Download PDF
ads:
FORMAS DE PLANTIO DE MUDAS DE CANA-DE-AÇÚCAR NO
SISTEMA MEIOSI
PEDRO GONÇALVES FERNANDES
UNIVERSIDADE ESTADUAL DO NORTE FLUMINENSE DARCY
RIBEIRO UENF
CAMPOS DOS GOYTACAZES RJ
FEVEREIRO - 2009
ads:
Livros Grátis
http://www.livrosgratis.com.br
Milhares de livros grátis para download.
FORMAS DE PLANTIO DE MUDAS DE CANA-DE-AÇÚCAR NO
SISTEMA MEIOSI
PEDRO GONÇALVES FERNANDES
Tese apresentada ao Centro de Ciências e
Tecnologias Agropecuárias da Universidade
Estadual do Norte Fluminense Darcy Ribeiro,
como parte das exigências para obtenção do
título de Mestre em Produção Vegetal
Orientador: Prof. Fábio Cunha Coelho
CAMPOS DOS GOYTACAZES RJ
FEVEREIRO 2009
ads:
FORMAS DE PLANTIO DE MUDAS DE CANA-DE-AÇÚCAR NO
SISTEMA MEIOSI
PEDRO GONÇALVES FERNANDES
Tese apresentada ao Centro de Ciências e
Tecnologias Agropecuárias da Universidade
Estadual do Norte Fluminense Darcy Ribeiro,
como parte das exigências para obtenção do
título de Mestre em Produção Vegetal
Aprovada em 13 de fevereiro de 2009
Comissão Examinadora:
Carlos Frederico de Menezes Veiga (D. Sc., Produção Vegetal) UFRRJ
Prof. Henrique Duarte Vieira (D. Sc., Produção Vegetal) UENF
Prof. Geraldo de Amaral Gravina (D. Sc., Fitotecnia) UENF
Prof. Fábio Cunha Coelho (D. Sc., Fitotecnia) UENF
Orientador
ii
Aos meus pais Octávio e Lúcia
Aos meus irmãos Davi e Sara
Dedico.
iii
AGRADECIMENTOS
A DEUS.
Aos meus pais Octávio Costa Fernandes e Lúcia Helena M. G. Fernandes, pelo
incentivo, pela educação e amor.
A minha namorada Annamanuella Gomes Cardoso, pelo amor, apoio,
compreensão e companheirismo.
À Universidade Estadual do Norte Fluminense Darcy Ribeiro, ao Centro de
Ciências e Tecnologias Agropecuárias, pela oportunidade de realizar o curso.
À CAPES, pela concessão da bolsa de estudo e a oportunidade de desenvolver
este trabalho.
Ao Professor Orientador Fábio Cunha Coelho, pela amizade e paciência para
passar conselhos e experiências ao longo do curso, a fim do melhor resultado
para este trabalho.
Ao Luis Eduardo Crespo, pela amizade, confiança, apoio e conselhos valiosos
para o desenvolvimento deste trabalho.
Ao professor Geraldo Gravina pela grande contribuição nos procedimentos
estatísticos.
Ao professor Henrique Duarte Vieira pelo aconselhamento, pelas críticas e
valiosas sugestões na defesa de projeto de tese.
Ao professor Ricardo Garcia pela amizade e sugestões.
Ao pesquisador da UFRRJ Campus Dr. Leonel Miranda, Carlos Frederico
Menezes Veiga, pela amizade e experiência passada no período do curso.
iv
Aos professores das disciplinas cursadas, pela dedicação no ensino das matérias.
Ao Engenheiro Agrônomo Willy Pedro Vasconcellos Prellwitz, gerente da Fazenda
Abadia Grupo Queiroz Galvão –, pela amizade e companheirismo, pelo
empréstimo da área na fazenda, tratores e implementos agrícolas e por todo
apoio e confiança dados desde o início do experimento, ajudando financeiramente
e sempre dando grande importância ao desenvolvimento deste trabalho.
Aos funcionários da Fazenda Abadia João Batista, Amaro Viana, Marcelo e
Salvador (Dodô), pela importante contribuição nas operações de instalação e
condução do experimento.
À Associação Fluminense dos Plantadores de Cana (Asflucan) e a Cooperativa
Mista dos Produtores Rurais Fluminense (Cooplanta), pelo suporte financeiro
dado a este trabalho.
Aos funcionários da Asflucan e amigos Luis Marcos, Geraldinho, Herval, Elias,
Mizael e Maneco, pela contribuição em muitas das etapas para que este trabalho
fosse concretizado.
À Usina COAGRO, pelo auxílio dado durante as realizações da análise
tecnológica da cana-de-açúcar.
A todos aqueles que, de alguma forma, contribuíram na ajuda e apoio ao longo da
elaboração deste trabalho.
v
SUMÁRIO
RESUMO ............................................................................................................. VII
ABSTRACT .......................................................................................................... IX
1. INTRODUÇÃO ................................................................................................. 1
2. REVISÃO DE LITERATURA ........................................................................... 4
2.1. Aspectos gerais e perspectivas da cultura da cana-de-açúcar .......... 4
2.2. O Sistema MEIOSI de produção de cana-de-açúcar ............................ 8
2.3. Plantio .................................................................................................... 10
2.3.1. Plantio com cana picada x cana inteira ....................................... 11
3. MATERIAL E MÉTODOS .............................................................................. 18
3.1. Características da área experimental .................................................. 18
3.2. Tratamentos e delineamento experimental ........................................ 20
3.3. Instalação e condução do experimento .............................................. 21
3.4. Característica da variedade utilizada .................................................. 23
3.5. Características avaliadas ..................................................................... 23
3.5.1. Porcentagem de brotação ............................................................. 23
3.5.2. Arqueamento de mudas ................................................................ 23
3.5.3. Porcentagem e tamanho médio de falhas ................................... 23
3.5.4. Número de perfilhos ...................................................................... 24
3.5.5. Comprimento de colmos ............................................................... 24
3.5.6. Diâmetro de colmos ...................................................................... 24
3.5.7. Produtividade de colmos (Mg ha
-1
) .............................................. 25
3.5.8. Peso médio de colmo .................................................................... 25
3.5.9. Características químico-tecnológicas da cana-de-açúcar ......... 25
3.5.10. Açúcar teórico recuperável (kg Mg
-1
) ........................................... 25
3.5.11. Álcool anidro e hidratado teórico (L Mg
-1
) ................................... 26
3.6. Análise Estatística ............................................................................. 26
4. RESULTADOS E DISCUSSÃO ..................................................................... 28
4.1. Porcentagem de brotação .................................................................... 28
vi
4.2. Arqueamento de mudas ....................................................................... 31
4.3. Porcentagem e tamanho médio de falhas .......................................... 32
4.4. Número de perfilhos ............................................................................. 33
4.5. Peso, diâmetro e comprimento de colmos ......................................... 38
4.6. Brix, fibra da cana e pureza do caldo .................................................. 39
4.7. Produtividade de colmos (Mg ha
-1
), pol da cana (PC) e tonelada de
pol por hectare (TPH) ...................................................................................... 41
4.8. Açúcar total recuperável (ATR), tonelada de açúcar por hectare
(TAH), açúcar redutor (AR), álcool hidratado e álcool anidro ..................... 43
5. RESUMO E CONCLUSÕES .......................................................................... 46
6. RECOMENDAÇÕES ..................................................................................... 48
REFERÊNCIAS BIBLIOGRÁFICAS ..................................................................... 49
APÊNDICE............................................................................................................ 55
vii
RESUMO
FERNANDES, Pedro Gonçalves, Engenheiro Agrônomo, M. Sc., Universidade
Estadual do Norte Fluminense Darcy Ribeiro, fevereiro de 2009. Formas de
plantio de mudas de cana-de-açúcar no sistema MEIOSI. Professor Orientador:
Fábio Cunha Coelho.
Com o objetivo de avaliar a melhor forma de plantio e densidade de
gemas, utilizando mudas com seis meses de idade proveniente do sistema
MEIOSI, foi conduzido um experimento a campo na Fazenda Abadia em Campos
dos Goytacazes - RJ. Utilizou-se o arranjo fatorial 4x2 (formas de plantio x
número de gemas por metro de sulco) em delineamento em blocos ao acaso com
quatro repetições. As formas de plantio foram: (I) colmo inteiro com palha e com
ponta; (II) colmo inteiro com palha e sem ponta; (III) colmo inteiro sem palha e
sem ponta; (IV) colmo picado sem palha e sem ponta (convencional), utilizando
15 e 20 gemas por metro de sulco. A forma de plantio convencional (IV)
apresentou maior porcentagem de brotação seguido da forma de plantio (III)
colmo inteiro sem palha e sem ponta. A palha foi definitiva para a baixa
porcentagem de brotação nas formas de plantio I e II. O arqueamento de mudas
de modo geral foi baixo, com destaque para a forma de plantio I onde não ocorreu
o fenômeno. A menor porcentagem de falhas obtida foi para o plantio
convencional (IV) seguida da forma de plantio III colmo inteiro sem palha e sem
ponta. O peso e comprimento de colmos não apresentaram diferenças
significativas para as formas de plantio estudadas. Os tratamentos utilizados não
interferiram nas variáveis tecnológicas. A forma de plantio (I) colmo inteiro com
viii
palha e com ponta proporciona maior economia de mão-de-obra no plantio e não
diferiu das outras em relação às variáveis produtivas, assim é a forma
recomendada entre as quatro estudadas. A densidade de 15 gemas m
-1
utilizando
a forma de plantio recomendada foi suficiente para excelente formação de
canaviais.
ix
ABSTRACT
FERNANDES, Pedro Gonçalves, Agronomist Engineer, M. Sc., Universidade
Estadual do Norte Fluminense Darcy Ribeiro, Fevereiro 2009. Forms of plantation
of sugarcane seed in the system MEIOSI. Adviser: Fábio Cunha Coelho.
With the objective of evaluate to better form of plantation and density of buds,
utilizing sugarcane seeds with six months of age originating from the system
MEIOSI, was driven an experiment to field in the Fazenda Abadia in Campos dos
Goytacazes - RJ. It utilized itself the arrangement fatorial 4x2 (forms of plantation
x number of buds by meter of furrow). The forms of plantation were: (I) stalk
entire with straw and with tip; (II) stalk entire with straw and without tip; (III)
stalk entire without straw and without tip; (IV) stalk stung without straw and
without tip (conventional plantation), utilizing itself 15 and 20 buds by meter of
furrow. The form of conventional plantation (IV) presented bigger percentage of
sprout followed by the form of plantation (III) stalk entire without straw and
without tip. The straw was definite for the decrease percentage of sprout in the
forms of I plantation and II. The hoist of sugarcane seeds in general was very low,
with highlight for the form of conventional plantation (IV) where did not occur the
phenomenon. The smaller percentage of fails obtained was for the conventional
plantation (IV) followed by the form of plantation III – stalk entire without straw and
without tip. The weight and length of stalks did not present significant differences
for the forms of plantation studied. The treatments utilized did not interfere in the
technological variables. The forms of plantation (I) stalk entire with straw and
x
with tip provides bigger economy of labor in the plantation and did not differ of the
other regarding the productive variables, like this is the form recommended
between the four studied. The density of 15 buds m
-1
utilizing the forms of
plantation recommended is sufficient for excellent formation of cane fields.
1
1. INTRODUÇÃO
A estimativa da produção brasileira de cana-de-açúcar na safra de
2008/2009 destinada ao setor sucroalcooleiro e a outros fins será de 710,28
milhões de toneladas, superior à safra passada em 27% (ou seja, mais 150,85
milhões de toneladas). Desse total, a indústria sucroalcooleira esmagará 78,66 %
(558,70 milhões de toneladas) e o restante 21,34% (151,56 milhões de
toneladas) será destinado à fabricação de cachaça, à alimentação animal, à
sementes (cana-planta) e a outros fins (Conab, 2008a).
A área ocupada atualmente no Brasil com essa cultura é de 8,98 milhões
de hectares, superior em 26,9% (1,90 milhões de hectares) à da safra anterior
(Conab, 2008a). A cana-de-açúcar vem crescendo, basicamente, nas áreas antes
ocupadas com pastagem. No Estado do Rio de Janeiro, essa cultura ocupa uma
área de aproximadamente 140 mil ha, sendo que, 119 mil ha pertencem à Região
Norte Fluminense, onde se concentra o maior número de indústrias. Apesar da
extensa área cultivada, a produtividade média da região é uma das mais baixas
do Brasil com 57 Mg ha
-1
, sendo esta, inferior em 30% sobre a média nacional
estimada para safra 2008/2009 em 81 Mg ha
-1
de cana-de-açúcar (Conab, 2008a;
Veiga et. al., 2006).
Essa produtividade muito abaixo da média pode ser atribuída à carência
de recursos materiais, principalmente máquinas e implementos agrícolas, tanto
por parte da maioria dos fornecedores como em algumas usinas, e também aos
recursos humanos e financeiros limitados, o que constitui séria restrição à adoção
2
de tecnologia. O Estado de São Paulo, por exemplo, produz 58,3% da produção
destinada a indústria, com produtividade média de 84 Mg ha
-1
, ou seja, 47%
superior à média do Rio de Janeiro (Conab, 2008a). Esses resultados estão
ligados diretamente aos fortes investimentos em pesquisa e tecnologia, melhores
solos, áreas mecanizáveis e precipitações regulares.
O manejo do solo visando sua reestruturação em detrimento de métodos
convencionais direciona boa parte das pesquisas atuais com a cultura da cana-
de-açúcar. Buscam-se alternativas que reduzam os custos de produção focada na
agricultura sustentável, onde o plantio direto é o grande suporte para que esses
resultados aconteçam. Com o plantio direto, maximiza-se a eficiência na utilização
de insumos (fertilizantes e combustíveis), pois a palhada formada na superfície do
solo aumenta o teor de matéria orgânica que confere maior atividade microbiana,
a retenção de umidade, a agregação do solo, a CTC, o potencial produtivo e,
consequentemente, alcançando-se a sustentabilidade da área agrícola (Peixoto et
al., 1997).
Na cultura da cana-de-açúcar a área deve ser renovada em média a cada
cinco anos, envolvendo alto custo para sua implantação. O sistema MEIOSI
(Método Interrotacional Ocorrendo Simultaneamente) de produção é uma
tecnologia que facilita a adoção do plantio direto, pela opção de introduzir uma
cultura em rotação nas áreas de reforma, com a finalidade de reduzir custos de
produção. Esse sistema consiste no plantio de cana de ano e meio, com o início
de uma parte do plantio em setembro/outubro, na proporção de 3:10 (plantio de
três linhas e espaço sem cana equivalente a dez linhas opção para cultura em
rotação), com o objetivo de produzir muda suficiente na própria área em reforma
para o plantio da área total em março/abril.
No ano agrícola de 2006/2007, alguns fornecedores de cana-de-açúcar
do município de Campos dos Goytacazes, em parceria com a ASFLUCAN
(Associação Fluminense dos Plantadores de Cana) e a UENF (Universidade
Estadual do Norte Fluminense Darcy Ribeiro), utilizaram o sistema MEIOSI de
produção utilizando o adubo verde Crotalaria juncea em rotação.
De acordo com Landell (1998), por essa muda produzida no sistema ser
bem jovem, em torno de seis meses, portanto com baixa influência da dominância
apical, não é necessário realizar o desponte e a picação. Porém, houve grande
3
resistência por parte dos fornecedores em realizar o plantio direto sobre a C.
juncea sem o desponte e sem a picação.
Pelo exposto, o presente trabalho teve por objetivo avaliar diferentes
métodos de plantio da cana-de-açúcar, utilizando mudas de seis meses de idade
provenientes do sistema MEIOSI.
4
2. REVISÃO DE LITERATURA
2.1. Aspectos gerais e perspectivas da cultura da cana-de-açúcar
A cana-de-açúcar (Saccharum sp.) é uma gramínea, e como a maioria
delas, é uma planta C4. É adaptada às condições de alta intensidade luminosa,
dessa forma responsável por alta taxa fotossintética e de eficiência na utilização e
resgate de CO
2
(gás carbônico) da atmosfera, apresentando maior
desenvolvimento em regiões tropicais.
No mundo, a cana-de-açúcar é cultivada predominantemente em áreas
subtropicais entre 15° e 30° de latitude, mas podendo se estender até 35° de
latitude, tanto norte quanto sul, sendo produzida comercialmente em mais de 70
países. No território brasileiro a importância sócio-econômica da exploração da
cultura canavieira é reconhecida desde os tempos do Brasil colônia (Castro e
Kluge, 2001).
No início da década de 30, mais precisamente em 1933, foi criado, no
Brasil, o Instituto do Açúcar e do Álcool (IAA), cuja função era controlar a
produção para manter os preços em um nível adequado, protegendo o produto
brasileiro no mercado internacional. Foi estabelecido um sistema rígido de cotas,
que eram distribuídas entre as diferentes unidades produtoras, ou seja, cada
usina ou engenho só poderia produzir uma determinada quantidade de açúcar.
Havia um controle do preço e da produção. Assim, o lucro dependeria de custo
reduzido e aumento da produtividade, o que contribuiu para que a produção se
5
concentrasse em grandes usinas, com grande capacidade de produção (Brandão,
1984; Copersucar, 1989; Toledo e Gancho, 1996; Ferlini, 1998; Prado Jr., 1998).
Com a crise energética no início da década de 70, decorrente de conflitos
no oriente médio, o preço do barril de petróleo no mercado internacional disparou,
saindo de um patamar de US$ 2,00, atingindo o teto de US$ 12,00, com isso
houve uma grande mobilização com objetivo de substituir a matriz energética
brasileira essencialmente, até aqui, calcada em combustíveis fósseis não
renováveis. Apesar dessas dificuldades, em 14 de novembro de 1975, o governo
federal, representado nessa fase por Ernesto Geisel, cria o Programa Nacional do
Açúcar e do Álcool (PROÁLCOOL). Esse programa lança linhas de crédito
subsidiado ao setor canavieiro. Assim, a cana-de-açúcar assume um lugar de
destaque na economia nacional com a produção de álcool etílico, sendo
expandida por todos os estados brasileiros, principalmente em São Paulo,
Pernambuco e Alagoas (Castilho, 2000).
Atualmente, passados mais de trinta anos depois do início do
PROÁLCOOL, o Brasil vive uma nova expansão dos canaviais com o objetivo de
oferecer, em grande escala, o combustível alternativo. O plantio avança além das
áreas tradicionais, do interior paulista e do Nordeste, e espalha-se pelos cerrados.
A nova escalada não é um movimento comandado pelo governo, como a ocorrida
no final da década de 70, quando o Brasil encontrou no álcool a solução para
enfrentar o aumento abrupto dos preços do petróleo que importava. A corrida para
ampliar unidades e construir novas usinas é movida por decisões da iniciativa
privada, convicta pela perspectiva positiva na crescente preocupação da
sociedade mundial com o ambiente, em busca de alternativas para a substituição
do uso de combustíveis fósseis não renováveis. Dessa forma, o etanol coloca-se
numa opção cada vez mais importante como combustível, no Brasil e no mundo.
Em 2007, o Brasil alcançou a marca de 4 milhões de veículos equipados
com motores flex fuel, (movidos a álcool, gasolina ou a mistura de ambos)
vendidos desde 2003, quando o mercado começou a disponibilizar essa
tecnologia. As vendas desses veículos já superaram as dos automóveis movidos
à gasolina, e do total dos vendidos no mercado interno em julho de 2007, 88%
eram bicombustível (Anfavea, 2007).
6
A velocidade de aceitação pelos consumidores dos carros bicombustível
foi muito mais rápida do que a indústria automobilística esperava. Hoje a opção já
é oferecida para quase todos os modelos das indústrias.
O atual crescimento e a importância da cultura, tanto em nível nacional
quanto em internacional são evidentes. Atualmente no Brasil, a cana-de-açúcar
ocupa uma área de aproximadamente 8,98 milhões de hectares (Conab, 2008a).
De acordo com a segunda estimativa realizada pela Conab (2008a), a indústria
sucroalcooleira esmagou 558,72 milhões de toneladas de cana-de-açúcar,
transformando em 32,78 milhões de toneladas de açúcar e 27,09 bilhões de litros
de álcool.
O setor sucroalcooleiro nacional também se destaca quando o assunto é
o custo de produção e a eficiência energética do etanol produzido. A
produtividade é a maior do mundo. De cada hectare de cana plantada no país,
produzem-se em média 6.800 litros de álcool. Nos Estados Unidos, hoje o maior
produtor mundial de etanol, o álcool é feito de milho, e cada hectare da cultura
gera 3.200 litros de álcool em média, abaixo da metade do rendimento brasileiro.
O preço da produção nacional é igualmente imbatível, o litro custa cerca de 20
centavos de dólar, ante 47 centavos do álcool de milho americano e 32 centavos
do álcool de cana produzido na Austrália (Datagro, 2007). No Brasil, as indústrias
que fabricam o álcool são movidas pela energia elétrica gerada através da queima
do bagaço de cana, um processo duas vezes mais barato do que o americano,
que depende da energia gerada do carvão, do óleo combustível ou do gás
natural, encarecendo o produto final.
No início de 2007, o presidente dos EUA George W. Bush, em visita ao
Brasil, afirmou que, em dez anos, pretende reverter cerca de 20% da matriz
energética do país, baseada principalmente na gasolina, para o etanol. Mas,
como já se falou anteriormente, a técnica norte americana de produção de álcool
muito defasada em relação à nossa e usando o milho como matéria-prima não
parece ser a mais adequada para atender a demanda em mais de sete vezes de
sua produção atual, até 2017 (Barros, 2007).
Esse maior consumo geraria uma demanda de 132 bilhões de litros de
etanol por ano, que chega a ser pouco menos que o triplo de toda a produção
mundial. Isso abriria espaço para uma importação em massa do etanol produzido
no Brasil, assim como de nossa tecnologia da extração de álcool a partir de cana-
7
de-açúcar, a pioneira e mais avançada do mundo. O maior entrave à exportação
do etanol brasileiro, além dos altos índices de consumo no próprio país, é a
proteção dos países aos seus agricultores, que são incentivados pelos programas
de energia renovável (Barros, 2007).
A supremacia brasileira no mercado de álcool, no entanto, está correndo
sério risco e não deve ser encarada como definitiva. O país tem problemas que
tendem a agravar-se com o tempo. A mais perigosa é a falta de investimentos em
ciência e tecnologia. Assim como o desenvolvimento de novos cultivares de soja
levou a produção de grãos para o cerrado, o desenvolvimento de híbridos
melhorados de cana-de-açúcar, adaptados a regiões mais áridas e,
principalmente, a injeção de investimentos em pesquisas na obtenção do etanol
de celulose, serão fundamentais para abrir novos pólos de produção e elevar a
produtividade. Por outro lado, o etanol de segunda geração - etanol de celulose -
inclui como matéria-prima diferentes tipos de biomassa, como o bagaço de cana-
de-açúcar, palha de milho, resíduos de madeira, trigo, capim, sorgo ou qualquer
vegetal rico em celulose (Melo, 2007).
Ainda que o Brasil tenha acumulado três décadas de experiências e conte
com vantagens a produtividade da cana brasileira (79 Mg ha
-1
) é superior à
média mundial (69 Mg ha
-1
) , ganha a corrida do etanol de segunda geração
quem primeiro descobrir a melhor rota tecnológica para transformar resíduos em
álcool. Nesse sentido os EUA estão em grande vantagem. Em 2008, o governo
americano investiu US$ 1,5 bilhão em pesquisas energéticas, e o etanol de
celulose recebeu US$ 200 milhões. Já no Brasil, a corrida tecnológica está mais
lenta e menos organizada. O Conselho Nacional de Desenvolvimento Científico e
Tecnológico (CNPq) ainda está concluindo o primeiro edital para induzir
pesquisas com etanol de celulose, com orçamento de R$ 22 milhões de reais.
Nos Estados Unidos, seis plantas-piloto já saíram do papel. O orçamento é de
US$ 385 milhões, e a previsão é produzir 863,7 milhões de litros de etanol da
celulose. No Brasil, o Centro de Pesquisa e Desenvolvimento (Cenpes) é o
primeiro projeto oficial. A Petrobras investiu R$ 3 milhões para produzir 102 mil
litros de etanol por ano, feitos a partir do bagaço de cana, com previsão de
produção em escala industrial a partir de 2010 (Melo, 2007).
A falta de infra-estrutura é outra falha importante a ser considerada. A
maior parte do álcool produzido no país deixa a usina em caminhões, um meio de
8
transporte caro que compromete a rentabilidade de áreas no interior do país.
Também falta estrutura nos portos. Parte da solução do problema estaria na
construção de alcooldutos cortando o país. Um projeto da Petrobras prevê a
abertura de um duto que ligaria Goiás à refinaria de Paulínia, em São Paulo,
passando pelas principais regiões produtoras (Petrobrás, 2007).
Além desses dois pontos citados anteriormente, outro ponto que pode
levar ao fracasso, está nas mãos dos usineiros a garantia da produção do
álcool. Pode parecer um item primário na sofisticada agenda do setor de energia,
mas historicamente os usineiros locais reduzem a produção de álcool toda vez
que o preço do açúcar sobe. Caso esse que ocorreu em 2006 quando a saca de
50 kg de açúcar chegou a ser cotada a R$ 59,80. Essa velha artimanha para
aumentar o faturamento da usina no curto prazo tende a minar a confiança dos
consumidores de outros países. O mercado de combustíveis trabalha com
contratos de longo prazo que precisam ser respeitados, não respeitá-los pode ser
fatal para as empresas e para o país (Convênio UFRRJ-FAPUR/Associações dos
Plantadores/Unidades Industriais do Estado do Rio de Janeiro , 2007).
2.2. O Sistema MEIOSI de produção de cana-de-açúcar
O sistema conhecido como MEIOSI (Método Interrotacional Ocorrendo
Simultaneamente) foi desenvolvido pelo Eng. Agr. José Telles de Barcelos, no
início da década de oitenta, na estação experimental do Planalsucar, em
Uberlândia, MG, tendo como objetivo viabilizar a consorciação racional da cana-
de-açúcar com culturas anuais e/ou adubos verdes em área de reforma,
buscando minimizar os custos de produção (Landell, 1998).
O sistema proposto pelo Eng. Agr. José Telles de Barcelos é o plantio de
cana de ano e meio, com o início de uma parte do plantio em setembro/outubro,
numa proporção de 2:8, ou seja, o plantio de duas linhas de cana e um espaço
intercalar equivalente a oito, com o objetivo de produzir, nessas duas linhas,
mudas suficientes na própria área de renovação para o plantio do restante da
área em março/abril. Nesse espaço intercalar, cria-se a possibilidade da
instalação de culturas que tenham ciclo compatível ao do sistema MEIOSI, ou
seja, culturas que possam ser plantadas e colhidas durante o período do
desenvolvimento da muda de cana-de-açúcar. Entretanto, o ideal é que a cultura
a ser escolhida seja uma leguminosa, para dessa forma ser aproveitado todos os
9
benefícios que uma rotação cultural proporciona ao solo. As leguminosas anuais
mais utilizadas são: soja, amendoim e feijão, com destaque para o adubo verde
Crotalaria juncea pela capacidade de produção de grande quantidade de massa
verde em um curto período de tempo. O plantio da área total com cana-de-açúcar
é realizado tomando como referência as duas linhas-base, que serão “quebradas
ou cortadas e espalhadas nos sulcos vizinhos (Landell, 1998).
Entretanto, na Região Norte Fluminense durante o mês de janeiro ou
fevereiro, normalmente ocorre o chamado veranico, que é um período de
aproximadamente um mês que as precipitações são insignificantes e a
evapotranspiração alta, prejudicando bastante o desenvolvimento da cana-de-
açúcar. Pensando nesse problema que normalmente ocorre todos os anos, com
raras exceções, o esquema do sistema foi adaptado para a região de maneira que
a proporção de linhas para a produção de mudas, ao invés de duas, são três e o
espaço intercalar, ao invés de oito, utiliza-se dez linhas. Dessa forma a relação
deixou de ser 1:4 para ser de 1:3,33. Portanto, na prática, uma distribuição
racional e eficiente é a utilização das linhas laterais para plantar cinco em cada
lado, com a segurança de ter a do meio para utilização de um eventual repasse
(Figura 1).
Figura 1. Esquema de distribuição espacial do sistema MEIOSI (3
linhas x 10 linhas).
10
A vantagem quantitativa e econômica na adoção dessa técnica está
relacionada à idade das mudas (seis meses), significando maior vigor, justificando
menor consumo de gemas para implantar um hectare, melhor sanidade e maior
rendimento de corte. O plantio realizado nesse sistema elimina a necessidade do
carregamento e do transporte de mudas, minimizando custos e melhorando a
logística das operações. Assim, a muda é cortada e plantada ao lado, podendo
esta operação ser interrompida a qualquer momento, de modo que a muda para o
restante da área permanecerá em pé. Dessa forma, imprevistos durante o plantio
não comprometerão a integridade da muda durante a renovação e,
consequentemente, ganha-se tempo e qualidade no plantio.
O sistema é utilizado principalmente no Estado de São Paulo. A Usina São
José da Estiva, localizada no município de Novo Horizonte SP, utiliza o sistema
MEIOSI em 35% do seu plantio, principalmente devido à redução de custos.
Segundo o Gerente agrícola da Usina, na safra 2006/2007 o custo por hectare de
reforma utilizando o sistema ficou em torno de R$ 1.534,48 e o convencional, de
R$ 2.692,45, ou seja, uma redução de 43% na implantação de um novo canavial
(Pinto, 2007).
De acordo com Landell (1998), por essa muda ser bem jovem, em torno de
seis meses, portanto com baixa influência da dominância apical, não é necessário
realizar o desponte e a picação.
2.3. Plantio
A cana-de-açúcar é uma cultura semiperene. Sua implantação e condução
revestem-se de grande importância, pois constituem fatores que podem elevar a
vida útil do canavial pelo aumento do número de cortes econômicos.
Um plantio realizado sem planejamento, com preparo de solo inadequado e
muda de qualidade ruim, acarretará em alto índice de falhas e elevada infestação
de ervas daninhas, tendo como consequência a necessidade de renovação
precoce da área.
De modo geral, fica claro que o sistema de plantio da cana-de-açúcar
influenciará no período em que a cultura permanecerá no campo, ou seja, na
longevidade do canavial. Quando se utiliza formas não convencionais de plantio,
com marcações e esquemas diferentes dos tradicionais, como o sistema MEIOSI,
a atenção para as recomendações técnicas deve ser redobrada, desde o
11
momento da instalação do sistema até a forma de plantio final da muda de cana-
de-açúcar, seja utilizando o plantio direto ou não.
2.3.1. Plantio com cana picada x cana inteira
A prática utilizada no plantio convencional da cana-de-açúcar é a
propagação vegetativa de estacas ou toletes, que são pedaços de colmos
contento duas ou três gemas (Figura 2). A partir dessas gemas, desenvolvem-se
os colmos primários, e os mesmos dão origem a colmos secundários de onde
saem os terciários, e assim sucessivamente formando touceiras.
Segundo Plana et al. (1987), a brotação das gemas na cana-de-úcar é
um dos processos que requer maior atenção, pois dele dependerá, em grande
medida, a futura população de plantas no campo. Essa conclusão é confirmada
indiretamente por vários autores, afirmando que o parâmetro que apresenta maior
correlação com a produção é o número de colmos, seguido pela altura, diâmetro
de colmos e densidade (Mariotti, 1971; Cesnik e Vencovsky, 1974; Miller e James,
1974).
Figura 2. Planta de cana-de-açúcar. A. numeração das folhas pelo sistema
Kuijper; B. região nodal (nó) do colmo (Ilustração: Alexandre de S.
Pinto) (Segato et al., 2006).
12
De acordo com estudos realizados por Dillewijn (1952) e Malavolta e
Haag (1964), a secção do colmo é realizada visando garantir boa porcentagem de
brotação, uma vez que toletes com maior número de gemas têm porcentagem de
brotação diminuída em decorrência da dominância apical. Os referidos autores
enfatizaram que assim que ocorre a brotação, esta induz a formação de auxina,
fazendo com que as demais gemas não brotem ou o façam com atraso, o que
resulta numa menor porcentagem de brotação, quando comparada com o uso de
toletes com menor número de gemas.
Arcenaux (1948) na Louisiana, EUA, foi um dos primeiros a testar a
possibilidade de se plantar cana inteira. Lonsdale (1978), na Rodésia, África
Central, juntamente com agricultores locais, testaram o plantio de cana inteira
num esforço de economizar mão-de-obra, obtendo boa brotação inicial. Esse
mesmo autor, comparando plantio de cana inteira com a cana picada, utilizando
uma, três, cinco e sete gemas, concluiu que o plantio da cana inteira obteve
rendimentos semelhantes aos demais tratamentos, embora apresentasse
germinação mais lenta.
Ma (1980), em seu trabalho, enumerou algumas vantagens no uso de
colmos inteiros ao invés de toletes com duas gemas: economia de mão-de-obra;
redução da deficiente “germinação” induzida por alta precipitação e alto nível de
umidade no solo; perfilhamento precoce com benefício para o crescimento da
planta em estágio posterior; aumento no número de colmos industrializáveis;
redução dos custos de plantio.
Em Taiwan, Yang et al. (1981), comparando o plantio de cana inteira com
o tradicional tolete de duas gemas, observaram que não houve diferença
significativa no número de perfilhos, na altura do colmo e na produção de açúcar
por hectare, entre os dois métodos de plantio.
No Brasil os primeiros estudos com plantio de cana inteira começaram a
surgir no ano de 1982, no Instituto do Açúcar e do Álcool (IAA) juntamente com
usinas.
Lee (1984) conduziu experimento em que avaliou a viabilidade do plantio
de cana inteira da variedade NA5679, plantio de cana de ano. Avaliou
comparativamente a brotação, o crescimento e o rendimento de colmos
provenientes de plantio convencional de toletes com três gemas, picadas no sulco
de plantio, com o plantio de cana inteira com e sem pontas e com e sem cartucho
13
foliar, realizado no mês de setembro. Nesse estudo, foram realizadas
observações importantes no que se trata dos aspectos fisiológicos da cana-de-
açúcar.
O autor inicia a discussão correlacionando a influência inibidora que o
ponto de crescimento do colmo exerce sobre as gemas laterais, de forma que,
mantendo-as em estado de dormência (dominância apical), uma gema não se
desenvolverá, sob condições normais, enquanto a gema apical estiver ativa.
Porém, quando a ponta é removida, ou cessa sua atividade normal devido a dano
ou florescimento, as gemas laterais superiores se desenvolvem em brotos, que
por sua vez inibem a germinação das gemas laterais inferiores. De modo que
essas só se desenvolverão caso as superiores sejam removidas.
Esse mesmo fenômeno se verifica em plantio de cana picada em toletes
com duas ou mais gemas, quando plantados horizontalmente, com as gemas
colocadas lateralmente. Nesse caso, as gemas mais jovens da ponta germinam
primeiro, exercendo um efeito inibidor sobre as inferiores, portanto, retardando ou
mesmo impedindo seu desenvolvimento. Isso se deve à maior quantidade de
água contida nas partes mais jovens do colmo, bem como de açúcares redutores
(glicose e frutose), o que afeta de modo decisivo a velocidade de germinação.
Como a idade das gemas aumenta da ponta para base, o plantio de cana
inteira resultará em diferença de idade entre elas, tanto maior quanto mais velha
for a muda da cana. Assim, é comum se observar, quando se planta cana inteira
de maior idade, um número relativamente pequeno de brotos provenientes da
ponta da cana, enquanto que praticamente nenhuma das gemas mais velhas
desenvolvem brotos, o que resulta, no campo, em touceiras entremeadas por
falhas.
Quando uma cana inteira mais jovem é utilizada como muda, a diferença
de idade entre as gemas da ponta e da base é pequena, sendo todas elas
relativamente ricas em água e açúcares redutores. Portanto, todas as gemas dos
colmos podem germinar num curto período, e antes que as gemas mais jovens já
germinadas exerçam seu efeito inibidor, as partes inferiores do colmo podem
germinar também (Lee, 1984).
Dessa forma, os resultados obtidos por Lee (1984) demonstraram que a
brotação e o desenvolvimento da cana de açúcar a partir de mudas de cana
inteira, de sete a oito meses de idade, foram iguais ou melhores do que as mudas
14
com três gemas picadas no sulco, e que os rendimentos de cana-de-açúcar
também foram semelhantes nos dois métodos. A porcentagem de falhas foi maior
nas parcelas de cana inteira (plantadas na razão de 12 gemas por metro linear),
porém sem afetar o rendimento final observado, situando-se as falhas de acordo
com a metodologia proposta por Stolf et al. (1986), entre 8 a 9,6% para canas
inteiras contra 3,4% para o tratamento convencional de três gemas, entretanto,
segundo o autor, esse problema pode ser amenizado aumentando o número de
gemas para 15 ou 20 por metro linear no sulco de plantio. Observou ainda, que o
arqueamento de mudas foi mais numeroso quando se utilizou mudas de cana
inteira, recomendando, entretanto, o plantio de cana inteira com o cartucho foliar,
visando diminuir esse problema. Também verificou que o arqueamento de mudas
não oferece impedimento quando da realização dos posteriores tratos culturais.
Em outros experimentos conduzidos em diversas localidades do Estado
de São Paulo, Lee et al. (1986) confrontaram o plantio convencional de cana
picada com o plantio de cana inteira e recomendaram o seguinte procedimento
para a utilização da cana inteira no plantio: utilizar mudas com 8-10 meses de
idade para cana-planta, e no máximo nove meses caso utilizar-se de cana soca;
não descartar o palmito da muda, mantendo-se todas as bainhas das folhas do
palmito, para evitar-se o levantamento de pontas; plantar as canas com pé e
ponta bem cruzados; evitar a cobertura da cana com muita terra, sendo 5 cm a
quantidade ideal; utilizar variedades que se apresentem eretas quando da coleta
de mudas.
Lee & Silva (1987) conduziram experimento com o objetivo de verificar se
o pré-tratamento de mudas para plantio de cana inteira aumentaria a taxa de
brotação de cana com mais de 11 meses de idade. Foram utilizadas mudas da
variedade NA5679, com 11,5 meses de idade, os colmos foram cortados,
despalhados e despontados e deixados no campo em montes por um período de
um a nove dias. Depois desse período, essas canas e outras recém-cortadas
foram plantadas na densidade de 15 gemas por metro de sulco, utilizando-se
tanto o sistema de plantio de cana inteira como o de toletes com três gemas.
Concluíram os referidos autores que, utilizando-se mudas com mais de 11 meses
de idade para o plantio de cana inteira, em pré-tratamento constituído pelo
repouso das canas no campo, por um período de quatro a seis dias, houve um
aumento na brotação na ordem de 30 a 35%. Entretanto, o repouso muito longo
15
pode resultar em efeito negativo, devido à constante perda de água sofrida pela
cana e a ocorrência de brotação lateral acentuada durante o pré-tratamento.
Brito (1988), estudando o plantio convencional (3-4 gemas/tolete) com
sistemas de meia cana com e sem desponte e cana inteira com e sem desponte,
nas variedades NA5679 e CB453, em plantio feito em março, concluiu que não
foram afetados o rendimento agcola e as características tecnológicas da cana-
de-açúcar, nos sistemas analisados. Também, observou que houve diferenças
significativas para os parâmetros número de colmos colhidos por hectare, peso
médio dos colmos, diâmetro médio dos colmos, arqueamento das mudas e % de
área falhada nos diferentes sistemas de plantio que, entretanto, não influenciaram
a produção de cana por área (Mg ha
-1
) e açúcar por área (Mg açúcar ha
-1
).
Informou com tais observações, ser possível sugerir-se a utilização de colmos
inteiros no plantio da cana-de-açúcar. No mesmo trabalho, o autor observou que a
qualidade de plantio foi considerada excelente, para o sistema convencional, e
média, para os sistemas com meia cana e canas inteiras despontadas ou não.
Para a análise de porcentagem de falhas, observou-se, pela metodologia
proposta por Stolf et al. (1986), que houve falhas ao redor de 2,6% para o sistema
convencional, contra 20 a 31% para os demais sistemas de plantio estudados.
Deve-se considerar que em ambos os trabalhos, utilizaram-se números de gemas
plantadas por metro linear de sulco, inferiores aos plantios comerciais (20 a 25
gemas m
-1
), o que ajudaria a minimizar o fato (Marchiori, 2004).
Quintela (1996), avaliando o plantio convencional e de cana inteira, com e
sem desponte, e a compactação pós-cobertura, em duas variedades de cana-de-
açúcar, concluiu que para as duas variedades estudadas, a porcentagem de
brotação e a velocidade de emergência, foram maiores no plantio de toletes com
três gemas do que no plantio de cana inteira com ou sem desponte. O plantio de
cana inteira, com desponte, proporcionou um maior arqueamento de mudas do
que o plantio de cana inteira sem desponte e o plantio de toletes com três gemas.
Como as características químico-tecnológicas da cana, assim como os
rendimentos de colmos das duas variedades não foram influenciados pelo plantio
de cana inteira com ou sem desponte, e nem pela compactação das mudas pós-
plantio, foi recomendado, pelo autor, realizar o plantio de cana inteira sem
desponte.
16
Observações de importância também foram encontradas em níveis
fitopatológicos em função da prática do seccionamento dos colmos da cana-de-
açúcar. Na Índia, Kanwar et al. (1975) conduziram um ensaio por dois anos, no
qual estudaram o efeito do tamanho de toletes e do tratamento com fungicida,
sobre a germinação e produção de cana-de-açúcar. Os resultados mostraram que
toletes com duas, três, quatro ou cinco gemas deram maior porcentagem de
brotação e perfilhamento que toletes com seis gemas e colmo inteiro, mas as
diferenças na população de colmos e na produção não foram significativas.
Lee et al. (1986), em seu trabalho, concluíram que além de observarem a
facilidade da ação dos agentes patogênicos diminuindo a brotação, identificaram
também grande quantidade de gemas danificadas em função da picação da muda
de cana, sugerindo então aumento de número de gemas por metro para
compensar essa perda. Os referidos autores também notaram que, quando ocorre
período de déficit hídrico, o plantio de cana inteira, em comparação com toletes
de três gemas, apresenta menos falhas e estande final melhor. No caso estudado,
ocorreram 30 dias de seca após o plantio, acrescido de altas temperaturas,
nestas condições, a perda de umidade em toletes de três gemas é bem maior do
que em cana inteira.
Wood (1987), estudando a influência do seccionamento dos colmos,
concluiu que a picação dos colmos no sulco de plantio, além de aumentar o custo
da mão-de-obra, pode afetar a brotação devido à podridão que se instala a partir
das superfícies de corte. Em condições de ambiente quente e úmido, os colmos
seccionados deterioram mais rapidamente que os colmos inteiros.
Gheller (1995), estudando técnicas culturais para o controle da podridão-
abacaxi em cana-de-açúcar, concluiu que a podridão-abacaxi, em condições
climáticas favoráveis à sua ocorrência, infecciona severamente os toletes de
cana-de-açúcar plantados, caso tenham sido seccionados à maneira
convencional (três gemas), diminuindo sua intensidade (%) de infecção à medida
que se aumenta o tamanho do tolete plantado, de valores próximos a 100%
(toletes de três gemas) para valores ao redor de 38% (cana plantada inteira). O
efeito da doença foi maior na cana planta, e os maiores rendimentos agrícolas
ocorreram nos tratamentos com menor número de seccionamentos dos colmos
plantados. Assim, procedendo-se a apenas um seccionamento, ou nenhum, em
17
colmos de no máximo 12 meses de idade, houve, além de ganhos no rendimento
agrícola, melhor qualidade de plantio, comparado ao sistema convencional.
18
3. MATERIAL E MÉTODOS
3.1. Características da área experimental
Foi conduzido um experimento de campo na Fazenda Abadia pertencente
ao Grupo Queiroz Galvão, no município de Campos dos Goytacazes, ao Norte do
Estado do Rio de Janeiro, durante o período de setembro de 2006 a agosto de
2008.
O município de Campos dos Goytacazes está situado a 21°44’ de Latitude
S e 41°14’ de longitude W, com uma altitude média aproximada de 12 m acima do
nível do mar e relevo com declividade suave na maior parte de sua extensão. A
região caracteriza-se por apresentar precipitação média anual de 884,8 mm,
concentrando-se 71% nos meses de outubro a março. O clima da região, segundo
Köppen, é classificado como Aw, do tipo quente úmido. A temperatura média
anual está em torno de 23,1ºC, média das máximas de 29ºC e média das
mínimas em torno de 19ºC (Azevedo et al., 2000).
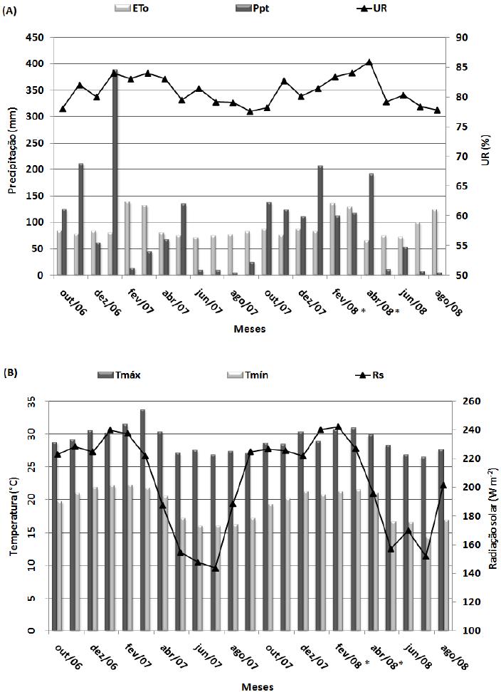
Os dados climatológicos referentes ao período da condução do
experimento estão na Figura 3.
O experimento foi conduzido em solo classificado como Cambissolo Tm
eutrófico argiloso, com moderada drenagem, e textura argilo-siltosa. Foram
coletadas amostras compostas de solo nas profundidades de 0-20 e 20-40 cm,
efetuando-se a análise química e granulométrica (Tabela 1).
19
Figura 3. Dados climáticos durante o período de outubro de 2006 a agosto de
2008. A) Evapotranspiração de referência (ETo), precipitação total (Ppt)
e médias de umidade relativa (UR) e em B) médias de temperatura
máxima (Tmáx), temperatura mínima (Tmín) e radiação solar (Rs).
Fonte: Estação climatológica da UENF/PESAGRO-RJ e Posto
climatológico da UFRRJ/Campus Dr. Leonel Miranda (*).
20
Tabela 1. Resultados da análise química e granulométrica de amostras de solo na
área experimental da Fazenda Abadia em Campos dos Goytacazes
RJ, ano agrícola 2007/08
Análise Química
Profundidade (cm)
20 - 40
pH em H
2
O
5,5
P disponível (mg dm
-3
)
13,0
K
+
trocável (mmol
c
dm
-3
)
0,4
Ca
+2
trocável (mmol
c
dm
-3
)
20,9
Mg
+2
trocável (mmol
c
dm
-3
)
22,5
Al
+3
trocável (mmol
c
dm
-3
)
3,0
H+Al
+3
(mmol
c
dm
-3
)
29,5
Na
+
trocável (mmol
c
dm
-3
)
1,3
S-SO
4
(mg DM
-3
)
15,0
B (mg dm
-3
)
0,51
Cu (mg dm
-3
)
1,16
Fe (mg dm
-3
)
76,90
Mn (mg dm
-3
)
7,33
Zn (mg dm
-3
)
1,00
MO (g dm
-3
)
14,48
C (g dm
-3
)
8,4
SB (mmol
c
dm
-3
)
45,10
t (mmol
c
dm
-3
)
48,1
T (mmol
c
dm
-3
)
74,60
m (%)
6
V (%)
60
Argila (g dm
-3
)
468
Silte (g dm
-3
)
417
Areia (g dm
-3
)
115
SB,= Soma de Bases; T = CTC a pH 7,0; t = CTC Efetiva; m = Saturação de Alumínio; V = Saturação de Bases
3.2. Tratamentos e delineamento experimental
O experimento constou de um arranjo fatorial 4x2 (formas de plantio x
número de gemas por metro de sulco). Assim, os tratamentos, num total de oito,
foram compostos por quatro formas de plantio: (I) colmo inteiro com palha e
com ponta; (II) colmo inteiro com palha e sem ponta; (III) colmo inteiro sem
palha e sem ponta; (IV) colmo picado sem palha e sem ponta (plantio
convencional), com 15 ou 20 gemas por metro de sulco.
O delineamento experimental utilizado foi em blocos ao acaso, com
quatro repetições. Cada unidade experimental foi composta por quatro linhas de
10 metros de comprimento com espaçamento de 1,30 metros nas entrelinhas,
21
totalizando 52 m
2
. A área útil (20,8 m
2
) correspondeu às duas linhas centrais,
sendo eliminado 1,0 m de cada extremidade da parcela.
Cada bloco foi composto por oito unidades experimentais, ocupando uma
área de 416 m
2
por bloco. Os blocos foram dispostos no sentido do plantio do
sistema MEIOSI. No total, a área ocupada pelo experimento foi de 1.664 m
2
.
3.3. Instalação e condução do experimento
A área da Fazenda Abadia em sua maioria é composta pela cultura da
cana-de-açúcar. O histórico da área experimental em questão foi o monocultivo
da cana-de-açúcar no período de 10 anos, utilizando o sistema de preparo
convencional do solo, com aração e gradagem e a colheita manual após a cana
ser queimada.
Na reforma da área experimental em setembro de 2006, empregou-se o
preparo convencional do solo por meio de duas arações para completa destruição
da soqueira da cana, seguida de duas gradagens (uma para quebrar torrões e a
outra para nivelamento do terreno). A calagem foi realizada com o objetivo de
aumentar a relação Ca/Mg, pois estava muito estreita. Utilizou-se o calcário
calcítico com PRNT de 80%, na dose de duas toneladas por hectare.
Após o preparo e correção da área, foi realizada a marcação do sistema
MEIOSI, respeitando a sulcação de três linhas e pulando 10 para o cultivo
intercalar. A adubação de base para essas três linhas foi de 120 kg ha
-1
de P
2
O
5
e
60 kg ha
-1
de K
2
O, em função dos resultados da análise química do solo, e tendo
como fonte o formulado 00-30-15 (Tabela 1). O plantio das três linhas foi realizado
em 18/09/2006.
Durante o período de instalação a abril de 2007, para acelerar o
desenvolvimento da muda do sistema MEIOSI, as três linhas receberam duas
coberturas com nitrogênio. Em cada adubação utilizou-se a dosagem de 150 kg
ha
-1
de uréia, correspondendo a 67,5 kg ha
-1
de N.
No espaço intercalar às três linhas de cana-de-açúcar, foi semeado, em
27/12/2006, o adubo verde Crotalaria juncea. Utilizou-se a semeadora-adubadora
MAX PCR 2226. Esta máquina comporta seis linhas de semeadura, mas foram
utilizadas apenas quatro linhas espaçadas de 0,70 m. Os depósitos de sementes
foram mantidos cheios, enquanto que, os de adubo permaneceram vazios.
22
O experimento foi instalado em 13/04/2007, época em que a muda das
três linhas eram suficientes para o fechamento da área intercalar, e esta
composta com grande massa do adubo verde.
Foi realizado o sistema de plantio direto da cana sobre a C. juncea. A
sulcagem foi realizada com auxílio de um trator da marca Ford 6630 equipado
com um “parachoque” para a quebra da C. juncea, acoplado a um sulcador-
adubador de duas linhas (Figura 4).
A adubação de base foi dimensionada em função dos resultados da
análise química do solo. Portanto, foram aplicados 120 kg ha
-1
de P
2
O
5
e 60 kg
ha
-1
de K
2
O, tendo como fonte o formulado 00-30-15. A matéria verde da C.
juncea foi avaliada em 34 Mg ha
-1
, de modo que a quantidade de nitrogênio fixada
foi estimada em 150 kg ha
-1
de N, tendo-se como base para cálculo a matéria
seca depositada, que foi de 11,4 Mg ha
-1
.
Após a sulcagem e adubação, a área foi estaqueada para a delimitação
dos blocos e tratamentos. As mudas foram espalhadas no fundo do sulco,
obedecendo às formas de plantio e densidade de gemas para cada tratamento. A
cobertura das mudas foi realizada mecanicamente com auxílio de um tapador
contendo rolo compactador para acomodar as mudas e evitar bolsões de ar nos
sulcos.
Figura 4. A) Detalhe do parachoque; B) Sistema de plantio direto de cana-de-
açúcar sobre C. juncea.
Para manejo das plantas daninhas na cana-planta, em todos os
tratamentos, realizou-se a aplicação de herbicidas pré-emergentes, Gamit (2,5 L
ha
-1
), Velpar K WG (1,5 kg ha
-1
) e 2,4D (0,75 L ha
-1
). Utilizou-se o 2,4D para
controlar plantas daninhas de folha larga, e também para evitar a brotação da C.
juncea.
A)
B)
23
3.4. Característica da variedade utilizada
A variedade utilizada foi a RB867515 (mineirinha). Esta variedade foi
desenvolvida pelo programa de melhoramento genético de cana-de-açúcar da
Universidade Federal de Viçosa (UFV). Ela apresenta amadurecimento médio e a
colheita é recomendada para ser feita do meio para o fim da safra no centro-sul
do Brasil. Apresenta alta produtividade agrícola em cana planta e soca, sendo
caracterizada pelo rápido crescimento vegetativo, tolerância a seca, boa brotação
da soqueira, alto teor de sacarose, porte alto, hábito de crescimento ereto, ampla
adaptabilidade, alta densidade do colmo e boa despalha. Apresenta resistência ao
carvão, ferrugem, escaldadura e broca da cana-de-úcar, tendo reação
intermediária em relação a estrias vermelhas e falsas estrias vermelhas (PMGCA,
2009).
3.5. Características avaliadas
3.5.1. Porcentagem de brotação
Foi obtida pela relação percentual entre o número de brotos emergidos
aos 53 dias após o plantio e o número de gemas plantadas, por área útil.
3.5.2. Arqueamento de mudas
Foram contadas todas as extremidades (pé e ponta) de mudas que
emergiram do sulco aos 53 dias após o plantio, em decorrência do arqueamento
dos colmos nos sulcos de plantio, na área útil.
3.5.3. Porcentagem e tamanho médio de falhas
As falhas foram avaliadas aos 276 DAP seguindo a metodologia de Stolf
(1986). Foram considerados como falhas, os espaços vazios entre duas plantas
consecutivas nas linhas da área útil, maiores que 50 cm. Foi utilizada a equação:
A avaliação da qualidade dos tratamentos em relação às falhas foi
realizada de acordo com a Tabela 2, proposta por Stolf (1986).
F(%) = nº de falhas encontradas
comprimento total do
trecho de linha analisado
24
Tabela 2. Avaliação da qualidade do plantio da cultura da cana-de-açúcar em
relação às falhas no plantio (Stolf, 1986)
% Falha > 0,5 m
Avaliação do plantio
0-10
Excelente
11-20
Bom
21-35
Médio
36-50
Ruim
>50
Péssimo
O tamanho médio de falha foi obtido pela equação:
TM = comprimento total das falhas encontradas
nº de falhas
O parâmetro básico da metodologia de Stolf (1986) é a porcentagem de
falha.
3.5.4. Número de perfilhos
Aos 53 dias após o plantio (DAP), foi feita a contagem do número de
perfilhos emergidos na área útil. Após, foram realizadas as contagens aos 117,
176, 314 e 488 DAP. Houve um período maior entre datas, aos 176 e 314 DAP,
devido à ocorrência de muita chuva, tornando as avaliações difíceis de serem
realizadas.
3.5.5. Comprimento de colmos
Na colheita, foram tomados ao acaso, dez colmos na área útil e, com o
auxílio de uma trena, foi feita a medida da planta desde sua base, rente ao solo,
até a inserção da folha +1.
3.5.6. Diâmetro de colmos
Os dez colmos, utilizados para medida da estatura da planta na área útil,
também foram utilizados para a medida do diâmetro da base do colmo. Com o
auxílio de um paquímetro, foi feita a medida na base do colmo, no 3
o
nó, sem a
presença da bainha da folha.
25
3.5.7. Produtividade de colmos (Mg ha
-1
)
A produtividade de colmos foi obtida por meio de pesagens realizadas em
balança da marca Caudura, com capacidade para 300 kg, seguindo metodologia
de Marioti e Lascano (1969), citado por Garcia (2005). Foi realizada a pesagem
total de colmos na área útil e, posteriormente, os dados foram extrapolados para
megagramas por hectare.
3.5.8. Peso médio de colmo
Foi obtido pela relação entre o peso e o número de colmos da área útil,
representando os resultados em kg colmo
-1
.
3.5.9. Características químico-tecnológicas da cana-de-açúcar
Após a medida da estatura da planta e diâmetro da base do colmo, os dez
colmos, retirados ao acaso na área útil, foram despontados, despalhados,
devidamente identificados e encaminhados ao laboratório da Usina COAGRO
para determinação dos teores de brix %, pol %, fibra %, pureza %, açúcar
redutores (AR) % e peso do bagaço úmido (PBU), utilizando os critérios
estipulados pelo Sindicato da Indústria e da Refinação do Açúcar, nos Estados do
Rio de Janeiro e Espírito Santo (1991).
3.5.10. Açúcar teórico recuperável (kg Mg
-1
)
Conhecidos a pol da cana (PC) e os açúcares redutores da cana (AR), o
ATR (açúcar total recuperável) foi calculado seguindo o regulamento do Sindicato
da Indústria e da Refinação do Açúcar, nos Estados do Rio de Janeiro e Espírito
Santo (1991), pela equação:
ATR = (10 * PC * 1,0526 * 0,84) + (10 * AR * 0,84)
Em que:
10 * PC = pol por tonelada de cana;
1,0526 = coeficiente estequiométrico para a conversão de pol em
açúcares redutores;
0,84 = coeficiente de recuperação, para uma perda industrial de 16%
(dezesseis por cento);
10 * AR = açúcares redutores por tonelada de cana.
26
O resultado do ATR da fórmula acima foi expresso em kg de açúcar por
megagrama de cana, e posteriormente extrapolado para megagrama de açúcar
por hectare.
3.5.11. Álcool anidro e hidratado teórico (L Mg
-1
)
Esses dois componentes foram avaliados segundo Consecana (2004).
- Álcool anidro direto (AAd)
É o produzido quando todo açúcar de cana se destina à fabricação deste
tipo de álcool.
Logo, foi calculado utilizando-se a fórmula:
AAd = ATR da cana x 0,5504
- Álcool hidratado direto (AHd)
Semelhantemente ao álcool anidro direto, o álcool hidratado é produzido
utilizando-se todo ATR da cana.
Logo, foi calculado utilizando-se a fórmula:
AHd = ATR da cana x 0,5744
3.6. Análise Estatística
Os resultados das variáveis fenológicas, produtivas e das características
agroindustriais da cana-de-açúcar foram analisados segundo o delineamento em
blocos ao acaso, seguindo um esquema fatorial (4 x 2) com quatro formas de
plantio e duas densidades de gemas, resultando em oito tratamentos e quatro
repetições. Foram feitos a análise de variância preliminar (Teste F), de acordo
com o delineamento estatístico D.B.C., e o desdobramento dos graus de
liberdade da interação dos fatores (Ferreira, 2000; Ribeiro Júnior, 2001).
Foi utilizado o seguinte modelo estatístico:
Y
ijr
= μ + b
r
+ A
i
+ B
j
+ AB
ij
+ e
ijr
, em que:
Y
ijr
= valor da característica y, na forma de plantio A
i
(i = 1, 2, 3 e 4), com
densidades de 15 e 20 gemas m
-1
B
j
(j = 1 e 2), na repetição b
r
(r = 1, 2, 3 e 4);
27
μ = média geral da variável;
b
r
= efeito do bloco r = [1, 2, 3 e 4];
A
i
= efeito do fator A na classe i = [1, 2, 3 e 4];
B
j
= efeito do fator B na classe j = [1 e 2];
AB
ij
= efeito da interação dos fatores A, nas classes i e B nas classes j;
e
ijr
= efeito do erro aleatório, normal e independente, com distribuição de
média 0 e variância σ
2
.
O teste de média para formas de plantio foi realizado mesmo nos casos
em que não houve efeito significativo pelo teste F. As médias foram comparadas
pelo teste de Tukey (P<0,05). Para o fator densidades de gemas, as médias
foram comparadas pela ANOVA pelo teste F (P<0,05). As análises estatísticas
foram realizadas com o auxílio do aplicativo computacional SAEG (Sistema para
Análises Estatísticas e Genéticas), versão 8.0, desenvolvido pela FUNARBE,
UFV, de Viçosa-MG.
28
4. RESULTADOS E DISCUSSÃO
4.1. Porcentagem de brotação
Verificou-se efeito significativo para formas de plantio, densidades de
gemas e a interação entre formas de plantio e densidades de gemas (P<0,05).
A forma de plantio IV (convencional) colmo picado sem palha e sem ponta
- apresentou em média, porcentagem de brotação 1,95, 1,95 e 1,32 vezes maior
que as formas de plantio I, II e III, para densidade de 15 gemas m
-1
,
respectivamente (Tabela 3). Para a densidade de 20 gemas m
-1
, a superioridade
do plantio convencional foi mais expressiva, 2,65, 2,08 e 1,34 vezes maior que as
formas de plantio I, II e III, respectivamente. Portanto, a forma de plantio IV se
mostrou mais eficiente para essa variável.
Essa diferença considerável da porcentagem de brotação, bem inferior
nas formas de plantio I e II em relação à convencional IV, para ambas as
densidades de gemas, possivelmente ocorreu devido à presença da palha
interferindo negativamente no processo fisiológico inicial de brotação das gemas
do colmo.
Vasconcelos (2006) comenta que a gema que fica coberta pela palha,
sofre seu efeito como uma barreira mecânica para a emissão dos brotos e raízes
e para a condutividade térmica e hídrica do solo para a gema. Entretanto, a
umidade e os microrganismos do solo gradativamente causam a decomposição
29
das cadeias de celulose e lignina da palha, facilitando a emissão dos brotos e das
raízes. Porém, há atraso da brotação em relação aos colmos sem palha.
Tabela 3. Porcentagem de brotação da cana-de-açúcar, aos 53 dias após o
plantio em Campos dos Goytacazes - RJ, Faz. Abadia, ano agrícola
2007/2008, UENF
Forma de plantio
Densidade de gemas por metro
Média
15
20
----------------------- (%) -----------------------
(I) colmo inteiro com palha e
com ponta
32,8
Ac
1
29,2
Ac 30,9
(II) colmo inteiro com palha e
sem ponta
32,7
Ac
37,1
Ac 34,9
(III) colmo inteiro sem palha e
sem ponta
48,2
Bb
57,7
Ab
52,9
(IV) colmo picado sem palha e
sem ponta (convencional)
63,8
Ba
77,3
Aa 70,5
Média 44,3
50,31
C.V. (%) 12
(1)
Médias na linha, seguidas por letras maiúsculas semelhantes, não diferem pelo teste F em
nível de 5% de probabilidade, e na coluna seguidas por letras minúsculas semelhantes, não
diferem pelo teste de Tukey em nível de 5% de probabilidade.
Assim, certamente, ocorreu atraso da brotação nas formas de plantio I e II
pelo efeito da palha, pois havia umidade e temperatura adequada para que
ocorresse todo o processo fisiológico sem atraso (Figura 3).
A forma de plantio III obteve porcentagem de brotação 1,47 e 1,55 vezes
superior ao tratamento II, para 15 e 20 gemas m
-1
, respectivamente. A diferença
entre as formas de plantio II e III foi somente a ausência da palha na III e a
presença na II, pois ambos foram plantados com o colmo inteiro. Assim, observa-
se claramente o efeito negativo da palha sobre a brotação das gemas. Esses
resultados divergem em parte com o encontrado por Lee (1984), em que
comparando o plantio de cana inteira e convencional num Latossolo roxo, em
Araras, SP, não encontrou diferença significativa para porcentagem de brotação
entre os tratamentos de cana inteira com e sem palha e o plantio convencional
com três gemas para a variedade NA5679.
30
A porcentagem de brotação para a forma de plantio com o colmo inteiro
com palha e com ponta obtida por Lee (1984) foi 1,98 vezes superior em relação
à média do presente trabalho. Para a forma de plantio (II) colmo inteiro com palha
e sem ponta - o presente trabalho apresentou porcentagem de brotação 1,41
vezes menor em relação ao trabalho realizado pelo mesmo autor. Essa diferença
possivelmente ocorreu devido à maior aderência da palha resultante da menor
idade da muda produzida pelo sistema MEIOSI e também pela característica
particular da variedade RB867515 comparada a NA5679, onde nesta última a
palha destaca-se naturalmente (Planalsucar, 1977).
Além da palha, outro fator importante a ressaltar é a prática da picação da
muda da cana-de-açúcar. No presente trabalho, apesar do não impedimento da
palha na forma de plantio III, a porcentagem de brotação obtida foi inferior 1,24 e
1,25 vezes em relação à forma de plantio IV (convencional) para a densidade 15 e
20 gemas m
-1
, respectivamente. A diferença entre essas formas de plantio foi à
ausência da picação da muda na III e a presença na IV, evidenciando que a
picação acarretou em efeito positivo à brotação.
Além disto, comparando os resultados para as formas de plantio
convencional (IV) e a III, em relação aos obtidos por Lee (1984), o presente
trabalho resultou em média em porcentagem de brotação 1,24 vezes maior e 1,12
vezes menor, respectivamente. Assim, para o autor a brotação e o
desenvolvimento da cana-de-açúcar a partir de mudas de cana inteira e jovem, de
sete a oito meses de idade, foram iguais ou melhores em valores absolutos do
que as mudas com três gemas picadas no sulco. Esse resultado foi justificado, ao
se afirmar que utilizando esse tipo de muda, a diferença de idade entre as gemas
da ponta e da base é pequena, onde todas as gemas germinaram num curto
período, e antes que as mais jovens já germinadas exercessem seu efeito inibidor
pela formação de auxina, as partes inferiores do colmo germinaram também.
Vários são os fatores que estão relacionados com esses resultados
divergentes, possivelmente os de maior influência são os ambientais e
fitotécnicos, que podem interferir positivamente ou negativamente na
porcentagem e na velocidade da brotação (Vasconcelos, 2006). Dentre os fatores
ambientais constam a classe, umidade, aeração e temperatura do solo. Em
relação aos principais aspectos fitotécnicos, estão o preparo do solo e
destorroamento, intervalo de tempo entre o corte da muda e a distribuição no
31
sulco de plantio, intervalo de tempo entre a distribuição no sulco de plantio e a
cobertura com terra, tempo em que os sulcos ficaram abertos, número de gemas,
aplicação de fertilizantes na formação da muda, aplicação de torta de filtro,
profundidade de plantio, compactação dos toletes e herbicidas.
4.2. Arqueamento de mudas
Para a variável arqueamento de mudas houve efeito significativo somente
para as formas de plantio utilizadas.
Não houve diferença significativa de arqueamento de mudas entre as
formas de plantio I, II e IV, que resultaram nos menores, portanto melhores
índices. As formas I e II resultaram em menor número de pontas levantadas que a
forma III, que resultou no maior índice entre as formas estudadas, porém não
diferiu da IV (Tabela 4).
Tabela 4. Arqueamento de mudas por metro de cana-de-açúcar em função dos
tratamentos de formas de plantio x densidade de gemas em Campos
dos Goytacazes - RJ , Faz. Abadia, ano agrícola 2007/2008, UENF
Forma de plantio
Densidade de gemas
Médias
15
20
Arqueamento
------------ (pontas levantadas m
-1
) ----------
(I) colmo inteiro com palha e
com ponta
0,00 0,00 0,00 a
1
(II) colmo inteiro com palha e
sem ponta
0,00 0,05
0,02 a
(III) colmo inteiro sem palha e
sem ponta
0,11 0,20 0,16 b
(IV) colmo picado sem palha e
sem ponta (convencional)
0,05 0,11
0,08 ab
Médias 0,04 A 0,09 A
C.V. (%) 133
(1)
Médias na linha, seguidas por letras maiúsculas semelhantes, não diferem pelo teste F em
nível de 5% de probabilidade, e na coluna seguidas por letras minúsculas semelhantes, não
diferem pelo teste de Tukey em nível de 5% de probabilidade.
32
Lee (1984), avaliando o plantio da cana inteira utilizando mudas de 12
meses de idade, observou que o número de pontas levantadas, pós-cobertura
com terra, das formas de plantio com colmo inteiro e sem ponta eram mais
numerosas, mas que esse problema pôde ser superado pelo plantio do colmo
inteiro com a ponta.
Para as formas de plantio sem ponta, II, III e IV, as médias encontradas
por Lee (1984) foram superiores 18, 3,63 e 2,75 vezes, respectivamente.
Entretanto, possivelmente pela presença da ponta, a forma de plantio I
apresentou arqueamento de mudas nulo, comprovando a relação da permanência
da ponta com a diminuição do arqueamento de mudas.
Esses resultados muito inferiores das formas de plantio sem a ponta
encontrados no presente trabalho, possivelmente se justifica pela uniformidade e
características particulares das mudas jovens produzidas pelo sistema MEIOSI.
Elas estão prontas para o plantio com idade aproximada de seis meses,
apresentam menor comprimento, menormero de gemas por colmo e curvatura
mínima, assim possivelmente justificando o baixo índice de arqueamento, mesmo
quando efetuado o desponte dos colmos durante o plantio.
4.3. Porcentagem e tamanho médio de falhas
Para as variáveis correspondentes às falhas, houve efeito significativo
somente para as formas de plantio utilizadas.
As formas de plantio III e IV se destacaram com as menores
porcentagens de falhas de plantio (Tabela 5). Como a porcentagem de falha para
a forma de plantio convencional foi nula, consequentemente, o tamanho médio
também foi. As formas de plantio I e II obtiveram as maiores porcentagens de
falha, apresentando em média 17,05%.
Deve-se ressaltar que, embora tenha ocorrido diferença significativa entre
as formas de plantio, de acordo com a metodologia de qualidade de plantio
proposta por Stolf (1986), as porcentagens de falhas obtidas são consideradas
como excelentes para as formas III e IV, e normal para I e II (Tabela 2).
Para o tamanho médio de falha, não houve diferença significativa entre as
formas de plantio com o colmo inteiro I, II e III.
33
Tabela 5. Porcentagem de falha e tamanho médio de falha em função das formas
de plantio em Campos dos Goytacazes - RJ, Faz. Abadia, ano
agrícola 2007/2008, UENF
Forma de plantio
Porcentagem
de falha
Tamanho
médio de
falha
----- (%) -----
----- (m) -----
(I) colmo inteiro com palha e com ponta
16,8
b
1
0,8
b
(II) colmo inteiro com palha e sem ponta
17,3
b
0,7
b
(III) colmo inteiro sem palha e sem ponta
6,7
ab
0,6
b
(IV) colmo picado sem palha e sem ponta
(convencional)
0,0
a
0,0
a
Média
10
0,5
C.V. (%)
77
37
(1)
Médias na coluna seguidas por letras minúsculas semelhantes, não diferem pelo teste de
Tukey em nível de 5% de probabilidade.
4.4. Número de perfilhos
A interação entre formas de plantio e densidades de gemas somente
ocorreu para a contagem aos 53 dias após o plantio. Para o fator densidades de
gemas houve efeito significativo na contagem aos 53 e 117 DAP e, para o fator
formas de plantio isoladamente, ocorreu efeito nas cinco épocas de contagem.
A forma de plantio (IV) convencional - destacou-se na contagem inicial do
número de perfilhos aos 53 DAP para as duas densidades de gemas, seguido da
forma de plantio III (Tabela 6). As formas de plantio I e II resultaram em menor
número de perfilhos inicialmente. Na contagem realizada durante a colheita aos
488 DAP, para a densidade de 15 gemas m
-1
, não ocorreu diferença significativa
resultando em média sete perfilhos m
-1
, para as quatro formas de plantio. Para a
densidade de 20 gemas m
-1
, não houve diferença significativa entre as formas de
plantio II, III e IV. A forma de plantio III apresentou maior número de perfilhos m
-1
do que a forma I, que resultou o menor perfilhamento, e não diferiu das formas II e
IV.
34
Verifica-se que a diferença obtida para variável número de perfilhos na
primeira contagem, para densidade de 15 gemas m
-1
, não é encontrada na
contagem realizada na colheita aos 488 DAP. Entretanto, para a densidade de 20
gemas m
-1
a diferença entre as formas de plantio permaneceu, porém os maiores
números de perfilhos foram encontrados no tratamento II, III e IV, de modo que o
tratamento II e o III não diferiram do I, que obteve o menor número de perfilhos m
-
1
(Tabela 6).
Tabela 6. Número de perfilhos por metro aos 53, 117, 176, 314, 488 dias após o
plantio (DAP), em função dos tratamentos de formas de plantio e
densidades de gemas em Campos dos Goytacazes - RJ, Faz. Abadia,
ano agrícola 2007/2008, UENF
Esse comportamento se justifica pela capacidade de perfilhamento
durante o desenvolvimento da cultura, proporcionando certa plasticidade à cultura
da cana-de-úcar. Assim, na forma de plantio II, onde resultou em maior
porcentagem de falha juntamente com a forma I, o perfilhamento foi estimulado
pela maior insolação, resultando, na contagem final, número de perfilhos
Forma de plantio
Dias após o plantio (DAP)
53
117
176
314
488
Densidade de gemas
15 20 15 20 15 20 15 20 15 20
Perfilhos m
-1
(I) colmo inteiro
com palha e
com ponta
5 Ac 4 Ac 10 Ab
10 Ab
13 Ab
13 Ac 8 Aa 8 Ab 7 Aa 6 Ab
(II) colmo inteiro
com palha e
sem ponta
5 Bc 6 Ac
10 Bb
11 Ab
13 Ab
14 Abc
8 Aa 8 Aab 6 Aa 6 Aab
(III) colmo inteiro
sem palha e
sem ponta
7 Bb 9 Ab 12 Ab
16 Aa
15 Ab
17 Aab
8 Aa 9 Aab 6 Aa 8 Aa
(IV) colmo picado
sem palha e
sem ponta
(convencional)
10 Aa 12 Aa 16 Aa 17 Aa
18 Aa
19 Aa 9 Aa 10 Aa 7 Aa 7 Aab
Média 7 8
12
14
15
16
8
9
7 7
C.V. (%)
12
14
10
10
13
(1)
Médias na linha para cada época de amostragem (DAP)
, seguidas por letras maiúsculas
semelhantes, não diferem pelo teste F em nível de 5% de probabilidade, e na coluna seguidas por
letras minúsculas semelhantes, não diferem pelo teste de Tukey em nível de 5% de probabilidade.
35
semelhantes às formas de plantio III e IV, que obtiveram as menores
porcentagens de falha.
A análise de regressão foi realizada para as quatro formas de plantio nas
cinco épocas de contagem de número de perfilhos, entretanto as equações
encontradas apresentaram valores de R
2
baixos, entre 0,48 a 0,58, assim optou-
se por analisar essa variável por meio da estatística descritiva.
A forma de plantio (I) colmo inteiro com palha e com ponta - apresentou
um aumento de 169% no número de perfilhos durante o período entre a primeira
contagem (53 DAP) e a terceira (176 DAP), com densidade de 15 gemas m
-1
. O
aumento do número de perfilhos no mesmo período e forma de plantio, porém
com a densidade de 20 gemas m
-1
, foi de 196%. Assim, em média, 13 perfilhos m
-
1
foram observados aos 176 DAP na densidade de 15 e 20 gemas (Figura 5).
No entanto, da contagem aos 176 DAP até a colheita, houve redução de
50% e 43%, para o plantio com densidade de 15 e 20 gemas m
-1
,
respectivamente. Dessa forma, o número de perfilhos m
-1
durante a colheita foi de
sete, para densidade de 15 gemas m
-1
, e de seis, para a de 20.
0 100 200 300 400 500
0
5
10
15
20
25
I- colmo inteiro com palha e com ponta
(15 gemas)
Número de colmos (colmos m
-1
)
Dias
0 100 200 300 400 500
0
5
10
15
20
25
I- colmo inteiro com palha e com ponta
(20 gemas)
Número de colmos (colmos m
-1
)
Dias
Figura 5. Número de perfilhos aos 53, 117, 176, 314, 488 dias após o plantio
(DAP), em função das quatro formas de plantio x densidade de 15 e 20
gemas por metro, em Campos dos Goytacazes - RJ, Faz. Abadia, ano
agrícola 2007/2008, UENF.
Figura 5, continuação
36
0 100 200 300 400 500
0
5
10
15
20
25
II- colmo inteiro com palha e sem ponta
(15 gemas)
Número de colmos (colmos m
-1
)
Dias
0 100 200 300 400 500
0
5
10
15
20
25
II- colmo inteiro com palha e sem ponta
(20 gemas)
Número de colmos (colmos m
-1
)
Dias
0 100 200 300 400 500
0
5
10
15
20
25
III- colmo inteiro sem palha e sem ponta
(15 gemas)
Número de colmos (colmos m
-1
)
Dias
0 100 200 300 400 500
0
5
10
15
20
25
III- colmo inteiro sem palha e sem ponta
(20 gemas)
Número de colmos (colmos m
-1
)
Dias
0 100 200 300 400 500
0
5
10
15
20
25
IV- colmo picado sem palha e sem ponta
(15 gemas)
Número de colmos (colmos m
-1
)
Dias
0 100 200 300 400 500
0
5
10
15
20
25
IV- colmo picado sem palha e sem ponta
(20 gemas)
Número de colmos (colmos m
-1
)
Dias
Para a densidade de 15 gemas m
-1
, o aumento do número de perfilhos, no
período da primeira contagem até a terceira, foi de 161, 105 e 90%, para as
formas de plantio II, III e IV, respectivamente. Já para a densidade de 20 gemas
m
-1
, o aumento foi de 156, 96 e 64%. Assim, na contagem aos 176 DAP, o
37
número de perfilhos por metro, utilizando a densidade de 15 gemas, foi de 13, 15
e 18, para as formas de plantio II, III e IV, respectivamente. Para a densidade de
20 gemas, a contagem foi de 14, 17 e 19 perfilhos m
-1
.
Constata-se que o aumento do número de perfilhos pelas quatro formas
de plantio estudadas foi observado entre a primeira e a terceira contagem, fase
responsável pela formação dos perfilhos secundários, terciários e quaternários. A
fase de perfilhamento intenso, onde a cultura atinge o máximo de produção de
perfilhos, foi atingida aos 176 DAP. Esse resultado corrobora com Tokeshi (1986),
em que ressalta que na curva de perfilhamento da cana-de-açúcar o ponto
máximo ocorre, em geral, entre quatro e seis meses em cana planta.
No período entre 176 DAP até a colheita, a forma de plantio II reduziu o
número de perfilhos em 43% na densidade de 15 e 20 gemas, resultando em seis
perfilhos m
-1
na contagem final, para as duas densidades. Essa redução foi de
44% para a forma de plantio III, também em ambas as densidades estudadas,
entretanto o número de perfilhos por metro final foi de seis e oito para a
densidade de 15 e 20 gemas por metro, respectivamente.
Em relação à forma de plantio IV (convencional), o aumento do número
de perfilhos da contagem aos 53 DAP em relação a 176 DAP, foi de 91 e 64%
para as densidades de 15 e 20 gemas, respectivamente. No entanto, da terceira
contagem aos 176 DAP, para a realizada na colheita, houve uma redução de 36 e
38%, para a densidade de 15 e 20, respectivamente, resultando em sete perfilhos
por metro para as duas densidades estudadas.
O período de contagem dos 176 DAP até 488 DAP corresponde às fases
de crescimento, maturação e colheita. Durante este período, a competição dos
perfilhos pelos fatores de crescimento (luz, espaço, água e nutrientes) se
acentuou, constatando a diminuição e a paralisação do perfilhamento, além da
morte de alguns mais novos até a colheita.
Esse efeito foi observado por Machado (1987), onde comenta que a
mortalidade dos colmos coincide com o período em que o índice de área foliar
(IAF) aumenta rapidamente, indicando que, além da competição por água e
nutrientes, o sombreamento é um dos fatores mais importantes na determinação
deste comportamento.
38
Certamente os colmos mais desenvolvidos continuaram o seu
crescimento em altura e espessura, iniciando o processo de acúmulo de sacarose
nos entrenós basais, como resultado da produção excedente de fotoassimilados.
4.5. Peso, diâmetro e comprimento de colmos
A forma de plantio I obteve em média colmos 17% mais pesados para a
densidade de 20 gemas m
-1
comparado a densidade de 15 gemas m
-1
(Tabela 7).
Lee (1984), avaliando a variedade NA5679, obteve maior peso de colmos
para as formas de plantio II e III e menor para I e IV. No entanto, o peso de
colmos encontrado no presente trabalho, para a variedade RB867515 (2,03 kg),
foi 88% maior que o observado por Lee para as melhores formas de plantio (1,08
kg). Essa diferença encontrada está relacionada às variedades pesquisadas,
onde os fatores genéticos individuais de cada variedade resultam em parâmetros
biométricos diferentes.
Acrescente-se a isso, as conclusões realizadas por Ramesh e
Mahadevaswany (2000), onde constataram que os cultivares que perfilham
menos, além de apresentarem menores porcentagens de mortalidade de
perfilhos, apresentam perfilhos com maior estatura, maior diâmetro de colmo e
maior massa seca, indicando a estes correlação positiva com os cultivares mais
produtivos.
Em relação à variável diâmetro de colmos, houve efeito significativo para
o fator formas de plantio e densidades de gemas, e ausência de significância para
interação. Para o fator densidades de gemas, a forma de plantio II apresentou
diâmetro de colmos 5,3% superior para a densidade de 15 gemas m
-1
comparado
à de 20. Entretanto, os resultados do diâmetro de colmos para as formas de
plantio I, III e IV foram semelhantes estatisticamente entre as duas densidades de
gemas estudadas (Tabela 7).
Entre as formas de plantio, o destaque foi para colmo inteiro com palha e
com ponta (I), com diâmetro de colmos 7% superior em relação à forma III, que
obteve o menor diâmetro para a densidade de 15 gemas. Para a densidade de 20
gemas, a superioridade da forma de plantio (I) foi de 8% em relação à forma de
plantio convencional (IV), que obteve colmos mais finos.
39
Para a variável comprimento de colmos, não ocorreu diferença entre as
formas de plantio, apresentando em média 4,19 m de comprimento.
Esses resultados divergem de Lee (1984), que encontrou maior
comprimento de colmos para as formas de plantio com cana inteira em relação ao
plantio convencional.
Tabela 7. Peso, diâmetro e comprimento de colmos em função dos tratamentos
de formas de plantio e densidade de gemas em Campos dos
Goytacazes - RJ , Faz. Abadia, ano agrícola 2007/2008, UENF
Forma de plantio
Peso de colmos Diâmetro de colmos
Comprimento de
colmos
15 20 15 20 15 20
-------- (kg) -------
---------- (cm) ---------
----------- (m) ---------
(I) colmo inteiro com palha e
com ponta
1,88 Ba
1
2,20 Aa 3,20 Aa 3,14 Aa 4,16 Aa 4,30 Aa
(II) colmo inteiro com palha e
sem ponta
2,19 Aa 1,94 Aa
3,17 Aab
3,01 Bab 4,17 Aa 4,02 Aa
(III) colmo inteiro sem palha e
sem ponta
2,07 Aa 2,05 Aa 3,00 Ab 3,06 Aab 4,23 Aa 4,17 Aa
(IV) colmo picado sem palha e
sem ponta (convencional)
2,09 Aa 1,85 Aa
3,01 Aab
2,91 Ab 4,39 Aa 4,08 Ba
Médias 2,05 2,01 3,10 3,03 4,24 4,14
C.V. (%) 11 3 5
(1)
Médias na linha, seguidas por letras maiúsculas semelhantes, não diferem pelo teste F em nível de 5% de
probabilidade, e na coluna seguidas por letras minúsculas semelhantes, não diferem pelo teste de Tukey em nível de 5%
de probabilidade.
O efeito foi significativo para o fator densidade de gemas. A forma de
plantio convencional (IV), utilizando a densidade de 15 gemas m
-1
, obteve um
comprimento médio de colmo 8% superior em relação à densidade de 20. Para as
formas de plantio I, II e III não ocorreu diferença significativa entre o plantio
realizado com densidade de 15 e 20 gemas m
-1
.
4.6. Brix, fibra da cana e pureza do caldo
As características químico-tecnológicas, brix e pureza do caldo não
apresentaram efeito significativo para as formas de plantio e densidades de
gemas estudadas (Tabela 8). Porém, quanto à fibra da cana, observa-se que a
forma de plantio II resultou em colmos 9% mais fibrosos na densidade de 20
gemas m
-1
, em relação à de 15.
40
Tabela 8. Características agroindustriais brix, fibra da cana e pureza do caldo em
função dos tratamentos de formas de plantio e densidades de gemas
em Campos dos Goytacazes - RJ, Faz. Abadia, ano agrícola
2007/2008, UENF
Forma de plantio
Densidade de gemas
Médias
15
20
Brix
--------------------------- (º) --------------------------
(I) colmo inteiro com palha e
com ponta
21,9 22,5 22,2 a
(II) colmo inteiro com palha e
sem ponta
22,0 22,6 22,3 a
(III) colmo inteiro sem palha e
sem ponta
22,4 22,4 22,4 a
(IV) colmo picado sem palha e
sem ponta (convencional)
21,6 21,5 21,5 a
Médias
22,0 A
22,2 A
22,1
C.V. (%)
4
Fibra da cana
-------------------------- (%) -------------------------
(I) colmo inteiro com palha e
com ponta
13,15 Aa 13,71 Aa 13,43
(II) colmo inteiro com palha e
sem ponta
12,86 Ba 14,07 Aa 13,47
(III) colmo inteiro sem palha e
sem ponta
13,64 Aa 13,11 Aa 13,37
(IV) colmo picado sem palha e
sem ponta (convencional)
12,79 Aa 13,39 Aa 13,09
Médias
13,11
13,57
13,34
C.V. (%)
5
Pureza do caldo
-------------------------- (%) -------------------------
(I) colmo inteiro com palha e
com ponta
87,87 88,86 88,36 a
(II) colmo inteiro com palha e
sem ponta
87,77 88,74 88,25 a
(III) colmo inteiro sem palha e
sem ponta
88,21 88,36 88,28 a
(IV) colmo picado sem palha e
sem ponta (convencional)
88,00 88,46 88,23 a
Médias
87,96 A
88,60 A
88,28
C.V. (%)
14
(1)
Médias na linha, seguidas por letras maiúsculas semelhantes, não diferem pelo teste F em
nível de 5% de probabilidade, e na coluna seguidas por letras minúsculas semelhantes, não
diferem pelo teste de Tukey em nível de 5% de probabilidade.
41
4.7. Produtividade de colmos (Mg ha
-1
), pol da cana (PC) e tonelada de pol
por hectare (TPH)
Para os componentes de produção, produtividade de colmos, PC e TPH
não houve diferença significativa para as formas de plantio e densidades de
gemas estudadas (Tabela 9).
Para a variável produtividade de colmos, constata-se que o perfilhamento
ocorrido durante o desenvolvimento da cultura amenizou os maiores índices de
falha obtidos pelas formas de plantio I e II. Assim, a produtividade de colmos por
hectare obtida por essas formas de plantio foi semelhante as que resultaram em
menores porcentagens de falha, III e IV. Esse resultado está de acordo com
Beauclair e Sacarpari (2006), onde comentam que a medida das falhas apesar de
ser importante na avaliação da qualidade de plantio não reflete o rendimento final,
já que, muitas vezes, o perfilhamento estimulado pela maior insolação compensa
o número de perfilhos final.
Por conseguinte, o valor médio da produtividade para cana planta obtida
neste trabalho foi 39% superior a média regional, avaliada pela Conab (2008b),
demonstrando o ganho de produção na primeira colheita utilizando o sistema
MEIOSI. Duarte (2006), também na Fazenda Abadia, avaliou a variedade
SP801842 em sistema de plantio direto com cana picada e sem ponta sobre
feijão-de-porco, mucuna preta e C. juncea, com e sem adubação. A produção da
cana-de-açúcar sobre a C. juncea em primeiro corte foi 31% superior à
encontrada neste trabalho. Essa diferença possivelmente ocorreu devido a
diferente metodologia utilizada na avaliação da variável produtividade de colmos.
No entanto, o valor médio da produtividade de colmos encontrada neste
trabalho foi 34% superior ao proposto por Reis Jr. & Monnerat (2002) de canaviais
de alta produção (75 ton ha
-1
), no município de Campos dos Goytacazes, RJ.
Lee (1984) encontrou resultados semelhantes, concluindo que as formas
de plantio comparadas não interferiram na produtividade de colmos e açúcar
teórico recuperável (ATR). Resultado também encontrado por Santos (1983),
onde obteve produtividade de colmos e rendimento de açúcar semelhantes,
quando comparou o plantio de cana inteira, meia cana e plantio convencional.
42
Tabela 9. Produtividade de colmos, pol da cana e tonelada de pol por hectare em
função dos tratamentos de formas de plantio e densidades de gemas
em Campos dos Goytacazes - RJ, Faz. Abadia, ano agrícola
2007/2008, UENF
Forma de plantio
Densidade de gemas
Médias
15
20
Produtividade
----------------------- (Mg ha
-1
) ---------------------
(I) colmo inteiro com palha e com
ponta
94,63 95,47 95,05 a
1
(II) colmo inteiro com palha e sem
ponta
92,62 90,20 91,41 a
(III) colmo inteiro sem palha e sem
ponta
102,40 118,34 110,37 a
(IV) colmo picado sem palha e sem
ponta (convencional)
107,04 103,70 105,37 a
Médias
99,17 A
101,93 A
100,55
C.V. (%)
17
PC
-------------------------- (%) -------------------------
(I) colmo inteiro com palha e com
ponta
15,75 16,21 15,98 a
(II) colmo inteiro com palha e sem
ponta
15,87 16,18 16,03 a
(III) colmo inteiro sem palha e sem
ponta
16,08 16,18 16,13 a
(IV) colmo picado sem palha e sem
ponta (convencional)
15,62 15,47 15,55 a
Médias 15,83 A 16,01 A 15,92
C.V. (%)
4
TPH
----------------------- (ton ha
-1
) ---------------------
(I) colmo inteiro com palha e com
ponta
14,92 15,43 15,17 a
(II) colmo inteiro com palha e sem
ponta
14,70 14,59 14,65 a
(III) colmo inteiro sem palha e sem
ponta
16,42 19,13 17,77 a
(IV) colmo picado sem palha e sem
ponta (convencional)
16,78 15,96 16,37 a
Médias
15,71 A
16,23 A
15,99
C.V. (%)
17
(1)
Médias na linha, seguidas por letras maiúsculas semelhantes, não diferem pelo teste F em
nível de 5% de probabilidade, e na coluna seguidas por letras minúsculas semelhantes, não
diferem pelo teste de Tukey em nível de 5% de probabilidade.
43
Quintela (1996), avaliando cana inteira com e sem desponte e plantio
convencional, também não observou diferenças para produtividade de colmos e
ATR.
Entretanto Mutton (1990), trabalhando com colmos despontados, picados
em toletes com três e quatro gemas e com colmos inteiros sem desponte,
concluiu que o desenvolvimento e a produção da cana-de-açúcar, a partir do
plantio com mudas de colmos inteiros sem desponte, apresentaram resultados
superiores que a utilização de colmos picados em toletes.
Baseado na ausência de significância para a variável produção de colmos
e TPH, a forma de plantio I, que demanda menor gasto com mão-de-obra, pode
ser a recomendada. Vale ressaltar que, apesar do perfilhamento ter amenizado as
falhas encontradas para o plantio realizado com as formas I e II, avaliações
posteriores ao primeiro corte devem ser realizadas, pois essas falhas
possivelmente dificultarão o manejo de plantas invasoras ao longo do período
produtivo, além de possivelmente resultar em canaviais com menor longevidade.
Em relação ao fator densidade de gemas, devido a ausência de diferença
significativa tanto para as variáveis de produção, quanto à porcentagem de falha,
recomenda-se a utilização da densidade de 15 gemas m
-1
, reduzindo assim
custos de plantio.
4.8. Açúcar total recuperável (ATR), tonelada de açúcar por hectare (TAH),
açúcar redutor (AR), álcool hidratado e álcool anidro
As variáveis tecnológicas, ATR, TAH, AR, álcool hidratado e anidro, não
apresentaram diferenças significativas (Tabela 10). Entretanto, como o ATR
padrão empregado pelas usinas da Região Norte Fluminense é de 111,7 kg ton
-1
(Sindicato da Indústria e da Refinação do Açúcar nos Estados do Rio de Janeiro e
Espírito Santo, 1991) e o valor médio encontrado neste trabalho foi de 145,5 kg
ton
-1
, o ágio provável obtido de 30% foi considerado excelente para os parâmetros
da região. No entanto, esse ágio possivelmente ocorreu devido à metodologia em
que foi realizada a colheita experimental. A cana foi entregue para análise sem
palha e impurezas minerais em excesso, fatores estes que não ocorrem em áreas
comerciais, devido ao procedimento da colheita convencional.
44
Tabela 10. Características agroindustriais açúcar total recuperável (ATR),
tonelada de açúcar por hectare (TAH), açúcar redutor (AR), alcool
hidratado e álcool anidro, em função dos tratamentos de formas de
plantio e densidades de gemas em Campos dos Goytacazes - RJ,
Faz. Abadia, ano agrícola 2007/2008, UENF
Forma de plantio
Densidade de gemas
Médias
15 20
ATR
---------------------- (kg ton
-1
) ----------------------
(I) colmo inteiro com palha e com
ponta
144,31 147,68 146,00 a
(II) colmo inteiro com palha e sem
ponta
145,45 147,46 146,46 a
(III) colmo inteiro sem palha e sem
ponta
146,94 147,72 147,33 a
(IV) colmo picado sem palha e sem
ponta (convencional)
143,08 141,43 142,25 a
Médias
144,95 A
146,07 A
145,5
C.V. (%)
3
TAH
---------------------- (ton ha
-1
) ----------------------
(I) colmo inteiro com palha e com
ponta
13,67 14,06
13,86
a
(II) colmo inteiro com palha e sem
ponta
13,47 13,30
13,39
a
(III) colmo inteiro sem palha e sem
ponta
15,02 17,47
16,24
a
(IV) colmo picado sem palha e sem
ponta (convencional)
15,34 14,60
14,97
a
Médias
14,38 A
14,86 A
14,62
C.V. (%) 17
Açúcar redutor
---------------------- (%) ----------------------
(I) colmo inteiro com palha e com
ponta
0,59 0,50 0,55 a
(II) colmo inteiro com palha e sem
ponta
0,60 0,51 0,56 a
(III) colmo inteiro sem palha e sem
ponta
0,56 0,55 0,55 a
(IV) colmo picado sem palha e sem
ponta (convencional)
0,58 0,54 0,56 a
Médias
0,58 A
0,53 A
0,56
C.V. (%)
16
45
Tabela 10, continuação
Álcool hidratado
---------------------- (L ton
-1
) ----------------------
(I) colmo inteiro com palha e com
ponta
82,89 84,83 83,86 a
(II) colmo inteiro com palha e sem
ponta
83,55 84,70 84,13 a
(III) colmo inteiro sem palha e sem
ponta
84,40 84,85 84,63 a
(IV) colmo picado sem palha e sem
ponta (convencional)
82,18 81,24 81,71 a
Médias
83,26 A
83,90 A
83,58
C.V. (%)
3
Álcool anidro
---------------------- (L ton
-1
) ----------------------
(I) colmo inteiro com palha e com
ponta
79,43 81,28
80,35
a
(II) colmo inteiro com palha e sem
ponta
80,06 81,16
80,61
a
(III) colmo inteiro sem palha e sem
ponta
80,87 81,31
81,09
a
(IV) colmo picado sem palha e sem
ponta (convencional)
78,75 77,84
78,30
a
Médias
79,78 A
80,40 A
80,09
C.V. (%)
3
(1)
Médias na linha, seguidas por letras maiúsculas semelhantes, não diferem pelo teste F em
nível de 5% de probabilidade, e na coluna seguidas por letras minúsculas semelhantes, não
diferem pelo teste de Tukey em nível de 5% de probabilidade.
46
5. RESUMO E CONCLUSÕES
A cultura da cana-de-açúcar na região Norte-Fluminense carece de
recursos materiais, humanos e financeiros. Esses fatores se juntam ao clima
irregular da região, resultando em canaviais com produtividades muito aquem da
média nacional. O sistema MEIOSI (Método Interrotacional Ocorrendo
Simultaneamente), ao mesmo tempo em que traz tecnologia focada no manejo da
cultura, reduz custos de produção, aumenta a qualidade do plantio da cana-de-
úcar e, consequentemente, aumenta a produtividade.
Para avaliar a melhor forma de plantio e densidade de gemas, utilizando
mudas com seis meses de idade proveniente do sistema MEIOSI, foi conduzido
um experimento a campo na Fazenda Abadia, em Campos dos Goytacazes - RJ.
As mudas jovens foram distribuídas num arranjo fatorial 4x2 (Formas de plantio x
Número de gemas por metro de sulco), em delineamento em blocos ao acaso,
com quatro repetições. As formas de plantio foram: (I) colmo inteiro com palha e
com ponta; (II) colmo inteiro com palha e sem ponta; (III) colmo inteiro sem
palha e sem ponta; (IV) colmo picado sem palha e sem ponta (plantio
convencional), utilizando-se 15 e 20 gemas por metro de sulco.
A forma de plantio convencional (IV) apresentou maior porcentagem de
brotação seguido da forma de plantio (III) colmo inteiro sem palha e sem ponta.
A palha foi definitiva para a baixa porcentagem de brotão nas formas de plantio
I e II, assim a eliminação desta é necessária para brotação homogênea e
vigorosa.
47
O arqueamento de mudas de modo geral foi muito baixo, com destaque
para a forma de plantio (I) colmo inteiro com palha e com ponta -, onde não
ocorreu o fenômeno.
A menor porcentagem de falhas obtida foi para o plantio convencional (IV)
seguida da forma de plantio III colmo inteiro sem palha e sem ponta. Assim,
estas duas formas se destacaram com excelente qualidade de plantio.
O peso e comprimento de colmos não apresentaram diferenças
significativas para as formas de plantio estudadas.
Os tratamentos utilizados não interferiram nas variáveis tecnológicas.
A forma de plantio (I) colmo inteiro com palha e com ponta - proporciona
maior economia de mão-de-obra no plantio e não diferiu das outras em relação às
variáveis produtivas, assim é a forma recomendada entre as quatro estudadas.
A densidade de 15 gemas m
-1
, utilizando mudas do sistema MEIOSI e a
forma de plantio recomendada, é suficiente para excelente formação de canaviais.
48
6. RECOMENDAÇÕES
De acordo com os resultados deste trabalho, algumas sugestões para futuras
pesquisas nesse direcionamento são de valiosa importância.
1) Avaliar a economia de plantio real que a forma de plantio (I) colmo inteiro
com palha e com ponta proporciona, utilizando o sistema MEIOSI.
2) Estudar menores densidades de gemas utilizando a muda jovem de seis
meses de idade, a fim de reduzir custos e aumentar a eficiência de plantio.
3) Realizar alise econômica comparando o plantio convencional e o plantio
com o sistema MEIOSI solteiro e em rotação com culturas.
4) Avaliar o desempenho de outras variedades de cana-de-úcar e tipos de
solos diferentes, utilizando o sistema MEIOSI.
5) Direcionar o estudo do sistema MEIOSI, para o plantio direto da cana-de-
açúcar e da cultura intercalar, de modo a gerar pacotes tecnológicos para
cada ambiente de produção.
49
REFERÊNCIAS BIBLIOGRÁFICAS
Anfavea (2007) Associação Nacional dos Fabricantes de Veículos Automotores
Anuário da Indústria Automobilística Brasileira.
<http://www.anfavea.com.br/anuario.html>: Acesso em 18 nov. 2007.
Arcenaux, G. (1948) Studies of some practical means of increasing the
germination of sugarcane under Louisiana conditions. Sugar Bulletin, n. 26,
p.389-395.
Azevedo, H. J.; Souza, D. de; Rabelo, P.R. (2000) - Boletim Climático do Campus
Dr. Leonel Miranda. Dados mensais (1975-1999). Boletim Técnico nº 16.
Barros, R. (2007) Energia para um novo mundo CREA-RJ, Rio de Janeiro RJ,
144p. <http://www.crea-rj.org.br/>: Acesso em 13 nov. 2007.
Beauclair, E.G.F.; Scarpari, M.S. Noções fitotécnicas. In: Ripoli, T.C.C. ; Ripoli,
M.L.C. ; Casagrandi, D. ; Ide, B.Y. . Plantio de cana-de-úcar: estado da arte.
Piracicaba: Barros & Marques Editoração Eletrônica, 2006. v. 1. 216 p.
Brandão A. (1984) Cana-de-açúcar, álcool e açúcar na história e no
desenvolvimento social do Brasil. Brasília, Horizonte Editora, p. 55-6.
Brito, S. A. de. (1988) Efeito de tamanhos de toletes e de cana inteira, com e sem
desponte, na produção da cana-de-açúcar. Dissertação (Mestrado) - Viçosa
MG, Universidade Federal de Viçosa UFV, 50p.
Castilho, C. P. G. (2000) Interceptação de chuvas na cultura da cana-de-açúcar
(Saccharum Officinarum ssp.). Dissertação (Mestrado em Engenharia Agrícola)
Campinas SP, Faculdade de Engenharia Agrícola, Universidade Estadual de
Campinas UNICAMP, 256p.
50
Castro, P.R.C., Kluge, R.A. (2001) Ecofisiologia de culturas extrativas: cana-
deaçúcar; seringueira; coqueiro; dendezeiro e oliveira. Cosmópolis - SP:
Editora Stoller do Brasil, 138 p.
Cesnik, R.; Vencovsky, R. (1974) Expected response to selection, heritability,
genetic correlations, and response to selection of some characters in
sugarcane. In: Congress of the international society of sugar cane
technologists,15, Durban. Proceedings Durban: ISSCT, p. 96-101.
Conab (2008a) - Companhia Nacional de Abastecimento Acompanhamento da
Safra Brasileira Cana-de-Açúcar Safra 2008/2009, segundo levantamento,
agosto/2008.<http://www.conab.gov.br/conabweb/download/safra/2_levantame
nto2008_ago2008.pdf>: Acesso em 15 nov. 2008.
Conab (2008b) - Companhia Nacional de Abastecimento - Perfil do Setor do
Açúcar e do Álcool no Brasil. Brasília DF, 76p.
Consecana (2004) Conselho dos produtores de cana-de-açúcar, açúcar e álcool
dos Estados de São Paulo. Manual de Instruções. 4ª ed. 69p.
Convênio UFRRJ-FAPUR/Associações dos Plantadores/Unidades Industriais do
Estado do Rio de Janeiro (2007) Indicadores dos preços do açúcar.
<http://www.campuslm.ufrrj.br/> : Acesso em 18 nov. 2007.
Copersucar (1989). Cana-de-açúcar e álcool. A energia que vem do sol. São
Paulo - SP, Copersucar.
Datagro (2007). Informativo Datagro. São Paulo SP. <http://www.datagro.com>:
Acesso em 28 nov. 2007.
Dillewijn, C. Van. (1952) Botany of sugarcane. Waltham: The Chronica Botanica,
371 p.
Duarte Júnior, J.B. (2006) Avaliação agronômica da cana-de-açúcar, milho e
feijão em sistema de plantio direto em comparação ao convencional em
Campos dos Goytacazes-RJ. Tese (Doutorado em Produção Vegetal)
Campos dos Goytacazes, RJ, Universidade Estadual do Norte Fluminense
Darcy Ribeiro UENF, 284p.
Ferlini, V.L.A. (1998) A civilização do açúcar. 11. ed São Paulo, Editora
Brasiliense, p. 10-28.
Ferreira, P. V. (2000) Estatística Experimental Aplicada à Agronomia. 3ª edição /
Paulo Vanderlei Ferreira Maceió : EDUFAL, 422p.
Garcia, J. C. (2005) Efeitos da adubação orgânica, associada ou não à adubação
química, calagem e fosfatagem, nos rendimentos agrícola: e de aguardente
teórica da cana- de-açúcar (Saccharum spp). Tese (Doutorado) Lavras, MG,
Universidade Federal de Lavras UFLA, 82 p.
51
Gheller, A. C. A. (1995) Técnica para o controle da podridão abacaxi em cana-de-
açúcar e modelo para a estimativa de perdas. Dissertação (Mestrado)
Piracicaba - SP, Escola Superior de Agricultura “Luiz de Queiroz”,
Universidade de São Paulo USP, 115p.
Kanwar, R. S.; Sharma, H. L.; Aulakh, M. S. (1975) Effect of piece size on
germination and yield of sugar cane. Sugar News, v. 6, n.9, p.3-11.
Landell, M. G. de A (1998) Plantio com MEIOSI. 2º seminário IDEA, Redução de
custos na lavoura canavieira, p. 54-62.
Lee, T. S. G. (1984) Efeito do plantio de cana inteira na germinação, no
desenvolvimento e na produção de cana-de-açúcar. Cadernos Planalsucar,
v.3, n.1. p.13-23.
Lee, T. S. G.; Martins, J.; Matsoka, S.; Magalhães, P. M.; Castilho, H. J.; Furlani
Neto, V. L. (1986) Plantio de cana inteira: viabilidade e recomendações.
Saccharum, v. 9, n.43, p.20-23.
Lee, T. S. G.; Silva, M. R. (1987) Pré-tratamento para plantio de cana inteira.
Brasil Açucareiro, v.105, n.4,5/6. p.8-12.
Lonsdale, J. E. (1978) Planting depth and seed material for establishment of
sugarcane. In: Congress of the international society of sugarcane
technologists, 16., São Paulo, Proceedings. São Paulo: ISSCT. v.2, p.945-961.
Ma, Y. C. (1980) Planting the whole stalk seed cane TSC plantation. Report of
Taiwan Sugar Research Institute, v. 27, n.4, p.130.
Machado, E.C. (1987) Fisiologia de produção de cana-de-açúcar. In: PARANHOS,
S.B. (Coord.). Cana-de-açúcar: cultivo e utilização. Campinas: Fundação
Cargill, 1987. v. 1, p. 56-87.
Malavolta, E., Haag, H. P. (1964) Cultura e adubação da cana-de-açúcar. In:
Instituto Brasileiro de Potassa. São Paulo, p. 221-236.
Marchiori, L. F. S. (2004) Influência da época de plantio e corte na produtividade
de cana-de-açúcar. Tese (Doutorado) - Piracicaba - SP, Escola Superior de
Agricultura “Luiz de Queiroz”, Universidade de São Paulo USP, 273 p.
Mariotti, J.A. (1971) Associations among yeld and quality components in
sugarcane hybrid progênies. In: Congress of the international society of sugar
cane tecnologists, 14, New Orleans. Proceedings. New Orleans: ISSCT, p.
177-184.
Melo, L. (2007) Etanol: Brasil corre o risco de perder liderança. O Globo, Rio de
Janeiro, 11. nov. Economia, p. 32.
Miller, J.D.; James, N.I. (1974) The influence of stallk density on cane yield. In:
Congress of the international society of sugar cane technologists,15., Durban.
Proceedings. Durban: ISSCT,p. 177-184.
52
Mutton, M.A. (1990) Influência da pré-fertilização nitrogenada associada à
sistemas de plantio de mudas de cana-de-açúcar (Saccharum spp.). Tese
(Doutorado) Piracicaba SP, ESALQ, 240p.
Peixoto, R.T. dos G.; Ahrens, D.C. & Samaha, M.J. (1997) Plantio direto “o
caminho para uma agricultura sustentável”. 1.ed.. Ponta Grossa, PR: IAPAR,
275p.
Petrobras (2007) Etanol em alta. Petrobras Magazine, ed. 52:
<http://www2.petrobras.com.br/atuacaointernacional/petrobrasmagazine/pm52/
port/etanol_2.html> :Acesso em 18 nov. 2007.
Pinto, R. (2007) Idea News matérias, Usina competitiva - Usina São José da
Estiva com um dos menores custos de produção de cana. Idea Online. <
http://www.ideaonline.com.br/idea/ver.asp?id=96>: Acesso em 22 de nov.
2007.
Plana, R.; Domini, M. E.; Espinosa, R. (1987) Influencia de las precipitaciones y la
temperatura sobre la brotadura de dos variedades de caña de azucar
(Saccharum sp brido) plantadas en diferentes meses. Cultivos Tropicales.
v.9, n.3, p. 19-24.
Planalsucar (1977) - Programa Nacional de melhoramento da cana-de-úcar
Guia para a identificação das principais variedades da cana-de-açúcar no
Brasil. Piracicaba, SP. 28p.
PMGCA (2009) Programa de Melhoramento Genético da Cana-de-Açúcar. Araras
SP. <http://pmgca.dbv.cca.ufscar.br/htm/catal/rb867515.php> Acesso em 6
jan. 2009.
Prado Junior, C. (1998) Historia econômica do Brasil. 43. ed São Paulo, Editora
Brasiliense, p. 243-8.
Quintela, A. C. R. (1996) Avaliação do plantio convencional e de cana inteira, com
e sem desponte, e da compactação pós-cobertura, em duas variedades de
cana-de-açúcar. Dissertação (Mestrado) Lavras - MG, Universidade Federal
de Lavras UFLA, 37p.
Ramesh, P.; Mahadevaswamy, M. (2000) Effect of formative phase drought on
different classes os shoots, shoot mortality, cane attributes, yield and quality of
four sugarcane cultivars. J. Agronomy & Crop Science. Berlim, v.185, p.249-
258.
Reis Jr., R.A. & Monnerat, P.H. (2002) Diagnose nutricional da cana-de-açúcar
em Campos dos Goytacazes (RJ). Revista Brasileira de Ciência do Solo, 26:
367- 372.
Ribeiro Júnior, J. I. (2001) Análises Estatísticas no SAEG. José Ivo Ribeiro Júnior.
Viçosa : UFV, 301p.
53
Santos, A.M.C. (1983) Emergência, perfilhamento e produção de colmos de cana-
de-açúcar (Saccharum sp.) em função das épocas de plantio no Estado de
São Paulo. Dissertação (Mestrado em Fitotecnia). Piracicaba SP, ESALQ,
154p.
Segato, S.V.; Pinto, A. de S.; Jendiroba, E.; Nóbrega, J.C.M. (2006) Atualização
em produção de cana de açúcar. Piracicaba, Editora Prol, 415p.
Sindicato da Indústria e da Refinação do Açúcar nos Estados do Rio de Janeiro e
Espírito Santo (1991) Regulamento do sistema de pagamento de canas de
fornecedores pelo teor de sacarose e pureza no Estado do Rio de Janeiro.
Campos dos Goytacazes RJ, 35p.
Stolf, R.; Iaia, A. M.; Lee, T. S. G. (1986) Índice de falha segundo o método de
STOLF; correlação com rendimento agrícola em cana planta. Brasil
Açucareiro, v.104, n.5/6, p. 44-50.
Stolf, R. (1986) Metodologia de avaliação de falhas nas linhas de cana-de-açúcar.
STAB. Açúcar, Álcool e Subprodutos, v. 4, n. 6, p. 22-36.
Tokeshi, H. (1986) Perfilhamento e perdas pelo carvão da cana-de-açúcar. STAB,
Piracicaba, v.4, n.5, p.34-44.
Toledo, V.V; Gancho, C.V. (1996) Verdes canaviais. 2. ed São Paulo, Editora
Moderna, p. 13-6; 42-58.
Vasconcelos, A. C. M. (2006) V Curso “Tópicos da cultura da Cana-de-úcar”,
Brotação da cana-de-açúcar, Campinas SP, Instituto Agronômico de
Campinas (IAC), 11p.
Veiga, C. F. M.; Vieira, J. R.; Morgado, I. F. (2006) Diagnóstico da Cadeia
Produtiva da Cana-de-açúcar do estado do Rio de Janeiro. Rio de Janeiro,
107p.
Wood, R. A. (1987) Cane deterioration as affected by billet size, delay in milling
and other factors. South African, Sugar Technologists Association, 50. Tropical
Agricultive, v.3, n.2, p.134.
Yang, P. C.; Lo, C. C.; Ho, F. C.; Yin, S. A. (1981) A study of planting whole-stalk
seed cane, its germination, growth and sugar cane yield. Report of Taiwan
Sugar Research Institute, n.94, p.19-32.
54
55
APÊNDICE
56
Tabela 1A. Resumo da analise de variância dos dados de porcentagem de brotação e
arqueamento de mudas da cana-de-açúcar em Campos dos Goytacazes - RJ
, Faz. Abadia, ano agrícola 2007/2008, UENF
FV GL
Quadrados Médios
Porcentagem de brotação
Arqueamento de mudas
FP
3
2643,273
**
385,3353
**
DG
1
282,0312
**
206,2988
FP x DG
3
109,7656
*
30,51758
Bloco
3
49,84086
264,8926
Resíduo
21
34,18692
73,30032
Total
31
CV (%)
12
133
* Significativo a 5% de probabilidade, pelo teste F.
** Significativo a 1% de probabilidade, pelo teste F.
Tabela 2A. Resumo da análise de variância dos dados de porcentagem, tamanho médio e
freqüência de falhas da cana-de-açúcar em Campos dos Goytacazes - RJ ,
Faz. Abadia, ano agrícola 2007/2008, UENF
FV GL
Quadrados Médios
Porcentagem de falha
Tamanho médio de falha
FP
3
558,6867
**
1,0723
**
DG
1
160,3169
0,0414
FP x DG
3
65,2310
0,0576
Bloco
3
54,7365
0,0379
Resíduo
21
61,6874
0,0394
Total
31
CV (%)
77
37
* Significativo a 5% de probabilidade, pelo teste F.
** Significativo a 1% de probabilidade, pelo teste F.
57
Tabela 3A. Resumo da análise de variância da contagem do número de perfilhos por metro aos 53, 117,
176, 314, 488 dias após o plantio (DAP) na cana-de-açúcar em Campos dos Goytacazes - RJ,
Faz. Abadia, ano agrícola 2007/2008, UENF
FV GL
Quadrados Médios
53
117
176
314
488
FP
3
59,4736
*
78,5792
*
51,8544
*
3,9786
*
3,0083
*
DG
1
6,3457
*
13,5363
*
8,5724
0,4542
0,9669
FP x DG
3
2,4697
*
4,2749
2,1658
0,3510
1,6206
Bloco
3
1,1214
1,6525
3,8299
1,9262
1,8937
Resíduo
21
0,7692
3,0235
2,1575
0,6597
0,7903
Total
31
CV (%)
12
14
10
10
13
* Significativo a 5% de probabilidade, pelo teste F.
Tabela 4A. Resumo da análise de variância dos dados de peso, diâmetro e
comprimento de colmos em Campos dos Goytacazes - RJ, Faz. Abadia,
ano agrícola 2007/2008, UENF
FV GL
Quadrados Médios
Peso de colmo
Diâmetro de colmo
Comprimento de colmo
FP
3
0,0157
0,0605*
0,0342
DG
1
0,0148
0,0354
0,0746
FP x DG
3
0,1431
0,0189
ns
0,0699
Bloco
3
0,0049
0,0042
0,1428
Resíduo
21
0,0489
0,0097
0,0386
Total
31
CV (%)
11
3
5
* Significativo a 5% de probabilidade, pelo teste F.
58
Tabela 5A. Resumo da análise de variância das características agroindustriais brix, fibra da cana e pureza
do caldo da variedade RB 867515 em Campos dos Goytacazes - RJ, Faz. Abadia, ano
agrícola 2007/2008, UENF
FV GL
Quadrados Médios
Brix
Fibra da cana
Pureza do caldo
FP
3
1,2937
0,2386
0,0270
DG
1
0,4278
1,6748
*
3,2909
FP x DG
3
0,3170
1,0390
0,3304
Bloco
3
1,2303
0,7214
7,4770
Resíduo
21
0,5986
0,3797
1,0913
Total
31
CV (%)
4
5
1
* Significativo a 5% de probabilidade, pelo teste F.
Tabela 6A. Resumo da análise de variância da tonelada de cana por hectare (TCH), pol da cana (PC) e
tonelada de pol por hectare (TPH) da variedade RB 867515 em Campos dos Goytacazes -
RJ, Faz. Abadia, ano agrícola 2007/2008, UENF
FV GL
Quadrados Médios
TCH
PC
TPH
FP
3
622,9871
0,5270
15,4418
DG
1
60,6058
0,2686
2,6097
FP x DG
3
160,9787
0,1413
4,6365
Bloco
3
314,6622
1,8396
9,9829
Resíduo
21
308,2400
0,3669
7,2866
Total
31
CV (%)
18
4
17
59
Tabela 7A. Resumo da análise de variância das características agroindustriais açúcar total recuperável
(ATR), tonelada de açúcar por hectare (TAH), açúcar redutor (AR), álcool hidratado e álcool
anidro da variedade RB 867515 em Campos dos Goytacazes - RJ, Faz. Abadia, ano agrícola
2007/2008, UENF
FV GL
Quadrados Médios
ATR
TAH
AR
Álcool hidratado
Álcool Anidro
FP
3
40,15982
12,9267
0,0003
13,2501
12,1660
DG
1
10,15120
1,8532
0,0277
3,3492
3,0752
FP x DG
3
9,087917
3,8799
0,0032
2,9984
2,7531
Bloco
3
100,9690
7,7559
0,0541
33,3133
30,5876
Resíduo
21
24,36315
6,0655
0,0082
8,0383
7,3806
Total
31
CV (%)
3
17
16
3
3
60
Figura 1. Sistema de numeração de folhas no sistema estabelecido por Kuijper.
61
Figura 2. Sistema de numeração de folhas de Kuijper.
Livros Grátis
( http://www.livrosgratis.com.br )
Milhares de Livros para Download:
Baixar livros de Administração
Baixar livros de Agronomia
Baixar livros de Arquitetura
Baixar livros de Artes
Baixar livros de Astronomia
Baixar livros de Biologia Geral
Baixar livros de Ciência da Computação
Baixar livros de Ciência da Informação
Baixar livros de Ciência Política
Baixar livros de Ciências da Saúde
Baixar livros de Comunicação
Baixar livros do Conselho Nacional de Educação - CNE
Baixar livros de Defesa civil
Baixar livros de Direito
Baixar livros de Direitos humanos
Baixar livros de Economia
Baixar livros de Economia Doméstica
Baixar livros de Educação
Baixar livros de Educação - Trânsito
Baixar livros de Educação Física
Baixar livros de Engenharia Aeroespacial
Baixar livros de Farmácia
Baixar livros de Filosofia
Baixar livros de Física
Baixar livros de Geociências
Baixar livros de Geografia
Baixar livros de História
Baixar livros de Línguas
Baixar livros de Literatura
Baixar livros de Literatura de Cordel
Baixar livros de Literatura Infantil
Baixar livros de Matemática
Baixar livros de Medicina
Baixar livros de Medicina Veterinária
Baixar livros de Meio Ambiente
Baixar livros de Meteorologia
Baixar Monografias e TCC
Baixar livros Multidisciplinar
Baixar livros de Música
Baixar livros de Psicologia
Baixar livros de Química
Baixar livros de Saúde Coletiva
Baixar livros de Serviço Social
Baixar livros de Sociologia
Baixar livros de Teologia
Baixar livros de Trabalho
Baixar livros de Turismo