using 149
LLC-MK2 cells. Samples of organ homogenates were diluted serially and placed in duplicate 150
into 6-wells plates (TPP, Techno Plastic Products AG) of LLC-MK2 cell monolayers and 151
incubated for 1 h. An overlay solution containing 199 medium (Gibco) with Earle's salts, L-152
glutamine and 3% FBS in 1,5% CMC (Carboxymethylcellulose, Sigma) was added to each well 153
and the cultures were incubated for 9 days. Cultures were stained with crystal violet for 154
enumeration of viral plaques. The results were measured as plaque forming units (PFU) per 100 155
mg of tissue weight. The limit of detection of the assay was 10 PFU/100 mg of tissue. 156
157
Evaluation of blood parameters 158
Blood was obtained from the brachial plexus of anesthetized mice in heparin-containing 159
syringes, at the indicated times, and stocked in heparinized tubes prior to analysis. The final 160
concentration of heparin was 50 U/ml. Platelets and hematocrit were evaluated in a Coulter 161
Counter (S-Plus Jr, Beckman Coulter). Results are presented as percentage of hematocrit and 162
platelets per µl of blood. 163
164
AST and ALT dosage 165
Aspartate aminotransferase (AST) and Alanine aminotransferase (ALT) were dosed in non-166
hemolyzed serum samples as marker enzymes associated to hepatic damage due to DENV-2 167
infection. The colorimetric assays to evaluate the aforementioned enzymes were conducted 168
following the manufacturer’s protocol (Quibasa, Bioclin, Brazil). 169
170
Determination of Myeloperoxidase (MPO) activity 171
For MPO analysis, as an indirect index of neutrophil accumulation, spleen and liver 172
homogenates were prepared in 1 ml of PBS containing 0.5% hexadecyltrimethyl ammonium 173
8
bromide (HTAB) and 5 mM EDTA using a Dispomix tissue homogenizer (Medic Tools) and 174
the protocol was followed as already described [49]. Results are expressed as arbitrary units 175
(OD 492 nm) and were corrected for the activity of other peroxidases, which were not 176
inhibited by 3-amino-1,2,4-triazole. 177
178
Quantification of cytokines and chemokines concentrations 179
The concentrations of TNF- IFN-IL-6, CCL17/TARC, CCL2/JE, CCL3/MIP-1α and 180
CCL5/RANTESin serum or tissue samples were measured by ELISA using commercially 181
available antibodies and according to the procedures supplied by the manufacturer (R&D 182
Systems, Minneapolis). ELISA measurements for a given experiment were conducted in the 183
same plate. Results are expressed as pg/ml or pg per 100 mg of tissue. The detection limit of 184
the ELISA assays was in the range of 4-8 pg/ml. 185
186
Histopathology 187
A portion of liver was obtained from mice at day 6, immediately fixed in 4% buffered 188
formalin and tissues fragments were embedded in paraffin. Tissue sections (4 µm thick) were 189
stained with hematoxylin and eosin (H&E) and examined under light microscopy. Pictures 190
were taken using the QCapture Pro 6.0 software (QImaging, Canada). 191
192
Flow cytometry 193
Spleens were collected, homogenized in sterile strainers and resuspended in PBS 2% FBS. 194
Red blood cells were removed with lysis buffer (Sigma-Aldrich). Cells were stained for 195
extracellular molecular expression patterns using monoclonal antibodies (mAb) against 196
mouse CD3 (PerCP-Cy5-conjugated), DX5 (FITC-conjugated), CD4 (Pacific Blue-197
conjugated), CD8 (APC-Cy7-conjugated), F4/80 (PE-conjugated) CD69 (PE-conjugated), 198
9
CD11b (PerCp-Cy5.5-conjugated), Ly6G (PE-Cy7-conjugated), CD86 (APC-conjugated) and 199
isotype controls. All antibodies were purchased from BD Pharmingen (Le Pont de Claix, 200
France). In all cases, 5x10
5
to 1x10
6
gated events were acquired for later analysis. The 201
frequency of positive cells was analyzed using a gate that included lymphocytes, granulocytes 202
and monocytes/macrophages. Limits for the quadrant markers were always set based on 203
negative populations and isotype controls. Cells were acquired on a BD FACSCanto II (BD 204
Biosciences) cytometer and analyzed using the FlowJo 7.5.3 software (TreeStar Inc.). 205
Analysis in FlowJo software took into account size and granularity of populations. Frequency 206
in number of an analyzed population in front of total acquired events was used in the 207
construction of graphs. 208
209
Statistical analysis 210
Results are shown as means ± S.E.M. Differences were compared by using analysis of 211
variance (ANOVA) followed by Student-Newman-Keuls post-hoc analysis. Differences 212
between lethality curves were calculated using Log rank test (Graph Prism Software 4.0). 213
Results with a P<0.05 were considered significant. All data are representative of at least 2 214
experiments. 215
216
217
218
219
220
221
222
10
Results 223
Lethality rate after DENV-2 infection in mice 224
Mice infected with a mouse-adapted DENV-2 strain have a clinical presentation that 225
resembles DHF/DSS in humans, including thrombocytopenia and increased vascular 226
permeability that eventually leads to shock and death [43,44,45]. As seen in Figure 1A, 227
infection of WT mice with an innoculum of 10 LD
50
killed approximately 80% of mice 228
around days 6 to 8 after inoculation. Lethality rate in CCR1

mice was similar to that of WT 229
mice. In contrast, there was significant protection of infected CCR2

and CCR4

mice 230
(P=0,0312 and P=0,0091, respectively). Indeed, 60% of animals were still alive till day 14 231
after inoculation. Infection of WT mice was associated with rapid weight loss starting at day 4 232
p.i. and leading to loss of about 5% at day 7 for surviving animals. Of notice, CCR1

mice 233
lost weight in a manner similar to that of WT animals and weight loss was significantly 234
decreased in CCR2

and CCR4

mice at about 3% (data not shown). 235
236
Hematological parameters and viral load 237
Thrombocytopenia is a common finding in patients with dengue fever and DHF/DSS, 238
but does not appear to correlate with disease severity or outcome [1,7]. Thrombocytopenia is 239
first observed at day 3 and peak at days 6-7 after infection [6,37,50]. In the present study, 240
platelet levels were evaluated at day 6 p.i, a time point at which levels were lowest and the 241
percentage of surviving animals maximal. Platelet number in infected WT mice was about 242
30% of non-infected animals (Figure 1B). There was a similar fall in platelet number in both 243
CCR1

and CCR2

infected mice. The decrease of platelet numbers in CCR4

mice was 244
slightly less than in WT mice (Figure 1B). 245
Plasma leakage and consequent hemoconcentration is a relatively late event and a 246
major finding in patients with severe dengue [21,50,51,52,53]. Infection of WT mice induced 247
11
significant increase in hemoconcentration (Figure 1C). Similar increase was observed in 248
infected CCR1
-/-
and CCR2
-/-
deficient mice. Hemoconcentration occurred but was of lower 249
magnitude in infected CCR4

mice than in their WT controls (Figure 1C). 250
Despite differences observed in lethality and hematology, there were no significant 251
differences in viral titers in liver of WT and CCR1, CCR2 and CCR4 KO mice (Figure 1D). 252
253
Liver inflammation and injury 254
The liver is a major target organ in severe cases of dengue infection [7,16,41]. 255
Infection of mice with DENV-2 resulted in significant increase in serum levels of the 256
transaminases AST and ALT at day 6 (Figure 2A and B). Granulocytes often become 257
activated, accumulate in tissues and may contribute to organ damage in the context of DENV 258
infection [54]. There was significant accumulation of neutrophils in the liver (Figure 2C) and 259
spleen (data not shown) of infected WT mice, as assessed by tissue levels of MPO. The 260
changes above were accompanied by an increase in liver concentration of IL-6 and IFN-γ 261
(Figure 2D and E). Liver sections of infected WT revealed signs of congestion, haemorrhage, 262
hepatocyte degeneration and necrosis (Figure 3). 263
Overall, CCR1
-/-
mice had similar degree of damage as WT mice, with only slightly 264
enhanced MPO activity and levels of both IL-6 and IFN-γ in liver (Figure 2). MPO levels 265
were also slightly increased in liver of CCR2
-/-
mice, but there was decreased liver injury, as 266
seen by decreased levels of transaminases in serum and by histology. Decreased liver damage 267
was associated with decreased local production of both IL-6 and IFN-γ (Figure 2). Systemic 268
levels of transaminases and local levels of MPO and cytokines were significantly decreased in 269
infected CCR4
-/-
mice, a finding consistent with the amelioration of liver damage as 270
demonstrated in tissues sections (Figure 3). 271
12
Levels of the chemokines CCL2/JE, CCL3/MIP-1α, CCL5/RANTES and 272
CCL17/TARC were evaluated in liver samples of infected WT and chemokine receptor-273
deficient mice. With the exception of CCL17, which did not rise above basal levels in the 274
liver (data not shown), there was significant increase of CCL2, CCL3 and CCL5 after DENV-275
2 infection (Figure 4A-C). In infected CCR1
-/-
mice, levels of CCL3 increased slightly above 276
levels found in WT mice. CCR2
-/-
mice showed slightly enhanced levels of CCL2 and CCL5, 277
a finding consistent with the enhanced MPO levels observed in these mice. Levels of CCL2 278
and CCL5 were decreased in liver samples of CCR4
-/-
mice (Figure 4A and C). There were no 279
differences in basal levels of cytokines/chemokines between both non-infected WT and KO 280
mice (data not shown). 281
282
Systemic cytokine and chemokine response 283
Previous studies have shown that IL-6 and IFN-γ are elevated systemically in patients 284
with dengue or in experimental models of the infection [37,41,44,47,55,56,57]. Indeed, very 285
large concentrations of both IL-6 and IFN-γ were detectable in serum of DENV-2-infected 286
WT mice (Figure 5A and B). In CCR1
-/-
mice, concentration of IFN-γ was similar to WT mice 287
and there was an increase in serum levels of IL-6. Levels of both cytokines were decreased in 288
serum samples of CCR2
-/-
and CCR4
-/-
mice, as compared to infected WT mice (Figure 5). 289
Levels of TNF- and chemokines were measured in spleen homogenates to get a 290
glimpse of the systemic inflammatory response to dengue infection and because available 291
serum samples were used for transaminases and IL-6/ IFN-γ determinations. As seen in 292
Figure 6A, levels of TNF- were significantly enhanced after infection of WT mice. 293
Similarly, there was marked increase in levels of CCL2, CCL3, CCL5 and CCL17 in spleen 294
homogenates of infected WT mice (Figure 6B-E). Levels of all chemokines and TNF- were 295
decreased in infected CCR4
-/-
mice when compared to WT mice, with the exception of 296
13
CCL17 (Figure 6E). Indeed, the levels of CCL17, which binds to CCR4, were greatly 297
enhanced in CCR4
-/-
mice. Levels of TNF- were similar in infected CCR1
-/-
and CCR2
-/-
298
mice when compared to WT mice. Levels of CCL3 are enhanced in CCR1
-/-
mice and levels 299
of CCL2 and CCL5 in spleen homogenates of infected CCR2
-/-
mice (Figure 6). There were 300
no differences in basal levels of cytokines/chemokines between both non-infected WT and 301
KO mice (data not shown). 302
303
Number and activation of leukocytes in spleen 304
Next, we evaluated the number of leukocytes in spleen of WT and chemokine receptor 305
deficient mice in the course of dengue infection. Overall, DENV-2 infection caused 306
significant reduction in the total number of CD3
+
CD4
+
, CD3
+
CD8
+
and NKT cells 307
(CD3
+
DX5
+
) in the spleen of infected when compared to non-infected WT mice (Figure 7A, 308
C and E). Despite reduction in total cell numbers, activated CD8
+
, CD4
+
T and NKT cells, as 309
determined by CD69 expression, were more abundant in spleen of infected mice (Figure 7B, 310
D and F). Similar findings were observed in CCR1
-/-
mice; ie. decreased number of cells but 311
available cells were more activated (Figure 7). In contrast, absence of CCR2 or CCR4 312
partially reversed the phenotype observed in WT mice. Indeed, there was a lesser decrease in 313
total CD8
+
, CD4
+
T and NKT number and cells tended to be less activated (Figure 7). 314
In contrast to the CD8
+
, CD4
+
T and NKT lymphopenia, DENV-2 infection caused 315
significant increase in the number of NK cells (CD3
DX5
+
), macrophages (CD11b
+
F4/80
+
) 316
and neutrophils (CD11b
+
Ly6G
+
) (Figure 8A-C). Again, infected CCR1
-/-
mice were similar to 317
infected WT mice, with the exception of an increase in number of neutrophils in spleen. 318
CCR2
-/-
mice had only mild changes in comparison to their WT controls, whereas CCR4
-/-
319
mice had decreased accumulation of all 3 cell types in spleen (Figure 8). 320
321
14
Discussion 322
In the present work we have investigated the putative role of CC chemokine receptors 323
CCR1, CCR2 and CCR4 in the context of experimental Dengue virus infection. Our major 324
findings can be summarized as follows: 1) CCR1 does not seem to have a major role in the 325
pathogenesis of severe experimental dengue infection; 2) CCR2 appeared to contribute to 326
dengue-associated liver damage and this was reflected on decreased leukocyte activation and 327
decreased lethality. However, there was no major difference in the systemic inflammatory 328
response associated with infection; 3) CCR4 also contributed to the pathogenesis of 329
experimental dengue infection and was relevant for virus-induced liver damage and associated 330
systemic inflammation. This was reflected on the decreased leukocyte activation and 331
decreased lethality. 332
CCR1 receptors are widely expressed in monocytic and non-monocytic populations 333
[29,30,31]. CCR1 ligands, such as CCL3/MIP-1α and CCL4/ MIP-1β, are found in elevated 334
concentrations in plasma of patients with DENV infection and may associated with disease 335
severity [37,38,39]. Consistently with the latter finding, levels of CCL3/MIP-1α are increased 336
in spleen and liver of infected mice. However, we found that the course of infection in CCR1
-
337
/-
was similar to that in WT mice. Levels of CCL3 were greater in spleen and liver of infected 338
CCR1
-/-
than infected WT animals. This is in agreement with the idea that chemokine 339
receptors work as important negative modulators or scavengers of their own ligands and 340
lower their levels in tissues [58]. In that respect, elevated levels of CCL3 could then activate 341
the other CCL3 receptor, CCR5. We have not investigated here the role of CCR5 to infection 342
outcome but it is clear that CCR1
-/-
mice had no major phenotype when infected with an 343
innoculum which causes severe disease in mice. Therefore, CCR1 does not appear to play a 344
major role in the pathogenesis of severe experimental dengue infection. 345
15
CCL2/MCP-1 is produced under many inflammatory conditions and exerts its 346
functions mainly through the CCR2 receptor, which is expressed in monocytes, macrophages 347
and also neutrophils [25,27,31,59]. Levels of CCL2 have been positively associated with 348
worse prognosis in DENV-infected subjects [21,37]. In our experiments, survival rates were 349
reduced in CCR2
-/-
mice and this was associated to decreased levels of serum transaminases 350
and reduced liver inflammation and damage. Of interest, hepatocytes are common targets of 351
DENV and can actively respond to the infection by producing cytokines and chemokines [41]. 352
The degree of thrombocytopenia and hemoconcentration was similar in WT and CCR2
-/-
353
mice, but levels of IL-6 and IFN-γ, but not TNF-α, were decreased systemically in infected 354
CCR2
-/-
mice. There was also decreased activation of major cell types involved in DENV 355
infection, including CD4+, CD8+, NKT cells and macrophages. Interestingly, preliminary 356
data from our group shows that NKT cells contribute to the “cytokine storm” associated with 357
DENV infection in mice (Renneson et al, 2010, unpublished data). Therefore, decreased 358
leukocyte activation in infected CCR2
-/-
mice may explain the decreased cytokine storm and 359
decreased tissue damage observed in these animals. Increased plasma extravasation is thought 360
to lead to hemoconcentration, hypotension and death [21,50,51,52,53]. It is, therefore, not 361
clear why there is still significant hemoconcentration in CCR2
-/-
mice at day 6 after infection, 362
despite decreased cytokine levels, liver damage and lethality rates. It is possible that a few 363
animals may eventually recover from the massive vascular permeability which leads to 364
hemoconcentration because they have more adequate liver function. Experimentally, these are 365
difficult experiments to perform because control animals are mostly dead at later stages of 366
infection and there would be few control animals with which to compare the CCR2
-/-
mice. 367
Surviving CCR2
-/-
mice have normal blood parameters at later stages (day 14) of infection 368
(data not shown). Thus, CCR2 plays a role in the pathogenesis of severe experimental dengue 369
16
infection and it appears that enhanced survival in CCR2
-/-
mice is probably secondary to 370
decreased liver damage, decreased cell activation and decreased cytokine storm. 371
The CCR4 receptor is expressed on T cells, especially Th2-type lymphocytes, and may 372
contribute to the pathogenesis of severe conditions, including asthma [60,61,62,63,64,65]. 373
Interestingly, CCR4 deficiency results in attenuated severity of murine polymicrobial sepsis 374
and lipopolysaccharide-induced endotoxic shock, implicating this receptor in the pathogenesis 375
of acute conditions [66,67]. Other experiments, however, have found a protective role for 376
CCL22/MDC, a CCR4 ligand, in a cecal ligation and puncture (CLP) model of sepsis in mice 377
[68]. In preliminary experiments, we found that CCL17/TARC, one of the ligands for CCR4, 378
was detectable at high levels in spleen of infected mice. More importantly, experiments in 379
CCR4
-/-
showed that these animals were protected from DENV-associated disease. Indeed, 380
there was decreased hemoconcentration, thrombocytopenia, liver damage, systemic 381
inflammation and leukocyte activation in CCR4
-/-
mice. This resulted in significant protection 382
from lethality. These results imply a crucial role of this receptor in the pathogenesis of 383
DENV-associated severe disease. Importantly, viral load was not altered in CCR4-/- when 384
compared to WT animals. These results suggest that CCR4 does not play a major role in the 385
control of viral entry and replication, but contribute mostly to the cascade of events that lead 386
to tissue and systemic damage. In this respect, our findings are consistent with the protective 387
role of CCR4 in the pathogenesis of bacterial sepsis [66,67]. It is difficult to suggest the 388
mechanism by which CCR4 may contribute to the pathogenesis of dengue. However, CCR4 389
may be important for the trafficking and activation of NKT cells and naive CD8+ cells by at 390
least two independent chemokine pathways, including CCL17/TARC and CCL22 [69,70]. In 391
addition, excessive NKT activation contributes to the pathogenesis of severe disease in our 392
model (Renneson et al, 2010, unpublished data). Thus, at least in viral (present study) and 393
polymicrobial sepsis, blockade of CCR4 may be beneficial from the therapeutic point of view, 394
17
a tenet that must be tested further in patients. Indeed, we are unaware of studies 395
demonstrating the putative role of CCR4 ligands, such as CCL17 and CCL22, in the context 396
of DENV infection in humans. 397
In conclusion, CCR1, CCR2 and CCR4 play discrete roles in the pathogenesis of 398
disease in a model of DENV in mice. In contrast, these receptors appear not to play an 399
essential role in protection against primary infection. Our studies suggest that the chemokine 400
storm that follows severe primary dengue infection associates mostly to development of 401
disease rather than protection. It is, therefore, possible that blockade of the chemokine system 402
may be beneficial as co-adjuvant treatment for severe dengue infection. 403
404
Acknowledgements 405
We acknowledge I. Maillet and M. Fauconnier for their technical assistance (CNRS UMR 406
6218, Orléans, France) and Dr. R.C. Russo (UFMG) for his helpful discussions. 407
408
409
410
411
412
413
414
415
416
417
418
419
18
Figure 1. Lethality rate, hematological alterations and viral load upon DENV-2 420
infection. WT or CCR1

CCR2

and CCR4

(KO) mice were infected i.p. with 10 LD
50
421
of DENV-2 and then monitored for lethality until day 14. In panel A, percentages of survival 422
(n = 10-12). Hematological analysis were done at day 6 p.i. for changes in platelets count (B) 423
and hematocrit (C) in the blood of non-infected and infected-WT and KO mice. In panel D, 424
viral loads recovered from the liver of WT and KO mice at day 6 p.i. shown as the log of 425
PFU/100 mg of tissue. Results are expressed as mean ± SEM and are representative of at least 426
two experiments. * P< 0.05, *** P < 0.001 when compared to non-infected mice. # P < 0.05, 427
## P < 0.01 when compared to WT infected mice. NI: non-infected mice. 428
429
Figure 2. Liver inflammation and injury upon DENV-2 infection. WT or KO mice were 430
infected i.p. with 10 LD
50
of DENV-2 and then sacrificed at day 6 for blood and tissue 431
samples. AST (A) and ALT (B) were dosed in serum of WT and KO mice as markers of 432
hepatic injury. MPO activity, as an index of neutrophil accumulation, was evaluated in liver 433
(C). Concentrations of cytokines IL-6 (D) and IFN-γ (E) were evaluated in liver homogenates 434
by ELISA and are expressed as pg per 100 mg of tissue. Results are expressed as mean ± 435
SEM and are representative of at least two experiments (n = 5-6). * P< 0.05, *** P < 0.001 436
when compared to non-infected mice. # P<0.05, ## P < 0.01, ### P < 0.001 when compared 437
to WT infected mice. NI: non-infected mice. 438
439
Figure 3. Histological changes in liver upon DENV-2 infection in mice. WT or KO mice 440
were infected i.p. with 10 LD
50
of DENV-2 and then sacrificed at day 6 for tissue samples. 441
Hematoxylin & Eosin stained liver sections from non-infected and DENV-2 infected WT, 442
CCR1

CCR2

and CCR4

mice, showing different degrees of congestion, hemorrhage, 443
19
hepatocyte degeneration and necrosis. Each slide presented in the panel is representative of at 444
least 10 different fields. Magnification: 400X. 445
446
Figure 4. Chemokines production in liver upon DENV-2 infection in mice. WT or KO 447
mice were infected i.p. with 10LD
50
of DENV-2 and then sacrificed at day 6 for tissue 448
samples. CCL2/JE (A), CCL3/MIP-1α (B) and CCL5/RANTES (C) were evaluated in liver 449
homogenates by ELISA and are expressed as pg per 100 mg of tissue. Results are expressed 450
as mean ± SEM and are representative of at least two experiments (n = 5-6). *P < 0.05, *** P 451
< 0.001 when compared to non-infected mice. # P < 0.05, ## P < 0.01, ### P < 0.001 when 452
compared to WT infected mice. NI: non-infected mice. 453
454
Figure 5. Cytokine production in serum upon DENV-2 infection in mice. WT or KO mice 455
were infected i.p. with 10 LD
50
of DENV-2 and then sacrificed at day 6 for blood samples. 456
IL-6 (A) and IFN-γ (B) were evaluated in serum by ELISA and are expressed as pg/ml. 457
Results are expressed as mean ± SEM and are representative of at least two experiments (n = 458
5-6). ** P < 0.01, *** P < 0.001 when compared to non-infected mice. # P < 0.05, ## P < 459
0.01, ### P < 0.001 when compared to WT infected mice. NI: non-infected mice. 460
461
Figure 6. Cytokine and chemokine production in spleen upon DENV-2 infection in mice. 462
WT or KO mice were infected i.p. with 10 LD
50
of DENV-2 and then sacrificed at day 6 for 463
tissue samples. TNF-α (A), CCL2/JE (B), CCL3/MIP-1α (C), CCL5/RANTES (D) and 464
CCL17/TARC (E) were evaluated in spleen homogenates by ELISA and are expressed as pg 465
per 100 mg of tissue. Results are expressed as mean ± SEM and are representative of at least 466
two experiments (n = 5-6). * P < 0.05, *** P < 0.001 when compared to non-infected mice. # 467
20
P < 0.05, ## P < 0.01, ### P < 0.001 when compared to WT infected mice. NI: non-infected 468
mice. 469
470
Figure 7. Lymphocyte number and activation in CC chemokine receptors deficient mice 471
upon DENV-2 infection. WT or KO mice were infected i.p. with 10 LD
50
of DENV-2 and 472
then sacrificed at day 6. Splenic leukocytes were stained with specific antibodies. Flow 473
cytometry, according to size and granularity, were performed as analysis. The numbers of 474
specific cell populations are shown as compared to total number of leukocytes. Number of T 475
lymphocytes CD3
+
CD4
+
(A) and CD3
+
CD8
+
(C) were evaluated in WT and KO mice. 476
Activated T lymphocytes expressing CD69 were also evaluated for CD4
+
(B) and CD8
+
(D) 477
populations. The number of CD3
+
DX5
+
NKT cells (E) and their activation by CD69 478
expression as MFI, were also evaluated (F). Results are expressed as mean ± SEM and are 479
representative of at least two experiments (n = 5-6). *P < 0.05, ** P < 0.01, *** P < 0.001 480
when compared to non-infected mice. # P < 0.05, ## P < 0.01 when compared to WT infected 481
mice. NI: non-infected mice. MFI: Mean fluorescence intensity. 482
483
Figure 8. NK, macrophages and neutrophils in CC chemokine receptors deficient mice 484
upon DENV-2 infection. WT or KO mice were infected i.p. with 10 LD
50
of DENV-2 and 485
then sacrificed at day 6. Splenic leukocytes were stained with specific antibodies. Flow 486
cytometry, according to size and granularity, were performed as analysis. The numbers of 487
specific cell populations are shown as compared to total number of leukocytes. Numbers of 488
CD3
-
DX5
+
NK cells (A), macrophages CD11b
+
F4/80
+
(B) and infiltrating neutrophils 489
CD11b
+
Ly6G
+
(C) were evaluated. Results are expressed as mean ± SEM and are 490
representative of at least two experiments (n = 5-6). *P < 0.05, ** P < 0.01, *** P < 0.001 491
21
when compared to non-infected mice. # P < 0.05, ## P < 0.01 when compared to WT infected 492
mice. NI: non-infected mice. 493
494
495
496
497
498
499
500
501
502
503
504
505
506
507
508
509
510
511
512
513
514
515
22
Figure 1 516
517
518
519
520
521
522
523
524
525
526
527
528
529
530
531
532
533
534
535
536
537
538
539
540
541
23
Figure 2 542
543
544
545
546
547
548
549
550
551
552
24
Figure 3 553
554
555
556
557
558
559
560
25
Figure 4 561
562
563
Figure 5 564
565
566
567
568
569
570
571
572
26
Figure 6 573
574
575
576
577
578
579
580
581
582
583
584
27
Figure 7 585
586
587
28
588
Figure 8 589
590
591
592
593
594
595
596
597
598
599
600
601
602
603
604
605
606
29
607
References 608
1. Guzman MG, Kouri G (2002) Dengue: an update. Lancet Infect Dis 2: 33-42. 609
2. Mackenzie JS, Gubler DJ, Petersen LR (2004) Emerging flaviviruses: the spread and 610
resurgence of Japanese encephalitis, West Nile and dengue viruses. Nat Med 10: S98-611
109. 612
3. Kalayanarooj S, Vaughn DW, Nimmannitya S, Green S, Suntayakorn S, et al. (1997) Early 613
clinical and laboratory indicators of acute dengue illness. J Infect Dis 176: 313-321. 614
4. Deen JL, Harris E, Wills B, Balmaseda A, Hammond SN, et al. (2006) The WHO dengue 615
classification and case definitions: time for a reassessment. Lancet 368: 170-173. 616
5. Gibbons RV, Vaughn DW (2002) Dengue: an escalating problem. BMJ 324: 1563-1566. 617
6. Balmaseda A, Hammond SN, Perez L, Tellez Y, Saborio SI, et al. (2006) Serotype-specific 618
differences in clinical manifestations of dengue. Am J Trop Med Hyg 74: 449-456. 619
7. Gubler DJ (1998) Dengue and dengue hemorrhagic fever. Clin Microbiol Rev 11: 480-496. 620
8. Halstead SB, Streit TG, Lafontant JG, Putvatana R, Russell K, et al. (2001) Haiti: absence 621
of dengue hemorrhagic fever despite hyperendemic dengue virus transmission. Am J 622
Trop Med Hyg 65: 180-183. 623
9. Guzman MG, Kouri G, Valdes L, Bravo J, Vazquez S, et al. (2002) Enhanced severity of 624
secondary dengue-2 infections: death rates in 1981 and 1997 Cuban outbreaks. Rev 625
Panam Salud Publica 11: 223-227. 626
10. Burke DS, Nisalak A, Johnson DE, Scott RM (1988) A prospective study of dengue 627
infections in Bangkok. Am J Trop Med Hyg 38: 172-180. 628
11. Halstead SB, Nimmannitya S, Cohen SN (1970) Observations related to pathogenesis of 629
dengue hemorrhagic fever. IV. Relation of disease severity to antibody response and 630
virus recovered. Yale J Biol Med 42: 311-328. 631
12. Thein S, Aung MM, Shwe TN, Aye M, Zaw A, et al. (1997) Risk factors in dengue shock 632
syndrome. Am J Trop Med Hyg 56: 566-572. 633
13. Clyde K, Kyle JL, Harris E (2006) Recent advances in deciphering viral and host 634
determinants of dengue virus replication and pathogenesis. J Virol 80: 11418-11431. 635
14. Nisalak A, Endy TP, Nimmannitya S, Kalayanarooj S, Thisayakorn U, et al. (2003) 636
Serotype-specific dengue virus circulation and dengue disease in Bangkok, Thailand 637
from 1973 to 1999. Am J Trop Med Hyg 68: 191-202. 638
15. Vaughn DW, Green S, Kalayanarooj S, Innis BL, Nimmannitya S, et al. (2000) Dengue 639
viremia titer, antibody response pattern, and virus serotype correlate with disease 640
severity. J Infect Dis 181: 2-9. 641
16. Martina BE, Koraka P, Osterhaus AD (2009) Dengue virus pathogenesis: an integrated 642
view. Clin Microbiol Rev 22: 564-581. 643
17. Balmaseda A, Saborio S, Tellez Y, Mercado JC, Perez L, et al. (2008) Evaluation of 644
immunological markers in serum, filter-paper blood spots, and saliva for dengue 645
diagnosis and epidemiological studies. J Clin Virol 43: 287-291. 646
18. Rodriguez-Madoz JR, Bernal-Rubio D, Kaminski D, Boyd K, Fernandez-Sesma A 647
Dengue virus inhibits the production of type I interferon in primary human dendritic 648
cells. J Virol 84: 4845-4850. 649
19. Couvelard A, Marianneau P, Bedel C, Drouet MT, Vachon F, et al. (1999) Report of a 650
fatal case of dengue infection with hepatitis: demonstration of dengue antigens in 651
hepatocytes and liver apoptosis. Hum Pathol 30: 1106-1110. 652
30
20. Jessie K, Fong MY, Devi S, Lam SK, Wong KT (2004) Localization of dengue virus in 653
naturally infected human tissues, by immunohistochemistry and in situ hybridization. J 654
Infect Dis 189: 1411-1418. 655
21. Lee YR, Liu MT, Lei HY, Liu CC, Wu JM, et al. (2006) MCP-1, a highly expressed 656
chemokine in dengue haemorrhagic fever/dengue shock syndrome patients, may cause 657
permeability change, possibly through reduced tight junctions of vascular endothelium 658
cells. J Gen Virol 87: 3623-3630. 659
22. Medin CL, Fitzgerald KA, Rothman AL (2005) Dengue virus nonstructural protein NS5 660
induces interleukin-8 transcription and secretion. J Virol 79: 11053-11061. 661
23. Navarro-Sanchez E, Despres P, Cedillo-Barron L (2005) Innate immune responses to 662
dengue virus. Arch Med Res 36: 425-435. 663
24. Brown KL, Cosseau C, Gardy JL, Hancock RE (2007) Complexities of targeting innate 664
immunity to treat infection. Trends Immunol 28: 260-266. 665
25. Speyer CL, Gao H, Rancilio NJ, Neff TA, Huffnagle GB, et al. (2004) Novel chemokine 666
responsiveness and mobilization of neutrophils during sepsis. Am J Pathol 165: 2187-667
2196. 668
26. Rollins BJ (1997) Chemokines. Blood 90: 909-928. 669
27. Zlotnik A, Yoshie O (2000) Chemokines: a new classification system and their role in 670
immunity. Immunity 12: 121-127. 671
28. Mantovani A (1999) Chemokines. Introduction and overview. Chem Immunol 72: 1-6. 672
29. Murphy PM (1994) The molecular biology of leukocyte chemoattractant receptors. Annu 673
Rev Immunol 12: 593-633. 674
30. Baggiolini M (1998) Chemokines and leukocyte traffic. Nature 392: 565-568. 675
31. Locati M, Otero K, Schioppa T, Signorelli P, Perrier P, et al. (2002) The chemokine 676
system: tuning and shaping by regulation of receptor expression and coupling in 677
polarized responses. Allergy 57: 972-982. 678
32. Mantovani A (1999) The chemokine system: redundancy for robust outputs. Immunol 679
Today 20: 254-257. 680
33. Glass WG, Rosenberg HF, Murphy PM (2003) Chemokine regulation of inflammation 681
during acute viral infection. Curr Opin Allergy Clin Immunol 3: 467-473. 682
34. Horuk R, Proudfoot AE (2009) Drug discovery targeting the chemokine system--where 683
are we? Front Biosci (Elite Ed) 1: 209-219. 684
35. Russo RC, Garcia CC, Teixeira MM Anti-inflammatory drug development: Broad or 685
specific chemokine receptor antagonists? Curr Opin Drug Discov Devel 13: 414-427. 686
36. Locati M, Murphy PM (1999) Chemokines and chemokine receptors: biology and clinical 687
relevance in inflammation and AIDS. Annu Rev Med 50: 425-440. 688
37. Bozza FA, Cruz OG, Zagne SM, Azeredo EL, Nogueira RM, et al. (2008) Multiplex 689
cytokine profile from dengue patients: MIP-1beta and IFN-gamma as predictive 690
factors for severity. BMC Infect Dis 8: 86. 691
38. Spain-Santana TA, Marglin S, Ennis FA, Rothman AL (2001) MIP-1 alpha and MIP-1 692
beta induction by dengue virus. J Med Virol 65: 324-330. 693
39. Sierra B, Perez AB, Vogt K, Garcia G, Schmolke K, et al. MCP-1 and MIP-1alpha 694
expression in a model resembling early immune response to dengue. Cytokine. 695
40. Conceicao TM, El-Bacha T, Villas-Boas CS, Coello G, Ramirez J, et al. Gene expression 696
analysis during dengue virus infection in HepG2 cells reveals virus control of innate 697
immune response. J Infect 60: 65-75. 698
41. Suksanpaisan L, Cabrera-Hernandez A, Smith DR (2007) Infection of human primary 699
hepatocytes with dengue virus serotype 2. J Med Virol 79: 300-307. 700
42. Schnittler HJ, Feldmann H (2003) Viral hemorrhagic fever--a vascular disease? Thromb 701
Haemost 89: 967-972. 702
31
43. Assuncao-Miranda I, Amaral FA, Bozza FA, Fagundes CT, Sousa LP, et al. Contribution 703
of macrophage migration inhibitory factor to the pathogenesis of dengue virus 704
infection. FASEB J 24: 218-228. 705
44. Atrasheuskaya A, Petzelbauer P, Fredeking TM, Ignatyev G (2003) Anti-TNF antibody 706
treatment reduces mortality in experimental dengue virus infection. FEMS Immunol 707
Med Microbiol 35: 33-42. 708
45. Souza DG, Fagundes CT, Sousa LP, Amaral FA, Souza RS, et al. (2009) Essential role of 709
platelet-activating factor receptor in the pathogenesis of Dengue virus infection. Proc 710
Natl Acad Sci U S A 106: 14138-14143. 711
46. King CA, Anderson R, Marshall JS (2002) Dengue virus selectively induces human mast 712
cell chemokine production. J Virol 76: 8408-8419. 713
47. Lin YL, Liu CC, Chuang JI, Lei HY, Yeh TM, et al. (2000) Involvement of oxidative 714
stress, NF-IL-6, and RANTES expression in dengue-2-virus-infected human liver 715
cells. Virology 276: 114-126. 716
48. Shresta S, Kyle JL, Robert Beatty P, Harris E (2004) Early activation of natural killer and 717
B cells in response to primary dengue virus infection in A/J mice. Virology 319: 262-718
273. 719
49. Souza DG, Guabiraba R, Pinho V, Bristow A, Poole S, et al. (2003) IL-1-driven 720
endogenous IL-10 production protects against the systemic and local acute 721
inflammatory response following intestinal reperfusion injury. J Immunol 170: 4759-722
4766. 723
50. Binh PT, Matheus S, Huong VT, Deparis X, Marechal V (2009) Early clinical and 724
biological features of severe clinical manifestations of dengue in Vietnamese adults. J 725
Clin Virol 45: 276-280. 726
51. Green S, Rothman A (2006) Immunopathological mechanisms in dengue and dengue 727
hemorrhagic fever. Curr Opin Infect Dis 19: 429-436. 728
52. Srikiatkhachorn A (2009) Plasma leakage in dengue haemorrhagic fever. Thromb 729
Haemost 102: 1042-1049. 730
53. Srikiatkhachorn A, Krautrachue A, Ratanaprakarn W, Wongtapradit L, Nithipanya N, et 731
al. (2007) Natural history of plasma leakage in dengue hemorrhagic fever: a serial 732
ultrasonographic study. Pediatr Infect Dis J 26: 283-290; discussion 291-282. 733
54. Juffrie M, van Der Meer GM, Hack CE, Haasnoot K, Sutaryo, et al. (2000) Inflammatory 734
mediators in dengue virus infection in children: interleukin-8 and its relationship to 735
neutrophil degranulation. Infect Immun 68: 702-707. 736
55. Fink K, Ng C, Nkenfou C, Vasudevan SG, van Rooijen N, et al. (2009) Depletion of 737
macrophages in mice results in higher dengue virus titers and highlights the role of 738
macrophages for virus control. Eur J Immunol 39: 2809-2821. 739
56. Kyle JL, Balsitis SJ, Zhang L, Beatty PR, Harris E (2008) Antibodies play a greater role 740
than immune cells in heterologous protection against secondary dengue virus infection 741
in a mouse model. Virology 380: 296-303. 742
57. Shresta S, Kyle JL, Snider HM, Basavapatna M, Beatty PR, et al. (2004) Interferon-743
dependent immunity is essential for resistance to primary dengue virus infection in 744
mice, whereas T- and B-cell-dependent immunity are less critical. J Virol 78: 2701-745
2710. 746
58. Cardona AE, Sasse ME, Liu L, Cardona SM, Mizutani M, et al. (2008) Scavenging roles 747
of chemokine receptors: chemokine receptor deficiency is associated with increased 748
levels of ligand in circulation and tissues. Blood 112: 256-263. 749
59. Johnston B, Burns AR, Suematsu M, Issekutz TB, Woodman RC, et al. (1999) Chronic 750
inflammation upregulates chemokine receptors and induces neutrophil migration to 751
monocyte chemoattractant protein-1. J Clin Invest 103: 1269-1276. 752
32
60. Nouri-Aria KT, Wilson D, Francis JN, Jopling LA, Jacobson MR, et al. (2002) CCR4 in 753
human allergen-induced late responses in the skin and lung. Eur J Immunol 32: 1933-754
1938. 755
61. Schuh JM, Power CA, Proudfoot AE, Kunkel SL, Lukacs NW, et al. (2002) Airway 756
hyperresponsiveness, but not airway remodeling, is attenuated during chronic 757
pulmonary allergic responses to Aspergillus in CCR4-/- mice. FASEB J 16: 1313-758
1315. 759
62. Vijayanand P, Durkin K, Hartmann G, Morjaria J, Seumois G, et al. Chemokine receptor 760
4 plays a key role in T cell recruitment into the airways of asthmatic patients. J 761
Immunol 184: 4568-4574. 762
63. Yuan Q, Bromley SK, Means TK, Jones KJ, Hayashi F, et al. (2007) CCR4-dependent 763
regulatory T cell function in inflammatory bowel disease. J Exp Med 204: 1327-1334. 764
64. Luster AD (2001) Antichemokine immunotherapy for allergic diseases. Curr Opin Allergy 765
Clin Immunol 1: 561-567. 766
65. Di Stasi A, De Angelis B, Rooney CM, Zhang L, Mahendravada A, et al. (2009) T 767
lymphocytes coexpressing CCR4 and a chimeric antigen receptor targeting CD30 have 768
improved homing and antitumor activity in a Hodgkin tumor model. Blood 113: 6392-769
6402. 770
66. Traeger T, Kessler W, Assfalg V, Cziupka K, Koerner P, et al. (2008) Detrimental role of 771
CC chemokine receptor 4 in murine polymicrobial sepsis. Infect Immun 76: 5285-772
5293. 773
67. Chvatchko Y, Hoogewerf AJ, Meyer A, Alouani S, Juillard P, et al. (2000) A key role for 774
CC chemokine receptor 4 in lipopolysaccharide-induced endotoxic shock. J Exp Med 775
191: 1755-1764. 776
68. Matsukawa A, Hogaboam CM, Lukacs NW, Lincoln PM, Evanoff HL, et al. (2000) 777
Pivotal role of the CC chemokine, macrophage-derived chemokine, in the innate 778
immune response. J Immunol 164: 5362-5368. 779
69. Kim CH, Johnston B, Butcher EC (2002) Trafficking machinery of NKT cells: shared and 780
differential chemokine receptor expression among V alpha 24(+)V beta 11(+) NKT 781
cell subsets with distinct cytokine-producing capacity. Blood 100: 11-16. 782
70. Semmling V, Lukacs-Kornek V, Thaiss CA, Quast T, Hochheiser K, et al. Alternative 783
cross-priming through CCL17-CCR4-mediated attraction of CTLs toward NKT cell-784
licensed DCs. Nat Immunol 11: 313-320. 785
ANEXO II
A detrimental role for invariant Natural Killer T cells in the pathogenesis of
dengue virus infection
The Journal of Immunology (Under review)
1
A detrimental role for invariant Natural Killer T cells in the pathogenesis of
dengue virus infection
1
Joelle Renneson
* t ‡ §**
, Rodrigo Guabiraba
¶ ll**
, Rafael Elias M Pereira-Silva
, Stoyan Ivanov
*
t §
, Josette Fontaine
* t §
, Christophe Paget
* t §
, Bernhard Ryffel
ll
, Valérie Quesniaux
ll
,
Christelle Faveeuw
* t ‡
, Mauro M. Teixeira
and François Trottein
* t ‡ § 2
*
Institut Pasteur de Lille, Center for Infection and Immunity of Lille, F-59019 Lille, France;
t
Université Lille Nord de France, F-59000 Lille, France;
CNRS, UMR 8204, F-59021 Lille, France;
§
Institut National de la Santé et de la Recherche Médicale, U1019, F-59019 Lille, France;
Immunopharmacology, Departamento de Bioquímica e Imunologia, Instituto de Ciências
Biológicas, Universidade Federal de Minas Gerais, MG 31270-901, Belo Horizonte, Brazil;
ll
Centre National de la Recherche Scientifique, UMR 6218, Molecular Immunology and
Embryology, Université d’Orléans, 45071 Orléans, France ;
** Both authors contributed equally to this work.
Address correspondence and reprint requests to Dr. François Trottein, Center for Infection and
Immunity of Lille, Inserm U1019-CNRS UMR 8204, Institut Pasteur de Lille, 1, rue du
Professeur Calmette, BP 245, 59019 Lille cedex, France. E-mail: francois.trottein@pasteur-
lille.fr
Keywords: Dengue virus, iNKT cells, inflammation, shock, cytokines
Running title: iNKT cells in dengue virus infection
2
Abstract
Dengue virus (DV), a mosquito-borne flavivirus, is a serious public health problem in many
tropical countries. Immune mechanisms involved in protection and pathogenesis of DV
infection have not been fully elucidated. In this report, we assessed the in vivo physiological
contribution of invariant Natural Killer T (iNKT) cells, a population of non-conventional αβ T
lymphocytes, to the host response during experimental DV infection. To this end, a mouse-
adapted DV serotype 2 that causes a disease that resembles severe dengue in humans was
used. We first show that splenic and hepatic iNKT cells became activated, in terms of CD69
up-regulation and IFN-
γ
production, upon DV challenge. Strikingly, C57BL/6 mice deficient
in iNKT cells (Jα18
−/−
) resisted to lethal infection in comparison to wild-type (WT) animals,
which succumbed to infection around day 7 post-infection. The phenotype was partially
recovered by adoptive transfer of iNKT cells to Jα18
−/−
animals. Infection of Jα18
−/−
mice was
associated with decreased systemic and local inflammatory responses, as seen by lower levels
of IL-6, IFN-
γ
and CXCL-1/KC, reduced liver injury and diminished activation of NK cells
and neutrophils. In parallel with the reduced inflammatory response, the viral load in the
spleen and liver was lower in Jα18
−/−
mice relative to WT mice. Taken together, these data
demonstrate for the first time that iNKT cell activation during DV infection contributes to the
systemic and local inflammatory responses that lead to shock and death.
3
Introduction
Dengue virus (DV)
3
is a serious public health problem in tropical and subtropical areas. In the
past 60 years, the incidence, distribution and clinical severity of dengue cases have increased
dramatically (1,2). There are estimated 50-100 million infections each year, of which there are
500,000 cases of severe dengue hemorrhagic fever and 24,000 deaths (2,3). DV is a single-
stranded RNA virus that belongs to the Flaviviridae family and is transmitted to humans by
Aedes mosquitoes, mainly Aedes aegypti. Infection with any of the four serotypes of DV
results in clinical symptoms that range from classical dengue fever to severe dengue
hemorrhagic fever and shock syndrome, as defined by WHO (4). Severe forms are life-
threatening and characterized by hemorrhagic manifestations, hemoconcentration,
thrombocytopenia and increased vascular permeability (1,5). Despite a growing public heath
problem, there is currently no vaccine and no specific therapeutic agents available. Therapy is
supportive and may require administration of intravenous fluids, which places a serious
burden on health systems of low income countries.
The pathogenesis of DV remains poorly understood and involves a complex interplay
of viral and host factors. Among the risk factors for severe disease, we can include age (1,6),
viral serotype (7) and genotype (8), the genetic background of the host and previous infection
with a distinct serotype (9). The latter factors appear to interact to enhance viral replication
and viral load. Ultimately, DV can interact with target cells, including dendritic cells (DCs),
monocytes/macrophages, hepatocytes and endothelial cells (10-13), resulting in the
production of immune and inflammatory mediators that shape innate and acquired immune
responses and the risk of disease. Indeed, studies have suggested that the dysfunction of
vascular endothelial cells leading to plasma leakage is mediated by host immune response
(14). The production of high levels of pro-inflammatory cytokines, including TNF-α, IL-1β,
IL-6 and IFN-γ, has been reported in patients with severe dengue disease (5,15). However, it
4
is not clearly understood how this massive cytokine production is induced and eventually
controlled. Similarly, the nature of effector and bystander cells able to control DV challenge
during the early phase of infection is still elusive.
Invariant natural killer T (iNKT) cells represent a unique subpopulation of αβ T
lymphocytes expressing markers associated with the NK lineage and recognizing lipid Ags
through their TCR (for reviews, (16-21)). These cells express an invariant TCRα chain
(Vα14-Jα18 rearrangement in mice and Vα24-Jα18 rearrangement in humans) that pairs with
a limited number of Vβ chains. Unlike conventional T lymphocytes that recognize
peptide:MHC complexes, the TCR of iNKT cells detects a limited number of self and foreign
(glyco)lipids presented by the non-polymorphic MHC class I-like protein CD1d expressed by
APCs, including DCs (for reviews, (16-21)). Exposure of iNKT cells with the synthetic, non-
physiological, glycolipid
α
-galactosylceramide (
α
-GalCer) promptly induces the production
of large amounts of Th1- and Th2-associated cytokines that leads to downstream activation of
DCs, NK cells, B cells and conventional T cells (22,23). This enables iNKT cells to influence
the outcome of developing or ongoing immune reactions with, in general, beneficial effects on
infection and cancer. Several in vivo models demonstrated that upon natural activation, iNKT
cells generally play part in the clearance of infectious agents (for reviews, (18,20,24-26)). For
instance, during viral infection, iNKT cells provide innate surveillance against virally infected
cells through the swift production of IFN-γ and other pro-inflammatory cytokines.
Considering the role of IFN-γ and other pivotal cytokines in the control of DV infection (27),
we investigated the role of iNKT cells during experimental DV infection in mice. To this end,
we used a model which was previously shown to develop a disease that resembles the severe
dengue infection that affects humans (28,29). Our findings reveal a crucial role of iNKT cells
in driving the systemic and local inflammatory responses that cause the disease associated
with DV infection. In contrast, iNKT cell functions appear not to be necessary for the control
5
of primary DV infection. Together, our data reveal a novel and critical role for iNKT cells in
the pathogenesis of severe dengue disease.
6
Material and methods
Mice
Eight to ten week-old female wild type (WT) C57BL/6 (H-2D
b
) mice were purchased from
Janvier (Le Genest-St-Isle, France) and kept with autoclaved food and water available ad
libitum under specific pathogen–free conditions in the animal facility of the Transgenose
Institute (CNRS, Orléans, France). Jα18
−/−
mice, backcrossed
at least 10 times in C57BL/6,
were a kind gift from Dr M. Taniguchi (RIKEN Institute, Yokohama, Japan) (22). For
infectious protocol, the mice were kept in isolated ventilated cages in the biohazard animal
unit. All experimental procedures were approved and complied with the French government’s
ethical and animal experiment regulations.
Virus
The mouse-adapted DV serotype 2 strain P23085 (GenBank: AY927231.1) was obtained
from the State Collection of Viruses, Moscow, Russia, and adapted as previously described
(30). For the current experiments, the DV strain was passaged in LLC MK2 cells (Kidney,
Rhesus monkey, ATCC) to produce stocks which were stored in MEM at
-70°C. To calculate virus titre, expressed as LD
50
, in LLC MK2 cells supernatants, groups of
ten mice were inoculated i.p. with serial dilutions of the virus and lethality was recorded. The
titre of DV stock was 10
5
LD
50
/ml of LLC MK2 supernatant, as calculated in 8-10 week-old
BALB/c mice, a more susceptible lineage (27).
Infection and experimental procedure
For DV infection, mice were handled and kept in the biohazard animal unit of the
Transgenose Institute (CNRS, Orléans, France). The virus-containing LLC MK2 supernatants
were diluted in endotoxin-free PBS and injected i.p. into mice. Mock-treated animals were
7
inoculated with MEM supernatants from non-infected LLC MK2 cells diluted in a similar
manner. For the evaluation of lethality and inflammation, mice were inoculated i.p. with 30
LD
50
of DV, a lethal dose (LD) that caused death of all animals between days 6 and 7.
Lethality and body weight loss were evaluated every 12 hrs. At day 5, blood was recovered
for serum preparation and haematological analysis. Platelets and relative percentages of
granulocytes, monocytes and lymphocytes were counted in a Coulter counter (S-Plus Jr,
Beckman Coulter, Paris, France). Spleen and liver samples were recovered for cytokine
measurement and viral titration. Liver samples were also used for histological analysis. At
days 3 and 5, spleen and liver were used for FACS analysis. At day 5, there was significant
disease but animals had not succumbed to infection.
Titration of virus
Mice were assayed for viral titers in spleen and liver. For virus recovery, the organs were
collected aseptically and stored at −70 °C until assayed for DV. Tissue samples were weighed,
grounded by using a pestle and mortar and prepared as 10% (w/v) homogenates in MEM without
fetal bovine serum. Viral load in supernatant of tissue homogenates was assessed by direct
plaque assays using LLC-MK2 cells overlayed on CMC (Carboxymethylcellulose, Sigma).
Briefly, samples of organ homogenates were diluted serially and a 0.5 ml volume placed in
duplicate into each of 6-wells of LLC-MK2 cell monolayers and incubated for 1 hr. An overlay
solution containing 199 medium (Gibco) with Earle's salts, L-glutamine and 3% FBS in 1,5%
CMC was added to each well and the cultures incubated for 9 days. Cultures were stained with
crystal violet for enumeration of viral plaques. The results were measured as plaque forming
units (PFU) per 100 mg of tissue weight. The limit of detection of the assay was 100 PFU/100
mg of tissue.
8
Quantification of cytokine and chemokine concentration
Sera and tissue extracts were analyzed for IFN-γ (eBiosciences, CliniSciences, Montrouge,
France) and IL-6, TNF-α, IL-1β, CXCL1/KC and IL-12 p40 (R&D systems, Abingdon, UK)
using ELISA kits, according to the manufacturer’s instructions.
Histopathology
A portion of liver was obtained from mice killed at day 6, immediately fixed in 4% buffered
formalin and tissue fragments were embedded in paraffin. Tissue sections (4 µm thick) were
stained with hematoxylin and eosin (H&E) and examined under light microscopy for
inflammatory changes using a semi-quantitative score.
Preparation of liver and spleen cells
Livers were perfused via the venous sinus with PBS to remove circulating blood cells.
Perfused livers were finely minced and treated by enzymatic digestion for 20 minutes at 37°C
in RPMI containing 1 mg/ml collagenase type VIII (Sigma-Aldrich, Steinheim, Germany) and
1 µg/ml DNase type I (Sigma-Aldrich). After wash, cell suspensions were resuspended in a
36% Percoll™ gradient, carefully layered onto 72% Percoll™ and centrifuged for 30 min at
2300 rpm, without brake at 22°C. Hepatic leukocyte populations collected at the interface
were washed in PBS 2% FCS. Spleens were collected and homogenized using 100 µM cell
strainers (BD Biosciences, USA). Red blood cells were removed with lysis buffer (Sigma-
Aldrich).
Flow cytometry
Monoclonal Abs against mouse TCRβ (FITC-conjugated), NK1.1 (PE- or PerCp-Cy5.5-
conjugated), CD5 (FITC- or APC-conjugated), CD4 (FITC-conjugated), CD8 (APC-
9
conjugated), CD69 (PE-, PerCp-Cy5.5- or APC-conjugated), IFN-γ (Alexa Fluor
®
647-
conjugated), IL-4 (APC-conjugated), CD11c (PE-Cy7-conjugated), CD11b (PerCp-Cy5.5-
conjugated), Ly6G (Alexa Fluor
®
647-conjugated), CD62-L (PE-conjugated) and isotype
controls were all purchased from BD Pharmingen. Monoclonal Abs against granzyme B
(FITC-conjugated), CD107α (PE-conjugated) and isotypes control were purchased from
eBioscience. PE-conjugated PBS-57 glycolipid-loaded CD1d tetramer was from the NIAID
Tetramer Facility (Emory University, Atlanta, GA). To analyze iNKT cells, mononuclear cell
suspensions were incubated with appropriate dilutions of PBS-57-loaded CD1d tetramer-PE
for 30 min in PBS containing 2 % FCS and 0.01% NaN
3
. Cells were then washed and stained
for other cell surface markers. For intracellular staining, cells were fixed in PBS 1%
paraformaldehyde for 10 min, resuspended in PBS containing 2% FCS and 0.1 % saponin
(permeabilization buffer) and incubated with Alexa Fluor
®
647-conjugated mAb against IFN-
γ, IL-4 or control rat IgG1 mAb or with granzyme B-FITC or control rat IgG2b mAb. Cells
were acquired on a BD FACSCanto II (BD Biosciences) cytometer and analyzed using the
FlowJo software (TreeStar, Ashland, OR).
iNKT purification and adoptive transfer
For adoptive transfer experiments, liver cells from WT donor mice were stained with anti-
NK1.1 (PE-conjugated) and anti-CD5 (APC-conjugated) mAbs (BD Pharmingen). Labelled
cells were isolated using a FACSAria and BD FACSDiva software (BD Biosciences). Jα18
−/−
recipient mice were inoculated intravenously either with 1 x 10
6
purified NKT cells or with
the same volume of medium alone 18 hours before DV infection. Of note, iNKT cells
represent around 90% of the total NKT cells in the liver.
10
Statistical analysis
Data were analyzed with GraphPad Prism 4 Software (San Diego, USA). Results are
expressed as the mean ± SEM. Statistical significances of difference between experimental
groups were calculated using the two-tailed unpaired Student’s t test. Survival of mice was
compared using Kaplan-Meier analysis and log-rank test. Results with a P value of less than
0.05 were considered significant.
11
Results
iNKT cells become activated during DV infection
An important feature of iNKT cells during stressful conditions is to rapidly become activated
to initiate innate and adaptive immune responses. We first investigated the activation status of
iNKT cells during the course of DV infection. As depicted in Figure 1A (upper panel),
relative to mock-treated mice, the frequency and absolute number (data not shown) of splenic
iNKT (PBS-57-loaded CD1d tetramer
+
TCRβ
+
) cells remained stable 3 days post-infection
(p.i.), but decreased by ~50% at day 5 p.i.. This apparent disappearance of iNKT cells can
occasionally occur during infection, a phenomenon observed following TCR-dependent
activation of these cells and due to TCR internalization (31-33). To further study the
activation status of iNKT cells, we monitored the expression of the early activation marker
CD69. As revealed in Figure 1A (lower panel), the level of CD69 expression on iNKT cells
was dramatically increased at day 5 p.i., whereas it remained unchanged at day 3 p.i.. Of note,
NK (CD5
-
NK1.1
+
) cells increased CD69 expression with the same kinetic.
During infection, iNKT cells are among the first cells to produce cytokines that have
multiple effects on other immune and non-immune cells. Therefore, we determined whether
iNKT cells expressed the prototypical Th1- and/or Th2-associated cytokines, namely IFN-
γ
and/or IL-4, during DV infection. Compared to mock-treated animals, DV infection resulted
in an increased frequency of iNKT cells positive for IFN-γ, but not for IL-4 (data not shown)
5 days p.i. (Fig. 1B). In contrast, 3 days p.i., iNKT cells remained negative for IFN-
γ. Similarly, NK cells also express IFN-γ intracellularly 5 days, but not 3 days, p.i.. Of note,
similar data were obtained when liver iNKT and NK cells were analyzed (data not shown).
Altogether, these results show that DV infection is accompanied by systemic activation of
iNKT cells 5 days p.i., a time point that just precedes the peak of viral replication at day 6.
12
Mice deficient in iNKT cells survive to lethal DV challenge
We have previously shown that mice infected with a mouse-adapted DV serotype 2 strain
have a disease that resembles the severe disease observed in humans (29,30,34). In this
system, disease is associated with an acute systemic inflammation, thrombocytopenia and
increased vascular permeability that eventually lead to shock and death. To address the
potential role of iNKT cells in the development and/or control of the immunopathology, WT
and Jα18
−/−
mice were infected with a lethal dose (30 LD
50
) of DV and monitored daily for
changes in body weight and survival. As seen in Figure 2A, infection of WT mice was
associated with rapid weight loss starting at day 4 p.i. and all mice succumbed to disease 6 to
7 days after infection. Strikingly, mice deficient in iNKT cells did not lose weight and
survived to the infection out to day 22 p.i. (Fig. 2A and data not shown). To further show the
involvement of iNKT cells in DV-associated mortality, Jα18
−/−
mice were reconstituted with
iNKT cells purified from naive animals and then challenged with a lethal dose of DV.
Although no significant weight loss was noticed, 40% of reconstituted Jα18
−/−
mice died from
DV infection between 6 and 10 days p.i. (Fig. 2B). Thus, our data show an unexpected role of
iNKT cells in DV-associated lethality.
iNKT cell-deficient mice develop less severe disease after DV infection
Thrombocytopenia occurs in around 70% of DV-infected patients but does not necessarily
correlate with disease severity or outcome. As seen in Figure 3A, there was significant
decrease of platelet counts in infected WT and Jα18
−/−
mice, albeit the decrease was less
intense in the latter group. Neutrophils may become activated, accumulate in tissues and
contribute to organ damage in the context of DV infection (35). In DV-infected WT mice, the
percentage of circulating granulocytes increased in a significant manner compared to mock-
treated WT mice. Of interest, this enhanced frequency was not observed in the blood of
13
infected J
α
18
−/−
mice. Finally, the frequencies of monocytes and lymphocytes were not
dramatically different between infected WT and Jα18
−/−
mice. We next measured the levels of
inflammatory cytokines in the serum of infected mice. As Figure 3B shows, the concentration
of IL-6 and IFN-
γ
was strongly increased in plasma of infected WT animals. Strikingly, levels
of these cytokines were significantly lower in infected Jα18
−/−
mice. To compare the extent of
tissue injury, liver from WT and Jα18
−/−
mice were analysed at day 6 p.i.. H&E-stained liver
sections clearly revealed evident signs of congestion, haemorrhage, hepatocyte degeneration
and necrosis in infected WT mice (Fig. 3C). In marked contrast, relative to iNKT cell
competent animals, the structure of the liver was preserved in infected J
α
18
−/−
mice. Analysis
of liver section revealed a diminished inflammation and an absence of hepatocyte
degeneration and necrosis in iNKT cell deficient animals. In aggregate, these data suggest that
iNKT cells contribute significantly to DV-associated disease and tissue damage.
Mice deficient in iNKT cells display reduced production of inflammatory cytokines
The cytokine “storm” that follows infection correlates with dengue disease severity and is
believed to contribute to the pathogenesis of severe dengue (5). As revealed in Figure 4 (and
data not shown), there were increased levels of IL-6, IFN-γ and IL-12p40 transcripts and
proteins in the spleen of WT animals between days 4 and 6 after infection. Similarly, infected
WT mice produced a higher level of the inflammatory chemokine CXCL-1/KC, known to
rapidly mobilize neutrophils, from day 4 p.i. with a peak at day 6 p.i.. Strickingly, the
concentrations of these inflammatory markers were significantly reduced in the spleen of
infected Jα18
−/−
mice. Moreover, levels of TNF-α and IL-1β tended to be lower in infected
Jα18
−/−
mice than infected WT mice (data not shown). Altogether, the results above show that
iNKT cells drive the systemic inflammatory response that accompanies DV infection.
14
Jα18
−/−
mice exhibit decreased activation of NK cells and neutrophils during DV infection
In vivo activation of iNKT cells triggers downstream stimulation, and sometimes expansion,
of various immune cells including NK cells, neutrophils and conventional T lymphocytes,
known to be important during DV infection (35-37). We thus measured the impact of
endogenous iNKT cell activation on the frequency and activation status of these cells. As seen
in Figure 5, DV infection was associated with reduced frequency of NK cells (panel A) and
enhanced proportion of neutrophils (panel B) in the spleen of WT mice. In contrast, the
frequency of both NK cells and neutrophils was not modulated in infected Jα18
−/−
mice. We
next measured the level of surface markers associated with cell activation on these cell types.
As depicted in Figure 5A (upper right panel), NK cells from infected WT mice expressed
higher levels of CD69, whilst this induction was significantly lower on NK cells from infected
Jα18
−/−
mice. Moreover, the expression of granzyme B (lower left panel) and CD107α (data
not shown), two molecules known to participate in cellular cytotoxicity, was strongly up-
regulated in/on NK cells from WT mice. This induction was less intense in iNKT cell-
deficient animals. Activated iNKT cells can trans-stimulate NK cells to produce IFN-γ. As
seen in Figure 5A (lower right panel), splenic NK cells from WT infected mice labelled
positively for IFN-γ at day 5 p.i. whilst the frequency of IFN-γ positive NK cells was much
lower in iNKT cell-deficient animals. Neutrophils become activated during DV infection (35).
As Figure 5B shows, neutrophils expressed lower level of CD62-L (a sign of activation) upon
DV infection. Interestingly, neutrophils failed to be activated in infected Jα18
−/−
mice, at least
in term of CD62-L down-regulation. CD8
+
and CD4
+
T lymphocytes activation has been
suggested to be associated with dengue infection disease severity (36). We observed no
changes in the percentage of CD8
+
T cells and a small decrease in the percentage of CD4
+
T
cells in the spleen of DV infected WT and Jα18
−/−
mice (Fig. 5C). However, whilst both CD4
+
and CD8
+
T cells expressed more CD69 in DV-infected WT mice, this enhancement was less
15
important in infected Jα18
−/−
mice
. Altogether, these results show less activation of innate
(NK cells and neutrophils) and adaptive immune cells in the absence of iNKT cells upon DV
infection, revealing an important and new interplay between those cell types in this
experimental model.
iNKT cells favour DV replication in infected mice
As disease was less severe in Jα18
−/−
mice and iNKT cells may be important to deal with viral
replication, it was important to measure the effects of iNKT cell deficiency on viral load. As
seen in Figure 6, viral particles were detected at day 6 p.i. in the liver and spleen of both WT
and Jα18
−/−
mice. Nevertheless, viral loads were significantly lower in the liver of Jα18
−/−
mice (in average: 8.4 x 10
2
PFU/100 mg of tissue) when compared to their WT controls (4.1 x
10
4
PFU/100 mg of tissue). Although not significant, viral loads tended to be lower in the
spleen of Jα18
−/−
mice relative to WT animals (3.6 x 10
4
vs 1.8 x 10
5
PFU/100 mg of tissue).
Thus, in our experimental system, iNKT cell deficiency did not result in an impaired
containment and clearance of DV during infection but, on the contrary, led to a decreased
viral load. This suggests that, in this infectious system, iNKT cells not only favour
inflammatory injury but also virus replication.
16
Discussion
Dengue virus causes the most prevalent arthropod-borne viral illness in humans worldwide.
At present, the mechanisms of DV-induced disease and immunity are poorly defined and the
protective versus pathogenic nature of the immune response to DV infection is as yet unclear.
In particular, how the cytokine storm and shock, which characterize DV pathology, are
induced and controlled is still elusive. Considering the role of iNKT cells in host defence
mechanisms during viral infection and in the control/promotion of inflammatory responses in
many systems, we questioned whether these cells play a part in the host response during DV
infection. Using a mouse model of acute DV infection, our findings point to a detrimental role
for iNKT cells in severe DV-associated pathology and mortality.
Invariant NKT cells play a role during viral infection, with in general a beneficial
effect for the host (for reviews, (18,20,24-26,38)). No studies so far have addressed the role of
these cells during infection with a flavivirus. Flaviviruses, which include DV, West Nile virus,
yellow fever virus. Infection with the latter viruses induce symptomatology and clinical
symptoms which include encephalitis and hemorrhagic fever (7,39-42). Although the
understanding of cellular responses is growing (43,44), little is known about the participation
of iNKT cells in flavivirus infections. Viral infections can lead to the activation of iNKT cells
and this may strongly impact on the control of the local immune response. We first assessed
the activation status of iNKT cells as well as their potential recruitment/expansion to/in the
spleen and liver during DV infection. Using a lethal dose of DV, our data show that no
massive expansion occurs in splenic and hepatic tissues during the early phase of infection.
On the contrary, the apparent number of iNKT cells decreased 5 days p.i., a phenomenon
probably due to TCR internalization following activation of these cells. Of interest, at day 5
p.i., the expression of the early activation marker CD69 was strongly increased on iNKT cells.
17
Furthermore, iNKT cells (as well as NK cells) express IFN-
γ
intracellularly at this time point.
In aggregate, iNKT cells become activated during DV infection. The mechanisms (role of the
CD1d molecule and/or co-factors) by which these cells become activated during infection are
presently being studied.
Excessive systemic inflammation is detrimental following DV challenge and infection
of mice with DV causes an acute inflammatory response, hemorrhagic manifestations and
thrombocytopenia that eventually lead to death. In our experimental system, the potent local
(liver) injury, systemic inflammation and uncontrolled virus replication are important
determinants of the fatal outcome. Physiologically, iNKT cells can augment or inhibit
inflammatory responses through a variety of mechanisms depending on the context (i.e. sterile
or non-sterile inflammation) and the targeted organ. Several experimental models have
highlighted the beneficial role of iNKT cells in bacterial and viral-associated inflammatory
responses (for reviews, (18,20,24-26,38)). On the other hand, iNKT cells can be deleterious in
local and systemic inflammation. For instance, iNKT cells strongly participate in
concanavalin A-induced hepatitis (45,46) and in LPS-induced (47) or cecal ligation and
puncture-mediated (48) acute septic shock. Here, we evaluated their potential regulatory
function in DV-induced pathology. Strikingly, in multiple repeated experiments, we
consistently observed that mice lacking iNKT cells are resistant to severe DV infection and
that the adoptive transfer of iNKT cells isolated from WT mice into healthy J
α
18
−/−
mice
partially restores mortality after DV challenge. Histological examination of liver sections
revealed that, compared to WT mice, infected J
α
18
−/−
developed a less acute pathology. Thus,
in our system, iNKT cell deficiency reduced hepatic injury and fatal outcome suggesting that
iNKT cells are detrimental in liver pathology and favour virus-associated mortality. Moreover,
analysis of cytokine production indicated that iNKT cells orchestrate, either directly or
18
indirectly, the high local and systemic inflammatory responses. The exact mechanisms by
which iNKT cells contribute to DV pathogenesis are yet to be defined. It is possible that they
act through the synthesis of inflammatory cytokines able to directly or indirectly promote
injury. As described in the concanavalin A-induced hepatic injury (46), it is also possible that,
through FasL-Fas interaction, iNKT cells mediate cytotoxic effects on hepatocytes, thus
contributing to liver pathology. Attempts are now underway to investigate these issues and to
identify more subtle functions of iNKT cells in DV-associated pathology. Another possibility
is that iNKT cells participate directly or indirectly in IL-17 production. Of note, as revealed
by quantitative RT-PCR, we noticed a decreased production of IL-17, a cytokine known to
promote recruitment of neutrophils and to mediate the progress of local and systemic
inflammatory processes (49,50) in the spleen of infected Jα18
−/−
mice (data not shown). This
is in line with the reduced neutrophilia observed in these mice. Attempts are now underway to
identify the cellular source of IL-17 production and the relevance of this cytokine during DV
infection in WT animals.
In contrast to other models, iNKT cell deficiency did not lead to an impaired
containment and clearance of DV in the liver and spleen in our experimental system. This
finding is not without precedent as iNKT cells have been shown to be dispensable to control
the virus load in some experimental systems (51,52). Surprisingly, the viral load was even
diminished (by ~10-fold) in J
α
18
−/−
mice relative to WT animals. Previous findings have
suggested that production of inflammatory mediators favours DV replication in vivo and/or in
vitro (53-55). Thus, it is likely that, in this infectious system, iNKT cells indirectly favour
virus replication by promoting inflammation. Since in Jα18
−/−
mice, the inflammatory
response is strongly reduced, this positive feedback for viral replication is also
downregulated. Our data show that during DV infection, iNKT cells produce IFN-
γ
and that
iNKT cells trans-activate NK cells to produce it. Considering the critical function of IFN-
γ
in
19
restricting DV replication (27,56), the lack of function of the iNKT cell/NK cell pathway in
virus containment in this system is somewhat surprising. The role of NK cells during DV
infection is unclear. It has been proposed that they could exert cytotoxic functions on infected
cells, although this activity has not yet been firmly proved in vivo (57-59). Of interest, the
lack of iNKT cell/NK cell functions on the control of DV replication was confirmed using
α
-
GalCer. Indeed, inoculation of
α
-GalCer, known to strongly activate the release of IFN-
γ
by
iNKT cells and NK cells in vivo, at the time of DV infection, failed to affect DV replication
and was without effect on mouse survival (data not shown). Similar results were obtained
when
α
-GalCer was injected two days before DV challenge. This is the first time to our
knowledge that
α
-GalCer, used in prophylactic settings, is described to be ineffective during
virus infection. This finding confirms the lack of iNKT cell functions on DV replication after
natural activation.
As a whole, our data show a key role for iNKT cells in the development of pathology
and mortality associated to an acute model of DV infection. It is possible that a better
understanding of the mode of in vivo iNKT cell activation and the precise functions they exert
during DV infection will be beneficial to better harness these cells for therapeutic purposes in
the future, for instance through the use of iNKT cell antagonists.
20
References
1. Guzman, M. G. and G. Kouri. 2002. Dengue: an update. Lancet Infect.Dis. 2:33-42.
2. Mackenzie, J. S., D. J. Gubler, and L. R. Petersen. 2004. Emerging flaviviruses: the
spread and resurgence of Japanese encephalitis, West Nile and dengue viruses. Nat.Med.
10:S98-109.
3. Gibbons, R. V. and D. W. Vaughn. 2002. Dengue: an escalating problem. BMJ.
324:1563-1566.
4. Deen, J. L., E. Harris, B. Wills, A. Balmaseda, S. N. Hammond, C. Rocha, N. M. Dung,
N. T. Hung, T. T. Hien, and J. J. Farrar. 2006. The WHO dengue classification and case
definitions: time for a reassessment. Lancet. 368:170-173.
5. Martina, B. E., P. Koraka, and A. D. Osterhaus. 2009. Dengue virus pathogenesis: an
integrated view. Clin.Microbiol.Rev. 22:564-581.
6. Guzman, M. G., G. Kouri, J. Bravo, L. Valdes, S. Vazquez, and S. B. Halstead. 2002.
Effect of age on outcome of secondary dengue 2 infections. Int.J.Infect.Dis. 6:118-124.
7. Gubler, D. J. 1998. Dengue and dengue hemorrhagic fever. Clin.Microbiol.Rev. 11:480-
496.
8. Balmaseda, A., S. Saborio, Y. Tellez, J. C. Mercado, L. Perez, S. N. Hammond, C.
Rocha, G. Kuan, and E. Harris. 2008. Evaluation of immunological markers in serum,
filter-paper blood spots, and saliva for dengue diagnosis and epidemiological studies.
J.Clin.Virol. 43:287-291.
21
9. Thein, S., M. M. Aung, T. N. Shwe, M. Aye, A. Zaw, K. Aye, K. M. Aye, and J.
Aaskov. 1997. Risk factors in dengue shock syndrome. Am.J.Trop.Med.Hyg. 56:566-
572.
10. Rodriguez-Madoz, J. R., D. Bernal-Rubio, D. Kaminski, K. Boyd, and A. Fernandez-
Sesma. 2010. Dengue virus inhibits the production of type I interferon in primary human
dendritic cells. J.Virol. 84:4845-4850.
11. Chen, Y. C. and S. Y. Wang. 2002. Activation of terminally differentiated human
monocytes/macrophages by dengue virus: productive infection, hierarchical production
of innate cytokines and chemokines, and the synergistic effect of lipopolysaccharide.
J.Virol. 76:9877-9887.
12. Couvelard, A., P. Marianneau, C. Bedel, M. T. Drouet, F. Vachon, D. Henin, and V.
Deubel. 1999. Report of a fatal case of dengue infection with hepatitis: demonstration of
dengue antigens in hepatocytes and liver apoptosis. Hum.Pathol. 30:1106-1110.
13. Jessie, K., M. Y. Fong, S. Devi, S. K. Lam, and K. T. Wong. 2004. Localization of
dengue virus in naturally infected human tissues, by immunohistochemistry and in situ
hybridization. J.Infect.Dis. 189:1411-1418.
14. Kurane, I. 2007. Dengue hemorrhagic fever with special emphasis on
immunopathogenesis. Comp Immunol.Microbiol.Infect.Dis. 30:329-340.
15. Bozza, F. A., O. G. Cruz, S. M. Zagne, E. L. Azeredo, R. M. Nogueira, E. F. Assis, P. T.
Bozza, and C. F. Kubelka. 2008. Multiplex cytokine profile from dengue patients: MIP-
1beta and IFN-gamma as predictive factors for severity. BMC.Infect.Dis. 8:86.:86.
22
16. Godfrey, D. I. and M. Kronenberg. 2004. Going both ways: immune regulation via
CD1d-dependent NKT cells. J.Clin.Invest. 114:1379-1388.
17. Van Kaer, L. and S. Joyce. 2005. Innate immunity: NKT cells in the spotlight. Curr.Biol.
15:R429-R431.
18. Bendelac, A., P. B. Savage, and L. Teyton. 2007. The biology of NKT cells.
Annu.Rev.Immunol. 25:297-336.:297-336.
19. Barral, D. C. and M. B. Brenner. 2007. CD1 antigen presentation: how it works.
Nat.Rev.Immunol. 7:929-941.
20. Cohen, N. R., S. Garg, and M. B. Brenner. 2009. Antigen Presentation by CD1 Lipids, T
Cells, and NKT Cells in Microbial Immunity. Adv.Immunol. 102:1-94.:1-94.
21. Venkataswamy, M. M. and S. A. Porcelli. 2010. Lipid and glycolipid antigens of CD1d-
restricted natural killer T cells. Semin.Immunol. 22:68-78.
22. Kawano, T., J. Cui, Y. Koezuka, I. Toura, Y. Kaneko, K. Motoki, H. Ueno, R.
Nakagawa, H. Sato, E. Kondo, H. Koseki, and M. Taniguchi. 1997. CD1d-restricted and
TCR-mediated activation of valpha14 NKT cells by glycosylceramides. Science.
278:1626-1629.
23. Cerundolo, V., J. D. Silk, S. H. Masri, and M. Salio. 2009. Harnessing invariant NKT
cells in vaccination strategies. Nat.Rev.Immunol. 9:28-38.
24. Skold, M. and S. M. Behar. 2003. Role of CD1d-restricted NKT cells in microbial
immunity. Infect.Immun. 71:5447-5455.
23
25. Tessmer, M. S., A. Fatima, C. Paget, F. Trottein, and L. Brossay. 2009. NKT cell
immune responses to viral infection. Expert.Opin.Ther.Targets. 13:153-162.
26. Brigl, M. and M. B. Brenner. 2010. How invariant natural killer T cells respond to
infection by recognizing microbial or endogenous lipid antigens. Semin.Immunol. 22:79-
86.
27. Shresta, S., J. L. Kyle, H. M. Snider, M. Basavapatna, P. R. Beatty, and E. Harris. 2004.
Interferon-dependent immunity is essential for resistance to primary dengue virus
infection in mice, whereas T- and B-cell-dependent immunity are less critical. J.Virol.
78:2701-2710.
28. Atrasheuskaya, A., P. Petzelbauer, T. M. Fredeking, and G. Ignatyev. 2003. Anti-TNF
antibody treatment reduces mortality in experimental dengue virus infection. FEMS
Immunol.Med.Microbiol. 35:33-42.
29. Assuncao-Miranda, I., F. A. Amaral, F. A. Bozza, C. T. Fagundes, L. P. Sousa, D. G.
Souza, P. Pacheco, G. Barbosa-Lima, R. N. Gomes, P. T. Bozza, A. T. Da Poian, M. M.
Teixeira, and M. T. Bozza. 2010. Contribution of macrophage migration inhibitory
factor to the pathogenesis of dengue virus infection. FASEB J. 24:218-228.
30. Atrasheuskaya, A., P. Petzelbauer, T. M. Fredeking, and G. Ignatyev. 2003. Anti-TNF
antibody treatment reduces mortality in experimental dengue virus infection. FEMS
Immunol.Med.Microbiol. 35:33-42.
31. Chiba, A., C. C. Dascher, G. S. Besra, and M. B. Brenner. 2008. Rapid NKT cell
responses are self-terminating during the course of microbial infection. J.Immunol.
181:2292-2302.
24
32. Kim, S., S. Lalani, V. V. Parekh, T. L. Vincent, L. Wu, and L. Van Kaer. 2008. Impact
of bacteria on the phenotype, functions, and therapeutic activities of invariant NKT cells
in mice. J.Clin.Invest. 118:2301-2315.
33. Parekh, V. V., M. T. Wilson, and L. Van Kaer. 2005. iNKT-cell responses to glycolipids.
Crit Rev.Immunol. 25:183-213.
34. Souza, D. G., C. T. Fagundes, L. P. Sousa, F. A. Amaral, R. S. Souza, A. L. Souza, E. G.
Kroon, D. Sachs, F. Q. Cunha, E. Bukin, A. Atrasheuskaya, G. Ignatyev, and M. M.
Teixeira. 2009. Essential role of platelet-activating factor receptor in the pathogenesis of
Dengue virus infection. Proc.Natl.Acad.Sci.U.S.A. 106:14138-14143.
35. Juffrie, M., G. M. Der Meer, C. E. Hack, K. Haasnoot, Sutaryo, A. J. Veerman, and L. G.
Thijs. 2000. Inflammatory mediators in dengue virus infection in children: interleukin-8
and its relationship to neutrophil degranulation. Infect.Immun. 68:702-707.
36. Chau, T. N., N. T. Quyen, T. T. Thuy, N. M. Tuan, D. M. Hoang, N. T. Dung, l. B. Lien,
N. T. Quy, N. T. Hieu, L. T. Hieu, T. T. Hien, N. T. Hung, J. Farrar, and C. P. Simmons.
2008. Dengue in Vietnamese infants--results of infection-enhancement assays correlate
with age-related disease epidemiology, and cellular immune responses correlate with
disease severity. J.Infect.Dis. 198:516-524.
37. Liu, C. C., K. J. Huang, Y. S. Lin, T. M. Yeh, H. S. Liu, and H. Y. Lei. 2002. Transient
CD4/CD8 ratio inversion and aberrant immune activation during dengue virus infection.
J.Med.Virol. 68:241-252.
38. Van Dommelen, S. L. and M. A. Degli-Esposti. 2004. NKT cells and viral immunity.
Immunol.Cell Biol. 82:332-341.
25
39. Gould, E. A. and T. Solomon. 2008. Pathogenic flaviviruses. Lancet. 371:500-509.
40. Gyure, K. A. 2009. West Nile virus infections. J.Neuropathol.Exp.Neurol. 68:1053-
1060.
41. Suthar, M. S., M. Gale, Jr., and D. M. Owen. 2009. Evasion and disruption of innate
immune signalling by hepatitis C and West Nile viruses. Cell Microbiol. 11:880-888.
42. Maximova, O. A., L. J. Faucette, J. M. Ward, B. R. Murphy, and A. G. Pletnev. 2009.
Cellular inflammatory response to flaviviruses in the central nervous system of a
primate host. J.Histochem.Cytochem. 57:973-989.
43. Diamond, M. S. 2009. Mechanisms of evasion of the type I interferon antiviral response
by flaviviruses. J.Interferon Cytokine Res. 29:521-530.
44. Sampath, A. and R. Padmanabhan. 2009. Molecular targets for flavivirus drug discovery.
Antiviral Res. 81:6-15.
45. Toyabe, S., S. Seki, T. Iiai, K. Takeda, K. Shirai, H. Watanabe, H. Hiraide, M.
Uchiyama, and T. Abo. 1997. Requirement of IL-4 and liver NK1+ T cells for
concanavalin A-induced hepatic injury in mice. J.Immunol. 159:1537-1542.
46. Takeda, K., Y. Hayakawa, L. Van Kaer, H. Matsuda, H. Yagita, and K. Okumura. 2000.
Critical contribution of liver natural killer T cells to a murine model of hepatitis.
Proc.Natl.Acad.Sci.U.S.A. 97:5498-5503.
47. Nagarajan, N. A. and M. Kronenberg. 2007. Invariant NKT cells amplify the innate
immune response to lipopolysaccharide. J.Immunol. 178:2706-2713.
26
48. Hu, C. K., F. Venet, D. S. Heffernan, Y. L. Wang, B. Horner, X. Huang, C. S. Chung, S.
H. Gregory, and A. Ayala. 2009. The role of hepatic invariant NKT cells in
systemic/local inflammation and mortality during polymicrobial septic shock.
J.Immunol. 182:2467-2475.
49. Iwakura, Y., S. Nakae, S. Saijo, and H. Ishigame. 2008. The roles of IL-17A in
inflammatory immune responses and host defense against pathogens. Immunol.Rev.
226:57-79.:57-79.
50. Kolls, J. K. and A. Linden. 2004. Interleukin-17 family members and inflammation.
Immunity. 21:467-476.
51. Cornish, A. L., R. Keating, K. Kyparissoudis, M. J. Smyth, F. R. Carbone, and D. I.
Godfrey. 2006. NKT cells are not critical for HSV-1 disease resolution. Immunol.Cell
Biol. 84:13-19.
52. Van Dommelen, S. L., H. A. Tabarias, M. J. Smyth, and M. A. Degli-Esposti. 2003.
Activation of natural killer (NK) T cells during murine cytomegalovirus infection
enhances the antiviral response mediated by NK cells. J.Virol. 77:1877-1884.
53. Kamau, E., R. Takhampunya, T. Li, E. Kelly, K. K. Peachman, J. A. Lynch, P. Sun, and
D. R. Palmer. 2009. Dengue virus infection promotes translocation of high mobility
group box 1 protein from the nucleus to the cytosol in dendritic cells, upregulates
cytokine production and modulates virus replication. J.Gen.Virol. 90:1827-1835.
54. Lin, Y. W., K. J. Wang, H. Y. Lei, Y. S. Lin, T. M. Yeh, H. S. Liu, C. C. Liu, and S. H.
Chen. 2002. Virus replication and cytokine production in dengue virus-infected human
B lymphocytes. J.Virol. 76:12242-12249.
27
55. Mangada, M. M. and A. L. Rothman. 2005. Altered cytokine responses of dengue-
specific CD4+ T cells to heterologous serotypes. J.Immunol. 175:2676-2683.
56. Shresta, S., K. L. Sharar, D. M. Prigozhin, H. M. Snider, P. R. Beatty, and E. Harris.
2005. Critical roles for both STAT1-dependent and STAT1-independent pathways in the
control of primary dengue virus infection in mice. J.Immunol. 175:3946-3954.
57. Azeredo, E. L., L. M. Oliveira-Pinto, S. M. Zagne, D. I. Cerqueira, R. M. Nogueira, and
C. F. Kubelka. 2006. NK cells, displaying early activation, cytotoxicity and adhesion
molecules, are associated with mild dengue disease. Clin.Exp.Immunol. 143:345-356.
58. Green, S., S. Pichyangkul, D. W. Vaughn, S. Kalayanarooj, S. Nimmannitya, A. Nisalak,
I. Kurane, A. L. Rothman, and F. A. Ennis. 1999. Early CD69 expression on peripheral
blood lymphocytes from children with dengue hemorrhagic fever. J.Infect.Dis.
180:1429-1435.
59. Kurane, I., D. Hebblewaite, W. E. Brandt, and F. A. Ennis. 1984. Lysis of dengue virus-
infected cells by natural cell-mediated cytotoxicity and antibody-dependent cell-
mediated cytotoxicity. J.Virol. 52:223-230.
28
Acknowledgements
We acknowledge the generous support from the NIAID Tetramer Facility (Emory University,
Atlanta, GA) for supplying CD1d tetramers. We gratefully acknowledge Drs T. Nakayama
and M. Taniguchi (RIKEN Institute, Yokohama, Japan) for the gift of J
α
18
-/-
C57BL/6 mice.
The authors would like to thank I. Maillet, L. Fauconnier (CNRS UMR 6218, Orléans) and C.
Vendeville (CIIL, Institut Pasteur de Lille) for their technical assistance.
Disclosures
The authors have no financial conflict of interest.
29
Footnotes
1
This work was supported by the Institut National de la Santé et de la Recherche Médicale,
the CNRS, the University of Lille Nord de France, the Pasteur Institute of Lille, the French
national Research Agency (ANR), under reference ANR-08-MIEN-
R08066ES/RPV08036ESA and from the Conselho Nacional de Deselvovimento Cientifico e
Tecnologico (CNPq, Brazil). RG, REMPS and SI were recipients of a doctoral fellowship
from the Conselho Nacional de Deselvovimento Cientifico e Tecnologico (CNPq, Brazil) and
from the Ministère de l’Education Nationale de la Recherche et Technique, respectively. JR
was supported by a postdoctoral fellowship from the ANR. CF is supported by Inserm and BR
and FT by the CNRS.
2
Address correspondence and reprint requests to Dr. François Trottein,, Center for Infection
and Immunity of Lille, Inserm U1019-CNRS UMR 8204, Institut Pasteur de Lille, 1, rue du
Professeur Calmette, BP 245, 59019 Lille cedex, France. E-mail: francois.trottein@pasteur-
lille.fr.
3
Abbreviations used in this paper: DV, dengue virus ; DCs, dendritic cells; NK, natural killer;
iNKT, invariant NKT;
α
-GalCer,
α
-galactosylceramide; WT, wild type; LD, lethal dose; PFU,
plaque forming unit; H&E, hematoxylin and eosin ; p.i., post-infection.
30
Figure Legends
Figure 1. Activation of iNKT cells during the course of DV infection. A, iNKT cell
frequency and CD69 expression on iNKT cells during DV infection. Mice were inoculated
with a lethal dose (30 LD
50
) of DV and splenic iNKT cells were analyzed 3 and 5 days p.i.
Upper panels represent the percentages of gated PBS-57-loaded CD1d tetramer
+
TCRβ
+
(iNKT) cells in mock-treated or DV-infected mice, 3 days and 5 days p.i. Representative dot
plots are shown. Lower panels show the expression of CD69 on the surface of iNKT cells and
CD5
-
NK1.1
+
(NK) cells. The histogram overlay represents the expression of CD69 on gated
iNKT cells from either mock-treated or DV-infected 3 days or 5 days p.i. The bar histograms
represent the mean expression of CD69 (MFI) on iNKT and NK cells. Data represent the
mean MFI ± SEM (n = 3). Significant differences are designated by using the two-tailed
Student’s t-test, ** p < 0.01. B, Analysis of ex vivo cytokine production by iNKT cells 3 and 5
days p.i.. Gated iNKT and NK cells were analyzed for intracellular IFN-γ production. Gates
were set based on the isotype control. Representative dot plots are shown. The percentages of
iNKT or NK cells positive for IFN-γ are represented on the bar histograms. Data represent the
mean percentages ± SEM (n = 3-10). Significant differences are designated by using the two-
tailed Student’s t-test, *** p < 0.001.
Figure 2. Variation of body weight and survival rates in WT and iNKT cell-deficient
mice infected with a lethal dose of DV. A, Age-matched WT or Jα18
−/−
mice were infected
with a lethal dose (30 LD
50
) of DV and then followed for mortality and weighted daily. Left
panel, body weight loss expressed as a percentage of the animal’s initial weight. Right panel,
percentages of survival (n = 10-25, at least two independent experiments). Log-rank test for
comparisons of Kaplan-Meier survival curves indicated a significant increase in the mortality
of WT mice compared to Jα18
−/−
animals, p < 0.01. B, Weight loss and survival rate of
31
Jα18
−/−
mice reconstituted or not with iNKT cells. Jα18
−/−
mice were i.v. injected with either
1 x 10
6
cell-sorted iNKT cells or PBS 18 hours before DV challenge. Left panel, body weight
loss expressed as a percentage of the animal’s initial weight. Right panel, the survival of
reconstituted Jα18
−/−
mice was monitored and compared to WT mice (n = 10/group, two
independent experiments). Log-rank test for comparisons of Kaplan-Meier survival curves
indicated a significant increase in the mortality of J
α
18
-/-
mice reconstituted with iNKT cells
compared to J
α
18
-/-
animals, * p = 0.0291.
Figure 3. Analysis of the pathology in WT and iNKT cell-deficient mice infected with a
lethal dose of DV. A, Blood from mock-treated or DV-infected WT and Jα18
−/−
mice were
collected 5 days p.i. and analyzed for haematology parameters. The number of platelets is
shown as number x 10
3
l of blood. Granulocytes, monocytes and lymphocytes are shown as
percentages. B, Serum from mock-treated or DV-infected mice was collected at day 5 p.i. and
levels of IL-6 and IFN-γ were measured by ELISA. A and B, Data represent the mean ± SEM
(n = 6-11 mice/group, at least two independent experiments). Significant differences are
designated by using the two-tailed Student’s t-test, * p < 0.05, ** p < 0.01, *** p < 0.001. C,
Representative pictures of H&E-stained liver sections of mock-treated and DV-infected mice
6 days after inoculation.
Figure 4. Analysis of the inflammatory cytokine response in WT and iNKT cell-deficient
mice infected with a lethal dose of DV. Spleens from DV-infected WT and Jα18
−/−
mice
were collected at days 4, 5 and 6 p.i.. Tissues were homogenized and the concentrations of IL-
6, IFN-γ, IL-12 p40 and CXCL-1/KC were analyzed by ELISA. Values represent the mean ±
SEM (n = 4-8, two independent experiments). Significant differences between groups are
designated by using the two-tailed Student’s t-test, * p < 0.05, ** p < 0.01, *** p < 0.001.
32
Figure 5. Analysis of NK cell, neutrophil and T lymphocyte frequencies and activation in
infected WT and iNKT cell-deficient mice. Five days p.i., splenocytes from infected mice
were recovered and analyzed for NK cell, neutrophil and T cell frequencies and activation
status. A, The average percentages ± SEM of gated CD5
-
NK1.1
+
cells from mock and
infected WT or Jα18
−/−
mice are shown (upper left panel). NK cells were also analyzed for
cell surface CD69 expression (mean MFI ± SEM) (upper right panel) and intracellular
granzyme B and IFN-γ expression (mean % positive cells ± SEM) (lower panels). B, The
frequency ± SEM of CD11c
+
Ly6G
+
cells (neutrophils) and the expression of CD62-L (mean
MFI ± SEM) on gated neutrophils are shown. C, The mean percentages of CD4
+
and CD8
+
T
cells ± SEM are shown in the upper panels. Expression of CD69 is represented in lower
panels as mean MFI ± SEM. A-C, Significant differences are designated by using the two-
tailed Student’s t-test, * p < 0.05, ** p < 0.01, *** p < 0.001 (n = 3-8, at least two
independent experiments).
Figure 6. Viral load in WT and iNKT cell-deficient mice infected with a lethal dose of
DV. Viral loads, as analyzed from infectious virus recovered from the liver and spleen of WT
and Jα18
−/−
mice, were assessed at 6 days p.i. with 30 LD
50
. Data are shown as the log of PFU
per 100 mg of tissue. Results are expressed as the geometric means and are representative of
at least two experiments.
33
Figure 1
34
Figure 2
35
Figure 3
36
Figure 4
37
Figure 5
38
Figure 6
Livros Grátis
( http://www.livrosgratis.com.br )
Milhares de Livros para Download:
Baixar livros de Administração
Baixar livros de Agronomia
Baixar livros de Arquitetura
Baixar livros de Artes
Baixar livros de Astronomia
Baixar livros de Biologia Geral
Baixar livros de Ciência da Computação
Baixar livros de Ciência da Informação
Baixar livros de Ciência Política
Baixar livros de Ciências da Saúde
Baixar livros de Comunicação
Baixar livros do Conselho Nacional de Educação - CNE
Baixar livros de Defesa civil
Baixar livros de Direito
Baixar livros de Direitos humanos
Baixar livros de Economia
Baixar livros de Economia Doméstica
Baixar livros de Educação
Baixar livros de Educação - Trânsito
Baixar livros de Educação Física
Baixar livros de Engenharia Aeroespacial
Baixar livros de Farmácia
Baixar livros de Filosofia
Baixar livros de Física
Baixar livros de Geociências
Baixar livros de Geografia
Baixar livros de História
Baixar livros de Línguas
Baixar livros de Literatura
Baixar livros de Literatura de Cordel
Baixar livros de Literatura Infantil
Baixar livros de Matemática
Baixar livros de Medicina
Baixar livros de Medicina Veterinária
Baixar livros de Meio Ambiente
Baixar livros de Meteorologia
Baixar Monografias e TCC
Baixar livros Multidisciplinar
Baixar livros de Música
Baixar livros de Psicologia
Baixar livros de Química
Baixar livros de Saúde Coletiva
Baixar livros de Serviço Social
Baixar livros de Sociologia
Baixar livros de Teologia
Baixar livros de Trabalho
Baixar livros de Turismo