Download PDF
ads:
UNIVERSIDADE FEDERAL DE MINAS GERAIS/ UFMG
FACULDADE DE MEDICINA
ASPECTOS DO USO DE ÁLCOOL ENTRE ALUNOS INICIANDO CURSO NA
UFMG
Flávia Antunes Caldeira Silva e Calaça
Belo Horizonte
2006
ads:
Livros Grátis
http://www.livrosgratis.com.br
Milhares de livros grátis para download.
2
Flávia Antunes Caldeira Silva e Calaça
ASPECTOS DO USO DE ÁLCOOL ENTRE ALUNOS INICIANDO CURSO NA
UFMG
Dissertação apresentada ao Programa de Pós-
Graduação em Ciências da Saúde, da Faculdade de
Medicina da UFMG, como requisito parcial à
obtenção do título de Mestre.
Área de Concentração: Saúde da Criança e do
Adolescente
Orientador: Prof. Dr. Roberto Assis Ferreira
Belo Horizonte
Faculdade de Medicina da UFMG
2006
ads:
3
Calaça, Flávia Antunes Caldeira Silva e.
Aspectos do uso de álcool entre alunos iniciando curso na
UFMG./ Flávia Antunes Caldeira Silva e Calaça. 2006.
142 f., enc.
Orientador: Prof. Dr. Roberto Assis Ferreira
Dissertação (Mestrado) Universidade Federal de Minas
Gerais, Faculdade de Medicina.
Bibliografia: f 109-124
1.Uso de álcool; 2. Drogas 3. Adolescência; 4. Jovens;
5.Universitários
4
Universidade Federal de Minas Gerais
Ciências da Saúde
Área de Concentração em Saúde da Criança e do Adolescente
Reitora: Profª Ana Lúcia Almeida Gazzola
Vice-Reitor: Prof. Marcos Borato Viana
Pró-Reitor de Pós-Graduação: Prof. Jaime Arturo Ramirez
Diretor da Faculdade de Medicina: Prof. Geraldo Brasileiro Filho
Vice-Diretor da Faculdade de Medicina: Prof. Joel Alves Lamounier
Coordenador do Centro de Pós-Graduação: Prof. Francisco José Penna
Chefe do Departamento de Pediatria: Profª Cleonice de Carvalho Coelho Mota
Coordenador do Programa de Pós-Graduação em Ciências da Saúde – Área de
Concentração em Medicina da Criança e do Adolescente: Prof. Francisco José Penna
Sub-Coordenador do Programa de Pós-Graduação em Ciências da SaúdeÁrea de
Concentração em Medicina da Criança e do Adolescente: Prof. Joel Alves Lamounier
Colegiado do Programa de Pós-Graduação em Ciências da Saúde Área de
Concentração em Medicina da Criança e do Adolescente:
Prof. Eduardo Araújo de Oliveira
Prof. Francisco José Penna
Prof. Joel Alves Lamounier
Prof. Marco Antônio Duarte
Prof. Roberto Assis Ferreira
Profª Ivani Silva Nonato
Profª Regina Lunardi Rocha
5
“Não incites a beber aquele que ama o vinho, pois o vinho perdeu a muitos.
O fogo põe à prova a dureza do ferro: assim o vinho, bebido em excesso, revela o coração
dos orgulhosos.
O vinho bebido sobriamente é como vida para os homens.
Que é a vida do homem a quem falta o vinho?
Que coisa tira a vida? A morte.
No princípio, foi criado para a alegria e não para a embriaguez.
O vinho, bebido moderadamente, é a alegria da alma e do coração.
A sobriedade no beber é a saúde da alma e do corpo.
O excesso na bebida causa irritação, cólera e numerosas catástrofes.
O vinho bebido em demasia é a aflição da alma.
A embriaguez inspira a ousadia e faz pecar o insensato; abafa as forças e causa feridas.”
Eclesiástico 31, 30-40
6
AGRADECIMENTOS
Aos meus avós, meus tesouros, pelo carinho. A meus pais e irmãs, por toda dedicação e apoio.
Ao meu marido, Paulo, por estar sempre ao meu lado, pelo amor maior do mundo...
Ao Prof. Roberto Assis Ferreira, por tudo: por ter me dado essa chance e me guiado e por ser,
além de meu orientador, um exemplo para a vida inteira.
Ao Prof. Marco Antônio Duarte, pelas sugestões preciosas, que fizeram toda a diferença.
À Stella Braga, grande companheira, por ter aberto portas e iluminado meu caminho.
A todos os colegas do Setor de Saúde do Adolescente do Hospital das Cnicas da UFMG, em
especial, Tias” Mirtes, Nathayl, Solange e Tatiane, pela grande e sincera amizade.
Aos acadêmicos Sarah Goalves Fonseca e Rodrigo de Almeida Ferreira, pela contribuição
na construção do Banco de Dados.
Aos professores da pós-graduação, pela valiosa troca de idéias e conhecimentos.
Aos alunos entrevistados, pela participação, sem a qual este trabalho o seria possível.
7
Em memória de José Paulo Antunes,
meu querido padrinho:
quantas saudades...
8
RESUMO
Este estudo teve por objetivo descrever aspectos do uso de álcool entre estudantes iniciando
curso na UFMG. Realizou-se um estudo descritivo com amostra aleatória e representativa
de universitários dos cursos das oito áreas de conhecimento da UFMG. Como instrumento,
utilizou-se um questionário anônimo de autopreenchimento versando de questões como:
idade de acesso ao álcool, freqüência de ingestão, quantidade e tipo de bebida alcoólica
consumidos, local de consumo e parceiros mais freqüentes, ocorrência de bebedeira,
embriaguez e suas conseqüências. Os dados foram coletados em 2004, de 375 alunos com
idade entre 18 e 25 anos, 59,2% do sexo masculino e 40,8% do sexo feminino. Os
resultados indicaram que 91,5% já haviam ingerido bebida alcoólica, com uma prevalência
de uso na vida igual para homens e mulheres. A idade dia de experimentação foi de 14,6
anos, sem diferença entre os sexos. A maioria experimentou álcool pela primeira vez em
suas vidas, em suas próprias casas, na companhia de amigos ou familiares. O percentual de
alunos que relataram beber no mês anterior à pesquisa foi de aproximadamente 70% , dos
quais 26,3% relataram uso moderado ou pesado de álcool, sem diferença entre homens e
mulheres. O uso compulsivo de álcool foi observado em 28,4% dos alunos e o uso
problemático, em 13,5%, sendo que ambos pades predominaram no sexo masculino.
Cerveja/chope foi a bebida mais freqüentemente consumida. Bares, boates e estádios foram
os locais preferidos para o consumo de álcool e os amigos e colegas, os principais parceiros.
A maioria se embriagou alguma vez na vida. A conseqüência da embriaguez mais citada
pelos estudantes foi perder aula, dia de trabalho ou outro compromisso importante, seguida
de dirigir e ter relação sexual desprotegida. Pode-se concluir que um percentual significativo
de universitários faz uso pesado, compulsivo e problemático de álcool, em concordância
com a literatura. Fatores como gênero, classe socioeconômica, situação de moradia, religião,
uso de cigarro e idade de experimentação de bebidas alcoólicas estiveram associados a um
consumo maior de álcool em quantidade e freqüência. Estudos subseqüentes são necessários
para aprofundamento nas questões do uso de álcool pelos jovens, entre elas, as motivações
para o uso e suas finalidades, possibilitando uma melhor compreensão do comportamento
dos jovens e contribuindo para a realização de intervenções que previnam ou reduzam os
riscos e conseqüências associados ao uso de bebidas alcoólicas.
9
ABSTRACT
The objective of this study was to describe aspects of alcohol use and its prevalence
among students at UFMG. A descriptive study with a randomly and representative sample
of university students was done for courses in all eight areas of learning at UFMG. The
instrument used was an anonymous self-completed questionnaire consisting of questions
as: age of alcohol experimentation, ingestion frequency, quantity and kind of alcoholic
beverages, most frequent location and partners, occurrence of binge drinking, drunkenness
and its consequences. The data were collected in 2004 from a total of 375 university
students between 18 and 25 years of age, 59,2% male and 40,8% female. Results indicated
that 91,5% of them have already drank alcohol, with equal prevalence of lifetime alcohol
use for male and female. The average age for alcohol experimentation was at 14,6 years of
age, with no gender differences. Most of students drank alcohol for the first time in their
lives, in their own houses, with their friends and relatives. The percentage of students who
reported drinking in the month before the survey was near to 70%, which ones 26,3%
reported moderated or heavy drinking. Binge drinking was observed in 28,4% and
problem drinking, in 13,5%; both drinking patterns predominated at male students. Beer
was the most frequently consumed kind of alcoholic drinks. Bars, discos and stadiums
were students’ favorite locations to alcohol consumption and their friends and classmates
were their main partners. Most of them have already been drunk. The most common
reported consequence of drunkenness was missing classes, day of work or another
important commitment, followed by driving a car and having unprotected sex. It is
concluded that a significant percentage of university students engage in dangerous
drinking practices such as heavy drinking, binge drinking and problem drinking. Gender,
social status, living arrangement, religion, tobacco use and age of alcohol experimentation
have been associated to larger quantities and frequency of alcohol consumption. Further
studies are necessary for deeper comprehension about alcohol use among young people,
such as knowing their motivation, allowing for better understanding of youth’s behavior
and contributing for effective interventions to prevent or reduce alcohol related risks and
consequences.
10
LISTA DE TABELAS
TABELA 1 ..........................................................................................................................43
Resultado do cálculo da amostra segundo a margem de erro.................................................43
TABELA 2 ..........................................................................................................................45
Distribuição da população nos diferentes estratos................................................................. 45
TABELA 3 ..........................................................................................................................49
Distribuição dos alunos segundo a idade .............................................................................. 49
TABELA 4 ..........................................................................................................................52
Distribuição dos familiares que bebem demais segundo os entrevistados..............................52
TABELA 5 ..........................................................................................................................55
Distribuição dos alunos segundo o uso de cigarro no ano e no mês....................................... 55
TABELA 6 ..........................................................................................................................57
Medidas descritivas da idade de experimentação de álcool, geral e por sexo.........................57
TABELA 7 ..........................................................................................................................58
Distribuição dos alunos que já experimentaram álcool segundo a pessoa que primeiro
ofereceu a bebida e o local de experimentação .....................................................................58
TABELA 8 ..........................................................................................................................59
Distribuição dos alunos segundo o uso de álcool na vida, no ano e no mês...........................59
TABELA 9 ..........................................................................................................................62
Distribuição dos alunos segundo o tipo de bebida alcoólica mais consumido........................62
TABELA 10 ........................................................................................................................ 65
Distribuição dos alunos que já experimentaram bebida alcoólica segundo os parceiros e local
de consumo mais freqüentes.................................................................................................65
TABELA 11 ........................................................................................................................ 69
Distribuição dos alunos segundo a ocorrência de embriaguez no último mês........................69
TABELA 12 ........................................................................................................................ 73
Distribuição dos alunos que já consumiram álcool segundo a ocorrência de embriaguez
freqüente considerando-se a idade e a classe socioeconômica...............................................73
11
TABELA 13 ........................................................................................................................ 73
Conseqüências da embriaguez..............................................................................................73
TABELA 14 ........................................................................................................................ 75
Uso compulsivo de álcool (bebedeira) considerando-se as atividades extracurriculares ........75
TABELA 15 ........................................................................................................................ 76
Uso problemático de álcool considerando-se o hábito de fumar............................................76
TABELA 16 ........................................................................................................................ 76
Resultados do teste Qui-quadrado / Fisher para as variáveis de interesse.............................. 76
12
LISTA DE GRÁFICOS
GRÁFICO 1: Distribuição dos alunos segundo o sexo.......................................................... 50
GRÁFICO 2: Distribuição dos alunos segundo a classe socioecomica..............................51
GRÁFICO 3: Distribuição dos alunos segundo a situação atual de moradia..........................51
GRÁFICO 4: Distribuição dos alunos segundo o relacionamento com os pais......................53
GRÁFICO 5: Distribuição dos alunos segundo o relacionamento entre os pais.....................53
GRÁFICO 6: Distribuição dos alunos segundo o fato de praticar religião, atividade sica ou
esportiva e trabalho.............................................................................................................. 54
GRÁFICO 7: Distribuição dos alunos segundo a qualidade de informação sobre álcool e seus
efeitos..................................................................................................................................55
GRÁFICO 8: Distribuição dos alunos segundo a idade de experimentação de álcool............ 56
GRÁFICO 9: Comparação da ocorrência de bebedeira segundo a pessoa que ofereceu bebida
pela primeira vez.................................................................................................................. 58
GRÁFICO 10: Distribuição dos alunos segundo o uso de álcool no ano e no mês ................60
GRÁFICO 11: Comparação entre percentuais de uso de álcool no s, considerando-se o
sexo ..................................................................................................................................... 60
GRÁFICO 12: Comparação entre os percentuais de uso de álcool no s, considerando-se a
idade....................................................................................................................................61
GRÁFICO 13: Comparação do consumo de cerveja / chope entre os sexos..........................63
GRÁFICO 14: Comparação do consumo de bebidas destiladas entre os sexos......................63
GRÁFICO 15: Comparação do uso mensal de bebidas destiladas entre os sexos.................. 64
GRÁFICO 16: Comparação do consumo de bebidas adocicadas entre os sexos....................64
GRÁFICO 17: Distribuição dos alunos segundo o número de doses consumidas por vez .....66
GRÁFICO 18: Distribuição dos alunos segundo a ocorrência de bebedeira ..........................66
GRÁFICO 19: Comparação da ocorrência de bebedeira entre os sexos ................................67
GRÁFICO 20: Comparação da ocorrência de bebedeira considerando-se a idade de
experimentação de álcool.....................................................................................................68
GRÁFICO 21: Comparação da ocorrência de bebedeira entre as idades ............................... 68
GRÁFICO 22: Distribuição dos estudantes que já beberam segundo ocorrência de embriaguez
na vida.................................................................................................................................69
13
GRÁFICO 23: Comparação da ocorrência de embriaguez na vida entre os sexos................. 70
GRÁFICO 24: Comparação da ocorrência de embriaguez freqüente entre os sexos..............71
GRÁFICO 25: Comparação da ocorrência de embriaguez na vida entre as idades ................71
GRÁFICO 26: Comparação da ocorrência de embriaguez na vida entre as classes
socioeconômicas..................................................................................................................72
GRÁFICO 27: Comparação do uso pesado de álcool, considerando-se o fato de morar com os
pais...................................................................................................................................... 74
14
LISTA DE ABREVIATURAS E SIGLAS
ABDETRAN - Associação Brasileira dos Departamentos de Trânsito
ABIPEME - Associação Brasileira dos Institutos de Pesquisa de Mercado
AIDS - Acquired Immunodeficiency Syndrome
APA - American Psychiatric Association
BNDES - Banco Nacional do Desenvolvimento Econômico e Social
CDC - Centers for Diseases Control and Prevention
CEBRID - Centro Brasileiro de Informações sobre Drogas Psicotpicas
DSM - Diagnostic and Statistical Manual of Mental Disorders
FUMP - Fundação Mendes Pimentel
NIDA - National Institute on Drug Abuse
OMS - Organização Mundial de Saúde
UFMG - Universidade Federal de Minas Gerais
UNESP - Universidade do Estado de São Paulo
UNIFESP - Universidade Federal de São Paulo
USP - Universidade de São Paulo
WHO - World Health Organization
15
SUMÁRIO
1 INTRODUÇÃO...............................................................................................................17
1.1 Uso de álcool entre jovens e adolescentes...................................................................17
1.2 Uso de álcool entre universitários...............................................................................31
2 OBJETIVOS ...................................................................................................................36
2.1 Objetivo Geral............................................................................................................36
2.2 Objetivos específicos..................................................................................................36
3 MÉTODOS......................................................................................................................37
3.1 Definição de Termos ..................................................................................................37
3.2 Delineamento do Estudo............................................................................................. 39
3.3 População de Estudo .................................................................................................. 40
3.4 Seleção da Amostra....................................................................................................43
3.5 Procedimento e local para a coleta de dados ............................................................... 46
3.6 Instrumento................................................................................................................47
3.7 Processamento e Análise dos Dados...........................................................................48
4 RESULTADOS ...............................................................................................................49
4.1 Descrição da população estudada................................................................................ 49
4.2 Descrição da primeira experiência com álcool............................................................56
4.3 Descrição do uso de álcool na vida, no ano e no mês..................................................59
4.4 Descrição do padrão de uso de álcool.........................................................................61
4.5 Fatores associados ao uso pesado, compulsivo e problemático de álcool..................... 74
16
5 DISCUSSÃO ...................................................................................................................77
5.1 Descrição da população estudada e fatores associados ao uso de álcool......................80
5.2 Descrição da primeira experiência com álcool............................................................90
5.3 Descrição do uso de álcool na vida, no ano e no mês..................................................94
5.4 Descrição do padrão de consumo de álcool.................................................................98
6 CONCLUSÕES............................................................................................................. 106
REFERÊNCIAS BIBLIOGRÁFICAS............................................................................ 109
ANEXOS .......................................................................................................................... 125
17
1 INTRODUÇÃO
1.1 Uso de álcool entre jovens e adolescentes
As substâncias psicoativas fazem parte do cotidiano do homem desde as mais remotas notícias
de sua existência. Pesquisas arqueológicas concluíram que determinadas pinturas deixadas
pelos homens da Idade da Pedra teriam sido feitas sob efeito de transes que provavelmente
incluíam o consumo dessas substâncias. As informações disponíveis levam a crer que o álcool
talvez tenha sido a primeira droga consumida pelo homem, como produto de fermentação
espontânea de caldos de frutas deixadas ao relento. Os registros informam sobre a existência
do álcool desde seis mil anos atrás, entre egípcios, considerado desde esses tempos remotos,
bebida inebriante e anestésica (BUCHER, 1989; SHONBERG, 1994).
O início de uso de drogas dá-se na juventude (BUCHER & TOTUGUI, 1988; GODOI et al.,
1991; KANDEL & LOGAN, 1984; WARREN et al., 1997). Na travessia da infância à idade
adulta, quase todos os adolescentes pelo menos experimentam algum tipo de substância
psicoativa, sendo o álcool a primeira delas, na maioria dos casos. Geralmente, o consumo
dessas substâncias ocorre em estágios, iniciando-se com o uso de cerveja e vinho e
posteriormente, bebidas destiladas e tabaco (KANDEL et al., 1992).
Sabe-se que o primeiro contato dos jovens com as bebidas alcoólicas ocorre muito cedo em
suas vidas e geralmente dentro de suas casas. Pechansky & Barros (1995) observaram que
18
entre 10 e 12 anos de idade, mais da metade dos adolescentes de Porto Alegre já havia
experimentado álcool e que a introdução do jovem no uso dessas bebidas foi feita
principalmente pela própria família ou amigos.
Não há dúvidas de que o uso experimental do álcool e de outras substâncias psicoativas seja
conduta comum e até esperada na adolescência, onde o jovem percorre outras
experimentações. Entretanto, definir exatamente qual é o padrão de consumo aceitável para
essa faixa etária torna-se tarefa difícil e controversa, devendo-se avaliar o contexto em que se
deu o consumo. Usar bebida alcóolica em quantidade exagerada ou antes de dirigir é
considerado abuso, que coloca o usuário ou aquele que está em sua volta em situação de
risco. O uso regular de álcool na pré-adolescência e início da adolescência também deve ser
visto como um hábito não saudável, na medida em que altera o processo de amadurecimento e
sociabilização. Beber deliberadamente por qualquer outro motivo que não o de saborear a
bebida, como por exemplo, para relaxar ou desinibir-se, atitude comum em nosso meio e entre
adolescentes, também é considerado abusivo (SCIVOLETTO, 2001).
Helen Nowlis (1975) classificou os usuários em: experimentadores, ocasionais, habituais e
disfuncionais, de acordo com a freqüência de uso e com os prejuízos causados por esse uso
nas relações dos indivíduos. Usuário experimentador é aquele que experimenta álcool ou
outras drogas sem dar continuidade ao uso. Usuário ocasional ou recreativo é aquele que
utiliza álcool ou outras drogas, quando disponíveis, em ambientes favoráveis e em situações
específicas ou de lazer, sem qualquer efeito negativo nas relações sociais, afetivas ou
profissionais. Usuário habitual ou funcional faz uso regular de álcool ou outras drogas e,
19
embora controlado, tal uso pode gerar prejuízo nas relações sociais, familiares, profissionais e
na vida em geral. Usuário disfuncional ou dependente é aquele que faz uso descontrolado
de álcool ou outras drogas, com efeitos graves na saúde física e mental e também nas relações
sociais, profissionais e familiares.
A American Academy of Pediatrics (1996), em relação ao uso de álcool e drogas, classificou
especificamente o adolescente, em seis categorias: abstinente, experimentador ou usuário
recreacional (em geral limitado ao álcool), abusador inicial (quando pequenos prejuízos
começam a emergir, como um pior desempenho escolar por estar sofrendo dos efeitos
posteriores a um episódio abusivo de uso de álcool), abusador, dependente e usuário em
recuperação.
Até algum tempo atrás, questionava-se o diagnóstico de depenncia em adolescentes. Seria
improvável que a tolerância (caracterizada pela necessidade de aumentar a quantidade de
álcool usada para obter o mesmo efeito ou pela diminuição desse efeito com uso contínuo da
mesma quantidade de álcool) e, em particular, a abstinência (manifestada pela Síndrome de
Abstinência Alcoólica ou pela utilização do álcool para alívio dos seus sintomas) já se
encontrassem evidentes com tão poucos anos de uso na adolescência, uma vez que o
alcoolismo é doença de desenvolvimento lento. Com a quarta edição do Diagnostic and
Statistical Manual of Mental Disorders (DSM-IV), não esses sintomas físicos deixaram de
ser essenciais para o diagnóstico de dependência, como também as alterações
sociocomportamentais passaram a ter maior relevância, possíveis razões pelas quais um maior
20
número de jovens vêm sendo diagnosticados como dependentes químicos (SCIVOLETTO,
2001).
Carlini et al. (2002) encontraram 5,2% dos adolescentes brasileiros entre 12 e 17 anos,
dependentes do álcool.
De acordo com a American Psychiatric Association (APA), o diagnóstico de distúrbio por uso
de álcool implica em um padrão de uso mal-adaptado, que leva a disfunções e prejuízos,
caracterizado através de critérios que são definidos separadamente para dependência e abuso
(APA, DSM-IV, 1994).
Mas, mesmo sem um diagnóstico de abuso ou dependência de álcool, o jovem pode se
prejudicar com o seu consumo, na medida em que se habituar a passar por uma série de
situações apenas sob efeito de álcool. Vários deles, por exemplo, conseguem tomar
iniciativas, enfrentar obstáculos e desempenhar certas atividades, tão importantes no seu
processo de maturação e individualização, quando bebem. Assim, aprendem a desenvolver
algumas habilidades com o uso de álcool e, quando este não se encontra disponível, sentem-se
incapazes de realizá-las.
A literatura médica chama a atenção para diversos fatores que levariam o adolescente a beber;
alguns de ordem familiar e sociológica, outros de caráter psicológico e psiquiátrico. A própria
adolescência, com suas características, parece constituir motivo tanto para a experimentação
quanto para a manutenção do uso e abuso do álcool. Movido por uma curiosidade que lhe é
21
peculiar e acreditando estar magicamente protegido contra todos os perigos, o adolescente
nega valores, busca modelos, testa limites e muitas vezes, transgride a lei e desafia a morte,
colocando-se em situações de grande risco. Segundo Brook et al. (1986), os mais potentes
preditores de uso freqüente de álcool e drogas seriam as variáveis relacionadas a esse estilo de
vida não convencional, dentre elas a busca de sensações e rebeldia.
Durante o processo de crescimento do jovem e no desenvolvimento de uma relação saudável
dele com o álcool, o ambiente familiar e os pais exerceriam papel fundamental. evidências
na literatura de que um lar harmônico, sem brigas e agressões, funcione como fator protetor
em relação ao uso patológico do álcool. Pelo contrário, a exposição a um ambiente
estressante, violento ou de abuso aumentaria o risco para uso regular de álcool (SIMANTOV
et al., 2000).
Adolescentes cujos pais bebem ou toleram o uso de bebidas alcoólicas pelos filhos estariam
também mais inclinados a beber, e aqueles com história familiar positiva de uso disfuncional
de álcool ou alcoolismo teriam maior risco de se tornarem bebedores abusadores ou
dependentes. Falta de suporte parental e incapacidade de controle dos filhos pelos pais seriam
também fatores predisponentes à maior iniciação ou continuação de uso de álcool por parte
dos adolescentes (ELLIS et al., 1997; FOXCROFT & LOWE, 1991; HAWKINS et al., 1992;
JACKSON et al., 1999; JACOB & JOHNSON, 1997). Sem apoio, eles poderiam crescer
inseguros e com baixa auto-estima; sem limites, poderiam se tornar desafiadores demais e
incapazes de lidar com frustrações e perdas.
22
A insatisfação com o mundo a seu redor, com as atividades que desempenham ou com sua
saúde e qualidade de vida, somada à pressa que têm em resolver ou fugir de situações
conflituosas, levariam os jovens a buscar uma solução rápida, quase imediata para essas e
outras questões. Baixa auto-estima e fracasso escolar, por exemplo, estão intimamente ligados
entre si e com um maior risco para envolvimento com experimentação, consumo regular e
abuso de álcool (JACKSON et al., 1997; JESSOR, 1991).
A sociedade atual não faz supor que remédio para todos esses problemas de
insatisfação, muitos deles próprios dos seres humanos, como estimula o consumo de álcool
para esse fim. E, ainda que proibido para menores de dezoito anos, essa mesma sociedade
admite largamente o consumo de álcool pelos jovens, tanto no ambiente domiciliar quanto em
ambientes públicos.
Pechansky & Barros (1995) encontraram que 60% dos adolescentes tiveram acesso a bebidas
no próprio domicílio. Lee et al. (1997) observaram que o local mais comumente utilizado para
o consumo de álcool pelos menores foi a casa de terceiros. Dados do Centro Brasileiro de
Informações sobre Drogas Psicotrópicas (CEBRID) revelaram que apenas 0,9% dos menores
de 18 anos que tentaram comprar bebidas alcoólicas foram impedidos (GALDUROZ et al.,
1997). Wechsler et al. (2000) demonstraram que essa facilidade de acesso é um fator
contribuinte para o uso e também para o abuso de álcool, especialmente no caso dos menores
de idade.
23
A dia, por sua vez, aproveita-se da vulnerabilidade do jovem e o faz acreditar que o álcool
é capaz de resolver uma série de mal-estares, na medida em que associa essa bebida a imagens
de sucesso. Saffer (2002), ao discutir mitos culturais e símbolos utilizados em propaganda
sobre álcool, concluiu que a dia influencia o consumo efetivamente.
Os jovens também são influenciados pela opinião dos amigos, sendo muitas vezes
encorajados ou pressionados a beber para serem parte do grupo (DUNCAN et al., 1994). Da
mesma forma, o fato de ter amigos que bebem ou simplesmente ter a iia de que a maioria
dos amigos bebe, aumentaria o risco de consumo exagerado de bebidas alcoólicas pelos
jovens (JACKSON et al., 1999).
Características sócio-demográficas como idade, sexo, classe social e religião também são
habitualmente associadas a um maior ou menor risco de uso e abuso de álcool. Jovens que
iniciaram o consumo de álcool precocemente, especialmente antes dos 15 anos, têm maior
risco de se tornarem usuários regulares, virem a ter problemas relacionados ao uso ou se
tornarem dependentes mais rapidamente (BARNES et al., 1992; GRANT & DAWSON,
1997). Jovens do sexo masculino bebem mais que os do sexo feminino (WILSNACK &
WILSNACK, 1997). Jovens de classes econômicas menos favorecidas tendem a consumir
mais e com maior freqüência o álcool do que os de classes mais altas, apresentando 3,5 vezes
mais probabilidade de se tornarem dependentes (DE MICHELI & FORMIGONI, 2001;
ELLIS et al., 1997). Jovens praticantes de atividade religiosa consomem álcool menos
freqüentemente que os não praticantes (CARVALHO & CARLINI-COTRIM, 1992).
24
Outros fatores individuais associados a um maior risco de uso e abuso de álcool são os de
ordem psiquiátrica. Dentre os dependentes, estima-se que 30 a 80% tenham alguma outra
comorbidade, sendo as mais freqüentes: o Transtorno de Conduta, a Depressão, o Déficit de
Atenção com Hiperatividade e o Transtorno de Ansiedade (BUKSTEIN et al., 1992). Sobre a
relação do Tabagismo com o uso de álcool, estudo recente e prospectivo revelou que jovens
fumantes apresentaram chance de também serem bebedores maior que o inverso (WETZELS
et al., 2003).
De uma maneira geral, acredita-se que quanto maior o número de fatores presentes, maiores
seriam a intensidade de uso e o risco de progredir para outras drogas. Mas é difícil prever,
entre os jovens que começaram a beber, quais serão usuários ocasionais ou recreativos e quais
se tornarão abusadores ou dependentes. evidências de que os fatores genéticos seriam os
maiores responsáveis pelo estabelecimento da freqüência e da quantidade em que a bebida é
consumida, dos padrões de consumo do álcool e do alcoolismo, enquanto os fatores
ambientais estariam mais envolvidos na questão da iniciação do uso do álcool (STALLINGS
et al., 1999).
A maior parte dos jovens que experimentam bebida alcoólica sofrerá efeitos adversos
escassos e somente uma minoria se tornará dependente. Todavia, nenhum deles está
totalmente isento de riscos, podendo inclusive morrer em decorrência de um episódio abusivo
(SCHONBERG, 1994).
25
As conseqüências decorrentes do uso de álcool, especialmente as imediatas, estão diretamente
relacionadas à quantidade (REHM et al., 1996) e ao tipo de bebida ingerido, uma vez que as
concentrações de álcool etílico são diferentes para cada um: cerveja, 3 a 6%; vinho, 8 a 12%;
destilados (rum, vodka, conhaque, uísque, aguardente, etc.), 40 a 50%. O álcool é absorvido
rapidamente no trato gastrintestinal, metabolizado no gado e excretado pela urina e pelo ar.
Seus primeiros efeitos podem ser observados após cerca de dez minutos, durando em média
uma hora. Mas, como essa substância é consumida habitualmente em doses repetidas, a
ocorrência de intoxicação é alta e por vezes prolongada (SCHONBERG, 1994).
Para atingir o estado de embriaguez, num intervalo de duas horas, uma mulher e um homem
adultos deveriam consumir, respectivamente, cerca de 2,8 e 3,6 doses de bebida destilada, 3,6
e 4,5 doses de cerveja e 3,7
e 4,7 doses de vinho. Dependendo do metabolismo e da tolerância
de cada indivíduo, quando a concentração alcoólica no sangue alcançasse 0,075%-0,15%,
sintomas como sedação, dificuldade de raciocínio, irritabilidade, agressividade, disartria e
ataxia apareceriam. Com níveis entre 0,25%-0,40%, apatia, estupor e coma seriam vistas.
Depressão respiratória, seguida de morte, ocorreria quando a concentração etílica no sangue
ultrapassasse 0,40% (HEISCHOBER & HOFMANN, 1997).
Kann et al. (2000) concluíram que o álcool está claramente ligado às causas externas de
morte, responsáveis por cerca de dois terços de todos os óbitos de jovens. Nos Estados
Unidos, em aproximadamente 40% dos acidentes gerais, 45% dos de trânsito, 30% dos
homicídios e 20% dos suicídios de jovens, a tima está alcoolizada (AMERICAN ACADEMY
OF PEDIATRICS, 1988).
26
Duarte & Carlini-Cotrim (2000) analisaram 130 processos de homicídios ocorridos entre 1990
e 1995, na cidade de Curitiba. Os resultados mostraram que 53,6% das vítimas e 58,9% dos
autores dos crimes estavam sob efeitos de bebidas alcoólicas no momento.
O mais amplo estudo brasileiro sobre acidentes de trânsito e uso de bebidas alcoólicas foi
realizado pela Associação Brasileira dos Departamentos de Trânsito (ABDETRAN) em
Brasília, Curitiba, Recife e Salvador, em que das 865 timas, 27,2% apresentaram alcoolemia
superior ao limite permitido por lei (ABDETRAN, 1997). Segundo o Novo digo de
Trânsito Brasileiro, de 1998, o nível de alcoolemia permitido é de 0,06% (Novo Código de
Trânsito Brasileiro, 1988 apud PINSKY et al., 2000).
Além de causar acidentes, estando embriagado o jovem poderia adotar um comportamento
sexual de risco, envolvendo-se mais em atividades sexuais sem proteção. Dessa forma, estaria
mais exposto à gravidez precoce e às doenças sexualmente transmissíveis, entre elas a AIDS
(HUIZINGA et al., 1993; STRUNIN & HINGSON, 1992).
A embriaguez também aumentaria a chance de conflitos verbais e agressões físicas, na
medida em que a capacidade cerebral de processar informações e controlar reações impulsivas
ficasse comprometida (GUSTATSON, 1994; LANG, 1993).
O uso excessivo de álcool também tem sido associado a problemas de ordem acadêmica;
contribuiria para o abandono escolar, para o absenteísmo e poderia afetar a performance do
aluno, na medida em que prejudicasse a capacidade de memória e concentração, funções
27
fundamentais no processo de aprendizagem (GRUBER et al., 1996; MASON & WINDLE,
2001).
Esses problemas relacionados ao álcool e as ocasiões de uso exagerado tendem a ser mais
elevados no final da adolescência e início da vida adulta, mais que em qualquer outro
momento. Kandel & Logan (1984), estudando a trajetória de uso do álcool da adolescência à
vida adulta, concluíram que durante esse período de uso mais intenso, no auge do consumo,
51% dos usuários bebem pelo menos quatro vezes por semana, 24% bebem diariamente e
50% tomam mais de cinco bebidas num único dia.
Na maioria, essa fase de consumo de grandes volumes de álcool é de curta duração e, após um
pico ao redor dos vinte e um anos, os níveis começam a cair (BATES & LABOUVIE, 1997).
Enquanto a quantidade consumida parece diminuir após essa idade, por outro lado, a
freqüência de consumo parece aumentar (CASSWELL et al., 1997). Porém, diversas
pesquisas falharam ao tentar prever quais jovens persistiriam com uso abusivo do álcool e
para quais esse uso estaria limitado à adolescência (BATES & LABOUVIE, 1997; BENNET
et al., 1999; SCHULENBERG et al., 1996).
Existem inúmeras descrições na literatura para padrões de consumo de álcool intermediários
entre experimentação e dependência. Algumas são baseadas na freqüência em que o consumo
ocorre e outras são baseadas na quantidade de doses ingeridas. Um padrão bastante citado na
literatura é o binge drinking”, para o qual Gill (2002) encontrou pelo menos sete
denominações diferentes. Para Delk & Meilman (1996), o “binge drinking” é tecnicamente
28
definido como o consumo sucessivo de cinco ou mais doses de bebida alcoólica em uma única
ocasião.
Uma lata de cerveja de 350ml, com concentração alcoólica próxima de 5%, tem o equivalente
a 17 gramas de álcool ou 1,5 unidades. Uma taça de vinho de 90ml, com concentração de
12%, tem cerca de 10 gramas ou 1 unidade de álcool. Uma dose de 50ml de bebida destilada,
com concentração entre 40% e 50%, tem entre 20 e 25 gramas de álcool ou 2 e 2,5 unidades.
Com base nesses valores, um adulto sadio poderia consumir semanalmente, sem que
prejudicasse sua saúde, no máximo 14 e 21 unidades de álcool, respectivamente para
mulheres e homens. O consumo superior a 35 e 50 unidades por semana é considerado de alto
risco (LARANJEIRA & PINSKY, 1997).
A freqüência de uso de álcool, segundo critérios da Organização Mundial de Saúde (WHO,
1981 apud Morais et al., 2001), foi registrada nas seguintes categorias: não uso é quando
nunca se utilizou bebida alcóolica; uso na vida é quando se experimentou ao menos uma vez
algum tipo de bebida alcoólica; uso no ano é quando se fez uso de álcool pelo menos uma vez
nos últimos doze meses; uso no s é quando se utilizou álcool pelo menos uma vez nos
últimos trinta dias. Essa categoria pode ser subdividida em: uso leve (utilizou-se no último
mês, com intervalo maior do que uma semana); uso freqüente (quando se utilizou álcool em
seis a dezenove dias nos últimos trinta dias); uso pesado (utilizou-se bebida alcoólica em
vinte ou mais dias no último mês).
29
Considerando-se o uso na vida, entre adolescentes de 12 a 17 anos, de 107 grandes cidades
brasileiras, a prevalência é de 48,3%. Essa proporção sobe para 73,2% entre jovens de 18 a 24
anos (CARLINI et al., 2002). Também para a faixa etária adolescente, no Estado de São
Paulo, o uso na vida é de 37,7% para o sexo masculino e 32,3% para o sexo feminino
(GALDURÓZ et al., 2000). Em outro levantamento, realizado por Pechansky & Barros
(1995) em Porto Alegre, os achados de uso na vida são de quase 100% na idade de 18 anos.
Em relação aos jovens estudantes de primeiro e segundo graus, o CEBRID realizou
levantamentos periódicos em 10 grandes capitais, entre 1987 e 1997. O uso na vida de álcool
se manteve estável ao longo dos anos, em torno de 65%, e o uso freqüente foi relatado por
cerca de 15% dos adolescentes. Quanto ao uso pesado, observou-se um aumento significativo
na maioria das cidades estudadas, mostrando uma tendência da juventude de beber com mais
freqüência nos últimos anos (CARLINI-COTRIN et al., 1989; GALDURÓZ et al., 1997;
GALDURÓZ & NOTO, 2000; NOTO et al., 1993).
Os resultados desses últimos levantamentos mostraram, no geral, baixo nível de penetração
das drogas ilícitas entre os jovens, no entanto apontaram o álcool como a droga mais usada
por eles.
Segundo estudo da Organização Mundial de Saúde (OMS), realizado em 1999, nosso país
estava situado no 63º lugar do uso per capita de álcool na faixa etária de 15 anos, entre 153
países, uma posição razoavelmente discreta. Porém, quando a OMS compara a evolução do
30
consumo per capita entre as décadas de 1970 e 1990, o Brasil apresenta um crescimento de
74,5% no consumo das bebidas alcoólicas.
Também é o álcool, a droga número um em abuso pelos jovens (CHASSIN & DELUCIA,
1996). No Brasil, quase 30% dos adolescentes brasileiros entre 12 e 17 anos relataram ter
bebido até se embriagar (GALDURÓZ et al., 1997).
Hingson et al. (2003) observaram que adolescentes que se embriagaram antes dos treze anos,
comparados com outros que nunca haviam se embriagado até os 19 anos, tinham duas vezes
mais chance de referir atividade sexual não planejada e mais que o dobro de chance de referir
atividade sexual desprotegida, o dobro de chance de fazer uso compulsivo do álcool e três
vezes mais chance de se enquadrarem nos critérios diagnósticos de dependência alcoólica.
Beber muito a cada vez que se bebe é ocorrência comum em países como o nosso, que não
têm tradição de uso de bebidas alcoólicas como alimento. Esse jeito de beber, o “binge
drinkingou o “beber compulsivo”, considerado a característica mais perigosa do uso de
bebidas por jovens (KERR-CORRÊA et al., 1999), tem sido amplamente citado na literatura,
especialmente em pesquisas envolvendo estudantes universitários.
O uso de álcool contribui fortemente na etiologia e manutenção de vários problemas sociais,
econômicos e de saúde enfrentados no mundo inteiro e também em nosso país. Os resultados
das pesquisas realizadas mostram a importância de investigações epidemiológicas periódicas
31
que determinem a dimensão do problema nos diferentes espaços sociais e geográficos e nas
diferentes faixas etárias.
1.2 Uso de álcool entre universitários
O álcool é a droga mais consumida pelos universitários (PRENDERGAST, 1994). Embora a
maioria dos estudantes já tenha experimentado álcool antes de ingressar na faculdade, muitos
passam a consumi-lo com maiores freqüência e quantidade, enquanto universitários
(MEILMAN et al., 1989).
Segundo Windle et al. (2003), jovens universitários têm maior risco de adotar um padrão de
consumo de álcool ocasional e pesado do que outros da mesma idade. Sabe-se que esse
padrão de consumo de álcool, o binge drinking”, pode ser extremamente nocivo à saúde e
estar associado a inúmeras causas de morbimortalidade entre os estudantes.
Práticas sexuais não seguras e também as não planejadas, por exemplo, foram citadas como
conseqüências de episódios de “binge drinkingentre jovens universitários (WESCHLER et
al., 1994; WESCHLER et al., 1995).
32
Em universitários de 18 a 24 anos, Jones et al. (2001) encontraram forte associão entre uso
ocasional pesado de álcool e uso de outras substâncias psicoativas. Concluíram que os
estudantes que faziam uso compulsivo de álcool com freqüência tinham maior chance de vir a
fazer uso regular de cigarro e outras drogas do que aqueles que não seguiam esse padrão.
Esses dados vão ao encontro de outros da literatura que afirmam que o álcool tenderia a
preceder e aumentar o risco de uso de drogas ilícitas pelos jovens (ELLICKSON et al., 1992;
GOLUB & JOHNSON, 2001).
De fato, o uso exagerado de álcool por estudantes universitários representa um problema de
saúde blica importante e, nos Estados Unidos, tem sido foco de atenção de imeras
universidades, da imprensa, do governo e da comunidade científica (WESCHLER et al.,
1994).
Hingson et al. (2002) estimaram que 1400 universitários com idade entre 18 e 24 anos
morreram em 1998 nos EUA, em decorrência de problemas relacionados ao consumo de
álcool, inclusive de acidentes com veículos. De acordo com Commission on Substance Abuse
at Colleges and Universities (apud JONES et al., 2001), o álcool está envolvido em dois
terços dos suicídios de universitários, em 90% dos casos de estupro e 95% de outros crimes
violentos ocorridos nos campi das universidades americanas.
No Brasil, Andrade et al. (1997) observaram que estudantes universitários bebem muito mais
que a população em geral, com índices na vida de 90,1% e 68,7% respectivamente. Entre
estudantes de medicina, Borini et al. (1994) encontraram 11,8% dos homens e 1,3% das
33
mulheres fazendo uso abusivo de bebidas alcoólicas. Nesse mesmo estudo, 4,2% dos
estudantes do sexo masculino e 0,8% dos estudantes do sexo feminino foram classificados
como dependentes do álcool.
Em pesquisa realizada com 3406 estudantes de medicina do Estado de São Paulo, Andrade et
al. (1996) observaram que, dos alunos que usaram álcool e drogas na vida e nos últimos doze
meses, apenas 10% iniciaram o uso após o ingresso na faculdade. Todavia, os calouros
parecem ser particularmente vulneráveis a exceder-se no consumo de álcool, como também a
submeter-se a riscos associados a ele (BAER et al., 1995). Pesquisadores mostraram que os
estudantes, de fato, aumentam o consumo de álcool logo as entrarem na universidade
(BAER et al., 1995; KERR-CORRÊA et al., 1999; SCHULENBERG et al., 1996).
É também no primeiro ano de faculdade que os estudantes tendem a apresentar mais
problemas relacionados ao consumo abusivo de álcool. Muitos universitários afirmaram
inclusive, beber mais e mais freqüentemente no primeiro ano da faculdade do que em
qualquer outro período da vida acadêmica. Acredita-se que, conforme o ficando mais
velhos e maduros, os episódios de embriaguez vão diminuindo (BAER et al., 1995; KLEIN,
1994; LEIBSOHN, 1994; WECHSLER et al., 1998).
Bucher (1992) afirmou que o uso de drogas em uma população específica deve ser entendido
como resultado de uma interação entre três fatores: droga, ambiente e indivíduo. Para ele, a
prevenção é a melhor estratégia para intervir nessa interação e reduzir o uso.
34
Da mesma forma, o uso abusivo de bebidas alcoólicas pelos universitários não pode ser
atribuído a apenas uma única causa. Acredita-se na interação de fatores psíquicos, sociais e
ambientais. Morar longe dos pais pela primeira vez, sem seu suposto controle, viver sob a
influência de novos amigos que abusam do álcool e sofrer com as mudanças que acompanham
essa nova fase são alguns dos fatores citados pela literatura (BAKER et al., 1985; DEMERS
et al. apud HARFORD et al., 2002; LIEBSOHN, 1994; RUTLEDGE & SHER, 2001).
Certamente, a passagem do mundo da infância para o mundo adulto, ou seja, do ambiente
estritamente familiar para laços sociais mais amplos, é um momento em que se colocam
pesadas tarefas para o ser humano e no qual aqueles referenciais que sustentavam a criança
o são suficientes para manter a estabilidade do jovem. Da mesma maneira, a transição do
jovem para a universidade parece ser um intervalo crítico, marcado por novos desafios e
repleto de novas responsabilidades e liberdades.
Para Saito (2001), quando se pretende contemplar de maneira adequada a atenção à saúde do
jovem, especialmente considerando-se sua vulnerabilidade, é preciso ter claro que, além da
cura, a promoção da saúde e a prevenção de agravos são fundamentais.
Instituições e pesquisadores têm observado que a efetividade de programas de prevenção
contra drogas depende do conhecimento prévio das condições do ambiente, das características
sócio- demográficas da população- alvo e do padrão de consumo de drogas, porque são essas
informações que vão definir o tipo de intervenção que deveser realizada (CARLINI et al.,
1989).
35
Reconhecer os jovens universitários como usuários de álcool em potencial, conhecer seu
perfil e, principalmente, identificar entre eles padrões prejudiciais de consumo de bebidas
alcoólicas são elementos primordiais para a prevenção de riscos e redução de danos causados
pelo álcool nessa população.
36
2 OBJETIVOS
2.1 Objetivo Geral
Descrever aspectos do uso de álcool entre estudantes universitários iniciando curso
na UFMG.
2.2 Objetivos específicos
Avaliar o consumo de álcool em universitários considerando: idade de acesso à
droga, freqüência de ingestão, quantidade e tipo de bebida alcoólica consumidos,
local de consumo e parceiros mais freqüentes, prevalência de bebedeira, embriaguez
e de suas conseqüências.
37
3 MÉTODOS
3.1 Definição de Termos
Adolescência: definida pela Organização Mundial de Saúde (OMS) como o período entre 10
e 20 anos de idade.
Juventude ou População Jovem: definida pela OMS como o período entre 15 e 25 anos de
idade.
Classes A, B, C, D e E: A análise da estratificação social da população em estudo foi
realizada à partir do critério da Associação Brasileira dos Institutos de Pesquisa de Mercado
(ANEXO C), baseado nos bens de consumo duráveis e grau de escolaridade do responsável
pela família. A cada bem de consumo durável e grau de escolaridade, atribui-se um número
de pontos, cuja soma indica o nível socioeconômico do respondente, que se estratifica em: A
(35 pontos ou mais), B (21 a 34 pontos), C (10 a 20 pontos), D (5 a 9 pontos) e E (menos de
5 pontos). Portanto, o termo classe” aqui, refere-se aos diferentes segmentos da
classificação socioeconômica da ABIPEME e não a um conceito sociológico.
Uso de tabaco na vida: é quando se experimentou cigarro ao menos uma vez na vida.
Uso de tabaco no ano: é quando se fumou pelo menos uma vez no último ano.
38
Uso de tabaco no mês: uso de cigarro pelo menos uma vez no último mês.
Uso leve de tabaco: uso de cigarro no último mês, com intervalo maior do que uma semana.
Uso freqüente ou moderado de tabaco: uso de cigarro em seis a dezenove dias nos últimos
trinta dias.
Uso pesado de tabaco: uso de cigarro em pelo menos vinte dias no último mês.
Hábito de fumar: é quando se utilizou cigarro em pelo menos seis dias no último mês.
Uso de álcool na vida: é quando se experimentou ao menos uma vez algum tipo de bebida
alcoólica.
Uso de álcool no ano: consumo de álcool pelo menos uma vez nos últimos doze meses.
Uso de álcool no mês: consumo de álcool pelo menos uma vez nos últimos trinta dias.
Uso leve de álcool: consumo de álcool no último mês, com intervalo maior do que uma
semana.
Uso freqüente ou moderado de álcool: é quando se utilizou álcool em seis a dezenove dias
nos últimos trinta dias.
Uso pesado de álcool: utilizou-se bebida alcoólica em vinte ou mais dias no último mês.
Uso freqüente de bebidas destiladas: uso de bebida destilada em pelo menos seis dias no
último mês.
39
Dose: porção de bebida servida de cada vez. Consideraremos como uma dose: uma lata de
cerveja ou 350ml de chope ou 150ml de vinho ou 85ml de licor ou 50ml de vodka, uísque ou
pinga. Uma dose de cerveja com concentração alcoólica de 4,7% tem o equivalente a 17
gramas de álcool. Uma dose de vinho com concentração de 12% tem cerca de 18 gramas de
álcool. Uma dose de bebida destilada com concentração entre 40% e 50% tem 20 a 25
gramas de álcool.
Uso compulsivo, ocasional pesado, “Binge drinking” ou Bebedeira: consumo sucessivo
de cinco ou mais doses de bebida alcoólica numa única ocasião.
Embriaguez: estado de intoxicação alcoólica aguda, caracterizado por ataxia motora,
sensorial e psíquica, parcial ou total (ALMEIDA JR. & COSTA JR., 1972).
Embriaguez na vida: ocorrência de pelo menos um episódio de embriaguez durante a vida.
Embriaguez no mês: ocorrência de pelo menos um episódio de embriaguez no último mês.
Embriaguez freqüente ou uso problemático de álcool: ocorrência de embriaguez em pelo
menos seis dias no último mês.
3.2 Delineamento do Estudo
Trata-se de um estudo descritivo, com amostragem aleatória, representativa, estratificada e
proporcional.
40
3.3 População de Estudo
A população-alvo é formada por alunos que ingressaram na Universidade Federal de Minas
Gerais no ano de 2004, com idade entre 18 e 25 anos.
A Universidade Federal de Minas Gerais (UFMG) utiliza um agrupamento dos seus 59
cursos em oito áreas do conhecimento, a saber: Ciências Agrárias, Ciências Biológicas,
Engenharias, Ciências Exatas e da Terra, Ciências Humanas, Ciências da Saúde, Ciências
Sociais Aplicadas e Lingüística, Letras e Artes. Além do agrupamento em áreas do
conhecimento, existe também a divisão dos cursos em diurnos e noturnos.
No concurso vestibular de 2004, a UFMG disponibilizou 4.594 vagas. Considerando-se a
hipótese de que todas as vagas são preenchidas, devido à alta concorrência do vestibular da
UFMG. Dessa forma, a população total em estudo é composta por 4.594 alunos.
3.3.1 Relação de cursos por área de conhecimento
Ciências Agrárias
Agronomia
Medicina Veterinária
Ciências Biológicas
Ciências Biológicas Diurno
Ciências Biológicas Noturno (Licenciatura)
41
Engenharias
Engenharia Civil
Engenharia de Controle e
Automação
Engenharia de Minas
Engenharia de Produção
Engenharia Elétrica
Engenharia Mecânica Diurno
Engenharia Mecânica Noturno
Engenharia Metalúrgica
Engenharia Química
Ciências Exatas e da Terra
Ciência da Computação
Ciências Atuariais
Estatística
Física Diurno (Bacharelado)
Física Noturno (Licenciatura)
Matemática Diurno
Matemática Noturno (Licenciatura)
Matemática Computacional
Química Diurno
Química Noturno (Licenciatura)
Ciências Humanas
Ciências Sociais
Filosofia
História Diurno
História Noturno (Licenciatura)
Pedagogia Matutino
Pedagogia Noturno
Psicologia
Ciências da Saúde
Educação sica
Enfermagem
Farmácia
Fisioterapia
Fonoaudiologia
Medicina
Odontologia
Terapia Ocupacional
Ciência da Nutrição
42
Ciências Sociais Aplicadas
Administração Diurno
Administração Noturno
Arquitetura e Urbanismo
Biblioteconomia Diurno
Biblioteconomia Noturno
Ciências Contábeis Noturno
Ciências Econômicas
Comunicação Social
Direito Diurno
Direito Noturno
Geografia Diurno
Geografia Noturno (Licenciatura)
Turismo
Lingüística, Letras e Artes
Artes Cênicas
Belas Artes
Letras Diurno
Letras Noturno
Música Licenciatura
Música Bacharelado
43
3.4 Seleção da Amostra
Foi feito o lculo amostral baseado na estimação de uma proporção de interesse, com uma
margem de erro pré-fixada. O lculo amostral exige a determinação de um valor estimado
para essa proporção. Quando é fixado o valor de 50%, o tamanho amostral resultante é o
maior possível, e esse foi o critério utilizado.
A escolha do tamanho da amostra foi feita levando-se em consideração a melhor relação
custo/benefício possível, sendo que o critério a ser adotado é o erro de estimação de 5%, que
corresponde a um total de 368 alunos (TAB. 1).
TABELA 1
Resultado do cálculo da amostra segundo a margem de erro
Estratos Erro (5%)
Ciências Agrárias – Diurno 13
Ciências Biológicas - Diurno 6
Engenharias – Diurno 55
Ciências Exatas e da Terra – Diurno 27
Ciências Humanas – Diurno 29
Ciências da Saúde – Diurno 81
Ciências Sociais Aplicadas – Diurno 56
Linística, Letras e Artes – Diurno 23
Ciências Biológicas – Noturno 6
Engenharias – Noturno 6
Ciências Exatas e da Terra – Noturno 10
Ciências Humanas – Noturno 9
Ciências Sociais Aplicadas – Noturno 33
Linística, Letras e Artes – Noturno 13
Total 368
44
O lculo amostral foi realizado por amostragem aleatória estratificada. Essa metodologia é
adequada para situações nas quais a população de interesse pode ser dividida em estratos,
cuja principal característica é a homogeneidade dentro de cada um deles e a heterogeneidade
entre os estratos. Ou seja, elementos de um mesmo estrato são parecidos e elementos de
estratos diferentes não são parecidos em relão às características que se objetiva estudar.
As ter sido determinado o tamanho da amostra total e o número de questiorios a serem
aplicados em cada estrato, a etapa seguinte na organização do trabalho de campo foi a
definição de como seriam selecionados os alunos.
Os questiorios foram aplicados a partir do sorteio de um ou mais cursos de cada área do
conhecimento e, dentro desses cursos, sorteou-se uma turma, de modo que a amostra fosse
representativa de cada área determinada e que no final os resultados não refletissem apenas a
realidade de um ou outro curso da UFMG, mas sim da UFMG como um todo. A Tabela 2
apresenta a distribuição da população alvo nos grupos de interesse, chamados de estratos.
Cada estrato será composto pela combinação de uma área do conhecimento e do turno.
45
TABELA 2
Distribuição da população nos diferentes estratos
Estrato População Percentual
Ciências Agrárias – Diurno 160 3,5
Ciências Biológicas – Diurno 80 1,7
Engenharias – Diurno 690 15,0
Ciências Exatas e da Terra –
Diurno
335 7,3
Ciências Humanas – Diurno 367 8,0
Ciências da Saúde – Diurno 1008 21,9
Ciências Sociais Aplicadas –
Diurno
702 15,3
Linística, Letras e Artes – Diurno
292 6,4
Ciências Biológicas – Noturno 80 1,7
Engenharias – Noturno 80 1,7
Ciências Exatas e da Terra –
Noturno
120 2,6
Ciências Humanas – Noturno 110 2,4
Ciências Sociais Aplicadas –
Noturno
410 8,9
Linística, Letras e Artes –
Noturno
160 3,5
Total 4594 100,0
A seleção dos alunos foi feita de forma aleatória, através de uma metodologia conhecida
como amostragem sistemática, onde o primeiro aluno entrevistado foi escolhido ao acaso. A
partir daí estipulou-se um “saltopara a aplicação do próximo questionário. Essa forma de
seleção tem a vantagem de não se fazer necessária a obtenção da listagem de todos os
elementos da população e, o principal, garante a aleatoriedade na seleção dos entrevistados.
Foram adotados os seguintes critérios de elegibilidade dos alunos:
Ter idade compreendida entre 18 e 24 anos completos;
Ser matriculado regularmente no primeiro ano de um curso da UFMG;
46
Estar presente em sala de aula na data e hora da aplicação do questionário;
Assinar o Termo de Consentimento Livre e Esclarecido (ANEXO B), demonstrando
concordância em participar da pesquisa.
3.5 Procedimento e local para a coleta de dados
A aplicação dos questionários foi realizada por indivíduos familiarizados com o instrumento
e preparados para esclarecer dúvidas quando necessário. A coleta ocorreu no Campus
Pampulha da Universidade Federal de Minas Gerais, mediante autorização formal dos
diretores das Unidades onde o instrumento foi aplicado (Instituto de Ciências Biológicas,
Instituto de Ciências Exatas, Instituto de Geociências, Faculdade de Filosofia e Ciências
Humanas e Faculdade de Letras).
Os alunos foram informados a respeito dos objetivos da pesquisa e a forma pela qual os
dados obtidos seriam tratados, reforçando-se o anonimato, a fim de que se conseguisse maior
sensibilização dos mesmos e maior fidedignidade dos relatos. Aqueles que concordaram em
participar receberam o Termo de Consentimento, o qual foi devidamente assinado e
depositado em urna especial. Os questionários preenchidos foram depositados em outra urna.
O questionário foi aplicado em sala de aula, no início ou final do horário, após livre adesão.
Os professores das turmas sorteadas foram contatados e comunicados com antecedência para
47
que transtornos eventuais fossem minimizados. A data agendada para a aplicação do
questionário não foi divulgada aos alunos.
Esse projeto foi submetido à avaliação pelo Departamento de Pediatria da Faculdade de
Medicina da UFMG (Parecer 46/2004) e pelo Comitê de Ética e Pesquisa da UFMG (Parecer
ETIC. 286/04), tendo sido aprovado.
3.6 Instrumento
O instrumento de coleta de dados caracteriza-se por um questionário de autopreenchimento
(ANEXO A) constando de perguntas sobre idade de acesso ao álcool, freqüência de
ingestão, quantidade e tipo de bebida alcoólica consumidos, local de consumo e parceiros
mais freqüentes, ocorrência de bebedeira, embriaguez e suas conseqüências.
Esse instrumento, proposto pela Organização Mundial de Saúde (SMART et al., 1980), foi
adaptado para a realidade brasileira pelo Centro Brasileiro de Informações sobre Drogas
Psicotpicas (CEBRID) e modificado pelos pesquisadores responsáveis a fim de que os
objetivos do trabalho fossem melhor contemplados: foram retiradas questões referentes a
outras drogas que o as lícitas e acrescentadas questões referentes a fatores de risco para
uso de álcool, reconhecidos como tal pela Organização Mundial de Saúde e pela literatura
científica (BARNES et al., 1992; CARVALHO & CARLINI-COTRIM, 1992; DE
MICHELI & FORMIGONI, 2001; ELLIS et al., 1997; FOXCROFT & LOWE, 1991;
GRANT & DAWSON, 1997; HAWKINS et al., 1992; JACKSON et al., 1999; JACOB &
48
JOHNSON, 1997; WHO, 1981; SIMANTOV et al., 2000; WECHSLER et al., 2000;
WETZELS et al., 2003; WILSNACK & WILSNACK, 1997).
3.7 Processamento e Análise dos Dados
Para processamento e análise dos dados foi construído um banco de dados com o software
EPI-INFO, com dupla digitão por profissionais distintos.
As medidas descritivas são apresentadas em porcentagens e tabelas com a média, mediana,
mínimo, máximo e desvio padrão. O valor de n refere-se ao tamanho da amostra avaliada.
As comparações entre sexo e os grupos etários com relação às variáveis de interesse foram
realizadas utilizando-se o teste Qui-quadrado. Nos casos em que ocorreram valores
esperados menores do que cinco, utilizou-se o teste exato de Fisher.
Todos os resultados foram considerados significativos para uma probabilidade de
significância inferior a 5% (p<0,05), havendo pelo menos 95% de confiança nas conclusões
apresentadas.
49
4 RESULTADOS
4.1 Descrição da população estudada
Em todos os resultados dessa descrão foram avaliados 375 alunos. Quando outro n for
utilizado, haveindicação no texto.
4.1.1 Idade
Foram entrevistados 375 universitários com idade entre 18 e 25 anos, com uma média igual a
19,5 anos e desvio- padrão de 1,6 anos. A maior concentração de alunos ocorreu na faixa
etária de 18 a 20 anos (77,0%), seguida pela faixa de 21 a 22 anos (16,8%) e 6,2% de 23 a 25
anos (TAB. 3).
TABELA 3
Distribuição dos alunos segundo a idade
Freqüência
Idade
N %
18 129 34,4
19 104 27,7
20 56 14,9
21 34 9,1
22 29 7,7
23 15 4,0
24 3 0,8
25 5 1,3
Total 375 100,0
50
4.1.2 Sexo
Quanto ao sexo, observou-se que 59,2% eram do sexo masculino e 40,8% do sexo feminino
(GRAF. 1).
Masculino
59,2%
Feminino
40,8%
GRÁFICO 1: Distribuição dos alunos segundo o sexo
4.1.3 Classe socioeconômica
Entre os alunos entrevistados, 40,4% foram classificados no estrato A, 29,9% no estrato B,
26,7% no estrato C e 3,0% no estrato D, de acordo com a escala da ABIPEME (ANEXO C).
Nenhum aluno foi classificado no estrato E (GRAF. 2).
51
3,0
26,7
29,9
40,4
0,0 10,0 20,0 30,0 40,0 50,0 60,0 70,0 80,0 90,0 100,0
D
C
B
A
Classe social
Porcentagem
GRÁFICO 2: Distribuição dos alunos segundo a classe socioecomica
4.1.4 Situação atual de moradia
A maioria dos alunos (78,7%) declarou que mora com os pais, 10,9% declararam que moram
com amigos ou colegas, 1,9% relatou morar sozinho e 8,5% declararam morar com outras
pessoas, não especificadas (GRAF. 3).
Sozinho
1,9%
Amigos ou colegas
10,9%
Outros
8,5%
Pais 78,7%
GRÁFICO 3: Distribuição dos alunos segundo a situação atual de moradia
52
4.1.5 História familiar de ingestão excessiva de álcool
A presença de ingestão excessiva de álcool na família foi citada em 41,6% dos casos. Tio
(20,8%), pai (13,6%) e iros (4,8%) foram os familiares mais citados pelos estudantes
(Tabela 4).
TABELA 4
Distribuição dos familiares que bebem demais segundo os entrevistados
Freqüência
Familiares N %
NÃO
219 58,4
Pai 51 13,6
Tio 78 20,8
Mãe 9 2,4
Padrasto 2 0,5
Sogro / sogra 2 0,5
Primos 6 1,6
Irmãos 18 4,8
Avô 7 1,9
Sim (sem especificação) 2 0,6
Nota: O percentual o totaliza 100%, pois alguns entrevistados citaram mais de uma pessoa
que bebe demais
4.1.6 Relacionamento com os pais
A maioria dos estudantes respondeu que tem bom ou ótimo relacionamento com os pais
(88,8%), 10,1% disseram manter um relacionamento regular e 1,1%, ruim. Nenhum aluno
relatou ter um péssimo relacionamento com seus pais (GRAF. 4).
53
Ótimo
47,2%
Regular
10,1%
Ruim
1,1%
Bom
41,6%
GRÁFICO 4: Distribuição dos alunos segundo o relacionamento com os pais
4.1.7 Relacionamento entre os pais
O percentual de alunos que relataram um bom ou ótimo relacionamento entre seus pais foi
de 68%. Relacionamento regular entre os pais foi citado por 20,3% dos estudantes, ruim, por
6,1% e péssimo por 5,6% (GRAF. 5).
Ótimo
32,5%
Regular
20,3%
Ruim
6,1%
Péssimo
5,6%
Bom
35,5%
GRÁFICO 5: Distribuição dos alunos segundo o relacionamento entre os
pais
54
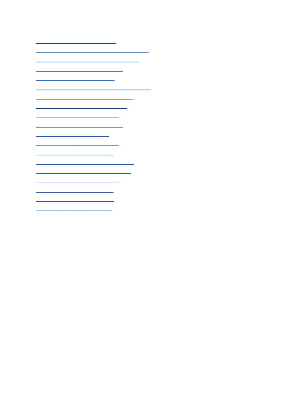
4.1.8 Atividades extracurriculares
Conforme pode ser observado no Gráfico 6, 52,4% dos alunos relataram praticar alguma
religião; 64,5% disseram praticar esporte ou atividade sica e 42,5% informaram trabalhar
com ou sem remuneração.
52,4
64,5
42,5
47,6
35,5
57,5
0
10
20
30
40
50
60
70
80
90
100
Atividade religiosa Atividade física Forma de trabalho
Porcentagem
Sim
Não
GRÁFICO 6: Distribuição dos alunos segundo o fato de praticar religião,
atividade sica ou esportiva e trabalho
4.1.9 Satisfação com qualidade de vida
Apenas 13,9% dos estudantes disseram não estar satisfeitos com sua qualidade de vida.
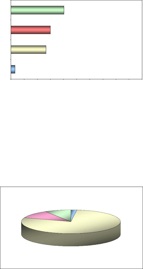
4.1.10 Qualidade de informação sobre álcool, seus efeitos e conseqüências
A maioria (96,5%) dos alunos relatou ter um bom ou excelente nível de informação a
respeito do álcool, seus efeitos e conseqüências (GRAF. 7).
55
ssimo
0,3%
Bom
69,6%
Excelente
26,9%
Ruim
3,2%
GRÁFICO 7: Distribuição dos alunos segundo a qualidade de informação
sobre álcool e seus efeitos
4.1.11 Uso de cigarro na vida, no ano e no mês
Entre os alunos que participaram do estudo, 41,1% declararam que já fumaram cigarro
alguma vez na vida. Entre esses que experimentaram, 59,1% fizeram uso de cigarro pelo
menos uma vez no último ano e 31,8% fizeram uso no último mês. Desses, 9,7% fizeram uso
moderado e 6,5% fizeram uso pesado de cigarro (TAB. 5).
TABELA 5
Distribuição dos alunos segundo o uso de cigarro no ano e no mês
Freqüência
Uso de cigarro
n %
No ano 91 59,1
No mês 49 31,8
Leve 24 15,6
Freqüente ou moderado 15 9,7
Pesado 10 6,5
Nota: O percentual refere-se ao total de alunos que já fumaram (154)
56
4.2 Descrição da primeira experiência com álcool
Em todos os resultados dessa descrição foram considerados os alunos que tomaram bebida
alcoólica alguma vez na vida (n=343). Quando outro n for utilizado, haverá indicação no
texto.
4.2.1 Idade
A idade em que começaram a beber variou de 5 a 20 anos, principalmente de 11 a 18 anos,
com uma média igual a 14,6 anos. Tomaram álcool pela primeira vez entre 14 e 16 anos,
34,1% dos alunos, 11,9% entre 11 e 13 anos e 11,4% entre 17 e 18 anos. Apenas 9,3%
relataram ter experimentado álcool após 18 anos e 37,6% disseram não se lembrar da idade
que tinham quando tomaram bebida alcoólica pela primeira vez (GRAF. 8).
0,9
0,5 0,5
1,4
0,9
2,3 2,3
6,5
10,3
16 ,4
23,4
15
10,3
7,9
0,5
0,9
0
10
20
30
40
50
60
70
80
90
100
5 6 7 8 9 10 11 12 13 14 15 16 17 18 19 20
Idad e do prim eiro u so de álco ol
Porcentagem
GRÁFICO 8: Distribuição dos alunos segundo a idade de experimentação de álcool
57
Não foi identificada uma diferença com significância estatística entre os sexos, sendo que
homens e mulheres apresentaram idades médias de experimentação de álcool equivalentes,
14,4 e 14,8 anos respectivamente (TAB. 6).
TABELA 6
Medidas descritivas da idade de experimentação de álcool, geral e por sexo
Medidas descritivas
Grupo Mínimo Máximo Mediana Média d.p. p
Geral 5,0 20,0 15,0 14,6 2,5
Sexo 0,287
Masculino 5,0 19,0 15,0 14,4 2,5
Feminino 7,0 20,0 15,0 14,8 2,4
Nota: O valor de p refere-se ao teste t de Student
4.2.2 Acesso à primeira ingestão de álcool
A pessoa que ofereceu bebida alcoólica pela primeira vez tratava-se de um familiar em
29,8% dos casos e de um amigo ou colega em 43,7% dos casos. Apenas 9,3% disseram que
estavam sozinhos quando experimentaram álcool pela primeira vez. Cinqüenta e sete alunos
o se lembraram desse dado.
Quanto ao local em que estavam quando beberam pela primeira vez, a própria casa ou a casa
de familiares foi citada por 34,1% dos alunos. Estabelecimentos comerciais ou de lazer,
como bares, boates e estádios foram citados por 32,9% dos alunos. A casa de amigos ou
colegas foi indicada por 14,3%. Sessenta e quatro alunos relataram não se lembrar desse
dado (TAB. 7).
58
TABELA 7
Distribuição dos alunos que já experimentaram álcool segundo a pessoa que primeiro
ofereceu a bebida e o local de experimentação
Quem ofereceu pela 1ª vez
Familiares 102 29,8
Amigos ou colegas 150 43,7
Comprou ou estava sozinho 32 9,3
Outros (Garçom) 2 0,6
Não lembra 57 16,6
Total 343 100,0
Local em que estava na 1ª vez
Em casa ou casa de familiares 117 34,1
Bares, boates, estádios (shows, jogos) 113 32,9
Casa de amigos ou colegas 49 14,3
Outros (não especificados) 0 0
Não lembra 64 18,7
Total 343 100,0
Não observamos diferença com significância estatística em relação ao consumo mensal
(p=0,185) e problemático (p= 1,000) de álcool, nem em relação à ocorrência de bebedeira
(p=0,058), considerando-se a pessoa que primeiro ofereceu bebida alcoólica (Gráfico 9).
21,6
30,7
37,5
26,8
78,4
69,3
62,5
0
73,2
100,0
0
10
20
30
40
50
60
70
80
90
100
Familiares Amigos / Colegas Comprou /
Estava sozinho
Outros Não lembra
Porcentagem
5 doses ou mais
A 4 doses
p = 0,058
GRÁFICO 9: Comparação da ocorrência de bebedeira segundo a pessoa que ofereceu
bebida pela primeira vez
Nota: O Teste de Fisher foi realizado desconsiderando os que não lembraram quem ofereceu bebida
59
4.3 Descrição do uso de álcool na vida, no ano e no mês
Os resultados indicam que 91,5% dos alunos tomaram bebida alcoólica alguma vez no
decurso de suas vidas, com taxas de uso no ano e uso no mês de 89,8% e 69,9%
respectivamente, ou seja, 10,2% dos estudantes que já beberam alguma vez na vida não
bebiam pelo menos um ano e 19,9% não bebiam pelo menos um mês. Entre aqueles
que disseram ter bebido no último mês (69,9%), 43,6% fizeram uso leve do álcool, 21,6%
fizeram uso freqüente e 4,7% fizeram uso pesado de bebida alcoólica. (TAB. 8 e GRAF. 10)
TABELA 8
Distribuição dos alunos segundo o uso de álcool na vida, no ano e no mês
Freqüência
Uso de álcool n %
No ano
307 89,8
No mês
239 69,9
Leve 149 43,6
Freqüente ou moderado 74 21,6
Pesado 16 4,7
Nota: O percentual refere-se ao total de alunos que já consumiram álcool na vida (342)
1 caso sem informação
60
Não fazem uso há 1 ano
10,2%
Não fazem uso há 1
mês
19,9%
Uso leve
43,6%
Uso frequente
21,6%
Uso pesado
4,7%
GRÁFICO 10: Distribuição dos alunos segundo o uso de álcool no ano e no
mês
Levando-se em consideração o sexo, o se observou diferença com significância estatística
em relação ao uso leve, freqüente ou moderado e pesado de álcool (χ
2
=2,80, p= 0,247)
(GRAF. 11).
5 8 , 6
6 9 , 5
3 3 , 8
2 5 , 6
7 ,6
4 ,9
0
1 0
2 0
3 0
4 0
5 0
6 0
7 0
8 0
9 0
1 0 0
M a s c u l in o F e m i n i n o
L e v e
F r e q u e n te
P e s a d o
p = 0 , 2 4 7
GRÁFICO 11: Comparação entre percentuais de uso de álcool no s, considerando-se o
sexo
61
Quanto à idade, também não foi observada diferença significativa em relação ao uso leve,
freqüente ou moderado e pesado de álcool (χ
2
= 10,74, p= 0,551) (Gráfico 12).
26,7
28,9
26,4
44,0
38,3
45,0
41,2
47,2
40,0
42,6
25,8
22,7
18,9
12,0
17,0
2,5
7,2
7,5
4,0
2,1
0
10
20
30
40
50
60
70
80
90
100
18 19 20 21 22 a 25
Porcentagem
Não usa
Uso leve
Uso frequente
Uso pesado
p = 0,551
GRÁFICO 12: Comparação entre os percentuais de uso de álcool no s,
considerando-se a idade
4.4 Descrição do padrão de uso de álcool
Em todos os resultados dessa descrição, considerou-se o total de alunos que já beberam
alguma vez na vida (n=343). Quando outro n for utilizado, haverá indicação no texto.
62
4.4.1 Tipos de bebida alcoólica consumidos
A cerveja e o chope foram as bebidas mais freqüentemente consumidas, citadas por 45,2%
dos alunos que beberam alguma vez. As bebidas mais adocicadas” (champanhe, vinho,
licor) foram citadas por 20,1% dos estudantes e 13,4% disseram tomar com mais freqüência
bebidas destiladas (pinga, uísque, vodka, conhaque) (TAB. 9).
TABELA 9
Distribuição dos alunos segundo o tipo de bebida alcoólica mais consumido
Tipo de bebida consumido com mais freqüência Freqüência
n %
Não bebe com freqüência 71 20,7
Cerveja ou chope 155 45,2
Pinga, uísque, vodka ou conhaque 46 13,4
Licor, champanhe ou vinho 69 20,1
Outros (não especificados) 2 0,6
Total 343 100,0
Em relação ao consumo de cerveja e chope, houve diferença estatística significativa entre os
sexos (χ
2
=14,99, p< 0,001) (GRAF. 13).
63
53,6
32,4
46,4
67,6
0
10
20
30
40
50
60
70
80
90
100
Masculino Feminino
Porcentagem
Sim
Não
p < 0,001
GRÁFICO 13: Comparação do consumo de cerveja / chope entre os sexos
Em relação às bebidas destiladas, 51,6% relataram consumi-las, sendo que 4,9% fazem uso
freqüente ou moderado e 3,8% afirmaram fazer uso pesado desse tipo de bebida. Não houve
diferença entre os sexos, quanto ao uso leve, freqüente ou moderado e pesado de bebidas
destiladas (χ
2
= 3,27, p=0,071) (GRAF. 14 e 15).
5 5 ,6
4 5 ,6
4 4 ,4
5 4 ,4
0 ,0
1 0 ,0
2 0 ,0
3 0 ,0
4 0 ,0
5 0 ,0
6 0 ,0
7 0 ,0
8 0 ,0
9 0 ,0
1 0 0 ,0
M a s c u lin o F e m in in o
Porcentagem
S im
N ã o
p = 0 ,0 7 1
GRÁFICO 14: Comparação do consumo de bebidas destiladas entre os sexos
64
44,4
44,9
5,3 5,3
54,4
39,7
4,4
1,5
0
10
20
30
40
50
60
70
80
90
100
Não usa Uso leve Uso frequente Uso pesado
Porcentagem
Masculino
Feminino
p = 0,136
GRÁFICO 15: Comparação do uso mensal de bebidas destiladas entre os
sexos
No entanto, ainda considerando-se o sexo, observou-se diferença significativa quanto ao uso
de bebidas adocicadas” (χ
2
=5,66, p=0,017) (GRAF. 16).
26 ,5
73,5
84,1
15,9
0
10
20
30
40
50
60
70
80
90
100
consom e não consom e
Porcentagem
M asculino
Fem inino
p = 0,01 7
GRÁFICO 16: Comparação do consumo de bebidas adocicadas entre os sexos
65
4.4.2 Local de consumo e parceiros mais freqüentes
As principais companhias para beber foram os amigos ou colegas (69,4%), seguidos de
familiares (5,8%) e os locais mais comumente usados para esse consumo foram os
estabelecimentos comerciais ou de lazer (bares, boates, estádios, etc), citados por 67,4% dos
universitários, seguidos da casa de amigos e colegas (13,7%). (TAB. 10).
TABELA 10
Distribuição dos alunos que já experimentaram bebida alcoólica segundo os parceiros e
local de consumo mais freqüentes
Com quem costuma tomar bebidas alcoólicas com mais freqüência
Não bebe com freqüência 81 23,6
Familiares 20 5,8
Amigos ou colegas 238 69,4
Sozinho 4 1,2
Outros (não especificados) 0 0
Total 343 100,0
Onde costuma tomar bebidas alcoólicas com mais freqüência
Não bebe com freqüência 32 9,3
Em casa 33 9,6
Bares, boates ou estádios 231 67,4
Casa de amigos ou colegas 47 13,7
Outros (não especificados) 0 0
Total 343 99,9
4.4.3 Quantidade de bebida alcoólica consumida
Quanto ao número de doses de bebida alcoólica consumidas de cada vez, foi verificado que a
maioria (59,6%) consumiu de 1 a 4 doses, que 12% consumiram menos de uma dose e que
28,4% consumiram cinco ou mais doses numa única ocasião (uso compulsivo, binge
drinking” ou bebedeira) (GRAF. 17 e 18).
66
12,0
22,7
13,7
12,6
10,5
10,2
5,3
4,1
5,6
0,3
1,5
0,3
1,2
0
10
20
30
40
50
60
70
80
90
100
0 1 2 3 4 5 6 7 8 9 10 12 1 5
Nú m ero d e doses con su m idas por vez
Porcentagem
GRÁFICO 17: Distribuição dos alunos segundo o número de doses
consumidas por vez
5 dos e s o u m ais
28,4%
A té 4 doses
71,6 %
GRÁFICO 18: Distribuição dos alunos segundo a ocorrência de bebedeira
Levando-se em consideração o sexo, observou-se diferença com significância estatística,
sendo que o percentual de homens que tomaram cinco ou mais doses por ocasião (37,4%)
67
foi superior ao percentual observado no grupo feminino (14,7%). (χ
2
=20,72, p<0,001)
(GRAF. 19).
37,4
14,7
62,6
85,3
0
10
20
30
40
50
60
70
80
90
Masculino Feminino
Porcentagem
5 doses ou m ais
A 4 doses
p<0,001
GRÁFICO 19: Comparação da ocorrência de bebedeira entre os sexos
Considerando-se a idade de experimentação do álcool, os resultados mostraram que o
percentual de alunos que tomavam cinco ou mais doses por ocasião e que experimentaram
álcool pela primeira vez antes dos quinze anos (43,6%) foi significativamente maior que o
encontrado entre aqueles que tomavam a mesma quantidade, mas que experimentaram
álcool após os quinze anos de idade (16,2%). (χ
2
= 16,11, p<0,001) (GRAF. 20).
68
43,6
16,2
56,4
83,8
0
10
20
30
40
50
60
70
80
90
Até 1 5 anos M ais de 1 5 anos
Porcentagem
5 d oses o u m ais
A té 4 doses
p < 0,001
GRÁFICO 20: Comparação da ocorrência de bebedeira considerando-se a
idade de experimentação de álcool
Entre diferentes idades, não se observou diferença significativa em relação à ocorrência de
bebedeira (χ
2
=4,806, p=0,308) (GRAF. 21).
70 ,8
7 4, 2
6 6,0
6 0,0
80 ,9
1 9,1
4 0,0
3 4,0
2 5,8
2 9,2
0
10
20
30
40
50
60
70
80
90
1 00
1 8 1 9 2 0 2 1 2 2 A 2 5
Porcentagem
5 o u m a is d os es
A té 4 d os e s
p = 0,3 0 8
GRÁFICO 21: Comparação da ocorrência de bebedeira entre as idades
69
4.4.4 Episódios de embriaguez
Entre os alunos que beberam, 67,5% afirmaram ter se embriagado ao menos uma vez em
suas vidas e 32,4% não o fizeram. Entre aqueles que já se embriagaram, 38,3% afirmaram
tê-lo feito no último mês; 8,3% afirmaram se embriagar freqüentemente, isto é, entre 6 e 19
dias no mês e 5,2% se embriagaram em 20 ou mais dias no último mês (GRAF. 22 e TAB.
11).
N ão
32,5 %
S im
67,5 %
GRÁFICO 22: Distribuição dos estudantes que já beberam segundo a
ocorrência de embriaguez na vida
TABELA 11
Distribuição dos alunos segundo a ocorrência de embriaguez no último mês
Freqüência
Embriaguez no último mês n %
Não 142 61,7
De 1 a 5 dias 57 24,8
De 6 a 19 dias 19 8,3
Em 20 dias ou mais 12 5,2
Total 230 100,0
70
Considerando-se o sexo, como registrado no Gráfico 22, observou-se diferença com
significância estatística, sendo que o percentual de alunos do sexo masculino (76,7%) que se
embriagaram alguma vez no decorrer de suas vidas é maior que o encontrado no sexo
feminino (53,7%). (χ
2
=19,80, p<0,001).
23,3
46,3
76,7
53,7
0
10
20
30
40
50
60
70
80
90
Masculino Feminino
Porcentagem
Não
Sim
p < 0,001
GRÁFICO 23: Comparação da ocorrência de embriaguez na vida entre os
sexos
O Gráfico 24 mostra que também houve diferença com significância estatística entre os
sexos, no que diz respeito à ocorrência freqüente de embriaguez, ou seja, os alunos do sexo
masculino se embriagaram freqüentemente no último mês mais que os alunos do sexo
feminino. (χ
2
=7,95, p=0,005)
71
1 2 , 6
3 ,7
8 7 ,4
9 6 ,3
0
1 0
2 0
3 0
4 0
5 0
6 0
7 0
8 0
9 0
1 0 0
M a s c u lin o F e m in in o
Porcentagem
S i m
N ã o
p = 0 , 0 0 5
GRÁFICO 24: Comparação da ocorrência de embriaguez freqüente entre os
sexos
Não houve diferença com significância estatística, em relação à ocorrência de embriaguez na
vida, considerando-se idade (χ
2
= 1,79, p= 0,774) ou classe socioecomica (χ
2
=
0,390, p=
0,533) (GRAF. 25 e 26).
35,8
33,0
30,2
32,0
25,5
64,2
67,0
69,8
68,0
74,5
0
10
20
30
40
50
60
70
80
90
100
18 19 20 21 22 A 25
Porcentagem
Não
Sim
p = 0,774
GRÁFICO 25: Comparação da ocorrência de embriaguez na vida entre as idades
72
35 ,2
3 1,6
64 ,8
68 ,4
0
1 0
2 0
3 0
4 0
5 0
6 0
7 0
8 0
C / D A / B
Porcentagem
N ão
S im
p = 0 ,5 33
GRÁFICO 26: Comparação da ocorrência de embriaguez na vida entre as
classes socioeconômicas
Em relação à ocorrência de embriaguez freqüente no último mês (uso problemático), também
o houve diferença com significância estatística, considerando-se idade (χ
2
=8,27, p=0,071).
No entanto, observou-se diferença com signifincia estatística entre as classes
socioeconômicas. Estudantes de classes socioeconômicas mais altas apresentaram maior
percentual de uso problemático do álcool (11,4%) que estudantes de classes socioeconômicas
inferiores (2,2%) (TAB. 12).
73
TABELA 12
Distribuição dos alunos que já consumiram álcool segundo a ocorrência de embriaguez
freqüente considerando-se a idade e a classe socioeconômica
Ocorrência de embriaguez no mês
Freqüente
0 a 5 dias
n % n % P
Idade
18 anos 16 20,8 61 79,2 0,071
19 anos 10 15,4 55 84,6 8,27*
20 anos 3 8,1 34 91,9
21 anos 1 6,3 15 93,8
22 a 25 anos 1 2,9 34 97,1
Total
31 199
Classe socioeconômica
C e D 2 2,2 90 97,8
0,008
A e B 28 11,4 218 88,6
χ
2
=7,02
Total
30 308
Nota: * Valor do teste exato de Fisher
4.4.5 Conseqüências da embriaguez
Questionados sobre fatos decorrentes da embriaguez, 14,9% relataram ter dirigido veículos,
11,1% afirmaram ter transado sem preservativo, 9,4% declararam ter brigado ou agido
violentamente, 5,6% disseram ter sofrido ou causado algum tipo de acidente e 20,8%
mencionaram ter faltado às aulas ou trabalho (TAB. 13).
TABELA 13
Conseqüências da embriaguez
Conseqüências da embriaguez n freqüência
Brigou ou ficou violento 32 9,4
Transou sem preservativo 38 11,1
Perdeu aula, trabalho ou compromisso importante 71 20,8
Causou ou sofreu acidentes 19 5,6
Dirigiu 51 14,9
74
4.5 Fatores associados ao uso pesado, compulsivo e problemático de álcool
Em relação ao uso pesado de álcool, isto é, consumo de bebidas alcoólicas em 20 ou mais
dias por mês, observou-se diferença com significância estatística entre os alunos que
moravam com os pais e aqueles que não moravam. Conforme ilustrado no Gráfico 27,
estudantes que não residiam com seus pais apresentaram um percentual de consumo pesado
de álcool (10%) maior que aqueles que residiam (3,3%). (χ
2
= 5,59, p= 0,027).
10,0
3,3
90,0
96,7
0
10
20
30
40
50
60
70
80
90
100
Não Sim
Mora com os pais
Porcentagem
Sim
Não
p = 0,027
GRÁFICO 27: Comparação do uso pesado de álcool, considerando-se o fato
de morar com os pais
Em relação ao uso compulsivo ou bebedeira, isto é, o consumo de cinco ou mais doses numa
única ocasião, observou-se diferença com significância estatística entre os alunos que
praticavam alguma religo e os que negaram essa atividade. Estudantes que não praticavam
alguma religião apresentaram um percentual de consumo compulsivo de álcool (36,1%)
maior que aqueles que praticavam (20,9%) (TAB. 14).
75
TABELA 14
Uso compulsivo de álcool (bebedeira) considerando-se as atividades extracurriculares
Uso compulsivo
Sim Não
n % n % p
Religião
Não 61 36,1 108 63,9
0,002
Sim 36 20,9 136 79,1 9,63*
Total 97 244
Atividade física ou
esportiva
Não 29 23,2 96 76,8 0,108
Sim 68 31,3 149 68,7 2,58*
Total 97 245
Trabalho
Não 55 27,9 142 72,1 0,801
Sim 42 29,2 102 70,8 0,064*
Total 97 244
Nota: * Valor do teste exato de Fisher
Em relação ao uso problemático, isto é, à ocorrência freqüente de embriaguez, observou-se
diferença com significância estatística entre alunos que fumavam com freqüência e alunos
que não tinham esse hábito. Estudantes que faziam uso freqüente e pesado de cigarro
apresentaram percentual de uso problemático de álcool (32,0%) maior que aqueles que não
tinham bito de fumar (7,3%) (TAB. 15).
76
TABELA 15
Uso problemático de álcool considerando-se o hábito de fumar
Uso problemático
Sim Não
Hábito de fumar
N % n % Total p
Sim 8 32,0 17 68,0
25 0,001
Não 23 7,3 294 92,7
317
17,21*
Total 31 311 342
Nota: * Valor do teste exato de Fisher
Não foram encontradas diferenças estatísticas significativas, considerando-se história
familiar de ingestão excessiva de álcool, qualidade de relacionamento com e entre os pais,
satisfação com qualidade de vida e qualidade de informação sobre álcool e seus efeitos, para
nenhum desses padrões de consumo, nem para o uso freqüente de álcool (TAB. 16).
TABELA 16
Resultados do teste Qui-quadrado / Fisher para as variáveis de interesse
Variáveis
Estimativas
Uso
compulsivo
Uso pesado
Uso
problemático
Uso
freqüente
χ
χχ
χ
2
1,50 0,027 0,962 1,363
História familiar de
ingestão alcoólica
excessiva
P 0,351 0,869 0,327 0,714
χ
χχ
χ
2
0,001 2,401
Relacionamento com
os pais
P 0,974 0,428* 0,781* 0,493
Relacionamento entre
os pais
χ
χχ
χ
2
P
0,617
0,432
0,053
0,817
3,184
0,074
1,472
0,689
χ
χχ
χ
2
0,025 3,77
Satisfação com a
qualidade de vida
P 0,876 0,073* 0,107* 0,287
χ
χχ
χ
2
Informação sobre
álcool e seus efeitos
P 0,332 1,000* 0,298* 1,000*
Nota: O valor de p refere-se ao teste Qui-quadrado; * Teste exato de Fisher
77
5 DISCUSSÃO
Vários aspectos metodológicos podem afetar os resultados de uma pesquisa, devendo ser
considerados no momento da discussão.
Inicialmente, é importante ressaltar que a descrição quantitativa de uso de álcool em uma
população específica, conforme realizado no presente trabalho, não reflete, per se, o
comportamento da população estudada. Para analisar a situação real do consumo de álcool,
considerando a quantidade, freqüência e o padrão de uso, a epidemiologia é um instrumento
necessário (CARLINI et al., 1989), porém não suficiente, pois informa a dimensão da
presença da droga na população estudada, mas não as finalidades e as motivações para o uso
(BUCHER, 1992). Também é fundamental dizer que por se tratar de um estudo descritivo,
o se identificou aqui relação causal entre variáveis, mas apenas associações descritivas.
Segundo Gfroerer et al. (1997), o modo como é selecionada a amostra, como os
entrevistados são abordados e como a aplicação dos questionários é realizada parece ser
fator essencial para a aproximação da realidade do femeno, especialmente no caso de
medão de prevalência de uso de álcool e drogas. Levando-se em consideração esses
fatores, procurou-se contornar as limitações do estudo em questão, a fim de que o resultado
apresentado fosse o mais fidedigno possível.
No presente estudo, a amostra utilizada foi selecionada aleatoriamente e estratificada, sendo
representativa da população de alunos recém ingressados na UFMG. Dessa forma, os
resultados não podem ser generalizados para a população jovem em geral, posto que
78
refletem a realidade apenas de uma população específica, que tem suas características
próprias, a de universitários do primeiro ano da UFMG.
As informações foram coletadas através de questionário de autopreenchimento. Registra-se
comumente menos de 1% de recusa na resposta, enquanto que as pesquisas feitas através de
entrevistas face a face apresentam entre 20 e 30% de recusa (SMART et al., 1980). No
estudo não houve recusas de estudantes em responder aos questiorios. Isso talvez se deva
ao extremo cuidado no esclarecimento dos alunos sobre os objetivos da pesquisa e na
garantia enfática do anonimato.
Por outro lado, não foi possível obter o percentual de alunos ausentes no dia da aplicação do
questionário, limitação de qualquer pesquisa realizada em escolas. Entretanto, acreditamos
poder excluí-lo como viés, uma vez que os alunos desconheciam a data na qual a pesquisa
foi realizada. Pode-se ainda supor que outros motivos, além do uso e abuso de álcool,
que justifiquem a ausência desses estudantes, tornando pouco provável que os alunos
faltosos sejam, de fato, os mais envolvidos com o uso de álcool. De qualquer forma, os
entrevistadores observaram que as classes estavam cheias, de modo geral, indicando que o
número de faltosos foi possivelmente pequeno nos dias de aplicação do instrumento.
Uma vez que informações obtidas por meio de auto-relato podem estar sujeitas a algum viés
de informação, optou-se por um questionário que já fosse validado, proposto pela OMS e
adaptado pelo CEBRID para a realidade brasileira. Chor et al. (2003), em estudo tipo teste-
reteste sobre a validade e a confiabilidade de informações auto-referidas a respeito de
consumo de álcool e tabaco, encontraram níveis substanciais de concordância. Ainda assim,
deve-se salientar que o tipo de questionário utilizado no presente trabalho mede o relato do
79
consumo de drogas e não o consumo em si, devendo-se portanto, ter cautela na interpretação
dos dados.
É preciso considerar a possibilidade de viés de memória. As informações sobre a idade de
experimentação do álcool, quem ofereceu a bebida e local onde estava quando bebeu pela
primeira vez estão sujeitas a esse tipo de viés. Para reduzir a chance desse viés ocorrer,
manteve-se no questionário, como alternativa de resposta a essas perguntas, a opção não
lembro”.
A possibilidade de viés de seleção é remota, considerando-se a população entrevistada e a
natureza do assunto pesquisado. Acreditamos que os entrevistados, jovens universitários,
maiores de idade ou já no final da adolescência, sejam uma população diferenciada e
consciente o bastante da importância da veracidade de seu relato. Além disso, o álcool é
uma droga cujo consumo é legalizado, sendo muito pouco provável que algum aluno que
tenha bebido ou beba, negue esse fato.
Entretanto, ainda é possível que tenha ocorrido algum subdimensionamento dos dados,
especialmente em relação à questão referente às conseqüências da embriaguez, cujas
alternativas de resposta eram brigar ou ficar violento, ter relações sexuais sem preservativo,
perder aula, trabalho ou outro compromisso importante e causar ou sofrer acidentes.
Respondendo a expectativas da sociedade e suas leis, que desaprovam algumas dessas
condutas, pode-se supor que alguns alunos as tenham omitido, contribuindo para que os
dados fossem subestimados.
80
Um outro aspecto que merece ser pontuado diz respeito à falta de consenso na literatura
sobre as diversas denominações dos padrões de consumo de álcool intermediários entre
experimentação e dependência, algumas delas vagas e pouco precisas. Gill (2002), por
exemplo, revisando os níveis de consumo de álcool em universitários britânicos nos últimos
vinte e cinco anos, encontrou pelo menos sete definições diferentes para o binge drinking.
Segundo Dawson (1998), a falta de consenso nas definições desses padrões dificulta a
comparação dos resultados encontrados nas pesquisas e pode levar os pesquisadores a super
ou subestimar os verdadeiros níveis de consumo de álcool.
5.1 Descrição da população estudada e fatores associados ao uso de álcool
A juventude é definida pela OMS como o período de vida entre 15 e 25 anos de idade.
Como o objetivo do trabalho é estudar o uso de álcool em jovens universitários, foram
selecionados somente alunos na faixa etária entre 18 e 25 anos.
A maioria dos estudantes concentrou-se na faixa etária de 18 e 20 anos (77,0%), dado
semelhante ao encontrado no estudo da Fundação Mendes Pimentel (FUMP, 1996) sobre o
perfil socioeconômico e cultural dos alunos de graduação da UFMG. De acordo com esse
estudo, a população de alunos da UFMG, em todas as séries, é basicamente composta por
jovens entre 19 e 22 anos de idade. Quase 70% deles têm até 22 anos, sugerindo o ingresso
precoce do jovem na vida universitária, após a conclusão do ensino secundário.
81
Em relação ao sexo, houve predonio do masculino (59,2%) sobre o feminino (40,8%).
Esse resultado também é concordante com o estudo da FUMP, o qual demonstrou que mais
da metade dos alunos que ingressam na UFMG são do sexo masculino (53,7%), embora
essa distribuição não seja homogênea nos cursos.
De acordo com a classificação da ABIPEME (Associação Brasileira dos Institutos de
Pesquisa de Mercado), 70,3% dos universitários da UFMG estão inseridos nas classes
sociais mais elevadas (A e B), sendo que mais da metade (50,9%) dos pais desses jovens
têm terceiro grau completo. O estudo da FUMP, de 1996, também demonstrou predonio
de jovens inseridos nas classes A e B (71,5%).
A literatura mostra mais comumente que jovens de classes socioeconômicas menos
favorecidas tendem a consumir mais e com maior freqüência bebidas alcoólicas que jovens
de classes mais altas (DE MICHELI & FORMIGONI, 2001; ELLIS et al., 1997), embora
existam outros trabalhos que não corroborem tal relação (DUNCAN et al., 1994;
TUINSTRA et al., 1998). Essa inconsistência pode ser atribuída à falta de consenso sobre as
definições dos diferentes padrões de consumo de álcool (CASSWELL et al., 2002) e ainda,
devido aos diferentes critérios utilizados para estratificação da populão em classes sociais.
Droomers et al. (2003) concluíram que jovens de nível socioeconômico mais baixo bebem
mais, não simplesmente pelo fato de pertencerem a uma classe socioecomica menos
favorecida, mas porque estariam sujeitos a situações de risco concomitantes que
aumentariam ainda mais a chance de uso e abuso de álcool, como por exemplo, uma história
familiar positiva, pior rendimento escolar e pouca união com os pais. Por outro lado, é
82
possível que a maior disponibilidade de dinheiro e uma vida social mais intensa, onde o
acesso às bebidas é quase certo, contribuam para o uso de álcool.
No trabalho em questão, observou-se que alunos de classes socioeconômicas A e B
apresentaram percentual significativamente maior (11,4%) de uso problemático de álcool,
isto é, de ocorrência freqüente de embriaguez, que aqueles das classes C e D (2,2%), não
havendo diferenças entre classes, em relação ao uso freqüente ou pesado de álcool. Queiroz
et al. (2001) encontraram percentuais significativamente maiores de uso na vida de tabaco e
drogas ilícitas entre estudantes de classes mais altas, mas não observaram diferenças entre
as classes em relação ao uso na vida de álcool. Nesse sentido, cabe dizer que quanto mais
barata é a droga, maior é o consumo, ou ainda, que as drogas mais baratas são as mais
consumidas (SCIVOLETTO, 1997 apud QUEIROZ et al., 2001).
A maioria dos entrevistados declarou que mora com os pais (78,7%), dado que também está
de acordo com o estudo da FUMP, onde 64,8% dos alunos da UFMG relataram morar com
os pais. Nesse estudo, dois terços dos alunos já residiam em Belo Horizonte antes de
ingressarem na UFMG.
A situação de moradia pode influenciar o uso de álcool por adolescentes e jovens adultos
(CASSWELL et al., 2002). Morar com os pais parece ser um fator protetor contra a
escalada de uso de álcool (GFROERER et al.,1997), enquanto morar longe deles parece
contribuir para o aumento do consumo dessa bebida (NEWCOMB & BENTLER,1987).
83
Kerr-Corrêa et al. (2002), entre alunos da UNESP, concluíram que morar com amigos pode
ser um fator de risco para uso de álcool e outras drogas.
No presente estudo, não foi encontrada diferença com significância estatística em relação ao
uso leve e freqüente de álcool, considerando-se a situação de moradia. Borini et al. (1994),
em universitários paulistas, também não encontraram associação entre morar ou não com a
família e o consumo de álcool. No entanto, o percentual de uso pesado de álcool entre os
alunos da UFMG que moravam com os pais (3,3%) foi significativamente menor que o
percentual observado entre aqueles que não moravam (10,0%).
Pode-se supor que a presença dos pais, de certa forma, tenha inibido o abuso ou consumo
exagerado de bebidas alcoólicas pelos filhos mas não tenha causado grande impacto sobre o
uso leve e freqüente, uma vez que esses padrões de consumo são até mesmo estimulados
socialmente. Da mesma maneira, pode-se justificar o fato de Andrade et al. (1997) terem
observado a existência de um consumo maior de drogas ilícitas entre os universitários que
moram sem a família, mas não terem encontrado a mesma associão considerando-se o
álcool.
No entanto, é importante relatar que os alunos o foram questionados sobre quanto
tempo residiam na atual moradia. É possível, por exemplo, que estudantes tivessem acabado
de se mudar da casa de seus pais na época da coleta dos dados. Supostamente, um pequeno
espaço de tempo longe de seus responsáveis não seria suficiente para que eles sofressem
algum tipo de inflncia dos novos companheiros de moradia, em relão ao uso de bebidas
alcoólicas. Portanto, deve-se interpretar esses resultados com cautela.
84
Os dados mostram que 41,6% dos alunos consideram que alguém da família bebe demais,
sendo que 45,1% dos familiares citados são parentes de primeiro grau, uma alta prevalência
quando comparada a de 16% observada no estudo de Schwartz et al. (1990). Nunes et al
(1999) mencionaram a preocupação com o fato de ser maior a freqüência de alcoolismo nos
jovens advindos de famílias onde parentes de primeiro grau são bebedores.
A influência do consumo de álcool pelos pais sobre os filhos ainda apresenta dados
controversos na literatura (BORINI et al., 1994). Alguns trabalhos conseguiram demonstrar
associação positiva entre esses dois fatores (McGUE et al., 1996; PETERSON et al., 1994),
contudo, outros estudos não mostraram impacto algum da história familiar no uso
disfuncional de álcool por jovens (BENNETT et al., 1999).
Sanchez et al. (2005), investigando razões para o não uso de drogas entre jovens brasileiros
em situação de risco, concluíram que o consumo de drogas lícitas é tão comum entre
familiares de usuários quanto entre familiares de não usuários. No entanto, perceberam que
os pais de usuários abusam ou fazem uso pesado de álcool enquanto os pais de não usuários
consomem-no de forma leve a moderada. Esses autores acreditam que os pais de não
usuários influenciem seus filhos de maneira que os malefícios e sofrimento decorrentes do
abuso de álcool sejam utilizados como motivo de recusa à droga para a maioria deles. Por
outro lado, observaram que a maior parte dos usuários relatou o abuso no lar como
influência motivadora ao uso, despertando-lhes curiosidade e admiração pelo ato. Esse
mesmo tipo de influência também foi relatado por Ellis et al. (1997).
No presente estudo, não se observou diferenças estatísticas significativas entre alunos que
tinham história familiar positiva de ingestão excessiva de álcool e os que não tinham, em
85
relação ao hábito de beber com freqüência, de forma pesada, compulsiva ou de se
embriagar. É preciso salientar que esse resultado possa ter ocorrido porque as respostas dos
alunos para esta questão (“Voacha que alguém da sua família bebe demais?”) refletem
opiniões subjetivas e não, necessariamente, diagsticos firmados de abuso ou dependência
de álcool. Acreditamos que conhecer a percepção que o jovem tem a respeito do quanto seus
familiares bebem, especialmente os mais próximos, seja tão ou mais importante que saber,
objetivamente, se há alguém alcoolista em sua família.
Quase 89% dos universitários responderam que tem bom ou ótimo relacionamento com seus
pais, cerca de 10% disseram que o relacionamento com os pais é regular e 1,1%, que é ruim.
Nenhum aluno relatou ter um péssimo relacionamento com seus pais. Em contrapartida,
relacionamento péssimo entre os pais foi citado por 5,6% dos estudantes, ruim, por 6,1% e
regular, por 20,3%. Entretanto, também não se observou diferença com significância
estatística entre bebedores freqüentes, pesados, compulsivos e “problema”, considerando-se
a qualidade de relacionamento com e entre os pais.
A baixa qualidade na relação familiar pode gerar um ambiente facilitador ao uso de drogas
(DE MICHELLI & FORMIGONI, 2001). Entre jovens usuários, Sanchez et al. (2005)
observaram que cerca de um terço deles não morava com os pais, devido ao abandono ou
indiferença, por morte dos pais ou separação. Também perceberam que os pais desses
jovens eram pouco preocupados e pouco solícitos e que o ambiente em que viviam era
geralmente desarmônico, em virtude de brigas. Pelo contrário, entre jovens não usuários, os
mesmos autores observaram que a maioria sempre viveu com os pais, em um ambiente
86
cordial onde existiam vínculos de cumplicidade entre pais e filhos, amor, apoio, união e
atenção.
Quanto à prática de atividades extracurriculares, 42,5% declararam trabalhar, 52,4%
declararam praticar alguma religião e 64,5%, alguma atividade sica ou esportiva. O estudo
da FUMP (1996) mostrou que 39,5% dos alunos trabalhavam, 20,3% participavam de
movimentos religiosos e 87% praticavam algum esporte ou atividade física.
A prática de atividades extracurriculares é constantemente encarada pela sociedade como
importante estratégia para afastar jovens do contato com as drogas, na medida em que
ocuparia o tempo ocioso e supostamente propiciador de comportamentos de risco. No
entanto, dados da literatura indicam que a prevenção do uso de álcool e drogas através do
simples preenchimento do tempo livre dos jovens parece ter pouco efeito. Simantov et al.
(2000) não encontraram, em adolescentes, associação significativa entre o hábito de beber
regularmente e o de praticar atividades extracurriculares. Borini et al. (1994) não
encontraram correlão positiva ou negativa entre atividade profissional ou prática de
esportes e consumo de álcool, em alunos de medicina de Marília. Entre universitários
americanos, usuários e não usuários de drogas participavam indistintamente de atividades
esportivas, clubes e organizações poticas (CRAWFORD, 1987).
No trabalho em questão, praticar esportes e exercer alguma forma de trabalho também não
se associaram a um menor uso de álcool. participar de atividades religiosas associou-se a
um consumo de álcool em menor quantidade, ou seja, o percentual de uso compulsivo de
álcool foi significativamente menor entre os universitários que disseram praticar alguma
religião (20,9%) que entre aqueles que relataram não praticá-la (36,1%).
87
Carvalho & Carlini-Cotrim (1992) realizaram o mais amplo estudo sobre atividades
extracurriculares e uso de drogas em adolescentes brasileiros e também encontraram
resultado semelhante: correlão negativa constante entre consumo de álcool e drogas e
prática de atividades religiosas. Outros estudos, realizados em universitários americanos,
verificaram a associação entre não ter religião, ter pouca crença religiosa, não freqüentar a
igreja ou cultos e maior uso de álcool e drogas (CLARCK et al., 1992; CLIFFORD &
EDMUNDSON, 1989; PATOCK-PECKHAM et al., 1998).
Acredita-se que essa associão não se deva à ocupação do tempo que tal atividade
demanda, mas, principalmente, aos valores morais e normas subjacentes aos grupos
religiosos. Pode ser questionado ainda, se o fato de ter seu tempo fora da escola ou
universidade ocupado com atividades pouco prazerosas ou gratificantes atuaria no sentido
oposto, já que algumas pesquisas indicaram a existência de um maior número de usuários
entre os estudantes que também trabalhavam (CARLINI et al., 1989).
A insatisfação com a qualidade de vida é um fator de risco para uso de drogas reconhecido
pela OMS (OMS, 1981). Cerca de 14% dos universitários relataram não estar satisfeitos
com sua qualidade de vida, mas não se observou no estudo, diferença estatística
significativa entre usuários freqüentes, pesados, compulsivos ou “problema” de álcool,
considerando-se esse fator.
Outro fator de risco reconhecido pela OMS é a falta de informação a respeito das drogas.
Acredita-se que quanto mais adequadas forem as informações sobre essas substâncias e que
quanto mais se souber sobre seus efeitos nocivos, menor será o risco de uso (OMS, 1981).
Segundo orientações do National Institute on Drug Abuse, a informação dos efeitos
88
negativos que a droga gera na vida social e pessoal do usuário é importante no afastamento
dos jovens das drogas (NIDA, 1997 apud SANCHEZ et al., 2005).
Sanchez et al. (2005) observaram que a disponibilidade de informações acerca de drogas foi
citada tanto por não usuários quanto por usuários como fator protetor efetivo contra a
experimentação. Os não usuários destacaram o dlogo com a família e a observação direta
dos prejuízos causados por essas substâncias em amigos e familiares, como as principais
fontes de conhecimento sobre o tema. a maioria dos usuários afirmou não ter tido acesso
à informação sobre drogas na adolescência e, quando presente, aquela era insatisfatória e
ineficiente, enfocando apenas os aspectos desejados dessas substâncias.
Na pesquisa em questão, a maioria dos universitários relatou ter um bom (69,6%) ou
excelente (26,9%) nível de informação, afirmando saber muita coisa ou tudo sobre o álcool
e seus efeitos. Não se observou diferença estatística significativa entre os estudantes que
relataram ter bom e excelente níveis de informação e aqueles que disseram ter níveis ruim
(3,2%) e péssimo (0,3%), em relação ao uso freqüente, pesado, compulsivo e problemático
de álcool. Contudo, deve-se ressaltar, que o nível de conhecimento sobre as complicações,
precoces e tardias, do uso de álcool não foi avaliado com critérios objetivos, sendo que as
respostas dos alunos refletem apenas o quanto eles acreditam saber sobre o álcool, seus
efeitos e conseqüências.
Sobre o uso do cigarro, os dados encontrados são semelhantes aos de outras pesquisas que
envolvem tanto universitários quanto a população em geral. As taxas de uso na vida de
tabaco na população brasileira variam de 26,7% em Recife a 44,1% em Porto Alegre e as de
uso freqüente variam de 3,9% no Rio de Janeiro a 14,7% em São Paulo (CEBRID, 1997). A
89
amostra estudada apresentou índices de 41,1% para a categoria uso na vida e de 9,7% para a
categoria uso freqüente, resultado equivalente ao encontrado em universitários de 18 a 24
anos da UNIFESP, onde 8,6% dos alunos tinham hábito de fumar freqüentemente
(RIBEIRO et al., 1996). Quanto ao uso pesado, observou-se taxa de 6,5% no presente
estudo, semelhante ao percentual de 2 a 5,0% encontrado entre alunos da UNESP e de
outras oito faculdades paulistas (KERR-CORRÊA et al., 1999).
É importante perceber que tanto as taxas de uso na vida quanto as taxas de uso freqüente de
tabaco são bem inferiores às do álcool. Além disso, alguns trabalhos vêm demonstrando
uma significativa redução do tabagismo na população universitária, especialmente em
acadêmicos da área de saúde (RUFFINO- NETTO et al., 1981; ROSEMBERG & PERON,
1990). Um estudo realizado em universitários brasileiros com idades variando entre 18 a 25
anos mostrou que 75,0% diminuíram a quantidade de cigarro que fumavam por dia após a
veiculação nos maços, de imagens aversivas sobre conseqüências do cigarro (ROSSETO et
al., 2002).
Segundo Laranjeira & Pinsky (1997), há fatores sociais com poder de persuasão tanto para a
prevenção quanto para estimular padrões inadequados para o beber, por exemplo, demanda
e oferta de bebida, informação e propaganda. Assim, pode-se supor que, ao mesmo tempo
em que têm sido influenciados a consumir bebidas alcoólicas, por meio de propagandas que
associam álcool a sucesso e liberdade, os universitários têm tido bom nível de informação
sobre os malefícios do fumo através de leis proibitivas e campanhas educativas, as quais
podem estar contribuindo para que a juventude de hoje fume menos.
90
Wetzels et al. (1998), em estudo prospectivo, observaram que o uso de tabaco é fator
preditor do uso subsequente de álcool, mais fortemente que o inverso: usuários de álcool
que não fumam são mais prevalentes que fumantes que não bebem. Em universitários de 18
a 24 anos, pelo contrário, Jones et al. (2001) observaram que os estudantes que faziam uso
compulsivo de álcool com freqüência tinham maior chance de vir a fazer uso regular de
cigarro e outras drogas do que aqueles que não seguiam esse padrão.
No presente estudo, observou-se que estudantes que tinham hábito de fumar se
embriagavam mais freqüentemente (32,0%) que aqueles que não tinham esse hábito (7,3%),
mas associação significativa entre hábito de fumar e hábito de beber não foi encontrada. É
necessário maior consistência na definição dos padrões de uso das substâncias e mais
estudos, para que os resultados possam ser adequadamente comparados e um melhor
entendimento da relação entre beber e fumar seja alcançado.
5.2 Descrição da primeira experiência com álcool
Os dados disponíveis sobre a idade de experimentação de álcool desenham uma curva com
início aos 10 anos e pico entre 14 e 15 anos, semelhante aos resultados encontrados por
Warren et al. (1997) e Kosterman et al. (2000), mas sem diferença estatística significativa
entre os sexos.
91
Observou-se também no estudo, que até os 14 anos, 44% dos adolescentes já haviam
experimentado álcool e que até os 18, mais de 90% já o haviam consumido. Dados
semelhantes foram encontrados em estudo realizado na zona urbana de Porto Alegre, em
que 54,4% dos adolescentes entre 10 e 12 anos, 79% dos adolescentes de 13 e 14 anos e
94,4 % dos adolescentes entre 16 e 18 anos haviam tomado bebida alcoólica
(PECHANSKY & BARROS, 1995). Kandel & Logan (1984), sobre padrões de uso de
álcool da adolescência à idade adulta, observaram que 20% dos jovens experimentaram
álcool pela primeira vez aos 10 anos, que mais de 50% o fizeram até os 14 e que até os 18
anos, quase todos já haviam ingerido bebidas alcoólicas.
A partir desses dados pode-se supor que menos de 10 % dos alunos da UFMG iniciaram o
consumo de bebidas alcoólicas após ingressarem na universidade, o que está de acordo com
a literatura. Borini et al. (1994) observaram que apenas 13,5% dos universitários
começaram a beber durante o curso. Em pesquisa realizada com 3406 estudantes de
medicina do Estado de São Paulo, Andrade et al. (1996) observaram que, dos alunos que
usaram álcool e drogas na vida e nos últimos doze meses, apenas 10% iniciaram o uso após
o ingresso na faculdade.
O presente estudo demonstrou que a introdução do jovem ao uso de bebidas alcoólicas foi
feita principalmente por amigos (43,7%) e pela própria família (29,8%), revelando a
permissividade social e/ou a desinformação sobre a caracterização das bebidas alcoólicas
como drogas. Por ser socialmente aceito, parece haver uma tendência em banalizar o
consumo do álcool e em considerá-lo menos nocivo que as drogas ilícitas.
92
Se é a própria família quem oferece a bebida aos adolescentes, e até mesmo a crianças, e se
é justamente dentro de suas casas que essa experiência acontece, pode-se supor que o
consumo ocorra na presença dos pais ou com a autorização deles. Sanchez et al. (2005)
observaram que o consumo de álcool é incentivado diretamente pelos pais, que fornecem a
droga aos filhos já na infância. Essa conduta pode ter boas intenções, objetivando a
apresentação da droga aos jovens, esperando desses o afastamento de seu consumo. No
entanto, Jackson (1997) descreveu que esse comportamento poderia gerar curiosidade em
torno das substâncias e aumentar o risco de consumo das mesmas.
Questionados sobre o fato de já terem comprado pessoalmente algum tipo de bebida
alcoólica antes dos dezoito anos de idade, 82,8% responderam que sim e 17,2%
responderam que não. E todos (100%) aqueles que tentaram comprar conseguiram, embora
vender ou fornecer bebida alcoólica a um menor de idade seja contravenção penal. Além da
suposta conivência de seus responsáveis, que parecem não estar conscientizados dos perigos
associados ao uso do álcool, a sociedade como um todo parece fechar os olhos para a lei,
tornando quase irrestrito o acesso dos jovens às bebidas alcoólicas.
Quanto mais fácil é o acesso às drogas, maior a chance do jovem vir a consumi-la (OMS,
1981). Wechsler et al. (2000) observaram que a facilidade de acesso dos adolescentes ao
álcool estava correlacionada também à maior ocorrência de bebedeira. A facilidade de obter
o produto, quer pela disponibilidade e variedade, quer pelo baixo preço, torna o álcool uma
droga atrativa, acessível e presente nas mais diversas formas de entretenimento do universo
da juventude.
93
Estudos demonstraram uma forte relação entre início precoce de consumo de álcool e
problemas relacionados a seu uso, no futuro. Jovens que iniciaram o consumo de álcool
precocemente, especialmente antes dos 15 anos, têm maior risco de se tornarem usuários
regulares, virem a ter problemas relacionados ao uso ou se tornarem dependentes mais
rapidamente (BARNES et al., 1992; GRANT & DAWSON, 1997). Segundo Kandel &
Logan (1984), abster-se de álcool no início da adolescência pode contribuir para a redução
do risco do adolescente se tornar um bebedor pesado ou sofrer conseqüências negativas do
abuso de álcool quando jovens adultos, fase em que o consumo exagerado de bebidas
alcoólicas alcança seu pico.
Entre universitários, Gonzalez (1989) observou que, de fato, quanto mais cedo o estudante
começa a beber, mais ele tende a consumir álcool e a apresentar problemas relacionados a
seu consumo durante a faculdade. Comparando os estudantes que começaram a beber antes
de 15 anos com aqueles que começaram após essa idade, não foi encontrada diferença com
significância estatística em relação ao uso pesado e problemático de álcool, no presente
trabalho. No entanto, observou-se diferença com significância estatística em relação ao uso
compulsivo de álcool. O percentual de alunos que tomavam cinco ou mais doses por
ocasião e que experimentaram álcool pela primeira vez antes dos quinze anos (43,6%) foi
significativamente maior que o encontrado entre aqueles que tomavam a mesma quantidade,
mas que experimentaram álcool após os quinze anos de idade (16,2%).
É importante ressaltar que a pergunta feita aos universitários foi: “Que idade você tinha
quando experimentou (provou) álcool pela primeira vez?”. Ou seja, descreveu-se a idade em
que se deu a primeira experiência com o álcool, e não a idade em que se começou a
94
beber com determinada freqüência. Casswell et al. (2002) chamam atenção para o fato de
que variadas interpretações para “iníciode uso de álcool e citam autores, por exemplo,
que consideram a idade de início como sendo aquela em que se começou a fazer uso de
álcool duas ou mais vezes por semana. Dessa forma, é preciso cautela para comparar e
interpretar esses resultados.
5.3 Descrição do uso de álcool na vida, no ano e no mês
O perfil de consumo de álcool aqui desenhado é semelhante ao encontrado em outros
trabalhos envolvendo jovens universitários brasileiros. As taxas de uso de álcool na vida, no
ano e no mês encontradas foram de 91,5%, 89,8% e 69,9% respectivamente. Kerr- Corrêa et
al. (2001), entre alunos da UNESP, relataram taxas de uso na vida de 93,5%, uso no ano de
78,8% e no mês de 74,4%. Andrade et al. (1997), entre estudantes de graduação da USP,
observaram taxas de 90,1%, 80,9% e 74,1% para uso na vida, no ano e no mês,
respectivamente. Mesquita et al. (1995) verificaram que o álcool é a droga mais usada pelos
estudantes da Faculdade de Medicina da USP, com taxas de uso na vida de 82%, no ano de
76% e no mês de 69%. De maneira geral, o álcool é a droga que apresenta os maiores
índices de uso entre os alunos, tanto em relação ao uso experimental quanto ao uso
constante.
A informação de que mais de 90% dos universitários questionados nessas pesquisas já
tenham usado bebidas alcoólicas alguma vez no decorrer de suas vidas é muito importante,
pois revela o caráter de droga de uso lícito. Deve-se lembrar que nesse grupo estão incluídos
95
o os jovens que fazem uso social da bebida, mas também aqueles que o fazem de
maneira abusiva ou disfuncional, caracterizando sua situação de risco ou sua inclusão no
alcoolismo.
Em geral, a literatura internacional mostra um consumo maior de álcool e outras drogas pelo
sexo masculino (DONATO et al., 1995; GUTHRIE et al., 1995; WILSNACK &
WILSNACK, 1997). Uma prevalência maior do consumo do álcool foi também encontrada
em jovens universitários do sexo masculino por Andrade et al. (1997) no Brasil. Borini et
al. (1994) verificaram que os universitários do sexo masculino consumiam álcool com mais
freqüência que os do sexo feminino. Windle (2003) observou que os homens universitários,
comparados às jovens universitárias, fazem uso pesado de álcool significativamente maior.
Zamora (2004), discutindo significados que os jovens atribuem aos papéis e
comportamentos masculinos habituais, concluiu que o uso de álcool pode estar intimamente
ligado a masculinidade como parte da identidade do homem e das demonstrações de sua
virilidade.
No presente trabalho, não se observou entre os sexos, difereas significativas nas taxas de
uso de álcool na vida, no ano e no mês, nem mesmo nas de uso freqüente e pesado.
Verificou-se que 33,8% dos homens e 25,6% das mulheres bebem com freqüência e que
7,6% dos homens e 4,9% das mulheres beberam em pelo menos 20 dias no último mês. Essa
situação equivale à observada por Araneda et al. (1996), em universitários chilenos, que
encontraram taxas de uso de álcool na vida semelhantes entre homens (82,5%) e mulheres
(75,9%). Kerr- Corrêa et al. (1999), em universitários de Botucatu, encontraram taxas de
uso no ano tamm semelhantes entre homens (85,4%) e mulheres (80,0%). Em relação ao
96
uso no mês, Windle (2003) observou percentuais de 70,2% e 68,0%, respectivamente para
universitários do sexo masculino e feminino.
Os quatro levantamentos nacionais, realizados com estudantes do ensino fundamental e
dio, mostraram que o álcool é, sem qualquer dúvida, a droga mais amplamente utilizada
pelos estudantes brasileiros. Nas dez capitais estudadas, o uso na vida esteve sempre acima
de 65% dos alunos pesquisados e não houve diferenças de uso dessa substância entre os
sexos (GALDURÓZ, NOTO & CARLINI, 1997).
Os percentuais de uso na vida de álcool equivalentes entre homens e mulheres podem ser
explicados pelo fato de que o experimentar, de uma maneira geral, seja conduta comum dos
adolescentes de ambos os sexos. Nessa etapa do desenvolvimento humano, pelo desejo de
reafirmar sua identidade e sua liberdade para tomar decisões ou, simplesmente por
curiosidade ou por querer imitar os adultos, os adolescentes podem ser iniciados no
consumo de álcool.
Já o fato de se ter observado que as mulheres fizeram uso de álcool com a mesma freqüência
que os homens, inclusive de forma pesada, pode ser resultado das mudanças socioculturais
ocorridas nas últimas décadas, em que as mulheres vêm assumindo papéis e
comportamentos anterior e tradicionalmente delegados e aceitos apenas para o sexo
masculino, muito embora o hábito de beber entre as mulheres ainda seja particularmente
censurado. Segundo Zamora (2004), os jovens tenderiam a reproduzir as crenças e valores
do meio, o qual com maus olhos o ato de consumir álcool entre as mulheres, posto que o
mesmo é considerado privilégio masculino e parte integrante das expressões de
masculinidade.
97
Dados da literatura sugerem que uma mudança no padrão de consumo do álcool ao redor
dos vinte e um anos de idade. Casswell et al. (1997), estudando a trajetória do uso de
bebidas alcoólicas entre 18 e 26 anos de idade, observaram que a freqüência de consumo
aumenta para a maioria dos jovens após os 21 anos, enquanto o pico da quantidade
consumida por ocasião parece acontecer justamente aos 21 anos. Para apenas uma minoria,
4% dos homens e 6% das mulheres, os autores observaram que a quantidade consumida
aumentou ao invés de diminuir. Os autores acreditam que fatores como o consumo de álcool
pelos pais, o acesso a bebidas antes dos quinze anos de idade, a composição da moradia e a
mídia tenham influenciado sobremaneira a trajetória incomum de consumo de álcool desses
jovens.
De fato, comparando grupos de universitários de 18 a 24 anos com grupos de 25 anos ou
mais, pesquisadores do Centers for Disease Control and Prevention observaram que o
grupo mais jovem apresentava maior prevalência de bebedeira, ou seja, consumo de cinco
ou mais doses por vez, enquanto o grupo mais “maduro” apresentava maior percentual de
uso pesado de álcool, o que poderia refletir maior risco de progressão para dependência
alcoólica (CDC, 1997 apud WINDLE, 2003).
Para Kandel & Logan (1984), o consumo de álcool declinaria ao redor dos 21anos, na
medida em que o processo de amadurecimento do jovem fosse acontecendo e as
responsabilidades da vida adulta, tais como ingressar no mercado de trabalho, casar-se e
tornar-se pai ou mãe fossem sendo adquiridas.
No presente trabalho, não foi encontrada diferença com significância estatística em relação à
freqüência mensal de consumo de álcool entre as idades. Esses resultados sugerem maior
98
aprofundamento sobre essa questão em futuras pesquisas, especialmente em estudos
prospectivos, onde a trajetória de consumo de álcool da população é acompanhada ao longo
do tempo.
5.4 Descrição do padrão de consumo de álcool
5.4.1 Tipos de bebida mais consumidos, parceiros e locais de consumo mais freqüentes
Apesar da quantidade de álcool puro ser muito menor na cerveja que em outras bebidas
alcoólicas, ela certamente é uma bebida alcoólica e tem um papel importante em muitos dos
problemas relacionados ao álcool, principalmente no que diz respeito aos jovens.
Os resultados do presente estudo indicam que a cerveja e o chope foram as bebidas
alcoólicas mais freqüentemente ingeridas pelos estudantes, citadas por 45,2% dos alunos
que bebiam com freqüência. Verificou-se também maior freqüência de consumo de cerveja
pelos alunos do sexo masculino. Pelo contrário, vinho, champanhe e licor foram bebidas
predominantemente consumidas pelas mulheres.
Araneda et al. (1996), entre universitários chilenos de 17 a 26 anos, verificaram a mesma
diferença entre os sexos em relação ao consumo de cerveja e observaram que essa bebida
também concentrava a maior proporção de preferências, citada como a mais consumida por
57,1% dos alunos que bebiam.
99
Também entre jovens estudantes brasileiros de primeiro e segundo graus, observou-se que a
cerveja é a bebida mais consumida, com 36,5% da preferência, seguida pelo vinho, com
15,3% (GALDURÓZ, NOTO & CARLINI, 1997).
Segundo informe do Banco Nacional do Desenvolvimento Econômico e Social, a cerveja é
a segunda bebida mais consumida pelos brasileiros de um modo geral, perdendo apenas para
os refrigerantes. Em 1995, o consumo per capita/ano passou de 38 para 45 litros por
habitante. O documento chama atenção ainda para uma série de indicadores da enorme
potencialidade do mercado cervejeiro no Brasil, entre eles o fato da populão ser jovem,
faixa etária em que o consumo de cerveja é maior (BNDES, 1996).
Pode ser que o maior consumo desse tipo de bebida se deva, entre outras coisas, ao estímulo
explícito provocado pelas propagandas. Também é possível que o preço, mais acessível,
influencie o consumo. Dados do BNDES mostram que dos cerca de U$ 106,000,000 gastos
em propaganda de álcool na mídia em 2001, 80% foram em cerveja. Revelam também que o
mercado é formado principalmente por uma população jovem e de baixo poder aquisitivo,
sendo que as classes sociais C e D respondem por 72% das vendas totais de cerveja no
Brasil (BNDES, 1996).
Consideração especial merece o consumo das bebidas destiladas, as quais possuem teor
alcoólico quase dez vezes maior que o da cerveja. Embora apenas 13,4% dos alunos tenham
citado esse tipo de bebida como o mais consumido por eles, 51,6% relataram consumi-lo no
último mês, sendo que 4,9% o fizeram freqüentemente e 3,8%, de forma pesada. É
importante lembrar que o uso regular dessas bebidas tem sido indicado como o
100
melhor marcador de risco de progressão para o consumo de outras drogas, lugar ocupado
pela maconha, até algum tempo atrás (SCIVOLETTO, 2001).
Verificou-se ainda, no presente estudo, que as universitárias têm ingerido bebidas destiladas
na mesma proporção que os universitários do sexo masculino. Araneda et al. (1996)
observaram que quando o consumo de destilados ultrapassava cinco doses, a proporção de
universitários homens duplicava a de mulheres, mas, considerando-se um consumo mais
moderado (3 a 5 doses), a proporção de alunos e alunas era equivalente.
Uma vez que as bebidas alcoólicas apresentam diferentes teores alcoólicos, que variam de 3
a 50%, as conseqüências decorrentes de seu uso, como por exemplo a embriaguez, estão
diretamente relacionadas ao tipo de bebida alcoólica ingerido. Certamente, os usuários de
bebida destilada, cuja concentração alcoólica alcança 50%, estão mais sujeitos a esse tipo de
efeito que usuários de bebidas fermentadas, muito embora a quantidade em que são
consumidas também seja um fator determinante.
Observou-se no estudo, que os parceiros mais freqüentes dos universitários que bebiam
foram os amigos e colegas, seguidos de seus próprios familiares. Apenas quatro alunos
(1,2%) relataram beber, mais freqüentemente, sozinhos. Os estabelecimentos comerciais e
de lazer foram indicados como os principais locais de consumo de bebidas alcoólicas pelos
estudantes da UFMG. Lee et al. (1997), baseados em uma amostra de 1914 estudantes,
observaram que os três principais lugares utilizados pelos jovens para beber foram a casa de
outras pessoas, locais ao ar livre e automóveis.
101
Demers et al. (in press apud HARFORD et al., 2002) acreditam que o local onde se bebe, as
circunstâncias, a companhia e, até mesmo, o número de pessoas com quem se bebe sejam
fatores que influenciem o uso de álcool, especialmente a quantidade ingerida por ocasião.
Foi em bares e discotecas, durante festas e comemorações, na companhia de grupos de
amigos que se registraram os maiores índices de ingestão alcoólica.
Essas informações nos levam a crer que o álcool não está sendo encarado como droga
potencialmente prejudicial, nem pelos jovens ou seus amigos, nem por seus familiares ou
pela sociedade de um modo geral. Pelo contrário, esses resultados ilustram uma ampla e
clara aceitação do uso de álcool como instrumento de diversão, convincia entre amigos e
interação social.
5.4.2 Quantidade: uso compulsivo, embriaguez e conseqüências
Quanto à quantidade de bebidas alcoólicas ingeridas pelos alunos da UFMG, observou-se
que a maioria consome até quatro doses por ocasião, mas 28,4% consomem cinco ou mais
doses de cada vez, ou seja, quase um terço dos estudantes faz uso compulsivo de álcool.
Não houve diferenças em relação à ocorrência de bebedeira considerando-se as idades, mas
os homens se implicaram mais nesse padrão de consumo de álcool que as mulheres.
Jones et al. (2001) observaram, entre universitários americanos, que 41,5% fizeram uso
compulsivo de bebidas alcoólicas nos últimos 30 dias. Esses autores também encontraram
diferença estatística significativa entre os sexos: 48,7% dos homens contra 34,8% das
mulheres. Windle (2003) também verificou que o percentual de universitários do sexo
102
masculino que tomaram cinco ou mais doses por ocasião nos últimos quinze dias (50,7%)
foi significativamente maior que o percentual de universitárias (33,4%).
Nos últimos anos, uma mudança de comportamento parece estar acontecendo: as garotas
têm tido mais liberdade para freqüentar locais e eventos onde se consome bebida alcoólica,
antes mais restritos a jovens e adolescentes do sexo masculino, aprendendo, então, os
mesmos comportamentos de consumo. De fato, dados da literatura sugerem que as
diferenças entre o consumo de álcool por homens e mulheres têm diminuído (WHITE &
HUSELID, 1997 apud WILSNACK & WILSNALCK, 1997). No entanto, parece que elas
ainda existem em relação a determinados padrões. Windle (2003) observou que, embora
padrões de consumo de álcool considerados perigosos, como o uso compulsivo ou binge
drinking”, ocorram entre jovens de ambos os sexos, eles prevalecem sobremaneira entre os
homens.
Além do nero, outros fatores têm sido associados ao uso compulsivo ou ocasional pesado
de álcool. Demers et al. (in press, apud HARFORD et al., 2002) investigaram esse padrão
de uso de álcool em 6.850 universitários e concluíram que tanto características individuais
quanto características “situacionais estiveram relacionadas à quantidade de álcool
consumida por ocasião. Os autores observaram que além de ser homem, características
como morar longe da família, beber em festas, bares e discotecas, especialmente com
turmas de amigos estavam associadas a um consumo maior de bebidas alcoólicas por
ocasião.
Revisando trabalhos publicados entre 1974 e 2000, Gill (2002) encontrou níveis de
prevalência de binge drinking”, entre universitários britânicos, que variavam de 38 a quase
103
100%. Entretanto, observou que as definições para binge drinking” eram diferentes entre as
pesquisas e que algumas consideravam, para estabelecer o padrão, não só o número de doses
consumidas mas também a duração de cada episódio, a freqüência em que acontecia e até a
velocidade com que as doses eram ingeridas.
Wechsler et al. (2000) observaram, entre universitários americanos de 18 a 24 anos, que
44% relataram pelo menos um episódio de bebedeira no último mês e que 23% disseram ter
bebido compulsivamente três ou mais vezes nas últimas duas semanas. Os autores
observaram também que aqueles alunos que seguiram esse padrão compulsivo com maior
freqüência tiveram maior risco de sofrer problemas relacionados ao uso de álcool.
Entretanto, é preciso ressaltar que mesmo aqueles que raramente fazem uso compulsivo de
álcool continuam expostos às suas conseqüências, como práticas sexuais não seguras e não
planejadas ou dirigir sob o efeito do álcool, uma vez que esse jeito de beber está
intimamente ligado à ocorrência de intoxicação alclica ou embriaguez.
No trabalho em questão, 67,5 % dos alunos afirmaram ter se embriagado ao menos uma vez
em suas vidas, percentual menor que o registrado por Hingson et al. (2003) em
universitários americanos (89%) e maior que o encontrado por Araneda et al. (1996) em
universitários chilenos (42%). Embora esses resultados indiquem que a embriaguez seja
prática comum entre jovens de ambos os sexos, a proporção de calouros da UFMG que
tomaram um porre” na vida (73,7%) foi significativamente maior que a proporção de
calouras (53,7%).
104
Entre aqueles que se embriagaram na vida, 38,3% afirmaram tê- lo feito no último mês;
8,3% afirmaram se embriagar com freqüência, isto é, pelo menos em 6 dias no mês e 5,2%
se embriagaram em 20 ou mais dias no mês anterior à pesquisa. A ocorrência de embriaguez
freqüente, considerada uso problemático de álcool, também foi registrada mais comumente
entre os universitários do sexo masculino.
Segundo estudo sobre práticas de ingestão alcoólica entre os calouros de catorze
universidades nos Estados Unidos, mais da metade dos homens (56%) e um terço das
mulheres (35%) disseram ter se embriagado no mínimo uma vez nas últimas duas semanas
anteriores à pesquisa. Nesse estudo, os estudantes que se embriagaram, mais do que os que
o beberam de tal forma, relataram envolvimento em atividades sexuais não planejadas,
além de terem dirigido alcoolizados ou em companhia de motoristas alcoolizados
(WECHSLER & ISAACS, 1992).
De fato, dados do Centers for Disease Control and Prevention de 1997 e 2000 (CDC, 2000
apud HINGSON et al., 2002; CDC, 1997 apud WINDLE, 2003) demonstraram associação
significativa entre o uso de álcool e comportamentos de risco entre estudantes universitários.
O CDC apontou dirigir após beber como sendo o risco à saúde relacionado ao uso de álcool
mais comumente relatado por universitários de 18 a 24 anos, com prevalência de 28%.
Pesquisas realizadas na Universidade de Harvard demonstraram que 10,6% dos estudantes
de 18 a 24 anos disseram ter se ferido e 8,4% disseram ter transado sem preservativo porque
haviam bebido (WECHSLER et al., 1998, 2000).
105
Questionados a respeito de fatos ocorridos porque se embriagaram, 14,9% dos calouros da
UFMG relataram ter dirigido veículos, 11,1% afirmaram ter tido relão sexual sem
preservativo, 9,4% declararam ter brigado ou agido violentamente e 5,6% disseram ter
sofrido ou causado algum tipo de acidente. Além disso, 20,8% mencionaram ter faltado às
aulas, trabalho ou ter perdido um compromisso importante.
Acredita-se que os jovens e os seres humanos, de um modo em geral, não sabem interpretar
adequadamente as razões pelas quais assumem determinadas posturas ou comportamentos
(NISBETT & ROSS, 1980 apud COOPER, 2002). Dessa forma, cabe aqui um
questionamento: os universitários realmente transaram sem camisinha, dirigiram ou
brigaram porque haviam se embriagado? Ou se que seus relatos refletem somente as
crenças e expectativas que eles têm em relação aos efeitos do álcool?
Assim, não se pode afirmar que as situações de risco mencionadas no presente trabalho
tenham ocorrido exclusivamente em função do uso de álcool. Pode-se apenas supor que o
uso de bebidas alcoólicas e o estado de embriaguez tenham contribuído para que esses
jovens adotassem tais comportamentos e/ou sofressem suas conseqüências, tendo em vista
os efeitos estimulante e inebriante do álcool.
106
6 CONCLUSÕES
A partir da análise e discussão desse trabalho, com validade para os participantes desse
estudo, pode-se concluir:
- Quase todos os universitários experimentaram álcool. A maioria fez uso dessa droga
no ano e mês anteriores à pesquisa. A proporção de mulheres que fizeram uso freqüente e
pesado de álcool foi igual a de homens.
- O consumo de bebidas alcoólicas pelos universitários iniciou-se na mesma faixa etária
que a de outros estudantes e de jovens brasileiros de maneira em geral, sem diferença
entre os sexos.
- O acesso à primeira ingestão alcoólica aconteceu com maior freqüência em suas próprias
casas e a introdução dos estudantes ao consumo de álcool foi feita mais comumente por
amigos ou colegas.
- A cerveja/chope foi a bebida mais freqüentemente consumida por eles, sendo que a
proporção de homens que consumiam esse tipo de bebida foi maior que a de mulheres. A
proporção de mulheres que bebiam vinho, licor e champanhe foi maior que a de homens.
107
- Mais da metade dos alunos consumiam bebidas destiladas, sem diferença entre os sexos.
A maioria fez uso leve desse tipo de bebida no mês anterior à pesquisa. Uma pequena
porém significante parte fez uso pesado dessas bebidas no mês anterior à pesquisa.
- Amigos e colegas foram os parceiros mais freqüentes para beber. Estabelecimentos
comerciais e de lazer como bares, boates e estádios foram os locais preferidos para o
consumo.
- Quase um terço dos universitários fizeram uso compulsivo de álcool, sendo a proporção
de estudantes do sexo masculino maior que a do sexo feminino.
- A maioria dos alunos se embriagou alguma vez na vida, sendo a proporção de
estudantes do sexo masculino maior que a do sexo feminino. O uso problemático de
álcool foi encontrado em pequena mas considevel parcela da população, sendo maior
entre os rapazes.
- A conseqüência imediata da embriaguez mais citada pelos universitários foi perder aula,
dia de trabalho ou outro compromisso importante, seguida de dirigir e ter relação sexual
desprotegida.
- O uso pesado de álcool foi visto mais freqüentemente entre alunos que não moravam
com seus pais.
108
- O uso compulsivo de álcool foi encontrado mais freqüentemente entre alunos do sexo
masculino, alunos que não praticavam religião e entre os que iniciaram consumo de
álcool antes dos 15 anos de idade.
- O uso problemático de álcool foi observado mais freqüentemente entre alunos do sexo
masculino, alunos que tinham o hábito de fumar com freqüência e entre aqueles de
classes socioeconômicas mais altas.
- O uso freqüente, pesado, compulsivo e problemático de álcool por esses universitários
o estiveram associados com a idade, história familiar de ingestão excessiva de álcool,
qualidade de relacionamento com e entre os pais, satisfação com qualidade de vida e
qualidade de informação sobre o álcool e seus efeitos.
Ainda que sejam referentes a uma parcela específica da população, com perfil diferenciado
em relação ao total da juventude, os resultados do presente trabalho não confirmam os
observados em outros estudos realizados em universitários, como mostram a extensão da
vulnerabilidade dos estudantes diante das bebidas alcoólicas.
109
REFERÊNCIAS BIBLIOGRÁFICAS
ALMEIDA JR, A; COSTA JR, J.B.O. Lições de medicina legal. 10 ed. São Paulo:
Companhia Nacional, 1972.
ASSOCIAÇÃO BRASILEIRA DOS DEPARTAMENTOS DE TNSITO - ABDETRAN.
Impacto do uso do álcool e outras vítimas de acidentes de trânsito. Brasília, CETAD/ RAID,
1997. 87p.
AMERICAN ACADEMY OF PEDIATRICS. Substance abuse: a guide for health
professionals. Elk Grove Village, IL; American Academy of Pediatrics, 1988.
AMERICAN ACADEMY OF PEDIATRICS. The classification of child and adolescent
mental diagnosis in primary care: diagnostic and statistical manual for primary care (DSM-
PC) child and adolescent version. Elk Grove Village, IL: American Academy of Pediatrics,
1996.
AMERICAN PSYCHIATRIC ASSOCIATION. Diagnostic and statistical manual of mental
disorders. 4th ed. Washington, DC: American Psychiatric Association, 1994.
ANDRADE, A.G.; QUEIROZ, S.; VILLABOIM, R.C.M.; CESAR, C.L.G.; ALVES, C.G.P.;
BASSIT, A.Z.; GENTIL, V.; SIQUEIRA, A.A.F.; TOLOSA E.M.C. Uso de álcool e drogas
entre alunos de graduação da Universidade de São Paulo (1996). Rev ABP-APAL, 19(2): 53-
59, 1997.
ANDRADE, A.G; BASSIT, A.Z; KERR-CORRÊA, F; TONHON, A.P; BOSKOVITZ, E.P;
CABRAL, M. Fatores de risco associados ao uso de álcool e drogas na vida, entre estudantes
de medicina do Estado de São Paulo. Rev ABP-APAL, 19(4): 117-126, 1996.
110
ARANEDA, J.M; REPOSSI, A; PUENTE, C. Qué, cuánto y cuándo bebe el estudiante
universitario. Rev Med Chile, 1996; 124:377-388.
BAER, J.S., KIVLAHAN, D.R.; MARLATT, G.A. High risk drinking across the transition
from high school to college. Alcoholism Clinical and Experimental Research. 19: 54-61.
1995.
BAKER, R.W; SIRYK, B; MCNEIL, O.V. Expectation and reality in freshman adjustment to
college. Journal of Counseling Psychology, 32:1, pp. 94 - 103,1985.
BANCO NACIONAL DO DESENVOLVIMENTO ECONÔMICO E SOCIAL - BNDES.
Cerveja: um mercado em expansão. Disponível em
www.bndes.gov.br/conhecimento/bnset/cerveja.pdf . Acesso em 12/10/2005.
BARNES G.M; WELTE J.W; DINTCHEFF B. Alcohol misuse among college students and
other young adults: findings from a general population study in New York State. Int J Addict,
1992; 27: 917- 934.
BATES M.E; LABOUVIE E.W. Adolescent risk factors and the prediction of persistent
alcohol and drug use into adulthood. Alcoholism Clinical Experimental Research, 1997; 21:
944-950.
BENNETT M.E; MCCRADY B.S; JOHNSON V; PANDINA R.J. Problem drinking from
young adulthood to adulthood: patterns, predictors and outcomes. Journal of Studies on
Alcohol, 1999; 60: 605- 614.
BORINI, P; OLIVEIRA, C.M.; MARTINS, M.G; GUIMARÃES, R.C. Padrão de uso de
bebidas alcoólicas de estudantes de medicina (Marília, São Paulo) Parte I. Jornal Brasileiro
de Psiquiatria, 43 (2): 93-103, 1994.
BROOK J.S; WHITEMAN M; GORDON A.S; COHEN P. Dynamics of childhood and
adolescent personality traits and adolescent drug use. Developmental Psychology, 1986; 22:
403-14.
111
BUCHER, R.E. Drogas e drogadição no Brasil. Porto Alegre: Artes Médicas, 1992.
BUCHER, R.E. Visão histórica e antropológica das drogas. In: BUCHER, R. (Org)
Prevenção ao uso de drogas. Brasília: Editora Universal de Brasília, 1989 (v.1).
BUCHER, R.E; TOTUGUI, M.L. Conocimiento y uso de drogas entre alumnos de Brasilia.
Acta Psicol Amér Lat, v. 34, p. 113-126, 1988.
BUKSTEIN O.G; GLANCY L.J; KAMINER Y: Patterns of affective comorbidity in a clinical
population of dually diagnosed substance abusers. J Am Acad Child Adolesc Psychiatry, 1992;
31:1041–1045.
CARLINI-COTRIM B; BARBOSA, M.T.S. Pesquisas epidemiológicas sobre o uso de
drogas entre estudantes: um manual de orientações gerais. São Paulo: Centro Brasileiro de
Informações sobre Drogas Psicotrópicas / Departamento de Psicobiologia da Escola Paulista
de Medicina; 1993.
CARLINI, E. A; CARLINI-COTRIM, B; SILVA-FILHO, A.R; BARBOSA, M.T.S. O uso
de drogas psicotrópicas por estudantes de primeiro e segundo graus da rede estadual, em dez
capitais brasileiras, 1987. Em: Consumo de drogas psicotrópicas no Brasil em 1987. Centro
de Documentação do Ministério da Saúde (Série C: Estudos e Projetos 5); 1989. pp. 9-84.
CARLINI, E. A; GALDURÓZ, J.C.F; NOTO, A.R; NAPPO, S.A. I Levantamento domiciliar
sobre o uso de drogas no Brasil 2001. Centro Brasileiro de Informações sobre Drogas
Psicotpicas - Departamento de Psicobiologia da Escola Paulista de Medicina e SENAD
Secretaria Nacional Antidrogas, 2002. 480p.
CARVALHO, V.A, CARLINI-COTRIM, B. Atividades extracurriculares e prevenção ao uso
de drogas: uma questão polêmica. Rev Saúde Públ., São Paulo, 26 (3): 145-9, 1992.
CASSWELL S; PLEDGER M; PRATAP S. Trajectories of drinking from 18 to 26 years:
identification and prediction. Addiction, 2002; 97: 1427- 1437.
112
CENTERS FOR DISEASE CONTROL AND PREVENTION (CDC). National center for
injury prevention and control. Web based injury statistics query and reporting system.
Available on line: www.cdc.gov/neipe/wisqars , 2000. In: HINGSON, R.W.; HEEREN, T.;
ZAKOS, R.C.; KOPSTEIN, A.; WECHSLER, H. Magnitude of alcohol related mortality and
morbity among U.S college students ages 18-24. Journal of studies on alcohol. 63:136-144,
2002.
CENTERS FOR DISEASE CONTROL AND PREVENTION (CDC). Youth risk behavior
surveillance: National College Health Risk Behavior Survey- United States,1995. Morbity
and Mortality Weekly Report 46(SS-6): 1-54, 1997. In: WINDLE, M. Alcohol use among
adolescents and young adults. Alcohol Research and Health, 27: 79-85, 2003.
CHASSIN, L; DeLUCIA, C. Drinking during adolescence. Public Health Rep. 1996; 20:
175-180.
CHOR, D; FAERSTEIN, E; ALVES, M.G.M; LOPES, C.S. How reproducible is self reported
information on exposure to smoking, drinking, and dietary patterns? Evidence among
Brazilian adults in the Pró-Saúde Study. São Paulo Medical Journal, 2003, 121(2):63-66.
CLARK, D.C; DAUGHERTY, S.R; BALDWIN, D.C; HUGHES, P.H; STORR, C.I;
HEDEKER D. Assessment of drug involvement: applications to a sample of physicians in
training. Br J Addict 1992; 87(12) :1649-62.
CLIFFORD, P.R; EDMUNDSON, E; KOCH W.R; DODD, B.G. Discerning the
epidemiology of drug use among a sample of college students. J Drug Educ, 1989; 19 (3);
209-23.
COMISSION ON SUBSTANCE ABUSE AT COLLEGES AND UNIVERSITIES.
Rethinking rites of passage: substance abuse on America’s campuses. New York: Columbia
University; June 1994. In: JONES, S.E; OELTMANN, J; WILSON, T.W; BRENER, N.D;
HILL, C.V. Binge drinking among undergraduated college students in the United States:
implications for other substance use. Journal of American College Health, v. 50: 33-38, 2001.
113
COOPER, M.L. Alcohol use and risky sexual behavior among college students and youth:
evaluating the evidence. Journal of Studies on Alcohol, 14: 101-117, 2002.
CRAWFORD, A. Attitudes about alcohol: a general review. Drug Alcohol Depend, 19:279-
312,1987.
DAWSON D.A. Volume of ethanol consumption: effects of different approaches to
measurement. J Stud Alcohol, 59: 191-197.
DEMERS, A; KAIROUZ S; ADLAF E; GLIESMAN L; NEWTON-TAYLOR B;
MARCHAND A. Multilevel analysis of situational drinking among Canadian undergraduates.
Social Sci. Med., in press. In: HARFORD T.C; WECHSLER H; SEIBRING M. Attendance
and alcohol use at parties and bars in college: a national survey of current drinkers. Journal of
Studies on Alcohol, November, 2002. 726-733.
DELK, E.W; MEILMAN, P.W. Alcohol use among college students in Scotland compared
with norms from the United States. Journal of American College Health, 44:274-281,1996.
De MICHELI, D; FORMIGONI, M.L.O.S. As razões para o primeiro uso de drogas e as
circunstâncias familiares prevêem os padrões de uso futuro? Jornal Brasileiro de
Dependência Química, 2001; 2 (1): 20-30.
DONATO, F; MONARCA, S; CHIESA, R; FERRETTI, D; MODOLO, M.A. Padrões e co-
variáveis de uso de álcool entre estudantes secundaristas em 10 cidades da Itália: um estudo
seccional cruzado. Drug Alcohol Depend, 1995; 37:59-69.
DROOMERS, M; SCHRIJVERS, C.T.M; CASSWELL, S; MACKENBACH, J.P.
Occupational level of the father and alcohol consumption during adolescence; patterns and
predictors. J Epidemio Community Health, 2003; 57:704-710.
114
DUARTE, P.C.A.V; CARLINI-COTRIM, B. Álcool e violência: estudo dos processos de
homicídios julgados nos tribunais de júri de Curitiba, PR, entre 1995 e 1998. Jornal
Brasileiro de Dependências Químicas, 1(1): 17, 25, 2000.
DUNCAN, T.H.E; DUNCAN, S.C; HOPS, H. The effects of family cohesiveness and peer
encouragement on the development of adolescent alcohol use: a cohort-sequential approach to
the analysis of longitudinal data. J Study Alcohol, 1994; 55: 558- 99.
ELLICKSON, P.L; HAYS, R.D; BELL, R.M. Stepping through the drug use sequence
longitudinal scalogram analysis of initiation and regular use. Journal of Abnormal
Psychology, 1992; 101, 441- 451.
ELLIS, D.A; ZUCCKER, R.A; FITZGERALD, H.E. The role of family influences in
development and risk. Alcohol Health Res World, 1997; 21: 218 -26.
FLETCHER, R.H; FLETCHER, S.W; WAGNER, E.H. Epidemiologia clínica. São Paulo:
Artes Médicas,1996.
FOXCROFT, D.R; LOWE, G. Adolescent drinking behavior and family socialization factors:
a meta analysis. J Adol, 1991; 14: 255-73.
FUNDAÇÃO MENDES PIMENTEL - FUMP-: Perfil socioeconômico e cultural dos alunos
de graduação da UFMG: relatório. Belo Horizonte, 1997. 109p.
GALDURÓZ, J.C.F.; NOTO, A.R. Uso pesado de álcool entre estudantes de e graus da
rede pública de ensino em dez capitais brasileiras. Jornal Brasileiro de Dependências
Químicas, 1(1): 25- 32 2000.
GALDURÓZ, J.C.F; NOTO, A.R; CARLINI, E.A. IV Levantamento sobre uso de drogas
psicotrópicas entre estudantes de primeiro e segundo graus em dez capitais brasileiras-1997.
Centro Brasileiro de Informações sobre Drogas Psicotrópicas (CEBRID). Departamento de
Psicobiologia da Escola Paulista de Medicina, 1997.
115
GALDURÓZ, J.C.F; NOTO, A.R; NAPPO, S. A; CARLINI, E.A. I Levantamento domiciliar
sobre o uso de drogas. Parte A: estudo envolvendo as 24 maiores cidades do Estado de São
Paulo – 1999. Centro Brasileiro de Informações sobre Drogas Psicotpicas, Departamento de
Psicobiologia da Escola Paulista de Medicina, 2000.
GFROERER, J; WRIGHT, D; KOPSTEIN, A. Prevalence of youth substance use. The impact
of methodological differences between two national surveys. Drug and Alcohol Dependence,
47: 19-30,1997.
GILL, J.S. Reported levels of alcohol consumption and binge drinking within the UK
undergraduated student population over the last 25 years. Alcohol and Alcoholism, v.37, n. 2,
pp.109-120, 2002.
GODOI, A.M; MUZA, G.M; COSTA, M.P. Consumo de substâncias psicoativas por
escolares de rede privada do Distrito Federal. Ver Saúde Pública, v. 2, n. 25. 1991.
GOLUB, A; JOHNSON, D. Variation in youthful risks of progression from alcohol and
tobacco to marijuana and to hard drugs across generations. American Journal of Public
Health, 2001, v. 91, no 2, 225-232.
GONZALEZ, G.M. Early onset of drinking as a predictor of alcohol consumption and alcohol
related problems in college. J. Drug Education, v. 19(3) 225-230, 1989.
GRANT, B.F; DAWSON, D.A. Age at onset of alcohol use and its association with DSM-IV
alcohol abuse and dependence: results from the National Longitudinal Epidemiologic Survey.
J Subst Abuse, 1997; 9: 103-110.
GRUBER, E; DiCLEMENTE, R.J; ANDERSON, M.M; LODICO, M. Early drinking onset
and its association with alcohol use and problem behavior in late adolescence. Prev Med, v.
25, p 293-300, 1996.
GUSTATSON, R. Alcohol and aggression. J Offender Rehabil, 1994; 21: 41-81.
116
GUTHRIE, E.A.; BLACK, D.; SHAW, C.M.; HAMILTON, F.; CREED, F.H.; TOMENSON,
B. Embarking upon a medical career: psychological morbidity in first year medical students.
Medical Education, 29: 337-341, 1995.
HARFORD, T.C; WECHSLER, H; SEIBRING, M. Attendance and alcohol use at parties and
bars in college: a national survey of current drinkers. Journal of Studies on Alcohol, Nov.
2002. 726-733.
HAWKINS, J.D; CATALANO, R.F; MILLER, J.Y. Risk and protective factors for alcohol
and other drug problems in adolescence and early adulthood: implications for substance abuse
prevention. Psychol Bull, 1992;112: 64-105.
HEISCHOBER, B.S; HOFMANN, A.D. Substance abuse. In: HOFMANN, A.D;
GREYDANUS, D.E. Adolescent medicine. 3ed. Stanford, Connecticut: Simon & Schuster
Company, 1997. 913 p.
HINGSON, R; HEEREN, T; WINTER, M; WECHSLER, H. Early age of first drunkenness as
a factor in College students unplanned and unprotected sex attributable to drinking.
Pediatrics, v. 111, no 1: 34 -41, Jan. 2003.
HINGSON, R.W.; HEEREN, T.; ZAKOS, R.C.; KOPSTEIN, A.; WECHSLER, H.
Magnitude of alcohol related mortality and morbity among U.S college students ages 18-24.
Journal of Studies on Alcohol, 63:136-144, 2002.
HUIZINGA, D; LOEBER, R; THORNBERRY, T.P. Longitudinal study of delinquency, drug
use, sexual activity, and pregnancy among children and youth in three cities. Public Health
Rep, 1993; 108 Suppl 1: 90-6.
JACKSON, C. Initial and experimental stages of tobacco and alcohol use during late
childhood: relation to peer, parent and personal risk factors. Addict Behavior, 1997; 22:685-
98.
117
JACKSON, C; HENRICKSEN, L; DICKINSON, D. The early use of alcohol and tobacco: its
relation to children’s competence and parents’ behavior. Am J Public Health , 1997; 87: 359-
64.
JACKSON, C; HENRICKSEN, L; DICKINSON, D. Alcohol specific socialization, parenting
behaviors and alcohol use by children. J Stud Alcohol, 1999; 60: 362-7.
JACOB, T; JONHSON, S. Parenting influences on the development of alcohol abuse and
dependence. Alcohol Health Res World, 1997; 21: 204-9.
JESSOR, R. Risk behavior in adolescence: a psychosocial framework for understanding and
action. J Adol Health, 1991; 12: 597- 605.
JONES, S.E; OELTMANN, J; WILSON, T.W; BRENER, N.D; HILL, C.V. Binge drinking
among Undergraduated college students in the United States: implications for other substance
use. Journal of American College Health , v. 50: 33-38, 2001.
KANDEL, D.B; LOGAN, J.A. Patterns of use from adolescence to young adulthood; periods
of risk for initiation, continued use and discontinuation. Am J Public Health, v.7, n.74, 1984.
KANDEL, D.B; YAMAGUCHI, K & CHEN, K. Stages of progression in drug involvement
from adolescence to young adulthood: further evidence for the gateway theory. Journal of
Studies on Alcohol, 1992; 53: 447-457.
KANN, L; KINCHEN, A.S; WILLIAMS, B.I, et al. Youth risk behavior surveillance - USA,
1999. Morb Mortal Wkly Rep, 2000; 49: 1-96.
KERR-CORRÊA, F.; ANDRADE, A.G; BASSIT, A.Z.; BOCCUTO, N.M.V.F. Uso de álcool
e drogas por estudantes de Medicina da Unesp. Rev Bras Psiquiatria, 21: 95-100,1999.
118
KERR-CORRÊA, F; DALBEN, I; TRINCA, L; SIMÃO, M.O; MATTOS, P.F;
CERQUEIRA, ATAR; MENDES, A.A. I Levantamento do uso de álcool de drogas e das
condições gerais de vida dos estudantes da Unesp (1998); Publicação Vunesp, n. 14, 2001,
183p.
KERR-CORRÊA, F; SIMÃO, M.A; DALBEN, I; TRINCA, L.A; RAMOS-CERQUEIRA,
A.T.A; MENDES, A.A; MATTOS, P.F; OLIVEIRA, S.M; PENTEADO, M.A.C. Possíveis
fatores de risco para uso de álcool e drogas em estudantes universitários e colegiais da
UNESP. J Bras Dep Quim 2002; 3(1):32-41.
KLEIN, H. Changes in college students use and abuse of alcohol and in their attitudes toward
drinking over the course of their college years. J Youth Adolesc, 23:251-269,1994.
KOSTERMAN, R; HAWKINS, J; G.U.O, J; CATALANO, R.F; ABOTT, R.D. The dynamics
of alcohol and marijuana initiation : patterns and predictors of first use in adolescence.
American Journal of Public Health, v. 90, n3, p.360-366, 2000.
LANG, A.R. Alcohol related violence: psychological perspectives. In: MARTIN, S.E, Ed
Alcohol and interpersonal violence: fostering multidisciplinary perspectives. Washington,
DC: National Institute of Alcohol Abuse and Alcoholism, 1993. NIH Publ. n. 93- 3487.
LARANJEIRA, R; PINSKY, I. Alcoolismo. São Paulo: Contexto, 1997.
LEE, J.A; JONES-WEBB, R; SHORT, B.J; WAGENAAR, A.C. Drinking location and risk
of alcohol-impaired driving among high school seniors. Addictive Behavior, 1997; 22: 387-
393.
LEIBSOHN, J. The relationship between drug and alcohol use and peer group associations of
college freshmen as they transition from high school. J Drug Educ, 24:177-192,1994.
MASON, W.A; WINDLE, M. Family, religious, school and peer influences on adolescent
alcohol use: a longitudinal study. J Study Alcohol, 2001; 62: 44- 53.
119
MEILMAN, P.W; YANOFSKY, N.N; GAYLOR, M.S; TURCO, J.H .Visits to college health
service for alcohol related injuries. J Am College Health, 1989; 37: 205-210.
MESQUITA, A.M.C; BUCARETCHI, H.A; CASTEL, S; ANDRADE, A.G. Estudantes da
Faculdade de Medicina da Universidade de São Paulo: uso de substâncias psicoativas em
1991. Rev ABP-APAL,17(2), 47-54, 1995.
MCANARNEY, E; KREIPE, R; ORR, D; COMERCI, G.D. Textbook of adolescent medicine.
Philadelphia P.A: WB Saunders Company; 1992.
MCELDUFF, P; DOBSON, A.J. How much alcohol and how often? Population based case-
control study of alcohol consumption and risk of major coronary event. British Medical
Journal, 1997; 314: 1159-1164.
McGUE, M; SHARMA, A; BENSON, P. Parent and sibling influences on adolescent alcohol
use and misuse: evidence from a US adoption cohort. Journal of Studies on Alcohol, 57, 8-
18,1996.
MORAIS, V; MOURA, M.V.Q; COSTA, M.C; PATEL, B. Doenças sexualmente
transmissíveis, AIDS e uso/abuso de substâncias psicoativas na adolescência. Jornal de
Pediatria, 2001; 77: 190- 204.
NISBETT, L; ROSS, L. Human inference strategies and shortcomings of social judgment.
century psychology series. Upper Saddle River. NJ: Prentice Hall, 1980. In: COOPER, ML.
Alcohol use and risky sexual behavior among college students and youth: evaluating the
evidence. Journal of Studies on Alcohol/Supplement n. 14: 101-117, 2002.
NOTO, A.R; NAPPO, S; GALDURÓZ, J.C.F; MATTEI, R; CARLINI, E.A. III
Levantamento sobre uso de drogas psicotrópicas entre estudantes de primeiro e segundo
graus em dez capitais brasileiras-1993. Centro Brasileiro de Informações sobre Drogas
Psicotpicas (CEBRID). Departamento de Psicobiologia da Escola Paulista de Medicina,
1993.
120
NOVO CÓDIGO DE TRÂNSITO BRASILEIRO, 1998. Lei 9503, atualizada pela Lei n°
9602. Associação dos Policiais Rodoviários Federais de Gravataí-RS, Brasil, 207pp. In:
PINSKY, I; LABOUVIE, E; PANDINA, R; LARANJEIRA, R. Drinking and driving: pre-
attitudes and perceptions among Brazilian youth. Drug and Alcohol Dependence, 2001; 62:
231-237.
NOWLIS, H. A verdade sobre as drogas. Rio de Janeiro: IBECC-UNESCO, 1975.
NUNES, S.O.V; ONISH, L.O; HASHIMOTO, S.M; KIKUCHI, R; TOLEDO, L.G.M;
KOIKE, A; CARMO, D.R; PAOLIELO, M.M.B; MATSUO, T. A hisria familiar e a
prevalência de dependência do álcool e tabaco em área metropolitana na região sul do Brasil..
Rev Psiq Clin, v. 26, n 3, p.84-89, 1999.
PATOCK-PECKHAM, J.A; HUTCHINSON, G.T; CHEONG, J; NAGOSHI, C.T. Effect of
religion and religiosity on alcohol use in a college student sample. Drug Alcohol Depend,
1998; 49(2):81-88.
PECHANSKY, F; BARROS, F. Problems related to alcohol consumption by adolescents
living in the city of Porto Alegre, Brazil. Journal of Drug Issues, 1995; 25 (4): 735-750.
PETERSON, P.L; HAWKINS, J.D; ABBOT, R.D; CATALANO, R.F. Disentangling the
effects of parental drinking , family management, and parental alcohol norms on current
drinking by black and white adolescents. Journal of Research on Adolescence, 4, 203-
227,1994.
PINSKY, I; LABOUVIE, E; PANDINA, R; LARANJEIRA, R. Drinking and driving: pre-
attitudes and perceptions among Brazilian youth. Drug and Alcohol Dependence, 2001; 62:
231-237.
PRENDERGAST, M.L. Substance use and abuse among college students: a review of recent
literature. J AM Coll Health, 1994; 43: 99-113.
121
QUEIROZ, S; SCIVOLETTO, S; SILVA, M.M.S; STRASSMAN, P.G; ANDRADE, A.G;
GATTAZ, W.F. Uso de drogas entre estudantes de uma escola pública de São Paulo. Rev Psiq
Clin 28(4): 176-182, 2001.
REHM, J; ASHLEY, M; ROOM, R; SINGLE, E; BONDY, S; FERRENCE, R;
GIESBRECHT, N. On the emerging paradigm of drinking patterns and their social and health
consequences. Addiction, 1996; 91: 1615-1621.
RIBEIRO, S.A; JARDIM J.R, DE B; LARANJEIRA, R.R; ALVES, A.K.S; KESSELRING,
F; FLAISSIG, L; ALMEIDA, M.Z.H; MATSUDA, M; HAMAMOTO, R.S. Prevalência de
tabagismo na Universidade Federal de São Paulo,1996: dados preliminares de um programa
institucional. Rev Ass Med Brasil, 1999; 45(1): 39-44.
ROSEMBERG, J; PERON, S. Tabagismo entre estudantes da Faculdade de Ciências Médicas
de Sorocaba. Jornal de Pneumologia, 1990, 16(1): 13-22.
ROSSETTO, M.A.C; ROSSETTO JR., J.A; ROSSETTO, A.C . O comportamento de jovens
fumantes após propaganda aversiva nos maços de cigarro . Rev Bras Psiquiatr, v..24 Suppl.2.
São Paulo, Oct. 2002.
RUFFINO-NETTO, A; RUFFINO, M.C; GRUBER,C.A; IZUZUKI, E.E; CARRAMASCHI,
F.R. Tabagismo entre acadêmicos de Ribeirão Preto- SP. Jornal de Pneumologia, 1981, 7:
164.
RUTLEDGE, P.C; SHER, K.J. Journal of Studies on Alcohol, July, 2001, 457-466.
SAFFER, H. Alcohol advertising and youth. J Stud Alcohol, Supplement 2002 Mar (14): 173-
81.
SAITO, M.I; SILVA, L.E.V. Adolescência: prevenção e risco. São Paulo: Atheneu, 2001,
462 p.
122
SANCHEZ, Z.V.D.M; OLIVEIRA, L.G; NAPPO, S.A. Razões para o não uso de drogas entre
jovens em situação de risco. Rev Saúde Pública, v. 39, n 4, São Paulo, Aug, 2005.
SCHONBERG, S.K. DROGADICCIÓN. In: McANARNEY, E; KREIPE, R; ORR, D;
COMERCI, G.D. Medicina del adolescente. Buenos Aires: Editorial Médica Panamericana,
1994 (Cap. 111, p.1099- 1113).
SCHWARTZ, H.R.; LEWIS, D.C.; HOFMANN, N.G.; KYRIAZI, N. Cocaine and marijuana
use by medical students before and during medical school. Archives of Internal Medicine, 150:
883-886, 1990.
SCHULENBERG, J; O’MALLEY, P.M; BACHMAN, J.G; WADSWORTH, K.N;
JOHSTON, LD. Getting drunk and growing up: trajectories of frequent binge drinking during
the transition to young adulthood. Journal of Studies on Alcohol, 1996; 57: 289- 304.
SCIVOLETTO, S. Abuso e dependência de drogas. In: SAITO, MI; SILVA, LEV.
Adolescência: prevenção e risco. São Paulo: Atheneu, 2001. 462 p.
SCIVOLETTO, S. Tratamento psiquiátrico ambulatorial de adolescentes usuários de drogas.
Tese Doutorado. Faculdade de Medicina, USP, 127p., 1997. In: QUEIROZ, S;
SCIVOLETTO, S; SILVA, M.M.S; STRASSMAN, P.G; ANDRADE, A.G; GATTAZ, W.F.
Uso de drogas entre estudantes de uma escola pública de São Paulo. Rev Psiq Clin, 28(4):
176-182, 2001.
SIMANTOV, E; SCHOEN, C; KLEIN, J.D. Health compromising behaviors: why do
adolescents smoke or drink? Arch Pediatr Adolesc Med, 2000; 154: 1025-1033.
SMART, R.G; HUGLES, P.H; JOHNSTON, L.D; ANUMONYE, A; KRANT V; MORA,
M.E.M; NAVARATNAN, V; POSHYASHINDA, V; KAR MA, V.K; NADUD, K.A . A
methodology for student drug use survey. Geneva, 1980. In: CENTRO BRASILEIRO DE
INFORMAÇÕES SOBRE DROGAS PSICOTRÓPICAS - CEBRID. Pesquisas
epidemiológicas sobre drogas entre estudantes: um manual de orientações gerais, 1993.
123
STALLINGS, M.C; HEWITT, J.K; BERESFORD, T; HEATH, A.C; EAVES, L.J. A twin
study of drinking and smoking onset and latencies from first use to regular use. Behavior
Genetics, v. 29, n. 6. 1999.
STRUNIN, L; HINGSON, R. Alcohol, drugs and adolescent sexual behaviors. Int J
Addictions, 1992, 27:129- 146.
TUINSTRA, J; GROOTHOFF, J.W; VAN DEL HEUVEL, W.J.A et al. Socioeconomic
differences in health risk behavior in adolescence: do they exist? Soc Sci Med, 1998; 47:67-74.
WARREN, C.W; KANN, L; SMALL, M.L; SANTELLE, J; COLLINS, J; KOLBE, L. Age of
initiating selected health risk behaviors among high school students in the United States.
Journal of Adolescent Health, v. 21, n. 4, p. 225-231. 1997.
WECHSLER, H; DAVENPORT, A; DOWDALL, G.W; MOEYKENS, B; CASTILLO, S.
Health and behavioral consequences of binge drinking in college: A national survey of
students at 140 campuses. Journal of the American Medical Association, 272: 1672-1677,
1994.
WECHSLER, H; DOWDALL, G.W; DAVENPORT, A; CASTILLO, S. Correlates of college
student binge drinking. Am J Public Health, 1995; 85: (7): 921-926 .
WECHSLER, H; DOWDALL, G.W; MAENNER, G; GLEDHILL-HOYT, J; LEE, H.
Changes in binge drinking and related problems among American college students between
1993 and 1997. J Amer Coll Hlth, 47: 57-68,1998.
WECHSLER, H; ISAAC, N. Binge drinkers at Massachusetts colleges: prevalence, drinking
style, time trends and associated problems. Journal of the American Medical Association,
267: 2929-31, 1992.
124
WECHSLER, H; KUO, M; LEE, H; DOWDALL, G.W. Environmental correlates of underage
alcohol use and related problems of college students. American Journal of Preventive
Medicine, 2000, 91: 24-29.
WECHSLER, H; LEE, J.E; KUO, M; LEE, H. College binge drinking in the 1990’s. A
continuing problem: results of the Harvard School of Public Health 1999 - College Alcohol
Study. J Amer Coll Hlth, 48: 199-210, 2000.
WETZELS, J.J.L; KREMERS, S.P.J; VITORIA, P.D; DE VRIE, H. The alcohol - tobacco
relationship: a prospective study among adolescents in six European countries. Addiction, 98:
1755- 63.
WHITE, H.R; HUSELID, R.F. Gender differences in alcohol use during adolescence. In:
WILSNACK, R; WILSNACK, S.C. Gender and alcohol: individual and social perspectives.
Rutgers Center of Alcohol Studies: New Brunswick, New Jersey, EUA, 1997, pp.176-198.
WILSNACK, R; WILSNACK, S.C. Gender and alcohol: individual and social perspectives.
Rutgers Center of Alcohol Studies: New Brunswick, New Jersey, EUA, 1997, 504p.
WINDLE, M. Alcohol use among adolescents and young adults. Alcohol Research and
Health, 27: 79-85, 2003.
WORLD HEALTH ORGANIZATION. Global status report on alcohol. Geneva: World
Health Organization, 1999. 391p.
WORLD HEALTH ORGANIZATION. Nomenclature and classification of drug and alcohol-
related problems: a WHO memorandum. Bull World Health Org, 1981; 59: 225-45.
ZAMORA, M.A. O uso de álcool entre adolescentes, uma expressão de masculinidade. 2004.
156p. Tese (Doutorado) Escola de Enfermagem de Ribeirão Preto, Universidade de São
Paulo.
125
ANEXOS
126
ANEXO A - QUESTIONÁRIO
Esse questiorio está sendo aplicado em alguns alunos da UFMG e faz parte de uma
pesquisa para que se conheça aspectos do uso de álcool entre jovens que estão ingressando na
universidade.
Você não deve colocar seu nome no questionário, pois ele é anônimo, ou seja, não poderemos
saber quem respondeu cada questionário depois que ele nos for devolvido.
É muito importante que você seja sincero e só responda depois de ler com bastante atenção as
perguntas e as alternativas oferecidas.
Basta marcar um X na resposta que você considerar mais correta.
A coluna que está à margem direita do texto não deve ser preenchida porque está reservada
para facilitar o trabalho dos pesquisadores.
Ao terminar, confira se respondeu todas as perguntas e coloque seu questionário na urna.
Agradecemos antecipadamente sua compreensão, atenção e colaboração.
127
Idade: 
Sexo: 1. Masculino 2. Feminino
1. A. você já fumou cigarro (tabaco)? 1. Não 2. Sim A. ( )
B. De um ano para cá você fumou algum cigarro? 1. Não 2. Sim B. ( )
C. De um mês para cá você fumou algum cigarro? 1. Não
2. Sim, fumei de 1 a 5 dias para cá
3. Sim, fumei de 6 a 19 dias para cá
4. Sim, fumei de 20 dias ou mais para cá
C. ( )
2. A. Você já tomou bebida alcoólica? 1. Não 2. Sim A. ( )
B. De um ano para cá você tomou bebida alcoólica? 1. Não 2. Sim B. ( )
C. De um mês para cá você tomou bebida alcoólica? 1. Não
2. Sim, usei de 1 a 5 dias para
3. Sim, usei de 6 a 19 dias para
4. Sim, usei de 20 dias ou mais para cá
C. ( )
3. A. Que idade você tinha quando experimentou (provou)
pela primeira vez uma bebida alcoólica?
1. Nunca bebi
2. Eu tinha ------ anos
3. Não lembro
A. ( )
B. Quem lhe ofereceu bebida alcoólica pela primeira vez? 1. Nunca bebi
2. Familiares
3. Amigos ou colegas
4. Comprei ou estava sozinho
5. Outros -----------------------------------
6. Não lembro
B. ( )
C. Onde você estava quando experimentou bebida
alcoólica pela primeira vez?
1. Nunca bebi
2. Em casa ou em casa de familiares
3. Bares, boates, estádios (shows, jogos,...)
4. Casa de amigos ou colegas
5. Outros -----------------------------------
6. Não lembro
C. ( )
128
4. A. Você já tomou alguma bebida alcoólica até se
embriagar (ficar bêbado)?
1. Não
2. Sim
A. ( )
B. De um mês para cá você tomou bebida alcoólica até se
embriagar?
1. Não
2. Sim, de 1 a 5 dias para
3. Sim, de 6 a 19 dias para cá
4. Sim, de 20 dias ou mais para cá
B. ( )
5. A. Qual bebida alcoólica você costuma tomar com
maior freqüência? (Marque apenas uma)
1. Não costumo beber ou nunca bebi
2. Cerveja, chope
3. Pinga, uísque, vodka, conhaque
4. Licor, champanhe, vinho
5. Outros -----------------------------------
A. ( )
B. Com quem você costuma tomar bebidas alcoólicas com
maior freqüência?
1. Não costumo beber ou nunca bebi
2. Familiares
3. Amigos ou colegas
4. Sozinho
5. Outros -----------------------------------
B. ( )
C. Onde você costuma tomar bebidas alcoólicas com
maior freqüência?
1. Não costumo beber ou nunca bebi
2. Em casa
3. Bares, boates, estádios (shows, jogos)
4. Casa de amigos ou colegas
5. Outros -----------------------------------
C. ( )
6. Com que freqüência você toma bebidas alcoólicas
destiladas (conhaque, uísque, vodka, pinga ) ?
1. Não tomo bebidas alcoólicas destiladas
2. Bebo em 1 a 5 dias por mês
3. Bebo em 6 a 19 dias por mês
4. Bebo em 20 dias ou mais por mês
6. ( )
7. Quantas doses de bebida alcoólica você costuma tomar
de cada vez? (Considere: 1 dose =1 lata de cerveja =
350ml de chope = 150 ml de vinho = 85 ml de licor =
50ml de vodka , uísque ou pinga)
1. Costumo beber ----- doses por vez 7. ( )
8. Você já comprou pessoalmente alguma bebida
alcoólica quando menor de idade?
1. Não
2. Sim
3. Tentei, mas não consegui
8. ( )
9. Você acha que alguém da sua família bebe demais? 1. Não 9. ( )
129
2. Sim. Quem? ----------------------------
10. Porque se embriagou, você já:
*Brigou ou ficou violento? 1. Não 2. Sim
*Transou sem preservativo? 1. Não 2. Sim
*Perdeu aula, dia de trabalho ou algum outro
compromisso importante?1. Não 2. Sim
*Causou/ sofreu acidentes?1. Não 2. Sim
*Dirigiu? 1. Não 2. Sim
10. ( )
11. Você considera o nível de informação que você possui
sobre o álcool e seus efeitos:
1. ssimo. Sei nada sobre o assunto
2. Ruim. Sei pouco sobre o assunto
3. Bom. Sei muita coisa sobre o assunto
4. Excelente. Sei tudo sobre o assunto
11. ( )
12. Você é satisfeito com sua qualidade de vida? 1. Não 2. Sim 12. ( )
13. Você pratica ou exerce com freqüência: *religião? 1. Não 2. Sim
*esporte/ atividade física? 1. Não 2. Sim
* trabalho (remunerado ou não)? 1. Não 2.
Sim
13. ( )
14. Você mora com quem? 1. Sozinho
2. Com meus pais
3. Com amigos ou colegas
4. Outros --------------------------------------
14. ( )
15. Sua casa tem :
* Banheiro com água encanada?
1. Não 2. Sim. Quantos? -----------------
*Automóvel?
1. Não 2. Sim. Quantos? -------------------
*Empregada (o) que recebe salário?
1. Não 2. Sim. Quantos? -------------------
*Televisão que funcione?
1. Não 2. Sim. Quantas? -----------------
*Rádio que funcione?
1. Não 2. Sim. Quantos? -------------------
*Máquina de lavar roupa que funcione?
15. ( )
130
1. Não 2. Sim. Quantas? -----------------
*Aspirador de pó que funcione?
1. Não 2. Sim. Quantos? -------------------
16. Qual é o grau de instrução do chefe da sua família?
(OBS: considere o mais elevado)
1. Nunca estudou/ primário incompleto
2. primário completo/ ginasial incompleto
3. ginasial completo/ colegial incompleto
4. colegial completo/ superior incompleto
5. superior completo
16. ( )
17. Seu relacionamento com seus pais é: 1. Ótimo
2. Bom
3. Regular
4. Ruim
5. ssimo
17. ( )
18. Como é o relacionamento entre seus pais? 1. Ótimo
2. Bom
3. Regular
4. Ruim
5. ssimo
18. ( )
131
ANEXO B - CONSENTIMENTO LIVRE E ESCLARECIDO
Objetivo do Estudo: Descrever aspectos do uso de álcool entre jovens que estão ingressando
na universidade.
Procedimentos: Se você concordar em participar, será aplicado um questionário, sem
identificação, para obtenção de dados referentes ao objetivo do estudo.
Riscos: Você, ao responder o questionário, não estará exposto a qualquer risco.
Benefícios: O estudo vai ajudar a conhecer o padrão de uso de álcool entre estudantes
universitários e os resultados poderão ser úteis para medidas de prevenção e assistência aos
estudantes. Você não terá custos para participar do estudo.
Possíveis Dúvidas sobre o Estudo: Esse termo explica o estudo. Por favor, leia-o
cuidadosamente. Pergunte sobre qualquer ponto que não tenha entendido. Se desejar maiores
informações, você pode ligar para os pesquisadores: Dra. Flávia Calaça (31-32489540) e Dr.
Roberto Assis Ferreira (31-32489540) ou para o Comitê de Ética da UFMG (31-32489364).
Confidencialidade das Informações: A confidencialidade das informações obtidas será
mantida nos limites garantidos pela lei. Além do caráter sigiloso do questionário, não haverá
identificação da pessoa que o respondeu, ou seja, não poderemos saber quem respondeu cada
132
questionário depois que ele nos for devolvido. Pessoas não envolvidas no estudo não terão
acesso a nenhuma informação.
Participação Voluntária: Você o é obrigado a participar.
O Que Significa Sua Assinatura: Ao assinar esse documento, você demonstra ter entendido
as informações nele contidas e estar disposto a participar anonimamente dos projetos descritos
acima.
OBS: Você receberá cópia desse documento.
____________________________________________________ ____/____/____ ,
BH/MG
Assinatura do entrevistado Data
____________________________________________________ ____/____/____ ,
BH/MG
Assinatura do entrevistador Data
____________________________________________________ ____/____/____ ,
BH/MG
Assinatura da testemunha Data
133
ANEXO C – ESCLARECIMENTO SOBRE A ESCALA SÓCIO-ECONÔMICA DA
ABIPEME
A Associação Brasileira de Institutos de Pesquisa de Mercado (ABIPEME) criou um sistema
de classificação cio-econômica, cujo conceito básico é discriminar as pessoas sócio-
economicamente, mediante informações sobre sua escolaridade e a posse de determinados
“itens de conforto”, tais como televisor, geladeira, rádio, automóvel e empregados
domésticos. É levado em consideração o número de entidades possuídas, item por item, ao
invés de simplesmente atribuírem-se pontos conforme a presença ou ausência de cada item. A
soma dos pontos obtidos vai incluir a pessoa entrevistada nas classes A, B, C, D ou E,
conforme mostrado abaixo.
Critério
Item
Não
tem
1
2 3 4 5 6
Ou
mais
TV
Rádio
Banheiro
Automóvel
Empregada
Aspirador
Máquina de lavar
0
0
0
0
0
0
0
2
1
2
4
6
5
2
4
2
4
8
12
5
2
6
3
6
12
18
5
2
8
4
8
16
24
5
2
10
5
10
16
24
5
2
12
6
12
16
24
5
2
Obs. Os pontos estão no corpo da tabela.
Instrução do Chefe da Família Pontos
Analfabeto/primário incompleto
Primário completo/ginasial incompleto
Ginasial completo/colegial incompleto
Colegial completo/superior incompleto
Superior completo
0
1
3
5
10
134
Classificação
Classe Pontos
A
B
C
D
E
35 ou mais
21 a 34
10 a 20
5 a 9
0 a 4
Por exemplo:
O sujeito X possui 1 televisão, 3 rádios, 1 automóvel, 1 aspirador e 1 máquina de lavar. Ele
o tem empregada e sua casa tem 2 banheiros. X tem nível superior incompleto.
Assim, X tem a seguinte pontuação: 2+3+4+5+2+0+4+5=25.
Com isto, X é classificado na classe B.
Esta escala cio-econômica foi testada em campo pela ABIPEME, por meio de amostragem
probabilística, abrangendo 1.720 residências em São Paulo e no Rio de Janeiro. Seu poder
discriminatório foi medido em termos de correlação de cada item com a renda familiar
informada pelos entrevistados. Além da correlação simples, foram calculados também os
coeficientes parciais de correlação múltipla e os respectivos coeficientes de determinação,
estes últimos representando a proporção da variância de cada item pesquisado. Evidenciou-se,
assim, que 57% da variância é explicada por apenas três variáveis: grau de instrução, número
de automóveis e número de empregados.
No presente estudo, a escolha desta escala deu-se a partir de três motivos básicos: a) a
necessidade de se utilizar indicadores simples, passíveis de serem informados através de
questionário de autopreenchimento; b) a escassez de propostas, no âmbito acadêmico, a este
respeito; c) a seriedade com que o estudo da ABIPEME foi conduzido.
135
ANEXO D – AUTORIZAÇÕES
Livros Grátis
( http://www.livrosgratis.com.br )
Milhares de Livros para Download:
Baixar livros de Administração
Baixar livros de Agronomia
Baixar livros de Arquitetura
Baixar livros de Artes
Baixar livros de Astronomia
Baixar livros de Biologia Geral
Baixar livros de Ciência da Computação
Baixar livros de Ciência da Informação
Baixar livros de Ciência Política
Baixar livros de Ciências da Saúde
Baixar livros de Comunicação
Baixar livros do Conselho Nacional de Educação - CNE
Baixar livros de Defesa civil
Baixar livros de Direito
Baixar livros de Direitos humanos
Baixar livros de Economia
Baixar livros de Economia Doméstica
Baixar livros de Educação
Baixar livros de Educação - Trânsito
Baixar livros de Educação Física
Baixar livros de Engenharia Aeroespacial
Baixar livros de Farmácia
Baixar livros de Filosofia
Baixar livros de Física
Baixar livros de Geociências
Baixar livros de Geografia
Baixar livros de História
Baixar livros de Línguas
Baixar livros de Literatura
Baixar livros de Literatura de Cordel
Baixar livros de Literatura Infantil
Baixar livros de Matemática
Baixar livros de Medicina
Baixar livros de Medicina Veterinária
Baixar livros de Meio Ambiente
Baixar livros de Meteorologia
Baixar Monografias e TCC
Baixar livros Multidisciplinar
Baixar livros de Música
Baixar livros de Psicologia
Baixar livros de Química
Baixar livros de Saúde Coletiva
Baixar livros de Serviço Social
Baixar livros de Sociologia
Baixar livros de Teologia
Baixar livros de Trabalho
Baixar livros de Turismo