Download PDF
ads:
UNIVERSIDADE FEDERAL DA GRANDE DOURADOS
FENOLOGIA E DESEMPENHO AGRONÔMICO DO
ALGODOEIRO BOLLGARD
®
CULTIVAR NUOPAL
®
RONI PAULO FORTUNATO
DOURADOS
MATO GROSSO DO SUL
2010
ads:
Livros Grátis
http://www.livrosgratis.com.br
Milhares de livros grátis para download.
Ficha catalográfica elaborada pela Biblioteca Central - UFGD
633.51
F745f
Fortunato, Roni Paulo
Fenologia e desempenho agronômico do algodoeiro
Bollgard
®
cultivar Nuopal
®
/ Roni Paulo Fortunato
Dourados, MS : UFGD, 2010.
93f.
Orientador: Prof. Dr. Paulo Eduardo Degrande
Tese de Doutorado em Agronomia Universidade
Federal da Grande Dourados.
1. Algodão-Bt. 2. Algodão – Fenologia. 3. Algodão -
Praga – Insetos. I. Título.
ads:
Fenologia e desempenho agronômico do algodoeiro Bollgard
®
cultivar Nuopal
®
Por
Roni Paulo Fortunato
Tese apresentada como parte dos requisitos exigidos para obtenção do título de
DOUTOR EM AGRONOMIA
Aprovado em 16 de março de 2010
Prof. Dr. Paulo Eduardo Degrande
Orientador
UFGD/FCA
Prof. Dr. Fabricio Fagundes Pereira Prof. Dr. Munir Mauad
UFGD/FCBA UFGD/FCA
Prof. Dr. Antonio Carlos Busoli Prof. Dr. Gustavo Adolfo Pazzetti Ordoñez
UNESP FESURV
v
Aos meus pais, Lori e Sidonia Fortunato, minha irmã Rosandra
Fortunato e minha noiva Rosangela Buzatto da Silva, pelo apoio,
incentivo e carinho,
DEDICO e OFEREÇO
vi
AGRADECIMETOS
Ao Professor Paulo Eduardo Degrande pela amizade, aprendizado e incentivo na
busca do conhecimento e exemplo de profissionalismo.
A Universidade Federal da Grande Dourados - UFGD e o Programa de Pós-
graduação em Agronomia pela oportunidade de realização do trabalho de Tese.
A Fundação de Apoio ao Desenvolvimento do Ensino, Ciência e Tecnologia do
Estado do Mato Grosso do Sul pela bolsa de estudos para realização do trabalho de
Tese.
A laboratorista Janete Pezarine Greff de Lima pela amizade, apoio e paciência
durante a realização dos trabalhos junto ao Laboratório de Biotecnologia e Entomologia
Aplicada da UFGD.
Aos bolsistas, estagiários, alunos de Pós-graduação do Laboratório de
Biotecnologia e Entomologia Aplicada: Everton Kodama, Thiago Montanha, Paulo
Rogério Beltramin da Fonseca, Thiago Azambuja, Miguel Ferreira Soria, Danielle
Thomazoni, pela amizade e contribuição na realização do trabalho de Tese.
Aos funcionários da UFGD Jesus Felizardo da Souza e Milton Bernardo de
Lima pelo apoio na execução de atividades de campo.
A todos que de alguma forma contribuíram na realização do trabalho de Tese.
vii
SUMÁRIO
PÁGINA
LISTA DE TABELAS (CAPÍTULO I) ..........................................................................ix
LISTA DE TABELAS (CAPÍTULO II) ..........................................................................x
LISTA DE TABELAS (CAPÍTULO III) ........................................................................xi
LISTA DE FIGURAS (CAPÍTULO I) ..........................................................................xii
LISTA DE FIGURAS (CAPÍTULO II) .........................................................................xii
LISTA DE FIGURAS (CAPÍTULO III) .......................................................................xiv
RESUMO........................................................................................................................16
ABSTRACT....................................................................................................................17
INTRODUÇÃO GERAL................................................................................................18
REFERÊNCIAS BIBLIOGRÁFICAS................................................................21
CAPÍTULO I...................................................................................................................22
RESUMO.............................................................................................................23
ABSTRACT.........................................................................................................24
INTRODUÇÃO...................................................................................................25
MATERIAL E MÉTODOS.................................................................................27
RESULTADOS E DISCUSSÃO........................................................................30
CONCLUSÕES...................................................................................................39
REFERÊNCIAS BIBLIOGRÁFICAS................................................................40
viii
CAPÍTULO II..................................................................................................................42
RESUMO.............................................................................................................43
ABSTRACT.........................................................................................................44
INTRODUÇÃO...................................................................................................45
MATERIAL E MÉTODOS.................................................................................47
RESULTADOS E DISCUSSÃO.........................................................................50
CONCLUSÕES...................................................................................................57
REFERÊNCIAS BIBLIOGRÁFICAS................................................................58
CAPÍTULO III................................................................................................................61
RESUMO.............................................................................................................62
ABSTRACT.........................................................................................................63
INTRODUÇÃO...................................................................................................64
MATERIAL E MÉTODOS.................................................................................66
RESULTADOS E DISCUSSÃO.........................................................................68
CONCLUSÕES...................................................................................................88
REFERÊNCIAS BIBLIOGRÁFICAS................................................................89
CONSIDERAÇÕES FINAIS..........................................................................................92
ix
LISTA DE TABELAS (CAPÍTULO I)
TABELA 1. Adaptação de escala fenológica com inclusão de valores
numéricos (notas) para cada estádio avaliado. UFGD,
Dourados, MS. 2010................................................................
28
TABELA 2. Altura de planta (cm) nos estádios B1, F1 e C1 em cultivares
de algodoeiro em três épocas de semeadura nas safras
2007/08 e 2008/09. UFGD, Dourados, MS. 2010.....................
32
TABELA 3. Número de nó por planta nos estádios B1, F1 e C1 em
cultivares de algodoeiro em três épocas de semeadura nas
safras 2007/08 e 2008/09. UFGD, Dourados, MS.
2010...........................................................................................
33
TABELA 4. Comportamento fenológico de cultivares de algodoeiro em
três épocas de semeadura na safra 2007/08. UFGD,
Dourados, MS.
2010....................................................................................
35
TABELA 5.
Comportamento fenológico de cultivares de algodoeiro em
três épocas de semeadura na safra 2008/09. UFGD,
Dourados, MS. 2010................................................................. 36
TABELA 6 Número de aplicações visando insetos-praga alvo e não-alvo
da tecnologia-Bt em duas safras avaliadas. UFGD, Dourados,
MS. 2010......................................................
37
x
LISTA DE TABELAS (CAPÍTULO II)
TABELA 1 Indicadores de produtividade em parcelas com levantamento
de insetos-praga e sem levantamento de insetos-praga em duas
cultivares de algodoeiro conduzidas nas safras 2007/08 e
2008/09. UFGD, Dourados, MS. 2010........................................
51
TABELA 2. Custo com inseticidas em duas cultivares de algodoeiro
conduzidas nas safras 2007/08 e 2008/09. UFGD, Dourados,
MS. 2010...................................................................................
52
TABELA 3. Rendimento de fibra (%) e taxa de retorno tecnológica (IR
t
)
em cultivares de algodoeiro nas safras 2007/08 e 2008/09.
UFGD, Dourados, MS. 2010.......................................................
53
TABELA 4. Número de aplicações de inseticidas e insetos-pragas em
cultivares de algodoeiro nas safras 2007/08 e 2008/09. UFGD,
Dourados, MS.
2010.....................................................................................
54
TABELA 5. Parâmetros da análise de fibra (HVI) em cultivares de
algodoeiro nas safras 2007/08 e 2008/09. UFGD, Dourados,
MS.............................................................................................
56
xi
LISTA DE TABELAS (CAPÍTULO III)
TABELA 1. Aplicações de inseticidas durante a safra 2007/08 em duas
cultivares. UFGD, Dourados, MS. 2010............................
69
TABELA 2. Aplicações de inseticidas durante a safra 2008/09 em duas
cultivares. UFGD, Dourados, MS. 2010.............................
70
xii
LISTA DE FIGURAS (CAPÍTULO I)
FIGURA 1. Representação esquemática da unidade experimental. UFGD,
Dourados, MS. 2010................................................................. 28
FIGURA 2. Distribuição quinzenal da precipitação pluviométrica e
irrigação durante a condução da safra 2007/08 (A) e
2008/09 (B). UFGD, Dourados, MS. 2010.............................
30
xiii
LISTA DE FIGURAS (CAPÍTULO II)
FIGURA 1. Representação esquemática da unidade experimental. Parcela
A, área com amostragem de parâmetros de produtividade e
levantamento de insetos-praga; Parcela B, apenas
amostragem de parâmetros de produtividade. UFGD,
Dourados, MS. 2010................................................................
49
xiv
LISTA DE FIGURAS (CAPÍTULO III)
FIGURA 1. Representação esquemática da unidade experimental. Parcela
A área útil para levantamento de insetos-praga. UFGD,
Dourados, MS. 2010................................................................
67
FIGURA 2. Número médio de ovos por planta de Alabama argillaceae
em duas cultivares conduzidas na safra 2007/08 (A) e
2008/09 (B). UFGD, Dourados, MS. 2010...........................
71
FIGURA 3. Número dio de ovos por planta de Heliothis virescens em
duas cultivares conduzidas na safra 2007/08 (A) e 2008/09
(B). UFGD, Dourados, MS. 2010..........................................
72
FIGURA 4. Número médio de ovos por planta de Pseudoplusia includens
em duas cultivares conduzidas na safra 2007/08 (A) e
2008/09 (B). UFGD, Dourados, MS. 2010.............................
73
FIGURA 5. Número médio total de larvas de Alabama argillaceae por
planta em duas cultivares conduzidas na safra 2007/08 (A)
e 2008/09 (B). UFGD, Dourados, MS.
2010.......................................................................................
75
FIGURA 6. Percentual de presença do total de larvas de Heliothis
virescens em duas cultivares conduzidas na safra 2007/08
(A) e 2008/09 (B). UFGD, Dourados, MS. 2010..................
76
FIGURA 7. Distribuição de mariposas capturadas nas armadilhas de
feromônio, dados médios de 2 noites de captura e máximo
de captura em períodos de 15 dias na safra 2007/08 (A) e
2008/09 (B). UFGD, Dourados, MS. 2010..........................
77
FIGURA 8. Número médio total de larvas de Pseudoplusia includens por
planta em cultivares conduzidas na safra 2007/08 (A) e
2008/09 (B). UFGD, Dourados, MS. 2010.............................
78
FIGURA 9. Percentual de presença do total de colônias de Aphis gossypii
em cultivares de algodão conduzidas na safra 2007/08 (A)
e 2008/09 (B). UFGD, Dourados, MS. 2010.......................
80
FIGURA 10. Percentual de presença de Anthonomus grandis em
cultivares conduzidas na safra 2007/08 (A) e 2008/09 (B).
Somatório de danos de alimentação, oviposição, larvas e
adultos. UFGD, Dourados, MS. 2........................................
81
xv
FIGURA 11. Percentual de presença de adultos de Bemisia tabaci em
cultivares conduzidas nas safras 2007/08 (A) e 2008/09
(B). UFGD, Dourados, MS. 2010.........................................
83
FIGURA 12. Percentual de presença de adultos de Euschistus heros em
duas cultivares conduzidas na safra 2007/08 (A) e 2008/09
(B). UFGD, Dourados, MS. 2010.........................................
84
FIGURA 13. Percentual de presença de Polyphagotarsonemus latus em
cultivares conduzidas na safra 2007/08 (A) e 2008/09 (B).
UFGD, Dourados, MS. 2010................................................
86
FIGURA 14. Percentual de presença de Tetranichus urticae
em cultivares
conduzidas na safra 2007/08 (A) e 2008/09 (B). UFGD,
Dourados, MS. 2010.............................................................
87
16
FEOLOGIA E DESEMPEHO AGROÔMICO DO ALGODOEIRO
BOLLGARD
®
CULTIVAR UOPAL
®
RONI PAULO FORTUNATO
Orientador: Prof. Dr. Paulo Eduardo Degrande
Resumo: A liberação do cultivo do algodoeiro (Gossypium hirsutum L.)
geneticamente modificado resistente a insetos é recente no Brasil, sendo mais uma
alternativa no manejo integrado de insetos-praga, desde que sejam observadas
características regionais e aspectos agronômicos. O trabalho teve como objetivo avaliar
a fenologia, desempenho agronômico e ação sobre insetos fitófagos do algodão-Bt,
transgênico, resistente a insetos nas condições de cultivo em Dourados. Foram avaliadas
duas cultivares, DeltaOpal
®
(convencional) e NuOpal Bollgard
®
(transgênica que
expressa toxina Cry1Ac) em experimentos conduzidos na área experimental da
Faculdade de Ciências Agrárias da UFGD nas safras 2007/08 e 2008/09. No
experimento I, avaliou-se fenologia do algodoeiro em três épocas de semeadura em um
delineamento experimental fatorial inteiramente casualizado com 6 repetições, e no
experimento II, avaliou-se o desempenho agronômico e dinâmica de insetos-praga em
delineamento experimental inteiramente casualizado com 12 repetições. Os dados foram
submetidos a análise de variância e testes de comparação de médias a 5% de
probabilidade. Os resultados permitem concluir que: As cultivares não apresentaram
diferenças na altura final de plantas e número de por planta nas três épocas, na safra
2008/09 a cultivar DeltaOpal
®
foi mais precoce quanto ao surgimento dos primeiros
botões florais e primeiras flores na primeira e terceira época; as cultivares não
interferiram no comportamento de oviposição de lepidópteros; parcelas empregadas
para levantamento de insetos-praga podem ser utilizadas na determinação de parâmetros
de produtividade; adoção da cultivar NuOpal
®
apresentou taxa de retorno econômico
semelhante a cultivar convencional; a cultivar NuOpal
®
apresentou micronaire e
uniformidade de fibra inferiores na safra 2007/08, diferenças sem alteração valor
comercial da fibra; a cultivar transgênica, resistente a insetos, foi eficiente no controle
de insetos-praga alvo presentes na área experimental; e seu efeito sobre a população
pragas não-alvo da tecnologia-Bt, foi observada apenas supressão de P. includens.
Palavras-chave: Algodão-Bt, parâmetros de crescimento, instos-praga alvo e não-alvo.
17
PHENOLOGY AND AGRONOMIC PERFORMANCE OF NUOPAL
BOLLGARD
®
COTTON
RONI PAULO FORTUNATO
Adviser: Dr. Paulo Eduardo Degrande
ABSTRACT: The genetically modified insect resistant cotton adoption in Brazil is
recent, is more an alternative in integrated pest management, since observed regional
characteristics and agronomic aspects. The work objective was evaluate cotton
phenology, agronomic performance and Bt-cotton effects about target pest and no target
pest the Bt-technology in crop conditions in Dourados, Brazil. Was evaluated two
cultivars, DeltaOpal
®
(conventional) and NuOpal
®
(transgenic cotton, expressing
Cry1Ac toxin) in two experiments in Agricultural Science College (FCA) of Federal
University of Grande Dourados (UFGD) in seasons growth 2007/08 and 2008/09. In
experiment I, was evaluated cotton phenology in 3 planting periods in factorial
experiment in randomized complete design with 6 replications, and experiment II, was
evaluated agronomic performance and pest dynamic in randomized completely design
with 12 replications. The data was submitted to the variance analyzer and comparative
mean methods the 5% of probity. There was no difference noted in three planting dates
for number node per plant and plant height; the DeltaOpal
®
cultivar was early in first
and last planting date, The plots used in pest survey can is utilized for yield parameters
definition; the Bt cotton adoption was economically similar a conventional cultivar; the
NuOpal
®
cultivar was smaller micronaire and fiber uniformity in 2007/08 season. The
cultivars no affected oviposition behavior the adults lepidopteran; the transgenic
cultivar was efficient in target pest control; was observed only Pseudoplusia includens
suppression between no target pests.
Key words: Bt-Cotton, growth parameters, target pest and no-target pests.
18
FEOLOGIA E DESEMPEHO AGROÔMICO DO
ALGODOEIRO BOLLGARD
®
CULTIVAR UOPAL
®
ITRODUÇÃO GERAL
A expansão da fronteira agrícola brasileira nas últimas décadas tornou o
agronegócio nacional uma atividade de grande importância econômica e social para o
País. Essa expansão resultou na entrada de culturas como soja, milho e algodão na
região dos cerrados, onde anteriormente predominava a atividade pecuária. O
deslocamento da matriz produtiva da cultura do algodão (Gossypium hirsutum L.) da
maioria dos estados do Nordeste, Paraná, São Paulo e sul de Mato Grosso do Sul para a
região de Cerrado resultou em aumento de área e produtividade, passando o Brasil da
condição de importador para exportador de fibra (BUAINAIN et al., 2007).
A cadeia produtiva do algodoeiro adquiriu aspecto empresarial, exigindo
grandes investimentos na condução da cultura e beneficiamento/comercialização da
produção. Trata-se de uma cultura de elevado custo de produção. Um dos principais
fatores responsáveis pelo alto custo de produção é o longo ciclo da cultura, entre 130 a
220 dias de acordo com a cultivar, altitude e região o que exige constantes intervenções
para controle de pragas, doenças, plantas daninhas e manejo de regulador de
crescimento (???).
Dentre as principais pragas do algodoeiro, aquelas da Ordem Lepidoptera, como
a lagarta-rosada Pectinophora gossypiella, Lepidoptera: Gelechiidae (Sauders 1844) a
lagarta-das-maçãs Heliothis virescens, Lepidoptera: Noctuidae (Fabricius 1781) a
curuquerê-do-algodoeiro Alabama argillacea, Lepidoptera: Noctuidae (Hübner 1818) a
lagarta-spodoptera Spodoptera frugiperda, Lepidoptera: Noctuidae (Smith 1797), e
lagarta-falsa-medideira Pseudoplusia includens, Lepidoptera: Noctuidae (Walker 1857)
atacam a área foliar e/ou estruturas reprodutivas da cultura (ALVES e SERIKAWA,
2006; SILVIE et al., 2006). As intervenções visando o controle dessas pragas resultam
em grandes quantidades de inseticidas aplicados, que podem contaminar o meio
19
ambiente, interferem na dinâmica de inimigos naturais, levam à ressurgência de pragas,
causam surtos de pragas secundárias e também levam à evolução da resistência de
insetos aos grupos químicos de inseticidas.
Recentes avanços na área genômica, metabólica e molecular forneceram
oportunidades da utilização comercial de produtos biológicos e moleculares,
principalmente, no setor farmacêutico e agrícola (SHARMA et. al., 2000; ROCA et. al.,
2004; PURCELL e PERLAK, 2004). A biotecnologia tornou-se a ferramenta eficiente
para adicionar características desejáveis às plantas, quando comparada aos métodos
tradicionais. Nas principais regiões agrícolas do mundo plantas geneticamente
modificadas estão cada vez mais difundidas, sendo as culturas da soja, algodoeiro,
milho e canola as principais responsáveis por essa expansão. Plantas transgênicas que
possuem expressão ação inseticida oriunda da bactéria Bacillus thuringiensis (Berliner
1915) estão revolucionando o manejo de pragas nos principais centros de produção
agrícola (SHELTON et al., 2002), juntamente com o levantamento e monitoramento de
insetos-praga.
No Brasil foi aprovada a primeira geração de algodoeiro-Bt, transgênico,
resistente a insetos através da expressão da toxina B. thuringiensis Cry 1Ac, evento 531
(CTNBio/Parecer 0513/2005) e recentemente a segunda geração do algodoeiro
geneticamente com expressão da toxina Cry1Ac e Cry2Ab2, evento 15985
(CTNBio/Parecer nº 1832/2009/). Até o momento está disponível para uso comercial no
Brasil a primeira geração de algodão-Bt, denominada Bollgard
®
I pela Empresa
Monsanto Company.
O grande questionamento quanto à utilização de organismos geneticamente
modificados (OGMs) vem de aspectos relacionados aos efeitos da proteína ao meio
ambiente, principalmente pelo efeito na entomofauna, em particular sobre insetos alvo e
não-alvo da tecnologia, aspectos econômicos relacionados à adoção da tecnologia, e
comportamento fenológico da cultivar geneticamente modificadas em relação a cultivar
da qual foi derivada.
A utilização da tecnologia do algodão transgênico resistente a insetos no Brasil é
mais uma ferramenta em busca de melhorias na competitividade do setor produtivo
através de sua provável redução de custos com inseticidas e diminuição de perdas por
ataque de insetos-praga. Da mesma forma é importante conhecer o potencial impacto
gerado pela tecnologia sobre o desempenho agronômico e ação sobre insetos praga alvo
e não-alvo. Um amplo estudo se faz necessário para adequação e viabilidade do
20
algodão-Bt nas condições do cerrado, devido à grande diversidade da entomofauna
existente nas regiões produtoras.
O presente trabalho visou avaliar os seguintes aspectos do algodão-Bt autorizado
para uso no Brasil, com expressão da toxina Cry1Ac: fenologia da cultura (Capítulo I),
análise econômica e metodologia de parâmetros de produtividade (Capítulo II) e
impacto ambiental sobre insetos praga alvo e não-alvo (Capítulo III).
21
REFERÊNCIAS BIBLIOGRÁFICAS
ALVES, A. P.; SERIKAWA, R. H. Controle químico de pragas do algodoeiro. Revista
Brasileiro de Oleaginosa e Fibrosas. v. 10, n. 3, p. 1197 – 1209. 2006.
BUAINAIN, A. M.; BATALHA, M. O; JUNIOR, P. V.; LEITE, S. F.. Cadeia
produtiva do algodão. MAPA, Brasília-DF, v. 4, 2007. 108p.
CTNBIO. Parecer nº 0513/2005. < http://www.ctnbio.gov.br/upd_blob/0000/615.doc >
. Acesso em: 17 de dez. 2009.
CTNBIO. Parecer 1832/2009. <
http://www.ctnbio.gov.br/upd_blob/0001/1130.doc> Acesso em: 17 de dez. 2009.
PURCELL, J. P.; PERLAK, F. J. Global impact of insect-resistant (Bt) cotton.
Journal of
Agrobiotechnology Management and Economic,
v. 7, n. 1/2, p. 27 - 30, 2004.
<http://www.agbioforum.org/>. Acesso em: 08 fev. 2010.
ROCA, W.; ESPINOZA, C.; PANTA. A. Agricultural applications of biotechnology
and the potential for biodiversity valorization in latin américa and the caribbean.
Journal
of Agrobiotechnology Management and Economic,
2004. v. 7, n. 1/2, p. 13-22, 2004.
<http://www.agbioforum.org/>. Acesso em: 08 fev. 2010.
SHARMA, H. C.; SHARMA, K. K.;SEETHARAMA, N.; ORTIZ, R. Prospect for using
transgenic resistence to insect in crop improvement. Eletronic Journal of
Biotechnology, v.3, n.2, p 76-95, 2000
SHELTON, A.M., ZHAO, J.-Z, & ROUSH, R.T. Economic, Food safety, and social
consequences of the deployment of Bt transgenic plants. Annual Review of
Entomology. v. 47, p. 845-881, 2002.
SILVIE, J. P.; RENOU, A.; BADJI, C. A. Controle das pragas do algodão por práticas
culturais e manipulação do habitat. Revista Brasileira de Oleaginosas e Fibrosas.
v.10, n.3, p. 1183 – 1196, 2006.
22
CAPÍTULO I
FEOLOGIA DO ALGODOEIRO BOLLGARD
®
CULTIVAR UOPAL
®
23
FEOLOGIA DO ALGODOEIRO BOLLGARD
®
CULTIVAR UOPAL
®
RONI PAULO FORTUNATO
Orientador: Prof. Dr. Paulo Eduardo Degrande
RESUMO
O algodoeiro apresenta crescimento indeterminado produzindo estruturas
reprodutivas durante o ciclo e o conhecimento de sua fenologia e aspectos de
crescimento é fundamental para o manejo da cultura O presente trabalho teve como
objetivo avaliar parâmetros de crescimento e fenológicos do algodão-Bt na região de
Dourados, MS nas safras 2007/08 e 2008/09. O delineamento experimental foi
inteiramente casualisado em esquema fatorial 3 x 2 em parcelas subdivididas, com 3
épocas de semeadura (15/11, 01/12 e 15/12) e 2 cultivares (NuOpal
®
, transgênica e
DeltaOpal
®
, convencional) com seis repetições. As parcelas consistiram em quatro
linhas com cinco metros de comprimento espaçadas por noventa centímetros. As
avaliações consistiram na determinação de estádio fenológico, número de por planta
e altura de plantas em seis plantas por parcela em intervalos de sete dias durante o ciclo
da cultura. Os resultados permitem concluir que: As cultivares não apresentaram
diferenças na altura final de plantas nas três E número de nó por planta; na safra
2008/09 a cultivar DeltaOpal
®
foi mais precoce quanto ao surgimento dos primeiros
botões florais e primeiras flores na primeira e terceira época.
Palavras-chave: Gossypium hirsutum, graus dia e parâmetros de crescimento.
24
COTTON BOLLGARD
®
PHENOLOGY IN DOURADOS, MS
RONI PAULO FORTUNATO
Adviser: Paulo Eduardo Degrande
ABSTRACT
The cotton shows irregular reproductive structures formation during its season,
the understanding of the phenology and growth aspects is important in crop
management. The objective in the present work was evaluate Bt cotton phenology in
three planting dates in Dourados, MS in season growth 2007/08 e 2008/09. Was used
3x2 factorial experiment in randomized complete design in split plot, 3 period of
sowing and 2 cultivars (NuOpal®, transgenic, e DeltaOpal®, conventional) with six
replications. The plots consisted in 4 row with 5 m of length in 0,9 m spacing. The
evaluate consisted in phenology stage, plant’s node numbers and plants height in 7 days
intervals during season crop with six plants for plots. There was no difference noted in
three planting dates for number node per plant and plant height; the DeltaOpal
®
cultivar
was early in first and last planting date.
Key words: Gossypium hirsutum, heat unit and growth parameters.
25
ITRODUÇÃO
O algodoeiro (Gossypium hirsutum L.) apresenta crescimento indeterminado,
sendo uma espécie perene, mas em condições de cultivo o mesmo é conduzido como
espécie anual, possui metabolismo C
3
com elevada taxa de fotorrespiração e grande
sensibilidade à baixa luminosidade, assim, apresentando grande sensibilidade as
condições ambientais. Com as estruturas reprodutivas ocorrendo em intervalos
irregulares ocorre competição entre o crescimento vegetativo e reprodutivo e o
equilíbrio entre eles constitui o maior desafio no manejo de produção da cultura
(REDDY et al., 1995; ROSOLEM, 2001; ROBERTSON et al., 2007).
Com várias fases ocorrendo simultaneamente a determinação precisa do estádio
predominante da cultura é importante para o seu manejo. Alguns trabalhos ilustram
metodologias para definir ou auxiliar na determinação fenologia do algodoeiro.
Oosterhuis (1992) definiu metodologia baseada na resposta das plantas a temperatura,
assim, para cada fase da cultura tem-se necessidade do acúmulo de unidade de calor. A
metodologia proposta por Marur e Ruano (2001) preconiza a definição de estádios e
subfases até que o próximo estádio seja atingido, tendo fase vegetativa V”, formação
de botões florais “B”, abertura de flores ou floração “F” e abertura de capulho “C”.
Além da fenologia o surgimento de um novo e elongação dos entrenós são
um indicativo do crescimento da planta, sendo que o número de determina o número
de folhas e novos ramos simpodiais e a altura vai determinar a distribuição ao longo da
planta dessas estruturas (REDDY e PACHEPSKY, 2002). Tem se preconizado que o
surgimento e elongação de novos nós tem maior dependência da temperatura
(ROUSSOPOLUS et al., 1998), seguido pelas características da cultivar e outros fatores
como fertilidade e distribuição de chuva durante o ciclo.
O freqüente ataque de insetos-praga resulta em diminuição de área foliar e queda
de estruturas reprodutivas induzindo alterações no crescimento e fixação da produção
(SADRAS, 1996; QUIRINO e SOARES, 2001; DONG et al., 2008). Com o recente
surgimento de alternativas para manejo de insetos-praga, como algodoeiro
geneticamente modificado resistente a insetos, tem ocorrido diminuição de danos em
comparação a cultivares convencionais nos países que tem adotado a tecnologia. Nesse
sentido, a utilização do algodão-Bt induz a maior fixação de estruturas reprodutivas e
26
alterações quanto à fenologia em comparação a cultivares convencionais (HOFS et al.,
2006; HEBBAR et al., 2007). A obtenção do algodoeiro-Bt requer a introdução de
genes que expressam a toxina-Bt na variedade comercial Cocker 312
®
para depois,
através de retrocruzamento, realizar a incorporação da característica transformada em
cultivares comerciais (GREENPLATE et al., 2001), essas etapas tem direcionado os
esforços na obtenção de cultivares com altos níveis de expressão de toxina-Bt e
manutenção das características agronômicas (PERLAK et al., 2001). Alguns estudos
têm encontrado, a campo, diferenças no desempenho entre as cultivares transgênicas e
seus isogênicos não transgênicos, sendo associado a diferenças no fundo genético
(VERHALEN et al., 2003), o que pode resultar em alterações nas respostas as
condições ambientais, como parâmetros de crescimento e fenologia.
O presente trabalho teve como objetivo avaliar parâmetros de crescimento e
fenológicos do algodoeiro Bollgard
®
cultivar NuOpal
®
comparado a seu isogênico o
transgêncio DeltaOpal
®
no município de Dourados/MS.
27
MATERIAL E MÉTODOS
O trabalho foi realizado no campo experimental da Faculdade de Ciências
Agrárias da Universidade Federal da Grande Dourados FCA/UFGD, no município de
Dourados, MS nas safras da cultura 2007/08 e 2008/09.
O estudo constituiu de delineamento experimental fatorial 3 x 2 inteiramente
casualisado em parcelas subdivididas com seis repetições. Os tratamentos consistiram
de três épocas de semeadura (15/11, 01/12 e 15/12) e duas cultivares, NuOpal
®
,
transgência e DeltaOpal
®
, convendiconal nas subparcelas. As parcelas tinham 7 linhas
de plantio por 5 metros de comprimento, sendo área útil constituída de 2 linhas de 3
metros cada uma, tendo uma linha bordadura entre as áreas amostrais (Figura 1).
A semeadura foi realizada conforme as épocas pré-estabelecidas, sendo
empregado espaçamento entre linhas de 0,90 m com população entre 80.000 e 90.000
plantas/ha. Foi adotado sistema convencional de manejo de solo em um Latossolo
Vermelho Distroférrico. Adubação de base foi realizada com adição de 400 kg/ha da
formulação NPK+micro 5.28.8 em 2007/08 e 0.20.20 em 2008/09 e adubação de
cobertura com sulfato de amônio aos 50 DAE nas duas safras. O manejo de insetos-
praga foi realizado de forma curativa
A altura de planta foi controlada com uso de regulador de crescimento, sendo
utilizado o princípio ativo cloreto de clomerquat (Tuval
®
) na dose de 0,1 e 0,25 l/ha do
produto comercial aos 50 e 70 dias após emergência das plantas, respectivamente, na
safra 2007/08 em todas as épocas e 0,2 l/ha na safra 2008/09 apenas na primeira época
de semeadura. Foram realizadas três aplicações de fungicidas nas duas safras com uso
de azoxistrobina+ciproconazol (0,4 l/ha P.C.) aos 50 e 70 DAE e tebuconazol (0,6 l/ha)
aos 90 DAE ..
As avaliações iniciaram-se aos 10 dias após a emergência das plantas (DAE)
seguindo até atingir o Cut-out, com intervalo de sete dias com a determinação do
estádio fenológico, juntamente com altura de planta (cm) e número de por planta,
sendo amostradas seis plantas aleatoriamente na área amostral, e também acompanhou-
se o acúmulo de unidades de calor da emergência até abertura das maçãs.
Para o estádio fenológico, foi seguida a metodologia proposta por Marur e
Ruano (2001) que consiste na caracterização de subfases dentro do estádio principal até
28
que o próximo estádio seja atingido, levando-se em conta o surgimento de estruturas
reprodutivas na primeira posição do primeiro ramo reprodutivo. Adaptou-se escala para
execução da análise estatística usando-se valores numéricos de forma consecutiva para
cada estádio identificado (Tabela 2), sendo analisado o surgimento dos primeiros botões
florais (B1), surgimento das primeiras flores (F1) e abertura dos primeiros capulhos
(C1).
Linhas bordaduras
1
m
5 m
Bordaduras
1
m
1
m
Área amostral
1
m
FIGURA 1. Representação esquemática da unidade
experimental de cada cultivar. UFGD,
Dourados, MS. 2010.
TABELA 1. Adaptação de escala de Marur e Ruano (2001) fenológica com inclusão de
valores numéricos (notas) para cada estádio avaliado. UFGD, Dourados,
MS. 2010.
Adaptão
Período da cultura Fase Estádios Notas
Fase vegetativa "V" V1, V2 e V3 1, 2 e 3
Formação dos botões florais "B" B1, B2, B3 e B4 4, 5, 6 e 7
Abertura das flores ou floração "F" F1, F2, F3 e F5 8, 9, 10 e 11
Abertura de capulhos "C" C1, C2 12 e 13
Marur e Ruano (2001)
29
O número de nó por planta foi quantificado excluindo-se o nó cotiledonar
seguindo até o último com entrenó menor que 0,5 cm. Para altura de planta
procedeu-se a leitura do nível do solo até o ápice da planta. O levantamento do acúmulo
de calor foi realizado seguindo a metodologia proposta por Oosterhuis (1992) com uso
do banco de dados da estação meteorológica FCA/UFGD.
Os dados foram submetidos à Análise da Variância e comparação das médias
dos tratamentos pelo Teste Tukey a 5% de probabilidade dentro de cada avaliação.
30
RESULTADOS E DISCUSSÃO
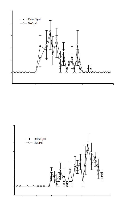
Condições climáticas durante condução dos ensaios
Durante a condução dos trabalhos a precipitação pluviométrica apresentou
irregularidade em sua distribuição, pelo que se fez uso de irrigação na fase inicial de
emergência da cultura, principalmente na safra 2008/09, onde a demanda por irrigação
foi maior, inclusive com declínio de precipitação no final do ciclo (Figura 2).
(A)
(B)
FIGURA 2. Distribuição quinzenal da precipitação pluviométrica e irrigação
durante condução das cultivares NuOpal
®
e DeltaOpal
®
nas safra
2007/08 (A) e 2008/09 (B). UFGD, Dourados, MS. 2010.
0
50
100
150
200
250
1ª nov
2ª nov
1ª dez
2ªdez
1ª jan
2ª jan
1ª fev
2ª fev
1ª mar
2ª mar
1ª abr
2ª abr
Irrigação (mm)
Chuva (mm)
0
50
100
150
200
250
1ª nov
2ª nov
1ª dez
2ªdez
1ª jan
2ª jan
1ª fev
2ª fev
1ª mar
2ª mar
1ª abr
Irrigação (mm)
Chuva (mm)
31
Altura de plantas e número de nó por planta
Quanto aos parâmetros de fenologia avaliados, durante a safra 2007/08,
constatou-se que, para a segunda e terceira época de semeadura, na fase fenológica B1,
ou seja, no surgimento do primeiro botão floral, as plantas da cultivar DeltaOpal
®
,
apresentavam altura média significativamente superior àquela que foi registrada nas
plantas da cultivar NuOpal
®
. No entanto, a diferença supracitada entre as cultivares, não
foi registrada durante a safra 2008/09, para nenhuma das três épocas de semeadura
utilizadas (Tabela 2).
Na tabela 2, constata-se que, nas fases fenológicas F1 e C1, tanto na safra
2007/08, quanto na safra 2008/09, não existem diferenças estatisticamente significativas
entre as cultivares quanto ao porte de plantas, o que está associado à fixação das
estruturas reprodutivas, e também ao gerenciamento do crescimento pelas aplicações de
regulador de crescimento, as quais tiveram início a partir da fase fenológica B1; esses
fatores possibilitaram a uniformidade do porte de plantas até o momento da colheita.
Em relação às épocas de semeadura, na safra 2007/08, observou-se que na fase
fenológica B1, as plantas da cultivar DeltaOpal
®
semeadas na terceira época, atingiram
altura de plantas significativamente superior àquela que foi registrada para as duas
primeiras épocas, entre as quais não se registro diferença estatística significativa.
Entretanto, para a cultivar NuOpal
®
, constatou-se exatamente o oposto, ou seja, para
este genótipo, a semeadura realizada na primeira época resultou, na mesma fase
fenólogica, em porte de plantas significativamente superior em relação àquele que foi
registrado para as duas épocas posteriores, para as quais não foi detectada diferença
estatística significativa (Tabela 2).
Durante a safra 2007/08 na fase fenologia F1, para as duas cultivares, não foram
constatadas diferenças significativas de altura, em função das diferentes épocas de
semeadura. Todavia, os dados da análise de variância deste parâmetro de crescimento,
indicaram a existência de efeito significativo na fase fenológica C1, apenas para a
cultivar NuOpal
®
, em função da época de semeadura adotada; a comparação entre as
médias permite denotar que, para a segunda e terceira época de semeadura, as plantas da
cultivar NuOpal
®
, atingiram porte significativamente superior em relação àquele
registrado para a primeira época.
Na tabela 2, observa-se que na safra 2008/09, para as duas cultivares em
questão, nas três fases fenológicas da avaliação (B1, F1 e C1), o porte de plantas
32
registrado para a primeira época de semeadura foi significativamente superior àqueles
que foram registrados para as duas últimas épocas de semeadura.
Quanto ao número de nós no caule, nas duas safras de avaliação, não se
constataram diferenças estatísticas significativas nem entre cultivares e nem entre
épocas de semeadura (Tabela 3).
Vale ressaltar que, na safra 2007/08, para cada época de semeadura, foram
efetuadas duas aplicações de regulador de crescimento, enquanto que na safra 2008/09,
efetuo-se apenas uma aplicação deste insumo, apenas para a primeira época de
semeadura e, nenhuma aplicação foi efetuada, para a segunda e terceira época de
semeadura, em virtude da reduzida taxa de crescimento das plantas, fato este que pode
ser constatado pelo reduzido porte das plantas, menor que um metro (Tabela 2), e
número de nós inferior a 16 (Tabela 3).
Comparando cultivares-Bt e convencional Ahuja (2006) observou nos plantios
tardios as maiores diferenças regionais, em função das condições de temperatura, entre
as cultivares avaliadas. O comportamento das cultivares não diferiu mesmo não sendo
utilizado regulador de crescimento nas duas últimas épocas de semeadura da safra
2008/09, pois o regulador de crescimento atua, dentro de uma condição adequada,
equilibrando o crescimento vegetativo e reprodutivo (ZHAO e OOSTERHUIS, 2000)
nesse sentido as cultivar tiveram comportamento semelhante na presença e ausência de
regulador.
TABELA 2. Altura de planta (cm) nos estádios B1, F1 e C1 em cultivares de algodoeiro em três épocas de
semeadura nas safras 2007/08 e 2008/09. UFGD, Dourados, MS. 2010.
Cultivares
I
2
II III I II III I II III
Delta Opal
68,1 aB* 68,2 aB 75,9 aA 109,1 aA 107,2 aA 113,3 aA 124,7 aA 124,3 aA 125,5 aA
NuOpal
70,7 aA 54,6 bB 55,1 bB 112,2 aA 104,4 aA 104,7 aA 121,7 aB 131,6 aA 130,5 aA
Cultivares I II III I II III I II III
Delta Opal
66,6 aA 47,6 aB 46,6 aB 112,4 aA 83,1 aB 79,9 aB 117,4 aA 88,9 aB 83,3 aB
NuOpal
64,7 aA 45,7 aB 46,1 aB 111.3 aA 84,7 aB 77,2 aB 116,8 aA 89,8 aB 81,9 aB
Estadios fenológicos
B1
F1
C1
Safra 2008/09
Safra 2007/08
Estadios fenológicos
B1
1
F1 C1
* Médias seguidas pela mesma letra minúscula na coluna e maiúscula na linha dentro de cada estádio avaliado não diferem entre si
pelo teste de Tukey (5%).
1
Estádios: B1 = Surgimento do primeiro botão floral
na primeira posição do primeiro ramo reprodutivo; F1 = Surgimento da primeira
flor na primeira posição do primeiro ramo reprodutivo; C1 = Surgimento do primeiro capulho na primeira posição do primeiro ramo
reprodutivo.
2
I = 1ª época de semeadura (15/11); II = 2ª época de s
emeadura (01/12) e III = 3ª época de semeadura (15/12).
33
TABELA 3. Número de nó por planta nos estádios B1, F1 e C1 em cultivares de algodoeiro em três épocas de
semeadura nas safras 2007/08 e 2008/09. UFGD, Dourados, MS, 2010.
Cultivares I
2
II III I II III I II III
Delta Opal
10,3 aA* 10,2 aA 9,6 aA 15,7 aA 15,1 aA 15,1 aA 19,9 aA 20,0 aA 19,9 aA
NuOpal
10,7 aA 9,6 aA 9,5 aA 15,2 aA 14,8 aA 15,5 aA 20,0 aA 19,9 aA 20,0 aA
Cultivares I II III I II III I II III
Delta Opal
11,1 aA 10,7 aA 10,6 aA 13,9 aA 13,3 aA 13,9 aA 18,8 aA 15,3 aB 15,3 aB
NuOpal
10,9 aA 10,5 aA 10,4 aA 14,0 aA 13,0 aA 13,9 aA 18,4 aA 15,4 aB 15,4 aB
Estadios fenológicos
B1
F1
C1
Safra 2008/09
Safra 2007/08
B1
1
F1 C1
Estadios fenológicos
* Médias seguidas pela mesma letra minúscula na coluna e maiúscula na linha dentro de cada estádio avaliado não diferem entre si pelo teste
de Tukey (5%).
1
Estádios: B1 = Surgimento do primeiro botão floral
na primeira posição do primeiro ramo reprodutivo; F1 = Surgimento da primeira flor na
primeira posição do primeiro ramo reprodutivo; C1 = Surgimento do primeiro capulho na primeira posição do primeiro ramo reprodutivo.
2
I = 1ª época de semeadura (15/11); II = 2ª época de s
emeadura (01/12) e III = 3ª época de semeadura (15/12).
34
35
Estádio fenológico
Os dados da tabela 4 indicam que durante a safra 2007/08, independente da
época da semeadura, as cultivares avaliadas, estatisticamente não diferem quanto à
fenologia. Todavia, durante o cultivo da safra 2008/09, constata-se que, na primeira e
terceira época de semeadura, a cultivar DeltaOpal
®
, quanto ao surgimento dos primeiros
botões florais e, também, das primeiras flores, comportou-se de forma
significativamente mais precoce do que a cultivar NuOpal
®
(Tabela 4). Quanto à
abertura dos primeiros capulhos, os dados da tabela 5 indicam precocidade de caráter
significativo para a cultivar DeltaOpal
®
, apenas para a semeadura realizada na terceira
época fato que pode ser atribuído a resposta a baixa precipitação no final do ciclo nessa
época de semeadura, demonstrando diferenças quanto as respostas das cultivares nessas
condições.
TABELA 4. Comportamento fenológico de cultivares de algodoeiro em três épocas de
semeadura na safra 2007/08. UFGD, Dourados, MS. 2010.
Transição
3
Estadio Nota
Transição
Estadio Nota
Transição
Estadio Nota
DeltaOpal
®
V8 B1 9,3 aA* V6 B1 6,8 aB V6 B1 7,3 aC
NuOpal
®
V8 B1 9,2 aA V6 B1 6,0 aB V6 B1 8,3 aB
Transição
Estadio Nota
Transição
Estadio Nota
Transição
Estadio Nota
DeltaOpal
®
B6 F2 16,5 aA B6 F1 13,8 aB B5 F1 13,2 aB
NuOpal
®
B6 F2 16,3 aA B6 F1 13,0 aB B5 F1 14,2 aB
Transição
Estadio Nota
Transição
Estadio Nota
Transição
Estadio Nota
DeltaOpal
®
F7 C2 23,2 aA F7 C1 21,2 aB F6 C1 18,5 aC
NuOpal
®
F7 C2 24,3 aA F6 C1 19,7 aB F6 C1 18,6 aC
Surgimento dos primeiros botões florais (1
a
posição)
Surgimento das primeiras flores (1
a
posição)
Abertura dos primeiros capulhos (1
a
posição)
66 DAE
123 DAE
40 DAE
69
132
Safra 2007/08
III
1315,2 UC
III
465,0 UC
705,0 UC
1242,0 UC
I II
125 DAE
61 DAE
40 DAE 39 DAE
I
1
490,0 UC
2
708,0 UC
II
I II
III
451,8 UC
736,8 UC
1261,0 UC
*
Medias seguidas pela mesma letra minúscula, na coluna e maiúscula, na linha, dentro de cada período
avaliado não diferem entre si pelo teste de Tukey (5%).
1
I = época de semeadura (15/11); II = época de semeadura (01/12) e III = época de semeadura
(15/12).
2
UC = Unidades de calor acumuladas entre a emergência até os estádios B1, F1 e C1conforme
metodologia descrita por Oosterhuis (1992).
3
Transição = último estádio fenológico antes da mudança para os estádios avaliados B1, F1 e C1.
36
Registrou-se variação considerável no acúmulo de unidades calóricas
relacionadas ao surgimento do primeiro botão floral e abertura do primeiro capulho em
função da época de semeadura, durante o cultivo da safra 2007/08. Na tabela 4, se
observa redução no número de unidades calóricas na medida em que se prorrogou a
época de semeadura. No entanto, quanto ao surgimento da primeira flor, a tendência é
errática, ou seja, detectou-se ligeira diminuição no número de unidades calóricas da
primeira para a segunda época de semeadura, porém registrou-se aumento da segunda
para a terceira época. De modo geral, esses dados indicam que, independente da
cultivar, cada fase fenologia avaliada (B1, F1, e C1), se manifestou, significativamente,
de forma mais precoce para as duas últimas épocas de semeadura.
TABELA 5. Comportamento fenológico de cultivares de algodoeiro em três épocas de
semeadura na safra 2008/09. UFGD, Dourados, MS. 2010.
Transição
Estadio Nota
Transição
Estadio Nota
Transição
Estadio Nota
DeltaOpal
®
V7 B1 4,0 bB V6 B1 6,8 aA V7 B1 6,1 bA
NuOpal
®
V7 B1 5,0 aC V6 B1 6,3 aB V9 V9 8,5 aA
Transição
Estadio Nota
Transição
Estadio Nota
Transição
Estadio Nota
DeltaOpal
®
B5 F1 10,6 bC B4 F1 15,3 aA B6 F1 11,2 bA
NuOpal
®
B5 F1 13,0 aC B4 F1 14,3 aB B6 B6 14,5 aA
Transição
Estadio Nota
Transição
Estadio Nota
Transição
Estadio Nota
DeltaOpal
®
F9 C1 15,5 aB F9 C1 18,5 aA F9 C2 16,3 bB
NuOpal
®
F9 C1 17,2 aB F9 C1 17,6 aB F9 C1 19,8 aA
I II III
1077,0 UC 1085,0 UC 962,0 UC
II III
660,0 UC 627,0 UC 592,0 UC
I II III
65 DAE 62 DAE 60 DAE
114 DAE 111 DAE 108 DAE
Safra 2008/09
44 DAE
471,0 UC
42 DAE
427,0 UC
38 DAE
376,0 UC
I
Surgimento dos primeiros botões florais (1
a
posição)
Surgimento das primeiras flores (1
a
posição)
Abertura dos primeiros capulhos (1
a
posição)
*
Medias seguidas pela mesma letra minúscula, na coluna e maiúscula, na linha, dentro de cada período
avaliado não diferem entre si pelo teste de Tukey (5%).
1
I = época de semeadura (15/11); II = época de semeadura (01/12) e III = época de semeadura
(15/12).
2
UC = Unidades de calor acumuladas entre a emergência até os estádios B1, F1 e C1conforme
metodologia descrita por Oosterhuis (1992).
3
Transição = último estádio fenológico antes da mudança para os estádios avaliados B1, F1 e C1.
37
As cultivares não diferiram entre si quanto aos aspectos fenológicos observados
na primeira e segunda época de semeadura em ambas as safras, porém, na safra 2008/09
observou-se que a cultivar DeltaOpal
®
foi mais precoce, antecipando os estádios B1, F1
e C1 em relação a cultivar NuOpal
®
(Tabela 5). Para Hofs et al. (2006), as cultivares-Bt
apresentaram maior fixação inicial de maçãs e ciclo vegetativo mais curto em
comparação à cultivar convencional, mas em função da baixa presença de insetos-praga
alvo da tecnologia (Tabela 4), esse comportamento não foi observado.
Na safra 2007/08 o atraso na semeadura resultou na diminuição do acúmulo de
calor diário, em função da menor temperatura média no final do ciclo, dessa forma
prolongando o ciclo mesmo diminuindo a transição entre os estádios principais (Tabela
5), especialmente no período de abertura de maçãs, que é muito dependente da
temperatura (ROUSSOPOLUS et al., 1998), já na safra 2008/09 a qual apresentou
menor precipitação e maior temperatura média, ocorreu redução no ciclo em todas as
épocas comparando-se com a safra anterior, quanto a transição de estádios, a mesma
manteve–se semelhante nas épocas de semeadura avaliadas (Tabela 5).
Observou-se baixa pressão de lepidópteros-praga alvo da tecnologia-Bt nas duas
safras, com reduzido número de aplicações de inseticidas na cultivar convencional
(Tabela 6), dessa forma, com ausência de dano, o comportamento fisiológico
diferenciado esperado entre as cultivares em função do ataque de insetos-pragas não foi
observado, pois, o ataque de Alabama argillacea (Hübner, 1818 Lepidoptera:
Noctuidae) reduz a área foliar e altura de plantas (QUIRINO e SOARES, 2001), além
de ataque de insetos-praga não-alvo como Anthonomus grandis (Boheman, 1843
Coleoptera: Curculionidae) que induz a grande queda de estruturas reprodutivas
(PEREIRA et al., 2004), esse último com grande presença nas duas safras avaliadas.
TABELA 6. Número de aplicações de inseticidas visando insetos-
praga alvo e não-alvo da tecnologia-Bt em duas
cultivares de algodoeiro nas safras 2007/08 e 2008/09.
UFGD, Dourados, MS. 2010.
Alvo Cultivares 2007/08 2008/09
DeltaOpal
®
2 1
NuOpal
®
--- ---
DeltaOpal
®
14 13
NuOpal
®
14 13
N° de aplicações
Insetos-praga alvo
Inssetos-praga não-alvo
38
A adaptação de notas dos estádios fenológicos facilitou a comparação entre as
cultivares, pelo fato dos estádios fenológicos não terem valores numéricos, sendo
possível, assim, a análise estatística dos dados de forma adequada. Quanto à
amostragem de plantas Marur e Ruano (2001) salientam que devem ser utilizadas no
mínimo 20 plantas na determinação de estádio em experimentos, no presente trabalho
foram utilizadas 36 plantas por tratamento. As parcelas utilizadas possuíam tamanho
reduzido, sendo interessante ainda, ajuste nesse sentido, com trabalhos em parcelas
maiores com intervalos menores, além disso, fatores que resultem em perdas de
estruturas reprodutivas podem induzir a erros, pois as alterações fisiológicas podem não
ser contempladas pela simples utilização da escala numérica, enfim, fatores que
merecem atenção visando melhoria no emprego de notas para análise de estádio
fenológico do algodoeiro.
Dentro das condições observadas nas duas safras, ocorreu uma redução de 15
dias no ciclo da cultura no segundo ano de cultivo em relação à primeira safra,
principalmente na última época, com baixa incidência de danos, o comportamento está
relacionado as condições ambientais, baixa precipitação pluviométrica, que mesmo com
a irrigação, não consegue-se estabelecer uma condição semelhante a ocorrência de
chuvas.
39
COCLUSÕES
As cultivares não apresentaram diferenças na altura final de plantas número de
nó por planta nas três épocas.
Na safra 2008/09 a cultivar DeltaOpal® foi mais precoce quanto ao surgimento
dos primeiros botões florais e primeiras flores na primeira e terceira época.
40
REFERÊCIAS BIBLIOGRÁFICAS
AHUJA, S. L. Evaluation for the retention of reproductive structures by Bt and non-Bt
intra hirsutum cotton hybrids in different sowing dates and spacings. African Journal
of Biotechnology, v. 5, n. 10, p. 862-865, 2006.
DONG, H. Z.; TANG, W.; LI, W.; LI, Z.; NIU, Y.; ZAHNG, D. Yield, leaf senescence,
and Cry1Ac expression in response to removal of early fruiting branches in transgenic
Bt Cotton. Agricultural Science in China, v. 7, n. 6, p. 692 – 702, 2008.
GREENPLATE, J. T.; MULLINS, W.; PENN, S.; EMBRY, K. Cry1Ac levels in
candidate commercial Bollgard® cultivars as influenced by environment, variety, and
plant age: 1999 gene equivalency field studies. In: Proc. Beltwide Cotton Conference,
Anaheim, CA. 9 -13 Jan. 2001. p. 790 -793.
HEBBAR, K. B.; RAO, M. R. K.; KHADI, B. M. Synchronized boll development of Bt
cotton hybrids and their physiological consequences. Current Science, v. 93, n. 5, p.
693 – 695, 2007.
HOFS, J. L.; HAU, B.; MARAIS, D. Boll distribution patterns in Bt and non-Bt cotton
cultivars I. Study on commercial irrigated farming system in South Africa. Field Crop
Research, v. 98, n. 2/3, p. 203 – 209, 2006.
MARUR, C.J. RUANO, O. A reference system for determination of developmental
stages of upland cotton. Revista Brasileira de Oleaginosas e Fibrosas, v. 5, n. 2, p.
313 – 317, 2001.
OOSTERHUIS, D.M. Growth and development of a cotton plant. Faytteville:
University of Arkansas, Arkansas Cooperative Extension Service, 1992. 24 p.
PEREIRA, F. F.; BUSOLI, A. C.; LÓPEZ, V. A. G.; SOARES, J. J.; MELO, R. S.;
FERREIRA, A. M. C. Causas de abscisão e destruição de estruturas reprodutivas de
plantas de algodoeiro. Revista Brasileira de Oleaginosas e Fibrosas, v. 8, n. 1, p. 779
– 784, 2004.
PERLAK, F. J.; OPPENHUIZEN, M.; GUSTAFSON, K.; VOTH, R.;
SIVASUPRAMANIAN, S.; HEERING, D.; CAREY, B.; IHRIG, R. A.; ROBERTS, J.
K. Development and commercial use of Bollgard
®
cotton in the USA early promises
versus today’s reality. The Plant Journal, v. 27, n. 6, p. 489 – 501, 2001.
QUIRINO, E. S.; SOARES, J. J. Efeito do ataque de Alabama argillacea no
crescimento vegetativo e sua relação com a fenologia do algodoeiro. Pesquisa
Agropecuária Brasileira. v. 36, n. 8, p. 1005-1010, 2001.
READDY, V. R.; PACHEPSKY, Y. A. Temperature effects on node development rates
in cotton. International Journal of Biotronics, v. 31, s/n, p. 101-111, 2002.
41
REDDY, K. R.; HODGES, H.F.; McKINION. Carbon dioxide and temperature effects
on pima cotton growth. Agriculture, Ecosystems and environment, v. 54, n. 1/2, p. 17
-29, 1995.
ROBERTSON, B.; BEDNARZ, C.; BURMESTERS, C. Growth and development
first 60 days. Cotton Physiology Today ewsletter ational Cotton Council, v.13,
n.2, 5p. 2007
ROSOLEM, C. A. Ecofisiologia e manejo da cultura do algodoeiro. Encarte Técnico
POTAFÓS. Informações agronômicas. n. 95, p. 1-9, 2001.
ROUSSOPOLUS, D.; LIAKATAS, A.; WHITTINGTON, W. J. Controlled-temperature
effects on cotton growth and development. Journal of Agricultural Science, v. 130, n.
4, p. 451 – 462, 1998
SADRAS, V. O. Cotton response to simulated insect damage: Radiation-use efficiency,
canopy architecture and leaf nitrogen contents as effect by loss of reproductive organs.
Field Crops Research, v. 48, n. 2/3, p. 199-209, 1996
VERHALEN, L. M.; GREENHAGEN, B. E.; THACKER, R. W. Lint yield, lint
percentage, and fiber quality response in Bollgard, Roudup ready and Bollgar/Roundup
ready cotton. The Journal of Cotton Science, v. 7, n. 23, p. 23 -38, 2003.
ZHAO, D.; OOSTERHUIS, D. M. Pix plus and mepiquat chloride effects on
physiology, growth, and yield of field-grown cotton. Journal of Plant Growth
Regulation, v. 19, n. 4, p. 415 – 422, 2000.
42
CAPÍTULO II
AÁLISE ECOÔMICA E PARÂMETROS DE PRODUÇÃO EM
ALGODOEIRO BOLLGARD
®
CULTIVAR UOPAL
®
43
ANÁLISE ECONÔMICA E PARÂMETROS DE PRODUÇÃO EM ALGODOEIRO
BOLLGARD
®
CULTIVAR NUOPAL
®
RONI PAULO FORTUNATO
Orientador: Prof. Dr. Paulo Eduardo Degrande
RESUMO
A adoção recente do algodão-Bt no Brasil e as particularidades das
regiões produtoras requerem uma ampla análise econômica e ajustes metodológicos
visando viabilidade em sua utilização. O trabalho objetivou analisar aspectos
econômicos e metodológicos na adoção do algodão-Bt no município de Dourados/MS
nas safras 2007/08 e 2008/09. O delineamento experimental foi inteiramente
casualizado em esquema fatorial 2 x 2 com doze repetições em parcelas subdivididas.
Os tratamentos consistiram de duas cultivares (NuOpal
®
, transgênica e DeltaOpal
®
,
convencional) e duas metodologias para determinação de parâmetros de produtividade
(colheita em parcela com levantamento de insetos-praga e colheita em parcelas sem
levantamento) nas subparcelas. As parcelas utilizadas tinham sete linhas de cinco
metros de comprimento e espaçadas entre si em noventa centímetros. Os parâmetros de
produtividade, qualidade de fibra e análise econômica da adoção da tecnologia-Bt foram
avaliados. Os resultados permitem concluir que: Parcelas empregadas para
levantamento de insetos-praga podem ser utilizadas na determinação de parâmetros de
produtividade; adoção da cultivar NuOpal
®
apresentou taxa de retorno econômico
semelhante a cultivar convencional; a cultivar NuOpal
®
apresentou micronaire e
uniformidade de fibra inferiores na safra 2007/08, diferenças sem alteração valor
comercial da fibra.
Palavras-chave: Custo de produção, levantamento de insetos-praga e rendimento de
fibra
44
ECONOMIC ANALYZE AND YELD PARAMETERS OF NUOPAL BOLLGARD
®
COTTON
RONI PAULO FORTUNATO
Adviser: Paulo Eduardo Degrande
ABSTRACT
The recent adoption the Bt cotton in Brazil and its production area aspects
require an wide economic analyze and methodological adjusts for its adoption. The
present work objective was analyzing economic and methodological aspects in the
adoption the Bt cotton in Dourados, MS in 2007/08 and 2008/09 season growth. Was
utilized randomized factorial design 2 x 2 in split plot, with six replications. The
treatments consisted the two cultivars (NuOpal
®
, transgenic cultivar, e DeltaOpal
®
,
conventional cultivar) and two yield methodology parameters (yield in plot with pests
survey) and (yield in plot without pest survey). The plot was 7 row the 5 m length with
0,9 m spacing. Were evaluated yield parameters, fiber quality and economic assessment
of Bt cotton. The plots used in pest survey can is utilized for yield parameters
definition; the Bt cotton adoption was economically similar a conventional cultivar; the
NuOpal
®
cultivar was smaller micronaire and fiber uniformity in 2007/08 season.
Key words: production cost, pests survey e yield fiber.
45
ITRODUÇÃO
O cultivo do algodoeiro caracteriza-se pelo freqüente ataque de insetos-praga
durante o seu ciclo, entre eles pertencentes a Ordem dos lepidópteros, como a lagarta-
das-maçãs Heliothis virescens (Fabricius, 1781) (Lepidoptera: Noctuidae), lagarta-
curuquerê, Alabama argillacea (Hübner, 1818) (Lepidoptera: Noctuidae), lagarta-
rosada Pectinophora gossypiella (Saund., 1844) (Lepidoptera: Gelechiidae), lagarta
falsa-medideira, Pseudoplusia includens (Walker 1857) (Lepidoptera: Noctuidae) e
lagarta spodoptera, Spodoptera frugiperda (J. E. Smith, 1797) (Lepidoptera:
Noctuidae). Em sistemas agrícolas, insetos alvos são aqueles capazes de desenvolverem
populações capazes de reduzir significativamente a produção das culturas, exigindo
medidas de controle (DEGRANDE, 1998).
A utilização de algodoeiro transgênico resistente a insetos surgiu como
importante alternativa no manejo de lepidópteros-praga nas principais regiões
produtoras (SHELTON et al., 2002). Tecnologia, que inicialmente liberada no Brasil,
com expressão da toxina Cry1Ac, controla H. virescens, A. argillaceae e P. gossypiella.
A adoção do algodão-Bt representou grande avanço no controle de lagarta-rosada nos
Estados Unidos (CARRIÈRE et al., 2001; SIVASUPRAMANIAM et al.; 2008), China
(WU et al., 2003; WAN et al., 2004), África do Sul (HILLOCKS, 2005) e Índia
(MORSE et al., 2005).
Alguns resultados de trabalhos no exterior têm demonstrado benefícios como: a)
incremento de produção por menores perdas causadas pelo ataque de insetos,
conseqüentemente redução dos riscos; b) redução de custos de produção por menor
número de aplicações; c) maior facilidade e velocidade na definição de estratégias de
controle de pragas; d) redução geral do número de aplicações de inseticidas, com isso,
menor exposição humana e ambiental; e) compatibilidade com estratégias do MIP
(PURCELL et al., 2004).
No período de 1996 a 2006, estima-se que ocorreu uma redução de 15,3% em
média no uso mundial de inseticidas com o cultivo de algodão-Bt (BROOKES e
BARFOOT, 2000). Na China, o impacto da adoção do algodão-Bt foi percebido pela
grande redução de intoxicação de trabalhadores rurais, pois a tecnologia possibilitou
diminuir o número de aplicações (HUESING e ENGLISH, 2004). Cattaneo et al. (2006)
46
observaram redução significativa no uso de inseticidas em 81 propriedades no Estado
do Arizona/EUA nas safras 2002 e 2003.
No Brasil na região sob Cerrado, e particularmente no Estado do Mato Grosso
do Sul, a lagarta-spodoptera tem presença constante e a falsa-medideira tem aumentado
sua importância a cada safra. A utilização de algodão transgênico requer além dos
estudos da ão da tecnologia sobre os insetos-pragas, uma criteriosa análise
econômica, pois a tecnologia, com expressão da toxina Cry1Ac controla três
lepidópteros-praga, necessitando ainda o controle de S. frugiperda e P. includens e com
isso a redução de custos pode não ser completa na condição de alta presença desses
insetos-pragas.
Por outro lado, o estudo da entomofauna e da produtividade, metodologias
adequadas para sua validação são requeridas. Muitos casos com a utilização da mesma
área amostral para levantamento de insetos-praga e colheita podem resultar em menor
precisão dos resultados, pois a constante circulação na área de avaliação e o manuseio
das plantas para levantamentos fazem com que as plantas sofram danos e estresse
mecânico alterando o comportamento em relação às plantas cultivadas sem o manuseio
constante.
A análise de custo/benefício do algodão transgênico resistente a insetos é de
vital importância para o produtor de algodão, levando-se em conta o custo da
tecnologia, bem como determinação de metodologias que possam trazer informações
precisas, fornecendo subsídios para sua adoção diante das características regionais.
O trabalho objetivou analisar aspectos econômicos e metodológicos na adoção
do algodão-Bt na região de Dourados, MS.
47
MATERIAL E MÉTODOS
O trabalho foi realizado no campo experimental da Faculdade de Ciências
Agrárias da Universidade Federal da Grande Dourados, FCA/UFGD, no município de
Dourados, MS nas safras 2007/08 e 2008/09.
O delineamento experimental adotado foi fatorial 2 x 2 inteiramente casualizado
em parcelas subdivididas com doze repetições . Os tratamentos consistiram em duas
cultivares (Cultivar NuOpal
®
, transgênica e Cultivar DeltaOpal
®
convencional) e duas
metodologias para levantamento dos parâmetros de produtividade (parâmetros em
parcelas com levantamento de insetos-praga e parâmetros em parcelas sem
levantamento de insetos-praga).
Cada parcela possuía 7 linhas de plantio por 5 metros de comprimento, sendo
área amostral de insetos-praga e levantamento de parâmetros de produtividade
constituída de 2 linhas de 3 metros cada uma, tendo uma linha bordadura entre as áreas
de amostragem (Figura 1).
A semeadura foi realizada em 15 de novembro de 2007 e 2008 em espaçamento
entrelinhas de 0,90 metros com população entre 80 a 100 mil plantas/ha. Foi adotado
sistema convencional de manejo de solo em um Latossolo Vermelho Distroférrico.
Adubação de base foi realizada com adição de 400 kg/ha da formulação 5.28.8
NPK+micronutrientes em 2007/08 e 0.20.20 em 2008/09 e adubação de cobertura com
150 kg/ha de sulfato de amônio aos 50 DAE. O manejo de insetos-praga foi realizado de
forma curativa
A altura de planta foi controlada com uso de regulador de crescimento, sendo
utilizado o princípio ativo cloreto de clomerquat (Tuval
®
) na dose de 0,1 e 0,25 l/ha do
produto comercial aos 50 e 70 dias após emergência das plantas, respectivamente, na
safra 2007/08 e 0,2 l/ha na safra 2008/09. Foram realizadas três aplicações de fungicidas
nas duas safras com uso de Azoxistrobina+ciproconazol (0,4 l/ha P.C.) aos 50 e 70 DAE
e tebuconazol (0,6 l/ha P.C.) aos 90 DAE .
Durante o ciclo foram realizados levantamento de insetos-praga iniciado aos 10
dias após emergência das plantas (DAE) até o momento da colheita em intervalos de 3 a
5 dias. O levantamento serviu para definição do manejo de inseticidas, usados aqui para
48
análise econômica entre as cultivares e também como um fator na determinação dos
parâmetros de produtividade.
Quanto ao estudo de metodologia de amostragem de indicadores de
produtividade, avaliou-se em 2 linhas de 3 metros de comprimento, por ocasião da
colheita manual, os seguintes parâmetros: população final de plantas/ha, número médio
de capulhos por planta, peso médio de capulhos (g) e produtividade (@/ha) e
rendimento de fibra. Além disso, também foi realizada a análise de qualidade de fibra
(High Volume Instrument, HVI): comprimento de fibra, uniformidade, resistência,
elongação de fibra e micronaire.
Para análise econômica da tecnologia-Bt adaptou-se metodologia empregada por
Jost et al. 2008, sendo denominada taxa de retorno da tecnologia (IR
t
), levando-se em
conta a receita advinda da produção de fibra e caroço, custo da tecnologia (semente) e
custo de inseticidas, desconsiderando os demais custos de produção, analisando os
fatores de custos diretamente relacionados com as cultivares em estudo, para, assim,
realizar análise estatística desses parâmetros.
IRt =
݂ܳ ∗ ܸ݂
+
ܳܿ ∗ ܸܿ
൯ −
ܥݏ − ܥ݅
Onde,
IRt: Taxa de retorno da tecnologia; Qf: Produção de fibra; Vf: Preço da
fibra; Qc: Produção de caroço; Vc: Preço do caroço; Cs: Custo com semente; Ci: Custo
com inseticida.
Os dados utilizados para cálculo tiveram como data de referência 31 de maio em
2008 e 2009, sendo utilizado para preço de fibra informações econômicas junto ao
Centro de Estudos Avançados em Economia Aplicada (Cepea/Esalq/USP).
Os dados referentes a parâmetros de produtividade foram submetidos à análise
da variância e comparados através do teste Tukey (5%), enquanto os dados de análise
econômica e de qualidade de fibra foram submetidos ao teste t (5%).
49
1
m
Linhas bordaduras
1
m
1
m
5 m
Bordaduras
1
m
BA
FIGURA 1. Representação esquemática da unidade experimental.
Parcela A, área com amostragem de parâmetros de
produtividade e levantamento de insetos-praga; Parcela
B, apenas amostragem de parâmetros de produtividade.
UFGD, Dourados, MS. 2010.
50
RESULTADOS E DISCUSSÃO
Metodologia de amostragem de indicadores de produtividade
Durante a condução dos trabalhos foram realizadas 31 amostragens de insetos-
praga na safra 2007/08 e 27 na safra 2008/09. Na área destinada para colheita sem
realização do monitoramento, as plantas não sofreram nenhum tipo de manuseio,
somente no momento da colheita.
A condução de ensaio com levantamento de insetos-praga requer manuseio
freqüente das plantas visando a observação detalhada de todas as estruturas como
botões florais, brácteas, flores e maçãs. Esse manuseio pode acabar danificando ou
interferindo no comportamento das plantas.
Os resultados obtidos não apresentaram diferenças quanto aos parâmetros de
produtividade entre as áreas amostrais, ressaltando, nesse caso, que a utilização da área
amostral empregada para levantamento de insetos-praga pode ser utilizada na definição
dos indicadores de produtividade não sendo necessária a dedicação de área exclusiva
para esse fim (Tabela 1). O resultado pode ser extrapolado para áreas maiores, nas quais
os fatores de interferência serão menores do que observados em áreas menores.
Dentre as cultivares avaliadas não foram observadas diferenças quanto aos
parâmetros de produtividade, apresentando desempenho produtivo semelhante (Tabela
1).
TABELA 1 Indicadores de produtividade em parcelas com amostragem para levantamento de insetos-praga (C/A) e sem amostragem para
levantamento de insetos-praga (S/A) em duas cultivares de algodoeiro nas safras 2007/08 e 2008/09. UFGD, Dourados, MS. 2010.
População (plantas/ha) Número de capulhos por planta
Safra 2007/08 Safra 2007/08
Cultivares C/A
1
S/A média C.V. % Cultivares C/A
S/A média C.V. %
DeltaOpal
®
83531,7 aA*
84523,7 aA 84028
10,3
DeltaOpal® 8,8 aA
9,6 aA 9,20
13,8
NuOpal
®
82341,2 aA
81150,7 aA 81746 NuOpal® 8,5 aA
8,6 aA 8,55
Média 82936,0
82837,2 Média 8,65
9,10
C.V. 16,2 C.V. 18,9
Safra 2008/09 Safra 2008/09
Cultivares C/A
S/A média C.V. % Cultivares C/A S/A média C.V. %
DeltaOpal
®
81635,8 aA
80432,1 aA 81034
16,3
DeltaOpal® 7,8 aA 8,3 aA 8,05
16,1
NuOpal
®
83586,4 aA
84027,8 aA 83807 NuOpal® 7,7 aA 7,6 aA 7,65
Média 82611,1
82229,9 Média 7,75 7,95
C.V. 10,3 C.V. 12,3
Peso médio de capulhos (g) Colheita (@/ha)
Safra 2007/08 Safra 2007/08
Cu
ltivares
C/
A
S/
A
média
C.V. %
Cu
ltivares
C/
A
S/
A
média
C.V. %
DeltaOpal
®
5,0 aA
4,7 aA 4,85
12,6
DeltaOpal® 242,5 aA 255,0 aA 248,8
10,7
Nu
Opal
®
4,
9 aA
5,
1 aA
5,
00
Nu
Opal®
23
4,2 aA
23
4,6 aA
23
4,4
Média 4,
95
4,
90
Média 23
8,3
24
4,8
C.V. 18
,9
C.V. 17
,2
Saf
ra 2008/09
Saf
ra 2008/09
Cu
ltivares
C/
A
S/
A
média
C.V. %
Cu
ltivares
C/
A
S/
A
média
C.V. %
DeltaOpal
®
4,8 aA
4,9 aA 4,85
11,1
DeltaOpal® 216,5 aA 242,0 aA 229,2
15,7
Nu
Opal
®
4,
9 aA
5,
1 aA
5,
00
Nu
Opal®
22
0,6 aA
23
4,5 aA
22
7,5
Média 4,
85
5,
00
Média 21
8,5
23
8,2
C.V. 6,
8
C.V. 17
,1
* Médias seguidas pela mesma letra minúscula na coluna e maiúscula na linha não diferem entre si pelo teste de Tukey a 5% de probabilidade.
1
C/A= Com amostragem de insetos-praga; S/A = Sem amostragem de insetos-praga.
51
52
Análise econômica
A utilização da cultivar NuOpal
®
, transgênica resistente a insetos, resultou na
redução de 19,9% no custo com uso de inseticidas em 2007/08 e 7,9% de redução na
safra 2008/09 (Tabela 2). Em função da baixa presença de pragas, o custo da
tecnologia-Bt e o custo para combater o ataque de lepidópteros-praga alvo ficaram
muito próximos na safra 2008/09, sendo viável o uso da tecnologia na safra 2007/08,
analisando-se somente o fator custo de inseticida entre as cultivares.
TABELA 2. Custo com inseticidas em duas cultivares de
algodoeiro conduzidas nas safras 2007/08 e
2008/09. UFGD, Dourados, MS. 2009.
Custo com inseticida (U$$/ha
2007/08 2008/09
U$$/ha %* U$$/ha %
DeltaOpal
®
242,6 362,5
NuOpal
®
194,3 19,9 333,8 7,9
* Redução de custo com aplicação de inseticidas entre as cultivares.
Em análise de custos de produção em outras regiões produtoras Richetti (2007 e 2008)
indicou redução entre 40 a 50% nos custos de inseticida com adoção de algodoeiro-Bt
na região de Primavera do Leste/MT nas safras 2007/08 e 2008/09, região caracterizada
pela alta presença de insetos-praga alvo da tecnologia.
Se por um lado não foi observada diferença quanto à produtividade de algodão
em caroço, encontrou-se diferenças significativas no rendimento de fibra (Tabela 3),
situação em que a cultivar DeltaOpal
®
apresentou rendimento superior que a cultivar
NuOpal
®
. Nesse aspecto levando-se em conta a taxa de retorno da tecnologia, a maior
produção de fibra e custo com inseticidas da cultivar convencional ficou equivalente a
ao menor custo de inseticida e maior custo de semente da cultivar modificada, assim,
pode-se afirmar que entre as cultivares o retorno econômico não foi significativo dentro
das condições analisadas, apresentando taxa de retorno similar.
53
TABELA 3. Rendimento de fibra (%) e taxa de retorno tecnológica (IR
t
)
em duas cultivares de algodoeiro nas safras 2007/08 e
2008/09. UFGD, Dourados, MS. 2010.
Rendimento
de fibra %
IR
t
(U$$/ha)
Rendimento
de fibra %
IR
t
(U$$/ha)
DeltaOpal
®
39,08
2520,9
39,10
2216,7
NuOpal
®
38,38 2399,4 38,22 2163,8
Teste t 2,672* 0,577 2,697* 0,329
Prob. (5%) 0,014 0,759 0,013 0,745
C.V. % 1,65 16,3 2,06 18,4
2007/08
2008/09
* Significativo a 5% de probabilidade.
Em diversos países que tem adotado a tecnologia-Bt tem sido observado ganhos
econômicos significativo em função do aumento da produtividade pelo menor danos de
lepidópteros-praga alvo (CABANILLA et al., 2005; JOST et al., 2008) e também pela
redução dos custos com inseticidas (HUESING e ENGLISH, 2004; BROOKES e
BARFOOT, 2000).
Na África do Sul Bennett et al. 2004 observaram que pequenos produtores
tiveram benefício na adoção do algodão-Bt, porém o benefício foi menor em
comparação a grandes produtores, fato atrelado a diferenças de intensidade de manejo
empregadas. Avaliando-se potencial produtivo de cultivares com diferentes tecnologias
transgências, Jost et al. (2008) consideram que o potencial produtivo da cultivar vem em
primeiro plano em relação à tecnologia presente na planta, aspecto interessante, pois
indica que antes da escolha da tecnologia emprega, deve-se escolhe cultivares com alto
potencial produtivo e ampla adaptação, fator que a cultivar DeltaOpal
®
contempla em
parte, pois tem o seu cultivo restrito as regiões produtoras do Estado da Bahia, com
menor utilização pelos produtores em outras Regiões produtoras do Brasil.
Uma característica marcante nas duas safras avaliadas foi o grande número de
aplicações de inseticidas para controle de bicudo-do-algodoeiro, Anthonomus grandis
Boheman 1843 (Coleoptera: Curculionidae) (Tabela 4), inseto-praga chave da cultura
no Brasil, muito destrutiva, erradicada nos Estado Unidos (EL-LISSY e
GREFENSTETTE, 2005) e ausente em outros continentes, o que ressalta a importância
de programas de supressão aqui no Brasil, pois a redução de danos causados pelos
lepidópteros-praga alvo da tecnnologia-Bt pode ser anulada em condição de alta
infestação de A. grandis, onde grande número de estruturas reprodutivas são perdidas,
54
além disso, a maior parte dos inseticidas utilizados para seu controle apresentam ão
sobre lepidópteros, o que pode atenuar os efeitos da utilização de cultivares-Bt.
TABELA 4. Número de aplicações de inseticida e insetos-
pragas em duas cultivares de algodoeiro nas safras
2007/08 e 2008/09. UFGD, Dourados, MS. 2010.
mero de
aplicações
2
2
9
1
3
1
mero de
aplicações
1
1
12
2
Ácaros
Cultivares
DeltaOpal
Mosca branca
Safra 2007/08
Safra 2008/09
Cultivares
Lepidopeteros-praga
2
DeltaOpal e NuOpal
DeltaOpal e NuOpal
DeltaOpal e NuOpal
DeltaOpal e NuOpal
DeltaOpal e NuOpal
Lepidopeteros-praga
1
Pulgão
Bicudo
Percevejo-da-soja
Bicudo
Ácaros
DeltaOpal
DeltaOpal e NuOpal
DeltaOpal e NuOpal
DeltaOpal e NuOpal
Pulgão
1
1ª Aplicação visando A. argillacea e H. virescens aos 67 DAE; 2ª
aplicação visando A. argillaceae aos 98 DAE.
2
Aplicação para A. argillaceae aos 96 DAE
Em estudo nas principais regiões da Índia Morse et al. (2005) verificaram em 2
anos de cultivo, que o algodão-Bt apresentou rentabilidade entre 43 e 73% superior ao
cultivo convencional, salientando ainda a importância de estudos a médio e longo prazo
visando a sustentabilidade e adequação de características regionais. Canabilla et al.
(2005) relatam que os benefícios econômicos aumentam acompanhando a intensidade
de infestação de lepidópteros-pragas alvo presentes.
A condição de baixa pressão de insetos-praga alvo da tecnologia-Bt observada
durante as duas safras e a presença de A. grandis reforça a conceito de que as condições
regionais para esses fatores devem ser levadas em conta no momento da adoção do
algodão-Bt.
55
Qualidade de fibra
Quanto aos parâmetros de qualidade de fibra, avaliados através do teste HVI,
foram observadas diferenças significativas apenas na safra 2007/08 para uniformidade
de fibra e micronaire, sendo que a cultivar NuOpal
®
apresentou resultados inferiores a
DeltaOpal
®
(Tabela 5). Avaliando cultivares nas quais foram incorporadas resistência
a insetos, herbicida e ambos, Verhalen et al. (2003) verificaram que as cultivares-Bt
quando comparadas aos isogênicos não transgênicos, apresentaram menores índices de
micronaire, mas ocorreu também interação com o ambiente, apresentando diferenças
regionais.
Os níveis de danos encontrados na cultivar convencional resultaram em
parâmetros de HVI semelhantes a cultivar modificada, pois, é esperado em uma
condição de presença lepidópteros-praga mais área foliar atacadas, particularmente
maçãs em formação, o que resultaria em elevação do índice de fibras curtas com
redução do comprimento de fibras na cultivar convencional.
Os índices obtidos ficaram dentro do padrão aceitável tanto para mercado
externo como interno, não resultando em diferenciação comercial entre a fibra
produzida pelas cultivares (COSTA et al., 2006; FBET, 2008), semelhante ao obtido
por Vilela et al. (2008) em rede de ensaios no Estado do Mato Grosso, onde a
cultivare DeltaOpal
®
apresentou micronaire superior, mas dentro do padrão do
mercado. Para as características relacionadas aos índices fornecidos pelo teste HVI são
governados por fatores genéticos e sofrem menos interferência do ambiente
(BRADOW e DAVIDONES, 2000).
56
TABELA 5. Parâmetros da análise de fibra (HVI) em duas cultivares
de algodoeiro nas safras 2007/08 e 2008/09. UFGD,
Dourados, MS.
Safra 2007/08
Cf
1
mm
Unif.
%
Res.
(gf/tex)
Elg.
%
Mic.
µ/pol
2
DeltaOpal
®
29,20 85,42 29,47 6,77 4,49
NuOpal
®
29,26 84,37 30,08 6,72 4,12
Teste t (5%) 0,343 3,141* 1,321 1,414 3,890*
Safra 2008/09
Cf
Mm
Unif.
%
Res.
(gf/tex)
Elg.
%
Mic.
µ/pol
2
DeltaOpal
®
29,20 84,70 30,28 6,68 4,39
NuOpal
®
29,30 83,50 30,20 6,69 4,40
Teste t (5%) 0,062 1,861
0,275
0,211 0,014
1
Cf = Comprimento de fibra; Unif.% = uniformidade; Res = Resistência da fibra;
Elg. = Elongação de fibra; Mic = Micronaire.
* Significativo a 5% de probabilidade.
57
COCLUSÕES
Parcelas empregadas para levantamento de insetos-praga podem ser utilizadas na
determinação de parâmetros de produtividade
Adoção da cultivar NuOpal
®
apresentou taxa de retorno econômico semelhante a
cultivar convencional;
A cultivar NuOpal
®
apresentou micronaire e uniformidade de fibra inferiores na safra
2007/08, diferenças sem alteração valor comercial da fibra.
58
REFERÊCIAS BIBLIOGRÁFICAS
BENNETT, R.; ISMAEL, Y.; MORSE, S.; SHANKAR, B. Reductions in insecticides
use from adotion of Bt cotton in South Africa: impacts on economic performance and
toxic load to the environment. Journal of Agricultural Science, v. 142, n.6, p. 665
674, 2004.
BRADOW, J. M.; DAVIDONES, G. H. Quantitation of fiber quality and the cotton
production-processing interface: a physiologist´s perspective. The Journal of Cotton
Science, v. 4, n. 1, p. 34 -64, 2000.
BROOKES, G. BARFOOT, P. Global impact of Biotech crops: Socio-economic and
environmental effects in the first ten years of commercial use. The Journal of
Agrobiotechnology Management e Economic, v. 9, n. 3, 2000. Disponível em:
<http://www.agbioforum.org/>. Acesso em: 08 fev. 2010.
CANABILLA, L. S.; ABDOULAYE, T.; SANDRES, J. H. Economic coast of non-
adoption of bt-cotton in West Africa: with special reference to Mali. International
Journal of Biotechnology, v. 7, n. 1/2, p. 46 – 61, 2005.
CARRIÈRE, Y.; DENNEHY, T. J.; PEDERSEN, B.; HALLER, S.; ELLERS-KIRK,
C.; ANTILLA, L.; LIU, Y.; WILLOT, E.; TABANSHNIK, B. E. Large-scale
management of insect resistance to transgenic cotton in Arizona: Can transgenic
insecticidal crops be sustained. Journal of Economic Entomology, v. 94, n. 2, p. 315 -
325, 2001.
CATTANEO, M. G.; YAFUSO, C.; SCHIMIDT, C.; HUANG, C.; RAHMAN, M.;
OLSON, C.; ELLERS-KIRK, C.; ORR, B. J.; MARSH, S. E.; ANTILA, L.;
DUTILLEUL, P.; CARRIÈRE, C. Farm scale evaluation of the impacts of transgenic
cotton on biodiversity, pesticide use, and yield. Proceedings of the ational Academy
of Science of the United State of America, v. 103, n; 20, p. 7571 – 7576, 2006.
COSTA, J. N. da; SANTANA, J. C. F.; WANDERLEY, M. J. R.; ANDRADE, J. E. O.;
SOBRINHO, R. E. Padrões universais para classificação do algodão. Documentos 151,
Campina Grande/PB. 2006. 24p.
DEGRANDE, P.E. Guia prático de controle das pragas do algodoeiro. Dourados:
UFMS. 60p. 1998.
EL-LISSY, O.; GREFENSTETTE, B. Progress of boll weevil Anthonomus grandis
eradication in the United State of America, 2005. In: Area-wide control of insect
pests from research to field implementation. Springer Netherlands, p. 547 – 558. 2005.
FBET - FUNDACÃO BLUMENAUENSE DE ESTUDOS TÊXTEIS. Análise de
resultados 2008. Blumenau. 18p. 2008.
59
HILLOCKS, R. J. Is there a role for Bt cotton in IPM for smallholders in Africa?
Internacional Journal of Pest Management, v. 51, n. 2, p. 131 -141, 2005.
HUESING, J. ENGLISH, L. The impact of Bt crops on the developing word. The
Journal of Agrobiotechnology Management e Economic, v. 7, n. 1/2, 2004
Disponível em: <http://www.agbioforum.org/>. Acesso em: 08 fev. 2010.
JOST, P.; SHURLEY, D.; CULPEPPER, S.; ROBERTS, P.; NICHOLS, R.; REEVES,
J.; ANTHONY, S. Economic comparasion of transgenic and nontransgenic cotton
production system in Georgia. Agronomy Journal, v. 100, n. 1, 42 -51, 2008.
MORSE, S.; BENNET, R. M.; ISMAEL, Y. Gennetically modified insect resistance in
cotton : some farm level economic impacts in India. Crop Protection, v. 24, n. 5, p.
433 – 440, 2005.
PURCELL, J. P.; OPPENHUIZEN, M.; WOFFORD, T.; REED, A.J.; PERLAK, F.J.
The story of Bollgard
®
cotton. In: Handbook of Plant biotechnology. England. 2004.
Wiley Europe Publisher. p.1147-1163.
RICHETTI, A. Estimativa de custo de produção de algodão, safra 2007/08, para
Mato Grosso do Sul e Mato Grosso. Dourados, CPAO. Comunicado técnico 136. 14p.
2007.
RICHETTI, A. Estimativa de custo de produção de algodão, safra 2007/08, para
Mato Grosso do Sul e Mato Grosso. Dourados, CPAO. Comunicado técnico 149. 14p.
2008.
SHELTON, A.M., ZHAO, J.-Z, & ROUSH, R.T. Economic, food safety, and social
consequences of the deployment of Bt transgenic plants. Annual Review of
Entomology, v.47, p. 845-881, 2002.
SIVASUPRAMANIAM, S.; MOAR, W. J.; RUSCHKE, L. G.; OSBORN, J. A.;
JIANG, C.; SEBAUGH, J. L.; BROWN, G. R.; SHAPPLEY, Z. W.; OPPENHUIZEN,
M. E. MULLINS, J. W.; GREENPLATE, J. T. Toxicity and characterization of cotton
expressing Bacillus thuringiensis Cry1Ac and Cry2Ab2 proteins for control of
lepidopteran pests. Journal of Economic Entomology, v. 101, n. 2, p. 546 – 554, 2008.
VERHALEN, L. M.;GREENHAGEN, B. E.; THACKER, R. W. Lint yield, lint
percentage, and fiber quality response in Bollgard, roundup ready, and
Bollgard/Roundup Ready cotton. The Journal of Cotton Science, v. 7, n. 2, 23 38,
2003.
VILELA, P. M. C. A.; BELOT, J. L.; GARBIELI, R.; FARIAS, F. J. C.; AGUILLERA,
L. A.; AGUIAR, P. H. Relatório final do projeto de cooperação técnica para
avaliação de algodão em Mato Grosso Safra 2007/2008. FACUAL, Primavera do
Leste, MT. 2008. 53p.
WAN, P.; WU, K. M.; HUANG, M. S. Seasonal pattern of infestation by pink bollworm
Pectinophora gossypiella (Saunders) in field plots of Bt transgenic cotton in the
Yangtze River Valley of China. Crop Protection, v. 23, n.5, p. 463–467, 2004.
60
WU, K. M.; GUO, Y.; NAN, L. V.; GREEPLATE, J. T; DEATON, R. Efficacy of
transgenic cotton containing a cry1Ac gene from Bacillus thuringiensis against
Helicoverpa armigera (Lepidoptera: Noctuidae) in northern China. Journal of
Economic Entomology, v. 96, n.4, p. 1322–1328, 2003.
61
CAPÍTULO III
EFEITO DO ALGODOEIRO BOLLGARD
®
CULTIVAR UOPAL
®
SOBRE
ISETOS-PRAGA ALVO E ÃO-ALVO DA TECOLOGIA-Bt
62
EFEITO DO ALGODOEIRO BOLLGARD
®
CULTIVAR UOPAL
®
SOBRE
ISETOS-PRAGA ALVO E ÃO-ALVO DA TECOLOGIA-BT
RONI PAULO FORTUNATO
Orientador: Prof. Dr. Paulo Eduardo Degrande
RESUMO
A liberação do cultivo do algodoeiro (Gossypium hirsutum L.) geneticamente
modificado resistente a insetos é recente no Brasil, sendo mais uma alternativa para o
manejo integrado de insetos-praga, desde que sejam observadas características regionais
e aspectos ambientais ligados a entomofauna. O objetivo do trabalho foi avaliar os
efeitos do algodoeiro Bollgard
®
cultivar NuOpal
®
sobre insetos-praga alvo e não-alvo
em condição de cultivo em Dourados, MS nas safras 2007/08 e 2008/09. Foram
avaliados dois tratamentos (Cultivar NuOpal
®
, transgênica, e DeltaOpal
®
, convencional)
em delineamento experimental inteiramente casualisado com doze repetições. As
parcelas consistiram de sete linhas de cinco metros de comprimento espaçadas entre si
em noventa centímetros com área amostral de duas linhas de três metros de
comprimento. As avaliações foram feitas em intervalos de três a cinco dias com o
levantamento visual de insetos-praga presentes em seis plantas aleatórias na área
amostral. Os resultados permitem concluir que: as cultivares não interferiram no
comportamento de oviposição de adultos de lepidópteros; a cultivar transgênica,
resistente a insetos, foi eficiente no controle de insetos-praga alvo presentes na área
experimental; e seu efeito sobre a população de insetos-praga não-alvo, foi observado
apenas supressão sobre de P. includens.
Palavras-chave: Cultivar transgênica, insetos fitófagos e inseticidas.
63
BOLLGARD
®
COTTON IMPACT ABOUT TARGET AND NO-TARGET PESTS OF
Bt-TECHNOLOGY
RONI PAULO FORTUNATO
Adviser: Paulo Eduardo Degrande
ABSTRACT
The cropping of the genetically modified insect resistant cotton in Brazil is
recent, it’s another way that integrates the pests management, but it’s important to
observe the area characteristics, environmental aspects linked the pest population. The
objective in the present work was analyzing environmental impact the Bt cotton
adoption on target pest and no target pest in 2007/08 and 2008/09 season growth. Two
treatments were analyzed with (NuOpal
®
, transgenic cultivar, e DeltaOpal
®
,
conventional cultivar) in randomized completely design with twelve replications. The
plot was 7 row of 5 m length with 0,9 m spacing. The evaluate consisted the pest survey
in six randomized plant for plot in three a five days intervals during the season. The
cultivars no affected oviposition behavior the adults lepidopteran; the transgenic
cultivar was efficient in target pest control; was observed only Pseudoplusia includens
suppression between no target pests.
Key words: Transgenic cultivars, phytophagous insects and insecticides
64
ITRODUÇÃO
A busca por inseticidas mais específicos e com baixa persistência no ambiente,
estrategicamente usados com plantas resistentes a insetos, vem de longa data sendo
persiguido no manejo integrado de pragas. A obtenção convencional da resistência de
plantas a insetos envolve características quantitativas ligadas a vários loci, resultando
em um processo lento e de difícil implantação. Com o advento da transformação
genética baseada na tecnologia de DNA recombinante tornou-se possível inserir genes
de plantas e outras espécies em genomas de plantas, conferindo assim resistência a
insetos (BENNET, 1994). Genes de bactérias como Bacillus thuringiensis (Bt) e
Bacillus sphaericus tem sido o principal grupo de organismos utilizados para conferir
resistência de plantas a insetos em escala comercial (SHARMA et. al., 2000).
A expressão de proteínas Bt em algodoeiro conferindo ação inseticida sobre
insetos da Ordem Lepidoptera tem sido largamente adotada nos principais paises
produtores, como Estados Unidos, Austrália, China, Índia, México, Argentina, África
do Sul, Indonésia entre outros países (PURCELL e PERLAK, 2004; WUAN et al.,
2004; HILLOCKS, 2005; MORSE et al., 2005; SIVASUPRAMANIAM et al.; 2008).
A introdução de características de resistência de plantas a insetos através de
engenharia genética tem levantado questionamentos a respeito de sua eficácia e dos
efeitos potenciais sobre a entomofauna. Em sistemas agrícolas, insetos alvos são aqueles
capazes de desenvolverem populações capazes de reduzir significativamente a produção
das culturas, exigindo medidas de controle (DEGRANDE, 1998). Insetos não-alvos são
considerados espécies as quais não são objetivo da intervenção de controle.
No período de 1996 a 2006 estima-se que ocorreu uma redução de 15,3% em
média no uso mundial de inseticidas com o cultivo de algodão-Bt (BROOKES e
BARFOOT, 2000). Na China o impacto da adoção do algodão-Bt foi percebido pela
grande redução de intoxicação de trabalhadores rurais, pois a tecnologia possibilitou
diminuiu o número de aplicações (HUESING e ENGLISH, 2004), o controle de
lagarta-rosada, Pectinophora gossypiella (Saud., 1844) (Lepidoptera: Gelechiidae)
apresentou grande avanço com implementação de algodão-Bt nos Estados Unidos
(WILSON et. al., 1992) e China (WAN et al., 2004).
65
O algodão geneticamente modificado liberado para cultivo no Brasil
denominado de “Bollgard I
®
evento 531” comercializado com o nome comercial de
NuOPal
®
ou Delta Pine Acala 90B
®
apresenta a expressão da proteína Cry1Ac que atua
sobre lagarta-das-maçãs, Heliothis virescens (Fabricius, 1781) (Lepidoptera:
Noctuidae), lagarta-curuquerê, Alabama argillacea (Hübner 1818) (Lepidoptera:
Noctuidae) e lagarta-rosada, P. gossypiella, não atuando sobre lagarta falsa-medideira,
Pseudoplusia includens (Walker 1857) (Lepidoptera: Noctuidae) e lagarta spodoptera,
Spodoptera frugiperda (J.E. Smith 1797) (Lepidoptera: Noctuidae) importantes
lepidópteros-praga da cultura presentes em algumas regiões produtoras.
No Estado do Mato Grosso do Sul, a lagarta-spodoptera tem presença frequente,
e a falsa-medideira tem aumentado sua ocorrência. A utilização de algodão transgênico
requer estudos relacionando ação da tecnologia sobre os insetos-pragas alvo e não-alvo
da tecnologia-Bt, com insetos-praga de importância secundária evoluindo para condição
primária dentro do manejo empregado com algodão-Bt.
O objetivo do trabalho foi avaliar os efeitos do algodoeiro Bollgard
®
cultivar
NuOpal
®
sobre insetos-praga alvo e não-alvo em condição de cultivo em Dourados,
MS.
66
MATERIAL E MÉTODOS
O trabalho foi realizado no campo experimental da Faculdade de Ciências
Agrárias da Universidade Federal da Grande Dourados FCA/UFGD, no município de
Dourados, MS nas safras da cultura 2007/08 e 2008/09.
O estudo constituiu de 2 tratamentos (Cultivar NuOpal
®
, transgênica e Cultivar
DeltaOpal
®
, convencional) com 12 repetições em um delineamento experimental
inteiramente casualizado. Cada parcela foi representada por 7 linhas de plantio por 5
metros de comprimento, sendo área amostral de insetos-praga constituída de 2 linhas de
3 metros (Figura 1).
A semeadura foi realizada em 17 de novembro nas duas safras, sendo empregado
espaçamento entre linhas de 0,90 metros com população entre 80.000 e 90.000
plantas/ha. Foi adotado sistema convencional de manejo de solo em
um
Latossolo
Vermelho Distroférrico. A altura de planta foi controlada através do uso de regulador de
crescimento. Foram realizadas 3 aplicações de fungicidas (2007/08) e 4 (2008/09), 3
aplicações de regulador de crescimento (2007/08) e uma (2008/09) e adotada uma
adubação de cobertura em ambas as safras com uso de sulfato de amônio.
As avaliações iniciaram 10 dias após a emergência (DAE) seguindo até atingir
condição de colheita, com intervalo entre 3-5 dias. As avaliações consistiram de
levantamento de insetos fitófagos em seis plantas ao acaso na área amostral. Foram
contabilizados indivíduos na planta toda, avaliações que determinaram as intervenções
de controle.
Insetos-praga e estágios avaliados:
Lepidopteros-praga alvo da tecnologia-Bt:
- P. gossypiella – ovo, larva e monitoramento de armadilha de feromônio,
- H. virescens - ovo, percentual total larvas (pequena, média e grande)
- A. argillacea - ovo, número total larvas (pequena e grande)
Lepidopteros-praga não-alvo da tecnologia-Bt:
- S. frugiperda - ovo, percentual total de larvas (pequena, média e grande)
- P. includens - ovo, número total de larvas (pequena e grande)
Insetos-pragas não-alvo da tecnologia-Bt:
- Aphis gossypii Glover, 1877 (Hemiptera, Aphididae) – percentual total de
presença de colônias),
67
- Anthonomus grandis Boheman 1843, (Coleoptera: Curculionidae) percentual
total de danos (alimentação, oviposição, presença de larva e adultos).
- Euschistus heros (Fabricius 1798) (Heteroptera: Pentatomidae) percentual de
presença de adultos.
- ezara viridula (Linaeus 1758) (Heteroptera: Pentatomidae) percentual total
de adultos.
- Bemisia tabaci (Gennadius 1883) (Hemiptera: Aleyrodidae) percentual total
de presença de adultos.
Ácaros:
- Polyphagotarsonemus latus (Banks 1904) (Acari: Tarsonemidae) percentual
de plantas com presença de adultos.
- Tetranychus urticae (Koch 1836) (Acari: Tetranychidae) percentual de
plantas com presença de adultos.
Os dados referentes ao levantamento de insetos-praga foram submetidos à
análise de variância, quando os dados não seguiram padrão de normalidade aplicou-se a
transformação
+
) dos dados dentro de cada amostragem em seguida realizando o
teste t (5% de probabilidade). Os resultados foram apresentados em forma de gráficos,
utilizado ainda erro padrão de cada tratamento, sendo que os parâmetros estatísticos
foram mencionados somente quando o teste t (5% de probabilidade) foi significativo.
1
m
Linhas bordaduras
1
m
1
m
5 m
Bordaduras
1
m
A
FIGURA 1. Representação esquemática da unidade
experimental. Parcela A área útil para
levantamento de insetos-praga em algodão.
UFGD, Dourados, MS. 2010.
68
RESULTADOS E DISCUSSÃO
ão preferência de oviposição de lepidópteros
No processo de obtenção de cultivares geneticamente modificadas utiliza-se a
cultivar padrão Cocker 312
®
para inserção de genes de interesse em material com
potencial para uso comercial, sendo que na fase final do processo é utilizado
retrocruzamento até chegar novamente a cultivar de interesse. Nesse processo a cultivar
geneticamente derivada pode apresentar algumas alterações que a diferenciam da
cultivar isogênica não transgênica; algumas dessas diferenças, por mínimas que sejam,
podem alterar o comportamento de insetos, entre eles, o comportamento de oviposição
de lepidópteros.
Nas condições de campo avaliadas, a cultivar NuOpal
®
não interferiu no
comportamento de oviposição de adultos de lepidópteros (Figura 2, 3 e 4), não sendo
registradas diferença significativa quanto ao número de ovos por planta em relação a
cultivar DeltaOpal
®
, isogênica não transgênica.
Para Srinivasan et al. (2006) a alteração de comportamento de postura está
ligada a variações de compostos voláteis liberados pelo hospedeiro, os quais atuam na
escolha para oviposição de Helicoverpa armigera (Hübner 1808) (Lepidoptera:
Noctuidae) tanto com relação à escolha da planta com partes da mesma (MUSTAPHA
et. al., 2001). as respostas de Spodoptera littoralis (Boisduval 1833) (Lepidoptera:
Noctuidae), quanto escolha da planta para oviposição estão relacionadas com
características físico-químicas do hospedeiro (ANDERSON e ALBORN, 1999).
Quanto ao comportamento de adultos de lepidópteros em cultivares de algodão
com expressão de toxina Bt, Yan et. al. (2004) não observaram reação de antenas de H.
armigera a compostos voláteis liberados por algodão-Bt e convencional. Avaliando
cultivares de algodão-Bt Torres e Ruberson (2006) não observaram efeito significativo
sobre a distribuição temporal e espacial da postura de adultos de H. armigera.
69
TABELA 1. Aplicações de inseticidas durante a safra 2007/08 em duas cultivares.
UFGD, Dourados, MS. 2010.
DAE
1
Princípio ativo
Dose
P.C./ha
Inseto-praga alvo
Cultivares
26
Paration metil
1,000
A. grandis
DeltaOpal
®
e NuOpal
®
41
Paration metil
1,000
A. grandis
DeltaOpal
®
e NuOpal
®
51
Paration metil
1,000
A. grandis
DeltaOpal
®
e NuOpal
®
Enxofre inorgânico
3,000
T. urticae
DeltaOpal
®
e NuOpal
®
55
Enxofre inorgânico
3,000
T. urticae
DeltaOpal
®
e NuOpal
®
67
Metomil
1,000
A. argilaceae e
H. virescens
DeltaOpal
®
Lufenuron
0,350
A. argilaceae e
H. virescens
DeltaOpal
®
Abamectina
0,400
T. urticae
DeltaOpal
®
e NuOpal
®
83
Buldock
0,100
A. grandis
DeltaOpal
®
e NuOpal®
83
Flonicamida
0,150
A. gossypii DeltaOpal
®
e NuOpal
®
88
Beta-ciflultrina
0,100
A. grandis
DeltaOpal
®
e NuOpal
®
98
Lunenuron
0,350
A. argilaceae
DeltaOpal
®
Spinosade
0,080
A. argilaceae
DeltaOpal
®
Piriproxifem
0,350
B. tabaci
DeltaOpal
®
e NuOpal
®
Beta-ciflutrina
0,100
A. grandis
DeltaOpal
®
e NuOpal
®
105
Beta-ciflutrina
0,100
A. gossypii
DeltaOpal
®
e NuOpal
®
116
Paration metil
1,000
A. grandis
DeltaOpal
®
e NuOpal
®
122
Metamidophós
1,000
E. heros
DeltaOpal
®
e NuOpal
®
124
Beta-ciflutrina
0,100
A. grandis
DeltaOpal
®
e NuOpal
®
135
Paration
1,000
A. grandis
DeltaOpal
®
e NuOpal
®
1
DAE = Dias após emergência.
70
TABELA 2. Aplicações de inseticidas durante a safra 2008/09 em duas cultivares.
UFGD, Dourados, MS. 2010.
DAE
1
Produto
comercial
Dose
P.C./ha
Insetos-praga
alvo
Cultivares
24
Malation
2,000
A. grandis
DeltaOpal
®
e NuOpal
®
29
Malation
2,000
A. grandis
DeltaOpal
®
e NuOpal
®
47
Malation
2,000
A. grandis
DeltaOpal
®
e NuOpal
®
58
Abamectina
0,400
T. urticae
DeltaOpal
®
e NuOpal
®
73
Paration metil
1,000
A. grandis
DeltaOpal
®
e NuOpal
®
85
Beta-ciflutrina
0,100
A. grandis
DeltaOpal
®
e NuOpal
®
89
Beta-ciflutrina
0,100
A. grandis
DeltaOpal
®
e NuOpal
®
96
Spinosade
0,080
A. argilaceae
DeltaOpal
®
102
Beta-ciflutrina
0,100
A. grandis
DeltaOpal
®
e NuOpal
®
108
Malation
2,000
A. grandis
DeltaOpal
®
e NuOpal
®
Flunicamida
0,150
A. gossypii
DeltaOpal
®
e NuOpal
®
113
Lambda-cialotrina
0,125
A. grandis
DeltaOpal
®
e NuOpal
®
116
Malation
2,000
A. grandis
DeltaOpal
®
e NuOpal
®
Abamectina
0,400
T. urticae
DeltaOpal
®
e NuOpal
®
124
Malation
2,000
A. grandis
DeltaOpal
®
e NuOpal
®
128
Malation
2,000
A. grandis
DeltaOpal
®
e NuOpal
®
1
DAE = Dias após emergência.
71
(A)
Dias após emergência
20 40 60 80 100 120 140
Número de ovos por planta
0,0
0,5
1,0
1,5
2,0
Delta Opal
NuOpal
(B)
Dias após emergência
20 40 60 80 100 120
Número de ovos por planta
0
5
10
15
20
25
30
35
Delta Opal
NuOpal
FIGURA 2. Número médio de ovos por planta de Alabama argillacea
em duas cultivares conduzidas na safra 2007/08 (A) e
2008/09 (B). UFGD, Dourados, MS. 2010.
72
(A)
20 40 60 80 100 120 140
0
1
2
3
4
5
6
7
Delta Opal
NuOpal
Dias após emergência
Número de ovos por planta
(B)
Dias após emergência
20 40 60 80 100 120
número de ovos por planta
0
2
4
6
Delta Opal
NuOpal
FIGURA 3. Número médio de ovos por planta de Heliothis virescens
em duas cultivares conduzidas na safra 2007/08 (A) e
2008/09 (B). UFGD, Dourados, MS. 2010.
73
(A)
20 40 60 80 100 120 140
0,0
0,2
0,4
0,6
0,8
Delta Opal
NuOpal
Dias após emergência
úmero de larvas por planta
(B)
Dias após emergência
20 40 60 80 100 120
úmero de ovos por planta
0
1
2
3
4
5
Delta Opal
NuOpal
FIGURA 4. mero médio de ovos por planta de Pseudoplusia includens
em duas cultivares conduzidas na safra 2007/08 (A) e 2008/09
(B). UFGD, Dourados, MS. 2010.
74
Presença de lepidópteros-praga
Quanto aos lepidópteros-praga alvo da toxina Cry1Ac, observou-se a
eficiência da mesma sobre a população presente na área, no caso, A. argillacea e H.
virescens (Figura 5 e 6), Para P. gossypiella, através do monitoramento pela armadilha
de feromônio, não foi observado índice de controle, 10 mariposas a cada 2 noites,
durante as duas safras de estudo (Figura 7) e a presença de S. frugiperda durante a
condução do trabalho foi baixa, não sendo suficiente para análise dos dados.
Quanto a cultivar DeltaOpal
®
, não modificada, foram necessárias duas
aplicações de inseticidas na safra 2007/08 para A. argillaceae e H. virescens e uma
aplicação na safra 2008/09 para A. argillacea (Tabela 1 e 2). A precipitação irregular e
períodos com baixa umidade podem ter contribuído para a baixa infestação desses
lepidópteros no período avaliado.
O grande número de aplicações realizadas inseticidas para A. grandis,
principalmente após 80 DAE, utilizando inseticidas do grupo dos piretróides pode ter
acarretado em supressão da população de adultos de P. gossypiella, tanto que não foram
encontrados danos resultantes do ataque de lagarta-rosada nas estruturas reprodutivas do
algodoeiro no final do ciclo da cultura.
Observou-se para P. includens, em algumas avaliações, que a presença de larvas
desses lepidópteros foi maior no algodão convencional em relação ao material
geneticamente modificado (Figura 8). Segundo (GORE et al., 2001) a toxina Cry1Ac
tem baixa efetividade sobre esse lepidóptero, porém, em alguns casos, a toxina pode
exercer ação de supressão, matando ou retardando o crescimento inicial das larvas.
Mesmo sendo realizadas 2 aplicações específicas para a cultivar DeltaOpal
®
em
2007/08 e uma aplicação em 2008/09, a presença de P. includens continuou superior na
cultivar convencional, o que é atribuído ao comportamento das larvas, que ficam nas
folhas da porção inferior da planta, dificultando a efetividade do controle químico.
Samerford e Solomon (2000) observaram que a utilização de algodoeiro com expressão
de Cry1Ac afetou negativamente a presença e desenvolvimento de P. includens. Por
outro lado, Tindall et al., (2009) observaram controle eficaz de P. includens em
algodoeiro com expressão da toxina Cry1Ac e Cry1F, demonstrando, assim, o não
controle e sim uma ação de supressão da falsa-medideira por parte da presença de uma
toxina presente na cultivar NuOpal
®
.
75
(A)
Dias após emergência
20 40 60 80 100 120 140
Número de larvas por planta
0
1
2
3
4
5
6
(B)
Dias após emergência
20 40 60 80 100 120
Número de larvas por planta
0
1
2
3
4
FIGURA 5. Número médio total de larvas de Alabama argillaceae por
planta em duas cultivares conduzidas na safra 2007/08 (A)
e 2008/09 (B). UFGD. Dourados, MS. 2010.
* Erro padrão dos dados originais. Ftab. = 4,3009.
1
QMe = 0,163; Fcalc. = 44,94; Prob.(5%) = 0,0000; Teste t (5%) = 6,703
2
QMe = 0,064; Fcalc .= 7,015; Prob.(5%) = 0,0146; Teste t(5%) = 2,648
3
QMe = 0,135; Fcalc. = 6,201; Prob.(5%) = 0,0208; Teste t(5%) = 2,409
4
QMe = 0,156; Fcalc. = 20,07; Prob.(5%) = 0,0000; Teste t(5%) = 4,480
5
QMe = 0,049; Fcalc. = 5,013; Prob.(5%) = 0,0355; Teste t(5%) = 2,239
6
QMe = 0,084; Fcalc. = 4,636; Prob.(5%) = 0,0425; Teste t(5%) = 2,153
7
QMe = 0,047; Fcalc. = 13,80; Prob.(5%) = 0,0012; Teste t(5%) = 3,715
8
QMe = 0,091; Fcalc. = 15,22; Prob.(5%) = 0,0007; Teste t(5%) = 3,901
9
QMe = 0,074; Fcalc. = 9,724; Prob.(5%) = 0,0050; Teste t(5%) = 3,118
10
QMe = 0,148; Fcalc. = 5,330; Prob.(5%) = 0,0307; Teste t(5%) = 2,308
11
QMe = 0,243; Fcalc. = 19,53; Prob.(5%) = 0,0002; Teste t(5%) = 4,420
12
QMe = 0,277; Fcalc. = 19,50; Prob.(5%) = 0,0002; Teste t(5%) = 4,415
13
QMe = 0,197; Fcalc. = 25,62; Prob.(5%) = 0,0000; Teste t(5%) = 5,062
1
2
3
4
5
6
7
8
9
10
11
12
13
76
(A)
Dias após emergência
20 40 60 80 100 120 140
% de presença
0
2
4
6
8
10
12
14
Delta Opal
NuOpal
(B)
Dias após emergência
20 40 60 80 100 120
% de presença
0
1
2
3
4
5
6
7
Delta Opal
NuOpal
FIGURA 6. Percentual de presença do total de larvas de Heliothis
virescens em duas cultivares conduzidas na safra 2007/08
(A) e 2008/09 (B). UFGD. Dourados, MS. 2010.
* Erro padrão dos dados originais. Ftab. = 4,3009.
1
QMe = 0,050; Fcalc. = 7,139; Prob.(5%) = 0,0139; Teste t (5%) = 2,672
2
QMe = 0,048; Fcalc .= 5,013; Prob.(5%) = 0,0356; Teste t(5%) = 2,239
3
QMe = 0,032; Fcalc. = 5,500; Prob.(5%) = 0,0284; Teste t(5%) = 2,345
4
QMe = 0,049; Fcalc. = 5,014; Prob.(5%) = 0,0355; Teste t(5%) = 2,239
5
QMe = 0,032; Fcalc. = 5,500; Prob.(5%) = 0,0284; Teste t(5%) = 2,345
1
2
3
4
5
77
(A)
(B)
FIGURA 7. Distribuição de Pectinophora gossypiella capturadas nas armadilhas de
feromônio, dados médios de 2 noites de captura e máximo de captura em
períodos de 15 dias (1ª e quinzena de cada mês) na safra 2007/08 (A) e
2008/09 (B). UFGD. Dourados, MS. 2010.
0
1
2
3
4
5
6
7
Média
Máx.
Média
Máx.
Média
Máx.
Média
Máx.
Média
Máx.
Média
Máx.
1a 2a 1a 2a 1a 2a
Jan Fev Mar
Número de mariposas
Mariposas / 2 noites
0
1
2
3
4
5
Média
Máx.
Média
Máx.
Média
Máx.
Média
Máx.
Média
Máx.
Média
Máx.
1a 2a 1a 2a 1a 2a
Número de mariposas
Mariposas / 2 noites
78
(A)
Dias após emergência
20 40 60 80 100 120 140
úmero de larvas por planta
0
2
4
6
8
10
12
14
16
(B)
Dias após emergência
20 40 60 80 100 120
úmero de larvas por planta
0,0
0,2
0,4
0,6
0,8
1,0
1,2
1,4
1,6
1,8
FIGURA 8. Número médio total de larvas de Pseudoplusia includens por
planta em cultivares conduzidas na safra 2007/08 (A) e 2008/09
(B). UFGD. Dourados, MS. 2010.
* Erro padrão dos dados originais. Ftab. = 4,3009.
1
QMe = 0,204; Fcalc. = 8,889; Prob.(5%) = 0,0068; Teste t (5%) = 2,98
2
QMe = 0,102; Fcalc .= 7,319; Prob.(5%) = 0,0129; Teste t(5%) = 2,705
3
QMe = 3,628; Fcalc. =11,757; Prob.(5%) = 0,0023; Teste t(5%) = 3,428
4
QMe = 0,048; Fcalc. = 5,013; Prob.(5%) = 0,0355; Teste t(5%) = 2,238
5
QMe = 0,032; Fcalc. = 5,500; Prob.(5%) = 0,0284; Teste t(5%) = 2,345
6
QMe = 0,061; Fcalc. = 5,885; Prob.(5%) = 0,0239; Teste t(5%) = 2,425
7
QMe = 0,104; Fcalc. = 4,502; Prob.(5%) = 0,0453; Teste t(5%) = 2,121
8
QMe =0,035 ; Fcalc. = 7,857; Prob.(5%) = 0,0103; Teste t(5%) = 2,803
9
QMe = 0,048; Fcalc. = 5,013; Prob.(5%) = 0,0355; Teste t(5%) = 2,238
3
1
2
1
4
5
6
7
8
9
*
79
Presença de insetos-praga não-alvos
A principal preocupação quanto à tecnologia-Bt, em relação aos insetos-praga
não-alvo, refere-se aos possíveis efeitos diretos e também aos efeitos da redução do
número aplicações de inseticida sobre a dinâmica dessas populações. Quanto aos
insetos-pragas, não-alvo avaliados nas amostragens, não foram observadas diferenças
significativas quanto a distribuição entre as cultivares DeltaOpal
®
e NuOpal
®
.
Para A. gossypii não foram observadas diferenças significativas entre as culturas
quanto à na distribuição das colônias (Figura 9). Em trabalho realizado no norte da
China, Wu e Guo (2003) observaram maior ressurgência de A. gossypii em algodão
convencional, relacionado ao maior número de aplicações para lepidópetos em relação a
cultivar transgênica. No presente trabalho, com número baixo de aplicações para a
cultivar convencional esse fator não teve efeito sobre a população de pulgão-do-
algodoeiro. Ocorreu grande número de aplicações para A. grandis que poderiam
desequilibrar a população de A. gossypii, porém as aplicações foram realizadas após 80
DAE em ambas as cultivares, não ocorrendo, assim, interferência direta sobre a sua
dinâmica populacional dos pulgões que ocorreram no início da cultura (Figura 9).
Em trabalho realizado em casa-de-vegetação, Sujii et. al. (2008) observaram que
a dinâmica populacional de A. gossypii não foi afetada pelo algodão-Bt, comportamento
semelhante encontrado por Zhang et al. (2008) em condição de campo onde a cultivar-
Bt não afetou a presença de A. gossypii. Em trabalho avaliando a capacidade de
penetração de estilete do pulgão-do-algodoeiro, Xue et al. (2009) verificaram que as
primeiras gerações encontraram dificuldade em penetrar o tecido da cultivares-Bt,
porém, nas gerações seguintes ocorreu adaptação e não se verificaram mais diferenças.
Quanto ao A. grandis, nos dois anos de avaliação, a presença foi um fator
marcante, chegando com freqüência ao nível de controle, no caso utilizado 5%, mesmo
com elevado número de aplicações. Por outro lado, não foram observadas diferenças no
nível populacional entre as cultivares estudadas, fato que poderia ocorrer em função da
presença da toxina-Bt ou ainda algum fator presente na cultivar modificada que pudesse
interferir no comportamento de A. grandis (Figura 10).
A maioria dos produtos utilizados para controle de A. grandis apresentam ação
sobre lepidópteros-praga, assim, em condições de alta presença do bicudo-do-
algodoeiro os benefícios da tecnologia-Bt podem ser diminuídos em função de uma
possível supressão resultante do controle do mesmo.
80
(A)
Dias após emergência
20 40 60 80 100 120 140
% total de presença de colônias
0
20
40
60
80
100
Delta Opal
NuOpal
(B)
Dias após emergência
20 40 60 80 100 120
% total de colônias
0
20
40
60
80
100
120
140
Delta Opal
NuOpal
FIGURA 9. Percentual de presença do total de colônias de Aphis
gossypii em cultivares conduzidas na safra 2007/08
(A) e 2008/09 (B). UFGD, Dourados, MS. 2010.
81
(A)
Dias após emergência
20 40 60 80 100 120 140
% de presença
-5
0
5
10
15
20
25
Delta Opal
NuOpal
(B)
Dias após emergência
20 40 60 80 100 120
% de presença
0
5
10
15
20
25
30
35
Delta Opal
NuOpal
FIGURA 10. Percentual de presença de Anthonomus grandis em cultivares
conduzidas na safra 2007/08 (A) e 2008/09 (B). Somatório de
danos de alimentação, oviposição, larvas e adultos. UFGD,
Dourados, MS. 2010.
82
As cultivares DeltaOpal
®
e NuOpal
®
não apresentaram diferenças entre si
quanto à distribuição das populações de B. tabacci e E. heros (Figura 11 e 12). A
mosca-branca, espécie que ainda não possuem nível de controle definido e que sua
presença afeta principalmente a qualidade de fibra pela contaminação por fumagina e
açúcares. No caso do E. heros, o mesmo ataca maçãs em crescimento, podendo
deformá-las prejudicando a formação da fibra.
A área experimental estava cercada pelo cultivo de soja, e a mosca-branca e os
percevejos acabaram migrando para área do cultivo do algodoeiro, aumentando a
presença depois da colheita da soja, quando o E. heros na safra 2007/08 apresentou o
seu pico populacional, sendo realizada uma aplicação específica, enquanto na safra
08/09 a presença foi inferior não necessitando do controle de percevejos-da-soja. Em
diferentes condições de manejo de insetos-praga na Índia Sharma et al. (2006) não
observaram diferenças nas populações de B. tabacci e . viridula no cultivo-Bt e
convencional.
A diminuição de aplicações para lepidópteros-praga alvo em algodão-Bt pode
resultar em alteração da dinâmica de insetos-praga não-alvo, ou seja, populações antes
consideradas de importância secundária podem assumir a condição primária, é o caso de
insetos sugadores Pentatomidae e Miridae (CANNON, 2000; WARD, 2005; LU et al.,
2008; SORIA et al., 2009), nesse sentido WANG et al. (2009) verificaram entre 1999 e
2006, nas regiões produtoras da China, aumento no uso de inseticida para insetos-pragas
secundários, mas em intensidade menor do que a redução oriunda da utilização do
algodão-Bt.
Essa nova conjuntura vai continuar exigindo um monitoramento constante de
insetos-praga, mesmo com o controle de lepidópteros realizado com uso da tecnologia-
Bt, focando a dinâmica da população de insetos-praga não alvo.
83
(A)
Dias após emergência
20 40 60 80 100 120 140
% de presença
0
20
40
60
80
100
120
Delta Opal
NuOpal
(B)
Dias após emergência
20 40 60 80 100 120
% de presença de adulto
0
20
40
60
80
100
120
Delta Opal
NuOpal
FIGURA 11. Percentual de presença de adultos de Bemisia tabaci em
cultivares conduzidas nas safras 2007/08 (A) e 2008/09
(B). UFGD, Dourados, MS. 2009.
84
(A)
Dias após emergência
20 40 60 80 100 120 140
% de presença
0
2
4
6
8
10
(B)
Dias após emergência
20 40 60 80 100 120
% de presença
0
2
4
6
8
10
FIGURA 12. Percentual de presença de adultos de Euschistus. heros em
duas cultivares conduzidas na safra 2007/08 (A) e 2008/09
(B). UFGD, Dourados, MS. 2010.
85
Presença de Ácaros
A presença de P. latus e T. urticae na safra 2008/09 foi mais elevada em relação
à safra 2007/08 (Figura 13 e 14), fato condicionado ao clima seco e quente
principalmente nos meses de janeiro e fevereiro. Em algumas avaliações observaram-se
diferenças na população de T. urticae entre as cultivares avaliadas, porém, ocorrendo
alternância entre as cultivares, não tendo um padrão de resposta na dinâmica
populacional em relação aos tratamentos. Procurou-se durante a condução dos trabalhos
um manejo de inseticidas que não afetasse, principalmente, a dinâmica dos
lepidopteros-praga, assim, na primeira safra, foi utilizado enxofre inorgânico em
aplicações contra ácaros para não afetar a população de A. argillaceae presente na
cultivar convencional, pois, o produto mais empregado no controle de T. urticae e P.
lattus apresenta ação sobre lepidópteros.
Avaliando a população de ácaro em cultivar-Bt, Ma et al. (2006) não verificaram
efeito da cultivar-Bt sobre população de ácaros e, salientam ainda, o seu potencial de
dano tanto no cultivo convencional e modificado, sendo os acaricidas ferramentas
importantes no manejo. O uso de controle químico constitui situação que merece
atenção em estudos com plantas geneticamente modificadas resistentes a insetos,
especialmente no manejo das plantas convencionais, para isolar os fatores de
interferência na dinâmica da população de insetos-praga e ácaros, no sentido de validar
as comparações.
86
(A)
Dias após emergência
20 40 60 80 100 120 140
% de presença
0
5
10
15
20
25
(B)
Dias após emergência
20 40 60 80 100 120 140
% de presença
-5
0
5
10
15
20
25
30
35
FIGURA 13. Percentual de presença de Polyphagotarsonemus latus
em cultivares conduzidas na safra 2007/08 (A) e
2008/09 (B). UFGD, Dourados, MS. 2010.
87
(A)
Dias após emergência
20 40 60 80 100 120 140
% de presença
0
10
20
30
40
50
60
(B)
Dias após emergência
20 40 60 80 100 120
% de presença
0
5
10
15
20
25
30
FIGURA 14. Percentual de presença de Tetranichus urticae em cultivares
conduzidas na safra 2007/08 (A) e 2008/09 (B). UFGD, Dourados,
MS. 2010.
88
COCLUSÕES
As cultivares não interferiram no comportamento de oviposição de adultos de
lepidópteros.
A cultivar transgênica resistente a insetos foi eficiente no controle de insetos-
praga alvo presentes na área experimental;
Quanto aos efeitos da cultivar NuOpal
®
sobre a população de insetos-praga não-
alvo, foi observado apenas supressão sobre P. includens.
89
REFERÊCIAS BIBLIOGRÁFICAS
ANDERSON, P.; ALBORN, H. Effects on oviposition behavior and larval development
of spodoptera littoralis by herbivore-induced changes in cotton plant. Entomology
Experimentalis et applicata, v. 92, n. 1, p. 45 – 51, 1999.
BENNETT, R.; ISMAEL, Y.; MORSE, S.; SHANKAR, B. Reductions in insecticides
use from adotion of Bt cotton in South Africa: impacts on economic performance and
toxic load to the environment. Journal of Agricultural Science, v. 142, n.6, p. 665
674, 2004.
CANNON, R. J. C. Bt transgenic crops: Risks and benefits. Integrated Pest
Management Review, v. 5, n. 3, p. 151 – 173, 2000.
DEGRANDE, P.E. Guia prático de controle das pragas do algodoeiro. Dourados:
UFMS. 60p. 1998.
GORE, J.; LEONARD, B. R.; ADAMACZYK, J. J. Bollworm (Lepidoptera:
Nuctuidae) survival on “Bollgard” and “Bollgard II” cotton flowers bud and flowers
components. Journal of Economic Entomology, v. 94, n. 6, p. 1445 – 1451, 2001.
HILLOCKS, R. J. Is there a role for Bt cotton in IPM for smallholders in Africa?
Internacional Journal of Pest Management, v. 51, n. 2, p. 131 -141. 2005.
HUESING, J. e ENGLISH, L. The impact of Bt crops on the developing word. The
Journal of Agrobiotechnology Management e Economics, v. 7, n. 1/2, p. 80 85,
2004. Disponível em: <http://www.agbioforum.org/>. Acesso em: 08 fev. 2010.
LU, Y. H.; QIU, F.; FENG, H.Q.; LI, H. B.; YANG, Z. C.; WYCKHUYS, K. A. G.;
WU, K. M. Species composition and seasonal abundance of pestiferous plant bugs
(Hemiptera: Miridae) on Bt cotton in China. Crop Protection, v. 27, n. 3/5, p. 465
472, 2008.
MA, X.; LUI, X.; ZHANG, Q.; LI, J.; REN, A. Impact of transgenic Bacillus
thuringiensis cotton on a non-target pest Tetranychus spp. in northern China. Insect
Science, v. 13, n. 4, p. 279 – 286, 2006.
MORSE, S.; BENNET, R. M.; ISMAEL, Y. Gennetically modified insect resistance in
cotton :some farm level economic impacts in India. Crop Protection, v. 24, n. 5, p. 433
– 440, 2005.
MUSTAPHA, F. A. J., MASAYA, M., YOSHITO S. Oviposition preference and
reproductive performance of Japanese Helicoverpa armigera (Hübner) (Lepidoptera:
Noctuidae). Applied Entomololy and Zoology, v.36, n.4, p. 419–426, 2001.
90
PURCELL, J. P.; PERLAK, F. J. Global impact of insect-resistant (Bt) cotton. The
Journal of Agrobiotechnology Management e Economics, v. 7, n. 1/2, p. 27 -30,
2004. <http://www.agbioforum.org/>. Acesso em: 08 fev. 2010.
SHARMA, H. C.; PAMPAPATHY, G. Influence of transgenic cotton on the relative
abundance and damage by target and no target insect pests under different protection
regimes in India. Crop Protection, v. 25, n. 8, p. 800 – 813, 2006.
SHARMA, H. C.; SHARMA, K. K.;SEETHARAMA, N.; ORTIZ, R. Prospect for usin
transgenic resistence to insect in crop improvement. Eletronic Journal of
Biotechnology, v.3, n.2, p 76-95, 2000.
SIVASUPRAMANIAM, S.; MOAR, W. J.; RUSCHKE, L. G.; OSBORN, J. A.;
JIANG, C.; SEBAUGH, J. L.; BROWN, G. R.; SHAPPLEY, Z. W.; OPPENHUIZEN,
M. E. MULLINS, J. W.; GREENPLATE, J. T. Toxicity and characterization of cotton
expressing Bacillus thuringiensis Cry1Ac and Cry2Ab2 proteins for control of
lepidopteran pests. Journal of Economic Entomology, v. 101, n. 2, p. 546 – 554, 2008.
SOMERFORD, D. .; SOLOMON, W. L. Growth of wild Pseudoplusia includes
(Lepidoptera: Nuctuidae) larvae collected from Bt and non-Bt cotton. Florida
Entomologist, v. 83, n. 1, p.354 -357, 2000.
SORIA, M. F.; THOMAZONI, D.; MARTINS, R. R.; DEGRANDE, P. E.. Stink bugs
incidence on Bt cotton in Brazil. In: Beltwide Cotton Conferences, 2009, San Antonio,
TX, EUA. Beltwide Cotton Conferences Proceedings, 2009.
SRINIVASAN, R., UTHAMASAMY, S., TALEKAR, N. S. Characterization of
oviposition attractants of Helicoverpa armigera in two solanaceous plants, Solanum
viarum and Lycopersicon esculentum. Current Science, v. 90, n. 6, p. 846 – 850, 2006.
SUJII, E. R.; TOGNIN, P. E. B.; NAKASU, E. Y. T.; PIRES, C. S. S.; PAULA, D. P.;
FONTES, E. M. G. Impacto do algodoeiro Bt na dinâmica populacional do pulgão-do-
algodoeiro em casa de vegetação. Pesquisa Agropecuária Brasileira, v.43, n. 10, p.
1251- 1256, 2008.
TINDALL, K. V.; SIEBERT, M. W..; LEONARD, B. R.; ALL, J.; HAILE, F. J.
Efficacy of Cry1Ac:Cry1F proteins in cotton leaf tissue against fall armyworm, beet
armyworm, and soybean looper (Lepidoptera: Nuctuidae). Journal of Economic
Entomology, v. 102, n. 4, p. 1497- 1505, 2009.
TORRES, J. B., RUBERSON, J. R. Spatial and temporal dynamics of oviposition
behavior of bollworm and three of its predators in Bt and non-Bt cotton fields.
Entomologia Experimentalis et Applicata, v. 120, n. 1, p. 11–22, 2006.
WAN, P.; WU, K. M.; HUANG, M. S. Seasonal pattern of infestation by pink bollworm
Pectinophora gossypiella (Saunders) in field plots of Bt transgenic cotton in the Yangtze
River Valley of China. Crop Protection, v. 23, n.5, p. 463–467, 2004.
91
WANG, Z.; LIN, H.; HUANG, J.; HU, R.; ROZELLE, S.; PRAY, C. Bt cotton in
China: are secondary insect infestations offsetting the benefits in farmer field?
Agricultural Sciences in China, v. 8, n. 1, p. 83 -90, 2009.
WARD, A. L. Development of a treatment threshold for sucking insects in determinate
Bollgard II transgenic cotton grow in winter production areas. Australia Journal of
Entomology, v. 44, n. 3, p. 310 – 315, 2005.
WILSON, W.D.; FLINT, H.M.; DEATON, R.W.; FISCHHOFF, D.A.;PERLAK, F.J.;
AMSTRONG, T.A.; FUCHS, R.L.; BERBERICH, S.A.; PARKS, N.J.;STAPP, B.R.
Resistence of cotton lines containing a Bacillus thuringiensis toxin to pink bollworm
(Lepidóptera: Glelechiidae) and other insects. Journal of Economic Entomology, v.85,
n.4, p.1516-1521, 1992.
WU, K. GUO, Y. Influences of Bacillus thuringiensis Berliner cotton planting on
population dynamic of the cotton aphid, Aphis gossypii Glover, in Northern China.
Environmental Entomology. v.32, n. 2, p.312 – 318, 2003.
XUE, K.; WANG, X. Y.; HUANG, C.; WANG, R.; LIU, B.; YAN, F.; XU, C. Stylet
penetration behaviors of the cotton aphid Aphis gossypii on transgenic Bt cotton. Insect
Science, v. 16, n. , p. 137 – 146, 2009.
YAN, M., BENGSTSSON, M., ANDERSON, P; ANSEBO, L.; XU, C.; WITZGALL,
P. Antennal response of cotton bollworm (Heliocoverpa armigera) to volatiles in
transgenic Bt cotton. Journal of Applied Entomology, v. 128, n. 5, p. 354-357, 2007.
ZHANG, G.; WAN, F.; MURPHY, S. T.; GUO, J.; LIU, W. Reprodutive biology of
two nontarget insect species, Aphis gossypii (Homoptera: Aphifidae) anda Orius sauteri
(Hemiptera: Anthocoridae), on Bt and non-Bt cotton cultivars. Environmental
Entomology: v. 37, n.3, p. 1035 – 1042, 2008.
92
COSIDERAÇÕES FIAIS
Os resultados aqui discutidos levam em conta a expressão de apenas uma toxina,
Cry1Ac, presente na cultivar NuOpal
®
sendo que a segunda geração da tecnologia com
a presença da toxina Cry1Ac e Cry2Ab2 estará disponível comercialmente aos
produtores brasileiros na safra 2010/2011, onde teremos um controle adicional da S.
frugiperda e P. includens. Aspectos metodológicos aqui analisados servirão como
indicativo para estudos sobre adoção de novas gerações do algodoeiro-Bt no Brasil
focando características regionais, dinâmica de insetos-pragas não-alvo e a presença do
bicudo-do-algodoeiro nas regiões produtoras.
Livros Grátis
( http://www.livrosgratis.com.br )
Milhares de Livros para Download:
Baixar livros de Administração
Baixar livros de Agronomia
Baixar livros de Arquitetura
Baixar livros de Artes
Baixar livros de Astronomia
Baixar livros de Biologia Geral
Baixar livros de Ciência da Computação
Baixar livros de Ciência da Informação
Baixar livros de Ciência Política
Baixar livros de Ciências da Saúde
Baixar livros de Comunicação
Baixar livros do Conselho Nacional de Educação - CNE
Baixar livros de Defesa civil
Baixar livros de Direito
Baixar livros de Direitos humanos
Baixar livros de Economia
Baixar livros de Economia Doméstica
Baixar livros de Educação
Baixar livros de Educação - Trânsito
Baixar livros de Educação Física
Baixar livros de Engenharia Aeroespacial
Baixar livros de Farmácia
Baixar livros de Filosofia
Baixar livros de Física
Baixar livros de Geociências
Baixar livros de Geografia
Baixar livros de História
Baixar livros de Línguas
Baixar livros de Literatura
Baixar livros de Literatura de Cordel
Baixar livros de Literatura Infantil
Baixar livros de Matemática
Baixar livros de Medicina
Baixar livros de Medicina Veterinária
Baixar livros de Meio Ambiente
Baixar livros de Meteorologia
Baixar Monografias e TCC
Baixar livros Multidisciplinar
Baixar livros de Música
Baixar livros de Psicologia
Baixar livros de Química
Baixar livros de Saúde Coletiva
Baixar livros de Serviço Social
Baixar livros de Sociologia
Baixar livros de Teologia
Baixar livros de Trabalho
Baixar livros de Turismo