
REFORMA DA PREVIDÊNCIA
2
(PIS)/Programa de Amparo ao Servidor Público (Pasep) e chegando ao Fundo de
Amparo ao Trabalhador (FAT), o esquema de poupança compulsória é uma
constante no financiamento das políticas sociais, gerando recursos cuja aplicação
encontra-se sob controle estatal.
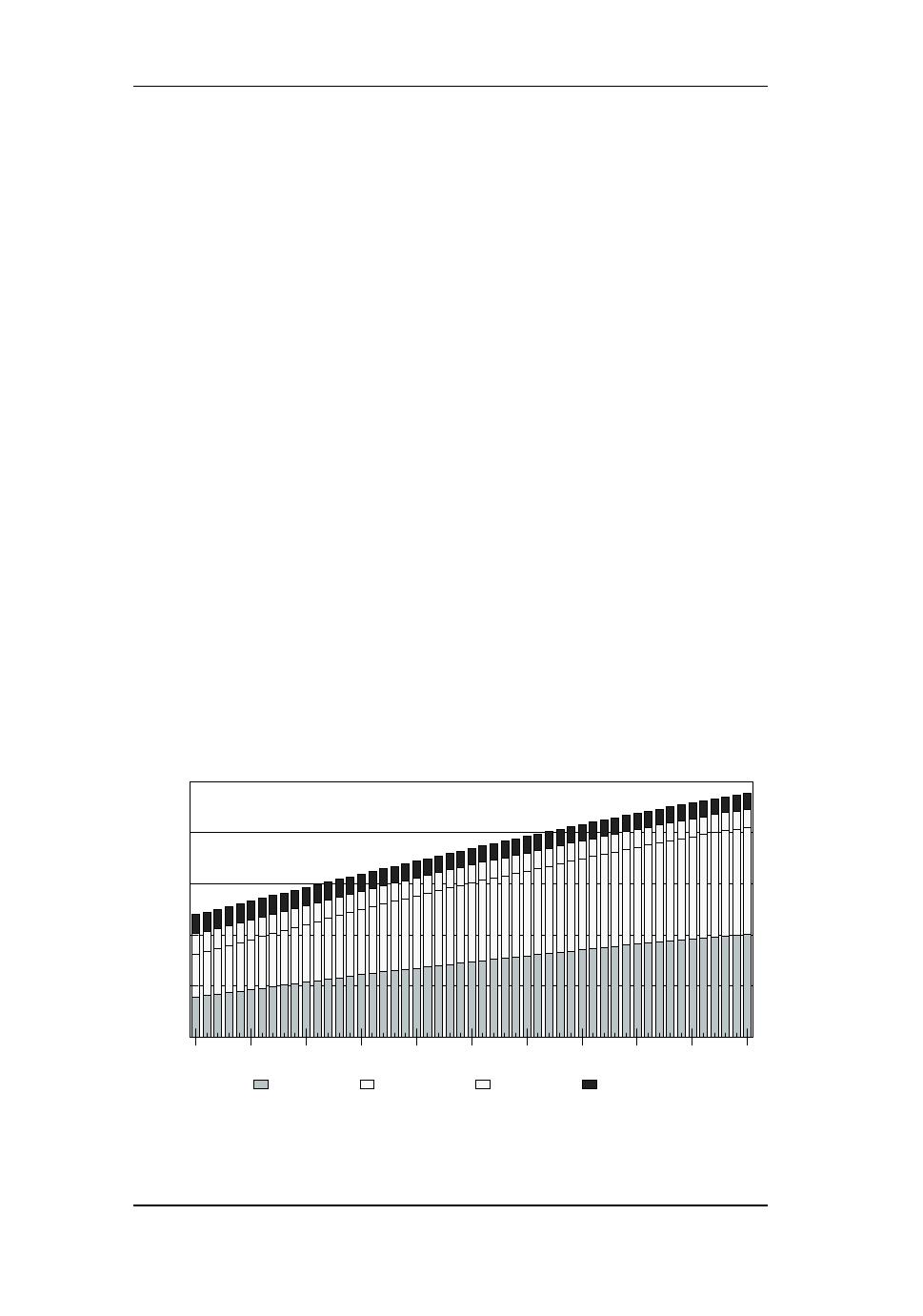
Tabela 1
Participação na Carga Tributária Global dos Diferentes Níveis de Governo:
Brasil — 1989/95
(Em % do PIB)
Nível de governo 1989 1990 1991 1992 1993 1994 1995
União 14,8 18,9 15,5 16,5 16,2 19,4 20,91
Orçamento fiscal 7,4 9,3 7,0 9,2 7,6 8,5 9,57
Seguridade
*
7,4 9,6 8,5 7,3 8,6 10,9 11,34
Estados 6,5 8,3 7,3 7,4 6,9 7,7 n.d.
Municípios 0,6 1,0 1,1 1,2 4,1 1,4 n.d.
Total
21,9 28,2 23,9 25,1 27,2 28,5 n.d.
Fontes: IBGE (Contas nacionais), MEFP/DRF e Confaz.
*
Inclui Finsocial, contribuição sobre o lucro e PIS/Pasep.
n.d.: não-disponível.
O Estado, como gestor da poupança alheia, teve desempenho catastrófico. Já há
muito tempo, os recursos de alguns dos antigos IAPs — que operavam com
reservas capitalizadas — foram aplicados em projetos de interesse essencialmente
político, com escassa possibilidade de retorno econômico. Pelo mesmo ralo
também escoaram os recursos do FGTS e existem riscos de que o mesmo aconteça
com o FAT. O modelo de formação e uso da poupança pelo Estado está exaurido
já faz algum tempo.
Foram-se os ativos, restando um vasto passivo para
administrar sob a forma de promessas de direitos de difícil concretização.
A perspectiva parece desanimadora, mas também aí surge a oportunidade ímpar de
repensar o modelo. O Brasil necessita urgentemente de novos mecanismos de
financiamento de seu processo de desenvolvimento que nos permitam entrar com
pé direito no próximo milênio recuperando, fortalecendo e democratizando os
mecanismos de formação de poupança. É aí, justamente, que entra a reforma da
previdência, ou a questão mais geral das políticas sociais.
A previdência oficial brasileira opera exclusivamente no chamado regime de
repartição simples, ou seja, sem recursos capitalizados. Os contribuintes ativos de
hoje pagam pelos inativos de hoje, na esperança de que novas gerações de
contribuintes venham a fazê-lo quando passarem para a inatividade. Esta adoção
do regime de repartição é quase uma constante dos países ocidentais. Assim é o
sistema básico nos Estados Unidos, na Alemanha, na França, na Espanha e até em
alguns países do Oriente, como o Japão. A diferença é que todos eles têm uma
reserva capitalizada que serve de colchão amortecedor para o futuro do sistema.
Tirando-se a moda chilena do regime básico em capitalização individual — uma
caderneta de poupança compulsória — ao qual aderiram alguns países da América