Download PDF
ads:
JENNIFFER APARECIDA SCHNITZER
EXTRATO PIROLENHOSO NO CULTIVO DE ORQUÍDEAS
LONDRINA
2009
ads:
Livros Grátis
http://www.livrosgratis.com.br
Milhares de livros grátis para download.
JENNIFFER APARECIDA SCHNITZER
EXTRATO PIROLENHOSO NO CULTIVO DE ORQUÍDEAS
Dissertação apresentada ao Programa de
Pós-Graduação em Agronomia da
Universidade Estadual de Londrina para
obtenção do título de Mestre.
Orientador: Prof. Dr. Ricardo Tadeu Faria.
Co-orientador: Prof. Dr. Maurício Ursi Ventura
LONDRINA
2009
ads:
Catalogação na publicação elaborada pela Divisão de Processos Técnicos da
Biblioteca Central da Universidade Estadual de Londrina.
Dados Internacionais de Catalogação-na-Publicação (CIP)
JENNIFFER APARECIDA SCHNITZER
EXTRATO PIROLENHOSO NO CULTIVO DE ORQUÍDEAS
Dissertação apresentada ao Programa de Pós-
Graduação em Agronomia da Universidade
Estadual de Londrina para obtenção do título
de Mestre
Aprovada em: 10/03/2009
COMISSÃO EXAMINADORA
Profa. Dra. Lúcia Sadayo Assari Takahashi UEL
Profa. Dra. Conceição Aparecida Cossa UENP /FFALM
Prof. Dr. Deonisio Destro UEL
Prof. Dr. Anésio Bianchini IAPAR
Prof. Dr. Mauricio Ursi Ventura
Co - orientador
Universidade Estadual de Londrina
DEDICATÓRIA
Aos meus pais Geraldo e Marli
ao meu noivo Fábio
AGRADECIMENTOS
A Deus, por tudo que ele me proporcionou a cada dia, pela capacidade de resolver
todos os problemas e pela luz de transformar as dificuldades em lições para
apreender a viver melhor.
Aos meus pais Geraldo e Marli, por todo incentivo, dedicação e amor, nos quais
busquei forças para que nunca desistisse dos meus ideais, palavras não são
suficientes para expressar a minha gratidão e respeito.
Ao meu noivo Fábio que em todo esse período, esteve ao meu lado, com paciência,
me incentivando e me fortalecendo. Nas horas de tristeza, me apoiava e me
confortava, e nas horas de felicidade, os gestos de amor por mim.
Ao meu irmão Jonathan que sempre me apoia, me incentiva e me faz ver que tudo é
possivél com seu otimismo.
A minha irmã Josiana pela grande ajuda na avaliação do experimento.
Ao orientador Dr. Ricardo Tadeu de Faria, pela orientação, apoio, incentivo, pela
confiança, amizade e sabedoria que foram essenciais na formação de meu
conhecimento, por me conceder a oportunidade de crescimento.
Ao Co-orientador Dr. Maurício Ursi Ventura pela honra em permitir o acesso a seus
ensinamentos, pelo seu apoio desde o início desta pesquisa. Agradeço pela
confiança, orientação, amizade e colaboração em todos os momentos.
A pesquisadora Cíntia Carla Niva do Centro Nacional de Pesquisa de Florestas –
EMBRAPA, que confiavelmente me cedeu material científico com informações
importantes para esta pesquisa.
A coordenação do curso de Pós-Graduação pela oportunidade e pelo apoio durante
o período de realização dos trabalhos.
A todos os professores do curso de Pós-Graduação em Agronomia que através de
seus conhecimentos e esforços colaboraram para o meu crescimento.
Em especial a Dra. Inês Cristina de Batista Fonseca, pela grande ajuda na parte
estatística do trabalho, pelas sugestões e amizade.
Ao Dr. Osmar Rodrigues de Brito pela amizade, pelos ensinamentos e
acompanhamento nas análises químicas.
Aos integrantes da banca examinadora Dra. Lúcia Sadayo Assari Takahashi, Dra.
Conceição Aparecida Cossa, Dr. Deonisio Destro e Dr. Anésio Bianchini pela
disponibilidade na avaliação deste trabalho.
Em especial a Dra. Conceição Aparecida Cossa, que admiro muito, sempre será pra
mim um exemplo a seguir, pela sua sabedoria e principalmente pelo seu brilhante
trabalho.
Em especial a Dra. Lúcia Sadayo Assari Takahashi pelas dicas, sugestões e
amizade.
À secretária de Pós-graduação da Agronomia, Weda Aparecida Westin, pela
competência que exerce em seu trabalho, pelo apoio durante o curso e pela
amizade.
As amigas, Su Mei Ju e Lílian Yukari Yamamoto que trabalharam comigo durante a
condução deste e de muitos outros trabalhos de pesquisa na UEL, pela grande
ajuda e principalmente pela amizade.
As amigas Adriane Marinho de Assis e Lílian Keiko Unemoto pelas preciosas
sugestões e dicas, pelo apoio e amizade.
A todos os colaboradores do Laboratório de Fitotecnia em especial, Geraldo Lopes
da Silva, José Vicentini Neto (seu Bié), Idael Jerônimo da Silva (Irmão) e Cícero
Carreteiro Hernandes pelos cuidados e auxilio no experimento.
Aos amigos e estagiários do Laboratório de Solos da Universidade Estadual de
Londrina especialmente ao técnico João Machado dos Santos, Dr. Nagib Melem e
Georggia Portugal pelo auxílio nas análises químicas e pela amizade.
A todos os amigos de trabalho do Laboratório de Micologia do Instituto Agronômico
do Paraná (IAPAR), pela amizade, sugestões e apoio.
As bibliotecárias da Biblioteca Central da Universidade Estadual de Londrina,
Cidinha Mariani e Fátima Accorsini pela simpatia, disposição e auxílio na correção
das normas.
A todos que, de uma forma ou de outra colaboraram para a conclusão de mais uma
etapa de minha vida e merecem meu profundo agradecimento.
Não podemos fazer grandes coisas na
Terra. Tudo o que podemos fazer são
pequenas coisas com muito amor.
Madre Teresa de Calcutá
SCHNITZER, Jenniffer Aparecida. Extrato pirolenhoso no cultivo de orquídeas.
2008. 59 f. Dissertação de Mestrado em Agronomia – Universidade Estadual de
Londrina, Londrina, 2008.
RESUMO
A utilização do extrato pirolenhoso no cultivo de plantas tem como finalidade a
melhoria do desenvolvimento vegetativo. O efeito da utilização de diferentes doses
de extrato pirolenhoso no desenvolvimento vegetativo de duas orquídeas do gênero
Cattleya foi estudado em casa de vegetação. Utilizaram-se plantas de Cattleya
intermedia Lindl e Cattleya loddigesii Lindl, cultivadas em vasos contendo substrato
composto de fibra de coco, casca de pinus, casca de arroz carbonizada (1:1:1 v/v/v).
As regas foram realizadas manualmente, em intervalos de duas vezes por semana
no período do outono e inverno e três vezes por semana na primavera e verão. Os
tratamentos foram: T - 0% (sem extrato pirolenhoso), T1 – 0,1%, T2 – 0,2%, T3 –
0,3%, T4 – 0,4%, T5 – 0,5 % e T6 - 0,6%, valores que correspondem a 0, 1, 2, 3, 4,
5 e 6 mL. L
-1
respectivamente. Os tratamentos foram realizados através da diluição
do extrato pirolenhoso concentrado em água e aplicação de 50 mL por vaso a cada
30 dias. Após 12 meses do inicio do experimento foram avaliadas as seguintes
variáveis: altura da parte aérea (APA), número de brotos (NB), número de folhas
(NF), número de pseudobulbos (NP), comprimento da maior raiz (CMR), número de
raízes (NR), comprimento da maior folha (CMF), massa fresca total (MFT), massa
seca da parte aérea (MSPA), massa seca da raiz (MSR) e potencial hidrogeniônico
do substrato (pH). A análise química foliar foi realizada para os seguintes elementos:
Cálcio (Ca), Magnésio (Mg), Fósforo (P), Potássio (K) e Nitrogênio (N). O extrato
pirolenhoso foi eficaz no cultivo das espécies Cattleya intermedia Lindl., e Cattleya
loddigesii Lindl. A dose de extrato pirolenhoso (EP) recomendada para a espécie
Cattleya intermedia esta na faixa de 0,3 a 0,4% (3 a 4 mL.L
-1
) e.para Cattleya
loddigesii Lindl., a melhor dose foi de 0,6% (6 mL.L
-1
). A aplicação da dose 0,3% de
EP na espécie Cattleya intermedia Lindl., promoveu um aumento no número de
brotos, sendo essa variável a característica mais valorizada no cultivo das
orquídeas porque garante o aumento do número de flores.
Palavras-chave: Ácido pirolenhoso. Cattleya. Líquido Pirolenhoso. Orchidaceae.
Vinagre de Madeira.
SCHNITZER, Jenniffer Aparecida. Pyroligneous extract in the culture of orchids.
2008. 59 f. Dissertation (Master’s Degree in Agronomy) – Universidade Estadual de
Londrina, Londrina, 2008.
ABSTRACT
The use of pyroligneous extract in the cultivation of plants is improvement of
development. The effect of the use of different shot of pyroligneous extract in
vegetative of two orchids of the gender Cattleya was studied in greenhouse. Used
plants Cattleya intermedia Lindl and Cattleya loddigesii Lindl, grown in pots
containing substrate composite coconut fibre, husk pinus, carbonized rice husk (1: 1:
1 v/v/v). The irrigation were carried out manually, every twice weekly in autumn and
winter and three times a week in spring and summer. Following treatments: T0 - 0%
(no pyroligneous extract), T1 - 0.1%, T2 – 0.2%, T3 – 0.3%, T4 – 0.4%, T5 0.5% and
T6 - 0.6%, these values correspond to 0, 1, 2, 3, 4, 5 and 6 mL.L
- 1
respectively.
Treatments were achieved by the dilution of pyroligneous extract concentrated on
water and application of 50 mL per vase each 30 days. After 12 months from the
beginning of the experiment were evaluated the following variables: height of aerial
part (APA), buds number (NB), leaves number (NF), pseudobulbs number (NP),
higher root length (CMR), roots number (NR), higher leaf length (CMF), total fresh
mass (MFT), dry air mass part (MSPA), mass drought root and hydrogenionic
potencial substrate (Ph). Chemical analysis leaf was held for the following elements:
calcium (Ca), magnesium (Mg), phosphorus (P), potassium (K) and nitrogen (N). The
pyroligneous extract was effective in the cultivation of species Cattleya intermedia
Lindl. and Cattleya loddigesii Lindl.. The recommended shot of pyroligneous extract
to the specie Cattleya intermedia Lindl is at the range of 0,3 to 0,4% (0,3 to 0,4 mL.L
-
1
) and for the Cattleya loddigesii Lindl the best shot was 0,6% (0,6 mL.L
-1
). The
application of 0.3% of the EP in species Cattleya intermedia Lindl., promoted an
increase in the number of buds, this variable is the characteristic most valued in the
cultivation of orchids because it ensures an increase of number of flowers
Key-words: Acid pyroligneous. Cattleya. Liquid Pyroligneous. Orchidaceae. Vinager
Wood.
LISTA DE FIGURAS
Figura 1. Esquema de coleta do Extrato Pirolenhoso ...............................................27
Figura 2. Recipiente para decantação do extrato pirolenhoso após coleta...............29
Figura 3. Número de raízes da orquídea Cattleya intermedia Lindl.em diferentes
doses de extrato pirolenhoso ....................................................................................38
Figura 4. Número de folhas da orquídea Cattleya intermedia Lindl., em diferentes
doses de extrato pirolenhoso ....................................................................................39
Figura 5. Comprimento da maior folha da orquídea Cattleya intermedia Lindl., em
diferentes doses de extrato pirolenhoso....................................................................39
Figura 6. Número de pseudobulbos da orquídea Cattleya intermedia Lindl., em
diferentes doses de extrato pirolenhoso....................................................................40
Figura 7 – Plantas de Cattleya intermedia, com doses de extrato pirolenhoso: T0 –
0% EP e T4 – 0,4% EP..............................................................................................40
Figura 8 – Plantas de Cattleya intermedia, com doses de extrato pirolenhoso: T0 –
0% EP e T4 – 0,4% EP..............................................................................................41
Figura 9. Número de brotos da orquídea Cattleya intermedia Lindl., em diferentes
doses de extrato pirolenhoso ....................................................................................41
Figura 10 - Plantas de Cattleya intermedia com doses de extrato pirolenhoso: T0 –
0% EP e T3 – 0,3% EP..............................................................................................42
Figura 11 – Plantas de Cattleya intermedia com doses de extrato pirolenhoso: T0 –
0% EP e T3 – 0,3% EP..............................................................................................42
Figura 12. Massa fresca total da orquídea Cattleya intermedia Lindl., em
diferentes doses de extrato pirolenhoso....................................................................43
Figura 13. Massa seca da parte aérea da orquídea Cattleya intermedia Lindl., em
diferentes doses de extrato pirolenhoso....................................................................43
Figura 14. Massa seca de raízes da orquídea Cattleya intermedia Lindl., em
diferentes doses de extrato pirolenhoso....................................................................44
Figura 15. Teor de nitrogênio foliar da orquídea Cattleya intermedia Lindl.,
em
diferentes doses de extrato pirolenhoso....................................................................44
Figura 16. Altura da parte aérea da orquídea Cattleya loddigesii Lindl., em
diferentes doses de extrato pirolenhoso....................................................................46
Figura 17. Número de raízes da orquídea Cattleya loddigesii Lindl., em
diferentes doses de extrato pirolenhoso....................................................................46
Figura 18. Número de pseudobulbos da orquídea Cattleya loddigesii Lindl., em
diferentes doses de extrato pirolenhoso....................................................................47
Figura 19 - Plantas de Cattleya loddigesii com doses de extrato pirolenhoso: T0 –
0% EP e T6 – 0,6% EP..............................................................................................47
Figura 20. Comprimento da maior folha da orquídea Cattleya loddigesii Lindl.,
em diferentes doses de extrato pirolenhoso..............................................................48
Número de
raízes
Número de
pseudobulbos
Número
de
folhas
Figura 21. Massa fresca total da orquídea Cattleya loddigesii Lindl., em
diferentes doses de extrato pirolenhoso....................................................................48
Figura 22. Massa seca das raízes da orquídea Cattleya loddigesii Lindl., em
diferentes doses de extrato pirolenhoso....................................................................49
Figura 23. Teor de nitrogênio foliar da orquídea Cattleya loddigesii Lindl., em
diferentes doses de extrato pirolenhoso....................................................................49
LISTA DE TABELAS
Tabela 1 - Análise química do Extrato Pirolenhoso (Pirosfértil®) realizada no
Laboratório Laborsolo – Londrina/PR, 2008..............................................................26
SUMÁRIO
1 INTRODUÇÃO.......................................................................................................14
2 REVISÃO DE LITERATURA .................................................................................16
2.1 ASPECTOS ECONÔMICOS........................................................................................16
2.2 FAMÍLIA ORCHIDACEAE...........................................................................................17
2.3 GÊNERO CATTLEYA................................................................................................18
2.4 SUBSTRATOS PARA ORQUÍDEAS .............................................................................19
2.4.1 Xaxim ...............................................................................................................19
2.4.2 Substratos Alternativos.....................................................................................20
2.4.2.1 Fibra de Coco................................................................................................21
2.4.2.2 Casca de Arroz Carbonizada ........................................................................22
2.4.2.3 Casca de Pinus .............................................................................................22
2.5 POTENCIAL HIDROGENIÔNICO (PH)..........................................................................23
2.6 EXTRATO PIROLENHOSO.........................................................................................24
2.6.1 Visão Histórica .................................................................................................24
2.6.2 Produção de Carvão e Extrato Pirolenhoso .....................................................25
2.6.3 Definição e Composição do Extrato Pirolenhoso .............................................25
2.6.4 Coleta do Extrato Pirolenhoso..........................................................................27
2.6.4.1 Purificação do extrato pirolenhoso ................................................................28
2.6.5 Uso do Extrato Pirolenhoso..............................................................................30
3 ARTIGO: EXTRATO PIROLENHOSO NO CULTIVO DE ORQUÍDEAS...............34
3.1 INTRODUÇÃO .........................................................................................................35
3.2 MATERIAL E MÉTODOS ...........................................................................................36
3.3 RESULTADOS E DISCUSSÃO ....................................................................................37
3.3.1 Cattleya intermedia Lindl..................................................................................37
3.3.2 Cattleya loddigesii Lindl....................................................................................45
3.4 CONCLUSÃO..........................................................................................................51
3.5 REFERÊNCIAS........................................................................................................52
REFERÊNCIAS.........................................................................................................54
14
1 INTRODUÇÃO
O setor de flores e plantas ornamentais abrange uma diversidade de
produtos, desde flores de corte frescas ou secas, plantas em vasos, folhagens
frescas ou desidratadas, estacas, enxertos, alporques, substratos para enraizamento
e condução de mudas.
No Brasil, a exploração econômica é ainda muito recente, mas nos
últimos anos, o setor tem apresentado aumento no volume de movimentação
financeira e da demanda interna e exportada. A avaliação global do mercado indica
que o consumo potencial é muito grande, no entanto, o sistema agroindustrial
necessita de maior organização. A falta de integração entre os agentes da cadeia,
limita o desenvolvimento da atividade (OLIVEIRA ; BRAINER, 2007).
As orquídeas (Orchidaceae) estão entre as plantas ornamentais
mais apreciadas e possuem um grande valor comercial principalmente pela beleza
de suas flores. A família Orchidaceae é uma das maiores dentro das angiospermas,
com cerca de 35 mil espécies descritas, o que corresponde a uma grande
diversidade de formas, sendo em sua maioria, do tipo epífita (RUSCHI, 1997).
Algumas espécies de orquídeas encontram-se, atualmente, ameaçadas de extinção,
ou por práticas extrativistas, desempenhadas por colecionadores e comerciantes, ou
pela devastação das matas, seu ambiente natural (COLOMBO et al., 2004).
O gênero Cattleya compreende cerca de setenta espécies, estando
muito presente em todo o território brasileiro e sendo muito cultivado em razão da
beleza e grande tamanho das flores (KÄMPF, 2000).
De acordo com Kämpf (2000), Silva e Silva (1997), Silva (2000),
Souza (2003), a seleção do substrato é fundamental no crescimento e
desenvolvimento da planta, sendo as características mais desejáveis de um
substrato: suporte para a planta, aeração, permeabilidade, poder de tamponamento
para o valor de pH, capacidade de retenção de água e nutrientes.
Os produtores de orquídeas epífitas, até o ano de 2002 utilizavam o
xaxim como substrato, mas devido à exploração predatória e pela samambaiaçu
Dicksonia sellowiana (Hook) estar correndo risco de extinção nos seus habitats
naturais, o xaxim encontra-se na “Lista Oficial de Espécies Ameaçadas de Extinção”
(KÄMPF, 2000).
15
De acordo com estudos efetuados anteriormente por outros
pesquisadores, visando à utilização de substratos alternativos ao xaxim, resultados
satisfatórios foram publicados com o uso da fibra de coco, casca de pinus e casca
de arroz carbonizada (ASSIS et al., 2005; DEMATTÊ ; DEMATTÊ, 1996; REGO et
al., 2000; PEREIRA, 1996). Esses resíduos agrícolas além de serem substratos
alternativos ao xaxim no cultivo comercial de orquídeas, não sendo liberados para a
natureza, contribuem para a preservação do meio ambiente.
Durante o processo de carbonização da madeira ou bambú para a
produção do carvão é obtido um líquido da condensação da fumaça denominado
extrato pirolenhoso, o qual tem demonstrado várias propriedades, como: fertilizante
orgânico, fungicida, repelente e nematicida. Segundo Miyasaka et al. (2006), o
extrato pirolenhoso diluído e aplicado nas plantas, torna-as mais vigorosas,
melhorando a qualidade do produto quanto à coloração, durabilidade após a
colheita, repele pragas e previne algumas doenças.
O presente trabalho teve por objetivo avaliar o efeito de diferentes
doses de extrato pirolenhoso no desenvolvimento vegetativo de duas orquídeas do
gênero Cattleya.
16
2 REVISÃO DE LITERATURA
2.1 ASPECTOS ECONÔMICOS
As orquídeas são geralmente cultivadas pela beleza e fragrância de
suas flores. Embora seu cultivo venha da época de Confucius (c. 551 - 479 a. C), a
sua comercialização teve início na Europa no final do século XVIII. Hoje, uma
indústria moderna envolve centenas de milhares de dólares anualmente em todo o
mundo, principalmente na Ásia, Europa e Estados Unidos (KÄMPF, 2000).
No início do último século, a floricultura constituía-se principalmente
no cultivo de flores em jardins e quintais das residências, onde desempenhava
função paisagística ou, quando colhidas, eram usadas na decoração de interiores. A
pequena produção comercial de flores visava abastecer o mercado em épocas
definidas de intensa demanda como Dia das Mães, Dias dos Namorados, Finados e
Natal.
A área mundial cultivada com flores e plantas ornamentais é
estimada em cerca de 424 mil hectares. O Canadá possui a maior superfície (96.172
ha), a China conta com cerca de 80.000 ha, seguindo-se pela Índia (65.000 ha),
Japão (45.000 ha), Estados Unidos (23.133 ha), Taiwan (9.314 ha), Brasil (8.500
ha), México (8.416 ha) entre outros paises (OLIVEIRA; BRAINER, 2007).
A comercialização das flores e plantas ornamentais brasileiras, com
base no comportamento dos principais mercados atacadistas e empresas
exportadoras, em 2007, podem ser distribuídas na seguinte composição: Região
Sudeste, 78,0%; Região Sul, 13,1%; Região Centro-Oeste, 3,6%; Regiões Norte e
Nordeste, 2,6% e exportações, 2,7% (JUNQUEIRA; PEETZ, 2007).
A floricultura empresarial brasileira vem adquirindo notável
desenvolvimento nos últimos anos e se caracteriza como um dos mais promissores
segmentos da horticultura intensiva no campo do agro negócio nacional. A
sustentação econômica essencial da atividade é garantida pelo vigor do mercado
interno, visto que as exportações, ainda que conquistando sucessivos recordes
observados ao longo da presente década, ainda pouco ultrapassa a cifra de U$ 35
milhões em vendas anuais, ou o equivalente a 2,7% do valor total da produção, com
17
crescentes embarques para a Holanda, EUA, Japão, Espanha, França e mais outros
30 diferentes destinos em todo o mundo (JUNQUEIRA; PEETZ, 2008).
O crescimento atual do agro negócio brasileiro se deve ao alto grau
de desenvolvimento tecnológico que o Brasil atravessa no campo e que o tem
destacado, em nível mundial, com as maiores áreas plantadas e maiores
produtividades para vários produtos agrícolas, além do significativo aumento das
exportações o que tem contribuído para o saldo positivo da nossa balança comercial
(JUNQUEIRA; PEETZ, 2008).
No Estado do Paraná a produção de flores cresceu 237% entre os
anos de 1997 e 2004, correspondendo ao maior crescimento em valores reais no
VBP (Valor Bruto da Produção), com um valor de R$ 33,52 milhões. A região que
mais contribuiu para este incremento foi a Região Metropolitana de Curitiba, na qual
a arrecadação em 2004 chegou a R$ 10,41 milhões, cerca 31% do VBP estadual. A
segunda região que mais arrecadou com a produção de flores foi Cascavel, que
ficou com 23% do total do grupo (R$ 7,72 milhões) e a região de Guarapuava que
ocupa o terceiro lugar com 8%. Nesse período, o número de municípios
paranaenses que têm produção de flores como uma de suas bases econômicas,
passou de 13 para 26 (ANDRETTA, 2006).
Esse crescimento é vivenciado por praticamente todos os setores
dessa atividade, alcançando plantas vendidas como mudas, dúzias ou vasos. Dos
produtos da floricultura do Paraná, a produção de gramas é responsável por mais de
um terço do que é comercializado e chegou a sete milhões de metros cúbicos em
2004. A comercialização de rosas, mudas de árvores para arborização e ciprestes
também teve aumento no Estado (ANDRETTA, 2006).
De acordo com Andretta (2006), o estado do Paraná apresenta
potencial para expansão do mercado de flores, uma vez que ele é praticamente
abastecido pelo mercado de São Paulo.
2.2 FAMÍLIA ORCHIDACEAE
As Orchidaceae representam o grupo mais evoluído da ordem
Liliiflorae e constituem uma das maiores famílias do Reino Vegetal. A família tem
18
características muito especializadas, que lhe confere elevado poder de adaptação a
diferentes ambientes (BENZING; OTT; FRIEDMAN, 1982). Suas flores exibem
particularidades marcantes que desempenham importante papel na atração do
agente polinizador favorecendo a polinização cruzada (DRESSLER, 1993).
No conceito de Olatunji e Nengim (1980), as orquídeas epífitas
representam o grupo de plantas mais especializada sob o ponto de vista ecológico,
visto que requerem adaptações morfológicas e funcionais que permitem sobreviver
em ambientes xerofíticos, garantindo a absorção e a conservação eficiente de
nutrientes e água, além de proporcionar fixação, os pseudobulbos, o velame das
raízes aéreas, a ocorrência de células com barras de espessamento no mesófilo e o
metabolismo CAM são adaptações estruturais e fisiológicas altamente eficientes na
biologia destas plantas (OLIVEIRA; SAJO 1999; SCATENA ; NUNES 1996).
Embora suas flores apresentem uma estrutura relativamente
uniforme, a organização de suas partes vegetativas é notavelmente diversa
(DRESSLER 1993), contribuindo para aumentar a variedade de formas de
crescimento (PABST; DUNGS 1975) e conferindo à família um alto poder de
adaptação a diferentes ambientes, particularmente ao aéreo (BENZING; OTT;
FRIEDMAN, 1982).
2.3 GÊNERO CATTLEYA
O gênero Cattleya tem uma distribuição geográfica desde o
hemisfério norte (México) passando pela América Central até a América do Sul,
onde ocorre em maior número de espécies, é o gênero mais vistoso e popular de
orquídeas, devido à magnífica aparência de suas flores. Como toda orquídea, sua
flor é formada por três sépalas e três pétalas, sendo uma modificada que recebe o
nome do labelo. As pétalas e sépalas possuem, em geral, a mesma cor e o labelo é
a parte mais atraente e a mais colorida da flor. São caracterizadas por terem quatro
políneas e apresentarem quarenta cromossomos. Apresentam pseudobulbos
resistentes e grossos que sustentam as folhas (MILLER; WARREN, 1996).
São plantas epífitas que vivem nas árvores das matas e necessitam
de oxigênio e muita umidade para sobreviver. Retiram seus nutrientes dos materiais
19
orgânicos depositados no tronco. O seu habitat natural são as florestas subtropicais
e tropicais e nas pedras na zona temperada. A espécie possui características
especializadas como elevado poder de adaptação a diferentes ambientes
(DEMATTÊ; DEMATTÊ, 1996).
A espécie Cattleya loddigesii é nativa do Brasil, encontrada nos
estados do Rio de Janeiro, São Paulo, Paraná e Minas Gerais e a Cattleya
intermedia é dos estados do sul do Brasil, principalmente Rio Grande do Sul e Santa
Catarina, mas também ocorre no litoral do Rio de Janeiro e São Paulo (SILVA,
1979).
2.4 SUBSTRATOS PARA ORQUÍDEAS
No cultivo de plantas ornamentais, incluindo as orquídeas, o
substrato ideal deve estar disponível em grande quantidade, ser de fácil manuseio e
de custo reduzido. O substrato exerce uma fundamental importância no crescimento
e desenvolvimento das plantas. O material deve ter alta estabilidade de estrutura, a
fim de evitar compactação, alto teor de fibras resistentes à decomposição, para
evitar a compostagem no vaso, e estar livre de agentes causadores de doenças,
pragas e propágulos de ervas daninhas (KÄMPF, 2000).
Segundo Kämpf (2000), o substrato deve ser poroso, para permitir
trocas gasosas eficientes, evitando falta de ar para a respiração das raízes e para
atividade dos microorganismos do meio. De acordo com Coutinho e Carvalho
(1983), o substrato apropriado deve ser de baixa densidade, rico em nutrientes,
composição química equilibrada e física uniforme, com boa aeração e drenagem,
boa coesão entre as partículas e raízes e provido de boa flora bacteriana.
2.4.1 Xaxim
O xaxim, substrato preferido da maioria dos orquidófilos brasileiros,
é formado pelas raízes adventícias de algumas samambaias das famílias
20
Dicksoniaceae e Cyatheaceae. Normalmente é utilizado na forma de fibras; quando
usado como substrato dura cerca de três a quatro anos. O xaxim desfibrado é obtido
mediante o desfibramento do caule da “samambaiaçu” (samambaia gigante). Esse
substrato é considerado excelente para o cultivo de orquídeas, pois retém grande
quantidade de água, conservando-se úmido por longo tempo (DEMATTÊ;
DEMATTÊ, 1996; OLIVEIRA, 1993; SILVA, 1986).
No Brasil, as plantas fornecedoras de xaxim, como a samambaiaçu
(Dicksonia sellowiana Hook), são retiradas de forma predatória da Mata Atlântica. A
espécie encontra-se em processo de extinção, devido ao extrativismo desenfreado,
apesar da legislação do meio ambiente em vigor. Essa planta leva dezoito anos para
atingir o estádio ideal para a extração e, no momento, não existe plantio visando à
produção comercial (LORENZI; SOUZA, 1996). Em 1992, devido ao extrativismo, foi
criada no Rio Grande do Sul, a lei 9.519 que proíbe a extração do xaxim em
florestas nativas (GONÇALVES, 1992; KÄMPF, 2000; STRIGHETA et al., 2002).
A Dicksonia sellowiana Hook está inclusa na Lista Oficial de
Espécies da Flora Ameaçadas de Extinção Portaria/IBAMA n°37-N/92 e COPAM
085/97 e no Apêndice II da Convenção Internacional sobre o Comércio Internacional
de Espécies da Fauna e Flora em Perigo de Extinção (CITES). Conforme a
resolução do CONAMA N°278/2001 a exploração esta proibida até que sejam
estabelecidos critérios técnicos, cientificamente embasados, que garantam a
sustentabilidade da exploração e a conservação genética das populações
exploráveis (INSTITUTO BRASILEIRO DO MEIO AMBIENTE - IBAMA, 2007).
2.4.2 Substratos Alternativos
O uso de substratos alternativos para o cultivo de orquídeas traz
uma série de benefícios à natureza, preservando a “samambaiaçu”, que há muito
tempo vem sendo utilizada no cultivo de orquídeas. No Brasil, há muitos resíduos
agrícolas que podem apresentar as características físicas e químicas ideais para o
cultivo de orquídeas epífitas.
Segundo Silva (1986), existem substratos que podem ser utilizados
para o cultivo de orquídeas, como: raízes de Polypodium (também uma espécie de
21
samambaia), fibra e raízes de Osmunda regalis (samambaia-real), casca de
barbatimão, casca de pínus, fibra de coco e argila expandida.
Faria et al. (2001), verificaram que o xaxim pode ser substituído pela
mistura de vermiculita + carvão e vermiculita + palha de arroz carbonizada no cultivo
da Maxillaria picta.
2.4.2.1 Fibra de Coco
A fibra de coco, de um modo geral, vem sendo progressivamente
utilizada como uma alternativa para minimizar o impacto ambiental. Da indústria de
processamento de coco verde ou maduro origina-se uma quantidade significativa de
resíduos dos quais as cascas de coco maduro são geralmente utilizadas como
combustível de caldeiras ou processadas para o beneficiamento de fibras longas,
curtas ou pó (ROSA et al., 2001). Segundo Neves (2006), a fibra feita a partir de
cocos que sobram da comercialização da água apresentam macro e micro nutrientes
importantes para o crescimento e desenvolvimento da planta; possui várias opções
em vasos e outros formatos à venda. Há versões vendidas sem o excesso de tanino,
substância que pode queimar as raízes. Apresenta durabilidade de cerca de três
anos.
De acordo com os estudos realizados visando substratos
alternativos ao xaxim, resultados satisfatórios são apresentados com a substituição
por coco desfibrado e pela mistura de coco em pó com coco em cubos no cultivo da
orquídea Dendrobium nobile Lindl. (ASSIS et al., 2005). Pereira (1996) obteve bons
resultados com a utilização de casca de coco (Cocos nucifera) como substituto ao
xaxim para: Cattleya granulosa, Cattleya labiata e Oncidium lanceanum. Demattê;
Demattê (1996), concluíram que para retenção de água nos substratos alternativos
ao xaxim, os melhores resultados das orquídeas epífitas foram obtidos com “coxim”
puro e em mistura com carvão vegetal ou casca de Eucalyptus grandis. Segundo
Yamakami et al., (2006), o substrato fibra de coco pode ser considerado substituto
ao xaxim no cultivo do híbrido da orquídea Cattleya labiata X Cattleya forbesii.
22
2.4.2.2 Casca de Arroz Carbonizada
A casca de arroz carbonizada também é uma opção de substrato,
obtida pela carbonização de casca de arroz. É utilizada pura no enraizamento de
estacas (crisântemo e roseiras) ou em mistura com solo mineral, turfa ou composto
orgânico. Tem sido mais utilizada como substrato, pois é estável física e
quimicamente, sendo, assim, mais resistente à decomposição. Apresenta baixa
densidade, baixa capacidade de retenção de água, oferece boa aeração, drenagem
rápida e eficiente e pH em torno da neutralidade (KÄMPF, 2000).
Bernardi et al. (1999), estudaram como substratos alternativos ao
xaxim, a mistura de casca de arroz com vermiculita e carvão, e obtiveram bons
resultados no crescimento da orquídea Oncidium baueri. Segundo Rego et al.
(2000), o xaxim pode ser substituído por casca de pinus + isopor + carvão;
vermiculita + casca de arroz carbonizada + carvão + isopor; casca de pinus; casca
de pinus + carvão no cultivo da orquídea Shomburgkia crispa e casca de pinus +
isopor + carvão para Oncidium sarcodes.
KÄMPF (2000) sugeriu que casca de arroz carbonizada pode ser
utilizada como bom condicionador de substrato, pois apresenta ótima capacidade de
aeração e porosidade total. A única restrição seria com relação ao baixo teor de
água disponível, o que contra-indica o seu uso como um substrato único.
2.4.2.3 Casca de Pinus
A casca de pinus é um produto do beneficiamento de resíduos do
setor madeireiro, extraído da casca da árvore Pinus elliotti. Atua como protetor do
solo em vasos, canteiros e floreiras, sendo muito utilizado também como substrato
para o cultivo de orquídeas. É um produto 100% natural que evita o ressecamento
do solo, protegendo sua microvida. Segundo Neves (2006), a casca de pinus é fácil
de ser encontrada no comércio e retém adubo, entretanto, possui excesso de tanino,
se decompõe rápido; quebra com facilidade; não fixa bem a planta no vaso,
23
necessitando para isso de um tutor e apresentando durabilidade de no máximo um
ano.
Santos e Demattê (2005), avaliando substratos e adubação para
Dendrobium nobile, encontraram alternativas para a substituição do xaxim por pinus
+ carvão + fibra grossa de coco e a fibra grossa de coco pura.
Pela dificuldade de encontrar uma opção que reúna todas as
características necessárias para um bom desenvolvimento das orquídeas, a melhor
solução é unir substratos que permitam o melhor desenvolvimento da planta.
2.5 POTENCIAL HIDROGENIÔNICO (PH)
Uma das propriedades químicas mais importantes do substrato é o
valor de pH (potencial hidrogênionico), que se refere à reação de alcalinidade ou
acidez do meio de cultivo (substrato). Valores inadequados de pH podem causar
desequilíbrios fisiológicos nas plantas afetando a disponibilidade dos nutrientes
(KÄMPF, 2000).
Malavolta (1981) cita que para a maioria das culturas o pH mais
favorável estaria ao redor de 6,5. Para o gênero Cattleya recomenda-se que o valor
do pH encontre-se entre 5,0 – 5,5, porém os valores do pH variam muito entre os
componentes do substrato. Com a decomposição dos substratos em um período
muito longo o pH poderia diminuir devido à liberação do ácido carbônico (KÄMPF,
2000).
24
2.6 EXTRATO PIROLENHOSO
2.6.1 Visão Histórica
Os carvoeiros do Nordeste do Japão conheciam que nas localidades
onde havia fornos de carvão, na primavera ocorria o desabrochamento de orquídeas
e no outono abundante colheita de cogumelos. Após a guerra (1945), quando não
havia adubos, os líquidos coletados das chaminés dos fornos, no inverno eram
aplicados na lavoura como adubo. Na Europa no século XVII havia indústria de
“destilação seca de madeira”, passando a produzir alcatrão e produtos carbonatados
(carbonato de cálcio) (MIYASAKA et al., 2006).
O início a pesquisa experimental ocorreu no Japão em 1893 no
Parque Experimental Nacional, abrindo espaço para estudos e pesquisas de
técnicas construtivas de forno de carbonização, obtendo-se produtos industrializados
como óleo de terebentina e alcatrão. Durante a guerra como parte da política de
emergência nacional, foram utilizados como sucedâneos energéticos e de gasolina.
Fundamentalmente a composição do extrato pirolenhoso não varia. O que varia são
as concentrações de componentes em função da variedade de madeiras, técnicas
de carbonização e tipos de fornos utilizados. Após a guerra (1947) com a edição do
livro “Fabricação e utilização do extrato pirolenhoso” de autoria do Dr. Tatsujiro
Fukuda, que divulgou a eficiência de extrato pirolenhoso na cultura de arroz, na
atuação contra pássaros e pragas, no preparo de compostagem, houve aceitação
por parte dos agricultores. Em 1955, Dr. Toshiro Saigusa levou informações ao meio
rural e cientifico divulgando resultados de estudos e pesquisas na revista da
Sociedade Japonesa de Patologia Botânica. A partir de 1990 diversos especialistas
passaram a publicar artigos e relatórios com o uso do extrato pirolenhoso nas
revistas da Associação Japonesa de Carvoeiros (MIYASAKA et al., 2006).
25
2.6.2 Produção de Carvão e Extrato Pirolenhoso
A utilização do carvão vegetal no Brasil renova-se tecnologicamente,
apoiada na ampla disponibilidade de mão-de-obra e de terras apropriadas à
exploração florestal e, principalmente, no alto rendimento da floresta tropical, vinte
ou trinta vezes superior ao que se pode obter nas regiões temperadas e frias do
Hemisfério Norte. O Brasil produz seis milhões de toneladas anuais de carvão
vegetal. O impacto ambiental da produção do carvão vegetal relativo à poluição
atmosférica é bastante alto em certos locais, principalmente nos vales e em certas
épocas do ano, como no inverno, ainda que se obedeça às condições que regram a
localização dos fornos, o número de fornos por produtor, os mecanismos de
amenização deste problema, como por exemplo, a implantação de cortina vegetal
(ENCARNAÇÃO, 2001).
O estado do Rio Grande do Sul foi quem iniciou a implantação de
sistemas de coleta de fumaça e produção de extrato pirolenhoso, em fornos em
2001, com objetivo de reduzir a quantidade de fumaça lançada na atmosfera e obter
um produto útil para os agricultores no controle e prevenção, principalmente de
insetos, em várias culturas, além de outros benefícios do extrato pirolenhoso. Os
resultados foram positivos, diminuindo aproximadamente 50% da quantidade de
fumaça lançada na atmosfera (avaliação visual) e produção de 24 litros de extrato
pirolenhoso bruto, em um forno de 6,0 m³ de capacidade de madeira
(ENCARNAÇÃO, 2001).
2.6.3 Definição e Composição do Extrato Pirolenhoso
Segundo Guirra (2003), o ácido ou extrato pirolenhoso (EP) é um
subproduto orgânico resultante da condensação da fumaça expelida no processo de
carbonização de madeira ou bambú recém cortado (até seis meses), coletado entre
limites de 80 e 120°C de temperatura. Como o termo ácido pirolenhoso provoca
certo impacto às pessoas que não conhecem o produto, adotou-se o termo extrato
26
pirolenhoso, este produto também é conhecido por líquido pirolenhoso, vinagre de
madeira e licor pirolenhoso.
Conforme Zanetti et al. (2004), o EP é constituído de 800 a 900 cm
3
.
dm
-3
de água e contêm cerca de 200 componentes químicos diferentes,
predominando, quantitativamente, o ácido acético, o metanol, a acetona e os fenóis.
Ao líquido original condensado dá-se o nome genérico de extrato pirolenhoso bruto.
Segundo Miyasaka et al. (2006), o extrato pirolenhoso é composto
de água (proveniente da madeira) e por elementos oriundos da decomposição de
células formadoras de madeira, pelo calor, como: celulose, hemicelulose, lignina,
tanino e outras. Seus componentes não variam; são orgânicos e totalizam cerca de
20% do volume total, dependendo da variedade da madeira, da técnica de
carbonização, sendo o restante água.
A análise química dos elementos que constituem o extrato
pirolenhoso é apresentada na Tabela 1.
Tabela 1 - Análise química do Extrato Pirolenhoso
(Pirosfértil®) realizada no Laboratório
Laborsolo – Londrina/PR, 2008.
Parâmetros Resultados Unidades
Nitrogênio Total 3,5 %N
Potássio Total 0,003 %K2O
Cobre Total 0,09 %Cu
Zinco Total 0,1 %Zn
Cálcio Total 0,16 %Ca
Magnésio Total 0,4 %Mg
Enxofre Total 10,1 %S
Potencial hidrogeniônico 3,5 pH
* ND – Não detectado
27
2.6.4 Coleta do Extrato Pirolenhoso
O processo de extração segundo Miyasaka et al. (2006), ocorre
através da queima de madeira ou bambu (materiais de origem vegetal), ocorrendo
decomposição de suas células pelo calor, produzindo fumaça que se resfria pelo ar,
formando por condensação um líquido denominado extrato pirolenhoso bruto (Figura
1). Apresenta o valor de pH em torno de 3,5 de fraca acidez e coloração amarelada.
Como matérias primas de carbonização utilizam-se árvores de folhas largas como
eucalipto; bambú de todas as espécies, e outras espécies de reflorestamento. O
tempo de estocagem de matérias primas, tanto árvores como bambu, deve ser de
três meses sendo tolerado até seis meses após o corte. Os fornos de carbonização
devem ser construídos exclusivamente de barro e tijolos.
Figura 1 - Esquema de coleta do Extrato Pirolenhoso.
Fonte: (MIYASAKA et al., 2006).
Para se obter um extrato pirolenhoso de boa qualidade, deve-se
observar a temperatura inicial e final de coleta. Cada componente da madeira
apresenta diferente grau de temperatura de decomposição, na fase inicial da
carbonização ocorre decomposição em baixa temperatura, a fumaça contem mais
umidade (água) e formaldeido, não se deve fazer a coleta nesta fase, bem como na
fase final quando a temperatura dos fornos atinge valor acima de 400°C, pois a
28
fumaça apresenta maior taxa de alcatrão, elemento não desejável. A coleta do
extrato pirolenhoso deve ser realizada quando a temperatura atingir a faixa de 80 a
120 °C que é a faixa de temperatura considera a ideal para a coleta. A limitação da
temperatura é para evitar que o extrato pirolenhoso contenha substâncias
cancerígenas. O extrato pirolenhoso bruto após a coleta é submetido a um processo
de redução do teor de alcatrão, óleos leves e demais impurezas. O extrato que
contém alto teor de alcatrão não apresenta transparência, que é uma das
características que indica sua boa qualidade.
A vantagem da utilização do EP na agricultura é o rendimento
elevado de produção, a carbonização de 100 Kg de madeira produz cerca de 8 litros
de extrato pirolenhoso bruto e 25 Kg de carvão. Após a decantação do extrato
pirolenhoso bruto obtém-se 5 litros de EP propriamente dito, que pode ser
comercializado a R$ 6,00/litro, com baixíssimo impacto ambiental, pois os elementos
poluentes da fumaça são condensados, evitando que sejam dispersos na atmosfera.
2.6.4.1 Purificação do extrato pirolenhoso
Os processos de purificação do extrato pirolenhoso são através da
decantação, filtragem ou destilação. A decantação é o processo mais simples,
coloca-se o extrato pirolenhoso em vasilhame (plástico, vidro, aço inoxidável,
porcelana ou qualquer material que não entre em reação com o extrato). O
vasilhame deve ser fundo para facilitar a separação das camadas que se forma após
a decantação, o extrato bruto permanece no mínimo seis meses em decantação,
formam-se de duas a três camadas que não se distinguem nitidamente, de modo
geral a camada escura localizada no fundo é a camada C, onde predomina o
alcatrão, acima na camada B o extrato pirolenhoso; a camada A formada por óleos
leves. O alcatrão que é coletado é utilizado para a fabricação de piche e cicatrizante
bovino e os óleos leves são destinados a indústria farmacêutica. Há casos em que
se formam apenas duas camadas. Neste caso, utiliza-se a parte superior,
eliminando-se a parte inferior (alcatrão). A proporção das camadas é: camada A =
10 – 20% (óleos leves); camada B = 50 – 70% (extrato pirolenhoso); camada C = 20
- 30% (alcatrão), (Figura 2). Estes números variam de acordo com a madeira
29
utilizada, com a temperatura, tipo de forno e as técnicas de carbonização. As
camadas A, B e C do conjunto decantado poderão ser separadas em vasilhames
distintos. A separação das camadas pode ser facilitada com a colocação de
torneiras nos vasilhames, entre uma camada e outra (MIYASAKA et al., 2006).
Figura 2 - Recipiente para decantação do extrato pirolenhoso
após coleta.
Fonte: (MIYASAKA et al., 2006).
De acordo com Miyasaka et al. (2006), a filtragem é utilizada para
melhorar a qualidade do extrato pirolenhoso decantado. Consiste na adição de
carvão ativado em pó ou granulado ao extrato pirolenhoso decantado,
permanecendo em repouso durante dois dias, após retira-se a parte liquida (extrato
pirolenhoso) e o restante pode ser utilizado na agricultura. A destilação do extrato
pirolenhoso decantado pode ser feita sob pressão normal ou pressão reduzida
baseado na diferença do ponto de ebulição de componentes. A temperatura de
destilação deve ser de 115ºC, sendo que os primeiros e os últimos 10% deverão são
descartados, mas poderão ser utilizados na agricultura.
30
2.6.5 Uso do Extrato Pirolenhoso
De acordo com Miyasaka et al. (2006), as qualidades do pirolenhoso
são conhecidas há décadas no Japão e foram difundidas no Brasil por imigrantes
daquele país, reunidos especialmente na Associação de Produtores da Agricultura
Natural (APAN), de São Paulo. Na agricultura convencional, o pirolenhoso também
tem se mostrado útil. Pesquisadores têm observado que, com ele, é possível reduzir
em até 50% o uso de agrotóxicos e de adubos químicos sem perda de eficiência.
O produto, originado de uma técnica japonesa para obtenção de
alcatrão durante a primeira e segunda Guerra Mundial é hoje utilizado pela
agricultura natural. É conhecido e utilizado como condicionador do solo,
bioestimulante vegetal, indutor de enraizamento, repelente de insetos, contribuindo
com a diminuição do uso de agroquímicos na agricultura convencional (MIYASAKA
et al., 2006).
Segundo Miyasaka, Ohkawara e Utsumi (1999), diversas pesquisas
feitas no Japão demonstram que o extrato pirolenhoso repele determinados tipos de
pragas e previne algumas doenças de cultivos, combate infestações de pulgões,
tripes, ácaros, mosca das frutas e outras pragas e ainda funciona como repelente
para pássaros, morcegos e roedores.
De acordo com estudos o extrato pirolenhoso pode ser utilizado para
diversos fins na agricultura, como “fertilizante orgânico” em arroz (ICHIKAWA ; OTA,
1982; TSUZUKI; MORIMTSU; MATSUI, 2000), melão (DU et al., 1997; TSUZUKI et
al., 1993), cana-de-açúcar (UDDIN et al., 1995), sorgo (Sorghum bicolor L.)
(ESECHIE et al., 1998) e batata-doce (Ipomoea batatas L.) (SHIBAYAMA et al.,
1998); nematicida (CUADRA et al., 2000); fungicida (FURTADO et al., 2002; NOIIRA
; ZINNO, 1954) e inseticida (SILVA, 2003).
Segundo Miyasaka, Ohkawara e Utsumi (1999), o extrato
pirolenhoso quando adicionado a extratos vegetais de alho, mucuna, pimenta e nim
melhora o efeito controle de pragas e doenças; quando diluído ao ser pulverizado
sobre a parte aérea das plantas, torna-as mais vigorosas, melhorando a qualidade
do produto quanto ao tamanho, coloração, sabor e durabilidade; quando aplicado ao
solo melhora as suas características físicas, químicas e especialmente biológicas,
proporcionando aumento de microorganismos benéficos, como actinomicetos e
31
micorrizas, facilitando assim a assimilação de nutrientes do solo pela planta; quando
aplicado junto com resíduos ("migalhas") de carvão vegetal, promove aumento no
volume das raízes secundárias, o que melhora a absorção de nutrientes do solo,
proporcionando grande vigor às plantas; quando pulverizado no preparo do
composto orgânico, acelera a decomposição e diminui a emanação de gás
amoníaco.
Produtores, principalmente os ligados à agricultura natural, estão
utilizando o extrato pirolenhoso na produção hortifrutigranjeira, como insumo
agrícola natural (BIOCARBO INDÚSTRIA E COMÉRCIO, 2003). Há indícios de que
as características físicas e químicas, especialmente do conteúdo de substâncias
com potencial quelatizante do extrato pirolenhoso, poderiam potencializar a
eficiência de produtos fitossanitários e a absorção de nutrientes em pulverizações
foliares. De acordo com Ponchio e Ballio (1988), substâncias quelatizantes são
aquelas que impedem reações indesejáveis de um micronutriente metálico em
solução; pela formação de uma estrutura ao seu redor que os modifica
quimicamente, através de ligações covalentes coordenadas com ligantes, formando
uma estrutura anelar heterocíclica. De acordo com Wallace (1956), substâncias
naturais, como ácido cítrico, ácido húmico, aminoácidos e lignossulfonados de
amônio, subprodutos da indústria de polpa de madeira, entre outros, podem ser
utilizados como quelantes naturais, principalmente na pulverização foliar. No que se
refere ao extrato pirolenhoso, existe carência de informações experimentais,
especialmente relacionadas com a avaliação da real capacidade quelante das
substâncias presentes no extrato pirolenhoso (ZANETTI et al., 2004).
No Brasil, poucos são os estudos sobre o uso do extrato pirolenhoso
na agricultura. Segundo Zanetti et al. (2003), para mudas de porta enxertos de
limoeiro “Cravo” as misturas de fino de carvão e substrato comercial contendo fino
de carvão na proporção de 100 cm
3
.dm
-3
não influíram no desenvolvimento, porém,
na proporção de 200 cm
3
.dm
-3
prejudicaram o desenvolvimento. O umedecimento
pré-plantio do substrato com solução diluída (20 cm
3
.dm
-3
) de extrato pirolenhoso ou
pulverização da parte aérea das plantas com soluções a 5 e 10 cm
3
.dm
-3
, provocou
redução do desenvolvimento.
Conforme Zanetti et al. (2004), em mudas de limoeiro “Cravo” a
adição de extrato pirolenhoso a 10 cm
3
.dm
-3
em solução contendo micronutrientes
aumentou a concentração foliar de Cu e Mn na parte aérea e a aplicação foliar de
32
soluções de EP (1 a 10 cm
3
.dm
-3
) + micronutrientes diminuiu a concentração foliar
de Fe e aumentou a de Ca no sistema radicular.
A utilização do extrato pirolenhoso em rega no plantio de alface,
juntamente com o composto orgânico, aumentou a produtividade em 35% em
relação à utilização do composto isoladamente. Na cultura de quiabo, o extrato
pirolenhoso favoreceu a obtenção de frutos de melhor qualidade, expressa em 28%
a mais de frutos de primeira em relação aos demais tratamentos (MASCARENHAS
et al., 2006a, 2006b).
Conforme Roel et al. (2007), os produtos fertilizantes avaliados,
Microgeo, Biofertilizante, EM5, extrato pirolenhoso em alface cultivada com
adubação orgânica, não apresentaram resposta quanto aos valores de massa
fresca, porcentagem de massa seca, teor de umidade nas cultivares Regina e
Verônica.
O extrato pirolenhoso nas concentrações de até 2% não contribuiu
para a melhoria da qualidade das mudas de clone do híbrido de E. grandis e E.
urophylla. O aumento da concentração do extrato pirolenhoso diminuiu o peso da
massa seca da parte aérea (MSPA) e a massa seca de raiz (MSR) das mudas de
clone híbrido de E. grandis e E. urophylla (SILVA et al., 2006).
Segundo Porto, Sakita e Nakaoka (2007), a aplicação do extrato
pirolenhoso na germinação e no desenvolvimento de mudas de Pinus elliottii var.
elliottii não demonstrou diferença significativa na porcentagem de germinação;
porém todos os tratamentos com extrato pirolenhoso tiveram maior desenvolvimento
radicular e foliar.
SILVA et al. (2003), avaliaram o efeito tóxico do extrato pirolenhoso
sobre Atta sexdens rubropilosa Forel, e concluíram que após o período de 48 horas
houve aumento significativo na mortalidade das formigas e que esse efeito se
prolongou até cinco dias após a aplicação do produto. Segundo Santos et al.
(2002), ao utilizarem fragmentos foliares de eucalipto, observaram menor
forrageamento dos fragmentos tratados em relação aos não tratados com o extrato
pirolenhoso não diluído. Concentrações de extrato pirolenhoso entre 0,1% e 2,0%
não provocaram inibição clara do forrageamento de Atta sexdens rubropilosa por
mudas de eucalipto tratadas via pulverização e imersão (SILVA et al., 2005)
Kadota e Niimi (2004) desenvolveram um experimento com plantas
ornamentais: Tagetes patula, Melampodium paludosum, Salvia splendens, Zinnia
33
linearis, avaliando o efeito do carvão vegetal + extrato pirolenhoso (MCP) e carvão +
estrume (MCB) com 0, 10 e 30% (v/v), concluíram que MCP reduziu os dias de
floração de Melampodium paludosum, Salvia splendens e Zinnia linearis,
ocasionando um aumento na taxa de sobrevivência de Salvia splenden e Zinnia
linearis e uma melhoria no crescimento e na qualidade dessas espécies. Para MCB
resultados satisfatórios foram obtidos no tratamento com 10%, aumentando a taxa
de sobrevivência e melhoria na qualidade das mudas de Zinnia linearis.
34
3 ARTIGO: EXTRATO PIROLENHOSO NO CULTIVO DE ORQUÍDEAS
Resumo
A utilização do extrato pirolenhoso no cultivo de plantas tem como finalidade a
melhoria do desenvolvimento vegetativo. O efeito da utilização de diferentes doses
de extrato pirolenhoso no desenvolvimento vegetativo de duas orquídeas do gênero
Cattleya foi estudado em casa de vegetação. Utilizaram-se plantas de Cattleya
intermedia Lindl e Cattleya loddigesii Lindl, cultivadas em vasos contendo substrato
composto de fibra de coco, casca de pinus, casca de arroz carbonizada (1:1:1 v/v/v).
As regas foram realizadas manualmente, em intervalos de duas vezes por semana
no período do outono e inverno e três vezes por semana na primavera e verão. Os
tratamentos foram: T - 0% (sem extrato pirolenhoso), T1 – 0,1%, T2 – 0,2%, T3 –
0,3%, T4 – 0,4%, T5 – 0,5 % e T6 - 0,6%, valores que correspondem a 0, 1, 2, 3, 4,
5 e 6 mL. L
-1
respectivamente. Os tratamentos foram realizados através da diluição
do extrato pirolenhoso concentrado em água e aplicação de 50 mL por vaso a cada
30 dias. Após 12 meses do inicio do experimento foram avaliadas as seguintes
variáveis: altura da parte aérea (APA), número de brotos (NB), número de folhas
(NF), número de pseudobulbos (NP), comprimento da maior raiz (CMR), número de
raízes (NR), comprimento da maior folha (CMF), massa fresca total (MFT), massa
seca da parte aérea (MSPA), massa seca da raiz (MSR) e potencial hidrogeniônico
do substrato (pH). A análise química foliar foi realizada para os seguintes elementos:
Cálcio (Ca), Magnésio (Mg), Fósforo (P), Potássio (K) e Nitrogênio (N). O extrato
pirolenhoso foi eficaz no cultivo das espécies Cattleya intermedia Lindl., e Cattleya
loddigesii Lindl. A dose de extrato pirolenhoso (EP) recomendada para a espécie
Cattleya intermedia esta na faixa de 0,3 a 0,4% (3 a 4 mL.L
-1
) e.para Cattleya
loddigesii Lindl., a melhor dose foi de 0,6% (6 mL.L
-1
). A aplicação da dose 0,3% de
EP na espécie Cattleya intermedia Lindl., promoveu um aumento no número de
brotos, sendo essa variável a característica mais valorizada no cultivo das
orquídeas porque garante o aumento do número de flores.
Palavras-chave: Ácido pirolenhoso, Cattleya, líquido pirolenhoso, Orchidaceae,
vinagre de madeira.
Abstract
The use of pyroligneous extract in the cultivation of plants is improvement of
development. The effect of the use of different shot of pyroligneous extract in
vegetative of two orchids of the gender Cattleya was studied in greenhouse. Used
plants Cattleya intermedia Lindl and Cattleya loddigesii Lindl, grown in pots
containing substrate composite coconut fibre, husk pinus, carbonized rice husk (1: 1:
1 v/v/v). The irrigation were carried out manually, every twice weekly in autumn and
winter and three times a week in spring and summer. Following treatments: T0 - 0%
(no pyroligneous extract), T1 - 0.1%, T2 – 0.2%, T3 – 0.3%, T4 – 0.4%, T5 0.5% and
T6 - 0.6%, these values correspond to 0, 1, 2, 3, 4, 5 and 6 mL.L
- 1
respectively.
Treatments were achieved by the dilution of pyroligneous extract concentrated on
water and application of 50 mL per vase each 30 days. After 12 months from the
beginning of the experiment were evaluated the following variables: height of aerial
35
part (APA), buds number (NB), leaves number (NF), pseudobulbs number (NP),
higher root length (CMR), roots number (NR), higher leaf length (CMF), total fresh
mass (MFT), dry air mass part (MSPA), mass drought root and hydrogenionic
potencial substrate (Ph). Chemical analysis leaf was held for the following elements:
calcium (Ca), magnesium (Mg), phosphorus (P), potassium (K) and nitrogen (N). The
pyroligneous extract was effective in the cultivation of species Cattleya intermedia
Lindl. and Cattleya loddigesii Lindl.. The recommended shot of pyroligneous extract
to the specie Cattleya intermedia Lindl is at the range of 0,3 to 0,4% (0,3 to 0,4 mL.L
-
1
) and for the Cattleya loddigesii Lindl the best shot was 0,6% (0,6 mL.L
-1
). The
application of 0.3% of the EP in species Cattleya intermedia Lindl., promoted an
increase in the number of buds, this variable is the characteristic most valued in the
cultivation of orchids because it ensures an increase of number of flowers
Keywords: Acid pyroligneous, Cattleya, liquid pyroligneous, Orchidaceae, vinager
wood.
3.1 INTRODUÇÃO
O mercado mundial de flores movimenta anualmente US$ 60 bilhões
por ano. O segmento mais significativo é o de flores de corte, seguido de plantas
vivas, bulbos e folhagens (BUAINAIN; BATALHA, 2007).
As orquídeas estão entre as plantas ornamentais mais apreciadas,
pela beleza de suas flores apresentam alto valor comercial, sendo Orchidaceae é
uma das maiores dentro das angiospermas, contendo cerca 35000 espécies
(RUSCHI, 1997).
O extrato pirolenhoso (EP), é obtido durante o processo de
carbonização da madeira ou bambu, para a produção do carvão, a partir de um
líquido formado pela condensação da fumaça durante a queima da madeira na
produção de carvão vegetal é também conhecido como ácido pirolenhoso ou vinagre
de madeira. O EP apresenta cor amarela a marrom avermelhada, compostas, em
sua maior parte, por água e mais de 200 compostos orgânicos, dentre os quais,
ácido acético, álcoois, cetonas, fenóis e alguns derivados de lignina. O extrato
pirolenhoso pode ser obtido de diferentes espécies vegetais, como o bambu, o
eucalipto e o pinus (MAEKAWA, 2002).
Segundo Miyasaka et al. (2006), o extrato pirolenhoso é conhecido e
utilizado como condicionador do solo, bioestimulante vegetal, indutor de
36
enraizamento, repelente de insetos, contribuindo com a diminuição do uso de
agroquímicos na agricultura convencional.
O extrato pirolenhoso pode ser utilizado para diversos fins na
agricultura, como fertilizante orgânico em arroz (ICHIKAWA; OTA, 1982 ; TSUZUKI;
MORIMTSU; MATSUI, 2000), melão (TSUZUKI et al., 1993; DU et al., 1997), cana-
de-açúcar (UDDIN et al., 1995), sorgo (ESECHIE et al., 1998) e batata-doce
(SHIBAYAMA et al., 1998). No Brasil, poucos são os estudos sobre o uso do extrato
pirolenhoso na agricultura: na cultura do limoeiro ‘cravo’ (ZANETTI et al., 2004),
eucalipto (SILVA et al., 2006), alface e quiabo (MASCARENHAS et al., 2006a,
2006b), mudas de pinus (PORTO et al., 2007), alface (ROEL et al., 2007) e orquídea
(Schnitzer et al., 2009).
O presente trabalho teve por objetivo avaliar o efeito de diferentes
doses de extrato pirolenhoso no desenvolvimento vegetativo de duas orquídeas do
gênero Cattleya.
3.2 MATERIAL E MÉTODOS
O experimento foi conduzido no orquidário do Departamento de
Agronomia do Centro de Ciências Agrárias (CCA) da Universidade Estadual de
Londrina (UEL), Londrina –PR, (23º 23’ de latitude Sul e 51º 11’ de longitude Oeste;
altitude média de 566m), no período de maio de 2007 a maio de 2008.
As espécies utilizadas foram: Cattleya intermedia Lindl e Cattleya
loddigesii Lindl, com dois anos de idade, altura média de 12 ± 1,0 cm, provenientes
da propagação in vitro.
As plantas foram cultivadas em telado de polipropileno com retenção
de 50% de fluxo de radiação solar. O plantio foi realizado em vasos plásticos preto
com 15,0 cm de altura e 12,5 cm de diâmetro, contendo uma camada de 3 cm de
pedra brita no fundo do vaso para facilitar a drenagem da água de irrigação.
O substrato utilizado foi constituído de uma mistura de fibra de coco,
casca de pinus e casca de arroz carbonizada em proporções iguais (1:1:1 v/v/v). As
regas foram realizadas manualmente, em intervalos de duas vezes por semana no
período de inverno e três vezes por semana no verão.
37
Os tratamentos foram realizados através da diluição do extrato
pirolenhoso (EP) concentrado (100%), em água e aplicação de 50mL por vaso a
cada 30 dias. O EP foi proveniente da Carvoaria Coroados (Londrina, PR),
utilizando-se madeira de reflorestamento de Eucalyptus grandis W. Hill ex Maiden.
As concentrações de EP utilizadas foram: T - 0% (sem extrato pirolenhoso), T1 –
0,1%, T2 – 0,2%, T3 – 0,3%, T4 – 0,4%, T5 – 0,5 % e T6 - 0,6%, valores que
correspondem a 0, 1, 2, 3, 4, 5 e 6 mL. L
-1
respectivamente.
Um ano após a instalação do experimento foram avaliadas as
seguintes variáveis: altura da parte aérea (APA), número de brotos (NB), número de
folhas (NF), número de pseudobulbos (NP), comprimento da maior raiz (CMR),
número de raízes (NR), comprimento da maior folha (CMF), massa fresca total
(MFT), massa seca parte aérea (MSPA) e massa seca da raiz (MSR).
A análise química foliar dos elementos: Cálcio (Ca), Magnésio (Mg),
Fósforo (P), Potássio (K) e Nitrogênio (N) e a determinação do potencial
hidrogeniônico (pH) do substrato foi realizada conforme SILVA (1999).
O delineamento experimental utilizado foi o inteiramente casualizado
com doze plantas por tratamento. Os dados foram submetidos à análise de
variância, teste de Tukey a 5% e análise de regressão.
3.3 RESULTADOS E DISCUSSÃO
3.3.1 Cattleya intermedia Lindl.
De acordo com o teste de Tukey a 5% para a espécie Cattleya
intermedia as médias da altura da parte aérea (APA), comprimento da maior raiz
(CMR), potencial hidrogeniônico (pH) e as médias referentes aos teores foliares de
fósforo (P), potássio (K), cálcio (Ca) e magnésio (Mg) apresentaram resultados
similares entre os tratamentos, não foi constatado efeito das doses aplicadas de
extrato pirolenhoso (EP).
Foram ajustadas equações de regressão utilizando como variáveis
dependentes a dose de extrato pirolenhoso (EP) aplicada e as características
38
analisadas que apresentaram diferença significativa entre os tratamentos: número
de raízes (NR), número de folhas (NF), comprimento da maior folha (CMF), número
de brotos (NB), número de pseudobulbo (NP), massa fresca total (MFT), massa seca
da parte aérea (MSPA) e massa seca da raiz (MSR).
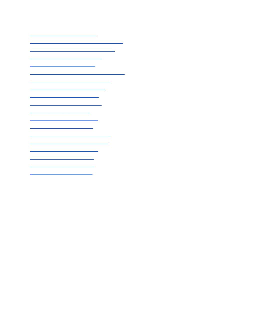
Para a variável número de raízes (NR) o ajuste foi cúbico, expresso
pela equação (y=-685,57x
3
+ 479,59x
2
– 43,676x + 25,768; R
2
= 0,8708), (x = dose
de extrato pirolenhoso aplicada). A melhor dose estimada pela equação foi de 0,42%
de extrato pirolenhoso (EP), que proporcionou um aumento do número de raízes
(Figura 3). O desenvolvimento do sistema radicular é um fator importante para
adaptação e crescimento da planta, o aumento do número de raízes torna as plantas
mais vigorosas e resistentes. Os resultados obtidos corroboram com Porto, Sakita e
Nakaoka (2007), trabalhando com mudas de Pinus elliottii, observaram que todos os
tratamentos com extrato pirolenhoso apresentaram um maior desenvolvimento
radicular e foliar quando comparados ao controle. Dados semelhantes foram
constatados por Uddin et al. (1995), que utilizaram mistura de carvão vegetal e
extrato pirolenhoso e constataram um aumento no desenvolvimento das raízes na
cultura de cana-de-açúcar.
y = -685,57x
3
+ 479,59x
2
- 43,676x + 25,768
R
2
= 0,8708 - Máximo = 0,42 %
0
5
10
15
20
25
30
35
40
45
0,0 0,1 0,2 0,3 0,4 0,5 0,6
Doses de EP (%)
Número de Raízes
Figura 3 - Número de raízes da orquídea Cattleya intermedia Lindl., com diferentes doses de extrato
pirolenhoso.
Na avaliação dos dados referentes ao número de folhas (NF),
considerando-se as sete doses aplicadas de EP, observou-se uma resposta cúbica
das plantas (y= -314,719823x
3
+ 239,437438x
2
– 25,736477x + 17,657701; R
2
=
0,7962). A melhor dose estimada pela equação foi de 0,45% de EP, que
proporcionou um aumento do número de folhas comparado com o número inicial
(Figura 4).
39
y = -314,719823x
3
+ 239,437438x
2
- 25,736477x +
17,657701
R
2
= 0,7962 - Máximo = 0,45 %
0
1
2
3
4
5
6
0,0 0,1 0,2 0,3 0,4 0,5 0,6
Doses de EP (%)
Número de folhas
Figura 4 - Número de folhas da orquídea Cattleya intermedia Lindl., com diferentes doses de extrato
pirolenhoso
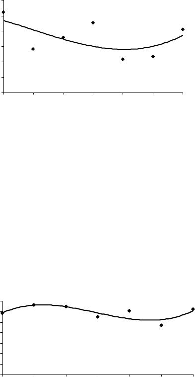
A curva representativa do comprimento da maior folha (CMF),
(Figura 5) pode ser representada pela regressão polinomial linear (y= -3,401908x
13,123852; R
2
= 0,7491) onde se observa um decréscimo de forma linear do
comprimento da maior folha de acordo com as doses aplicadas de EP, na medida
em que se aumenta a dose de EP ocorre à diminuição do comprimento da maior
folha (Figura 5). É provável que o aumento do número de folhas (Figura 4) determine
a diminuição no comprimento das mesmas (Figura 5).
y = - 3,401908x + 13,123852
R
2
= 0,7491
0
2
4
6
8
10
12
14
0,0 0,1 0,2 0,3 0,4 0,5 0,6
Doses EP (%)
Comprimento da maior folha (cm)
Figura 5 - Comprimento da maior folha da orquídea Cattleya intermedia Lindl., com diferentes doses
de extrato pirolenhoso.
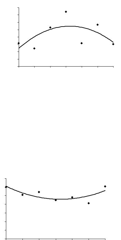
A curva representativa do número de pseudobulbos (NP), (Figura 6)
pode ser representada pela regressão polinomial cúbica, (y=-142,241000x
3
+
101,182008x
2
– 4,675550x + 4,309575; R
2
= 0,7477). A melhor dose estimada pela
equação foi 0,45% de EP, que promoveu um aumento do número de pseudobulbos.
40
O aumento do número de pseudobulbos garante a sustentação das folhas, flores e
causa efeitos benéficos sobre o desenvolvimento vegetativo das plantas estudadas.
y = -142,241000x
3
+ 101,182008x
2
- 4,675550x
+ 4,309575
R
2
= 0,7477 - Máximo = 0,45 %
0
2
4
6
8
10
12
14
0,0 0,1 0,2 0,3 0,4 0,5 0,6
Doses de EP (%)
Número de pseudobulbos
Figura 6 - Número médio de pseudobulbos da orquídea Cattleya intermedia Lindl., com diferentes
doses de extrato pirolenhoso.
Figura 7 – Plantas de Cattleya intermedia, com doses de extrato pirolenhoso: T0 0% EP e T4
0,4% EP.
Número
de folhas
Número de
pseudobulbo
Número
de raízes
41
Figura 8 – Plantas de Cattleya intermedia, com doses de extrato pirolenhoso: T0 – 0% EP e T4 –
0,4% EP.
Em relação a variável número de brotos (NB) observou-se um
comportamento quadrático (y= -2,992919x
2
+1,716793x + 0,196480; R
2
= 0,4254). A
melhor dose estimada pela equação foi de 0,29% de EP, que proporcionou a
produção máxima de brotos (Figura 9). Estes resultados concordam com Schnitzer
et al. (2009), que obtiveram um aumento no número de brotos para as espécies
Cattleya intermedia e Miltonia clowesii quando utilizaram o substrato contendo em
proporções iguais a casca de pinus, fibra de coco, casca de arroz carbonizada e
carvão banhado no extrato pirolenhoso puro. Estes dados de aumento de brotações
ressaltam a característica principal de comercialização de orquídeas, pois a
quantidade de flores determina o seu valor comercial e o número de flores
produzidas esta diretamente relacionada ao número de brotações.
y = -2,992919x
2
+ 1,716793x + 0,196480
R
2
= 0,4254 - Máximo = 0,29 %
0
1
2
0,0 0,1 0,2 0,3 0,4 0,5 0,6
Doses de EP (%)
Número de brotos
Figura 9 - Número médio de brotos da orquídea Cattleya intermedia Lindl., com diferentes doses de
extrato pirolenhoso.
Número de
raízes
Número de
pseudobulbos
Número
de
folhas
42
Figura 10 - Plantas de Cattleya intermedia com doses de extrato pirolenhoso: T0 – 0% EP e T3 –
0,3% EP.
Figura 11 – Plantas de Cattleya intermedia com doses de extrato pirolenhoso: T0 – 0% EP e T3
0,3% EP.
Número de
brotos
Número
de brotos
Número
de
brotos
43
Para a variável massa fresca total (MFT), o ajuste foi cúbico (y= -
1037,880889x
3
+ 600,937842x
2
– 27,103300x +91,190350; R
2
=0,6494). A melhor
dose estimada pela equação foi 0,36% de EP, onde ocorreu um aumento da massa
fresca total. (Figura 12). Os resultados observados estão de acordo com
Mascarenhas et al. (2006a), que aplicaram extrato pirolenhoso em rega (2%) e
adubo orgânico e observaram um aumento da matéria fresca de alface. Dados
semelhantes foram constatados por Schnitzer et al. (2009), que utilizaram a adição
de EP 100% ao carvão misturado com os substratos casca de pinus, fibra de coco,
casca de arroz carbonizada e obtiveram um incremento da massa fresca total das
plantas de Miltonia clowesii.
y = -1037,880889x
3
+ 600,937842x
2
-
27,103300x + 91,190350
R
2
= 0,6494 - Máximo = 0,36 %
0
10
20
30
40
50
60
70
80
90
100
110
120
130
140
150
0,0 0,1 0,2 0,3 0,4 0,5 0,6
Doses de EP (%)
Massa fresca total (g)
Figura 12 - Massa fresca total da orquídea Cattleya intermedia Lindl., com diferentes doses de
extrato pirolenhoso.
A curva representativa da massa seca da parte aérea (MSPA) pode
ser representada pela regressão polinomial cúbica (y= -242,36572x
3
+ 276,938718x
2
– 81,069463x + 14,696445; R
2
= 0,7320). A melhor dose estimada pela equação foi
de 0,56% de EP que proporcionou um aumento da massa seca da parte aérea em
Cattleya intermedia (Figura 13).
y = -242,365772x
3
+ 276,938718x
2
-
81,069463x + 14,696445
R
2
= 0,7320 - Máximo = 0,56 %
0
2
4
6
8
10
12
14
16
18
0,0 0,1 0,2 0,3 0,4 0,5 0,6
Doses de EP (%)
Massa seca da parte aérea (g)
Figura 13 - Massa seca da parte aérea da orquídea Cattleya intermedia Lindl., com diferentes doses
de extrato pirolenhoso.
44
Para a variável massa seca de raízes (MSR), (Figura 14) o ajuste foi
quadrático (y = -14,363095x
2
+ 9,023008x + 1,248116; R
2
= 0,3697). A melhor dose
estimada pela equação foi de 0,31% de EP, onde se observou um aumento da
massa seca das raízes, o aumento da concentração do extrato pirolenhoso provoca
diminuição no peso da massa seca de raízes. Estes resultados estão de acordo com
Silva et al. (2006), que observaram que a aplicação de extrato pirolenhoso em doses
elevadas (2,0%) provocou a diminuição da massa seca de raízes de eucalipto.
y = -14,363095x
2
+9,023008x + 1,248116
R
2
= 0,3697 - Máximo = 0,31 %
0
0,5
1
1,5
2
2,5
3
3,5
4
0,0 0,1 0,2 0,3 0,4 0,5 0,6
Doses de EP (%)
Massa seca de raízes (g)
Figura 14 - Massa seca de raízes da parte aérea da orquídea Cattleya intermedia Lindl., com
diferentes doses de extrato pirolenhoso.
A curva representativa do teor de nitrogênio (N) foliar pode ser
representada pela regressão polinomial quadrática, expressa pela equação
(y=26,686404x
2
– 17,601911x + 12,134361; R
2
= 0,5619). A melhor dose estimada
pela equação foi de 0,33% de EP, proporcionando um aumento no teor de nitrogênio
foliar. (Figura 15).
y = 26,686404x
2
- 17,601911x + 12,134361
R
2
= 0,5619 - Máximo = 0,33 %
0
2
4
6
8
10
12
14
0,0 0,1 0,2 0,3 0,4 0,5 0,6
Doses de EP (%)
Teor de nitronio foliar (g Kg-¹)
Figura 15 - Teor de nitrogênio foliar da orquídea Cattleya intermedia Lindl., com diferentes doses de
extrato pirolenhoso.
45
3.3.2 Cattleya loddigesii Lindl.
De acordo com o teste de Tukey a 5% para a espécie Cattleya
loddigesii as médias do comprimento da maior raiz (CMR), número de folhas (NF),
número de brotos (NB), massa seca da parte aérea (MSPA), potencial
hidrogeniônico (pH) e as médias referentes aos teores foliares de fósforo (P),
potássio (K), cálcio (Ca) e magnésio (Mg) apresentaram resultados similares entre
os tratamentos, não foi constatado efeito das doses aplicadas de extrato pirolenhoso
(EP).
Foram ajustadas equações de regressão utilizando como variáveis
dependentes, a porcentagem de extrato pirolenhoso (EP) aplicado e as
características que apresentaram diferença significativa entre os tratamentos: altura
da parte aérea (APA), número de raiz (NR), número de pseudobulbo (NP),
comprimento da maior folha (CMF) e massa fresca total (MFT).
A curva representativa da altura da parte aérea (APA), (Figura 16)
pode ser representada pela regressão polinomial linear (y=10,728380x + 25,290452;
R
2
= 0,4513). Observa-se que conforme se aumenta a dose de extrato pirolenhoso
ocorre um aumento na altura da parte aérea. Dados semelhantes foram constatados
em condições de campo por Ichikawa e Ota (1982) que observaram que a aplicação
do extrato pirolenhoso no solo promoveu um melhor desenvolvimento da parte aérea
das mudas de arroz. Shirakawa, Fukazawa e Terada (1993), também relataram
efeito positivo da atividade fisiológica de plantas de arroz submetidas à aplicação de
extrato pirolenhoso no solo. Estes resultados estão de acordo com Schnitzer et al.
(2009), que constataram um aumento da altura da parte aérea de Cattleya
intermedia quando utilizaram casca de pinus, fibra de coco, casca de arroz
carbonizada e carvão banhado em extrato pirolenhoso puro.
46
y = 10,728380x + 25,290452
R
2
= 0,4513
0
5
10
15
20
25
30
35
0,0 0,1 0,2 0,3 0,4 0,5 0,6
Doses de EP (%)
Altura da parte aérea (cm)
Figura 16 - Altura da parte aérea da orquídea Cattleya loddigesii Lindl., com diferentes doses de
extrato pirolenhoso.
Em relação a variável número de raízes (NR), observou-se uma
resposta linear das plantas (y= 15,745342x + 19,212215; R
2
= 0,6899). Verificou-se
que ocorreu um aumento do número de raízes conforme se aumentou a dose de EP
(Figura 17). Esses resultados corroboram os resultados obtidos com Cattleya
intermedia Lindl.
y = 15,745342x + 19,212215
R
2
= 0,6899
0
5
10
15
20
25
30
35
0,0 0,1 0,2 0,3 0,4 0,5 0,6
Doses de EP (%)
Número de raízes
Figura 17 - Número de raízes da orquídea Cattleya loddigesii Lindl., com diferentes doses de extrato
pirolenhoso.
Para a variável número de pseudobulbos (NP) a curva pode ser
representada pela regressão polinomial linear (y= 5,781653x + 4,538939; R
2
=
0,9358). O extrato pirolenhoso promoveu um aumento do número de pseudobulbo
diretamente proporcional às doses aplicadas, conforme se aumenta a dose de EP
aumenta o número de pseudobulbos (Figura 18). Esse resultado indica que o extrato
pirolenhoso pode aumentar o número de pseudobulbos, conseqüentemente o
número de flores. De acordo com Assis (2003), o pseudobulbo exerce um importante
47
papel na demanda energética da planta, uma vez que armazena água e
carboidratos.
y = 5,781653x +4,538939
R
2
= 0,9358
0
1
2
3
4
5
6
7
8
9
10
0,0 0,1 0,2 0,3 0,4 0,5 0,6
Doses de EP (%)
Número de pseudobulbos
Figura 18 - Número de pseudobulbos da orquídea Cattleya loddigesii Lindl.,
com diferentes doses de
extrato pirolenhoso.
Figura 19 - Plantas de Cattleya loddigesii com doses de extrato pirolenhoso: T0 – 0% EP e T6 – 0,6%
EP.
Altura
da parte
aérea
Número de
pseudobulbo
Número de
raízes
48
A curva representativa do comprimento da maior folha (CMF),
(Figura 20), pode ser representada pela regressão polinomial de terceiro grau (y = -
140,598709x
3
+ 139,086800 x
2
– 34,381456x + 14,111265; R
2
= 0,9532). A melhor
dose estimada pela equação foi de 0,51% de EP, que proporcionou a maior média
de comprimento da maior folha.
y = -140,598709x
3
+ 139,086800x
2
- 34,381456x +
14,111265
R
2
= 0,9532 - Máximo = 0,51 %
0
2
4
6
8
10
12
14
16
0,0 0,1 0,2 0,3 0,4 0,5 0,6
Doses de EP (%)
Comprimento da maior folha
(cm)
Figura 20 - Comprimento da maior folha da orquídea Cattleya loddigesii Lindl., com diferentes doses
de extrato pirolenhoso.
Em relação a variável massa fresca total (MFT), os ajustes foram
cúbicos (y=-2357,493807x
3
+ 2142,961292x
2
– 456,926649x + 100,367474; R
2
=
0,8087). A melhor dose estimada pela equação foi de 0,57% de EP, proporcionando
um aumento na massa fresca total (Figura 21). Esses resultados corroboram os
resultados obtidos com Cattleya intermedia Lindl.
y = -2357,493807x
3
+ 2142,961292x
2
- 456,926649x +
100,367474
R
2
= 0,8087 - Máximo = 0,57 %
0
20
40
60
80
100
120
140
0,0 0,1 0,2 0,3 0,4 0,5 0,6
Doses de EP (%)
Massa fresca total (g)
Figura 21 - Massa fresca total da orquídea Cattleya loddigesii Lindl., com diferentes doses de extrato
pirolenhoso.
49
Em relação à massa seca das raízes (MSR), observou-se uma
resposta cúbica das plantas (y= 10,833x
3
– 3,0833x
2
– 2,8476x + 2,3369; R
2
=
0,3484). A melhor dose estimada pela equação foi de 0,14% de EP, onde se obteve
a maior massa seca das raízes (Figura 22).
y = 10,833x
3
- 3,0833x
2
- 2,8476x + 2,3369
R
2
= 0,3484 - Máximo = 0,14 %
0
0,5
1
1,5
2
2,5
3
0,0 0,1 0,2 0,3 0,4 0,5 0,6
Doses de EP (%)
Massa seca das rzes (g)
Figura 22 - Massa seca das raízes da orquídea Cattleya loddigesii Lindl., com diferentes doses de
extrato pirolenhoso.
A curva representativa do teor de nitrogênio (N) foliar pode ser
representada pela regressão polinomial cúbica, expressa pela equação
(y=140,295950x
3
- 124,123498x
2
+ 24,703961x + 11,789938; R
2
= 0,5750), onde a
melhor dose estimada pela equação foi de 0,30% de EP, que promoveu o aumento
do teor de nitrogênio (N) foliar (Figura 23).
y = 140,295950x
3
- 124,123498x
2
+ 24,703961x + 11,789938
R
2
= 0,5750 - Máximo = 0,30 %
0
2
4
6
8
10
12
14
0,0 0,1 0,2 0,3 0,4 0,5 0,6
Doses de EP (%)
Teor foliar de nitrogênio (g Kg-
¹)
Figura 23 - Teor de nitrogênio foliar da orquídea Cattleya loddigesii Lindl., com diferentes doses de
extrato pirolenhoso.
Os resultados obtidos com as orquídeas Cattleya intermedia e
Cattleya loddigesii corroboram com vários autores em trabalhos que demonstraram
50
efeito beneficio do extrato pirolenhoso para diversas culturas. Como foi verificado no
trabalho de Kadota e Niimi (2004), que trabalharam com as plantas ornamentais:
Tagetes patula, Melampodium paludosum, Salvia splendens, Zinnia linearis e
concluíram que mistura de carvão vegetal + extrato pirolenhoso a 0, 10 e 30% v/v
promoveu uma redução no período de florescimento de Melampodium paludosum,
Salvia splendens e Zinnia linearis; aumento na taxa de sobrevivência de Salvia
splenden e Zinnia linearis e melhoria no crescimento e na qualidade dessas
espécies.
De acordo com Du et al. (1998), a mistura de carvão vegetal com
extrato pirolenhoso na cultura de batata doce proporcionou aumento no crescimento
das raízes, na taxa de fotossíntese, de nitrogênio (N) e clorofila interna.
Segundo Mascarenhas et al., (2006a; 2006b) a aplicação de EP
(1%) e (2%) aumentou a produtividade da alface em 35% e melhorou a qualidade de
frutos de quiabo em 28%, quando comparado ao tratamento que continha somente
composto ao substrato.
Os resultados obtidos são favoráveis para o desenvolvimento
vegetativo das espécies estudadas. Em razão da falta de informações sobre a
influência do extrato pirolenhoso na nutrição de plantas, torna-se necessário à
realização de pesquisas para elucidar a função do extrato pirolenhoso na nutrição.
51
3.4 Conclusão
O extrato pirolenhoso foi eficaz para o cultivo de Cattleya intermedia
Lindl., e Cattleya loddigesii Lindl.
A dose de extrato pirolenhoso (EP) recomendada para a espécie
Cattleya intermedia Lindl., esta na faixa de 0,3 a 0,4% (3 a 4 mL.L
-1
), e para Cattleya
loddigesii Lindl., a dose recomendada é 0,6% (6 mL.L
-1
).
A aplicação da dose 0,3% de EP na espécie Cattleya intermedia
Lindl., promoveu um aumento no número de brotos, sendo essa variável a
característica mais valorizada no cultivo das orquídeas porque garante o aumento do
número de flores.
52
3.5 REFERÊNCIAS
ASSIS, A. M.; COLOMBO, L. A.; FARIA, R. T.; FONSECA, I. C. B. Longevidade pós-
colheita de pseudobulbos com flores de Dendrobium nobile (Orchidaceae). Revista
Brasileira de Horticultura Ornamental, Campinas, v. 9, n. 1, p. 85-87, 2003.
BATALHA, Mário Otávio; BUAINAIN, Antônio Márcio. Cadeias produtivas de flores
e mel. Brasília: IICA: MAPA/SPA, 2007.
DU, H. G.; MORI, E.; TERAO, H.; TSUZUKI, E. Effect of the mixture of charcoal with
pyroligneous acid on shoot and root growth of sweet potato [Ipomoea batatas].
Japanese Journal of Crop Science, Tokyo, v. 67. n. 2, p. 149-152, 1998.
DU, H. G.; OGAWA, M.; ANDO, S.; TSUZUKI, E.; MURAYAMA, S. Effect of mixture
of charcoal with pyroligneous acid on sucrose content in netted melon (Cucumis
melo L. var. reticulates Naud.) fruit. Japanese Journal of Crop Science, Tokyo, v.
66, n. 3, p. 369-373, 1997.
ESECHIE, H. A.; DHALIWAL, G. S.; ARORA, L.; RANDHAWA, N. S.; DHAWAN, A.
K. Assessment of pyroligneus liquid as a potential organic fertilizer. In: ECOLOGICAL
AGRICULTURE AND SUSTAINABLE DEVELOPMENT, 1997, Chandigarh, India.
Proceedings... Chandigarh: Center for Research in Rural and Industrial
Development, 1998. v. 1, p. 591-595.
ICHIKAWA, T.; OTA, Y. Effect of pyroligneous acid on the growth of rice seedlings.
Japanese Journal of Crop Science, Tokyo, v. 51, n. 1, p. 14-17, 1982.
KADOTA, M.; NIIMI, Y. Effects of charcoal with pyroligneous acid and barnyard
manure on bedding plants. Scientia Horticulturae, Amsterdam, v. 101, n. 3, p. 327-
332, Sep. 2004.
MAEKAWA, K. Curso sobre produção de carvão, extrato pirolenhoso e seu uso
na agricultura. Botucatu: Associação dos produtores de Agricultura natural – APAN,
2002. Apostila
MASCARENHAS, M. H. T.; LARA, J. F. R.; PURCINO, H. M. A.; SIMÕES, J. C.;
MOREIRA, D. C.; FACION, C. E. Efeito da utilização do extrato pirolenhoso na
produtividade do alface. Revista Brasileira de Horticultura, Goiânia, v. 24, n. 1, p.
3122-3125, 2006a.
______. Efeito da utilização do extrato pirolenhoso na produtividade do quiabeiro.
Revista Brasileira de Horticultura, Goiânia, v. 24, n. 1, p. 3126-3128, 2006b.
MILLER, D. E.; WARREN, R. Orquídeas do Alto da Serra. Rio de Janeiro:
Salamandra, 1996. v. 1, p. 200-228.
MIYASAKA, S.; OHKAWARA, T.; UTSUMI, B. Ácido Pirolenhoso: uso e fabricação.
Boletim AgroEcológico, Botucatu, v. 3, n. 14, dez. 1999.
MIYASAKA, S.; YAZAKI, H.; OHKAWARA, T.; NAGAI, K.; KUBOTA, Y. Derivados
de carvão vegetal, extrato pirolenhoso e fino de carvão na agricultura natural.
São Paulo, 2006. Apostila.
PORTO, P. R.; SAKITA, A. E. N.; NAKAOKA S. M. Efeito da aplicação do extrato
pirolenhoso na germinação e no desenvolvimento de mudas de Pinus elliottii var.
elliottii. IF-Série Registros, São Paulo, n. 31, p. 15-19, jul. 2007.
53
ROEL, A. R.; LEONEL, L. A. K.; FAVARO, S. P.; ZATARIM, M.; SOARES, M. V.
Avaliação de fertilizantes orgânicos na produção de alface em Campo Grande, MS.
Scientia Agraria, Curitiba, v. 8, n. 3, p. 325-329, 2007.
RUSCHI, A. Orquídeas do estado do Espírito Santo. 2. ed. Rio de Janeiro:
Expressão e Cultura, 1997.
SCHNITZER, J. A.; FARIA, R. T.; VENTURA, M. U.; SORACE, M. Substratos e
extrato pirolenhoso no cultivo de orquídeas brasileiras. Acta Scientiarum
Agronomy, Maringá, [2009]. No prelo.
SHIBAYAMA, H.; MASHIMA, K.; MITSUTOMI, M.; ARIMA, S. Effects of application of
pyroligneus acid solution produced in Karatsu city and growth and free sugar
contents of storage roots of sweet potatoes. Marine and Higland Bioscience
Center Report, Phukel, v. 7, p. 15-23. 1998.
SHIRAKAWA, N.; FUKAZAWA, M.; TERADA, S. Studies on the pyroligneous acid IV.
Plant physiological activities of several main components in pyroligneous acid.
Japanese Journal Crop Science, Tokyo, v. 62, p. 168-189, 1993.
SILVA, A. S.; ZANETTI, R.; CARVALHO, G. A.; MENDONÇA, L. A. Qualidade de
mudas de eucalipto tratadas com extrato pirolenhoso. Cerne, Lavras, v. 12, n. 1, p.
19-26, jan./mar. 2006.
SILVA, F. C. Manual de análises químicas de solos, plantas e fertilizantes.
Brasília: EMBRAPA, 1999.
TSUZUKI, E.; ANDO, S.; TERAO, H.; UCHIDA, Y. Effect of organic matters on
growth and quality of crops : II. Effect of charcoal with pyroligneous acid on quality of
melon (Cucumis melo L.). Japanese Journal of Crop Science, Tokyo, v. 62, n. 2, p.
170-171, 1993.
TSUZUKI, E.; MORIMTSU, T.; MATSUI, T. Effect of chemical compounds in
pyroligneus acid on root growth in rice plants. Japanese Journal Crop Science,
Tokyo, v. 66, n. 4, p. 15-16, 2000.
UDDIN, S. M. M.; MURAYAMA, S.; ISHIMINE, Y.; TSUZUKI, E.; HARADA, J. Effects
of the mixture of charcoal with pyroligneous acid on dry matter production and root
growth of summer planted sugarcane (Saccharum officinarum L.). Japanese Journal
of Crop Science, Tokyo, v. 64, n. 4, p. 747-753, 1995.
ZANETTI, M.; CAZETTA, J. O.; MATTOS JÚNIOR, D.; CARVALHO, S. A. Influência
do extrato pirolenhoso na calda de pulverização sobre o teor foliar de nutrientes em
Limoeiro ‘Cravo’. Revista Brasileira de Fruticultura, Jaboticabal, v. 26, n. 3, p. 529-
533, 2004.
54
REFERÊNCIAS
ANDRETTA, G. M. A. C. Valor bruto da produção agropecuária paranaense 1997
e 2004. Curitiba: DERAL/SEAB/DEB, 2006.
ASSIS, A. M.; COLOMBO, L. A.; FARIA, R. T.; FONSECA, I. C. B. Longevidade pós-
colheita de pseudobulbos com flores de Dendrobium nobile (Orchidaceae). Revista
Brasileira de Horticultura Ornamental, Campinas, v. 9, n. 1, p. 85-87, 2003.
ASSIS, A. M.; FARIA, R. T.; COLOMBO, L. A.; CARVALHO, J. F. R. P. Utilização de
substratos à base de coco no cultivo de Dendrobium nobile Lindl. (Orchidaceae).
Acta Scientiarum Agronomy, Maringá, v. 27, n. 2, p. 255-260, 2005.
BENZING, D. H.; OTT, D. W.; FRIEDMAN, W. E. Roots of Sobralia macrantha
(Orchidaceae): structure and function of the velamen-exodermis complex. American
Journal of Botany, Columbus, v. 69, n. 4, p. 608-614, 1982.
BERNARDI, A. C.; PINTO, A. S.; MOLINARI, H. B.; FARIA, R. T. Substratos
alternativos visando a substituição do xaxim no cultivo de Oncidium baueri
(Orchidaceae). In: CONGRESSO BRASILEIRO DE FLORICULTURA E PLANTAS
ORNAMENTAIS, 12., 1999, Jaboticabal, SP. Anais... Jaboticabal: Fundação Cargil,
1999. p.84.
BIOCARBO INDÚSTRIA E COMÉRCIO. Curso prático de agricultura orgânica.
Itabirito, 2003. Apostila complementar Região do Irecê – BA.
COLOMBO, L. A.; FARIA, R. T.; CARVALHO, J. F. R. P.; ASSIS, A. M.; FONSECA,
I. C. B. Influência do fungicida clorotalonil no desenvolvimento vegetativo e no
enraizamento in vitro de duas espécies de orquídeas brasileiras. Acta Scientiarum
Agronomy, Maringá, v. 26, n. 2, p. 253-258, 2004.
COUTINHO, M.; CARVALHO, E. J. M. Caracterização das propriedades de alguns
substratos para propagação de mudas. Bragantia, Campinas, v. 14, p. 167-176,
1983.
CUADRA, R.; CRUZ, X.; PERERA, E.; MARTIN, E.; DIAZ, A. Algunos compuestos
naturales com efecto nematicida. Revista de Protección Vegetal, La Habana, v. 24,
n. 15, p. 31-37, 2000.
DEMATTÊ, J. B.; DEMATTÊ, M. E. S. P. Estudos hídricos com substratos vegetais
para o cultivo de orquídeas epífitas. Pesquisa Agropecuária Brasileira, Brasília, v.
31, n. 11, p. 803-808, 1996.
DRESSLER, R. L. Phylogeny and classification of the orchid family. Portland:
Dioscorides Press, 1993.
DU, H. G.; MORI, E.; TERAO, H.; TSUZUKI, E. Effect of the mixture of charcoal with
pyroligneous acid on shoot and root growth of sweet potato [Ipomoea batatas].
Japanese Journal of Crop Science, Tokyo, v. 67. n. 2, p. 149-152, 1998.
DU, H. G.; OGAWA, M.; ANDO, S.; TSUZUKI, E.; MURAYAMA, S. Effect of mixture
of charcoal with pyroligneous acid on sucrose content in netted melon (Cucumis
55
melo L. var. reticulates Naud.) fruit. Japanese Journal of Crop Science, Tokyo, v.
66, n. 3, p. 369-373, 1997.
ENCARNAÇÃO, F. Redução do impacto ambiental na produção de carvão vegetal e
obtenção do ácido pirolenhoso como alternativa para proteção de plantas.
Agroecologia e desenvolvimento rural sustentável, Porto Alegre, v. 2, n. 4, p. 20-
23, out./dez. 2001.
ESECHIE, H. A.; DHALIWAL, G. S.; ARORA, L.; RANDHAWA, N. S.; DHAWAN, A.
K. Assessment of pyroligneus liquid as a potential organic fertilizer. In: ECOLOGICAL
AGRICULTURE AND SUSTAINABLE DEVELOPMENT, 1997, Chandigarh, India.
Proceedings... Chandigarh: Center for Research in Rural and Industrial
Development, 1998. v. 1, p. 591-595.
FARIA, R. T.; REGO, L. V.; BERNARDI, H. B.; MOLINARI, H. B. Performance of
differents genotyps of Brazilian orchid cultivation in alternatives substrates. Brazilian
Archives of Biology and Technology, Curitiba, v. 44, n. 4, p. 337-342, 2001.
FURTADO, G. R.; PEREIRA, R. T. G.; ZANETTI, R.; SILVA, A. S. Efeito do ácido
pirolenhoso in vitro sobre isolados de Botrytis cinérea, Cylindrocladium clavatum e
Rhizoctonia solani. Fitopatologia Brasileira, Brasília, v. 27, supl., p. 112, 2002.
GONÇALVES, A. L. Características de substratos. In: CASTRO, C. E. F.; ANGELIS,
B. L. D.; MOURA, L. P. P. Manual de floricultura. Maringá: SBFPO, 1992. p. 44-52.
GUIRRA. L. Agricultores conhecem benefícios do carvão e do extrato
pirolenhoso. 2003. Disponível em: <www.guirra.com.br/guirranet/pirolenhoso.htm>.
Acesso em: 16 jun. 2007.
ICHIKAWA, T.; OTA, Y. Effect of pyroligneous acid on the growth of rice seedlings.
Japanese Journal of Crop Science, Tokyo, v. 51, n. 1, p. 14-17, 1982.
INSTITUTO BRASILEIRO DO MEIO AMBIENTE - IBAMA. Convenção sobre o
comércio internacional de espécies da flora e fauna selvagens em perigo de
extinção. 2007. Disponível em: <http://www.ibama.gov.br/>. Acesso em: 6 nov.
2008.
JUNQUEIRA, A. H.; PEETZ, M. S. Inteligência comercial no mercado de flores. In:
SEMANA INTERNACIONAL DA FRUTICULTURA, FLORICULTURA E
AGROINDÚSTRIA – FRUTAL /FLOR BRAZIL, 14.; SEMINÁRIO SETORIAL
MERCADO DE FLORES, 2007, Fortaleza, CE. Anais... Fortaleza: Instituto de
Desenvolvimento da Fruticultura e Agroindústria - FRUTAL, 2007. 1 CD-Rom.
______. Mercado interno para os produtos da floricultura brasileira: características,
tendências e importância socioeconômica recente. Revista Brasileira de
Horticultura Ornamental, Campinas, v. 14, n. 1, p. 37-52, 2008.
KADOTA, M.; NIIMI, Y. Effects of charcoal with pyroligneous acid and barnyard
manure on bedding plants. Scientia Horticulturae, Amsterdam, v. 101, n. 3, p. 327-
332, Sep. 2004.
KÄMPF, A. N. Produção comercial de plantas ornamentais. Guaíba:
56
Agropecuária, 2000.
LORENZI, H.; SOUZA, H. M. Plantas ornamentais no Brasil. 3. ed. Nova Odessa:
Plantarum, 1996.
MAEKAWA, K. Curso sobre produção de carvão, extrato pirolenhoso e seu uso
na agricultura. Botucatu: Associação dos produtores de Agricultura natural – APAN,
2002. Apostila
MALAVOLTA, E. Manual de química agrícola: adubos e adubação. 3. ed. São
Paulo: Agronômica Ceres, 1981.
MASCARENHAS, M. H. T.; LARA, J. F. R.; PURCINO, H. M. A.; SIMÕES, J. C.;
MOREIRA, D. C.; FACION, C. E. Efeito da utilização do extrato pirolenhoso na
produtividade do alface. Revista Brasileira de Horticultura, Goiânia, v. 24, n. 1, p.
3122-3125, 2006a.
______. Efeito da utilização do extrato pirolenhoso na produtividade do quiabeiro.
Revista Brasileira de Horticultura, Goiânia, v. 24, n. 1, p. 3126-3128, 2006b.
MILLER, D. E.; WARREN, R. Orquídeas do Alto da Serra. Rio de Janeiro:
Salamandra, 1996. v. 1, p. 200-228.
MIYASAKA, S.; OHKAWARA, T.; UTSUMI, B. Ácido Pirolenhoso: uso e fabricação.
Boletim AgroEcológico, Botucatu, v. 3, n. 14, dez. 1999.
MIYASAKA, S.; YAZAKI, H.; OHKAWARA, T.; NAGAI, K.; KUBOTA, Y. Derivados
de carvão vegetal, extrato pirolenhoso e fino de carvão na agricultura natural.
São Paulo, 2006. Apostila.
NEVES, J. P. A orquídea. 2006. Disponível em:
<http://www.aorquidea.com.br/arq19.html>. Acesso em: 2 ago. 2008.
NOIIRA, Y.; ZINNO, Y. Experiments on the control of damping off of conifer seedling
with pyroligneous acid. Japanese Foresty Society, Tokyo, v. 36, n. 1, p. 31-37,
1954.
OLATUNJI, O. A.; NENGIM, R. O. Ocurrence and distribution of tracheoidal elements
in the Orchidaceae. Botanical Journal of the Linnean Society, London, v. 80, n. 4,
p. 357-370, Jun. 1980.
OLIVEIRA, A. A. P.; BRAINER, M. S. C. Floricultura: caracterização e mercado.
Fortaleza: Banco do Nordeste do Brasil, 2007. p. 180.
OLIVEIRA, S. A. A. Noções sobre o cultivo de orquídeas. Boletim da
Coordenadoria das Associações Orquidófilas do Brasil (CAOB), Rio de Janeiro,
v. 5, n. 1, p. 29-35, 1993a.
OLIVEIRA, V. C.; SAJO, M. G. Anatomia foliar de espécies epífitas de Orchidaceae.
Revista Brasileira de Botânica, São Paulo, v. 22, n. 3, p. 365-374, 1999.
PABST, G. F. J.; DUNGS, F. Orchidaceae Brasiliensis I. Hildesheim: Kurt
57
Schmersow, 1975.
PEREIRA, L. A. Substratos, meios de cultivo. Boletim da Coordenadoria das
Associações Orquidófilas do Brasil (CAOB), Rio de Janeiro, n. 24, p.14-16, 1996.
PONCHIO, C. O.; BALLIO, L. A. C. Fontes de enxofre e micronutrientes para a
agricultura Brasileira. In: SIMPÓSIO DE ENXOFRE E MICRONUTRIENTES NA
AGRICULTURA BRASILEIRA, 1988, Londrina. Anais...Londrina: EMBRAPA-
CNPSo/IAPAR/SBCS, 1988. p. 265-276.
PORTO, P. R.; SAKITA, A. E. N.; NAKAOKA S. M. Efeito da aplicação do extrato
pirolenhoso na germinação e no desenvolvimento de mudas de Pinus elliottii var.
elliottii. IF-Série Registros, São Paulo, n. 31, p. 15-19, jul. 2007.
REGO, L. V.; BERNARDI, A.; TAKAHASHI, L. S. A.; FARIA, R. T. Desenvolvimento
vegetativo de genótipos de orquídeas brasileiras em substrato alternativo ao xaxim.
Revista Brasileira Horticultura Ornamental, Campinas, v. 6, n. 1/2, p. 75-79, 2000.
ROEL, A. R.; LEONEL, L. A. K.; FAVARO, S. P.; ZATARIM, M.; SOARES, M. V.
Avaliação de fertilizantes orgânicos na produção de alface em Campo Grande, MS.
Scientia Agraria, Curitiba, v. 8, n. 3, p. 325-329, 2007.
ROSA, M. F.; BEZERRA, F. C.; ARAÚJO, F. B. S.; NORÕES, E. R. V. Utilização do
pó da casca de coco verde na germinação de alface hidropônico. Horticultura
Brasileira, Brasília, v. 19, n. 2 supl., p. 294, 2001. CD-ROM.
RUSCHI, A. Orquídeas do estado do Espírito Santo. 2. ed. Rio de Janeiro:
Expressão e Cultura, 1997.
SANTOS, A.; ZANETTI, R.; SILVA, A. SOUZA.; CARVALHO, G. A. Preferência de
Atta sexdens rubropilosa Forel, 1908 (Hymenoptera: Formicidae) por folhas de
eucalipto tratadas com ácido pirolenhoso. In: CONGRESSO DE INICIAÇÃO
CIENTÍFICA DA ESCOLA SUPERIOR DE AGRICULTURA DE LAVRAS - CICESAL,
15.; SEMINÁRIO DE AVALIAÇÃO DO PIBIC/CNPq, 10.; SEMINÁRIO DE
AVALIAÇÃO DO PBIICT/FAPEMIG, 2002, Lavras. Anais... Lavras: Ed. da UFLA,
2002. p.180.
SANTOS, J. G.; DEMATTÊ, M. E. S. P. Substratos e adubação para Dendrobium
nobile Lindl. In: CONGRESSO BRASILEIRO DE OLERICULTURA, 45.;
CONGRESSO BRASILEIRO DE FLORICULTURA E PLANTAS ORNAMENTAIS,
15.; CONGRESSO BRASILEIRO DE CULTURA DE TECIDOS DE PLANTAS, 2.,
2005, Anais...Horticultura Brasileira, Brasília, v. 23, n. 2 supl. 1, p.576, 2005.
SCATENA, V. L.; NUNES, A. C. Anatomia de Pleurothallis rupestres Lindl.
(Orchidaceae) dos campos rupestris do Brasil. Boletim de Botânica da
Universidade de São Paulo, São Paulo, v. 15, p. 35-43, 1996.
SCHNITZER, J. A.; FARIA, R. T.; VENTURA, M. U.; SORACE, M. Substratos e
extrato pirolenhoso no cultivo de orquídeas brasileiras. Acta Scientiarum
Agronomy, Maringá, [2009]. No prelo.
SHIBAYAMA, H.; MASHIMA, K.; MITSUTOMI, M.; ARIMA, S. Effects of application of
58
pyroligneus acid solution produced in Karatsu city and growth and free sugar
contents of storage roots of sweet potatoes. Marine and Higland Bioscience
Center Report, Phukel, v. 7, p. 15-23. 1998.
SHIRAKAWA, N.; FUKAZAWA, M.; TERADA, S. Studies on the pyroligneous acid IV.
Plant physiological activities of several main components in pyroligneous acid.
Japanese Journal Crop Science, Tokyo, v. 62, p. 168-189, 1993.
SILVA, A. S. Efeito do extrato pirolenhoso sobre Atta sexdens rubropilosa
Forel, 1908 (Hymenoptera: Formicidae), Syntermes molestus (Burmeister, 1839)
(Isoptera: Termitidae) e mudas de eucalipto. 2003. 68 f. Dissertação (Mestrado em
Entomologia) - Universidade Federal de Lavras, Lavras.
SILVA, A. S.; ZANETTI, R.; CARVALHO, G. A.; MENDONÇA, L. A. Qualidade de
mudas de eucalipto tratadas com extrato pirolenhoso. Cerne, Lavras, v. 12, n. 1, p.
19-26, jan./mar. 2006.
SILVA, A. S.; ZANETTI, R.; CARVALHO, G. A.; SANTOS, A.; MATTOS, J. O. S.
Preferência de formigas cortadeiras por mudas de eucalipto pulverizadas ou imersas
em soluções de extrato pirolenhoso em diferentes concentrações. Scientia
Forestalis, Piracicaba, n. 67, p. 9-13, abr. 2005.
SILVA, F. C. Manual de análises químicas de solos, plantas e fertilizantes.
Brasília: EMBRAPA, 1999.
SILVA, F. S. C. Haverá algum substituto para o xaxim? Boletim da Coordenadoria
das Associações Orquidófilas do Brasil (CAOB), Rio de Janeiro, n. 44, p. 68-76,
2000.
SILVA, F. S. C.; SILVA, S. P. C. O substrato na cultura das orquídeas, sua
importância, seu envelhecimento. Revista Oficial da Orquidário, Rio de Janeiro, v.
11, n. 1, p. 3-10, 1997.
SILVA, W. Cultivo de orquídeas no Brasil. São Paulo: Nobel, 1979.
______. Cultivo de orquídeas no Brasil. São Paulo: Nobel, 1986.
SOUZA, M. Muito além do xaxim. Natureza, São Paulo, n. 2, p. 32-37, 2003.
STRIGHETA, A. C. O.; LIRIO, V. S.; SILVA, C. A. B.; REIS, B. S.; AGUIAR, D. R. D.
Diagnóstico do segmento de produção da cadeia produtiva de flores e plantas
ornamentais do Rio de Janeiro. Revista Brasileira Horticultura Ornamental,
Campinas, v. 8, n. 1/2, p. 77-90, 2002.
TSUZUKI, E.; ANDO, S.; TERAO, H.; UCHIDA, Y. Effect of organic matters on
growth and quality of crops : II. Effect of charcoal with pyroligneous acid on quality of
melon (Cucumis melo L.). Japanese Journal of Crop Science, Tokyo, v. 62, n. 2, p.
170-171, 1993.
TSUZUKI, E.; MORIMTSU, T.; MATSUI, T. Effect of chemical compounds in
pyroligneus acid on root growth in rice plants. Japanese Journal Crop Science,
Tokyo, v. 66, n. 4, p. 15-16, 2000.
59
UDDIN, S. M. M.; MURAYAMA, S.; ISHIMINE, Y.; TSUZUKI, E.; HARADA, J. Effects
of the mixture of charcoal with pyroligneous acid on dry matter production and root
growth of summer planted sugarcane (Saccharum officinarum L.). Japanese Journal
of Crop Science, Tokyo, v. 64, n. 4, p. 747-753, 1995.
WALLACE, A. Introduction: metal chelates in agriculture. In: SYMPOSIUM ON THE
USE OF METALCHELATES IN PLANT NUTRITION, 1., 1956, Palo Alto - CA.
Proceedings... Palo Alto - CA: National Press, 1956. p. 4-23.
YAMAKAMI, J. K.; FARIA, R. T.; ASSIS, A. M.; OLIVEIRA, L. V. R. Cultivo de
Cattleya Lindley (Orchidaceae) em substratos alternativos ao xaxim. Acta
Scientiarum Agronomy, Maringá, v. 28, n. 4, p. 523-526, Oct./Dec. 2006.
ZANETTI, M.; CAZETTA, J. O.; MATTOS JÚNIOR, D.; CARVALHO, S. A. Influência
do extrato pirolenhoso na calda de pulverização sobre o teor foliar de nutrientes em
Limoeiro ‘Cravo’. Revista Brasileira de Fruticultura, Jaboticabal, v. 26, n. 3, p. 529-
533, 2004.
______. Uso de formação do porta-enxerto Limoeiro ‘Cravo’em ambiente protegido.
Revista Brasileira de Fruticultura, Jaboticabal, v. 25, n. 3, p. 508-512, 2003.
Livros Grátis
( http://www.livrosgratis.com.br )
Milhares de Livros para Download:
Baixar livros de Administração
Baixar livros de Agronomia
Baixar livros de Arquitetura
Baixar livros de Artes
Baixar livros de Astronomia
Baixar livros de Biologia Geral
Baixar livros de Ciência da Computação
Baixar livros de Ciência da Informação
Baixar livros de Ciência Política
Baixar livros de Ciências da Saúde
Baixar livros de Comunicação
Baixar livros do Conselho Nacional de Educação - CNE
Baixar livros de Defesa civil
Baixar livros de Direito
Baixar livros de Direitos humanos
Baixar livros de Economia
Baixar livros de Economia Doméstica
Baixar livros de Educação
Baixar livros de Educação - Trânsito
Baixar livros de Educação Física
Baixar livros de Engenharia Aeroespacial
Baixar livros de Farmácia
Baixar livros de Filosofia
Baixar livros de Física
Baixar livros de Geociências
Baixar livros de Geografia
Baixar livros de História
Baixar livros de Línguas
Baixar livros de Literatura
Baixar livros de Literatura de Cordel
Baixar livros de Literatura Infantil
Baixar livros de Matemática
Baixar livros de Medicina
Baixar livros de Medicina Veterinária
Baixar livros de Meio Ambiente
Baixar livros de Meteorologia
Baixar Monografias e TCC
Baixar livros Multidisciplinar
Baixar livros de Música
Baixar livros de Psicologia
Baixar livros de Química
Baixar livros de Saúde Coletiva
Baixar livros de Serviço Social
Baixar livros de Sociologia
Baixar livros de Teologia
Baixar livros de Trabalho
Baixar livros de Turismo