Download PDF
ads:
1
Universidade de São Paulo
Escola Superior de Agricultura “Luiz de Queiroz”
Centro de Energia Nuclear na Agricultura
Amostragem de avifauna urbana por meio de pontos fixos:
verificando a eficiência do método
Eduardo Roberto Alexandrino
Dissertação apresentada para obtenção do título de
Mestre em Ciências. Área de concentração:
Ecologia Aplicada
Piracicaba
2010
ads:
Livros Grátis
http://www.livrosgratis.com.br
Milhares de livros grátis para download.
2
Eduardo Roberto Alexandrino
Licenciado e Bacharel em Ciências Biológicas
Amostragem de avifauna urbana por meio de pontos fixos:
verificando a eficiência do método
Orientador:
Prof. Dr. HILTON THADEU ZARATE DO COUTO
Dissertação apresentada para obtenção do título de
Mestre em Ciências. Área de concentração:
Ecologia Aplicada
Piracicaba
2010
ads:
Dados Internacionais de Catalogação na Publicação
DIVISÃO DE BIBLIOTECA E DOCUMENTAÇÃO - ESALQ/USP
Alexandrino, Eduardo Roberto
Amostragem de avifauna urbana por meio de pontos fixos: verificando a eficiência do
método / Eduardo Roberto Alexandrino. - - Piracicaba, 2010.
97 p. : il.
Dissertação (Mestrado) - - Escola Superior de Agricultura “Luiz de Queiroz”. Centro
de Energia Nuclear na Agricultura, 2010.
1. Amostragem 2. Aves 3. Avifauna 4. Monitoramento ambiental 5. Piracicaba (SP)
6. Urbanização. I. Título
CDD 598.2
A382a
“Permitida a cópia total ou parcial deste documento, desde que citada a fonte – O autor”
3
“O que sabemos é uma gota; o que ignoramos é um oceano"
“Se eu vi mais longe, foi por estar de pé sobre ombros de gigantes”
Isaac Newton
4
5
AGRADECIMENTOS
O início, o durante, e a efetivação deste trabalho só foi possível graças ao apoio
incontestável de várias pessoas que conviveram (e ainda convivem) comigo.
Primeiramente, um agradecimento especial ao meu querido pai, Sr. Luiz
Alexandrino, do qual sempre acreditou em meus objetivos, nunca duvidou de minha
capacidade e inteligência e jamais negou apoio nos meus momentos difíceis. É por isso
que sempre fiz questão dele ser o primeiro em saber de minhas conquistas.
Agradecimento à minha querida mãe, Sra. Maria Del Carmem, que apesar da
dor da distância, soube me apoiar e entender o porquê desta.
Aos meus queridos irmãos, Ana Paula, Renata, Luiz, Luiz Eduardo e Neto, que
apesar da distância sempre mantivemos nossos laços fraternos. Ao meu cunhado
Ricardo. Aos meus sobrinhos incríveis Eric e Melina, que durante as brincadeiras em
épocas de férias sempre me encheram de alegria, e depois de saudades.
Agradecimento especial a todos meus familiares, que também sempre
estiveram ao meu lado, compartilhando comigo uma alegria enorme que sempre me
dera ânimo novo para continuar a seguir em frente com meus objetivos. A Maria,
esposa do meu pai, por todo apoio.
Um agradecimento especial ao meu orientador, Prof. Dr. Hilton Thadeu Zarate
do Couto pela confiança depositada em mim desde minha época de graduação, por
todo apoio nas horas de dificuldades e por permitir que eu amadurecesse
profissionalmente errando e aprendendo.
À minha co-orientadora Prof. Dra. Katia M.P.M.B Ferraz, um agradecimento de
coração, que foi a precursora de praticamente toda a minha vida na ecologia. Seus
ensinamentos, conselhos, “puxões de orelha” e, logicamente, a sua amizade, me
ajudaram tornar o profissional que sou hoje.
Ao Prof.Dr. Demóstenes Ferreira da Silva Filho, por todo apoio nos meus
primeiros meses de mestrado, pelo aprendizado, e por me apresentar a famosa
classificação supervisionada.
Aos professores de todas as disciplinas cursadas durante meu mestrado.
6
A todos os colegas pós-graduando e alunos da graduação que conviveram
comigo no Laboratório de Métodos Quantitativos enquanto estive realizando o
mestrado; Rodrigo, Francisco Rollo, Luciana, Tiana, Sâmia, Tito, Marcos, Jaime,
Camila, Gabriele, Maurício, Pérsio, Melissa, Edgar, Juliana, Rafael Girão, Ramon,
Daniela e Bolinho.
Ao, agora, Dr. Jefferson, um agradecimento mais que merecido, por todo apoio
no laboratório, pelas resoluções dos problemas tecnológicos do mundo atual e,
logicamente, pela amizade.
Ao colega ornitólogo, Msc. Julio Cesar da Costa, por me apresentar essa
belíssima linha de pesquisa. Agradeço de coração todos os ensinamentos na arte da
identificação de aves e pelas ricas experiências em campo.
Aos demais colegas Paula Martin (Martini), Paula (Bell), pela amizade e por
compartilhar algumas aventuras no início de tudo.
Aos estagiários que apesar de minha dificuldade de acompanhá-los foi uma
enorme mão na roda no início das pesquisas; Camila, Caroline, Fernando, Karen,
Myldred, Cristiane e Alex.
A minha querida colega bióloga esalqueana, Maria Juliana (Anaruxa), da qual
sempre esteve ao meu lado, me apoiando, torcendo e comemorando junto comigo a
cada conquista alcançada. Te amo muito! Sou muito grato também a todos os seus
familiares por todo apoio na minha vida em Piracicaba.
A todos da república Na-t-lha que desde a graduação compartilhamos
momentos alegres e companheirismo.
À CAPES pela bolsa mestrado concedida, apesar de ter sido por um curto
período, foi praticamente essencial.
7
SUMÁRIO
RESUMO......................................................................................................................... 9
ABSTRACT ................................................................................................................... 11
LISTA DE FIGURAS ..................................................................................................... 13
LISTA DE TABELAS ..................................................................................................... 15
1 INTRODUÇÃO ........................................................................................................ 17
2 REVISÃO BIBLIOGRÁFICA .................................................................................... 21
3 MATERIAL E MÉTODOS ........................................................................................ 27
3.1 Área de estudo ........................................................................................................ 27
3.2 Delineamento amostral ........................................................................................... 29
3.3 Coleta de dados ...................................................................................................... 33
3.3.1 Levantamento quantitativo dos elementos urbanos ............................................ 33
3.3.2 Amostragem das aves urbanas .......................................................................... 40
3.3.3 Intervalo de coleta de dados por ponto fixo e período do estudo ....................... 41
3.3.4 Quantificação das fontes de desatenção do observador .................................... 42
3.4 Análise de dados .................................................................................................... 43
3.4.1 Classificação supervisionada das imagens aéreas ............................................ 44
3.4.2 Esforço amostral ................................................................................................. 44
3.4.3 Contagem de aves na presença de diferentes elementos urbanos .................... 45
3.4.4 Intervalo de coleta de dados por ponto fixo ........................................................ 45
3.4.5 Período do ano ................................................................................................... 45
3.4.6 Fontes de desatenção do observador ................................................................ 46
4 RESULTADOS ........................................................................................................ 47
4.1 Classificação supervisionada das imagens aéreas ................................................. 47
4.2 Esforço amostral ..................................................................................................... 47
4.3 Contagem de aves na presença de diferentes elementos urbanos ........................ 49
4.4 Intervalo de coleta de dados por ponto fixo ............................................................ 53
4.5 Período do ano ....................................................................................................... 55
4.6 Fontes de desatenção do observador ..................................................................... 56
5 DISCUSSÕES ........................................................................................................ 59
8
5.1 Esforço amostral...................................................................................................... 59
5.2 Contagem de aves na presença de diferentes elementos urbanos ......................... 60
5.3 Intervalo de coleta de dados por ponto fixo ............................................................. 62
5.4 Período do ano ........................................................................................................ 65
5.5 Fontes de desatenção do observador ..................................................................... 67
6 CONCLUSÕES ....................................................................................................... 71
REFERÊNCIAS ............................................................................................................. 73
APÊNDICES .................................................................................................................. 87
ANEXO .......................................................................................................................... 95
9
RESUMO
Amostragem de avifauna urbana por meio de pontos fixos:
verificando a eficiência do método
A urbanização é uma das ações antrópicas que mais crescem no mundo atual.
Por este motivo pesquisas ecológicas são realizadas nas cidades com o objetivo de
reconhecer seus impactos, e as aves são utilizadas como uma das ferramentas para
diagnóstico ambiental. Assim, o presente estudo avaliou o método de levantamento de
aves por ponto fixo, método amplamente utilizado em estudos com aves em diversos
ambientes. Foram analisados três pontos que podem influenciar a amostragem de aves
através deste método: 1) o habitat onde o levantamento é realizado, observando a
composição dos elementos urbanos existentes na cidade; 2) o intervalo de tempo
adotado em cada ponto fixo para a coleta de dados; 3) os fatores potencialmente
prejudiciais a observação de aves, tais como o ruído sonoro urbano e a presença de
conversas causadas por pessoas curiosas. Com a área de estudo estratificada a partir
da quantidade de cobertura arbórea existente nos bairros abrangidos, 90 unidades
amostrais foram selecionadas. Nestes, foram quantificados os elementos urbanos
presentes, a riqueza, o número de contato de aves, os ruídos sonoros e a presença de
conversas. Os resultados demonstraram que a reunião de um número maior de
espécies e contatos pode ser favorecida pelas áreas de cobertura arbórea, enquanto
áreas construídas e pisos impermeáveis podem prejudicar o número de espécies,
sendo o número de contato prejudicado apenas pelas áreas de pisos impermeáveis. O
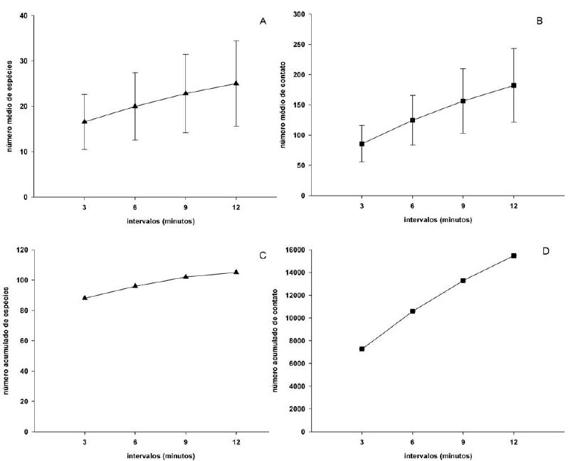
número de espécies observadas não foi significativamente diferente após nove minutos
de coleta de dados, entretanto o número de contatos continuou crescendo,
demonstrando haver recontagens de indivíduos após este intervalo. A riqueza de
espécies foi significativamente diferente entre os dados coletados no período seco e no
período chuvoso. Conforme houve a maior presença do ruído sonoro urbano menor foi
o número de espécies e contatos obtidos nos pontos. A incidência de conversas
ocasionadas por pessoas curiosas foi baixa não prejudicando as coletas de dados. Os
resultados encontrados sugerem que: o levantamento de aves no meio urbano através
do ponto fixo deve considerar a composição do ambiente, já que a riqueza e o número
de contato podem variar de acordo com a presença dos diferentes elementos; sejam
adotados intervalos de tempo por ponto não superiores a nove minutos; quando
possível diferentes épocas do ano devem ser utilizadas para as coletas de dados, visto
que podem ser encontradas diferenças entre as estações; sejam escolhidos locais e
momentos para as coletas de dados com baixo ruído sonoro. Por fim, o método de
ponto fixo foi considerado eficaz para amostragem de aves urbanas, desde que tais
cuidados sejam considerados.
Palavras-chave: Aves urbanas; Ruído urbano; Esforço amostral; Amostragem
estratificada; Classificação automática supervisionada
10
11
ABSTRACT
Urban birds sampling by point counts: checking the method efficiency
The urbanization is one of the anthropic activities with the highest growth rate in
the world. Due to this reason, ecological research are conducted in the cities with the
goal of recognizing its impacts, using birds as one of the tools to assess the
environmental diagnosis. Therefore, the present study assessed the samples by point
counts method, which is broadly used for bird census in many environments. Three
issues that might affect the sampling of the birds by using this method were analyzed: 1)
the habitat where the sampling is performed, observing the urban elements presented in
the city; 2) the period of point count duration spent in each sample; 3) the potential
factors which disturb the birds detectability, as urban noise and presence of curious
citizens who can talk to the researcher in the point count. The research area was
stratified from the amount of tree canopies in the selected suburbs, where 90 sample
units were selected. In these units, the presence of urban elements, the richness, the
number of birds contacts, the noise and the presence of conversations were quantified.
The results showed that the number of species and contacts can be benefited from the
tree canopy area, while build up areas and impermeable grounds may harm the number
of species, although the contact number is harmed only by the impermeable grounds.
The number of observed species did not differ significantly after nine minutes of sample
period, however the number of contacts kept increasing, demonstrating a repeated
counting birds after this interval. The species richness was significantly different
between the samples collected in dry and wet seasons. As the urban noise increased, a
lower number of species and birds contacts was acknowledged. The incidence of
conversation performed by curious people was low, not being able to harm the sample
collection. The results suggest that: the bird survey inside the cities by point counts
should consider the composition of environment, since the richness and the number of
birds contacts can vary according to the presence of different elements; the time of
interval should not exceed nine minutes; when possible, different annual seasons should
be used for sampling, since differences may be found among them; places and
moments for the sampling should be chosen with a low noise. Finally, the point counts
method was considered efficient for the sampling of urban birds, provided that such care
are considered.
Keywords: Birds census; Urban noise; Sampling effort; Stratified sampling; Automatic
supervised classification
12
13
LISTA DE FIGURAS
Figura 1 - Localização do município de Piracicaba/SP no estado de São Paulo e em
destaque a área utilizada para o estudo ......................................................... 28
Figura 2 - Sequência de seleção dos pontos definitivos dentro de cada estrato
delimitado. ....................................................................................................... 31
Figura 3 - Etapas seguidas para o delineamento amostral. Fotografia de: Base
Aerofotogrametria. ........................................................................................... 32
Figura 4 - Exemplo das etapas realizadas para a quantificação dos elementos
urbanos presentes em cada uma das 90 unidades amostrais. Todas as
faixa de vôo e cenas utilizadas no estudo seguiram as mesmas etapas ........ 39
Figura 5 - Curva de acúmulo de espécies para as 535 coletas de dados realizadas
na área de estudo. Valor do estimador não paramétrico Jacknife 1º
ordem indicado diretamente no gráfico ........................................................... 49
Figura 6 - Porcentagem de presença dos elementos urbanos em relação a soma
das áreas dos 90 polígonos utilizados no estudo ............................................ 50
Figura 7 - Porcentagem de presença dos quatro elementos urbanos mais presentes
na cidade em cada unidade amostral. Áreas circuladas indicam unidades
amostrais com presença destes elementos urbanos diferente ao
encontrado para a área de estudo total ........................................................... 51
Figura 8 - Incremento do número médio de espécies (A) e número médio de
contato (B) com os respectivos desvios padrões, a cada três minutos
adicionados nas coletas de dados. Gráficos (C) e (D) mostram os valores
absolutos obtidos em cada acréscimo de intervalo .......................................... 54
14
15
LISTA DE TABELAS
Tabela 1 - Classes de elementos urbanos utilizado no presente estudo e os
critérios para a formulação de cada ............................................................. 38
Tabela 2 - Valores apresentados pela estatística Kappa e acurácia por meio do
software TNT mips 2009 após cada classificação automática
supervisionada realizada às cenas e faixas de vôos utilizadas no
estudo ........................................................................................................... 47
Tabela 3 - Correlação de Sperman (r) entre riqueza e número de contato às aves
com os elementos urbanos .......................................................................... 52
Tabela 4 - Comparações entre riqueza e número de contato acumulado de toda
área de estudo, conforme o acréscimo de 3 minutos nas coletas de
dados. Valores do X
2
resultantes do teste de Kruskal-Wallis em itálico e
valor de p logo abaixo. Resultado destacado indica não haver diferença
significativa entre os dados provenientes dos intervalos analisados ............ 55
Tabela 5 - Teste de comparação de médias através do teste Tukey com
informações da análise de variância para riqueza e número de contato
obtidos em diferentes período do ano .......................................................... 55
Tabela 6 - Riqueza específica e número de contato observado durante o período
chuvoso e seco............................................................................................. 56
Tabela 7 - Análise de correlação de Sperman entre ruído sonoro e riqueza e
número de contato às aves obtidos na área total de estudo ........................ 56
Tabela 8 - Teste de comparação de médias através do teste Tukey com
informações da análise de variância para riqueza e número de contato
obtidos em observações realizadas na presença e ausência de
conversa ....................................................................................................... 57
16
17
1 INTRODUÇÃO
As cidades, sobre o ponto de vista ecológico, perfazem um dinâmico e complexo
ecossistema, o ecossistema urbano (GILBERT, 1989; ADAMS, 1994). Este ambiente
único com características próprias encontra-se em constante crescimento. Estima-se
que a população urbana no mundo atinja 53,5% da população mundial em 2015, e para
o mesmo ano estima-se que 88,4% dos brasileiros estejam vivendo nas cidades
(PROGRAMA DAS NAÇÕES UNIDAS PARA O DESENVOLVIMENTO, 2005). Logo,
nas últimas décadas este ecossistema tem sido foco de muitos estudos que visaram
examinar seu o impacto potencial na biodiversidade (MIDDLETON, 1994;
WACKERNAGEL; REES, 1996) e, conjuntamente, no ecossistema global
(McDONNELL; PICKETT, 1990; REES, 1997).
A urbanização é a maior causadora de alterações permanentes nos ambientes
naturais. A cidade mantém uma baixa taxa de similaridade à paisagem original,
tornando o ambiente dificilmente recuperável ao que era antes (MARZLUFF; EWING,
2001; McKINNEY, 2002). Com o avanço da ocupação urbana, a fragmentação dos
habitats originais pode ser extrema acarretando alterações a todos os níveis ecológicos
e aos organismos envolvidos (SAUNDERS; HOBBS; MARGULES, 1991; SAVARD;
CLERGEAU; MENNECHEZ, 2000). Assim, casos de homogenização biótica (biotic
homogenization) são relatados em cidades, onde poucas espécies se adaptam às
novas condições ambientais impostas pela urbanização (BLAIR, 2001; CLERGEAU et
al., 2006; McKINNEY, 2006; van RENSBURG; PEACOCK; ROBERTSON, 2009).
Neste contexto, são crescentes as pesquisas ecológicas que visam reconhecer os
impactos da urbanização nos diferentes grupos de fauna e flora viventes no meio
urbano. Estes estudos buscam também identificar medidas mitigadoras que auxiliem a
manutenção de uma maior biodiversidade e auto suficiência das mesmas (LIMA FILHO;
MEDEIROS, 2006; BRUN; LINK; BRUN, 2007), além de reconhecer e prover subsídios
que evitem a explosão demográfica de possíveis espécies pragas, como pardais,
pombos domésticos, morcegos e ratos, animais relatados por Conover (1997) como
causadores de problemas em cidades norte americanas. Alguns exemplos de estudos
são apresentados: pesquisando a flora nativa existente (MAURER; PESCHEL;
18
SCHMITZ, 2000; DANTAS; SOUZA 2004); insetos e outros artrópodes (BLAIR;
LAUNER, 1997; ÖCKINGER; DANNESTAM; SMITH, 2009); peixes (OLIVEIRA;
BENNEMANN, 2005); herpetofauna (BURGER, 2003; JELLINEK; DRISCOLL;
KIRKPATRICK, 2004); mamíferos (GEHRT; CHELSVIG, 2003). Em relação às aves,
este tem sido o grupo da fauna mais pesquisado nas cidades. O elevado número de
espécies sinantrópicas com hábitos conspícuos, e a sua fácil observação visual e vocal
favorecem a reunião rápida de dados ricos para a realização de diversas pesquisas
ecológicas, quando comparada com os demais grupos da fauna (KONISHI et al., 1989;
SANTOS, 1994; BIBBY et al., 2000, REYNAUD; THIOULOUSE, 2000; TURNER, 2003).
As aves possuem uma elevada sensibilidade a alterações nas estruturas e
composições do habitat, tornando-se excelentes indicadoras de estresses no
ecossistema urbano (SAVARD; FALLS, 1981; CLERGEAU et al., 1998), e também em
demais ecossistemas (STOTZ et al., 1996; BIBBY et al., 2000; VIELLIARD, 2000).
Porém, mesmo com vários estudos já realizados, Marzluff (2001) salienta a
necessidade da continuidade de pesquisas com a avifauna dentro deste ecossistema,
justamente pelo fato de existirem diferentes políticas e estratégias de manutenção e
crescimento entre as cidades, sendo gerados cenários diferentes em cidades distintas
(e.g., LOSS; RUIZ; BRAWN, 2009).
O reconhecimento das áreas pobres em biodiversidade pode ser útil para os
futuros planejamentos urbanos que visem um maior suporte à biodiversidade.
Conseqüentemente, prover condições que permitam uma manutenção da mesma pode
também refletir em uma melhoria na qualidade de vida dos seres humanos (ADAMS,
1994; MIDDLETON 1994; SAVARD; CLERGEAU; MENNECHEZ, 2000) já que a
natureza urbana pode ser apreciada pelos seus residentes (GILBERT, 1982;
CLERGEAU et al., 2001) sendo importante para a recreação e o bem estar dos
mesmos (VANDRUFF et al., 1995), além de propiciar a aplicação da educação
ambiental (SUKOOP; WERNER, 1991).
Com esta riqueza de informações que o estudo de avifauna pode apresentar sobre
as cidades, um trabalho deste gênero deve ser muito bem planejado e realizado, a fim
de evitar erros e resultados não confiáveis.
19
Dentre os métodos de coleta de dados de aves existentes destaca-se o método de
ponto fixo (RALPH; SAUER; DROEGE, 1995; BIBBY et al., 2000), método amplamente
empregados em estudos com avifauna terrestre (VIELLIARD, 2000; ROSENSTOCK et
al., 2002).
Segundo Dawson (1981) o próprio habitat estudado, a época de realização do
estudo, o período do dia, o clima, o ruído ambiental presente, o observador, entre
outros, são alguns dos fatores que podem influenciar a contagem de aves terrestres.
Por esse motivo, há anos o método de ponto fixo atrai a atenção de vários
pesquisadores que buscam testar sua eficiência e aplicabilidade em relação às tais
fatores.
Quando o objetivo é diagnosticar a comunidade de aves urbanas em relação aos
cenários encontrados dentro das cidades, ainda há disparidades em como aplicar o
método. Um motivo de debate está no melhor intervalo de tempo de permanência do
observador por ponto, considerando as particularidades encontradas neste ambiente.
Assim, utilizando a avifauna da cidade de Piracicaba/SP, e possuindo um
delineamento experimental voltado ao teste metodológico, o presente estudo visa testar
a eficiência do método de coleta de dados por ponto fixo neste ecossistema, analisando
três pontos que podem influenciar na amostragem de aves: 1) o habitat onde o
levantamento é realizado, observando a composição dos elementos urbanos existentes
na cidade; 2) o intervalo de tempo adotado em cada ponto fixo para a coleta de dados;
3) os fatores potencialmente prejudiciais a observação de aves, tais como o ruído
sonoro urbano e a presença de conversas causadas por curiosos.
As questões a serem respondidas neste estudo são:
- Existe diferença no número de contato e espécies observadas de acordo com a
quantidade de elementos urbanos presentes nos locais a serem amostrados dentro do
ecossistema urbano?
- Qual o esforço amostral necessário por ponto fixo para a realização de um
levantamento de aves efetivo, considerando o cenário encontrado neste ecossistema?
20
- O levantamento de aves no meio urbano através do método de ponto fixo pode
ser prejudicado pela presença de fontes de desatenção ao observador de aves, tais
como ruído sonoro e conversas no ponto?
Para responder estas questões, a presente dissertação está estruturada na
seqüência em que as perguntas são lançadas.
21
2 REVISÃO BIBLIOGRÁFICA
A elevada sensibilidade a alterações nas estruturas e composições do habitat que
as aves possuem (STOTZ et al., 1996; BIBBY et al., 2000; VIELLIARD, 2000) tornaram-
nas eficazes ferramentas à estudos ambientais.
Partindo desse princípio, diversos estudos foram realizados em várias cidades do
mundo, com o intuito de levantar suas aves. Dentre os locais que já foram foco de
levantamento de aves, destacam-se, parques urbanos (FRANCHIN; MARÇAL JUNIOR,
2002, 2004; VALADÃO; FRANCHIN; MARÇAL JUNIOR, 2006), praças públicas
(MATARAZZO-NEUBERGER, 1995) áreas periféricas (MERENLENDER; REED;
HEISE, 2009), campi universitários (MANHÃES; LOURES-RIBEIRO, 2005 LOPES;
ANJOS, 2006; GUSSONI, GUARALDO, 2008), matas ciliares e margens de demais
cursos d’água (ALVES; PEREIRA, 1998; SILVA; BLAMIRES 2007), bem como escalas
maiores, como a totalidade da cidade e o município (TURNER, 2003; FONTANA, 2004;
SANTOS, 2005; SANDSTRÖM; ANGELSTAM; MIKUSINSKI, 2006).
Do mesmo modo, o reconhecimento da variação da composição da avifauna ao
longo da malha intra-urbana, em função dos gradientes de urbanização existentes
desde o centro até a periferia (e.g. RUSZCZYK et al., 1987; BLAIR, 1996; CLERGEAU
et al., 1998; REYNAUD; THIOULOUSE, 2000; TURNER, 2003; FONTANA, 2004; LIM;
SODHI, 2004; SANTOS, 2005; CLERGEAU et al., 2006; SANDSTRÖM; ANGELSTAM;
MIKUSINSKI, 2006; van RENSBURG; PEACOCK; ROBERTSON, 2009), permite o
estudo dos sistemas ecológicos existentes na paisagem urbana, e permite o
reconhecimento de áreas precárias em biodiversidade dentro das cidades, gerando
dados que suportem ações de manejo ambiental urbano (ALBERTI; BOTSFORD;
COHEN, 2001; MILLER et al., 2001). Estes estudos explanam resultados similares onde
a riqueza específica é baixa nas áreas centrais e aumentam gradativamente em direção
a áreas periféricas, além de serem encontradas espécies não nativas ocorrendo nas
cidades. Os bairros mais arborizados, praças públicas e remanescentes florestais
localizados dentro de áreas urbanas tornam-se pequenos pontos de refúgio e
residência de demais espécies de aves com diferentes graus de sensibilidade a
antropização, elevando, assim, o número de espécies em meio a matriz urbana
22
(TILGHMAN, 1987; MATARAZZO-NEUBERGER, 1990, 1995; SODHI et al., 1999;
FERNÁNDEZ-JURICIC, 2001; FRANCHIN; MARÇAL JUNIOR, 2002, 2004; VALADÃO;
FRANCHIN; MARÇAL JUNIOR, 2006; LOPES; ANJOS, 2006). Alguns autores
salientam que a diversidade de aves em áreas urbanas tende a ser proporcional ao
volume de vegetação existente (EMLEN, 1974; LANCASTER; REES, 1979; MILLS;
DUNNING JR.; BATES, 1989; SODHI et al., 1999; LIM; SODHI, 2004; SANDSTRÖM;
ANGELSTAM; MIKUSINSKI, 2006; LUTHER et al., 2008) já que maior será a
capacidade de suporte para as espécies (SASVARI, 1984, TILGHMAN 1987).
Dentre os métodos de coleta de dados de aves existentes (BIBBY et al., 2000), o
método de transectos (transecções) e os pontos fixos são dois métodos amplamente
utilizados no meio urbano, e em demais ecossistemas terrestres (VIELLIARD, 2000;
ROSENSTOCK et al., 2002).
No método de transecções são estabelecidas trilhas ao longo da área de estudo,
onde o pesquisador irá percorrer realizando a identificação e a contagem das aves
observadas (RALPH; SCOTT, 1981; RALPH et al. 1993; BIBBY et al., 2000). Dentre os
estudos que utilizam tal método na área urbana destacam-se, Mills, Dunning Jr e Bates
(1989), Matarazzo-Neuberger (1990, 1995), Sodhi et al. (1999), Franchin e Marçal
Junior (2002, 2004), Lim e Sodhi (2004), Valadão, Franchin e Marçal Junior (2006)
Lopes e Anjos (2006). Já o método de ponto fixo consiste em realizar a observação das
aves ocorrentes no ponto estudado via registros auditivos e visuais, com o observador
mantendo-se fixo no ponto e coletando os dados dentro de um intervalo de tempo pré-
determinado (RALPH; SCOTT, 1981; RALPH; SAUER; DROEGE, 1995; BIBBY et al.,
2000). Dentre os estudos que utilizam o ponto fixo na área urbana podem ser
destacados Tighlman (1987), Cooper (2002), Turner (2003), Fontana (2004), Santos
(2005), Sandström, Angelstam e Mikusinski (2006), Breeden et al. (2008), Merenlender,
Reed e Heise (2009), Oneal e Rotenberry (2009) e van Rensburg, Peacock e Robertson
(2009).
Ambos os métodos permitem a reunião de dados qualitativos, ou seja, saber quais
espécies ocorrem no ponto, e permitem também a reunião de dados quantitativos, ou
seja, levantar a abundância relativa das espécies observadas. A coleta de dados
qualitativos foca a reunião de espécies novas e a freqüência em que tais espécies são
23
observadas, por este motivo, este tipo de levantamento é menos exigente quanto a
cuidados a serem tomados durante a amostragem. Neste, a preocupação está
principalmente focada na alocação das trilhas e dos pontos (BIBBY et al., 2000), e na
habilidade do observador em identificar as espécies (KEPLER; SCOTT, 1981). Porém,
para a reunião de dados quantitativos, além de considerar os mesmos cuidados
explanados anteriormente, ambos os métodos exigem cuidados extras a fim de evitar
sub ou super estimativas de abundância das aves observadas, já que se corre o risco
de serem feitas recontagens de indivíduos. Neste caso, a área amostral a ser
considerada a partir do transecto e do ponto e o período de contagem dos indivíduos,
mensurado em minutos no ponto fixo e na metragem percorrida no transecto, são
pontos que exigem a atenção do pesquisador durante o planejamento do estudo
(RALPH; SCOTT, 1981; BIBBY et al., 2000).
A área de amostragem do método do ponto fixo é variável, existindo trabalhos que
aplicam o método sem um raio fixo de amostragem (BLONDEL; FERRY; FROCHOT,
1981; ONEAL; ROTENBERRY, 2009) e trabalhos que utilizam um raio fixo de
amostragem, sendo este raio variável entre os habitats estudados (HUTTO,
PLETSCHET; HANDRICKS, 1986; MERENLENDER; REED; HEISE, 2009; van
RENSBURG; PEACOCK; ROBERTSON, 2009). Uma vantagem do ponto fixo, frente ao
método de transectos, é a facilidade de padronização na alocação do número de
unidades amostrais, ou seja, os pontos, a serem distribuídos dentro de um ambiente
heterogêneo. Nem sempre os locais a serem estudados permitem o posicionamento de
trilhas com extensões padronizadas, prejudicando a comparação entre os dados
coletados nas mesmas (BLONDEL; FERRY; FROCHOT, 1970 apud VIELLIARD;
SILVA, 1990; BIBBY et al., 2000).
A quantificação de aves através dos pontos fixos pode ser realizada através do
índice pontual de abundância (IPA) desenvolvido em Blondel, Ferry e Frochot 1970,
apud (VIELLIARD; SILVA, 1990). Neste método, criado no hemisfério norte,
originalmente os dados são coletados em pontos com um raio fixo de amostragem
através de 20 minutos, com subdivisões do intervalo a cada 5 minutos para auxiliar a
organização dos dados. Cada ponto é visitado duas vezes nas manhãs durante o
período reprodutivo, em dias com clima bom. A quantificação é realizada utilizando os
24
contatos obtidos dos indivíduos de cada espécie visualizados ou ouvidos na área. A
soma dos contatos obtidos de cada espécie em todos os pontos da área de estudo,
divididos pelo número de coleta de dados realizados entre todos os pontos, gera o valor
do IPA (BLONDEL; FERRY; FROCHOT, 1981). Entretanto, devido os registros auditivos
perfazer a maioria dos contatos às aves em grande parte dos ecossistemas terrestres
(e.g., DeJONG; ENLEM, 1985; SAUER; PETERJOHN; LINK, 1994, VIELLIARD, 2000;
BREWSTER; SIMONS, 2009), e as atividades vitais e vocais poderem ser
extremamente diferente entre as espécies (VIELLIARD; SILVA, 2001), a detectabilidade
entre as de aves também pode ser diferente. Assim, Vielliard e Silva (2001) salientam
que o IPA não permite conhecer a abundância real das espécies, mas autoriza
comparações quantitativas entre elas. A diferença na detecção às aves pode estar
relacionada também ao tipo de habitat estudado (SCHIECK, 1997, BIBBY; BUCKLAND,
1987; BIBBY et al., 2000; PACIFICI; SIMONS; POLLOCK, 2008), e até mesmo o local a
ser amostrado dentro do mesmo habitat (WAIDE; NARINS, 1988). Logo, erros nas
contagens e identificações podem ocorrer se o observador que irá coletar os dados não
estiver devidamente treinado (ROBBINS; STALLCUP, 1981; BIBBY et al., 2000).
O primeiro relato da aplicação do método no Brasil foi em 1990, num fragmento
florestal do interior paulista (VIELLIARD; SILVA, 1990). Deste então, variações na
aplicação do IPA são observadas principalmente no número de visitas e intervalo de
tempo realizado em cada ponto, dependendo do habitat onde este é aplicado (e.g.,
ALEIXO; VIELLIARD, 1995; DONATELLI; COSTA; FERREIRA, 2004; BETINI, 2001;
SANTOS, 2005; DEVELEY; MARTENSEN, 2006).
Apesar do método de ponto fixo ser amplamente utilizado e defendido (FONTANA,
2004; ANJOS, 2007), há anos o método atrai a atenção de vários pesquisadores que
buscam testar sua eficiência e aplicabilidade em relação aos fatores que podem
influenciar a contagem das aves, tais como, o habitat, o período do ano e o esforço
amostral por ponto, a habilidade dos observadores, os ruídos ambientais, o clima, entre
outros (DAWSON, 1981). Assim, verifica-se a existência de vários estudos
metodológicos: Verificando a eficiência da utilização de raios fixos de amostragem por
cada ponto (HUTTO, PLETSCHET; HANDRICKS, 1986) e a não utilização de raios
fixos (BLONDEL; FERRY; FROCHOT, 1981); a eficiência da utilização de mais de um
25
observador nas contagens (NICHOLS et al., 2000; ALLDREDGE; POLLOCK; SIMONS,
2006); o tempo de permanência do observador em cada ponto (THOMPSON;
SCHWALBACH, 1995; BETINI, 2001); eficiência dos observadores em estimar a
distância da origem da vocalização a partir do ponto fixo (ALLDREDGE; SIMONS;
POLLOCK, 2007; SIMONS et al., 2007); a influência do ruído presente no ambiente na
detecção às aves (BREEDEN et al., 2008; PACIFICI; SIMONS; POLLOCK, 2008).
Infelizmente, trabalhos que visam testar o método de ponto fixo ainda estão
limitados à ambientes florestais e habitats não urbanos, geralmente pouco perturbados,
o que torna os resultados destes com baixa relevância quando aplicados em um
ambiente urbano. As cidades reúnem características únicas das quais não são
encontradas nos locais onde grande parte dos estudos metodológicos foram
conduzidos. O tráfego de veículos, bem como o próprio cotidiano dos humanos
residentes, geram cenários onde o ruído torna-se elevado (REIJNEN et al., 1995)
prejudicando as detecção às aves (BREEDEN et al., 2008).
Dentre os estudos realizados nas cidades que utilizaram pontos fixos, percebe-se
que não existe um padrão no intervalo de tempo a ser utilizado nos pontos. Por
exemplo, 20 minutos foram adotados em Tilghman (1987), Breeden et al. (2008),
Manhães e Loures-Ribeiro (2005), 10 minutos em Merenlender, Reed e Heise (2009) e
Oneal e Rotenberry (2009), oito minutos em Cooper (2002), Santos (2005) e van
Rensburg, Peacock e Robertson (2009) e cinco minutos em Turner (2003), Sandström,
Angelstan e Mikusiski (2006), Luther et al. (2008) e Loss, Ruiz e Brawn (2009). Apenas
em Fontana (2004), um estudo realizado na cidade de Porto Alegre/RS, a autora utiliza
um delineamento amostral apto a verificar o melhor intervalo de tempo necessário
àquele, sugerindo em seus resultados o intervalo de oito minutos de contagem por
ponto.
26
27
3 MATERIAL E MÉTODOS
3.1 Área de estudo
O estudo foi realizado na área urbana do município de Piracicaba-SP, situado no
interior paulista entre as coordenadas 22º42’00” de latitude sul e 47º38’00” longitude
oeste. A área da cidade utilizada neste estudo foi a região central, abrangendo toda a
extensão dos bairros São Judas, São Dimas, Clube de Campo, Cidade Jardim, Centro,
Cidade Alta e Parque Rua do Porto, e abrangendo partes dos bairros Higenópolis, Vila
Rezende, Nova Piracicaba, Nho-Quim, Monumento, Paulista, Paulicéia e Castelinho. O
estudo compreendeu ao todo uma área de aproximadamente 1100 ha (Figura 1). A
escolha desta área dentro da cidade foi feita por existir uma ampla variação de
elementos urbanos, como, edificações, arborização e terrenos abertos, possuir praças
públicas e parques, e ser cortado pelo Rio Piracicaba, local onde são encontrados em
alguns pontos de suas margens remanescentes de mata ciliar recuperada. O tamanho
da área estudada foi escolhido considerando o tempo disponível para a efetivação do
presente estudo e pela logística.
A altitude média da cidade é 540 metros (SILVA FILHO, 2004) e o clima é do tipo
de Cwa (verão quente com estiagem no inverno), segundo Köppen e pluviosidade
média de 1200 mm anuais (SETZER, 1946). Para o ano de 2009 o município possuía
uma população estimada de 368.843 habitantes (INSTITUTO BRASILEIRO DE
GEOGRAIFIA E ESTATÍSTICA - IBGE, 2010) com mais de 95% da população residente
na área urbana (INSTITUTO DE PESQUISAS E PLANEJAMENTO DE PIRACICABA -
IPPLAP, 2010).
28
Figura 1 - Localização do município de Piracicaba/SP no estado de São Paulo e em destaque a área
utilizada para o estudo
29
3.2 Delineamento amostral
A fim de alocar as unidades amostrais em diferentes ambientes constituintes do
meio urbano, primeiramente foi criada uma malha de possíveis unidades amostrais,
representadas por pontos georreferenciados no formato UTM, posicionados a cada 200
metros, a partir da localização espacial da área amostral total. Esta malha de pontos foi
gerada com o auxílio do software Microsoft Office Excel 2003 recorrendo aos recursos
da linguagem Visual Basic for Aplications (JELEN; SYRSTAD, 2004). Com o auxílio do
software ArcView 3.2 (ESRI, 1996), os pontos foram sobrepostos numa ortofoto
digitalizada da cidade fornecida pela Prefeitura de Piracicaba e elaborada pela empresa
Base Aerofotogrametria. Após, uma primeira análise visual foi feita com o objetivo de
identificar pontos que caíssem em locais que ofereceriam baixa segurança à visitação
do pesquisador para a coleta de dados, tais como locais com alta criminalidade. Então,
estes pontos eram excluídos.
Em seguida, cada ponto restante desta malha foi realocado seguindo uma regra
de realocação criada para este estudo. Pontos que originalmente caíram em locais
inacessíveis foram reposicionados para as intersecções de ruas (esquinas) mais
próximas dentro de um raio de 100 metros. Além destes pontos, os que caíram no meio
de vias de transporte (i.e. ruas, avenidas, rodovias) também foram reposicionados para
esquinas mais próximas do ponto inicialmente proposto. Os pontos que caíram
originalmente em locais inacessíveis e que não tiveram a opção de serem realocados
em esquinas dentro de um raio de 100 metros, foram, em última instância,
reposicionados ao local acessível mais próximo, sendo este necessariamente um local
que permitisse uma boa visão panorâmica. Os pontos originais somente foram
excluídos quando não houve opção de reposicioná-lo para uma esquina ou uma área
publica acessível dentro do raio estabelecido, ou quando este, em sua nova posição,
ultrapassasse o limite mínino de 150 metros e máximo de 250 metros dos pontos
adjacentes. Dessa forma, no final desta primeira etapa foram obtidas 270 unidades
amostrais na área de estudo total, representadas por pontos.
Após esta etapa, foram selecionadas as unidades amostrais definitivas dentre as
270 possíveis na área total de estudo. Para garantir o posicionamento das unidades
30
amostrais em locais com variação na composição dos materiais urbanos existentes, a
área total de estudo foi estratificada em função da variação da porcentagem de
cobertura arbórea, já que esta é a variável destacada em vários estudos como sendo
importante para a ocorrência de maior riqueza de aves urbanas (EMLEN, 1974;
LANCASTER; REES, 1979; MILLS; DUNNING JR.; BATES, 1989; LIM; SODHI, 2004).
Esta estratificação foi baseada através das informações disponíveis na literatura sobre
a porcentagem de cobertura arbórea existente em cada bairro abrangido neste estudo.
Seguindo os resultados apresentados em Rollo et. al. (2007a, 2007b), e Silva Filho
(2009) foram reconhecidas 3 áreas dentro dos 1100 ha onde havia variação da
porcentagem de cobertura arbórea. Assim, foram delimitados três estratos, A, B e C:
Estrato A - com aproximadamente 330 ha apresenta em sua extensão 7.4% de
cobertura arbórea. Esta abrange os bairros: São Judas, São Dimas, Cidade Jardim,
Clube de Campo, parte norte do Centro e parte norte da Cidade Alta.
Estrato B - com aproximadamente 317 ha apresenta em sua extensão 3.03% de
cobertura arbórea. Esta abrange os bairros: parte central e sul do Centro e Cidade Alta,
parte norte da Paulista, além de pequenas partes que margeiam os bairros Castelinho,
Higenópolis e Paulicéia.
Estrato C - com aproximadamente 453 ha apresenta em sua extensão 10.9% de
cobertura arbórea. Esta abrange os bairros: Parque da Rua do Porto, parte centro-leste
do Nova Piracicaba e Monumento, parte centro-sul do Vila Rezende, além de uma
pequena parte sul do bairro Nho-Quim.
Após a delimitação dos estratos, em cada um destes foram selecionados 30
unidades amostrais definitivas, a partir dos 270 pontos realocados. Para cada unidade
amostral selecionada duas outras em seqüência eram descartadas. A ordem de seleção
das unidades amostrais sempre se iniciava do canto superior direto para o inferior
esquerdo (Figura 2). No final 90 unidades amostrais definitivas foram selecionados para
a coleta de dados.
As etapas deste sistema de alocação e seleção de pontos estão ilustradas na
Figura 3.
31
Figura 2 - Sequência de seleção dos pontos definitivos dentro de cada estrato delimitado.
Fotografia de Base Aerofotogrametria
32
Figura 3 - Etapas seguidas para o delineamento amostral. Fotografia de: Base Aerofotogrametria
Etapa 2 – Plotada a malha de
pontos sobre a área de estudo
Etapa 3 – Pontos realocados
segundo os critérios
estabelecidos. Total 270 pontos
Etapa 4 – Criada os três estratos
Etapa 5 – Seleção dos 30 pontos fixos dentro de
cada estrato, totalizando 90 pontos definitivos.
Etapa 1
Delimitação da área de estudo
33
Este delineamento foi adotado com o intuito de evitar a escolha de unidades
amostrais tendenciosamente, perfazendo assim, uma alocação estratificada sistemática
das unidades amostrais (COCHRAN, 1977; SHIVER; BORDERS, 1996), medida
semelhante utilizada em Tilghmam (1987) em levantamento de aves urbanas.
A escolha pelo posicionamento preferencial das unidades amostrais em
intersecções de ruas (esquinas) foi baseada em Santos (2005), onde também foram
utilizados pontos fixos em esquinas para a amostragem de aves. Este procedimento foi
tomado com o objetivo de manter todas as unidades amostrais com similar capacidade
visual do entorno. Do mesmo modo, os pontos definitivos que não puderam ser
realocados em esquinas foram posicionados em locais que também permitissem um
bom campo de visão da área que seria amostrada. Assim, foi tomado o cuidado de
evitar um possível viés amostral relacionado a dificuldade de detecção visual às aves.
3.3 Coleta de dados
3.3.1 Levantamento quantitativo dos elementos urbanos
Para a identificação e quantificação dos elementos urbanos presentes em cada
uma das 90 unidades amostrais, a fim de verificar se existe diferença no número de
espécies e contatos a serem observados no meio urbano, foram utilizadas imagens
aéreas multiespectrais da cidade de Piracicaba classificadas automaticamente. Os
passos realizados desde a captura das imagens aéreas até a quantificação dos
elementos urbanos selecionados para o estudo estão descritos nos itens subseqüentes.
3.3.1.1 Captura das imagens aéreas
As imagens aéreas multiespectrais foram capturadas com a câmara Geospatial
Systems modelo MS 4100 Multiespetral 3CCD Color/CIR, com resolução de imagem de
1920 x 1080 pixels, apta para a captura de imagens na faixa do espectro visível e do
infravermelho próximo (400-1100 nm) (GEOSPATIAL SYSTEMS, 2009). Esta câmara
34
foi acoplada numa abertura do piso de um avião monomotor CESSNA 180, modelo que
permite um bom alinhamento horizontal deste com o solo quando em sobrevôo. A
captura das cenas ocorreu a uma altitude de vôo a 3000 metros em relação ao solo, no
dia 19 de setembro de 2008 entre os horários das 11:45h às 13:00h em condições
climáticas ensolaradas e sem nuvens (precipitação 0,0 mm e radiação solar entre 808,0
– 829,0 W/m
2
) (ESALQ/USP – DEPARTAMENTO DE ENGENHARIA DE
BIOSSISTEMAS, 2010). Com estas condições foi obtida uma resolução espacial de 1 x
1m de pixel.
Durante esta campanha de vôo todos os bairros da cidade foram videografados,
gerando um total de 732 cenas. Após a captura destas cenas, estas foram
georrerenciadas no formato UTM e montadas por justaposição por meio do software
Microimages TNT Mips 2009 (SMITH, 2006) no laboratório de Silvicultura Urbana do
departamento de Ciências Florestais da Escola Superior de Agricultura “Luiz de
Queiroz”. Maiores detalhes sobre processos de montagem e georreferenciamento das
cenas aéreas podem ser encontradas em Silva Filho (2005, 2006) e Rollo et al. (2007a,
2007b).
Após as cenas terem sido georreferenciadas, foram selecionadas apenas aquelas
que correspondiam à área total do presente estudo. Ao todo foram utilizadas 15 cenas.
Estas foram analisadas quanto a sua qualidade e, quando pertinentes, foram agrupadas
em faixas, o que facilitaria a classificação automática supervisionada e o trabalho de
coleta das variáveis urbanas para cada unidade amostral. Quando alguma cena, ao
serem justapostas pelo software TNT Mips 2009 apresentasse alta
desproporcionalidade ou uma não continuidade com a cena seguinte, optava-se, então,
em trabalhar com as cenas separadas. Este tipo de erro pode ocorrer devido a
pequenas variações do movimento do avião enquanto as cenas estão sendo
capturadas.
Ao todo foram montadas 4 faixas distintas e utilizadas 2 cenas separadas:
Faixa 6 – Composta por 5 cenas, corresponde a região norte da área de estudo.
Faixa 7a – Composta por 3 cenas, corresponde a região centro-oeste da área de
estudo.
35
Faixa 7b – Composta por 2 cenas, corresponde a região centro-leste da área de
estudo.
Faixa 8 – Composta por 3 cenas, corresponde a região sul da área de estudo.
Cena 319 – Cena única localizada na região central da área de estudo.
Cena 393 – Cena única localizada a nordeste da área de estudo.
As faixas de vôo e as cenas utilizadas no estudo estão ilustradas no apêndice A.
3.3.1.2 Classificação supervisionada das imagens aéreas
Para cada faixa de vôo e para as duas cenas separadas foram realizadas
particularmente a classificação automática supervisionada também por meio do
software Microimages TNT Mips 2009 utilizando-se o algoritmo Stepwise Linear. Como
base para informar ao software a quais conjunto de pixels correspondiam as classes
adotadas nesta classificação, tomou-se como a verdade terrestre imagens de satélite
da cidade de Piracicaba com data 14 de junho de 2007 disponibilizada no software
Google Earth™. Esta imagem possui alta qualidade do ponto de vista fotogramétrico e
ótima resolução espacial, sendo útil para identificação visual da verdade terrestre para a
confecção de áreas de treinamento e classificação final.
Ao todo foram utilizadas 11 classes para a classificação supervisionada:
Árvores – corresponde a todas as áreas de copa de árvores e arbustos.
Gramado – corresponde a todas as áreas de vegetação rasteira e herbácea.
Telha barro – corresponde áreas de telhado montados com telhas fabricadas a
base de barro.
Telha metálica – corresponde a áreas de telhado montados com telhas fabricadas
a base de elemento metálico, sem possuir coloração azulada ou escura.
Telha metálica azul – corresponde a áreas de telhado montados com telhas
fabricadas a base de elemento metálico, possuindo coloração na tonalidade
azulada.
Telha escura – correspondem a áreas de telhado montados com telhas
fabricadas a base de elemento do tipo cimento, com coloração escura, e áreas de
laje, cobertura de casas, prédios e outras edificações.
36
Asfalto – correspondem áreas de via pública e/ou particular onde haja a presença
de asfalto. Nesta classe se enquadram ruas, avenidas, estradas e áreas de
estacionamento.
Piso cimento – correspondem áreas de via pública e/ou particular onde haja a
presença de cimento utilizada por pedestres. Nesta classe se enquadram calçadas
e demais passeios públicos.
Água piscina – corresponde a áreas de piscinas cheias d’água.
Água rio, lago, lagoa – correspondem áreas com presença de água pluviais, tais
como rio, riachos, lago e lagoas.
Sombras – corresponde a áreas que eventualmente no momento da captura da
imagem aérea obtiveram áreas obscurecidas por sombreamento da luz solar.
Entretanto, de acordo com as particularidades de cada faixa e cenas utilizadas
apresentam, por exemplo, variação na tonalidade dos pixels para um mesmo elemento
urbano e a presença de alguns elementos urbanos apenas em algumas partes da
cidade, o número de classes utilizadas entre as faixas e cenas foi variável. Assim para
cada faixa e cenas utilizada foram utilizadas as seguintes classes:
Faixa 6 e 7a – Foram utilizadas todas as 11 classes.
Faixa 7b e 8 – Foram utilizadas 10 classes apenas. Nestas faixas não foram
utilizadas a classe “água rio, lago, lagoa” por não existir corpos d’água pluviais
nestas áreas da cidade.
Cena 319 e cena 393 – Foram utilizadas nove classes apenas. Nestas cenas não
foram utilizadas as classes “água rio, lago, lagoa” por não existir corpos d’água
pluviais nestas áreas da cidade, e “telha escura” pelo fato desta cena possuir
tonalidade mais escurecida, o que ocasionaria um grande conflito de classificação
entre as classes “asfalto” e “telha escura”, se a mesma fosse utilizada.
37
3.3.1.3 Composição dos elementos urbanos nas unidades amostrais
Após a realização da classificação automática supervisionada, as 90 unidades
amostrais do estudo foram plotadas nas quatro faixas e nas duas cenas utilizadas. A
partir do centro de cada unidade amostral um polígono circular de 100 metros de raio foi
estabelecido. Dentro deste polígono foram quantificadas as áreas correspondentes de
cada classe de uso utilizada por meio do software TNT Mips 2009 Para o mesmo,
primeiramente procedeu-se a vetorização dos mapas classificados e em seguida a
extração do conteúdo interno de cada polígono. Através da quantificação dos pixels
pertencentes a cada classe foi possível estimar, em metros quadrados e em
porcentagem, a extensão que cada classe ocupava dentro de cada polígono
Para evitar erros na estimativa da extensão de cada classe dentro de cada
polígono, foi realizada a checagem manual e eventual correção da classificação
supervisionada em todas as 90 unidades amostrais do estudo, procedimento
similarmente adotado em Yuan et al. (2005) com classificação supervisionada no
ambiente urbano. Neste caso a imagem de satélite do Google Earth foi utilizada como
verdade terrestre para a conferência de cada polígono. Todas as classes foram
checadas uma a uma. Para cada reconhecimento de um pixel, ou conjunto de pixels,
que não correspondia ao elemento urbano que realmente existia na área, este foi
reclassificado manualmente para a classe a qual deveria pertencer. Com a correção
feita uma nova quantificação da presença de cada classe era realizada dentro do
polígono.
Após a finalização da classificação e a quantificação das 11 classes utilizadas,
com suas devidas correções, tais classes foram reagrupadas em oito classes definitivas
de elementos urbanos para serem utilizadas nas análises do presente estudo. As novas
classes e a base de dados utilizadas para sua formulação seguiram os seguintes
apresentados na Tabela 1.
38
Tabela 1 - Classes de elementos urbanos utilizado no presente estudo e os critérios para a formulação de
cada
Elemento
urbano
Descrição
Cobertura
Arbórea
Corresponde exatamente aos valores apresentados na classe “Árvores” utilizada na
primeira classificação.
Cobertura
Gramado
Corresponde exatamente aos valores apresentados na classe “Gramado” utilizada na
primeira classificação
Área
construída
Corresponde à soma das áreas das classes “Telha barro”, “Telha metálica”, “Telha
metálica azul” e “Telha escura” utilizadas na primeira classificação.
Piso
impermeável
Corresponde à soma das áreas das classes “Asfalto” e “Piso cimento” utilizadas na
primeira classificação.
Área sombra
Corresponde exatamente aos valores apresentados na classe “Sombras” utilizada na
primeira classificação.
Água pluvial
Corresponde exatamente aos valores apresentados na classe “Água rio, lago, lagoa”
utilizada na primeira classificação.
Área piscina
Corresponde exatamente aos valores apresentados na classe “Água piscina” utilizada
na primeira classificação.
Solo exposto
Classe criada a partir do reconhecimento manual durante as checagens e correções dos
polígonos correspondentes às 90 unidades amostrais utilizadas no estudo. Esta classe
era composta de áreas de solo exposto destinado a plantios e bancos de areia.
Não foi utilizada a classe “Solo exposto” nas classificações automáticas
supervisionadas já que em projetos pilotos esta classe facilmente se confundia com a
classe de “Telha de barro”, pois tais elementos possuem reflectâncias similares.
As etapas realizadas desde as classificações automáticas supervisionadas até a
quantificação dos elementos urbanos em cada faixa de vôo e cena utilizada estão
ilustradas no exemplo da Figura 4.
39
Classes
Área
ocupada
(m
2
)
Árvores
1969.33
Gramado
1626.57
Telha barro
12004.07
Telha metálica
807.26
Telha metálica azul
207.41
Telha escura
0.00
Asfalto
10266.83
Piso cimento
4273.02
Água piscina
314.31
Água rio,lago,lagoa
84.55
Sombras
0.00
Elemento urbano
Área
ocupada
(%)
Cobertura Arbórea
6.24
Cobertura Gramado
5.15
Área construída
41.26
Piso impermeável
46.08
Área piscina
0.27
Água pluvial
0.00
Área sombra
1.00
Solo exposto
0.00
Figura 4 - Exemplo das etapas realizadas para a quantificação dos elementos urbanos presentes em cada uma
das 90 unidades amostrais. Todas as faixa de vôo e cenas utilizadas no estudo seguiram as mesmas
etapas
Etapa 5 – Correção manual e
quantificação das classes em
cada polígono
Etapa 1 – Georreferenciamento da
cena aérea multiespectral número 393
Etapa 2 – Cena 393 classificada
automaticamente em 11 classes
Etapa 3 – Traçado os polígonos de
100 metros de raio nas unidades
amostrais
Etapa 4 – Quantificação das
classes em cada polígono
Etapa 6 – Agrupamento das
classes em 8 elementos urbanos
e quantificação dos mesmos
40
3.3.2 Amostragem das aves urbanas
O levantamento de aves deste estudo foi realizado através do método de ponto
fixo (VIELLIARD; SILVA, 1990; RALPH; SAUER; DROEGE, 1995; BIBBY et al., 2000)
utilizando um raio fixo de amostragem por ponto (BIBBY et al., 2000), semelhantemente
utilizado em Hutto, Pletschet e Handricks (1986). Cada uma das 90 unidades amostrais
selecionadas correspondia a um ponto fixo. Em cada ponto fixo foram realizadas seis
visitas entre 18 de setembro de 2007 e 15 de novembro de 2008, sendo três visitas no
período seco e três visitas no período chuvoso. Cada coleta de dado foi realizada
através de 12 minutos contínuos, onde as espécies que se encontravam dentro do raio
fixo de 50 metros a partir do observador eram quantificadas via registros auditivos e/ou
visuais. A quantificação baseou-se no cálculo do Índice Pontual de Abundância (IPA)
(BLONDEL; FERRY; FROCHOT, 1981; VIELLIARD; SILVA, 1990), porém com
modificações: espécies em vôos eram consideradas nas coletas desde que não
estivessem se descolando para pontos adjacentes ou que estivessem em vôos a
grandes altitudes (i.e, acima de prédios de 15 andares); no caso de bandos de aves,
todos os indivíduos eram contados desde que fossem visualizados; quando um bando
de uma mesma espécie era nitidamente ouvido, porém sem avistar, considerava-se
apenas um contato. Não foram consideradas neste estudo as espécies que só foram
observadas fora do período estipulado para o levantamento ou fora dos pontos fixos.
As coletas foram realizadas apenas no período da manhã, com início no alvorecer
a aproximadamente 10 minutos antes do sol nascer se estendendo aproximadamente 3
horas após, similarmente utilizado em Sodhi et al. (1999), Turner (2003), Franchin e
Marçal Junior (2004), Lim e Sodhi (2004), Santos (2005) e Lopes e Anjos (2006). Para o
presente estudo todas as observações foram precedidas pelo mesmo observador.
A coleta de dados entre os três estratos amostrais foi seqüencial por cada dia de
levantamento, ou seja, para cada dia de coleta um estrato diferente era visitado. Para
cada dia de campo buscou-se visitar apenas uma média de 10 pontos, evitando assim
possíveis diferenças na capacidade de atenção nos últimos pontos devido ao próprio
desgaste físico do observador. Entre os pontos que seriam visitados no dia era
realizado um sorteio para estipular a sequência em que seriam visitados. Estes
41
procedimentos foram tomados para evitar uma coleta de dados desigual durante o
período do ano por entre os estratos e evitar que os pontos fossem visitados apenas
numa mesma hora do dia durante todo o período do estudo.
Não foram feitas coletas de dados em dias chuvosos e com ventos fortes, pois
estes poderiam prejudicar os trabalhos em campo.
3.3.3 Intervalo de coleta de dados por ponto fixo e período do estudo
Para avaliar se existe diferença no levantamento de aves no meio urbano de
acordo com o intervalo de tempo adotado no método do ponto fixo, foi utilizada uma
subdivisão do intervalo de tempo escolhido para a coleta de dados (12 minutos) a cada
três minutos. Assim, em cada coleta de dados realizada eram anotadas as espécies e
os números de contatos obtidos no ponto a cada intervalo de três minutos (3, 6, 9 e 12
minutos), porém, sem recontar os indivíduos e espécies outrora contadas nos intervalos
anteriores. Salienta-se que cada contato era proveniente de um indivíduo, podendo este
ser via registro auditivo ou visual, e cada indivíduo era anotado apenas uma vez na
caderneta de campo, respectivamente no intervalo de tempo em que este foi
observado. Assim como considerado para o cálculo do IPA, um mesmo indivíduo pode
ter contatos diferentes desde que sejam obtidos em dias diferentes.
Para facilitar esta divisão dos intervalos, em todas as coletas de dados foram
utilizadas cadernetas de campo pré-formuladas (ANEXO A) e foi utilizado um
cronômetro programado para emitir um alarme a cada 3 minutos transcorridos.
Para verificar se o período do ano pode influenciar no número de contato e
espécies a serem observadas, cada coleta realizada possuía sua data de realização
anotada, permitindo posteriormente uma separação dos dados obtidos nos períodos
seco e chuvoso.
Para cada um dos 90 pontos fixos foi somado o número de contato e a riqueza
de espécies obtida através de todas as visitas realizadas, porém, utilizando apenas os
dados acumulados a cada intervalo de tempo de três minutos. Ou seja, foi obtido o
número total de contato e espécies observadas em cada ponto fixo, caso o trabalho
42
fosse procedido com a adoção do intervalo de tempo por ponto com 3, 6, 9 ou 12
minutos de coleta.
Os dados provenientes do período chuvoso e período seco foram separados
baseando-se na data de sua realização. As coletas de dados realizadas nos meses de
setembro a março foram consideradas no período chuvoso, enquanto as coletas
realizadas nos meses de abril a agosto foram consideradas no período seco.
3.3.4 Quantificação das fontes de desatenção do observador
Para avaliar a eficiência do levantamento de aves através do método de ponto
fixo, foram mensuradas duas possíveis fontes de desatenção ao observador de aves; o
ruído sonoro e interrupções devido a conversas do observador com pessoas curiosas.
Estes fatores foram escolhidos por causarem um aparente desvio de atenção na
observação às aves via registros auditivos, o que pode dificultar a capacidade de
identificação, contagem e monitoramento das mesmas enquanto o levantamento estiver
ocorrendo, logo, causando erros amostrais (SIMONS et al., 2007).
No corpo desta dissertação o ruído sonoro será tratado da mesma forma “ruído
sonoro”, enquanto as interrupções causadas por conversas do observador com outras
pessoas serão tratadas apenas como “conversa”.
Foi considerado “ruído sonoro”, toda e qualquer emissão sonora proveniente da
própria vivência humana nos centros urbanos, tais como, o trânsito de veículos
automotivos e pedestres, sons emitidos de auto-falante, maquinário em canteiro de
obras, fogos de artifício, conversas em voz alta, etc.
Considerou-se “conversa” toda interrupção causadas nas coletas de dados por
demais pessoas que, por ventura, ao passar pelo observador de aves parou para
dialogar com o mesmo.
Ambos os fatores foram coletados em cada visita realizada nos 90 pontos fixos,
ao mesmo momento em que o observador realizava a coleta de dados de aves, ou seja,
durante os 12 minutos.
O ruído sonoro foi coletado através de 4 observações de máxima e mínima
intensidade sonora, medidas em decibéis (dB) capturadas por um decibelímetro,
43
modelo IEC 61672-1, a cada 3 minutos. Este permanecia posicionado ao lado do
observador com seu orifício de coleta de ruído voltado para o cruzamento das esquinas,
e nos pontos posicionados fora das esquinas, voltados para a fonte de ruído que mais
perturbava o observador na área. Assim, uma observação era capturada no final dos 3,
6, 9 e 12 minutos de levantamento.
Para cada visita aos pontos fixos foi calculada uma média aritmética do ruído
sonoro obtido em decibéis (dB) através das observações de máxima e mínima
intensidade sonora capturadas.
A conversa foi coletada por meio de anotações na caderneta de campo do
observador. Para cada interrupção ocasionada por um diálogo, seja este de curta ou
longa duração, aquela amostra naquele ponto recebia a anotação “conversa”.
Salienta-se que o observador de aves sempre permanecia com o foco em seu
trabalho, não tomando a iniciativa de conversar com os pedestres, que pela
curiosidade, eventualmente perguntavam o que estava sendo realizado no local.
Quando uma conversa era iniciada, o observador se identificava e explicava que não
poderia dar atenção no momento. Em nenhuma ocasião a coleta de dados era
interrompida, sendo mantida a contagem do tempo no cronômetro e a tentativa de
atenção às aves.
Logo, estes fatores de desatenção do pesquisador eram provenientes de eventos
não controláveis, comportando-se de forma aleatória, assim como ocorre na realidade
em levantamentos urbanos, onde o pesquisador não consegue prever o que e quando
um evento poderá atrapalhar sua coleta de dados.
3.4 Análise de dados
Os dados foram analisados com o auxílio do software SAS 9.2, EstimateS 8.0
(COLWELL, 2006), e para ilustrações gráficas Sigmaplot 8.0. O nível de significância
adotado para todas as análises estatísticas aqui realizadas foi de 0,05.
Optou-se pela utilização do coeficiente de Sperman já que as variáveis em
análise são discretas, evitando assim possíveis erros relacionados a não satisfação pré
44
imposta para a utilização do coeficiente de Pearson (normalidade dos dados, variáveis
continuas) (ZAR, 2010).
Nas análises utilizadas nos itens “período do ano” e “fontes de desatenção do
observador”, quando os dados analisados não satisfizeram as pressuposições para as
análises de variância, tais como normalidade, homogeneidade das variâncias,
aditividade e independência entre os tratamentos, foram utilizadas transformações de
dados seguindo a metodologia de Box-Cox (KREBS, 1999).
3.4.1 Classificação supervisionada das imagens aéreas
Para avaliar a exatidão entre a verdade terrestre (Ground Truth Data), informada
ao software através da confecção de um “treinador”, e a classificação automática, que é
realizada a partir deste treinador, atentou-se aos valores apresentados da estatística
Kappa e o valor da acurácia obtida, conforme descrito em Landis e Koch (1977) e
Moreira (2003), assim como realizado em Yuan et al. (2005). Salienta-se que cada vez
que uma classificação é realizada, o software TNT mips informa a quantidade de pixels
que foi identificada para cada classe utilizada, e se houve conflito de identificação dos
pixels a mais de uma classe, constituindo assim a chamada matriz de erro. A partir
desta matriz de erro técnicas de análise multivariada são empregadas pelo software
para retornar o valor da estatística Kappa, que, por sua vez é comparada em classes de
acurácia (LANDIS; KOCH, 1977).
3.4.2 Esforço amostral
O erro e o esforço amostral da amostragem estratificada foram estimados
através da abordagem de Cochran (1977). Para o mesmo utilizou-se os dados
observados sobre da avifauna considerando um erro desejado de 10% e intervalo de
confiança com 95% de probabilidade.
Também foi realizada a curva do coletor utilizando o número de coletas de dados
realizadas e o número de espécies observadas. Para o mesmo utilizou-se estimador
não paramétrico Jacknife de 1º ordem com aleatorizações das coletas a fim de
45
comparar os dados obtidos com os dados esperados (HELTSHE; FORRESTER, 1983;
COLWELL; CODDINGTON, 1994; KREBS, 1999).
3.4.3 Contagem de aves na presença de diferentes elementos urbanos
Para verificar se alguns elementos urbanos podem favorecer ou prejudicar a
riqueza e o número de contato às aves, procedeu-se a análise de correlação de
Sperman (ZAR, 2010) entre o total de contatos e a riqueza específica de cada ponto em
relação a porcentagem de presença de cada classe de elemento urbano presente no
respectivo ponto.
Também foi realizada análise de regressão múltipla passo a passo (stepwise) por
meio do software SAS com os quatro elementos urbanos mais presentes na cidade
(Área construída, Piso impermeável, Cobertura Arbórea e Cobertura Gramado) a fim de
reconhecer como tais variáveis se relacionaram. Para o stepwise as variáveis
dependentes (riqueza e número de contato) e as variáveis independentes (os quatro
elementos urbanos) além de serem utilizadas sem transformações, também foram
testadas com log transformações, inversas e quadráticas.
3.4.4 Intervalo de coleta de dados por ponto fixo
Foram computadas a riqueza e número de contatos obtidos em todas as visitas a
todos os pontos fixos para cada incremento de três minutos no esforço amostral. Então,
os dados referentes a cada intervalo de tempo foram comparados através de análise
não paramétrica de Kruskal-Wallis (ZAR, 2010), uma vez que as suposições impostas
para a utilização de análises paramétricas, como a análise de variância, não foram
satisfeitas mesmo após as transformações realizadas pela metodologia Box-Cox
(KREBS, 1999).
3.4.5 Período do ano
O número de contato e riqueza específica obtida em cada período do ano (seco e
chuvoso) foi comparado através da análise de variância (ANOVA) seguida pelo teste
46
Tukey (ZAR, 2010). Também foi realizada uma análise de similaridade de Jaccard
(KREBS, 1999) entre as espécies observadas em cada período do estudo.
3.4.6 Fontes de desatenção do observador
Para verificar se o ruído sonoro pode prejudicar a detecção às aves, foi realizada
uma análise de correlação de Sperman (ZAR, 2010) entre as médias de ruídos sonoros
com o respectivo número de contato e riqueza obtidos nas coletas de dados.
Do mesmo modo, a análise de variância e o teste Tukey também foram
realizados com o intuito de examinar se existe diferença significativa na riqueza e
número de contatos às aves quando procedidas coletas de dados na presença e na
ausência de conversa no ponto. Para esta análise foram utilizados apenas dados
provenientes do mesmo período do ano, e dados dos pontos que apresentaram
conversa em alguma de suas coletas realizadas.
47
4 RESULTADOS
4.1 Classificação supervisionada das imagens aéreas
As cenas e faixas de vôo classificadas automaticamente apresentaram elevados
valores da estatística Kappa e respectiva acurácia (Tabela 2).
Tabela 2 - Valores apresentados pela estatística Kappa e acurácia por meio do software TNT mips 2009
após cada classificação automática supervisionada realizada às cenas e faixas de vôos
utilizadas no estudo
Cenas e faixas de vôo Estatística Kappa (%) Acurácia (%)
Faixa 6 93,69 94,79
Faixa 7a 95,59 96,42
Faixa 7b 91,01 92,16
Faixa 8 90,59 91,90
Cena 319 97,72 98,02
Cena 393 97,04 97,44
4.2 Esforço amostral
Foram realizados ao todo 107 horas de esforço amostral distribuídos em 86 dias
de trabalho de campo. Neste período 535 coletas de dados foram realizadas através
dos 90 pontos fixos, perfazendo a amostra da cidade. Salienta-se que em cinco pontos
fixos não foi possível realizar uma das suas visitas do período seco devido ao
impedimento do acesso aos pontos por um grande período de dias. Esta falta de
acesso foi ocasionada pelas autoridades civis (policiais, bombeiros e agentes de
trânsito) devido reformas na via pública ou reparo na rede de água e esgoto
subterrânea, e também pela presença de um grande número de pessoas realizando
protestos e festividades em algum dos pontos. Estes fatores, além de evitar com que o
observador alcançasse o ponto, também alteravam de forma exorbitante a dinâmica do
local, o que poderia influenciar no comportamento das aves, caso a coleta de dados
fosse realizada mesmo assim.
48
Com este esforço amostral foram encontradas 106 espécies de aves pertencentes
a 14 ordens e 35 famílias (APÊNDICE B), em 16132 contatos realizados durante as
coletas.
Para a amostragem estratifica, considerando os dados de riqueza, o erro amostral
calculado foi de 5,36% com um esforço amostral previsto de 26 unidades amostrais.
Considerando os dados de número de contato o erro foi de 5,54% com um esforço
amostral de 28 unidades amostrais.
A curva acumulativa de espécies demonstra que não houve estabilização da
mesma, sendo indicado pelo estimador Jacknife de 1º ordem a possibilidade de
haverem mais espécies com o mesmo número de coletas (figura 5).
49
Figura 5 - Curva de acúmulo de espécies para as 535 coletas de dados realizadas na área de estudo.
Valor do estimador não paramétrico Jacknife 1º ordem indicado diretamente no gráfico
A freqüência dos registros obtidos às aves por meio do método do ponto fixo foi de
36,9% via registros mistos, ou seja, visuais mais auditivos, subseqüentemente, 33,8 %
exclusivamente via registros visuais e 29,3% via registro exclusivamente auditivo.
4.3 Contagem de aves na presença de diferentes elementos urbanos
Os elementos urbanos utilizados no estudo possuíram diferença entre as
quantidades presentes, quando consideradas a soma das áreas dos 90 polígonos
circulares de onde estes foram quantificados. Os elementos mais presentes foram Área
construída (40,9%), seguida de Piso impermeável (28,3%) e Cobertura arbórea (10,8%)
(Figura 6).
50
40.9
28.3
10.8
9.4
6.0
3.9
0.3 0.3
0
10
20
30
40
50
60
70
80
90
100
Área
c
on
s
tru
íd
a
Pi
so
im
p
erm
e
áv
e
l
Cobertura Arbóre
a
Cobertura Gramado
Área
sombra
Água pluv
i
al
Área
p
is
c
in
a
Solo e
x
posto
material urbano
% de presença
Figura 6 - Porcentagem de presença dos elementos urbanos em relação a soma das áreas dos 90
polígonos utilizados no estudo
Observando agora os quatro elementos urbanos mais presentes na área de estudo
em cada unidade amostral, percebe-se que a proporção encontrada para a cidade não
se aplica a todas as unidades amostrais, demonstrando a existência de uma
heterogeneidade dentro da mesma (Figura 7).
51
Figura 7 - Porcentagem de presença dos quatro elementos urbanos mais presentes na cidade em cada
unidade amostral. Áreas circuladas indicam unidades amostrais com presença destes
elementos urbanos diferente ao encontrado para a área de estudo total
Os testes de correlação indicaram que quanto maior a presença de áreas
arborizadas e gramados, maiores são a riqueza e o contato às aves. Por outro lado,
áreas construídas e com pisos impermeáveis contribuem negativamente para a riqueza
e o número de contato (Tabela 3).
52
Tabela 3 - Correlação de Sperman (r) entre riqueza e número de contato às aves com os elementos
urbanos
Elementos urbanos
Riqueza Nº de contato
r p r p
Cobertura arbórea
0,658 <0,0001 0,394 0,0001
Cobertura gramado
0,460 <0,0001 0,238 0,0233
Piso impermeável
-0,347 0,0008 -0,289 0,0056
Área construída
-0,581 <0,0001 -0,289 0,0056
Área piscina
0,055 0,6029 0,090 0,3950
Área sombra
-0,012 0,9099 -0,150 0,1560
Água pluvial
0,453 <0,0001 0,370 0,0003
Solo exposto
0,279 0,0077 0,279 0,0076
O melhor modelo gerado para explicar quais materiais urbanos influenciaram na
riqueza de espécies, através da regressão múltipla realizada passo a passo (stepwise),
finalizou com a inclusão de três variáveis independentes, das quatro utilizadas para esta
análise. O modelo foi o seguinte:
Riqueza = 38,852 +3,561 Ln(ARB) – 0,003(PISO)
2
– 4,982 Ln(CONSTR)
R
2
= 0,603 p<0,0001
Onde, ARB é Cobertura arbórea , PISO é Piso impermeável, e CONSTR é Área construída.
Do mesmo modo, o melhor modelo gerado para número de contatos incluiu
apenas as variáveis, Cobertura arbórea e Piso impermeável, não incluindo as áreas de
Área construída como apresentado na correlação. O modelo foi o seguinte:
Nº Contato = 172,131 +22,317 Ln(ARB) – 1,278(PISO)
R
2
= 0,222 p<0,0001
Onde, ARB é Cobertura arbórea, e PISO é Piso impermeável
53
4.4 Intervalo de coleta de dados por ponto fixo
Para as comparações sobre os intervalos de tempo adotados nas coletas de
dados de cada ponto fixo, os cinco pontos que tiveram uma visita a menos no estudo
foram descartados destas análises, trabalhando dessa forma, apenas com os dados de
85 pontos fixos. Com a exclusão destes pontos o número de espécies considerado
passou a ser 105, e número de contato acumulado 15477.
O incremento no número acumulado de espécies e contato a cada três minutos
adicionados no esforço amostral está ilustrado na Figura 8. Analisando os dados não foi
constatada diferença significativa para a riqueza entre os dados observados quando
adotado o intervalo de tempo de 9 e 12 minutos (Tabela 4). Já para o número de
contato houve diferença significativa entre os dados provenientes de todos os intervalos
utilizados (Tabela 4).
54
Figura 8 - Incremento do número médio de espécies (A) e número médio de contato (B) com os
respectivos desvios padrões, a cada três minutos adicionados nas coletas de dados.
Gráficos (C) e (D) mostram os valores absolutos obtidos em cada acréscimo de intervalo
88
96
102
105
7275
10585
13290
15477
55
Tabela 4 - Comparações entre riqueza e número de contato acumulado de toda área de estudo, conforme
o acréscimo de 3 minutos nas coletas de dados. Valores do X
2
resultantes do teste de Kruskal-
Wallis em itálico e valor de p logo abaixo. Resultado destacado indica não haver diferença
significativa entre os dados provenientes dos intervalos analisados
Riqueza Contato
intervalos
3´ 6´ 12´ 12´
X
10.717 27.677 41.480
X
40.193 81.867 101.876
0.0011 <0.0001 <0.0001 <0.0001 <0.0001 <0.0001
X
5.162 14.539
X
17.223 42.921
0.0231 0.0001
<0.0001 <0.0001
X
2.788
X
8.565
0.0950
0.0034
12´
X
X
gl = 1
4.5 Período do ano
O número de contato não obteve diferença significativa entre as coletas realizadas
no período seco e chuvoso, porém para riqueza, uma diferença foi observada (Tabela
5). O número de espécies observadas foi mesmo nos dois períodos (Tabela 6),
entretanto, a composição específica foi diferente, com 86 espécies (81,1% do total)
sendo observadas em ambos períodos, 10 espécies observadas exclusivamente no
período seco e 10 exclusivamente no período chuvoso.
A similaridade de Jaccard apresentada entre as comunidades observadas em
cada período foi de 81,1%.
Tabela 5 - Teste de comparação de médias através do teste Tukey com informações da análise de
variância para riqueza e número de contato obtidos em diferentes período do ano
Período do ano Riqueza Contato
Chuvoso 11,62 a 30,57 a
Seco 11,06 b 30,12 a
Teste F 5,76 0,89
C.V experimental.(%) 17,90 11,53
Probabilidade 0,0168 0,3461
Média geral 11,34 30,34
Nota: Médias seguidas da mesma letra não apresentam diferenças entre os períodos do ano pelo
teste Tukey com 5% de probabilidade
56
Tabela 6 - Riqueza específica e número de contato observado durante o período chuvoso e seco
Período Número de contato acumulado Riqueza observada Similaridade de espécies
Chuvoso 8114 96
81,1%
Seco 8018 96
4.6 Fontes de desatenção do observador
Para as análises de ruído, novamente, os cinco pontos fixos que tiveram uma
visita a menos no estudo foram descartados, considerando então, apenas os dados
provenientes dos 85 pontos fixos restantes.
Os resultados retornaram que quanto maior o ruído sonoro no ponto de
amostragem menor será o número de espécies e número de contato às aves (Tabela
7).
Tabela 7 - Análise de correlação de Sperman entre ruído sonoro e riqueza e número de contato às aves
obtidos na área total de estudo
Riqueza Nº de contato
r p r p
Ruído sonoro
- 0,565
<0,0001
-0,497
0,0001
A conversa esteve presente em apenas 39 unidades amostrais (43% do total) e
em apenas 49 coletas de dados realizadas (9,1% do total). Desse modo, não foi
encontrada diferença significativa na riqueza e número de contato obtido entre coletas
realizadas na presença, e coletas realizadas na ausência de conversa com o
observador (Tabela 8).
57
Tabela 8 - Teste de comparação de médias através do teste Tukey com informações da análise de
variância para riqueza e número de contato obtidos em observações realizadas na presença
e ausência de conversa
Conversa Riqueza Contato
Ausente 10,74 a 29,82 a
Presente 10,53 a 27,08 a
Teste F 0,64 0,70
C.V experimental.(%) 17,53 11,66
Probabilidade 0,4229 0,4037
Média geral 10,70 29,26
Nota: Médias seguidas da mesma letra não apresentam diferenças entre os tratamentos pelo
teste Tukey com 5% de probabilidade
58
59
5 DISCUSSÕES
5.1 Esforço amostral
A curva acumulativa de espécies demonstrou haver a possibilidade de serem
encontradas novas espécies caso demais coletas fossem realizadas na área de estudo.
Salienta-se que o critério de reunião de dados aplicado neste estudo influenciou neste
resultado, já que as espécies foram consideradas unicamente durante as coletas
realizadas nos pontos fixos. Algumas poucas espécies (Amazonetta brasiliensis,
Chloroceryle americana, Dendrocygna viduata, Hirundinea ferruginea, Synallaxis spixi e
Tyto alba) foram encontradas na cidade em ocasiões díspares, tais como entre o
deslocamento de um ponto e outro e em dias em que não foram feitas coletas de
dados. Estas foram visualizadas nas áreas próximas do Rio Piracicaba, local que em
Negri, Desmonts e Longo (2009) também relatam demais espécies não observadas no
presente estudo. Entretanto, com o esforço amostral realizado, o estimador Jacknife
retornou um valor não muito superior ao número de espécies aqui observadas
(diferença de nove espécies), sugerindo que dentre o número de espécies possíveis a
serem registradas com o método, uma boa parcela foi acessada. Do mesmo modo, a
amostragem estratificada mostrou-se eficiente, já que o erro amostral ficou dentro do
previsto (10%), e o número de pontos utilizados supera o sugerido para o alcance de
uma amostragem eficiente (28 pontos).
O esforço realizado resultou num valor aproximado de incremento de uma espécie
nova a cada hora de levantamento realizado (0,99 espécies/hora), valor próximo ao
encontrado em levantamentos realizados via pontos fixos em demais centros urbanos
brasileiros. Na cidade de Uberlândia/MG, Santos (2005) registrou 56 espécies em 57,6
horas de levantamento realizado (0,975 espécies/hora), e em Porto Alegre/RS, Fontana
(2004), registrou 134 espécies em 113 horas de coletas (1,18 espécies/hora). Ambos
estudos foram realizados num período inferior a 20 meses e só consideram as espécies
registradas nos pontos fixos.
60
5.2 Contagem de aves na presença de diferentes elementos urbanos
Baseando-se nos valores obtidos da estatística Kappa e na acurácia para as
classificações automáticas supervisionadas das cenas e faixas de vôo utilizadas, pode-
se assumir que não houve conflitos exacerbados na identificação dos pixels a cada
classe adotada. Segundo Landis e Koch (1977), uma acurácia entre 80 a 100%
representa uma classificação excelente. Em Yuan et al. (2005), a classificação
supervisionada de uma área urbana obteve a estatistica Kappa acima de 90%, sendo
julgada como efetiva para as interpretações realizadas naquele estudo. Dessa forma, as
imagens classificadas desta dissertação estavam aptas a serem utilizadas para a
quantificação de suas classes sem correr o risco de cometer erros elevados em relação
à verdade terrestre. Somado a este resultado, dentro dos 90 polígonos utilizados no
estudo ainda houve o cuidado de se realizar a correção manual de eventuais pixels que
foram identificados erroneamente na classificação. Assim, julga-se que a quantificação
dos elementos urbanos se aproxima veemente da verdade terrestre dentro do polígono.
Com os elementos urbanos quantificados nos mesmos locais onde foram
realizadas as coleta de dados de aves, as análises de correlação levantaram que a
quantidade de cobertura arbórea, cobertura gramado, piso impermeável e área
construída, influenciaram a riqueza e o número de contatos às aves observadas no
estudo. Apesar deste levante, a regressão múltipla realizada destacou que para a
riqueza específica, apenas as áreas de cobertura arbórea favorecem uma maior
riqueza, enquanto piso impermeável e áreas construídas prejudicam a mesma. Do
mesmo modo, para o número de contato a regressão múltipla destacou apenas as
áreas de cobertura arbórea como preponderante a reunião de mais contatos, enquanto
piso impermeável contribui negativamente neste caso. Estes resultados corroboram
com o explanado em demais estudos, onde áreas ricas em cobertura arbórea podem
comportar maior riqueza e abundância de aves no meio urbano, em oposição a áreas
com maior quantidade de edificações e pavimentos (EMLEN, 1974; LANCASTER;
REES, 1979; MILLS; DUNNING JR.; BATES, 1989; TILGHMAM, 1987; SODHI et al.,
1999; LIM; SODHI, 2004; SANDSTRÖM; ANGELSTAM; MIKUSINSKI, 2006; LUTHER
et al., 2008).
61
Na região estudada de Piracicaba, apesar das áreas construídas e pisos terem
sido os dois elementos mais presentes, em algumas unidades amostrais houve uma
variação na proporção dos elementos urbanos presentes, demonstrando que a
porcentagem encontrada para a área de estudo não se aplica a alguns pontos. Este fato
demonstra que o ambiente urbano pode ser heterogêneo. Logo, o levantamento de
aves numa cidade deve considerar a variação na quantidade de seus elementos
presentes quando questões ecológicas forem abordadas, já que os resultados
demonstraram haver diferença no número de espécies e contato, de acordo com a
presença dos elementos urbanos, podendo resultar em diferenças na comunidade de
aves observadas (BLAIR, 1996, LIM; SODHI, 2004). Assim como aqui realizado, uma
estratificação da cidade em função de algum elemento com grande importância às
aves, como a presença de cobertura arbórea, ou numa escala maior, utilizando
características regionais (e.g., SANDSTRÖM; ANGELSTAM; MIKUSINSKI, 2006;
MERENLENDER; REED; HEISE, 2009) podem favorecer as análises ecológicas.
Outros elementos urbanos também apresentaram correlação significativa com as
duas variáveis em análise. “Água pluvial” apresentou correlação significativamente
positiva, tanto para riqueza quanto para número de contato, entretanto, poucas foram
as espécies observadas utilizando este elemento. Este fato pode estar relacionado à
presença de áreas de cobertura arbórea localizadas nos remanescentes de matas
ciliares do rio Piracicaba. Assim, os pontos fixos localizados nestas matas ciliares
apresentaram riqueza e número de contatos elevados devido à reunião de espécies
ocorrentes tanto no leito d’ água, quanto em terra, sendo que algumas espécies
possuíram um elevado número de indivíduos. Por exemplo, no caso biguá
(Phalacrocorax brasilianus), a espécie obteve um grande número de registros nos
pontos próximos do rio Piracicaba, mesmo padrão observado em Alves e Pereira (1998)
na lagoa urbana Rodrigo de Freitas, na cidade do Rio de Janeiro.
No caso do elemento “Solo exposto” apesar de apresentar significativa correlação
à riqueza e contato, deve-se tomar cuidado com este resultado. O mesmo esteve
presente em apenas sete pontos fixos e em quantidades muito pequenas, não
oferecendo desta forma segurança na interpretação desta. Do mesmo modo, acredita-
se que as áreas referentes ao elemento “Sombra” e “Água piscina” não possuam
62
qualquer relação biológica com as espécies observadas, tampouco, devem influenciar o
observador em registrar mais ou menos espécies e indivíduos. As sombras presentes
nas imagens aéreas classificadas são resultados da posição do sol no exato momento
em que estas imagens foram capturadas. Como esta posição varia de acordo com a
época do ano, horário e condições climáticas, o delineamento utilizado não permite
realizar qualquer interpretação em como este fator pode influenciar na contagem de
aves.
Apesar destes elementos urbanos não apresentarem comprovadas relações
biológicas pertinentes à ocorrência de aves, as classificações automáticas
supervisionadas foram precedidas com estas classes a fim de evitar a super estimativa
de alguns elementos mais presentes, caso fossem utilizados apenas os elementos
urbanos destacados em vários estudos como preponderantes à ocorrência ou
impedimento de espécies de aves no meio urbano, como árvores, gramados,
edificações, áreas pavimentadas e corpos d’água (e.g., EMLEN, 1974; LANCASTER;
REES, 1979; MILLS; DUNNING JR.; BATES, 1989; SODHI et al., 1999; LIM; SODHI,
2004; SANDSTRÖM; ANGELSTAM; MIKUSINSKI, 2006; LUTHER et al., 2008).
A utilização de imagens aéreas e a classificação automática supervisionada como
ferramenta para obter informações sobre a composição do ambiente urbano, e posterior
utilização em questões ecológicas, mostrou-se eficiente, assim como em demais
estudos que utilizam tal ferramenta (ONEAL; ROTENBERRY, 2009, van RENSBURG;
PEACOCK; ROBERTSON, 2009). Contudo, sugere-se que haja o máximo de cuidado
possível ao classificar os elementos existentes devido a alta variedade de materiais de
origem antrópica utilizadas na urbanização, e a grande variedade na configuração dos
mesmos.
5.3 Intervalo de coleta de dados por ponto fixo
O ambiente heterogêneo que existe dentro de uma cidade, da qual reúnem
elementos urbanos pertinentes ao favorecimento ou não à ocorrência de um número de
espécies e contatos a aves, foi aqui retratado pela área de estudo adotada.
Considerando este cenário, e a realização de um período longo de estudo com um
elevado número de coleta de dados (n=535), a análise do intervalo de tempo retornou
63
não haver diferença significativa no número de espécies observadas ao se proceder o
estudo com um esforço amostral de nove minutos ou com 12 minutos por ponto fixo.
Em contrapartida, o número de contato continuou crescendo significativamente
conforme houve o acréscimo neste esforço amostral. Com isto, percebe-se que neste
acréscimo de tempo de três minutos foram feitas recontagens de indivíduos, porém,
com um incremento mínimo de espécies novas.
Deste modo, utilizar o método de ponto fixo com a finalidade de se levantar
qualitativamente a comunidade de aves dentro de um meio urbano, um acréscimo de
tempo após nove minutos não renderia significativamente um alto número de espécies
novas no final do trabalho, sendo então este esforço adicional pouco aproveitado.
Apenas aos estudos que visam gerar listagens de espécies de aves o mais completo
possível, valorizando assim o registro de espécies raras e esporádicas, este acréscimo
no esforço amostral poderia ser pertinente. Para o presente estudo, com 107 horas de
coletas de dados realizadas, três minutos a menos por cada ponto fixo representa no
final aproximadamente 27 horas a menos de trabalho de campo, sem considerar o
tempo gasto com o deslocamento entre os pontos e possíveis eventualidades. Em
Fontana (2004), apesar do tempo efetivo de coleta de dados ter sido de 113 horas, a
autora destaca que considerando o tempo de deslocamento entre os pontos fixos o total
de horas de trabalho de campo se elevava à cerca de 450 horas. Pensando nos
recursos financeiros gastos por hora para se proceder a coleta de dados de aves,
certamente cada recurso não efetivamente aproveitado é um fato indesejável numa
pesquisa científica.
Para um levantamento com finalidades quantitativas, que utilizem índices de
abundância, como o caso do IPA, o aumento no esforço amostral por ponto após nove
minutos transcorridos podem gerar grandes recontagens de indivíduos, fato indesejável
para o bom funcionamento do método (BIBBY et al., 2000). Espécies amplamente
ocorrentes na cidade e altamente móveis, por exemplo, o Pardal (TUNER, 2003),
poderiam ser super estimadas com um intervalo de tempo muito amplo. Logo, percebe-
se que basear-se nos 20 minutos originalmente propostos em Blondel, Ferry e Frochot
(1970) apud Vielliard e Silva (1990), Blondel, Ferry e Frochot (1981) para a aplicação do
IPA, pode não ser recomendado para a quantificação das aves no ambiente urbano,
64
pelo menos não às áreas tropicais. Tilghman (1987) e Breeden et al. (2008), ambos
utilizaram este intervalo de tempo em cidades norte americanas para quantificarem as
aves observadas nos pontos, porém, não relataram problemas amostrais. Em Manhães
e Loures-Ribeiro (2005) este intervalo também foi utilizado num estudo realizado na
área urbana de Juiz de Fora/MG, porém, considerando apenas dados qualitativos.
O intervalo aqui destacado se aproxima com o sugerido em Fontana (2004), da
qual defende o uso de oito minutos de intervalo por ponto. Entretanto, poucos estudos
utilizaram intervalo próximo dos nove e oito minutos. Verifica-se a utilização de oito
minutos em Bolger (1997), Cooper, (2002), Santos (2005), van Rensburg, Peacock e
Robertson, (2009), e 10 minutos em Merenlender, Reed e Heise (2009) e Oneal e
Rotenberry (2009). Além destes, demais estudos adotam outros intervalos de tempo por
ponto, como no caso de 20 minutos, já citados acima, e cinco minutos (TURNER, 2003;
LUTHER et al., 2005; SANDSTRÖM; ANGELSTAN; MIKUSISKI, 2006; LOSS; RUIZ;
BRAWN, 2009). Entre estes, poucos apresentam justificativa da escolha do intervalo
por ponto com base em um trabalho experimental ou em um protocolo de campo
definido. Por exemplo, Bolger (1997), Luther et al. (2008) e Merenlender, Reed e Heise
(2009) se basearam em protocolos desenvolvidos no país onde tais estudos foram
conduzidos (e,g., RALPH et al., 1993; RALPH; SAUER; DROEGE, 1995). Os demais
não apresentam tal justificativa, e em Santos (2005) o intervalo é adotado baseando-se
em Cooper (2002), um estudo realizado numa área ampla que reúne áreas urbanizadas
e não urbanizadas, que por sua vez, não explica o porquê deste intervalo.
Apesar de serem encontrados estudos que adotam intervalos de tempo por ponto
fixo distintos, todos estes possuíram diferentes esforços amostrais totais, além de
serem conduzidos em diferentes cidades do globo, e até mesmo sendo realizados com
número diferentes de observadores, fatores que podem dificultar comparações entre os
estudos (DAWSON, 1981). Os objetivos específicos são diferentes, mas todos
utilizaram o método de ponto fixo para coletar os dados sobre a comunidade de aves
locais e cruzá-los com variáveis do habitat, buscando compreender questões ecológicas
frente a antropização presente neste ecossistema. Devido a esta falta de padronização,
torna-se difícil reconhecer se o intervalo de tempo aqui levantado poderia render
resultados efetivos com otimização de recursos à tais estudos consultados.
65
Os resultados levantados através da avifauna em diferentes zonas urbanas são na
maioria das vezes corroborados por estudos que utilizam metodologias diferentes
(CHACE; WALSH, 2006). Porém, caso o método de ponto fixo venha ser utilizado como
ferramenta no ambiente urbano, torna-se necessária cautela na adoção do intervalo de
tempo por ponto fixo, visto que erros amostrais e não a otimização dos recursos
financeiros são riscos possíveis. Sugere-se então que os próximos estudos tomem
como base demais trabalhos experimentais já realizados em cidades que possuam
características geográficas e ambientais próximas, ou protocolos desenvolvidos para
tais localidades.
5.4 Período do ano
Em relação ao período do ano, Best (1981) ressalta que a amostragem de aves
realizadas em diferentes períodos pode retornar resultados diferentes. Isto seria
responsabilizado pela possibilidade de ocorrerem variações no número de espécies
observadas na comunidade local, graças a movimentos sazonais e migratórios de
algumas espécies (CATTERALL et al., 1998; BIBBY et al., 2000), e também pela
diminuição da conspicuidade de algumas espécies nas épocas não reprodutivas
(DAWSON, 1981; RALPH; SAUER; DROEGE, 1995; BIBBY et al., 2000), ou assim que
atividades de nidificação se iniciam (e.g., KROODSMA; PARKER, 1977). Se as
vocalizações não estão presentes, as detecções às aves podem ficar comprometidas
(BREWSTER; SIMONS, 2009). Por esse motivo protocolos de estudo recomendam que
as coletas de dados sejam concentradas no período reprodutivo (RALPH et al., 1993)
quando a maioria das atividades vocais estão altas (DEVELEY, 2004), favorecendo a
observação de um número alto de espécies, e evitando também os movimentos
sazonais. Este procedimento é adotado em estudos realizados em cidades localizadas
nas zonas temperadas (e.g, TILGHMAM, 1987; MILLS; DUNNING JR.; BATES, 1989;
BOLGER; SCOTT; ROTENBERRY, 1997; TUNER, 2003; SANDSTRÖM; ANGELSTAM;
MIKUSINSKI, 2006, ; LUTHER et al., 2008; LOSS; RUIZ; BRAWN, 2009; ONEAL;
ROTENBERRY, 2009), Entretanto, apesar destas variações no número de espécies
serem ressaltadas por estudos e protocolos desenvolvidos em zonas temperadas uma
66
sazonalidade de espécies pode ser visualizada também nas zonas tropicais, desde
estudos realizados em locais com pouca perturbação antrópica (e.g., ANTUNES, 2008,
TINOCO, 2009), até locais com graus de perturbação consideráveis como em um
ambiente florestal imerso em matriz urbana (ALEIXO; VIELLIARD, 1995), e em um
agroecossistema (DONATELLI; COSTA; FERREIRA, 2004). Desconsiderando a
possibilidade de existirem demais variáveis que expliquem tais sazonalidades nos
trópicos, por existir estes relatos, muitas vezes estudos em cidades de zonas tropicais
também adotam o levantamento nas cidades apenas numa única época do ano (e.g.,
MANHÃES; LOURES-RIBEIRO, 2005; van RENSBURG; PEACOCK; ROBERTSON,
2009).
Para o presente estudo, apenas a riqueza especifica foi significativamente
diferente de acordo com o período do ano amostrado, já o número de contatos
permaneceu praticamente igual. Apesar de uma sazonalidade ter sido observada em
Piracicaba em Alexandrino et al. (2009), com a partida de representantes da família
Tyrannidae (Passeriformes) no período seco, retornando novamente no período
chuvoso seguinte, o número de espécies observadas em ambos os períodos foi o
mesmo, e o número de espécies observadas exclusivamente em cada período foi
relativamente baixo (n=10) quando comparado com o número total de espécies. Assim,
acredita-se que a similaridade de Jaccard entre os períodos tenha ficado elevada
(81,1%), devido esta pequena diferença na composição de espécies observadas em
cada período.
Observando demais estudos realizados em áreas urbanas e suburbanas poucos
levantam uma diferença significativa entre o número de espécies registradas em
períodos diferentes (e.g., LANCASTER; REES, 1979, JOKIMÄKI; SUHONEN 1998,
CATTERALL et al., 1998; SANTOS 2005, SILVA; BLAMIRES, 2007). Destes, apenas
dois estudos são ocorrentes em cidades tropicais: Santos (2005), realizado em
Uberlândia - MG, e Silva e Blamires (2007) realizado em Iporá - GO, ambas cidades
brasileiras.
Sabe-se que a grande maioria das espécies ocorrentes no meio urbano estão
geralmente bem adaptadas as particularidades deste ecossistema (OREN; SMITH,
1978; SICK, 1997, McGOWAN, 2001). Vários estudos relatam a ocorrência de espécies
67
insetívoras e onívoras em várias cidades do globo (MATARAZZO-NEUBERGER, 1995;
JOKIMÄKI; SUHONEN, 1998; FRANCHIN; MARÇAL JUNIOR, 2002; LIM; SODHI,
2004; FRANCHIN; MARÇAL JUNIOR, 2004; VALADÃO; FRANCHIN; MARÇAL
JUNIOR, 2006). Estes hábitos alimentares permitem o estabelecimento e sobrevivência
destas aves nas cidades o ano todo, já que tais recursos podem ser facilmente provido
graças a heterogeneidade e diversidade de habitats encontrados nas cidades (ENLEM
1974; LIM; SODHI, 2004; CHACE; WALSH, 2006).
Assim, do mesmo modo como realizado na presente dissertação, estudos urbanos
que relataram uma diferença na riqueza de espécies entre os períodos do ano,
abrangeram suas coletas de dados em poucos anos, o que não permite a realização de
réplicas temporais necessárias para visualizar se de fato existe a possibilidade de
serem encontradas riquezas significativamente diferentes nas cidades das zonas
tropicais. Acredita-se que com uma continuidade das coletas, abrangendo anos
diferentes, haveria uma maior segurança em verificar se a diferença aqui levantada se
procede realmente.
Porém, considerando o resultado obtido e observando os relatos de demais
estudos, sugere-se que para um levantamento qualitativo nas cidades tropicais, quando
possível sejam procedidas coletas de dados em diferentes épocas do ano, já que há a
possibilidade de ocorrerem diferenças no número de espécies.
5.5 Fontes de desatenção do observador
Em relação ao ruído urbano os resultados indicaram que conforme há o aumento
do ruído há a tendência na diminuição no número de espécies e contato. Graças ao
delineamento utilizado nesta dissertação, os resultados levantados corroboram com
Alldredge, Simons e Pollock (2007), Simons et al. (2007), Breeden et al. (2008) e
Pacifici, Simons e Pollock (2008), onde o ruído é considerado prejudicial à detecção das
aves pelo observador. A conversa, outra fonte de desatenção ao observador, não surtiu
diferença nos resultados aqui obtidos. Devido ao baixo número de pontos e coletas em
que a conversa esteve presente, acredita-se que o potencial de desatenção que esta
variável pode causar acabou não sendo verificada. Salienta-se que esta variável não
68
podia ser controlada nos experimentos, já que o delineamento amostral partiu da
tentativa de evitar o preparo do observador a este evento praticamente aleatório. Dessa
forma, houve o máximo cuidado em se aproximar da realidade que qualquer observador
deverá enfrentar ao utilizar este método, ou seja, não conseguir prever e se preparar
para esta fonte de desatenção.
Ao contrário com o que acontece em ambientes florestais, onde grande parte dos
registros às aves é realizada via registros auditivos (DeJONG; ENLEM, 1985; SAUER;
PETERJOHN; LINK, 1994; VIELLIARD, 2000; BREWSTER; SIMONS, 2009), para o
este estudo não houveram diferenças exacerbadas no número de registros mistos
(36,9%) (visuais e auditivos subseqüentemente), e exclusivamente visuais (33,8%) ou
auditivos (29,3%). Apesar disso, em todas as observações realizadas, claramente
quando as intensidades sonoras nos pontos tornavam-se elevadas ou quando alguma
conversa era iniciada, a atenção do observador no ponto era prejudicada. Em Brewster
e Simons (2009), um experimento realizado num ambiente florestal, foi levantado que a
tendência é primeiramente o observador ouvir a ave e depois visualizá-la, dirigindo,
então, sua atenção para a fonte da vocalização. Logo, na cidade, em momentos com
elevado ruído sonoros a audição acaba sendo anulada, prejudicando a coleta de dados.
Os erros amostrais ocasionados pelas fontes de desatenção podem estar
principalmente relacionados com a contagem dos indivíduos presentes no ponto, já que
em Simons et al. (2007), um experimento controlado, foi constatado que a adição de
ruídos sonoros de diversas naturezas comprometem o sucesso na estimativa das
distâncias da vocalização das aves por parte dos observadores. Além do ruído alto, as
pequenas interferências causadas pelas conversas, poderiam ter causado algum
descontrole no monitoramento às aves necessário para a coleta do número de contatos
sem gerar recontagens. Somado a isto a variação existente na vocalização das
espécies pode comprometer as estimativas de abundâncias das mesmas (SCHIECK,
1997) se o observador não mantiver uma boa atenção durante as contagens.
Desta forma, os levantamentos de aves no meio urbano quando forem delineados
devem considerar a possibilidade de existirem ruídos, assim como já salientado em
Breeden et al. (2008). Logo, a alocação dos pontos amostrais em locais com menos
ruídos (e.g., LOSS; RUIZ; BRAWN, 2009), ou realizar o levantamento apenas em
69
momentos que haja pouco ruído (e.g., TUNER, 2003), tais como em finais de semana
como utilizado em Breeden et al. (2008), podem ser consideradas alternativas para
evitar problemas na coleta de dados. Entretanto, reconhece-se que quando se quer
realizar um levantamento na totalidade da cidade, muitas vezes a escolha por locais
com tais características pode ser inexistente, ou realizar levantamentos de aves
somente em finais de semana pode ser inviável. Logo, caso não seja possível um
delineamento desta forma, sugere-se que o observador realize um treino antecipado a
fim de prover uma maior familiaridade com a vocalização das espécies ocorrentes na
cidade em questão, aumentando assim a habilidade de reconhecer a vocalização das
espécies mesmo na presença de ruídos, e prover a eficiência na identificação via
registros visuais apenas (KEPLER; SCOTT, 1981).
Do mesmo modo, observando os resultados aqui obtidos sugere-se que se o
método de ponto fixo for bem aplicado, com o observador mantendo sua atenção às
aves e não incentivando a conversa com curiosos, a possibilidade de haverem
conversas numa área urbana pode ser baixa, evitando assim, mais esta possível fonte
de desatenção.
70
71
6 CONCLUSÕES
O número de espécies de aves ocorrentes no meio urbano e o número de contatos
a serem obtidos num levantamento, são dependentes da quantidade dos elementos
urbanos presentes nas cidades. Deste modo, reconhecer a distribuição destes
elementos e estratificar a área de estudo em função de uma característica do habitat
importante à maioria das espécies de aves é uma prática favorável à reunião de um
elevado número de espécies com comportamentos distintos dentro deste ecossistema
heterogêneo.
A utilização do método de ponto fixo no meio urbano deve adotar um intervalo de
tempo de coleta de dados não superior a nove minutos para cada visita nos pontos.
Após este intervalo o incremento de espécies novas é significativamente baixo, porém o
número de contatos continua crescendo, indicando haver recontagens de indivíduos.
Quando possível, diferentes épocas do ano devem ser utilizadas para as coletas
de dados, já que podem ser encontradas diferenças no número de espécies entre as
estações.
O ruído sonoro presente no meio urbano pode prejudicar a reunião do número de
espécies e número contatos nos pontos fixos, e por isso sempre que possível devem
ser evitadas coletas de dados na presença elevada deste fator.
A incidência de casos onde o observador é interrompido por pessoas curiosas
durante a coleta de dados nos pontos fixos é baixa no meio urbano, desde que o
observador mantenha-se concentrado no seu trabalho. Logo, este fator pode não
atrapalhar significativamente a reunião dos dados da comunidade de aves urbanas.
72
73
REFERÊNCIAS
ADAMS, L.W. Urban wildlife habitats: a landscape perspective. Minneapolis:
University of Minnesota Press, 1994. 186 p.
ALBERTI, M.; BOTSFORD, E.; COHEN, A. Quantifying the urban gradient: linking urban
planning and ecology. In: MARZLUFF, J.M.; BOWMAN, R..; DONNELLY, R. (Ed.).
Avian ecology and conservation in an urbanizing world. Massachusetts: Kluwer
Academic, 2001. chap. 5, p. 89-116.
ALEIXO, A.; VIELLIARD, J.M.E. Composição e dinâmica da avifauna da mata de Santa
Genebra, Campinas, São Paulo, Brasil. Revista Brasileira de Zoologia, Curitiba, v. 12,
n. 3, p. 493-511, 1995.
ALEXANDRINO, E.R.; BOVO, A.A.A.; FERRAZ, K.M.P.M.B.; COUTO, H.T.Z. Tiranídeos
(Aves: Passeriformes) migratórios ocorrentes na cidade de Piracicaba/SP, sudeste
brasileiro. In: CONGRESSO BRASILEIRO DE ORNITOLOGIA, 17., 2009, Aracruz.
Livro de resumos... Aracruz, 2009. p. 42.
ALLDREDGE, M.W.; POLLOCK, K.H.; SIMONS, T.R. Estimating detection probabilities
from multiple observer point counts. The Auk, Lawrence, v.123, n.4, 1172-1182, Oct.
2006.
ALLDREDGE, M.W.; SIMONS, T.R.; POLLOCK, K.H. A field evaluation of distance
measurement error in auditory avian point count survey. Journal of Wildlife
Management, Bethesda, v. 71, n. 8, p. 2759-2766, 2007.
ALVES, M.A.S.; PERREIRA, E.F. Richness, abundance and seasonaliy of BIRD species
Iná a lagoon of na urban area (lagora Rodrigo de Freitas) of Rio de Janeiro, Brazil.
Revista Brasileira de Ornitologia, São Leopoldo, v. 6, n. 2, p. 110-116, dez. 1998.
ANJOS, L. A eficiência do método de amostragem por pontos de escuta na avaliação
da riqueza de aves. Revista Brasileira de Ornitologia, São Leopoldo, v. 15, n. 2,
p. 239-243, jun. 2007.
ANTUNES, A.Z. Diurnal and seasonal variability in bird counts in a forest fragment in
southeastern Brazil. Revista Brasileira de Zoologia, Curitiba, v. 25, n. 2, p. 228-237,
jun. 2008.
74
BEST, L.B. Seasonal changes in detection of individual bird species. Studies in Avian
Biology, Lawrence, n. 6, p. 252-261, 1981.
BETINI, G.S. Amostragem de aves por pontos em uma floresta estacional
semidecidual, São Paulo, Brasil. 2001. 54 p. Dissertação (Mestrado em Recursos
Florestais) – Escola Superior de Agricultura “Luiz de Queiroz”, Universidade de São
Paulo, Piracicaba, 2001.
BIBBY, C.J.; BUCKLAND, S.T. Bias of bird census results due to detectability varying
with habitat. Acta Oecologica / Oecologia Generalis, Paris, v. 8, n. 2, p. 103-112,
1987.
BIBBY, C.J.; BURGESS, N.D.; HILL, D.A.; MUSTOE, S.H. Bird census techniques. 2
nd
ed. San Diego: Academic Press, 2000. 302 p.
BLAIR, R.B. Land use and avian species diversity along an urban gradient. Ecological
Applications, Washington, v. 6, n. 2, p. 504-519. May 1996.
______. Creating a homogeneous avifauna. In: MARZLUFF, J.M.; BOWMAN, R..;
DONNELLY, R. (Ed.). Avian ecology and conservation in an urbanizing world.
Massachusetts: Kluwer Academic, 2001. chap. 22, p. 459-486.
BLAIR, R.B.; LAUNER, A.E. Butterfly diversity and human land use: species
assemblages along an urban gradient. Biological Conservation, Barking, v. 80, n. 1,
p. 113-125, 1997.
BLONDEL, J.; FERRY, C.; PROCHOT, B. La method des indices ponctuels d’
abundance (I.P.A) ou des relevés d’avifaune par “stations d’ écoute”. Alauda, Paris,
v. 38, n. 1, p. 55-71, 1970.
______. Point counts with unlimited distance, Studies in Avian Biology, Lawrence,
n. 6, p. 414-420, 1981.
BOLGER, D.T.; SCOTT, T.A.; ROTENBERRY, J.T. Breeding bird abundance in an
urbanizing landscape in coastal southern California. Conservation Biology, Boston,
v. 11, n. 2, p. 406-421, Apr. 1997.
BREEDEN, J.B.; HERNÁNDEZ, F.; BINGHAM, R.L.; SILVY, N.J.; WAGGERMAN, G.L.
Effects of traffic noise on auditory surveys of urban white-winged doves. The Wilson
Journal of Ornithology, Lawrence, v. 120, n. 2, p. 384-389, June 2008.
75
BREWSTER, J.P.; SIMONS, T.R. Testing the importance of auditory detections in avian
point counts. Journal of Field Ornithology, New Ipswich, v. 80, n. 2, p. 178-182, 2009.
BRUN, F.G.K.; LINK, D.; BRUN, J.E. O emprego da arborização na manutenção da
biodiversidade de fauna em áreas urbanas. Revista da Sociedade Brasileira de
Arborização Urbana, Piracicaba, v. 2, n. 1, p. 117-127, mar. 2007.
CATTERALL, C.P.; KINGSTON, M.B.; PARK, K.; SEWELL, S. Deforestation,
urbanization and seasonality: Interacting effects on a regional bird assemblage.
Biological Conservation. Barking, v. 74, n. 1, p. 46-69, Apr. 1998.
CHACE, J.F.; WALSH, J.J. Urban effects on native avifauna: a review. Landscape and
Urban Planning, Amsterdam, v. 46, n. 4, p. 209-215, Jan. 2006.
CLERGEAU, P.; MENNECHEZ, G.; SAUVAGE, A.; LEMOINE, A. Human perception
and appreciation of birds: A motivation for wildlife conservation in urban environments of
France. In: MARZLUFF, J.M.; BOWMAN, R..; DONNELLY, R. (Ed.). Avian ecology and
conservation in an urbanizing world. Massachusetts: Kluwer Academic, 2001. chap.
4, p. 69-88.
CLEARGEU, P.; SAVARD, J-P.L.; MENNECHEZ, G.; FALARDEU, G. Birds abundance
and diversity along an urban-rural gradient: A comparative study between two cities on
different continents. The Condor, Los Angeles, v. 100, n. 3, p. 413-425, 1998.
CLERGEAU, P.; CROCI, S.; JOKIMÄKI, J.; KAISANLAHTI- JOKIMÄKI, M.; DINETTI, M.
Avifauna homogenization by urbanization: analysis at different European latitudes.
Biological Conservation, Essex, v.127, p. 336-344, 2006.
COLWELL, R.K. EstimateS: statistical estimation of species richness and shared
species from samples. User´s guide and application, Version 8, 2006. Disponível em:
<http://purl.oclc.org/estimates> Acesso em: 10 mar. 2010.
COLWELL, R.K.; CODDINGTON, J.A. Estimating terrestrial biodiversity through
extrapolation. Philosophical Transactions of the Royal Society of London Series B-
Biological Sciences, London, v. 345, n. 1311, p. 101-118, July 1994.
COCHRAN, W.G. Sampling techniques. New York: Jonh Wiley, 1977. 428 p.
CONOVER, M.R. Wildlife management by metropolitan residents in the United States:
practices, perceptions, costs, and values. Wildlife Society Bulletin, Bethesda, v.25,
n.2, p. 306-311, 1997.
76
COOPER, D. S. Geographic associations of breeding bird distributions in a urban open
space. Biological Conservation, Barking, v. 104, n. 2, p. 205-210, 2002.
DANTAS, I.C.; SOUZA, C.M.C. Arborização urbana da cidade de Campina Grande –
PB: inventário e suas espécies. Revista de Biologia e Ciências da Terra, Recife, v. 4,
n. 2, 2004.
DAWSON, D.G. Counting birds for a relative measure (index) of density, Studies in
Avian Biology, Lawrence, n. 6, p. 12-17, 1981.
DeJONG, M..; EMLEN, J.T. The shape of the auditory detection function and its
implications for songbird censuring. Journal of Field Ornithology, New Ipswich, v. 56,
n. 3, p. 213-320. 1985.
DEVELEY, P.F. Métodos para estudos com aves. In: CULLEN Jr., L.; RUDRAN, R.;
VALLADARES-PADUA, C. (Org.) Métodos de estudos em biologia da conservação
e manejo da vida silvestre.Curitiba: UFPR, 2004. cap 6, p. 153-168.
DEVELEY, P.F.; MARTENSEN, A.C. As aves da Reserva Florestal do Morro Grande
(Cotia, SP). Biota Neotropica, Campinas, v. 6, n. 2, 2006. Disponível em:
<http://www.biotaneotropica.org.br/v6n2/pt/abstract?article+bn00706022006>. Acesso
em: 12 set. 2008.
DONATELLI, R.J.; COSTA, T.V.V.C.; FERREIRA, C.D. Dinâmica da avifauna em
fragmento de mata na Fazenda Rio Claro, Lençóis Paulista, São Paulo, Brasil. Revista
Brasileira de Zoologia, Curitiba, v. 21, n. 1, p. 97-114, mar. 2004.
EMLEN, J.T. An urban bird community in Tucson, Arizona: derivation, structure,
regulation. The Condor, Los Angeles, v. 76, n. 2, p. 184-197, 1974.
ENVIRONMENTAL SYSTEMS RESEARCH INSTITUTE. Using ArcView GIS. New
York: ESRI Press, 1996. 340 p.
ESCOLA SUPERIOR DE AGRICULTURA “LUIZ DE QUEIROZ”. Departamento de
Engenharia de Biossistemas. Base de dados da Estação Meteorológica
Automatizada: área de Física e Meteorologia - Piracicaba, SP. Dados de 15 em 15
minutos. Disponível em: <http://www.leb.esalq.usp.br/automatica/diario2008.xls>.
Acesso em: 09 mar. 2010.
FERNÁNDEZ-JURICIC, E. Avian spatial segregation at edges and interiors os urban
parks in Madrid, Spain. Biodiversity and Conservation, London, v. 10, n. 8, p. 1303-
1316, Aug. 2001.
77
FONTANA, C.S. Estrutura de uma comunidade urbana de aves: um experimento
em Porto Alegre, Rio Grande do Sul. 2004.166 p. Tese (Doutorado em Zoologia) –
Instituto de Biociências, Pontifícia Universidade Católica do Rio Grande do Sul, Porto
Alegre, 2004.
FRANCHIN, A.G.; MARÇAL JUNIOR, O. A riqueza da avifauna urbana em praças de
Uberlândia (MG). Revista Horizonte Científico, Uberlândia, v. 1, n. 1, p. 1-20, 2002.
______. A riqueza da avifauna no Parque Municipal do Sabiá, zona urbana de
Uberlândia (MG). Biotemas, Florianópolis, v. 17, n. 1, p. 179-202, 2004.
GEHRT, S.D.; CHELSVIG, J.E. Bat activity in an urban landscape: Patterns at the
landscape and microhabitat scale. Ecological Applications, Washington, n. 13, p. 939-
950, 2003.
GEOSPATIAL SYSTEMS. Disponível em: <http://www.geospatialsystems.com/imaging-
products/kcm-cameras/ms-4100/>. Acesso em: 10 ago. 2009
GILBERT, F.F. Public attitudes toward urban wildlife: A pilot study in Guelph, Ontário.
Wildlife Society Bulletin, Bethesda, v. 10, p. 245-253, 1982.
GILBERT, O.L. The ecology of urban habitats. London: Chapmam and Hall, 1989.
369 p.
GUSSONI, C.O.A.; GUARALDO, A.C. Aves do câmpus da UNESP em Rio Claro. Rio
Claro: Gussoni & Guaraldo, 2008. 174 p.
HELTSHE J.F.; FORRESTER, N.E. Estimating species richness using the Jacknife
procedure. Biometrics, Washington, v. 39, n. 1, p. 1-11, 1983.
HUTTO, R.L.; PLETSCHET, S.M.; HENDRICKS, P. A fixed-radius point count method
for non breeding and breeding season use. The Auk, Lawrence, v. 103, n. 3, p. 593-
602, July 1986.
INSTITUTO BRASILEIRO DE GEOGRÁFICA E ESTATÍSTICA, Disponível em:
<http://www.ibge.gov.br/cidadesat>. Acesso em: 02 mar. 2010.
INSTITUTO DE PESQUISAS E PLANEJAMENTO DE PIRACICABA, Disponível em:
<http://www.ipplap.com.br/acervoin.php?id=517>. Acesso em: 02 mar. 2010.
78
JELEN, B.; SYRSTAD, T. VBA and Macros for Microsoft Excel: business solutions.
Indianapolis: Sams Publ., 2004. 550 p.
JELLINEK, S.; DRISCOLL, D.A.; KIRKPATRICK, J. B. Environmental and vegetation
variables have a greater influence than habitat fragmentation in structuring lizards
communities in remnant urban bushland. Austral Ecology, Carlton, v. 29, n. 3, p. 294-
304, 2004.
JOKIMÄKI, J.; SUHONEN, J. Distribuiton and habitat selection of wintering birds in
urban environments. Landscape and Urban Planning, Amsterdam, v. 39, n. 4, p. 253-
263, Jan. 1998.
KEPLER, C.B.; SCOTT, J.M. Reducing bird count variability by training observers.
Studies in Avian Biology, Lawrence, n. 6, p. 366-371, 1981.
KONISHI, M.; EMLEN, S.T.; RICKLEFS, R.E.; WINGFIELD, J.C. Contributions of birds
studies to biology. Science, New York, v. 246, n. 4929, p. 465-472, Oct. 1989.
KREBS, C.J. Ecological methodology. 2
nd
ed. Menlo Park: Addison Wesley; Longman,
1999. 620 p.
KROODSMA, D.E.; PARKER, L.D. Vocal virtuosity in the brown thrasher. The Auk.
Lawrence, v. 94, n. 4, p. 783-785, Oct. 1977.
LANCASTER, R.K.; REES, W.E. Bird communities and the structure of urban habitats.
Canadian Journal of Zoology, Ottawa, v. 57, n. 12, p. 2358-2368, 1979.
LANDIS, J.R.; KOCH, G.G. The measurement of observer agreement for categorical
data. Biometrics, Washington, v. 33, n. 1, p. 159-174, 1977.
LIM, H.C.; SODHI, N.S. Responses of avian guilds to urbanization in a tropical city.
Landscape and Urban Planning, Amsterdam, v. 66, n. 4, p. 199-215, Feb. 2004.
LIMA FILHO, J.A.; MEDEIROS, M.A.S. Impactos adversos na avifauna causados pelas
atividades de arborização urbana. Revista de Biologia e Ciências da Terra, Recife,
v. 6, n. 2, p. 375-390, 2006.
LOPES, E.V.; ANJOS, L. A composição da avifauna do campus da Universidade
Estadual de Londrina, norte do Paraná, Brasil. Revista Brasileira de Zoologia,
Curitiba, v. 23, n. 1, p. 145-156, mar. 2006.
79
LOSS, S.R.; RUIZ, M.O.; BRAWN, J.D. Relationships between avian diversity,
neighborhood age, income, and environmental characteristics of urban landscape.
Biological Conservation, Essex, v. 142, n. 11, p. 2578-2585, Nov. 2009.
LUTHER, D.; HILTY, J.; WEISS, J.; CORNWALL, C.; WIPF, M.; BALLARD, G.
Assessing the impact of local habitat variables and landscape context on riparian birds
in agricultural, urbanized, and native landscapes. Biodiversity and Conservation,
London, v. 17, n. 8, p. 1923-1935, July 2008.
MANHÃES, M.A.; LOURES-RIBEIRO, A. Spatial distribuition and diversity of BIRD
community in an urban area of southeast Brazil. Brazilian Archives of Biology and
Technology, Curitiba, v. 48, n. 2, p. 285-294, mar. 2005.
MARZLUFF, J.M. Worldwide urbanization and its effects on birds. In: MARZLUFF, J.M.;
BOWMAN, R..; DONNELLY, R. (Ed.). Avian ecology and conservation in an
urbanizing world. Massachusetts: Kluwer Academic, 2001. chap. 2, p. 19-47.
MARZLUFF, J.M.; EWING, K. Restoration of fragmented landscapes for the
conservation of birds: a general framework and specific recommendations for urbanizing
landscapes. Restoration Ecology, Malden, v. 9, n. 3, p. 280-292, 2001.
MATARAZZO-NEUBERGER, W.M. Lista das aves observadas na cidade universitária
“Armando Salles de Oliveira”, São Paulo, Brasil. Revista Brasileira de Zoologia,
Curitiba, v.50, n.1, p. 507-511, 1990.
______. Comunidades de aves de cinco parques e praças da Grande São Paulo,
Estado de São Paulo. Revista Brasileira de Ornitologia, Rio de Janeiro, v. 3, p. 13-19,
dez. 1995.
MAURER, U.; PESCHEL, T.; SCHMITZ, S.The flora of selected urban land-use types in
Berlin and Potsdam with regard to nature conservation in cities. Landscape and Urban
Planning, Amsterdam, v. 46, n. 4, p. 209-215, Feb. 2000.
McDONNELL, M.J.; PICKETT, S.T.A. Ecosystem structure and function along urban-
rural gradients: an unexplored opportunity for ecology. Ecology, Washington, v. 71,
p. 1232-1237, 1990.
McGOWAN, K.J. Demographic and behavioral comparisons of suburban and rural
american crows. In: MARZLUFF, J.M.; BOWMAN, R..; DONNELLY, R. (Ed.). Avian
ecology and conservation in an urbanizing world. Massachusetts: Kluwer Academic,
2001. chap. 17, p. 365-381.
80
McKINNEY, M.L. Urbanization, biodiversity and conservation. Bioscience, Washington,
v. 52, n. 10, p. 883-890, Oct. 2002.
______. Urbanization as a major cause of the biotic homogenization. Biological
Conservation, Essex, v. 127, n. 3, p. 247-260, Jan. 2006
MERENLENDER, A.M.; REED, S.E.; HEISE, K.L. Exurban development influences
woodland bird composition. Landscape and Urban Planning, Amsterdam, v. 92, n. 3/4,
p. 255-263, Sept. 2009.
MIDDLETON, J. Effects of urbanization on biodiversity in Canada. In: KEITH, A. (Ed.).
Biodiversity in Canada: a science assessment for environment Canada. Ottawa:
Environment Canada, 1994. p. 15-20.
MILLER, J.R.; FRATERRIGO, J.M.; HOBBS, N.T.; THEOBALD, D.M.; WIENS, J.A.
Urbanization, avian communities, and landscape ecology. In: MARZLUFF, J.M.;
BOWMAN, R..; DONNELLY, R. (Ed.). Avian ecology and conservation in an
urbanizing world. Massachusetts: Kluwer Academic, 2001. chap. 6, p. 117-138.
MILLS, G.S.; DUNNING JR, J.B.; BATES J. M. Effects of Urbanization on breeding bird
community structure in southwestern desert habitats. The Condor, Los Angeles, v. 91,
n. 2, p. 416-428, 1989.
MOREIRA, M.A. Fundamentos do sensoriamento remoto e metodologias de
aplicação. Viçosa: UFV, 2003. 307 p
NEGRI, D.; DESMONTS, F.; LONGO, L. Nosso rio, nossas aves: às margens do rio
Piracicaba. São Paulo: SENAC, 2009. 119 p.
NICHOLS, J.D.; HINES, J.E.; SAUER, J.R.; FALLON, F.W.; FALLON, J.E.; HEGLUND,
P.J. A doble-observer approach for estimating detection probability and abundance from
point counts. The Auk, Lawrence, v. 117, n. 2, p. 393-408, Apr. 2000.
ÖCKINGER, E.; DANNESTAM, A.; SMITH H.G. The importance of fragmentation and
habitat quality of urban grasslands for butterfly diversity. Landscape and Urban
Planning, Amsterdam, v. 93, n. 1, p. 31-37, Oct. 2009.
OLIVEIRA, D.C.; BENNEMANN, S. T. Ictiofauna, recursos alimentares e relações com
as interferências antrópicas em um riacho urbano no sul do Brasil. Biota Neotropica,
Campinas, v. 5, n. 1, p. 95-107, 2005.
81
ONEAL, A.S.; ROTENBERRY, J.T. Scale-dependent habitat relations of birds in riparian
corridors in an urbanizing landscape. Landscape and Urban Planning, Amsterdam,
v. 92, n. 3/4, p. 264-275, Sept. 2009.
OREN, D.C.; SMITH,N.J.H. O bico-de-lacre (Estrilda astrild): um passarinho africano na
avifauna de Manaus. Acta Amazonica, Manaus, v. 8, n. 4, p. 699-701, 1978.
PACIFICI, K.; SIMONS, T.R.; POLLOCK, K.H. Effects of vegetation and background
noise on the detection process in auditory avian point-count surveys. The Auk,
Lawrence, v. 125, n. 3, p. 600-607, July 2008.
PROGRAMA DAS NAÇÕES UNIDAS PARA O DESENVOLVIMENTO. Relatório do
desenvolvimento humano 2005. Tradução de J.F. e Silva. Lisboa: Ana Paula Faria
Editora. 2005. 372 p.
RALPH, C.J.; SCOTT, J.M. Estimating birds of terrestrial birds. Studies in Avian
Biology, Lawrence, n. 6, 1981. 641 p.
RALPH, C.J.; SAUER, J.R.; DROEGE, S. Managing and monitoring birds using point
counts: standards and applications. In: RALPH, C.J.; DROEGE, S.; SAUER, J.R. (Ed.).
Monitoring landbirds with point counts. Albany: Department of Agriculture, Forest
Service, Pacific Southwest Research Station; 1995. p. 261-268. (General Technical
Report, PSW-GTR-149).
RALPH, C.J.; GEUPEL, G.R.; PYLE, P.; MARTIN, T.E.; DeSANTE, D.F. Handbook of
field methods for monitoring landbirds. Albany: Department of Agriculture, Forest
Service, Pacific Southwest Research Station. 1993. 41 p. (General Technical Report,
PSW-GTR-144).
REES, W.E. Urban ecosystems: The human dimension. Urban Ecosystems. New York,
v. 1, n. 1, p. 63-75, 1997.
REIJNEN, R.; FOPPEN, R.; BRAAK, C.T.; THISSEN, J. The effects of car traffic on
breeding bird populations in woodland III. Reduction of density in relation to the
proximity of main roads. The Journal of Applied Ecology. Oxford, v. 32, n. 1, p. 187-
202, Feb. 1995.
REYNAUD, P.A.; THIOULOUSE, J. Identification of birds as biological markers along a
neotropical urban-rural gradient (Cayenne, French Guiana), using co-inertia analysis.
Journal of Environmental Management, London, v. 59, n. 2, p. 121-140, June 2000.
82
ROBBINS. C.S.; STALLCUP, R.W. Problems in separating species with similar habits
and vocalizations. Studies in Avian Biology, Lawrence, n. 6, p. 360-361, 1981.
ROLLO, F.M.A.; SILVA FILHO, D.F; COUTO, H.T.Z. ; POLIZEL, J.L. Uso de cenas
videográficas para a avaliação da floresta urbana. Revista da Sociedade Brasileira de
Arborização Urbana, v. 2, n. 3, p. 63-79, 2007a. Disponível em:
<http://www.revsbau.esalq.usp.br/volume2numero32007.html>. Acesso em: 05 jun.
2008.
ROLLO, F.M.A.; SILVA FILHO, D. F.; COUTO, H.T.Z.; POLIZEL, J.L. MIZUTA, D.;
PASSARINI, L.; GARCIA, R.G.S.; MOLIN, P.G. Avaliação do tecido urbano de
Piracicaba- SP em dois momentos por meio de imagens aéreas multiespectrais de alta
resolução. In: SIMPÓSIO BRASILEIRO DE SENSORIAMENTO REMOTO, 13., 2007,
Florianópolis. Anais... São José dos Campos: INPE, 2007b. p. 653-660.
ROSENSTOCK, S.; ANDERSON, D.R.; GIESEN, K.M.; LEUKERING, T.; CARTER,
M.E. Landbird counting techniques: current practices and an alternative. The Auk,
Lawrence, v. 119, n. 1, p. 46-53, Jan. 2002.
RUSZCZYK, A.; RODRIGUES, J.J.G.; ROBERTS, T. M. T.; BENDATI, M. M. A.; DEL
PINO, R. S.; MARQUES, J. C.V.; MELO, M.Q. Distribution patterns of eight birds
species in the urbanization gradient of Porto Alegre, Brazil. Ciência e Cultura, São
Paulo, v. 39, n.1, p. 14-19, 1987.
SANDSTRÖM, U.G.; ANGELSTAM, P.; MIKUSINSKI, G. Ecological diversity of birds in
relation to the structure of urban green space Landscape and Urban Planning,
Amsterdam, v. 77, n. 1/2, p. 39-53, June 2006.
SANTOS, A.S.R. A importância da vocalização na identificação das aves. Boletim
CEO, São Paulo, n. 10, p. 27-33, 1994.
SANTOS, K.T. Influência do gradiente urbano sobre a avifauna na cidade de
Uberlândia, Migas Gerais, Brasil. 2005. 53 p. Dissertação (Mestrado em Ecologia e
Conservação de Recursos Naturais) – Instituto de Biologia, Universidade Federal de
Uberlândia, Uberlândia, 2005.
SASVARI, L. Bird abundance and species diversity in the parks and squares of
Budapest. Folia Zoologica, Prague, v. 33, n. 3, p. 249-262, 1984.
SAUER, J.R.; PETERJOHN, B.G.; LINK, W.A. Observer differences in the north-
American breeding bird survey. The Auk, Lawrence, v. 111, n. 1, p. 50-62, Jan.1994.
83
SAUNDERS, D.A.; HOBBS, R.J.; MARGULES, C.R. Biological consequences of
ecosystem fragmentation: a review. Conservation Biology, Cambridge, v. 5, n. 1,
p. 18-32, 1991.
SAVARD, J-P.L.; FALLS, B.J. Influence of habitat structure on the nesting height of birds
in urban areas. Canadian Journal of Zoology, Ottawa, v. 59, n. 6, p. 924-932, 1981.
SAVARD, J-P. L.; CLERGEAU, P.; MENNECHEZ, G. Biodiversity concepts and urban
ecosystems. Landscape and Urban Planning, Amsterdam, v. 48, n. 3/4, p. 131-142,
May 2000.
SCHIECK, J. Biased detection of bird vocalizations affects comparisons of bird
abundance among forested habitats. The Condor, Los Angeles, v. 99, n. 1, p. 179-190,
1997.
SETZER, J. Contribuição para o estudo do clima do Estado de São Paulo. São
Paulo: D.E.R, 1946. 237 p.
SHIVER, B.D.; BORDERS, B.E. Sampling techniques for forest resource inventory.
New York: Wiley, 1996. 356 p.
SILVA, F.D.S.; BLAMIRES, D. Avifauna urbana no lago Pôr do Sol, Iporá, Goiás, Brasil.
Lundiana, Belo Horizonte, v. 8, n. 7, p. 17-26, 2007
SILVA FILHO, D.F. Aplicação de videografia aérea multiespectral na avaliação de
floresta urbana. 2004. 88 p. Tese (Doutorado em Produção Vegetal) – Faculdade de
Ciências Agrárias e Veterinária, Universidade Estadual Paulista “Julio de Mesquita
Filho”, Jaboticabal, 2004.
______. Videografia aérea multiespectral em silvicultura urbana. Ambiência,
Guarapuava, v. 2, ed. esp. 1, p. 55-68, 2006.
______. Diagnóstico da cobertura arbórea em tecido urbano do município de
Piracicaba,SP. Piracicaba: ESALQ; Departamento de Ciências Florestais, 2009. 18 p.
Relatório apresentado à Fundação de Estudos Agrários Luiz de Queiroz - FEALQ, como
parte dos resultados obtidos dentro do projeto Processo n º: 4018-5 com o Instituto de
Planejamento de Piracicaba – IPPLAP, 2009.
SIMONS, T.R.; ALLDREDGE, M.W.; POLLOCK, K.H.; WETTOROTH, J.M.
Experimental analysis of the auditory detection process on avian point counts. The Auk,
Lawrence, v. 124, n. 3, p. 986-999, July 2007.
84
SLABEEKOORN, H.; RIPMEESTERS, E.A. Birdsong and anthropogenic noise:
implications and applications for conservation. Molecular Ecology, Oxford, v. 17, n. 1,
p. 72-83, Jan. 2008.
SMITH, R.B. Getting started: image classification with TNT mips. Lincoln: Microimages,
2006. 36 p.
SODHI, N.S.; BRIFFETT, C.; KONG, L.; YUEN, B. Bird use as linear areas of a tropical
city: implications for park connector design and management. Landscape and Urban
Planning, Amsterdam, v. 45, n. 2/3, p. 123-130, Oct.1999.
STOTZ, D.F.; FITZPATRICK, J.W.; PARKER III, T.A.; MOSKOVITS, D.K. Neotropical
birds: ecology and conservation. Chicago: The University of Chicago Press, 1996.
478 p.
SUKOPP, H.; WERNER, P. Naturaleza en las ciudades: desarrollo de flora y fauna en
áreas urbanas. Madrid: Ministerio de Obras Públicas y Transportes, 1991. 222 p.
THOMPSON, F.R.; SCHWALBACH, M.J. Analyses of sample size, counting time, and
plot size from an avian point counts on survey on Hoosier National Forest, Indiana. In:
RALPH, C.J.; DROEGE, S.; SAUER, J.R. (Ed.). Monitoring landbirds with point
counts. Albany: Department of Agriculture, Forest Service, Pacific Southwest Research
Station, 1995. p. 45-48. (General Technical Report, PSW-GTR-149).
TILGHMAN, N.G. Characteristics of urban woodlands affecting breeding bird diversity
and abundance. Landscape and Urban Planning, Amsterdam, v. 14, p. 481-495, 1987.
TINOCO, B.A. Seasonality of the bird community in the Tumbesian dry forest in south
west Ecuador. Ornitologia Neotropical, Washington, v. 20, n. 2, p. 157-170, 2009.
TURNER, W.R. Citywide biological monitoring as a tool for ecology and conservation in
urban landscapes: the case of the Tucson Bird Count. Landscape an Urban Planning,
Amsterdam, v. 65, n. 3, p. 149-166, Sept. 2003.
VALADÃO, R.M.; FRANCHIN, G.A.; MARÇAL JÚNIOR, O. A avifauna no Parque
Municipal Victorio Siquierolli, zona urbana de Uberlândia (MG). Biotemas, Florianópolis,
v. 19, n. 1, p 81-91, 2006.
VANDRUFF, L.W.; LEEDY, D. L.; STEARNS F. W. Urban wildlive and human well-
being. In: SUKOPP, H., NUMATA, M., HUBER, A. Urban ecology as the basis for
urban planning. The Hague: SPB Academic, 1995. p. 203-211.
85
Van RENSBURG, B.J.; PEACOCK, D.S.; ROBERTSON, M.P. Biotic homogenization
and alien bird species along an urban gradient in South Africa. Landscape and Urban
Planning, Amsterdam, v. 92, n. 4, p. 233-241, Sept. 2009.
VIELLIARD, J.M.E. Bird community as an indicator of biodiversity: results from
quantitative surveys in Brazil. Anais da Academia Brasileira de Ciências, Rio de
Janeiro, v. 72, n. 3, p. 323-330, 2000.
VIELLIARD, J.M.E.; SILVA, W.R. Nova metodologia de levantamento quantitativo da
avifauna e primeiros resultados no interior do Estado de São Paulo, Brasil. In:
ENCONTRO NACIONAL DE ANILHADORES DE AVES, 4., 1988, Recife. Anais...
Recife: Universidade Federal Rural de Pernambuco, 1990. p. 117-151.
______. Avifauna. In: LEONEL, C. (Ed.). Intervales. São Paulo: Secretaria de Estado
do Meio Ambiente, Fundação para a Conservação e a Produção Florestal do Estado de
São Paulo, 2001. p. 124-146.
WACKERNAGEL M.; REES W. Our ecological footprint: reducing human impact n the
earth. Philadelphia: The New Catalyst Bioregional, New Society Publ., 1996. 160 p.
WAIDE, R.B.; NARINS,P.M. Tropical forest bird counts and the effect of sound
attenuation. The Auk, Lawrence, v. 105, n. 2, p. 296-302, Apr. 1988.
YUAN, F.; SAWAYA, K.E.; LOEFFELHOLZ, B.C.; BAUER, M.E. Land cover
classification and change analysis of the Twin Cities (Minnesota) Metropolitan Area by
multitemporal Landsat remote sensing. Remote Sensing of Environment, New York,
v. 98, n. 2/3, p. 317–328, 2005.
ZAR, J.H. Biostatistical analysis. 5
th
ed. New Jersey: Pearson Prentice Hall, 2010.
944 p.
86
87
APÊNDICES
88
89
APÊNCIDE A – Faixas e cenas aéreas multiespectrais utilizadas para a classificação automática
supervisionada e quantificação dos elementos urbanos
Cena 319
Faixa 8
Faixa 7b
Faixa 6
Cena 393
Faixa 7a
90
APÊNDICE B – Lista de espécies das aves observadas durante o estudo com o respectivo Índice pontual
de abundância (IPA) e frequência de ocorrência (FO%) obtidos. Nomenclatura, táxons e
ordem taxonômica seguem o proposto em CBRO (2009)
(continua)
Ordem Família Espécie Nome popular IPA
Pelecaniformes Phalacrocoracidae
Phalacrocorax brasilianus
biguá 0,897
Ciconiiformes Ardeidae
Nycticorax nycticorax
savacu 0,043
Butorides striata
socozinho 0,011
Bubulcus ibis
garça-vaqueira 0,002
Ardea cocoi
garça-moura 0,006
Ardea alba
garça-branca-grande 0,155
Syrigma sibilatrix
maria-faceira 0,006
Egretta thula
garça-branca-pequena 0,157
Cathartiformes Cathartidae
Coragyps atratus
uburu-de-cabeça-preta 0,133
Falconiformes Accipitridae
Elanus leucurus
gavião-peneira 0,002
Ictinia plumbea
sovi 0,004
Rupornis magnirostris
gavião-carijó 0,052
Buteo brachyurus
gavião-de-cauda-curta 0,004
Falconidae
Caracara plancus
caracará 0,041
Milvago chimachima
carrapateiro 0,022
Falco sparverius
quiriquiri 0,004
Falco femoralis
falcão-de-coleira 0,002
Falco peregrinus
falcão-peregrino 0,009
Gruiformes Rallidae
Aramides cajanea
saracura-três-potes 0,006
Gallinula chloropus
frango-d'água-comum 0,013
Cariamidae
Cariama cristata
seriema 0,002
Charadriiformes Charadriidae
Vanellus chilensis
quero-quero 0,288
Recurvirostridae
Himantopus melanurus
pernilongo-de-costas-
brancas
0,004
Columbiformes Columbidae
Columbina talpacoti
rolinha-roxa 1,921
Columba livia
pombo-doméstico 2,196
Patagioenas picazuro
pombão 1,079
Zenaida auriculata
pomba-de-bando 1,036
Leptotila verreauxi
juriti-pupu 0,011
Psittaciformes Psittacidae
Aratinga leucophthalma
periquitão-maracanã 0,247
Forpus xanthopterygius
tuim 0,161
Brotogeris chiriri
periquito-de-encontro-
amarelo
0,772
Pionus maximiliani
maitaca-verde 0,004
91
APÊNDICE B – Lista de espécies das aves observadas durante o estudo com o respectivo Índice
pontual de abundância (IPA) e frequência de ocorrência (FO%) obtidos.
Nomenclatura, táxons e ordem taxonômica seguem o proposto em CBRO (2009)
(continuação)
Ordem Família Espécie Nome popular IPA
Cuculiformes Cuculidae
Piaya cayana
alma-de-gato 0,006
Crotophaga ani
anu-preto 0,105
Guira guira
anu-branco 0,049
Tapera naevia
saci 0,004
Strigiformes Strigidae
Athene cunicularia
coruja-buraqueira 0,030
Apodiformes Apodidae
Chaetura meridionalis
andorinhão-do-temporal 0,538
Trochilidae
Eupetomena macroura
beija-flor-tesoura 0,353
Amazilia lactea
beija-flor-de-peito-azul 0,118
Coraciiformes Alcedinidae
Megaceryle torquata
martim-pescador-grande 0,017
Chloroceryle amazona
martim-pescador-verde 0,004
Piciformes Picidae
Picumnus cirratus
pica-pau-anão-barrado 0,052
Melanerpes candidus
birro, pica-pau-branco 0,009
Veniliornis spilogaster
picapauzinho-verde-carijó 0,004
Colaptes melanochloros
pica-pau-verde-barrado 0,028
Colaptes campestris
pica-pau-do-campo 0,034
Dryocopus lineatus
pica-pau-de-banda-branca 0,006
Passeriformes Thamnophilidae
Thamnophilus doliatus
choca-barrada 0,079
Thamnophilus caerulescens
choca-da-mata 0,002
Dendrocolaptidae
Lepidocolaptes angustirostris
arapaçu-de-cerrado 0,002
Furnariidae
Furnarius rufus
joão-de-barro 0,252
Synallaxis frontalis
petrim 0,026
Cranioleuca vulpina
arredio-do-rio 0,050
Tyrannidae
Todirostrum cinereum
ferreirinho-relógio 0,157
Todirostrum poliocephalum
teque-teque 0,004
Elaenia flavogaster
guaracava-de-barriga-
amarela
0,245
Camptostoma obsoletum
risadinha 0,047
Serpophaga subcristata
alegrinho 0,073
Tolmomyias sulphurescens
bico-chato-de-orelha-preta 0,022
Myiophobus fasciatus
filipe 0,006
Pyrocephalus rubinus
príncipe 0,011
Xolmis cinereus
primavera 0,004
Fluvicola nengeta
lavadeira-mascarada 0,028
Myiozetetes similis
bentevizinho-de-penacho-
vermelho
0,243
Pitangus sulphuratus
bem-te-vi 1,921
Myiodynastes maculatus
bem-te-vi-rajado 0,021
Megarynchus pitangua
neinei 0,028
92
APÊNDICE B – Lista de espécies das aves observadas durante o estudo com o respectivo Índice
pontual de abundância (IPA) e frequência de ocorrência (FO%) obtidos.
Nomenclatura, táxons e ordem taxonômica seguem o proposto em CBRO (2009)
(continuação)
Ordem Família Espécie Nome popular IPA
Passeriformes Tyrannidae
Empidonomus varius
peitica 0,049
Tyrannus melancholicus
suiriri 0,619
Tyrannus savana
tesourinha 0,088
Myiarchus ferox
maria-cavaleira 0,007
Machetornis rixosa
suiriri-cavaleiro 0,116
Vireonidae
Cyclarhis gujanensis
pitiguari 0,011
Vireo olivaceus
juruviara 0,028
Hirundinidae
Pygochelidon cyanoleuca
andorinha-pequena-de-
casa
3,088
Stelgidopteryx ruficollis
andorinha-serradora 0,021
Progne chalybea
andorinha-doméstica-
grande
0,007
Troglodytidae
Troglodytes musculus
corruíra 0,619
Donacobiidae
Donacobius atricapilla
japacanim 0,002
Turdidae
Turdus amaurochalinus
sabiá-poca 0,071
Turdus leucomelas
sabiá-barranco 0,293
Mimidae
Mimus saturninus
sabiá-do-campo 0,529
Coerebidae
Coereba flaveola
cambacica 0,886
Thraupidae
Nemosia pileata
saíra-de-chapéu-preto 0,013
Thlypopsis sordida
saí-canário 0,041
Ramphocelus carbo
pipira-vermelha 0,015
Conirostrum speciosum
figuinha-de-rabo-castanho 0,009
Thraupis sayaca
sanhaçu-cinzento 1,637
Thraupis palmarum
sanhaçu-do-coqueiro 0,097
Tangara cayana
saíra-amarela 0,181
Tersina viridis
saí-andorinha 0,002
Dacnis cayana
saí-azul 0,007
Emberizidae
Zonotrichia capensis
tico-tico 0,037
Volatinia jacarina
tiziu 0,030
Sporophila caerulescens
coleirinho 0,013
Parulidae
Parula pitiayumi
mariquita 0,013
Geothlypis aequinoctialis
pia-cobra 0,017
Basileuterus hypoleucus
pula-pula-de-barriga-
branca
0,015
Basileuterus flaveolus
canário-do-mato 0,009
93
APÊNDICE B – Lista de espécies das aves observadas durante o estudo com o respectivo Índice
pontual de abundância (IPA) e frequência de ocorrência (FO%) obtidos.
Nomenclatura, táxons e ordem taxonômica seguem o proposto em CBRO (2009)
(conclusão)
Ordem Família Espécie Nome popular IPA
Passeriformes Icteridae
Icterus cayanensis
encontro 0,004
Chrysomus ruficapillus
garibaldi 0,015
Molothrus bonariensis
vira-bosta 0,839
Fringillidae
Euphonia chlorotica
fim-fim 0,159
Estrildidae
Estrilda astrild
bico-de-lacre 0,520
Passeridae
Passer domesticus
pardal 6,181
IPA (Índice Pontual de Abundância) = nº de contatos da espécie/nº de amostras realizadas
FO% (Frequência de ocorrência) = (nº de dias em que a espécie foi observada/ nº de dias de
amostragens ) x 100
94
95
ANEXO
96
97
Anexo A - Exemplo da caderneta de campo utilizada para as coletas de dados de aves
“METODOLOGIA PARA AMOSTRAGEM DE AVIFAUN
A
NA MALHA URBANA DE PIRACICAB
A
-SP”
Ponto: Data: Hora Início: Hora Término:
Espécie Nome Vulgar
Nº indivíduos OBS
3’ 6’ 9’ 12’
V
A
Aratinga leucophthalma
Periquitão-maracanã
Brotogeris chiriri
Periquito
Caracara plancus
Carcará
Coereba flaveola
Cambacica
Columba livia
Pomba doméstica
Columbina talpacoti
Rolinha
Coragyps atratus
Urubu
Chaetura meridionalis
Andorinhão
Elaenia flavogaster
Guaracava
Eupetomena macroura
Tesourão
Euphonia chlorotica
Vivi
Forpus xanthopterygius
Tuim
Furnarius rufus
João de Barro
Mimus saturninus
Sabiá-do-campo
Myiozetetes similis
Bentevizinho
Passer domesticus
Pardal
Patagioenas picazuro
Asa branca
Pionus maximiliani
Maitaca
Pitangus sulphuratus
Bem-te-vi
Pygochelidon cyanoleuca
Andorinha peq de casa
Thraupis sayaca
Sanhaço cinzento
Troglodytes musculus
Corruíra
Turdus amaurochalinus
Sabiá-poca
Turdus leucomelas
Sabiá branco
Tyrannus melancholicus
Suiriri
Tyrannnus savana
Tesourinha
Zenaida auriculata
Avoante
Zonotrichia capensis
Tico-tico
Vanellus chilensis
Quero-Quero
Conversa:
Ruído Máximo (dB)
Ruído Mínimo (dB)
Livros Grátis
( http://www.livrosgratis.com.br )
Milhares de Livros para Download:
Baixar livros de Administração
Baixar livros de Agronomia
Baixar livros de Arquitetura
Baixar livros de Artes
Baixar livros de Astronomia
Baixar livros de Biologia Geral
Baixar livros de Ciência da Computação
Baixar livros de Ciência da Informação
Baixar livros de Ciência Política
Baixar livros de Ciências da Saúde
Baixar livros de Comunicação
Baixar livros do Conselho Nacional de Educação - CNE
Baixar livros de Defesa civil
Baixar livros de Direito
Baixar livros de Direitos humanos
Baixar livros de Economia
Baixar livros de Economia Doméstica
Baixar livros de Educação
Baixar livros de Educação - Trânsito
Baixar livros de Educação Física
Baixar livros de Engenharia Aeroespacial
Baixar livros de Farmácia
Baixar livros de Filosofia
Baixar livros de Física
Baixar livros de Geociências
Baixar livros de Geografia
Baixar livros de História
Baixar livros de Línguas
Baixar livros de Literatura
Baixar livros de Literatura de Cordel
Baixar livros de Literatura Infantil
Baixar livros de Matemática
Baixar livros de Medicina
Baixar livros de Medicina Veterinária
Baixar livros de Meio Ambiente
Baixar livros de Meteorologia
Baixar Monografias e TCC
Baixar livros Multidisciplinar
Baixar livros de Música
Baixar livros de Psicologia
Baixar livros de Química
Baixar livros de Saúde Coletiva
Baixar livros de Serviço Social
Baixar livros de Sociologia
Baixar livros de Teologia
Baixar livros de Trabalho
Baixar livros de Turismo