Download PDF
ads:
UNIVERSIDADE LUTERANA DO BRASIL
PROGRAMA DE PÓS-GRADUAÇÃO EM GENÉTICA E
TOXICOLOGIA APLICADA
AVALIAÇÃO DA ATIVIDADE ANTIOXIDANTE E
ANTIMUTAGÊNICA DO
CHÁ-VERDE [Camellia sinensis (L) var. assamica]
MÁRCIO DA SILVA PRESSER
Dissertação para obtenção do Título de
Mestre em Genética e Toxicologia Aplicada
Orientador: Prof. Dr. Marc François Richter
Canoas
2007
ads:
Livros Grátis
http://www.livrosgratis.com.br
Milhares de livros grátis para download.
2
Este trabalho foi desenvolvido nas instalações do Laboratório de Farmacocinética, Centro
de Pesquisa em Ciências Médica, Universidade Luterana do Brasil; Laboratório de
Genética Toxicológica, Universidade Luterana do Brasil e no Departamento de
Biofísica/Centro de Biotecnologia, Universidade Federal do Rio Grande do Sul. Este
trabalho foi financiado pelo Conselho Nacional de Desenvolvimento Científico e
Tecnológico (CNPq), Fundação de Amparo à Pesquisa do Estado do Rio Grande do Sul
(FAPERGS), Universidade Luterana do Brasil (ULBRA).
ads:
3
RESUMO
Extrato de chá-verde é um suplemento dietético extensamente usado em diferentes
partes do mundo. Os objetivos do presente estudo foram avaliar as possíveis atividades
antioxidante e antimutagênica dos extratos liofilizados das folhas da espécie Camellia
sinensis (L) var. assamica, através de ensaios biológicos in vivo utilizando a levedura
Saccharomyces cerevisiae; e testar a atividade antioxidante in vitro baseado na enzima
hipoxantina-xantina oxidase. As amostras de chá-verde foram colhidas durante a primavera
e o verão, sendo preparadas conforme o sistema de extração. Sistema 1: extração por
decocção assistida, à 80 ºC por 20 minutos; Sistema 2: extração assistida por ultra-som
usando água:acetona (1:1) por 30 min. Quando testado nas linhagens de Saccharomyces
cerevisiae proficiente e deficiente da defesa antioxidante superóxido dismutase (SOD),
todos os quatro extratos mostraram uma atividade antioxidante significante para as doses
de 50 – 300 µL (= 0,1 – 0,6 mg dos extratos). A capacidade varredora de radicais hidroxila
(OH
), de todos os extratos, foi confirmada com os resultados obtidos no ensaio in vitro,
onde os extratos baseados no sistema de extração água/acetona demonstraram uma
atividade antioxidante mais pronunciada, reduzindo a formação de ambas espécies de
DHBA em 45,9 e 38 %, na concentração de 2 mg/mL dos extratos. Além disso, foi
analisada a atividade antimutagênica na linhagem S. cerevisiae N123 na presença de
peróxido de hidrogênio (H
2
O
2
). Um efeito antimutagênico das doses de 100 400 µL
(= 0,2 0,8 mg dos extratos) foi observado, e sua propriedade de varredor dos radical
hidroxila (OH
) parece contribuir para este efeito antimutagênico.
Palavras chave: estresse oxidativo, chá-verde brasileiro, catequinas, Saccharomyces
cerevisiae, atividade antioxidante, antimutagênico, Camellia sinensis (L) var. assamica
4
ABSTRACT
Green tea extract is a widely used dietary supplement in different parts of the world
The aims of the present study was to evaluate the possible activities antioxidant and
antimutagenic of the lyophilized extracts of leaves from species Camellia sinensis (L) var.
assamica, through biological assays in vivo using the yeast Saccharomyces cerevisiae, and
to test the antioxidant activity in vitro based on the enzyme hypoxantine-xantine oxidase
assay. The samples of green tea were picked during the spring and the summer, being
prepared according to the extraction system. System 1: extraction for attended decocction,
to 80 ºC for 20 minutes; System 2: extraction attended by supersonic sound waves using
water:acetone (1:1) for 30 min. When tested in the S. cerevisiae proficient and deficient of
the defense antioxidant superoxide dismutase (SOD), all the four extracts showed a
significant antioxidant activity for the doses of 50 - 300 µL (= 0.1 – 0.6 mg of the extracts).
The capacity of hydroxyl (OH
) radical-screvening, of all the extracts, it was confirmed
with the results obtained in the in vitro assay, where the extracts based on the system of
extraction water/acetone they demonstrated a more pronounced antioxidant activity,
reducing the formation of both species of DHBA in 45.9 and 38%, in the concentration of
2 mg/mL of the extracts. Besides, the antimutagenic activity was analyzed in S. cerevisiae
N123 in the presence of H
2
O
2.
An antimutagenic effect of the doses 100 - 400 µL (= 0.2
0.8 mg of the extracts) it was observed, and your property of hydroxyl (OH
) radical-
screvening it seems to contribute for this antimutagenic effect.
Keywords: oxidative stress; brazilian green tea; catechins; Saccharomyces
cerevisiae; antioxidant activity; antimutagenicity; Camellia sinensis (L) var. assamica
5
ÍNDICE
RESUMO......................................................................................................................
3
ABSTRACT.................................................................................................................. 4
I - INTRODUÇÃO....................................................................................................... 7
1. Descrição Botânica da Camellia sinensis (L)............................................................
8
1.1. Constituição Química..............................................................................................
10
1.2 Dados Farmacológicos.............................................................................................
12
1.3 Toxicidade................................................................................................................
16
2. RADICAIS LIVRES..................................................................................................
17
2.1 Radical superóxido...................................................................................................
18
2.2 Peróxido de hidrogênio............................................................................................
18
2.3 Radical hidroxila......................................................................................................
19
2.4 Oxigênio singlet.......................................................................................................
21
3. ESTRESSE OXIDATIVO.........................................................................................
21
3.1 Sistemas de Defesa Antioxidante.............................................................................
22
3.2 Antioxidantes enzimáticos.......................................................................................
23
3.3 Antioxidantes não-enzimáticos................................................................................
25
4. MUTAGÊNESE E ANTI MUTAGÊNESE..............................................................
27
5. TESTE ANTIOXIDANTE in vitro A BASE DA XANTINA OXIDASE................
28
6. A LEVEDURA Saccharomyces cerevisiae COMO MODELO DE ESTUDO.........
30
6.1 Defesas antioxidantes da levedura Saccharomyces cerevisiae................................
32
6.2 O estudo de substâncias com atividades pró- e/ou antioxidante..............................
33
6
6.3 Teste de mutação forward........................................................................................
34
II - OBJETIVOS.......................................................................................................... 36
1. Objetivo Geral............................................................................................................
36
2. Objetivos específicos.................................................................................................
36
3. Preparação dos extratos liofilizados das folhas da espécie Camellia sinensis (L)
var. assamica..................................................................................................................
37
III – CAPÍTULO I......................................................................................................... 38
Antioxidant and antimutagenic activities of brazilian green tea [Camellia sinensis
(L) var. assamica] extracts…………………………………………………………
39
IV – DISCUSSÃO GERAL......................................................................................... 66
V - REFERÊNCIAS BIBLIOGRÁFICAS………………………………………… 71
7
I - INTRODUÇÃO
O chá é uma das bebidas mais populares e salutares consumidos pela população
mundial. Estima-se que são servidas diariamente mais de 1 bilhão de xícaras de chá,
principalmente em países orientais (PETTIGREW, 1998). O chá faz parte da alimentação
humana há cerca de cinco mil anos.
A lenda chinesa reivindica que o consumo do chá foi descoberto quando o
imperador chinês Sheng Nung erudito e erborista que, por razões de higiene, bebia
água fervida no ano de 2737 a.C., estava aquecendo sua água sob a sombra de uma
Camellia sinensis, L. que pela ão dos ventos deixou que algumas folhas do arbusto
caíssem na água quente. O imperador provou esta infusão e achou-a deliciosamente
refrescante e revitalizante (HARA, 2001; PETTIGREW, 1998).
O habitat natural da Camellia siensis é ao sul do rio Yangtze e no leste da Província
Zhejiang da China até Assam-Burma ao oeste, incluindo a Tailândia e Vietnã. Esta espécie
é extensivamente cultivada no mundo, particularmente na Índia, China, Sri Lanka, Japão,
Indonésia, Quênia, Turquia, Paquistão, Mallawi e Argentina. No Brasil, o seu cultivo é
mais restrito ao Vale do Ribeira no Estado de São Paulo, onde a maior parte da colheita é
usada para produzir chá-preto, sendo comercializada com o Reino Unido ou para consumo
interno (HUANG, 1992; KASZKIN et al, 2004; SAITO et al., 2007; WATSON e
DALLWITZ, 1992).
Atualmente, elaboram-se diversos tipos de chás a partir desta planta, cujas
diferenças em aromas e sabores são devidos aos processos de fabricação utilizados. Destes,
os mais conhecidos são: 1) chá-preto, 2) chá-verde e 3) o chá-vermelho (oolong), que
variam entre si nos processos da secagem e de fermentação. O chá-verde é obtido por
estabilização à quente, inativando enzimas degradadoras de polifenóis, seguido por um
processo de enrolagem das folhas, tornando-as mais tenras e desidratadas. O chá-preto e o
chá vermelho são obtidos por diferentes níveis de oxidação dos seus componentes
8
fenólicos, em particular pela formação de benzotropolonas – substâncias mais aromáticas e
de cor mais parda. Para que ocorra a oxidação, primeiramente as folhas o rasuradas e
aeradas com auxílio mecânico até que atinja o grau de fermentação necessária para cada
tipo de chá (BACHRACH e WANG, 2002; BRUNETON, 1995; NAKACHI et al., 1998;
SABU et al., 2002).
O chá verde é rico em compostos polifenólicos, das quais os compostos mais
proeminentes são os flavonóis, conhecidos também como catequinas (BALENTINE et al.,
1997). Estes incluem epicatequina (EC), galato de epicatequina (ECG), epigalocatequina
(EGC) e galato de epigalocatequina (EGCG). Por muito tempo, o chá-verde foi preferido
como uma bebida por causa do seu sabor e gosto atrativo. Mas a comunidade científica e a
imprensa popular têm ponderado recentemente as propriedades benéficas do chá-verde
(BENELLI et al., 2002; WEISBURGER e CHUNG, 2002). Sendo assim, muitos estudos
têm sido realizados para investigar a atividade de cada bioflavonóide presente no chá-
verde, e em especial o galato de epigalocatequina (EGCG), o qual é conhecido como um
poderoso antioxidante (HAN et al., 2004; MONOGRAPH, 2000). As possíveis aplicações
para as catequinas do chá-verde, em numerosos campos, continuam a crescer cada vez
mais de acordo com as descobertas sobre sua ação antioxidante, antitumoral,
quimiopreventiva e varredora de radicais livres. (HARA, 2001; MITSCHER et al., 1997).
1. Descrição Botânica da Camellia sinensis (L)
A Camellia sinensis (L) O. Kuntze é uma espécie da família botânica Theaceae
(Ternstroemiaceae); também se encontra na literatura a sinonímia de Thea sinensis L. e
Camellia thea Link (RATES, 2002). É uma árvore pequena, nativa das florestas do
nordeste da Índia e sul da China. Pode chegar de 1-6 metros de altura quando adulta e ter
uma cobertura de 60 cm 4 m de diâmetro (BOWN, 1995; WATSON e DALLWITZ,
1992).
Suas folhas (Figura 1) são de cor verde escura, incompleta, simples, glabra ou
ligeiramente pubescentes na parte inferior ao longo da nervura principal, normalmente
coriácia, peninérvea, elíptica ou lanceolada e de modo geral serrilhada nas bordas; filotaxia
9
alterna e pecíolo pequeno, e as folhas mais novas são cobertas por um fino indumento
branco e sedoso (pequenos pelos brancos) (BRUNETON, 1995; PDR, 2000; WATSON e
DALLWITZ, 1992).
As flores (Figura 2), surgem solitárias ou agrupadas em número de 2, 3 ou 4 nas
axilas das folhas. São pequenas, com 4 a 5 pétalas brancas ou rosa pálida, aromáticas e
diâmetro de 3 – 5 cm; com pedúnculos glabros e mais ou menos espessos na parte superior,
tendo, em geral, de 8 10 mm de comprimento; lice polisépalo com 5 a 7 sépalas e
pétalas. As pétalas são fundidas com a base com numerosos estames. O ovário contém 3
câmaras. O fruto, de cor marrom esverdeado, é uma cápsula tricoca com 1 3 cm de
diâmetro e contém 1 3 sementes lisas marrom (CHÁ, 2005; PDR, 2000; WATSON e
DALLWITZ, 1992).
Figura 1. Folhas da C. Sinensis
Fonte: www.herbpics.com/images/Tea-Camellia-sinensis-leafy-tips-Richo-Cech.jpg
10
Figura 2. Flores da C. Sinensis
Fonte: www.camelias.net/images/csinensis5.jpg
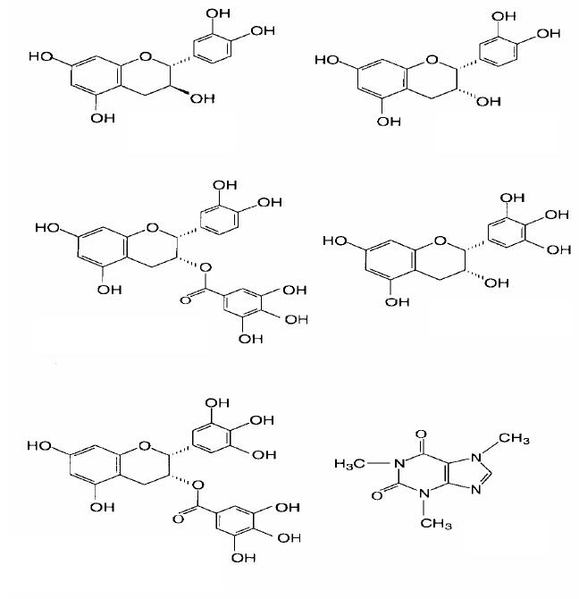
1.1 Constituição Química
As folhas não fermentadas contêm 15-25 % de proteínas; 30 % de polifenóis; 5 %
de glicídeos; 1-5 % de metilxantinas (cafeína 2,9-4,2 %, teobromina 0,15-0,2 %, teofilina
0,02-0,04 %); vitaminas: C, B1, B2 e K; minerais: flúor, potássio, lcio, manganês e
fósforo entre outros (PDR, 2000; SEELY et al., 2005; RATES, 2002).
No chá-verde as catequinas representam 90 % do total dos flavonóides - sendo que
20-30 % das catequinas podem estar na forma oxidada - e 10 % de flavonóis (RIJKEN et
al., 2000; HIGDON e FREI, 2003). As catequinas totais perfazem 30 % do peso seco do
chá, dentre os quais destacam-se: (-)-galato de epigalocatequina (EGCG) de 10-15 %,
(-)-epigalocatequina (EGC) de 2-3 %, (-)-galato de epicatequina (ECG) 2 %, (-)-
epicatequina (EC) de 0,2-2 % (BROWN, 1999; MUKHTAR e AHMAD, 2000; SEELY et
al., 2005).
11
Ainda em relação à constituição química dos constituintes do chá, foram
encontrados derivados do ácido cafêico como o ácido clorogênico e a teogalina entre
outros; também flavonóides insolúveis em água como quercetina, canferol, miricetina,
entre outros; linalol como óleo volátil e galotaninos (10 a 24 %) (BRUNETON, 1995;
PDR, 2000; RATES, 2002); e outros constituintes que incluem ácido gálico, málico e
oxálico (HORIE e KOHATA, 2000, SEELY et al., 2005). A estrutura da cafeína e das
catequinas podem ser visualizadas na Figura 3.
Figura 3. Estruturas da cafeína e principais catequinas que compõe o chá-verde
(Adaptado de FERNÁNDEZ et al., 2000).
(+)catequina
(C)
(-)-epicatequina
(EC)
(-)-galato de epicatequina
(ECG)
(-)-epigalocatequina
(EGC)
(
-
)
-
galato de epigalocatequina
(EGCG)
cafeína
12
1.2 Dados Farmacológicos
Atividade estimulante
O chá-verde contém metilxantinas que são responsáveis pela ação estimulante do
sistema nervoso central (SNC), primeiramente no nível cortical, e seguidamente até a
medula conforme o aumento da dose. A teofilina e cafeína tem um efeito inibitório na
fosfodiesterase, aumentando indiretamente o nível de AMPc (adenosina-3’,5’-monofosfato
cíclico) no citoplasma, resultando em estimulação da contração do miocárdio e da
freqüência cardíaca; inibem o sono e estimula o centro respiratório (HUANG, 1992;
RAMARETHINAM e RAJALAKSMI; 2004; RANG et al., 2004).
Atividade diurética
O efeito diurético deve-se a presença das metilxantinas, que como todos os
antagonistas de adenosina promovem a dilatação das veias renais com consecutivo
aumento da taxa de filtração glomerular (PDR, 2000). A teofilina apresenta maior potência
entre as metilxantinas na inibição da reabsorção tubular de íons Cl
-
e Na
+
, aumentando a
circulação renal (HUANG, 1992; RANG et al., 2004; RATES, 2002).
Atividade no controle do peso
Estudos recentes das propriedades termogênicas do chá-verde têm demonstrado
sinergismo entre a cafeína e as catequinas que parecem prolongar o estímulo simpático da
termogênese. Em um estudo realizado em humanos, utilizando o extrato de chá-verde
contendo 90 mg de EGCG tomado três vezes ao dia, verificou-se que o grupo tratado com
o extrato queimou 266 calorias a mais por dia que o grupo tratado com placebo, e isto vem
a sugerir sua utilização no controle da obesidade (DULLOO et al., 1999). Os polifenóis do
chá-verde têm demonstrado em estudo in vitro a capacidade de inibir lípases da digestão,
que poderiam resultar numa menor lipólise de triglicerídeos, diminuindo a digestão de
lipídeos em humanos (DULLOO et al., 2000; JUHEL et al., 2000). LIN et al., (1998)
notaram uma diminuição significativa no peso dos ratos após 63 semanas de uma dieta
13
basal com chá-verde pulverizado (2,5%), comparado aos controles na dieta basal sozinha.
Na 15ª semana, o grupo do chá-verde pesou 12% menos (p<0.05), e entre a semana 15 e o
fim do estudo (semana 63), mostrou uma perda média do peso comparada aos controles de
10-18% (p<0.05) e que 100% sobreviveu.
Atividade antimicrobiana
A preparação de chá-verde contendo 30,5% de EGCG foi capaz de melhorar a flora
intestinal em pacientes enfermos, aumentando o vel de lactobacilos e bifidobactérias
além de diminuir os níveis de Enterobacteriaceae, Bacteroidaceae e Eubacterias. Também
houve diminuição dos metabólitos patogênicos das bactérias. o estudo in vitro também
demonstrou atividade antimicrobiana do chá-verde contra uma variedade de bactérias
patogênicas Gram-positivas e Gram-negativas que causam cistite, pielonefrite, diarréia,
cáries dentárias, pneumonia e dermatites (CHOU et al., 1999; GOTO et al., 1998;
HAMILTON-MILLER, 2001; PDR, 2000).
Atividade antitumoral
Estudos têm demonstrado que os polifenóis do chá-verde possuem efeito preventivo
e inibitório sobre a formação e o crescimento de tumores. Estes estudos evidenciaram que
principalmente o EGCG pode ser efetivo na prevenção de diversos tipos de câncer
(próstata, mama, esôfago, estômago, pâncreas e cólon). Também indícios que estes
polifenóis podem ter efeito inibitório no câncer de intestino, pele, fígado, tumores da
bexiga e do ovário, leucemia e leucoplasia oral (BOIK, 1995; BROWN, 1999;
MONOGRAPH, 2000; STEELE et al., 2000).
Pesquisas feitas pelo National Institute of Environmental Health Sciences
apresentaram que o EGCG e a EC presentes no chá-verde, anulam a ação de receptores aril
hidrocarboneto, molécula com papel essencial na ativação de genes causadores de câncer
em ratos e também em células humanas (PALERMO et al., 2003).
14
JANKUN et al., (1997) postularam que a atividade antitumoral do chá-verde deve-
se a inibição do uroquinase, enzima crucial para o crescimento do tumor malígno. Os
pesquisadores sabiam que chás, especialmente o verde, contêm substâncias capazes de
proteger contra o câncer, mas não sabiam como elas agiam. Segundo o estudo, o EGCG é
capaz de agir sobre a uroquinase, substância encontrada em grande quantidade em cânceres
que atacam os seres humanos. EGCG se liga à proteína, impedindo que a uroquinase forme
tumores. A inibição da uroquinase pode reduzir o tamanho dos tumores e até mesmo
causar a completa remissão de tumores em camundongos.
Atividade antioxidante
Em um estudo, verificou-se a atividade antioxidante do chá-verde em relação à
vitamina C, constatando que uma ou duas xícaras do chá-verde equivalem à capacidade
antioxidante de 400 mg de vitamina C. Também foi verificado que o EGCG tem o EC
50
(dosagem necessária para diminuir em 50 % a absorbância inicial do DPPH) de 20 µg/mL
em RSC radical scavenging capacity (capacidade seqüestradora de radical) para o
radical 1,1-difenil-2-picrilhidrazil (DPPH), sendo maior que a vitamina C e o trolox (6-
hidroxi-2,5,7,8-tetrametilcromano-2-ácido carboxílico) que tiveram seu EC
50
de 55 µg/mL
(TOIT et al., 2001).
CAMPANELLA et al., (2003) avaliaram a atividade antioxidante relativa do chá-
verde e outros chás disponíveis no mercado italiano, utilizando-se o método biosensor da
superóxido dismutase. Neste ensaio foi obtido em ordem decrescente de atividade
antioxidante o seguinte resultado: chá-verde > chá com limão > chá com pêssego > chá
com leite > chá descafeinado > chá de camomila.
Atividade quimiopreventiva
Quimioprevenção é o uso de pequenas moléculas, incluindo suplementos
nutricionais ou suplementos a base de ervas, para prevenir doenças, em oposição ao uso de
quimioterápicos, onde fármacos, na maioria sintéticos, são usados para remover ou aliviar
os sintomas das doenças. O conceito de quimioprevenção, embora usado no oriente por
15
milhares de anos, não havia ganhado reconhecimento científico no ocidente (GOSSLAU e
CHEN, 2004).
A American Association for Câncer Research tem aceitado que a quimioprevenção
é uma alternativa viável para o controle do câncer. Sugere-se que o mecanismo pelo qual
os quimiopreventivos poderiam auxiliar no controle do ncer estariam relacionados ao
controle da apoptose celular. Isto poderia ser mediado na mitocôndria pela inativação de
fatores pró-apoptóticos como procaspases, citocromo C, Apaf-1, endonuclease-G e fator
indutor de apoptose, após injúria celular (GOSSLAU e CHEN, 2004).
EGCG e outras catequinas do chá mostraram primeiramente serem apoptóticos em
células humanas linfóides leucêmicas e de carcinoma. A dose de EGCG capaz de induzir a
apoptose nestas células ficou entre 20 a 100 µM, e o tempo variou de 10 à 30h (GOSSLAU
e CHEN, 2004).
Vários estudos têm relatado a quimioprevenção dos polifenóis do chá-verde, onde
sugere-se a possível associação entre atividade quimiopreventiva do chá-verde em tumores
e a concentração de EGCG. A respeito dos efeitos biológicos do chá-verde, as catequinas
podem ser um agente quimiopreventivo nos estágios adiantados. Porém, ainda não foram
estabelecidas claramente suas aplicações em metástases (CRESPY e WILLIAMSON,
2004).
Atividade antidiabética
ANDERSON e POLANSKY, 2002 verificaram em ensaio epididimal em células
adiposas que o cconsumido normalmente (sachet de 2 g infuso em 237 mL de água
quente/5 min.) potencializou a atividade da insulina, sendo que a maior atividade foi
atribuído ao EGCG seguido por ECG, taninos e teaflavinas.
As catequinas do chá-verde têm mostrado serem capazes de inibir a atividade de
enzimas que hidrolisam carboidratos, inclusive a α-amilase. Para a inibição desta enzima,
tem sido teorizado que as catequinas favorecem a digestão lenta dos carboidratos, que
16
impede picos elevados de insulina no sangue (ANDERSON e POLANSKY, 2002;
LECOMTE, 1985 apud WERBACH e MURRAY, 1994).
Atividade antiviral
Em estudos de infecção por vírus influenza tipo A e B em cultura de células do rim
de cães, é relatado que concentrações de EGCG abaixo de 1 µmol inibe eficazmente a
absorção do vírus às membranas da célula. Esta concentração é aproximadamente 100
vezes mais baixa do que a concentração do amantadina, um rmaco anti-influenza,
requerida para um efeito comparável (NAKAYAMA et al., 1993)
NAKANE e ONO, (1990) relataram que EGCG e EC são inibidores relativamente
potentes in vitro da transcriptase reversa e polimerase do RNA (10 e 20 ng/mL,
respectivamente). Entretanto, as concentrações requeridas para inibir a transcriptase
reversa em culturas de células eram citotóxicas.
Cientistas da Universidade de Tóquio Japão, descobriram em laboratório, que o
EGCG impede que as proteínas do vírion HIV-1 conectem-se nas moléculas de CD4 das
células T-helper (primeiro passo para a infecção pelo HIV). Os pesquisadores descobriram
que a concentração de 25-250 µmol/L em céluals T CD4 humanas é capaz de participar da
regulação da expressão de CD4 na superfície da célula. Isto se dá pela afinidade do EGCG
em se ligar a sítios específicos da molécula CD4, onde provavelmente se ligaria a gp120 do
vírion HIV-1 (KAWAI et al., 2003; NANCE e SHEARER, 2003).
1.3 TOXICIDADE
O chá verde é considerado geralmente uma bebida segura, não-tóxica e o consumo
é geralmente sem efeitos colaterais. Um copo médio do chá-verde, entretanto, contém de
10-50 mg de cafeína e o consumo elevado pode causar irritabilidade, insônia, agitação e
taquicardia. Os estudos sobre seu efeito teratogênico possível são inconclusivos. O
consumo da cafeína é contra-indicado durante a gravidez. As mulheres lactantes devem
17
também limitar o consumo de cafeína para evitar desordens do sono em bebês (BROWN,
1999; MITSCHER et al., 1997; MONOGRAPH, 2000).
A posologia para a bebida do chá-verde varia, dependendo da situação clínica e do
efeito terapêutico desejado. O conteúdo fenólico da infusão do chá-verde está entre
50 - 100 mg de polifenóis/copo, com posologia pica que varia de 3 a 10 copos/dia
(BROWN, 1999; MONOGRAPH, 2000). A ingestão de chá-verde sólido descafeinado até
a dose única de 4,5 g/dia (igual a 45 copos de chá) foram bem toleradas por humanos
(LUPER, 1999).
O tratamento de ratos com o extrato do chá-verde (1,25%) como única fonte da
água por 30 semanas não foi capaz de desenvolver tumores de fígado (National Cancer
Institute – NCI). Existem indicações de estudos epidemiológicos que a ingestão regular do
chá está correlacionada com um aumento em cânceres esofágicos em algumas regiões onde
o consumo do chá é relativamente elevado, embora outra evidência indique que este
aumento está relacionado mais ao consumo de bebidas muito quentes (> 55 ºC) (DHAR et
al., 1993; YANG e WANG, 1993).
2. RADICAIS LIVRES
As camadas eletrônicas de um elemento químico são denominadas K, L, M e N, e
seus subníveis, s, p, d, f. Um radical livre (RL) é uma estrutura química que possui um
elétron desemparelhado (ímpar), ou seja, ocupando um orbital atômico ou molecular
sozinho. Isso o torna muito instável, altamente reativo e com uma enorme capacidade para
combinar-se inespecificamente com as diversas moléculas integrantes da estrutura celular e
derivado de cada uma delas (HALLIWELL e GUTTERIDGE, 1990; HALLIWELL e
GUTTERIDGE, 1999). Os radicais livres em geral são formados por absorção de radiação
(ultravioleta ou visível), por reações redox ou por processos de catálise enzimática
(SLATER, 1984).
18
O oxigênio molecular (O
2
) é fundamentalmente um birradical, que tem dois
elétrons não pareados no orbital p antiligantes, ambos com o mesmo giro paralelo, o que os
torna pouco reativo (PERÓN et al., 2001). No entanto, o processo de transferência de
elétrons, ou a absorção de energia, pode levar o oxigênio a gerar as espécies reativas do
oxigênio (ERO) (OGA, 2003) um termo coletivo freqüentemente utilizado para incluir não
apenas radicais livres de oxigênio, mas também alguns não derivados do O
2
capazes de
gerar RL (HALLIWELL e GUTTERIDGE, 1999). Estas formas de oxigênio são altamente
prejudiciais para os constituintes celulares, incluindo os ácidos nucléicos, os lipídios e as
proteínas (STORZ et al., 1987).
2.1 Radical Superóxido (O
2
• -
)
Durante o metabolismo aeróbico, cerca de 98% do oxigênio consumido é reduzido
à água pela cadeia respiratória, formando ATP (trifosfato de adenosina) por fosforilação
oxidativa. Isto representa a base energética da vida aeróbica. Porém, aproximadamente 2%
deste oxigênio sofre redução incompleta, gerando principalmente radical superóxido (O
2
•-
)
(BOVERIS, 1998). Também pode ser formado por ação de células fagocitárias
(neutrófilos, monócitos e macrófagos) (DIAZ et al., 1998) que, por ação de uma oxidase
que transfere elétrons do NADPH para o O
2
, produzem O
2
•-
e peróxido de hidrogênio
(H
2
O
2
) para defesa bactericida (FORMAN e THOMAS, 1986).
Entre as substâncias de interesse biológico que se autoxidam, gerando o radical
superóxido, incluem-se a hemoglobina, a mioglobina e as catecolaminas. Essas
autoxidações são, geralmente, reações em cadeia na qual o radical superóxido pode atuar
como iniciador e propagador das cadeias radicalares. Apesar de o nome sugerir que esse
radical tem alto poder oxidante, o superóxido atua na maioria das reações como um agente
redutor (OGA, 2003).
2.2 Peróxido de hidrogênio (H
2
O
2
)
Acredita-se que a mitocôndria, considerada a maior fonte de radical superóxido
(O
2
•-
), é impermeável ao mesmo. Porém, o radical superóxido é dismutado pela enzima
19
superóxido dismutase (Sod) para peróxido de hidrogênio e este sim por ser uma molécula
neutra, atravessa membranas com relativa facilidade (BOVERIS, 1998; FRIDOVICH,
1998).
O H
2
O
2
além de ser formado na reação de dismutação do superóxido e por
fagócitos, também é um subproduto da assimilação oxidativa de várias fontes de carbono e
nitrogênio, por peroxissomos e glioxissomos (FORMAN e THOMAS, 1986;
FRIDOVICH, 1998). Por não reagir imediatamente, pode migrar pela célula e atingir alvos
distantes da sua formação: é capaz de atravessar camadas lipídicas, pode reagir com a
membrana eritrocitária e com proteínas ligadas ao Fe
2+
e Fe
3+
(IZAWA et al., 1995).
Embora o H
2
O
2
não seja estritamente um radical livre por definição, ele é uma espécie
reativa de oxigênio importante por sua capacidade de gerar o radical hidroxila (OH
) em
presença de metais como o ferro (HALLIWELL e GUTTERIDGE, 1999).
2.3 Radical hidroxila (OH
)
Na presença de íons ferro reduzido, o H
2
O
2
pode originar um dos intermediários
mais reativos de oxigênio, o radical hidroxila, através da reação de Fenton (HALLIWELL
E GUTTERIDGE, 1999).
O radical hidroxila (OH
) tem uma meia-vida extremamente curta, reagindo rápida
e inespecificamente com os alvos celulares mais próximos (FELIPPE JR e PERCÀRIO,
1991). A capacidade desse radical em lesar as células é superior às demais ERO, já que o
organismo não dispõe de um sistema enzimático de defesa contra o radical hidroxila
(HALLIWELL e GUTTERIDGE, 1999).
Por isso, a melhor defesa que a célula tem contra este radical é preventiva, ou seja,
evitar que o mesmo seja gerado. Na ausência da catálise pelos íons metálicos, a reação de
Fenton ocorreria de forma muito lenta, caso realmente acontecesse (GRALLA e
KOSMAN, 1992). Por esta razão, a célula mantém um rígido controle da homeostase
metálica. O transporte de metais é altamente regulado (EIDE, 1998) e os íons de metais de
transição são mantidos em sua valência mais alta ou estão de alguma forma complexados a
20
proteínas e enzimas onde são armazenados ou fazem parte funcional das mesmas. A
compartimentalização de compostos metálicos nos vacúolos e a ferritina podem ser
consideradas parte das defesas antioxidantes. Levando isto em conta, uma outra reação foi
proposta por Haber-Weiss onde, em um primeiro passo o metal (na sua valência mais alta -
Fe
3+
/Cu
2+
) reage com o radical O
2
•-
, deixando o metal em uma valência menor (Fe
2+
/Cu
+
).
(FRIDOVICH, 1998; HALLIWELL e GUTTERIDGE, 1999); conforme demonstrado na
Figura 4.
Reação de Haber-Weiss
(Fe
3+
/Cu
2+
) + O
2
(Fe
2+
/Cu
+
) + O
2
Metal oxidado Metal reduzido
Reação de Fenton
(Fe
2+
/Cu
+
) + H
2
O
2
(Fe
3+
/Cu
2+
) + OH + OH
-
Metal reduzido Metal oxidado
A soma das reações acima resulta na Reação de Haber-Weiss/Fenton
Catalisador
O
2
+ H
2
O
2
O
2
+ OH + OH
-
Metálico
Figura 4. Representação da formação do radical OH pelas reações Haber-Weiss/Fenton.
(Adaptado de HALLIWELL & GUTTERIDGE, 1999).
A combinação extremamente rápida do OH com metais ou outros radicais no
próprio sítio onde foi produzido confirma sua alta reatividade. Assim, se o OH for
produzido próximo ao DNA e a este DNA estiver fixado um metal, poderão ocorrer
modificações de bases purínicas e pirimidínicas, levando à inativação ou mutação do DNA.
Além disso, o OH
pode inativar várias proteínas (enzimas e membrana celular), ao oxidar
21
seus grupos sulfidrilas (-SH) a pontes dissulfeto (-SS). Também pode iniciar a oxidação
dos ácidos graxos polinsaturados das membranas celulares (lipoperoxidação)
(HALLIWELL e GUTTERIDGE, 1986)
2.4 Oxigênio singlet (O
2
1
)
O oxigênio singlet é outra ERO capaz de modificar o DNA diretamente. Pode ser
gerado pelos fagócitos, por indução luminosa, por reações catalisadas por peroxidades e
outras (CADENAS, 1989; EPE, 1991).
O oxigênio singlet difere do oxigênio no estado molecular porque não apresenta
restrição na transferência de elétrons, sendo altamente reativo (BECKMAN e AMES,
1998). O oxigênio singlet causa danos às proteínas devido à oxidação de aminoácidos
essenciais, principalmente do triptofano, metionina, histidina e resíduos de cisteína
(HALLIWELL e GUTTERIDGE, 1999).
3 ESTRESSE OXIDATIVO
Durante o metabolismo basal das células aeróbicas normais, radicais livres formam-
se em condições fisiológicas em proporções controladas pelos mecanismos defensivos
celulares. Entretanto, em condições patológicas, essa produção pode aumentar
substancialmente. O estresse oxidativo pode resultar de uma situação em que há uma
diminuição nos níveis das enzimas antioxidantes, uma elevada velocidade de produção de
ERO ou uma combinação de ambas as condições. Distúrbio do equilíbrio entre a formação
e a remoção de ERO está associado a uma série de processos patológicos, por exemplo:
câncer, isquemia, arteriosclerose, diabetes, mal de Alzheimer entre outras desordens
neurológicas e não-patológicas, como por exemplo, o envelhecimento (BECKMAN e
AMES, 1998; HERMES-LIMA e STOREY, 1998; PAWLAK et al., 1998;).
22
3.1 Sistemas de Defesa Antioxidante
Os antioxidantes são definidos como “qualquer substância que, quando presente em
concentrações baixas, quando comparada com a de um substrato oxidável, retarda,
significativamente, ou previne a oxidação daquele substrato” (HALLIWELL e
GUTTERIDGE, 1999).
Para proteger o organismo do ataque destas ERO existe uma série de
sistemas de defesa antioxidante, como enzimas específicas que inativam algumas delas;
enzimas que controlam a disponibilidade de metais na célula; captadores não protéicos de
radicais; e em paralelo, os sistemas de regeneração e reparação de macromoléculas
danificadas, especialmente o DNA, podem corrigir possíveis falhas ou sobrecargas nos
mecanismos de defesa (HALLIWELL e GUTTERIDGE, 1999).
A capacidade pró-oxidante e antioxidante das células devem ser mantidas
em equilíbrio a fim de evitar o perigo potencial do estresse oxidativo (SIES, 1997). É
quando ocorre um aumento das ERO e/ou uma diminuição da capacidade antioxidante, que
as ERO são capazes de lesar componentes celulares, inclusive o DNA, modificando sua
estrutura e/ou função e gerando o estresse oxidativo.
O estresse oxidativo tem seus danos minimizados pelo sistema de defesa
antioxidante não enzimático e/ou sistema de defesa antioxidante enzimático. No primeiro
caso, várias moléculas com propriedades antioxidantes consumidas na dieta como o α-
tocoferol (vitamina E), β-caroteno, selênio, ácido ascórbico (vitamina C), glutationa
reduzida (GSH) e polifenóis diminuem a ão tóxica das ERO produzidas intra e
extracelularmente. No segundo caso, quando são expostos um nível basal de ERO, os
organismos sintetizam enzimas antioxidantes como as superóxido dismutases (Sod),
catalase (Cat) e glutationa peroxidase (GPX) e glutationa-redutase (GR) (BECKMAN e
AMES, 1998; BONNEFOY et al., 2002; PAWLAK et al., 1998; YU, 1994).
23
3.2 Antioxidantes Enzimáticos
Superóxido dismutase (SOD)
As Sod são metaloenzimas abundantes em células aeróbicas e das mais importantes
enzimas antioxidantes, e que agem sobre o radical O
2

, dismutando-o a O
2
e H
2
O
2
, que é
menos reativo e pode ser degradado por outras enzimas, como catalase ou glutationa
peroxidase (ACHARYA et al., 1991; FRIDOVICH, 1998).
A enzima Sod1 ou SodCuZn é um homodímero de cobre e zinco abundante no citosol de
células eucarióticas. Em células animais também pode aparecer nos lisossomas, núcleos e
espaço entre as membranas mitocondriais externa e interna, e em peroxissomas
(FRIDOVICH, 1998; ZELKO et al., 2002). A Sod2 ou SodMn é um tetrâmero que contém
manganês em seu sítio ativo e pode ser encontrado em bactérias, plantas e animais. Na
maioria dos tecidos animais e leveduras, é encontrada na mitocôndria (FRIDOVICH,
1998). A Sod3 ou ECSod é um tetrâmero que contém cobre e zinco e possui um peptídeo
sinalizador que direciona essa enzima exclusivamente para o espaço extracelular. O papel
que a Sod3 desempenha nos diferentes espaços fisiológicos está apenas começando a ser
esclarecido (ZELKO et al., 2002). A SodFe contém ferro e é encontrada em bactérias,
algas e vegetais superiores. Normalmente contém duas subunidades protéicas apresentando
um ou dois íons de ferro por moléculas de enzima (HALLIWELL e GUTTERIDGE,
1999).
A enzima SodCuZn é a maior enzima envolvida na remoção dos ânions superóxido
do citoplasma e possivelmente também do peroxissoma (GRALLA e KOSMAN, 1992),
enquanto a função fisiológica da MnSod, parece ser para proteger a mitocôndria dos
superóxidos gerados durante a respiração e exposição ao etanol, e parece ter uma função
contrária a toxicidade aumentada aos componentes do ciclo-redox durante o crescimento
fermentativo (COSTA et al., 1997; GUIDOT et al., 1993). também evidências
funcionais da SodCuZn em células protetoras contra a respiração derivada dos ânions
Sod
2 O
• −
• −• −
• −
+ 2H
+
2H
2
O
2
+ O
2
24
superóxidos (AYUB et al., 1992). Atualmente, fica evidente que a SodCuZn pode ter uma
função no tamponamento da concentração de cob intracelular, porém, esta função o
aparece relatada como função de proteção contra o estresse oxidativo (CULOTTA et al.,
1995).
Catalase (Cat)
A enzima catalase é uma ferrihemoenzima, presente nos peroxissomos (onde
existem muitas moléculas geradoras de H
2
O
2
), cuja função principal é dismutar peróxido
de hidrogênio formando H
2
O e O
2
, ajudando a regular a geração de H
2
O
2
nestas organelas
(FRIDOVICH, 1998), conforme a reação:
Essa enzima é um tetrâmero formado por unidades idênticas, sendo que cada
monômero contém um grupo prostético heme no centro catalítico. É encontrada no sangue,
medula óssea, mucosas, rim e fígado. Sua atividade é dependente de NADPH, que ativa os
tetrâmeros da enzima. A principal fonte de NADPH é a reação catalisada pela enzima
glicose-6-fosfato desidrogenase (G6PD), a primeira reação da via das pentoses (HARRIS,
1992; SCOTT et al., 1991; URSINI et al., 1997). Em células eucarióticas, catalases
citosólicas e perixossomais (FRIDOVICH, 1998).
Glutationa peroxidade (GPx)
As peroxidases são enzimas que utilizam uma variedade de redutores celulares para
inativar H
2
O
2
e peróxidos alifáticos e os aromáticos à água e seus correspondentes álcoois
inertes, em uma reação que precisa da presença de glutationa reduzida (GSH) como fonte
de equivalentes redutores. É a principal defesa contra o H
2
O
2
na mitocôndria de mamíferos,
que de maneira geral, estas organelas não possuem catalase (FERNANDEZ-CHECA,
1998; FRIDOVICH, 1998; SHAN et al., 1990).
Cat
2H
2
O
2
2H
2
O
+ O
2
25
Trata-se de uma seleno-enzima, cuja ação é baseada na oxidação da glutationa
(GSH) ao dissulfeto correspondente (GSSH), sendo que a glutationa redutase faz a
reconversão a GSH, usando NADPH como redutor (FRIDOVICH, 1998).
A especificidade da glutationa peroxidase (GPx) inclui não somente eliminação de
H
2
O
2
, mas também a redução de alquilhidroperóxidos a seus respectivos álcoois
(FRIDOVICH, 1998). A GPx é uma das enzimas que fazem parte das defesas
antioxidantes primárias. Há dois tipos de GPx: uma que utiliza selênio como cofator, que é
encontrada tanto na mitocôndria como no citosol e uma selênio independente, que se
encontra apenas no citosol e metaboliza exclusivamente hidroperóxidos orgânicos
(MEISTER, 1995; HALLIWELL e GUTERIDGE, 1999). A GPx, em associação com
outras enzimas, previne a interação do O
2

, H
2
O
2
e íons metálicos que levariam a formação
do altamente destrutivo OH
(MAXWELL, 1995).
3.3 Antioxidantes Não Enzimáticos
Entre os antioxidantes não enzimáticos pode-se citar a vitamina C, a vitamina E,
ubiquinol, os carotenóides e os flavonóides (MACHLIN e BENDICH, 1987). A vitamina
C elimina os radicais livres do plasma, citosol e outros compartimentos aquosos. A
vitamina E e outros antioxidantes hidrofóbicos atuam fundamentalmente nas membranas e
nas bicamadas lipídicas (HALLIWELL e GUTTERIDGE, 1999). Por ser um agente
redutor potente, o ácido ascórbico possui uma excelente capacidade antioxidante, podendo
seqüestrar eficientemente inúmeras ERO. Ao reagir com as ERO, o ácido ascórbico é
oxidado a ácido desidroascórbico, podendo ser convertido de volta à forma reduzida às
custas de GSH ou de NADPH. Também pode regenerar o tocoferol de sua forma radicalar
oxidada e contribuir indiretamente na defesa antioxidante lipídica (MAXWELL, 1995). In
vitro, foi demonstrado que a vitamina C é capaz de exercer propriedades pró-oxidantes,
reagindo com íons ferro e cobre, produzindo H
2
O
2
e OH
. As propriedades antioxidantes do
GPx
H
2
O
2
+ 2GSH
GSSG + 2H
2
O
2
GR
GSSG
+ NADPH + H
+
2GSH + NADP
+
26
ácido ascórbico in vitro são várias, porém in vivo as evidências de sua ação são limitadas,
mesmo sendo as concentrações plasmáticas do mesmo suficientes para exercer efeitos
antioxidantes (HALLIWELL e GUTTERIDGE, 1999).
O tocoferol também chamado vitamina E, é uma substância lipossolúvel,
“scavenger” de radicais peroxil (RO
2
), sendo provavelmente o mais importante (mas não o
único) inibidor da reação de peroxidação lipídica em animais. Assim como o ácido
ascórbico, o tocoferol pode reduzir o Fe
3+
a Fe
2+
e o Cu
2+
a Cu
+
, e então estes podem
exercer efeitos pró-oxidante em alguns sistemas in vitro (HALLIWELL e GUTTERIDGE,
1999).
Os polifenóis são compostos com um ou mais anéis aromáticos contendo
substituites hidroxilados e/ou seus derivados funcionais (AFANAS’AV et al., 1989;
HUSAIN et al., 1987; MELLO e SANTOS, 2002; ZUANAZZI, 2002). Dentre os
polifenóis com atividade antioxidante expressiva, têm-se os flavonóides. As seis maiores e
mais estudadas subclasses de flavonóides incluem as flavanonas, flavonas, flavonóis,
catequinas e isoflavonas (ROSS e KASUM, 2002). A atividade antioxidante dos
flavonóides refere-se ao fato de serem quelantes de metais, varredores de RL, inclusive
radical hidroxila, e por extinguirem o oxigênio singlet (TRUEBA e SÁNCHEZ, 2001).
Os compostos polifenólicos estão presentes em frutas e vegetais (ANGELIS, 2001)
como nozes, sementes, ervas, especiarias, flores, em diversos chás e vinho tinto. São
importantes compostos de frutas cítricas (KEFFORD e CHANDLER, 1970), sendo
consumidos regularmente na dieta humana (HERRMANN, 1976).
Após pesquisas na área da farmacologia de alimentos funcionais, um grande
número de relatos tem estabelecido que os compostos fenólicos de plantas, incluindo os
flavonóides, são potentes antioxidantes e também relatos de possíveis efeitos
antimutagênicos e anticarcinogênicos dos mesmos (MIDDLETON e KANDASWAMI,
1994; RICE-EVANS et al., 1997). Também têm sido mostrados relatos sugerindo que uma
dieta rica em compostos fenólicos exibe propriedades pró-oxidantes e citotóxicas, sob
certas condições (SUMMERS e FELTON, 1994; SUGIHARA et al., 1999; YAMANAKA
27
et al., 1997). Esta atividade antioxidante/pró-oxidante dos compostos fenólicos pode
depender de determinados fatores, tais como o potencial de redução de metal, pH e das
características de solubilidade (DECKER, 1997).
4. MUTAGÊNESE E ANTI MUTAGÊNESE
Os danos ao DNA, causados por agentes genotóxicos são considerados como
eventos iniciais que levam à mutação e inúmeros defeitos hereditários, doenças
degenerativas e câncer (MOUTACCHI, 2000). Nos anos recentes, muitas substâncias
presentes em vegetais têm sido consideradas como uma alternativa para escapar dos
processos de mutagênese e/ou carcinogênese, devido às suas propriedades
quimiopreventivas de mutações ao DNA e de interferência nas etapas de iniciação,
promoção e progressão da carcinogênese (CAMBIE e FERGUSON, 2003; LEE e PARK,
2003). Segundo HARTMAN e SHANKEL (1990), a antimutagênese pode ocorrer em
diferentes níveis: a) prevenção da formação de metabólitos mutagênicos; b) captura dos
agentes mutagênicos pelas enzimas ou pelos componentes celulares dos tecidos; c)
neutralização das lesões pré-mutagênicas e d) modulação dos mecanismos que aumentam a
inativação metabólica de compostos mutagênicos.
O termo antimutagênico foi usado originalmente para descrever aqueles agentes
que induzem redução da freqüência de mutações espontâneas ou induzidas,
independentemente do mecanismo envolvido (WATERS et al., 1990). Verificou-se em
vários estudos que substâncias endógenas obtidas por meio de alimentos, ou sintetizadas
pelas células, exibem algum tipo de atividade inibitória a agentes mutagênicos naturais e
artificiais (ODIN, 1997). O descobrimento de produtos que reduzem a taxa de mutações
fatalmente diminuiria a incidência de câncer, pois o homem poderia aumentar a exposição
a determinados agentes mutagênicos efetivos (HAYATSU et al., 1988), especialmente por
meio da dieta (RAMEL et al., 1986; WATTEMBERG, 1985). Muitos estudos laboratoriais
têm identificado um grande número de compostos antimutagênicos e anticarcinogênicos na
dieta, a maioria presente nas plantas (KOHLMEIER et al., 1995 apud DE MARINI, 1998).
Entre os produtos naturais que apresentam potencial antimutagênico temos os vegetais,
28
frutas cítricas, ervas e condimentos, além de componentes de alimentos como as vitaminas
A, C e E, flavonóides (ROMPELBERG et al., 1995).
De acordo com LEHMANN et al. (2000), com o aumento do consumo de alimentos
contendo componentes quimiopreventivos, pode ser possível melhorar a proteção contra
danos causados por compostos mutagênicos e carcinogênicos. Este fato tem levado a um
aumento no interesse da população sobre os possíveis efeitos antimutagênicos de produtos
naturais ou compostos químicos e, conseqüentemente, a um incremento dos estudos.
5. TESTE ANTIOXIDANTE in vitro A BASE DA XANTINA OXIDASE
Durante o processo de hidroxilação da hipoxantina em xantina e depois em ácido
úrico (devido à presença da enzima xantina oxidase) são produzidos também o íon
superóxido a partir do oxigênio e peróxido de hidrogênio a partir de água. Na presença de
Fe
3+
e de EDTA, o íon superóxido é oxidado a oxigênio molecular, o que reduz o Fe
3+
em
Fe
2+
. O Fe
2+
é necessário para a transformação, numa segunda reação, do peróxido de
hidrogênio (H
2
O
2
) em radicais hidroxila (Figura 5). Como radicias hidroxila são muito
reativos, a metodologia para quantificação dos radicais hidroxila produzidos no teste é
baseada na reação de derivatização dos radicais hidroxila com o ácido salicílico. Desta
maneira, são formados dois compostos estáveis: ácido 2,3- diidroxi-benzóico (2,3-DHBA)
e ácido 2,5-diidroxi-benzóico (2,5-DHBA) (Figura 5 e 6), fáceis de serem medidos via
cromatografia líquida de alta eficiência (CLAE) (OWEN et al., 1996 e 2000-a).
A presença de extratos ou compostos puros ou purificados com atividade
antioxidante no teste pode influenciar na produção dos dois compostos estáveis DHBA,
porque pode ter uma competição entre os compostos do extrato ou compostos
puros/purificados e o ácido salicílico na reação com os radicais livres (radicais hidroxila -
OH
). Assim terá menos radicais hidroxila que podem a reagir com o ácido salicílico,
portanto menos radicais hidroxila podem ser derivatizados para formar os dois compostos:
2,3-DHBA e 2,5-DHBA. Ao mesmo tempo a atividade antioxidante de compostos do
extrato ou compostos puros/purificados podem também reagir com o íon superóxido (O
2
• -
)
ou com o peróxido de hidrogênio (H
2
O
2
), diminuindo assim, indiretamente, a formação de
29
2,3-DHBA e 2,5-DHBA. Em cada um desses casos, a atividade antioxidante se expressa na
diminuição da formação destes produtos estáveis. Quanto maior a diminuição na formação
dos DHBA´s, maior a atividade antioxidante do extratos testado ou do composto
puros/purificado testado. Este teste foi utilizado, por exempo, para determinar atividades
antioxidantes in vitro, de diversas compostos puros/purificados e também de extratos de
plantas, tais como no estudo dos alcalóides beta-carbolínicos (MOURA et al., 2007), do
alcalóide monoterpénico psicolatina e do extrato bruto das folhas da planta Psychotria
umbellata (FRAGOSO et al., 2007), de compostos puros da planta Anacardium
occidentale, também conhecido como cajueiro (TREVISAN et al., 2006), além da análise
antioxidante in vitro de compostos fenólicos de diferentes óleos de oliva do Mediterrâneo
européio (OWEN et al., 2000-b).
Figura 5: Esquema do ensaio para medir atividades antioxidantes in vitro utilizando o
sistema da xantina oxidase (OWEN et al., 1996).
N
N
N
N
N
N
N
N
O
H
O
H
Η
Ο
.
Ο
2
Ο
2
Η
2
Ο
C
O
O
H
Ο
Η
Ο
Η
C
O
O
H
C
O
O
H
Ο
Η
Ο
Η
Η
Ο
F
e
I
I
I
/
E
D
T
A
+
O
H
.
+
O
H
-
+
F
e
I
I
/
E
D
T
A
Ο
2
+
F
e
I
I
/
E
D
T
A
+
++
+
F
e
I
I
I
(
5
0
µ
M
)
/
E
D
T
A
(
5
0
0
µ
M
)
Η
2
Ο
2
Η
2
Ο
Ο
2
.
Ο
2
Ο
2
+
F
e
I
I
/
E
D
T
A
F
e
I
I
I
/
E
D
T
A
+
O
H
.
+
O
H
-
+
F
e
I
I
I
/
E
D
T
A
Η
2
Ο
2
+
F
e
I
I
/
E
D
T
A
H
y
p
o
x
a
n
t
h
i
n
e
(
3
0
0
µ
M
)
X
a
n
t
h
i
n
e
X
A
N
T
H
I
N
E
O
X
I
D
A
S
E
(
1
8
m
U
)
S
a
l
y
c
i
l
i
c
a
c
i
d
(
2
m
M
)
2
,
3
-
D
H
B
A
2
,
5
-
D
H
B
A
U
r
i
c
a
c
i
d
N
N
N
N
O
H
O
H
Η
Ο
30
Figura 6: Derivatização dos radicais hidroxila com o ácido salicílico, levando a formação
de dois compostos estáveis: ácido 2,3- diidroxi-benzóico (2,3-DHBA) e ácido 2,5-diidroxi-
benzóico (2,5-DHBA).
6. A LEVEDURA Saccharomyces cerevisiae COMO MODELO DE ESTUDO
Bactérias como Salmonella typhimurium e Escherichia coli são utilizadas nos
métodos mais amplamente empregados para detecção de mutações gênicas. Mas, como
estas bactérias são organismos simples procariontes, os resultados obtidos nem sempre são
válidos para células animais ou outros eucariontes. Portanto, para se obter dados sobre
mutação gênica em eucariontes há testes em leveduras (S. cerevisiae), em células de
mamíferos, em Drosophila ou mesmo mutações somáticas em mamíferos pelo teste de
HGPRT (gene de hipoxantina-guanina fosforibosil-transferase), ligado ao cromossomo X
dos mamíferos (LE CURIEUX et al., 1993; MACGREGOR et al., 2000; TICE et al.,
1998).
A levedura S. cerevisiae é um fungo unicelular, com ciclo eucarioto típico e
completo, amplamente estudado e notavelmente semelhante às lulas de mamíferos no
que se referem às macromoléculas, organelas e proteínas com homologia a proteínas
humanas, tornando-a uma ferramenta importante nas pesquisas sobre mutagênese, reparo
de DNA e mecanismos que respondem ao estresse oxidativo (BOEIRA et al., 2002;
MARIS et al., 2001; PUNGARTNIK et al., 2002).
31
As leveduras podem crescer tanto em condições anaeróbias quanto aeróbias e,
portanto, são expostas continuamente as ERO geradas como bioprodutos do metabolismo
(COSTA e FERREIRA, 2001). A levedura S. cerevisiae pertence ao grupo das leveduras
anaeróbias facultativas, isto é, fermenta hexoses como a glicose e a frutose, independente
da concentração de oxigênio. A glicose é a principal fonte de carbono da S. cerevisiae, uma
preferência que é mediada por um complexo processo de repressão e ativação de genes e
de proteínas, usualmente conhecido como repressão da glicose ou repressão catabólica (DE
WINDE et al., 1997; GANCEDO, 1998). Quando a concentração de glicose cai para
menos de 0,2% no meio, a desrepressão das enzimas que participam da biossíntese na
mitocôndria e de outros genes necessários para o crescimento respiratório (DE WINDE et
al., 1997; GANCEDO, 1998)
Este crescimento apresenta fases distintas do ponto de vista metabólico e cinético
(Figura 7). Após um breve período de adaptação em meio rico (YPD 2% glicose),
chamado de fase lag, as células iniciam uma divisão celular a cada hora e meia (fase
exponencial), com energia proveniente da fermentação da glicose. Ao diminuir a
disponibilidade de glicose no meio, ocorre a desrepressão catabólica (transição diáuxica),
na qual uma parada transiente na divisão celular, enquanto as células são preparadas
para o metabolismo respiratório. Após, ela reassume a divisão celular em um ritmo mais
lento (uma divisão a cada três ou quatro horas), utilizando o etanol como fonte de carbono
produzido durante a fermentação (fase pós-diáuxica). Quando todas as fontes de carbono
forem exauridas, as células entram na fase estacionária na qual podem sobreviver por
muito tempo na ausência de nutrientes (FUGE e WERNER, 1997; PRINGLE e
HARTWELL, 1982).
32
Figura 7. Fases de crescimento de uma levedura selvagem quando iniciada em meio
completo (Adaptado de FUGE e WERNER, 1997).
6.1 Defesas antioxidantes da levedura S. cerevisiae
S. cererevisiae apresenta uma variedade de mecanismos de defesas antioxidantes.
Possui duas enzimas superóxidos dismutases: SodCuZn, codificada pelo gene SOD1,
localizada no citoplasma; e a SodMn, codificada no núcleo pelo gene SOD2 e que é
localizada na mitocôndria (GRALLA & KOSMAN, 1992; LONGO et al., 1999). Ambas
enzimas fazem a dismutação do radical superóxido (O
2
• -
) a peróxido de hidrogênio (H
2
O
2
).
Duas catalases foram identificadas, uma citosólica codificada pelo gene CTT1 e outra
perixossomal codificada pelo gene CTA1. Leveduras mutadas para ambas as catalases são
sensíveis a estresse por elevadas concentrações de H
2
O
2
(IZAWA et al., 1995).
Linhagens isogênicas de S. cerevisiae deficientes em defesas antioxidantes têm sido
utilizadas para o estudo do mecanismo de ação de agentes físicos e químicos que
interferem com o estado redox da célula (BRENNAN & SCHIESTK, 1998; LEE et al.,
2001). Um método utilizado para determinação da natureza das lesões induzidas por
agentes oxidantes, consiste em comparar a sensibilidade de mutantes deficientes em
enzimas antioxidantes com uma linhagem selvagem isogênica proficiente naquele tipo de
33
defesa antioxidante. Pode-se também combinar um oxidante conhecido, como H
2
O
2
,
t-BOOH (peróxido de terc-butil) e paraquat, com uma substância com potencial
antioxidante. O aumento da viabilidade celular ao tratamento esta sugerindo atividade
protetora (antioxidante) e a diminuição da viabilidade a um efeito deletério (pró-oxidante)
(HENRIQUES et al., 2001; MARIS et al.,, 2000; PICADA et al., 2003).
6.2 O estudo de substâncias com atividades pró- e/ou antioxidante
Respostas adaptativas ao estresse oxidativo também podem ser encontradas em
levedura. Células pré-tratadas com concentração sub-letal de um oxidante (H
2
O
2
, t-BOOH,
paraquat) apresentam indução de uma resposta protetora que permite que as mesmas
sobrevivam a um tratamento com concentrações mais altas ou letais do oxidante (GRANT
et al., 1998; IZAWA et al., 1995; IZAWA et al., 1996; KUGE e JONES, 1994). Esta
resposta adaptativa não é restrita ao estresse oxidativo, sendo que em levedura a resposta
adaptativa mais conhecida é a do choque térmico. Respostas similares também ocorrem
para o estresse osmótico, para agentes que provocam danos ao DNA e para outros tipos de
estresse. O pré-tratamento com um tipo de agente estressor pode também induzir
resistência cruzada contra outro tipo de agente estressor (LEE et al., 1999; PARK et al.,
1998; SUGIYAMA et al., 2000). Esses estudos demonstram a complexidade de sistemas
altamente regulados que evitam os danos celulares. A regulação desses sistemas em
leveduras pode ser mais complexa do que daqueles de organismos aeróbios, pois a
levedura é um aeróbio facultativo (MARIS et al., 2001).
Maris et al. (2000) demonstraram que a capacidade antioxidante das leveduras em
crescimento fermentativo es bastante diminuída em relação a leveduras que o
fermentam e que esta diferença não depende da função mitocondrial, ou seja, que o sistema
antioxidante da levedura está sujeito à repressão por glicose, também conhecida por
repressão catabólica.
Em S. cerevisiae foi demonstrado que uma exposição prévia ao peróxido de
hidrogênio H
2
O
2
e menadiona (gerador de superóxido) aumentam a resistência a níveis
anteriormente tóxicos destes compostos, através da indução de genes e proteínas.
34
LEE et al., (1999), propuseram a existência de dois regulons paralelos de resposta a
estresse por H
2
O
2
, que seriam controlados pelos fatores de transcrição Yap1 e Skn7,
envolvendo a indução de mais de 30 proteínas Os genes controlados por Yap1 codificam
produtos essenciais na manuteão do estado redox da célula.
Desta forma, testes em células eucarióticas da levedura S. cerevisiae, tanto
proficientes como deficientes em sistemas de reparação de danos causados por estresse
oxidativo, assumem um importante papel na verificação da capacidade oxidante e
antioxidante, e na determinação do possível mecanismo de ação dos produtos testados.
6.3 Teste de mutação forward
Os ensaios com levedura têm sido de grande utilidade na determinação de agentes
mutagênicos ambientais ou farmacológicos e servem para complementar os ensaios de
mutagenicidade realizados em bactérias (HENRIQUES et al., 1987; POLI et al., 1999;
TERZIYSKA et al., 2000). As mutações são detectadas através da expressão fenotípica,
causada por uma mudança súbita e hereditária no genótipo do organismo, alterando suas
características. A ocorrência de mutações, no entanto, depende da natureza da lesão e das
respostas celulares aos danos no DNA, podendo assim ser dividida em dois grupos:
mutações gênicas e cromossômicas. As mutações gênicas são alterações que ocorrem na
seqüência de nucleotídeos do DNA e as cromossômicas são as que produzem alterações no
número ou estrutura dos cromossomos (DEARFIELD et al., 2002; MACGREGOR et al.,
2000; WATERS et al., 1999).
Alterações gênicas, resultantes de um tratamento mutagênico, podem ser facilmente
quantificadas usando-se um marcador fenotípico, como por exemplo, a sensibilidade à
canavanina. Muitas linhagens selvagens expressam um transportador de arginina chamado
Can1p. A canavanina é um análogo estrutural tóxico da arginina (Figura 8). O mesmo
transportador que internaliza a arginina, faz a importação de canavanina do ambientes
levando as células à morte. Neste sentido, alterações no gene CAN1, induzidas por drogas
mutagênicas podem aumentar a sobrevivência das células em presença de canavanina
35
quando comparadas a tratamentos o mutagênicos (BRENDEL & HENRIQUES, 2001;
HUANG et al., 2003).
A linhagem N123 permite a detecção deste tipo de mutação, chamada mutação
forward (REVERS et al., 2002). As células revertentes podem ser detectadas pelo
semeamento em placas contendo meio seletivo na presença de canavanina.
Arginina Canavanina
H
2
N-CH-COOH
CH
2
CH
2
CH
2
CH
2
O
NH NH
H
2
N-C=NH
2
+
H
2
N-C=NH
2
+
Figura 8. Estrutura química dos análogos arginina e canavanina.
36
II. OBJETIVOS
1. Objetivo Geral
Estudar a atividade antioxidante e antimutagênica dos extratos liofilizados das
folhas da planta Camellia sinensis var. assamica, através de ensaios biológicos in vivo
utilizando a levedura Saccharomyces cerevisiae, e testar a atividade antioxidante in vitro
baseado na enzima hipoxantina-xantina oxidase, de extratos liofilizados das folhas da
planta, utilizando a técnica de Cromatografia Líquida de Alta Eficiência (CLAE).
2. Objetivos Específicos
Determinar a atividade antioxidante in vivo dos extratos liofilizados das folhas da planta
C. sinensis var. assamica, utilizando diferentes linhagens da levedura S. cerevisiae
selvagens e isogênicas, deficientes em produtos de genes envolvidos na resposta ao
estresse oxidativo;
Determinar a atividade antioxidante in vitro, de extratos liofilizados das folhas da planta
C. sinensis var. assamica, utilizando o sistema a base da enzima hipoxantina/xantina
oxidase, e utilizando a técnica de CLAE;
Avaliar os possíveis efeitos mutagênico e antimutagênico dos extratos liofilizados das
folhas da planta C. sinensis var. assamica em linhagens da levedura S. cerevisiae,
portadora de marcas genéticas apropriadas;
37
3. Preparação dos extratos liofilizados das folhas da planta Camellia sinensis
Os extratos liofilizados foram gentilmente cedidos pelos colaboradores Samuel T.
Saito, Ana Maria Bergold e Grace Gosmann (Programa de Pós-Graduação em Ciências
Farmacêuticas, Faculdade de Farmácia, Universidade Federal do Rio Grande do Sul
(UFRGS).
As amostras de chá-verde foram colhidas durante a primavera e o verão, sendo
preparadas conforme o sistema de extração. Sistema 1: extração por decocção assistida, à
80 ºC por 20 minutos; Sistema 2: extração assistida por ultra-som usando H
2
O:acetona
(1:1) por 30 min;
Os extratos foram denominados de acordo com a estação do ano da sua colheita, e
de acordo com o tipo se sistema de extração, utilizando as palavras em inglês, sendo os
seguintes:
SU1 – summer – system 1 (= verão – sistema 1)
SU2 – summer – system 2 (= verão – sistema 2)
SP1 – spring – system 1 (= primaveira – sistema 1)
SP2 – spring – system 2 (= primaveira – sistema 2)
AMOSTRA SISTEMA ÉPOCA COLETA
SU1 – summer 1 Verão
SU2 – summer 1 Verão
SP1 – spring 2 Primavera
SP2 – spring 2 Primavera
38
CAPÍTULO I
Antioxidant and antimutagenic activities of brazilian green tea
[Camellia sinensis (L) var. assamica] extracts
(A ser submetido à Revista Mutagenesis)
39
Antioxidant and antimutagenic activities of brazilian green tea
(Camellia sinensis (L) var. assamica) extracts.
Márcio da Silva Presser
1,2
, Samuel T. Saito
3
,
Giovanni Cignachi
1,5
, Dinara Jaqueline
Moura
4
, Grace Gosmann
3
, Ana Maria Bergold
3
, Jenifer Saffi
1,4,5
and Marc François
Richter
1,2
*
1
Programa de Pós-Graduação em Genética e Toxicologia Aplicada (PPGGTA),
Universidade Luterana do Brasil (ULBRA), Canoas, RS, Brazil;
2
Laboratório de Farmacocinética, Centro de Pesquisa em Ciências Médicas (CPCM),
Universidade Luterana do Brasil (ULBRA), Canoas, RS, Brazil;
3
Programa de Pós-Graduação em Ciências Farmacêuticas, Faculdade de Farmácia,
Universidade Federal do Rio Grande do Sul (UFRGS), Porto Alegre, RS, Brazil.
4
Departamento de Biofísica/Centro de Biotecnologia, Universidade Federal do Rio Grande
do Sul (UFRGS), Porto Alegre, RS, Brazil;
5
Laboratório de Genética Toxicológica, Universidade Luterana do Brasil (ULBRA),
Canoas, RS, Brasil
* Corresponding author. Centro de Pesquisa em Ciências Médicas, Prédio 22 andar,
Avenida Farroupilha 8001, Bairro São José, CEP 92425-900, Canoas- RS, Brazil. Tel.: +55
51 34779219; Fax: +55 51 32317507.
E-mail address: [email protected] (M.F. Richter)
40
ABSTRACT
Green tea extract is a widely used dietary supplement in different parts of the world
The aims of the present study was to evaluate the possible activities antioxidant and
antimutagenic of the lyophilized extracts of leaves from species Camellia sinensis (L) var.
assamica, through biological assays in vivo using the yeast Saccharomyces cerevisiae, and
to test the antioxidant activity in vitro based on the enzyme hypoxantine-xantine oxidase
assay. The samples of green tea were picked during the spring and the summer, being
prepared according to the extraction system. System 1: extraction for attended decocction,
to 80ºC for 20 minutes; System 2: extraction attended by supersonic sound waves using
water:acetone (1:1) for 30 min. When tested in the S. cerevisiae proficient and deficient of
the defense antioxidant superoxide dismutase (SOD), all the four extracts showed a
significant antioxidant activity for the doses of 50 - 300 µL (= 0.1 – 0.6 mg of the extracts).
The capacity of hydroxyl (OH
) radical-screvening, of all the extracts, it was confirmed
with the results obtained in the in vitro assay, where the extracts based on the system of
extraction water/acetone they demonstrated a more pronounced antioxidant activity,
reducing the formation of both species of DHBA in 45,9 and 38%, in the concentration of
2 mg/mL of the extracts. Besides, the antimutagenic activity was analyzed in S. cerevisiae
N123 in the presence of H
2
O
2.
An antimutagenic effect of the doses 100 - 400 µL (= 0.2
0.8 mg of the extracts) it was observed, and your property of hydroxyl (OH
) radical-
screvening it seems to contribute for this antimutagenic effect.
KEY-WORDS: oxidative stress; brazilian green tea; catechins; Saccharomyces cerevisiae;
antioxidant activity; antimutagenicity; Camellia sinensis (L) var. assamica
41
INTRODUCTION
Tea is the second most popular beverage worldwide Green tea (Camellia sinensis
family Theaceae) has been considered a medicine and a healthy beverage since ancient
times, but recently it has received much more attention because of its antioxidant
properties, due a major source of dietary flavonoids (1 - 8). Antioxidants are very
important for human health, since the production of reactive oxygen species (ROS) is
thought to be a significant cause of aging and carcinogenesis (9, 10). Actually, polyphenols
can act as free radical-scavengers, quenching hydroxyl radicals (OH·) or superoxide anion
radicals (O
2
·) (11, 12). Moreover, some epidemiological studies have associated the
consumption of tea with a lower risk of several types of cancer (13 15). Green tea
polyphenols (GTPPs) have demonstrated to be an effective chemopreventive agent (4, 16).
Other health benefits/properties, such as enhancing insulin activity (4, 17), antimicrobial
(14, 18, 19), imunostimulatory (14, 20), antiinflamatory capacities (14), its protective
effect against cardiovascular diseases (14, 21) and cerebral ischemic damage (22), have
also been suggested. Recent reports have linked GTPPs to ROS production, especially
hydrogen peroxide (H
2
O
2
), and subsequent apoptosis in both transformed and
nontransformed human bronchial cells (23). Most plant polyphenols possess both
antioxidant as well as prooxidant properties (24) and it has been reported by Hadi et al.
(25) have proposed that the prooxidant action of polyphenolics may be an important
mechanism of their anticancer and apoptosis inducing-properties (26). It also has been
showed that EGCG can induce H
2
O
2
generation and subsequent damage to isolated and
cellular DNA, and that oxidative DNA damage may mediate the potential carcinogenicity
of EGCG (27).
The three major forms of tea (green tea, black tea, and oolong tea) differ in the way
how they are produced and also in their chemistry. A typical brewed green tea beverage
contains 30–42% catechins by dry weight. These include (−)-epicatechin (EC), (−)-
epicatechin-3-gallate (ECG), (−)-epigallocatechin (EGC) and (−)-epigallocatechin-3-
gallate (EGCG) with EGCG being the major component. In black tea, catechins,
theaflavins (TF) and thearubigins (TR) account for 3–10, 2–6, and > 20%, respectively, of
the water-extractable material by dry weight. Tea leaves also contain flavonols, such as
42
quercetin, myricetin and kaempferol; linalool as volatile oil; and galotanines (10 a 24 %)
(28, 29, 30) as well as the nitrogenous compounds caffeine and theobromine (10), and
vitamins: C, B1, B2 e K; minerals: fluorine, potassium, calcium, manganese and
phosphorus (29 31). It has been reported that the cultivation of C. sinensis (L) var.
assamica leads to a type of green tea, that has more than twice the flavonols content,
compared with that of var. sinensis (9) of which 60-80% of the total flavonoids are
catechins (10, 32). In addition it has been shown that the extracts on the basis of
water/acetone are more efficient in extracting catechin-like compounds, than the extraction
based on water (33).
Free radicals, such as ROS, are responsible for oxidative stress that can initiate
physiopathological processes such as aging, atherosclerosis, inflammation, hepatic
diseases, Alzheimer and Parkinson’s disease, several cancer types (34 – 36). In the last few
years, interest has focused on finding solutions to protect cellular compounds against the
action of ROS. It is thus important to further evaluate the antioxidative properties and
antimutagenicity of brazilian green tea leaves from the species C. sinensis var. assamica.
In this paper, these putative protective effects have been assessed using a survival assay in
S. cerevisiae strains proficient and deficient in antioxidant defenses and by an
antimutagenicity assay using the yeast strain N123, for determination of forward mutation
frequency. In addition, we tested the antioxidant activity of our extracts in an in vitro-based
hipoxanthine-xanthine enzyme assay.
43
MATERIAL AND METHODS
Preparation of plant extracts
Camellia sinensis var. assamica in Brazil is restricted to the Vale do Ribeira in
State of Sao Paulo. The different lyophilazated extracts of the plant is described in Saito et
al. (33). Briefly, green tea samples were harvested during spring and summer. Sample-
system 1 was produced by attended decoction with water, to 80°C for 20 minutes and
sample-system 2 by attended extraction with supersonic sound waves using the solvent
H
2
O:acetone (1:1) for 30 min (37). Each of the two systems was used to produce two
different types of plant extracts, based on the season in which green tea leaves were
harvested, resulting in a total of four different extracts:
SAMPLE SYSTEM SEASON
SU1 1 Summer
SU2 1 Summer
SP1 2 Spring
SP2 2 Spring
Chemical and reagents
Yeast extract, Bacto-peptone and Bacto-agar was obtained from Difco Laboratories
(Detroit, MI, USA). H
2
O
2
, aminoacids (L-histidine, L-threonine, L-metionine, L-
tryptophan, L-leucine, L-lysine), nitrogenated bases (adenine and uracil), L-canavanine
and dimethylsulfoxide (DMSO) were purchased from Sigma (St. Louis, USA). Uric acid,
2,3-dihydroxy-benzoic acid (2,3-DHBA), 2,5-dihydroxy-benzoic acid (2,5-DHBA) were
obtained from SIGMA-ALDRICH (St. Louis, USA). Ultrapure water was obtained from a
Milli-Q plus system from Millipore (Billerica, USA). All stock solutions of standards were
stored for at least 4 months at 4°C, without any measurable deterioration under these
conditions, as measured by HPLC. The appropriate concentrations were obtained by
dilution of stock solution in Milli-Q sterile water.
44
Assays with Saccharomyces cerevisiae
The relevant genotypes of S. cerevisiae strains used in this work are listed in Table
I. Media, solutions, and buffers were prepared as previously described (38). Complete
medium YPD containing 0.5% yeast extract, 2% bacto-peptone, and 2% glucose was used
for routine growth of yeast cells. For plates, the medium was solidified with 2% bacto-
agar. The minimal medium (MM) contained 0.67% yeast nitrogen base without amino
acids and 2% glucose, and 2% bacto-agar was supplemented with the appropriate amino
acids. The synthetic complete medium (SC) was MM supplemented with 2 mg of adenine,
2 mg of arginine, 5 mg of lysine, 1 mg of histidine, 2 mg of leucine, 2 mg of methionine, 2
mg of uracil, 2 mg of tryptophan, and 24 mg of threonine per 100 ml MM. For
determination of forward mutation frequency induced by H
2
O
2
, in strain N123, cells
treated with this chemical were plated onto SC plates lacking arginine and supplemented
with 60 µg/ml canavanine (SC+can). Stationary phase cultures were obtained by the
inoculation of an isolated colony in liquid YPD. After 48 h at 30°C with aeration by
shaking, the cultures contained 1-2x10
8
cells/ml (39). A saline solution (S - 0.9% NaCl)
was employed for dilution of cells suspensions. Sterile distilled water was employed for
dilution the H
2
O
2
used in the experiments for testing antioxidants activities. The solvents
controls included in the genetic tests were found to be negative; H
2
O
2
were used as positive
control.
We chose to work in the stationary phase of growth because this resembles most
cells of multicellular organisms in important aspects: (i) most energy comes from
mitochondrial respiration, (ii) the cells have left the active cell cycle and have entered the
G0 phase and (iii) damage accumulates over time (40, 41).
Antioxidant Assays in S. cerevisiae.
For analysis of antioxidant activity, strains of S. cerevisiae proficient and deficient
in system of antioxidant defense (SOD, sod1, sod2, sod1sod2) had been used in the
survival test. Cells in stationary phase were then harvested by centrifugation and washed
twice with saline solution. The cell density was determined using a Neubauer counting
4
5
chamber. The extracts were prepared in a concentration of 2 mg/ml in DMSO. A
suspension containing 2 x 10
8
cells/ml was inoculated in saline solution with increasing
doses of the extract and H
2
O
2
(1 mM) for 1 h at 30°C, and plated in plate with
solidified YPD. For survival determination, suitable aliquots were plated in triplicate on
solid YPD. Plates were incubated at 30°C for 48-72 h, and after which time, colonies
were counted and compared to the control plates, which were considered to represent
100% survival of the yeast cell. All tests were repeated at least three-fold and plating was
carried out in triplicate for each dose.
Detection of forward mutation and potential antimutagenic activity in S. cerevisiae
Strain N123 (Table I) was used for this analysis because it is very responsive to
H
2
O
2-
-induced mutagenesis since it shows low glutathione content (42). Yeast cells were
cultured overnight in YPD medium at 30ºC until the cell suspension reached a density of 1-
2 x 10
7
cells/ml. Cells were harvested and washed twice by centrifugation with 0.9% NaCl
solution and submitted to H
2
O
2
and different extracts of plant at 28ºC for 1 hour in the
dark. Cell concentration and percentage of budding cells in each culture were determined
by microscope counts using a Neubauer chamber. After treatment, appropriate dilutions of
cells were plated onto SC plates to determine cell survival and 100 µl aliquots of cell
suspension (1-2 x 10
7
cells/ml) were plated onto SC media supplemented with canavanine
60 µg/ml and incubated for 4-5 days at 30ºC. Data represent the average of at least three
experiments.
Forward mutation was measured with the canavanine resistance assay (CAN1-
can1) after induction with different treatments. This assay uses a phenotypic marker,
canavanine sensitivity, already wild type (WT) yeast strains express the arginine
transporter Can1p, which also imports canavanine from the environment and leads to cell
death (43). Thus, mutagen-induced alterations in the CAN1 gene that impair Can1p
functionality can increase cellular survival in the presence of canavanine when compared
to a non-mutagenic cell sample.
46
Hipoxanthine-xanthine oxidase assay
The method employed to assay the hydroxyl radical scavenging ability of the
extracts was based on the method of Owen et al. (44). Briefly, extracts were dissolved in
the assay buffer (hypoxanthine, Fe(III), EDTA and salicylic acid) at a concentration of 2.0
mg/ml and diluted appropriately (in triplicate) in assay buffer to a final volume of 1.0 ml
giving a range of 0.1 2.0 mg/ml. A 5 µl aliquot of xanthine oxidase dissolved in 3.2 M
(NH
4
)
2
SO
4
was added to initiate the reaction. The sample tubes were incubated for 3 h at
37°C, at which time the reaction was complete. A 30 µl aliquot of the reaction mixture was
then analyzed by HPLC using specific chromatographic conditions (45, 46). Briefly,
chromatographic analysis was done using a gradient based on methanol/water/acetic acid
with a µBondaPak C18 reverse phase column (Waters) and detection at 325nm. The HPLC
equipment had a 2695 separation module (Waters) and UV detector 2487 (Waters). The
hydroxylation of salicylic acid and uric acid were monitored at A = 325 and A = 278 nm,
respectively. The amount of dihydroxyphenol, 2,5-dihydroxybenzoic acid and 2,3-
dihydroxybenzoic acid (DHBAs), produced by the reaction of salicylic acid with produced
hydroxyl radicals (OH·) was determined from standard curves of the respective
dihydroxyphenols. All tests were carried out in triplicates.
Statistics
Statistical analyses of the data were performed using Anova One-Way Tukey
Multiple comparation Test. P-values less than 0.05 were considered to be significant. Data
were expressed as means ± SD values.
47
RESULTS
In vivo antioxidant assays
Results of S. cerevisiae wild-type (WT) and isogenic mutant strains lacking
antioxidant defenses exposed for 1 hour with different extracts of Camellia sinensis (L)
var. assamica and H
2
O
2
are shown in Figure 1. The results showed an antioxidant activity
with an increase of cell survival after treatment with H
2
O
2
for all four extracts and for all
doses from 50 – 300 µl (= 0,1 – 0.6 mg of extract/mL). This increase of survival score does
not occur in a dose-dependent manner and is identical for all yeast strains used,
independent of their type of enzymatic defense that is lacking. However, all four extracts
showed a decrease of cell survival for the dose-range from 400 700 µl (= 0.8 – 1.4 mg of
extract/mL) (Figure 1). No difference was observed between the wild-type and sod mutant
strains in all treatments.
In vitro antioxidant activity
The in vitro antioxidant activity of the extracts was determined by monitoring the
production of hydroxyl benzoic acids (DHBA) as a product of the hydroxyl radical attak on
salicylic acid in the hipoxanthine-xanthine oxidase assay (46). The reduction of total
oxidation products as a function of the concentration of C. sinensis var. assamica added to
the assay is shown in Figure 2. Three extracts (SU1, SU2 and SP2) demonstrated a
significant antioxidant capacity in a dose-dependent manner. SP2 (IC50 = 1.20 mg/ml) and
SU2 (IC50 = 1.42 mg/ml) had a more pronounced activity, reducing the formation of both
DHBA species to 45.9 and 38.0%, respectively, in the highest concentration used (2
mg/mL), whereas SU1 (IC50 = 2.21 mg/ml) showed a more moderate activity in the
reduction (58.10%). On the other hand, SP1 (IC50 = 10.60 mg/ml) demonstrated a very
low antioxidant capacity, reducing to only 90.1% in the highest concentration. In this
manner, sample-system 2 (SP2 and SU2) showed a significant antioxidant activity in a
dose dependent manner at high concentrations based on the extracts hydroxyl radical-
scavening ability.
48
Yeast mutagenicity and antimutagenicity assay
As can be seen in Table II, based on the detection of forward mutation with yeast
strain N123, all four extracts of C. sinensis var. assamica induced mutagenicity in S.
cerevisiae in the highest doses of the assay: with the green tea leaf extract SU1, this
mutagenic effect could be observed in the dose-range of 500 700 µl (= 1.0 1.4 mg of
extract/mL), whereas with extracts SU2, SP1 and SP2 in the dose-range of 600 – 700 µl (=
1.2 – 1.4 mg of extract/mL).
Table III indicates that treatment with all extracts increased cell survival of strain
N123 during H
2
O
2
treatment and simultaneously reduced, in a dose-dependent manner, the
forward mutagenesis
induced in yeast, as measured by the number of canavanine resistant
colonies in the dose-range of 200 – 400 µl (= 0.4 – 0.8 mg of extract/mL) for the green tea
leaf extract SU1, of 100 – 400 µl (= 0.2 – 0.8 mg) for SU2, of 200 – 400 µl (= 0.4 – 0.8 mg
of extract/mL) for SP1, and of 100 500 µl (= 0.2 1.0 mg of extract/mL) for the extract
SP2.
49
DISCUSSION
Several ages related human diseases and chronic diseases, such as diabetes,
neurodegenerative, cardiovascular diseases and mainly carcinogenesis have been
associated with oxidative stress, which occurs in a cell or in a tissue when the
concentration of ROS generated exceeds the antioxidant capability of that cell (47). As
consequence, much attention has been focused on research of protective naturally
occurring antioxidants and on their mechanisms of action. In line with this, many plant
extracts or secondary metabolites have been found to show strong antioxidant activity and
to protect against oxidant-induced damage (48 50). Epidemiological research has
revealed a lower incidence of many chronic diseases in regions and populations that are
regular consumers of vegetables, fruits, red wine and tea (51 – 55). Research for the last 20
years has indicated that one-third of the weight of dry green or black tea is represented by
polyphenols that display exquisite antioxidant protection (56 – 62). Detailed research
shows that the polyphenols in green and in black tea have quite similar beneficial efects in
inhibiting oxidation reactions in vivo (56, 63 – 66). Most of these effects have been
attributed to the antioxidative and free-radical scavenging properties of tea, particularly to
polyphenolic compounds (67 70). A number of studies have shown that the
antimutagenic effects of green tea are due to the presence of tea polyphenols and catechins,
primarily epigalocatechin gallate (EGCG) (70 – 72).
The yeast Saccharomyces cerevisiae has been a useful model for studies of the
eukaryotic response to oxidant challenge, particularly during the stationary growth phase
(73, 74). The results in yeast survival tests, employing the EG103 isogenic strains sod1,
sod2 and sod1sod2, co-treated with the extracts, showed a general survival increment
after exposure to H
2
O
2
. This protective property, shown by the increase in survival, is the
same for all strains, independent of the antioxidant defense disrupted. Therefore, we
suggest that this protection is due to the catechins of the extracts are acting as scavengers
of hydroxyl radicals (OH·), generated through the Haber-Weiss–Fenton reaction (75).
Bayliak et al. (76) suggest that SOD enzymes play an important role in yeast survival
under oxidative stress induced by H
2
O
2
, and it has been shown that there is a strong
relationship between catalase and SOD activities under different experimental conditions.
Therefore, the lack of SOD as well as catalase activities imputes sensitivity to H
2
O
2
.
50
Hence, only potent antioxidants are able to protect this strain in this model. Our results
thus demonstrate a putative direct action of the extracts as ROS scavengers, rather than an
induction of other antioxidant defenses that would lead to an adaptive response in yeast.
The capacity of all extracts to scavenge hydroxyl radicals was confirmed with the
results of the in vitro hypoxanthine–xanthine oxidase assay (Figure 2). Of the four extracts
tested, the extracts, SU2 and SP2 produced the most effective antioxidant activity,
probably, due to the better extraction-process of total catechins from the green tea leaves
(33). However, SU1 showed a more moderate activity in the reduction of DHBA’s, and
SP1 demonstrated a very low antioxidant in vitro capacity. This results can be due to green
tea active ingredients, mainly catechins, are usually isolated by extraction with organic
solvents, where extraction conditions (tea and solvent type, temperature, time, pH, ratio of
solvent to material.) variously influence the extraction efficiency and quality of obtained
extracts. Additionally, during extraction the epimerization of major catechins can occur
(77 - 79).
Perva-Uzunalic et al., (37) demonstrated that the efficiency of extraction for major
catechins with aqueous solvents was, on average, 80% for aqueous and pure methanol and
above 95% for acetone aqueous solvents. This is due to the degradation of major catechins,
which is expressed more at higher temperature. During this study, it was confirmed that
contents of major catechins decreased after a certain time at elevated starting temperature
due to their degradation. These results can be related to findings from published data of
other authors (77,78), which indicate an epimerization of catechins above 80
0
C , as well as
oxidation and degradation.
As previously pointed out, DNA can be a target of ROS action. Oxidative lesions in
DNA include base modifications, sugar damage, strand breaks and a basic site formation.
Antimutagenic activity of substances derived from plants may be due to a variety of
mechanisms such as inhibition of genotoxic effects, signal transduction modulation,
antioxidant activity and scavenging of free radicals (80, 81).
To test the protecting action of C. sinensis (L) var. assamica extracts on H
2
O
2
-
induced mutagenesis we used yeast strain N123. All extracts showed a pronounced
51
mutagenic effect at doses of 600 700 µl (Table II). Furukawa et al. (27) suggested that
EGCG acts as a pro-oxidant under certain conditions, and not as an antioxidant.
Concomitantly, several epidemiological studies indicate that tea consumption is positively
associated with an increased risk of cancers in various organs. Furthermore, green tea
catechins containing EGCG as the main component enhanced colon carcinogenesis in rats
(82). Some papers reported that EGCG caused chromosomal aberrations and sister
chromatid exchanges in human cultured cells, and induced DNA strand breakage (83 - 87).
As shown in Table III, all extracts at doses of 100 500 µl presented an
antimutagenic effect in S. cerevisiae, mainly by an increase in cell survival. Interestingly,
the doses of 100-400 µl, have shown to be efficient against H
2
O
2
–induced stress in the
survival assay. The antioxidant activity and (OH·) scavenging activity may contribute to
the antimutagenic effect. Research showed that he antimutagenic activity against various
mutagens of tea extracts and polyphenols including ECG and EGCG has been
demonstrated in microbial systems Salmonella typhimurium and Escherichia coli,
mammalian cell systems and in vivo animal tests. The mechanisms of antimutagenesis and
anticarcinogenesis of tea polyphenols suggest that the inhibition of tumors may be due to
both extracellular and intracellular mechanisms including the modulation of metabolism,
blocking or suppression, modulation of DNA replication and repair effects, promotion,
inhibition of invasion and metastasis, and induction of novel mechanisms (88, 99).
In summary, our findings indicate that the extracts of C. sinensis var. assamica
have a significant antioxidative effect in yeast and that their hydroxyl radical-scavenging
property appears to contribute to their antimutagenic effect in yeast. Since no in vitro
antioxidant activity data (based on the hypoxantine-xantine assay) of catechins present in
green tea extracts, such as EC, ECG, EGC and EGCG, are described in the literature,
further studies with the pure catechins should be conducted to better define this specific in
vitro antioxidant property of these catechins. In addition their in vivo antioxidant activities
shoud help to better understand the mechanism of our results with the brazilian green tea
(C. sinensis (L) var. assamica) leaf extracts.
52
ACKNOWLEDGEMENTS
This research was supported by grants from the Brazilian Agencies “Conselho
Nacional de Desenvolvimento Científico e Tecnológico” (CNPq), “Fundação de Amparo a
Pesquisa do Rio Grande do Sul” (FAPERGS), and by funding from Universidade Luterana
do Brasil (ULBRA).
53
REFERENCES
1. Rijken, P.J., Wiseman, S.A., Weisgerber, U.M., van Mierlo, C.A.J, Quinlan, P.T.,
van de Put, F., Balentine, D., Paetau-Robinson, I. (2000) Antioxidant and other
Properties of Green and Black Tea. in: Cadenas, E.; Packer, L. Handbook of
Antioxidants. 2st ed.: Marcel Dekker, New York, cap. 19, p. 371–399.
2. Lambert, J.D. and Yang, C.S. (2003) Cancer chemopreventive activity and
bioavailability of tea and tea polyphenols. Mutation Research, 523–524, 201–208
3. Anderson, R.F., Fisher, L.J., Hara, Y., Harris, T., Mak, W.B., Melton, L.D. and
Packer, J.E. (2001).Green tea catechins partially protect DNA from OH radical
induced strand breaks and base damage through fast chemical repair of DNA
radicals. Carcinogenesis, 22, 1189–1193.
4. Cabrera, C., Gimenez, R. and López, M.C. (2003) Determination of tea components
with antioxidant activity. Journal of Agricultural and Food Chemistry, 51, 4427–
4435.
5. Nakagawa, T. and Yokazawa, T. (2002) Direct scavenging of nitric oxide and
superoxide by green tea. Food Chemistry and Toxicology, 40, 1745–1750.
6. Zhang, M.H., Luypaert, J., Fernandez Pierna, J.A., Xu, Q.S. and Massart, D.L. (2004)
Determination of total antioxidant capacity in green tea by near-infrared spectroscopy
and multivariate calibration. Talanta, 62, 25–35.
7. Zhu, Q.Y., Huang, Y., Tsang, D. and Chen, Z.Y. (1999) Regeneration of α-
tocopherol in human low-density lipoprotein by green tea catechin. Journal of
Agricultural and Food Chemistry, 47, 2020–2025.
8. Bravo, L. (1998). Polyphenols: dietary sources, metabolism and nutritional
significance. Nutrition Reviews, 56, 317–333.
9. Beckman, K.B. and Ames, B.N. (1997). Oxidants, antioxidants, and aging. In J. G.
Scandalios (Ed.), Oxidative stress and the molecular biology of antioxidant defense
(pp. 201–246). New York, USA: Cold Spring Harbor Lab. Press.
10. Lambert, J.D. and Yang, C.S. (2003). Mechanisms of cancer prevention by tea
constituents. Journal of Nutrition, 133, 3262S–3267S.
11. Hanasaki, Y., Ogawa, S., and Fukui, S. (1994). The correlation between active
oxygens scavenging and antioxidative effects of flavonoids. Free Radicals in Biology
and Medicine, 16, 845–850.
54
12. Sichel, G., Corsaro, C., Scalia, M., Di Bilio, A.J., and Bonomo, R.O. (1991). In vitro
scavenger activity of some flavonoids and melanin against O
2
-. Free Radicals in
Biology and Medicine, 11, 1–8.
13. PDR for Herbal Medicines, Medical Economics Company, USA, 2000, pp. 369–372.
14. Sato, T. and Myata, G. (2000) The nutraceutical benefit, Part I: Green tea. Nutrition,
16, 315–317.
15. Tott, R., Volsteed, Y. and Apostolides, Z. (2001) Comparison of the antioxidant
content of fruits, vegetables and teas measured as vitamin C equivalents. Toxicology,
166, 63–69.
16. Gosslau, A. and Chen, K.Y. (2004) Nutraceuticals, Apoptosis, and Disease
Prevention. Nutrition, 20, 95–101.
17. Anderson, R.A. and Polansky, M.M. (2002) Tea enhances insulin activity. Journal of
Agricultural and Food Chemistry, 50, 7182–7186.
18. Hamilton-Miller, J.M.T. (1995) Antimicrobial properties of tea (Camellia sinensis
L.). Antimicrobial Agents and Chemotherapy, 39, 2375–2377.
19. Stapleton, P.D., Shah, S., Anderson, J.C., Hara, Y., Hamiltin-Miller, J.M. and Taylor,
P.W. (2004) Modulation of β-lactam resistance in Staphylococcus aureus by
catechins and gallates, I. Journal of Antimic. Agents, 23, 462–467.
20. Matsunaga, K., Klein, T.W., Friedman, H. and Yamamoto, Y. (2002)
Epigallocatechin gallate, a potential immunomodulatory agent of tea components,
diminishes cigarette smoke condensate-induced suppression of anti-Legionella
pneumophila activity and cytokine responses of alveolar macrophages. Clinical and
Diagnostic Laboratory Immunology, 9, 864–871.
21. Sano, J., Inami, S., Seimiya, K., Ohba, T., Sakai, S., Takano, T. and Mizuno, K.
(2004) Effects of Green Tea Intake on the Development of Coronary Artery Disease
and Circulation Journal, 68, 665–670.
22. Suzuki, M., Tabuchi, M., Ikeda, M., Umegaki, K. and Tomita, T. (2004) Protective
effects of green tea catechins on cerebral ischemic damage. Medical Science Monitor,
10, 166–174.
23. Yang, G.Y., Liao, J., Li, C., Chung, J., Yurkow, E.J., Ho, C.T. and Yang, C.S. (2000)
Effect of black and green tea polyphenols on c-jun phosphorylation and H
2
O
2
production in trans-formed and non-transformed human bronchial cell lines: possible
mechanisms of cell growth inhibition and apoptosis induction. Carcinogenesis, 21,
2035–2039.
55
24. Inoue, M., Suzuki, R., Koide, T., Sakaguchi, N., Ogihara, Y. and Yabu, Y. (1994)
Antioxidant gallic acid induces apoptosis in HL60RG cells. Biochemical and
Biophysical Research Communications, 204, 898–904.
25. Hadi, S.M., Asad, S.F., Singh, S. and Ahmad, A. (2000) Putative mechanism for
anticancer and apoptosis inducing properties of plant-derived polyphenolic
compounds. IUBMB Life, 50, 167–171.
26. Azam, S., Hadi, N., Khan, N.U. and Hadi, S.M. (2004) Prooxidant property of green
tea polyphenols epicatechin and epigallocatechin-3-gallate: implications for
anticancer properties. Toxicology in Vitro, 18, 555–561
27. Furukawa, A., Oikawa, S., Murata, M., Hiraku, Y. and Kawanishi., S. (2003). (−)-
Epigallocatechin gallate causes oxidative damage to isolated and cellular DNA.
Biochemical Pharmacology, 66, 1769–1778
28. Bruneton, J. Pharmacognosy, Phytochemical, Medicinal Plants. France: Lavoisier,
1995.
29. Rates, S.M.K. Metilxantinas. In: Simões, C.M.O (org.) Da planta ao medicamento. 4
ed. Porto Alegre: UFRGS, cap.33. p.733–750, 2002.
30. PDR for Herbal Medicines. USA: Medical Economics Company, 2000
31. Seely, D., Mills, E.J., Wu, P., Verma, S. and Guyatt, G.H. The Effects of Green Tea
Consumption on Incidence of Breast Cancer and Recurrence of Breast Cancer: A
Systematic Review and Meta-analysis. Integrative Cancer Therapies, 4, 144–155,
2005.
32. Saito, S.T., Fröehlich, P.E., Gosmann, G. and Bergold, A.M. (2007). Full validation
of a simple method for determination of catechins and caffeine in brazilian green tea
(Camellia sinensis var. assamica) using HPLC. Chromatografia, 65, 607–610.
33. Saito, S.T., Gosmann, G., Saffi, J., Presser, M., Richter, M.F. and Bergold, A.M.
(2007). Characterization of the constituents and antioxidant activity of Brazilian
green tea (Camellia sinensis var. assamica IAC-259 cultivar) extracts. Manuscript
submitted to Journal of Agricultural and Food Chemistry.
34. Wiseman, H. and Halliwell, B. (1996) Damage to DNA by reactive oxygen and
nitrogen species: role in inflammatory disease and progression to cancer.
Biochemistry Journal, 313, 17–29.
35. Stadtman, E.R. and Berlett, B.S. (1997) Reactive oxygen-mediated protein oxidation
in aging and disease. Chemical Research in Toxicology, 10, 485–494.
36. Smith, M.A., Rottkamp, C.A., Nunomura, A., Raina, A.K. and Perry, G. (2000)
Oxidative stress in Alzheimer’s disease. Biochimica Biophysica Acta, 1502, 139–134.
56
37. Perva-Uzunalic, A., Skerget, M., Knez, K., Weinreich, B., Otto, F., Gruner, S.
(2006). Extraction of active ingredients from green tea (Camellia sinensis):
Extraction efficiency of major catechins and caffeine, Food Chemistry 96,597–605.
38. Burke, D., Dawson, D., Stearns, T. Methods in yeast genetics. Cold Spring Harbor
Laboratory Course Manual; CSH Laboratory Press: Plainview, New York, 2000; pp
171–205.
39. Picada, J.N., Maris, A.F., Ckless, K., Salvador, M., Khromov-Borisov, N.N. and
Henriques, J.A.P. (2003). Differential mutagenic, antimutagenic and cytotoxic
responses induced by apomorphine and its oxidation product, 8-oxo-apomorphine-
semiquinone, in bacterial and yeast. Mutation Research, 539, 29-41.
40. Longo, V.D., Gralla, E.B. and Valentine, J.S. (1996) Superoxide dismutase activity is
essential for stationary phase survival in Saccharomyces cerevisiae. Journal of
Biological Chemistry, 271, 12275–12280.
41. Cyrne, L., Martins, L., Fernandes, L. and Marinho, H.S. (2003) Regulation of
antioxidant enzymes gene expression in the yeast Saccharomyces cerevisiae during
stationary phase. Free Radical Biology & Medicine, 34, 385–393.
42. Brendel, M., Grey, M., Maris, A., Hietkamp, J., Fesus, Z., Pich, C., Dafre, L.,
Schmidt, M., Eckardt-Schupp, F. and Henriques, J.A.P. (1998). Low glutathione
pools in the original pso3 mutant of Saccharomyces cerevisiae are responsible for its
pleiotropic sensitivity phenotype. Current Genetics, 33, 4–9.
43. Whelan, W.L., Gocke, E. and Manney, T.R. (1979) The CAN1 locus of
Saccharomyces cerevisiae: fine-structure analysis and forward mutation rates.
Genetics, 91, 35–51.
44. Owen, R.W., Wimonwatwatee, T., Spiegelhalder, B. and Bartsch, H. (1996). A high
performance liquid chromatography method for quantification of hydroxyl radical
formation by determination of dihydroxy benzoic acids. European Journal of Cancer
Prevention, 5, 233–240.
45. Owen, R.W., Giacosa, A., Hull, W.E., Haubner, R., Spiegelhalder, B. and Bartsch, H.
(2000). The antioxidant/anticancer potential of phenolic compounds isolated from
olive oil. European Journal of Cancer Prevention, 36, 1235–1247.
46. Owen, R.W., Haubner, R., Mier, W., Giacosa, A., Hull, W.E., Spiegelhalder, B. and
Bartsch, H. (2003). Isolation, structure elucitation and antioxidant potential of the
major phenolic and flavonoid compounds in brined olive drupes. Food and Chemical
Toxicology, 41, 703–717.
47. Valko, M., Leibfritz, D., Moncol, J., Cronin, M.T.C., Mazur, M. and Telser, J. (2007)
Free radicals and antioxidants in normal physiological functions and human disease.
The International Journal of Biochemistry & Cell Biology, 39, 44–84.
57
48. Lopes, M.I.L., Saffi, J., Echeverrigaray, S., Henriques, J.A.P. and Salvador, M.
(2004) Mutagenic and antioxidant activities of Croton lechleri sap in biological
systems. Journal of Ethnopharmacology, 95, 437–445.
49. Wilmsen, P. K., Spada, D. S., Salvador, M. (2006) Antioxidant Activity of the
Flavonoid Hesperidin in Chemical and Biological Systems. Journal of Agricultural
and Food Chemistry, 53, 4757–4761.
50. Rosa, R.M., Melecchi, M.I.S., Halmenshlager, R.C., Abad, F.C., Simoni, C.R.,
Caramão, E.B., Henriques, J.A.P., Saffi J. and Ramos A.L.P. (2006) Antioxidant and
Antimutagenic Properties of Hibiscus Tiliaceus L. Methanolic Extract. Journal of
Agricultural and Food Chemistry, 54, 7324–7330.
51. Block, G., Patterson, B. and Subar A. (1992) Fruit, vegetables and cancer prevention:
a review of the epidemiological evidence. Nutrition and Cancer, 18, 1–29.
52. Frankel, E.N., Kanner, J., German, J. B., Parks, E. and Kinsella, J.E. (1993)
Inhibition of oxidation of human low-density lipoprotein by phenolic substances in
red wine. Lancet, 341, 454–457.
53. Goldberg, D. (1995) Does wine work? Clinical Chemistry, 41, 14–16.
54. Renaud, S. and De Lorgeril, M. (1992) Wine, alcohol, platelets, and the French
paradox for coronary heart disease. Lancet, 339, 1523–1526.
55. Steinmetz, K.A. and Potter, J.D. (1991) Vegetables, fruit and cancer. II Mechanisms.
Cancer Causes and Control, 2, 427–442.
56. Clydesdale, F.M. (1997) Tea and health. Critical Reviews in Food Science and
Nutrition, 37, 691–785.
57. Fiala, E.S., Sodum, R.S., Bhattacharya, M. and Li, H. (1996) (-)-Epigallocaatechin
gallate, a polyphenolic tea antioxidant, inhibits perooxynitrite mediated formation of
8-oxodeoxyguanosine and 3-nitrotyrosine. Experientia, 52, 922–926.
58. Fujiki, H., Suganuma, M., Okabe, S., Komori, A., Sueoka, E., Sueoka, N., Kozu, T.
and Sakai, Y. (1996) Japanese green tea as a cancer preventive in humans. Nutrition
Reviews, 54, 67–70.
59. Lu, Y.P., Lou, Y.R., Xie, J.G., Yen, P., Huang, M.T. and Conney, A.H. (1997)
Inhibitory effect of black tea on the growth of established skin tumors in mice:
effects on tumor size, apoptosis, mitosis and bromodeoxyuridine incorporation into
DNA. Carcinogenesis, 18, 2163–2169.
60. Weisburger, J.H. (1997) Tea and health: A historical perspective. Cancer Letters,
114, 315–317.
58
61. Xu, Y., Ho, C.T., Amin, S.G., Han, C. and Chung, F.L. (1992) Inhibition of tobacco-
specific nitrosamine induced lung tumorigenesis in A/J mice by green tea and its
major polyphenols as antioxidants. Cancer Research, 52, 3875–3879.
62. Yang, C.S., Chen, L., Lee, M.J. and Landau, J.M. (1996) Effects of tea on
carcinogenesis in animal models and humans. Advances in Experimental Medicine
and Biology, 401, 51–61.
63. Apostolides, Z., Balentine, D.A., Harbowy, M.E., Hara, Y. and Weisburger, J.H.
(1997) Inhibition of PhIP mutagenicity by catechins, and by tea flavins and gallate
esters. Mutation Research, 389, 167–172.
64. Hernaez, J., Xu, M. and Dashwood, R. (1997) Efects of tea and chlorophyllin on the
mutagenicity of N-hydroxy-IQ: Studies of enzyme inhibition, molecular complex
formation, and degradation/scavenging of the active metabolites. Environmental and
Molecular Mutagenesis, 30, 468–474.
65. Tanaka, H., Hirose, M., Kawabe, M., Sano, M., Takesada, Y., Hagiwara, A. and
Shirai, T. (1997) Post-initiation inhibitory e.ects of green tea catechins on 7,12-
dimethyl-benz[a]anthracene-induced mammary gland carcinogenesis in female
Sprague-Dawley rats. Cancer Letters, 116, 47–52.
66. Weisburger, J.H. (1998) Chemoprevention of cancer by tea. In Cancer and Nutrition,
ed. K. N. Prasad and W.C. Cole, pp. 167–171. IOS Press, Amsterdam.
67. Ho, C.T., Chen, Q., Shi, H., Zhang, K.Q. and Rosen, R.T. (1992) Antioxidative effect
of polyphenol extract prepared from various Chinese teas. Preventive Medicine, 21,
520-525.
68. Klaunig, J.E. (1992) Chemopreventive effects of green tea components on hepatic
carcinogenesis. Preventive Medicine 21, 510-519.
69. Weisburger, J.H. (1996) Tea antioxidants and health. In Handbook of Antioxidants.
Edited by E. Cadenas and L. Packer. Marcel Dekker, New York.
70. Yang, S.C. and Wang, Z.Y. (1993) Tea and cancer. Journal of the National Cancer
Institute, 85, 1038-1049.
71. Fujiki, H., Yoshizawa, S., Horiuchi, T., Suganuma, M., Yatsunami, J., Nishiwaki, S.,
Okabe, S., Nishiwaki-Matsushima, R., Okuda, T. and Sugimura, T. (1992)
Anticarcinogenic effects of (-)-epigallocatechin gallate. Preventive Medicine, 21,
503-509.
72. Mukhtar, H., Katiyar, S.K. and Agarwal, R. (1994) Green tea and skin-
anticarcinogenic effects. Journal of Investigative Dermatology, 102, 3-7.
73. Cyrne, L., Martins, L., Fernandes, L. and Marinho, H.S. (2003) Regulation of
antioxidant enzymes gene expression in the yeast Saccharomyces cerevisiae during
stationary phase. Free Radical Biology & Medicine, 34, 385-393.
59
74. Longo, V.D., Gralla, E.B. and Valentine, J.S. (1996) Superoxide dismutase activity is
essential for stationary phase survival in Saccharomyces cerevisiae. Journal of
Biological Chemistry, 271, 12275-12280.
75. Halliwell, B. and Gutteridge, J. M. C. (2000) Free Radicals in Biology and Medicine.
3rd ed. Oxford University Press, New York.
76. Bayliak, M., Semchyshyn, H. and Lushchak, V. (2006) Effect of hydrogen peroxide
on antioxidant enzyme activities in Saccharomyces cerevisiae is strain-specific.
Biochemistry (Moscow), 71, 1013–1020.
77. Komatsu, Y., Suematsu, S., Hisanobu, Y., Saigo, H., Matsuda, R., & Hara, K. (1993).
Studies on preservation of constituents in canned drinks. 2. Effects of pH and
temperature on reaction-kinetics of catechins in green tea infusion. Bioscience
Biotechnology and Biochemistry, 57(6), 907–910.
78. Wang, H., & Helliwell, K. (2001). Food Research International, 34, 223–227.
79. Yoshida, Y., Kiso, M., & Goto, T. (1999). Efficiency of the extraction of catechins
from green tea. Food Chemistry, 67(4), 429–433.
80. Mantle, D., Lennard, T.W. and Pickering, A.T. (2000) Therapeutic applications of
medicinal plants in the treatment of breast cancer: a review of their pharmacology,
efficacy and tolerability. Adv. Drug React. Toxicol. Rev., 19, 223–240.
81. DeFlora, S., Bennicelli, C. and Bagnasco, M. (1999) Rationale and mechanisms of
cancer chemoprevention. Rec. Res. Cancer Res., 151, 29–44.
82. Hirose, M., Hoshiya, T., Mizoguchi, Y., Nakamura, A., Akagi, K., Shirai, T. (2001)
Green tea catechins enhance tumor development in the colon without effects in the
lung or thyroid after pretreatment with 1,2-dimethylhydrazine or 2,2-dihydroxy-di-n-
propylnitrosamine in male F344 rats. Cancer Lett. 168, 23–29
83. Malik, A., Azam, S., Hadi, N., Hadi, S.M. (2003) DNA degradation by water extract
of green tea in the presence of copper ions: implications for anticancer properties.
Phytother. Res. 17, 358–363.
84. Bertram, B., Bollow, U., Rajaee-Behbahani, N., Burkle, A., Schmezer, P. (2003)
Induction of poly(ADP-ribosyl)ation and DNA damage in human peripheral
lymphocytes after treatment with (−)-epigallocatechin-gallate. Mutat. Res. 534, 77–
84.
85. Hayakawa, F., Kimura, T., Hoshino, N., Ando, T. (1999) DNA cleavage activities of
(−)-epigallocatechin, (−)-epicatechin, (+)-catechin, and (−)-epigallocatechin gallate
with various kinds of metal ions. Biosci. Biotechnol. Biochem. 63, 1654–1656.
60
86. Jain, A.K., Sethi, N. (1991) Chromosomal aberrations and sister chromatid
exchanges in cultured human lymphocytes. II. Induced by epigallocatechin gallate.
Cytologia 56, 539–542.
87. Shirahata, S., Murakami, H., Nishiyama, K., Yamada, K., Nonaka, G., Nishioka, I.,
Omura, H. (1989) DNA breakage by flavan-3-ols and procyanidins in the presence of
cupric ion. J. Agric. Food Chem. 37, 299–303.
88. Kuroda, Y. and Hara, Y. (1999) Antimutagenic and anticarcinogenic activity of tea
polyphenols. Mutation Research, 436, 69–97
89. Bunkova, R., Marova, I. and Nemec, M. (2005) Antimutagenic Properties of Green
Tea. Plant Foods for Human Nutrition, 60, 25–29.
61
Table I. Saccharomyces cerevisiae strains used in this study.
* Department of Chemistry and Biochemistry, University of California, Los Angeles, USA
Zip Code: 90024-1569.
** Centro de Biotecnologia, Universidade Federal do Rio Grande do Sul (UFRGS), Porto
Alegre, RS, Brazil, CEP 91501-970.
Strain Genotype Enzymatic defense
lacking
Source
EG103 (SOD+)
Matα his31 leu20 trp1-289
ura3-52
None E.B.Gralla
*
EG118 (sod1
)
Like SOD+ except sod1::URA3
Cu-Zn SOD (cytosolic) E.B.Gralla
*
EG110 (sod2
)
Like SOD+ except sod2::TRP1 MnSOD (mitochondrial) E.B.Gralla
*
EG133 (sod1
sod2
)
Like SOD+ except sod1::URA3
sod2::TRP1
All SOD E.B.Gralla
*
N123 Mata his1-7
None, but exhibits low
glutathione content
J. Henriques
**
62
SU1
SOD sod1 sod2 sod1,2
0
25
50
75
100
H
2
O
2
50 µL
100 µL
200 µL
300 µL
400 µL
500 µL
600 µL
700 µL
*
**
**
**
**
**
**
*
**
**
**
**
**
*
*
Strain
Survival (%)
S P 1
SOD sod1 sod2 sod1,2
0
2 5
5 0
7 5
1 0 0
* *
* *
* *
* *
* *
* *
* *
* *
* *
* * **
**
* *
* *
* *
S tr ain
Survival (%)
S U2
SOD sod1 sod2 sod1,2
0
2 5
5 0
7 5
1 0 0
**
**
**
**
**
**
**
**
**
**
**
*
*
Strain
Survival
S P 2
SOD sod1 sod2 sod1,2
0
2 5
5 0
7 5
1 0 0
**
**
**
**
**
**
**
**
**
**
**
**
*
*
S t r ain
Survival (%)
Figure 1. Survival of Saccharomyces cerevisiae strains treated with the extract summer-
system 1 (SU1), summer-system 2 (SU2), spring-system 1 (SP1) and spring-system2
(SP2) against H
2
O
2
toxicity. The extracts were prepared in a concentration of 2 mg/ml in
DMSO. * Data significant in relation to positive control group at P<0.05; ** P<0.01/
One-way ANOVA Dunnett's Multiple Comparison Test
63
0.0 0.5 1.0 1.5 2.0
0
25
50
75
100
SU1
SU2
Concentration (µ
µµ
µg/mL)
DHBA %
0.0 0.5 1.0 1.5 2.0
0
25
50
75
100
SP1
SP2
Concentration (µ
µµ
µg/mL)
DHBA %
Figure 2. Inhibition of the generation of reactive oxygen species by C. sinensis var.
assamica using the hypoxanthine/xanthine oxidase assay
64
Table II. Induction of forward mutation (can1) in haploid N123 strain of Saccharomyces
cerevisiae after treatment with extracts of C. sinensis var. assamica in stationary phase.
a
Locus-specific revertants;
b
Negative control;
c
Number of colonies;
d
Mean and standard deviation per three
experiments independents in triplicate; * Data significant in relation to positive control group at P<0.05; **
P<0.01/ One-way ANOVA Dunnett's Multiple Comparison Test. Extracts were prepared in a concentration
of 2 mg/mL in DMSO.
Extract
Dose (µl)
Survival (%) Can/10
7
survivors
a
SU1 0
b
100 (687)
c
5.32 ± 0.21
d
50 92.61 (636) 5.80 ± 2.82
100 96.11 (660) 5.86 ± 3.46
200 109.65 (777) 7.29 ± 2.70
300 117.95 (810) 7.67 ± 2.71
400 131.06 (900) 8.03 ± 6.66
500 100 (687) 13.79 ± 6.92**
600 86.05 (591) 18.58 ± 7.02**
700 71.64 (492) 22.79 ± 8.87**
SU2 0 100 (1143) 4.98 ± 1.15
50 74.28 (849) 6.36 ± 2.64
100 90.02 (1029) 4.95 ± 1.53
200 95.53 (1092) 4.39 ± 2.31
300 96.06 (1098) 6.28 ± 2.08
400 89.50 (1023) 6.16 ± 3.00
500 77.96 (891) 6.74 ± 3.79
600 67.45 (771) 12.46 ± 3.05**
700 65.09 (744) 18.15 ± 1.73**
SP1 0 100 (1125) 4.00 ± 1.73
50 101.86 (1146) 3.40 ± 2.31
100 102.93 (1156) 4.92 ± 3.05
200 106.13 (1194) 5.03 ± 2.08
300 104 (1170) 5.64 ± 2.08
400 105.33 (1185) 7.85 ± 3.05
500 86.66 (975) 7.39 ± 1.73
600 85.66 (963) 9.65 ± 1.53**
700 81.86 (921) 18.24 ± 4.04**
SP2 0 100 (1485) 6.26 ± 2.08
50 60.40 (897) 8.03 ± 3.00
100 69.49 (1032) 8.72 ± 2.64
200 71.11 (1056) 8.24 ± 3.21
300 73.73 (1095) 9.59 ± 3.21
400 73.94 (1098) 10.38 ± 0.58
500 68.28 (1014) 10.65 ± 4.00
600 55.15 (819) 23.44 ± 5.51**
700 67.07 (996) 19.57 ± 3.79**
65
Table III. Effects of extracts of C. sinensis var. assamica on induced mutagenicity by
H
2
O
2
in haploid N123 strain of S. cerevisiae in the stationary phase.
a
Locus-specific revertants;
b
Negative control;
c
Positive control;
d
Number of colonies;
e
Mean and
standard deviation per three experiments independents in triplicate; * Data significant in relation to positive
control group at P<0.05; ** P<0.01 / One-way ANOVA Dunnett's Multiple Comparison Test. Extracts
were prepared in a concentration of 2 mg/mL in DMSO.
Extract
Dose (µl)
Survival (%) Can/10
7
survivors
a
NC
b
100 (687)
d
5.32 ± 0.21
e
SU1 0
c
+ H
2
O
2
48.5 (333)
28.65 ± 6.24
50 + H
2
O
2
57.20 (393) 28.69 ± 0.92
100 + H
2
O
2
69.50 (477) 27.35 ± 1.90
200 + H
2
O
2
79.90 (549) 20.49 ± 1.59**
300 + H
2
O
2
80.80 (555) 19.79 ± 5.15**
400 + H
2
O
2
86.10 (591) 19.04 ± 9.39**
500 + H
2
O
2
74.30 (510) 24.71 ± 7.08
600 + H
2
O
2
54.60 (375) 29.76 ± 6.18
700 + H
2
O
2
36.70 (313) 31.41 ± 4.42
NC
b
100 (1143)
c
4.98 ± 1.15
SU2 0
+ H
2
O
2
75.04 (856) 28.33 ± 1.73
50 + H
2
O
2
86.06 (984) 25.31 ± 3.51
100 + H
2
O
2
93.46 (1069) 21.06 ± 6.08 *
200 + H
2
O
2
93.14 (1065) 18.34 ± 3.21 **
300 + H
2
O
2
84.80 (970) 18.70 ± 4.36 **
400 + H
2
O
2
81.65 (934) 19.60 ± 2.52 **
500 + H
2
O
2
76.38 (873) 20.31 ± 1.53 **
600 + H
2
O
2
69.05 (790) 25.46 ± 4.72
700 + H
2
O
2
62.75 (718) 25.09 ± 2.64
NC
b
100 (1125)
c
4.00 ± 1.73
SP1 0
+ H
2
O
2
57.33 (645) 33.95 ± 6.66
50 + H
2
O
2
65.33 (735) 28.16 ± 3.00
100 + H
2
O
2
71.33 (807) 27.88 ± 4.00
200 + H
2
O
2
78.66 (885) 26.09 ± 8.39 *
300 + H
2
O
2
79.73 (897) 22.74 ± 6.43 **
400 + H
2
O
2
72.26 (813) 20.82 ± 2.89 **
500 + H
2
O
2
59.93 (663) 28.96 ± 5.51
600 + H
2
O
2
46.93 (528) 33.52 ± 5.51
700 + H
2
O
2
45.33 (510) 32.35 ± 8.14
NC
b
100 (1485)
c
6,26 ± 2.08
SP2 0
+ H
2
O
2
68.08 (1011) 23,73 ± 6.66
50 + H
2
O
2
75.55 (1122) 19,25 ± 7.00
100 + H
2
O
2
91.11 (1353) 15,96 ± 5.29 *
200 + H
2
O
2
96.76 (1437) 12,53 ± 1.00 **
300 + H
2
O
2
92.32 (1371) 13,56 ± 3.21 **
400 + H
2
O
2
84.24 (1251) 14,14 ± 3.51 **
500 + H
2
O
2
73.33 (1089) 14,88 ± 2.65 **
600 + H
2
O
2
66.06 (981) 20,49 ± 3.05
700 + H
2
O
2
60.81 (903) 20,60 ± 3.79
66
V – DISCUSSÃO GERAL
O potencial para o consumo de chá-verde ou polifenóis do chá-verde em prevenir
ou melhorar doenças crônicas são atualmente o assunto de investigação científica
considerável (MCKAY e BLUMBERG, 2002). Embora um número de mecanismos
tenha sido proposto para os efeitos benéficos do chá-verde em vários modelos de doenças
crônicas, as propriedades de varredor de radicais livres e antioxidantes dos polifenóis do
chá-verde são freqüentemente citadas como contribuintes importantes (HIGDON e FREI,
2003).
Pesquisas epidemiológicas revelaram uma mais baixa incidência de muitas doenças
crônicas em regiões e populações que são consumidores regulares de legumes, frutas,
vinho tinto e chá. Pesquisas durante os últimos 20 anos indicam que 1/3 do peso do chá-
verde ou chá-preto seco é representado por polifenóis, que exibe proteção antioxidante
primorosa. Os efeitos antioxidantes são atribuídos à capacidade varredora de radicais
livres, particularmente para combinações de polifenóis. Vários estudos mostraram que o
efeito anticarcinogenico do chá-verde está relacionado com a presença de polifenóis, as
catequinas, principalmente EGCG (MAETA et al., 2007).
Algumas dessas substâncias presentes nos alimentos e vegetais também podem ter
efeitos mutagênicos e/ou carcinogênicos, isto é, podem induzir mutações do DNA e/ou
podem favorecer o desenvolvimento de tumores enquanto outras podem atenuar ou anular
estes efeitos (ANTUNES e ARAÚJO, 2000). Após a observação inicial de efeitos
antimutagênicos de certos vegetais, vários compostos têm sido isolados de plantas e
testados quanto à ação protetora sobre lesões induzidas no DNA (KADA et al., 1978).
O termo “antimutagênico” foi usado originalmente por NOVICK e SZILARD em
1952 para descrever os agentes que reduzem a freqüência de mutação espontânea ou
induzida, independente do mecanismo envolvido (VON BORSTEL et al., 1996). Os
mecanismos de ação dos agentes antimutagênicos foram classificados em dois processos
maiores, denominados desmutagênese e bio-antimutagênese. Na desmutagênese, os
67
agentes protetores, ou antimutagênicos, atuam diretamente sobre os compostos que
induzem mutações no DNA, inativando-os química ou enzimaticamente, inibindo ativação
metabólica de pró-mutagênicos ou seqüestrando moléculas reativas. Na bio-
antimutagênese, os antimutagênicos atuam sobre o processo que leva a indução de
mutações, ou reparo das lesões causadas no DNA (KADA et al., 1978). Posteriormente,
uma outra classificação mais detalhada foi sugerida, considerando o modo de ação dos
antimutagênicos e/ou anticarcinogênicos, bem como o ambiente de ação, extra ou
intracelular (DE FLORA e RAMEL, 1988).
O potencial antimutagênico de uma substância pode ser avaliado em sistemas
biológicos diversos, os mesmos empregados para o estudo e identificação dos agentes
mutagênicos (ANDERSON et al., 1995; WATERS et al., 1996). Em qualquer desses
sistemas-teste, o tratamento com os agentes mutagênicos, que induzem as mutações, e com
o antimutagênico, que poderá inibir o aparecimento de lesões no DNA, pode ocorrer
simultaneamente ou em momentos diferentes, por meio de pré ou pós-tratamento. Os
agentes antimutagênicos usados em pré-tratamento ou tratamento simultâneo podem atuar
como agentes desmutagênicos. A efetividade do agente antimutagênico no pós-tratamento
sugere que ele esteja atuando pelo mecanismo de bio-antimutagênese e estaria relacionado
ao processo de reparo das mutações, como acontece com a vanilina (SASAKI et al., 1987)
e com o ácido nico (SASAKI et al., 1988). Muitos compostos antimutagênicos
encontrados nos alimentos o agentes antioxidantes e atuam seqüestrando os radicais
livres de oxigênio, quando administrados como pré-tratamento ou nos tratamentos
simultâneos com o agente que induz as mutações no DNA.
Os resultados dos testes de sobrevivência para as linhagens proficientes e
deficientes, quando co-tratados com os extratos, mostraram um incremento de
sobrevivência geral após exposição ao H
2
O
2
(Figura 1). Esta propriedade protetora,
mostrada pelo aumento em sobrevivência, é o mesmo para todas as linhagens,
independente da defesa de antioxidante. Então, é sugerida que esta proteção está
relacionada à presença das catequinas dos extratos, que agem como varredores de radical
hidroxila (OH·), gerados pela reação de Haber-Weiss-Fenton (HALLIWELL e
GUTTERIDGE, 1999). BAYLIAK et al., 2006 sugerem que enzimas SOD apresentam um
68
papel importante na sobrevivência da levedura perante estresse oxidativo induzido por
H
2
O
2
, e para isto foi mostrado que uma relação forte entre catalase e atividade da SOD.
Então, a falta de SOD como também atividades da catalase aumentam sensibilidade ao
H
2
O
2
. Conseqüentemente, somente antioxidantes potentes podem proteger estas linhagens
neste modelo. Nossos resultados demonstram uma ação direta dos extratos assim como
carreador de ERO, e não uma indução de outras defesas antioxidantes que conduziriam a
uma resposta adaptável na levedura.
A capacidade de todos os extratos de varrer o radical hidroxila (OH·) foi
confirmada com os resultados do ensaio in vitro hipoxantina-xantina oxidase (Figura 2).
Dos quatro extratos testados, SU2 e SP2 produziram a atividade de antioxidante mais
efetiva, provavelmente, devido ao melhor extração de catequinas total do chá-verde
(SAITO et al., 2007). A análise dos quatro extratos utilizados no presente estudo via
CLAE, mostrou que o sistema de extração 2 (a base de água-acetona) é mais eficiente na
extração das catequinas, comparado com o sistema de extração 1 (a base de água).
Também foi demonstrado que o teor toal de catequinas nos extratos das folhas colhidas na
primaveira é mais elevado, do que o respectivo teor dos extratos colhidos durante o verão
(SAITO et al., 2007). Estes resultados podem ser explicados devido ao fato de as
catequinas, usualmente serem isoladas por extração com solventes orgânicos, onde as
condições de extração (chá e tipo de solvente, temperatura, tempo, pH, quantidade de
solvente) influenciam a eficiência de extração e qualidade de extratos obtidos.
Adicionalmente, durante extração podem ocorrer epimerização das catequinas
(KOMATSU et al., 1993; WANG e HELLIWELL, 2001; YOSHIDA, et al., 1999).
Ensaios realizados pelo nosso grupo com a catequina (C) e epicatequina (EC),
demonstraram uma resposta dose-dependente no ensaio antioxidante in vitro, onde
apresentaram uma IC
50
= 0,823 mg/ml para catequina e IC
50
= 0,618 mg/ml para
epicatequina, reduzindo a formação de ambas as espécies de DHBA em 66,54% e 81,10%,
respectivamente, na concentração mais alta utilizada (2 mg/ml).
No teste realizado para avaliar o efeito protetor dos extratos de C. sinensis var
assamica, para metagênese induzida por H
2
O
2
, nós utilizamos a linhagem N123. Todos os
69
extratos mostraram um pronunciado efeito mutagênico para as doses de 600 - 700 µl
(Tabela II). FURUKAWA et al., 2003, sugeriram que o EGCG age como pró-oxidante sob
determinadas condições, e não como um antioxidante. Concomitantemente, vários estudos
epidemiológicos indicam que o consumo de chá-verde é positivamente associado com um
risco aumentado de nceres em vários órgãos. Além disso, catequinas do chá-verde que
contêm EGCG como componente principal aumentou a carcinogênese de cólon em ratos.
Como mostrado em tabela III, todos os extratos a doses de 100 500 µl
apresentaram um efeito antimutagênico em S. cerevisiae, principalmente por um aumento
na sobrevivência celular. De forma interessante, as doses de 100 400 µl, mostraram ser
eficientes contra o estresse induzido por H
2
O
2
no ensaio de sobrevivência. A atividade
antioxidante e varredora radicais hidroxila (OH·) podem contribuir para o efeito
antimutagênico. A atividade antimutagênica contra vários mutágenos dos extratos do chá-
verde e polifenóis, inclusive ECG e EGCG foi demonstrado em sistemas bacterianos de
Salmonella typhimurium e Escherichia coli, sistemas de células de mamíferos e testes
animais in vivo. Os mecanismos de antimetagênese e anticarcinogênese dos polifenóis do
chá sugerem que a inibição de tumores possa estar devido a mecanismos extra e
intracelulares, inclusive a modulação de metabolismo, bloqueio ou supressão, modulação
da replicação do DNA e efeitos de reparo, promoção, inibição de invasão e metástase
(BUNKOVA, et al., 2005; KURODA e HARA, 1999;
Em resumo, nossos achados indicam que os extratos de C. sinensis var. assamica
têm um significante efeito antioxidante na levedura e como varredor do radical hidroxila,
contribuindo aparentemente para o efeito antimutagênico na levedura. Desde então,
nenhum dado de atividade antioxidante in vitro (baseado no ensaio a base da enzima
hipoxantina-xantina oxidase) das catequinas presentes nos extratos do chá-verde, tais como
EC, ECG, EGC e EGCG, foi descrito na literatura. Estudos adicionais com as catequinas
puras devem ser conduzidos para melhor definir esta atividade antioxidante in vitro de
cada um delas. Além disso, os resultos antioxidantes podem ajudar a melhor entender os
mecanismos protetores dos extratos das folhas do chá-verde brasileiro (C. sinensis var.
assamica).
70
Nosso grupo de pesquisa, no momento, está realizando novos testes antioxidantes
in vitro (a base da enzima hipoxantina-xantina oxidase) com as outras catequinas também
presentes no chá-verde (ECG, EGC, EGCG), com o objetivo de poder correlacionar as
atividades antioxidantes das diversas catequinas com as atividades antioxidantes dos quatro
extratos testados no presente estudo e também com propriedades relatadas na literatura.
Resultados preliminares com EGCG mostram atividade antioxidante in vitro para a faixo
de concentração de 0,1 2,0 mg/ml no teste. Também estamos iniciando experimentos
com as catequinas, para investigar as suas atividades antioxidante e
antimutagênica/mutagênica in vivo, utilizando o modelo em levedura (SOD e N123).
Além, de realizar também o ensaio cometa em células do rebro, fígado e linfócitos de
ratos tratados com extratos, para avaliar as lesões ao DNA.
71
REFERÊNCIAS BIBLIOGRÁFICAS
ACHARYA, J., PUNCHARD, N.A., TAYLOR, J.A., THOMPSON, R.P.H., PEARSON,
T.C. Red cell lipid peroxidation and antioxidant enzymes in iron deficiency. Eur J
Haematol. 47: 287-91, 1991.
AFANAS’AV, I. B., OSTRACHOVITCH, E. A., KORKINA, L.G. Effect of rutin its
copper complex on superoxide formation and lipid peroxidation in rat liver cromosomes.
FEBS Lett, v. 425, p. 256-258, 1989.
ANDERSON, D., BASARAN, N., BLOWERS, A., EDWARDS, A.J. The effect of
antioxidants on bleomycin treatment in in vitro and in vivo genotoxic assays. Mutation
Research, Amsterdam, v. 329, p. 37-47, 1995.
ANDERSON, R.A., POLANSKY, M.M. Tea enhances insulin activity. J Agric Food
Chem., USA, v.50, n.24, p.7182-6, 20 nov. 2002.
ANGELIS, R.C. Importância de alimentos vegetais na proteção da saúde: fisiologia da
nutrição protetora e preventiva de enfermidades degenerativas. São Paulo: Ed. Atheneu,
2001. 295p.
ANTUNES, L.M.G., ARAÚJO, M.C.P. Mutagenicity and antimutagenicity of the main
food colorings. Revista de Nutrição, Campinas, v. 13, p. 81-88, 2000.
AYUB, M.A.Z., ASTOLFI-FILHO, S., MAVITUNA, F., OLIVER, S.G. Studies on
plasmid stability, cell metabolism and superoxide dismutase production by Pgk- strains of
Saccharomyces cerevisiae. Appl. Microbiol., v. 37, p. 615-620, 1992.
BACHRACH, U., WANG, Y-C. Cancer therapy and prevention by green tea: role of
ornithine decarboxylase. Amino Acids v. 22, p. 1–13, 2002.
BALENTINE, D.A., WISEMAN, S.A., BOUWENS, L.C. The chemistry of tea flavonoids.
Cr..t Rev. Food Sc.i Nutr. 37:693–704, 1997.
BAYLIAK, M., SEMCHYSHYN, H., LUSHCHAK, V. Effect of hydrogen peroxide on
antioxidant enzyme activities in Saccharomyces cerevisiae is strain-specific. Biochemistry
(Mosc). Sep;71(9):1013-20, 2006.
BECKMAN, K. B., AMES, B. N. The free theory of aging matures. Physiol. Rev. v. 78, p.
547-581, 1998.
BENELLI, R., VENÈ, R., BISACCHI, D., GARBISA, S., ALBINI, A. Anti-invasive
effects of green tea polyphenol epigallocatechin-3-gallate (EGCG), a natural inhibitor of
metallo and serine proteases. Biol. Chem. 383:101–105, 2002.
72
BOEIRA, J. M., VIANA, A. F., PICADA, J. N. & HENRIQUES, J. A. P. Genotoxic and
recombinogenic activities of the two beta-carboline alkaloids harman and harmine in
Saccharomyces cerevisiae, Mutation Research, 500: 39-48, 2002.
BOIK, J. Cancer & Natural Medicine. Princeton: Oregon Medical, 315 p, 1995.
BONNEFOY, M., DRAI, J., KOSTKA, T. Antioxidants to slow aging, facts and
perspectives. Presse. Med., v. 31(25), p. 1174-1184, 2002.
BOVERIS, A. Biochemistry of free radicals: from electrons to tissues. Medicina. B
Aires, v. 58, p. 350-356, 1998.
BOWN, D. Encyclopedia of Herbs and their uses. New York:DK, 1995. p. 99, 252.
BRENDEL, M. & HENRIQUES, J.A.P. The pso mutants of Saccharomyces cerevisiae
comprise two groups: one deficient in DNA repair and another with altered mutagen
metabolism. Mutation Research, 489: 79–96, 2001.
BRENNAN, R.J. & SCHIESTL, R.H. Free radicals generated in yeast by the Salmonella
test negative carcinogens benzenes, urethane, thiourea and auramine O. Mutation
Research, 403: 65-73, 1998.
BROWN, M.D. Green tea (Camellia sinensis) extract and its possible role in the
prevention of cancer. Alternative Medicine Review. v.4, n.5, p.360-370, 1999.
BRUNETON, J. Pharmacognosy, Phytochemical, Medicinal Plants. France:Lavoisier,
1995.
BUNKOVA, R., MAROVA, I., NEMEC, M. Antimutagenic Properties of Green Tea.
Plant Foods for Human Nutrition, 60, 25–29, 2005.
CADENAS, E. Biochemistry of oxygen toxicity. Annu. Rev. Biochem., v. 58, p. 79-110,
1989.
CAMBIE, R. C., FERGUSON, L. R. Potential functional foods in the traditional Maori
diet. Mutation Research, 9464, 1-9, 2003.
CAMPANELLA, L., BONANNI, A., TOMASSETTI, M. Determination of the antioxidant
capacity of samples of different types of tea, or of beverages based on tea or other herbal
products, using a superoxide dismutase biosensor. Journal of Pharmaceutical and
Biomedical Analysis, Italy, v.32, p.725-36, 2003.
CHÁ. Disponível em _ HYPERLINK http://www.cienciaviva.pt/projectos/pulsar/cha.asp#
acesso em: 12/12/2005.
CHOU, C.C., LIN, L.L., CHUNG, K.T. Antimicrobial activity of tea as affected by the
degree of fermentation and manufacturing season. Int J Food Microbiol. 48:125-130, 1999.
73
COSTA, V., AMORIM, M. A., REIS, E., QUINTANILHA, A., MORADAS-FERREIRA,
P. Mitochondrial superoxide dismutase is essential for ethanol tolerance of Saccharomyces
cerevisiae in the post-diauxic phase. Microbiology, v. 143, p. 1649-1656, 1997.
COSTA, V., FERREIRA, P.M. Oxidative stress and signal transduction in Saccharomyces
cerevisiae: insights into ageing, apoptosis and diseases. Molecular Aspects of Medicine, v.
22, p. 217-246, 2001.
CRESPY, V., WILLIAMSON, G. A review of the health effects of green tea catechins in
in vivo animal models. American Society for Nutricional Sciences. p.3431S, 2004
CULOTTA, V. C., JOH, H.-D., LIN, S-J., SLEKAR, K. H. A physiological role for
Saccharomyces cerevisiae copper/zinc superoxide dismutase in copper buffering. J. Biol.
Chem., v. 270, p. 29991-29997, 1995.
DE FLORA, S., RAMEL, C. Mechanisms of inhibitors of mutagenesis and carcinogenesis.
Classification and overview. Mutation Research, Amsterdam, v. 202, p. 285-306, 1988.
DE MARINI, D. M. Dietary interventions of human carcinogenesis. Mutation Research,
v.400, p.457-465, 1998.
DE WINDE, J.H., THEVELEIN J.M., WINDERICK, J. Adaptation to nutrient depletion
in yeast. In: MAGER, W.H. (ED) Yeast stress responses. Springer-Verlag, Heidelberg, p.
752, 1997.
DEARFIELD, K.L., CIMINO, M.C., McCARROLL, N.E., MAUER, I. & VALCOVIC,
L.R. Genotoxicity risk assessment: a proposed classification strategy. Mutation Research,
521: 121-135, 2002.
DECKER, E. A. Phenolics: prooxidants or antioxidants? Nutrition Review, v. 55, p. 396-
407, 1997.
DHAR, G.M., SHAH, G.N., NAHEED, B. et al. Epidemiological trend in the distribution
of cancer in Kashmir Valley. Journal of Epidemiology and Community Health, v. 47, p.
290-292, 1993.
DIAZ, J., SERRANO, E., ACOSTA, F., CARBONELL, L.F. References intervals for four
biochemistry anallytes in plasma for evaluating oxidative stress and lipid peroxidation in
human plasma. Clin. Chem. 44(10), p.2215-2217, 1998.
DULLOO, A.G., DURET, C., ROHRER, D., GIRARDIER, L., MENSI, N., FATHI, M.,
CHANTRE, P., VANDERMANDER, J. Efficacy of a green tea extract rich in catechin
polyphenols and caffeine in increasing 24-h energy expenditure and fat oxidation in
humans. Am J Clin Nutrition. 70:1040-1045, 1999.
DULLOO, A.G., SEYDOUX, J., GIRARDIER, L., CHANTRE, P., VANDERMANDER,
J. Green tea and thermogenesis: interactions between catechin-polyphenols, caffeine, and
sympathetic activity. Int J. Obes. Rela.t Metab. Disord. 24:252-258, 2000.
74
EIDE, D.J. The molecular biology of metal íon transport in Saccharomyces cerevisiae.
Annu. Rev. Nutr., v. 18, p. 441-469, 1998.
EPE, B. Genotoxicity of singlet oxygen. Chem. Biol. Interact., v. 80, p. 239-260, 1991.
FELIPPE JR, PERCÁRIO, S. Radicais livres em medicina intensiva. Rev. Brás. Terap.
Intens. 3(3), 66-72, 1991.
FERNÁNDEZ, P.L., MARTÍN, M.J., GONZÁLEZ, A.G., PABLOS, F. HPLC
determination of catechins and caffeine in tea. Differentiation of green, black and instant
teas. Analyst. v. 125, p. 421-425, 2000.
FERNANDEZ-CHECA, J.C., GARCIA-RUIZ, C., COLELL, A., MORALES, A., MARÖ,
M., MIRANDA, M., ARDITE E. Oxidative stress: role of mitochondria and protection by
glutathione. Biofactors, v. 8, p. 7-11, 1998.
FORMAN, H.J.; THOMAS, M.J. Oxidant production and bactericidal activity of
phagocytes. Annu. Rev. Physiol., v. 48, p. 669-680, 1986.
FRAGOSO, V. et al. Antioxidant and antimutagenic properties of the monoterpene indole
alkaloid psychollatine and the crude foliar extract of Psychotria umbellata Vell.
Manuscript submitted to Mutagenesis. Jun. 2007
FRIDOVICH, I. Oxygen toxicity: a radical explanation. J. Exp. Biol., v.201, p.1203-1209,
1998.
FUGE, E.K., WERNER, M. Stationary phase in the yeast Saccharomyces cerevisiae. In:
HOHMANN, S., MAYER, W. H. (Eds) Yeast Stress Response. Heidelberg: Springer-
Verlag, p. 53-74, 1997.
FURUKAWA, A., OIKAWA, S., MURATA, M., HIRAKU, Y. AND KAWANISHI., S.
(−)-Epigallocatechin gallate causes oxidative damage to isolated and cellular DNA.
Biochemical Pharmacology, 66, 1769–1778, 2003.
GANCEDO, J.M. Yeast carbon catabolite repression. Microbiology and Molecular
Biology Reviews, v. 62, p. 334-361, 1998.
GOSSLAU, A., CHEN, K.Y. Nutraceuticals, Apoptosis, and Disease Prevention.
Nutrition, USA, v.20, p.95-102, 2004.
GOTO, K., KANAYA, S., NISHIKAWA, T., et al. Green tea catechins improve gut flora.
Ann Long-Term Care. 6:1-7, 1998.
GRALLA, E.B., KOSMAN, D.J. Molecular genetics of superoxide dismutases in yeasts
and fungi. Adv. Genet., v.30, p.251-319, 1992.
75
GRANT, C. M., PERRONE, G., DAWES, I. W. Glutathione and catalase provide
overlapping defenses for protection against hydrogen Peroxide in the yeast Saccharomyces
cerevisiae. Biochemical and Biophysical Research Communications, v. 253, p. 893-898,
1998.
GUIDOT, D.M., McCORD, J.M., WRIGHT, R.M., REPINE, J.E. Absence of electron
transport (Rho ° state) restores growth of a manganese-superoxide dismutase-deficient
Saccharomyces cerevisiae in hyperoxia. J. Biol. Chem, v. 268, p. 26699-26703, 1993.
HALLIWELL, B., GUTTERIDGE, J.M.C. Oxygen free radicals and iron in relation to
biology and medicine: some problems and concepts. Arch Biochem Biophys. 246: 501-14,
1986.
HALLIWELL, B., GUTTERIDGE, J.M.C. Role of free radicals and catalytic metal ions in
human disease: an overview. Methods Enzymol, 186: 1-85, 1990.
HALLIWELL, B., GUTTERIDGE, J.M.C. Free radicals in biology and medicine. 3.ed.
Oxford, New York, 1999.
HAMILTON-MILLER, J.M.T. Anti-cariogenic properties of tea (Camellia sinensis). J.
Med. Microbiol. v.50, p.299-302, 2001.
HAN et al. Effects of green tea polyphenol on preservation of human saphenous vein. J.
Biotechnol. v.110, p.109-117, 2004.
HARA, Y. Geen Tea: Health Beneficts and Aplications. New York: Marcel Deker, 2001
HARRIS, E. Regulations of antioxidant enzymes. FASEB J. 6:2675-2683, 1992.
HARTMAN, P. E.; SHANKEL, D. M. Antimutagens and anticarcinogens: a survey of
putative interceptor molecules. Environmental and Molecular Mutagenesis, v.15, p.145-
182, 1990.
HAYATSU, H.; ARIMOTO, S.; NEGISHI, T. Dietary inhibitors of mutagenesis and
carcinogenesis. Mutation Research, v.202, p.429-446, 1988.
HENRIQUES, J.A.P., VALSA, J.O., GOMES, R.A. Utilização de testes com
microorganismos para detecção de atividades mutagênicas e/ou potencialmente
oncogênicas, In: Pinto, S. O. C. (Ed.) Genética Molecular de Microorganismos, Manole,
São Paulo, 1987.
HENRIQUES, J. A. P., DAFRÉ, L. A., PICADA, J. N. & MARIS, A. F. Espécies
reativas de oxigênio e avaliação de antioxidantes em sistemas biológicos, In: Serafini,
L. A., Barros, N., Azevedo, J.L. Biotecnologia na agricultura e na agroindústria. Editora
Agropecuária, Guaíba, 2001.
76
HERMES-LIMA, M., STOREY, K.B. Antioxidant defenses and metabolic depression. The
hypothesis of preparation for oxidative stress in land snails. Comparative Biochemistry and
Physiology, v. 120 B, p. 437-448, 1998.
HERRMANN K. Flavonols and flavones in food plants: A review. Journal of Food
Technol, v. 11, p. 433-448, 1976.
HIGDON, J.V., FREI, B. Tea Catechins and Polyphenols: Health Effects, Metabolism,
and Antioxidant Functions. Critical Reviews in Food Science and Nutrition, USA, v. 43,
n.1, p.89-143, 2003.
HORIE, H., KOHATA, K. Analysis of tea components by high-performance liquid
chromatrography and high-performance capillary electrophoresis. Journal of
Chromatogrophy. Japan, v. 881, p.425-438, 2000.
HUANG, K.C. The Pharmacology of Chinese Herbs. Boca Raton: CRC Press, 1992.
HUANG, M.R., RIO, A.G., NICOLAS, A. & KOLODNER, R.D. A genome wide screen
in Saccharomyces cerevisiae for genes that suppress the accumulation of mutations.
Proceedings of the National Academy of Science USA, 100 (20): 11529-11534, 2003.
HUSAIN, S.R., CILLARD, J., CILLARD. P. Hydroxyl radical scavenging activity of
flavonoids. Phytochemistry, v. 26, p. 2489-2491, 1987.
IZAWA, S., INOUE, Y., KIMURA, A. Oxidative stress response in yeast: effect of
glutathione on adaptation to hydrogen peroxide stress in Saccharomyces cerevisiae. FEBS
Letters, v. 368, p. 73-76, 1995.
IZAWA, S., INOUE, Y., KIMURA, A. Importance of catalase in the adaptive response to
hydrogen peroxide: analysis of acatalasaemic Saccharomyces cerevisiae. Biochemistry
Journal, v. 320, p. 61-67, 1996.
JANKUN, J., SELMAN, S.H., SWIERCZ, R. Why drinking green tea could prevent
cancer. Nature, 387 (June 5): 561, 1997.
JUHEL, C., ARMAND, M., PAFUMI, Y., et al. Green tea extract (AR25) inhibits lipolysis
of triglycerides in gastric and duodenal medium in vitro. J Nutr Biochem.11:45-51, 2000.
KADA, T., MORITA, K., INOUE, T. Anti-mutagenic action of vegetable factor(s) on the
mutagenic principle of tryptophan pyrolysate. Mutation Research, Amsterdam, v. 53, p.
351-353, 1978.
KASZKIN, M., BECK, K-F., EBERHARDT, W., PFEILSCHIFTER, J. Unravelling Green
Tea’s Mechanisms of Action: More Than Meets the Eye. Molecular Pharmacology. 65:15,
15-17, 2004.
77
KAWAI, K. et al., Epigallocatechin gallate, the major component of tea polyphenols, binds
to CD4 and interferes with gp120 binding. Journal of Allergy Clinical Immunology. Japan,
v.112, n.5, p.951-7, nov.2003.
KEFFORD J.F., CHANDLER B.V. The Chemical Constituents of Citrus Fruits. Academic
Press, New York, 1970.
KOMATSU, Y., SUEMATSU, S., HISANOBU, Y., SAIGO, H., MATSUDA, R., HARA,
K. Studies on preservation of constituents in canned drinks. 2. Effects of pH and
temperature on reaction-kinetics of catechins in green tea infusion. Bioscience
Biotechnology and Biochemistry, 57(6), 907–910, 1993.
KUGE, S. & JONES, N. YAP1 dependent activation of TRX2 is essential for the response
of Saccharomyces cerevisiae to oxidative stress by hydroperoxides. The EMBO Journal,
13: 655-664, 1994.
KURODA, Y., HARA, Y. Antimutagenic and anticarcinogenic activity of tea polyphenols.
Mutation Research, 436, 69–97 1999.
LECOMTE, A. (1985). [Clinical study of weight loss using Arkogelules green tea] (in
French) [Green tea‘Arkocaps’/Phytotrim™ double-blind trial clinical results; extract in
English]. Revue de l’Association Mondiale de Phytotherapie (1): 36-40, June; in:
WERBACH, M.R. AND MURRAY, M.T. Botanical Influences on Illness (Tarzana, CA:
Third Line Press, p. 249), 1994.
LEE, J., GODON, C., LAGNIEL, G., SPECTOR, D., GARIN, J., LABARRE, J.,
TOLEDANO mb. Yap1 and Skn7 control two specialized oxidative stress response
regulons in yeast. Journal of Biological Chemistry, v. 274, p. 16040-16046, 1999.
LEE, J.H., CHOI, I.Y., KIL, I.S., KIM, S.Y., YANG, E.S. & PARK, J.W. Protective role
of superoxide dismutases against ionizing radiation in yeast. Biochemica et Biophysica
Acta, 1526: 191-198, 2001.
LEE B.M., PARK K.K. Beneficial and adverse effects of chemopreventive agents.
Mutation Research., 523: 265-287. 2003.
LEHMANN, M. et al. Interference of Tannic Acid on the genotoxicity of Mitomicyn C,
Methylmethanesulfonate and Nitrogen mustard in somatic cells of Drosophila
melanogaster. Environmental and Molecular Mutagenesis, v.36, p.195-200, 2000.
LE CURIEUX , F.; MARZIN, D,; ERB,F. (1993) Comparison of the three short-term
assays: results of seven chemicals. Potental contribution to the control of water
genotoxicity. Mutation Research, vol. 319, p. 223-236.
LIN, Y.L., CHENG, C.Y., LIN, Y.P. et al. Hypolipidemic effect of green tea leaves
through induction of antioxidant and phase II enzymes including superoxide dismutase,
catalase, and glutathione S-transferase in rats. Journal of Agricultural and Food Chemistry,
46: 1893-1899, 1998.
78
LONGO, V.D., LIOU, L.L., VALENTINE, J.S. & GRALLA, E.B. Mitochondrial
superoxide decreases yeast survival in stationary phase. Archives of Biochemistry and
Biophysics, 365: 131-142, 1999.
LUPER, S. A review of plants used in the treatment of liver disease: part two. Alternative
Medicine Review. v.4, n.3, p.178-188, 1999.
MACGREGOR: J.T.; Casciano, D.; Muller, L. Strategies and testing methods for
identifying mutagenic risks. Mutation Research, vol. 455, p. 3-20, 2000.
MACHLIN, L.J., BENDICH, A. Free radical tissue damage: protective role of antioxidant
nutrients. FASEB J, v. 1, p. 441-445, 1987.
MAETA, K., NOMURA, W., TAKATSUME, Y., SHIIZAWA, S., INOUE, Y. Green Tea
Polyphenols Function as Prooxidants To Activate Oxidative-Stress-Responsive
Transcription Factors in Yeasts. Applaied and Enviromental Microbiology, p. 572–580,
2007
MARIS, A.F., KERN, A.L., PICADA, J.N., BOCCARDI, F., BRENDEL, M.,
HENRIQUES, J.A.P. Glutathione, but not transcription factor Yap1, required for carbon
source-dependent resistance to oxidative stress in Saccharomyces cerevisiae. Current
Genetics, v. 37, p. 175-182, 2000.
MARIS, A. F., ASSUMPÇÃO, A. L. K., BONATTO, D., BRENDEL, M., HENRIQUES,
J. A. P. Diauxic shift-induced stress resistance against hydroperoxides in Saccharomyces
cerevisiae is not an adaptative stress response and does not depend on functional
mitochondria. Current Genetics, 39: 137-149, 2001.
MAXWELL, S.R. Prospects for the use of antioxidant therapies. Drugs. 49: 345-361,
1995.
MEISTER, A. Glutathione metabolism. Meth Enzymolog, 251: 3-7, 1995.
MELLO, J.C.P., SANTOS, S.C. Taninos. In : SIMÕES, C.M.O. et al. (org).
Farmacognosia : da planta ao medicamento. 4.ed. Porto Alegre: Universidade/UFRGS,
p.527-554. cap 24, 2002.
MCKAY, D. L., BLUMBERG, J. B. The role of tea in human health: an update. J. Am.
Coll. Nutr. 21: 1–13, 2002.
MIDDLETON, E. JR., KANDASWAMI, C. The impact of plant flavonoids on
mammalian biology: implications for immunity, inflammation and cancer. In:
HARBORNE, J. B. (Ed.), The Flavonoids. Chapman & Hall, London, p. 619-652, 1994.
MITSCHER, L.A., JUNG, M., SHANKEL, D. et al. Chemoprotection: a review of the
potential therapeutic anti-oxidant properties of green tea (Camellia sinensis) and certain of
its constituents. Medicinal Research Reviews 17: 327-365, 1997.
79
MONOGRAPH: Green tea. Alternative Medicine Review. v. 5, Number 2, pag. 372-375,
2000.
MOURA, D.J., RICHTER, M.F., BOEIRA, J.M., HENRIQUES, J.A.P., SAFFI, J.
Antioxidant properties of b-carboline alkaloids are related to their antimutagenic and
antigenotoxic activities. Mutagenesis, p. 1–10, 2007.
MOUSTACCHI, E. DNA damage and repair: consequences on dose-responses. Mutation
Research, 464: 35-40, 2000.
MUKHTAR, H., AHMAD, N. Tea polyphenols: prevention of cancer and optimizing
health. Am. J. Clin. Nutr. 71(suppl):1698S–1702S, 2000.
NAKACHI, K., SUEMASU, K., SUGA, K., TAKEO, T., IMAI, K., HIGASHI, Y.
Influence of drinking green tea on breast cancer malignancy among Japanese patients. J.
Cancer Res. v. 89, p.254-261, 1998.
NAKANE, H., ONO, K. Differential inhibitory effects of some catechin derivatives on the
activities of human immunodeficiency virus reverse transcriptase and cellular
deoxyribonucleic acid polymerases. Biochemistry 20: 2841-2845, 1990.
NAKAYAMA, M., SUZUKI, K., TODA, M. et al. Inhibition of the infectivity of influenza
virus by tea polyphenols. Antiviral Research 21: 289-299, 1993.
NANCE, C., SHEARER, W. Is green tea good for HIV-1 infection? Journal of Allergy
Clinical Immunology, USA, v.112, n.5, p.851-3, nov. 2003.
ODIN, A. P. Vitamins as antimutagens: advantages and some possible mechanisms of
antimutagenic action. Mutation Research, v.386, p.39-67, 1997.
OGA, Z. Fundamentos de toxicologia. 2.ed. São Paulo: Atheneu, p.39-44, 2003.
OWEN, R.W., WIMONWATWATEE, T., SPIEGELHALDER, B. and BARTSCH, H. A
high performance liquid chromatography method for quantification of hydroxyl radical
formation by determination of dihydroxy benzoic acids. European Journal of Cancer
Prevention, 5, 233–240, 1996.
OWEN, R.W., GIACOSO, A., HULL, W.E., HAUBNER, R., SPIEGELHALDER, B. and
BARTSCH, H. The antioxidant/anticancer potential of phenolic compounds isolated from
olive oil. European Journal of Cancer Prevention, 36, 1235–1247, 2000-a.
OWEN, R.W., MIER, W., GIACOSA, A., HULL, W.E., SPIEGELHALDER, B.,
BARTSCH, H. Phenolic compounds and squalene in olive oils: the concentration and
antioxidant potential of total phenols, simple phenols, secoiridoids, lignansand squalene.
Food Chem Toxicol. Aug; 38(8):647-59, 2000-b.
80
PALERMO, C.M. et al. Identification of potencial aryl hydrocarbon receptor antagonist in
green tea. Chemical Research in Toxicology, USA, v.16, n.7, p.865-72, jul. 2003.
PARK, J.I., GRANT, C.M., DAVIES, M.J., DAWES, I.W. The cytoplasmic Cu, Zn
superoxide dismutase of Saccharomyces cerevisiae is required for resistance to freeze-thaw
stress. Generation of free radicals during freezing and thawing. Journal of Biological
Chemistry, v. 273, p. 22921-22928, 1998.
PAWLAK, W., KEDZIORA, J., ZOLYNSKI, K., KEDZIORA-KOMATOWSKA, K.,
BLASZAZYK, J., WITNOWSKI, P., ZICLENIEWSKI, J. Effect of long term bed rest in
man on enzymatic antioxidative defence and lipid peroxidation in eritrocytes. J. Gravit.
Physiol. (1):163-4, 1998.
PDR for Herbal Medicines. USA: Medical Economics Company, 2000.
PETTIGREW, J. O Guia do chá: O guia do conhecedor. Eslováquia: Livros e Livros,
1998.
PERÓN, J.M.R., LÓPEZ, J.R.M., LÓPEZ, Y.T. Radicales libres em la biomedicina y
estrés oxidativo. Rev. Cubana Med. Milit., 30(1), 15-20, 2001.
PICADA, J. N., MARIS, A. F., CKLESS, K., SALVADOR, M. BORISOV, N. N. K. &
HENRIQUES, J. A. P. Differential mutagenic, antimutagenic and cytotoxic responses
induced by apomorphine and its oxidation product, 8-oxo-apomorphine-semiquinone, in
bacteria and yeast. Mutation Research, 539: 29-41, 2003.
POLI, P., BUSCHINI, A., CANDI, A., ROSSI, C. Bleomycin genotoxicity alteration by
glutathione and cytochromo P-450 cellular content in respiratory proficient and deficient
strains of Saccharomyces cerevisiae. Mutagenesis, v. 14, p. 233-238, 1999.
PRINGLE, J.R., HARTWELL, L.H. The Saccharomyces cerevisiae cell cycle. In:
Strathern, J.N., Jones, E.W. & Broach, J.R. eds. The molecular biology of the yeast
Saccharomyces cerevisiae, life cycle and inheritance. Cold Spring Hargbor, NY, p. 97-142,
1982.
PUNGARTNIK, C., PICADA, J. N., BRENDEL, M. B. & HENRIQUES, J. A. P. Further
phenotypic characterization of pso mutants of Saccharomyces cerevisiae with respect to
DNA repair and responses to oxidative stress. Genetics Molecular Research, 179-189,
2002.
RAMARETHINAM, S., RAJALAKSMI, N. Caffeine in the tea plants [Camellia sinensis
(L) O. Kuntze]: in situ lowering by Bacillus licheniformis (Weimann) Chester. Indian J.
Exp. Biol. 42(6):575-580, 2004.
RAMEL, C. et al. ICPEMC – Inhibitors of mutagens and their relevance to carcinogenesis.
Mutation Research, v.168, p.47-65, 1986.
81
RANG, H.P., DALE, M.M., RITTER, J.M., MOORE, P.K. Farmacologia. 5 ed. Rio de
Janeiro: Elsevier, cap.41, p.666-675, 2004.
RATES, S.M.K., Metilxantinas. In: Simões, C.M.O (org) Da planta ao medicamento. 4
ed. Porto Alegre: UFRGS, cap.33. p.733-750, 2002.
REVERS, L.F., CARDONO, J., BONATTO, D., GREY, M., FELDMANN H.,
BRENDEL, M. & HENRIQUES, J.A.P. Thermoconditional modulation of the pleiotropic
sensitivity phenotype by the Saccharomyces cerevisiae PRP19 mutant allele pso4-1.
Nucleic Acids Research, 30 (22): 4993-5003, 2002.
RICE-EVANS, C.A., MILLER, N.J., PAGANGA, G. Antioxidant properties of phenolic
compounds. Trends in Plant Science, v. 2, p. 152-159, 1997.
RIJKEN, et al. Antioxidant and Other Properties of Green and Black Tea. In:
CADENAS, E., PACKER, L. Handbook of Antioxidants. 2.ed. New York: Marcel Dekker,
cap.19, 2000.
ROMPELBERG, C. J. M. et al. Antimutagenicity of eugenol in the rodent bone marrow
micronucleus test. Mutation Research, v.356, p.69-75. 1995.
ROSS, J.A., KASUM, C.M. Dietary flavonoids: bioavailability, metabolic effects, and
safety. Annu. Rev. Nutr. 22: 19-24, 2002.
SABU, M.C., SMITHA, K., KUTTAN, R. Anti-diabetic activity of green tea polyphenols
and their role in reducing oxidative stress in experimental diabetes. J. Ethnophamacol. v.
83, p. 109-116, 2002
SAITO, S.T., FRÖEHLICH, P.E., GOSMANN, G., BERGOLD, A.M. Full validation of a
simple method for determination of catechins and caffeine in brazilian green tea (Camellia
sinensis var. assamica) using HPLC. Chromatografia, 65, 607–610, 2007.
SASAKI, Y.F., IMANISHI, H., OHTA, T., SHIRASU, Y. Effects of vanillin on sister
chromatid exchanges and chromosome aberrations induced by mitomycin C in cultured
Chinese hamster ovary cells. Mutation Research, Amsterdam, v. 191, p. 193-200, 1987.
SASAKI, Y.F., IMANISHI, H., OHTA, T., SHIRASU, Y., WATANABE, M.,
MATSUMOTO, K., SHIRASU, Y. Suppressing effect of tannic acid on UV and
chemically induced chromosome aberrations in cultured mammalian cells. Agricultural
and Biological Chemistry, v. 52, p. 2423-2428, 1988.
SEELY, D., MILLS, E.J., WU, P., VERMA, S., GUYATT, G.H. The Effects of Green Tea
Consumption on Incidence of Breast Cancer and Recurrence of Breast Cancer: A
Systematic Review and Meta-analysis. Integrative Cancer Therapies. 4(2), p. 144-155,
2005.
SCOTT, M.D., LUBIN, B.H., ZUO, L., KUYPERS, F.A. Erythrocyte defense against
hydrogen peroxide: preeminent importance of catalase. J Lab Clin Méd, 118: 7-16, 1991.
82
SHAN, X., AW, T.Y., JONES, D.P. Glutathione-dependent protection against oxidative
injury. Pharmacol Ther. 47: 61-71, 1990.
SIES, H. Oxidative stress: oxidants and antioxidants. Expl Physiol, 82: 291-295, 1997.
SLATER, T.F. Free radical mecanisms in tissue injury. Biochem. J. 222:1-15, 1984
STEELE, V.E., KELLOFF, G.J., BALENTINE, D., BOONE, C.W., MEHTA, R.,
BAGHERI, D., SIGMAN, C.C., ZHU, S., SHARMA, S. Comparative chemopreventive
mechanisms of green tea, black tea and selected polyphenol extracts measured by in vitro
bioassays. Carcinogenesis, v.21, n.1, p.63-67, 2000.
STORZ, G., CHRISTMAN, M.F., SIES, H., AMES, B.N. Spontaneous mutagenesis and
oxidative damage to DNA in Salmonella typhimurium. Proc. Nat. Acad. Sci. USA, v. 84,
p. 8917-8921, 1987.
SUGIHARA, N., ARAKAWA, T., OHNISHI, M., FURUNO, K. Anti- and pro-oxidative
effects of flavonoids on metal-induced lipid hydroperoxide-dependent lipid peroxidation in
cultured hepatocytes loades with alpha-linolenic acid. Free Radical Biology & Medicine, v.
27, p. 1313-1323, 1999.
SUGIYAMA, K-I., IZAWA, S., INOUE, Y. The Yap1p-dependent induction of
glutathione synthesis in heat shock response of Saccharomyces cerevisiae. Journal of
Biological Chemistry, v. 275, p. 15535-15540, 2000.
SUMMERS, C.B., FELTON, G.W. Prooxidant effects of phenolic acids on the generalist
herbivore Helicoverpa zea (Lepidoptera: Noctuidae): potential mode of action for phenolic
compounds in plant anti-herbivore chemistry. Insect Biochemistry and Molecular Biology,
v. 24, p. 943-953, 1994.
TERZIYSKA, A., WALTSCHEWA, L., VENKOV, P. A new sensitive test based on yeast
cells for studying environmenal pollution. Environmental Pollution, v. 109, p. 43- 52,
2000.
TICE, R. R.; ORMISTON, B. G.; BOUCHER, R.; LUKE, C. A.; PAQUETTE, D. S.
(1998) Environmental bomonitorng with feral rodent species. Application of short-
term bioassays in the analysis of complex environmental mixtures (Sandhu, S.;
Waters, M.D. Eds) Plenum Publishing Cco., New York, pp. 175-180.
TOIT, R., VOLSTEEDT, Y., APOSTOLIDES, Z. Comparison of antioxidant content of
fruits, vegetables and teas measured as vitamin C equivalents. Toxicology, South Africa,
v.166, n.1-2, p.63-9, 14 set. 2001.
TREVISAN, M.T, PFUNDSTEIN, B., HAUBNER, R., WÜRTELE, G.,
SPIEGELHALDER, B., BARTSCH, H., OWEN, R.W. Characterization of alkyl phenols
in cashew (Anacardium occidentale) products and assay of their antioxidant capacity. Food
Chem Toxicol. Feb;44(2):188-97, 2006.
83
TRUEBA, G.P., SÁNCHEZ, M. Los flavonoides como antioxidantes naturales. Acta
Farma. Bonaerense. 20(4), 297-306, 2001.
URSINI, M., PARRELLA, A., ROSA., G., SALZANO, S., MARTINI, G. Enhanced
expression of glucose-6-phosphate dehydrogenase in human cells sustaining oxidative
stress. Biochem. J. 323:801-806, 1991.
VON BORSTEL, R.C., DRAKE, J.W., LOEB, L.A. Foreword. Mutation Research,
Amsterdam, v. 350, p. 1-3, 1996.
WANG, H., HELLIWELL, K. Food Research International, 34, 223–227, 2001.
WATERS, M. D. et al. Antimutagenic profiles for some model compounds. Mutation
Research, v.238, p.57-85, 1990.
WATERS, M.D., STACK, H.F., JACKSON, M.A., BROCKMAN, H.E., DE FLORA S.
Activity profiles of antimutagens: in vitro and in vivo data. Mutation Research,
Amsterdam, v. 350, p. 109-129, 1996.
WATERS, M.D., STACK, H.F. & JACKSON, M.A. Genetics toxicology data in the
evaluation of potential human environmental carcinogens. Mutation Research, 437:21-49,
1999.
WATSON, L., DALLWITZ, M.J. 1992 onwards. The families of flowering plants:
descriptions, illustrations, identification, and information retrieval. Version: 23rd
October 2005. Disponível em: HYPERLINK <http://delta-intkey.com> Acesso em:
06/12/2005.
WATTEMBERG, L. W., Chemoprevention of cancer. Cancer Research, v.45, p.1-8, 1985.
WEISBURGER, J.H., CHUNG, F.L. Mechanisms of chronic disease causation by
nutritional factors and tobacco products and their prevention by tea polyphenols. Food.
Chem. Toxicol. 40:1145–1154, 2002.
YAMANAKA, N., ODA, O., NAGAO, S. Prooxidant activity of caffeic acid, dietary non-
flavonoid phenolic acid, on Cu+2 –induced low density lipoprotein oxidation. FEBS
Letters, v. 405, p. 186-190, 1997.
YANG, C.S., WANG, Z.Y. Tea and cancer. Journal of the National Cancer Institute v. 85,
p. 1038-1049, 1993.
YOSHIDA, Y., KISO, M., GOTO, T. Efficiency of the extraction of catechins from green
tea. Food Chemistry, 67(4), 429–433, 1999.
YU, B.P. Cellular defenses against damage from reactive oxygen species. Physiol. Rev.
74:139-161, 1994.
84
ZELKO, I.N., MARIANI, T.J., FOLZ, R.J. Superoxide dismutase multigene family: a
comparision of the Cu-Zn-Sod (SOD1), Mn-Sod (SOD2), and EC-Sod (SOD3) gene
structures, evolution and expression. Free Radic. Biol. Med. 33(3): 337-49, 2002.
ZUANAZZI, J.A.S. Flavonóides. In : SIMÕES, C.M.O. et al. (org). Farmacognosia : da
planta ao medicamento. 4.ed. Porto Alegre: Universidade/UFRGS, p.499-526. cap 23,
2002.
Livros Grátis
( http://www.livrosgratis.com.br )
Milhares de Livros para Download:
Baixar livros de Administração
Baixar livros de Agronomia
Baixar livros de Arquitetura
Baixar livros de Artes
Baixar livros de Astronomia
Baixar livros de Biologia Geral
Baixar livros de Ciência da Computação
Baixar livros de Ciência da Informação
Baixar livros de Ciência Política
Baixar livros de Ciências da Saúde
Baixar livros de Comunicação
Baixar livros do Conselho Nacional de Educação - CNE
Baixar livros de Defesa civil
Baixar livros de Direito
Baixar livros de Direitos humanos
Baixar livros de Economia
Baixar livros de Economia Doméstica
Baixar livros de Educação
Baixar livros de Educação - Trânsito
Baixar livros de Educação Física
Baixar livros de Engenharia Aeroespacial
Baixar livros de Farmácia
Baixar livros de Filosofia
Baixar livros de Física
Baixar livros de Geociências
Baixar livros de Geografia
Baixar livros de História
Baixar livros de Línguas
Baixar livros de Literatura
Baixar livros de Literatura de Cordel
Baixar livros de Literatura Infantil
Baixar livros de Matemática
Baixar livros de Medicina
Baixar livros de Medicina Veterinária
Baixar livros de Meio Ambiente
Baixar livros de Meteorologia
Baixar Monografias e TCC
Baixar livros Multidisciplinar
Baixar livros de Música
Baixar livros de Psicologia
Baixar livros de Química
Baixar livros de Saúde Coletiva
Baixar livros de Serviço Social
Baixar livros de Sociologia
Baixar livros de Teologia
Baixar livros de Trabalho
Baixar livros de Turismo