Download PDF
ads:
1
FLOTAÇÃO ANIÔNICA DE MINÉRIO DE FERRO
Autor: DÉBORA ROSA NASCIMENTO
Orientador: Prof.ª Dr.ª ROSA MALENA FERNANDES
LIMA
Dissertação apresentada ao Programa de Pós-
Graduação do Departamento de Engenharia de
Minas da Escola de Minas da Universidade
Federal de Ouro Preto, como parte integrante
dos requisitos para obtenção do título de
Mestre em Engenharia de Minas.
Área de concentração:
Tratamento de Minérios
Ouro Preto / abril de 2010
MINISTÉRIO DA EDUCAÇÃO E DO DESPORTO
Escola de Minas da Universidade Federal de Ouro Preto
Departamento de Engenharia de Minas
Programa de Pós-Graduação em Engenharia Mineral PPGEM
ads:
Livros Grátis
http://www.livrosgratis.com.br
Milhares de livros grátis para download.
2
N244f Nascimento, Débora Rosa.
Flotação aniônica de minério de ferro [manuscrito] / Débora Rosa Nascimento
2010.
115f.: il., grafs., tabs.
Orientadora: Profa. Dra. Rosa Malena Fernandes Lima.
Dissertação (Mestrado) - Universidade Federal de Ouro Preto. Escola de Minas.
Departamento de Engenharia de Minas. Programa de Pós-graduação em
Engenharia Mineral.
Área de concentração: Tratamento de minérios.
1. Flotação - Teses. 2. Minérios de ferro - Teses. 3. Íons - Teses. 4. Reagentes para
flotação - Teses. I. Universidade Federal de Ouro Preto. II. Título.
CDU: 622.765
Catalogação: [email protected]
ads:
3
4
Ao meu filho Paulinho e ao meu marido Pablo.
5
AGRADECIMENTOS
À Prof.ª Drª Rosa Malena Fernades Lima, por sua paciência na orientação deste
trabalho.
Ao Programa de Pós-Graduação em Engenharia Mineral (PPGEM), UFOP, em especial
ao secretário Marcelo da Costa, pela prontidão em atender as solicitações de auxílio
na elaboração deste trabalho.
Aos professores do PPGEM UFOP, pela contribuição com informações relevantes ao
trabalho.
Aos técnicos dos laboratórios do Departamento de Engenharia de Minas, UFOP, em
especial ao técnico Luís Cláudio do Sacramento pela disponibilidade em auxiliar nas
atividades práticas.
Aos colegas Ana Cláudia, Emily, Michel e Guilherme pelo companheirismo das rotinas
em laboratório.
À colega e estagiária, do curso Técnico em Mineração, Pamela Lisboa pelo auxílio em
diversos experimentos realizados em conjunto e pela companhia em idas e vindas aos
laboratórios do DEMIN.
Aos meus familiares (mãe, pai e irmãos: Lanise, Tales e Túlio) pela motivação,
paciência e muito apoio nestes dois anos de dias e dias difíceis e imprevisíveis, às
vezes.
Ao meu marido e filho pela alegria e compreensão pela minha ausência em vários
momentos únicos em suas vidas.
À CAPES, pela concessão da minha bolsa de mestrado.
À VALE pelo financiamento do projeto.
À FAPEMIG, pelos recursos utilizados para aquisição de diversos equipamentos do
laboratório de Propriedades Interfaciais do DEMIN.
AO CNPq pelos recursos utilizados para montagem do sistema de microflotação do
Laboratório de Flotação do DEMIN.
6
RESUMO
A crescente demanda por minério de ferro pelo mercado consumidor propicia a
explotação e concentração de minérios marginais (de baixo teor de Fe e altos conteúdos
de sílica e outras impurezas). No entanto, para a produção de concentrados a partir de
minérios pobres e complexos dentro das especificações de mercado, faz-se necessário
pesquisar novas rotas de processo. Dentre algumas possibilidades pode-se destacar a
flotação aniônica direta dos minerais de ferro e flotação aniônica inversa dos minerais de
ganga pela prévia ativação dos silicatos presentes. Nesse trabalho estão apresentados
estudos de flotação aniônica direta e inversa de minério de ferro usando oleato de sódio
como coletor. Em uma primeira fase foram efetuados estudos da interferência dos
depressores metassilicato, fluorsilicato e hexametafosfato de sódio, dextrina branca e
amido de milho na flotabilidade dos minerais hematita e quartzo com oleato de sódio nas
dosagens de 50 mg/L para a hematita e 70 mg/L para o quartzo, em pH 7. Nesses estudos,
verificou-se que o hexametafosfato de sódio não conduziu a separação seletiva entre os
dois minerais e que com o condicionamento prévio do metassilicato de sódio na dosagem
de 1 mg/L, em pH 9, foram obtidas flotabilidades de 82 e 32%, respectivamente para a
hematita e quartzo. A ativação prévia dos minerais com MnCl
2
(dosagem de 5 mg/L) e o
posterior condicionamento com metassilicato de sódio (dosagem de 100 mg/L) e oleato de
sódio (dosagem de 50 mg/L), resultou em flotabilidade de 73% do quartzo e 15% da
hematita. Em pH 7, as espécies predominantes do Mn em solução são Mn
2+
e o MnOH
+
,
que se adsorveram sobre a superfície do quartzo tornando-a positiva, o que propiciou a
adsorção do oleato sobre a superfície do mesmo. Esse efeito não foi observado para a
hematita, cujo ponto isoelétrico foi de 7,8. Em ensaios de flotação direta, utilizando o
depressor fluorsilicato de sódio, efetuados com a amostra de minério de ferro, da Mina
Fábrica Nova, foram obtidos concentrados rougher com teor de Fe de 46,7% e de SiO
2
de
28,8% e para o metassilicato de dio, utilizando a mesma amostra, os teores obtidos
foram 49,3 e 25,3% de Fe e SiO
2
, respectivamente. No caso da flotação inversa da ganga
silicática com ativação prévia com MnCl
2
os resultados foram piores do que aqueles
obtidos na flotação direta do minério de Fábrica Nova.
Palavras chave: Flotação aniônica, minério de ferro, ativação com íons.
7
ABSTRACT
The increasing demand for iron ore by the consumer market provides the exploitation
and concentration of marginal ores (low Fe and high contents of SiO
2
and other
impurities). However, for the production of poor and complexes ore concentrates
within the specifications of the market it is necessary to search new processing routes
among them can highlight the direct anionic flotation of iron minerals. In this work,
there are studies about anionic flotation of iron ore using sodium oleate as collector. In
the first phase, were conducted studies about interference of depressants
metasilicate, hexametaphosphate and fluorsilicate of sodium, dextrin white and corn
starch in flotability of hematite and quartz with sodium oleate at doses of 50 mg/L for
hematite and 70 mg/L for quartz at pH 7. In these studies, it was found that sodium
hexametaphosphate did not lead to selective separation between the two minerals,
and the conditioning with sodium metasilicate in the dosage of 1 mg/L, pH 9, were
obtained flotability of 82 and 32% , respectively, for hematite and quartz. The previous
activation of minerals with MnCl
2
(dosage of 5 mg/L) and subsequent conditioning with
sodium metasilicate (dosage of 100 mg/L) and oleic acid (dosage of 50 mg/L) resulted
in 73% and 15% of flotability of quartz and hematite. At pH 7, the Mn predominant
species in solution are Mn
2+
and MnOH
+
, which is adsorbed on the surface of quartz
making it positive, which allowed the adsorption of oleate on the surface. This effect
was not observed for the hematite, whose isoelectric point was 7.8. In direct flotation
tests, using the depressor fluorsilicate of sodium, made with the sample of iron ore
from Mina Fábrica Nova, were obtained rougher concentrates with Fe content of
46.7% and 28.8% SiO
2
and the metasilicate of sodium, using the same sample, the
levels obtained were 49.3 and 25.3% Fe and SiO
2
, respectively. In the case of reverse
flotation of gangue silicates with previous activation with MnCl
2
resulted in worse
results than those obtained in the direct flotation of the ore from Fábrica Nova.
Keywords: anionic flotation, iron ore, activation with ions.
8
SUMÁRIO
1 INTRODUÇÃO .................................................................................................................... 15
2 JUSTIFICATIVA E RELEVÂNCIA .................................................................................... 16
3 OBJETIVO ............................................................................................................................ 17
4 REVISÃO BIBLIOGRÁFICA .............................................................................................. 18
4.1 Minério de Ferro ............................................................................................................ 18
4.1.1 Aspectos gerais ........................................................................................................ 18
4.1.2 Características mineralógicas dos principais minerais de itabiritos ........................ 20
4.1.3 Beneficiamento de Minério de Ferro ....................................................................... 21
4.2 Flotação .......................................................................................................................... 21
4.2.1 Dupla camada elétrica ............................................................................................. 23
4.2.2 Adsorção de coletores ............................................................................................. 27
4.2.3 Reagentes na flotação .............................................................................................. 34
4.2.4 Flotação catiônica reversa de minério de ferro........................................................ 42
4.2.5 Flotação aniônica direta........................................................................................... 46
4.2.6 Interferência de cátions na flotação de minérios de ferro ........................................ 50
5 MATERIAIS E METODOLOGIA ....................................................................................... 53
5.1 Origem e preparo das amostras ...................................................................................... 53
5.2 - Microflotação .................................................................................................................. 58
5.3 Levantamento das curvas de Potencial Zeta ................................................................... 59
5.4 Preparo das soluções dos reagentes ................................................................................ 60
5.4.1 - Coletor oleato de sódio (1% p/v) ............................................................................. 60
5.4.2 Depressor amido de milho (1% p/v) ........................................................................ 61
5.5 Ensaios de flotação em escala de bancada ..................................................................... 61
6. RESULTADOS E DISCUSSÃO ............................................................................................ 65
6.1 Caracterização química do minério Fábrica Nova ......................................................... 65
6.2 Ensaios de microflotação ............................................................................................... 65
9
6.2.1 Sistema metassilicato de sódio / oleato de sódio ..................................................... 65
6.2.2 Sistema fluorsilicato de sódio / oleato de sódio ...................................................... 67
6.2.3 Sistema hexametafosfato de sódio / oleato de sódio ............................................... 69
6.2.4 Sistema dextrina branca / oleato de sódio ............................................................... 70
6.2.5 Sistema amido de milho / oleato de sódio ............................................................... 72
6.2.6 Sistema cloreto de cálcio / metassilicato de sódio / oleato de sódio ....................... 74
6.2.7 Sistema cloreto de ferro II / metassilicato de sódio / oleato de sódio ..................... 76
6.2.8 Sistema cloreto de manganês / metassilicato de sódio / oleato de sódio ................. 77
6.2.9 Sistema cloreto de alumínio / metassilicato de sódio / oleato de sódio ................... 78
6.3 Estudos eletrocinéticos ................................................................................................... 80
6.3.1 Sistema fluorsilicato de sódio / oleato de sódio ...................................................... 80
6.3.2 Sistema cloreto de manganês / metassilicato de sódio / oleato de sódio ................. 81
6.3.3 Sistema cloreto de alumínio / metassilicato de sódio / oleato de sódio ................... 83
6.4 Flotação em escala de bancada ....................................................................................... 85
6.4.1 Sistema fluorsilicato de sódio / oleato de sódio ...................................................... 85
6.4.2 Sistema metassilicato de sódio / oleato de sódio ..................................................... 95
6.4.3 Sistema cloreto de manganês / metassilicato de sódio / oleato de sódio ............... 101
7. CONCLUSÕES ..................................................................................................................... 104
8. REFERÊNCIAS BIBLIOGRÁFICAS .................................................................................. 106
APÊNDICE 1: Balanços de Massas e Metalúrgicos dos Ensaios de Flotação em Bancada ..... 110
10
FIGURAS
Figura 1: Representação esquemática da DCE e da distribuição de potencial. (a) carga
da superfície (b) Plano de Stern (c) camada difusa (Fuerstenau e Palmer, 1976) ....... 24
Figura 2: Dupla Camada Elétrica evidenciando adsorção específica (Bockris, 1973
apud Montes e Peres, 2004) ........................................................................................ 25
Figura 3: Ativação do quartzo por cátions metálicos, (Fuerstenau, 2002) .................. 30
Figura 4: Diagrama da concentração logarítmica para 10
-4
M de Al
3+
, (Fuerstenau,
1976) ........................................................................................................................... 31
Figura 5: Diagrama da concentração logarítmica para 10
-3
M de Ca
2+
, (Fuerstenau,
1976) ........................................................................................................................... 31
Figura 6: Diagrama da concentração logarítmica para 10
-4
M de Fe
2+
, (Fuerstenau,
1976) ........................................................................................................................... 32
Figura 7: Diagrama da concentração logarítmica para 10
-4
M de Mn
2+
, (Fuerstenau,
1976) ........................................................................................................................... 32
Figura 8: Estrutura do ácido oléico ............................................................................. 35
Figura 9: Diagrama de equilíbrio/mobilidade eletroforética (Laskowski, 1987 apud
Viana, 2005) ................................................................................................................ 36
Figura 10: Diagrama de distribuição de várias espécies de silicato em solução aquosa
saturada com sílica amorfa a 25°C (Marinakis e Shergold, 1985) .............................. 38
Figura 11: Diagrama do logaritmo da concentração para solução de 1x10
-3
mol/L de
SiO
2
(Marinakis e Shergold, 1985) ............................................................................. 39
Figura 12: Diagrama das moléculas do hexametafosfato de sódio (Martins, 2001) ... 40
Figura 13: Estrutura geral do amido ............................................................................ 41
Figura 14: Estrutura geral da dextrina ......................................................................... 41
Figura 15: Potencial zeta de hematita e quartzo puros em água destilada em função do
pH (Lopes, 2009)......................................................................................................... 49
Figura 16: Potencial zeta de hematita condicionada em água destilada, hematita na
presença de oleato de sódio, hematita na presença de oleato de sódio e silicato de
sódio (Lopes, 2009) ..................................................................................................... 49
11
Figura 17: Potencial zeta de quartzo condicionado com água destilada, quartzo na
presença de oleato de sódio, quartzo na presença de oleato de sódio e silicato de sódio
em função do pH (Lopes, 2009) .................................................................................. 50
Figura 18: Potencial zeta do quartzo em função do pH na presença de 1x10
-4
M de
FeCl
2
(Fuerstenau, 1976). ............................................................................................ 52
Figura 19: Fluxograma do preparo dos minerais quartzo e hematita para os ensaios de
microflotação e potencial zeta ..................................................................................... 53
Figura 20: Fluxograma do preparo dos finos do minério de ferro para os ensaios de
flotação em bancada .................................................................................................... 54
Figura 21: Flotabilidade do mineral hematita condicionado com metassilicato de sódio
e oleato de sódio (50mg/L) em pH 7 e 9 ..................................................................... 66
Figura 22: Flotabilidade do mineral quartzo condicionado com metassilicato de sódio
e oleato de sódio (70mg/L) em pH 7 e 9 ..................................................................... 66
Figura 23: Flotabilidade do mineral hematita condicionado com fluorsilicato de sódio
e oleato de sódio (50mg/L) em pH 7 e 9 ..................................................................... 67
Figura 24: Flotabilidade do mineral quartzo condicionado com fluorsilicato de sódio e
oleato de sódio (70mg/L) em pH 7 e 9 ........................................................................ 68
Figura 25: Flotabilidade do mineral hematita condicionado com hexametafosfato de
sódio e oleato de sódio (50mg/L) em pH 7 e 9 ........................................................... 69
Figura 26: Flotabilidade do mineral quartzo condicionado com hexametafosfato de
sódio e oleato de sódio (70mg/L) em pH 7 e 9 ........................................................... 70
Figura 27: Flotabilidade do mineral hematita condicionado com dextrina branca e
oleato de sódio (50mg/L) em pH 7 e 9 ........................................................................ 71
Figura 28: Flotabilidade do mineral quartzo condicionado com dextrina branca e
oleato de sódio (70mg/L) em pH 7 e 9 ........................................................................ 71
Figura 29: Flotabilidade do mineral hematita condicionado com amido de milho e
oleato de sódio (50mg/L) em pH 7 e 9 ........................................................................ 72
Figura 30: Flotabilidade do mineral quartzo condicionado com amido de milho e
oleato de sódio (70mg/L) em pH 7 e 9 ........................................................................ 73
Figura 31: Flotabilidade do mineral hematita condicionado com cloreto de cálcio,
metassilicato de sódio (100 mg/L) e oleato de sódio (50mg/L) em função do pH ...... 74
Figura 32: Flotabilidade do mineral quartzo condicionado com cloreto de cálcio,
metassilicato de sódio (100 mg/L) e oleato de sódio (70mg/L) em função do pH ...... 75
Figura 33: Flotabilidade do mineral hematita condicionado com cloreto de ferro,
metassilicato de sódio (100 mg/L) e oleato de sódio (50mg/L) em função do pH ...... 76
12
Figura 34: Flotabilidade do mineral quartzo condicionado com cloreto de ferro,
metassilicato de sódio (100 mg/L) e oleato de sódio (70mg/L) em função do pH ...... 76
Figura 35: Flotabilidade do mineral hematita condicionado com cloreto de manganês,
metassilicato de sódio (100 mg/L) e oleato de sódio (50mg/L) em função do pH ...... 77
Figura 36: Flotabilidade do mineral quartzo condicionado com cloreto de manganês,
metassilicato de sódio (100 mg/L) e oleato de sódio (70mg/L) em função do pH ...... 78
Figura 37: Flotabilidade do mineral hematita condicionado com cloreto de alumínio,
metassilicato de sódio (100 mg/L) e oleato de sódio (50mg/L) em função do pH ...... 79
Figura 38: Flotabilidade do mineral quartzo condicionado com cloreto de alumínio,
metassilicato de sódio (100 mg/L) e oleato de sódio (70mg/L) em função do pH ...... 79
Figura 39: Potencial Zeta da hematita condicionada com fluorsilicato de sódio e com
fluorsilicato de sódio e oleato de sódio ....................................................................... 80
Figura 40: Potencial Zeta do quartzo condicionado com fluorsilicato de sódio e com
fluorsilicato de sódio e oleato de sódio em função do pH ........................................... 81
Figura 41: Potencial Zeta da hematita previamente condicionado com MnCl
2
.......... 82
Figura 42: Potencial Zeta do quartzo previamente condicionado com MnCl
2
............ 83
Figura 43: Potencial Zeta da hematita condicionada com AlCl
3
, metassilicato de sódio
e oleato de sódio em função do pH ............................................................................. 84
Figura 44: Potencial Zeta do quartzo condicionado com AlCl
3
, metassilicato de sódio
e oleato de sódio em função do pH ............................................................................. 84
Figura 45: Gráfico Pareto para a variável resposta recuperação metalúrgica de Fe (Y
1
),
sistema fluorsilicato de sódio/oleato de sódio ............................................................. 86
Figura 46: Gráfico dos efeitos principais para a variável resposta recuperação
metalúrgica de Fe (Y
1
), sistema fluorsilicato de sódio/oleato de sódio ....................... 87
Figura 47: Gráfico das interações para a variável resposta recuperação metalúrgica de
Fe (Y
1
), sistema fluorsilicato de sódio/oleato de sódio ............................................... 88
Figura 48: Gráfico do cubo para a variável resposta recuperação metalúrgica de Fe
(Y
1
), sistema fluorsilicato de sódio/oleato de sódio .................................................... 88
Figura 49: Gráfico Pareto para a variável resposta teor de Fe (Y
2
), sistema
fluorsilicato de sódio/oleato de sódio .......................................................................... 89
Figura 50: Gráfico dos efeitos principais para a variável resposta teor de Fe (Y
2
),
sistema fluorsilicato de sódio/oleato de sódio ............................................................. 89
Figura 51: Gráfico das interações para a variável resposta teor de Fe (Y
2
), sistema
fluorsilicato de sódio/oleato de sódio .......................................................................... 90
13
Figura 52: Gráfico do cubo para a variável resposta teor de Fe (Y
2
), sistema
fluorsilicato de sódio/oleato de sódio .......................................................................... 91
Figura 53: Gráfico Pareto para a variável resposta teor de SiO
2
(Y
3
), sistema
fluorsilicato de sódio/oleato de sódio .......................................................................... 92
Figura 54: Gráfico dos efeitos principais para a variável resposta teor de SiO
2
(Y
3
),
sistema fluorsilicato de sódio/oleato de sódio ............................................................. 92
Figura 55: Gráfico das interações para a variável resposta teor de SiO
2
(Y
3
), sistema
fluorsilicato de sódio/oleato de sódio .......................................................................... 93
Figura 56: Gráfico do cubo para a variável resposta teor de SiO
2
(Y
3
), sistema
fluorsilicato de sódio/oleato de sódio .......................................................................... 94
Figura 57: Gráfico para condição otimizada para o sistema de flotação fluorsilicato de
sódio/oleato de sódio ................................................................................................... 95
Figura 58: Gráfico Pareto para variável resposta recuperação metalúrgica de ferro,
sistema de flotação metassilicato de sódio/oleato de sódio ......................................... 97
Figura 59: Gráfico Pareto para variável resposta teor de Fe no concentrado, sistema de
flotação metassilicato de sódio/oleato de sódio .......................................................... 97
Figura 60: Gráfico Pareto para variável resposta teor de SiO
2
no concentrado, sistema
de flotação metassilicato de sódio/oleato de sódio ...................................................... 98
Figura 61: Gráfico dos efeitos principais para variável resposta teor de Fe no
concentrado, sistema de flotação metassilicato de sódio/oleato de sódio ................... 99
Figura 62: Gráfico dos efeitos principais para variável resposta teor de SiO
2
no
concentrado, sistema de flotação metassilicato de sódio/oleato de sódio ................... 99
Figura 63: Gráfico para condição otimizada para o sistema de flotação metassilicato
de sódio/oleato de sódio ............................................................................................ 100
Figura 64: Recuperação metalúrgica de ferro para a flotação aniônica com ativação
prévia do minério de ferro com MnCl
2
, usando metassilicato de sódio/oleato de sódio
................................................................................................................................... 101
Figura 65: Teor de Fe para a flotação aniônica com ativação prévia do minério de
ferro com MnCl
2
, usando metassilicato de sódio/oleato de sódio ............................. 102
Figura 66: Teor de SiO
2
para a flotação aniônica com ativação prévia do minério de
ferro com MnCl
2
, usando metassilicato de sódio/oleato de sódio ............................. 102
14
TABELAS
Tabela 1: Composição mineralógica dos tipos de minério de ferro do Quadrilátero
Ferrífero ........................................................................................................................... 19
Tabela 2: Adsorção de coletores em silicatos ................................................................. 27
Tabela 3: Estruturas químicas de coletores catiônicos .................................................... 35
Tabela 4: Coletores aniônicos utilizados na flotação de óxidos e silicatos. .................... 36
Tabela 5: Análise mineralógica semi-quantitativa da amostra de minério de ferro da
Mina de Serra serpentina determinadas por microscopia ótica ....................................... 44
Tabela 6: Análise granuloquímica da amostra de minério Serra Serpentina ................... 45
Tabela 7: Composição química da amostra de hematita compacta ................................. 47
Tabela 8: Composição química da amostra de quartzo de Taboões ................................ 48
Tabela 9: Análise mineralógica semi-quantitativa da amostra de minério de ferro da
Mina de Fábrica Nova determinadas por microscopia ótica ........................................... 55
Tabela 10: Composição mineralógica qualitativa do minério de Fábrica Nova por faixa
granulométrica, determinado por difratometria de raios X (método do pó total) ............ 56
Tabela 11: Análise granuloquímica da amostra de minério Fábrica Nova...................... 57
Tabela 12: Os fatores e seus níveis para o planejamento fatorial da flotação aniônica
direta em escala de bancada ............................................................................................ 62
Tabela 13: Planejamento estatístico da flotação aniônica direta em escala de bancada .. 62
Tabela 14: Composição química do minério Fábrica Nova ............................................ 65
Tabela 15: Resultados obtidos dos testes do planejamento estatístico feito com
fluorsilicato de sódio e oleato de sódio ........................................................................... 86
Tabela 16: Resultados obtidos dos testes do planejamento estatístico feito com
metassilicato de sódio e oleato de sódio .......................................................................... 96
15
1 INTRODUÇÃO
A produção de minério de ferro vem ganhando destaque na economia mundial.
A importância do Brasil neste mercado é tão grande, que o país se encontra na segunda
posição de maior produtor deste minério no mundo. O principal mercado consumidor do
minério de ferro é a siderurgia, na fabricação de aços. Minas Gerais possui destaque
entre os estados brasileiros por ter a maior produção do minério de ferro e por possuir
grandes reservas, principalmente na região do chamado Quadrilátero Ferrífero. Este fato
faz com que as empresas explotadoras do minério de ferro invistam em pesquisas com o
intuito de otimizar a sua produção.
Em minas que possuem minérios de ferro de altos teores, a planta de
beneficiamento se baseia em processos de cominuição e de classificação. Porém,
quando há minérios pobres faz-se necessário o uso de processos de concentração,
através de métodos gravíticos, magnéticos e a flotação.
A flotação vem sendo largamente utilizada em termos industriais nos últimos
cem anos e consagrou-se como o método mais utilizado na separação de minerais.
Tornou-se assim a operação chave em usinas de processamento de minérios. O custo de
instalação e da sua operação pode determinar a viabilidade econômica de explotação de
um determinado mineral. Dessa forma, é imperativo que o seu desempenho seja o mais
otimizado possível. Esta otimização do processo de flotação tem sido alvo de várias
pesquisas que buscam estudar, principalmente, a influência dos possíveis reagentes
utilizados neste sistema.
Diante dos fatos supracitados, neste trabalho são apresentadas as investigações
da influência dos depressores para a flotação aniônica direta de minério de ferro, além
de estudos sobre a flotação aniônica reversa com ativação prévia do quartzo com sais de
cálcio, manganês, ferro e alumínio.
16
2 JUSTIFICATIVA E RELEVÂNCIA
A indústria extrativista de minério, principalmente o setor de minério de ferro,
apresentou nos últimos anos grande crescimento, gerando vultuosos lucros para as
empresas deste setor. Apesar da crise, econômica mundial, que teve maior impacto nas
empresas e sociedade no final de 2008 e início de 2009, empresas produtoras de minério
de ferro apresentam retorno às grandes vendas, principalmente para o mercado
internacional.
Diante de um cenário competitivo de commodities, onde o minério de ferro só se
torna rentável quando extraído com alto teor e transportado até o consumidor final com
baixo custo e eficiência, o setor demonstra a crescente necessidade das empresas pela
procura por alternativas viáveis economicamente e operacionalmente para a
concentração de minério de ferro cada vez mais complexo e com baixos teores de ferro.
Vários estudos apontam nesta direção, como os de Lopes (2009), que efetuou
flotação direta de minério de ferro, usando coletores como o oleato de sódio, o sulfato e
o hidroxamato de sódio e como depressor o metassilicato de sódio e ensaios de flotação
reversa, usando amina e amido, com uma amostra de itabirito hematítico. Os resultados
da flotação direta para todos os coletores testados foram menos satisfatórios que o
conhecido e bastante utilizado sistema de flotação catiônica reversa. No entanto, fazem-
se necessários estudos mais completos com a utilização de outros depressores além de
estudos de flotação reversa aniônica com ativação prévia do quartzo por meio de íons,
visando maior seletividade na separação entre os minerais de ferro e de ganga silicatada.
17
3 OBJETIVO
O trabalho proposto teve por objetivo efetuar estudos de flotação aniônica direta e
reversa com ativação prévia do quartzo do minério de ferro de baixo teor da Mina de
Fábrica Nova, explotado pela VALE, em Mariana MG, visando a obtenção de
concentrados, que atendam as especificações para a indústria siderúrgica.
Os objetivos específicos deste trabalho foram:
i. Efetuar ensaios de microflotação dos minerais hematita e quartzo,
condicionados com os depressores metassilicato de sódio, fluorsilicato de
sódio, amido de milho, hexametafosfato de sódio e dextrina branca nos
valores de pH e de concentrações do coletor de maior flotabilidade
determinados por Lopes (2009);
ii. Efetuar estudos dos mecanismos de adsorção dos depressores que se
mostraram mais promissores na etapa anterior, por medidas eletroforéticas
dos minerais condicionados com esses reagentes.
iii. Verificar a influência dos sais CaCl
2
, FeCl
2
, MnCl
2
e AlCl
3
na
flotabilidade dos minerais hematita e quartzo com o(s) depressor(es) e
oleato de sódio que apresentou(ram) melhor(es) resultado(s).
iv. Efetuar ensaios de flotação, em escala de bancada com o(s) reagente(s) que
indicaram a possibilidade de separação seletiva entre a hematita e o quartzo
nos ensaios de microflotação.
18
4 REVISÃO BIBLIOGRÁFICA
4.1 Minério de Ferro
4.1.1 Aspectos gerais
O ferro é o quarto elemento mais abundante da crosta terrestre (4,2%), depois do
oxigênio, silício e alumínio; e o segundo elemento metálico mais abundante, depois do
alumínio. Este fato foi determinado por estudos feito por Washington e Clarke onde seu
dados apontam para 3,08% de Fe
2
O
3
(hematita), 3,80% de FeO (óxido ferroso) e 15,34%
de Al
2
O
3
(alumina) na crosta terrestre (Roe, 1957).
Metal de transição, o ferro tem como símbolo de elemento químico Fe e massa
atômica 56. À temperatura ambiente encontra-se no estado sólido e apresenta
característica ferromagnética. O ferro tem sido utilizado extensivamente para a
produção de aço, liga metálica fundamental na produção de ferramentas, quinas,
veículos de transporte (automóveis, navios, etc.), como elemento estrutural (de pontes,
edifícios, etc.), e uma infinidade de outras aplicações.
Na natureza o ferro raramente encontra-se isolado, é muito comum encontrá-lo
combinado com diversos minerais, principalmente os óxidos. Os principais minerais de
ferro são hematita α(Fe
2
O
3
), magnetita (Fe
3
O
4
), goethita α(FeOOH), a siderita (FeCO
3
),
a pirita (FeS
2
) e a ilmenita (FeTiO
3
). Assim, o mesmo é extraído da natureza sob a
forma de minério de ferro. As principais impurezas encontradas nos minério de ferro
são sílica, alumina, álcalis e compostos de enxofre e fósforo (Alecrim, 1982).
Em Minas Gerais, destaca-se o Quadrilátero Ferrífero, situado na parte central
do estado, como uma região de grande concentração das reservas de minério de ferro.
Nessa região, os depósitos de minério de ferro são do tipo Lago Superior, e apresentam
rochas quartzosas contendo óxido de ferro com alguns carbonatos e silicatos sendo
classificados como itabiritos (Alecrim, 1982).
Segundo Santos e Brandão (2003) em estudos de caracterização mineralógica e
microestrutural do minério de ferro oriundo do Quadrilátero Ferrífero observaram que
amostras de diferentes frentes da Mina de Alegria apresentaram a ocorrência abundante
de goethita com variações da morfologia, textura e composição. Para a realização destes
estudos, os autores usaram a microscopia óptica e microscopia eletrônica de varredura
EDS. Os resultados apontaram para a presença de goethita botrioidal, microporos,
19
variedades terrosas e goethita formando traços de intercrescimento com hematita
martítica. Contudo, a principal ocorrência é de goethita do tipo terrosa a qual apresenta
alta quantidade de ferro e variação de Al
2
O
3
(entre 2 e 7%) e de SiO
2
(entre 2 e 10%).
Este tipo de goethita pode ser classificada em intergranular e intragranular de acordo
com a variação de textura. No tipo de goethita intragranular ocorre microporos e
interstícios na hematita martítica. Este tipo de mineral gera expressiva quantidade de
finos e materiais porosos durante o seu beneficiamento. Estes materiais aumentam a
superfície específica do concentrado o que pode gerar problemas na produção de alguns
produtos específicos comercializados pelas empresas mineradoras de minério de ferro.
A tabela 1 apresenta a composição mineralógica dos principais tipos de minério
de ferro do Quadrilátero Ferrífero. Nestes tipos de minério a hematita é o mineral-
minério mais abundante, a magnetita aparece subordinadamente. Fosfatos de ferro
podem ocorrer em todos os tipos de minério. Sulfetos estão ocasionalmente presentes.
Tabela 1: Composição mineralógica dos tipos de minério de ferro do Quadrilátero
Ferrífero
Tipos de Minério
Componentes Principais
Acessórios**
Itabirito Comum
Bandas claras
quartzo
Hematita, clorita,
sericita, dolomita,
pirofilita, óxido de Mn
Bandas escuras
óxidos de Fe*
Sericita, quartzo,
pirofilita
Itabirito dolomítico
Bandas claras
dolomita
Quartzo, óxido de Fe*,
pirofilita, talco, óxido
de Mn
Bandas escuras
óxidos de Fe*
quartzo, dolomita, óxido
de Mn
Itabirito
Anfibolitico
Bandas claras
tremolita/actinolita,
hornblenda,
grunerita
Quartzo, dolomita,
óxido de Fe*
Bandas escuras
óxidos de Fe*
Quartzo, dolomita,
anfibólio
Minério de alto teor
Hematita
Magnetita, quartzo,
pirofilita
*Hematita é o mineral-minério dominante. Magnetita aparece subordinadamente.
**Fosfatos de ferro podem ocorrer em todos os tipos. Sulfetos estão ocasionalmente
presentes
Fonte: Rosière e outros (1993).
20
4.1.2 Características mineralógicas dos principais minerais de itabiritos
Hematita
Hematita é um óxido de ferro III (α-Fe
2
O
3
) com 69,9% de ferro em sua estrutura.
Pode ser encontrado em rochas de várias idades, sendo muito abundante na natureza.
Apresenta em sua estrutura o titânio e o magnésio. Sua cor varia do preto ao castanho
avermelhado e quando terrosa, apresenta-se avermelhada. Sua densidade varia de 4,9 a
5,3 e a cor de seu traço, entre vermelho claro e vermelho amarronzado (Alecrim, 1982).
Para Cornell e Schwertmann (1996), a hematita tem densidade teórica de 5,3
g/cm
3
. Esta é mais comumente encontrada na forma isolada (mineral), em agregados
com partículas distintas, o caso mais clássico é com a partícula do quartzo, ou em
associação com a goethita e também com limonitas. É um mineral muito comum, tendo
sua cor dependente da granulometria e do arranjo cristalino, pode ser preto, cinza,
marrom, marrom avermelhado, ou vermelho. As principais variedades são:
"Bloodstone", ferro rosa, minério do Kidney, martita (oxidação da magnetita) e
especularita (hematita com brilho especular) (Cornell e Schwertmann, 1996).
Magnetita
A magnetita, óxido de ferro de fórmula Fe
3
O
4
, contendo 72,4% de ferro, e tendo
em sua estrutura Fe bivalente e Fe trivalente que ocupa sítios octaédricos e/ou sítios
tetraédricos, o que lhe confere uma grande diferença em relação a outros óxidos de ferro
(Cornell e Schwertmann, 1996).
A cor da magnetita é preta, às vezes com reflexos azulados, apresentando brilho
metálico a submetálico opaco e traço preto na porcelana. Sua densidade varia de 4,9 a
5,18. Apresenta um forte magnetismo (Alecrim, 1982).
Goethita
A goethita é um hidróxido de ferro -FeOOH), que contem 63% de ferro em
sua estrutura. Sua estrutura cristalina é de empacotamento hexagonal compacto,
semelhante à hematita no que diz respeito ao arranjo dos íons de oxigênio, onde os
interstícios octaédricos existentes são preenchidos pelos íons Fe (Cornell e
Schwertmann, 1996). Possui o hábito ortorrômbico, apresentando uma morfologia
essencialmente acicular, mas podendo ser também bipiramidal, cúbicos, etc. Ocorre na
natureza com granulometria variada.
A goethita possui um poder de pigmentação bem menor que a hematita,
apresentando uma coloração amarela.
21
Quartzo
O quartzo é um dos minerais mais abundantes que ocorre sobre a crosta terrestre;
muito resistente ao intemperismo ele sobrevive à erosão em grãos que formam a maior
parte das areias de praia e de desertos, por exemplo. O quartzo (SiO
2
) é gerado por
processos metamórficos, magmáticos, diagenéticos e hidrotermais; apresenta brilho,
fratura conchoidal, forma dos cristais, transparência e cores variadas (Atlas de Minerais
e de Rochas, 2009).
4.1.3 Beneficiamento de Minério de Ferro
A concentração de minério de ferro pode ser efetuada através de vários métodos
e principalmente da combinação entre eles. O que diferencia na escolha e emprego do
método de concentração do minério de uma empresa para outra são as características
físicas, químicas e mineralógicas do minério.
Para o processamento de minérios de ferro de alto teor faz-se uso de cominuição,
classificação e deslamagem. Para os minérios de ferro de baixo teor torna-se necessário
a introdução de operações de concentração, como a flotação, a fim de se aumentar o teor
de ferro e minimizar os teores de SiO
2
, Al
2
O
3
no concentrado da flotação.
Araújo e outros (2003) realizaram estudos sobre a relevância da mineralogia dos
minérios de ferro brasileiros para a seleção do todo de concentração mais adequado,
principalmente para os finos. Esses pesquisadores observaram que a presença de quartzo
liberado como mineral de ganga indica que a flotação será a operação de concentração
mais indicada. A presença de magnetita mesmo apenas na forma de cristais
intercrescidos em grãos de hematita sugere que a concentração pode ser feita com
apenas separação magnética ou com a combinação de separação magnética e flotação. A
presença de gibsita e/ou caulinita interfere em todos os métodos de concentração
(gravítico, magnético e flotação).
4.2 Flotação
A flotação, segundo Rabockai (1979), consiste em fazer flutuar sobre uma fase
líquida um material de natureza hidrofóbica, enquanto que o material de natureza
hidrofílica se deposita no fundo do recipiente. Este processo ocorre agitando-se a
suspensão, ou borbulhando-se ar através da mesma. As partículas hidrofóbicas aderem
22
às bolhas que as transportam à superfície da suspensão. Este processo, ainda, requer a
produção de espuma de modo que seja criada uma interface ar-líquido de grande área
que deve ser estável. Logo, para alcançar resultados satisfatórios utilizam-se espumantes
e outros aditivos com finalidades diversas.
Os compostos minerais, os quais são denominados oxi-minerais, possuem o
elemento oxigênio em comum a todos esses compostos, sendo os íons deste elemento,
O
2-
e OH
-
, a fração volumétrica absolutamente dominante na estrutura cristaloquímica
desses minerais (Brandão, 1985).
A maioria das ligações entre o oxigênio e os outros elementos é iônica e/ou
covalente; mais raramente, ligações de hidrogênio também estão presentes. Em certas
classes importantes de silicatos unidades fundamentais constituídas por oxigênio,
silício e cátions metálicos, internamente unidas por ligações covalentes e iônicas. Essas
unidades ligam-se a outras semelhantes, por meio de ligações iônicas estabelecidas
através de cátions metálicos. No caso dos filossilicatos e quase todos os argilo-minerais
na união entre placas unitárias sempre um componente de ligações de Van der
Waals, além das iônicas (Brandão, 1985).
Em apenas duas espécies de filossilicatos talcos e pirofilita há apenas
ligações de Van der Waals entre as placas estruturais; a superfície resultante da
fragmentação desses minerais tem caráter apolar, consequentemente eles são
naturalmente hidrofóbicos.
Todos os demais silicatos e a quase totalidade dos outros oxi-minerais
apresentam superfícies de fratura predominantemente polares, devido ao rompimento de
ligações total ou parcialmente iônicas. Estas superfícies tem, portanto, alta afinidade
com a água, tendo então caráter hidrofílico.
A flotação de oxi-minerais, segundo Brandão (1985), é um fenômeno complexo
devido às diversidades que estes minerais apresentam. As diferenças de composição
química, estrutura cristaloquímica e solubilidade em água estão entre os aspectos com
maior grau de diversidade entre os minerais oxidados além da grande diversidade de
comportamento frente à presença de coletores aniônicos e catiônicos com diferenças de
propriedades químicas.
O fato fundamental é que a quase totalidade dos oxi-minerais flotam se sua
superfície originalmente hidrofílica for transformada, dominantemente, em hidrofóbica
através da adsorção de algum coletor adequado.
23
Os coletores ao adsorverem-se sobre as partículas de uma determinada espécie
mineral, que na grande maioria das vezes são hidrofílicas, transformam-nas em
hidrofóbicas. Em geral, são agentes tensoativos de estrutura heteropolar. O grupo polar
do coletor deve apresentar afinidade pelo mineral a ser flotado para que ocorra a
adsorção, e as cadeias hidrocarbônicas do mesmo, produzem a superfície hidrofóbica.
Pelo exposto anteriormente, o conhecimento das propriedades superficiais dos
minerais é de grande importância para o entendimento e desenvolvimento de condições
e reagentes que propiciem a seletividade no processo. Dentre essas propriedades cita-se
a carga superficial dos minerais (sólidos) em meio aquoso.
4.2.1 Dupla camada elétrica
A maior parte das partículas adquire uma carga elétrica na superfície quando
postas em contato com um meio aquoso. Os mecanismos de geração de carga superficial
de sólidos em meio aquoso mais importantes são (Montes e Peres, 2004):
ionização da superfície;
dissolução de íons;
adsorção de íons provenientes da solução e
defeitos na rede cristalina dos minerais.
A formação da dupla camada elétrica (DCE) na interface sólido/líquido ocorre
pela atração de íons de carga elétrica contrária à carga do sólido, denominados de
contra-íons, visando desta forma o equilíbrio da carga na interface.
A adsorção de íons presentes no meio aquoso sobre a superfície dos sólidos
classifica-se em não específica e específica.
A Figura 1 apresenta uma representação esquemática da DCE e da distribuição
do potencial eletrostático de Stern.
24
Figura 1: Representação esquemática da DCE e da distribuição de potencial. (a) carga
da superfície (b) Plano de Stern (c) camada difusa (Fuerstenau e Palmer, 1976)
Uma contribuição complementar ao modelo de Stern, também importante,
refere-se à demonstração de que grande parte da superfície deve estar recoberta
inicialmente por uma camada de moléculas de água, onde a constante dielétrica seria
bem pequena devido à imobilidade a que estão submetidas. O Plano Interno de
Helmholtz é aquele que passa pelos centros dos íons não solvatados e especificamente
adsorvidos na superfície do sólido. O Plano Externo de Helmholtz é aquele que passa
pelos centros dos contra-íons solvatados e situados próximos à superfície do sólido. A
Figura 2 representa a DCE com todas as contribuições ao modelo.
25
Figura 2: Dupla Camada Elétrica evidenciando adsorção específica (Bockris, 1973 apud
Montes e Peres, 2004)
Na dupla camada elétrica, o potencial que pode ser mais facilmente medido
experimentalmente é o Potencial Zeta (ζ), isto é, o potencial medido no plano de
cisalhamento entre a partícula e a solução, quando os dois estão em movimento relativo,
na presença de um campo elétrico. Este deslocamento diferencial das partes da dupla
camada elétrica leva ao aparecimento de um potencial eletrocinético, podendo ser
medido por meio de fenômenos ou efeitos eletrocinéticos.
As técnicas mais usadas na determinação do potencial ζ são a eletroforese e o
potencial de escoamento. A técnica de eletroforese consiste em medir a mobilidade
eletroforética das partículas carregadas em uma suspensão aquosa (as partículas
26
eletricamente carregadas, suspensas em uma polpa, movimentam-se sob a ação de um
campo elétrico aplicado).
Os íons determinantes do potencial (i.d.p.) são aqueles que exercem um controle
significativo sobre a carga da superfície. No caso de óxidos inorgânicos simples (SiO
2
,
Al
2
O
3
, TiO
2
), de baixa solubilidade, a carga da superfície é atribuída à dissociação
anfotérica (Montes e Peres, 2004). Por exemplo:
H
+
+ Al OH Al OH
2
+
(1)
Al OH Al O
-
+ H
+
(2)
O ponto correspondente à atividade dos íons determinantes do potencial (i.d.p.)
em que a carga superficial é zero é denominado ponto de carga zero (PCZ), que é um
dos parâmetros importantes no estudo da flotação dos minerais, pois indica, entre
outros, o tipo de surfatante que deverá ser usado no processo bem como as condições
químicas de dispersão da polpa. O PCZ é determinado experimentalmente pela
determinação dos valores do Potencial Zeta em função da concentração de i.d.p.
O ponto isoelétrico de carga (PIE) é a carga elétrica das partículas que depende
do valor de pH da solução, que possa anular o potencial zeta (ζ). O PIE constitui uma
característica especial de um sistema mineral-solução, uma vez que a adsorção de
surfatantes na dupla camada elétrica pode ocorrer no plano de cisalhamento e, portanto,
o sinal e o valor do potencial ζ exerce influência significativa no processo de adsorção.
O equilíbrio total ou parcial entre os minerais, alta ou parcialmente solúveis em
água, com as diferentes espécies químicas em solução tem efeito decisivo nas
características de adsorção de coletores, ativadores ou depressores. Em muitos sistemas
de oxi-minerais e coletores, o mecanismo de adsorção pode ser considerado como uma
superposição de processos químicos e físicos. No entanto, em rios outros casos ele
parece ser puramente, ou pelo menos preponderantemente, físico em sua natureza
exemplo, sistemas envolvendo aminas e outros coletores catiônicos.
27
4.2.2 Adsorção de coletores
Segundo Fuerstenau e Palmer (1976) a adsorção de coletores sobre a superfície
mineral pode ocorrer pela atração eletrostática com superfície do mineral, associação de
cadeias hidrocarbônicas do coletor ou por interação química do coletor com os íons
metálicos na superfície do mineral. Os dois primeiros mecanismos são fortemente
influenciados pela dupla camada elétrica em termos da superfície mineral. Na tabela 2
estão apresentados de forma resumida os tipos de adsorção de coletores sobre as
superfícies de silicatos bem como as suas principais características.
Tabela 2: Adsorção de coletores em silicatos
Modelo
Forças / Ligações
Associadas ao
Modelo
Principais Características
Principais
Sistemas
Modelo Eletrostático:
1- Modelo da Hemicela*
2- Modelo da
Condensação**
3- Modelo da admicela***
Adsorção física,
interações de
natureza
eletrostática e
forças de van der
Walls.
- Flotação controlada pelo
PZC, pH e intensidade de
carga superficial.
- Forte influência do
tamanho de cadeia
hidrocarbônica.
- Coadsorção de moléculas
neutras aumentando a
flutuabilidade.
- Pode ocorrer a adsorção
de espécie coloidal com
carga contrária à superfície.
Aminas, sulfatos e
sulfonatos, valor de
pH onde a carga do
grupo polar do
reagente é contrária
à carga de
superfície.
Modelo Químico:
1- Quimissorção
1.1- Simples (adsorção nos
cátions da superfície)
1.2- Autoativada (dissolução
dos cátions, hidrólise e
readsorção)
1.3- Induzida (introdução de
cátions na solução)
1.4- Por ponte de hidrogênio
Adsorção química,
ligações químicas
em geral
covalentes e de
ponte de
hidrogênio.
- Forte controle do valor de
pH onde ocorre a hidrólise
dos cátions metálicos.
- Reagentes formam sais
insolúveis com cátions
metálicos.
- Moléculas neutras podem
adsorver diretamente em
conjunto com a espécie
iônica.
1- Ácidos
carboxílicos e
hidroxâmico, valor
de pH onde a carga
do grupo polar do
reagente é de
mesmo sinal que a
carga de superfície.
2- Aminas, ácidos
carboxílicos,
sulfatos, sulfonatos;
qualquer valor de
pH.
*Modelo da Hemicela (HM): adsorção em uma camada, interações eletrostáticas e ligações laterais.
**Modelo da Condensação Bidimensional (CB): interações normais, laterias e termos entrópicos para a
camada adsorvida. Agregação contralada por heterogeneidade da superfície e camadas bidimensionais.
***Modelo da Admicela (AD): surfatante/íons contrários agregam-se em camada duplas imcompletas.
Fonte: Viana e outros, 2005.
28
Baseado no modelo da formação da hemicela, Brandão (1985) disserta que a
hematita e a goethita, cujos p.i.e são 6 e 7, respectivamente, serão flotados quando um
surfatante aniônico é usado nas condições de pH correspondente a potenciais zeta
positivos; reciprocamente, na região de potenciais zeta negativos, somente um
surfatante catiônico pode promover a flotação.
No entanto, o autor relata que uma aparente contradição ao modelo supracitado
possa ocorrer em flotações com íons coletores, cuja carga é igual à da interface na qual
se processa a adsorção, em regiões de pH relativamente próximas ao PIE. Nestas
regiões, o potencial zeta tem valor absoluto ainda relativamente baixo, embora a carga
tenha sinal contrário; para valores maiores do potencial zeta, a barreira eletrostática
pode ser tão intensa que impeça, que níveis mínimos de hidrofobicidade sejam
atingidos. Este fenômeno pode ser explicado como se segue:
a- quando os métodos eletroforéticos determinam um valor positivo, este é um
valor médio, estatístico. No entanto, haverá sítios superficiais com cargas
positivas e negativas, devido à heterogeneidade da superfície sólida. Quanto
mais próximo do PIE, maior será a abundância dos sítios minoritário, com carga
oposta e vice-versa.
b- Para que haja a formação de hemimicelas e se atinjam portanto níveis de
hidrofobicidade que resultem em flotação, é necessário que as cadeias de
hidrocarbonetos dos íons coletores sejam suficientemente longas; assim a
contribuição maior das ligações de van der Waals pode influir para que a
barreira energética seja ultrapassada.
A quimissorção, segundo Brandão (1985), é um mecanismo frequente em muitos
sistemas minerais, principalmente com ácidos carboxílicos (de cadeia longa) ou seus
sabões alcalinos. Mais raramente tem sido sugerida no caso de hidroxamatos e mesmo
com sulfonatos e sulfatos de alquila. Altas densidades de adsorção e mesmo altas
recuperações na flotação de minerais, com coletores aniônicos, em faixas de pH onde o
potencial zeta é altamente negativo, são sugestivas de adsorção química do coletor. Fato
que ocorre no caso dos ácidos graxos e de metais para os quais os primeiros tem alta
reatividade.
A força promotora no caso da quimissorção é a reatividade da parte polar do
coletor em relação a sítios catiônicos, usualmente metais alcalinos-terrosos e de
transição, ou complexos derivados desses metais. Normalmente, esses metais são
29
constituintes originais da rede cristalina dos minerais ou podem ter sido adicionados
como agentes ativadores. Uma avaliação muito conveniente da reatividade de um
coletor aniônico para com um metal específico é o produto de solubilidade do sal
correspondente, em meio aquoso. Uma relação direta entre os dados de produto de
solubilidade e a precipitação dos respectivos sais orgânicos na interface sólido/solução
constitui a essência da chamada Teoria de Solubilidade da Flotação. Esta é uma das
mais antigas teorias formuladas para a adsorção, principalmente de ácidos graxos e seus
sabões alcalinos. Quando ocorre valores extremamente baixos dos produtos de
solubilidade dos sabões dos metais alcalinos-terrosos, tais compostos são muito estáveis
e podem precipitar-se na interface mineral/solução. No entanto, a teoria da solubilidade
não pode ser considerada um mecanismo geral da quimissorção, existem duas objeções
contra esta teoria (Brandão, 1985):
a- Em certos sistemas são identificadas espécies diferentes em relação àquelas
precipitadas a partir de soluções puras (sistemas homogêneos); usualmente não
se tem dados referentes à solubilidade desses complexos superficiais formados.
b- Em outros sistemas, a adsorção ocorre significativamente em concentrações do
coletor diferentes daquelas previstas pelos respectivos produtos de solubilidade.
As atividades dos ânions coletores junto à interface sólido/solução e as dos
cátions metálicos liberados pelo mineral podem ser bem maiores junto à
interface, do que em meio da solução. Portanto, o limite de solubilidade pode ser
atingido apenas na interface, onde há então a precipitação de compostos
metal/coletor. Este fato leva à formação de película hidrofóbica e estável, o que
conduz à flotação.
Os hidroxi-complexos de metais polivalentes são em geral ativos em relação à
interface sólido/líquido de muitos oxi-minerais. O primeiro hidroxi-complexo resultante
da hidrólise do cátion metálico simples é o mais importante. Para os metais divalentes,
esse íon tem a fórmula geral MOH
+
; sendo também um cátion, este hidroxi-complexo é
atraído pelas interfaces com carga negativa, onde adsorve-se especificamente. Para estes
complexos é possível a formação de ligações de hidrogênio entre si num processo de
polimerização após a adsorção. Consequentemente, ocorre a formação de uma rede de
sítios reativos cobrindo largos trechos da interface sólido/líquido. Esta rede promove
mudança de estrutura drástica na dupla camada elétrica (em relação à sua condição
original), o que frequentemente resulta no estabelecimento de um novo plano interno de
30
Helmholtz (PIH); onde se localizam os novos sítios ativos em relação aos íons
coletores, que podem adsorver-se especificamente (Brandão, 1985; Fuerstenau e
Palmer, 1976).
Um exemplo clássico de ativação com íons polivalentes é o quartzo que para
valores de pH acima de 3 apresenta potencial zeta negativo, porém com a adição de íons
polivalentes pode-se ativar a superfície do mesmo, conduzindo a flotabilidade deste
mineral em valores de pH superiores ao PIE. A figura 3 mostra os limites da flotação do
quartzo com sulfonato, ativada por cátions, na faixa de pH onde ocorre a hidrólise dos
mesmos.
Figura 3: Ativação do quartzo por cátions metálicos, (Fuerstenau, 2002)
A adesão da película polimerizada de íons complexos ao substrato mineral, além
da coesão no próprio filme adsorvido são bastante frágeis. Neste sentido, com um
coletor adequado, capaz de adsorver-se a essa película polimerizada, pode-se alcançar
uma flotação seletiva, em sistemas envolvendo este tipo de mecanismo de adsorção de
coletores. Nestes casos, um mesmo íon complexante pode ser ativador com um dado
mineral, e ao mesmo tempo funcionar como depressor para outro ou mais minerais
também presentes.
31
Os diagramas de concentração versus pH para cátions metálicos são bastante
úteis na compreensão dos sistemas de flotação aniônica de óxidos e silicatos ativados
pelos cátions divalentes e trivalentes, como os digramas para o Al
3+
, Ca
2+
, Fe
2+
e Mn
2+
apresentados nas figuras 4, 5, 6 e 7, respectivamente.
Figura 4: Diagrama da concentração logarítmica para 10
-4
M de Al
3+
, (Fuerstenau, 1976)
Figura 5: Diagrama da concentração logarítmica para 10
-3
M de Ca
2+
, (Fuerstenau, 1976)
32
Figura 6: Diagrama da concentração logarítmica para 10
-4
M de Fe
2+
, (Fuerstenau, 1976)
Figura 7: Diagrama da concentração logarítmica para 10
-4
M de Mn
2+
, (Fuerstenau,
1976)
33
A quimissorção de espécies iônicas ou moleculares de coletor pode ocorrer pela
adsorção direta do coletor em sítios de cátions metálicos na superfície do mineral ou ser
promovida pela auto-ativação, onde cátions metálicos deixam a superfície, são
hidrolizados e readsorvem ou, ainda, por cátions introduzidos forçadamente nos
sistemas. Vijaya (2002) apud Viana (2005) mostra a necessidade de hidrólise do íon
metálico Al
3+
na adsorção de oleato na superfície de sillimanita. O máximo de adsorção
do oleato ocorreu em pH 7,5 e a reação de quimissorção proposta é representada pela
equação 3. Considerou-se que os prótons do ácido oléico se polarizavam em direção aos
grupos hidroxila da superfície com a formação de moléculas de água. Dessa maneira, os
grupos superficiais OH facilitavam a desprotonação do ácido, promovendo sua
adsorção. Em um experimento isolado, o ácido oléico foi adicionado em uma solução
com íons Al
3+
e, mesmo após várias horas, para se alcançar o equilíbrio da reação, não
foi detectado oleato de alumínio precipitado. Como a diminuição do ácido oléico foi
observada em valor de pH, onde o hidróxido de alumínio é formado, inferiu-se que o
ácido oléico só reage na presença do hidróxido do metal.
AlOH
superfície
+ RCOOH ↔ AlOOCR
superfície
+H
2
O (3)
Segundo Brandão (1985), em sistemas de flotação é freqüente a ocorrência
simultânea e superposta das adsorções química e física. Quando se considera os tipos de
ligação possíveis na adsorção de coletores na interface sólido/líquido, pode-se
compreender estes fenômenos, como se segue:
a- Ligação normal: é aquela desenvolvida entre o grupo polar do coletor e a
interface, pode ser de natureza química ou física;
b- Ligação lateral: desenvolvida pelas espécies adsorvidas entre si. A mais
frequente é a ligação de van der Waals entre as cadeias de hidrocarbonetos dos
coletores.
Na flotação aniônica de oxi-minerais é mais comum que a quimissorção de
espécies de coletores ocorra primeiro, seguida de adsorção física a partir dos sítios onde
estão ancoradas as primeiras espécies. Outro fato frequente na flotação de oxi-minerais
é chamada co-adsorção de espécies neutras do coletor, ou ainda de moléculas neutras
quimicamente relacionadas, após, ou secundariamente em relação à adsorção primária
34
de espécies ionizadas do coletor. Este fenômeno pode ocorrer em dois casos (Brandão,
1985):
a- Nos coletores ionizáveis, como os ácidos carboxílicos e aminas, nas regiões de
pH onde as duas espécies coexistem em concentrações substanciais;
b- Na adição de hidrocarbonetos, como querosene ou óleos diversos, que atuam
num processo de co-adsorção com o coletor, aumentando o nível de
hidrofobicidade da película adsorvida na interface.
4.2.3 Reagentes na flotação
Os reagentes utilizados na flotação de minérios de ferro são os coletores,
depressores, espumantes, agentes reguladores e modificadores.
Coletores
Os coletores são surfatantes, que se adsorvem seletivamente na interface
sólido/líquido, tornando as partículas hidrofóbicas. Segundo Leja (1983), são moléculas
anfipáticas ativas na superfície, do tipo R-Z (moléculas de caráter duplo) onde Z
representa o grupo polar e R representa o grupo apolar. O grupo polar Z consiste em
associações de dois ou mais átomos com ligações covalentes; este grupo possui um
momento de dipolo permanente o que atribui a este grupo um caráter hidrofílico. O
grupo apolar R é representado pelos hidrocarbonetos; não possuem dipolo permanente e
representam a parte hidrofóbica da molécula anfipática.
Os coletores podem ser classificados em aniônicos, catiônicos e não-iônicos,
conforme a carga elétrica associada ao grupo polar, além de ser classificado conforme a
estrutura do hidrocarboneto e do tipo específico do grupo polar.
Coletores catiônicos:
Segundo Prasad (1992), os coletores catiônicos são usados para flotar minerais
que tem a carga superficial negativa. O elemento comum a todos estes coletores é o
grupo de nitrogênio com elétrons pareados. Os principais coletores catiônicos utilizados
são as aminas e seus derivados. Exemplos destes coletores e suas respectivas estruturas
químicas estão apresentados na tabela 3.
35
Tabela 3: Estruturas químicas de coletores catiônicos
Coletor
Estrutura
Forma
Amina primária
R-NH
2
Sólida
Diamina primária
H
R-N-C-C-CNH2
Sólida
Éter amina
R-O-C-C-C-NH2
Líquida
Éter diamina
H
R-O-C-C-C-N-C-C-CNH2
Líquida
Condensado
H H H
R-C-N-C-C-N-C-C-N-C-R
O O
Sólida
Fonte: Prasad, 1992.
Coletores aniônicos:
Os principais coletores aniônicos utilizados na flotação de óxidos e quartzo são
carboxilato, sulfonato, alquil-sulfato e hidroxamato. Estes coletores e suas respectivas
fórmulas estruturais estão apresentados na tabela 4 (Fuerstenau, 1976).
Dentre os coletores aniônicos do tipo carboxilato, tem-se o ácido oléico. Este é
um ácido graxo insaturado de cadeia longa possuindo 18 carbonos na sua estrutura
(figura 8), cuja fórmula molecular é C
18
H
34
O
2
. O ácido oléico, quando saponificado
com hidróxido de sódio, apresenta-se na forma líquida na temperatura ambiente, sendo
um quido incolor a levemente amarelado. Por possuir uma cadeia grande lipofilica, o
ácido oléico é insolúvel em água e solúvel em solventes orgânicos e óleos vegetais.
Os coletores aniônicos são do tipo sulfonato, sulfonato de petróleo natural e
sulfonato sinteticamente modificado foram desenvolvidos para a flotação seletiva do
minério de ferro que possui baixos teores de ferro. Estes coletores parecem ser efetivos
para os oxi-minerais como a goethita, hematita, limonita, magnetita e siderita (Prasad,
1992).
Figura 8: Estrutura do ácido oléico
36
Tabela 4: Coletores aniônicos utilizados na flotação de óxidos e silicatos.
Coletor
Fórmula estrutural
Carboxilato
Sulfonato
Alquil-sulfato
Hidroxamato
Fonte: Fuerstenau, 1976.
A dissociação de sulfatos e sulfonatos estende-se a valores extremamente baixos
de pH, enquanto o pKa dos ácidos carboxílicos está na faixa de 4 a 5 (Viana, e outros,
2005). A formação de um precipitado coloidal dos ácidos carboxílicos pode ocorrer em
torno de pH 3 a 4 (figura 9), que, provavelmente, impede a adsorção em pH muito
ácido, uma vez que o precipitado tem carga positiva nessa faixa de pH, onde vários
silicatos e óxidos apresentam carga superficial positiva.
Figura 9: Diagrama de equilíbrio/mobilidade eletroforética (Laskowski, 1987 apud
Viana, 2005)
37
Depressores
Os depressores são compostos que melhoram a interação entre a superfície do
mineral e moléculas de água, além de evitar a adsorção do coletor sobre o mesmo.
Segundo Prasad (1992), os depressores podem ser do tipo orgânico e inorgânico.
Compostos orgânicos como os polissacarídeos (amidos, dextrinas e seu
derivados) são comumente usados como depressores orgânicos no processo de flotação.
Outros reagentes usados como depressores são os taninos e seus derivados, como o
quebracho.
Os depressores inorgânicos são compostos químicos adicionados à flotação para
manter a superfície de um ou mais minerais hidrofílica. Alguns exemplos de
depressores inorgânicos: óxido de cálcio (CaO deprime pirita); hidrosulfureto de sódio
(NaHS deprime cobre e mineral de ferro sulfetado); sulfato de zinco (ZnSO
4
deprime esfalerita); cianeto alcalino (NaCN deprime os minerais de sulfetos); cianeto
de cálcio (Ca(CN)
2
deprime cobalto e níquel); ferro e ferricianeto (deprime cobre e
sulfeto de ferro); ácido fluorídrico (deprime micas, quartzo, apatita e espudêmio);
dicromato (deprime galena); permanganato (deprime esfalerita, pirrotita e arsenopirita)
e silicatos de sódio (deprimem cobre e ferro) (Prasad, 1992).
Os silicatos de sódio são uma mistura de sais de sódio utilizados na flotação de
minerais como depressores, dispersantes e agente controlador de íons solúveis.
Geralmente, consistem de metassilicato (Na
2
SiO
3
), dimetassilicato (Na
2
Si
2
O
5
) e
ortossilicato (Na
4
SiO
4
). Sua composição química pode ser expressa pela fórmula geral
mNa
2
O nSiO
2
, na qual a relação n/m se refere ao módulo do silicato de sódio, que é bem
característico. Os silicatos de sódio, cujo módulo variam de 2,2 a 3 são frequentemente
utilizados na flotação, enquanto que os silicatos de sódio que apresentam módulo
inferior a este formam uma polpa fortemente alcalina e comportam-se como depressores
fracos. Já os silicatos com módulo superior a 3 são insolúveis em água (Bulatovic,
2007; Rao, 2004).
A dissociação hidrolítica ocorre intensamente com o metasilicato de sódio,
equação 4 (Bulatovic, 2007).
Na
2
SiO
3
+ H
2
O NaHSiO
3
+ NaOH (4)
38
A dissociação do metasilicato de sódio, Na
2
SiO
3
x 9 H
2
O, com relação n/m igual
a um, foi sugerida por Greenburg e Sinclair (apud Mishra, 1982) e está representada
pela equação 5.
Na
2
SiO
3
x 9 H
2
O+ H
2
O 2Na
+
+ H
2
SiO
4
2-
+ 9 H
2
O (5)
O diagrama de solubilidade apresentado na figura 10, mostra que a solubilidade
da sílica amorfa é independente do pH entre pH 4 e 9 e nesta faixa de pH predomina a
espécie solúvel do ácido monossilício (Si(OH)
4
). Em valores de pH acima de 9 a
solubilidade aumenta devido à formação de monossilicato, dissilicato e outros íons
silicato polinucleares.
Figura 10: Diagrama de distribuição de várias espécies de silicato em solução aquosa
saturada com sílica amorfa a 25°C (Marinakis e Shergold, 1985)
Segundo Marinakis e Shergold (1985), em valores de pH abaixo de 9, a espécie
predominante na solução é o ácido silícico (H
4
SiO
4
) nesta região existe uma pequena
quantidade do íon SiO(OH)
3
-
, que é predominante na faixa de pH de 9,5 a 12,5. Em
valores de pH acima de 6, a espécie iônica SiO
2
(OH)
2
2-
aparece, porém é
predominante em pH 13. A espécie iônica Si
4
O
6
(OH)
6
2-
não predomina em nenhum
39
valor de pH, mas sua concentração máxima está na faixa de pH de 10 a 12. A figura 11
apresenta o diagrama de distribuição para solução de silicato de sódio na concentração
de 1 x 10
-3
mol/L.
Figura 11: Diagrama do logaritmo da concentração para solução de 1x10
-3
mol/L de
SiO
2
(Marinakis e Shergold, 1985)
Segundo Sillen e Martell, (apud Song e colaboradores, 2002), as principais
reações de hidrólise do fluorsilicato de sódio podem ser expressas de acordo com as
equações 6 a 9, das quais se pode observar que como a constante de equilíbrio K
2
é
muito pequena, em meio ácido, o íon SiF
6
2-
pode ser predominante.
Na
2
SiF
6
2Na
+
+ SiF
6
2-
(6)
SiF
6
2-
+ 2H
+
+ 4H
2
O Si(OH)
4
+ 6HF K
2
= 5,37 x 10
-27
(7)
HF H
+
+ F
-
K
3
= 7,4 x 10
-4
(8)
HF + F
-
HF
2
-
K
4
= 4,7 (9)
O hexametafosfato de sódio consiste numa mistura de polifosfatos lineares com
a fórmula aproximada Na(NaPO
3
)nONa em que n é cerca de 12. O hexametafosfato de
sódio é muito solúvel na água. Soluções concentradas superiores a 50% m/m podem ser
40
preparadas, mas estas o muito viscosas, pelo que é recomendável limitar as soluções
em stock a 40% m/m. Deve ser usada água fria. Deve ser evitado o uso de água com
temperatura superior a 40ºC, uma vez que pode causar alguma hidrólise do polifosfato.
O hexametafosfato de sódio granulado dissolve-se mais facilmente se adicionar
gradualmente a água sujeita a agitação forte.
O hexametafosfato de dio (figura 12) pode ser considerado um dos principais
polifosfatos utilizados, principalmente como dispersante, na flotação. As moléculas de
polifosfatos, em meio aquoso, sofrem dissociação e a conformação molecular adquirida
depende do meio. Assim, a eficácia, bem como as concentrações de dispersante
necessárias para promover à estabilização são fortemente dependentes do pH (Martins,
2001).
Figura 12: Diagrama das moléculas do hexametafosfato de sódio (Martins, 2001)
O hexametafosfato de sódio utilizado como dispersante, nos estudos de Silva
(2006), na flotação do minério de zinco, aumentou a carga da dupla camada elétrica,
proporcionando um aumento da mobilidade eletroforética; ou seja, este dispersante
aumentou significativamente a carga negativa do mineral de zinco, mostrando ser
eficiente em pH em torno de 10,5. O hexametafosfato inibe o efeito adverso de lamas e
sais solúveis na flotação de óxidos de zinco, assim como, o silicato de sódio que pode
dispersar as lamas e efetivamente deprimir ganga de minerais silicatados, tais como o
quartzo. O hexametafosfato de sódio atua como depressor, devido aos seus ânions
serem adsorvidos na superfície do mineral, formando complexos hidrofílicos estáveis
(Silva, 2006).
41
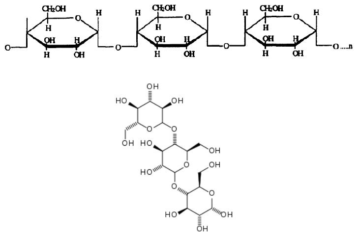
O amido (figura 13) e a dextrina (figura 14) são classificados como agentes
reguladores orgânicos pertencentes ao grupo dos não iônicos. Possuem muita
semelhança estrutural com os agentes surfatantes com ação de coletores, diferindo
apenas na multipolaridade em toda sua cadeia, que na adsorção seletiva de um sólido,
torna-o hidrofílico, expondo os grupos polares de sua cadeia para o meio aquoso (Rao,
2004).
Figura 13: Estrutura geral do amido
Figura 14: Estrutura geral da dextrina
O amido consiste em glicopiranoses que por si é formada por duas frações
principais: amilose e amilopectina. Geralmente, a amilopectina tem uma estrutura
ramificada que pode diferir de acordo com a maneira em que o amido é produzido. Os
modificadores que tornam o amido útil para flotação são introduzidos em sua cadeia no
momento da fabricação, como os aldeídos e os álcoois terminais, que indicam o nível de
oxidação e o tipo de agente oxidante deste amido (Bulatovic, 1999).
Dextrinas são polissacarídeos solúveis em água, formados na quebra hidrolítica
do amido. A solubilidade é dependente dos parâmetros de processo como a temperatura,
tempo de aquecimento e acidez (Bulatovic, 1999; Rao, 2004).
42
4.2.4 Flotação catiônica reversa de minério de ferro
Lima (1997) estudou o mecanismo de adsorção de amido de milho e amina pelas
superfícies da hematita e do quartzo por espectroscopia infravermelha a transformada de
Fourier. Em uma primeira etapa foram efetuados ensaios de microflotação das amostras
minerais puras (quartzo e hematita) em célula EMDEE. Nesses estudos, observou que a
flotabilidade máxima obtida para o quartzo (99%) foi alcançada com 5mg/l de acetato
de eteramina e pH > 10. Para a hematita a flotabilidade máxima (98%) foi alcançada
com 25mg/l de acetato de eteramina e pH = 10,5 e com 50mg/l de acetato de eteramina
e pH variando de 6 a 10,5. O amido é pouco eficiente na depressão do quartzo, mas em
relação à hematita observou-se que a uma concentração de 1mg/L de amido a hematita
foi totalmente deprimida. Fato que propicia a separação seletiva entre os dois minerais.
Para a adsorção do amido sobre a superfície da hematita ocorrem ligações de hidrogênio
dos grupos alcoólicos da molécula da glucose com os grupos FeOH da superfície do
mineral. Existem ligações de Van der Waals entre o oxigênio do éter presente no anel e
o Fe. No caso da adsorção do amido sobre a superfície do quarzto se através de
ligação de hidrogênio entre o grupo metanol da molécula de glucose e os grupos SiOH
da superfície deste mineral, sendo esta última ligação mais intensa no caso do quartzo
que na hematita. Já o mecanismo de adsorção do acetato de eteramina sobre a hematita e
sobre o quartzo se através de atração eletrostática entre a superfície dos dois
minerais, carregadas negativamente e íon eteramônio, além da formação de ligações de
Van der Waals entre as cadeias hidrocarbônicas do íon eteramônio e da eteramina
molecular. Mesmo ocorrendo a adsorção prévia do amido, não houve impedimento para
que ocorresse a adsorção da amina sobre a superfície dos dois minerais, porém no caso
da hematita a adsorção do amido foi maior que a da amina e no quartzo ocorreu o
inverso.
Reis (1987) estudou as propriedades e a aplicação do gritz de milho na flotação
catiônica reversa de minérios itabiríticos. A reologia de suspensões de amidos não-
modificados demonstrou-se, experimentalmente, que as soluções têm inicialmente um
caráter pseudoplástico, o qual, após modificação física (agitação), passa a newtoniano.
Pesquisando a vantagem relativa de vários métodos de gelatinização do gritz, obteve
índices que permitiram concluir que o mesmo gelatinizado por efeito térmico e aquele
solubilizado por adição de soda cáustica (NaOH), levaram a resultados semelhantes e
superiores aos de outros métodos, tanto no que se refere a seletividade quanto à
43
recuperação. Considerou-se, entretanto, o método de gelatinização por adição de soda
cáustica o mais apropriado a uma aplicação prática, visto que o processo de flotação de
minério de ferro requerer um circuito muito alcalino. Devido a esse fato e ao
inconveniente do uso de caldeiras para a produção de água quente em um concentrador,
a maioria das empresas optou pela utilização da rota da soda cáustica. Para tanto,
observou-se, ainda, que a condição ótima para gelatinização de uma relação de massa
amido/soda é de 4:1 associada a um tempo de gelatinização de 20 minutos.
Lima, e outros, (2008), efetuaram ensaios de flotação inversa, em escala de
bancada, com amostras de minério de ferro da Mina de Fábrica Nova, localizada em
Mariana, MG. Para estes ensaios de flotação, foram fixados o pH em 10,5, porcentagem
de sólidos em 45% em peso e rotação da célula de flotação em 1200RPM. As variáveis
estudadas foram dosagem de coletor, amina EDA (A) e depressor, amido de milho (B),
cujos níveis de dosagem foram de 75 e 150 g/t e de 200 e 400g/t para os respectivos
reagentes. Para estudar a influência das variáveis supracitadas e seus respectivos níveis
nas variáveis respostas: recuperação metalúrgica de Fe (X) e teores de Fe (Y) e SiO
2
(Z)
no concentrado utilizou como ferramenta estatística o Algoritmo de Yates. Após a
análise de significância das variáveis estudadas sobre as variáveis respostas, chegou-se
às seguintes equações:
X = 75,53 +11,41B + 15,03AB (10)
Y = 61,43 - 2,72B (11)
Z = 7,48 + 4,44B + 4,33AB (12)
Observou-se, então, que a variável dosagem de amido teve efeito significativo
sobre a recuperação metalúrgica de Fe, teor de Fe e de SiO
2
no concentrado (equações
10, 11 e 12) e que há uma inter-relação das duas variáveis (dosagem de amido e
dosagem de amina) sobre as variáveis respostas X e Z (equações 10 e 12). Segundo
estes mesmos estudos, o maior teor de Fe obtido foi de 63,99%, quando utilizados 150
g/t de amina e 200 g/t de amido. Nestas mesmas dosagens de reagentes o teor de SiO
2
obtido foi de 3,4 % (representa o menor teor obtido) e a recuperação metalúrgica de
57,02 %.
Lopes (2009) efetuou ensaios de flotação reversa, em escala de bancada, com
amostras de minério de ferro da Mina de Serra Serpentina, localizada na região de
Conceição do Mato Dentro, MG, cuja análise mineralógica semi-quantitativa
44
determinadas por microscopia ótica e análise granuloquímica estão apresentadas nas
tabelas 5 e 6.
Tabela 5: Análise mineralógica semi-quantitativa da amostra de minério de ferro da
Mina de Serra serpentina determinadas por microscopia ótica
Minerais identificados
Porcentagem
Hematita Especular
20
Hematita Lamelar
24
Hematita Granular
11
Hematita Sinuosa
0,2
Hematita Compacta*
55,2
Hematita Martítica
0
Magnetita
0
Goethita
1
Goethita Terrosa
0,5
Quartzo Livre
43
Quartzo Misto
0
Óxido de Manganês
0
Caulinita
0,1
Gbisita
0,5
Outros
0
Poros
4
Grau de liberação do quartzo
100
*Hematita compacta é a soma da hematita
especular, hematita lamelar, hematita granular
e hematita sinuosa.
Fonte: Lima e outros (2008).
45
Tabela 6: Análise granuloquímica da amostra de minério Serra Serpentina
Faixa
granulométrica
(µm)
%
simples
Teores (%)
Distribuição (%)
Fe
SiO
2
Al
2
O
3
TiO
2
CaO
MgO
Mn
P
PPC
Fe
SiO
2
Al
2
O
3
P
+104
5,09
29,78
57,30
0,240
0,029
0,007
0,036
0,02
0,01
0,220
29,99
40,78
9,04
23,13
-30
57,77
32,12
53,80
0,330
0,032
0,012
0,028
0,02
0,01
0,310
25,86
30,61
9,93
18,49
-36
20,96
37,98
44,50
0,740
0,042
0,025
0,111
0,07
0,02
0,530
22,9
18,97
16,68
20,14
-38
16,18
45,19
29,04
3,660
0,053
0,075
0,255
0,10
0,04
1,920
21,25
9,65
64,36
38,2
Total
recalculado
100,0
35,34
48,02
0,95
0,04
0,02
0,08
0,04
0,02
0,61
100,0
100,0
100,0
100,0
Fonte: Lopes, 2009.
46
Para estes ensaios de flotação, foram fixados o pH em 10,5, porcentagem de
sólidos em 45% em peso e rotação da célula de flotação em 1200RPM. Para analisar a
influência das variáveis estudadas (coletor: amina EDA - (A) e depressor: amido de
milho gelatinizado - (B)) sobre as variáveis respostas (recuperação metalúrgica de Fe
(X), teor de Fe - (Y), teor de SiO
2
(Z) no concentrado), utilizou como ferramenta
estatística o Planejamento de Experimentos, em uma primeira fase de estudos; cujos os
níveis de dosagem foram de 200 e 400 g/t (para o amido) e de 75 e 150 g/t (para a
amina). Após a análise de significância das variáveis estudadas sobre as variáveis
respostas, chegou-se às seguintes equações:
X = 82,40 - 5,78B (13)
Y = 63,54 + 5,08B (14)
Z = 8,01 - 7,14B (15)
Observou-se, pelas equações acima, que somente a dosagem de amina foi
significativa para as variáveis respostas. No entanto, o maior teor de Fe obtido foi de
66,62 % quando utilizado 200 g/t de amido e 150 g/t de amina.
4.2.5 Flotação aniônica direta
A flotação aniônica direta é, geralmente, utilizada para minérios que possuem
baixo teor ou para rejeitos, que foram descartados para barragens de rejeito. Os
coletores usados são os ácidos graxos e os depressores ainda estão sendo estudados
(Araújo, et al, 2004).
Luz (1996) estudou a flotação aniônica direta de minério de ferro, através de
ensaios realizados em células de Fuerstenau e ensaios de flotação em escala de bancada.
Utilizou como coletores o sulfonato de petróleo, o óleo de arroz e o óleo rícino,
saponificados em meio aquoso e alcoólico. Como depressores foram utilizados o
silicato e hexametafosfato de sódio e o ácido tânico (tanino). O sulfonato de petróleo
apresentou resultados promissores para a faixa de pH entre 6 e 8. O óleo de arroz,
saponifcado em meio alcóolico apresentou melhores resultados em relação ao reagente
saponificado em meio aquoso. O óleo de arroz teve melhor desempenho em comparação
ao óleo de rícino saponificado em meio aquoso. No entanto, o óleo de rícino
saponificado em meio alcóolico apresentou alta flotabilidade para a hematita e baixa
para sílica, a uma concentração de 400 g/t deste reagente, indicando uma boa
seletividade entre os minerais. O silicato de sódio apresentou ser pouco eficaz na
47
depressão do quartzo. O hexametafosfato de sódio demonstrou ser um depressor
"enérgico" tanto para o quarzto quanto para a hematita. E o ácido tânico (tanino)
mostrou ser mais seletivo, apresentando concentrados mais puros apesar de deprimir um
pouco a hematita, reduzindo sua recuperação no concentrado.
Lopes (2009), em estudos de microflotação efetuados com amostras de hematita
e quartzo, cujas composições químicas estão apresentadas nas tabelas 7 e 8, com o
coletor oleato de sódio obteve máxima flotabilidade (100%) para a hematita nas
seguintes condições: 50 mg/L, pH 7 e tempo de condicionamento de 4 minutos. Para o
quartzo a máxima flotabilidade (98%) foi obtida para a concentração de 70 mg/L, pH 9
e tempo de condicionamento de 6 minutos. Posteriormente, nos ensaios de
microflotação dos mesmos minerais efetuados com metassilicato de dio verificou-se
que houve maior depressão da hematita (flotabilidade de 0,66%) que do quartzo
(flotabilidade de 15,9%) para a dosagem de 2% p/v.
Tabela 7: Composição química da amostra de hematita compacta
Óxido
Teor (%)
SiO
2
0,73
Al
2
O
3
0,4957
P
2
O
5
0,0366
MnO
0,1369
CaO
0,0464
TiO
2
0,0484
MgO
0,0892
Ferro Total
68,68
Ferro II
0,17
Fe
2
O
3
97,96
FeO
0,22
PPC
0,31
Fonte: Lopes, 2009.
48
Tabela 8: Composição química da amostra de quartzo de Taboões
Elemento/óxido
Teor (%)
Al
2
O
3
0,2218
CaO
0,2013
Fe
2
O
3
0,0494
K
2
O
0,0377
MgO
0,0348
MnO
-
Na
2
O
0,0249
TiO
2
0,0035
SiO
2
*
99,4266
*obtido por diferença.
Fonte: Lopes, 2009.
Lopes (2009) também efetuou medidas de potencial zeta dos minerais puros,
hematita e quarzto, condicionados em água destilada e, posteriormente, condicionados
com os reagentes utilizados nos ensaios de microflotação que estão apresentados nas
figuras de 15 a 17. A figura 15 apresenta os resultados obtidos pela determinação dos
valores de potencial zeta para os minerais hematita e quartzo. Os pontos isoelétricos
(PIE) da hematita e quartzo ocorreram nos valores de pH 7,8 e 1,8, respectivamente
(figura 15). Através da figura 16, observou-se a reversão do potencial zeta da hematita
no valor de pH (aproximadamente 3,5) quando usou-se oleato de sódio e quando usou-
se oleato combinado com silicato de sódio. Entre os pH 2 e 4 infere-se que ocorra
atração eletrostática do carboxilato com a superfície da hematita carregada
positivamente e na região de pH acima de 7,8, adsorção química, pois os valores
absolutos de potencial zeta do mineral condicionado com o coletor foram maiores que
os valores obtidos do mineral na ausência de reagente (água destilada). Quando o
mineral foi previamente condicionado com metassilicato de sódio, verificou-se que
todos os valores de potencial zeta a partir do ponto de reversão (pH 3,5) foram menos
eletronegativos do que aqueles valores obtidos para o mineral condicionado com oleato
de sódio. Logo, houve a “diminuição” da adsorção do coletor sobre a superfície do
mineral, devido à prévia adsorção de espécies de metassilicato presentes na solução, o
que ocasionou a baixa flotabilidade (o,66%).
49
Figura 15: Potencial zeta de hematita e quartzo puros em água destilada em função do
pH (Lopes, 2009)
Figura 16: Potencial zeta de hematita condicionada em água destilada, hematita na
presença de oleato de sódio, hematita na presença de oleato de sódio e
silicato de sódio (Lopes, 2009)
50
Figura 17: Potencial zeta de quartzo condicionado com água destilada, quartzo na
presença de oleato de sódio, quartzo na presença de oleato de sódio e
silicato de sódio em função do pH (Lopes, 2009)
Na figura 17 os potenciais zeta do quartzo condicionado com solução de oleato
de sódio foram ligeiramente mais negativos do que os valores obtidos com o mineral
condicionado apenas com água destilada, exceto para o valor de pH 3,5. Ao condicionar
este mineral com depressor e coletor, os valores do potencial zeta mostraram-se menos
negativos do que aqueles obtidos para o mineral condicionado água destilada. Esses
mesmos efeitos foram observados para a hematita; logo, houve adsorção química do
oleato de sódio sobre o quartzo também, o que poderia estar relacionado com os traços
da impureza, especialmente de Al
2
O
3
, CaO, Fe
2
O
3
, MgO e TiO
2
.
Em ensaios de flotação em escala de bancada com a amostra de minério “Serra
Serpentina” efetuados no valor de pH 7, Lopes (2009) obteve recuperação metalúrgica
de Fe de 90% e teores de Fe e SiO
2
no concentrado de 58,2 e 14,2%, respectivamente.
Esses valores foram muito piores que aqueles obtidos com o mesmo minério na flotação
inversa usando amina e amido em pH 10,5 (recuperação metalúrgica de Fe de 75,8% e
teores de Fe e SiO
2
no concentrado de 66,4 e 3,8%, respectivamente).
4.2.6 Interferência de cátions na flotação de minérios de ferro
Scott e Smith (1993) estudaram o efeito dos cátions cálcio na flotação de quartzo
e magnetita, utilizando diamina como coletor e constataram que, para concentrações de
51
CaCl
2
acima de 0,1mol/l, a recuperação de ambos os minerais diminui. Isso pode ser
atribuído à adsorção de cátions Ca
2+
na dupla camada elétrica das duas espécies
minerais, que é a espécie predominante nos valores de pH abaixo de 11.
Iwasaki et al. (1980) estudaram os efeitos dos cátions cálcio e magnésio na
flotação catiônica do quartzo contido em minérios de ferro, verificando que os íons
cálcio, adsorvidos como CaOH
+
, e os íons magnésio, unidos pela heterocoagulação
como Mg(OH)
2
precipitado, foram responsáveis pela floculação do quartzo em
suspensão e, conseqüentemente, pela depressão na flotação catiônica em soluções
alcalinas.
Os concentrados de minério de ferro da Samarco são normalmente estocados em
tanques que alimentam o mineroduto que transporta a polpa para a etapa de pelotização
em Ponta Ubu/ES. Até 2003 a adição de cal hidratada para o ajuste de pH da polpa para
o valor de 11,4 era efetuado na alimentação dos tanques de concentrado. Visando
verificar a influência do ajuste do pH pela adição de cal hidratada na alimentação do
espessador de concentrado, cuja água clarificada é recirculada para a planta industrial
(etapas de deslamagem e flotação), Carvalho (2003) efetuou estudos da interferência de
Ca
2+
(adição de cal hidratada a várias concentrações) na flotação em escala de bancada
de minério do ferro, matendo-se constante a dosagem de amido em 400 g/t e de 33 g/t
de amina. Nesses estudos verificou-se que houve aumento do teor de SiO
2
do
concentrado com o aumento da dosagem de cal a que o autor atribui a ineficiência da
etapa de deslamagem em conseqüência do baixo nível de dispersão da polpa devido a
ação coagulante da cal hidratada pela atração dos cátions Ca
2+
pela superfície dos
minerais de ganga silicatada que possuem cargas negativas elevadas em valores de pH
(10 a 10,5) de flotação reversa de minério de ferro.
Segundo Fuerstenau (1976) ao dissertar sobre a flotação aniônica dos óxidos e
silicatos, os íons metálicos polivalentes também são adsorvidos especificamente em
óxidos e silicatos; este fenômeno ocorre quando o cátion envolvido se hidrolisa gerando
hidróxido complexo. Para ilustrar este fenômeno, compara-se a amplitude de pH onde o
potencial zeta do quartzo na presença de um íon metálico é positivo com o diagrama de
distribuição do cátion em questão. Como exemplo, tem-se que o potencial zeta do
quartzo é positivo entre os valores de pH 8,4 e 11,9 na presença de 1x10
-4
mol/litro de
cloreto ferroso (figura 18). Estes dados podem ser demonstrados conforme o digrama de
distribuição do FeOH
-
, apresentado na figura 6.
52
Figura 18: Potencial zeta do quartzo em função do pH na presença de 1x10
-4
M de FeCl
2
(Fuerstenau, 1976).
53
5 MATERIAIS E METODOLOGIA
5.1 Origem e preparo das amostras
Foram utilizadas as mesmas amostras dos minerais puros, hematita compacta e
quartzo, utilizadas por Lopes (2009). A amostra de minério de ferro de baixo teor da
Mina de Fábrica de Nova, localizada no município de Mariana - MG, foi fornecida pela
VALE.
Os minerais puros foram utilizados nos testes de microflotação e nos testes de
potencial zeta, que tiveram por objetivo estudar o mecanismo de adsorção dos reagentes
pela superfície da hematita e quartzo. Para tais finalidades, as etapas de preparação da
amostra podem ser visualizadas no fluxograma da figura 19. Para os testes de
microflotação, foi utilizada a fração granulométrica entre 270 e 325#. Para os ensaios de
potencial zeta as amostras foram pulverizadas para granulometria inferior a 10 μm.
Amostra de
Quartzo/Hematita
Moer no
moinho de
porcelana
Realizar peneiramento a úmido
(Série Tyler: 150, 200, 270, 325 e 400#)
Testes microflotações
(faixa: 270 a 325#)
Fração do mineral
abaixo de 325#
Moer a mão
(Grau de Ágata)
Fazer análise no
granulômetro a laser
Amostra es
abaixo de 10
μm?
Usar para testes
de potencial zeta.
Sim
o
Figura 19: Fluxograma do preparo dos minerais quartzo e hematita para os ensaios de
microflotação e potencial zeta
54
A amostra de minério de ferro de baixo teor de Fábrica Nova foi utilizada nos
testes de flotação em bancada. Estas amostras encontravam-se presentes no laboratório
do DEMIN/UFOP e foram homogeneizadas e quarteadas em pacotes de 20 Kg,
aproximadamente. Para cada um destes pacotes realizou-se as etapas ilustradas no
fluxograma da figura 20.
Figura 20: Fluxograma do preparo dos finos do minério de ferro para os ensaios de
flotação em bancada
55
Nas tabelas 9 e 10 estão apresentadas a análise mineralógica semi-quantitativa
das amostras de minério de ferro de Fábrica Nova determinadas por microscopia ótica e
a composição mineralógica qualitativa do minério de ferro de Fábrica Nova por faixa
granulométrica, determinada por difratometria de raios X (método do total).
Observa-se que foi detectado caulinita somente na fração abaixo de 37 μm.
Tabela 9: Análise mineralógica semi-quantitativa da amostra de minério de ferro da
Mina de Fábrica Nova determinadas por microscopia ótica
Minerais identificados
Porcentagem
Hematita Especular
0,19
Hematita Lamelar
0,72
Hematita Granular
4,10
Hematita Sinuosa
1,25
Hematita Compacta*
6,26
Hematita Martítica
30,41
Magnetita
0,77
Goethita
3,67
Goethita Terrosa
2,14
Quartzo Livre
56,09
Quartzo Misto
0,06
Óxido de Manganês
0,00
Caulinita
0,13
Gbisita
0,48
Outros
0,00
Poros
12,50
Grau de liberação do quartzo
99,89
*Hematita compacta é a soma da hematita
especular, hematita lamelar, hematita granular
e hematita sinuosa.
Fonte: Lima e outros (2008).
56
Tabela 10: Composição mineralógica qualitativa do minério de Fábrica Nova por faixa
granulométrica, determinado por difratometria de raios X (método do
total)
Faixa granulométrica
%
simples
Minerais identificados
#
µm
Hematita
(Fe
2
O
3
)
Geothita
(FeO(OH))
Quartzo
(SiO
2
)
Caulinita
(Al
2
Si
2
O
5
(OH)
4
)
+150
+104
28,3
X
X
X
-
-150+200
-104+74
22,8
X
X
X
-
-200+400
-74+38
32,0
X
X
X
-
-400
-38
16,9
X
X
X
X
Fonte: Lima e outros (2008).
Cabe ressaltar aqui que a diferença marcante entre o minério Serra Serpentina,
utilizado por Lopes (2009) e o minério Fábrica Nova são o alto percentual de hematita
martítica (30,41%) inexistente no minério Serra Serpentina, 5,81% de goethita em
Fábrica Nova e 1,49% em Serra Serpentina, 12,5% de poros em Fábrica Nova e 4,38%
em Serra Serpentina.
Na tabela 11 está apresentada a análise granuloquímica da amostra de minério
Fábrica Nova, onde observa-se que 17% da amostra encontra-se abaixo de 38 μm, com
maior teor de Fe (47,58%) e menor teor de SiO2 (24,79%).
57
Tabela 11: Análise granuloquímica da amostra de minério Fábrica Nova
Faixa
granulométrica
(µm)
%
simples
Teores (%)
Distribuição (%)
Fe
SiO
2
Al
2
O
3
TiO
2
CaO
MgO
Mn
P
PPC
Fe
SiO
2
Al
2
O
3
P
+105
28,3
31,32
53,28
0,36
0,015
0,026
0,008
0,142
0,025
1,60
28,2
28,8
16,1
20,7
-105+74
22,8
22,08
67,18
0,30
0,012
0,021
0,014
0,090
0,018
1,13
16,0
29,3
10,8
12,0
-74+53
20,3
26,38
60,39
0,42
0,010
0,011
0,070
0,095
0,026
1,30
17,0
23,4
13,5
15,5
-53+38
11,6
35,39
47,28
0,52
0,019
0,012
0,058
0,149
0,035
1,81
13,1
10,5
9,5
11,9
-38
17,0
47,58
24,79
1,86
0,070
0,028
0,074
0,379
0,080
4,09
25,7
8,0
50,1
39,9
Total
100,0
31,45
52,35
0,63
0,023
0,020
0,039
0,162
0,034
1,88
100,0
100,0
100,0
100,0
Fonte: Lima e outros (2008).
58
5.2 - Microflotação
Os ensaios de microflotação em tubo de Hallimond modificado foram realizados
para verificar a influência de diversos depressores, dentre eles o fluorsilicato de sódio
(Na
2
SiF
6
), metasilicato de sódio (Na
2
SiO
3
), hexametafosfato de sódio (NaPO
3
)
6
, amido
de milho e dextrina branca com o coletor oleato de sódio na flotabilidade dos minerais
puros hematita e quartzo, efetuados nos valores de pH 7 e 9 que foram os valores de
máxima flotabilidade dos minerais hematita e quartzo respectivamente, com o oleato de
sódio determinado por Lopes (2009).
Outro grupo de ensaios de microflotação também foi realizado para determinar o
comportamento dos minerais puros hematita e quartzo previamente condicionados com
sais como cloreto de cálcio (CaCl
2
), cloreto de manganês (MnCl
2
), cloreto de alumínio
(AlCl
3
) e cloreto de ferro II (FeCl
2
) na presença do coletor oleato de sódio e do
depressor que apresentou melhor resultado nos ensaios anteriores (metassilicato de
sódio).
Os primeiros ensaios (na ausência dos sais) de microflotação foram realizados,
em triplicata, de acordo com o procedimento descrito a seguir:
i. Pesou-se 1 g da amostra (hematita ou quartzo) e a transferiu para o
tudo de Hallimond;
ii. Adicionou-se 270 mL das soluções dos depressores nas
concentrações: 0,1; 0,5; 1,0; 10; 100; 250; 500; 1000; 2000 e 4000
mg/ L (para alguns depressores foi utilizado uma faixa menor de
concentração: de 0,1 a 1000 mg/L) com o pH previamente
ajustado para 7 e 9, previamente determinados por Lopes (2009);
iii. Condicionou-se por 6 minutos com o depressor;
iv. Adicionou-se o oleato de sódio nas concentrações de 50 mg/L para
hematita e 70 mg/L para o quartzo, previamente determinados por
Lopes (2009), e condicionou-se por mais 4 minutos para a
hematita e 6 minutos para o quartzo;
v. Flotou - se por 1 minuto;
vi. Cessou-se a agitação e recolheram-se as frações flotado e
afundado, separadamente;
59
vii. Filtrou-se e secou-se cada fração que posteriormente foram
pesadas para o cálculo da flotabilidade de acordo com a fórmula:
Flotabilidade (%) = mf x 100
mf + mfa
onde: m
f
= massa do flotado, m
af
= massa do afundado.
Os demais ensaios de microflotação (na presença dos sais) foram realizados, em
triplicata, de acordo com o procedimento descrito a seguir:
i. Pesou-se 1 g da amostra (hematita ou quartzo) que foi transferida
para o tudo de Hallimond;
ii. Adicionou-se 270 mL das soluções dos sais nas concentrações: 50
e 100 mg/ L com o pH previamente ajustado para 3, 5, 7, 9, 11 e
13;
iii. Condicionou-se por 6 minutos com o sal;
iv. Adicionou-se o metassilicato de sódio na concentração de 100
mg/L, e condicionou-se por mais 6 minutos;
v. Adicionou-se o oleato de sódio nas concentrações 50 mg/L para a
hematita e 70 mg/L para o quartzo, e condicionou-se por mais 4
minutos para a hematita e 6 minutos para o quartzo;
vi. Flotou - se por 1 minuto;
vii. Cessou-se a agitação e recolheram-se as frações flotado e
afundado, separadamente;
viii. Filtrou-se e secou-se cada fração que posteriormente foram
pesadas para o cálculo da flotabilidade de acordo com a fórmula:
Flotabilidade (%) = mf x 100
mf + mfa
onde: m
f
= massa do flotado, m
af
= massa do afundado.
5.3 Levantamento das curvas de Potencial Zeta
A determinação das curvas de potencial zeta foi efetuada para os minerais
hematita e quartzo puros, na presença de depressor, coletor/depressor, sal e
60
coletor/depressor/sal. Foi utilizado o Zetâmetro Nano Z Nanoseries, Malvern do
Laboratório de Propriedades Interfaciais do DEMIN / UFOP. Cabe ressaltar aqui que as
determinações das curvas de potencial zeta foram efetuadas em duplicata, para cada
ponto determinado.
A metodologia para a determinação das curvas de potencial zeta em função do
pH foi efetuada da seguinte forma:
i. Preparou-se a solução do reagente em balão volumétrico de 250 mL;
ii. Pesou-se 0,125 g do mineral para cada valor de pH;
iii. Ajustou-se o pH da solução (25 mL) adicionando soluções diluídas dos
reguladores de pH, ácido clorídrico (HCl) ou hidróxido de sódio
(NaOH) (variação de pH: 2, 4, 6, 8, 10 e 12);
iv. Adicionou-se o mineral (0,125 g);
v. Manteve-se a dispersão (mineral/solução) em agitação por 6 minutos;
vi. Coletou-se a dispersão com o auxílio de uma seringa e a injetou na
cubeta limpa e ambientada com esta dispersão;
vii. Inseriu-se a cubeta no equipamento para leitura do potencial zeta;
viii. Plotou-se o gráfico (ζ versus pH) com os valores lidos pelo zetâmetro.
A metodologia supracitada sofreu algumas variações em função do(s) tipo(s) de
reagente(s) utilizado(s), representado(s) no passo (i), na determinação do potencial zeta.
5.4 Preparo das soluções dos reagentes
5.4.1 - Coletor oleato de sódio (1% p/v)
i. Pesou-se 1g de ácido oléico (marca CROMOLINE, fabricante Química
Fina Ltda);
ii. Adicionou-se 10 mL de água destilada (sob agitação magnética);
iii. Adicionou-se 1,7 mL de hidróxido de sódio 10%p/v (manteve sob
agitação magnética até que a solução ficasse límpida de cor amarelada);
iv. Transferiu-se o oleato de sódio para um balão volumétrico de 100 mL e
completou-se o volume.
61
5.4.2 Depressor amido de milho (1% p/v)
i. Pesou-se 1g de amido de milho;
ii. Adicionou-se 2 mL de água destilada (sob agitação magnética);
iii. Adicionou-se 5 mL de hidróxido de sódio (NaOH) a 5 %p/v (manteve
sob agitação magnética até que a solução ficasse límpida);
iv. Transferiu-se para balão volumétrico de 100 mL e completou-se o
volume.
5.5 Ensaios de flotação em escala de bancada
Os testes de flotação em escala de bancada (em células CDC) foram realizados
com as amostras do minério de ferro de Fábrica Nova usando oleato de sódio com os
depressores que se mostraram mais promissores nos ensaios de microflotação em
relação a seletividade na separação entre hematita e quartzo: fluorsilicato de sódio e
metassilicato de sódio.
Para os testes de flotação aniônica direta, em escala de bancada, onde utilizou-se
os reagentes oleato de sódio (coletor), fluorsilicato de sódio e metassilicato de sódio
(depressores), foram analisadas as variáveis - deslamagem, porcentagem de sólidos,
dosagem de coletor e dosagem de depressor - como fatores de influência para as
variáveis respostas - recuperação metalúrgica de ferro, teores de Fe e SiO
2
nos
concentrados obtidos.
Para estas análises, optou-se pelo planejamento estatístico de experimentos, mais
especificamente o planejamento fatorial de dois níveis, sem réplicas (ensaios
exploratórios). Logo, o planejamento foi feito com quatro fatores (deslamagem,
porcentagem de sólidos, dosagem de coletor e dosagem de depressor), sendo que cada
um destes fatores apresentou dois níveis (um nível nimo e outro máximo), conforme
tabela 12.
62
Tabela 12: Os fatores e seus níveis para o planejamento fatorial da flotação aniônica
direta em escala de bancada
Variáveis
Níveis
Legenda
-
+
Deslamagem
Sim
Não
A
Porcentagem de sólidos (%)
30
60
B
Dosagem de oleato de sódio (g/t)
600
1200
C
Dosagem de depressor (g/t)
600
2400
D
A legenda mostrada na tabela 12 é um modo de simplificar as análises feitas
pelo software estatístico Minitab 15. A tabela 13 apresenta uma saída deste software
sobre o planejamento de como os experimentos da flotação aniônica direta em escala de
bancada foram executados em laboratório.
Tabela 13: Planejamento estatístico da flotação aniônica direta em escala de bancada
Ordem
padrão
Ordem
aleatória
A
B
C
D
1
16
sim
30
600
600
2
14
não
30
600
600
3
9
sim
60
600
600
4
1
não
60
600
600
5
5
sim
30
1200
600
6
10
não
30
1200
600
7
12
sim
60
1200
600
8
3
não
60
1200
600
9
7
sim
30
600
2400
10
15
não
30
600
2400
11
6
sim
60
600
2400
12
4
não
60
600
2400
13
13
sim
30
1200
2400
14
11
não
30
1200
2400
15
2
sim
60
1200
2400
16
8
não
60
1200
2400
A primeira coluna “Ordem padrão” na tabela 13 apresenta os experimentos na
sequência característica do modelo estatístico usado, onde para cada linha
correspondem os valores (mínimo ou máximo) dos fatores apresentados nas colunas
“A”, “B”, “C” e “D”. Por exemplo, para o experimento 1 os níveis se apresentam todos
63
no mínimo. A segunda coluna “Ordem aleatória” da mesma tabela 13 apresenta uma
sequência sorteada pelo Minitab 15, a qual representa a ordem em que os experimentos
foram executados no laboratório.
Para verificar a influência dos sais (AlCl
3
, FeCl
2
, MnCl
2
e CaCl
2
) sobre flotação
aniônica do minério de ferro, definiu-se a melhor condição obtida no planejamento
estatístico de experimentos supracitado (não deslamar, 60% de sólidos, dosagens
mínimas para ambos os reagentes) e considerou como única variável a dosagem dos sais
que foram adicionados ao sistema de flotação.
O procedimento padrão dos ensaios de flotação em bancada, com os sistemas
fluorsilicato de sódio/oleato de sódio e metassilicato de sódio/oleato de sódio foi o
seguinte:
i. Adicionou-se o minério de ferro na cuba de 1L;
ii. Adicionou-se o volume de água necessário para obtenção da polpa com a
porcentagem de sólidos desejada, descontando-se os volumes das soluções
de oleato de sódio e de depressor;
iii. Ajustou-se o rotor em 1200 rpm;
iv. Adicionou-se o volume de depressor (solução a 0,5% p/v);
v.Ajustou-se o pH 7;
vi. Condicionou-se por 6 minutos;
vii. Adicionou-se o volume do oleato de sódio (solução a 1 % p/v);
viii. Condicionou-se por 6 minutos;
ix. Verificou-se o pH (se necessário, reajustou-o);
x.Abriu-se o ar e flotou-se por 2 minutos;
xi. Retirou-se os produtos flotado e afundado, secou-se e pesou-se;
xii. Após secagem, homogeneizou-se, quarteou-se e pulverizou-se o flotado
e o afundado, que foram enviados para Vale, em Mariana MG, para
análise química;
xiii. Calculou-se os balanços de massas e metalúrgicos (apresentados no
Apêndice 1).
O procedimento padrão dos ensaios de flotação em escala de bancada, com os
sistemas cloreto de alumínio/metassilicato de sódio/oleato de sódio e cloreto de
manganês/metassilicato de sódio/oleato de sódio foi o seguinte:
i. Adicionou-se o minério de ferro na cuba de 1L;
64
ii. Adicionou-se o volume de água necessário para obtenção da polpa com a
porcentagem de sólidos desejada, descontando-se os volumes das
soluções de oleato de sódio e depressor;
iii. Ajustou-se o rotor em 1200 rpm;
iv. Adicionou-se o volume da solução contendo sal (solução a 1% p/v);
v. Ajustou-se o pH: 7 (MnCl
2
) ou 9 (AlCl
3
), que foram determinados nos
ensaios de microflotação;
vi. Condicionou-se por 6 min;
vii. Adicionou-se o volume do depressor (solução a 1 % p/v);
viii. Condicionou-se por 6 min;
ix. Verificou-se o pH (se necessário, reajustou-o);
x. Adicionou-se o volume do oleato de sódio (solução a 1 % p/v);
xi. Condicionou-se por 6 min;
xii. Verificou-se o pH (se necessário, reajustou-o);
xiii. Abriu-se o ar e flotou-se por 2 min;
xiv. Retirou-se os produtos flotado e afundado, secou-se e pesou-se;
xv. Após secagem, homogeneizou-se, quarteou-se e pulverizou-se o flotado e
o afundado, que foram enviados para Vale, em Mariana - MG, para
análise química;
xvi. Calculou-se os balanços de massas e metalúrgicos (apresentados no
Apêndice 1).
65
6. RESULTADOS E DISCUSSÃO
6.1 Caracterização química do minério Fábrica Nova
Na tabela 14 está apresentada a composição química do minério Fábrica Nova
antes da deslamagem, após a deslamagem e da lama gerada.
Tabela 14: Composição química do minério Fábrica Nova
Minério
Peso
(%)
Teores (%)
Fe
SiO
2
Al
2
O
3
P
“in natura” *
100,00
31,45
52,35
0,63
0,034
Deslamado
88,97
30,79
53,34
0,51
0,030
Lama
11,03
33,74
45,64
1,71
0,062
*Lima e outros (2008).
Cabe ressaltar aqui que os teores do minério deslamado e da lama foram obtidos
pelas médias dos balanços metalúrgicos apresentados no Apêndice 1. Observa-se pela
tabela 14 que pouca diferença entre os teores de Fe para o minério sem deslamar,
deslamado e para a lama, fato que poderia explicar a não significância da deslamagem
na flotação deste minério em escala de bancada. Em relação ao teor de SiO
2
, a lama teve
o seu teor diminuído em quase 10% em relação ao minério sem deslamar e deslamado.
Porém os teores de Al
2
O
3
e P foram bem maiores.
6.2 Ensaios de microflotação
6.2.1 Sistema metassilicato de sódio / oleato de sódio
As flotabilidades dos minerais hematita e quartzo, condicionados com
metassilicato de sódio (concentração variando em 0,1; 0,5; 1,0; 10 e 100 mg/L) e oleato
de sódio (50 mg/L para a hematita e 70 mg/L para o quartzo) em pH 7 e 9 estão
apresentadas nas figuras 21 e 22.
66
0,00
10,00
20,00
30,00
40,00
50,00
60,00
70,00
80,00
90,00
0,1 1 10 100
Flotabilidade (%)
Concentração (mg/l)
Metassilicato - Hematita
pH 7
pH 9
Figura 21: Flotabilidade do mineral hematita condicionado com metassilicato de sódio e
oleato de sódio (50mg/L) em pH 7 e 9
Observam-se maiores flotabilidades da hematita quando este mineral está
condicionado com concentrações baixas de metassilicato de sódio e em pH 9, sendo a
maior flotabilidade obtidos de 82,42% com 1mg/L de metassilicato de dio e 50mg/L
de oleato de sódio, em pH 9. A partir da concentração de 10 mg/L de metassilicato de
sódio a flotabilidade da hematita diminui bruscamente. Somente em concentração mais
alta do depressor aniônico (100 mg/L de metassilicato de sódio) houve, aparentemente,
maior adsorção deste reagente sobre a hematita de modo a atribuir à superfície deste
mineral um caráter mais hidrofílico.
0
10
20
30
40
50
60
70
80
0,1 1 10 100
Flotabilidade (%)
Concentração (mg/l)
Metassilicato - Quartzo
pH 7
pH 9
Figura 22: Flotabilidade do mineral quartzo condicionado com metassilicato de sódio e
oleato de sódio (70mg/L) em pH 7 e 9
67
Para o mineral quartzo, o metassilicato de sódio deprime melhor este mineral em
pH 9, sendo que a menor flotabilidade obtida foi de 30,33% quando o quartzo foi
condicionado com 0,5mg/L de metassilicato de sódio e 70mg/L de oleato de sódio em
pH 9.
Contudo, o condicionamento dos minerais estudados com metassilicato de sódio
e oleato de sódio em pH 9, figuras 21 e 22, apresenta para a dosagem de 1 mg/L de
depressor uma flotabilidade de 82,42% para a hematita e de 32% para o quartzo (a
segunda menor flotabilidade). Ou seja, nas condições em que os experimentos foram
efetuados e considerando baixas dosagens do depressor (0,1; 0,5; 1 e 10 mg/L), pode-se
observar que o metassilicato de sódio tem maior afinidade pela hematita em relação ao
quartzo, confirmando os estudos de Lopes (2009).
6.2.2 Sistema fluorsilicato de sódio / oleato de sódio
As flotabilidades dos minerais hematita e quartzo, condicionados com
fluosilicato de sódio e oleato de sódio em pH 7 e 9 estão apresentadas nas figuras 23 e
24.
0
10
20
30
40
50
60
70
80
90
0,1 1 10 100 1000 10000
Flotabilidade (%)
Concentração (mg/l)
Fluorsilicato - Hematita
pH 7
pH 9
Figura 23: Flotabilidade do mineral hematita condicionado com fluorsilicato de sódio e
oleato de sódio (50mg/L) em pH 7 e 9
Observa-se que ao condicionar a hematita com fluorsilicato de sódio em baixas
concentrações (menor que 10 mg/L) a flotabilidade deste mineral é maior,
68
principalmente em pH 7. A maior flotabilidade da hematita obtida foi de 83,5% quando
este mineral foi condicionado com 0,5 mg/L de fluorsilicato de sódio e 50 mg/L de
oleato de sódio, em pH 7. No entanto, houve uma queda de flotabilidade do mineral de
cerca de 20% em relação à máxima flotabilidade (100%), obtido por Lopes (2008). A
partir de 100 mg/L de fluorsilicato de sódio ocorreu diminuição brusca da flotabilidade
da hematita tanto em pH 7 quanto em pH 9.
0
10
20
30
40
50
60
70
80
90
0,1 1 10 100 1000 10000
Flotabilidade (%)
Concentração (mg/l)
Fluorsilicato - Quartzo
pH 7
pH 9
Figura 24: Flotabilidade do mineral quartzo condicionado com fluorsilicato de sódio e
oleato de sódio (70mg/L) em pH 7 e 9
Observa-se no gráfico da figura 24 que em concentração maiores de fluorsilicato
de sódio este depressor deprime melhor o mineral quartzo, ressaltando o ponto cuja
concentração de fluorsilicato de sódio foi de 100 mg/L onde a flotabilidade do quartzo
foi baixa tanto para o pH 7 (24,9%) quanto para o pH 9 (22,5%).
As curvas de flotabilidade versus concentração de fluorsilicato de sódio
apresentaram menores valores quando ambos os minerais, quartzo e hematita, foram
condicionados em pH 9. Nesse valor de pH as espécies presentes na solução são
[SiO(OH)
3
-
], [SiO
2
(OH)
2
2-
] e [Si
4
O
6
(OH)
6
-
] (Marinakis e Shergold, 1985). Fato que
justifica depressão mais efetiva em pH 9 do fluorsilicato de sódio.
Considerando o sistema apresentado nas figuras 23 e 24 em pH 7, no ponto cujos
minerais foram condicionados com fluorsilicato de sódio a 100 mg/L, as flotabilidades
dos minerais hematita e quartzo foram, respectivamente, 79,4 e 24,9%. Este fato
69
demonstra que o fluorssilicato de sódio, em condições específicas, apresentou ser mais
efetivo em deprimir o quartzo em relação à hematita.
6.2.3 Sistema hexametafosfato de sódio / oleato de sódio
As flotabilidades dos minerais hematita e quartzo, condicionados com
hexametafosfato de sódio e oleato de sódio em pH 7 e 9 estão apresentadas nas figuras
25 e 26.
0
10
20
30
40
50
60
70
80
90
0,1 1 10 100 1000 10000
Flotabilidade (%)
Concentração (mg/L)
Hexametafosfato - Hematita
pH 7
pH 9
Figura 25: Flotabilidade do mineral hematita condicionado com hexametafosfato de
sódio e oleato de sódio (50mg/L) em pH 7 e 9
Observa-se que a hematita quando condicionada com o hexametafosfato de
sódio, em concentrações abaixo de 100 mg/L, apresentou maiores flotabilidades em pH
7 em relação ao pH 9. A maior flotabilidade da hematita (80,8%) foi obtida quando este
mineral foi condicionado com 0,1 mg/L de hexametafosfato de sódio e 50 mg/L de
oleato de sódio, em pH 7.
70
0
10
20
30
40
50
60
70
80
0,1 1 10 100 1000 10000
Flotabilidade (%)
Concentração (mg/L)
Hexametafosfato - Quartzo
pH 7
pH 9
Figura 26: Flotabilidade do mineral quartzo condicionado com hexametafosfato de
sódio e oleato de sódio (70mg/L) em pH 7 e 9
O quartzo quando condicionado com hexametafosfato de sódio, em baixas
concentrações, e oleato de sódio em pH 7, também, apresentou maiores flotabilidades
em relação ao pH 9. A maior flotabilidade obtida para este mineral foi de 70,3%,
quando este último foi condicionado com 1mg/L de hexametafosfato de sódio e 70
mg/L de oleato de sódio.
Pelas figuras 25 e 26, observa-se que o hexametafosfato de sódio tem afinidade
tanto com a hematita quanto com o quartzo, em pH 7. Em pH 9, este depressor deprimiu
ambos os minerais estudados. Ou seja, o hexametafosfato de sódio apresentou ser um
efetivo depressor tanto para o quartzo quanto para a hematita, em pH 9, não conduzindo
a nenhuma seletividade na separação dos dois minerais por flotação.
6.2.4 Sistema dextrina branca / oleato de sódio
As flotabilidades dos minerais hematita e quartzo, condicionados com dextrina
branca e oleato de sódio em pH 7 e 9 estão apresentadas nas figuras 27 e 28.
71
0
10
20
30
40
50
60
70
80
90
0,1 1 10 100 1000
Flotabilidade (%)
Concentração (mg/L)
Dextrina - Hematita
pH 7
pH 9
Figura 27: Flotabilidade do mineral hematita condicionado com dextrina branca e oleato
de sódio (50mg/L) em pH 7 e 9
Observa-se que em pH 9, a dextrina branca (em concentrações acima de 1 mg/L)
deprimiu a hematita (figura 27), cujos os valores de flotabilidade foram
aproximadamente constante (em torno de 15%). Porém, em pH 7 ocorreu o contrário, as
flotabilidades de hematita foram maiores em relação ao pH 9, observando que esta
flotabilidade diminui com o aumento da concentração de dextrina.
0
10
20
30
40
50
60
70
0,1 1 10 100 1000
Flotabilidade (%)
Concentração (mg/L)
Dextrina - Quartzo
pH 7
pH 9
Figura 28: Flotabilidade do mineral quartzo condicionado com dextrina branca e oleato
de sódio (70mg/L) em pH 7 e 9
72
O quartzo condicionado com dextrina branca em pH 9 (figura 28) apresentou
maiores flotabilidades (em torno de 55%) em relação ao pH 7. No entanto, para o pH 7
as flotabilidades do quartzo foram aproximadamente constante, em torno de 25%.
O comportamento apresentado pelos minerais estudados com o sistema de
reagentes dextrina branca e oleato de sódio, em pH 9 (figura 26 e 27) é contrário aos
comportamentos apresentados pelos minerais com os outros sistemas apresentados até
esta parte do presente trabalho. Ou seja, a dextrina branca, em pH 9, teve menor
afinidade com o quartzo em relação a hematita.
6.2.5 Sistema amido de milho / oleato de sódio
As flotabilidades dos minerais hematita e quartzo, condicionados com amido de
milho e oleato de sódio em pH 7 e 9 estão apresentadas nas figuras 29 e 30.
0
10
20
30
40
50
60
70
80
90
100
0,1 1 10 100 1000
Flotabilidade (%)
Concentração (mg/L)
Amido - Hematita
pH 7
pH 9
Figura 29: Flotabilidade do mineral hematita condicionado com amido de milho e
oleato de sódio (50mg/L) em pH 7 e 9
Através da figura 29, observa que a hematita foi deprimida pelo amido de milho
em pH 9, principalmente em concentrações acima 1 mg/L. Este comporamento havia
sido identificado por Lima (1997) em que justifica-se o fenômeno pela alta adsorção do
amido pela hematita, tornando-a de caráter hidrofílico. Em pH 7 o comportamento das
flotabilidades da hematita são semelhante às flotabilidades obtidas em pH 9, com uma
73
leve aumento no valor das flotabilidades. No entanto, Lima (1997) estudou a flotação
catiônica, usando o amido como depressor e amina como coletor.
0
10
20
30
40
50
60
70
80
90
100
0,1 1 10 100 1000
Flotabilidade (%)
Concentração (mg/L)
Amido - Quartzo
pH 7
pH 9
Figura 30: Flotabilidade do mineral quartzo condicionado com amido de milho e oleato
de sódio (70mg/L) em pH 7 e 9
Na figura 30, observa-se que em pH 9 a flotabilidade do quartzo foi maior em
relação ao pH 7. Esta flotabilidade do quartzo quando condicionado com amido de
milho em pH 9 tende a diminuir com o aumento da concentração deste depressor. Para o
quartzo condicionado com o mesmo depressor amido de milho, porém em pH 7
apresenta valores de flotabilidades aproximadamente constante em torno de 25%.
O comportamento apresentado pelo sistema amido de milho / oletao de sódio
muito se assemelha ao comportamento apresentado pelo sistema dextrina branca / oleato
de sódio.
Diante dos dados apresentados anteriormente para os sistemas com os
depressores (metassilicato de sódio, fluorsilicato de sódio, hexametafosfato de sódio,
dextrina branca e amido de milho) e oleato de sódio, observa-se que dois depressores
deprimiram o quartzo (metassilicato de sódio e fluorsilicato de sódio) e outros dois
depressores (dextrina branca e amido de milho) deprimiram a hematita. Com o objetivo
de continuar analisando os reagentes para a flotação aniônica optou-se por escolher
entre os depressores inorgânicos. Primeiro, optou-se pelo metassilicato de sódio que
apresentou maior flotabilidade da hematita (82%). Porém os resultados gerados pelo
74
uso do fluorsilicato de sódio demonstraram ser interessantes para estudos de flotação
direta em escala de bancada.
Desse modo, o sistema metassilicato de sódio / oleato de sódio foi utilizado para
testes de microflotações com a adição de sais e, posteriormente, para teste de flotação
em escala de bancada e o sistema fluorsilicato de sódio / oleato de sódio foi utilizado
para ensaios de flotação aniônica direta em escala de bancada.
6.2.6 Sistema cloreto de cálcio / metassilicato de sódio / oleato de sódio
As flotabilidades dos minerais hematita e quartzo, condicionados com cloreto de
cálcio, depressor metassilicato de sódio e coletor oleato de sódio, em função do pH
estão apresentadas nas figuras 31 e 32.
0
1
2
3
4
5
6
7
8
9
1 3 5 7 9 11 13 15
Flotabilidade (%)
pH
Hematita - Cloreto de cálcio
CaCl2 50mg/l HEM
CaCl2 100mg/l HEM
Figura 31: Flotabilidade do mineral hematita condicionado com cloreto de cálcio,
metassilicato de sódio (100 mg/L) e oleato de sódio (50mg/L) em função do
pH
O pré-condicionamento da hematita com CaCl
2
(figura 31) em todos os valores
de pH estudados deprimiu ainda mais o mineral, pois a flotabilidade do mineral
diminuiu de 25% (figura 21) para valores menores do que 10%. No caso do quartzo
(figura32) o aumento da depressão foi menos acentuado (figura 22) do que no caso da
hematita. No entanto, como era de se prever para os valores de pH acima de 11,
especialmente para a dosagem de 100 mg/L de CaCl
2
, observou-se ligeiro aumento da
flotabilidade do mineral. Nestes valores de pH há a formação do hidroxicomplexo
75
CaOH
+
(figura 3), que com o carboxilato reage quimicamente, o que possibilita a
flotação aniônica reversa, usando o metassilicato de sódio como depressor e o oleato de
sódio como coletor.
0
5
10
15
20
25
30
35
1 3 5 7 9 11 13 15
Flotabilidade (%)
pH
Quartzo - Cloreto de cálcio
CaCl2 50mg/l QTZ
CaCl2 100mg/l QTZ
Figura 32: Flotabilidade do mineral quartzo condicionado com cloreto de cálcio,
metassilicato de sódio (100 mg/L) e oleato de sódio (70mg/L) em função do
pH
A adição forçada de íons metálicos no sistema auxilia a ativação da superfície de
silicatos a fim de promover a adsorção do coletor tornando a superfície do mineral de
caráter hidrofóbico. Ao condicionar previamente os minerais, hematita e quartzo, com o
cloreto de cálcio observou-se que os íons Ca
2+
não foram adsorvidos pela hematita,
fazendo com este mineral fosse totalmente deprimido. Já para o quartzo, observou-se
um pequeno aumento na flotabilidade deste mineral em relação à hematita, mas sem
indicar uma condição propensa à flotação do quartzo utilizando metassilicato de sódio e
oleato de sódio. Porém em pH 13 a flotabilidade do quartzo foi maior em relação aos
outros valores de pH estudados, fato que pode ser explicado pela maior adsorção da
espécie CaOH
+
sobre a espécie mineral neste valor de pH, conforme demonstrado no
diagrama de concentração versus pH para 1x10
-3
M de Ca
2+
(figura 5).
76
6.2.7 Sistema cloreto de ferro II / metassilicato de sódio / oleato de sódio
As flotabilidades dos minerais hematita e quartzo, condicionados com cloreto de
ferro, depressor metassilicato de sódio e coletor oleato de sódio, em função do pH estão
apresentadas nas figuras 33 e 34.
0
5
10
15
20
25
0 2 4 6 8 10 12 14
Flotabilidade (%)
pH
Hematita - Cloreto de ferro II
FeCl2 50mg/l HEM
FeCl2 100mg/l HEM
Figura 33: Flotabilidade do mineral hematita condicionado com cloreto de ferro,
metassilicato de sódio (100 mg/L) e oleato de sódio (50mg/L) em função do
pH
0
5
10
15
20
25
30
35
0 2 4 6 8 10 12 14
Flotabilidade (%)
pH
Quartzo - Cloreto de ferro II
FeCl2 50mg/l QTZ
FeCl2 100mg/l QTZ
Figura 34: Flotabilidade do mineral quartzo condicionado com cloreto de ferro,
metassilicato de sódio (100 mg/L) e oleato de sódio (70mg/L) em função do
pH
Pela figura 33, observa-se que o menor ponto de flotabilidade, de 2%, ocorreu
quando a hematita foi condiconada com o cloreto de ferro a 100 mg/L em pH 5. Para o
77
quartzo o menor ponto de flotabilidade, 3%, foi obtido quando este mineral foi
condicionado com o cloreto de ferro tanto a 50 mg/L quanto a 100 mg/L (figura 34).
Para a dosagem de 100 mg/L de metassilicato de sódio a flotabilidade da hematita
estava em torno de 20 a 25% para os valores de pH 7 e 9 (figura 21). Para o quartzo em
torno de 40% (figura 22). Ou seja, não houve diminuição acentuada da flotabilidade do
quartzo nos valores de pH 7 e 9 (figura 22), uma vez que nesses valores de pH as
espécies predominantes Fe
2+
e FeOH
+
(figura 6) são atraídas pela superfície do quartzo
carregada negativamente nesses valores de pH (figura 14) e como postulado por
Fuerstenau e Palmer (1976) adsorção química do carboxilato na superfície do
mineral.
Observou-se, portanto, que ao condicionar previamente o mineral, hematita com
o cloreto de ferro, os íons Fe
2+
, FeOH
+
não foram adsorvidos pela hematita,
especialmente para os valores de pH menores que 7,8 (PIE do mineral, figura 14). Em
valores de pH 9 e 11, a flotabilidade do quartzo foi maior em relação aos outros valores
de pH estudados, fato que pode ser explicado pela maior adsorção de íons FeOH
+
sobre
a espécie mineral em pH 10, conforme demonstrado no diagrama de concentração
versus pH para 1x10
-4
M de Fe
2+
(figura 6).
6.2.8 Sistema cloreto de manganês / metassilicato de sódio / oleato de sódio
As flotabilidades dos minerais hematita e quartzo, condicionados com cloreto de
manganês, depressor metassilicato de sódio e coletor oleato de sódio, em função do pH
estão apresentadas nas figuras 35 e 36.
0
5
10
15
20
25
0 2 4 6 8 10 12 14
Flotabilidade (%)
pH
Hematita - Cloreto de manganês
MnCl2 5mg/l HEM
MnCl2 10mg/l HEM
Figura 35: Flotabilidade do mineral hematita condicionado com cloreto de manganês,
metassilicato de sódio (100 mg/L) e oleato de sódio (50mg/L) em função do
pH
78
Observa-se que o sistema apresentado pelos gráficos das figuras 35 e 36
demonstra uma tendência em deprimir a hematita quando esta é condicionado com o
cloreto de manganês a 5 e 10 mg/L e em todos os pontos de pH analisados. O quartzo é
deprimido quando condicionado com uma dosagem de 10 mg/L de cloreto de
manganês, porém quando condicionado com o cloreto de manganês a 5 mg/L observa-
se uma tendência no aumento da flotabilidade até o pH 7 e após este pH ocorre uma
diminuição da flotabilidade, fato que pode ser explicado pela presença de maior
concentração de íons Mn
2+
e MnOH
+
na solução quando esta se encontra neste valor de
pH, conforme ilustrado pelo diagrama de concentração versus pH de 1x10
-4
M de Mn
2+
(figura 7), que se adsorveu na superfície negativa do mineral (figura 14). Logo, o pH 7
apresenta uma janela de seletividade para separação dos minerais analisados, sendo que
na dosagem de 5 mg/L de cloreto de manganês a flotabilidade do quartzo foi de 73% e a
flotabilidade da hematita foi de 15%.
0
10
20
30
40
50
60
70
80
0 2 4 6 8 10 12 14
Flotabilidade (%)
pH
Quartzo - Cloreto de manganês
MnCl2 5mg/l QTZ
MnCl2 10mg/l QTZ
Figura 36: Flotabilidade do mineral quartzo condicionado com cloreto de manganês,
metassilicato de sódio (100 mg/L) e oleato de sódio (70mg/L) em função do
pH
6.2.9 Sistema cloreto de alumínio / metassilicato de sódio / oleato de sódio
As flotabilidades dos minerais hematita e quartzo, condicionados com cloreto de
alumínio, depressor metassilicato de sódio e coletor oleato de sódio, em função do pH
estão apresentadas nas figuras 37 e 38.
79
0
2
4
6
8
10
12
14
0 2 4 6 8 10 12 14
Flotabilidade (%)
pH
Hematita - Cloreto de alumínio
AlCl3 50mg/l HEM
AlCl3 100mg/l HEM
Figura 37: Flotabilidade do mineral hematita condicionado com cloreto de alumínio,
metassilicato de sódio (100 mg/L) e oleato de sódio (50mg/L) em função do
pH
0
10
20
30
40
50
60
70
0 2 4 6 8 10 12 14
Flotabilidade (%)
pH
Quartzo - Cloreto de alunio
AlCl3 50mg/l QTZ
AlCl3 100mg/l QTZ
Figura 38: Flotabilidade do mineral quartzo condicionado com cloreto de alumínio,
metassilicato de sódio (100 mg/L) e oleato de sódio (70mg/L) em função do
pH
As figuras 37 e 38 apresentam uma tendência em flotar o quartzo e deprimir a
hematita. No valor de pH 9 nota-se que a flotabilidade do quartzo foi de 65% quando
condicionado com 50 mg/L de cloreto de alumínio. Com esta mesma dosagem de
cloreto de alumínio, também no valor de pH 9, a flotabilidade da hematita foi de 9%.
Fato este que leva a observar a presença de seletividade na separação entre os minerais.
80
No entanto, pelo diagrama de estabilidade de espécies apresentado na figura 4
esta maior flotabilidade do quartzo neste valor de pH poderia estar relacionada com as
espécies Al(OH
2
)
+
à baixíssimas concentrações.
6.3 Estudos eletrocinéticos
6.3.1 Sistema fluorsilicato de sódio / oleato de sódio
As curvas de potencial zeta dos minerais hematita e quartzo para o sistema de
reagentes fluorsilicato de sódio (100 mg/L) e oleato de sódio (50 mg/L para a hematita e
70 mg/L para o quartzo) estão apresentados nas figuras 39 e 40.
-60
-50
-40
-30
-20
-10
0
10
20
30
40
50
0 2 4 6 8 10 12 14
ζ (mV)
pH
Potencial Zeta - Hematita - Fluorsilicato
fluorsilicato de dio 100 mg/L
Fluorsilicato 100 mg/L e Oleato 50 mg/L
Figura 39: Potencial Zeta da hematita condicionada com fluorsilicato de sódio e com
fluorsilicato de sódio e oleato de sódio
Pela figura 39, observa-se a reversão do potencial zeta no valor de pH,
aproximadamente, 3,5 para a hematita condicionada tanto com fluorsilicato de sódio
quanto com fluorsilicato de sódio e oleato de sódio, que pode ser explicado pela atração
eletrostática da espécie SiF
6
2-
pela superfície do mineral carregada positivamente até o
PIE (7,8). A partir deste valor adsorção específica das espécies HF
2
-
, que possui
maior atividade em valores de pH alcalinos. O que está coerente com a pequena queda
de flotabilidade do mineral com esse reagente para os valores de pH 7 e 9. No entanto,
81
apesar desse depressor ter sido adsorvido na superfície do mineral não impediu a
adsorção do oleato, pois os valores de potencial zeta do mineral tornou-se ainda mais
negativos após condicionamento com o oleato, evidenciando claramente a adsorção
química do mesmo sobre a superfície da hematita. Para este mesmo valor de pH (~ 3,5),
Lopes (2009) também observou a reversão de potencial zeta quando a hematita foi
condicionada com oleato de sódio (figura 15). Em valores de pH entre 2 e 4 infere-se
que ocorra atração eletrostática do carboxilato com a superfície da hematita carregada
positivamente. Na região acima do PIE da hematita, pH 7,8, ocorre adsorção química.
-80
-70
-60
-50
-40
-30
-20
-10
0
0 2 4 6 8 10 12 14
ζ (mV)
pH
Potencial Zeta - Quartzo - Fluorsilicato
fluorsilicato de dio 100 mg/L
Fluorsilicato 100 mg/L e Oleato 70 mg/L
Figura 40: Potencial Zeta do quartzo condicionado com fluorsilicato de sódio e com
fluorsilicato de sódio e oleato de sódio em função do pH
Observa-se que todos os valores do potencial zeta obtidos com o quartzo
condicionado com fluorsilicato de sódio e com fluorsilicato de dio e oleato de sódio
(figura 40) foram negativos, o que demonstra que ocorreu a adsorção química do
fluorsilicato de sódio sobre o quartzo tornando a superfície deste mineral de caráter
hidrofílico, uma vez que os valores de potencial zeta do mineral condicionado com
fluorsilicato de sódio, seguido de condicionamento com oletao de sódio permaneceu
inalterado, o que está coerente com os resultados da microflotação (figura 24).
6.3.2 Sistema cloreto de manganês / metassilicato de sódio / oleato de sódio
As curvas de potencial zeta dos minerais hematita e quartzo para o sistema de
reagentes cloreto de manganês, metassilicato de sódio e oleato de sódio estão
apresentados nas figuras 41 e 42.
82
-60
-40
-20
0
20
40
60
0 2 4 6 8 10 12 14
ζ (mV)
pH
Potencial Zeta - Hematita - Cloreto de manganês
MnCl2 5 mg/L
Metassilicato 100 mg/L e Oleato 50 mg/L
Metassilicato 100 mg/L, Oleato 50 mg/l e MnCl2 5 mg/L
Figura 41: Potencial Zeta da hematita previamente condicionado com MnCl
2
Através da figura 41 observa-se uma reversão nos valores de potencial zeta em
torno de pH 5,5 quando a hematita é condicionada com cloreto de manganês. Nesse
sistema observa-se que o íon Mn
2+
é um íon determinador de potencial. Com
metassilicato de sódio e oleato de sódio e com cloreto de manganês, metassilicato de
sódio e oleato de sódio, houve reversão do potencial zeta no valor de 3,5 devido a
adsorção da espécie aniônica [SiO(OH)
3
-
] pela superfície do mineral carregado
positivamente para valor de pH abaixo de 7,8 (figura 15). Este fato pode explicar a
depressão da hematita neste sistema, onde não ocorreu de modo significativo a adsorção
deste reagente na hematita, uma vez que o potencial zeta do mineral permaneceu
praticamente inalterado quando o mesmo foi pré-condicionado com MnCl
2
.
Para que ocorra flotação do quartzo com adição de íons metálicos no sistema,
segundo Fuerstenau (1976) é importante conhecer o pH em que ocorre a primeira
hidrólise do sal de modo a formar o hidroxicomplexo. No caso do MnCl
2
o valor de pH
que ocorre essa hidrólise é, aproximadamente, 7 conforme ilustrado pela figura 7. Este
valor de pH (7) é o mesmo que ocorreu maior flotabilidade do quartzo para os testes de
microflotação utilizando o MnCl
2
, metassilicato de sódio e oleato de sódio (figura 36),
embora não tenha sido observado reversão do potencial zeta do mineral para a
concentração de MnCl
2
de 5mg/L, o que pode estar associado à baixa concentração do
hidroxicomplexo em MnOH
+
na solução (figura 7).
83
-80
-70
-60
-50
-40
-30
-20
-10
0
0 2 4 6 8 10 12 14
ζ (mV)
pH
Potencial Zeta - Quartzo - Cloreto de mangas
MnCl2 5 mg/L
Metassilicato -100 mg/L
Metassilicato 100 mg/L e Oleato 70 mg/L
Metassilicato 100 mg/L, Oleato 70 mg/l e MnCl2 5 mg/L
Figura 42: Potencial Zeta do quartzo previamente condicionado com MnCl
2
Os valores de potencial zeta do quartzo condicionado com metassilicato de sódio
e oleato foram mais negativos que aqueles valores do mineral condicionado com MnCl
2
,
exceto para o valor de pH 2. Com o prévio condicionamento do mesmo com MnCl
2
,
seguido do condicionamento com o metassilicato de sódio e com oleato de sódio,
verificou-se que os valores de potencial zeta não foram tão negativos quanto aqueles
valores de potencial zeta obtidos com o quartzo condicionado com o metassilicato de
sódio e oleato de sódio, fato que evidencia a adsorção química da espécie MnOH
+
e o
carboxilato.
6.3.3 Sistema cloreto de alumínio / metassilicato de sódio / oleato de sódio
As curvas de potencial zeta dos minerais hematita e quartzo para o sistema de
reagentes cloreto de alumínio, metassilicato de sódio e oleato de sódio estão
apresentados nas figuras 43 e 44.
84
-60
-40
-20
0
20
40
60
0 2 4 6 8 10 12 14
ζ (mV)
pH
Potencial Zeta - Hematita - Cloreto de alumínio
AlCl3 50 mg/L
Metassilicato 100 mg/L e Oleato 50 mg/L
Metassilicato 100 mg/L, Oleato 50 mg/l e AlCl3 50 mg/L
Figura 43: Potencial Zeta da hematita condicionada com AlCl
3
, metassilicato de sódio e
oleato de sódio em função do pH
Para o condicionamento da hematita com metassilicato de sódio e oleato de
sódio no valor de pH próximo a 3,5 ocorreu a reversão dos valores do potencial zeta.
Para o condicionamento da hematita com cloreto de alumínio, metassilicato de sódio e
oleato de sódio ocorreu a reversão dos valores de potencial zeta em pH próximo a 5,5.
Como era de se esperar com o uso isolado de AlCl
3
o sinal de potencial zeta da hematita
permaneceu inalterado até o valor de pH 7,8 que é o PIE do mineral (figura 15), pois as
espécies predominantes na solução são Al
3+
, Al(OH)
2
+
e Al(OH)
2+
, têm o mesmo sinal
da superfície do mineral. Para o mineral condicionado com 100 mg/L de metassilicato
de sódio houve reversão do potencial zeta no valor de pH 4, o que se deve a adsorção
das espécies [SiO(OH)
3
-
] e [SiO
2
(OH)
2
-
]. A partir do valor pH 9 a possibilidade
também de adsorção química da espécie [SiO
6
(OH)
6
2-
] além das duas espécies citadas
anteriormente.
-100
-80
-60
-40
-20
0
20
40
60
80
0 2 4 6 8 10 12 14
ζ (mV)
pH
Potencial Zeta - Quartzo - Cloreto de alumínio
AlCl3 50 mg/L
Metassilicato -100 mg/L
Metassilicato 100 mg/L e Oleato 70 mg/L
Metassilicato 100 mg/L, Oleato 70 mg/l e AlCl3 50 mg/L
Figura 44: Potencial Zeta do quartzo condicionado com AlCl
3
, metassilicato de sódio e
oleato de sódio em função do pH
85
Observa-se, na figura 44, que para a faixa de pH entre, aproximadamente, 4 e
8,5, os valores de potencial zeta para o quartzo condicionado com cloreto de alumínio
são positivos, fato justificado pelo diagrama de concentração versus pH de 1x10
-4
M
Al
3+
, Al(OH)
2
+
e Al(OH)
2+
(figura 4). Este fenômeno justifica a maior flotabilidade
obtida para o quartzo nos testes de microflotação condicionando este mineral com o
mesmo sistema de reagentes, em pH 9. Este valor de pH é próximo ao valor de pH de
formação dos hidróxicomplexos, favorecendo à adsorção do oleato sobre a superfície do
quartzo, tornando-o de caráter hidrofóbico.
6.4 Flotação em escala de bancada
Nos testes de flotação em escala de bancada foram analisados os sistemas: oleato
de sódio e fluorsilicato de sódio como flotação aniônica direta, além do uso de MnCl
2
e
AlCl
3
com metassilicato e oleato de sódio.
6.4.1 Sistema fluorsilicato de sódio / oleato de sódio
Na tabela 15 estão apresentados os testes, os fatores (deslamagem (A),
porcentagem de sólidos (B) e dosagem do oleato de sódio (C) e do fluorsilicato de sódio
(D)) e as variáveis respostas (recuperação metalúrgica (Y
1
) e teores de Fe (Y
2
) e SiO
2
(Y
3
)) do planejamento estatístico fatorial com quatro fatores a dois níveis.
A primeira análise feita no planejamento estatístico com o oleato de sódio e o
fluorsilicato de sódio foi verificar as influências causadas pelos fatores estudados em
relação a variável resposta recuperação de metalúrgica. A figura 45 mostra através do
Gráfico de Pareto a significância dos fatores estudados para a recuperação metalúrgica
de ferro.
86
Tabela 15: Resultados obtidos dos testes do planejamento estatístico feito com
fluorsilicato de sódio e oleato de sódio
Teste
A
B
C
D
Y
1
Y
2
Y
3
1
sim
30
600
600
73,68
30,15
54,44
2
não
30
600
600
67,46
30,51
53,52
3
sim
60
600
600
46,23
39,96
39,32
4
não
60
600
600
40,41
35,27
45,61
5
sim
30
1200
600
64,26
33,13
49,9
6
não
30
1200
600
60,79
31,08
52,2
7
sim
60
1200
600
47,49
46,14
29,73
8
não
60
1200
600
38,68
41,84
35,94
9
sim
30
600
2400
80,54
30,02
54,65
10
não
30
600
2400
69,63
31,58
52,21
11
sim
60
600
2400
46,34
47,06
28,73
12
não
60
600
2400
48,52
45,14
31,36
13
sim
30
1200
2400
35,77
31,5
52,46
14
não
30
1200
2400
68,43
32,65
50,33
15
sim
60
1200
2400
36,11
47,18
28,48
16
não
60
1200
2400
46,4
49,63
24,4
Observa-se pela figura 45 que o único fator significante estatisticamente para a
recuperação de ferro no sistema oleato de sódio/fluorsilicato de sódio é a porcentagem
de sólidos, ou seja, para conseguir alterar a recuperação de ferro neste sistema deve-se
alterar a porcentagem de sólidos.
Figura 45: Gráfico Pareto para a variável resposta recuperação metalúrgica de Fe (Y
1
),
sistema fluorsilicato de sódio/oleato de sódio
87
A porcentagem de sólidos influencia de modo negativo a recuperação
metalúrgica de ferro, pois a linha, apresentada na figura 46, é decrescente; a medida que
se aumenta a porcentagem de sólidos a recuperação metalúrgica de ferro tende a
diminuir. Nesta mesma figura 46, é possível notar que a dosagem do oleato de sódio
também pode influenciar a recuperação de ferro de forma negativa, porém esta
influência é bem inferior do que a influência da porcentagem de sólidos. As variáveis
deslamagem e dosagem de fluorsilicato de sódio não causam nenhum efeito na
recuperação metalúrgica de ferro.
Figura 46: Gráfico dos efeitos principais para a variável resposta recuperação
metalúrgica de Fe (Y
1
), sistema fluorsilicato de sódio/oleato de sódio
Quando ocorre interação entre os fatores do sistema analisado pode-se notar, na
figura 47, que a interação das variáveis deslamagem e porcentagem de sólidos
provocam efeitos, em tendência negativa, na recuperação metalúrgica de ferro.
88
Figura 47: Gráfico das interações para a variável resposta recuperação metalúrgica de
Fe (Y
1
), sistema fluorsilicato de sódio/oleato de sódio
A figura 48 apresenta as possíveis combinações entre os fatores utilizadas no
sistema em estudo e suas respectivas recuperações de ferro. Este é um cenário em que se
pode tomar a decisão de quais níveis utilizar na flotação aniônica do minério de ferro
quando utilizados o oleato de sódio e o fluorsilicato de sódio. Se a variável resposta
fosse somente a variável recuperação metalúrgica de ferro, poderia-se buscar a
maximização desta variável, sendo o seu valor (conforme figura 48) de 80,54% onde o
minério foi deslamado, foi utilizado 30% de sólidos, 2400 g/t de fluorsilicato de sódio e
600 g/t de oleato de sódio.
Figura 48: Gráfico do cubo para a variável resposta recuperação metalúrgica de Fe (Y
1
),
sistema fluorsilicato de sódio/oleato de sódio
89
O planejamento estatístico analisado sob a variável resposta teor de Fe no
concentrado, apresenta como fatores significantes (figura 49) a porcentagem de sólidos
e a dosagem do fluorsilicato de sódio. A medida que aumenta os níveis destes fatores o
teor de Fe no concentrado tende a aumentar (figura 50). A dosagem do oleato de sódio
causa pequena influência positiva no teor de ferro e a variável deslamagem não causa
nenhum efeito.
Figura 49: Gráfico Pareto para a variável resposta teor de Fe (Y
2
), sistema fluorsilicato
de sódio/oleato de sódio
Figura 50: Gráfico dos efeitos principais para a variável resposta teor de Fe (Y
2
),
sistema fluorsilicato de sódio/oleato de sódio
90
Ao analisar as interações entre os fatores estudados neste sistema, observa-se
que (figura 51) a interação entre a variável deslamagem e a porcentagem de sólidos é a
maior influência positiva do teor de ferro.
Figura 51: Gráfico das interações para a variável resposta teor de Fe (Y
2
), sistema
fluorsilicato de sódio/oleato de sódio
Analisando os testes de flotação aniônica direta de minério de ferro, utilizando o
sistema fluorisilicato de sódio/oleato de sódio, em relação ao teor de ferro pode-se dizer
que a condição otimizada deste sistema, analisando apenas a variável resposta teor de Fe
no concentrado e adotando-se como critério a maximização desta variável (figura 52),
foi a situação em que se obteve 49,63% de teor de ferro: o minério não foi deslamado,
utilizou-se 60% de sólidos, 2400 g/t de fluorsilicato de sódio e 1200 g/t de oleato de
sódio.
91
Figura 52: Gráfico do cubo para a variável resposta teor de Fe (Y
2
), sistema fluorsilicato
de sódio/oleato de sódio
Observando a figura 53, tem-se que a porcentagem de sólidos, a dosagem de
fluorsilicato de sódio e a interação entre estes dois fatores são significativos para o teor
de SiO
2
no concentrado.
A porcentagem de sólidos e a dosagem de fluorsilicato de sódio (figura 54)
apresenta efeito negativo sobre o teor de SiO
2
, o que demonstra ser um bom resultado
visto que para o teor de Fe no concentrado (figura 51) estes mesmos fatores apresentam
efeito positivo. A dosagem de oleato de sódio gera um efeito negativo muito pequeno e
a variável deslamagem não gera efeito para o teor de SiO
2
no concentrado.
92
Figura 53: Gráfico Pareto para a variável resposta teor de SiO
2
(Y
3
), sistema
fluorsilicato de sódio/oleato de sódio
Figura 54: Gráfico dos efeitos principais para a variável resposta teor de SiO
2
(Y
3
),
sistema fluorsilicato de sódio/oleato de sódio
93
A interação porcentagem de sólidos e dosagem de fluorsilicato de sódio que
mostrou ser significativa para o teor de SiO
2
no concentrado (figura 53), apresenta ter
influência negativa quando se tem 60% de sólidos no sistema estudado (figura 55). A
interação entre a deslamagem e a porcentagem de sólidos apresenta influência negativa
(figura 55) no teor de SiO
2
.
Figura 55: Gráfico das interações para a variável resposta teor de SiO
2
(Y
3
), sistema
fluorsilicato de sódio/oleato de sódio
Analisando o sistema de reagentes fluorsilicato de sódio/oleato de sódio sob
apenas a variável resposta, o teor de SiO
2
, pode-se dizer que para a minimização desta
variável a condição otimizada para a obtenção de 24,4% de teor de SiO
2
no
concentrado, foi: o minério não foi deslamado, utilizou-se 60% de sólidos, 2400 g/t de
fluorsilicato de sódio e 1200 g/t de oleato de sódio.
94
Figura 56: Gráfico do cubo para a variável resposta teor de SiO
2
(Y
3
), sistema
fluorsilicato de sódio/oleato de sódio
Após as análises apresentadas neste item e análise da significância das variáveis
estudadas (deslamagem (A), porcentagem de sólidos (B), dosagem de fluorsilicato (C) e
dosagem de oleato de dio (D)) sobre as variáveis respostas (recuperação metalúrgica
(Y
1
), teor de Fe (Y
2
) e teor de SiO
2
(Y
3
)), obteve-se as seguintes equações:
Y
1
= 54,42 10,65B (19)
Y
2
= 37,67 + 6,35B + 1,67D + 1,56BD (20)
Y
3
= 42,70 9,76B 2,38D 2,33BD 2,28C (21)
A figura 57 apresenta a condição otimizada para o sistema de flotação
fluorsilicato de sódio e oleato de sódio.
95
Figura 57: Gráfico para condição otimizada para o sistema de flotação fluorsilicato de
sódio/oleato de sódio
Analisando a figura 57, observa-se que o ponto ótimo para o sistema de flotação
fluorsilicato de sódio e oleato de sódio é obtido com o máximo de recuperação
metalúrgica a 50,18%, máximo de teor de Fe a 46,71% e o mínimo de teor de SiO
2
a
28,85%, quando o minério de ferro não é deslamado, está a 60 % de sólidos, com 2400
g/t de fluorsilicato de sódio e 1200 g/t de oleato de sódio. Com esse mesmo minério,
Lima e outros (2008) através de flotação reversa (amido/amina) produziu um
concentrado do minério sem deslamar com teor de 64% de Fe, 3,4% de SiO
2
e
recuperação metalúrgica de Fe de 57%.
6.4.2 Sistema metassilicato de sódio / oleato de sódio
Na tabela 16 estão apresentados os testes, os fatores (deslamagem (A),
porcentagem de sólidos (B) e dosagem do oleato de sódio (C) e do metassilicato de
sódio (D)) e as variáveis respostas (recuperação metalúrgica (Y
1
) e teores de Fe no
concentrado (Y
2
) e teor de SiO
2
no concentrado (Y
3
)) do planejamento estatístico
fatorial com quatro fatores a dois níveis. Cabe ressaltar aqui que os testes foram
96
realizados em pH 9, uma vez que a depressão da hematita foi menor neste valor de pH,
o inverso ocorreu para o quartzo, conforme resultados dos ensaios de microflotação
apresentados nas figuras 21 e 22.
Tabela 16: Resultados obtidos dos testes do planejamento estatístico feito com
metassilicato de sódio e oleato de sódio
Teste
A
B
C
D
Y
1
Y
2
Y
3
1
sim
30
600
600
83,62
30,04
54,43
2
não
30
600
600
71,9
31,7
51,89
3
sim
60
600
600
59,84
42,79
35,59
4
não
60
600
600
48,29
40,46
38,33
5
sim
30
1200
600
80,2
33,87
48,82
6
não
30
1200
600
66,81
28
57,43
7
sim
60
1200
600
61,83
49,28
25,31
8
não
60
1200
600
50,27
41,84
35,94
9
sim
30
600
2400
79,37
30,02
54,65
10
não
30
600
2400
81,83
31,58
52,21
11
sim
60
600
2400
52,91
47,06
28,73
12
não
60
600
2400
57,18
45,14
31,36
13
sim
30
1200
2400
84,36
31,5
52,46
14
não
30
1200
2400
73,05
32,65
50,33
15
sim
60
1200
2400
50,82
47,18
28,48
16
não
60
1200
2400
57,38
49,63
24,44
No planejamento estatístico realizado com o metassilicato de sódio e oleato de
sódio foram feitos ensaios exploratórios, sem réplica, para verificar a significância dos
fatores sobre as variáveis respostas. As figuras 58, 59 e 60 apresentam a significância
dos fatores estudados para a recuperação metalúrgica, teores de Fe e de SiO
2
no
concentrado, respectivamente.
97
Figura 58: Gráfico Pareto para variável resposta recuperação metalúrgica de ferro,
sistema de flotação metassilicato de sódio/oleato de sódio
Figura 59: Gráfico Pareto para variável resposta teor de Fe no concentrado, sistema de
flotação metassilicato de sódio/oleato de sódio
98
Figura 60: Gráfico Pareto para variável resposta teor de SiO
2
no concentrado, sistema de
flotação metassilicato de sódio/oleato de sódio
Para a recuperação metalúrgica de ferro (figura 58), a porcentagem de sólidos, a
interação entre deslamagem e dosagem de metassilicato de sódio e a deslamagem foram
os fatores que se apresentaram ser significativos estatisticamente. Para o teor de Fe
(figura 59) e de SiO
2
no concentrado (figura 60) o único fator que mostrou ser
significativo foi a porcentagem de sólidos. Considerando como variáveis respostas, o
teor de Fe (Y
2
) e o teor de SiO
2
(Y
3
) no concentrado, para determinação de parâmetros
dos próximos ensaios plotaram-se os gráficos das figuras 61 e 62.
99
Figura 61: Gráfico dos efeitos principais para variável resposta teor de Fe no
concentrado, sistema de flotação metassilicato de sódio/oleato de sódio
Figura 62: Gráfico dos efeitos principais para variável resposta teor de SiO
2
no
concentrado, sistema de flotação metassilicato de sódio/oleato de sódio
100
Conforme a figura 61 o aumento da porcentagem de sólidos tende a aumentar o
teor de Fe no concentrado e conforme a figura 62 o aumento da porcentagem de sólidos
tende a diminuir o teor de SiO
2
no concentrado.
Após as análises apresentadas neste item e análise da significância das variáveis
estudadas (deslamagem (A), porcentagem de sólidos (B), dosagem de metassilicato de
sódio (C) e dosagem de oleato de sódio (D)) sobre as variáveis respostas (recuperação
metalúrgica (Y
1
), teor de Fe (Y
2
) e teor de SiO
2
(Y
3
) no concentrado), obteve-se as
seguintes equações:
Y
1
= 66,23 11,41B + 3,14AD 2,89A + 1,36AB (19)
Y
2
= 38,30 + 7,13B (20)
Y
3
= 41,90 10,88B (21)
A figura 63 apresenta a condição otimizada para o sistema de flotação
metassilicato de sódio e oleato de sódio.
Figura 63: Gráfico para condição otimizada para o sistema de flotação metassilicato de
sódio/oleato de sódio
101
Desse modo, a condição otimizada do sistema metassilicato de sódio/oleato de
sódio: minério não deslamado, 60 % de sólidos, 600 g/t de metassilicato de sódio e 1200
g/t de oleato de sódio.
Observa-se que os resultados obtidos com esse depressor (recuperação
metalúrgica de Fe de 61,8%, com 49,3% de Fe e 25,3% de SiO
2
no concentrado) foram
ligeiramente melhores que os resultados obtidos com o fluorsilicato de sódio
(recuperação metalúrgica de Fe igual a 50,18%, 46,7% de Fe e 28,85% de SiO
2
no
concentrado). No entanto, de se lembrar que os ensaios foram efetuados para valores
de pH 9 e 7, respectivamente para o metassilicato e fluorsilicato de sódio. Em ambos os
casos, a performance do minério na flotação direta foi muito inferior à flotação inversa,
conforme discutido anteriormente. Lopes (2009) chegou à mesma conclusão quando
efetuou ensaios com o minério Serra Serpentina.
6.4.3 Sistema cloreto de manganês / metassilicato de sódio / oleato de sódio
As recuperações metalúrgicas de Fe, os teores de Fe e de SiO
2
no concentrado
obtidos com os ensaios em bancada de flotação aniônica com ativação prévia do
quartzo adicionando o íon Mn
2+
no sistema, podem ser vistos nas figuras 64, 65 e 66.
0
10
20
30
40
50
60
70
80
0 200 400 600 800 1000 1200
Recuperão de Fe (%)
MnCl
2
(g/t)
Figura 64: Recuperação metalúrgica de ferro para a flotação aniônica com ativação
prévia do minério de ferro com MnCl
2
, usando metassilicato de sódio/oleato
de sódio
Ao condicionar previamente o minério com cloreto de manganês, observa-se que
a recuperação metalúrgica de ferro aumenta à medida que a concentração do sal
102
aumenta (figura 64), sendo que a maior recuperação metalúrgica de ferro encontrada foi
de 75% a concentração de 200 g/t de MnCl
2
. O que é coerente com os resultados dos
ensaios de microflotação apresentados nas figuras 35 e 36.
Os teores de Fe e de SiO
2
no concentrado não se alteram muito com a variação
da concentração do cloreto de manganês. O maior teor de Fe encontrado foi de 36%
quando utilizada a concentração de 500 g/t de MnCl
2
(figura 65), enquanto que o menor
teor de SiO
2
encontrado foi de 45,83% a uma concentração de 500 g/t de MnCl
2
(figura
66).
0
5
10
15
20
25
30
35
40
0 200 400 600 800 1000 1200
Teor de Fe (%)
MnCl
2
(g/t)
Figura 65: Teor de Fe para a flotação aniônica com ativação prévia do minério de ferro
com MnCl
2
, usando metassilicato de sódio/oleato de sódio
0
10
20
30
40
50
60
0 200 400 600 800 1000 1200
Teor de SiO2 (%)
MnCl
2
(g/t)
Figura 66: Teor de SiO
2
para a flotação aniônica com ativação prévia do minério de
ferro com MnCl
2
, usando metassilicato de sódio/oleato de sódio
Ao analisar o maior teor de Fe e o menor teor de SiO
2
no concentrado, observou-
se que estes valores foram encontrados na mesma concentração de cloreto de manganês,
103
500 g/t. Porém, a maior recuperação metalúrgica de ferro foi encontrada em uma outra
concentração de MnCl
2
, 1000 g/t. Além destes resultados apresentarem dificuldade em
encontrar a melhor condição de flotação; os resultados dos testes em bancada da
flotação aniônica com adoção do íon Mn
2+
, não mostraram ser condizentes com os
testes de microflotação (figuras 35 e 36). Ou seja, os resultados obtidos foram piores do
que os resultados obtidos na flotação.
104
7. CONCLUSÕES
A flotação aniônica tem sido cada vez mais estudada como uma alternativa para
a concentração de minério de ferro de baixo teor. Um dos parâmetros que gera diversas
pesquisas é o reagente, utilizado neste tipo de beneficiamento.
Após a apresentação dos testes, resultados e análises neste trabalho, concluiu-se
que:
Através dos ensaios de microflotações o depressor que apresentou maior
eficiência na depressão do quartzo foi o fluorsilicato de sódio, obtendo
flotabilidade de 24,9%, quando este mineral foi condicionado, em pH 7, com 70
mg/L de oleato de sódio e 100 mg/L deste depressor, sendo a flotabilidade da
hematita para estas mesmas condições de 79,4%;
O metassilicato de sódio deprimiu o quarzto chegando a uma flotabilidade de
32%, quando condicionado, em pH 9, com 70 mg/L de oleato de sódio e 1 mg/L
deste depressor, a hematita apresentou flotabilidade de 82,42% nas mesmas
condições aplicadas nos testes;
O hexametafosfato de sódio propicia a flotação de ambos os minerais em
concentrações baixas deste depressor e a depressão de ambos os minerais em
concentrações mais altas deste depressor;
O uso de amido de milho e oleato de sódio proporcionou resultados próximos
aos encontrados na literatura quando se trata do clássico sistema amina/amido: a
hematita apresentou flotabilidade 17% e o quartzo de 70 %, nas seguintes
condições experimentais: pH 7 e 10 mg/L de amido;
O uso de dextrina branca levou a comportamento semelhante ao amido de milho,
em pH 9, registrando flotabilidade do quartzo em média de 55% e da hematita
em média de 15%;
O condicionamento prévio do quartzo com MnCl
2
mostrou ser satisfatório em
pH 7 cujo valor do potencial zeta é negativo e onde ocorre a hidrólise do sal em
complexos de hidróxidos, favorecendo a adsorção do coletor sobre a superfície
do mineral, tornando-o de caráter hidrofóbico;
O condicionamento da hematita com fluorsilicato de sódio levou a reversão nos
valores de potencial zeta em torno do pH 3,5, o que pode ser explicado pela
atração eletrostática da espécie SiF
6
2-
pela superfície do mineral carregada
105
positivamente até o PIE (7,8). A partir deste valor adsorção específica das
espécies HF
2
-
, que possui maior atividade em valores de pH alcalinos.
Apesar do fluorsilicato de sódio ter sido adsorvido na superfície da hematita o
mesmo não impediu a adsorção do oletao de sódio, pois os valores de potencial
zeta tornaram-se ainda mais negativos na presença deste coletor.
O condicionamento da hematita com MnCl
2
apresentou uma reversão nos
valores de potencial zeta em torno do pH 5,5, ou seja, o íon Mn
2+
é um íon
determinador de potencial.
Para o MnCl
2
o valor de pH em que ocorre a primeira hidrólise do sal de modo a
formar o hidroxicomplexo é em torno de 7. Este foi o valor de pH que ocorreu
maior flotabilidade do quartzo para os testes de microflotação utilizando o
MnCl
2
, metassilicato de sódio e oleato de sódio.
Através dos ensaios de flotação em bancada, o sistema fluorsilicato de sódio e
oleato de sódio não proporcionou seletividade entre a hematita e a ganga do
minério de ferro. Os resultados mostram que a melhor condição de flotação foi
obtida com minério não deslamado, 60% de sólidos, 2400 g/t de fluorsilicato de
sódio e 1200 g/t de oleato de sódio. O teor de ferro no concentrado foi de
46,71% e o teor de sílica foi de 28,85%;
Para o sistema metassilicato de sódio e oleato de sódio, a condição otimizada,
utilizada para os ensaios de flotação em bancada com adição de íons, foi:
minério não deslamado, 60% de sólidos e 1200 g/t de oleato de sódio e 600 g/t
de metassilicato de sódio;
A “ativação” prévia do quartzo na flotação em bancada com o minério Fábrica
Nova produziu concentrados ainda piores do que na flotação direta.
106
8. REFERÊNCIAS BIBLIOGRÁFICAS
1. Alecrim, José Duarte. Recursos Minerais do Estado de Minas Gerais. Belo
Horizonte: Metaning, 1982. 297 p.
2. Araujo, A.C.; Amarante, S.C.; Souza, C.C.; Silva, R.R.R. Ore mineralogy and
its relevance for selection of concentration methods. Mineral Processing and
Extractive Metallurgy. Volume 112. p. C54 C64. April, 2003.
3. Araujo, A. C., Viana, P. R. M., Peres, A. E. C., Reagents in iron ores flotation.
Minerals Engineering, vol. 18, p. 219-224. 2005.
4. Atlas de minerais e de rochas. Museu Heinz Ebert. Unesp. Disponível em:
http://www.rc.unesp.br/museudpm/banco/silicatos/tectossilicatos/quartzo.html.
Acessado em: fevereiro de 2009.
5. Brandão, P.R.G. (1985). Flotação de Oxi-minerais. In: Peres, A.E.C. (1999-II).
Flotação.
6. Bulatovic, S.M. Handbook of Flotation Reagents: Chemistry, Theory and
Practice; Vol. 1; 1sth Edition; Elsevier; Amsterdam. p. 81-86, 178-180 e 215-
232. 2007.
7. Bulatovic, S.M. Use of Organic Polymers in the Flotation of Polymetallic Ores:
A Review. Minerals Engineering. Vol. 12. 4. Ed. Pergamon. Canadá. p. 341-
354. 1999.
8. Carvalho, M. R. Interferência de cátions Ca
2+
nas etapas de deslamagem e
flotação de minério de ferro. Dissertação de mestrado. Programa de Pós
Graduação em Engenharia Mineral da Universidade Federal de Ouro Preto.
Ouro Preto, 2003.
9. Cornell, R. M. e Schwertmann, U. The iron oxides. New York: VCH. 1996.
10. Furestenau, M. C. e Palmer, B. R. Anionic flotation of oxides and silicates. p.
148 196. In Fuerstenau, M. C. Flotation, v. 1, AIME. New York. 1976.
11. Fuerstenau, M.C. Flotation, A.M. Gaudin Memorial Volume. New York, AIME
Inc.(1976).
12. Fuerstenau, M.C., Hank, K.N. Metal-surfactant precipitation and adsorption in
froth flotation. Jounal of clloid and interface science, 2002.
13. Irany Tereza, Nicola Pamplona e Natalia Gomez. O Lucro da Vale subiu em
2008. Estado de São Paulo. 20/2/2009.
107
14. Iwasaki, I., Smith, K. A., Lipp, R. J., Sato, H. Fine Particles Processing.
Proceedings of the international symposium of fine particles processing. v. 2.
Las Vegas. p. 1057 1080. 1980.
15. Lecture, G. Role of surface phenomena in the beneficiation of fine particles.
SME-AIME Annual Meeting. Atlanta, GA. 1983.
16. Leja, J. Flotation Surfactants. In: Leja, J. Surface Chemistry of Froth Flotation.
2nd Printing. New York and London: Plenum Press, 1983. p. 205 339.
17. Lima, R. M. F. Adsorção de amido e amina na superfície da hematita e do
quartzo e sua influência na flotação. Pós graduação em Engenharia Metalúrgica
e de minas. UFMG. Tese. 1997. 238 p.
18. Lima, R.M.F., Lopes, G. M., Franco, G. P. e Coelho P. A. Flotação de minérios
de ferro de baixos teores. Relatório parcial. Laboratório de Propriedades
Interfaciais. DEMIN. Universidade Federal de Ouro Preto. 2008. 73 p.
19. Lopes, G. M. Flotação direta de minério de ferro. Dissertação de mestrado.
Programa de Pós Graduação em Engenharia Mineral, Departamento de
Engenharia de Minas, UFOP. Ouro Preto, fevereiro de 2009. 175 p.
20. Luz, J. A. M. Flotação aniônica de rejeito itabirítico: estudo de reagentes
alternativos e modelamento polifásico do processo. Tese de doutorado. Pós
Graduação em Engenharia Metalúrgica e de Minas pela Universidade Federal de
Minas Gerais. Belo Horizonte, 1996.
21. Magalhães, M. S., Brandão, P. R. G. Microstructures of industrial sinters from
Quadrilatero Ferrifero’s iron ores, Minas Gerais State, Brazil. Minerals
Engineering, vol 16. p. 1251-1256. Novembro de 2003.
22. Marinakis, K.I.; Shergold, H.L. Influence of Sodium Silicate Addition on The
Adsorption of Oleic Acid by Fluorite, Calcite and Barite. International Journal
of Mineral Processing. Vol 14. Elsevier Scientific Publishing B.V. Amsterdam.
p 177-193. 1985.
23. Martins, G. J. M. Influência da dureza da água em suspensões de esmalte
cerâmico. Dissertação de mestrado. Pós Graduaçãoem Ciência e Engenharia de
Materiais pela Universidade Federal de Santa Catarina. Florianópolis, 2001. 114
p.
24. Mishra, S.K., Eletrokinetic Properties and Flotation Behavior of Apatite and
Calcite in the Presence of Sodium Oleate and Sodium Metasilicate. International
108
Journal of Mineral Processing. Vol 9.Elsevier Scientific Publishing Company.
Amsterdam. p. 59-73. 1982.
25. Monte, M. B. M. e Peres, A. E. C. Química de superfície na flotação. p. 339
407. In Tratamento de Minérios. 4ª ed. Rio de Janeiro: CETEM, 2004.
26. Panorama do Minério de Ferro. Disponível em:
http://www.ibram.org.br/sites/1300/1382/00000039.pdf. Acessado em 27/02/09.
27. Panorama Produção Mineral. Disponível em:
http://www.ibram.org.br/sites/700/784/00001367.pdf. Acessado em 27/02/09.
28. Prasad, M.S. Reagents in the mineral industry recente trends and applications.
Minerals Engineering, vol. 5, 1992. P. 279 294.
29. Rabockai, T. Físico-Química de Superfícies. Instituto de Química da
Universidade de São Paulo. São Paulo, 1979. 128 p.
30. Rao, S.R. Surface Chemistry of Froth Flotation. Second Edition. Vol. 2.
Reagents and Mechaninms. First Edition by Jan Leja. 1982. Kluwer
Academic/Plenum Publishers. New York. p. 581-583. 2004.
31. Reis, R. L. R. Propriedades e aplicação do gritz de milho na flotação catiônica
reversa de minérios itabiríticos. Dissertação de mestrado. Pós Graduação em
Engenharia Metalúrgica e de minas pela Universidade Federal de Minas Gerais.
Belo Horizonte, 1987.
32. Roe, L.a. Iron ore beneficiation. U.S.A. Minerals Publishing Company. 1957
33. Rosière, C. A., Chemale Jr. F., Guimarães, M. L. V. Um modelo para a evolução
microestrutural dos minérios de ferro do Quadrilátero Ferrífero. Parte I
Estruturas e Rescritalização. Geonomos, *CPMT/IGC/UFMG, **UNISINOS,
***FUNDEP, 1 (1); p. 65 84. 1993.
34. Santos, L.D., Brandao, P.R.G. Morphological varieties of goethite in iron ores
from Minas Gerais, Brazil. Minerals Engineering, vol 16, p. 1285-1289. Nov.
2003.
35. Scott, J.L e Smith, R. W. Calcium ion effects in amine flotation of quartz and
magnetite. Minerals Engineering, v. 6, n. 12, p. 1245-1255, 1993.
36. Silva, G. M. A. Estudos sobre o estado de agregação de suspensão de um
minério de ferro. Dissertação de mestrado. Pós Graduação em Engenharia
Metalúrgica e de Minas pela Universidade Federal de Minas Gerais. Belo
Horizonte, 1994. 189 p.
109
37. Silva, T. A. V. Estudos de reagentes na flotação de minério de zinco.
Dissertação de mestrado. Pós Graduação em engenharia Mineral pela
Universidade Federal de Ouro Preto. Ouro Preto, 2006. 119 p.
38. Santos, I. D. Utilização do ácido húmico como agente depressor da hematita na
flotação do minério de ferro. Dissertação de mestrado. Pós Graduação de
Engenharia pela Universidade Federal do Rio de Janeiro. Rio de Janeiro, RJ.
2006. 86 p.
39. Song, S.; Valdivieso, A. L.; Lu, S.; Ouyang, J. Selective Dispersion in a
Diaspore-Rutile Suspension by Sodium Fluorosilicate. Powder Technology.
Elsevier Science B.V. Vol. 123. México. p. 178-184. 2002.
40. Viana, P. R. M. Araujo, A. C., Peres, A. E. C. Adsorção de coletores aniônicos
em silicatos. Revista Escola de Minas. Vol. 58. Nº 3. Ouro Preto, julho/setembro
de 2005.
110
APÊNDICE 1: Balanços de Massas e Metalúrgicos dos Ensaios de Flotação em
Bancada
Os balanços de massa e metalúrgico dos ensaios de flotação em bancada dos
sistemas oleato de sódio/fluorsilicato de sódio, oleato de sódio/metassilicato de sódio e
oleato de sódio/metassilicato de sódio/MnCl
2
e oleato de sódio/metassilicato de
sódio/AlCl
3
estão apresentados nas tabelas 1, 2, 3 e 4 respectivamente.
111
Tabela 1: Balanço de massa e metalúrgico dos testes de flotação, utilizando depressor fluorsilicato de sódio e coletor oleato de sódio
(g) (%) Fe SiO2 Fe (g) Fe (%) SiO2 (g) SiO2 (%) Fe SiO2
Deslamado, 30% sólidos Flotado 180,03 73,30 30,15 54,44 5427,90 2209,97 9800,83 3990,40 73,68 73,01
Oleato600 g/t Afundado 65,58 26,70 29,56 55,26 1938,54 789,28 3623,95 1475,49 26,32 26,99
Metassilicato 600 g/t Alim. Recal. 245,61 100,00 29,99 54,66 7366,45 2999,25 13424,78 5465,89 100,00 100,00
S/ deslamar, 30% sólidos Flotado 168,35 68,55 30,51 53,52 5136,36 2091,35 9010,09 3668,60 67,46 69,51
Oleato600 g/t Afundado 77,25 31,45 32,07 51,15 2477,41 1008,72 3951,34 1608,85 32,54 30,49
Metassilicato 600 g/t Alim. Recal. 245,60 100,00 31,00 52,77 7613,77 3100,07 12961,43 5277,46 100,00 100,00
Deslamado, 60% sólidos Flotado 234,52 35,14 39,96 39,32 9371,42 1404,17 9221,33 1381,68 46,23 25,41
Oleato600 g/t Afundado 432,88 64,86 25,18 62,54 10899,92 1633,19 27072,32 4056,39 53,77 74,59
Metassilicato 600 g/t Alim. Recal. 667,40 100,00 30,37 54,38 20271,34 3037,36 36293,64 5438,06 100,00 100,00
S/ deslamar, 60% sólidos Flotado 237,52 35,33 35,27 45,61 8377,33 1246,22 10833,29 1611,57 40,41 30,34
Oleato600 g/t Afundado 434,70 64,67 28,42 57,23 12354,17 1837,82 24877,88 3700,85 59,59 69,66
Metassilicato 600 g/t Alim. Recal. 672,22 100,00 30,84 53,12 20731,50 3084,04 35711,17 5312,42 100,00 100,00
Deslamado, 30% sólidos Flotado 150,00 60,88 33,13 49,90 4969,50 2017,09 7485,00 3038,11 64,26 57,72
Oleato1200 g/t Afundado 96,37 39,12 28,68 56,89 2763,89 1121,85 5482,49 2225,31 35,74 42,28
Metassilicato 600 g/t Alim. Recal. 246,37 100,00 31,39 52,63 7733,39 3138,93 12967,49 5263,42 100,00 100,00
S/ deslamar, 30% sólidos Flotado 150,23 60,79 31,08 52,20 4669,15 1889,27 7842,01 3173,10 60,79 60,35
Oleato1200 g/t Afundado 96,91 39,21 31,08 53,16 3011,96 1218,73 5151,74 2084,54 39,21 39,65
Metassilicato 600 g/t Alim. Recal. 247,14 100,00 31,08 52,58 7681,11 3108,00 12993,74 5257,64 100,00 100,00
Deslamado, 60% sólidos Flotado 205,30 30,50 46,14 29,73 9472,54 1407,30 6103,57 906,78 47,49 16,41
Oleato1200 g/t Afundado 467,80 69,50 22,39 66,46 10474,04 1556,09 31089,99 4618,93 52,51 83,59
Metassilicato 600 g/t Alim. Recal. 673,10 100,00 29,63 55,26 19946,58 2963,39 37193,56 5525,71 100,00 100,00
S/ deslamar, 60% sólidos Flotado 182,03 27,04 41,84 35,94 7616,14 1131,23 6542,16 971,71 38,68 17,51
Oleato1200 g/t Afundado 491,23 72,96 24,58 62,75 12074,43 1793,43 30824,68 4578,42 61,32 82,49
Metassilicato 600 g/t Alim. Recal. 673,26 100,00 29,25 55,50 19690,57 2924,66 37366,84 5550,14 100,00 100,00
Massa
Teores (%)
Unidade metálica
Distribuição (%)
1
Teste
Condições do experimento
Produto
2
3
4
5
6
7
8
112
Tabela 1: Balanço de massa e metalúrgico dos testes de flotação, utilizando depressor fluorsilicato de sódio e coletor oleato de sódio
(continuação)
(g) (%) Fe SiO2 Fe (g) Fe (%) SiO2 (g) SiO2 (%) Fe SiO2
Deslamado, 30% sólidos Flotado 199,69 81,34 30,02 54,65 5994,69 2441,93 10913,06 4445,42 80,54 82,10
Oleato600 g/t Afundado 45,80 18,66 31,63 51,96 1448,65 590,11 2379,77 969,40 19,46 17,90
Metassilicato 2400 g/t Alim. Recal. 245,49 100,00 30,32 54,15 7443,35 3032,04 13292,83 5414,81 100,00 100,00
S/ deslamar, 30% sólidos Flotado 169,50 68,90 31,58 52,21 5352,81 2175,85 8849,60 3597,25 69,63 68,48
Oleato600 g/t Afundado 76,51 31,10 30,51 53,24 2334,32 948,87 4073,39 1655,78 30,37 31,52
Metassilicato 2400 g/t Alim. Recal. 246,01 100,00 31,25 52,53 7687,13 3124,72 12922,99 5253,03 100,00 100,00
Deslamado, 60% sólidos Flotado 183,53 27,27 47,06 28,73 8636,92 1283,10 5272,82 783,33 46,34 13,46
Oleato600 g/t Afundado 489,60 72,73 20,43 69,22 10002,53 1485,97 33890,11 5034,71 53,66 86,54
Metassilicato 2400 g/t Alim. Recal. 673,13 100,00 27,69 58,18 18639,45 2769,07 39162,93 5818,03 100,00 100,00
S/ deslamar, 60% sólidos Flotado 205,44 30,43 45,14 31,36 9273,56 1373,62 6442,60 954,29 48,52 16,73
Oleato600 g/t Afundado 469,68 69,57 20,95 68,29 9839,80 1457,49 32074,45 4750,93 51,48 83,27
Metassilicato 2400 g/t Alim. Recal. 675,12 100,00 28,31 57,05 19113,36 2831,11 38517,05 5705,21 100,00 100,00
Deslamado, 30% sólidos Flotado 88,38 35,90 31,50 52,46 2783,97 1130,73 4636,41 1883,11 35,77 35,87
Oleato1200 g/t Afundado 157,83 64,10 31,67 52,53 4998,48 2030,17 8290,81 3367,37 64,23 64,13
Metassilicato 2400 g/t Alim. Recal. 246,21 100,00 31,61 52,50 7782,45 3160,90 12927,22 5250,49 100,00 100,00
S/ deslamar, 30% sólidos Flotado 165,04 67,32 32,65 50,33 5388,56 2197,89 8306,46 3388,04 68,43 66,28
Oleato1200 g/t Afundado 80,13 32,68 31,03 52,75 2486,43 1014,17 4226,86 1724,05 31,57 33,72
Metassilicato 2400 g/t Alim. Recal. 245,17 100,00 32,12 51,12 7874,99 3212,05 12533,32 5112,09 100,00 100,00
Deslamado, 60% sólidos Flotado 147,10 21,83 47,18 28,48 6940,18 1029,94 4189,41 621,72 36,11 10,91
Oleato1200 g/t Afundado 526,74 78,17 23,31 64,93 12278,31 1822,14 34201,23 5075,57 63,89 89,09
Metassilicato 2400 g/t Alim. Recal. 673,84 100,00 28,52 56,97 19218,49 2852,08 38390,64 5697,29 100,00 100,00
S/ deslamar, 60% sólidos Flotado 170,45 26,11 49,63 24,44 8459,43 1295,97 4165,80 638,19 46,40 11,07
Oleato1200 g/t Afundado 482,30 73,89 20,26 69,38 9771,40 1496,96 33461,97 5126,31 53,60 88,93
Metassilicato 2400 g/t Alim. Recal. 652,75 100,00 27,93 57,64 18230,83 2792,93 37627,77 5764,50 100,00 100,00
13
14
15
16
Unidade metálica
Distribuição (%)
9
10
11
12
Teste
Condições do experimento
Produto
Massa
Teores (%)
113
Tabela 2: Balanço de massa e metalúrgico dos testes de flotação, utilizando depressor metassilicato de sódio e coletor oleato de sódio
(g) (%) Fe SiO2 Fe (g) Fe (%) SiO2 (g) SiO2 (%) Fe SiO2
Deslamado, 30% sólidos Flotado 206,46 83,52 30,04 54,43 6.202,06 2.508,92 11.237,62 4.545,96 83,62 83,51
Oleato600 g/t Afundado 40,74 16,48 29,83 54,45 1.215,27 491,62 2.218,29 897,37 16,38 16,49
Metassilicato 600 g/t
Alim. Recal.
247,20 100,00 30,01 54,43 7.417,33 3.000,54 13.455,91 5.443,33 100,00 100,00
S/ deslamar, 30% sólidos Flotado 175,95 72,26 31,70 51,89 5.577,62 2.290,51 9.130,05 3.749,35 71,90 72,57
Oleato600 g/t Afundado 67,56 27,74 32,27 51,09 2.180,16 895,31 3.451,64 1.417,45 28,10 27,43
Metassilicato 600 g/t
Alim. Recal.
243,51 100,00 31,86 51,67 7.757,78 3.185,81 12.581,69 5.166,80 100,00 100,00
Deslamado, 60% sólidos Flotado 284,19 42,41 42,79 35,59 12.160,49 1.814,67 10.114,32 1.509,33 59,84 27,83
Oleato600 g/t Afundado 385,93 57,59 21,15 67,96 8.162,42 1.218,05 26.227,80 3.913,90 40,16 72,17
Metassilicato 600 mg/L
Alim. Recal.
670,12 100,00 30,33 54,23 20.322,91 3.032,73 36.342,12 5.423,23 100,00 100,00
S/ deslamar, 60% sólidos Flotado 245,20 37,22 40,46 38,33 9.920,79 1.506,00 9.398,52 1.426,72 48,29 27,08
Oleato600 g/t Afundado 413,55 62,78 25,69 61,20 10.624,10 1.612,77 25.309,26 3.842,01 51,71 72,92
Metassilicato 600 g/t
Alim. Recal.
658,75 100,00 31,19 52,69 20.544,89 3.118,77 34.707,78 5.268,73 100,00 100,00
Deslamado, 30% sólidos Flotado 179,51 72,64 33,87 48,82 6.080,00 2.460,25 8.763,68 3.546,18 80,20 66,17
Oleato1200 g/t Afundado 67,62 27,36 22,20 66,25 1.501,16 607,44 4.479,83 1.812,74 19,80 33,83
Metassilicato 600 g/t
Alim. Recal.
247,13 100,00 30,68 53,59 7.581,17 3.067,68 13.243,50 5.358,92 100,00 100,00
S/ deslamar, 30% sólidos Flotado 172,93 71,48 28,00 57,43 4.842,04 2.001,34 9.931,37 4.104,89 66,81 75,30
Oleato1200 g/t Afundado 69,01 28,52 34,86 47,21 2.405,69 994,33 3.257,96 1.346,60 33,19 24,70
Metassilicato 600 g/t
Alim. Recal.
241,94 100,00 29,96 54,51 7.247,73 2.995,67 13.189,33 5.451,49 100,00 100,00
Deslamado, 60% sólidos Flotado 260,15 38,65 49,28 25,31 12.820,19 1.904,79 6.584,40 978,29 61,83 18,31
Oleato1200 g/t Afundado 412,90 61,35 19,17 71,15 7.915,29 1.176,03 29.377,84 4.364,88 38,17 81,69
Metassilicato 600 g/t
Alim. Recal.
673,05 100,00 30,81 53,43 20.735,49 3.080,82 35.962,23 5.343,17 100,00 100,00
S/ deslamar, 60% sólidos Flotado 248,42 37,26 41,84 35,94 10.393,89 1.559,10 8.928,21 1.339,25 50,27 25,38
Oleato1200 g/t Afundado 418,24 62,74 24,58 62,75 10.280,34 1.542,07 26.244,56 3.936,72 49,73 74,62
Metassilicato 600 g/t
Alim. Recal.
666,66 100,00 31,01 52,76 20.674,23 3.101,17 35.172,77 5.275,97 100,00 100,00
Massa
Teores (%)
Unidade metálica
Distribuição (%)
1
Teste
Condições do experimento
Produto
2
3
4
5
6
7
8
114
Tabela 2: Balanço de massa e metalúrgico dos testes de flotação, utilizando depressor metassilicato de sódio e coletor oleato de sódio
(continuação)
(g) (%) Fe SiO2 Fe (g) Fe (%) SiO2 (g) SiO2 (%) Fe SiO2
Deslamado, 30% sólidos Flotado 196,13 80,22 30,02 54,65 5887,82 2408,11 10718,50 4383,85 79,37 81,01
Oleato600 g/t Afundado 48,37 19,78 31,63 51,96 1529,94 625,74 2513,31 1027,94 20,63 18,99
Metassilicato 2400 g/t
Alim. Recal.
244,50 100,00 30,34 54,12 7417,77 3033,85 13231,81 5411,78 100,00 100,00
S/ deslamar, 30% sólidos Flotado 198,26 81,31 31,58 52,21 6261,05 2567,69 10351,15 4245,06 81,83 81,01
Oleato600 g/t Afundado 45,58 18,69 30,51 53,24 1390,65 570,31 2426,68 995,19 18,17 18,99
Metassilicato 2400 g/t
Alim. Recal.
243,84 100,00 31,38 52,40 7651,70 3138,00 12777,83 5240,25 100,00 100,00
Deslamado, 60% sólidos Flotado 218,89 32,78 47,06 28,73 10300,96 1542,75 6288,71 941,85 52,91 16,83
Oleato600 g/t Afundado 448,81 67,22 20,43 69,22 9169,19 1373,25 31066,63 4652,78 47,09 83,17
Metassilicato 2400 g/t
Alim. Recal.
667,70 100,00 29,16 55,95 19470,15 2916,00 37355,34 5594,63 100,00 100,00
S/ deslamar, 60% sólidos Flotado 256,02 38,27 45,14 31,36 11556,74 1727,34 8028,79 1200,03 57,18 22,16
Oleato600 g/t Afundado 413,03 61,73 20,95 68,29 8652,98 1293,32 28205,82 4215,80 42,82 77,84
Metassilicato 2400 g/t
Alim. Recal.
669,05 100,00 30,21 54,16 20209,72 3020,66 36234,61 5415,83 100,00 100,00
Deslamado, 30% sólidos Flotado 208,18 84,43 31,50 52,46 6557,67 2659,56 10921,12 4429,22 84,36 84,41
Oleato1200 g/t Afundado 38,39 15,57 31,67 52,53 1215,81 493,09 2016,63 817,87 15,64 15,59
Metassilicato 2400 g/t
Alim. Recal.
246,57 100,00 31,53 52,47 7773,48 3152,65 12937,75 5247,09 100,00 100,00
S/ deslamar, 30% sólidos Flotado 177,40 72,04 32,65 50,33 5792,11 2352,13 8928,54 3625,80 73,05 71,08
Oleato1200 g/t Afundado 68,85 27,96 31,03 52,75 2136,42 867,58 3631,84 1474,86 26,95 28,92
Metassilicato 2400 g/t
Alim. Recal.
246,25 100,00 32,20 51,01 7928,53 3219,71 12560,38 5100,66 100,00 100,00
Deslamado, 60% sólidos Flotado 227,23 33,79 47,18 28,48 10720,71 1594,44 6471,51 962,48 50,82 18,29
Oleato1200 g/t Afundado 445,15 66,21 23,31 64,93 10376,45 1543,24 28903,59 4298,70 49,18 81,71
Metassilicato 2400 g/t
Alim. Recal.
672,38 100,00 31,38 52,61 21097,16 3137,68 35375,10 5261,18 100,00 100,00
S/ deslamar, 60% sólidos Flotado 235,65 35,46 49,63 24,44 11695,31 1760,02 5759,29 866,71 57,38 16,22
Oleato1200 g/t Afundado 428,85 64,54 20,26 69,38 8688,50 1307,52 29753,61 4477,59 42,62 83,78
Metassilicato 2400 g/t
Alim. Recal.
664,50 100,00 30,68 53,44 20383,81 3067,54 35512,90 5344,30 100,00 100,00
13
14
15
16
Unidade metálica
Distribuição (%)
9
10
11
12
Teste
Condições do experimento
Produto
Massa
Teores (%)
115
Tabela 3: Balanço de massa e metalúrgico dos testes de flotação, utilizando cloreto de manganês, metassilicato de sódio e oleato de sódio
(g) (%) Fe SiO2 Fe (g) Fe (%) SiO2 (g) SiO2 (%) Fe SiO2
S/ deslamar; 60% sól.; pH 7 Flotado 244,58 36,50 30,72 52,58 7513,50 1121,20 12860,02 1919,03 36,60 35,90
Oleato e metassilicato – 600 g/t
Afundado 425,55 63,50 30,58 53,96 13013,32 1941,91 22962,68 3426,60 63,40 64,10
MnCl2 100 g/t Alim. Recal. 670,13 100,00 30,63 53,46 20526,82 3063,11 35822,69 5345,63 100,00 100,00
S/ deslamar; 60% sól.; pH 7 Flotado 324,76 48,33 32,22 50,60 10463,77 1557,18 16432,86 2445,47 50,76 45,81
Oleato e metassilicato – 600 g/t
Afundado 347,21 51,67 29,24 55,98 10152,42 1510,84 19436,82 2892,51 49,24 54,19
MnCl2 100 g/tRéplica Alim. Recal. 671,97 100,00 30,68 53,38 20616,19 3068,02 35869,67 5337,99 100,00 100,00
S/ deslamar; 60% sól.; pH 7 Flotado 297,22 44,20 32,01 50,43 9514,01 1414,83 14988,80 2228,98 46,52 41,62
Oleato e metassilicato – 600 g/t
Afundado 375,23 55,80 29,15 56,04 10937,95 1626,58 21027,89 3127,06 53,48 58,38
MnCl2 200 g/t Alim. Recal. 672,45 100,00 30,41 53,56 20451,97 3041,41 36016,69 5356,04 100,00 100,00
S/ deslamar; 60% sól.; pH 7 Flotado 276,40 41,10 32,15 50,52 8886,26 1321,30 13963,73 2076,27 42,28 40,15
Oleato e metassilicato – 600 g/t
Afundado 396,14 58,90 30,62 52,55 12129,81 1803,58 20817,16 3095,30 57,72 59,85
MnCl2 200 g/tRéplica Alim. Recal. 672,54 100,00 31,25 51,72 21016,07 3124,88 34780,89 5171,57 100,00 100,00
S/ deslamar; 60% sól.; pH 7 Flotado 235,91 35,07 29,46 55,58 6949,91 1033,18 13111,88 1949,23 34,33 35,70
Oleato e metassilicato – 600 g/t
Afundado 436,76 64,93 30,44 54,08 13294,97 1976,45 23619,98 3511,38 65,67 64,30
MnCl2 500 g/t Alim. Recal. 672,67 100,00 30,10 54,61 20244,88 3009,63 36731,86 5460,61 100,00 100,00
S/ deslamar; 60% sól.; pH 7 Flotado 247,21 36,83 29,48 54,33 7287,75 1085,89 13430,92 2001,24 29,44 45,74
Oleato e metassilicato – 600 g/t
Afundado 423,92 63,17 41,20 37,58 17465,50 2602,40 15930,91 2373,74 70,56 54,26
MnCl2 500 g/tRéplica Alim. Recal. 671,13 100,00 36,88 43,75 24753,25 3688,30 29361,83 4374,98 100,00 100,00
S/ deslamar; 60% sól.; pH 7 Flotado 140,88 20,88 30,08 52,98 4237,67 628,18 7463,82 1106,42 21,90 19,62
Oleato e metassilicato – 600 g/t
Afundado 533,71 79,12 28,31 57,29 15109,33 2239,78 30576,25 4532,57 78,10 80,38
MnCl2 1000 g/t Alim. Recal. 674,59 100,00 28,68 56,39 19347,00 2867,96 38040,07 5638,99 100,00 100,00
S/ deslamar; 60% sól.; pH 7 Flotado 156,91 23,28 37,64 41,22 5906,09 876,18 6467,83 959,52 28,57 18,00
Oleato e metassilicato – 600 g/t
Afundado 517,16 76,72 28,55 56,98 14764,92 2190,41 29467,78 4371,62 71,43 82,00
MnCl2 1000 g/t – Réplica Alim. Recal. 674,07 100,00 30,67 53,31 20671,01 3066,60 35935,61 5331,14 100,00 100,00
Teste
Condições do experimento
Produto
Massa
Teores (%)
Unidade metálica
Distribuição (%)
3
4
1
2
5
6
7
8
116
Tabela 4: Balanço de massa e metalúrgico dos testes de flotação, utilizando cloreto de alumínio, metassilicato de sódio e oleato de sódio
(g) (%) Fe SiO2 Fe (g) Fe (%) SiO2 (g) SiO2 (%) Fe SiO2
S/ deslamar; 60% sól.; pH 9 Flotado 174,29 26,28 40,74 37,08 7100,57 1070,85 6462,67 974,64 34,92 18,21
Oleato e metassilicato – 600 g/t
Afundado 488,79 73,72 27,07 59,37 13231,55 1995,47 29019,46 4376,46 65,08 81,79
AlCl3 – 100 g/t Alim. Recal. 663,08 100,00 30,66 53,51 20332,12 3066,31 35482,14 5351,11 100,00 100,00
S/ deslamar; 60% sól.; pH 9 Flotado 158,74 23,97 37,86 40,76 6009,90 907,55 6470,24 977,07 29,93 18,11
Oleato e metassilicato – 600 g/t
Afundado 503,47 76,03 27,95 58,11 14071,99 2125,00 29256,64 4418,03 70,07 81,89
AlCl3 – 100 g/t – Réplica Alim. Recal. 662,21 100,00 30,33 53,95 20081,88 3032,56 35726,88 5395,10 100,00 100,00
S/ deslamar; 60% sól.; pH 9 Flotado 170,59 25,71 39,97 37,82 6818,48 1027,72 6451,71 972,43 33,70 18,12
Oleato e metassilicato – 600 g/t
Afundado 492,87 74,29 27,22 59,17 13415,92 2022,11 29163,12 4395,61 66,30 81,88
AlCl3 – 200 g/t Alim. Recal. 663,46 100,00 30,50 53,68 20234,40 3049,83 35614,83 5368,05 100,00 100,00
S/ deslamar; 60% sól.; pH 9 Flotado 171,79 25,63 38,34 40,27 6586,43 982,54 6917,98 1032,00 32,36 19,20
Oleato e metassilicato – 600 g/t
Afundado 498,56 74,37 27,62 58,40 13770,23 2054,18 29115,90 4343,39 67,64 80,80
AlCl3 – 200 g/t – Réplica Alim. Recal. 670,35 100,00 30,37 53,75 20356,66 3036,72 36033,89 5375,38 100,00 100,00
S/ deslamar; 60% sól.; pH 9 Flotado 119,21 17,96 41,05 35,82 4893,57 737,45 4270,10 643,49 24,21 11,97
Oleato e metassilicato – 600 g/t
Afundado 544,37 82,04 28,14 57,69 15318,57 2308,47 31404,71 4732,62 75,79 88,03
AlCl3 – 500 g/t Alim. Recal. 663,58 100,00 30,46 53,76 20212,14 3045,92 35674,81 5376,11 100,00 100,00
S/ deslamar; 60% sól.; pH 9 Flotado 137,95 20,60 38,48 39,19 5308,32 792,64 5406,26 807,27 26,05 15,06
Oleato e metassilicato – 600 g/t
Afundado 531,75 79,40 28,34 57,36 15069,80 2250,23 30501,18 4554,45 73,95 84,94
AlCl3 – 500 g/t – Réplica Alim. Recal. 669,70 100,00 30,43 53,62 20378,11 3042,87 35907,44 5361,72 100,00 100,00
S/ deslamar; 60% sól.; pH 9 Flotado 182,93 27,46 36,33 43,06 6645,85 997,65 7876,97 1182,46 32,34 22,25
Oleato e metassilicato – 600 g/t
Afundado 483,22 72,54 28,78 56,96 13907,07 2087,68 27524,21 4131,83 67,66 77,75
AlCl3 – 1000 g/t Alim. Recal. 666,15 100,00 30,85 53,14 20552,92 3085,33 35401,18 5314,30 100,00 100,00
S/ deslamar; 60% sól.; pH 9 Flotado 231,69 34,82 36,33 43,46 8417,30 1265,04 10069,25 1513,31 41,49 28,26
Oleato e metassilicato – 600 g/t
Afundado 433,69 65,18 27,37 58,94 11870,10 1783,96 25561,69 3841,67 58,51 71,74
AlCl3 – 1000 g/t – Réplica Alim. Recal. 665,38 100,00 30,49 53,55 20287,39 3048,99 35630,94 5354,98 100,00 100,00
Teste
Condições do experimento
Produto
Massa
Teores (%)
Unidade metálica
Distribuição (%)
3
4
1
2
5
6
7
8
Livros Grátis
( http://www.livrosgratis.com.br )
Milhares de Livros para Download:
Baixar livros de Administração
Baixar livros de Agronomia
Baixar livros de Arquitetura
Baixar livros de Artes
Baixar livros de Astronomia
Baixar livros de Biologia Geral
Baixar livros de Ciência da Computação
Baixar livros de Ciência da Informação
Baixar livros de Ciência Política
Baixar livros de Ciências da Saúde
Baixar livros de Comunicação
Baixar livros do Conselho Nacional de Educação - CNE
Baixar livros de Defesa civil
Baixar livros de Direito
Baixar livros de Direitos humanos
Baixar livros de Economia
Baixar livros de Economia Doméstica
Baixar livros de Educação
Baixar livros de Educação - Trânsito
Baixar livros de Educação Física
Baixar livros de Engenharia Aeroespacial
Baixar livros de Farmácia
Baixar livros de Filosofia
Baixar livros de Física
Baixar livros de Geociências
Baixar livros de Geografia
Baixar livros de História
Baixar livros de Línguas
Baixar livros de Literatura
Baixar livros de Literatura de Cordel
Baixar livros de Literatura Infantil
Baixar livros de Matemática
Baixar livros de Medicina
Baixar livros de Medicina Veterinária
Baixar livros de Meio Ambiente
Baixar livros de Meteorologia
Baixar Monografias e TCC
Baixar livros Multidisciplinar
Baixar livros de Música
Baixar livros de Psicologia
Baixar livros de Química
Baixar livros de Saúde Coletiva
Baixar livros de Serviço Social
Baixar livros de Sociologia
Baixar livros de Teologia
Baixar livros de Trabalho
Baixar livros de Turismo