Download PDF
ads:
R
ENATA TEIXEIRA LADEIRA
Hiperglicemia no infarto agudo do miocárdio:
correlações fisiopatológicas
Tese apresentada à Faculdade de Medicina
da Universidade de São Paulo para obtenção
do título de Doutor em Ciências
Área de Concentração: Cardiologia
Orientador: Prof. Dr. José Carlos Nicolau
São Paulo
2008
ads:
Livros Grátis
http://www.livrosgratis.com.br
Milhares de livros grátis para download.
DadosInternacionaisdeCatalogaçãonaPublicação(CIP)
PreparadapelaBibliotecada
FaculdadedeMedicinadaUniversidadedeSãoPaulo
©reproduçãoautorizadapeloautor


Ladeira,RenataTeixeira
Hiperglicemianoinfartoagudodomiocárdio:correlaçõesfisiopatológicas/
RenataTeixeiraLadeira.‐‐SãoPaulo,2008.
Tese(doutorado)--Faculdade de Medicina da Universidade de São Paulo.
DepartamentodeCardioPneumologia.
Áreadeconcentração:Cardiologia.
Orientador:JoséCarlosNicolau.

Descritores: 1.Infarto do miocárdio 2.Hiperglicemia/fisiopatologia
3.Hemoglobina A glicosilada

USP/FM/SBD410/08

ads:
Dedicatória
Dedico minha tese de doutorado à minha família, motivação
maior de tudo em minha vida.
A meus pais, Maria das Graças e Luiz Antônio (in memoriam).
Minha mãe é meu exemplo contínuo de força, garra e
desprendimento em função de nossa família. Sempre me
incentivando, apoiando, sem você mãe, sei que não chegaria a
mais esta conquista. Meu pai que, apesar de ter nos deixado há 7
anos, causando uma saudade quase insuportável, está sempre
tão presente em nossas vidas, com seu carinho e alegria. A meu
irmão Rodolfo, meu maior amigo e companheiro. Para mim foi
sempre um menino. Mas, hoje vejo que se tornou um homem
forte, honesto, trabalhador, um grande homem. Foram tantas as
vezes que vencemos a distância, estando sempre presente nos
momentos importantes da vida um do outro. À Patrícia, minha
cunhada, a quem tenho tanto carinho pela história de superação
em tantos momentos de sua vida. Ao pequenino Luiz Felipe, meu
sobrinho e afilhado, que com apenas 8 meses enche de alegria a
vida de todos nós. Por fim, dedico minha tese a meu marido
Egberto, que por tantas vezes segurou minha mão e me fez
continuar em momentos que tive certeza que não conseguiria
mais. Estar ao seu lado me faz tão feliz e é o que me impulsiona
em meio às adversidades presentes na vida de todos nós.
A todos vocês, o meu muito obrigado, principalmente por
me proporcionarem o sentimento mais nobre, o de amá-los,
de formas diferentes, mas com a mesma intensidade, a
maior possível.
Agradecimentos
Para mim é uma tarefa muito prazerosa a de poder
agradecer a tantas pessoas que me ajudaram nesta tese de
doutorado.
Inicialmente quero agradecer a quem me ensinou a gostar de
cardiologia, ainda em 1994, no 3° ano da faculdade de
medicina, o Dr. Wilson Coelho, meu eterno amigo.
Já em São Paulo eu tive uma segunda família chamada
Unidade Clínica de Coronariopatias Agudas (UCCA) do
Instituto do Coração (InCor), do Hospital das Clínicas da
Faculdade de Medicina da Universidade de São Paulo (HC-
FMUSP). Já se vão 10 anos de convívio. Agradeço à Cláudia
e Helenice, nossas secretárias, que por inúmeras vezes me
ajudaram de todas as maneiras possíveis, mas
principalmente com seus abraços diários. Aos assistentes Dr.
Luciano, Dr. Rocha, Dr. Serrano e Dr. Kalil e aos mais jovens
Dr. Felipe e Dr. Marcelo os quais proporcionaram tantos
ensinamentos durante o trabalho do dia-a-dia. Muito tenho a
agradecer também à Dora e Alexandra do CECIC (Centro de
Pesquisa Clínica da UCCA). A Dora ensinou-me
praticamente tudo que sei sobre pesquisa clínica. Mas isto
nem é o mais importante. A Dora tornou-se também uma
grande amiga com afinidades que às vezes surpreendem a
nós mesmas. E ao Eduardo, meu contemporâneo de pós-
graduação, por muitas vezes nossas conversas sobre as
etapas, dificuldades, os retornos do doutorado foram
terapêuticas frente a momentos de desânimo.
Como minha tese foi desenvolvida basicamente em laboratório,
busquei ajuda da Dra. Célia, chefe do Laboratório de Análises
Clínicas do InCor. Realmente tive um acolhimento que foi essencial
para o desenvolvimento desta pesquisa e faço questão de
agradecer a todos: Janete, secretária; Margarida, Adriana e
Cristina, do atendimento dos pós-graduandos; Dra. Lucila,
coordenadora do setor de bioquímica; Marli, das catecolaminas;
Dra Toyoko, coordenadora do setor de coagulação com todos os
seus funcionários, Mônica Orosco, Edna, Lourdinha, Daniel,
Auristela e Mônica Hilomi. Durante todo período de coleta (1 ano e
10 meses) e mesmo após, todos foram sempre muito receptivos,
especialmente a Mônica Hilomi, a qual me fez resgatar meus
conhecimentos bioquímicos do 2° período da medicina, além de
me ensinar todas as inovações que ocorreram deste então.
Também no InCor agradeço a participação do Laboratório de
Metabolismo de Lípides, na pessoa de seu diretor, Prof. Dr. Raul
Maranhão e sua pós-graduanda Talita, que me auxiliaram no
estudo dos ácidos graxos livres.
Quero agradecer ao Laboratório de Hormônios e Genética
Molecular da Disciplina de Endocrinologia do HC-FMUSP,
lembrando especialmente da secretária Nilda e da Profa. Dra.
Berenice, a qual sempre nos ajudou de forma muito competente e
atenciosa.
O doutorado traz muitas oportunidades de contato com outros
grupos de pesquisa, o que é muito enriquecedor. Tive a
oportunidade de contar com a colaboração do Laboratório de
Bioquímica Clínica do Departamento de Análises Clínicas e
Toxicológicas da Faculdade de Ciências Farmacêuticas da USP.
Assim, muito agradeço à Dra Tanize e à Prof. Dra. Dulcinéia pela
colaboração em nosso trabalho.
A Comissão de Pós-Graduação do InCor ajudou-me muito,
principalmente nos momentos de maiores dificuldades. Neuza,
Eva e Juliana muito obrigada. Sempre dispostas a resolver as
questões, alertando-nos dos prazos, das oportunidades, dentre
outras coisas. Ao Coordenador da pós-graduação, Prof. Dr.
Ramires, gostaria de agradecer pelo exemplo, desde como se
colocar no púlpito (em suas brilhantes aulas de didática) até
como enfrentar às adversidades da vida acadêmica.
Por fim, tenho a satisfação de fazer meu agradecimento ao
meu Orientador e grande amigo, o Prof. Dr. Nicolau. Há 10
anos trabalho com o Prof. Nicolau e é impossível detalhar tudo
que aprendi com ele. Sempre impecável cientificamente,
soube com tamanha sensatez, acalmar-me nos momentos de
ansiedade, chamar minha atenção nos momentos de
dispersão e ser compreensivo frente aos problemas. Sempre
me chamou atenção que na secretaria da UCCA, a porta de
sua sala fica sempre aberta. Na verdade este fato ilustra
exatamente uma de suas inúmeras virtudes, a de sempre estar
disposto a agregar novas idéias, atividades e pessoas que
precisem da UCCA. Prof. Nicolau, receba o meu muito
obrigada por tudo que o Sr. proporcionou-me e especialmente
pela orientação desta tese de doutorado.
Normalização
Esta tese está de acordo com:
Referências: adaptado do “International Committee of Medical
Journals Editors” (Vancouver).
Universidade de São Paulo. Faculdade de Medicina. Serviço de
Biblioteca e Documentação. Guia de apresentação de
dissertações, teses e monografias. Elaborado por Anneliese C. da
Cunha, Maria Julia de A. L. Freddi, Maria F. Crestana, Marinalva
de S. Aragão, Suely C. Cardoso, Valéria Vilhena. São Paulo:
Serviço de Bibliografia e Documentação; 2005.
Abreviaturas dos títulos de periódicos de acordo com “List of
Journals Indexed in Index Medicus”.
Sumário
Lista de abreviaturas, siglas e símbolos
Lista de tabelas
Lista de figuras
Resumo
Summary
1 INTRODUÇÃO...........................................................................................1
1.1 Definições........................................................................................2
1.2 A Hiperglicemia como fator de risco no IAM....................................4
1.3 Fisiopatologia da hiperglicemia durante o IAM................................9
1.3.1 Dados clínicos ......................................................................9
1.3.2 Dados laboratoriais...............................................................9
2 OBJETIVOS ............................................................................................14
2.1 Objetivos primários........................................................................15
2.2 Objetivos secundários ...................................................................15
2.2.1 Analisar o papel dos diversos marcadores na evolução
clínica dos pacientes...........................................................15
2.2.2 Análises de subgrupos........................................................16
3 CASUÍSTICA E MÉTODOS.....................................................................17
3.1 Cálculo amostral e análises estatísticas........................................18
3.2 Casuística......................................................................................19
3.3 Critérios de inclusão......................................................................19
3.4 Critérios de exclusão.....................................................................20
3.5 Métodos.........................................................................................21
3.6 Avaliações laboratoriais.................................................................22
3.6.1 Glicose................................................................................22
3.6.2 Cortisol................................................................................22
3.6.3 Noradrenalina .....................................................................23
3.6.4 Hemoglobina glicada ..........................................................23
3.6.5 Insulina ...............................................................................24
3.6.6 LDL minimamente modificada eletronegativa.....................25
3.6.7 Ácidos graxos livres ...........................................................27
3.6.8 Adiponectina.......................................................................28
3.6.9 Fibrinogênio........................................................................29
3.6.10 Fator VII da coagulação...................................................30
3.6.11 Proteína C reativa ultra-sensível......................................30
4 RESULTADOS........................................................................................32
4.1 Características dos pacientes .......................................................33
4.2 Medicações e procedimentos empregados...................................34
4.3 Correlações entre níveis de glicose e as diversas variáveis
estudadas – análises univariadas..................................................37
4.4 Comparações entre as dosagens obtidas na fase aguda e
crônica do IAM...............................................................................42
4.5 Análises multivariadas...................................................................44
4.6 Curva ROC....................................................................................47
4.7 Desfechos clínicos.........................................................................48
5 DISCUSSÃO............................................................................................50
5.1 Associação entre níveis glicêmicos e hemoglobina glicada .........51
5.2 Associação entre níveis glicêmicos e insulina ..............................54
5.3 Associação entre níveis glicêmicos e ácidos graxos livres............56
5.4 Associação entre níveis glicêmicos e outros marcadores
bioquímicos ..................................................................................58
5.5 Considerações finais .....................................................................62
6 CONCLUSÕES........................................................................................63
7 REFERÊNCIAS .......................................................................................65
Apêndices
Listas
LISTA DE ABREVIATURAS, SÍMBOLOS E SIGLAS
AAS ácido acetil salicílico
AGL ácidos graxos livres
BRA bloqueador do receptor da angiotensina
BHT hidroxitolueno butilado
CARDINAL “Complement and ReDuction of INfarct size after
Angioplasty or Lytics”
CC choque cardiogênico
CK-MB creatinoquinase fração MB
DIGAMI “Diabetes and Insulin-Glucose infusion in Acute
Myocardial Infarction”
DCCT/NGSP “Diabetes Control and Complications Trial / National
Glycohemoglobin Standardization Program”
±DP mais ou menos desvio-padrão
DM diabetes mellitus
ECA enzima de conversão da angiotensina
ECG eletrocardiograma
eNOS óxido nítrico sintetase endotelial
HDL-colesterol lipoproteína de alta densidade
GIK glicose-insulina-potássio
GPIIbIIIa glicoproteína IIbIIIa
HbA1c hemoglobina glicada
HOMA-IR “homeostatic model assessment- insulin resistence”
HR razão de chances
IAM infarto agudo do miocárdio
ICAM-1 molécula de adesão intercelular-1
IC intervalo de confiança
ICC insuficiência cardíaca congestiva
LDL-colesterol lipoproteína de baixa densidade
LDL(-) LDL minimamente modificada eletronegativa
MACE desfecho composto de mortalidade, re-infarto, isquemia
refratária com necessidade de re-intervenção de
urgência/emergência e choque cardiogênico
O
2-
Ânion superóxido
p nível de significância estatística
PAI-1 inibidor da ativação do plasminogênio-1
PCRus proteína C reativa ultra-sensível
PMSF fenil-metilsulfonilfluoreto
r coeficiente de correlação de Pearson
R
2
coeficiente de explicação
ROC curva de características opcionais
rpm rotações por minutos
SCA síndromes coronarianas agudas
TOTG teste oral de tolerância à glicose
VLDL-colesterol lipoproteína de muito alta densidade
dL decilitro
g grama
h horas
L litro
mg miligrama
µg micrograma
µL microlitro
µU microunidade
mEq miliequivalentes
mL mililitro
ng nanograma
nm nanômetro
pg picograma
U unidade
% percentual
ADA American Diabetes Association
EUA Estados Unidos da América
OMS Organização Mundial da Saúde
SBD Sociedade Brasileira de Diabetes
LISTA DE TABELAS
Tabela 1 - Características clínicas e laboratoriais dos pacientes do
estudo .....................................................................................35
Tabela 2 - Medicações e procedimentos utilizados durante a
internação pelo IAM.................................................................36
Tabela 3 - Análises univariadas das amostras colhidas na fase
aguda do IAM .........................................................................38
Tabela 4 - Análises univariadas das amostras colhidas na fase
crônica do IAM ........................................................................41
Tabela 5 - Análises comparativas entre as dosagens na fase aguda
e crônica..................................................................................43
Tabela 6 - Análise multivariada (regressão linear "stepwise")..................44
Tabela 7 - Análise multivariada (regressão linear generalizado)..............45
Tabela 8 - Análise multivariada dos controles (regressão linear
“stepwise”)...............................................................................46
Tabela 9 - Desfechos clínicos hospitalares e no seguimento...................49
LISTA DE FIGURAS
Figura 1 - Análise de correlação univariada entre glicose e
hemoglobina glicada..............................................................39
Figura 2 - Análise de correlação univariada entre glicose e insulina.....39
Figura 3 - Análise de correlação univariada entre glicose e ácidos
graxos livres ..........................................................................39
Figura 4 - Análise de correlação univariada entre glicose e
adiponectina..........................................................................39
Figura 5 - Análise de correlação univariada entre glicose e LDL-
colesterol...............................................................................40
Figura 6 - Análise de correlação univariada entre glicose e VLDL ........40
Figura 7 - Análise de correlação univariada entre glicose e
triglicérides ............................................................................40
Figura 8 - Curva de características operacionais...................................47
Resumo
Ladeira RT. Hiperglicemia no infarto agudo do miocárdio: correlações
fisiopatológicas [tese]. São Paulo: Faculdade de Medicina, Universidade de
São Paulo; 2008. 81p.
Introdução- A hiperglicemia (HG), durante o infarto agudo do miocárdio
(IAM), está associada com aumento de mortalidade hospitalar em pacientes
diabéticos e não diabéticos. Entretanto, não é conhecido o mecanismo
responsável por esta associação. Assim estudou-se, simultaneamente, a
correlação entre a glicemia e marcadores bioquímicos relacionados ao
sistema neuro-humoral de estresse, metabolismo glicídico e lipídico, sistema
de coagulação e inflamatório. Métodos- 80 pacientes foram incluídos
consecutiva e prospectivamente. Foram realizadas duas coletas de sangue,
a primeira com 24h a 48h do início dos sintomas do IAM (fase aguda) e a
segunda após 3 meses do IAM (fase crônica), sempre com 12h de jejum.
Foram analisados os seguintes parâmetros: glicose, cortisol, noradrenalina,
hemoglobina glicada (HbA1c), insulina, LDL minimamente modificada
eletronegativa, ácidos graxos livres (AGL), adiponectina, factor VII da
coagulação, fibrinogênio, inibidor do ativação do plasminogênio tipo 1,
proteína C reativa ultra-sensível (PCRus), colesterol total (c) e frações e
triglicérides. Nas correlações univariadas entre glicemia e as variáveis
contínuas empregou-se o teste de correlação de Pearson. As análises
multivariadas foram feitas através de regressão logística (variáveis
qualitativas) e modelo linear generalizado (quando as variáveis
independentes incluídas foram quantitativas e nominais). Resultados- Na
fase aguda, a glicemia correlacionou-se significativamente com HbA1c
(r=0,75, p<0,001), insulina (r=0,25, p<0,001), AGL (r=0,3, p=0,01),
adiponectina (r=-0,22, p=0,05), LDL-c (r=-0,25, p=0,03), VLDL-c (r=0,24,
p=0,03) e triglicérides (r=0,27, p=0,01). No modelo multivariado, as variáveis
correlacionadas de forma independente com a glicemia, na fase aguda,
foram: HbA1c (p<0,001), insulina (p<0,001), e AGL (p=0,013). Para analisar
uma variável de confusão, a história de diabetes mellitus (DM), incluiu-se
esta variável num modelo, juntamente com as variáveis acima e todas
mostraram associação significativas com glicose: HbA1c (p<0,001), insulina
(p=0,001), AGL (p=0,013) e história de DM (p=0,027). Na fase crônica,
glicose correlacionou-se com: cortisol (r=0,31, p=0,01), noradrenalina
(r=0,54, p<0,001), HbA1c (r=0,78, p<0,001) e PCRus (r=0,46, p<0,001). Na
análise multivariada, somente HbA1c (p<0,001) e noradrenalina (p<0,001)
mantiveram correlação independente. Conclusão- A HbA1c foi a única
variável que correlacionou-se de forma significativa e independente com a
glicemia, tanto na fase aguda, quanto na crônica, mostrando que a
hiperglicemia, durante o IAM, pode representar uma alteração crônica, sub-
diagnosticada, do metabolismo glicídico.
.
Descritores: infarto do miocárdio, hiperglicemia/fisiopatologia, hemoglobina A
glicosilada.
Summary
Ladeira RT. Hyperglycemia during acute myocardial infarction:
pathophysiology correlations [thesis]. São Paulo: “Faculdade de Medicina,
Universidade de São Paulo”; 2008. 81p.
Introduction- Hyperglycemia (HG) is an important prognostic factor in acute
myocardial infarction (AMI). However, the pathophysiology is poorly
understood. So we proposed a simultaneous correlation between glycemia
and biochemical markers of stress, glucose and lipid metabolism, coagulation
and inflammation system. Methods- Eighty AMI patients were included
prospectively. Blood were collected between 24h and 48h from the pain
(acute phase), and 3 months post AMI (chronic phase), with 12-h fasting.
These parameters were analyzed: glucose, cortisol, norepinephrine,
hemoglobin glycated (HbA1c), insulin, minimally modified electronegative
LDL, free fatty acids (FFA), adiponectin, factor VII coagulant, fibrinogen,
plasminogen activator inhibitor-1, high sensitive C reaction protein (hsCRP),
total cholesterol (c) and fractions and triglyceride. The relationships between
glucose and continuous variables were assessed by Pearson’s correlation
coefficient (r) and multivariate analysis with linear regression. Results- At
acute phase, glucose correlated significantly with HbA1c (r=0.75, p<0.001),
insulin (r=0.25, p<0.001), FFA (r=0.3, p=0.01), adiponectin (r=-0.22, p=0.05),
LDL-c (r=-0.25, p=0.03), VLDL-c (r=0.24, p=0.03) and triglyceride (r=0.27,
p=0.01). In a multivariate model, variables correlated were: HbA1c (p<0.001),
insulin (p<0.001), and FFA (p=0.013). At the chronic phase, glucose
correlated significantly with cortisol (r=0.31, p=0.01), norepinephrine (r=0.54,
p<0.001), HbA1c (r=0.78, p<0.001) and hsCRP (r=0.46, p<0,001). By
multivariable analysis, only HbA1c (p<0.001) and norepinephrine (p<0.001)
remained correlated. Conclusion- HbA1c was the main variable that
correlated significantly and independently with glycemia at acute and chronic
phases, suggesting that HG during AMI can represent an exacerbation of
abnormal glucose metabolism previously not diagnosed.
Descriptors: acute myocardial infarction, hyperglycemia/pathophysiology,
hemoglobin A glycosylated.
1 Introdução
Introdução
2
O diabetes mellitus (DM) é um importante fator de risco para o
aparecimento e desenvolvimento de doença aterosclerótica coronária. Além
disso, pacientes diabéticos, em relação a não-diabéticos, têm mortalidade
significativamente maior quando sofrem um infarto agudo do miocárdio
(IAM)
1,2,3
.
Por outro lado, a hiperglicemia em pacientes admitidos com IAM,
independentemente de apresentarem história prévia de DM, também tem
sido correlacionada a um aumento importante da mortalidade
4
. Alguns
preferem o termo hiperglicemia de estresse, referindo-se à elevação da
glicemia que ocorre de forma transitória durante períodos de estresse
orgânico ou mental. Ocorre em pacientes diabéticos, também incidindo em
pacientes sem história prévia de DM
5
.
1.1 DEFINIÇÕES
Não há consenso na literatura a respeito do valor “normal” da glicemia
durante as doenças agudas. Na revisão sistemática feita por Capes et al
nota-se grande variação na definição de hiperglicemia, sendo considerada
Introdução
3
desde glicemia 110 até 180 mg/dL
4
, enquanto outros chegam a
considerar valores >198 mg/dL
6
. Outra questão é que a grande maioria dos
trabalhos utiliza a glicemia da admissão enquanto outros, a glicemia de
jejum, não havendo normatização sobre qual seria a mais adequada. Num
estudo que comparou a glicemia da admissão com a glicemia de jejum nas
primeiras 24h em pacientes com IAM, demonstrou-se que a de jejum foi
melhor preditora da mortalidade em 30 dias
7
.
Outro aspecto relevante, e também bastante recente, é que o
comportamento da glicemia durante a hospitalização, como fator de risco,
pode ser mais importante do que a glicemia basal isoladamente. Numa
análise do banco de dados do estudo CARDINAL (“Complement and
ReDuction of INfarct size after Angioplasty or Lytics”), demonstrou-se que,
em pacientes sem história prévia de DM, além da glicemia basal, a redução
da glicemia nas primeiras 24h foi determinante na mortalidade após 30 e 180
dias do IAM [razões de chance (HR) de 0,91; intervalo de confiança (IC) 95%
0,86-0,96; para cada redução de 10 mg/dL na glicemia neste período]
8
. Na
mesma direção, Nicolau et al encontraram redução da mortalidade, em até
7,5 anos de seguimento, em pacientes que apresentavam diminuição do
nível glicêmico durante a hospitalização em relação àqueles cuja glicemia se
elevava [HR 1,58; IC 95% 1,2-2,06; nível de significância (p)=0,003], no
modelo final ajustado para 18 variáveis prognósticas. Estes dados
permaneceram similares quando se excluíram óbitos por infecção
9
.
Introdução
4
Em 1997 houve uma revisão sobre as definições de DM e
intolerância à glicose, desenvolvida pela “American Diabetes Association”
(ADA)
10
, aceita posteriormente pela Organização Mundial da Saúde (OMS)
11
e pela Sociedade Brasileira de Diabetes (SBD)
12,13
. De acordo com essa
classificação, são três os critérios para DM. O paciente que apresente
qualquer um deles, isoladamente ou em conjunto, é considerado diabético:
sintomas de poliúria, polidipsia, perda de peso e glicemia casual >200 mg/dL
(determinada em qualquer período do dia, independente da dieta); glicemia
de jejum 126 mg/dL (em duas ocasiões diferentes); e glicemia >200 mg/dL
após teste oral de tolerância à glicose (TOTG),ou seja, glicemia após 2h da
ingestão de 75 g de glicose
9
. Por fim, ocorreu uma última revisão do
“Committee on the Diagnosis and Classification of Diabetes Mellitus”,
considerando normal a glicemia de jejum <100 mg/dL ou TOTG com
glicemia <140 mg/dL. Assim, foi definida como intolerância à glicose (ou pré-
diabetes) a presença de glicemia de jejum 100 mg/dL e <126 mg/dL, ou
TOTG com glicemia entre 140 e 199 mg/dL
14
.
1.2 A HIPERGLICEMIA COMO FATOR DE RISCO NO IAM
Na década de 30, foram feitas as primeiras observações sobre a alta
prevalência de glicosúria em pacientes com IAM e ausência de diagnóstico
prévio de DM
15
. Desde então, várias publicações têm demonstrado a
importância da hiperglicemia em pacientes com IAM e sua implicação na
Introdução
5
evolução clínica a curto
16,17,18,19,20,21
e longo prazos
8,22,23,24,25
.
Adicionalmente, demonstra-se em pacientes com IAM uma clara associação
entre hiperglicemia, insuficiência cardíaca cardíaca (ICC)
16,21
e choque
cardiogênico (CC)
26,27,28
.
Há, na literatura, diferentes dados sobre a incidência da hiperglicemia
em pacientes com IAM. Em revisão sistemática de artigos publicados entre
outubro/1966 e setembro/1998 foram selecionados estudos de coorte e
ensaios clínicos que analisaram o valor prognóstico da hiperglicemia basal
em pacientes diabéticos ou não, em relação às taxas de ICC, CC e
mortalidade intra-hospitalar. A proporção de pacientes que apresentavam
hiperglicemia variou de 3% a 71% nos pacientes não-diabéticos e de 46% a
84% nos pacientes diabéticos. Esta variação ocorreu, fundamentalmente,
porque o diagnóstico de hiperglicemia não foi uniforme nas diversas
publicações. Dentre 1856 pacientes sem DM que apresentavam
hiperglicemia, o risco relativo de mortalidade intra-hospitalar foi de 3,9 (IC
95% 2,9-5,4) em relação aos que não apresentaram hiperglicemia. Em 688
pacientes diabéticos, o risco relativo de óbito na presença de hiperglicemia
foi de 1,7 (IC 95% 1,2-2,4). Associação entre hiperglicemia e ICC ou CC foi
estudada em quatro dos artigos analisados. Hiperglicemia se associou de
forma significativa a aumento do risco de ICC e CC em pacientes sem DM,
não sendo observada esta associação em pacientes diabéticos
4
.
Outro importante estudo, envolvendo 1664 pacientes com IAM,
comparou a mortalidade intra-hospitalar de pacientes com ou sem história
Introdução
6
prévia de DM e com ou sem hiperglicemia, definida como glicemia >198
mg/dL ou 198 mg/dL, respectivamente. Os autores classificaram os
pacientes em 4 grupos: sem DM com glicemia 198 mg/dL (grupo 1), sem
DM com glicemia >198 mg/dL (grupo 2), com DM e glicemia 198 mg/dL
(grupo 3) e com DM e glicemia >198 mg/dL (grupo 4). Comparados ao grupo
1, a elevação da mortalidade hospitalar nos grupos 2, 3 e 4 foram,
respectivamente, HR 2,44 (IC 95% 1,42-4,2; p=0,001); HR 1,87 (IC 95%
1,05-3,34; p=0,035) e HR 1,91 (IC 95% 1,16-3,14; p=0,011). Demonstraram
assim, os autores, que a presença de hiperglicemia possui papel
fundamental na evolução dos pacientes com IAM, independentemente da
presença ou não de DM
6
.
Apesar de não haver unanimidade na literatura quanto ao nível
mínimo a partir do qual a glicemia piora o prognóstico, como já referido
anteriormente, publicações recentes sugerem que existe aumento de
mortalidade a partir de níveis acima de 100-110 mg/dL. Numa análise de 688
pacientes com IAM, a mortalidade dos que apresentavam glicemia <100
mg/dL foi de apenas 5% e daqueles com glicemia >200 mg/dL de 17,7%.
Analisando os quartis da glicemia entre 100-200 mg/dL, os seguintes índices
de mortalidade hospitalar foram obtidos: primeiro quartil, 9%; segundo
quartil, 10,3%; terceiro quartil, 12,8%; quarto quartil, 18,7% (p=0,002; HR
1,013 para cada incremento de 1mg/dL da glicemia)
20
. O “The Cooperative
Cardiovascular Project” examinou 141.680 pacientes idosos e, num
seguimento de 1 ano, demonstrou aumento significativo da mortalidade, que
variou entre 13% e 77% em 30 dias e entre 7% e 46% em 1 ano,
Introdução
7
dependendo do grau da hiperglicemia. Em relação ao ponto de corte para
hiperglicemia, os resultados foram na mesma direção do estudo
anteriormente citado, com aumento da mortalidade a partir de nível glicêmico
de 110 mg/dL na sub-população sem história prévia de diabetes e um limiar
bem maior na população diabética.
29
.
Apesar do extenso número de trabalhos que demonstram a
importância da hiperglicemia como fator prognóstico no IAM, não há
consenso sobre os benefícios do seu tratamento, nem tampouco sobre o
melhor protocolo a ser utilizado. O primeiro ensaio clínico que mostrou
benefício da utilização da insulinoterapia de forma intensiva no controle da
hiperglicemia foi o DIGAMI (“Diabetes and Insulin-Glucose infusion in Acute
Myocardial”)
30
.
Num seguimento médio de 3,4 anos, o estudo encontrou
mortalidade de 33% no grupo tratamento e 44% no grupo controle, com risco
relativo de 0,72 (IC 0,55-0,92; p=0,011)
31
. Este mesmo grupo propôs o
estudo DIGAMI 2, que, no entanto, não encontrou resultados semelhantes
32
.
A duração média do estudo foi de 2,2 anos, e não houve diferença na
mortalidade entre os grupos 1 (infusão insulina-glicose venosa por 24h,
seguida de insulina subcutânea por 1 ano) e 2 (insulina-glicose venosa por
24h e tratamento convencional após) (HR 1,03; IC 95% 0,79-1,34; p=0,831),
ou entre os grupos 2 e 3 (tratamento convencional apenas) (HR 1,23; IC
0,89-1,68; p=0,203). Entretanto, o DIGAMI 2 apresentou diversos problemas
metodológicos, o que torna seus resultados, no mínimo, discutíveis. Talvez o
mais importante deles seja o fato de que os investigadores não incluíram o
Introdução
8
número de pacientes previsto inicialmente, o que diminuiu o poder estatístico
do estudo para apenas 50%
32
.
Outro ponto importante a ser considerado é que a insulina,
independente do controle glicêmico, poderia propiciar benefícios adicionais
ao paciente com IAM por diferentes mecanismos, que incluiriam ação
vasodilatadora, antiinflamatória, antioxidante, otimização da atividade
fibrinolítica, inibição da lipólise, redução na liberação de ácidos graxos livres
(AGL) e maior efetividade na oxidação da glicose, entre outros
33
. Numa
metanálise sobre a utilização da solução de glicose-insulina-potássio (GIK)
no tratamento do IAM, reunindo 5000 pacientes, demonstrou-se redução de
18% na mortalidade (HR 0,82; IC 0,68-0,98; p=0,03)
34
. Embasado nestes
dados, foi realizado um grande ensaio clínico, randomizado e multicêntrico,
envolvendo 20201 pacientes com IAM, para avaliar a ação da GIK nas
primeiras 24h do IAM. Todavia, a infusão da GIK teve um efeito neutro na
mortalidade (HR 1,03; IC95% 0,95-1,13; p=0,45), parada cardíaca (HR 0,93;
IC 95% 0,74-1,17; p=0,51), choque cardiogênico (HR 1,05; IC95% 0,94-1,17;
p=0,38) e re-infarto (HR 0,98; IC95% 0,82-1,17; p=0,81)
35
. Essa ausência
de benefícios com a utilização da solução GIK tem sido explicada pela maior
incidência de hiperglicemia no grupo que utilizou GIK, o que neutralizaria os
eventuais efeitos benéficos da mesma
35
.
Introdução
9
1.3 FISIOPATOLOGIA DA HIPERGLICEMIA DURANTE O IAM
1.3.1 Dados Clínicos
Estudos clínicos em pacientes com IAM submetidos a terapêuticas de
recanalização sugerem que a hiperglicemia se associa a disfunção da
microcirculação, o chamado fenômeno de “no-reflow”
36,37
. Essa associação
tem sido relacionada a um aumento na expressão de moléculas de adesão
intercelular (ICAM-1) P-selectina e E-selectina, levando à aderência de
neutrófilos em capilares e vênulas
38
.
Por outro lado, a hiperglicemia funciona também como determinante
do remodelamento ventricular, havendo demonstração de que a
hiperglicemia basal (p<0,001) e falência da reperfusão ao ECG (p=0,001) se
correlacionam de forma significativa e independente com dilatação do
ventrículo esquerdo aos 6 meses pós-IAM
39
.
1.3.2 Dados laboratoriais
Não estão totalmente esclarecidos quais os mecanismos
fisiopatológicos envolvidos na associação entre hiperglicemia e aumento da
morbi-mortalidade durante o IAM, tanto em pacientes diabéticos como nos
não-diabéticos. Em estudo de revisão, Beckman et al concluem que as
principais anormalidades metabólicas que acompanham o DM, levando à
Introdução
10
disfunção vascular, são hiperglicemia, dislipidemia e resistência aumentada
à insulina. O diabetes altera a função de múltiplas células, incluindo
endotélio, células musculares e plaquetas
40
.
A hiperglicemia crônica, encontrada nos pacientes diabéticos,
contribui para a doença aterosclerótica por meio de múltiplos fatores,
salientando-se:
Redução da produção do óxido nítrico, por meio do bloqueio do óxido
nítrico sintetase endotelial (eNOS), e conseqüente aumento do
estresse oxidativo, especialmente da geração do ânion superóxido
(O
2-
)
41
.
Hiperinsulinemia, pela resistência aumentada à insulina, estimula a
liberação dos AGL do tecido adiposo, os quais ativam a sinalização
por meio da proteína quinase C, aumentando a produção de espécies
reativas de oxigênio. Assim, há também redução da produção e
biodisponibilidade do óxido nítrico
42
.
Dislipidemia, com redução da lipoproteína de alta densidade (HDL-
colesterol), elevação da lipoproteína de baixa densidade (LDL-
colesterol), elevação de triglicérides e redução da adiponectina
43
.
A hiperglicemia induz à glicação do LDL-colesterol, tornando-o mais
suscetível à oxidação e, consequentemente, mais aterogênico
44
.
Anormalidades do sistema de coagulação: ocorre aumento da
agregabilidade plaquetária, com diminuição da fibrinólise, por meio de
Introdução
11
aumento na produção do inibidor da ativação do plasminogênio tipo 1
(PAI-1)
45
. Adicionalmente, ocorre elevação de fatores da coagulação
como fibrinogênio, fator VII, fator VIII, fator Von Willebrand, maior
expressão do fator tecidual e, por fim, decréscimo de anticoagulantes
endógenos como antitrombina III e proteína C
46
.
DM como causa de inflamação vascular, sendo o inverso também
verdadeiro. No “West of Scotland Coronary Prevention Study”, o
aumento da proteína C reativa ultra-sensível (PCRus) foi capaz de
predizer o risco de desenvolvimento de DM tipo 2. Além disso,
contagem elevada de leucócitos foi preditora independente de maior
resistência à insulina e desenvolvimento de DM tipo2
47
.
Entretanto, discute-se até que ponto tais mecanismos podem ser
aplicados em pacientes portadores de coronariopatia aguda, uma vez que
freqüentemente a hiperglicemia, nessa situação, é transitória.
Alguns mecanismos fisiopatológicos que participariam do
desenvolvimento da hiperglicemia por ocasião do IAM têm sido descritos, e
são sumarizados na seqüência. Saliente-se que tais mecanismos não são
excludentes entre si, já que praticamente a totalidade das publicações
analisa apenas um, ou alguns poucos concomitantemente.
Devido ao estresse físico e mental ocasionado ao organismo pelo
IAM, desenvolvem-se reações endócrino-metabólicas que ocasionam
Introdução
12
aumentos na liberação de cortisol e catecolaminas
48,49
. Assim, aumentam os
níveis da glicogenólise e gliconeogênese hepática, o que se associa à maior
resistência à insulina e redução da sua produção pancreática, gerando ao
final da cascata o desenvolvimento de hiperglicemia
48,49
. Simultaneamente,
ocorre aumento da lipólise, com liberação de AGL e, por conseqüência,
aumento do consumo de oxigênio pelo miocárdio, que substitui a glicose
pelo AGL como fonte energética
50
.
Outra hipótese é que a hiperglicemia durante o IAM seria um
marcador de alteração já existente no metabolismo da glicose, porém não
diagnosticada previamente. Norhammar et al demonstraram em população
com IAM, sem DM e com glicemia à admissão <200 mg/dL que, após a alta
hospitalar, 40% tinham intolerância à glicose e 25% apresentavam DM não
diagnosticado previamente
51
. Num estudo, utilizando dosagem da
hemoglobina glicada (HbA1c) à admissão hospitalar e seguindo os pacientes
por 5,5 anos, encontrou-se pior prognóstico (re-infarto ou morte) nos tercis
mais altos da HbA1c, sendo esses achados independentes da presença ou
não de história prévia de DM. Interessantemente, não houve correlação
entre a glicemia da admissão e a HbA1c nos pacientes sem história prévia
de DM, diferente do que ocorreu nos pacientes sabidamente diabéticos
52
.
Ainda neste mesmo estudo, o estresse provocado pelo IAM foi estudado por
meio da dosagem do cortisol, demonstrando-se perda do ritmo circadiano da
liberação dessa substância, com níveis mais elevados no período noturno
(22-4h). Mas, apesar desses achados, o cortisol da admissão teve
Introdução
13
correlação com a glicemia da admissão, pico de CK-MB e prognóstico tardio
dos pacientes
52
.
Recentemente, a “American Heart Association” publicou sua posição
sobre o assunto “hiperglicemia na síndrome coronária aguda” (SCA). Em
resumo, a despeito do fato de que muitos estudos documentaram a
associação entre hiperglicemia e SCA, esta ainda é sub-valorizada e sub-
tratada, em grande parte devido à falta de entendimento dos mecanismos
fisiopatológicos responsáveis pelo mau prognóstico dos pacientes
hiperglicêmicos durante as SCA
53
.
Assim, o propósito fundamental da presente pesquisa foi estudar
simultaneamente diversos mecanismos descritos individualmente na
literatura, analisando, além de possíveis correlações entre os mesmos e o
nível glicêmico obtido, também eventuais inter-relações que essas variáveis
pudessem apresentar entre si. Com tal intuito, foram estudados marcadores
do sistema neuro-humoral, metabolismo glicídico, lipídico, sistema de
coagulação e inflamação.
2 Objetivos
Objetivos
15
2.1 PRIMÁRIOS
Estudar, durante o IAM, a correlação entre níveis glicêmicos e
marcadores bioquímicos relacionados ao sistema neuro-humoral de estresse
(cortisol e noradrenalina), metabolismo glicídico (HbA1c, insulina),
metabolismo lipídico [LDL minimamente modificada eletronegativa, LDL(-),
AGL e adiponectina], sistema de coagulação (PAI-1, fibrinogênio e fator VII)
e inflamatório (PCRus).
2.2 SECUNDÁRIOS
2.2.1 Analisar o papel dos diversos marcadores na evolução clínica
dos pacientes:
- Na mortalidade global;
- No desfecho composto de mortalidade, re-infarto, isquemia refratária com
necessidade de re-intervenção de urgência/emergência e choque
cardiogênico (MACE).
Objetivos
16
2.2.2 Análises de subgrupos:
- Sexo;
- Idade >65 ou 65 anos;
- Diabéticos e não diabéticos;
- IAM com ou sem supradesnível do segmento ST, ao ECG.
3 Casuística e Métodos
Casuística e Métodos
18
3.1 CÁLCULO AMOSTRAL E ANÁLISES ESTATÍSTICAS
Para o cálculo do tamanho da amostra, consideraram-se 11 fatores
preditores dos níveis glicêmicos (HbA1c, insulina, cortisol, noradrenalina,
LDL(-), AGL, adiponectina, PAI-1, fibrinogênio, fator VII da coagulação e
PCRus) em um modelo de regressão linear múltipla, levando-se em conta
5% de erro tipo I, poder estatístico de 90% e efeito estimado de 0,35 (por
convenção efeito de 0,02; 0,15; e 0,35 são considerados pequeno, médio e
grande, respectivamente). O tamanho calculado da amostra foi de 72
pacientes
54
.
As análises estatísticas foram realizadas utilizando-se o “software”
SPSS 15.0 for Windows. Os dados descritivos são apresentados em médias
e desvios-padrão (DP). Nas correlações univariadas empregou-se o teste de
correlação de Pearson para variáveis quantitativas, teste t para amostras
independentes (variáveis nominais) e teste t para amostras pareadas
aplicado nas correlações entre as fases aguda e crônica (seguimento após 3
meses do IAM).
Para construção do modelo multivariado, foi utilizada regressão linear
múltipla (variáveis quantitativas), regressão logística (variáveis qualitativas) e
Casuística e Métodos
19
modelo linear generalizado (quando as variáveis independentes incluídas
foram quantitativas e nominais). Na comparação, em termos de área sob a
curva, das variáveis que explicam a glicemia, foi construída curva de
características operacionais (ROC). Valores de p<0,05 foram considerados
estatisticamente significantes
55
.
3.2 CASUÍSTICA
Foram incluídos, prospectivamente, 80 pacientes com IAM, com ou
sem supradesnível do segmento ST, admitidos no Instituto do Coração do
Hospital das Clínicas da Faculdade de Medicina da Universidade de São
Paulo (InCor-HCFMUSP), com 24h a 48h do início dos sintomas. Os
pacientes foram selecionados após checagem dos critérios de inclusão e
exclusão e aceitarem participar do estudo, assinando o termo de
consentimento livre e esclarecido. Este protocolo de pesquisa foi aprovado
pela Comissão de Ética em Pesquisa do HC-FMUSP (CAPPesq), processo
n°489/04,em 11 de agosto de 2004.
3.3 CRITÉRIOS DE INCLUSÃO
3.3.1 Diagnóstico clínico, eletrocardiográfico e enzimático de IAM,
de acordo com as rotinas da Instituição, que se baseia em definição
proposta pelas sociedades norte-americana e européia de cardiologia
56,57
. O
Casuística e Métodos
20
diagnóstico de IAM (com ou sem supradesnível do segmento ST) era feito
sempre que se detectava curva de CK-MB massa e/ou elevação de
troponina (acima do percentil 99) e pelo menos um dos seguintes
parâmetros:
Sintomas sugestivos de isquemia miocárdica;
Desenvolvimento de novas ondas Q no eletrocardiograma (ECG);
Alterações eletrocardiográficas indicativas de isquemia; (elevação
ou depressão do segmento ST);
Intervenção coronária percutânea.
3.3.2 Intervalo entre o início dos sintomas e a inclusão do paciente
no estudo entre 24h e 48h.
3.4 CRITÉRIOS DE EXCLUSÃO
Idade <21 anos ou >80 anos;
Uso prévio de corticóide;
Doença inflamatória crônica;
Casuística e Métodos
21
Insuficiência renal crônica (clearence estimado de creatinina 60
mL/min). O clearence foi estimado conforme a equação de
Cockcroft-Gault
58
:
{[140-idade]x[peso (Kg)]} / {72x[creatina sérica (mg/dL)]x(0,85;
para sexo feminino)};
Doença neurológica grave;
Hipotireoidismo ou hipertireoidismo;
Instabilidade hemodinâmica (Forrester modificado >IIa)
59,60
;
Doença hematológica conhecida;
Uso prévio de anticoagulante oral;
Paciente submetido à trombólise química;
Co-morbidade com expectativa de vida menor do que 6 meses.
3.5 MÉTODOS
Todas as amostras sanguíneas foram coletadas em duas ocasiões, a
primeira na fase aguda do IAM, especificamente no período entre 24h e 48h
do início da dor. A segunda coleta, a qual funcionou como dosagem de
controle, foi realizada após 3 meses do IAM.
No preparo para coleta, os pacientes eram mantidos em jejum de 12h
e deveriam permanecer em repouso mínimo de 30 minutos (exigido para
Casuística e Métodos
22
coleta de catecolaminas e cortisol plasmáticos), imediatamente antes da
obtenção da amostra sanguínea.
3.6 AVALIAÇÕES LABORATORIAIS
As seguintes metodologias foram empregadas nas dosagens
realizadas:
3.6.1 Glicose: foram coletados 5 mL de sangue em tubo com gel
separador. A dosagem foi realizada imediatamente, por método enzimático
de referência com hexoquinase. Foi utilizado o “kit Glucose HK Gen.3”,
produzido pela Roche [Estados Unidos da América (EUA)], no equipamento
automático Cobas Integra 700; ou o “kit Flex®Glucose”, produzido pela Dade
Behring (EUA), no sistema Dimension®. O coeficiente de correlação de
Pearson entre os dois “kits” é de 0,997. O valor de referência é de 70 mg/dL
a 100 mg/dL. As determinações foram realizadas no Laboratório de Análises
Clínicas do InCor-HCFMUSP.
3.6.2 Cortisol: foram coletados 5 mL de sangue em tubo com gel
separador no horário das 8-10h. Após a coleta, as amostras de sangue
foram centrifugadas e o soro armazenado a -20 °C até o momento da
dosagem. O cortisol foi dosado por método de fluoroimunoensaio de tempo
resolvido, com “Kits AutoDelfia Cortisol”, produzido pela Perkin Elmer Life
and Analytical Sciences (Finlândia). O fluoroimunoensaio de tempo resolvido
Casuística e Métodos
23
em fase sólida é baseado na reação competitiva entre o cortisol marcado
com európio e o cortisol da amostra por uma quantidade limitada de sítios de
ligação dos anticorpos monoclonais específicos para cortisol. Após
incubação e lavagem, uma solução de otimização dissocia os íons európio
do cortisol marcado onde são formados quelatos fluorescentes. A
fluorescência de cada poço da placa é então medida, e é inversamente
proporcional à concentração de cortisol da amostra. O valor de referência
para o cortisol sérico é de 7,29 μg/dL a 24,7 μg/dL. As dosagens foram
realizadas no Laboratório de Hormônios e Genética Molecular, LIM 42 da
Disciplina de Endocrinologia da FMUSP.
3.6.3 Noradrenalina: após repouso mínimo de 30min, 5 mL de
sangue foram coletados e colocados em tubo contendo 100 μl de
anticoagulante (Egta + glutationa reduzida), sendo conservado em gelo. As
catecolaminas, extraídas do plasma com óxido de alumínio (alumina),
separadas em seguida por fase reversa, e quantificadas em cromatógrafo
líquido de alta pressão com detector eletroquímico. O valor de referência
para noradrenalina é de 40-268 pg/mL
61,62
. As determinações foram
realizadas no Laboratório de Análises Clínicas do InCor-HCFMUSP.
3.6.4 HbA1c: foram colhidos 3 mL de sangue em tubo com EDTA. A
dosagem foi feita imediatamente, por método imunoturbidimétrico, utilizando
“kit HBA1CII”, produzido pela Roche (EUA). As determinações foram
realizadas em equipamento automático, Cobas Integra 700. O valor de
referência é de até 4,8% a 5,9%. As determinações foram realizadas no
Casuística e Métodos
24
Laboratório de Análises Clínicas do InCor-HCFMUSP. O cálculo do
percentual da concentração da HbA1c é feito segundo o “National
Glycohemoglobin Standardization Program” (DCCT/NGSP), utilizando a
seguinte fórmula: correção
63
:
%HbA1c= [87,6 x HbA1c (g/dL) / Hb (g/dL)] +2,27.
3.6.5 Insulina: foram coletados 5 mL de sangue em tubo com gel
separador. Após a coleta, as amostras de sangue foram centrifugadas e o
soro armazenado a -20 °C até o momento da dosagem. A dosagem foi feita
por ensaio fluoroimunométrico de tempo resolvido, com “Kits AutoDelfia
Insulina”, produzidos pela Perkin Elmer Life and Analytical Sciences
(Finlândia). O ensaio fluoroimunométrico é baseado na técnica de
sanduíche, na qual dois anticorpos monoclonais são dirigidos contra
determinantes antigênicos diferentes da molécula de insulina. A insulina das
amostras padrões e controles reagem simultaneamente com os anticorpos
imobilizados na fase sólida e com os anticorpos marcados com európio.
Após incubação e lavagem, uma solução de “otimização” dissocia íons
európio da insulina marcada na solução onde são formados quelatos
fluorescentes. A fluorescência de cada poço da placa é medida e é
diretamente proporcional à concentração de insulina da amostra. O valor de
referência é de 2,34 μU/mL a 26,4 μU/mL. As dosagens foram realizadas no
Laboratório de Hormônios e Genética Molecular, LIM 42 da Disciplina de
Endocrinologia da FMUSP.
Casuística e Métodos
25
Foi calculada a resistência periférica à insulina (HOMA-IR), segundo a
fórmula: glicemia de jejum (mg/dL) x insulina de jejum (µU/mL)/405.
64
3.6.6 LDL(-): foram coletados 3 mL de sangue em tubo com EDTA,
centrifugado a 3000 rotações por minuto (rpm) por 10 minutos. O plasma foi
separado e adicionada solução antioxidante (5 μl de conservante para cada
1 mL de plasma). A solução adicionada às amostras é composta de
antioxidante BHT (hidroxitolueno butilado) que inibe a oxidação da LDL in
vitro. Também é composta dos inibidores de protease [aprotinina,
benzamidina e PMSF (fenil-metilsulfonilfluoreto)] que inibem a degradação
protéica (anticorpos e LDL). Em seguida, alíquotas de 0,5 mL foram
congeladas em “ependorfs” e mantidas em congelador a -80 °C. Foram
dosados os antígenos LDL(-) e anticorpos contra LDL(-). As dosagens foram
realizadas por ELISA no Laboratório de Bioquímica Clínica do Departamento
de Análises Clínicas e Toxicológicas da Faculdade de Ciências
Farmacêuticas da USP.
ELISA para (-): placas de ELISA foram sensibilizadas com
50 µL/poço de anticorpo monoclonal anti-LDL(-) diluído em tampão
carbonato bicarbonato 0,1M, pH 9,6 e incubadas overnight a 4 ºC. Após a
incubação, as placas foram lavadas 3 vezes com tampão PBS-Tween
0,05%, pH 7,4 (200 µL/poço). Em seguida foram adicionados 150 μL/poço
de leite desnatado a 2% em tampão PBS-Tween 0,01%, permanecendo as
placas por uma hora e meia em estufa a 37 °C. Após esse período, as
placas foram lavadas como descrito anteriormente. Foram acrescentados
Casuística e Métodos
26
50 μL/poço das amostras diluídas 1:2000 em leite desnatado a 1% e
incubou-se a placa por 1 hora e meia em estufa a 37 °C. As placas foram
lavadas e então colocados 50 μL/poço de outro anticorpo monoclonal anti-
LDL(-) marcado com biotina, sendo incubadas por 1h
em estufa 37 °C. As
placas foram lavadas e foram adicionados 50 μL/poço de Streptavidina
conjugada à peroxidase diluída 1:80.000, em 1% de leite desnatado em
tampão PBS-Tween 0,01% e incubadas por 1h
em estufa 37 °C. Após esta
etapa, as placas foram lavadas e a revelação ocorreu com 50 μL/poço de
OPD em tampão citrato-fosfato, pH5,3. Depois de 15 minutos em estufa a
37 °C, a reação foi interrompida com ácido sulfúrico 2M e a leitura efetuada
em leitor de microplacas (SpetraCount
TM
, Packard) a 492 nm. A partir da
absorbância média de cada amostra foram calculadas as concentrações de
LDL(-) em U/L de proteína de acordo com a curva de calibração. A curva foi
determinada plotando-se as concentrações dos padrões de LDL(-) versus a
absorbância, de acordo com a equação: y=a x X + b, onde “y” é a
absorbância a 492 nm, “X” é a concentração em U/L de proteína de LDL(-),
“a” é o coeficiente angular e “b” é o intercepto da reta.
ELISA para anti-LDL(-): placas de ELISA foram sensibilizadas com
1 µL/poço de LDL(-) em tampão PBS pH 7,4 e incubadas overnight a 4 ºC.
Após a incubação, as placas foram lavadas 3 vezes com tampão PBS-
Tween 0,05%, pH 7,4; 200µL/poço. Em seguida foram adicionados
150 μL/poço de leite desnatado a 2% em tampão PBS-Tween 0,01%,
permanecendo por uma hora e meia em estufa 37 °C; após este período, as
Casuística e Métodos
27
placas foram lavadas como descrito anteriormente. Foram acrescentados
50 μL/poço das amostras diluídas 1:200 em 1% de leite desnatado em
tampão PBS-Tween 0,01% e incubou-se a placa por 1 hora e meia em
estufa a 37 °C. As placas foram lavadas e então colocados 50 μL/poço de
anti-IgG humana conjugado a peroxidase, diluído 1:2500, incubando-se por
1h
em estufa a 37 °C. A revelação foi feita com 50 μL/poço de OPD em
tampão citrato-fosfato, pH 5,3. Depois de 15 minutos em estufa a 37 °C, a
reação foi interrompida com ácido sulfúrico 2M e a leitura efetuada em leitor
de microplacas (SpetraCount
TM
, Packard) a 492 nm. O resultado foi
expresso em µg/mL de IgG anti-LDL(-) de acordo com a curva de calibração,
a qual foi construída plotando-se as concentrações dos anticorpos de
camundongo anti-LDL(-) versus a absorbância, de acordo com a equação:
y=a x X + b, onde “y” é a absorbância a 492 nm, “X” é a concentração em
µg/mL de anticorpos anti-LDL(-), “a” é o coeficiente angular e “b” é o
intercepto da reta.
3.6.7 AGL: foram colhidos 3 mL de sangue em tubo seco e
centrifugado a 3000 rpm, por 10min. Em seguida, alíquotas de 0,5 mL de
soro foram separadas e congeladas em “ependorfs” e mantidas em
congelador a -80 °C.
Os AGL foram dosados por método enzimático, colorimétrico,
utilizando o “kit NEFA C” e “HR Series NEFA-HR (2)”, produzidos pela Wako
Pure Chemical Industries Ltda (Japão). As determinações foram realizadas
em analisador semi-automático U-2001UV/Vis, da marca “Hitachi”. O valor
Casuística e Métodos
28
de referência é de 0,1-0,6 mEq/L (para ambos os kits). As dosagens foram
realizadas no Laboratório de Metabolismo de Lípides do InCor-HCFMUSP.
3.6.8 Adiponectina e PAI-1: foram colhidos 3 mL de sangue em
tubo contendo citrato de sódio a 3,2% e centrifugadas a 3000 rpm, por 10
minutos. O plasma foi separado e centrifugado novamente a 3000 rpm, por
mais 10 minutos, obtendo-se plasma pobre em plaquetas. Em seguida,
alíquotas de 1 mL foram congeladas em “ependorfs” e mantidas em
congelador a -80 °C.
As dosagens foram realizadas pelo método imunoensaio multiplex,
utilizando “kit human cardiovascular disease (CVD) panel 1 LINCOplex”,
para dosagem simultânea do PAI-1 e adiponectina, produzido pela LINCO
Research (EUA). As determinações foram feitas em equipamento automático
Lincoplex 200.
Os “kits LINCOplex” utilizam a tecnologia “xMAP
TM
(“Multiple Analyte
Profiling”), que envolve um processo exclusivo que cora internamente
microesferas de poliestireno com dois fluorocromos espectrais distintos.
Utilizando uma proporção precisa destes dois fluorocromos, foram criadas
100 conjuntos de esferas, cada uma com sua individualização baseada em
um código de cor. Cada esfera é conjugada a um anticorpo analito
específico. Utiliza-se então um anticorpo de detecção biotinilado que se liga
ao analito específico e o resultado final é amplificado através de incubação
com conjugado repórter estreptavidina-ficoeritrina. As microesferas são lidas
no equipamento Lincoplex 200, através de sistema duplo de lasers que
Casuística e Métodos
29
incide sob as microesferas, à medida que estas fluem através do fluxo
celular. Um feixe de laser detecta a microesfera (com um código de cor
específica para o ensaio), enquanto o outro laser quantifica o sinal de
repórter em cada microesfera. Assim, estas microesferas podem ser
combinadas em um único poço de reação e podem dosar até 100 analitos
simultaneamente.
Não há valores de referência estabelecidos, de modo que os
resultados devem ser comparados com seus respectivos controles. As
dosagens foram realizadas no Laboratório de Análises Clínicas da Genese
Produtos Farmacêuticos e Diagnósticos Ltda.
3.6.9 Fibrinogênio: foram colhidos 3 mL de sangue em tubo
contendo citrato de sódio a 3,2% e centrifugadas a 3000 rpm, por 10
minutos. O plasma foi separado e centrifugado novamente a 3000 rpm, por
mais 10 minutos, obtendo-se plasma pobre em plaquetas. Em seguida,
alíquotas de 1 mL foram congeladas em “ependorfs” e mantidas em
congelador a -80 °C.
As dosagens foram realizadas pelo método imunoensaio singleplex,
utilizando “kit human cardiovascular disease (CVD) SINGLEplex fibrinogen”,
para dosagem de fibrinogênio, produzido pela LINCO Research (EUA). As
determinações foram feitas em equipamento automático Lincoplex 200.
Não há valores de referência estabelecidos, assim os resultados
devem ser comparados aos seus respectivos controles. As dosagens foram
Casuística e Métodos
30
realizadas no Laboratório de Análises Clínicas da Genese Produtos
Farmacêuticos e Diagnósticos Ltda.
3.6.10 Fator VII da coagulação: foram colhidos 3 mL de sangue
em tubo com citrato de sódio a 3,2% e centrifugadas a 3000 rpm, por 10
minutos. O plasma foi separado e centrifugado novamente a 3000 rpm, por
mais 10 minutos, obtendo plasma pobre em plaquetas. Em seguida alíquotas
de 1 mL foram congeladas em “ependorfs” e mantidas em congelador a
-80 °C.
O fator VII foi dosado por método coagulométrico, utilizando o “kit
AMAX factor VII deficient plasma”, produzido pela Trinity Biotech (USA). As
determinações foram feitas utilizando-se analisador automático AMAX 190 –
Trinity Biotech. O valor de referência é de 50% a 150%. A dosagem foi
realizada no Laboratório de Análises Clínicas do InCor-HCFMUSP.
3.6.11 PCRus: foram colhidos 5 mL de sangue em tubo com gel
separador. A dosagem foi realizada utilizando-se dois métodos, de acordo
com a rotina do laboratório. Inicialmente por método imunoturbidimétrico,
utilizando o “kit C-Reactive Protein (Latex)”, produzido pela Roche (EUA). As
determinações foram realizadas no equipamento Cobas Integra 700, sendo
o valor de referência <5 mg/L. Posteriormente por método
imunonefelométrico, com detecção ultra-sensível, utilizando “kit CardioPhase
hsCRP”, da marca Dade Behring (EUA), em equipamento Dimension, sendo
a referência também <5 mg/L. Ambas as dosagens foram realizadas no
Casuística e Métodos
31
Laboratório de Análises Clínicas do InCor-HCFMUSP, e o coeficiente de
correlação de Pearson entre os métodos é de 0,995.
Outras análises, que fazem parte da rotina da instituição, também
foram correlacionadas com o perfil glicêmico dos pacientes. São elas:
CK-MB massa, troponina I e perfil lipídico (colesterol total, triglicérides, HDL,
LDL e VLDL-colesterol).
4 Resultados
Resultados
33
4.1 CARACTERÍSTICAS DOS PACIENTES
Entre junho/2005 e abril/2007, 80 pacientes foram incluídos no
estudo. Os pacientes foram selecionados a partir da Unidade de Emergência
ou diretamente na Unidade Coronária de Terapia Intensiva do InCor-
HCFMUSP.
Dentre as características basais dos pacientes (tabela 1), a idade
média (+DP) dos pacientes foi de 60,5±10 anos, sendo 81,3% do sexo
masculino. A primeira coleta de sangue foi realizada, em média, 38±8 horas
a partir do início da dor, e a segunda coleta com 163±46 dias da data do
IAM. História prévia de DM esteve presente em 30% dos pacientes, e
histórico familiar de DM em 46,3%.
Resultados
34
4.2 MEDICAÇÕES E PROCEDIMENTOS EMPREGADOS
Dentre as medicações que os pacientes estavam utilizando no dia da
coleta (tabela 2), destacam-se AAS (100%), heparina (81,3%), inibidor do
receptor da glicoproteina IIb/IIIa (GIIb/IIIa) e/ou clopidogrel 96,3%, refletindo
boas práticas clínicas no tratamento do IAM. A insulina foi empregada em
um pequeno número de pacientes (11,3%), uma vez que a maioria dos
indivíduos foi incluída quando ainda estava na Unidade de Emergência,
onde o protocolo assistencial de controle intensivo da glicemia não estava
implementado. No seguimento a longo prazo, 25% dos pacientes faziam uso
de hipoglicemiante oral e 11,8% de insulina. Neste momento, 10 (14,9%)
pacientes tinham glicemia 126 mg/dL e 39 (58,2%) tinham glicemia 100
mg/dL.
Resultados
35
Tabela 1- Características clínicas e laboratoriais dos pacientes do
estudo
(1)
Dados demográficos
Idade (anos) 60,5+10
Sexo
Masculino 65 (81)
Feminino 15 (19)
Intervalo dor/inclusão no estudo (horas) 38±68
Intervalo dor/retorno (dias) 163±45
Histórico patológico pregresso
Diabetes mellitus 24 (30)
Hipertensão arterial 62 (77)
Dislipidemia 44 (55)
Tabagismo 24 (30)
IAM 35 (43)
História Familiar
Doença coronária 44 (55)
Diabetes mellitus 37 (46)
Dados clínicos
Tipo de IAM
Com supradesnível do ST 24 (30)
Sem supradesnível do ST 56 (70)
Localização do IAM
Anterior 31 (39)
Outras 49 (61)
Exames complementares
Pico CK-MB (mg/dL) 85±113
Troponina I (ng/mL)
25±38
(1)
Variáveis contínuas são apresentadas em média±desvio-padrão e variáveis qualitativas
como número (percentual).
IAM=infarto agudo do miocárdio; CK-MB=creatinoquinase fração MB.
Resultados
36
Tabela 2- Medicações e procedimentos utilizados durante a
internação pelo IAM
Medicações utilizadas no dia
da coleta inicial de sangue
N (%)
AAS 80 (100)
Enoxaparina 51 (63,8)
Heparina não-fracionada 14 (17,5)
Inibidor GPIIb/IIIa 52 (65)
Clopidogrel 25 (31,3)
Betabloqueador 67 (83,3)
Inibidor da ECA/BRA 68 (85)
Estatina 57 (71,3)
Insulina 9 (11,3)
Procedimentos utilizados na fase hospitalar
Angioplastia primária 13 (16,3)
Angioplastia não primária 28 (35)
Cirurgia cardíaca 14 (17,5)
Medicações utilizadas no de seguimento
AAS 58 (85,3)
Clopidogrel 12 (17,6)
Betabloqueador 55 (80,9)
Inibidor da ECA/BRA 75(88,2)
Bloqueador de cálcio 14 (20,6)
Estatina 52 (76,5)
Hipoglicemiante oral 17 (25)
Insulina 8 (11,8)
AAS=ácido acetil salicílico, GPIIb/IIIa=glicoproteína IIbIIIa, ECA=enzima de conversão da
angiotensina, BRA=bloqueador do receptor da angiotensina.
Resultados
37
4.3 CORRELAÇÕES ENTRE NÍVEIS DE GLICOSE E AS
DIVERSAS VARIÁVEIS ESTUDADAS – ANÁLISES
UNIVARIADAS
Nas análises de regressão lineares univariadas, correlações
estatisticamente significativas foram detectadas entre glicemia e as
seguintes variáveis (tabela 4): HbA1c (r=0,75; p<0,001), insulina (r=0,25;
p=0,02), adiponectina (r=-0,22; p=0,05), AGL (r=0,3; p=0,01), LDL-colesterol
(r=-0,25; p=0,03), VLDL-colesterol (r=0,24; p=0,03) e triglicérides (r=0,27;
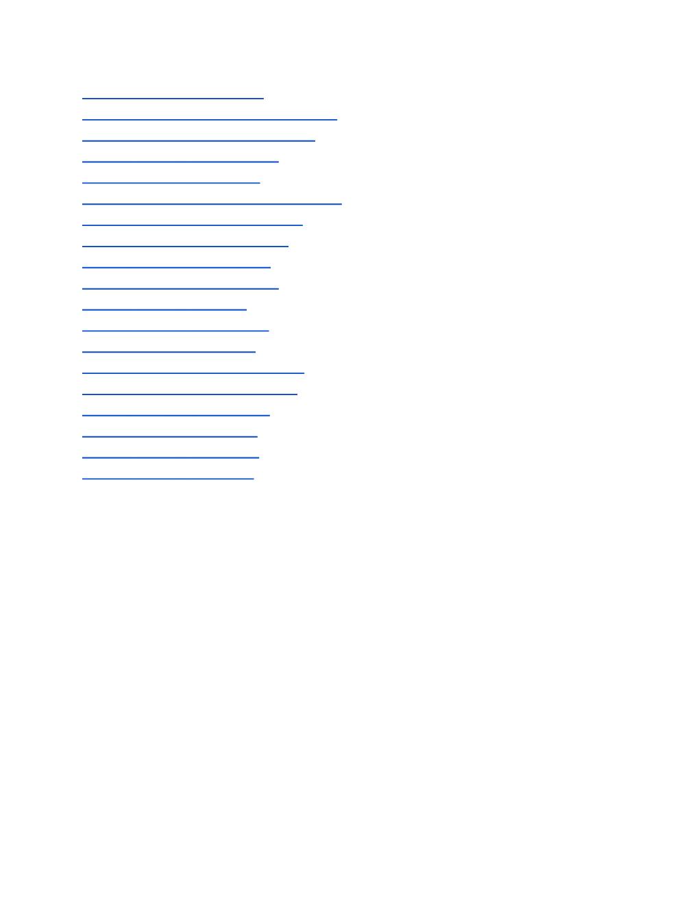
p=0,01) (figuras 1-7).
No seguimento de 3 meses, em que 68 dos pacientes iniciais tiveram
amostras sanguíneas coletadas, as seguintes variáveis se correlacionaram
de forma significativa com a glicemia de controle (C): HbA1c C (r=0,78;
p<0,001), cortisol C (r=0,31; p=0,01), noradrenalina C (r=0,54; p<0,001) e
PCRus C (r=0,46; p<0,001) (tabela 5). A comparação entre os níveis
glicídicos obtidos durante as fases aguda e crônica mostrou correlação
significativa (p=0,02), porém com coeficiente pobre (r=0,28).
Importante salientar que a única variável que apresentou correlação
estatisticamente significativa com nível glicêmico em ambas as fases, aguda
e crônica, foi a HbA1c. Ainda, a magnitude da correlação entre HbA1c e
nível glicêmico, também em ambas as fases analisadas, foi bem mais
robusta do que aquelas obtidas em outras correlações, como se pode notar
pelos coeficientes de correlação apresentados.
Resultados
38
Tabela 3- Análises univariadas das amostras colhidas na fase aguda
do IAM (glicemia como variável dependente
(1)
)
Variáveis independentes Média
Desvio
padrão
Coeficiente de
correlação de
Pearson
Significância
(P)
Metas primárias
Cortisol (µg/dL) 15,29 6,49 0,06 0,59
Noradrenalina (pg/mL) 383,97 250,09 -0,06 0,59
Hemoglobina glicada (%) 6,1 1,4 0,75 <0,001
Insulina (µU/mL) 10,68 8,48 0,25 0,02
LDL(-) antígeno (U/L) 11,82 10,27 0,02 0,86
LDL(-) anticorpo (µg/mL) 1,17 1,39 -0,02 0,85
AGL (mEq/L) 0,83 0,35 0,3 0,01
Adiponectina (ng/mL) 12,07 13,34 -0,22 0,05
PAI-1 (pg/mL) 22,88 13,3 -0,07 0,55
Fibrinogênio (ng/mL) 688,37 306,1 0,06 0,58
Fator VII (%) 71,94 18,56 -0,09 0,42
PCRus (mg/L) 29,18 40,84 -0,01 0,97
Metas secundárias
CK-MB (ng/mL) 84,78 112,78 0,11 0,33
Troponina (ng/mL) 25,03 37,6 0,02 0,89
Colesterol total (mg/dL) 175,53 40,49 -0,14 0,2
LDL-colesterol (mg/dL) 109,72 34,9 -0,25 0,03
HDL-colesterol (mg/dL) 34,68 8,49 -0,016 0,15
VLDL-colesterol (mg/dL) 31,42 18,81 0,24 0,03
Triglicérides (mg/dL) 160,45 98,59 0,27 0,01
(1)
Média+DP de glicemia=121,75±49,49 mg/dL.
IAM=infarto agudo do miocárdio, LDL(-)=lipoproteína de baixa densidade minimamente
modificada eletronegativa, AGL=ácidos graxos livres PAI-1=inibidor do ativador do
plasminogênio, PCRus=proteína C reativa ultra sensível, CK-MB=creatinoquinase fração
MB, HDL=lipoproteína de alta densidade; VLDL=lipoproteína de muito baixa densidade.
Resultados
39
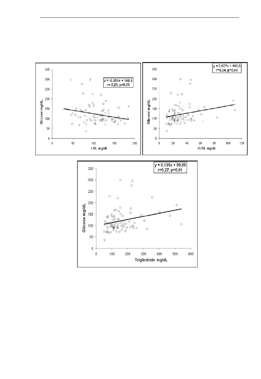
Figura 1 Figura 2
Figura 4
Figura 3
Figuras 1 a 4 - Análises de correlação univariada entre glicose e
hemoglobina glicada (figura1), insulina (figura 2), ácidos
graxos livres (figura 3) e adiponectina (figura 4). Destaca-
se a inclinação da linha de equação da figura 1,
aproximando-se da linha de referência, ilustrando a forte
correlação da glicose e hemoglobina glicada e a correlação
negativa entre glicemia e adiponectina na figura 4.
Resultados
40
Figura 5
Figura 6
Figura 7
Figuras 5 a 7 - Análises de correlação univariada entre glicose e LDL
colesterol (figura 5), VLDL (figura 6) e triglicérides
(figura 7). Observa-se correlação negativa entre glicose
e LDL colesterol.
r=coeficiente de correlação de Pearson; LDL=lipoproteína de baixa
densidade; VLDL=lipoproteína de muito baixa densidade.
Resultados
41
Tabela 4- Análises univariadas das amostras colhidas na fase
crônica do IAM (glicemia C como variável dependente
(1)
)
Variáveis independentes Média
Desvio
padrão
Coeficiente de
correlação de
Pearson
Significância
(P)
Metas primárias
Cortisol C (µg/dL) 10,87 4,16 0,31 0,01
Noradrenalina C (pg/mL) 443,25 305,38 0,54 <0,001
Hemoglobina glicada C (%) 5,94 1,19 0,78 <0,001
Insulina C (µU/mL) 12,23 8,22 0,04 0,74
LDL(-) antígeno C (U/L) 15,08 13,07 -0,09 0,46
LDL(-) anticorpo C (µg/mL) 1,17 1,39 0,02 0,89
AGL C (mEq/L) 0,53 0,23 0,22 0,07
Adiponectina C (ng/mL) 27,3 64,56 0,49 0,07
PAI-1 C (pg/mL) 14,9 6,66 0,13 0,66
Fibrinogênio C (ng/mL) 360,62 106,58 -0,45 0,11
Fator VII C (%) 87,38 28,11 0,08 0,49
PCRus C (mg/L) 5,52 14,5 0,46 <0,001
Metas secundárias
Colesterol total C (mg/dL) 165,77 40,38 -0,14 0,26
LDL-colesterol C (mg/dL) 100,58 35,73 -0,19 0,14
HDL-colesterol C (mg/dL) 38,85 10,27 -0,15 0,24
VLDL-colesterol C (mg/dL) 27,89 12,52 0,13 0,29
Triglicérides C (mg/dL) 139 62,84 0,13 0,3
(1)
Média+DP de glicemia C=112,85±20,29 mg/dL.
C=controle, LDL(-)=lipoproteína de baixa densidade minimamente modificada eletronegativa,
AGL=ácidos graxos livres, PAI-1=inibidor do ativador do plasminogênio, PCRus=proteína C
reativa ultra sensível, HDL=lipoproteína de alta densidade, VLDL=lipoproteína de muito
baixa densidade.
Resultados
42
4.4 COMPARAÇÕES ENTRE AS DOSAGENS OBTIDAS NAS FASES
AGUDA E CRÔNICA DO IAM
A tabela 5 demonstra as comparações entre os resultados obtidos nas
dosagens realizadas durante a fase aguda e no seguimento. Como se nota,
não houve diferença estatisticamente significativa nos marcadores do
metabolismo glicídico (glicemia, HbA1c e insulina inicial). Com referência
aos neuro-hormônios, o cortisol sofreu uma redução significativa, ao
contrário da noradrenalina, que aumentou no seguimento. Ainda, houve
elevação do LDL(-) e do HDL e redução dos AGL, adiponectina e PCRus.
Em relação aos fatores de coagulação, ocorreu aumento significativo
fator VII e fibrinogênio, mantendo-se estável o PAI-1. Pela possibilidade de
que o uso de medicações anticoagulantes na fase aguda do IAM poderia
influenciar tais resultados, analisamos a relação entre fator VII, PAI-1 e
fibrinogênio com enoxaparina e heparina não-fracionada. Por meio do teste
T para comparação de médias, foi evidenciada associação entre redução do
fator VII e uso de heparina não-fracionada (p=0,048), assim como de
enoxaparina (p=0,003). Não foram encontradas associações com PAI-1 ou
fibrinogênio.
Resultados
43
Tabela 5- Análises comparativas entre as dosagens na fase aguda e
crônica
Dosagem
fase aguda
Dosagem
fase crônica
Significância
(P)
Glicose (mg/dL) 121,84 (±47,45) 109,63±35,5 0,31
Cortisol (µg/dL) 14,44±5,59 10,72±4,13 <0,001
Noradrenalina (pg/mL) 367,03±264,62 416,37±211,66 0,02
HBA1c (%) 6,06±1,48 5,90±1,19 0,32
Insulina (µU/mL) 11,15±9,07 12,53±8,37 0,06
LDL(-) antígeno (U/L) 11,54±10,55 15,33±13,47 <0,001
LDL(-) anticorpo (µg/mL) 1,25±1,51 1,39±2 0,62
AGL mEq/L 0,83±0,33 0,52±0,22 <0,001
Adiponectina (ng/mL) 11,87±12,65 14,23±8,45 <0,001
PAI-1 (pg/mL) 22,13±10,73 20,37±10,74 0,18
Fibrinogênio (ng/mL) 709±314,57 873,31±397,17 0,01
Fator VII (%) 73,3±16,61 88,54±28,17 <0,001
PCRus (mg/L) 21,58±24,2 3,81±7,3 <0,001
Colesterol total (mg/dL) 172,41±40,79 165,22±38,92 0,165
LDL-colesterol (mg/dL) 107,1±35,09 100,17±34,72 0,179
HDL colesterol (mg/dL) 34,06±8,07 39,1±10,31 <0,001
VLDL-(mg/dL) 31,33±17,93 27,56±12,22 0,252
Triglicérides (mg/dL) 161,27±97,11 137,3±61,29 0,235
NOTA: os dados são apresentados em média±desvio-padrão
LDL(-)=lipoproteína de baixa densidade minimamente modificada eletronegativa, AGL=ácidos
graxos livres, PAI-1=inibidor do ativador do plasminogênio, PCRus=proteína C reativa ultra
sensível, HDL=lipoproteína de alta densidade, VLDL=lipoproteína de muito baixa densidade.
Resultados
44
4.5 ANÁLISES MULTIVARIADAS
Numa primeira análise multivariada, construiu-se um modelo de
regressão linear que utilizou como entrada as variáveis que apresentavam
na análise univariada correlações com p0,15. Foram elas: HbA1c, insulina,
adiponectina, AGL, LDL-colesterol, HDL-colesterol, VLDL-colesterol e
triglicérides. Como se nota na tabela 7, as variáveis que mantiveram
correlação significativa, agora independente, com nível glicêmico foram as
seguintes:
HbA1c (p<0,001)
Insulina (p<0,001)
AGL (p=0,013)
Este modelo conseguiu prever a glicemia com um coeficiente de
explicação (R
2
) de 0,643.
Tabela 6- Análise multivariada (regressão linear "stepwise")
(1)
Variáveis
preditoras
Parâmetro
estimado
Erro padrão Significância
HbA1c 23,00 2,34 <0,001
Insulina 1,50 0,41 <0,001
AGL 29,49 10,26 0,013
NOTA: Coeficiente de explicação (R
2
)=0,643.
(1)
Nível glicêmico como variável dependente.
HbA1c=hemoglobina glicada, AGL=ácidos graxos livres.
Resultados
45
Numa segunda análise, avaliou-se a glicemia como variável
dicotômica, usando a mediana da glicose como parâmetro divisor
(97 mg/dL). Assim, utilizando modelo de regressão logística, as seguintes
variáveis foram associadas com glicemia 97mg/dL: HbA1c (p=0,002) e
insulina (p=0,018). Em relação ao modelo inicial, os AGL não atingiram
significância estatística. Como será visto adiante, na curva ROC esta foi a
variável com associação mais fraca com a glicemia.
Numa última análise multivariada das dosagens na fase aguda
(tabela 8), utilizando-se o modelo linear generalizado, incluiu-se, além das
variáveis da tabela 7 (HbA1c, insulina e AGL), uma possível variável de
confusão, a história prévia de DM. Entretanto, todas as variáveis mantiveram
correlação significativa e independente com nível glicêmico, além de história
prévia de DM, que também se correlacionou de forma significativa e
independente com a variável dependente, glicemia.
Tabela 7- Análise multivariada (regressão linear generalizado)
(1)
Variáveis preditoras Parâmetro estimado Significância
HbA1c 45,72 <0,001
Insulina 14,22 0,001
ÁGL 6,47 0,013
História prévia de DM 5,08 0,027
(1)
Glicose como variável dependente.
HbA1c=hemoglobina glicada, AGL=ácidos graxos livres, DM=diabetes mellitus.
Resultados
46
Por fim, construiu-se um modelo multivariado para estudar as
variáveis analisadas durante a fase crônica, utilizando-se regressão linear
(“stepwise”). A glicemia C foi a variável dependente e incluiu-se HbA1c C,
cortisol C, noradrenalina C e PCRus C como variáveis independentes.
Destas, HbA1c C e noradrenalina C foram as que se correlacionaram de
forma significativa e independente com nível glicêmico C (tabela 8).
Tabela 8- Análise multivariada controles (regressão linear
“stepwise”)
(1)
Variáveis preditoras
Parâmetro
estimado
Erro padrão Significância
Noradrenalina C 0,05 0,01 < 0,001
HbA1c C 23,54 2,30 <0,001
NOTA: Coeficiente de explicação (R
2
)=0,858.
(1)
Variável dependente glicose C.
C=controle, HbA1c=hemoglobina glicada.
Nas análises de sub-grupos não foram encontradas diferenças
significativas em relação ao sexo (p=0,73), idade (p=0,27) e presença de
supradesnível do segmento ST ao ECG (p=0,249). Houve diferença
estatisticamente significante da glicemia nos pacientes diabéticos (166,71
±61,43) e não diabéticos (102,48 ±26,06) (p<0,001). Deste modo, refizemos
os modelos de análise multivariada dividindo os pacientes em diabéticos e
não diabéticos. Naqueles sem história de DM a glicemia foi predita pela
HbA1c (p<0,001) e insulina (p<0,001). Dentre os pacientes diabéticos a
única variável preditora da glicose foi a HbA1c (p=0,001).
Resultados
47
4.6 CURVA ROC
Na construção da curva ROC foram incluídas as variáveis
correlacionadas com nível glicêmico, de forma independente. Analisando-se
a área sob a curva, a qual representa a sensibilidade e especificidade de
cada uma das variáveis incluídas determinar a glicemia, nota-se que, na fase
aguda do infarto, que a HbA1c é aquela que melhor explica a glicemia.
Curva ROC
Figura 8 - Curva de características opcionais (ROC)
1 - Especificidade
1,00,80,60,40,20,0
Sensibilidade
1,0
0,8
0,6
0,4
0,2
0,0
Linha de referência
Ácidos graxos livres
Insulina
Hemoglobina glicada
Fontes para construção da curva
Área sob a curva:
Hemoglobina glicada=0,83
Insulina=0,77
Ácidos graxos livres=0,52
Resultados
48
4.7 DESFECHOS CLÍNICOS
Não foi encontrada correlação entre hiperglicemia e eventos clínicos
(tabela 9). Houve uma tendência de correlação entre hiperglicemia e óbito no
seguimento, ou seja, entre a alta hospitalar e o retorno para a segunda
coleta que, entretanto, não atingiu significância estatística (p=0,08). A
ocorrência de sepse grave ou choque séptico foi associada à hipoglicemia,
com média de glicemia de 66mg/dL nos pacientes com estas complicações
infecciosas e 124 mg/dL naqueles sem tais complicações (p=0,05).
Importante salientar que este estudo envolveu um número pequeno
de pacientes, o que impede qualquer conclusão definitiva em relação a
possíveis correlações entre níveis glicêmicos e eventos clínicos. As análises
haviam sido programadas como objetivos secundários no projeto de
pesquisa.
Resultados
49
Tabela 9- Desfechos clínicos hospitalares e no seguimento
Média+
DP da glicemia
N (%)
Evento
presente
Evento
ausente
Significância
Desfechos clínicos hospitalares
Isquemia refratária
(1)
6 (7,5) 103±32 123±50 0,34
Re-IAM 7 (8,8) 111±26 122±51 0,56
Choque cardiogênico 11 (13,8) 115±61 122±47 0,66
Óbito 4 (5) 108±36 122±50 0,58
MACE hospitalar
(2)
18 (22,5) 119± 50 123±50 0,76
Infecção 12 (15) 115± 58 122±48 0,66
Sepse grave/Choque séptico 3 (3,8)
66±27 124±49
0,05
Desfechos clínicos no seguimento (excluídos os hospitalares)
Isquemia refratária 3 (3,8) 165±115 120±46 0,57
Re-IAM 2 (2,25) 211±122 119±46 0,48
Choque cardiogênico 0 122+
49 –
Óbito 5 (6,3) 159±82 119±46 0,08
MACE no seguimento
(3)
9 (11,3) 157±83 117±42 0,19
MACE total
(4)
25 (31,3) 133±66 117±40 0,25
(1)
Com necessidade de intervenção de urgência.
(2)
Somatório das complicações cardiovasculares hospitalares.
(3)
Somatório das complicações cardiovasculares no período de seguimento.
(4)
Somatório de todas as complicações cardiovasculares (hospitalares e no seguimento).
5 Discussão
Discussão
51
Encontrou-se, durante a fase aguda do IAM, uma correlação
independente da glicemia com HbA1c, insulina e AGL, num contexto onde
fatores neuro-humorais, do metabolismo glicídico, lipídico, de coagulação e
inflamatório foram estudados simultaneamente. Estes achados sugerem que
estes três mecanismos fisiopatológicos seriam os mais importantes a
explicar o pior prognóstico dos pacientes com IAM e hiperglicemia.
5.1 ASSOCIAÇÃO ENTRE NÍVEIS GLICÊMICOS E DE HbA1c
Essa associação levanta a hipótese de que as alterações glicêmicas,
na fase inicial do IAM, poderiam representar uma doença crônica ainda não
diagnosticada. Já há demonstrações na literatura de que o histórico de
intolerância à glicose ou DM, por mecanismos já bem estabelecidos,
acarretam pior evolução no quadro dos pacientes com IAM
41,65,66,67,68,69,70
.
Soler e Frank, já em 1981, analisando 161 pacientes não diabéticos,
admitidos em unidade coronária com dor torácica e suspeita de IAM,
dosaram HbA1c buscando estudar a incidência de DM não diagnosticado.
Discussão
52
Naquela ocasião os critérios para considerar presença de DM foram glicemia
de jejum 140 mg/dL e HbA1c 8,5%. Os autores encontraram incidência
de 9% de DM previamente não diagnosticado entre os pacientes com IAM
(8/93), e 12% entre os pacientes sem IAM (8/68). As dosagens foram
repetidas 3 meses após o episódio agudo e os resultados se mantiveram
inalterados
71
. Outros autores, estudando 26 pacientes com IAM,
demonstraram que, dentre aqueles com glicemia à admissão hospitalar
180 mg/dL, 63% tinham DM; ao serem submetidos à TOTG 2 meses pós-
IAM, 6% apresentaram intolerância à glicose. Curiosamente, todos os
pacientes com TOTG alterado tinham tido HbA1c >7,5% na admissão,
indicando DM pré-existente
72
. Ainda na década de 80 outros autores
avaliaram, também por meio de TOTG e HbA1c, a possível presença de DM
não diagnosticado. Dentre 214 pacientes avaliados inicialmente, foram
analisados 19 (8,9%) que apresentavam ausência de história prévia de DM e
glicemia à admissão >162 mg/dL. Destes, 15 pacientes sobreviveram por 2
meses quando foi realizado o TOTG. Como resultado, 9 (60%) tinham DM e
4 (27%) tinham intolerância à glicose. Dez (77%) dos 13 pacientes com
alteração no TOTG haviam apresentado HbA1c elevada na admissão,
indicando intolerância à glicose ou DM pré-existente
73
.
Estes três artigos teriam sua aplicabilidade discutível nos dias atuais,
pois, além das pequenas casuísticas, os critérios para DM e intolerância à
glicose sofreram grandes alterações no decorrer dos últimos 20 anos.
Entretanto, a nosso ver são muito importantes, pois foram os primeiros a
levantar a hipótese de que talvez, no contexto do IAM, a hiperglicemia de
Discussão
53
“estresse” estaria representando uma alteração crônica do metabolismo
glicídico. O interesse pelo tema pode ser avaliado pelo número de
publicações que se seguiram a esses estudos
pioneiros
74,75,76,77,78,79,80,81,82,83
. Desses, apenas um grupo japonês não
encontrou correlação entre nível glicêmico à admissão e TOTG (r=0,02;
p=0,08). Porém, a glicemia obtida à admissão se correlacionou com a
glicemia de jejum e à HbA1c, colhidas ainda na fase aguda do infarto,
(r=0,50, p<0,001 e r=0,34, p=0,001, respectivamente)
74
. É importante
salientar que nenhum dos estudos anteriormente citados avaliou possíveis
correlações entre glicemia e HbA1c num contexto que incluísse outras
variáveis que poderiam influenciar os resultados obtidos, como por exemplo
fatores neuro-humorais (cortisol e noradrenalina), de coagulação,
inflamatórios e extensão do IAM (pico de CK-MB).
Outro dado conflitante na literatura é o valor prognóstico da HbA1c,
quando estudada em conjunto com a glicemia. Em estudo que avaliou a
glicemia e a HbA1c na admissão de pacientes com IAM com supradesnível
do segmento ST ao ECG, os autores categorizaram a glicemia em <200
mg/dL e 200 mg/dL e a HbA1c em <6% e 6%. Os pacientes foram
acompanhados por 1,6+0,6 anos. Por análise multivariada, a glicemia da
admissão (OR 4,91; IC 95% 2,03-11,9; p<0,001), mas não a HbA1c (OR
1,33; IC 95%, 0,48-3,71; p=0,58) se associou de forma significativa com
mortalidade aos 30 dias de seguimento. Excluindo-se mortalidade aos 30
dias, não houve correlação entre glicemia ou HbA1c e mortalidade a longo
prazo
84
. Por outro lado, na população do estudo OPTIMAAL, constituída por
Discussão
54
pacientes com IAM complicado por ICC, foi dosada a HbA1c à admissão em
2841 pacientes. Na evolução de 2,5 anos, os pacientes com história de DM
tiveram uma mortalidade global de 18% e, no grupo sem história de DM, os
seguintes percentuais de óbito foram obtidos: 13% naqueles com HbA1c
<4,9%; 17% naqueles com HbA1c entre 4,9% e 5,1%; 22% nos que
apresentavam HbA1c >5,1% (p<0,001). Assim, a HbA1c mostrou-se um
potente preditor de mortalidade, e um acréscimo de 1% na HbA1c na fase
inicial do IAM resultou em um aumento de 24% na mortalidade tardia. Nos
pacientes diabéticos a HbA1c não teve impacto na mortalidade
85
.
5.2 ASSOCIAÇÃO ENTRE NÍVEIS GLICÊMICOS E DE
INSULINA
A correlação positiva e independente da glicemia com insulina sérica
sugere uma resistência aumentada à insulina nesta fase inicial do IAM. Esta
correlação não foi encontrada ao se analisar a glicemia de controle no
seguimento dos pacientes, sugerindo que se trata de um processo
específico da fase inicial do IAM. Em uma publicação prévia que analisou
especificamente a resistência à insulina, estudada por meio do modelo
HOMA-IR
60
, em pacientes não diabéticos com IAM, foram detectados dois
grupos com características distintas. Um primeiro grupo apresentava
resistência aumentada (IR), e outro, resistência normal à insulina (NIR).
Neste estudo, demonstrou-se que o grupo IR apresentava HOMA-IR mais
Discussão
55
elevado na admissão do IAM, e este decrescia para um valor basal até a
segunda semana de evolução. Comparando o HOMA-IR do grupo com IR
versus o NIR ao longo do tempo, foram obtidos os seguintes dados:
admissão – 6,0±2,7 vs. 1,1±0,3 (p 0,006); 1 semana – 3,0±1,4 vs. 1,2±0,4
(p=0,008); 2 semanas – 2,1±0,8 vs. 1,1±0,4 (p=0,009); 4 meses – 2,2±0,8
vs. 1,1±0,4 (p=0,02). O HOMA-IR não apresentou variação no grupo NIR
86
.
Entretanto, estes achados não são unânimes na literatura. Tenerz et
al encontraram resultados diversos ao avaliarem 145 pacientes com IAM e
sem histórico de DM. Não houve diferença na resistência à insulina entre a
alta e seguimento de 3 meses. Também foi realizado TOTG ou teste da
dosagem da glicemia após 60 minutos da ingesta de 75g de glicose (BG-60),
na alta hospitalar, cujos resultados foram capazes de predizer o diagnóstico
de diabetes ou intolerância à glicose em 3 meses
87
.
Outros compararam pacientes sem história prévia de DM e com IAM,
em relação a pacientes diabéticos sem IAM, avaliando a resistência à
insulina (HOMA IR), PCRus, IL6 e adiponectina, na alta hospitalar e 3 meses
após. Os pacientes foram submetidos ao TOTG na alta e no seguimento, e
com base nos dados obtidos foram divididos em 3 grupos: diabéticos sem
IAM (grupo controle), infartados com tolerância normal à glicose, e infartados
com intolerância à glicose ou DM. Os pacientes diabéticos sem IAM
apresentavam valor médio de HOMA IR significativamente maior que os
pacientes com IAM (p<0,05). Do mesmo modo, aqueles com IAM e
intolerância à glicose ou DM (pelo TTG), tinham HOMA IR mais elevado
Discussão
56
(p<0,05) que os pacientes com IAM e sem alterações do metabolismo da
glicose. Estes resultados foram similares aos 3 meses de seguimento
88
.
Ainda nesse artigo, demonstraram-se níveis de PCRus e IL-6
significativamente maiores nos pacientes com IAM e intolerância a glicose
ou DM, em relação àqueles com IAM sem alterações agudas do
metabolismo da glicose ou nos controles diabéticos. Entretanto, estas
diferenças não foram encontradas no seguimento de 3 meses
88
. No presente
estudo, resultados opostos foram obtidos, com a glicemia não se
correlacionando com PCRus na fase inicial do IAM (r=-0,01; p=0,97), ao
contrário da fase crônica, onde foi encontrada correlação significativa
(r=0,46; p<0,001). Uma vez que a relação entre glicemia e fator inflamatório
já é bem estabelecida em pacientes diabéticos cronicamente analisados
41
,
acreditamos que nossos resultados sejam mais compatíveis do que os
anteriormente citados.
5.3 ASSOCIAÇÃO ENTRE NÍVEIS GLICÊMICOS E AGL
Idealmente, quando se analisamveis de AGL, o uso da heparina
deve ser evitado, pois estimula a lipase lipoprotéica, aumentando os níveis
séricos dos AGL
89
. Todavia, é eticamente inviável excluir o uso da heparina
no tratamento do IAM, o que, portanto, não foi feito no presente estudo.
Entretanto, como uma eventual correlação entre nível glicêmico e AGL
significaria um aumento adicional dos AGL (além daquele ocasionado pela
Discussão
57
heparina), acredita-se que a utilização de heparina não inviabiliza os
resultados aqui obtidos.
A associação entre glicemia e AGL pode ser conseqüência de
alterações metabólicas agudas que ocorrem durante o IAM. Os primeiros
trabalhos científicos sobre os efeitos dos AGL no IAM foram desenvolvidos
por Opie, utilizando modelos animais. Nestes estudos o autor demonstrou
que, em modelos de oclusão coronária em ratos, havia aumento das
catecolaminas, que estimulavam os receptores beta-adrenérgicos
periféricos, causando mobilização de AGL e diminuindo o potássio sérico.
Elevados níveis de AGL, por sua vez, associaram-se a aumento na liberação
de enzimas marcadoras de necrose miocárdica e favoreceram o
desenvolvimento de arritmias
90,91
. Porém, o próprio autor chama a atenção
para que não se transponham estes dados iniciais para o modelo humano,
uma vez que, no homem, determinadas intervenções terapêuticas, como o
uso de betabloqueadores, podem modificar estes mecanismos. Após a
publicação desses estudos pioneiros, outros vêm consolidando a
demonstração da utilização dos AGL pelo miocárdio, durante a fase aguda
de isquemia, também em pacientes. Entre outros achados importantes, foi
identificada a “heart-type fatty acid-binding protein” (H-FABP), a qual tem
sido utilizada inclusive como um biomarcador precoce de isquemia
miocárdica, com aplicabilidade clínica no diagnóstico das síndromes
coronarianas agudas
92,93
.
Discussão
58
Hoje existe o entendimento de que, durante o IAM, o aumento da
resistência à insulina prejudica a captação da glicose pelo miocárdio, sendo
então os AGL mobilizados como fonte energética pelo mesmo
44
. A
substituição da glicose pelos AGL como matéria prima no IAM leva a uma
menor geração de energia para o miocárdico isquêmico, além de acarretar
alterações eletrolíticas relacionadas ao potássio e cálcio, que
freqüentemente levam a arritmias cardíacas potencialmente fatais
44,94,95
.
5.4 CORRELAÇÕES ENTRE NÍVEIS GLICÊMICOS E
OUTROS MARCADORES BIOQUÍMICOS
No presente estudo não se demonstrou associação entre glicemia e
hormônios relacionados ao estresse na fase aguda do IAM; porém, a
glicemia esteve correlacionada tanto com o cortisol quanto com a
noradrenalina, na análise realizada durante a fase crônica (3 meses) pós-
IAM. Já é bem conhecida a influência do estresse crônico no sistema
nervoso autonômico, aumentando liberação de catecolaminas, e na
disfunção do eixo HHA
96
. A elevação dos níveis de cortisol está implicada no
desenvolvimento de obesidade visceral, que por sua vez leva a um aumento
da resistência à insulina, hiperglicemia e DM
97
.
Ainda, no presente estudo, não foram encontradas correlações
significativas entre glicemia e os fatores de coagulação analisados, seja na
fase aguda, seja no seguimento dos pacientes. Além disso, demonstrou-se
Discussão
59
elevação dos níveis de fator VII e fibrinogênio, após a alta hospitalar. Tal
comportamento pode estar relacionado ao uso de anticoagulantes no
tratamento inicial do IAM, inibindo a tendência natural de ativação do
sistema de coagulação que ocorre nesta fase
45
.
Outro dado já relatado na literatura é a ausência da associação entre
glicemia e tamanho do IAM, representado pelos marcadores de necrose
miocárdica, CK-MB e troponina I, também encontrado no presente
material
98,99,100
.
Quanto aos fatores relacionados ao metabolismo lipídico, houve
correlações estatisticamente significativas e negativas, nas análises
univariadas, entre níveis glicêmicos e de adiponectina, LDL-colesterol e
HDL-colesterol, encontrando-se ainda correlações significativas e positivas
com os níveis de triglicérides e VLDL. Entretanto, nenhuma destas
associações manteve-se nos modelos ajustados. Durante qualquer injúria
tecidual, como a que ocorre no IAM, ocorrem alterações nas proteínas
plasmáticas, constituindo a chamada resposta de fase aguda. As variações
nos lípides e lipoproteínas após o IAM se manifestaram precocemente, já no
momento em que ocorria a primeira coleta de sangue no presente
estudo
101,102
. Há redução máxima do colesterol total, em até 47%, em torno
do 4º-5º dia. Também ocorre diminuição do LDL e HDL-colesterol e aumento
de triglicérides em 48%, 32% e 58% respectivamente, com nadir no 7° dia
pós-IAM
91,103
. Os níveis dessas variáveis costumam retornar aos seus
valores basais 2 meses pós-IAM
91
. Assim, em nossa coleta de controle, que
Discussão
60
foi realizada após 3 meses do IAM, não houve qualquer influência dos
fatores que atuam na fase inicial do IAM.
A adiponectina é uma proteína derivada dos adipócitos, que se
apresenta reduzida nos obesos. Estudos epidemiológicos prospectivos têm
mostrado que concentrações elevadas de adiponectina estão associadas a
maior sensibilidade à insulina e reduzido risco de DM tipo 2, aparentemente
de forma independente da obesidade e outros potenciais fatores de
confusão
104
. Utilizando-se banco de amostras de sangue colhidas entre
1978-80, foram encontradas correlações significativas (todas p<0,001)
positiva entre adiponectina e HDL (r=0,33), e negativas com PCRus (r=-0,21)
e índice de massa corpórea (r=-0,21). Entretanto, a mesma publicação não
demonstrou associação entre níveis de adiponectina e desenvolvimento de
doença arterial coronária (OR 0,89; IC 95% 0,67-1,18)
105
. Comparando a
dosagem da adiponectina em 325 pacientes com angina estável, angina
instável e IAM sem supradesnível do segmento ST, encontrou-se associação
inversa entre níveis de adiponectina e mortalidade por qualquer causa,
mortalidade cardíaca e IAM. A sobrevida em 24 meses nos diferentes tercis
da adiponectina foi de: 95% no primeiro tercil ( 4,431 mg/L); 90,4% no
segundo tercil (>4,431 e 8,008 mg/L) e 83,5% no último tercil (>8,008 mg/L)
(p=0,0232)
106
.
Apesar de não estar correlacionada com a glicemia, a LDL(-)
apresentou uma redução significativa de seus níveis durante a fase aguda
do IAM, o que não foi visto com os níveis de LDL-colesterol. São
Discussão
61
relativamente recentes as metodologias para dosagem da LDL(-), seja com
detecção de seus antígenos, ou dos anticorpos anti-LDL(-). Numa pesquisa
que objetivou determinar a relação temporal entre anticorpos anti-LDL(-) e as
diversas fases após o IAM, observaram-se níveis mais elevados dentro de
48h do IAM, com queda significativa em até 1 ano de acompanhamento.
Estes autores fizeram a determinação do malondialdeído-LDL anticorpo,
utilizando metodologia de ELISA
107
. Um segundo estudo, com o mesmo
objetivo de avaliar as alterações agudas da LDL(-), encontrou resultados
diferentes. Foram feitas dosagens seriadas da LDL(-) em pacientes com
IAM, angina instável, angina estável, cinecoronariografia normal e indivíduos
saudáveis, colhendo-se amostras sanguíneas quando da inclusão do
paciente no estudo, e após 30, 120 e 210 dias. As dosagens foram
realizadas por ELISA por quimioluminescência. Na coleta basal, os
pacientes com IAM tiveram os mais altos títulos de anticorpos (p<0,001). Em
30 dias, a média de anticorpos IgM contra LDL(-) aumentou,
respectivamente, 48% (p<0,001) e 20% (p<0,001), nos pacientes com IAM e
angina instável; nos outros grupos não foram detectadas diferenças
significativas
108
. Assim, nota-se que ainda há muita controvérsia nos estudos
sobre LDL(-), que empregam metodologias laboratoriais variadas, o que
contribui de maneira importante para as divergências nos resultados.
Discussão
62
5.5 CONSIDERAÇÕES FINAIS
O presente estudo apresenta algumas limitações, como por exemplo
o fato de que as coletas da fase aguda do infarto foram feitas entre 24-48h
do início dos sintomas, o que pode ter influenciado as dosagens do perfil
lipídico dos pacientes. Por outro lado, as dosagens dos fatores de
coagulação e dos AGL, na fase aguda do infarto, podem ter sido
influenciadas pelo uso de heparina. Finalmente, a metodologia empregada
para a dosagem da LDL(-) foi desenvolvida e validada no Laboratório de
Bioquímica Clínica do Departamento de Análises Clínicas e Toxicológicas da
Faculdade de Ciências Farmacêuticas da USP, limitando ainda sua
reprodutibilidade.
Por outro lado, ao que seja do nosso conhecimento, o presente
estudo é o primeiro a analisar, simultaneamente, correlações entre nível
glicêmico e marcadores bioquímicos relacionados ao sistema neuro-humoral
de estresse (cortisol e noradrenalina), metabolismo glicídico (HbA1c,
insulina), metabolismo lipídico ( LDL(-), AGL, adiponectina, colesterol total e
frações e triglicérides), sistema de coagulação (PAI-1, fibrinogênio e fator
VII) e inflamação (PCRus ultra-sensível), durante a fase aguda do IAM e no
seguimento após 3 meses.
6 Conclusões
Discussão
64
6.1 Durante a fase aguda do infarto, as variáveis que se correlacionaram
com nível glicêmico, significativa e independentemente foram HbA1c,
insulina e AGL, sugerindo uma resistência aumentada à insulina,
gerando hiperglicemia e maior liberação de AGL, como principais
mecanismos da geração de hiperglicemia.
6.2 HbA1c foi a única variável que se correlacionou de forma significativa
e independente com nível glicêmico tanto na fase aguda quanto na
crônica, sugerindo que a hiperglicemia, durante a fase precoce do
IAM poderia representar uma manifestação de alteração crônica no
metabolismo glicídico, não diagnosticada previamente ao episódio
isquêmico miocárdico agudo.
7 Referências
Referências
66
1. Kannel WB, MacGee DL. Diabetes and cardiovascular disease: the
Framingham Study. JAMA. 1979;241:2035-38.
2. Malberg K, Rydén L. Myocardial infarction in patients with diabetes
mellitus. Eur Heart J. 1988;9:259-64.
3. StamLer J, Vaccaro O, Neaton JD, Wentworth D. Diabetes, other risk
factors, and 12-y cardiovascular mortality for men screened in the
Multiple Risk factor Intervention Trial. Diabetes Care. 1993;16:434-
44.
4. Capes SE, Hunt D, Malmberg K, Gerstein HC. Stress hyperglycaemia
and increased risk of death after myocardial infarction in patients with
and without diabetes: a systematic overview. Lancet. 2000;355:773-
78.
5. Mc Cowen KC, Malhotra A, Bistrian BR. Endocrine and metabolic
dysfunction syndromes in the critically ill. Stress-induced
hyperglycaemia. Crit Care Clin. 2001;17:107-24.
6. Wahab NN, Cowden EA, Pearce NJ, Gardner MJ, Merry H, Cox JL.
Is blood glucose an independent predictor of mortality in acute
myocardial infarction in the thrombolytic era? J Am Coll Cardiol.
2002;40:1748-54.
Referências
67
7. Suleiman M, Hammirman H, Boulos M, Kapeliovich MR, Suleiman A,
Agmon U, et al. Fasting glucose is an important independent risk
factor for 30-day mortality in patients with acute myocardial infarction:
a prospective study. Circulation. 2005;111:754-60.
8. Goyal A, Mahaffey KW, Garg J, Nicolau JC, Hochman JS, Weaver
WD, et al. Prognostic significance of the change in glucose level in
the first 24h after acute myocardial infarction: results from the
CARDINAL study. Eur Heart J. 2006;27:1289-97.
9. Nicolau JC, Truffa RAM, Baracioli LM, Ladeira RT, Giraldez RR,
Serrano Jr CV, et al. The importance of sequential glucose dosages
during hospitalization in the long-term outcome after acute myocardial
infarction. Eur Heart J. 2006;27(Abstract Suppl):218. (Presented at
World Congress of Cardiology;2006 September 2-6; Barcelona,
Spain. Abstracts.
10. The Expert Committee on the Diagnosis and Classification of
Diabetes mellitus: Report of the expert committee on the diagnosis
and classification of diabetes mellitus. Diabetes Care. 1997;20:1183-
97.
11. Word Health Organization: Definition, Diagnosis, and Classification of
Diabetes Mellitus and its Complications. Part 1: Diagnosis and
Classification of Diabetes Mellitus. Geneva, World Health
Organization. 1999.
12. Sociedade Brasileira de Diabetes. Consenso brasileiro sobre
diabetes 2002: diagnóstico e classificação do diabetes melito e
tratamento do diabetes melito do tipo 2. Rio de Janeiro: Diagraphic
Editora; 2003.
Referências
68
13. Brazilian Society of Diabetes. I Brazilian Guidelines for Diabetes (Part
I). Int J Atheroscler. 2006;1(3):177-210.
14. The Expert Committee on the Diagnosis and Classification of
Diabetes Mellitus: Follow-up report on the diagnosis of diabetes
mellitus. Diabetes Care. 2003;26:3160-67.
15. Cruikshand N. Coronary thrombosis and myocardial infarction with
glycosuria. BMJ. 1931;1:618-19.
16. Lakhdar A, Stromberg P, McAlpine SG. Prognostic importance of
hyperglycaemia induced by stress after acute myocardial infarction.
BMJ. 1984;288:288.
17. Oswald GA, Smith CCT, Betteridge DJ, Yudkin JS. Determinants and
importance of stress hyperglycaemia in non-diabetic patients with
myocardial infarction. BMJ. 1986;293:917-22.
18. Tansey MJ, Opie LH. Plasma glucose on admission to hospital as a
metabolic index of the severity of acute myocardial infarction. Can J
Cardiol. 1986;2:326-31.
19. Bellodi G, Manicardi V, Malavasi V, Veneri L, Bernini G, Bossini P, et
al. Hyperglycemia and prognosis of acute myocardial infarction in
patients without diabetes mellitus. Am J Cardiol. 1989;64:885-88.
20. O´Sullivan JJ, Conroy RM, Robinson K, Hickey N, Mulchy R. In-
hospital prognosis of patients with fasting hyperglycemia after first
myocardial infarction. Diabetes Care. 1991;14:58-60.
Referências
69
21. Ladeira RT, Nicolau JC, Gomes EP, Baracioli LM, Ferri LAF, Feitosa-
Filho GS. Impacto da hiperglicemia de estresse na mortalidade do
infarto agudo do miocárdio. Rev Soc Cardiol Estado de São Paulo.
2006;16(2):35. (Apresentado no XXVII Congresso da Sociedade de
Cardiologia do Estado de São Paulo; 25-27 de maio de 2006;
Campos do Jordão, São Paulo, Brasil. Resumo das Comunicações).
22. Norhammer AM, Ryden L, Malmberg K. Admission plasma glucose:
independent risk factor for long-term prognosis after myocardial
infartion even in nondiabetic patients. Diabetes Care. 1999;22:1827-
31.
23. Bolk J, Ploeg Tj van der, Cornel JH, Arnold AER, Sepers J, Umans
VAWM. Impaired glucose metabolism predicts mortality after a
myocardial infarction. Inter J Cardiol. 2001;79:207-14.
24. Stranders I, Michaela D, Gelder RE van, Spruijt HJ, Twisk JWR,
Heine RJ, et al. Admission blood glucose level as risk indicator of
death after myocardial infarction in patients with and without diabetes
mellitus. Arch Intern Med. 2004;164:982-88.
25. Nicolau JC, Truffa RAM, Gaz MVB, Karbstein R, Lima F, Baracioli
LM, et al. The prognostic value of baseline glucose is related mainly
to the early phase after myocardial infarction. Eur Heart J.
2006;27(Abstract Suppl):220. (Presented at World Congress of
Cardiology; 2006 September 2-6; Barcelona, Italy. Abstracts).
26. Leor J, Goldbourt U, Reicher-Reiss H, Kaplinsky E, Behar S and the
SPRINT Study Group. Cardiogenic shock complicating acute
myocardial infarction in patients without heart failure on admission:
incidence, risk factors and outcome. Am J Med. 1993;94:265-73.
Referências
70
27. Ladeira RT, Nicolau JC, Gomes EP, Baracioli LM, , Bellelis P, Brito
HP, Baracioli LM, et al. Correlação entre hiperglicemia e choque
cardiogênico no infarto agudo do miocárdio. (Apresentado no VIII
Congresso Paulista de Terapia Intensiva e VII Forum Latino-
Americano de Ressuscitação Cardiopulmonar e Emergência; 9-12 de
abril de 2003; São Paulo, São Paulo, Brasil. Anais do Congresso)
28. Zeller M, Cottin Y, Brindisi M-C, Dentan G, Laurent Y, Janin-Manificat
L, et al. Impaired fasting glucose and cardiogenic shock in patients
with acute myocardial infarction. Eur Heart J. 2004;25:308-12.
29. Kosiborod M, Rathore SS, Inzucchi SE, Masoudi FA, Wang Y,
Havranek EP, Krumholz HM. Admission glucose and mortality in
elderly patients hospitalized with acute myocardial infarction:
implications for patients with and without recognized diabetes.
Circulation. 2005;111:3078-86.
30. Malmberg K, Rydén L, Efendic S, Herlitz J, Nicol P, Waldenströn A,
et al. Randomized Trial of insulin-glucose infusion followed by
subcutaneous insulin treatment in diabetic patients with acute
myocardial infarction (DIGAMI Study): effects on mortality at 1 year. J
Am Coll Cardiol. 1995;26:57-65.
31. Malmberg K. Prospective randomized study of intensive insulin
treatment on long term survival after acute myocardial infarction in
patients with diabetes mellitus. BMJ. 1997;314:1512-15.
32. Malmberg K, Rydén L, Wedel H, Birkeland K, Bootsma A, Dickstein
K, et al. Intense metabolic control by means of insulin in patients with
diabetes mellitus and acute myocardial infarction (DIGAMI 2): effects
on mortality and morbidity. Eur Heart J. 2005;26:650-61.
Referências
71
33. Groeneveld ABJ, Beishuizen A, Visser FC. Insulin: a wonder drug in
the critically ill? Critical Care. 2002;6:102-5.
34. Yusuf S, Mehta SR, Díaz R, et al. Challenges in the conduct of large
simple trials of important generic questions in resource-poor settings:
the CREA and ECLA trial program evaluating GIK (glucose, insulin
and potassium) and low-molecular-weith heparin in acute myocardial
infarction. Am Heart J. 2004;148:1068-78.
35. The CREATE-ECLA Trial Group Investigators. Effect of glucose-
insulin-potassium infusion on mortality in patients with acute ST-
segment elevation myocardial infarction: the CREATE-ECLA
Randomized Controlled Trial. JAMA. 2005;293:437-46.
36. Iwakura K, Ito H, Ikushima M, Kawano S, Okamura A, Asano K et al.
Association between hyperglycemia and the no-reflow phenomenon
in patients with acute myocardial infarction. J Am Coll Cardiol.
2003;41:1-7.
37. Ishihara M, Kojima S, Sakamoto T, Asada Y, Tei C, Kimura K, et al.
Acute hyperglycemia is associated with adverse outcome after acute
myocardial infarction in the coronary intervention era. Am Heart J.
2005;150:814-20.
38. Omi H, Okayama N, Shimizu M, Okouchi M, Ito S, Fukutomi T, Itoh
M. Participation of hig glucose concentrations in neutrophil adhesion
and surface expression of adhesion molecules on cultured human
endothelial cells: effect of antidiabetic medicines. J Diabetes
Complications. 2002;16:201-8.
Referências
72
39. Nicolau JC, Maia LN, Vitola JV, Mahaffey KW, Machado MN,
Ramires JAF. Baseline glucose and left ventricular remodeling after
myocardial infarction. J Diabetes Complications. 2007;21:294-9.
40. Beckman JÁ, Creager KA, Libby P. Diabetes and atherosclerosis
epidemiology, pathophysiology and management. JAMA.
2002;287:2570-81.
41. Williams SB, Cusco JA, Roddy MA, Johnstone Mt, Creager MA.
Impaired nitric oxide-mediated vasodilation in patients with non-
insulin-dependent diabetes mellitus. J Am Coll Cardiol.1996;27:567-
74.
42. Hennes MM, O’Shaughnessy IM, Kelly TM, et al. Insulin-resistant
lipolysis in abdominally obese hypertensive individuals. Hypertension.
1996;28:120-26.
43. Hotta K, Funahashi T, Arita Y, Takahashi M, Matsuda M, Okamoto Y,
Iwahashi H, Kuriyama H, Ouchi N, Maeda K, Nishida M, Kihara S,
Sakai N, Nakajima T, Hasegawa K, Muraguchi M, Ohmoto Y,
Nakamura T, Yamashita S, Hanafusa T, Matsyzawa Y. Plasma
concentrations of a novel, adipose-specific protein, adiponectin, in
type 2 diabetic patients. Arterioscler Thromb Vasc Biol.
2000;20:1595-99.
44. Jianying Z, Ren S, Sun D, Shen GX. Influence of glycation on LDL-
Induced generation of fibrinolytic regulators in vascular endothelial
cell. Arterioscler Thromb Vasc Biol. 1998;18:1140-48.
Referências
73
45. Meigs JB, Mittleman MA, Nathan DM, Tofler GH, Singer DE, Murphy-
Sheehy PM, Lipinska I, D’Agostino RB, Wilson PW.
Hyperinsulinemia, hyperglycemia, and impaired hemostasis: the
Framingham Offspring Study. JAMA. 2000;282:221-8.
46. Festa A, Ralph D’Agostinho, Mykkänen, L, Russell PT, Zaccaro DJ,
Hales NC, Haffner SM. Relative contribution of insulin and its
precursors to fibrinogen and PAI-1 in a large population with different
states of glucose tolerance. Arterioscler Thromb Vasc Biol.
1999;19:562-68.
47. Biondi-Zoccai GGL, Abbate A, Liuzzo G, Biasucci LM.
Atherothrombosis, inflammation and diabetes. J Am Coll Cardiol.
2003;41:1071-7.
48. Stubbs PJ, Laycock J, Zadeh A, Carter G, Noble MIM. Circulating
stress hormone and insulin concentrations in acute coronary
syndromes: identification of insulin resistance on admission. Clin
Science. 1999;96:589-95.
49. Oswald GA, Smith CCT, Betteridge DJ, Yudkin JS. Determinants and
importance of stress hyperglycaemia in non-diabetic patients with
myocardial infarction. BMJ. 1986;293:917-22.
50. Oliver MF, Opie LH. Effects of glucose and fatty acids on myocardial
ischaemia and arrythmias. Lancet. 1994;343:155-58.
51. Norhammar A, Tenerz A, Nilsson G, Hamstin, A, Efendic S, Rydén L,
Malmberg K. Glucose metabolism in patients with acute myocardial
infarction and no previous diagnosis of diabetes mellitus: a
prospective study. Lancet. 2002;359:2140-44.
Referências
74
52. Tenerz A, Nilsson G, Forberg R, Öhrvik J, Malmberg K, Berner C,
Leppert J. Basal Glucometabolic status has an impact on long-term
prognosis following an acute myocardial infarction in non-diabetic
patients. J Inter Med. 2003;254:494-503.
53. Deedwania P, Kosiborod M, Barrett E, Ceriello A, Isley W, Mazzone
T, et al. Hyperglycemia and acute coronary syndrome: a scientific
statement from the American Heart Association Diabetes Committee
of the Council on Nutrition, Physical Activity, and Metabolism.
Circulation. 2008;117:1610-19.
54. Dupont WD, Plummer WD Jr. Power and sample size calculations for
studies involving linear regression. Control Clin Trials. 1998;19:589-
601.
55. Rosner B. Fundamentals of biostatistics. 4 ed. New York: Duxbury
Press; 1994. p.1-896.
56. Rotinas nas síndromes isquêmicas miocárdicas instáveis. Instituto do
Coração da Faculdade de Medicina da Universidade de São Paulo;
2004. p.1-34.
57. The Joint European Society of Cardiology/American College of
Cardiology Committee. (2000) Myocardial infarction redefined- a
consensus document of the Joint European Society of
Cardiology/American College of Cardiology Committee for the
redefinition of myocardial infarction. JACC 36:959-69.
58. Cockcroft DW, Gault MH. Prediction of creatinine clearence from
serum creatinine. Nephron. 1976;16:31.
Referências
75
59. Forrester JS, Diamond G, Chatterjee K, Swan HJ. Medical therapy of
acute myocardial infarction by application of hemodynamic subsets.
N Eng J Med. 1975;295(24):1356-62.
60. Nicolau,J.C.; Serrano,C.V.,Jr.; Garzon,S.A.; Ramires,J.A. Prognosis
of acute myocardial infarction in the thrombolytic era: medical
evaluation is still valuable. Eur J Heart Fail. 2001;3:569-76.
61. Davies CL, Molyneux SC. Routine determination of plasma
catecholamines using reversed-phase, íon-pair high-performance
liquid chromatography with electrochemical detertion.
J.Cromatography. 1982;231(1):41-51.
62. Bouloux P, Perrett D, Besser GM. Methodological considerations in
the determination of plasma catecholamines by high-performance
liquid chromatography with electrochemical detection. Ann Clin
Biochem. 1985;22:194-203.
63. Rohlfing CL, Wiedmeyer HM, Little RR, England JD, Tennill A,
Goldstein DE. Defining the relationship between plasma glucose and
HbA1c. Diabetes Care. 2002;25:275-78.
64. Matthews DR, Hosker JP, Rudenski AS, Naylor BA, Treacher DF,
Turner RC. Homeostasis model assessment: insulin resistance and
β-cell function from fasting plasma glucose and insulin concentration
in man. Diabetologia. 1985;28:412-19.
65. Davi G, Catalano I, Averna M, Notarbartolo A, Strano A, Ciabattoni G,
Patrotono C. Thromboxane biosynthesis and platelet function in type
II diabetes mellitus. N Engl J Med. 1990;322:1769-74.
Referências
76
66. Heywood DM, Mansfield MW, Grant PJ. Factor VII gene
polymorphisms, factor VII: C levels and features of insulin resistance
in non-insulin-dependent diabetes mellitus. Thromb Haemost.
1996;75: 401-6.
67. Colwell J. Pathogenesis of vascular disease. Diabetes, Obesity and
Metabolism. 2000;2:S19-S24.
68. Beckman JA, Creager MA, Libby P. Diabetes and atherosclerosis:
epidemiology, pathophysiology and management. JAMA.
2002;87:2570-81.
69. Grant PJ. The genetics of atherothrombotic disorders: a clinician’s
view. J Thromb Haemost. 2003;1:1381-90.
70. Berry C, Tardif J-C, Bourassa MG. Coronary heart disease in patients
with diabetes. J Am Coll Cardiol. 2007;49:631-42.
71. Frank S, Soler NG. Value of glycosylated hemoglobin measurements
after acute myocardial infarction. JAMA. 1981;15:1690-3.
72. Husband DJ, Alberti KG, Julian DG. “Stress” hyperglycaemia during
acute myocardial infarction: indicator of pre-existing diabetes?
Lancet.1983;2:179-81.
73. Madsen JK, Haunsoe S, Helquist S, Hommel E, Malthe I, Pedersen
NT, et al. Prevalence of hyperglycaemia and undiagnosed diabetes
mellitus in patients with acute myocardial infarction. Acta Med Scand.
1986;220:329-32.
74. Urberg M, Fleming P, Rajdev K. Glycosylated hemoglobin in acute
myocardial infarction. J Fam Pract. 1990;30:215-6.
Referências
77
75. Jermendy C, Szelenyi J, Davidovits Z, Sebo J, Bodonui A. Study of
the origin of hyperglycemia in acute myocardial infarct. Orv Hetil.
1992;133:3247-51.
76. Chowdhury TA, Lasker SS. Elevated glycated haemoglobin in non-
diabetic patients is associated with na increased mortality in
myocardial infarction. Postgrad Med J. 1998;74:480-1.
77. Tenerz A, Lonnberg I, Berne C, Nilsson G, Leppert J. Myocardial
infarction and prevalence of diabetes mellitus. Eur Heart J.
2001;22:1102-10.
78. Norhammar A, Tenerz A, Nilsson G, Hamsten A, Efendic S Rydén L,
Malmberg K. Glucose metabolism in patients with myocardial
infarction and no previous diagnosis of diabetes mellitus: a
prospective study. Lancet. 2002;359:2140-4.
79. Tenerz A, Nilsson G, Forbeg R, Ohrvik J, Malmberg K, Berne C,
Leppert J. Basal glucometabolic status has an impact on long-term
prognosis following na acute myocardial infarction in non-diabetic
patients. J Intern Med. 2003;254:494-503.
80. Hadjadj S, Coisnet D, Mauco G, Ragot S, Duengler F, Sosner P, et
al. Prognostic value of admission plasma glucose and HbA1c in acute
myocardial infarction. Diabet Med. 2004;21:305-10.
81. Bartnik M, Malmberg K, Hamsten A, Efendic S, Norhammar A,
Silveira A, et al. Abnormal glucose tolerance – a common risk factor
in patients with acute myocardial infarction in comparison with
population-based control. J Intern Med. 2004;256:288-97.
Referências
78
82. Petursson P, Herlitz J, Caidahl K, From-Attebring M, Sjoland H,
Gudbjornsdottir S, et al. Association between glycometabolic status in
the acute phase and 21/2 years after an acute coronary syndrome.
Scand Cardiovasc J. 2006;40:145-51.
83. Ishihara M, Inoue I, Kawagoe T, Shimatani Y, Kurisu S, Hata T, et al.
Is admission hyperglycaemia in non-diabetic patients with acute
myocardial infarction a surrogate for previously undiagnosed
abnormal glucose tolerance? Eur Heart J. 2006;27:2413-19.
84. Rasoul S, Ottervanger JP, Bilo HJG, Timmer JR, van’t Hof AWJ,
Dambrink LD, et al. Glucose dysregulation in nondiabetic patients
with ST-elevation myocardial infarction: acute and chronic glucose
dysregulation in STEMI. The Neth J Med. 2007;65:95-100.
85. Gustafsson I, Kistorp CN, James MK, Faber JO, Dickstein K,
Hildebrandt PR. Unrecognized glycometabolic disturbance as
measured by hemoglobin A1c is associated with a poor outcome after
acute myocardial infarction. Am Heart J. 2007;154:470-6.
86. Nishio K, Shigemitsu M, Kusuyama T, Fudui T, Kawamura KI, Itoh S,
Konno N, Katagiri T.Insulin resistance in nondiabetic patients with
acute myocardial infarction. CRM. 2006;7:54-60.
87. Tenerz A, Norhammar A, Silveira A, Hamsten A, Nilsson G, Rydén L,
Malmberg K. Diabetes, insulin resistance and the metabolic
syndrome in patients with acute myocardial infarction without
previously known diabetes. Diabetes Care. 2003;26:2770-76.
Referências
79
88. Choi KM, Lee KW, Kim SG, Kim NH, Park CG, Seo HS, et al.
Inflammation, insulin resistance, and glucose intolerance in acute
myocardial infarction patients without a previous diagnosis of
diabetes mellitus. J Clin Endocrinol Metab. 2005;90:175-80.
89. Dole VP, Meinertz H. Microdetermination of long-chain fatty acids in
plasma and tissue. J Biol Chem. 1960;235:2595-9.
90. Opie LH. Metabolism of free fatty acids, glucose and catecholamines
in acute myocardial infarction. Relation to myocardial ischemia and
infarct size. Am J Cardiol. 1975;36:938-53.
91. Opie LH. Sympathetic stimulation of ischemic myocardium: role of
plasma free fatty acids and potassium. J cardiovasc Pharmacol.
1988;12:S31-8.
92. Nakata T, Hashimoto A, Hase M, Tsuchihashi K, Shimamoto K.
Human heart-type fatty acid-binding protein as an early diagnostic
and prognosis marker in acute coronary syndrome. Cardiology.
2003;99:96-104.
93. Azzazy HME, Pelsers MMAL, Christenson RH. Unbound free fatty
acids and heart-type fatty acid-binding protein: diagnostic assays and
clinical applications. Clin Chem. 2006;52:19-29.
94. Dandona P, Chaudhuri A, Ghanim H, Mohanty P. Proinflammatory
effects of glucose and anti-inflammatory effect of insulin: relevance to
cardiovascular disease. Am J Cardiol. 2007; 99:15b-26b.
95. Zarich SW, Nesto RW. Implications and treatment of acute
hyperglycemia in the setting of acute myocardial infarction.
Circulation. 2007;115:e436-e439.
Referências
80
96. Tsigos C, Chrousos GP. Hypothalamic-pituitary-adrenal axis,
neuroendocrine factors and stress. J Psychossom Res. 2002;53:865-
71.
97. Rosmond R. Stress induced disturbances of HPA axis: a pathway to
type 2 diabetes? Med Sci Monit. 2003;9:RA35-39.
98. O’Sullivan JJ, Conroy RM, Robinson K, Hickey N, Mulcahy R. In-
hospital prognosis of patients with fasting hyperglycemia after first
myocardial infarction. Diabetes Care. 1991;14:758-60.
99. Stranders I, Diamant M, van Gelder R, Spruijt H, Twisk JWR, Heine
RJ, Visser FC. Admission blood glucose level as risk indicator of
death after myocardial infarction in patients with and without diabetes
mellitus. Arch Intern Med. 2004;164:982-88.
100. Li L, Guo YH, Gao W, Guo LJ. The prognostic value of admission
blood glycose level in acute myocardial infarction after primary
percutaneous coronary intervention. Zhonghua Nei Ke Za Zhi.
2007;45:25-9.
101. Rosenson RS. Myocardial injury: the acute phase response and
lipoprotein metabolism. J Am Coll Cardiol. 1993;22:933-40.
102. Fresco C, Maggioni AP, Signorini S, Merlini PA, Mocarelli P, Fabbri
G, et al (LATIN Investigators). Variations in lipoprotein levels after
myocardial infarction and unstable angina: the LATIN trial. Ital Heart
J. 2002;3:587-92.
103. Klein S, Peters EJ, Shangraw RE, Wolfe RR. Lipolytic response to
metabolic stress in critically ill patients. Crit Care Med. 1991;19:776-
9.
Referências
81
104. Lindsay RS, Resnick HE, Zhu J, Tun ML, Howard BV, Zhang Y, Yeh
J, Best LG. Adiponectin and coronary heart disease: the Strong Heart
Sutdy. Arterioscler Thromb Vasc Biol. 2005;25: e15-e16.
105. Sattar N, Goya W, Sarwar N, Tchernova J, Cherry L, Wallace AM, et
al. Adiponectin and coronary heart disease. A prospective study and
meta-analysis. Circulation. 2006;114:623-29.
106. Cavusoglu E, Ruwende C, Chopra V, Yanamadala S, Eng C, Clark
LT, Pinsky DJ, Marmur JD. Adiponectin is a independent predictor of
all-cause mortality, cardiac mortality, and myocardial infarction in
patients presenting with chest pain. Eur Heart J. 2006;25:2300-09.
107. Ryan M, Owens D, Kilbride B, Collins P, Johnson A, Tomkin GH.
QJM. 1998;91:411-5.
108. Tsimikas S, Bergmark C, Beyer RW, Patel R, Pattison J, Miller E, et
al. Temporal increases in plasma markers of oxidized low-density
lipoprotein strongly reflect the presence of acute coronary
syndromes. J Am Coll Cardiol. 2003;41:360-70.
Apêndices
Apêndices
Apêndices
Apêndices
Apêndices
HOSPITAL DAS CLÍNICAS
DA
FACULDADE DE MEDICINA DA UNIVERSIDADE DE SÃO PAULO
TERMO DE CONSENTIMENTO LIVRE E ESCLARECIDO
(Instruções para preenchimento no verso)
_______________________________________________________________
I - DADOS DE IDENTIFICAÇÃO DO SUJEITO DA PESQUISA OU RESPONSÁVEL LEGAL
1. NOME DO PACIENTE .:.............................................................. ...........................................................
DOCUMENTO DE IDENTIDADE Nº : ........................................ SEXO : .M
F
DATA NASCIMENTO: ......../......../......
ENDEREÇO ........................................................................... Nº ................. APTO: ..................
BAIRRO: ............................................................... CIDADE ......................................................
CEP:......................................... TELEFONE: DDD (............) .....................................................
2.RESPONSÁVEL LEGAL .............................................................................................................
NATUREZA (grau de parentesco, tutor, curador etc.) ................................................................
DOCUMENTO DE IDENTIDADE :....................................SEXO: M
F
DATA NASCIMENTO.: ....../......./......
ENDEREÇO: .............................................................................. Nº ................... APTO: .............................
BAIRRO: .......................................................................... CIDADE: ............................................................
CEP: .............................................. TELEFONE: DDD (............).................................................................
____________________________________________________________________________________
II - DADOS SOBRE A PESQUISA CIENTÍFICA
1.
TÍTULO DO PROTOCOLO DE PESQUISA : HIPERGLICEMIA NO INFARTO AGUDO DO
MIOCÁRDIO: MECANISMOS FISIOPATOLÓGICOS E IMPLICAÇÕES
PROGNÓSTICAS.
PESQUISADOR: Dra. Renata Teixeira Ladeira
CARGO/FUNÇÃO: Estagiaria .. INSCRIÇÃO CONSELHO REGIONAL Nº 93268
UNIDADE DO HCFMUSP: Unidade ClÍnica de Coronariopatias Agudas (UCCA) – InCor-HCFMUSP
3. AVALIAÇÃO DO RISCO DA PESQUISA:
SEM RISCO
RISCO MÍNIMO X RISCO MÉDIO
RISCO BAIXO RISCO MAIOR
(probabilidade de que o indivíduo sofra algum dano como consequência imediata ou tardia do estudo)
4.DURAÇÃO DA PESQUISA : 2 anos
____________________________________________________________________________________
Apêndices
III - REGISTRO DAS EXPLICAÇÕES DO PESQUISADOR AO PACIENTE OU SEU
REPRESENTANTE LEGAL SOBRE A PESQUISA, CONSIGNANDO:
1. justificativa e os objetivos da pesquisa : você está sendo convidado a
participar desta pesquisa por estar sofrendo um ataque cardíaco (infarto
agudo do miocardio). Observou-se que alguns pacientes, durante o estresse
do infarto, desenvolvem hiperglicemia (presença de açucar alto no sangue).
Porém, não está bem estabelecido se a hiperglicemia é apenas
consequência do estresse do infarto ou se poderá acarretar prejuízo para
recuperação do paciente. Desta forma se faz necessário um estudo mais
aprofundado para avaliar as causas e os resultados desta hiperglicemia
durante o estresse do infarto.
Caso você não deseje participar deste estudo, seu tratamento não será
prejudicado.
2. procedimentos que serão utilizados e propósitos: se você der o seu
consentimento para participar deste estudo, um pouco do seu sangue
(aproximadamente 10 colheres das de sopa) serão retirados através de uma
punção da veia do seu braço, e também uma amostra de urina
(aproximadamente 4 colheres das de sopa) para realização de exames
específicos para este estudo. Os exames de sangue e o de urina serão
realizados na sua entrada no estudo (visita inicial), e novamente três meses
após a primeira coleta (visita de segmento)
Todas as informações coletadas durante o estudo serão mantidas de forma
confidencial, o que permitirá que a sua identidade não seja revelada. Os
resultados não serão analisados individualmente, e você não receberá os
resultados destes testes. Todos os dados ficarão anotados em seu
prontuário na instituição.
3. desconfortos e riscos esperados: as coletas de sangue poderão
ocasionar temporariamente, no local da punção da veia, sangramento,
formação de hematoma (mancha roxa), flebite (inflamação da veia no local
da punção).
4. benefícios que poderão ser obtidos: embora as análises das amostras
de sangue possam não beneficiá-lo diretemente, os resultados poderão
futuramente ajudar pacientes com doenças similares à que você apresenta,
seus parentes e público em geral. Se você optar por não dar o seu
consentimento para a coleta e acompanhamento das consultas iniciais e de
três meses, esta decisão não afetará ou prejudicará seus cuidados médicos.
5. procedimentos alternativos que possam ser vantajosos para o
indivíduo: por tratar-se um estudo onde serão coletadas apenas amostras
de sangue e urina, não existe tratamento alternativo.
Apêndices
____________________________________________________________________________________
IV - ESCLARECIMENTOS DADOS PELO PESQUISADOR SOBRE GARANTIAS DO
SUJEITO DA PESQUISA:
1. Você terá acesso, a qualquer tempo, às informações sobre procedimentos, riscos e
benefícios relacionados à pesquisa, inclusive para esclarecer eventuais dúvidas.
2. Você terá liberdade de retirar seu consentimento a qualquer momento e de deixar de
participar do estudo, sem que isto traga prejuízo à continuidade de seu tratamento.
3. Será salvaguarda da confidencialidade, sigilo e privacidade de todos os seus exames.
4. Você terá disponibilidade de assistência no HCFMUSP, por eventuais danos à saúde,
decorrentes da pesquisa.
____________________________________________________________________________
V. INFORMAÇÕES DE NOMES, ENDEREÇOS E TELEFONES DOS RESPONSÁVEIS PELO
ACOMPANHAMENTO DA PESQUISA, PARA CONTATO EM CASO DE
INTERCORRÊNCIAS CLÍNICAS E REAÇÕES ADVERSAS.
Se você tiver alguma dúvida ou algum problema relacionado ao estudo, deverá entrar em
contato com os médicos responsáveis: Dra. Renata Teixeira Ladeira e também Prof. Dr.
José Carlos Nicolau no Instituto do Coração HC-FMUSP - Av. Dr. Eneas de Cravalho
Aguiar 44, 2°andar, sala 12 - Fone 3069- 5382 ou 3069- 5058.
VI.
OBSERVAÇÕES COMPLEMENTARES:
Sua participação neste estudo é voluntária. Você é livre para não aceitar participar deste
estudo, sem que haja qualquer alteração na qualidade de seus cuidados médicos ou perda de
benefícios aos quais você tenha direito neste hospital. Você também tem o direito de retirar seu
consentimento a qualquer momento durante o andamento do estudo sem afetar a qualidade ou
os benefícios aos quais você tem direito.
VII - CONSENTIMENTO PÓS-ESCLARECIDO
Declaro que, após ter sido esclarecido pelo médico pesquisador e ter entendido o que me foi
explicado, consinto em participar do presente Protocolo de estudo.
______________________________________
Nome do Paciente
__________________________________________ _________________
Assinatura do sujeito da pesquisa ou responsável legal Data
____________________________________________
Nome do pesquisador
___________________________________________ ________________
Assinatura do pesquisador
Data
Apêndices
Apêndices
Apêndices
Apêndices
Livros Grátis
( http://www.livrosgratis.com.br )
Milhares de Livros para Download:
Baixar livros de Administração
Baixar livros de Agronomia
Baixar livros de Arquitetura
Baixar livros de Artes
Baixar livros de Astronomia
Baixar livros de Biologia Geral
Baixar livros de Ciência da Computação
Baixar livros de Ciência da Informação
Baixar livros de Ciência Política
Baixar livros de Ciências da Saúde
Baixar livros de Comunicação
Baixar livros do Conselho Nacional de Educação - CNE
Baixar livros de Defesa civil
Baixar livros de Direito
Baixar livros de Direitos humanos
Baixar livros de Economia
Baixar livros de Economia Doméstica
Baixar livros de Educação
Baixar livros de Educação - Trânsito
Baixar livros de Educação Física
Baixar livros de Engenharia Aeroespacial
Baixar livros de Farmácia
Baixar livros de Filosofia
Baixar livros de Física
Baixar livros de Geociências
Baixar livros de Geografia
Baixar livros de História
Baixar livros de Línguas
Baixar livros de Literatura
Baixar livros de Literatura de Cordel
Baixar livros de Literatura Infantil
Baixar livros de Matemática
Baixar livros de Medicina
Baixar livros de Medicina Veterinária
Baixar livros de Meio Ambiente
Baixar livros de Meteorologia
Baixar Monografias e TCC
Baixar livros Multidisciplinar
Baixar livros de Música
Baixar livros de Psicologia
Baixar livros de Química
Baixar livros de Saúde Coletiva
Baixar livros de Serviço Social
Baixar livros de Sociologia
Baixar livros de Teologia
Baixar livros de Trabalho
Baixar livros de Turismo