Download PDF
ads:
ROBSON ROCHA CAMPOS
A DURABILIDADE DAS ESTRUTURAS DE CONCRETO ARMADO
– CRITÉRIOS E DIRETRIZES –
Dissertação apresentada ao
Programa de Pós-Graduação em
Engenharia Civil da Universidade
Federal Fluminense, como requisito
parcial para obtenção do Grau de
Mestre em Engenharia Civil. Área de
Concentração: Engenharia Civil.
Orientador: Prof. LUIZ CARLOS MENDES, D.Sc.
Niterói – RJ – Brasil
Julho / 2006
ads:
Livros Grátis
http://www.livrosgratis.com.br
Milhares de livros grátis para download.
ROBSON ROCHA CAMPOS
A DURABILIDADE DAS ESTRUTURAS DE CONCRETO ARMADO
– CRITÉRIOS E DIRETRIZES –
Dissertação apresentada ao
Programa de Pós-Graduação em
Engenharia Civil da Universidade
Federal Fluminense, como requisito
parcial para obtenção do Grau de
Mestre em Engenharia Civil. Área de
Concentração: Engenharia Civil.
Aprovada em julho de 2006
BANCA EXAMINADORA
________________________________________________
Prof. Luiz Carlos Mendes, D.Sc. (Orientador)
Universidade Federal Fluminense
_______________________________________________
Prof. Fathi Aref Ibrahim Darwish, Ph.D
Universidade Federal Fluminense
_______________________________________________
Prof
a
Maria Cascão Ferreira de Almeida, D.Sc.
Universidade Federal do Rio de Janeiro
Niterói – RJ – Brasil
Julho / 2006
ads:
Este trabalho é dedicado
aos meus pais Albérico e Nadir
e à minha esposa Luciana,
pelo apoio e incentivo constantes.
AGRADECIMENTOS
A Deus, pela inspiração e forças internas.
Aos meus familiares, pelo incentivo e confiança.
Ao professor Luiz Carlos Mendes, cuja orientação e conhecimento foram
essenciais para o desenvolvimento da dissertação.
Aos engenheiros Gilberto Menezes Moraes e Ricardo Grecchi Pacheco, meus
primeiros professores, pelos incentivos e cooperação em mais esta etapa e pela
compreensão do esforço que demanda este trabalho.
Ao professor Antônio Carlos Reis Laranjeiras pelo auxílio bibliográfico.
A CAPES, pelo auxílio financeiro.
E conhecereis a verdade e a verdade vos libertará. (João 8:32)
Disse Jesus: eu sou o caminho e a verdade e a vida. (João 14:6)
RESUMO
Com a publicação da Norma NBR 6118:2003, o conceito de durabilidade,
antes implícito nos projetos, passa a ser tratado de forma clara e objetiva através
dos critérios e diretrizes da referida norma. Pelas suas características próprias, o
cálculo do concreto armado nasceu sob dois pilares: a resistência e a economia.
Hoje em dia é usualmente aceito que, ao projetarem-se estruturas, as características
de durabilidade dos materiais em questão devam ser avaliadas com o mesmo
cuidado que aqueles dois primeiros aspectos. Neste trabalho abordam-se a
importância e a necessidade de se introduzir e aplicar os conceitos da durabilidade
do concreto armado e, em especial, as diretrizes e os critérios para se obter uma
durabilidade das estruturas de concreto armado compatível à sua vida útil. São
feitas análises comparativas das diretrizes e critérios adotados na norma brasileira
com outras normas internacionais, principalmente o EUROCODE 2:2003. Com base
nestas análises, são feitas propostas de novas classes ambientais e cobrimentos de
acordo com o consenso da viabilidade. Por fim, apresentam-se duas aplicações
práticas dos conceitos e sugestões com o objetivo de demonstrar a sua
aplicabilidade.
Palavras-chave: durabilidade, concreto armado, deterioração.
ABSTRACT
After the publication of the Brazilian Code NBR 6118:2003, the durability
concept, previously implicit in the projects, passes to be treated in a clear and
objective way through criteria and guidelines of the referred code. Due to their own
characteristics, the design of the reinforced concrete was born under two concepts:
strength and economy. Nowadays, it is usually accepted in the design of structures
that the durability characteristics of the materials should be estimated with the same
care that those two aspects previously mentioned.
In this work, the importance and
the necessity to introduce and apply the durability concepts of the reinforced
concrete are emphasized, especially, in concern with guidelines and criteria to obtain
a durability compatible with service life of the structures.
Comparative analyses of
the guidelines and criteria proposed by the Brazilian code and other international
codes, mainly the EUROCODE 2:2003, are made. Based on these analyses, new
proposals of environmental classes and concrete covers are made, taking into
account the viability consensus. Finally, two practical applications of the concepts
and suggestions are presented with the objective of demonstrating its applicability.
Keywords: durability, reinforced concrete, deterioration.
SUMÁRIO
AGRADECIMENTOS...........................................................................................3
RESUMO..............................................................................................................5
ABSTRACT..........................................................................................................6
SUMÁRIO ............................................................................................................7
LISTA DE FIGURAS..........................................................................................10
LISTA DE TABELAS.........................................................................................13
LISTA DE SÍMBOLOS.......................................................................................15
1 – INTRODUÇÃO ............................................................................................ 17
1.1 J
USTIFICATIVA ............................................................................................ 22
1.2 RELEVÂNCIA .............................................................................................. 22
1.3 ESTRUTURA DO TEXTO ............................................................................... 23
2 – FUNDAMENTOS DA DURABILIDADE DO CONCRETO ARMADO ... 24
2.1 H
ISTÓRICO DA MUDANÇA DAS PROPRIEDADES DOS CIMENTOS E AS
CONSEQÜÊNCIAS NA SUA DURABILIDADE ...................................................... 25
2.2 DEFINIÇÕES ............................................................................................... 27
2.2.1 Durabilidade .......................................................................................... 27
2.2.2 Vida útil .................................................................................................. 28
2.2.3 Desempenho ......................................................................................... 29
2.3 M
ECANISMOS DE TRANSPORTE DE FLUIDOS NO CONCRETO ............................ 29
2.4 A ESTRUTURA DO CONCRETO ...................................................................... 34
2.4.1 Cimento Portland ................................................................................... 30
2.4.1.1 Tipos e propriedades ........................................................................... 35
2.4.1.2 A estrutura da pasta endurecida ......................................................... 38
2.4.1.3 Permeabilidade da pasta de cimento .................................................. 39
2.4.1.4 Durabilidade ........................................................................................ 40
2.4.2 Agregados para concreto ...................................................................... 41
2.4.2.1 A estrutura da fase agregado ............................................................. 41
2.4.2.2 Importância e propriedades ................................................................ 42
2.4.2.3 Permeabilidade ................................................................................... 43
2.4.2.4 Durabilidade ........................................................................................ 43
2.4.3 Água ...................................................................................................... 44
2.4.3.1 Importância ......................................................................................... 44
2.4.3.2 Durabilidade ........................................................................................ 44
2.4.4 A fase zona de transição ....................................................................... 45
2.4.4.1 Estrutura .............................................................................................. 45
2.4.4.2 Permeabilidade ................................................................................... 47
2.4.4.3 Durabilidade ........................................................................................ 47
2.4.5 Aditivos .................................................................................................. 48
2.4.5.1 Tipos .................................................................................................... 49
2.4.5.2 Durabilidade ........................................................................................ 50
2.5 A
DURABILIDADE DAS ESTRUTURAS DE CONCRETO ........................................ 51
2.5.1 Qualidade das estruturas e dos projetos ............................................... 51
2.5.2 Prevenção e manutenção ...................................................................... 51
3 – A DETERIORAÇÃO DO CONCRETO ARMADO ....................................... 53
3.1 C
AUSAS DA DETERIORAÇÃO DO CONCRETO .................................................. 58
3.1.1 Processos químicos ............................................................................... 62
3.1.1.1 Carbonatação ...................................................................................... 62
3.1.1.2 Ataque do concreto por ácidos ............................................................ 69
3.1.1.3 Ataque do concreto por sulfatos .......................................................... 72
3.1.1.4 Elevado teor de cloreto no concreto .................................................... 75
3.1.1.5 Reação álcali-agregado ....................................................................... 79
3.1.2 Processos físicos ................................................................................... 80
3.1.2.1 Deterioração por desgaste superficial ................................................. 81
3.1.2.2 Fissuração ........................................................................................... 83
3.1.2.3 Deterioração por ação do congelamento ............................................ 86
3.1.2.4 Deterioração pela ação do fogo .......................................................... 87
3.1.2.5 Deterioração devido a gradientes normais de temperatura e umidade. 88
3.1.2.6 Deterioração devida à ação do carregamento direto .......................... 89
3.1.2.7 Fissuração em estado plástico ............................................................ 90
3.1.3 Corrosão da armadura do concreto ....................................................... 90
3.1.3.1 Mecanismos da corrosão do concreto ................................................. 92
3.1.3.2 Tipos de corrosão nas armaduras do concreto ................................... 97
4 – A DURABILIDADE COMO ÊNFASE DA NORMA NBR 6118:2003 .. 99
4.1 D
IRETRIZES PARA A DURABILIDADE .............................................................. 99
4.1.1 Exigências da durabilidade e vida útil ................................................. 100
4.1.2 Agressividade ambiental ..................................................................... 109
4.2 CRITÉRIOS PARA A DURABILIDADE .............................................................. 111
4.2.1 A qualidade do cobrimento do concreto .............................................. 113
4.2.2 A qualidade do concreto e o tipo de cimento ...................................... 120
4.2.3 Detalhamento das armaduras ............................................................. 123
4.3 SUGESTÕES DE NOVAS CLASSES AMBIENTAL E ESTRUTURAL ...................... 128
5 – APLICAÇÕES ........................................................................................... 131
5.1 A
PLICAÇÃO DE CLASSE DE AGRESSIVIDADE AMBIENTAL ................................ 132
5.2 PROJETO DE EDIFICAÇÃO RESIDENCIAL ....................................................... 137
6 – CONCLUSÕES E CONSIDERAÇÕES FINAIS ........................................ 156
OBRAS CITADAS ........................................................................................... 158
OBRAS CONSULTADAS ............................................................................... 162
APÊNDICE ...................................................................................................... 163
LISTA DE FIGURAS
Figura 1.1 – Pirâmides do Egito ........................................................................... 17
Figura 1.2 – Parthenon de Atenas ....................................................................... 18
Figura 1.3 – Coliseu de Roma .............................................................................. 19
Figura 1.4 – Torre Eiffel ........................................................................................ 20
Figura 1.5 – Arco do Triunfo ................................................................................ 20
Figura 1.6 – Estátua da Liberdade ....................................................................... 21
Figura 1.7 – Cristo Redentor ................................................................................ 21
Figura 2.1 – Influência da relação água/cimento e da dimensão máxima do
agregado na permeabilidade do concreto ........................................ 33
Figura 2.2 – Relação entre permeabilidade e relação água/cimento para pastas
maduras de cimento (93% do cimento hidratado) ........................... 34
Figura 2.3 – Representação diagramática da zona de transição e da matriz de
pasta de cimento no concreto .......................................................... 46
Figura 3.1 – Origem dos problemas patológicos com relação às etapas de
produção e uso das obras civis ...................................................... 54
Figura 3.2 – Distribuição relativa da incidência de manifestações patológicas
em estruturas de concreto aparente ............................................... 56
Figura 3.3 – Representação da evolução dos custos em função da fase da
vida da estrutura em que a intervenção é feita ................................ 57
Figura 3.4 – Causas físicas da deterioração do concreto ................................... 59
Figura 3.5 – Tipos de reações químicas responsáveis pela da deterioração
do concreto .................................................................................... 60
Figura 3.6 – Causas da deterioração do concreto ............................................... 61
Figura 3.7 – Corrosão generalizada das armaduras em uma marquise .............. 64
Figura 3.8 – Relação entre a profundidade de carbonatação e a resistência
à compressão (concreto) após dois anos de exposição ao ar a
umidade de 65% .............................................................................. 65
Figura 3.9 – Evolução da carbonatação com o tempo em diversas condições,
na Alemanha ................................................................................... 66
Figura 3.10 – Representação esquemática da carbonatação sob diferentes
condições de umidade ................................................................... 67
Figura 3.11 – Carbonatação do concreto em função da umidade ....................... 68
Figura 3.12 – Esquema de variação do teor crítico de cloretos em função da
qualidade do concreto e a umidade do ambiente .......................... 79
Figura 3.13 – Representação esquemática dos diversos tipos de fissuras que
podem ocorrer no concreto ............................................................ 84
Figura 3.14 – Fissura devida a gradiente térmico de temperatura e umidade ..... 88
Figura 3.15 – Processo eletroquímico da corrosão do aço no concreto .............. 93
Figura 3.16 – Diagrama simplificado de potencial e pH para o sistema Fe-H
2
O.. 96
Figura 3.17 – Tipos de corrosão de armaduras ................................................... 97
Figura 3.18 – Corrosão generalizada .................................................................. 98
Figura 3.19 – Tipo de corrosão por pite ............................................................... 98
Figura 3.20 – Corrosão sob tensão fraturante ..................................................... 98
Figura 4.1 – Conceituação de vida útil das estruturas de concreto tomando-se
por referência o fenômeno de corrosão das armaduras ............... 102
Figura 4.2 – Ábaco para obtenção da espessura de cobrimento das armaduras
em função do ambiente, do concreto (C10 a C50) e da vida útil
desejada (1 a 100 anos) ............................................................... 105
Figura 4.3 – Ábaco para obtenção da espessura de cobrimento das armaduras
em função do ambiente (zona urbana, industrial, marinha ou
rural), do concreto (C10 a C50) e da vida útil desejada
(1 a 100 anos) ............................................................................... 106
Figura 4.4 – Nomograma para obtenção da vida útil residual, em anos, sem
fissuração, em função da corrente de corrosão, i
corr
....................... 107
Figura 4.5 – Delimitação da região do cobrimento das armaduras .................... 113
Figura 4.6 – Detalhe de bicheira em lateral de viga ........................................... 124
Figura 4.7 – Quantidades limites de barras para viga de largura = 120 mm ..... 125
Figura 4.8 – Quantidade limite de barras para vigas de largura = 120 mm com
emenda por traspasse ................................................................... 126
Figura 4.9 – Quantidade limite de barras para vigas de largura = 150 mm sem
e com emenda por traspasse......................................................... 127
Figura 5.1 – Planta Baixa ................................................................................... 139
Figura 5.2 – Forma do cintamento ..................................................................... 140
Figura 5.3 – Forma do teto ................................................................................. 141
Figura 5.4 – Armadura da viga V1 do exemplo 1 ............................................... 142
Figura 5.5 – Armadura da viga V1 do exemplo 2 ............................................... 142
Figura 5.6 – Armadura da viga V1 do exemplo 3 ............................................... 143
Figura 5.7 – Armadura da viga V2 do exemplo 1 ............................................... 143
Figura 5.8 – Armadura da viga V2 do exemplo 2 ............................................... 144
Figura 5.9 – Armadura da viga V2 do exemplo 3 ............................................... 144
Figura 5.10 – Armadura da viga V3 do exemplo 1 ............................................. 145
Figura 5.11 – Armadura da viga V3 do exemplo 2 ............................................. 145
Figura 5.12 – Armadura da viga V3 do exemplo 3 ............................................. 146
Figura 5.13 – Armadura da viga V4 do exemplo 1 ............................................. 146
Figura 5.14 – Armadura da viga V4 do exemplo 2 ............................................. 147
Figura 5.15 – Armadura da viga V4 do exemplo 3 ............................................. 147
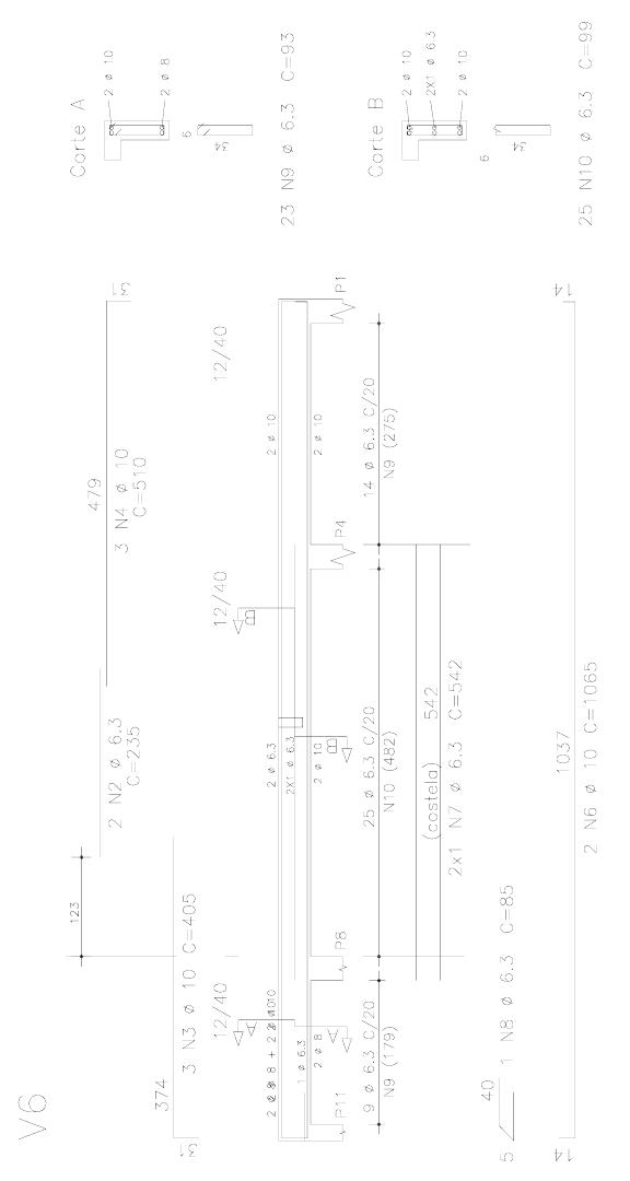
Figura 5.16 – Armadura da viga V6 do exemplo 1 ............................................. 148
Figura 5.17 – Armadura da viga V6 do exemplo 2 ............................................. 149
Figura 5.18 – Armadura da viga V6 do exemplo 3 ............................................. 150
Figura 5.19 – Armadura da viga V7 do exemplo 1 ............................................. 151
Figura 5.20 – Armadura da viga V7 do exemplo 2 ............................................. 151
Figura 5.21 – Armadura da viga V7 do exemplo 3 ............................................. 152
Figura 5.22 – Comparação entre armações positivas e negativas máximas ..... 153
LISTA DE TABELAS
Tabela 2.1 – Redução da permeabilidade da pasta de cimento (relação
água/cimento 0,7) com a evolução da hidratação .......................... 32
Tabela 2.2 – Teores dos componentes dos diversos tipos de cimento Portland . 36
Tabela 2.3 – Principais compostos do cimento e suas quantidades ................... 37
Tabela 2.4 – Características dos compostos principais do cimento .................... 37
Tabela 2.5 – tempo x a/c para a descontinuidade da rede capilar ...................... 40
Tabela 3.1 – Profundidade de carbonatação em função da resistência .............. 65
Tabela 3.2 – Profundidade máxima de carbonatação em exteriores protegidos
no Reino Unido ............................................................................... 66
Tabela 3.3 – Relação de algumas substâncias que atacam severamente o
concreto .......................................................................................... 70
Tabela 3.4 – Relação de algumas substâncias que atacam severamente o
Concreto ......................................................................................... 70
Tabela 3.5 – Efeito de alguns ácidos sobre o concreto ...................................... 71
Tabela 3.6 – Recomendações para concreto sujeito a ataque de sulfato .......... 74
Tabela 3.7 – Teor limite de cloretos proposto por diversas Normas ................... 78
Tabela 3.8 – Classificação das fissuras intrínsecas ............................................ 85
Tabela 3.9 – Potenciais de eletrodos padrão ...................................................... 94
Tabela 3.10 – Tabela prática de nobreza em água do mar ................................. 95
Tabela 4.1 – Vida útil de projeto recomendada pelos ingleses .......................... 100
Tabela 4.2 – Vida útil de projeto recomendada pelas normas européias .......... 101
Tabela 4.3 – Classes de agressividade ambiental ............................................. 109
Tabela 4.4 – Classificação da agressividade ambiental visando a durabilidade
do concreto. Avaliação através de determinações específicas .... 110
Tabela 4.5 – Classe de exposição relacionada a condição ambiental conforme
EN 206-1 ....................................................................................... 112
Tabela 4.6 – Correspondência entre classe de agressividade e qualidade do
concreto ......................................................................................... 114
Tabela 4.7 – Classe de concreto ........................................................................ 115
Tabela 4.8 – Classificação estrutural recomendada .......................................... 116
Tabela 4.9 – Valores de cobrimento mínimo da Norma NBR 6118:1978 .......... 117
Tabela 4.10 – Correspondência entre classe de agressividade ambiental e
cobrimento nominal para c = 10 mm ........................................ 118
Tabela 4.11 – Valores de cobrimento mínimo ................................................... 119
Tabela 4.12 – Classificação da resistência dos concretos frente ao risco de
corrosão das armaduras ............................................................. 122
Tabela 4.13 – Classificação da resistência dos concretos frente ao risco de
deterioração por lixiviação ou por formação de compostos
expansivos .................................................................................. 123
Tabela 4.14 – Nova classificação de agressividade ambiental .......................... 129
Tabela 4.15 – Nova correspondência entre classe de agressividade e
qualidade do concreto ................................................................ 130
Tabela 4.16 – Nova correspondência entre classe de agressividade ambiental
e cobrimento nominal para c = 10 mm ...................................... 130
Tabela 5.1 – Classificação ambiental para obra em Brasília segundo a
NBR 6118:2003 ............................................................................. 133
Tabela 5.2 – Classificação ambiental para obra em Brasília segundo o
EUROCODE 2:2003 ...................................................................... 133
Tabela 5.3 – Classificação ambiental para obra no Rio de Janeiro segundo a
NBR 6118:2003 ............................................................................. 134
Tabela 5.4 – Classificação ambiental para obra no Rio de Janeiro segundo o
EUROCODE 2:2003 ...................................................................... 135
Tabela 5.5 – Classes de concreto para as obras em Brasília e no Rio de
Janeiro ........................................................................................... 135
Tabela 5.6 – Cobrimentos para as obras em Brasília e no Rio de Janeiro ........ 136
Tabela 5.7 – Armações positivas e negativas máximas .................................... 152
Tabela 5.8 – Valores de
β
fl
................................................................................. 155
LISTA DE SÍMBOLOS
a) Letras romanas minúsculas
a/c - relação água/cimento, em massa
b - largura da zona comprimida
c
mim,dur
- cobrimento mínimo devido a condições ambientais
e - espessura carbonatada
f
c
- resistência à compressão do concreto obtida de um corpo-de-prova
f
c28
- resistência característica à compressão do concreto especificada no
projeto estrutural
f
ck
- resistência à compressão do concreto a 28 dias de idade
h - altura total da viga
i - acréscimo de massa, a partir do início do ensaio por unidade de área
da seção transversal em contato com a água
k - coeficiente de carbonatação
lo - comprimento do flange comprimido, medido entre suportes que
garantam o contraventamento lateral
n - número de barras
t - tempo
a) Letras romanas maiúsculas
A - área da seção transversal do elemento
CP - cimento Portland
D - coeficiente de difusão
J - velocidade de transporte de massa
L - espessura do elemento
R - resistência
RS - resistentes a sulfatos
S - sorção
c) Letras gregas
β - coeficiente de probabilidade
β
fl
- coeficiente que depende da forma da viga
c
- tolerância de execução
- diâmetro da barra
µ
- viscosidade dinâmica do fluido
σ
2
- variância
1 - INTRODUÇÃO
Durante toda a história da humanidade verifica-se que um dos aspectos mais
importantes de cada civilização era deixar algo concreto para ser lembrada por muitos
anos e, se possível, eternamente.
Figura 1.1 - Pirâmides do Egito
18
As construções, dentro deste contexto, além de serem edificadas como abrigo,
proteção, comércio entre outros, eram edificadas como marcos históricos de uma
civilização ou mesmo do pensamento ou de um momento importante. Como exemplos
deste fato podem-se citar as pirâmides do Egito (Fig. 1.1), o Parthenon de Atenas (Fig.
1.2), e o coliseu de Roma (Fig. 1.3). Nos séculos mais recentes, também se podem
citar como exemplos a Torre Eiffel (Fig. 1.4) e o Arco do Triunfo (Fig. 1.5) em Paris, a
Estátua da Liberdade em Nova Iorque (Fig. 1.6), e o Cristo Redentor (Fig. 1.7) no Rio
de Janeiro.
Figura 1.2 – Parthenon de Atenas
A grande maioria destes e outros exemplos foram construídos com uma marca
fundamental: a intenção de durarem e, se possíveis, eternamente. Nem todos foram
executados com todos os conhecimentos teóricos indispensáveis sobre a durabilidade
dos materiais empregados, mas todos tinham a experiência necessária para a
construção e, em alguns casos, pode-se dizer que tiveram a “sorte” de estarem
trabalhando com materiais que, por si só, já eram duráveis dentro de determinadas
situações e condições ambientais. Até o século XIX, os materiais mais empregados
nas construções eram as pedras, os tijolos, a madeira e o aço estrutural. Todos eles
usados não só como elemento estrutural, mas também estéticos.
19
A partir do século XIX, começou-se a desenvolver um novo material de
construção e, através desse, gerou-se o concreto armado, o qual nasceu com a
intenção de substituir aqueles outros, isto é, as pedras, os tijolos, a madeira e o aço
estrutural.
Figura 1.3 – Coliseu de Roma
Pelas suas características próprias, o cálculo do concreto armado nasceu sob
dois pilares: a resistência e a economia. Por razões óbvias, a resistência sempre foi o
fator primordial em todos os projetos estruturais de concreto armado. A economia [e
também a resistência na maioria dos casos] é, entre outros fatores, o que diferencia,
para projetos pequenos ou de menor magnitude, o que é feito por um engenheiro
capacitado e o executado por alguém apenas com conhecimento prático.
20
Figura 1.4 – Torre Eiffel
A durabilidade do concreto armado, portanto, apesar de desejada, não era
contemplada de forma explícita nos projetos e na execução do mesmo, pois a mesma
era compreendida e introduzida nas normas de forma subjetiva. E isto se deu pelo fato
de, segundo Brandão (1988), durante muito tempo, o concreto ter sido considerado um
material extremamente durável, opinião esta baseada em obras muito antigas ainda em
bom estado de conservação.
Figura 1.5 – Arco do Triunfo
21
Segundo Mehta e Monteiro (1994, p.120), hoje em dia é usualmente aceito que,
ao projetarem-se estruturas, as características de durabilidade dos materiais em
questão devam ser avaliados com o mesmo cuidado que outros aspectos, tais como
propriedades mecânicas e custo inicial.
Figura 1.6 – Estátua da Liberdade
Em vista disto, projetar estruturas resistentes e econômicas não mais satisfazem
aos requisitos básicos da estrutura de concreto armado. Ao se projetar e executar
estruturas de concreto armado, portanto, devem-se dar os mesmos esforços, tempo e
empenho não só a se obter estruturas seguras e econômicas, mas também duráveis.
Figura 1.7 – Cristo Redentor
22
1.1 JUSTIFICATIVA
As últimas décadas têm sido evidenciadas pela necessidade crescente de se
obter estruturas duráveis. Durante toda a história do uso do concreto armado como
material estrutural o aspecto durabilidade foi contemplado de forma subjetiva, ou seja, a
durabilidade foi aceita como inerente ao próprio material.
Após a ocorrência contínua e progressiva de patologias diversas no concreto,
observações de campo e estudos específicos mostraram que estruturas novas, mesmo
construídas segundo a boa norma, fissuravam mais que o normal, causando precoce
deterioração no concreto diminuindo, assim, sensivelmente a sua vida útil.
As normas nacionais e internacionais têm sido revistas e adequadas a esta nova
realidade. A variedade de possibilidade de deterioração conforme o ambiente e meio
agressor torna a questão bastante abrangente necessitando, portanto, de estudos
contínuos e mais elaborados de modo a auxiliar projetistas, construtores e usuários a
torná-la uma edificação durável.
1.2 R
ELEVÂNCIA
O concreto armado é o material de construção, com fins estruturais, mais usado
em todo o mundo. Durante anos o cálculo das estruturas de concreto foi regido pela
resistência final e a economia. A maioria dos estudos que são feitos até hoje visa
melhores métodos de cálculo e formulações mais realistas obtendo,
conseqüentemente, maior economia.
Publicações nacionais e internacionais, entretanto, têm mostrado a necessidade
e a relevância de se projetar visando também à durabilidade. A etapa de projeto é o
primeiro passo para se obter estruturas duráveis e o conhecimento dos critérios e
diretrizes que visam à durabilidade como, por exemplo, o de se adotar corretamente a
classe ambiental em que a estrutura será executada é de fundamental importância.
Este trabalho tem o objetivo de mostrar claramente a importância e a
necessidade de se introduzir e aplicar os conceitos da durabilidade do concreto armado
e, em especial, as diretrizes e os critérios para se obter uma durabilidade compatível à
23
vida útil da estrutura. Com base nas análises realizadas serão feitas propostas de
novas classes ambientais e cobrimentos de acordo com o consenso de viabilidade.
1.3 E
STRUTURA DO TRABALHO
No capítulo 2 faz-se uma revisão bibliográfica da durabilidade do concreto
armado focalizando os materiais componentes do concreto e sob a ótica global da
estrutura.
No capítulo 3 são apresentados os principais mecanismos de deterioração do
concreto, tanto por ações químicas, físicas ou mecânicas, assim como a corrosão das
armaduras do concreto. Recomendações são feitas para diminuir os seus riscos.
No capítulo 4, estuda-se a durabilidade sob o foco das diretrizes e dos critérios
da Norma NBR 6118:2003, fazendo um paralelo com outras Normas internacionais,
principalmente o EUROCODE 2:2003.
No capítulo 5 são realizadas duas aplicações baseadas nos conceitos descritos
ao longo deste trabalho e, em especial, nas diretrizes e critérios comentados no
capítulo 5.
No capítulo 6 é feita uma avaliação do resultado alcançado e apresentam-se as
conclusões finais do estudo feito. Sugestões para temas futuros são apresentadas.
2 - FUNDAMENTOS DA DURABILIDADE DO CONCRETO ARMADO
O concreto é um dos mais antigos materiais estruturais. Deve-se ressaltar,
entretanto, que a primeira associação do ferro com a pedra natural aparece na
estrutura da Igreja de Santa Genoveva em 1770, hoje Pantheon, em Paris.
Em 1824, o inglês Joseph Aspin desenvolve e patenteia o cimento Portland,
queimando calcário e argila finamente moídos e misturados a altas temperaturas até
que o gás carbônico (CO
2) fosse retirado. A denominação “Portland” foi devido à
semelhança, após endurecido, com o calcário encontrado na ilha de Portland.
Em 1855, Joseph Louis Lambot exibe na exposição Universal de Paris uma
pequena embarcação que pode ser considerada como o embrião do concreto
armado, sendo que suas experiências e ensaios datavam de 1848.
Monier, um comerciante e horticultor, presente à exposição, passou a fabricar
e vender vasos de cimento armado. Entretanto, existem divergências quanto à
ordem cronológica dos fatos.
O mais certo é que Monier, um jardineiro, que fabricava vasos e tubos de
concreto desde 1849, considerando seus vasos muito frágeis, começa a mergulhar
na massa de concreto uma malha de aço. Em 1867, Monier havia avançado tanto
em seu método que o patenteou e o exibiu na Exposição de Paris daquele ano. A
sua primeira patente parece ter sido a construção de reservatórios. Entre 1868 e
1873 executou primeiro um reservatório de 25m
3
e, mais tarde, outros dois com
180m
3
e 200m
3
suportado por colunas. Em 1875 construiu uma ponte com 16,5 m
de vão. Monier é considerado um dos grandes disseminadores da técnica de se
construir com concreto armado.
Em 1884, os direitos sobre a patente de Monier são adquiridos por Wayss, um
engenheiro civil e construtor alemão que rapidamente empreende uma série de
estudos experimentais, auxiliado por outro engenheiro, Matthias Koenen. Em 1887,
25
eles publicam Das System Monier, o primeiro livro alemão sobre os fundamentos do
concreto armado.
2.1 HISTÓRICO DA MUDANÇA NAS PROPRIEDADES DOS CIMENTOS E AS CONSEQÜÊNCIAS NA
SUA DURABILIDADE
A crise do petróleo que estourou em 1973 surpreendeu a indústria mundial de
cimento, que se viu forçada a optar por alternativas de menor gasto com
combustíveis, sob pena de o produto perder a competitividade no mercado, pelos
seus elevados preços. Realmente, a queima de combustível para a calcinação do
calcário é muito grande, e, de pronto, ficaram condenadas todas as indústrias que
usavam matéria prima úmida (por exigir maior queima), como aconteceu com a
fábrica de cimento Salvador (Bahia, Brasil), que utilizava calcário marinho, extraído
de jazidas no fundo da baía de Todos os Santos, e que fechou suas portas,
imediatamente.
Uma das soluções encontradas foi a de acrescentar ao cimento portland, em
sua fabricação, aditivos minerais como pozolanas, escórias de alto forno e cinzas
volantes. A dificuldade é que essas adições reduzem o calor de hidratação do
cimento ao custo de um prolongado tempo de endurecimento da pasta, e essa
inconveniência impediria que os cimentos atendessem às resistências especificadas
em Norma e requeridas pelo mercado, principalmente aos 7 dias de idade.
A solução encontrada nas pesquisas para que os cimentos compostos
(blended cements) superassem essa deficiência foi a de aumentar a finura do
cimento e o teor de silicato tricálcico C
3
S, incrementando a reatividade química do
material (com aumento do calor de hidratação) e acelerando o endurecimento da
pasta, para satisfazer às normas técnicas.
O resultado foi muito favorável à resistência à compressão das misturas,
embora esse não tenha sido o objetivo do aumento da finura. Todos ficaram muito
satisfeitos: os projetistas, que especificam sempre resistência, pois puderam
especificar classes mais altas; os construtores, que compram resistência, pois
passaram a usar menos cimento para obter a mesma classe de concreto; e,
naturalmente, os fornecedores de cimento, pelo maior prestígio auferido pelo
produto. Para se ter uma idéia, o mesmo concreto (mesmo traço) que, na década de
26
70, produzia um concreto C15, hoje, com os cimentos atuais (CP II/III), produz-se o
concreto C25, o qual deveria ser na classe inicial, o produto de menor qualidade
para uso em estrutura de concreto armado.
A grande finura dos cimentos como solução para viabilizar o uso dos aditivos
minerais na fabricação dos cimentos tornou-se, de repente, um instrumento de
conquista de preferência e de mercado.
A partir, contudo, da década de 90, observações de campo começaram a
identificar que os concretos atuais fissuravam mais e se deterioravam
prematuramente, em presença de agentes agressivos. A culpa inicialmente foi
atribuída aos construtores, depois aos cobrimentos (projetistas), até identificar-se
que mesmo estruturas bem projetadas e construídas na observância dos requisitos
da boa técnica e qualidade, deterioravam-se na presença de agentes agressivos
com menos de 20 anos de idade.
A literatura técnica tem relatado as alterações radicais das características dos
cimentos a partir da década de 80 e a relação existente entre essas alterações com
a maior fissurabilidade dos concretos e sua maior vulnerabilidade aos agentes
agressivos.
Para Helene (2004), nos últimos anos tem crescido o número de estruturas de
concreto armado com manifestações patológicas, principalmente com problemas de
corrosão de armaduras, como resultado do envelhecimento precoce das construções
existentes.
A perda da proteção natural oferecida à armadura pelo cobrimento de
concreto pode ocorrer através de diversos mecanismos sendo preponderantes a
despassivação por carbonatação e por elevadas concentrações de íons cloreto.
Essas constatações, tanto no âmbito nacional quanto no âmbito internacional,
demonstraram que as exigências e recomendações existentes nos textos das
principais normas de projeto e execução de estruturas de concreto vigentes na
década de 80 eram insuficientes. A década de 90 caracterizou-se, então, por um
forte movimento nacional e internacional de introdução do conceito de vida útil no
projeto das estruturas de concreto.
Para Neville (2001 apud Isaia, 2001), grande parte dos problemas
relacionados com a falta de durabilidade das estruturas atuais é devida à mudança
das propriedades dos cimentos que se tornaram mais finos com o objetivo de
fornecer resistências mais elevadas à baixa idade, para remoção das fôrmas mais
27
precocemente, expondo as faces do concreto ao meio ambiente com idade muito
jovem.
Shah et al (2000 apud Isaia, 2001) também enfatizam que grande parte dos
problemas de durabilidade das estruturas de concreto estão relacionados
diretamente à permeabilidade à água e íons. Baixa permeabilidade e alta
resistência, entretanto, não são suficientes para assegurar concreto durável por
causa da possibilidade de fissuração precoce.
De fato, o conjunto de alterações feitas no cimento na década de 70 foi a
principal causa da diminuição da durabilidade dos concretos atuais. Convém,
porém, ressaltar que esta não é a única causa de haver concretos deteriorados
prematuramente. Outras causas, tais como, má concepção, erro de projeto, erro de
execução e falta de manutenção preventiva também são fatores que contribuem
para o grande número de estruturas deterioradas tão precocemente.
2.2 D
EFINIÇÕES
No estudo da durabilidade das estruturas de concreto armado e do material
concreto algumas propriedades têm maior relevância e interagem entre si. Portanto,
é necessário definir claramente alguns termos que possam auxiliar na busca de uma
melhor compreensão do assunto, a fim de se analisá-los de forma correta, bem
como as suas diferenças e interações.
2.2.1 Durabilidade
Atualmente, um dos principais aspectos associados á durabilidade do
concreto é sua relação com o ambiente. Realmente, o ambiente em que o concreto
está inserido é um dos fatores, se não o principal, responsáveis pela deterioração do
concreto.
Segundo Mehta e Monteiro (1994, p. 120), nenhum material é inerentemente
durável; como um resultado de interações ambientais, a microestrutura e,
consequentemente, as propriedades dos materiais mudam com o passar do tempo.
Admite-se que um material atingiu o fim da sua vida útil quando as suas
28
propriedades, sob dadas condições de uso, deterioram a um tal ponto que a
continuação do uso deste material é considerada como insegura ou antieconômica.
De acordo com o CEB (1997), durabilidade é a capacidade de uma estrutura
apresentar o desempenho requerido durante o período de serviço pretendido, sob a
influência dos fatores de degradação incidentes.
Segundo o comitê 201 do ACI, durabilidade do concreto de cimento Portland
é definida como a sua capacidade de resistir à ação das intempéries, ataques
químicos, abrasão ou qualquer outro processo de deterioração.
O capítulo 6 da norma NBR 6118:2003 - Diretrizes para durabilidade das
estruturas de concreto - no seu item 6.1 - Exigências de durabilidade, diz que as
estruturas de concreto devem ser projetadas e construídas de modo que sob as
condições ambientais previstas na época do projeto e quando utilizadas conforme
preconizado em projeto conservem suas segurança, estabilidade e aptidão em
serviço durante o período correspondente à sua vida útil.
2.2.2 Vida útil
A vida útil de um material está intimamente ligada a um tempo determinado, o
qual pode ser explícito ou implícito e, durante este tempo, o material deve manter as
suas características e propriedades mínimas necessárias ao seu bom desempenho.
O item 6.2.1 da NBR 6118:2003 diz que por vida útil de projeto, entende-se o
período de tempo durante o qual se mantêm as características das estruturas de
concreto, desde que atendidos os requisitos de uso e manutenção prescritos pelo
projetista e pelo construtor, conforme 7.8 e 25.4, bem como de execução dos
reparos necessários decorrentes de danos acidentais.
Para Brandão (1998, p. 94), a vida útil é definida como o período de tempo
durante o qual as estruturas de concreto mantêm condições satisfatórias de uso,
preenchendo as finalidades para as quais foi projetada, sem a necessidade de
manutenção dispendiosa.
Segundo Helene (2004), as estruturas de concreto devem ser projetadas,
construídas e utilizadas de modo que, sob as condições ambientais previstas e
respeitadas as condições de manutenção preventiva especificadas no projeto,
conservem sua segurança, estabilidade, aptidão em serviço e aparência aceitável,
29
durante um período pré-fixado de tempo, sem exigir medidas extras de manutenção
e reparo.
Tomando como referência o CEB / FIP Model Code 1990, por vida útil
entende-se o período de tempo no qual a estrutura é capaz de desempenhar as
funções para as quais foi projetada sem necessidade de intervenções não previstas,
ou seja, as operações de manutenção previstas e especificadas ainda na fase de
projeto, fazem parte do período total de tempo durante o qual se admite que a
estrutura está cumprindo bem sua função.
2.2.3 Desempenho
Segundo o CEB, desempenho é o comportamento de um produto em serviço,
sob condições de real funcionamento ou uso, com pleno atendimento às exigências
do usuário.
Deste modo, os conceitos de desempenho, durabilidade e vida útil estão
totalmente associados, pois a durabilidade está ligada à capacidade de conservar
suas propriedades por um determinado tempo. Enquanto houver conservação das
propriedades, o bom desempenho estará satisfeito e o tempo determinado é a vida
útil.
2.3 M
ECANISMOS DE TRANSPORTE DE FLUIDOS NO CONCRETO
O concreto, por ser uma estrutura porosa, permite a passagem para o seu
interior de fluidos diversos. Os principais fluidos, com respeito à sua durabilidade,
são a água, pura ou com íons agressivos, o dióxido de carbono e o oxigênio.
Dos mecanismos de transporte possíveis na massa de concreto, três são
analisados de modo sucinto, pois são os maiores responsáveis pela deterioração do
concreto quando não tratados devidamente. Estes mecanismos são: difusão,
sucção capilar e escoamento. Neste trabalho, o termo permeabilidade será usado
para o movimento global dos fluidos, a não ser que, por questão de clareza, haja
necessidade de utilização de outro termo.
30
No entanto, antes de descrever-se estes mecanismos, há de se comentar
sobre os fatores pelos quais os mecanismos se desenvolvem, a saber, a porosidade
e a fissurabilidade do concreto.
A porosidade, normalmente expressa em porcentagem, é a medida da
proporção do volume total do concreto ocupada pelos poros. A forma e os tipos dos
poros interferem diretamente na permeabilidade do concreto, por exemplo, se os
mesmos forem grandes e estiverem interligados, a permeabilidade do concreto será
alta, caso contrário não.
Muitas são as causas possíveis para que haja fissuras no concreto. Uma
dessas é que o concreto armado, em condições normais de uso, sempre terá
fissuras na sua região de tração, pois o mesmo possui uma reconhecida baixa
resistência à tração. A norma admite e regulamenta o limite de abertura dessas
fissuras.
Outros motivos de fissuração do concreto estão associados a falhas de
projeto, de execução ou manutenção.
Para haver a difusão de um fluido, é necessário que haja um gradiente de
concentração. A sua propriedade importante no concreto é a difusibilidade.
O conhecimento específico da difusão de gases diz respeito, principalmente,
ao dióxido de carbono e ao oxigênio, pois apresentam grande interesse: o primeiro
leva à carbonatação da pasta de cimento hidratado e o segundo torna possível a
corrosão da armadura do concreto.
A função da difusão que se aplica ao vapor de água e ao ar pode ser
expressa pela primeira lei de Fick:
L
c
DJ
=
(2.1)
onde:
c / L = gradiente de concentração, kg/m
4
ou moles/m
4
;
D = coeficiente de difusão, m
2
/s ;
J = velocidade de transporte de massa kg/m
2
.s ou moles/m
2
.s ;
L = espessura do elemento, m.
31
O estudo da sorção é relevante, pois a mesma é o resultado de movimentos
capilares nos poros do concreto abertos ao meio ambiente. Portanto, somente pode
ocorrer sucção capilar em concretos completamente secos ou completamente
saturados.
Em ensaios laboratoriais, pode-se demonstrar que existe uma relação do tipo:
(2.2)
5,0
.tSi =
onde:
i = acréscimo de massa, a partir do início do ensaio, em g/mm
2
por
unidade de área da seção transversal em contato com a água;
t = tempo em minutos, no momento da determinação da massa;
S = sorção em mm/min
0,5
.
Enquanto a difusão ocorre por uma diferença de concentração, a
permeabilidade se refere ao escoamento sob um diferencial de pressão. Assim, a
permeabilidade é definida como a propriedade que governa a taxa de fluxo de um
fluido para o interior de um sólido poroso. O coeficiente de permeabilidade (K), para
fluxo contínuo, segue a lei de Darcy pela expressão:
µ
L
AH
K
dt
dq .
.
= (2.3)
onde:
dq/dt = taxa de fluxo do fluido [m3/s] ;
A = área da seção transversal do elemento [m2] ;
∆Η
= diferença de altura da coluna hidráulica através do elemento [m] ;
L = espessura do elemento [m] ;
µ
= viscosidade dinâmica do fluido [N.s/m2].
Com relação à permeabilidade do concreto, através de estudos feitos por
diversos autores, pode-se chegar às seguintes observações:
32
- A permeabilidade da argamassa ou concreto é maior que a permeabilidade da
pasta de cimento correspondente. A explicação para este fato se dá pela
existência das microfissuras na zona de transição da pasta de cimento com o
agregado. (MEHTA E MONTEIRO, 1994, p. 127);
- Para uma mesma relação água/cimento a permeabilidade da pasta de cimento
reduz com a evolução da hidratação (Tabela 2.1);
- A permeabilidade dos concretos é influenciada pela relação água/cimento e o
tamanho do agregado (Figura 2.1);
- Para um mesmo grau de hidratação do cimento, o coeficiente de permeabilidade
aumenta com o aumento relação água/cimento (Figura 2.2);
- Para uma mesma relação água/cimento, variando o índice de consistência, a
penetração da água no concreto aumenta com o aumento do consumo de
cimento. (VILASBOAS, 2004, p. 203);
- Como já foi mencionada, a permeabilidade do concreto não é uma função
simples da porosidade, mas depende também das dimensões, distribuição,
forma, tortuosidade e continuidade dos poros.
Segundo Mehta e Monteiro (1994, p.173), uma vez que água, oxigênio e íons
cloreto desempenham papéis importantes na corrosão da armadura e fissuração, é
claro que a permeabilidade do concreto é a chave para controlar os vários processos
envolvidos no fenômeno.
Tabela 2.1 – Redução da permeabilidade da pasta de cimento (relação
água/cimento 0,7) com a evolução da hidratação
Idade (dias) Coeficiente de permeabilidade, K [m/s]
Fresco 2.10
-6
5 4.10
-10
6 1.10
-10
8 4.10
-11
13 5.10
-12
24 1.10
-12
Final 6.10
-13
Fonte: NEVILLE 1997, p. 491
33
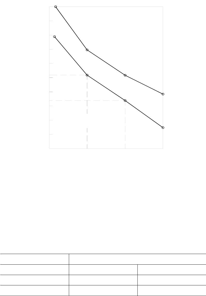
De acordo com Neville (1997, p. 490), a Figura 2.2 mostra valores obtidos
com pastas nas quais 93 % do cimento se hidratou. A inclinação da curva é
consideravelmente menor para pastas com relação água/cimento menor do que
cerca de 0,6, isto é, pastas nas quais alguns dos capilares foram segmentados. Na
Figura 2.2 pode ser visto que uma redução da relação água/cimento, por exemplo,
de 0,7 para 0,3, reduz o coeficiente de permeabilidade de cerca de 3 ordens de
grandeza. Igual redução ocorre em uma pasta com relação 0,7 entre as idades de 7
dias e um ano.
Figura 2.1 – Influência da relação água/cimento e da dimensão máxima do
agregado na permeabilidade do concreto.
Fonte: METHA E MONTEIRO 1994, p. 127
34
Figura 2.2 – Relação entre permeabilidade e relação água/cimento para pastas
maduras de cimento (93 % do cimento hidratado)
0
20
40
60
80
100
120
140
0,2 0,5 0,6 0,7 0,80,3 0,4
C
o
e
f
i
c
i
e
n
t
e
d
e
p
e
r
m
e
a
b
i
l
i
d
a
d
e
-
1
0
m
/
s
-
1
4
Relação água/cimento
Fonte: NEVILLE 1997, p. 490
2.4 A
ESTRUTURA DO CONCRETO
O concreto, amplamente utilizado na maioria das construções urbanas, é um
material altamente complexo e de estrutura heterogênea. Faz-se necessário,
portanto, um estudo adequado e detalhado da sua estrutura e o conhecimento das
relações estrutura-propriedade para se obter o controle de algumas propriedades e o
entendimento de seus principais elementos.
A estrutura do concreto é estudada sob o aspecto dos materiais constituintes
e sob a análise da existência de três fases distintas: a fase agregado, a estrutura da
pasta endurecida e a zona de transição.
O estudo separado de cada componente do concreto é importante para um
melhor entendimento das funções e propriedades de cada material. Deve-se, porém,
entender que as análises global, holística e sistêmica são necessárias para o estudo
e conhecimento do material concreto.
35
2.4.1 Cimento Portand
É um aglomerante hidráulico obtido pela moagem de clínquer Portland ao
qual se adiciona, durante a operação, a quantidade necessária de uma ou mais
formas de sulfato de cálcio. O clínquer Portland é um produto constituído em sua
maior parte de silicatos de cálcio com propriedades hidráulicas (NBR 5732:1991).
2.4.1.1 Tipos e propriedades
Os tipos de cimento produzidos no Brasil, suas siglas e suas respectivas
normas de regulamentação são:
- cimento Portland comum – CP I (NBR 5732);
- cimento Portland comum com adições – CP I-S (NBR 5732);
- cimento Portland composto com escória – CP II-E (NBR 11578);
- cimento Portland composto com pozolana – CP II-Z (NBR 11578);
- cimento Portland composto com fíler – CP II-F (NBR 11578);
- cimento Portland de alto-forno – CP III (NBR 5735);
- cimento Portland pozolânico – CP IV (NBR 5736);
- cimento Portland de alta resistência inicial – CP V-ARI (NBR 5733);
- cimento Portland resistentes a sulfatos – RS (NBR 5737).
De acordo com a norma NBR 5737:1991, os cimentos Portland resistentes a
sulfatos são designados pela sigla original de seu tipo, acrescida de “RS”. Por
exemplo: CP I-S-32 RS, CP III-32 RS, CP V-ARI RS. São considerados resistentes
aos sulfatos:
a) os cimentos cujo teor de C
3
A do clínquer seja igual ou inferior a 8% e cujo
teor de adições carbonáticas seja igual ou inferior a 5% da massa do aglomerante
total e/ou;
b) os cimentos Portland de alto-forno (CP III) cujo teor de escória granulada
de alto-forno esteja entre 60% e 70% e/ou;
c) os cimentos Portland pozolânicos (CP IV) cujo teor de materiais
pozolânicos esteja entre 25% e 40% e/ou;
36
d) os cimentos que tenham antecedentes com base em resultados de ensaios
de longa duração ou referências de obras que comprovadamente indiquem
resistência a sulfatos.
Os compostos principais e secundários do cimento, cujas determinações são
feitas a partir de uma análise química, são: cal (CaO), sílica (SiO
2
), alumina (Al
2
O
3
),
óxido de ferro (Fe
2
O
3
), magnésia (MgO), álcalis (N
2
O e K
2
O) e sulfatos (SO
3
).
Usa-se, na química do cimento, uma notação própria e simplificada para os
principais compostos:
CaO
Æ C
SiO
2
Æ S
Fe
2
O
3
Æ F
Al
2
O
3
Æ A
Segundo Mehta e Monteiro (1994, p. 23), a composição química dos minerais
principais do clínquer corresponde aproximadamente a C
3
S, C
2
S, C
3
A e C
4
AF.
A Tabela 2.2 apresenta os teores dos componentes dos diversos cimentos
Portland e suas classes de resistências. Essas classes consistem no limite inferior
da resistência à compressão aos 28 dias de idade em MPa.
A Tabela 2.3 apresenta os principais compostos e suas respectivas
quantidades para o cimento Portland comum.
Tabela 2.2 - Teores dos componentes dos diversos tipos de cimento Portland
Componentes (% em massa)
Sigla
Classe de
resistência
Clínquer +
sulfatos de
cálcio
Escória
granulada de
alto-forno
Material
pozolânico
Material
carbonático
CP I 25 – 32 – 40 100 0
CP I-S 25 – 32 – 40 99-95 1-5
CP II-E 25 – 32 – 40 94-56 6-34 - 0-10
CP II-Z 25 – 32 – 40 94-76 - 6-14 0-10
CP II-F 25 – 32 – 40 94-90 - - 0-10
CP III 25 – 32 – 40 65-25 35-70 - 0-5
CP IV 25 – 32 85-45 - 15-50 0-5
CP V - 100-95 - - 0-5
Fontes: NBR 5732, NBR 5733, NBR 5735, NBR 5736 e NBR 11578
37
Tabela 2.3 – Principais compostos do cimento e suas quantidades
Compostos
Notação química
simplificada
Quantidades ( % )
Silicato Tricálcico C
3
S 45 e 60
Silicato Bicálcico C
2
S 15 e 30
Aluminato Tricálcico C
3
A 6 e 12
Ferro-Aluminato Tetracálcico C
4
AF 6 e 8
Fonte: Baseado em Mehta e Monteiro 1994, p. 23
Segundo Petrucci (1978, p. 11), as características destes compostos, em
resumo, são os constantes na Tabela 2.4.
As propriedades dos compostos mais importantes são a resistência mecânica,
a intensidade ou velocidade da reação e o calor desenvolvido ou de hidratação.
Tabela 2.4 – Características dos compostos principais do cimento
PROPRIEDADE C
3
S C
2
S C
3
A C
4
AF
Resistência boa boa fraca fraca
Intensidade de reação média lenta rápida rápida
Calor desenvolvido médio pequeno grande pequeno
Fonte: PETRUCCI 1978, p. 11
Segundo Mehta e Monteiro (1994, p. 198), além da composição, a finura do
cimento influencia a sua reação com a água. Geralmente, quanto mais fino o
cimento, mais rápido ele reagirá. Para uma dada composição, a taxa de reatividade
e, portanto, de desenvolvimento da resistência, pode ser aumentada através de uma
moagem mais fina do cimento; porém, o custo da moagem e o calor liberado na
hidratação estabelecem alguns limites para a finura.
Como mostrado na Tabela 2.4, os aluminatos hidratam muito mais rápido do
que os silicatos. Conclui-se, com isto, que as reações de hidratação envolvendo os
aluminatos determinam o enrijecimento e a
pega da pasta do cimento Portland. Já
os silicatos, que compõem cerca de 75% do cimento Portland comum, têm um papel
fundamental nas resistências inicial e final.
38
Como apresentado na Tabela 2.2, os diversos tipos de cimentos são
fabricados a partir de percentuais diferentes dos componentes do cimento. Além
disto, com o conhecimento das reatividades relativas dos compostos com a água e
dos produtos de hidratação é possível modificar as características dos cimentos
através da alteração das proporções destes compostos. Por exemplo: para se obter
alta resistência inicial, o cimento deve ter grande quantidade de C
3
S e C
3
A.
2.4.1.2 A estrutura da pasta endurecida
Segundo Mehta e Monteiro (1994, p. 23), quando o cimento é disperso em
água, o sulfato de cálcio e os compostos de cálcio formados a alta temperatura
tendem a entrar em solução, e a fase líquida torna-se rapidamente saturada em
várias espécies iônicas. Como resultado das combinações entre cálcio, sulfato,
aluminato e íons hidroxila, após alguns minutos de hidratação do cimento Portland,
aparecem os primeiros cristais aciculares de um sulfoaluminato de cálcio hidratado
chamado etringita. Algumas horas mais tarde, cristais prismáticos grandes de
hidróxido de cálcio e pequenos cristais fibrilares de silicatos de cálcio hidratado
começam a preencher o espaço vazio ocupado inicialmente pela água e pelas
partículas de cimento em dissolução. Após alguns dias, dependendo da proporção
alumina-sulfato do cimento Portland, a etringita pode tornar-se instável e decompor-
se para formar o monossulfato hidratado, que tem a forma de placas hexagonais. A
morfologia em placa hexagonal é também característica dos aluminatos de cálcio
hidratados, os quais se formam em pastas hidratadas de cimentos Portland, tanto
com baixo teor de sulfato como de elevado teor de C
3
A.
Também de acordo com Silva (1995, p. 30), logo após a mistura do cimento
com a água, forma-se uma pasta gelatinosa muito deformável, mas que após algum
tempo se torna rígida, pela cristalização de agulhas ocas, uma espécie de tubos
microscópicos, que se formam a partir dos grãos de cimento. Esses tubos se
dispõem em feixes, que vão se tornando compactos à medida que as reações
prosseguem.
A pasta de cimento Portland, considerada uma estrutura porosa, é, portanto,
constituída de poros de gel e capilares.
39
A parte sólida é constituída por quatro fases: a fase silicato de cálcio
hidratado (C-S-H) que constitui de 50 a 60 % do volume de sólidos da pasta
hidratada e é, conseqüentemente, a mais importante para a determinação das
propriedades da pasta; a fase hidróxido de cálcio (Ca(OH)
2
), também chamado de
portlandita que ocupa de 20 a 25 % do volume de sólidos da pasta hidratada; a fase
sulfoaluminato de cálcio que ocupa cerca de 15 a 20 % do volume da pasta e grãos
de clínquer não hidratado.
Quanto ao sulfoaluminato de cálcio pode-se dizer que, de acordo com Mehta
e Monteiro (1994, p. 26), durante os primeiros estágios da hidratação, a relação
iônica sulfato/alumina da solução geralmente favorece a formação de trissulfato
hidratado, C
6
AS
3
H
32
, também chamado etringita, o qual forma cristais prismáticos
aciculares. Em pastas de cimento Portland comum, a etringita transforma-se
eventualmente em monosulfato hidratado, C
4
ASH
18
, que se cristaliza em placas
hexagonais. A presença de monossulfato hidratado em concreto de cimento
Portland torna o concreto vulnerável ao ataque de sulfato.
Além dos sólidos descritos anteriormente, a pasta contém diferentes tipos de
vazios, os quais têm uma influência importante em suas propriedades. Os tipos de
vazios são os espaços interlamelares no C-S-H, os vazios capilares e o ar
incorporado. Nos dois primeiros casos, os vazios são preenchidos pela água não
utilizada na hidratação e não evaporada.
2.4.1.3 Permeabilidade da pasta de cimento
Em uma pasta endurecida de cimento, o tamanho e continuidade dos poros a
qualquer ponto durante o processo de hidratação irão controlar o coeficiente de
permeabilidade. A água adicionada é indiretamente responsável pela
permeabilidade da pasta endurecida de cimento porque o seu teor determina
primeiramente o espaço total e, após, o espaço vazio, depois que a água for
consumida pelas reações de hidratação do cimento ou evaporação para o ambiente.
Em geral, quando a relação água/cimento é alta e o grau de hidratação é
baixo, a pasta de cimento terá alta porosidade capilar; ela conterá um número
relativamente elevado de poros grandes e bem conectados e, portanto, o seu
coeficiente de permeabilidade será alto.
40
A Tabela 2.5 mostra o tempo para a descontinuidade da rede capilar em
relação à água/cimento (a/c).
Tabela 2.5 – tempo x a/c para a descontinuidade da rede capilar
Relação a/c Tempo para descontinuidade (dias)
0,4 3
0,5 14
0,6 180
0,7 365
Fonte: Baseado em MEHTA e MONTEIRO 1994, p. 125
Conforme a hidratação progride, a maioria dos poros é reduzida a tamanhos
menores e também fecharão suas interconexões. Portanto, a permeabilidade
diminui. O coeficiente de permeabilidade da pasta, quando a maioria dos vazios
capilares é pequena e não interconectados, é da ordem de 10
–12
cm/s. Observa-se
que, em pastas normais a descontinuidade da rede capilar é, geralmente, alcançada
quando a porosidade capilar está por volta de 30% (MEHTA; MONTEIRO, 1994
apud SILVA, 1995, p.31).
2.4.1.4 Durabilidade
Os cimentos Portland pozolânico (CP IV) e de alto-forno (CP III) com teor de
escória maior que 60% são, comprovadamente, mais duráveis que os demais, pois
possuem maior resistência a agentes agressores como os sulfatos, os ambientes
ácidos e a ação da sílica ativa. Esta resistência é devida à combinação de uma
melhor impermeabilidade, dada uma mesma relação água/cimento e grau de
hidratação, e redução da quantidade de hidróxido de cálcio (Ca(OH)
2
) na pasta
endurecida do cimento, o qual é liberado em grande quantidade durante a
hidratação do silicato tricálcico (C
3
S).
Quanto maior a quantidade de pozolana ou de escória de alto forno, menor é
a quantidade do clínquer do cimento e, conseqüentemente, menor é a quantidade
total de hidróxido de cálcio e maior a resistência final. Isto se dá porque o hidróxido
de cálcio pode ser facilmente removido da massa do concreto em presença de
41
agentes agressores tais como águas percolantes, enfraquecendo o concreto e
abrindo o caminho para que outros agentes possam deteriorá-lo mais facilmente.
2.4.2 Agregados para concreto
De acordo com Mehta e Monteiro (1994. p. 8), o agregado é um material
granular, tais como a areia, o pedregulho, a pedra britada ou a escória de alto forno,
usado com um meio cimentante, para formar um concreto ou uma argamassa de
cimento hidráulico.
O agregado miúdo é uma areia de origem natural ou resultante do britamento
de rochas estáveis, ou mistura de ambas, cujos grãos passam pela peneira ABNT
4,8 mm e ficam retidos na peneira ABNT 0,075 mm (NBR 7211. 1983).
O agregado graúdo é um pedregulho ou a brita proveniente de rochas
estáveis, ou mistura de ambos, cujos grãos passam por uma peneira de malha
quadrada com abertura nominal de 152 mm e ficam retidos na peneira ABNT 4,8 mm
(NBR 7211:1983).
Os agregados devem ser compostos por grãos de minerais duros, compactos,
duráveis e limpos e não devem conter substâncias de natureza e quantidade que
possam afetar a hidratação e o endurecimento do cimento, a proteção da armadura
contra a corrosão, a durabilidade ou, quando for requerido, o aspecto visual externo
do concreto (NBR 7211:1983).
2.4.2.1 A estrutura da fase agregado
A fase agregado é predominantemente responsável pela massa unitária,
módulo de elasticidade e estabilidade dimensional do concreto. Estas propriedades
do concreto dependem em larga extensão da densidade e resistência do agregado,
que, por sua vez, são determinadas mais por características físicas do que por
características químicas da estrutura do agregado. Em outras palavras, a
composição química e mineralógica das fases sólidas do agregado são comumente
menos importantes do que as características físicas, tais como: volume, tamanho e
distribuição de poros (METHA; MONTEIRO, 1994, p. 21).
42
2.4.2.2 Importância e propriedades
Os agregados desempenham um importante papel nas argamassas e
concretos na determinação do custo e da trabalhabilidade das misturas. Exercem
boa influência sobre algumas características importantes, tais como, a retração, o
aumento da resistência aos esforços mecânicos etc.
Para Cánovas (1984. p.48), os agregados entram no concreto numa
proporção que oscila entre 70 e 80 por cento do seu volume. Não é de estranhar,
portanto, que sua influência tenha um grande peso nas propriedades do concreto.
Segundo Mehta e Monteiro (1994. p. 255), o conhecimento de certas
características dos agregados (isto é, massa especifica, composição granulométrica
e teor de umidade) é exigência para a dosagem dos concretos. A porosidade ou a
massa especifica, a composição granulométrica, a forma e textura superficial dos
agregados determinam as propriedades dos concretos no estado fresco. Além da
porosidade, a composição mineralógica do agregado afeta a sua resistência à
compressão, dureza, módulo de elasticidade e sanidade, que por sua vez influencia
várias propriedades do concreto endurecido contendo o agregado.
Geralmente, as propriedades dos agregados são discutidas em duas partes
com base nas propriedades que afetam as proporções de dosagem e o
comportamento do concreto fresco e endurecido. Devido à considerável
sobreposição dos dois aspectos, é mais apropriado dividir as propriedades nos
seguintes grupos, baseados na microestrutura e condicionantes de fabricação:
- características dependentes da porosidade: massa específica, absorção de
água, resistência, dureza, módulo de elasticidade e sanidade;
- características dependentes das condições prévias de exposição e
condicionantes de fabricação: tamanho, forma e textura das partículas;
- características dependentes da composição química e mineralógica: resistência,
dureza, módulo de elasticidade e substancias deletérias presentes.
2.4.2.3 Permeabilidade
Comparado à porosidade capilar de 30 a 40 por cento de pastas típicas de
cimento em concreto endurecido, o volume de poros na maioria dos agregados
43
naturais está normalmente abaixo de 3 por cento e raramente excede 10 por cento.
Espera-se, portanto, que a permeabilidade do agregado seja muito menor do que a
da pasta de cimento típica. Este pode não ser necessariamente o caso. A razão
pela qual alguns agregados com baixa porosidade, na ordem de 10 por cento,
podem ter permeabilidade muito maior do que pastas de cimento é que o tamanho
dos poros capilares nos agregados é normalmente muito maior (METHA;
MONTEIRO, 1994, p. 125).
2.4.2.4 Durabilidade
Segundo Petrucci (1978. p. 68), os agregados devem provir de rochas inertes,
isto é, sem ação química sobre os aglomerantes inalteráveis ao ar, à água ou às
variações de temperatura. Alguns materiais, seja pela ação de agentes agressivos
do meio ambiente (água, variações de temperatura etc.), seja por reações com
outros elementos de concreto, não apresentam a condição de durabilidade
necessária para emprego como agregado graúdo.
As pozolanas têm influência sobre as reações álcali-agregado, podendo a
reação ser inibida total ou parcialmente e a expansão completamente evitada,
mediante uma substituição de quantidades superiores a 15% de cimento por igual
peso de pozolana adequada. A efetividade desse método de controle da expansão
depende muito do tipo de reação e do tipo de pozolana.
A NBR 7211 – Agregado para concreto – especificação, em seu item 4.3
assim recomenda como uma das condições gerais para uso:
"Os agregados para uso em concreto e/ou argamassas que estão sujeitos a
umedecimento, incluindo a exposição à atmosfera úmida ou contato com solo úmido,
não devem conter qualquer material deleteriamente reativo com os álcalis do
cimento em uma intensidade suficiente para causar uma expansão da argamassa
e/ou concreto, exceto nos casos em que o cimento empregado contiver menos que
0,6% de equivalente alcalino expresso em Na
2
O e for adicionado de substâncias que
comprovadamente previnam a expansão prejudicial devido à reação álcali-
agregado”.
44
2.4.3 Água
Para Petrucci (1978. p. 74), a água usada no amassamento do concreto não
deve conter impurezas que possam vir a prejudicar as reações entre ela e os
compostos do cimento.
A água destinada ao amassamento do concreto deve ser guardada em caixas
estanques e tampadas, de modo a evitar a contaminação por substâncias estranhas
(NBR 12655:1996, p.3).
2.4.3.1 Importância
Segundo Mehta e Monteiro (1994. p. 198), o cimento Portland não aglomera
areia e agregado graúdo; ele só adquire a propriedade adesiva quando misturado à
água. Isto acontece porque a reação química do cimento com a água, comumente
chamada de hidratação do cimento, gera produtos que possuem características de
pega e endurecimento.
2.4.3.2 Durabilidade
A relação água/cimento, isto é, a quantidade de água usada para cada
volume ou massa de cimento, é um dos fatores fundamentais para a determinação
da resistência do concreto. Esta relação deve ser observada segundo os requisitos
da boa qualidade tanto pelo projetista quanto por aquele que executa uma
construção.
A água de amassamento deve ser potável e livre de impurezas tais como a
forte presença de cloretos, pois de outro modo, poderá causar sérias patologias na
armadura do concreto, reduzindo significativamente a sua durabilidade, se não
comprometer total e definitivamente a sua estrutura.
45
2.4.4 A fase zona de transição
A zona de transição, como o nome mesmo sugere, localiza-se na interface da
pasta ou argamassa do cimento hidratado e os agregados graúdo e/ou miúdo, assim
como na interface de contato da armadura com o agregado.
A zona de transição é constituída dos mesmos elementos da pasta, mas,
apesar disto, suas propriedade e sua estrutura diferem uma da outra. Por este
motivo, é importante tratar a zona de transição como uma outra fase da estrutura do
concreto, além das já vistas, que são as estruturas da pasta endurecida e da fase
agregado.
De acordo com Mehta e Monteiro (1994, p. 40), a zona de transição,
geralmente o elo mais fraco da corrente, é considerada a fase de resistência limite
no concreto. É devido à presença da zona de transição que o concreto rompe a um
nível de tensão consideravelmente mais baixo do que a resistência dos dois
constituintes principais.
Uma representação diagramática e uma micrografia eletrônica de varredura,
da zona de transição do concreto e da matriz da é apresentada na Figura 2.3
Apesar da zona de transição ser constituída dos mesmos elementos da pasta
(Fig. 2.3), a mesma possui um grande volume de vazios capilares e de cristais de
hidróxido de cálcio (etringita), sendo estes, juntamente com a presença de
microfissuras, fatores importantes e responsáveis pela sua baixa resistência no
concreto.
2.4.4.1 Estrutura
Segundo Mehta e Monteiro (1994, p. 37), devido a dificuldades experimentais,
há pouca informação sobre a zona de transição do concreto; todavia com base em
uma descrição dada por Maso (1980), pode-se ter algum entendimento das suas
características estruturais acompanhando-se a seqüência do seu desenvolvimento a
partir do momento em que o concreto é lançado.
46
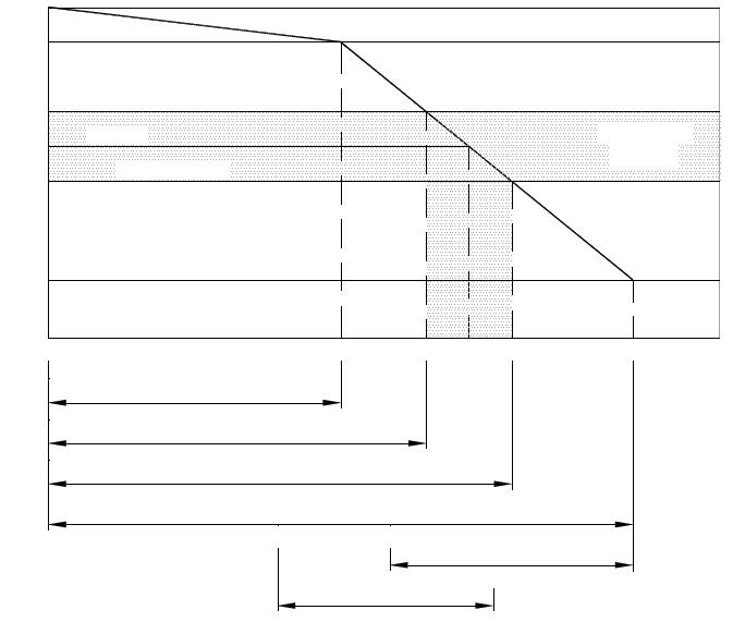
Figura 2.3 – Representação diagramática da zona de transição e da matriz de
pasta de cimento no concreto
Fonte: METHA e MONTEIRO 1994, p. 38
“Primeiro, em concreto recentemente compactado, um filme de água forma-se
ao redor das partículas grandes de agregados. Isto pode levar a uma relação
água/cimento mais elevada na proximidade do agregado graúdo do que longe dele,
isto é, da matriz de argamassa. Em seguida, analogamente à matriz, os íons de
cálcio, sulfato, hidroxila, e aluminato formados pela dissolução dos compostos de
sulfato de cálcio e de aluminato de cálcio, combinam-se para formar etringita e
hidróxido de cálcio. Devido à relação água/cimento elevada, estes produtos
cristalinos vizinhos ao agregado graúdo consistem de cristais relativamente grandes,
e consequentemente, formam uma estrutura mais porosa do que na matriz de pasta
de cimento ou na matriz de argamassa. Os cristais em placa de hidróxido de cálcio
tendem a formar-se em camadas orientadas, por exemplo, como
c perpendicular à
superfície do agregado. Finalmente, com o progresso da hidratação, o C-S-H pouco
cristalizado e uma segunda geração de cristais menores de etringita e de hidróxido
de cálcio começam a preencher os espaços vazios entre o reticulado criado pelos
47
cristais grandes de etringita e de hidróxido de cálcio. Isto ajuda a aumentar a
densidade e, consequentemente, a resistência da zona de transição” (Maso, 1980).
2.4.4.2 Permeabilidade
O efeito da relação água/cimento sobre a permeabilidade e a resistência do
concreto é geralmente atribuído à dependência que existe entre a relação
água/cimento e a porosidade da pasta no concreto (METHA; MONTEIRO, 1994,
p. 41).
Segundo Vilasboas (2004, p.116), experiências têm demonstrado que, à
medida que se aumenta a máxima dimensão do agregado, o coeficiente de
permeabilidade cresce, para uma dada relação água-cimento. Este fato deve-se
provavelmente aos maiores vazios causados pela acumulação de água na parte
inferior das partículas maiores, enfraquecendo assim a zona de transição pasta-
agregado.
Experiências têm demonstrado que a conservação do concreto dentro de
água faz expandir o cimento e aumentar a quantidade dos produtos de hidratação,
reduzindo o volume dos capilares e diminuindo o acesso da água. A importância da
filtração é, por isso, reduzida e ao mesmo tempo a água não pode dissolver o
hidróxido de cálcio senão nas vizinhanças dos canais percorridos, deixando intactas
as zonas mais afastadas. Verifica-se assim como é importante realizar uma cura em
meio úmido, pelo menos nas primeiras idades do concreto, para se reduzir a sua
permeabilidade.
2.4.4.3 Durabilidade
De acordo com Mehta e Monteiro (1994. p. 41), as características da zona de
transição também influenciam a durabilidade do concreto. Os elementos em
concreto armado rompem freqüentemente, devido à corrosão da armadura. A
velocidade de corrosão do aço é enormemente influenciada pela permeabilidade do
concreto. A existência de microfissuras na zona de transição na interface com a
armadura e o agregado graúdo é a razão principal de o concreto ser mais permeável
48
do que a pasta ou a argamassa correspondente. Deve-se notar que a difusão do ar
e da água é um pré-requisito necessário à corrosão do aço no concreto.
Segundo Vilasboas (2004, p.114), da natureza porosa da estrutura do
concreto, que se manifesta na sua permeabilidade e no fenômeno da capilaridade,
resulta outra propriedade fundamental de todo material de construção: a sua
durabilidade. Esta propriedade depende da intensidade dos fatores de meteorização
a que está sujeito o material, do grau de porosidade que o material possui e da sua
reatividade química com o meio.
2.4.5 Aditivos
Produtos que adicionados em pequena quantidade a concretos de cimento
Portland modificam algumas de suas propriedades, no sentido de melhor adequá-las
a determinadas condições (NBR 11786, 1992).
Portanto, se qualquer um dos elementos do concreto (cimento, agregados e
água) não estivesse nesta lista de componentes do material concreto, este não
estaria formado corretamente, o que não ocorreria no caso do aditivo. Caso se faça
um concreto sem aditivo, o mesmo continuará sendo concreto.
O fato de que as propriedades do concreto, tanto no estado fresco como no
endurecido, podem ser modificadas pela adição de certos materiais na sua
composição é responsável pelo enorme crescimento da indústria de aditivos durante
as quatro últimas décadas. Centenas de produtos estão sendo comercializados hoje
e, em alguns países. Não é incomum o fato de que 70 a 80% de todo concreto
produzido contenha um ou mais aditivos. Assim, é absolutamente importante que os
engenheiros civis estejam familiarizados com os aditivos comumente empregados,
juntamente com suas aplicações e limitações características
(METHA; MONTEIRO,
1994, p. 273).
Para Cánovas (1988, p. 50), os aditivos são produtos destinados a melhorar
ou alterar algumas propriedades do concreto fresco ou endurecido. Isso significa
que a missão dos aditivos é corrigir possíveis deficiências, melhorar ou incrementar
as boas qualidades e fortalecer o concreto. Os aditivos, para serem eficazes e não
contraproducentes, devem ser empregados em doses determinadas. Se forem
49
excessivas, perdem o seu valor terapêutico e podem provocar sérias complicações.
Se são escassas, é possível que não se consiga o efeito desejado.
Os aditivos, portanto, são componentes que devem ser utilizados com
bastante critério e sob a orientação de profissional capacitado e com experiência e
de acordo com as normas vigentes. Deve-se, sempre que possível, conceber e
executar estruturas que possam receber concretos sem a necessidade de aditivos.
Para Vilasboas (2004. p.86), os aditivos, conseqüentemente, não podem ser
usados de forma indiscriminada. O emprego desses materiais deve estar
condicionado aos resultados dos ensaios prévios realizados com as doses
recomendadas, para o caso específico do concreto a ser utilizado.
2.4.5.1 Tipos
De acordo com a norma NBR 11786:1992 – aditivos para concreto de cimento
Portland – os tipos de aditivos são:
a) tipo P - aditivo plastificante;
b) tipo R - aditivo retardador;
c) tipo A - aditivo acelerador;
d) tipo PR - aditivo plastificante retardador;
e) tipo PA - aditivo plastificante acelerador;
f) tipo IAR - aditivo incorporador de ar;
g) tipo SP - aditivo superplastificante;
h) tipo SPR - aditivo superplastificante retardador;
i) tipo SPA - aditivo superplastificante acelerador.
Há ainda os aditivos aceleradores de pega destinados a concreto projetado.
Segundo Vilasboas (2004, p.85), a classificação dos aditivos é dificultada pela
multiplicidade de efeitos produzidos por apenas um produto, motivo pelo qual é
necessário determinar ou atribuir-lhe uma ação principal. A classificação mais prática
baseia-se na ação fundamental sobre as propriedades tecnológicas do concreto,
50
uma vez que caberá ao engenheiro civil aplicar e escolher os produtos. De maneira
geral, pode-se dizer que os efeitos que se procura alcançar com os aditivos são:
a) melhorar a trabalhabilidade;
b) acelerar ou retardar a pega;
c) acelerar o endurecimento nas primeiras idades;
d) aumentar as resistências após a primeira semana;
e) aumentar a resistência aos ciclos de congelamento e descongelamento;
f) diminuir a permeabilidade aos líquidos;
g) impedir a segregação e a sedimentação do cimento nas caldas de injeção;
h) criar uma pequena expansão no concreto ou argamassa – utilizados, por
exemplo, nas injeções, nos enchimentos dos cabos de concreto protendidos por
ancoragem, nos vazios dos agregados pré-colocados (concreto injetados) ou ainda
no preenchimento de cavidades;
i) aumentar a aderência ao agregado e às argamassas e concretos
endurecidos;
j) produzir concreto ou argamassas coloridos e
l) inibir a corrosão das armaduras.
2.4.5.2 Durabilidade
Em se tratando dos aditivos, excetuando-se o mal uso, o principal problema
relativo à durabilidade é quanto à sua composição. Nenhum aditivo deve conter tipo
algum de cloreto em sua formulação, caso contrário, a estrutura pode desenvolver
sérios problemas patológicos.
De acordo com a NBR 6118:2003, no seu item 7.4.4, não é permitido o uso
de aditivos contendo cloreto na sua composição em estruturas de concreto armado
ou protendido.
51
2.5 A DURABILIDADE DAS ESTRUTURAS DE CONCRETO
Até o momento, tem-se estudado a durabilidade do concreto sob a ótica dos
materiais constituintes. Além de todos os aspectos relevantes já descritos
anteriormente, necessário se faz considerar a durabilidade do concreto sob alguns
outros enfoques: a qualidade dos projetos e a manutenção e prevenção.
2.5.1 Qualidade das estruturas e dos projetos
Segundo Brandão (1998, p. 98), o projeto para durabilidade deve definir
formas estruturais, dimensões e arranjos de armadura apropriados, apresentar
especificações adequadas para os materiais, propor recomendações para a
execução, com vistas à garantia da qualidade do concreto produzido e, finalmente,
fornecer aos usuários planos de inspeção e de manutenção preventiva.
Ao se projetar estruturas de concreto com qualidade, necessita-se resolver os
seus princípios fundamentais, como a segurança, o desempenho em serviço e a
durabilidade. Além deste trinômio, mas não longe dele, dois aspectos são
importantes: a qualidade da solução adotada, que tem a ver com a segurança e o
desempenho e a qualidade da descrição desta solução, que tem a ver, além do
binômio anterior, com a durabilidade.
O capítulo 5 na Norma NBR 6118 – Requisitos gerais de qualidade da
estrutura e avaliação da conformidade do projeto, diz em seu subitem
5.1.2.3 – Durabilidade: "Consiste na capacidade de a estrutura resistir às influências
ambientais previstas e definidas em conjunto pelo autor do projeto estrutural e o
contratante, no início dos trabalhos de elaboração do projeto".
2.5.2 Prevenção e manutenção
"Dependendo do porte da construção e da agressividade do meio e de posse
das informações dos projetos, dos materiais e produtos utilizados e da execução da
obra, deve ser produzido por profissional habilitado, devidamente contratado pelo
contratante, um manual de utilização, inspeção e manutenção. Esse manual deve
especificar de forma clara e sucinta, os requisitos básicos para a utilização e a
52
manutenção preventiva, necessárias para garantir a vida útil prevista para a
estrutura, conforme indicado na ABNT NBR 5674:1999 (Manutenção de edificações
– Procedimento)" (NBR 6118:2003 p, 188).
Segundo Brandão (1999, p. 106), inspeções regulares e sistemáticas da
estrutura e de todos os acessórios (drenos, juntas, instalações etc.) devem, sempre
que possível e apropriado, ser exercidas ao longo de toda a vida útil prevista para a
estrutura. Para minimizar custos futuros com manutenção e reparo, as rotinas de
inspeção devem, tanto quanto possível, revelar deterioração iminente e desempenho
inadequado, em tempo hábil para que possa ser aplicada manutenção preventiva.
3 - A DETERIORAÇÃO DO CONCRETO ARMADO
O estudo e o conhecimento dos diversos tipos de patologias, suas origens e
causas, assim como seus mecanismos e sintomas formam a base para um correto
diagnóstico da estrutura e de seus problemas.
Durante milênios o ser humano tem procurado métodos para evitar defeitos e
prevenir acidentes na construção civil, tanto antes quanto durante e também depois
da mesma pronta.
Realmente, as lesões ou enfermidades nas estruturas são fenômenos tão
velhos como os próprios edifícios. Na Mesopotâmia, há quatro mil anos, o código de
Hamurabi já assinalava cinco regras para prevenir defeitos nos edifícios, sendo pois
o primeiro tratado conhecido sobre Patologia na Construção.
As cincos regras básicas a que se refere o citado Código, pelo drástico de seu
conteúdo, devem ter tido, naquela época, uma grande repercussão na qualidade da
construção. Essas regras eram (CÁNOVAS, 1988 p.1):
1. Se um construtor faz uma casa para um homem e não a faz firme e seu
colapso causa a morte do dono da casa, o construtor deverá morrer.
2. Se causar a morte do filho do dono da casa, o filho do construtor deverá
morrer.
3. Se causar a morte de um escravo do proprietário da casa, o construtor
deverá dar ao proprietário um escravo de igual valor.
4. Se a propriedade for destruída, ele deverá restaurar o que foi destruído
por sua própria conta.
5. Se um construtor faz uma casa para um homem e não a faz de acordo
com as especificações e uma parede desmorona, o construtor
reconstruirá a parede por sua conta.
54
Apesar do estudo dos vários tipos de patologias do concreto ser antigo,
somente nas últimas duas décadas este tema ganhou força e a devida importância e
preocupação. Isto se deu devido ao elevado número de obras novas, mesmo as
projetadas e construídas dentro da boa técnica e segundo as normas vigentes,
encontradas com sintomas patológicos e em estado inicial, intermediário ou
avançado de deterioração.
Realmente, até a década de 80 as estruturas de concreto armado
apresentavam, comparativamente aos dias de hoje, poucos defeitos tendo estes, em
sua grande maioria, origens nas fases de projeto ou de execução. A partir de então,
muitos defeitos começaram a surgir tendo suas origens no próprio material, devido a
mudanças nas suas propriedades, e na falta de manutenção preventiva.
Diversos pesquisadores têm coletado dados das causas e origens patológicas
do concreto por vários anos. Dependendo de cada um, do país e da época em que
foram feitas as pesquisas e coletas de dados, podem-se encontrar variações
significativas no percentual de falhas e suas origens. Em uma dessas pesquisas,
Helene (1992) mostra os maiores percentuais para as etapas de projeto e execução
(Figura 3.1).
10 %
4 %
40 %
18 %
28 %
Uso
Planejamento
Projeto
Materiais
Execução
Figura 3.1 - Origem dos problemas patológicos com relação às etapas de
produção e uso das obras civis.
Fonte: HELENE 1992, p. 22
55
A grande maioria das pesquisas feitas sobre as origens e causas dos
problemas patológicos que indicam o maior percentual de erros para a etapa de
projeto foram feitas na Europa e para as construções européias. Já pesquisas feitas
no Brasil apontam o maior percentual de erros para a etapa de execução. Uma das
principais razões para este fato é que no Brasil, a construção civil ainda é realizada
por mão-de-obra barata e desqualificada, além da pouca instrução dos operários. Já
na Europa, apesar de a mão-de-obra, em sua grande parte, não ser nativa, a
qualificação é melhor, pois é realizada principalmente por pessoas de melhor
instrução de países subdesenvolvidos ou em desenvolvimento.
Alguns dos principais problemas patológicos que podem ser gerados na fase
de projeto são:
- análise incorreta ou incompleta dos dados e dos projetos bases recebidos;
- análise estrutural errada ou inadequada;
- adoção de classe de agressividade incorreta;
- determinação das cargas de forma incorreta, insuficiente ou incompleta;
- dimensionamento estrutural errado ou insuficiente;
- detalhamento das armaduras errado ou inconveniente para a
concretagem;
- desenho de projeto errado ou insuficiente;
- falta ou falha na revisão dos desenhos do projeto.
Alguns dos principais problemas patológicos que podem ser gerados na fase
de execução são:
- análise incorreta dos projetos;
- concretagem falha ou deficiente;
- deficiência na fiscalização e na conferência das armaduras e seus
posicionamentos;
- falta de comunicação com o projetista em caso de dúvidas.
Além das fases de projeto e execução, há erros gerados devido à natureza do
próprio material concreto pela sua estrutura porosa, cujas propriedades dependem
de cada material componente.
Há ainda erros gerados nas fases de planejamento e de utilização. Neste
último caso, as principais falhas estão associadas à falta de conservação, de
inspeção e manutenção, preventiva e periódica, exercida por profissional habilitado e
56
pela utilização inadequada do ambiente construído, ou seja, pela mudança de uso
sem o conhecimento e a aprovação técnica, com suas conseqüências, para tal.
Segundo Helene (1992), a grande maioria dos sintomas apresenta
manifestações externas características, sendo os mais comuns e de maior incidência
as fissuras, as flechas excessivas, as eflorescências, as manchas no concreto
aparente, a corrosão das armaduras e os ninhos de concretagem. O diagnóstico
correto inicia-se pela adequada dedução da causa, da origem e dos processos
envolvidos, assim como suas prováveis conseqüências (Figura 3.2).
21%
10%
7%
22%
20%
20%
Fissuras ativas e
passivas
Flechas
excessivas
Degradação
química
Manchas no
concreto
aparente
Corroo das
armaduras
Ninhos de
concretagem
Figura 3.2 - Distribuição relativa da incidência de manifestações patológicas
em estruturas de concreto aparente.
Fonte: HELENE 1992, p. 19
De acordo com Helene (2004), cabe ressaltar, no entanto, que do ponto de
vista econômico todas as medidas visando durabilidade, tomadas em nível de
projeto, são sempre muitas vezes mais convenientes, mais seguras e mais baratas
que medidas protetoras tomadas a posteriori. Os custos de intervenção na
estrutura, para atingir certo nível de durabilidade e proteção, crescem
exponencialmente quanto mais tarde for essa intervenção. A evolução desse custo
pode ser assimilado ao de uma progressão geométrica de razão 5, conhecida por lei
dos 5 ou regra de Sitter, representada na Figura 3.3.
57
Figura 3.3 - Representação da evolução dos custos em função da fase da vida
da estrutura em que a intervenção é feita.
Fonte: SITTER 1983, apud HELENE 2004
O significado dessa “lei” pode ser assim exposto, segundo a intervenção seja
na:
a) fase de projeto: toda medida tomada a nível de projeto com o objetivo de
aumentar a proteção e a durabilidade da estrutura, como por exemplo, aumentar o
cobrimento da armadura, reduzir a relação água/cimento do concreto ou aumentar o
f
ck
, especificar certas adições, ou tratamentos protetores de superfície, e outras
tantas implica num custo que pode ser associado ao número 1 (um);
b) fase de execução: toda medida extra-projeto, tomada durante a fase de
execução propriamente dita, implica num custo 5 (cinco) vezes superior ao custo que
acarretaria tomar uma medida equivalente na fase de projeto, para obter-se o
mesmo nível final de durabilidade ou vida útil da estrutura. Um exemplo típico é a
decisão em obra de reduzir a relação água/cimento para aumentar a durabilidade. A
mesma medida tomada na fase de projeto permitiria o redimensionamento
automático da estrutura considerando um novo concreto de resistência à
compressão mais elevada, de maior módulo de deformação e de menor fluência.
Esses parâmetros permitiriam reduzir as dimensões dos componentes estruturais,
reduzir as fôrmas e o volume de concreto, reduzir o peso próprio e reduzir as taxas
de armadura. Essas medidas tomadas a nível de obra, apesar de eficazes e
oportunas do ponto de vista da vida útil, não mais propiciam a mesma economia e
otimização da estrutura caso fossem tomadas na fase de projeto;
c) fase de manutenção preventiva: as operações isoladas de manutenção do
tipo pinturas freqüentes, limpezas de fachada sem beirais e sem proteções,
58
impermeabilizações de coberturas e reservatórios mal projetados, e outras,
necessárias a assegurar as boas condições da estrutura durante o período da sua
vida útil, podem custar até 25 vezes mais que medidas corretas tomadas na fase de
projeto estrutural ou arquitetônico. Por outro lado podem ser cinco vezes mais
econômicas que aguardar a estrutura apresentar problemas patológicos evidentes
que requeiram uma manutenção corretiva;
d) fase de manutenção corretiva: corresponde aos trabalhos de diagnóstico,
reparo, reforço e proteção das estruturas que já perderam sua vida útil de projeto e
apresentam manifestações patológicas evidentes. A estas atividades pode-se
associar um custo 125 vezes superior ao custo das medidas que poderiam e
deveriam ter sido tomadas na fase de projeto e que implicariam num mesmo nível de
durabilidade que se estime dessa obra após essa intervenção corretiva.
3.1 C
AUSAS DA DETERIORAÇÃO DO CONCRETO
Muitos autores têm escrito sobre as causas das patologias e da deterioração
do concreto, assim como as suas divisões. Há autores como Mehta e Monteiro, que
dividem as causas em físicas e químicas. Outros, como Neville, subdividem em
físicas, químicas ou mecânicas originadas por fatores externos ou internos ou pela
própria natureza do material concreto. Brandão considera que, de uma forma geral,
pode-se dividir em mecânicas ou químicas. Há também os ataques biológicos, mas
que, dependendo na sua natureza, podem ser considerados como mecânico ou
químico.
"Mehta e Gerwick (1982) agruparam as causas físicas da deterioração do
concreto (Figura 3.4) em duas categorias: desgaste superficial ou perda de massa
devida à abrasão, erosão e cavitação; e fissuração devida a gradientes normais de
temperatura e umidade, pressões de cristalização de sais de poros, carregamento
estrutural e exposição a extremos de temperatura tais como congelamento ou fogo.
Do mesmo modo, os autores agruparam as causas químicas da deterioração (Figura
3.5) em três categorias: (1) hidrólise dos componentes da pasta de cimento por água
pura; (2) trocas iônicas entre fluidos agressivos e a pasta de cimento; e (3) reações
causadoras de produtos expansíveis, tais como na expansão por sulfatos, reação
59
álcali-agregado e corrosão da armadura do concreto" (MEHTA; MONTEIRO, 1994,
p.128).
CAUSAS FÍSICAS DA DETERIORAÇÃO DO CONCRETO
DESGASTE DA
SUPERFÍCIE
FISSURAÇÃO
EROSÃOABRASÃO CAVITAÇÃO
MUDANÇAS DE
VOLUME DEVIDAS A:
1. Gradientes normais de
temperatura e umidade
2. Pressão de cristalização
de sais nos poros
CARGA ESTRUTURAL
1. Sobrecarga e impacto
2. Carga cíclica
EXPOSIÇÃO A
EXTREMOS DE
TEMPERATURA:
1. Ação de gelo-degelo
2. Fogo
Figura 3.4 – Causas físicas da deterioração do concreto
Fonte: MEHTA; GERWICK 1982 apud MEHTA; MONTEIRO 1994, p. 128
“Numa classificação geral, podem-se distinguir dois tipos básicos de
deterioração: mecânica e química. Os mecanismos de deterioração mecânica
referem-se à estrutura propriamente dita. São todos aqueles relacionados às ações
mecânicas, movimentações de origem térmica, impactos, ações cíclicas, deformação
lenta (fluência), relaxação e outros. Os processos de deterioração química, por sua
vez, referem-se aos materiais componentes da estrutura, ou seja, podem estar
relacionados ao concreto ou à armadura”.
Numa classificação mais detalhada, podem-se distinguir outros tipos de
deterioração, como, por exemplo, os desencadeados por processos físicos,
biológicos ou ainda, eletroquímicos, como é o caso da corrosão de metais embutidos
no concreto“ (BRANDÃO, 1998, p. 54).
60
DETERIORAÇÃO DO CONCRETO POR REAÇÕES QUÍMICAS
Reações de troca entre um
fluido agressivo e
componentes da pasta de
cimento endurecida
Reações envolvendo
hidrólise e lixiviação dos
componentes da pasta de
cimento endurecida
Reações envolvendo
formação de produtos
expansivos
Remão de
íons CA
como produtos
solúveis
++ ++
como produtos
íons CA
solúveis
Remão de
++
como produtos
íons CA
solúveis
Remão de
permeabilidade
porosidade e
Aumento na
tensões internas
Aumento nas
Deformação
Fissuração,
lançamento e
pipocamento
rigidez
resistência e
Perda de
Aumento no
processo de
deterioração
massa
Perda de
massa
Perda de
Figura 3.5 – Tipos de reações químicas responsáveis pela da deterioração do
concreto
Fonte: MEHTA; GERWICK 1982 apud MEHTA; MONTEIRO 1994, p. 150
"As diferentes formas de ação podem ser físicas, químicas ou mecânicas. As
causas da deterioração mecânica podem ser impacto, abrasão, erosão ou cavitação.
As causas químicas da deterioração podem incluir as reações álcali-sílica e álcali-
carbonato. O ataque químico externo ocorre principalmente pela ação de íons
agressivos, como cloretos, sulfatos ou dióxido de carbono e muitos líquidos e gases
naturais ou industriais. A ação deteriorante pode ser de diversos tipos bem como
direta ou indireta", de acordo com a Figura 3.6 (NEVILLE, 1997, p.482).
É importante relatar ser comum, na investigação da causa de uma
determinada deterioração, deparar-se com mais de uma causa. Os efeitos, a médio
e longo prazo (às vezes curto), acrescentam-se um ao outro. Por exemplo, o
desgaste provocado pela abrasão não prevista, pode retirar o cobrimento do
concreto, ou parte dele, reduzindo sua proteção e permitindo a passagem com mais
facilidade de agentes químicos.
61
CAUSAS DA DETERIORAÇÃO DO CONCRETO
FÍSICAS
QUÍMICAS
MECÂNICAS
EFEITOS DE ALTAS
TEMPERATURAS
DIFERENÇAS DE
COEFICIENTES
DE DILATAÇÃO
TÉRMICA
ALTERNÂNCIA DE
CONGELAMENTO
E DEGELO DO
CONCRETO
IMPACTO
ABRASÃO
EROSÃO
CAVITAÇÃO
INTERNAS EXTERNAS
ÍONS
AGRESSIVOS
REAÇÕES
ÁLCALI-CARBONATO
ÁLCALI-SÍLICA
REAÇÕES
QUALIDADE
DO
CONCRETO
P
E
R
M
E
A
B
I
L
I
D
A
D
E
Figura 3.6 – Causas da deterioração do concreto
Fonte: Baseado em NEVILLE 1997, p. 481
De acordo com Neville (1997, p. 482), deve ser observado que os processos
físicos e químicos da deterioração podem atuar sinergicamente. É importante
observar que raramente se deve a deterioração do concreto a uma única causa
isolada. O concreto pode muitas vezes se apresentar satisfatório mesmo com
muitas características indesejáveis, mas com mais um fator desfavorável, pode
ocorrer deterioração. Por esse motivo, às vezes, é difícil atribuir um problema a um
determinado fator em particular, mas a qualidade do concreto, em sentido mais
amplo, embora com especial referência à permeabilidade, quase sempre entra no
quadro. Na verdade, com exceção da deterioração mecânica, todas as influências
desfavoráveis decorrem do transporte de fluidos através do concreto.
Segundo Mehta e Monteiro (1994, p.128), deve ser enfatizado novamente que
a distinção entre causas físicas e químicas da deterioração é puramente arbitrária.
Na prática, as duas freqüentemente se sobrepõem. Por exemplo, a perda de massa
por desgaste superficial e fissuração aumenta a permeabilidade do concreto, que
então se torna a causa principal de um ou mais processos de deterioração química.
Do mesmo modo, os efeitos deletérios dos fenômenos químicos são físicos; por
exemplo, a lixiviação dos componentes da pasta de cimento endurecida por água
62
pura ou fluidos ácidos aumentará a porosidade do concreto, tornando, portanto, o
material mais vulnerável à abrasão e à erosão.
A seguir são descritos os principais mecanismos da deterioração do concreto
armado.
3.1.1 Processos Químicos
A deterioração do concreto através de processos químicos, na grande maioria
das vezes, inicia-se por interações entre a pasta de cimento hidratada e agentes
agressivos do meio externo. Dentre as poucas exceções, encontra-se a reação
álcali-agregado.
Como já dito, os processos químicos e físicos, na prática, atuam
concomitantemente. Os processos químicos, por exemplos, atuam, principalmente,
através de características físicas deficientes do concreto, tais como a porosidade, a
permeabilidade e o fissuramento.
3.1.1.1 Carbonatação
De acordo com Neville (1997, p.495), a discussão do comportamento do
concreto em geral se baseia na hipótese de que o meio ambiente é ar que não reage
com a pasta de cimento hidratado. No entanto, na realidade, o ar contém CO
2
que,
na presença de umidade, reage com a pasta de cimento hidratada. O agente, na
realidade, é o ácido carbônico, pois o CO
2
gasoso não é reativo.
Carbonatação, nome genérico da principal reação por troca de cátions, é o
resultado da reação do ácido carbônico, oriundo do dióxido de carbono (CO
2
)
presente na atmosfera, com o hidróxido de cálcio (Ca(OH)
2
) presente na pasta
hidratada de cimento. As reações típicas entre ácido carbônico e hidróxido de cálcio
podem ser mostradas pelas equações 3.1 e 3.2:
Ca(OH)
2
+ H
2
CO
3
Æ CaCO
3
+ 2H
2
O (3.1)
CaCO
3
+ CO
2
+ H
2
O Æ Ca(HCO
3
)
2
(3.2)
63
Segundo Mehta e Monteiro (1994, p.151), após a precipitação do carbonato
de cálcio, que é insolúvel, a primeira reação não continuaria a menos que houvesse
CO
2
livre presente na água. Pela transformação do carbonato de cálcio em
bicarbonato solúvel, de acordo com a segunda reação, a presença de CO
2
livre
auxilia a hidrólise do hidróxido de cálcio. Uma vez que a segunda reação é
reversível, uma certa quantidade de CO
2
livre, referido como o CO
2
de equilíbrio, é
necessária para manter o equilíbrio da reação. Qualquer CO
2
livre acima do CO
2
de
equilíbrio seria agressivo à pasta de cimento porque ao direcionar a segunda reação
para a direita, ele aceleraria o processo de transformação do hidróxido de cálcio
presente na pasta hidratada em bicarbonato de cálcio solúvel. O conteúdo do CO
2
de equilíbrio em uma determinada água depende da sua natureza (i.e., a quantidade
de cálcio e magnésio presente na solução).
A carbonatação, portanto, é um processo de redução da alcalinidade da pasta
hidratada de cimento a níveis abaixo do qual a mesma perde a sua função protetora
da armadura de aço do concreto, pois a sua reação diminui o pH do concreto para
valores abaixo de 9 (nove). O aço, quando recoberto pela pasta de cimento
hidratado, forma uma camada passivadora na sua superfície que o protege da
corrosão. Um pH entre 12,5 e 13,5 desta película passivadora mantém esta
condição protetora da armadura do concreto.
Segundo Righi (2002, p. 76), muitos autores (CASCUDO, 1997;
HELENE, 1986) têm proposto o valor crítico de pH entre 11,5 e 11,8, abaixo do qual,
não se garante os efeitos protetores da película passivadora do aço no concreto.
Entretanto, segundo NOGUEIRA (1989), já foram registrados casos em que a
película passivadora se manteve mesmo sob pH’s inferiores.
A velocidade de avanço da carbonatação no concreto pode ser ajustada
através da equação:
tke = (3.3)
onde:
e = espessura carbonatada em mm;
k = coeficiente de carbonatação, mm/ano
0,5
;
t = tempo de exposição em anos.
64
A constante de carbonatação k depende de vários fatores, tais como, a
resistência e a qualidade do concreto (tipo de cimento, relação água/cimento,
porosidade etc.) e a umidade ambiental.
Verifica-se que um dos principais fatores para a corrosão das armaduras do
concreto e a sua rápida deterioração é a espessura do cobrimento das armaduras.
Na Figura 3.7 verifica-se um caso típico de corrosão devido ao pouco cobrimento e,
conseqüente, rápida carbonatação.
Figura 3.7 – Corrosão generalizada das armaduras em uma marquise
Segundo Neville (1997, p.498), é fundamental o efeito da cura sobre a
carbonatação do concreto. A Figura 3.8, mostra a profundidade de carbonatação de
concretos com resistências aos 28 dias (em cubos padronizados) entre 30 MPa e 60
MPa: (a) curados em água durante 28 dias, e (b) curados ao ar com 65% de
umidade relativa. Depois da cura todos os corpos de prova foram conservados a
20 ºC e umidade em 65%. É marcante o efeito da falta de cura por molhagem, que
resultou em elevada porosidade. Outros pesquisadores observaram que
aumentando a duração da cura por molhagem de 1 dia para 3 dias reduziu-se a
profundidade de carbonatação de cerca de 40%.
65
Resistência à compressão - MPa
P
r
o
f
u
n
d
i
d
a
d
e
d
e
c
a
r
b
o
n
a
t
a
ç
ã
o
-
m
m
0
30
1
2
3
4
40
7
6
5
8
9
10
50 60
Cura seca
Cura por
molhagem
Figura 3.8 – Relação entre a profundidade de carbonatação e a resistência à
compressão (concreto) após dois anos de exposição ao ar e umidade de 65 %
Fonte: BASSAT et al. 1990, apud NEVILLE, 1997, p. 499
É incontestável que a velocidade de carbonatação varia conforme o local
pesquisado pelas condições de cada clima e umidade, mas pode ser uma boa
referência, principalmente para os locais de mesmas condições ambientais. As
Tabelas 3.1 e 3.2, feitas a partir de dados de Parrot, no Reino Unido, servem de
parâmetros para estes fatos.
Tabela 3.1 – Profundidade de carbonatação em função da resistência
Exposição Profundidade de carbonatação após 50 anos, em mm
f
c
= 25 MPa f
c
= 50 MPa
Exteriores protegidos 60 a 70 20 a 30
Exposição à chuva 10 a 20 1 a 2
Fonte: PARROT 1987, apud NEVILLE, 1997, p. 500
66
Tabela 3.2 – Profundidade máxima de carbonatação em exteriores protegidos
no Reino Unido
Resistência, f
c28
, em MPa Profundidade, em mm
20 45
40 17
60 5
80 2
Fonte: PARROT 1987, apud NEVILLE, 1997, p. 500
Na Figura 3.9, é mostrado um exemplo da evolução da carbonatação durante
um período de 16 anos. Para a curva A, tem-se 20 ºC e umidade relativa 65%. Para
a curva B, tem-se ambiente externo protegido por cobertura. Para a curva C, tem-se
superfície horizontal em ambiente externo. Os valores são médios para concretos
com relações água/cimento 0,45, 0,60 e 0,80, com cura por molhagem durante 7
dias.
P
r
o
f
u
n
d
i
d
a
d
e
d
e
c
a
r
b
o
n
a
t
a
ç
ã
o
-
m
m
Idade - anos
16
C
A
B
1
0
5
234
10
15
20
8
Figura 3.9 – Evolução da carbonatação com o tempo em diversas condições,
na Alemanha.
Fonte: WIERIG 1984, apud NEVILLE, 1997, p. 497
67
O efeito da difusão dos gases é o principal mecanismo para a ocorrência da
carbonatação da pasta de cimento hidratado.
Segundo Bakker (apud CASCUDO, 1997), a difusão do CO
2
na água é cerca
de 10
4
vezes inferior a difusão no ar. Isto explica a influência da umidade na
velocidade de carbonatação. Para um concreto seco, com umidade muito baixa, o
CO
2
tem melhores condições de se difundir pelos poros do concreto, porém a
ausência de água livre nos capilares impede que a reação aconteça. No caso de um
concreto saturado, com poros totalmente preenchidos pela água, a reação de
carbonatação também fica prejudicada em função da baixa difusibilidade do CO
2
na
água. Porém, se os poros estiverem somente parcialmente preenchidos com água,
haverá uma condição favorável de difusão do CO
2
no seu interior, e haverá água
suficiente para que a reação aconteça. Configura-se assim, o melhor cenário para o
desenvolvimento da carbonatação e, conseqüentemente, o pior para a durabilidade
da estrutura, conforme ilustrado na Figura 3.10.
Concreto Parcialmente Seco
Concreto Saturado
Concreto Seco
Figura 3.10 – Representação esquemática da carbonatação sob diferentes
condições de umidade.
Fonte: CASCUDO 1997, apud Righi 2002, p. 78
Segundo Cánovas (1988, p.68), o grau de carbonatação e,
conseqüentemente, a redução do pH, depende da umidade relativa do ar. Segundo
Verbeck, a carbonatação máxima se produz a uma umidade relativa de 60%,
enquanto num ambiente seco ou saturado temos uma carbonatação de apenas
20% do máximo anterior, conforme ilustrado na Figura 3.11.
Para Neville (1997, p. 502), a carbonatação pode ter algumas consequências
positivas. Como o CaCO
3
ocupa um volume maior do que o CA(OH)
2
, que ele
substitui, a porosidade do concreto carbonatado é menor. Além disso, a água
liberada na carbonatação do CA(OH)
2
, pode ajudar a hidratação do cimento ainda
não hidratado. Essas mudanças são benéficas e resultam em uma maior dureza
68
superficial, menor permeabilidade superficial, menor movimentação de umidade,
aumentando a resistência às formas de ataque controladas pela permeabilidade.
Por outro lado, a carbonatação acelera a corrosão da armadura induzida por
cloretos.
Figura 3.11 – Carbonatação do concreto em função da umidade.
0
0,2
0,4
0,6
0,8
1,0
0 60801020 40
G
R
A
U
D
E
C
A
R
B
O
N
A
T
A
Ç
Ã
O
UMIDADE RELATIVA DO AR %
0
Fonte: CÁNOVAS 1988, p. 68
A seguir, um resumo sobre a despassivação pela carbonatação:
Despassivação por carbonatação, ou seja, por ação de gás carbônico da
atmosfera que penetra por difusão e reage com os hidróxidos alcalinos da solução
dos poros do concreto reduzindo o pH dessa solução. A despassivação deletéria só
ocorre de maneira significativa em ambientes de umidade relativa abaixo de 98% e
acima de 60%, ou em ambientes sujeitos a ciclos de molhagem e secagem,
possibilitando a instalação da corrosão. O fenômeno de carbonatação propriamente
dita, não é perceptível a olho nu, não reduz a resistência do concreto e até aumenta
sua dureza superficial. A identificação da frente ou profundidade de carbonatação
requer ensaios específicos. Ao atingir a armadura, dependendo das condições de
umidade ambiente, pode promover séria corrosão com aparecimento de manchas,
fissuras, destacamentos de pedaços de concreto e até perda da seção resistente e
da aderência, promovendo o colapso da estrutura ou de suas partes (HELENE,
2004).
69
3.1.1.2 Ataque do concreto por ácidos
Existe também um tipo de ataque por ácido, o ácido carbônico. Há também
tipos específicos de ataque por ácidos, como o ataque por sulfatos, a ação da água
do mar entre outros.
Segundo Mehta e Monteiro (1994, p.148), teoricamente, qualquer meio com
pH menor que 12,5 pode ser qualificado como agressivo porque a redução da
alcalinidade do fluido dos poros levaria, no final, a uma desestabilização dos
produtos cimentíceos de hidratação. Portanto, do ponto de vista do concreto de
cimento Portland, a maioria das águas industriais e naturais pode ser classificada
como agressiva. Entretanto, a taxa de ataque químico ao concreto será função do
pH do fluido agressivo e da permeabilidade do concreto. Quando a permeabilidade
do concreto é baixa e o pH da água agressiva é superior a 6, a taxa do ataque
químico é considerada muito baixa para causar preocupação. O gás carbônico
(CO
2
) livre em água estagnada, íons ácidos como SO
4
2–
e Cl
em águas
subterrâneas, águas do mar e H
+
em algumas águas industriais são freqüentemente
responsáveis pela diminuição do pH abaixo de 6, que é considerado nocivo ao
concreto de cimento Portland.
O concreto geralmente resiste bem a ataque químico, desde que usada uma
mistura apropriada e o concreto seja bem adensado. No entanto, há algumas
exceções.
O concreto de cimento Portland, sendo altamente alcalino, não resiste ao
ataque de ácidos fortes ou de compostos que podem dar origem a ácidos. Como
conseqüência, a menos que protegido, o concreto não deve ser usado quando
possa ocorrer esse tipo de ataque.
Em geral, o ataque químico ao concreto ocorre pela decomposição de
produtos da hidratação e formação de outros produtos que, se forem solúveis,
podem ser lixiviados, e, se insolúveis, podem se expandir no próprio local onde se
formam. Os compostos agressivos devem estar dissolvidos. O produto da
hidratação mais vulnerável é o CA(OH)
2
, mas também o C-S-H pode ser atacado.
Os agregados calcários também são vulneráveis" (NEVILLE, 1997, p. 502).
A Tabela 3.3 mostra algumas substâncias agressivas ao concreto.
70
Tabela 3.3 – Relação de algumas substâncias que atacam severamente o
concreto
Ácidos
Inorgânicas
Carbônico
Hidroclórico
Hidrofluórico
Fosfórico
Sulfúrico
Orgânicos
Acético
Cítrico
Fórmico
Láctico
Tânico
Outras substâncias
Cloreto de alumínio
Sais de amônio
Sulfeto de hidrogênio
Gorduras vegetais e animais
Óleos vegetais
Sulfatos
Fonte: NEVILLE 1997, p. 503
A Tabela 3.4 mostra a relação entre o pH e a severidade do ataque às
estruturas de concreto armado.
O ataque normal significa que o concreto pode ser atacado por substâncias
com o respectivo pH, pois não causa anomalia.
Uma das principais fontes de ataque químico são as chuvas ácidas. A chuva
ácida é uma das principais conseqüências da poluição do ar. As queimas de carvão
ou de petróleo liberam resíduos gasosos, como óxidos de nitrogênio e de enxofre. A
reação dessas substâncias com a água forma ácido nítrico e ácido sulfúrico,
presentes nas precipitações de chuva ácida.
Tabela 3.4 – Relação de algumas substâncias que atacam severamente o
concreto
pH Tipo de ataque
Menor que 6,5 Normal
Menor que 5,5 Severo
Menor que 4,5 Muito severo
Fonte: NEVILLE 1997, p. 504
71
O pH das chuvas ácidas está entre 4,0 e 4,5 e, assim, podem causar
deterioração superficial de concretos. Em alguns lugares, já foi detectado pH inferior
a estes valores em determinados momentos.
A Associação Brasileira de Cimento Portland (ABCP, 1990), através do
Boletim Técnico n.º 55, apresenta um trabalho de catalogação do efeito de vários
ácidos entre outras substâncias sobre o concreto. A Tabela 3.5 mostra um resumo
desses efeitos.
Tabela 3.5 – Efeito de alguns ácidos sobre o concreto
Ácido Efeito sobre o concreto Ácido
Efeito sobre o
concreto
Acético Desagrega lentamente Lático
Desagrega
lentamente
Águas Ácidas
A ação das águas naturalmente
ácidas pode corroer a
argamassa da superfície, mas
pára logo depois
Muriático Desagrega
Carbônico Desagrega lentamente Nítrico 30% Desagrega
Clorídrico Desagrega Nítrico > 30% Desagrega
Fênico Desagrega lentamente Oxálico Nenhum
Fluorídrico
10%
Desagrega Sulfúrico 60% Desagrega
Fluorídrico
75%
Desagrega
Sulfúrico >
80%
Desagrega
Fosfórico Desagrega lentamente Sulforoso Desagrega
Húmico
Depende da matéria vegetal,
mas pode causar desagregação
lenta
Tânico
Desagrega
lentamente
Fonte: ABCP 1990
72
3.1.1.3 Ataque do concreto por sulfatos
É bem conhecido que o sal e o concreto não combinam. Diversas estruturas
de concreto na Europa e nos Estados Unidos sofreram forte degradação pela
utilização de sal para derreter a neve em diversas construções e obras de artes
correntes. Na verdade, os sais na forma de sólidos não atacam o concreto, mas se
dissolvidos, reagem com a pasta de cimento hidratado. Os sulfatos mais comuns
são os de potássio, sódio, magnésio e cálcio, os quais se encontram nos solos e em
águas freáticas. Além destes, o enxofre, também é de grande importância, pois a
sua reação forma o ácido sulfúrico, presentes nas precipitações da chuva ácida.
Segundo Neville (1997, p. 505), as reações principais de sulfatos com a pasta
de cimento são as seguintes:
a) Ataque por sulfato de sódio ao Ca(OH)
2
:
Ca(OH)
2
+ NaSO
4
.12H
2
O Æ CaSO
4
.12H
2
O + 2NaOH + 8H
2
O (3.4)
Esse ataque é do tipo ácido. Em água corrente, o Ca(OH)
2
pode ser
completamente lixiviado, mas se o Ca(OH) se acumular, se atinge o equilíbrio, sendo
apenas parte do SO
3
depositada como gesso.
b) A reação com o aluminato de cálcio pode ser representada como segue:
2(CaO.Al
2
O
3
.12H
2
O + 3(Na
2
SO
4
.10H
2
O Æ
3CaO.Al
2
O
3
.3CaSO
4
.31H
2
O + 2Al(OH)
3
+ 6NaOH + 17H
2
O (3.5)
O sulfato de cálcio ataca somente o aluminato de cálcio hidratado, formando
sulfoaluminato de cálcio (3CaO.Al
2
O
3
.3CaSO
4
.31H
2
O), conhecido como etringita. O
número de moléculas de água pode ser 31 ou 32, dependendo da pressão de vapor
ambiente.
c) Por outro lado, o sulfato de magnésio ataca os silicatos de cálcio hidratados,
formando sulfoaluminato de cálcio, bem como Ca(OH)
2
, e aluminato de cálcio
hidratado. O tipo de reação que acorre é:
73
3CaSO
4
.2SiO
2
.aq + MgSO
4
.7H
2
O Æ CaSO
4
.2H
2
O + Mg(OH)
2
+ SiO
2
.aq (3.6)
Devido à solubilidade do Mg(OH)
2
, essa reação prossegue até se completar,
de modo que, sob certas condições, o ataque por sulfato de magnésio é mais severo
do que por outros sulfatos. Entre o Mg(OH)
2
e o gel de sílica ainda é possível outra
reação que pode também causar deterioração. A conseqüência crítica do ataque
por sulfato de magnésio é a destruição do C-S-H.
De acordo com Mehta e Monteiro (1994, p. 153), sabe-se que a degradação
do concreto, como um resultado de reações químicas entre cimento Portland
hidratado e íons sulfato de uma fonte externa, toma duas formas que diferem
distintamente uma da outra. Os processos de deterioração que predominam em
cada caso depende da concentração e fonte dos íons sulfato (i.e., o cátion
associado) na água de contato e da composição da pasta de cimento no concreto.
O ataque por sulfato pode-se manifestar na forma de expansão do concreto.
Quando o concreto fissura, a sua permeabilidade aumenta e a água agressiva
penetra mais facilmente no seu interior, acelerando, portanto, o processo de
deterioração. Algumas vezes, a expansão do concreto causa sérios problemas
estruturais, tal como o deslocamento de paredes de edificões devido a uma
pressão horizontal por uma laje em expansão. O ataque por sulfato pode, também,
apresentar a forma de uma perda progressiva de resistência e perda de massa
devidas à deterioração na coesão dos produtos de hidratação do cimento.
A qualidade do concreto, e em especial a baixa permeabilidade, é a chave
para a proteção contra a maioria dos problemas típicos de deterioração do concreto
como o ataque por sulfatos. Alguns autores indicam determinadas características
que contribuem para a baixa permeabilidade dos concretos:
- espessura adequada do concreto;
- alto consumo de cimento;
- baixa relação água/cimento;
- compactação e cura apropriadas do concreto fresco;
- Utilização de adições no cimento como, por exemplo, a pozolana.
Porém, alguns desses ou outros fatores como, por exemplo, o alto consumo
de cimento, podem ocasionar um concreto com maior tendência à fissuração.
74
O ACI 201.2R-92 traz uma tabela de recomendações para concreto sujeito a
ataque de sulfato (Tabela 3.6). A coluna relacionada ao cimento contém os tipos
correspondes do Brasil.
Para a exposição leve, o ACI não traz restrições de cimento ou relação
máxima água/cimento, porém a NBR 6118:2003, limita para a condição mais
favorável, (classe de agressividade I), uma relação água/cimento em massa 0,65.
Tabela 3.6 – Recomendações para concreto sujeito a ataque de sulfato
Teor de sulfato solúvel em SO
4
Exposição
No solo (%) Na água (ppm)
Cimento
Relação
água/cimento
máxima
Leve < 0,1 < 150 . .
Moderada 0,1 a 0,2 150 a 1500
Pozolânico ou
com escória
0,50
Severa 0,2 a 2,0 1500 a 10000 CP I RS 0,45
Muito severa > 2,0 > 10000 * 0,45
Fonte: Adaptado do ACI 201.2R-92
* A tabela do ACI 201.2R-92 mostra nesta célula da tabela, um cimento
correspondente ao CP I RS, no qual foi adicionado, através de testes,
pozolana ou escória, para melhorar a sua resistência a sulfatos. Para este
cimento, não há corresponde direto no Brasil.
Segundo Neville (1997, p. 508), quanto à escolha do cimento, o
ACI 201.2R-92 recomenda, para exposição moderada, o uso do tipo II ou de cimento
composto com escória de alto forno ou pozolana. Para exposição severa, é
necessário um cimento resistente a sulfatos; para exposição muito severa, é
necessária uma mistura de cimento resistente a sulfatos e pozolana (entre 25% e
40% do total, em massa) ou escória (no mínimo 70%) que tenha comprovadamente
melhorado a resistência ao ataque por sulfatos.
75
3.1.1.4 Elevado teor de cloreto no concreto
Um das principais ações deteriorantes no concreto através de íons cloreto é a
corrosão da armadura do concreto.
O mecanismo da corrosão ocorre porque os íons cloretos destroem a película
passivadora da armadura do concreto pela presença de água e oxigênio.
A introdução de íons cloreto no concreto pode ocorrer tanto na etapa de
produção do mesmo, através da adição elevada de aditivos com cloretos na sua
composição ou pela utilização de água ou agregados contaminados, como na etapa
de uso por penetração através de diferentes mecanismos, como a absorção capilar
ou a difusão, visto que o concreto possui uma estrutura porosa.
Uma fonte importante de cloretos é a água do mar em contato com as
estruturas de concreto armado, assim como de águas freáticas salobras.
Segundo Neville (1997, p. 559), qualquer que seja a origem, os cloretos
penetram no concreto pela movimentação da água contendo cloretos, bem como por
difusão dos íons na água e por absorção. O ingresso prolongado e repetido pode,
com o tempo, resultar altas concentrações de íons cloreto junto à superfície do aço
da armadura.
Quando o concreto permanece constantemente submerso, os cloretos
penetram até profundidades consideráveis, mas não haverá corrosão a menos que
haja oxigênio presente no cátodo. O ingresso de cloretos é progressivo em concreto
ora exposto à água do mar ora seco.
De acordo com Brandão (1998, p. 60), num ambiente marinho, podem-se
distinguir, basicamente, cinco zonas de exposição. Para cada zona, correspondem
riscos específicos de deterioração. É importante ressaltar que, em geral, não existem
limites bem definidos entre as zonas.
a) Zona Atmosférica
Nesta zona, o concreto nunca está em contato direto com a água do mar. Os
sais são levados até as estruturas pelo vento. Os mecanismos de deterioração mais
freqüentes são: corrosão de metais embutidos no concreto e congelamento.
76
b) Zona de Respingos da Maré
Esta zona situa-se acima do nível de maré alta e está sujeita a molhagem
direta por ondas e respingos. Nela pode ocorrer corrosão de metais embutidos no
concreto, abrasão causada pelas ondas e congelamento.
c) Zona de Variação da Maré
Esta zona situa-se entre os níveis de maré alta e baixa. O concreto fica
submerso em determinados períodos durante o dia. Abrasão causada pelas ondas,
corrosão de metais embutidos no concreto, congelamento, ataque biológico e
químico são as formas de deterioração mais freqüentes.
d) Zona Submersa
Esta zona localiza-se abaixo do nível de maré baixa, em que o concreto fica
permanentemente submerso. Os mecanismos de deterioração predominantes são
ataques químico e biológico.
e) Zona do Leito do Mar
Nesta zona predominam os mesmos mecanismos de deterioração que
ocorrem na zona submersa.
Para estruturas situadas em ambientes marinhos, recomendam-se as
seguintes providências principais:
Minimizar a permeabilidade do concreto (ver item 3.1). A relação
água/cimento deve ser mantida abaixo de 0,5 (CEB Bulletin d’Information
n.182, 1989);
Escolher adequadamente o tipo de cimento, lembrando-se que os
aluminosos, de alto forno e pozolânicos são considerados resistentes aos
sulfatos. Cimentos com baixo teor de CA
3
, embora sejam resistentes aos
sulfatos, são mais permeáveis aos íons cloreto. Tendo em vista a proteção
das armaduras contra a corrosão, o CEB Bulletin d’Information n.182
(1989) sugere adotar teores de C A 3 entre 5% e 10%;
Atentar para aspectos referentes a projeto e execução de juntas, de modo
a assegurar que a fissuração seja mínima;
77
O ACI 201.2R (1992) recomenda adotar resistência característica mínima
do concreto à compressão igual a 35 MPa;
Dispor cobrimento adequado para as armaduras. Valores maiores devem
ser adotados em casos de abrasão. Na zona submersa o cobrimento pode
ser menor;
Promover proteção direta das superfícies de concreto expostas através de
revestimentos apropriados;
As normas, em geral, limitam o conteúdo crítico de cloretos no concreto
fresco. As diferenças entre as mesmas se dão devido às variáveis que cada país
adota como, por exemplo, tipo de cimento, relação água/cimento, conteúdo de
umidade etc. A Tabela 3.7 mostra o limite de cloretos proposto por várias Normas e
a Figura 3.12 resume as condições que podem afetar o limite de cloretos capaz de
despassivar as armaduras.
Geralmente, é aceito o valor médio de 0,4% em relação à massa de cimento
ou 0,05 a 0,1% em relação à massa de concreto.
A NBR 9062:2001 (Projeto e execução de estruturas de concreto pré-
moldado) se reporta ao limite de cloretos da norma NBR 6118:1982, ou seja, teor
máximo de 500 mg/l em relação a água de amassamento, incluindo a contribuição
dos agregados. Para uma relação água-cimento de 0,40 e consumo de cimento de
400 kg por metro cúbico, o limite de cloretos passa a ser da ordem de 0,02% em
relação à massa de cimento, o que é mais exigente que a normalização estrangeira.
Nos casos de elementos pré-moldados protendidos, proíbe-se aditivos que
contenham cloreto de cálcio ou quaisquer outros halogenetos.
78
Tabela 3.7 - Teor limite de cloretos proposto por diversas Normas
Teor de Cloretos Limite
( % em Massa de Cimento )
Concreto Em massa Armado Protendido
EH – 88
( 1 )
pr EN 206
( 2 )
BS-8110-1985
( 3 )
ACI-318-83
(4)
FIP-1985 (Design of concrete
sea structures)
( 5 )
1,5 – 2
1
0,4
0,4
0,2 – 0,4
( * )
0,15 – 0,3 – 1
( ** )
-
( * ) O limite varia em função do tipo de cimento
( ** ) O limite varia em função da agressividade ambiental
(1) Comissión Permanente del Hormigón – Instrución para él prejecto y la ejecución
de obras de hormigón en masa o armado EH-88. Madrid, Ministerio de Obras
Públicas e Urbanismo, Espanha, 1988.
(2) pr EN 206 – Projecte Européen de Normalization (Mercado Comum Europeu).
Performance production, mise en oeuvre et critéres de conformité.
(3) BS 8110 – British Standart (Ingleterra). Structural use of concrete.
(4) ACI 318 – Comite Euro-International du Beton-CEB. Assessment of concrete
structures and design procedures for upgrading (redesign). Paris, Bulletin
D´Information nº 162, August 1983.
(5) FIP – Federation Internationale de la Précontrainte.
Fonte: HELENE 1992, p. 26
79
Figura 3.12 – Esquema de variação do teor crítico de cloretos em função da
qualidade do concreto e da umidade do ambiente.
CONTEÚDO CRÍTICO DE CLORETOS
Cl crítico/cimento
-
U.R. constante <
< 50 %
0,4 %
1 %
( baixo risco de
corrosão processo
eletrolítico impedido )
U.R. elevada
e variável
corrosão )
( alto risco de
de oxigênio
corrosão falta
( baixo risco de
concreto
saturado de água
ambiente
boa qualidade
má qualidade
Concreto não
carbonatado
Concreto
carbonatado
Qualidade
Permeabilidade
Cobrimento
Consumo de cimento
A / C
Cura
Fonte: HELENE 1992, p. 27
3.1.1.5 Reação álcali-agregado
Também conhecida como álcali-sílica, a reação álcali-agregado é uma das
principais reações de característica expansiva, que pode ocorrer, principalmente,
entre os constituintes de sílica reativa de alguns tipos de agregado e os álcalis do
cimento. Este processo reativo ocorre com mais freqüência quando íons álcalis
(Na
+
e K
+
) estão presentes em mais de 0,6%.
80
De acordo com Mehta e Monteiro (1994, apud Hasparyk et al, 2001), a
Reação Álcali-Agregado (RAA) é um fenômeno patológico que pode ocorrer em
estruturas de concreto a partir da reação química entre álcalis, provenientes
principalmente do cimento, e alguns minerais reativos presentes no agregado. Os
produtos gerados a partir dessa reação química, na presença de umidade, são
capazes de expandir e provocar fissuração, deslocamentos estruturais além de
perdas de resistência, elasticidade e durabilidade do concreto. Estruturas
localizadas em ambientes úmidos, tais como barragens, estacas de pontes e
estruturas marinhas podem ser deterioradas por este tipo de reação.
Segundo Neville (1997, p. 158), a reação começa com o ataque dos minerais
silicosos do agregado pelos hidróxidos alcalinos resultantes dos álcalis do cimento.
Isto resulta um gel de álcali-silicato nos planos mais fracos ou poros do agregado
(onde está presente a sílica ativa) ou na superfície das partículas de agregado. No
último caso, forma-se uma zona de alteração superficial característica. Esta pode
destruir a aderência entre o agregado e a pasta que o envolve.
O uso de agregados só podem ocorrer se não for reativo ou, se reativo aos
álcalis do concreto, quando for utilizado cimento com menos que 0,6% equivalente
alcalino expresso em Na
2
O e for adicionado de substâncias que comprovadamente
previnam a expansão prejudicial da reação.
O cimento com menos que 0,6 % equivalente alcalino expresso em Na
2
O é
também chamado de cimento Portland de baixa alcalinidade. Caso este não esteja
disponível, o conteúdo total de álcali no concreto pode ser reduzido pela substituição
de parte do cimento de alta alcalinidade por adições cimentícias ou pozolânicas, tais
como escória granulada de alto forno, cinza volante ou microssílica.
3.1.2 Processos físicos
Neste item serão vistos os principais mecanismos de deterioração do
concreto por processos físicos. O primeiro é o desgaste superficial, o qual é
considerado por alguns autores como processo mecânico.
81
3.1.2.1 Deterioração por desgaste superficial
Um dos principais processos físicos de deterioração do concreto se dá pelo
desgaste superficial, o qual pode ocorrer por três formas diferentes de atrito: a
abrasão, a erosão e a cavitação.
A abrasão ocorre por contato seco, ou seja, o atrito do concreto duro com
outro material sólido. Como exemplo deste caso, pode-se citar o trafego de veículos
tanto em estradas de concreto como em pisos industriais para a movimentação de
veículos internos à fábrica. Outro exemplo é o caso de aparelhos de apoio
desgastados e não trocados ou mesmo juntas e consolos sem algum tipo de
aparelho de apoio que auxilie a movimentação da estrutura sem desgaste.
A resistência mínima à abrasão é difícil de determinar, pois irá depender de
cada caso e intensidade. O Comitê 201 do CIA recomenda uma resistência mínima
de 28 MPa mas, dependendo do caso, esta resistência poderá ser bem maior.
Ensaios específicos devem ser feitos para situações onde a boa prática não for
freqüente.
Os ensaios laboratoriais não são bons para a determinação quantitativa da
vida útil da estrutura em termos de desgaste superficial. Isto se deve pela
dificuldade de simulação em laboratório do caso real, mas podem ser usados para
avaliação da qualidade do concreto e sua resistência a estes tipos de desgastes.
A erosão do concreto ocorre e está relacionada a concreto em contato com a
água ou qualquer outro fluido contendo partículas sólidas em suspensão. Por
razões óbvias, a erosão ocorre em estruturas hidráulicas e de esgotos como canais
e vertedouros.
Segundo Mehta e Monteiro (1994, p. 129), outra possibilidade de dano em
estruturas hidráulicas é por cavitação, que se relaciona à perda de massa pela
formação de bolhas de vapor e sua subseqüente ruptura devida a mudanças
repentinas de direção em águas que fluem com alta velocidade.
A pasta de cimento endurecida não possui alta resistência ao atrito. A vida
útil do concreto pode ser seriamente diminuída sob condições de ciclos repetidos de
atrito, principalmente quando a pasta de cimento do concreto possui alta porosidade
ou baixa resistência, e é inadequadamente protegida por um agregado que não
possui resistência ao desgaste.
82
Vilasboas (2004, p. 28), descreve algumas recomendações para eliminar ou
minimizar os efeitos dos desgastes superficiais:
A velocidade de erosão depende da quantidade, forma, tamanho, massa
específica e dureza das partículas transportadas pela água, bem como da sua
velocidade, da presença de turbilhões e também da qualidade do concreto.
Como no caso da abrasão em geral, a qualidade do concreto, aparentemente,
pode ser avaliada pela resistência à compressão, mas também é importante a
composição da mistura. Em particular, os concretos com agregados de maior
tamanho sofrem menos erosão do que argamassa de mesma resistência e os
agregados com maior dureza aumentam a resistência à abrasão. “No entanto,
em certas circunstâncias, os agregados de tamanho menor levam a uma abrasão
mais uniforme da superfície” (NEVILLE, 1982, p. 482).
Deve-se observar que o processo de atrito físico do concreto ocorre na
superfície, portanto, atenção especial deve ser dada para assegurar que, ao
menos, o concreto na superfície seja de alta qualidade. Para reduzir a formação
de uma superfície fraca, recomenda-se postergar o seu acabamento até que o
concreto tenha perdido a água de exsudação superficial. Pavimentos ou pisos
industriais para carga pesada devem ser projetados para ter uma camada
superficial de 25 a 75 mm, originada de um concreto de baixa relação-água
cimento, contendo agregado duro com dimensão máxima característica de 12,5
mm. Em função do baixo valor da relação água-cimento, camadas superficiais
de concreto, contendo aditivos de látex ou superplastificantes, estão-se tornando
cada vez mais utilizadas para resistência à abrasão ou erosão. Do mesmo modo,
o uso de adições minerais, tais como a microssílica, apresenta possibilidades
interessantes, porque além de causar uma redução substancial na porosidade do
concreto depois da cura úmida, minimiza a sua exsudação. A resistência à
deterioração por infiltração de fluidos e redução do desgaste devido ao atrito
também pode ser atingida pela aplicação de soluções endurecedoras de
superfícies. As soluções mais comumente utilizadas são de fluossilicato de zinco
ou magnésio e de silicato de sódio ou potássio, que reagem com o hidróxido de
cálcio, presente na pasta de cimento Portland, para formar compostos insolúveis,
selando os poros capilares próximos ou na superfície e aumentando um pouco a
resistência do concreto aos ácidos. Segundo Neville (1982, p. 432), quando do
emprego de fluossilicato de magnésio, este acréscimo de resistência decorre,
83
provavelmente, devido à formação de um gel sílico-fluórico coloidal. O
processamento a vácuo pode evitar o desgaste superficial, uma vez que esta
operação é inteiramente livre de falhas e a primeira camada superior de 1 mm de
espessura é muito resistente à abrasão. Este concreto enrijece muito
rapidamente, de modo que as formas podem ser retiradas, aproximadamente, 30
minutos após o lançamento, mesmo em pilares com grande altura. O grau de
proteção dos diferentes tipos de tratamento é variável, mas, em qualquer caso, é
essencial que o revestimento resultante do procedimento seja bem aderente ao
concreto e não seja danificado por ações mecânicas, de modo que se faz
necessário, geralmente, um acesso para inspeção e renovação do revestimento.
Para solucionar os problemas originados pela cavitação, é necessário remover as
causas do fenômeno, tais como: desalinhamentos da superfície ou mudanças
bruscas na declividade, ou seja, executar superfícies lisas e bem acabadas,
isentas de irregularidades como depressões, saliências e juntas, e com
geometria que impeça o descolamento do fluxo do líquido sobre si. A
degradação por cavitação não evolui de forma uniforme; normalmente, depois de
um período inicial em que os danos são pequenos, ocorre uma deterioração
rápida, seguida de um período de deterioração mais lenta.
3.1.2.2 Fissuração
Há diversas causas patológicas que podem ocorrer no concreto, tendo, como
sintoma principal a fissuração do mesmo. Nos itens seguintes a este, serão vistas
algumas das suas principais patologias. Não obstante, a seguir serão mostrados os
efeitos nocivos do fissuramento do concreto, pois o mesmo permite a entrada de
agentes agressivos.
84
Neville (1997, p. 522), apresenta na Figura 3.13 e na Tabela 3.8 uma
representação esquemática de diversos tipos de fissuras e suas possíveis causas.
É oportuno observar que, enquanto o início da fissuração pode ser devido a uma
determinada causa, o seu prosseguimento pode ser devido a outras causas. Assim,
pode não ser sempre tão simples o diagnóstico das causas de fissuração.
B
J
N
C
K
E
F
B
B
D
I
G
H
A
M
Fissuras de
cisalhamento
Fissuras
devidas à flexão
Manchas devidas à
oxidação
Fissuras nas juntas dos
arranques
Figura 3.13 – Representação esquemática dos diversos tipos de fissuras que
podem ocorrer no concreto.
Fonte: CONCRETE SOCIETY 1992 apud NEVILLE, 1997, p. 522
85
Tabela 3.8 – Classificação das fissuras intrínsecas
Tipo
Símbolo
Fig. 3.11
Subdivisão
Posição
mais
comum
Causa
primária
Causa
secundária
Tratamento
Tempo de
surgimento
A
Sobre a
armadura
Seções
espessas
B Arqueamento
Topo de
pilares
Assenta-
mento
Plástico
C
Variação de
profundidade
Lajes
variáveis
Exsudação
excessiva
Secagem
rápida
Revibração
ou redução
de
exsudação
10 min.
a 3 h.
D Diagonal
Lajes e
pavimen-
tos
E Aleatoria Lajes
Secagem
rápida e
prematura
Retração
Plástica
F
Sobre a
armadura
Lajes
armadas
Secagem
rápida e
prematura
ou armadura
perto da
superfície
Exsudação
lenta
Melhorar
cura inicial
30 min.
a 6 h.
G
Restrição
interna
Paredes
espessas
Calor
excessivo
Contração
Térmica
Prematura
H
Restrição
externa
Lajes
espessas
Gradiente
térmico
excessivo
Resfriamen-
to rápido
Reduzir calor
ou isolar
1 dia a 2 ou
3 semanas
I
Lajes e
paredes
delgadas
Lajes e
paredes
delgadas
Retração
excessiva ou
cura
ineficiente
Reduzir água
Melhorar
cura
Algumas
semanas ou
meses
Retração
Hidráulica
em Longo
Prazo
J
Junto às
fôrmas
Paredes
Fôrmas
impermeá-
veis
Misturas
ricas ou cura
não
adequada
Gretamen-
to
K
Concreto
desempena-
do
Placas
Acabamento
excessivo
Misturas
ricas ou cura
não
adequada
Melhorar
cura e
acabamento
1 a 7 dias
às vezes
mais tarde
Carbonatação
Corrosão
da
Armadura
L
Cloretos
Colunas e
vigas
Cobrimento
inadequado
Concreto de
baixa
qualidade
Eliminar
causas
relacionadas
Mais de 2
anos
Reação
Álcali-
agregado
M
Locais
úmidos
Agregado
reativo e
cimento com
alto teor de
álcalis
Eliminar
causas
relacionadas
Mais de 5
anos
Bolhas N Lajes
Água de
exsudação
aprisionada
Usar
desempena-
deira
metálica
Eliminar
causas
relacionadas
Ao toque
Fissuração P
Bodas de
placas
Agregado
danificado
por congela-
mento
Reduzir o
tamanho do
agregado
Mais de 10
anos
Fonte: CONCRETE SOCIETY 1992 apud NEVILLE, 1997, p. 523)
Segundo THOMAZ (1989, apud Righi, 2002, p. 89), a importância do
problema das fissuras é devida a três fatores fundamentais: o aviso de um possível
86
estado de perigo e diminuição da segurança da estrutura, o comprometimento do
desempenho da estrutura frente às características de estanqueidade, durabilidade,
isolamento acústico etc., e o constrangimento psicológico que a fissuração da
estrutura exerce sobre os usuários.
Deve ser lembrado, contudo, que a fissuração do concreto é algo inerente ao
material devido à sua baixa resistência à tração. Quando exposto a tal solicitação, o
concreto naturalmente fissura, mas com uma abertura mínima e imperceptível. Esta
abertura é limitada pelas normas de concreto em todo o mundo e deve ser
respeitada, pois ultrapassando este limite, corre-se o risco das mesmas começarem
a comprometer a utilização adequada da estrutura.
3.1.2.3 Deterioração por ação do congelamento
Em países localizados em zonais tropicais, este tipo de deterioração pela
temperatura ambiente, não ocorre. O Brasil, por exemplo, praticamente não tem
este problema pois, com exceções de algumas poucas cidades, todas as demais
não atingem temperaturas abaixo de 0 ºC. Porém esta ação é encontrada, mesmo
em países tropicais, de forma artificial, pois certos tipos de construções exigem
temperaturas internas bem abaixo do 0 ºC; é o caso de frigoríficos e outras fábricas
de armazenamento de alimentos congelados.
Segundo Mehta e Monteiro (1994, p. 134), em climas frios, danos em
pavimentos de concreto, muros de arrimo, tabuleiros de pontes e dormentes
atribuídos à ação do congelamento (ciclos gelo-degelo) é um dos maiores problemas
que requer pesados gastos para reparo e substituição. As causas da deterioração
do concreto endurecido pela ação do congelamento podem ser relacionadas à
complexa microestrutura do material. Entretanto, o efeito deletério depende não
apenas da característica do concreto, mas também das condições específicas do
ambiente. Assim, um concreto que é resistente ao congelamento, sob certa
condição gelo-degelo, pode ser destruído sob uma condição diferente.
O dano por congelamento no concreto pode ter várias formas. A mais comum
é a fissuração e o destacamento do concreto causado pela expansão progressiva da
matriz da pasta de cimento por repetidos ciclos gelo-degelo.
87
3.1.2.4 Deterioração pela ação do fogo
O concreto é reconhecido como um material muito bom quando a questão é o
fogo. Isto se dá porque, na prática e por questões de segurança, o que mais
interessa, no que diz respeito à ação do fogo, não é exatamente o quanto o material
resiste, mas o período de tempo durante o qual ele é capaz de absorver a esta ação
sem causar-lhe danos irreversíveis.
Segundo Mehta e Monteiro (1994, p. 145), a segurança humana, na
ocorrência de fogo, é uma das considerações no projeto de edificações residenciais,
públicas e industriais. O concreto tem boa reputação quanto a este aspecto. Ao
contrário da madeira e plásticos, o concreto é incombustível e não emite gases
tóxicos quando exposto a altas temperaturas. Diferentemente do aço, quando
sujeito a temperaturas da ordem de 700 a 800 ºC, o concreto é capaz de manter
resistência suficiente por períodos relativamente longos, permitindo assim operações
de resgate pela redução do risco de colapso estrutural. Por exemplo, em 1972,
quando um edifício de concreto armado de 31 andares, em São Paulo (Brasil), foi
exposto a um fogo de alta intensidade por mais de 4 horas, mais de 500 pessoas
foram resgatadas porque o edifício manteve a sua integridade estrutural durante o
incêndio. Nota-se, que do ponto de vista de segurança ao fogo das estruturas de
aço, um cobrimento de concreto de 50 a 100 mm ou qualquer outro material
resistente ao fogo é normalmente especificado pelas normas de construção.
Muitos são os fatores que controlam a resposta do concreto ao fogo, tais
como a qualidade e composição do concreto, a permeabilidade, o tamanho da peça
e a taxa do aumento da temperatura. Estes fatores interagindo entre si, tornam a
análise bastante complexa e de difícil exatidão, motivo este que por si só, este
assunto justifica um trabalho específico deste nível e maior ainda.
De acordo com Brandão (1998, p. 90), um outro aspecto de grande relevância
refere-se ao comportamento das armaduras em situações de incêndios, fator que
condiciona o desempenho do concreto armado quando atacado pelo fogo. O
concreto e o aço reagem de formas distintas à elevação de temperatura. Os aços
empregados em concreto armado não sofrem alterações para temperaturas entre
30
°C e 430 °C. No entanto a partir de 430 °C, ocorre uma queda brusca de
88
resistência, sendo que a 600 °C observa-se perda de cerca de metade do limite de
escoamento.
3.1.2.5 Deterioração devido a gradientes normais de temperatura e umidade
Em edificações com grandes áreas de estruturas de concreto armado, como,
por exemplo, as lajes e cascas, se expostas à insolação e umidade direta, ou seja,
sem uma cobertura de proteção, os efeitos da dilatação e da contração periódicas
são elevados, isto é, a variação entre a maior e a menor temperatura ambiente
durante um mesmo dia, pode gerar fissuras devido à mudança de volume da
estrutura por se tratar de período de tempo relativamente curto.
Em lajes de coberturas onde não há telhado para a proteção contra a ação
direta do intemperismo, deve ser previsto no cálculo estrutural o efeito da dilatação e
da contração da respectiva laje, assim como a sua execução e cura devem ser feitas
de modo a minimizar ao máximo estes efeitos futuros.
A Figura 3.14 mostra um caso onde o efeito de uma variação relativa de
temperatura provocou o aumento das tensões internas e a conseqüente fissuração
de uma laje de cobertura.
Figura 3.14 – Fissura devida a gradiente térmico de temperatura e umidade
89
3.1.2.6 Deterioração devida à ação do carregamento direto
Uma das principais formas de ocorrência de carregamento estrutural indevido
é a mudança de uso, muito comum nos dias atuais. Quando a mudança de uso é
significativa é importante que se recorra a um profissional de engenharia para validar
esta alteração, seja por parecer confirmando, seja recomendando-se um reforço
estrutural. Mas quando o proprietário não considera esta necessidade, corre-se o
risco de um carregamento adicional não previsto no projeto original acarretar danos
à estrutura.
O carregamento direto pode produzir a fissuração excessiva de componentes
estruturais, tais como pilares, vigas e paredes. Se as cargas atuantes tiverem sido
consideradas em projeto, a fissuração excessiva pode decorrer de falha da
execução da peça ou de falha do próprio cálculo estrutural, ou ainda ter sido
originada de uma sobrecarga superior à prevista.
Outro tipo de ocorrência de deterioração devida a ação do carregamento
direto se dá por incorreção na avaliação das cargas, em especial, das cargas
acidental e de vento. A NBR 6120 – Cargas para o cálculo de estruturas de
edificações, na sua Tabela 2, mostra os valores mínimos para cargas verticais. Esta
tabela, apesar de bem detalhada, não indica especificamente todas as
possibilidades de edificações pela dinâmica da vida moderna de criar e adaptar
novos tipos de construções, como os hipermercados, por exemplo, que em
determinadas regiões internas podem ter sobrecargas de aproximadamente 25
kN/m
2
. Casos especiais de carregamento, como o do exemplo anterior, devem ser
sempre determinados por profissional experiente, em conversa com o proprietário
e/ou usuário da edificação e, também, em casos extraordinários, pela determinação
experimental.
3.1.2.7 Fissuração em estado plástico
Este tipo de fissura tem sua origem quando o concreto ainda está no período
de pega ou no início do endurecimento. Os tipos de fissuras podem ser de retração
térmica, retração hidráulica, por secagem rápida ou devida à execução.
90
Segundo CÁNOVAS (1988, p. 206), as retrações hidráulica e térmica
produzem redução dos elementos estruturais que se converterão em trações e em
fissuras ou trincas se o elemento está impedido de deformar-se.
As fissuras por secagem rápida ocorrem quando há um secamento superficial
enérgico nas primeiras horas da execução do concreto ou quando o mesmo ainda
não endureceu.
Há também fissuras em estado plástico devidas à execução que podem
ocorrer pelo movimento de fôrma mal projetada ou mal fixada ou pelo deslocamento
da armadura durante a compactação.
3.1.3 Corrosão da armadura do concreto
A corrosão da armadura do concreto pode ser definida como uma das
principais causas da deterioração do concreto.
Em um sentido mais amplo, a corrosão ocorre porque o metal, para ser
utilizado na sua forma comercial, teve que sofrer um processo químico de redução,
com relação à sua forma original e natural, sendo-lhe aplicado certa quantidade de
energia para tanto. Na natureza, os metais são encontrados como óxidos, sulfetos
etc. A corrosão ocorre porque todo material tende a voltar à sua forma natural e
mais estável.
O metal aço, por ter sido formado por um processo de redução tende a voltar
a seu estado natural através de processo inverso chamado de oxidação, o qual se
dá por uma destruição do material base. Este processo é conhecido como corrosão.
Segundo Gentil (2003, p. 1), num conceito muito difundido e aceito
universalmente pode-se definir corrosão como a deterioração de um material,
geralmente metálico, por uma ação química ou eletroquímica do meio ambiente
aliada ou não a esforços mecânicos. A deterioração causada pela interação físico-
química entre o material e o seu meio operacional representa alterações prejudiciais
indesejáveis, sofridas pelo material, tais como desgaste, variações químicas ou
modificações estruturais, tornando-o inadequado para o uso.
A união do concreto, que possui satisfatória resistência à compressão, com o
aço, que possui elevada resistência à tração é uma das mais bem sucedidas da
história da construção. Esta união é bem sucedida por duas razões básicas: a boa
91
aderência entre o concreto e o aço permitindo, assim, que ambos possam trabalhar
em conjunto e a proteção das barras de aço pelo concreto.
O concreto, por ser altamente alcalino, oferece perfeito ambiente para a ação
do aço. Como visto no item 3.1.1.1, o aço é recoberto pela pasta de cimento
hidratado e forma uma camada passivante ao redor da sua superfície que o protege
da corrosão. Um pH entre 12,5 e 13,5 desta película passivadora mantém esta
condição protetora da armadura do concreto.
Entretanto, as condições ambientais e os vários processos químicos e uma
qualidade do concreto insuficiente com relação à penetrabilidade têm sido as
principais razões para que esta camada protetora seja enfraquecida pela entrada de
agentes agressivos, permitindo, assim a entrada de água e oxigênio causando a
corrosão das armaduras.
Na verdade, mesmo uma estrutura de concreto perfeitamente projetada e
executada, sofre ou sofrerá com o processo da corrosão, mas quanto melhor forem
as recomendações e processos, mais retardado será este tipo de deterioração e a
conseqüente corrosão das armaduras, aumentando, assim, a sua vida útil.
Segundo Mehta e Monteiro (1994, p. 168), espera-se que, quando a armadura
estiver protegida do ar por uma camada adequadamente espessa de concreto de
baixa permeabilidade, a corrosão do aço, e outros problemas associados a ela, não
surgirão. Que esta expectativa não é plenamente satisfeita na prática é evidente
pela freqüência alta com a qual, mesmo as estruturas de concreto armado e
protendido adequadamente construídas continuam a sofrer danos devidos à
corrosão do aço. A magnitude dos danos é especialmente grande em estruturas
expostas a ambientes marinhos e a elementos químicos degelantes.
O processo de corrosão das armaduras resulta em um quadro de expansão e
fissuração do concreto e, em se prosseguindo o mecanismo, o lascamento do
cobrimento da armadura expondo ainda mais o aço à corrosão. Este processo
prejudica sensivelmente a aderência entre o concreto e o aço podendo, assim, a
estrutura sofrer grave dano estrutural.
A corrosão da armadura ocorre em meio aquoso. No concreto isto é
perfeitamente possível porque nem toda a água de amassamento é utilizada na
hidratação do cimento ficando retida nos poros e microporos capilares do concreto.
Além da água para a formação do processo corrosivo, há a necessidade de
92
oxigênio, o qual penetra com maior ou menor facilidade no concreto dependendo de
sua qualidade e permeabilidade.
3.1.3.1 Mecanismos da corrosão do concreto
A corrosão das armaduras do concreto é, normalmente, um processo
eletroquímico com a formação de uma pilha. Uma pilha é um dispositivo no qual
uma reação de oxirredução espontânea produz corrente elétrica. O catodo é o
eletrodo no qual há redução (ganho de elétrons). É o pólo positivo da pilha. O anodo
é o eletrodo no qual há oxidação (perda de elétrons). É o pólo negativo da pilha. No
concreto armado, o processo anódico, ocorrendo no aço, causa a sua dissolução
com liberação de elétrons. O processo catódico acorre também no aço e
caracteriza-se pela combinação do excedente de elétrons no aço com água e
oxigênio, liberando íons hidróxidos. As equações 3.7 e 3.8 representam o processo
anódico e a equação 3.9, o catódico.
(Anodo) Fe
Æ Fe
2+
+ 2e
-
(3.7)
(aço metálico)
Fe O.(H
2
O)x (3.8)
(Ferrugem)
(Catodo) H
2
O + ½O + 2e Æ 2(OH)
-
(3.9)
(água) (ar)
O resultado desta transformação química na armadura do concreto é que
parte dele se torna anodo e outra parte da mesma barra de aço se transforma em
catodo, conforme a Figura 3.15a. Segundo Mehta e Monteiro (1994, p. 169), a
transformação de aço metálico em ferrugem é acompanhada por um aumento no
volume o qual, dependendo do estado de oxidação, pode ser de até 600 % do metal
original (Ver Figura 3.15b). Acredita-se que este aumento de volume seja a causa
principal da expansão e fissuração do concreto.
A equação 3.9 mostra claramente que para a reação progredir há
necessidade da presença simultânea de ar e de água na superfície do cátodo.
93
A formação da ferrugem (Equação 3.8) ocorre pela presença de oxigênio, a
partir dos íons de ferro. A água não participa diretamente da formação da ferrugem,
porém é necessária para que o processo eletrolítico se desenvolva. Os íons cloretos
agem como catalisadores, acelerando a dissolução da barra de aço.
Com base na descrição apresentada e segundo Brandão (1998, p. 85), pode-
se observar que, em concretos secos (umidade relativa do ar abaixo de 60%), sendo
o processo eletrolítico impedido pela insuficiência de água, não haverá corrosão
significativa. Por outro lado, em concretos saturados, a corrosão é retardada pela
pouca disponibilidade de oxigênio, uma vez que a difusão deste elemento em meio
aquoso é bastante lenta. Em ambos os casos, a corrosão estará impedida, mesmo
se a camada passivante tiver sido destruída.
Figura 3.15 – Processo eletroquímico da corrosão do aço no concreto
Fonte: Mehta e Monteiro 1994, p. 170
Verifica-se experimentalmente que estas reações, embora espontâneas,
ocorrem com maior ou menor tendência dependendo do metal envolvido na mesma.
Esta maior ou menor tendência está relacionada com o potencial de o metal receber
ou doar elétrons. Tomando-se o hidrogênio como potencial zero, foi elaborada uma
tabela em ordem preferencial de cessão de elétrons. Esta tabela é conhecida como
tabela de potenciais de eletrodo. A Tabela 3.9 mostra alguns dos principais
potenciais de eletrodos.
94
Tabela 3.9 – Potenciais de eletrodos padrão
Potencial de oxidação
E
O (V)
Reação do eletrodo
Potencial de redução
E
O (V)
+ 2,93 K
+
+ e ' K - 2,93
+ 2,87 Ca
2+
+ 2 e ' Ca - 2,87
+ 2,71 Na
2+
+ 2 e ' Na - 2,71
+ 2,37 Mg
2+
+ 2 e ' Mg - 2,37
+ 1,66 Al
3+
+ 3 e ' Al - 1,66
+ 0,76 Zn
2+
+ 2 e ' Zn - 0,76
+ 0,74 Cr
3+
+ 3 e ' Cr - 0,74
+ 0,44 Fe
2+
+ 2 e ' Fe - 0,44
+ 0,28 Co
2+
+ 2 e ' Co - 0,28
+ 0,14 Sn
2+
+ 2 e ' Sn - 0,14
+ 0,13 Pb
2+
+ 2 e ' Pb - 0,13
0,00 2 H
+
+ 2 e ' H
2
0,00
- 0,34 Cu
2+
+ 2 e ' Cu + 0,34
- 0,68 O
2
+ 2H
+
+ 2e ' H
2
O
2
+ 0,68
- 0,72 H
2
O
2
+ H
+
+ e ' OH + H
2
O + 0,72
- 0,80 Ag
+
+ e ' Ag + 0,80
- 0,92 2Hg
2+
+ 2 e ' Hg
2
2+
+ 0,92
- 0,99 Pb
2+
+ 2 e ' Pb + 0,99
- 1,23 O
2
+ 4H
+
+ 4e ' 2H
2
O + 1,23
- 1,36
Cl
2
+ 2 e ' 2Cl
+ 1,36
- 1,70 Au
+
+ e ' Au + 1,70
- 1,50 Au
+3
+ 3 e ' Au + 1,50
Fonte: GENTIL 2003, p.19
Segundo Gentil (2003, p. 23), a Tabela 3.9 de potenciais oferece a
possibilidade de uma reação processar-se, mas é omissa quanto à velocidade da
reação, isto é, quanto à cinética da reação. Esta limitação mais o fato de as ligas
não serem incluídas nesta tabela de potenciais sugerem o uso de tabelas práticas.
Uma tabela de grande utilidade é a chamada tabela prática de nobreza em água do
mar (Tabela 3.10), na qual os principais metais e ligas mais usadas estão dispostos
de acordo com suas maiores e menores tendências de sofrer corrosão.
95
Tabela 3.10 – Tabela prática de nobreza em água do mar
Extremidade anódica (corrosão)
1. Magnésio 24. Latão Almirantado
2. Ligas de Magnésio 25. Latão Alumínio
3. Zinco 26. Latão Vermelho
4. Alclad 38 27. Cobre
5. Alumínio 3S 28. Bronze
6. Alumínio 61S 29. Cupro-Níquel 90/10
7. Alumínio 63S 30. Cupro-Níquel 70/30 (alto teor de ferro)
8. Alumínio 52 31. Cupro-Níquel 70/30 (baixo teor de ferro)
9. Cádmio 32. Níquel (passivo)
10. Aço doce 33. Inconel (passivo)
11. Aço baixo teor de liga 34. Monel
12. Aço-liga 35. Hastelloy C
13. Ferro fundido 36. Aço AISI 410 (passivo)
14. Aço AISI 410 (ativo) 37. Aço AISI 430 (passivo)
15. Aço AISI 430 (ativo) 38. Aço AISI 304 (passivo)
16. Aço AISI 304 (ativo) 39. Aço AISI 316 (passivo)
17. Aço AISI 316 (ativo) 40. Titânio
18. Chumbo 41. Prata
19. Estanho 42. Grafite
20. Níquel (ativo) 43. Ouro
21. Inconel (ativo) 44. Platina
22. Metal Muntz Extremidade catódica (proteção)
23. Latão Amarelo
Fonte: GENTIL 2003, p.24
Dos diversos tipos de patologias no concreto armado analisadas, as duas
principais que causam a corrosão da armadura são: a carbonatação do cobrimento
da armadura, e conseqüente redução do pH, e a presença de cloreto no concreto
em quantidade suficiente para destruir a camada passivadora do aço.
Segundo Helene (1992, p. 18), como o processo de corrosão depende do
equilíbrio do potencial de eletrodo, pode-se estabelecer uma relação em função do
pH, os quais são representados graficamente em diagramas E x pH, conhecidos
como diagramas de Pourbaix.
96
Os diagramas de Pourbaix estabelecem para cada metal as condições de pH
e potencial nas quais o material se corroe, se passiva ou permanece imune. Na
Figura 3.16 apresenta-se o diagrama simplificado de Pourbaix para o Fe a 25 ºC. O
estado definido como de "passividade" supõe que o metal se recobre de uma capa
de óxidos, transparente, imperceptível e que atua como barreira impedindo a
oxidação posterior.
-0,8
0,0
0,8
0814
E ( V )
pH
-2
-1,8
2,0
16
C
O
R
R
O
S
Ã
O
Fe
2+
Fe
3+
Fe
IMUNIDADE
HFeO
2
CORROSÃO
Fe(OH) (Fe O )
2
34
Fe(OH)
3
(Fe O )
23
PASSIVIDADE
Figura 3.16 – Diagrama simplificado de potencial e pH para o sistema Fe-H
2
O
Fonte: Gentil 2003, p. 23
3.1.3.2 Tipos de corrosão nas armaduras do concreto
Há diversas formas de classificação dos tipos de corrosão. Assim, segundo
Gentil (2003, p. 41), pode-se ter corrosão segundo:
a) a morfologia – como, por exemplo, a uniforme;
b) as causas ou morfologia – como, por exemplo, a galvânica;
97
c) os fatores mecânicos – como, por exemplo, sob tensão;
d) o meio corrosivo – como, por exemplo, pela água do mar;
e) a localização do ataque – como, por exemplo, por pite.
Alguns dos tipos de corrosão possuem múltiplas classificações. Em geral, e
com relação à armadura do concreto, os tipos de corrosão mais freqüentes são:
generalizada, por pite e sob tensão, como ilustrado na Figura 3.17.
CORROSÃO DE ARMADURAS
GENERALIZADA
LOCALIZADA
POR PITE
SOB TENSÃO
Figura 3.17 – Tipos de corrosão de armaduras
a) Corrosão generalizada – Este tipo de corrosão ocorre em toda ou grande
parte da superfície da barra de aço, reduzindo a sua espessura. É resultante
da redução do pH do concreto devido à carbonatação do mesmo com a
conseqüente destruição da película passivadora. A corrosão generalizada
pode-se apresentar de forma uniforme ou irregular. A Figura 3.18 mostra um
caso típico deste tipo de corrosão.
98
Figura 3.18 – Corrosão generalizada
Fonte: GENTIL 2003, p. 43
b) Corrosão por pite – Este é um tipo de corrosão localizada. É também
chamada de puntiforme e caracteriza-se por pequenos pontos de corrosão na
superfície metálica, os quais podem evoluir a ponto de causar a ruptura
pontual da barra de aço. É gerada principalmente pela ação de íons
agressivos, como os cloretos e sulfatos, como ilustrado na Figura. 3.19.
Figura 3.19 – Tipo de corrosão por pite
Fonte: GENTIL 2003, p. 43
c) Corrosão sob tensão – A corrosão sob tensão, também conhecida como
tensão fissurante, pode ocorrer em cabos de aço que sofrem grande tensão.
Segundo Gentil (2003, p.44), esta corrosão se processa entre os grãos da
rede cristalina do material metálico perdendo-se, assim, suas propriedades
mecânicas, como ilustrado na Figura 3.20.
Figura 3.20 – Corrosão sob tensão fraturante
Fonte: GENTIL 2003, p. 44
4 - A DURABILIDADE COMO ÊNFASE DA NORMA NBR 6118:2003
Um dos principais pontos da Norma NBR 6118:2003 - projeto de estruturas de
concreto - é a durabilidade do concreto. O texto anterior da norma não privilegiava
este assunto, sendo, portanto, um dos aspectos pelo qual, nas últimas décadas, ter-
se visto tantas estruturas relativamente novas com problemas patológicos graves
dando origem à necessidade de recuperação ou reforço com poucos anos de idade.
Neste capítulo serão enfocados alguns dos principais critérios da norma que
visam garantir a durabilidade das estruturas de concreto. Serão feitas análises
comparativas com a norma anterior e com outras normas internacionais para as
estruturas projetadas.
Com base nestas análises será feita uma proposta de revisão das classes
ambientais de acordo com o consenso da viabilidade de aplicação dos parâmetros
da norma atual.
4.1 D
IRETRIZES PARA A DURABILIDADE
Pode-se definir diretriz como a linha segundo a qual se traça um plano ou o
conjunto de instruções ou indicações para se levar a termo um negócio. Desta
forma a NBR 6118:2003 teve por base as seguintes instruções:
- exigências da durabilidade;
- vida útil de projeto;
- mecanismos de envelhecimento e deterioração e
- agressividade do ambiente.
100
4.1.1 Exigências da durabilidade e vida útil
O item 6.1 da NBR 6118:2003, sobre as exigências da durabilidade, descreve
que "as estruturas de concreto devem ser projetadas e construídas de modo que sob
as condições ambientais previstas na época do projeto e quando utilizadas conforme
preconizado em projeto conservem suas segurança, estabilidade e aptidão em
serviço durante o período correspondente à sua vida útil." No item 6.2, a norma
descreve vida útil de projeto.
As primeiras versões da norma atual estabeleciam textualmente um princípio
que já estava difundido entre o meio técnico nacional e internacional de uma vida útil
de projeto de 50 anos, porém no texto final este período ficou apenas implícito.
Normas européias, como inglesa (BS 7543) e a do Comitê Europeu de Normalização
(CEN / EN 206, 1994) apresentadas nas Tabelas 4.1 e 4.2 respectivamente, adotam
para a vida útil de projeto, desde período de um ano para estruturas provisórias até,
para obras de caráter permanente, períodos de 50, 75 ou até superiores a 100 anos.
Tabela 4.1 - Vida útil de projeto recomendada pelos ingleses
BS 7543, 1992 Guide to Durability of Buildings and Buildings
Elements, and Components Products
Vida útil Tipo de estrutura
= 10 anos Temporárias
= 10 anos Substituíveis
= 30 anos Edifícios industriais e reformas
= 60 anos Edifícios novos e reformas de edifícios públicos
= 120 anos Obras de arte e edifícios públicos novos
Fonte: HELENE, 2004
Outras Normas editadas mais recentemente como o ACI-318, a Norma
argentina (Proyecto de Reglamento Argentino de Estructuras de Hormigón - Edición
noviembre 2002) no item 2.2.1.3, e a nova Norma européia, o prEN-1992-1-1
General Rules, versão dec/2003 (EUROCODE 2:2003 - Design of concrete
structures), no item 4.4.1.2 (5), também descrevem claramente que as estruturas
101
projetadas de acordo com o que as mesmas se destinam, deverão ter uma vida útil
em serviço de 50 anos.
Tabela 4.2 - Vida útil de projeto recomendada pelas normas européias
Comitê Europeu de Normalização CEN / EN 206, 1994
Vida útil Tipo de estrutura
1 a 5 anos Temporárias
= 25 anos Substituíveis
= 50 anos Edifícios novos
= 100 anos Obras de arte novas
Fonte: HELENE, 2004
Deve-se destacar que no item 6.1 da NBR 6118:2003, quando se descreve a
exigência de a estrutura dever se conservar durante o período de sua vida útil, a
mesma não descreve claramente neste parágrafo de que vida útil se está
relacionando, se a vida útil em serviço ou se vida útil de projeto, o que parece ser o
provável, visto que no item seguinte ela conceitua a de projeto.
As primeiras normas descritas, assim como a NBR 6118:2003, como se
entende, utilizam o critério da vida útil de projeto, mas as novas normas editadas
utilizam o critério da vida útil em serviço.
Como se observa na Figura 4.1, e segundo Helene (2004), podem ser
definidas as seguintes “vidas úteis”;
a) Período de tempo que vai até a despassivação da armadura, normalmente
denominado de período de iniciação. A esse período de tempo pode-se associar
a chamada vida útil de projeto. Normalmente corresponde ao período de tempo
necessário para que a frente de carbonatação ou a frente de cloretos atinja a
armadura. O fato da região carbonatada ou de um certo nível de cloretos atingir
a armadura e teoricamente despassivá-la, não significa que necessariamente a
partir desse momento haverá corrosão importante, apesar de que em geral ela
ocorre. Esse período de tempo, no entanto, é o período que deve ser adotado
no projeto da estrutura, a favor da segurança;
b) Período de tempo que vai até o momento em que aparecem manchas na
superfície do concreto, ou ocorrem fissuras no concreto de cobrimento, ou ainda
quando há o destacamento do concreto de cobrimento. A esse período de
102
tempo associa-se a chamada vida útil de serviço ou de utilização. … muito
variável de caso a caso pois em certos locais é inadmissível que uma estrutura
de concreto apresente manchas de corrosão ou fissuras. Em outros casos
somente o início da queda de pedaços de concreto, colocando em risco a
integridade de pessoas e bens, pode definir o momento a partir do qual deve-se
considerar terminada a vida útil de serviço;
Tempo
D
e
s
e
m
p
e
n
h
o
redução de secção
perda de aderência
destacamentos
fissuras
manchas
despassivação mínimo de
projeto
serviço
mínimo de
ruptura
mínimo de
vida útil de projeto
vida útil de serviço 1
vida útil de serviço 2
vida útil última ou total
vida útil residual
vida útil residual
Figura 4.1 – Conceituação de vida útil das estruturas de concreto tomando-se
por referência o fenômeno da corrosão das armaduras
Fonte: HELENE, 2004
c) Período de tempo que vai até a ruptura ou colapso parcial ou total da estrutura.
A esse período de tempo associa-se a chamada vida útil última ou total.
Corresponde ao período de tempo no qual há uma redução significativa da
seção resistente da armadura ou uma perda importante da aderência armadura /
concreto, acarretando o colapso parcial ou total da estrutura;
d) Nessa modelagem foi introduzido ainda o conceito de vida útil residual, que
corresponde ao período de tempo em que a estrutura ainda será capaz de
desempenhar suas funções, contado neste caso a partir da data, qualquer, de
103
uma vistoria. Essa vistoria e correspondente diagnóstico pode ser efetuado a
qualquer instante da vida da estrutura. O prazo final, neste caso, tanto pode ser
o limite de projeto, o limite das condições de serviço, quanto o limite de ruptura,
dando origem a três vidas úteis residuais; uma mais curta contada até a
despassivação da armadura, outra até o aparecimento de manchas, fissuras ou
destacamento do concreto e outra longa contada até a perda significativa da
capacidade resistente do componente estrutural ou seu eventual colapso.
Observa-se, portanto, que as novas versões de Normais internacionais
entendem que a adoção da vida útil de projeto é por demais conservadora,
adotando-se, então, a vida útil de serviço.
A previsão de vida útil das estruturas de concreto pode ser feita por um dos
quatro modelos ou métodos descritos a seguir:
a) Modelo empírico – Este modelo é fundamentado na garantia de durabilidade pela
especificação de exigências construtivas baseadas em experiências anteriores.
Este pode ser considerado o modelo adotado pelas primeiras normas de concreto
que se tem conhecimento, datadas de 1903 na Suíça, de 1904 na Alemanha, de
1906 na França e de 1907 na Inglaterra. O principal parâmetro adotado era o
cobrimento da armadura de concreto. A norma suíça e dos outros países faziam
referência à durabilidade somente especificando requisitos mínimos de relação
água/cimento, cobrimentos e consumo de cimento. Apesar de fazer sentido do
ponto de vista da qualidade do concreto, estas normas não correlacionavam a
agressividade ambiental a suas exigências diretamente.
No Brasil a primeira norma sobre estruturas de concreto
data de 1931 e
estabelecia as seguintes exigências:
- Consumo de cimento 240 kg/m
3
, sempre;
- Consumo de cimento 270 kg/m
3
, nas partes expostas;
- Consumo de cimento 300 kg/m
3
, para pontes;
- Água de amassamento não deve conter cloretos, sulfatos e nem matéria
orgânica;
- Cobrimento de 1,0 cm para lajes interiores e 1,5 cm para exteriores e
- Cobrimento de 1,5 cm para pilares e vigas e 2,0 cm para exteriores.
Observa-se que a norma brasileira pouco mudou durante aproximadamente 70
anos no que diz respeito à durabilidade e vida útil. Até a versão de 1978 da NBR
104
6118:2003 não se relacionavam as exigências que garantiriam qualidade ao
concreto e a proteção do cobrimento com o ambiente em que a estrutura estaria
exposta.
b) Com base em ensaios acelerados – Este é um método baseado em ensaios
acelerados do envelhecimento natural dos materiais. Foi primeiramente
introduzido pelos americanos na norma ASTM E 632. Esta norma estabelece que
um estudo de previsão de vida útil deve ter a seguinte seqüência:
- Definir requisitos e critérios de desempenho para as condições de serviço;
- Caracterizar o material ou componente;
- Selecionar os indicadores de deterioração;
- Identificar os agentes agressivos;
- Identificar os mecanismos de deterioração;
- Adotar ensaios que podem representar o envelhecimento natural;
- Definir os requisitos de desempenho que serão avaliados nos ensaios;
- Realizar ensaios exploratórios;
- Conduzir os ensaios acelerados de envelhecimento natural;
- Desenvolver modelos matemáticos representativos dos fenômenos
observados;
- Estabelecer critérios de desempenho e
- Estimar a vida útil em condições de serviço.
Este método apresentado aplica-se melhor ao estudo de materiais e/ou
componentes de base orgânica. Porém, nos últimos anos tem havido grandes
progressos nos métodos de ensaios acelerados, de fundamento eletroquímico,
em câmaras de carbonatação e em câmaras de “salt-spray”. Sendo assim,
poderá ser possível que futuramente estes métodos venham a serem mais
utilizados no projeto e execução de estruturas de concreto.
c) Modelos numéricos e deterministas – Este método baseia-se nos mecanismos de
transporte de gases, massa e íons através dos poros do concreto, no período de
iniciação da corrosão – modelo de TUUTTI (1982) – e na lei de Faraday, no
período de propagação da corrosão da armadura. Os modelos numéricos e
deterministas de previsão de vida útil das estruturas de concreto devem ser
considerados separadamente; relativos à corrosão das armaduras ou relativos a
deterioração do concreto.
105
No caso dos modelos relacionados à corrosão das armaduras existem
modelagens específicas para os fenômenos de degradação de carbonatação e
difusão de cloretos. Para os segundos, relativos à deterioração do concreto, ainda
não há modelos matemáticos satisfatórios sendo que as avaliações ainda se
baseiam em análises qualitativas.
Os modelos numéricos ou deterministas consideram basicamente dois fatores: a
qualidade do concreto e a espessura de cobrimento que deve ser percorrida por
agentes agressivos até a armadura. Sobre estes modelos HELENE (1997)
argumenta que a qualidade, neste caso, é entendida como sendo os parâmetros
do concreto com relação ao transporte de íons, gases e líquidos em através de
seus poros, ou seja, coeficiente de difusão, permeabilidade, coeficiente de
migração e absorção capilar.
Durante a fase de projeto, para a avaliação da vida útil e determinação do
cobrimento das armaduras em função da classe de resistência do concreto e da
agressividade do ambiente, CARMONA (1998) apresenta dois nomogramas que
podem ser utilizados na prática, entendendo-se por cobrimento mínimo
característico o que é superado pelo menos em 95% das ocorrências na obra.
Carbonatação em faces externas dos componentes estruturais de
concreto expostos a intempérie
0,1
1
10
110
5
50
0,5
2
5
100
Espessura mínima de cobrimento de
concreto a armadura mais ex
p
osta
(
cm
)
C10
C20
C30
C40
C45
C50
C15
C25
C35
AF
+20%
POZ
+10%
Idade da estrutura em anos
Figura 4.2 Ábaco para obtenção da espessura de cobrimento das armaduras em
função do ambiente, do concreto (C10 a C50) e da vida útil desejada
(1 a 100 anos)
Fonte: CARMONA 1998, apud RIGHI 2002, p. 55
106
Difusão de cloretos em faces externas dos componentes
estruturais de concreto expostos a respingos de maré
Espessura mínima de cobrimento de
concreto a armadura mais exposta (cm)
1
10
1 10 100
5
50
5
C10
C2
C30
C40
C45
C50
C15
C25
C35
C20
microssílica
-20%
C
3
A 12%
-20%
Idade da estrutura, em an
os
Figura 4.3 – Ábaco para obtenção da espessura de cobrimento das armaduras
em função do ambiente (zona urbana, industrial, marinha ou rural), do concreto
(C10 a C50) e da vida útil desejada (1 a 100 anos)
Fonte: CARMONA 1998, apud RIGHI 2002, p. 55
Estes ábacos foram construídos considerando-se a equação básica
dos métodos deterministas:
tKX =
(4.1)
Os principais mecanismos de transporte de líquidos e gases em um
meio poroso, como absorção capilar, permeabilidade, migração e difusão, podem ser
representados por funções dependentes da raiz quadrada do tempo. Acredita-se que
em pouco tempo o concreto também poderá ser classificado em função do
coeficiente K de penetração para agente agressivo em estudo.
ANDRADE et al (1990) apresenta outro modelo que, considerando o
modelo de vida útil de Tuutti, permite uma análise da vida útil residual, no período de
propagação da corrosão, da estrutura de concreto a partir de medições dos
diâmetros das barras e da intensidade de corrosão (i
corr
) e, conseqüentemente da
velocidade de diminuição do diâmetro das barras.
107
Segundo estes modelos deterministas, a vida útil de uma estrutura de
concreto pode ser atingida combinando-se adequadamente a qualidade do concreto
e o cobrimento. Isto é, poder-se-ia atingir a vida útil desejada para a estrutura com o
uso de um concreto de qualidade superior e cobrimento reduzido, ou aumentando-se
o cobrimento e reduzindo a qualidade do concreto.
VIDA ÚTIL - ANOS
Concreto
Fissurado
i
corr
= uA/cm
2
Concreto não Fissurado
natureza dos produtos de
corrosão
Fissuras podem ou não ocorrer em
função da
DIÂMETRO DA BARRA - mm
ESPESSURA TOTAL CORROÍDA DA BARRA
mm 10
-3
Figura 4.4 – Nomograma para obtenção da vida útil residual, em anos, sem
fissuração, em função da corrente de corrosão, i
corr
Fonte: CARMONA 1998, apud RIGHI 2002, p. 56
d) Modelos estocásticos ou probabilistas - Segundo Helene (2004), evidentemente a
vida útil do componente estrutural deve ser contada desde o momento do término
da sua construção incluindo, portanto, o período de iniciação e o de propagação
da corrosão. A separação é, no entanto, necessária pois no período de iniciação
os fenômenos estão relacionados à difusão de cloretos e à carbonatação, ou seja,
ligados direta e exclusivamente à qualidade do concreto de cobrimento e à
agressividade do ambiente. No período de propagação os fenômenos são
essencialmente de corrosão eletroquímica.
Os documentos básicos de referência obrigatória deste quarto, mais moderno e
mais realístico método de introdução da durabilidade no projeto das estruturas de
concreto são; o ASTM
32 STP 1098 de 1990, o RILEM Report 1233 de 1995, o
RILEM report 14
34 de 1996 e o CEB Bulletin 23835 de 1997.
Este é o método mais realístico e moderno conhecido para a análise da
durabilidade de uma estrutura de concreto. Por este método, são admitidas
distribuições Gaussianas para as ações agressivas e distribuições Log-normal ou
108
Normal para as resistências da estrutura a tais ações de deterioração. Com base
na distribuição de probabilidade de Weisbull, da teoria de falha, indicada pelos
coeficientes β, pode-se encontrar a espessura do cobrimento apropriada para
garantir uma probabilidade pequena de ocorrência, a uma determinada idade da
estrutura, do término da vida útil de projeto.
Considerando-se a deterioração no tempo (S,t) a espessura de carbonatação da
função c = K
CO2
t
–1/2
, com um coeficiente de variação de 25%, e como função de
resistência no tempo (R,t) a espessura de cobrimento c com um coeficiente de
variação de 25%, segundo a equação:
),(),(
)],(),([
)(
22
tRtS
tStR
t
σσ
µ
µ
β
+
= (4.2)
onde:
)(t
β
= coeficiente de probabilidade
),( tR
µ
= valor médio de R na idade t
),( tS
µ
= valor médio de S na idade t
),(
2
tS
σ
= variância de S na idade t
),(
2
tR
σ
= variância de R na idade t
obtém-se:
2
2
2
2
)()(
)(
tKc
tKc
t
co
co
+
=
δδ
β
(4.3)
sabendo-se o valor de K
CO2
para dois concretos, um de 15 MPa e outro de 40
MPa, considerando a vida útil da nova NBR 6118:2003 de 50 anos, e
substituindo-se os valores dos coeficientes de variação, obtém-se )(t
β
como
função exclusiva do cobrimento.
A partir desta expressão é possível calcular qual a espessura de cobrimento c que
admitiria qualquer probabilidade de estrutura de concreto apresentar
despassivação por carbonatação a uma idade de 50 anos.
109
4.1.2 Agressividade ambiental
Está claro que a agressividade do ambiente é fator de grande influência na
durabilidade do concreto. As normas de concreto de todo o mundo editadas nessas
últimas duas décadas tornaram claras em seu texto a necessidade de uma
classificação conforme os micro e macro climas da região em que a estrutura de
concreto está sendo projetada e executada.
A NBR 6118:2003, demonstrando esta preocupação, incorpora no item 6.4.1
o seguinte texto: "A agressividade do meio ambiente está relacionada às ações
físicas e químicas que atuam sobre as estruturas de concreto, independentemente
das ações mecânicas, das variações volumétricas de origem térmica, da retração
hidráulica e outras previstas no dimensionamento das estruturas de concreto". A
classificação da agressividade ambiental é mostrada na Tabela 4.3.
Tabela 4.3 – Classes de agressividade ambiental
Classe de
agressividade
ambiental
Agressividade
Classificação geral do tipo
de ambiente para efeito de
projeto
Risco de
deterioração da
estrutura
Rural
I Fraca
Submersa
Insignificante
II Moderada Urbana
1), 2)
Pequeno
Marinha
1)
III Forte
Industrial
1), 2)
Grande
Industrial
1), 3)
IV Muito forte
Respingo de maré
Elevado
1)
Pode-se admitir um microclima com uma classe de agressividade mais branda (um nível acima)
para ambientes internos secos (salas, dormitórios, banheiros, cozinhas e áreas de serviço de
apartamentos residenciais e conjuntos comerciais ou ambientes com concreto revestido com
argamassa e pintura).
2)
Pode-se admitir uma classe de agressividade mais branda (um nível acima) em: obras em regiões
de clima seco, com umidade relativa do ar menor ou igual a 65%, partes da estrutura protegidas de
chuva em ambientes predominantemente secos, ou regiões onde chove raramente.
3)
Ambientes quimicamente agressivos, tanques industriais, galvanoplastia, branqueamento em
indústrias de celulose e papel, armazéns de fertilizantes, indústrias químicas.
Fonte: NBR 6118:2003
110
Segundo Helene (2004), a classificação da agressividade do ambiente, com
base nas condições de exposição da estrutura ou suas partes, deve levar em conta
os micro e macro climas atuantes sobre a obra e suas partes críticas.
No caso de agressividade ao concreto, um outro critério mais rigoroso pode
ser a avaliação através de determinações específicas conforme os valores
referenciais propostos pelo CEB / FIP Model Code 1990, apresentados na
Tabela 4.4.
Tabela 4.4 - Classificação da agressividade ambiental visando a durabilidade
do concreto. Avaliação através de determinações específicas
Classe de
agressividade
pH
CO
2
agressivo
mg/L
Amônia
NH
4
+
mg/L
Magnésio
Mg
2+
mg/L
Sulfato
SO
4
2
mg/L
Sólidos
dissolvidos
mg/L
I > 6,0 < 20 < 100 < 150 < 400 > 150
II 5,9 – 5,1 20 – 30 100 – 150 150 – 250 400 – 700 150 – 50
III 5,0 – 4,5 30 – 100 150 – 250 250 - 500 700 - 1500 < 50
IV < 4,5 > 100 > 250 > 500 > 1500 < 50
Fonte: CEB / FIP Model Code 1990, apud HELENE 2004
"São observados:
1. No caso de solos a análise deve ser feita no extrato aquoso do solo;
2. Água em movimento, temperatura acima de 30 ºC, ou solo agressivo muito
permeável conduz a um aumento de um grau na classe de agressividade.
3. Ação física superficial tal como abrasão e cavitação aumentam a velocidade de
ataque químico." (HELENE, 2004).
Embora se verifique que houve um grande avanço ao se introduzir o conceito
da classe de agressividade ambiental na Norma NBR 6118:2003, deve-se observar
que nesta primeira versão da norma, a sua aplicação deu-se de forma resumida.
Normas mais recentes, como o prEN-1992-1-1 General Rules, versão dez/2003
(EUROCODE 2: Design of concrete structures) e a Norma argentina (Proyecto de
Reglamento Argentino de Estructuras de Hormigón - Edición noviembre 2002),
trazem em suas versões classificações mais detalhadas do ambiente agressivo. A
Tabela 4.5 mostra os valores do EUROCODE 2, versão 2003, para a classe de
111
agressividade ambiental. A norma argentina foi feita baseada no ACI 318 (American
Concrete Institute).
Em linhas gerais, as classificações feitas por essas normas se baseiam na
possibilidade de deterioração do concreto e/ou na corrosão das armaduras segundo
os seguintes critérios:
- Sem risco de corrosão;
- Corrosão por carbonatação;
- Corrosão por cloreto;
- Corrosão por cloreto de água do mar;
- Ataque por congelamento e degelo do concreto e
- Ataque químico.
Além desta classificação, existe uma subclasse específica de acordo com o
ambiente, como por exemplo, se é seco, molhado, com umidade moderada etc. A
última coluna é reservada para se colocar exemplos práticos onde as classes de
exposição podem ocorrer.
A classificação resumida da agressividade ambiental pode trazer, em alguns
casos, dificuldade em se classificar algumas áreas específicas. Uma outra medida,
além de melhor detalhar as classes, seria descrever de forma clara na norma o
significado e os limites dos parâmetros Fraca, Moderada, Forte e Muito forte.
4.2 C
RITÉRIOS PARA A DURABILIDADE
O capítulo 7 da NBR 6118:2003 descreve os critérios de projeto que visam à
durabilidade, a saber:
- drenagem;
- formas arquitetônicas e estruturais;
- qualidade do cobrimento de concreto;
- detalhamento das armaduras;
- controle da fissuração;
- medidas especiais e
- inspeção e manutenção preventiva.
112
Tabela 4.5 – Classe de exposição relacionada a condição ambiental conforme
EN 206-1
Designação
da classe
Descrição do ambiente
Exemplos informativos onde classes de
exposição podem acontecer
1. sem risco de corrosão
X0
- Para concreto sem armadura ou metal
embutido: para todas as exposições, com exceção
onde há gelo-degelo, abrasão ou ataque químico
- Para concreto com armadura ou metal
embutido: ambiente muito seco
Interior de edifícios com muito baixa umidade de
ar
2. corrosão induzida por Carbonatação
XC1
Seco ou permanentemente molhado
Interior de edifícios com baixa umidade de ar.
Locais permanentemente submersos
XC2
Molhado, raramente seco
Superfícies de concreto sujeito a contato de água a
longo prazo. Muitas fundações
XC3
Umidade moderada
Interior de edifícios com umidade de ar
moderada ou alta. Concreto externo
protegido da chuva
XC4
Ciclos seco e molhado
Superfícies de concreto em contato com água e
fora da classe de exposição
XC2
3. Corrosão induzida por cloreto
XD1
Umidade moderada
Superfícies de concreto expostas a cloreto no ar
XD2
Molhado, raramente seco
Piscinas
Peça de concreto exposta a águas industriais
que contem cloreto
XD3
Ciclos seco e molhado
Partes de pontes expostas a respingos contendo
cloreto.
Pavimentos.
Lajes de estacionamento de carro
4 Corrosão induzida por cloreto de água de mar
XS1
Exposto a sal no ar mas não em contato
direto com água de mar
Estruturas perto ou na costa
XS2
Permanentemente submersa
Partes de estruturas marinhas
XS3
Respin
g
os de maré
Partes de estruturas marinhas
5. Ataque por congelamento e gelo-degelo do concreto
XF1
Moderada água saturada, sem agente para a
retirada do gelo
Superfícies verticais de concreto expostas a
chuva e gelo
XF2
Moderada água saturada, com agente para a
retirada do gelo
Superfícies verticais de concreto de
estradas expostas a chuva e gelo
XF3
Saturação por maré alta,
sem agente para a
retirada do gelo
Superfícies horizontais de concreto
expostas a chuva e gelo
XF4
Saturação por maré alta, com
agente para a
retirada do gelo
Zona marinha de respingo com estruturas
expostas a congelamento.
6. Ataque químico
XA1
Ambiente químico ligeiramente agressivo de
acordo com EN 206-1, Tabela 2
Solos naturais e solo úmido
XA2
Ambiente químico moderadamente agressivo
de acordo com EN 206-1, Tabela 2
Solos naturais e solo úmido
XA3
Ambiente químico altamente agressivo de
acordo com EN 206-1, Tabela 2
Solos naturais e solo úmido
Fonte: EUROCODE 2:2003
113
Todos estes itens são relevantes e deve, o projetista, dispensar,
necessariamente, os melhores esforços para que se tenha uma estrutura durável e
sem necessidade de manutenção corretiva em todo o período de sua vida útil.
4.2.1 A qualidade do cobrimento de concreto
Para que o aço e o concreto atuem em conjunto durante o período de vida útil
da estrutura algumas necessidades são impostas e uma delas é que a pasta de
cimento hidratada proteja o aço, através da película passivadora. Para tanto, é
necessário que o concreto de cobrimento, ilustrado na Figura 4.2, tenha espessura,
propriedades e qualidades adequadas ao ambiente em que está inserido.
É de uso comum, quando se determinam as propriedades e qualidades do
concreto, fazer as mesmas considerações para toda a peça, por isso deve-se ter o
cuidado necessário na execução para que a região do cobrimento tenha,
obrigatoriamente, as mesmas características de toda a peça, e isto se consegue
com um preparo adequado de todas as etapas da execução, ou seja, seleção,
transporte e ensaios, quando e os que necessários, de todos os materiais,
lançamento, adensamento e cura do concreto.
Além destes itens, há de se importar com as fôrmas e espaçadores para que
a armadura não se desloque, o que pode acarretar a diminuição da espessura do
cobrimento.
Figura 4.5 – Delimitação da região do cobrimento das armaduras
114
A necessidade da boa qualidade desta região se evidencia não somente por
esta fazer parte do conjunto da peça de concreto, mas porque é esta região que se
põe como barreira para a entrada de agentes agressivos ao concreto e,
principalmente à armadura evitando-lhe a corrosão.
De acordo com Brandão (1998, p. 102), deve-se garantir uma qualidade
adequada do concreto nas camadas superficiais dos elementos estruturais. É
necessário que este concreto seja denso, bem compactado e bem curado, resistente
e de baixa permeabilidade e que não apresente fissuras com aberturas excessivas.
As condições de moldagem e de cura exercem influência decisiva na permeabilidade
desse concreto superficial.
Na ausência de ensaios comprobatórios de desempenho da durabilidade de
uma determinada estrutura, a norma NBR 6118:2003 indica o uso da Tabela 4.6.
Tabela 4.6 – Correspondência entre classe de agressividade e qualidade do
concreto
Classe de agressividade (Tabela 4.1)
Concreto Tipo
I II III IV
CA 0,65 0,60 0,55 0,45
Relação
água/cimento em
massa
CP 0,60 0,55 0,50 0,45
CA C20 C25 C30 C40
Classe de concreto
(ABNT NBR 8953)
CP C25 C30 C35 C40
NOTAS
1 O concreto empregado na execução das estruturas deve cumprir com os requisitos
estabelecidos na ABNT NBR 12655.
2 CA corresponde a componentes e elementos estruturais de concreto armado.
3 CP corresponde a componentes e elementos estruturais de concreto protendido.
Fonte: NBR 6118:2003
As estruturas projetadas e executadas em concreto protendido não são
analisadas em particular, embora se entenda que muitas das questões aqui
analisadas, e certamente as que dizem respeito ao material concreto, são inerentes
tanto a este como àquele tipo de estrutura.
115
A classe de força de concreto indicada na Tabela 4.6 está coerentemente de
acordo com a Tabela 4.3, mas pelo fato de a tabela de agressividade ambiental,
apesar de ter sido de grande evolução, estar posta aparentemente de forma
resumida, a Tabela 4.6 também o está, pois segue o mesmo padrão. Da mesma
forma, normas mais recentes, como o prEN-1992-1-1 General Rules, versão
dec/2003 (EUROCODE 2:2003 - Design of concrete structures) e a Norma argentina
(Proyecto de Reglamento Argentino de Estructuras de Hormigón - Edición noviembre
2002), trazem em suas versões, classificações de classe de concreto mais
detalhadas. A Tabela 4.7 mostra os valores do EUROCODE 2:2003, para as
classes de concreto com relação à agressividade do ambiente em que se encontra.
Tabela 4.7 – Classe de concreto
Classe de agressividade de acordo com a Tabela 4.6
Corrosão
Corrosão induzida por
carbonatação
Corrosão induzida
por cloreto
Corrosão induzida
por cloreto de água
de mar
XC1 XC2 XC3 XC4 XD1 XD2 XD3 XS1 XS2 XS3
Classe de
concreto
C20/25 C25/30 C30/37 C30/37
C35/45 C30/37 C35/45
Deterioração do concreto
Sem risco Ataque por gelo-degelo Ataque químico
X0 XF1 XF2 XF3 XA1 XA2 XA3
Classe de
concreto
C12/15 C30/37 C25/30 C30/37 C30/37 C35/45
Fonte: EUROCODE 2 2003
Outro parâmetro importante no EUROCODE 2:2003 é a inclusão da classe
estrutural. A importância desta se dá pela razão de, através dela, poder-se
posicionar a vida útil em serviço a que se pretende. No caso de 50 anos, por
exemplo, a classe adotada é a S4, que é usada como parâmetro para as demais.
Em outra tabela, o EUROCODE 2:2003 mostra as permissões de redução e
116
acréscimo de classe estrutural de acordo com uma situação específica. Desta
forma, torna-se claro as considerações de modificação de classe estrutural e que se
pode haver mais de um acréscimo ou mais de uma redução e seus respectivos
cobrimentos mínimos.
A Tabela 4.3 de agressividade ambiental da NBR 6118:2003 mostra duas
considerações de redução de classe de agressividade, mas não é clara em dizer se
podem ser cumulativas, ou seja, se podem usar-se as duas reduções ao mesmo
tempo, reduzindo-se, por exemplo, de uma classe III (forte) para classe I (fraca).
Tabela 4.8 – Classificação estrutural recomendada
Classe estrutural
Classe de exposição de acordo com a tabela 4.5
Critério
X0 XC1 XC2/XC3 XC4 XD1
XD2 /
XS1
XD3/XS2
/ XS3
Projeto com
vida útil de 100
anos
Acrésc.
de duas
classes
Acrésc.
de duas
classes
Acrésc.
de duas
classes
Acrésc.
de duas
classes
Acrésc.
de duas
classes
Acrésc.
de duas
classes
Acrésc.
de duas
classes
Classe de
concreto
>=
C30/37
reduz
uma
classe
>=
C30/37
reduz
uma
classe
>=
C35/45
reduz
uma
classe
>=
C40/50
reduz
uma
classe
>=
C40/50
reduz
uma
classe
>=
C40/50
reduz
uma
classe
>=
C45/55
reduz
uma
classe
Laje
reduz
uma
classe
reduz
uma
classe
reduz
uma
classe
reduz
uma
classe
reduz
uma
classe
reduz
uma
classe
reduz
uma
classe
Controle de
qualidade
especial na
produção do
concreto
durante a cura
reduz
uma
classe
reduz
uma
classe
reduz
uma
classe
reduz
uma
classe
reduz
uma
classe
reduz
uma
classe
reduz
uma
classe
Fonte: EUROCODE 2 2003
117
Os dois primeiros critérios da Tabela 4.8 são bastante interessantes: o
primeiro indica a forma que se deve proceder para projetar estruturas para uma vida
útil de 100 anos. Isto é importante, pois estruturas de obra de arte especial como
pontes devem ter este período de vida útil.
O segundo diz que utilizando uma classe de concreto acima do indicado para
a vida útil de 50 anos, pode-se adotar uma redução de classe estrutural. Esta
indicação é bastante coerente, pois se adotando uma ou duas classes de concreto
acima, teremos uma vida útil maior (como é o caso do critério de vida útil de 100
anos), é de se esperar que se possa reduzir uma classe estrutural se for projetado
uma estrutura para 50 anos com uma ou mais classes de concreto acima da
indicada.
Para se ter uma idéia da inquestionável evolução da NBR 6118:2003 face à
versão da Norma anterior, a NBR 6118:1978 e como esta Norma anterior pouco se
preocupou com a questão da durabilidade, ao mostradas a seguir as duas tabelas
de cobrimento, sendo que a tabela da Norma anterior se limitava a ela, ou seja, nada
ou pouco se falava de agressividade ambiental e f
ck
mínimo para tais condições,
assim como a relação máxima de água/cimento.
Tabela 4.9 – Valores de cobrimento mínimo da Norma NBR 6118:1978
Localização da peça
Concreto com revestimento
de argamassa com
espessura mínima de 1 cm
Concreto com superfície
exposta ao meio
ambiente
No interior de edifícios
Lajes 0,5 cm
Paredes 1,0 cm
Vigas, pilares e 1,5 cm
Arcos
2,0 cm
Ao ar livre
Lajes e Paredes 1,5 cm
Vigas, arcos e 2,0 cm
Pilares
2,5 cm
Em contato com o solo 3,0 cm 3,0 cm
Em meio fortemente
agressivo
4,0 cm 4,0 cm
Fonte: NBR 6118:1978
118
Em termos práticos, a durabilidade das estruturas de concreto é garantida
através de meios indiretos, estando entre os principais a classificação da
agressividade do ambiente, a adoção mínima de f
ck
, a relação máxima água/cimento
e a espessura nominal do cobrimento das armaduras.
A Tabela 4.10 reproduz a tabela da NBR 6118:2003 que mostra o cobrimento
nominal (c
nom
) para c = 10 mm.
Tabela 4.10 – Correspondência entre classe de agressividade ambiental e
cobrimento nominal para c = 10 mm
Classe de agressividade (Tabela 4.1)
I II III IV
3)
Tipo de estrutura
Componente
ou elemento
Cobrimento nominal
mm
Laje
2)
20 25 35 45
Concreto armado
Viga/Pilar 25 30 40 50
Concreto
1)
protendido
Todos 30 35 45 55
1)
Cobrimento nominal da armadura passiva que envolve a bainha ou os fios, cabos e
cordoalhas, sempre superior ao especificado para o elemento de concreto armado, devido
aos riscos de corrosão fragilizante sob tensão.
2)
Para a face superior das lajes e vigas que serão revestidas com argamassa de contrapiso,
com revestimentos finais secos tipo carpete e madeira, com argamassa de revestimento a
acabamento tais como pisos de elevado desempenho, pisos cerâmicos, pisos asfálticos e
outros tantos, as exigências desta tabela podem ser substituídas por 7.4.7.5, respeitado um
cobrimento nominal 15 mm.
3)
Nas faces inferiores de lajes e vigas de reservatórios, estações de tratamento de água e
esgoto, condutos de esgoto, canaletas de efluentes e outras abras em ambientes química e
intensamente agressivos, a armadura deve ter cobrimento nominal 45 mm.
Fonte: NBR 6118:2003
O cobrimento das armaduras necessário é chamado de cobrimento nominal,
que é o cobrimento mínimo (c
min
) acrescido de uma tolerância de execução c. Para
a maioria das obras correntes este valor da tolerância é c = 10 mm. Para obras
onde é assegurado um adequado controle de qualidade e rígidos limites de
tolerância da variabilidade das medidas durante a execução é permitido que seja
adotado o valor de c = 5 mm, sendo que nesse caso, deve ser explicitado nos
119
desenhos de projetos estas condições de controle de qualidade e de rigidez nos
limites de tolerância.
Uma tabela do EUROCODE 2:2003, apresenta os valores de cobrimento
mínimo devido a condições ambientais (c
mim,dur
), tanto em relação à agressividade
ambiental como em relação à classe estrutural. Isto se ilustra na Tabela 4.11.
Tabela 4.11 – Valores de cobrimento mínimo
Exigência ambiental para c
mim,dur
(mm)
Classe de exposição de acordo com a Tabela 4.5
Classe
estrutural
X0 XC1 XC2/XC3 XC4
XD1 /
XS1
XD2 /
XS2
XD3 /
XS3
S1 10 10 10 15 20 25 30
S2
10
10
15
20
25
30
35
S3
10 10 20 25 30 35 40
S4
10 15 25 30 35 40 45
S5
15 20 30 35 40 45 50
S6
20 25 35 40 45 50 55
Fonte: EUROCODE 2 2003
Segundo o EUROCODE 2:2003, para os ambientes onde pode haver a
deterioração do concreto pela ação do gelo/degelo ou pelo ataque de substâncias
químicas deve-se dar uma atenção especial à composição do concreto, de acordo
com a EN 206-1 Seção 6 e utilizar o cobrimento da classe ambiental que estiver de
acordo com a Tabela 4.11, ou seja, verificar a maior possibilidade de corrosão da
armadura do concreto.
De acordo com o EUROCODE 2:2003, para o caso de abrasão do concreto
deve-se dar atenção especial para o agregado segundo a EN 206-1. Opcionalmente
é permitido o aumento do cobrimento do concreto; uma camada de sacrifício. Neste
caso o cobrimento mínimo deve ser aumentado de um valor k1 para uma classe de
abrasão chamada de XM1, por k2 para XM2 e por k3 para XM3.
A classe de abrasão XM1 pode ser considerada moderada para, por exemplo,
locais industriais freqüentados por veículos com pneus de ar e o valor de k1 é de 5
120
mm. A classe de abrasão XM2 pode ser considerada pesada para, por exemplo,
locais industriais freqüentados por elevadores de ar com garfo ou pneus sólidos de
borracha e o valor de k2 é de 10 mm. A classe de abrasão XM3 pode ser
considerada extrema para, por exemplo, locais industriais freqüentados por de
elevadores de garfo com elastomer ou pneus de aço ou veículos de arrasto e o valor
de k3 é de 15 mm.
Assim como ocorre na NBR 6118:2003, o cobrimento necessário das
armaduras no EUROCODE 2:2003 é chamado de cobrimento nominal que é o
cobrimento mínimo acrescido de uma tolerância de execução c
dev
. Para a maioria
das obras correntes, como edifícios, este valor de tolerância c
dev
= 10 mm. Para
obras onde é assegurado um adequado controle de qualidade e rígidos limites de
tolerância da variabilidade das medidas durante a execução é permitido que seja
reduzido para:
10 mm c
dev
5 mm (4.1)
4.2.2 A qualidade do concreto e o tipo de cimento
Diversos autores têm escrito sobre a importância de se determinar o tipo de
cimento a adotar em relação ao ambiente em que a estrutura será executada.
Segundo Helene (2004), a qualidade potencial do concreto depende
preponderantemente da relação água/cimento e do grau de hidratação. São esses
os dois principais parâmetros que regem as propriedades de absorção capilar de
água, de permeabilidade pôr gradiente de pressão de água ou de gases, de
difusividade de água ou de gases, de migração de íons, assim como a maioria das
propriedades mecânicas tais como, módulo de elasticidade, resistência à
compressão, à tração, fluência, relaxação, abrasão, e outras.
Embora um concreto de resistência mais alta, seja, em princípio e sob certas
circunstâncias, potencialmente mais durável do que um concreto de resistência mais
baixa (desde que com mesmos materiais), a resistência à compressão não é, pôr si
só, uma medida suficiente da durabilidade do concreto, pois esta depende das
camadas superficiais do concreto da estrutura. Nessas camadas, a moldagem, o
adensamento, a cura e a desmoldagem têm efeito muito importante nas
121
propriedades de difusividade, permeabilidade e absorção capilar de água e gases.
Apesar disso é sempre conveniente fazer referência à resistência à compressão do
concreto por ser esta a propriedade mais consagrada nos projetos estruturais e ser
de fácil controle.
Deve-se dar preferência a certos tipos de cimento Portland, adições e aditivos
adequados a resistir a agressividade ambiental, em função da natureza agressiva.
Do ponto de vista da maior resistência à lixiviação são preferíveis os cimentos com
adições tipo CP III e CP IV: para minimizar o risco de reações álcali-agregado são
preferíveis os cimentos pozolânicos tipo CP IV: para reduzir a profundidade de
carbonatação são preferíveis os cimentos tipo CP I e CP V sem adições, e, para
reduzir a penetração de cloretos são preferíveis os cimentos com adições tipo CP III
e CP IV com adição extra de sílica ativa e cinza de casca de arroz.
A qualidade efetiva do concreto superficial de cobrimento e proteção à
armadura depende da adequabilidade da fôrma, do aditivo desmoldante e,
preponderantemente da cura dessas superfícies. Em especial devem ser curadas
as superfícies expostas precocemente devido a desmoldagem, tais como fundo de
lajes, laterais e fundos de vigas e faces de pilares e paredes.
Na ausência de ensaios experimentais nos concretos que serão utilizados na
estrutura, pode ser adotada a classificação de orientação, apresentada na Tabela
4.12 para a corrosão de armaduras e na Tabela 4.13 para a deterioração do
concreto.
Uma diretriz geral encontrada na literatura técnica ressalta que a durabilidade
da estrutura de concreto é determinada por quatro fatores identificados como regra
dos 4C:
- composição ou traço do concreto;
- compactação ou adensamento efetivo do concreto na estrutura;
- cura efetiva do concreto na estrutura;
- cobrimento das armaduras.
122
Tabela 4.12 - Classificação da resistência dos concretos frente ao risco de
corrosão das armaduras
Deterioração por
carbonatação
Deterioração por
carbonatação
Classe de
concreto
Classe de
Resistência
(NBR
8953)
Máx. relação
água/cimento
Teor de adições Teor de adições
Durável = C50 = 0,38
= 10% de pozolana,
sílica ativa ou
escória de alto forno
= 20% de pozolana
ou sílica ativa
= 65% de escória
de alto forno
Resistente
C35
C40
C45
= 0,50
= 10% de pozolana
ou sílica ativa
= 15% de escória de
alto forno
= 10% de pozolana
ou sílica ativa
= 35 % de escória
de alto forno
Normal
C25
C30
= 0,62 qualquer qualquer
Efêmero
C10
C15
C20
qualquer qualquer qualquer
Fonte: HELENE 2003
123
Tabela 4.13 - Classificação da resistência dos concretos frente ao risco de
deterioração por lixiviação ou por formação de compostos expansivos
Deterioração por Expansão
Deterioração por
Lixiviação
Classe de
concreto
Classe de
Resistência
(NBR 8953)
Teor de C
3
A
no Cimento
Anidro
Teor de adições Teor de adições
Durável = C50 = 5 %
= 20% de pozolana
ou sílica ativa
= 65% de escória
de alto forno
= 20% de pozolana
ou sílica ativa
= 65% de escória
de alto forno
Resistente
C35
C40
C45
= 5 %
= 10% de pozolana
ou sílica ativa
= 35% de escória
de alto forno
= 10% de pozolana
ou sílica ativa
= 35 % de escória
de alto forno
Normal
C25
C30
= 8 % qualquer qualquer
Efêmero
C10
C15
C20
qualquer qualquer qualquer
Fonte: HELENE 2003
4.2.3 Detalhamento das armaduras
O detalhamento correto das armaduras do concreto é tão importante quanto o
próprio cálculo estrutural. Graves problemas, conforme ilustrado na Figura 4.6,
durante a concretagem podem ocorrer caso não se tenha feito um estudo adequado
do alojamento das barras na forma para a concretagem.
124
O alojamento das barras deve ser feito de tal forma a permitir o lançamento e
o adensamento do concreto de modo a se evitar a segregação do concreto.
Figura 4.6 – Detalhe de bicheira em lateral de viga
Fonte: Revista Téchne 109, abril de 2006
O texto da Norma NBR 6118, itens 7.5.1 e 7.5.2, diz claramente:
"As barras devem ser dispostas dentro do componente ou elemento
estrutural, de modo a permitir e facilitar a boa qualidade das operações de
lançamento e adensamento do concreto”.
“Para garantir um bom adensamento é vital prever no detalhamento da
disposição das armaduras espaço suficiente para entrada da agulha do vibrador”.
Estas recomendações são de vital importância, pois devido ao aumento do
cobrimento nominal das armaduras, peças com larguras comumente empregadas,
como, por exemplo, de 12 cm, principalmente em edificações de pequeno porte,
devem ter os cuidados necessários para o correto alojamento da armadura e para
que haja espaço suficiente para o lançamento e adensamento do concreto. A Figura
4.7 mostra uma viga de 12 cm de largura e alguns dos cobrimentos preconizados na
NBR 6118:2003.
O item 18.3.2.2 da NBR 6118:2003 diz, sobre a distribuição transversal das
barras, que:
“O espaçamento mínimo livre entre as faces das barras longitudinais, medido
no plano da seção transversal, deve ser igual ou superior ao maior dos seguintes
valores na direção horizontal:
125
- 20 mm;
- diâmetro da barra, do feixe ou da luva;
- 1,2 vez a dimensão máxima característica do agregado graúdo”.
Esses valores se aplicam também às regiões de emendas por traspasse das
barras.
Figura 4.7 – Quantidades limites de barras para viga de largura = 120 mm
c) 2 BARRAS Ø 10b) 2 BARRAS Ø 12,5a) 2 BARRAS Ø 12,5
(Não empregado)
30 30
5 5
25
35 35
5 5
15
35 35
5 5
20
A Figura 4.7a mostra que uma viga de 120 mm de largura aceita duas barras
de 12,5 mm desde que o cobrimento seja, no máximo, de 30 mm. Neste
caso, aceita-se estribos de 5,0 ou 6,3 mm.
A Figura 4.7b mostra que uma viga de 120 mm de largura não aceita duas
barras de 12,5 mm se o cobrimento for de, no máximo, 35 mm para estribos a
partir de 5,0 mm de diâmetro. Portanto não é um detalhamento possível de
emprego.
A Figura 4.7c mostra que uma viga de 120 mm de largura aceita duas barras
de 10,0 mm para um cobrimento de, no máximo, de 35 mm. No caso de
cobrimento de 35 mm, aceitam-se estribos de, no máximo, 5,0 mm.
126
Figura 4.8 – Quantidade limite de barras para vigas de largura = 120 mm com
emenda por traspasse
A configuração de barras em viga de largura de 120 mm permite utilização de
duas barras contínuas somente, ou seja, sem emendas por traspasse. Caso seja
necessária a emenda, o caso mais favorável seria, conforme a Figura 4.5a, com
duas barras de 10,0 mm, estribos de 5,0 mm e cobrimento de 30 mm,
considerando a região da emenda como um feixe e sendo este diâmetro:
n
= n .
A Figura 4.8b mostra que esta composição para barras de 12,5 mm não passa.
5
30 30
5
a) 2 FEIXES COM
2 BARRAS Ø 10 CADA
(Não empregado)
5
30 30
5
b) 2 FEIXES COM
2 BARRAS Ø 12,5 CADA
Î O espaçamento transversal entre os feixes de 10,0 mm é:
120 – 30 – 30 – 5 – 5 – 14,1 – 14,1 = 22 mm. OK!
Î O espaçamento transversal entre os feixes de 12,5 mm é:
120 – 30 – 30 – 05 – 05 – 17,7 – 17,7 = 15 mm. Menor que 20 mm. Não
passa!
127
2 BARRAS Ø 12,5 CADA
a) 2 BARRAS Ø 16 CADA
b) 2 FEIXES COM
40 40 40 40
5 5
5 5
Figura 4.9 – Quantidade limite de barras para vigas de largura = 150 mm sem e
com emenda por traspasse
Na Figura 4.9 desenvolve-se a configuração de barras em vigas de largura de
150 mm e cobrimento de 40 mm. Verifica-se a possibilidade de utilização de duas
barras 16,0 mm contínuas, ou seja, sem emendas por traspasse, conforme Figura
4.9a. Caso seja necessária a emenda, o caso mais favorável seria, conforme a
Figura 4.9b, com duas barras de 12,5 mm, estribos de 5,0 ou 6,3 mm,
considerando a região da emenda como um feixe e sendo este diâmetro:
n
= n .
Î O espaçamento transversal entre as barras de 16,0 mm é:
150 – 40 – 40 – 5 – 5 – 16 – 16 = 28 mm. OK!
Î O espaçamento transversal entre os feixes de 12,5 mm é:
150 – 40 – 40 – 6,3 – 6,3 – 17,7 – 17,7 = 22 mm. OK!
Deve-se destacar ainda que, para todas estas configurações expostas, existe
a possibilidade, caso necessário, da utilização de barras numa segunda ou mesmo
terceira camada de acordo com a altura da viga e o limite imposto por norma.
128
4.3 SUGESTÕES DE NOVAS CLASSES AMBIENTAL E ESTRUTURAL
Diversos estudos demonstram a necessidade de uma classificação mais
detalhada das classes ambientais de forma a tornar mais clara e objetiva a sua
utilização.
Uma das alternativas é a de utilizar e adaptar a classificação do EUROCODE
2:2003, descrita neste trabalho na Tabela 4.5, assim como as classes estruturais,
pois possibilitam adequar a estrutura à vida útil correspondente.
Uma das dificuldades encontradas atualmente é a melhor classificação em
determinadas áreas de regiões litorâneas. Enquanto alguns autores entendem que
todo o perímetro das cidades litorâneas está sob a Classe III de agressividade
ambiental outros limitam a Classe III até uma certa distância da costa. Segundo
Villasboas (2004, p. 202), em sua pesquisa junto aos estruturalistas baianos feita
para sua dissertação de mestrado, em relação às classes de agressividade
ambiental estabelecidas na Tabela 6.1 da NBR 6118:2003, 88,2% dos profissionais
concordam que a escolha da classe moderada ou forte constituirá em uma das
maiores dificuldades, para os projetistas, quando a estrutura estiver localizada na
zona urbana de uma cidade marítima.
Cabe, entretanto, ao engenheiro avaliar, com base nas recomendações
normativas e em sua capacidade de percepção, as diferentes possibilidades de
agentes agressivos terem acesso às superfícies das diversas peças que compõem a
estrutura e para as quais deve prever uma maior proteção.
Na dificuldade ou inexistência de estudos mais detalhados do macroclima
existente e considerando que a agressividade ambiental na orla das cidades
litorâneas é maior do que no extremo oposto das mesmas cidades, mas que essas
regiões nas posições de extremo oposto da orla possui um macroclima mais
agressivo que em cidades urbanas não litorâneas, sugere-se uma nova classe
ambiental intermediária para as cidades litorâneas em bairros não litorâneos. A
nova tabela de classe de agressividade ambiental, portanto, seria como a
Tabela 4.14.
129
Tabela 4.14 – Nova classificação de agressividade ambiental
Classe de
agressividade
ambiental
Agressividade
Classificação geral do tipo
de ambiente para efeito de
projeto
Risco de
deterioração da
estrutura
Rural
I Fraca
Submersa
Insignificante
II Moderada Urbana
1), 2)
Pequeno
III Intermediária Intermediário
1)
Intermediário
Marinha
1)
IV Forte
Industrial
1), 2)
Grande
Industrial
1), 3)
V Muito forte
Respingo de maré
Elevado
1)
Pode-se admitir um microclima com uma classe de agressividade mais branda (um nível
acima) para ambientes internos secos (salas, dormitórios, banheiros, cozinhas e áreas de
serviço de apartamentos residenciais e conjuntos comerciais ou ambientes com concreto
revestido com argamassa e pintura).
2)
Pode-se admitir uma classe de agressividade mais branda (um nível acima) em: obras em
regiões de clima seco, com umidade relativa do ar menor ou igual a 65%, partes da
estrutura protegidas de chuva em ambientes predominantemente secos, ou regiões onde
chove raramente.
3)
Ambientes quimicamente agressivos, tanques industriais, galvanoplastia, branqueamento
em indústrias de celulose e papel, armazéns de fertilizantes, indústrias químicas.
De acordo com o EUROCODE 2:2003, uma outra admissão de classe de
agressividade mais branda (um nível acima) pode ser aceita quando se utiliza uma
classe de concreto maior do que a mínima recomendada. Esta aceitação é bastante
razoável, pois os critérios de durabilidade colocados nas Normas tem sido colocados
em função de fatores tipo f
ck
mínimo, relação água/cimento máxima, cobrimento etc.
se a cada ambiente, quanto maior a agressividade, mais rígidos são estes fatores é
de se esperar que se utilizando, por exemplo, um f
ck
maior que o mínimo em
determinado ambiente, a vida útil desta estrutura aumentará. E, em se desejando
manter a mesma expectativa de vida útil, é razoável que se possa reduzir algum
outro fator como, por exemplo, a classe ambiental ou o cobrimento. O EUROCODE
2:2003 procura tratar destas reduções e acréscimos de agressividades através das
130
classes estruturais como visto na Tabela 4.11, podendo assim, também definir
diferentes idades de vidas úteis.
A Tabela 4.15 descreve a nova correspondência entre classe de
agressividade e a qualidade do concreto.
Tabela 4.15 – Nova correspondência entre classe de agressividade e qualidade
do concreto
Classe de agressividade (Tabela 4.3)
Concreto Tipo
I II III IV V
Relação
água/cimento em
massa
0,65 0,60 0,55 0,55 0,45
Classe de concreto
(ABNT NBR 8953)
C
O A
N R
C M
R A
E D
T O
O
C20 C25 C25 C30 C40
Descreve-se na Tabela 4.16 os cobrimentos nominais das classes atuais,
assim como da nova classe de agressividade intermediária III. Estes cobrimentos já
incluem uma tolerância de execução
c
= 10 mm.
Tabela 4.16 – Nova correspondência entre classe de agressividade ambiental e
cobrimento nominal para c = 10 mm
Classe de agressividade (Tabela 4.3)
I II III IV V
Tipo de
estrutura
Componente
ou elemento
Cobrimento nominal
mm
Laje 20 25 30 35 45
Concreto
armado
Viga/Pilar 25 30 35 40 50
5 - APLICAÇÕES
Neste capítulo, são apresentados alguns exemplos de aplicação prática dos
conceitos e procedimentos expostos ao longo deste trabalho. O objetivo principal é
a aplicação dos critérios e diretrizes expostos no Capítulo 4 para a durabilidade das
estruturas de concreto armado.
A aplicação dos exemplos a seguir é motivada pelo fato de, após a introdução
da NBR 6118:2003, muitas discussões terem sido geradas com críticas e
contestações quanto às implicações e dificuldades que os novos cobrimentos
gerariam, não só pela questão do aumento da seção das peças, dificultando ou, em
alguns casos, quase impossibilitando a adoção de larguras de peças estruturais que
possam ficar "escondidas" na arquitetura, mas também, e por conseqüência, pelo
custo com o aumento no volume de concreto.
Os capítulos 2 e 3 tiveram como um de seus objetivos mostrar claramente
como foram importantes e necessários se introduzir e aplicar os conceitos da
durabilidade do concreto e, em especial, as diretrizes os critérios para a
durabilidade.
Os exemplos a seguir apresentados consistem, basicamente, em descrições
relevantes da aplicação da Norma NBR 6118:2003 e, em especial, os principais
critérios e diretrizes da durabilidade no projeto e cálculo estrutural e como utilizá-los
de forma eficiente e eficaz. Por eficiente, entende-se o fazer certo uma determinada
atividade. Por eficaz, entende-se o fazer a coisa certa; aquilo que produz o efeito
desejado.
Em edifícios, principalmente os de médio e grande porte, são comuns e bem
aceitos que se haja pilares com larguras maiores que as paredes, mas em
residências unifamiliares, principalmente as classes alta e média-alta, é sempre
desejável que a estrutura fique "escondida" na arquitetura ou com pequenos
132
sobressaltos (dentes). Alguns pilares podem ficar aparentes, mas são usados
também de forma estética a compor com a arquitetura.
Procura-se, nestes exemplos, mostrar de forma clara e objetiva como se
podem aplicar os critérios da durabilidade e as necessidades do arranjo e
modelagem do projeto estrutura e arquitetônico.
Os exemplos mostram resultados efetivos do bom uso dos critérios da NBR
6118:2003 e, conseqüentemente, sua contribuição para a melhoria da qualidade e
dos projetos de estruturas de concreto armado.
Os resultados positivos contidos nestes exemplos são aplicáveis, mas
devendo o projetista, para cada situação, analisar a necessidade e a viabilidade da
redução de microclima, inclusive em função do grau de precisão e de rigor com que
será executada a estrutura.
5.1 A
PLICAÇÃO DE CLASSE DE AGRESSIVIDADE AMBIENTAL
Nesta primeira aplicação serão mostrados dois exemplos de emprego da
classe de agressividade ambiental e os critérios relativos à mesma de acordo com o
a NBR 6118:2003, fazendo um paralelo com o EUROCODE 2:2003.
Para isto, utilizam-se as classes de agressividades ambientais de acordo com
a NBR 6118:2003 e o EUROCODE 2:2003. Procura-se, então, uma redução de
microclima de forma adequada e aplicável. Todos os exemplos serão feitos
considerando a execução em concreto armado moldado no local.
Aplicação a dois casos práticos: edifício em região de baixa umidade relativa
do ar como Brasília e outro em um município de litoral, por exemplo, o município do
Rio de Janeiro.
Neste exemplo os edifícios terão concreto revestido interna e exteriormente.
Grupo A Todos os interiores; de acordo com a Norma NBR 6118:2003,
aos interiores secos incluem-se: salas, dormitórios, banheiros, cozinhas e áreas de
serviço de apartamentos residenciais e conjuntos comerciais ou ambientes com
concreto revestido com argamassa e pintura.
Grupo B Todas as peças em contato com o exterior.
133
A partir da Tabela 6.1 da NBR 6118:2003, reproduzida na Tabela 4.3 deste
trabalho, faz-se a classificação da agressividade ambiental para a obra em Brasília.
Ver Tabela 5.1.
Tabela 5.1 – Classificação ambiental para obra em Brasília segundo a
NBR 6118:2003
Classe de
agressividade
ambiental
Agressividade
Risco de deterioração da
estrutura
Grupo
I Fraca Insignificante
1)
A
II Moderada Pequeno
B
1)
Admitiu-se um microclima com uma classe de agressividade mais branda (um nível acima) para
os ambientes internos secos.
2)
Pode-se admitir uma classe de agressividade mais branda (um nível acima) em: obras em regiões
de clima seco, com umidade relativa do ar menor ou igual a 65%, partes da estrutura protegidas de
chuva em ambientes predominantemente secos, ou regiões onde chove raramente.
A classificação geral do tipo de ambiente para efeito de projeto para esta obra
em Brasília é Urbana, por isso a classe II. Para este caso, não há dúvidas pois
Brasília não fica em região de litoral e nem é rural. Por ser uma região com umidade
relativa baixa, para as partes secas da obra e/ou revestidas com argamassa e
pintura pode-se admitir um microclima mais brando, obtendo-se assim, como nível
de agressividade fraca.
A Tabela 5.2 indica a classificação da agressividade ambiental para a mesma
obra de acordo com o EUROCODE 2:2003.
Tabela 5.2 – Classificação ambiental para obra em Brasília segundo o
EUROCODE 2:2003
Designação
da classe
Tipo de corrosão Descrição do ambiente Grupo
XC1
Corrosão
induzida por
carbonatação
Interior de edifícios com
baixa umidade de ar.
A
XC2
Corrosão
induzida por
carbonatação
Exterior não protegido da
chuva, mas região com
baixa umidade de ar
B
134
O EUROCODE 2:2003 não trás uma descrição específica do ambiente
externo. Neste exemplo foi adotado o uso da classe imediatamente superior que é o
XC2. Apesar de a Tabela do EUROCODE 2:2003 descrever para a classe XC2 um
ambiente molhado, raramente seco, optou-se por por esta pelo fato de Brasília ser
reconhecida como um local com umidade relativa do ar baixa e, como visto no item
3.1.1.1, para um concreto seco, com umidade muito baixa, o CO
2
tem melhores
condições de se difundir pelos poros do concreto, porém a ausência de água livre
nos capilares impede que a reação aconteça. No caso de um concreto saturado,
com poros totalmente preenchidos pela água, a reação de carbonatação também
fica prejudicada em função da baixa difusibilidade do CO
2
na água.
Para a obra no Rio de janeiro, faz-se a classificação da agressividade
ambiental segundo as Tabelas 5.3 e 5.4 para as Normas NBR 6118:2003 e
EUROCODE 2:2003, respectivamente.
Tabela 5.3 – Classificação ambiental para obra no Rio de Janeiro segundo a
NBR 6118:2003
Classe de
agressividade
ambiental
Agressividade
Risco de deterioração da
estrutura
Grupo
II Moderada Pequeno
1)
A
III Forte Grande
B
1)
Admitiu-se um microclima com uma classe de agressividade mais branda (um nível acima) para
os ambientes internos secos.
A classificação geral do tipo de ambiente para efeito de projeto para esta obra
no Rio de Janeiro em uma localidade próxima ao litoral é marinha, por isso a classe
de agressividade ambiental III. Para as partes secas da obra e/ou revestidas com
argamassa e pintura pode-se admitir um microclima mais brando, obtendo-se assim,
como nível de agressividade moderada.
Deve-se observar que, para casos de obras em encosta do mar, deve-se
prever a possibilidade de partes da estrutura receber respingos de maré, o que
ocorreria em classificar na agressividade ambiental IV, agressividade muito forte e
com risco de deterioração elevado.
135
Tabela 5.4 – Classificação ambiental para obra no Rio de Janeiro segundo o
EUROCODE 2:2003
Designação
da classe
Tipo de corrosão Descrição do ambiente Grupo
XC3
Corrosão
induzida por
cloreto de água
do mar
Interior de edifícios com
umidade do ar alta
A
XS1
Corrosão
induzida por
cloreto de água
do mar
Exposto a sal no ar
B
O EUROCODE 2:2003 não faz distinção específica entre ambiente externo e
interno para este caso. As possíveis reduções não são feitas neste momento, mas
quando da classificação estrutural recomendada, como vista no item 4.2.1 deste
trabalho.
As classes de concreto para estes exemplos segundo a NBR 6118:2003 e o
EUROCODE 2:2003 estão relacionadas na Tabela 5.5.
Tabela 5.5 – Classes de concreto para as obras em Brasília e no Rio de Janeiro
Localidade Grupo NBR 6118 EUROCODE 2
A C20 C20/25
Brasília
B C25 C25/30
A C25 C30/37
Rio de Janeiro
B C30 C30/37
A NBR 6118:2003 indica para a relação água/cimento em massa para as
classes de concreto C20, C25 e C30 os valores 0,65, 0,60 e 0,55,
respectivamente.
136
A Tabela 5.6 mostra o cobrimento nominal a ser usado para cada uma dessas
obras. No caso do EUROCODE 2:2003, adotaremos uma redução de classe
estrutural menor, ou seja, a classe S3 admitindo-se uma classe de concreto maior.
Tabela 5.6 – Cobrimentos para as obras em Brasília e no Rio de Janeiro
Localidade Grupo NBR 6118:2003 EUROCODE 2:2003
Laje 20 20
A
Vigas e
pilares
25 25
Laje 25 25
Brasília
B
Vigas e
pilares
30 35
Laje 25 25
A
Vigas e
pilares
30 35
Laje 35 40
Rio de Janeiro
B
Vigas e
pilares
40 45
Segundo Helene (2004), “a qualidade potencial do concreto depende
preponderantemente do tipo de cimento, da relação água/cimento e do grau de
hidratação. São esses os principais parâmetros que regem as propriedades de
absorção capilar de água, de permeabilidade por gradiente de pressão de água ou
de gases, de difusibilidade de água ou de gases, de migração de íons, assim como
todas as propriedades mecânicas, tais como módulo de elasticidade, resistência à
compressão, à tração, fluência, relaxação, abrasão e outras.
A qualidade efetiva do concreto na obra deve ser assegurada por um correto
procedimento de mistura, transporte, lançamento, adensamento, cura e
desmoldagem.
Embora um concreto de resistência mais alta seja, em princípio e sob certas
circunstâncias, potencialmente mais durável do que um concreto de resistência mais
baixa (de mesmos materiais), a resistência à compressão não é, por si só, uma
137
medida suficiente da durabilidade do concreto, pois esta depende das camadas
superficiais do concreto da estrutura. Nessas camadas, a moldagem, o
adensamento, a cura e a desmoldagem têm efeito muito importante nas
propriedades de difusividade, permeabilidade e absorção capilar de água e gases.
A qualidade efetiva do concreto superficial, de cobrimento e proteção à
armadura depende da adequabilidade da fôrma, do aditivo desmoldante e,
preponderantemente da cura dessas superfícies. Em especial, devem ser curadas
as superfícies expostas precocemente, devido a desmoldagem, tais como fundo de
lajes, laterais e fundos de vigas e faces de pilares e paredes”.
5.2 P
ROJETO DE EDIFICAÇÃO RESIDENCIAL
A segunda aplicação consiste no projeto e detalhamento de uma residência
unifamiliar situada em região de litoral, não sujeita a respingo do mar. O objetivo
desta aplicação é observar a questão do cobrimento e detalhamento das peças
estruturais lineares, em especial, as vigas e verificar a viabilidade da utilização de
peças de 12 cm de largura em tal região, as quais são muito usadas para este caso,
quando se busca a possibilidade ou necessidade de “esconder” a estrutura na
arquitetura.
No primeiro exemplo, será projetado sem considerando de redução de classe
de agressividade ambiental de acordo com a Norma NBR 6118:2003. Tendo em
vista que, para este caso, a cobrimento mínimo para vigas e pilares é de 40 mm, não
se poderá projetar vigas com 12 cm de largura, pelo fato de o espaçamento entre as
barras longitudinais ficar menor que o mínimo permitido. Para este caso e para
efeito de comparação de resultados, as vigas e pilares deste exemplo terão 15 cm
na menor dimensão da seção transversal.
No segundo exemplo, será projetada a mesma residência considerando-se
uma redução de classe de agressividade ambiental de acordo com a Norma NBR
6118:2003, visto que a residência será totalmente revestida com argamassa e
pintura. As vigas e pilares deste exemplo terão 12 cm na menor dimensão.
No terceiro exemplo, será repetido o mesmo projeto do segundo exemplo,
mas aceitando-se uma segunda redução de acordo com o EUROCODE 2:2003.
Será adotado um cobrimento 5 milímetros menor que o exemplo anterior, mas
138
adotando-se um concreto estrutural com f
ck
maior, assim como uma menor relação
água/cimento.
Esta aplicação tem por objetivo verificar a viabilidade do uso adequado de
vigas de pouca largura, por exemplo, de 12 cm, mantendo-se o requisito
indispensável da durabilidade, visto serem estas de uso regular antes da adoção da
nova Norma de projetos de concreto armado e protendido, a NBR 6118:2003.
Características gerais do projeto 1
Residência unifamiliar em região de costa.
Classe ambiental segundo a NBR 6118:2003 : III agressividade forte.
Classe de concreto: C30 ; f
ck
= 30 MPa.
Relação água/cimento em massa = 0,55.
Cobrimentos:
Vigas e pilares = 40 mm; Lajes = 35 mm.
Características gerais do projeto 2
Para este exemplo se fará a redução de um microclima devido a estrutura ser
totalmente revestida com argamassa e pintura.
Classe ambiental segundo a NBR 6118:2003: II, agressividade moderada.
Classe de concreto: C25 ; f
ck
= 25 MPa.
Relação água/cimento em massa = 0,60.
Cobrimentos:
Vigas e pilares = 30 mm; Lajes = 25 mm.
Características gerais do projeto 3
A mesma residência unifamiliar em região de costa, mas com a aplicação de
duas reduções. A primeira por ser totalmente revestida com argamassa e pintura e
a segunda por se utilizar uma classe de concreto superior à exigida para uma vida
útil de 50 anos. Características finais:
Classe de concreto: C40 ; f
ck
= 40 MPa.
Relação água/cimento em massa = 0,45.
Cobrimentos:
Vigas e pilares = 25 mm; Lajes = 20 mm.
A Figuras 5.1, 5.2 e 5.3 mostram a planta baixa de arquitetura, a fôrma do
cintamento e a fôrma do teto para vigas e pilares com 12 cm na menor dimensão da
seção transversal.
139
Figura 5.1 – Planta Baixa
PD = 2,70 m
PLANTA BAIXA
6,60
BANH.
2,00 x 2,00
QUARTO
2,00 x 2,90
VARANDA
6,60 x 2,00
6,00 x 3,00
SALA
COZ.
2,90 x 2,00
C
I
R
C
U
L
A
Ç
Ã
O
QUARTO
2,00 x 2,90
140
310
318
C1a - 12/30
C2a - 12/30
C5a - 12/30
C4a - 12/30
C3a - 12/30
203
260.5
657
2
7
5
C
6
a
-
1
2
/
3
0
1
7
9
2
0
20
P11
20x20
2
8
5
3
0
P8=P1
b
1
8
5
1
2
3
0
P4=P1
12
3
0
P1
12x30
c
8.5
C
9
-
2
0
/
3
0
C
1
1
a
-
1
2
/
3
0
28720
P12=P11 P13=P11
b
20
P7=P1
103
285
30
P9=P1
273.5
12
30
P10=P1
b
P5=P1
C
1
0
-
1
2
/
3
0
C
7
-
1
2
/
3
0
b
b
b
P6=P1
b
30
324.5
C
8
-
1
2
/
3
0
P2=P1 P3=P1
b
30
c
C12 - 12/30
FÔRMA DO CINTAMENTO
Figura 5.2 – Fôrma do cintamento
Estes projetos foram processados pelo sistema CAD/TQS EPP+ (Edificação
de pequeno porte).
141
2
7
5
V
7
-
1
2
/
3
0
1
8
5
b
2
8
5
20
V
6
a
-
1
2
/
4
0
1
7
9
2
0
3
0
1
2
3
0
318 285
V
8
a
-
1
2
/
4
0
287
P12=P11
310
P11
20x20
V5a - 20/30
20
30
L5
h=10
P13=P11
20
b
303
P7=P1
318
V4a - 12/30
P8=P1
h=10
L4
P9=P1
12
L3
V3a - 12/30
h=10
V2a - 12/30
P4=P1
P5=P1
P10=P1
b
b
b
P6=P1
b
3
0
c
12
h=10
L2
657
324.5
30
260.5
P1
12x30
L1
h=10
V1a - 12/30
P2=P1
30
P3=P1
c
b
FÔRMA DO TETO
Figura 5.3 – Fôrma do teto
As figuras a seguir mostram o detalhamento das armaduras das vigas dos
exemplos 1, 2 e 3 respectivamente.
142
Figura 5.4 – Armadura da viga V1 do exemplo 1
Figura 5.5 – Armadura da viga V1 do exemplo 2
143
Figura 5.6 – Armadura da viga V1 do exemplo 3
Figura 5.7 – Armadura da viga V2 do exemplo 1
144
Figura 5.8 – Armadura da viga V2 do exemplo 2
Figura 5.9 – Armadura da viga V2 do exemplo 3
145
Figura 5.10 – Armadura da viga V3 do exemplo 1
Figura 5.11 – Armadura da viga V3 do exemplo 2
146
Figura 5.12 – Armadura da viga V3 do exemplo 3
Figura 5.13 – Armadura da viga V4 do exemplo 1
147
Figura 5.14 – Armadura da viga V4 do exemplo 2
Figura 5.15 – Armadura da viga V4 do exemplo 3
148
Figura 5.16 – Armadura da viga V6 do exemplo 1
149
149
Figura 5.17 – Armadura da viga V6 do exemplo 2
150
Figura 5.18 – Armadura da viga V6 do exemplo 3
151
Figura 5.19 – Armadura da viga V7 do exemplo 1
Figura 5.20 – Armadura da viga V7 do exemplo 2
152
A Figura 5.21 – Armadura da viga V7 do exemplo 3
Através da Tabela 5.7 pode-se verificar a comparação entre as armações
positivas e negativas máximas dos três exemplos. A Figura 5.21 mostra essa
comparação através de um gráfico de barras.
Tabela 5.7 – Armações positivas e negativas máximas
As
Vigas
Exemplo 1
As posit.
máxima.
Exemplo 2
As posit.
Máxima.
Exemplo 3
As posit.
máxima.
Exemplo 1
As negat.
máxima.
Exemplo 2
As negat.
Máxima.
Exemplo 3
As negat.
máxima.
V1 2 Ø 10.0 2 Ø 10.0 2 Ø 8.0 2 Ø 10.0 2 Ø 10.0 2 Ø 10.0
V2 2 Ø 10.0 2 Ø 10.0 2 Ø 10.0 3 Ø 10.0 3 Ø 10.0 3 Ø 10.0
V3 2 Ø 10.0 2 Ø 10.0 2 Ø 10.0 4 Ø 10.0 4 Ø 10.0 4 Ø 10.0
V4 2 Ø 10.0 2 Ø 10.0 2 Ø 10.0 2 Ø 12.5 2 Ø 12.5 3 Ø 10.0
V6 = V8 2 Ø 10.0 2 Ø 10.0 2 Ø 10.0 2 Ø 10.0 3 Ø 10.0 3 Ø 10.0
V7 2 Ø 10.0 2 Ø 10.0 2 Ø 10.0 2 Ø 12.5 2 Ø 12.5 2 Ø 12.5
153
E
2
V
2
A
s
n
e
g
.
A
s
2
Ø
1
2
.
5
4
Ø
1
0
.
0
3
Ø
1
0
.
0
2
Ø
8
.
0
2
Ø
1
0
.
0
V
2
V
1
V
1
E
2
A
s
n
e
g
.
A
s
p
o
s
.
0
E
1
E
3
E
2
E
1
A
s
p
o
s
.
E
3
E
1
E
3
E
2
E
1
V
7
A
s
n
e
g
.
E
2
E
2
A
s
n
e
g
.
V
4
V
4
V
3
E
2
A
s
p
o
s
.
E
3
E
1
E
3
E
2
E
1
E
1
A
s
p
o
s
.
E
3
E
3
E
2
E
1
A
s
n
e
g
.
V
3
V
7
V
6
=
V
8
E
2
E
1
A
s
p
o
s
.
E
3
E
3
E
2
E
1
E
1
A
s
p
o
s
.
E
3
E
3
E
2
E
1
A
s
n
e
g
.
V
6
=
V
8
V
i
g
a
s
E
3
Figura 5.22 – Comparação entre armações positivas e negativas máximas
154
Os relatórios de todas as vigas dos exemplos 1, 2 e 3 encontram-se nos
apêndices 1, 2 e 3, respectivamente.
Destes exemplos pode-se destacar as seguintes características:
1) Os três exemplos utilizaram concreto estrutural com f
ck
diferentes entre si.
2) Os três exemplos utilizaram cobrimento de armadura diferentes entre si.
3) Como conseqüência das diferenças de f
ck
houve também diferentes relações
água/cimento.
4) Mesmo com diferentes f
ck
e diferentes cobrimentos, não houve mudança
significativa das armaduras positivas e negativas entre os exemplos.
A adoção de vigas e pilares com a menor dimensão da seção transversal = 12
centímetros pode ser utilizado, porém o seu uso deve ser feito de forma criteriosa.
Os critérios e procedimentos da Norma NBR 6118:2003 visam não apenas a
resistência, mas as estabilidades local e global da estrutura, assim como a sua
durabilidade, que é o objetivo principal deste trabalho.
Os critérios de redução de agressividade podem ser adotados, mas o seu uso
deve ser feito em conformidade com as normas vigentes e analisando sempre o
detalhamento das armaduras para que o lançamento e o adensamento do concreto
não fiquem prejudicados, causando falhas de concretagem.
Deve-se considerar também, com relação ao uso de vigas de 12 cm de
largura, o que diz a NBR 6118:2003 no item 15.10 – Instabilidade lateral de vigas,
quando se diz que “a segurança à instabilidade lateral de vigas deve ser garantida
através de procedimentos apropriados”.
Como procedimento aproximado pode-se adotar, para vigas de concreto, com
armaduras passivas ou ativas, sujeitas a flambagem lateral, as seguintes condições:
b
lo / 50
b
β
fl
h
onde:
b é a largura da zona comprimida;
h é a altura total da viga;
lo é o comprimento do flange comprimido, medido entre suportes que
garantam o contraventamento lateral;
β
fl
é o coeficiente que depende da forma da viga (ver Tabela 5.8).
155
Tabela 5.8 – Valores de
β
fl
Tipologia da viga
Valores de
β
fl
0,40
0,20
Onde:
Zona comprimida
Fonte: NBR 6118:2003
b
b b
b
b
Portanto, o uso de vigas de largura de 12 centímetros está condicionado
também a este critério, ou seja, para vigas ou cintas sem estarem ligadas a lajes, a
altura máxima será de 30 cm, pois 30 cm x 0,4 12 cm. Para vigas ligadas a lajes
pode-se usar vigas de até 60 cm, pois 60 cm x 0,2 12 cm. Estes critérios, não
consideram as vigas sujeitas à torção. Para esta situação devem ser observados os
seus critérios específicos descritos no capítulo 17 da NBR 6118:2003.
6 - CONCLUSÕES E CONSIDERAÇÕES FINAIS
As normas nacionais e internacionais têm sido corretas em exigir que as
estruturas de concreto sejam projetadas, executadas e utilizadas regidas não só
pela resistência e economia, mas também pela durabilidade.
Incontestavelmente, a NBR 6118:2003 introduziu este conceito e tornou clara
a sua relevância, requerendo de todos os envolvidos (projetista, construtor e usuário)
as suas responsabilidades e seus empenhos para tal.
Estas responsabilidades são distribuídas observando a existência de três
fases distintas e complementares das estruturas de concreto armado que são o
planejamento, a execução e a utilização.
As características da durabilidade nas duas primeiras fases dependem
fundamentalmente da engenharia e dos engenheiros responsáveis pelo projeto e
pela execução. Já a durabilidade da estrutura durante a fase de utilização depende,
em grande parte, do usuário e da manutenção preventiva por ele determinada.
Uma das principais diretrizes de todas as normas de concreto que visa à
durabilidade é a classificação da agressividade do ambiente em que a estrutura será
construída. Esta diretriz e sua correta classificação é de vital importância para a
estrutura, pois alguns dos critérios que visam à durabilidade, como a qualidade do
concreto e o cobrimento mínimo da armadura, estão diretamente ligados a ela.
Em certos casos, a escolha da classe ambiental a se adotar ainda causa
dúvida, principalmente quando se trata de localidade próxima ao litoral. A adoção de
uma classe intermediária entre as classes moderada e forte pode preencher esta
lacuna e tornar mais clara qual classe adotar. Cabe, portanto, ressaltar a
importância das revisões das normas e que as mesmas se tornem mais freqüentes,
ou seja, que sejam feitas em períodos de tempos menores para que os novos
conhecimentos adquiridos sejam inseridos com maior rapidez às mesmas.
157
Não se deve desconsiderar, contudo, que as normas de concreto armado
começaram a serem revistas buscando tornar as estruturas mais duráveis após a
literatura técnica ter começado a relatar as alterações radicais das características
dos cimentos a partir da década de 80. A relação existente entre essas alterações
com a maior fissurabilidade do concreto teve como conseqüências, sua maior
vulnerabilidade aos agentes agressivos e sua deterioração precoce.
Por conseguinte, os critérios que envolvem aumentar cobrimentos, usar
maiores resistências características, restringir a relação água/cimento e acrescentar
aditivos minerais visando apenas à durabilidade foram medidas incluídas nas
normas atuais de concreto com o intuito de evitar os inconvenientes dos novos
cimentos em meio agressivo. A discussão do problema da durabilidade das
estruturas de concreto deve passar necessária e obrigatoriamente pela discussão
das inconveniências das grandes finuras dos cimentos atuais, principal responsável
pela maior fissurabilidade do concreto.
Sugerem-se para trabalhos futuros que sejam feitas investigações prática e
experimental sobre a influência e os limites das classes de agressividades
ambientais e que, a partir destes estudos, cheguem-se a parâmetros mais objetivos
das mesmas.
Sugerem-se também novas investigações sobre a complexidade dos
cimentos atuais, a interferência da sua finura na maior fissurabilidade dos concretos,
assim como possíveis soluções e alternativas.
OBRAS CITADAS
1. AMERICAN CONCRETE INSTITUTE. ACI 201.2R-92: Guide to durable concrete.
Detroit, Michigan. 1992.
2. AMERICAN SOCIETY for TESTING and MATERIALS. Service Life of Rehabilitated
Buildings and Other Structures. STP 1098. Stephen J. Kelley & Philip C. Marshall,
ed. 1990.
3. ASSOCIAÇÃO BRASILEIRA DE CIMENTO PORTLAND. O efeito de várias
substâncias sobre o concreto. 4 ed. São Paulo: ABCP. 1990.
4. ASSOCIAÇÃO BRASILEIRA de NORMAS TÉCNICAS. NBR 6118:2003: Projeto de
Estruturas de Concreto – Procedimento. Rio de Janeiro, 2003. 221 p.
5.
. NBR 6120: Cargas para o cálculo de estruturas de edificações. Rio de
Janeiro, 1980. 5 p.
6. __
__. NBR 5732: Cimento Portland comum. Rio de Janeiro, 1991. 5 p.
7. ___ _. NBR 11578: Cimento Portland composto. Rio de Janeiro, 1991. 5 p.
8. __
__. NBR 5733: Cimento Portland de alta resistência inicial. Rio de Janeiro, 1991.
5 p.
9. _
___. NBR 5735: Cimento Portland de alto-forno. Rio de Janeiro, 1991. 5 p.
10. ___
_. NBR 5736: Cimento Portland pozolânico. Rio de Janeiro, 1991. 5 p.
11.
. NBR 7211: Agregado para concreto – especificação. Rio de Janeiro, 1983.
7 p.
12. __
__. NBR 12655: Concreto – Preparo, controle e recebimento. Rio de Janeiro,
1996. 7 p.
13. COMITE EURO-INTERNATIONAL du BETON. CEB-FIP Model Code 1990. Design
Code. Lausanne, CEB, May 1993. 437p. (Bulletin DíInformation, 213-214)
159
14. COMITE EURO-INTERNATIONAL du BETON. New Approach to Durability
Design — An Example for Carbonation Induced Corrosion. Lausanne, May 1997.
(Bulletin D’Information, 238)
15. ____. Durable concrete structures: CEB design guide. 2.ed. CEB Bulletin
d’Information, n.182. 1989.
16.
. Quality assurance for buildings: synthesis report. CEB Bulletin d’Information,
n.184. 1988.
17. EUROCODE 2. Design of concrete structures – Part 1-1: General rules and rules for
buildings. Brussels, CEN. prEN 1992-1-1. Dezembro 2003.
18. ANDRADE PERDIX, M. C. Manual para diagnóstico de obras deterioradas por
corrosão de armaduras. Trad. e adapt. CARMONA, A; HELENE, P. São Paulo: PINI,
1992. 104 p.
19. BRANDÃO, Ana Maria da Silva. Qualidade e durabilidade das estruturas de
concreto armado: aspectos relativos ao projeto. Dissertação (Mestrado). Escola de
Engenharia de São Carlos. Universidade de São Paulo, 1998. 149 p.
20. CÁNOVAS, Manuel Fernández. Patologia e terapia do concreto armado. São Paulo:
PINI, 1988. 522 p.
21. CARMONA, Antônio Filho; MEREGA, Arthur. Retrospectiva da patologia no Brasil:
Estudo Estatístico, In: Jornadas em Espanol y Português sobre Estruturas y Materiales.
Madrid, 1988. Colloquia 88. Madrid. CEDEX, IET, mayo 1988, 9. 325-48.
22. CASCUDO, Oswaldo. O controle de corrosão de armaduras em concreto: inspeção
e técnicas eletroquímicas. São Paulo: Pini, 1997. 237 p.
23. CONCRETE SOCIETY REPORT NON-STRUCTURAL CRACKS IN CONCRETE.
Technical Report no. 22, 3
rd
Edn, 48 p. (Concrete Society, London, 1992).
24. GENTIL, Vicente. Corrosão. 4. ed. Rio de Janeiro: LTC, 2003. 341 p.
25. HASPARYK, N.P; CARASEK, H; MONTEIRO, P.J.M. Estudo comparativo da reação
álcali-agregado através de diferentes métodos de ensaio. In: Workshop sobre
durabilidade das construções. São José dos Campos. Instituto Tecnológico de
Aeronáutica. Anais, 2001.
26. HELENE, Paulo R.L. A nova NB 1/2003 (NBR 6118) e a vida útil das estruturas de
concreto. II seminário de Patologia das edificações. Rio Grande do Sul. Universidade
Federal do Rio Grande do Sul. 2004.
27.
__ _. Manual para reparo, reforço e proteção de estruturas de concreto. 2. ed. São
Paulo, PINI, 1992. 213 p.
28.
__ _. Corrosão em armaduras para concreto armado. São Paulo: PINI, 1986. 47 p.
160
29. ISAIA, Geraldo Cechella. Durabilidade do concreto ou das estruturas de concreto?
Reflexões sobre o tema. In: Workshop sobre durabilidade das construções. São José
dos Campos. Instituto Tecnológico de Aeronáutica. Anais, 2001.
30. LEA, F.M. Durabilite dáspect des betons apparents: le vieillissement des façades.
Bruxelles, CSTC, 1980.
31. MASO, J.C. Proceedings of the Seventh International Congress on the Chemistry of
Cements, Vol. I. Paris. Editions Septima. 1980.
32. METHA, Povindar Kumar; GERWICK, B.C. Concrete International Vol. 4, nº 10, pp.
45-51, 1982.
33.
; MONTEIRO, Paulo J. Melaragno. Concreto: estrutura, propriedades e
materiais. São Paulo, Pini, 1994. 573 p.
34. NEVILLE, Adam M. Propriedades do concreto. Tradução Eng. Salvador E.
Giammusso. 2. ed. rev. atual. São Paulo, Pini, 1997. 828 p.
35. NEVILLE, A. What everyone who is "in" concrete should know about concrete.
Concrete international. Farmington Hills: American Concrete Institute. v. 21, n. 4,
p. 57-61, 1999.
36.
. The question of concrete durability: we can make good concrete today.
Concrete international. Farmington Hills: American Concrete Institute. v. 22, n. 7,
p. 21-26, 2000.
37. NEVILLE, A. Consideration of durability of concrete structures: past, present and
future. Materials and Structures. Cachan: RILEM. v. 34, n. 236, p. 114-118, 2001.
38. PETRUCCI, Eládio Gerardo Requião. Concreto de cimento Portland. 6. ed. Atual.
Porto Alegre: Globo. 1978. 307 p.
39. REUNION INTERNATIONALE de LABORATOIRES D’ESSAIS et MATERIAUX.
Durability Design of Concrete Structures. Report of RILEM Technical Committee 130-
CSL. Ed. by A. Sarja and E. Vesikari. London, RILEM Report 14, E & FN Spon, hapman
& Hall, 1996.
40. REUNION INTERNATIONALE de LABORATOIRES D’ESSAIS et MATERIAUX.
Performance Criteria for Concrete Durability. State of the Art Report of RILEM Technical
Committee TC-116-PCD. Ed. by J. Kropp & H. K. Hilsdorf. London, RILEM Report 12,
E & FN Spon, Chapman & Hall, 1995.
41. RIGHI, Eduardo. Metodologia de caracterização de patologias em obras de artes
especiais. Dissertação de Mestrado. Programa de Pós-graduação em Engenharia Civil.
Universidade Federal Fluminense, 2002. 187 p.
42. SHAH, S., Wang, K., J. Mixture proportioning for durable concrete – Challenges and
changes. Concrete International. Farmington Hills: American Concrete Institute. v. 22,
n. 9, p. 73-78, 2000.
161
43. SITTER, W.R. Costs for Service Life Optimization. The “Law of Fives”. In: CEB-
RILEM Durability of Concrete Structures. Proceedings of the International Workshop
held in Copenhagen, 18-20 May 1983. Copenhagen, CEB, 1984. (Workshop Reported
by Steen Rostam).
44. SILVA, Paulo Fernando Araújo. Durabilidade das estruturas de concreto aparente
em atmosfera urbana. São Paulo: Pini, 1995. 152 p.
45. TUUTTI, Kyosti. Corrosion of Steel in Concrete. Stockholm, Swedish Cement and
Concrete Research Institute, 1982. p. 17-21
46. VILASBOAS, José Marcílio Ladeia. Durabilidade das edificações de concreto
armado em Salvador: uma contribuição para a implantação da NBR 6118:2003.
Dissertação de Mestrado. Departamento de Engenharia Ambiental. Universidade
Federal da Bahia, 2004. 229 p.
OBRAS CONSULTADAS
1. ALMEIDA, José Maria R. de. Patologias em Obras Portuárias. 2000. p. 225.
Dissertação de Mestrado, Curso de Pós-Graduação em Engenharia Civil. Universidade
Federal Fluminense, Niterói, 2000.
2. CARMONA, Antônio Filho. Curso de patologia, reparo e reforço de estruturas de
concreto armado. São Paulo: Associação Brasileira de Cimento Portland, 1998. 95 p.
3. COMITE EURO-INTERNACIONAL du BETON. Durable Concrete Structures – CEB
Design Guide. Lausanne, CEB, 1992. p. 120. (Bulletin d´Information n.º 183).
4. HELENE, Paulo R.L; TERZIAN, Paulo R. Manual de dosagem e controle do concreto.
São Paulo, Pini, 1993. 349 p.
5. INSTITUTO BRASILEIRO do CONCRETO. Comentários Técnicos à NB-1. São
Paulo, IBRACON, Prática Recomendada n. 1, Junho 2003. 70 p.
6. ISAIA, G.C. Efeitos de misturas binárias e ternárias de pozolana em concreto de alto-
desempenho: um estudo de durabilidade com vistas à corrosão de armaduras. São
Paulo, 1995. Tese de Doutorado. Escola Politécnica – Universidade de São Paulo.
1995.
7. SOUZA, Vicente Custódio Moreira de; RIPPER, Tomaz. Patologia, recuperação e
reforço de estruturas de concreto. São Paulo: Pini. 1995. 250 p.
8. THOMAZ, Ercio. Trincas em edifícios: causas, prevenção e recuperação. São Paulo:
PINI, 1989. 94 p.
APÊNDICES
Os apêndices apresentam os relatórios gerais das vigas dos exemplos 1, 2 e
3 apresentados no capítulo 5 deste trabalho. Os projetos foram gerados no sistema
CAD TQS EPP + (edificação de pequeno porte).
9.1 A
PÊNDICE 1 RELATÓRIO GERAL DAS VIGAS DO EXEMPLO 1
9.2 A
PÊNDICE 2 RELATÓRIO GERAL DAS VIGAS DO EXEMPLO 2
9.3 A
PÊNDICE 3 RELATÓRIO GERAL DAS VIGAS DO EXEMPLO 3
164
9.1 APÊNDICE 1
R E L G E R - Relatorio geral de vigas
T Q S Projeto: 1o teto
CAD/Vigas
fck=300.kg/cm2 - Aco : CA-60B CA-50A - Esforcos Caracteristicos
Viga= 1 V1 Eng.E=Nao Eng.D=Nao Repet= 1 NAnd= 1 Red V Ext=Nao Fat.Alt=1.00 Cob=4.0
CM
------------------------------- G E O M E T R I A E C A R G A S -------------------------------
Vao= 2 /L= 2.74 /B= .15 /H= .30 /BCs= .36 /BCi= .00 /TpS= 5 /Esp.LS= .10 /Esp.LI= .00 FSp.Ex= .15 /FLt.Ex= .07 [M]
Cargas No. Tipo Esf.Adic. Maximos: MEsq= .00 MDir= .00 Q= .00 Minimos: MEsq= .00 MDir= .00 Q=
.00
[Tf,m] 1- Parc.Dist.PMax= .32 PMin= .30 Inicio= .00 Compr= 2.74
- - - - - - A R M A D U R A S ( F L E X A O E C I S A L H A M E N T O ) - - - - -
FLEXAO-| E S Q U E R D A | M E I O D O V A O | D I R E I T A
| M.[-] = .2 Tf* m | M.[+] Max= .2 Tf* m - Abcis.= 70 | M.[-] = .6 Tf* m
[Tf,cm]| As = .98 -SRAS- [ 2 B 10.0mm] | AsL= .00 ------ Flecha= .2 | As = 1.31 -SRAS- [ 2 B
10.0mm]
| AsL= .00 ------ x/d = .08 | As = .98 -STAS- [ 2 B 8.0mm ] | AsL= .00 ------ x/d =
.11
| Grampos Esq.= 1B 6.3mm x/dMx= .50 | | x/dMx=
.50
| | Fle.Adm.= .9 |
[Tf,cm]| Bit.Fiss.= 5.8 M[-]Min= 69.1 | Bit.Fiss.= 12.9 M[+]Min= 59.4 | Bit.Fiss.= 1.1 M[-]Min=
90.7
CISALHAMENTO- Xi Xf Vsd VRd2 MdC Ang. Asw[C] Asw[C+T] Bit Esp NR AsTrt AsSus MENSAGEM
[Tf,cm] 0.- 258. 1.04 19.09 2 45. .0 1.7 6.3 15.0 2 .0 .0
T O R C A O- Xi Xf Tsd TRd2 %dT he b-nuc h-nuc Asw-1R Asl-b Asl-h ComDia M E N S A G E M
[Tf,cm] 0.- 258. .01 .31 5 4.1 4.1 19.1 .2 .0 .0 .09
------------------------------- G E O M E T R I A E C A R G A S -------------------------------
Vao= 3 /L= 3.42 /B= .15 /H= .30 /BCs= .41 /BCi= .00 /TpS= 5 /Esp.LS= .10 /Esp.LI= .00 FSp.Ex= .15 /FLt.Ex= .07 [M]
165
Cargas No. Tipo Esf.Adic. Maximos: MEsq= .00 MDir= .00 Q= .00 Minimos: MEsq= .00 MDir= .00 Q=
.00
[Tf,m] 1- Parc.Dist.PMax= .40 PMin= .37 Inicio= .00 Compr= 3.42
- - - - - - A R M A D U R A S ( F L E X A O E C I S A L H A M E N T O ) - - - - -
FLEXAO-| E S Q U E R D A | M E I O D O V A O | D I R E I T A
| M.[-] = .9 Tf* m | M.[+] Max= .5 Tf* m - Abcis.= 232 | M.[-] = .6 Tf* m
[Tf,cm]| As = 1.44 -SRAS- [ 2 B 10.0mm] | AsL= .00 ------ Flecha= .5 | As = 1.38 -SRAS- [ 2 B
10.0mm]
| AsL= .00 ------ x/d = .12 | As = 1.06 -STAS- [ 2 B 10.0mm ] | AsL= .00 ------ x/d =
.12
| x/dMx= .50 | | x/dMx=
.50
| | Fle.Adm.= 1.1 |
[Tf,cm]| Bit.Fiss.= 1.2 M[-]Min= 99.8 | Bit.Fiss.= 2.7 M[+]Min= 60.9 | Bit.Fiss.= 1.1 M[-]Min=
95.5
CISALHAMENTO- Xi Xf Vsd VRd2 MdC Ang. Asw[C] Asw[C+T] Bit Esp NR AsTrt AsSus MENSAGEM
[Tf,cm] 0.- 325. 1.60 19.09 2 45. .0 1.7 6.3 15.0 2 .0 .0
T O R C A O- Xi Xf Tsd TRd2 %dT he b-nuc h-nuc Asw-1R Asl-b Asl-h ComDia M E N S A G E M
[Tf,cm] 0.- 325. .01 .31 5 4.1 4.1 19.1 .1 .0 .0 .11
REACOES DE APOIO - No. Maximos Minimos Largura DEPEV Morte Nome M.I.Mx M.I.Mn Pilares:
1 .482 .202 .15 .00 1 P1 .00 .00 1 0 0 0 0
0
2 1.575 1.395 .30 .06 1 P2 .00 .00 2 0 0 0 0
0
3 .912 .454 .30 .06 1 P3 .00 .00 3 0 0 0 0
0
=================================================================================================================================
Viga= 2 V2 Eng.E=Nao Eng.D=Nao Repet= 1 NAnd= 1 Red V Ext=Nao Fat.Alt=1.00 Cob=4.0
CM
------------------------------- G E O M E T R I A E C A R G A S -------------------------------
Vao= 2 /L= 3.30 /B= .15 /H= .30 /BCs= .64 /BCi= .00 /TpS= 2 /Esp.LS= .10 /Esp.LI= .00 FSp.Ex= .15 /FLt.Ex= .07 [M]
Cargas No. Tipo Esf.Adic. Maximos: MEsq= .00 MDir= .00 Q= .00 Minimos: MEsq= .00 MDir= .00 Q=
.00
[Tf,m] 1- Parc.Dist.PMax= .76 PMin= .68 Inicio= .00 Compr= 2.71
2- Parc.Dist.PMax= .89 PMin= .79 Inicio= 2.71 Compr= .59
3- Parc.Dist.PMax= .11 PMin= .11 Inicio= .00 Compr= 3.30
4- Reac.Ind. PMax= .69 PMin= .62 Aplic.= 2.71 Bw Ap= .15 D.Ver= .30 Viga= 7 Apoio= 1
166
- - - - - - A R M A D U R A S ( F L E X A O E C I S A L H A M E N T O ) - - - - -
FLEXAO-| E S Q U E R D A | M E I O D O V A O | D I R E I T A
| M.[-] = .3 Tf* m | M.[+] Max= .7 Tf* m - Abcis.= 137 | M.[-] = 1.3 Tf* m
[Tf,cm]| As = 1.05 -SRAS- [ 2 B 10.0mm] | AsL= .00 ------ Flecha= .4 | As = 2.20 -SRAS- [ 3 B
10.0mm]
| AsL= .00 ------ x/d = .09 | As = 1.44 -STAS- [ 2 B 10.0mm ] | AsL= .00 ------ x/d =
.20
| Grampos Esq.= 1B 6.3mm x/dMx= .50 | | x/dMx=
.50
| | Fle.Adm.= 1.1 |
| % Baric.Armad.= 1 | % Baric.Armad.= 1 | % Baric.Armad.= 11 ***
[Tf,cm]| Bit.Fiss.= 3.1 M[-]Min= 72.5 | Bit.Fiss.= 2.5 M[+]Min= 65.9 | Bit.Fiss.= 1.5 M[-]Min=
136.7
CISALHAMENTO- Xi Xf Vsd VRd2 MdC Ang. Asw[C] Asw[C+T] Bit Esp NR AsTrt AsSus MENSAGEM
[Tf,cm] 0.- 315. 3.40 19.09 2 45. .2 1.7 6.3 15.0 2 .0 .6
T O R C A O- Xi Xf Tsd TRd2 %dT he b-nuc h-nuc Asw-1R Asl-b Asl-h ComDia M E N S A G E M
[Tf,cm] 0.- 315. .02 .31 5 4.1 4.1 19.1 .3 .0 .1 .24
------------------------------- G E O M E T R I A E C A R G A S -------------------------------
Vao= 3 /L= 3.12 /B= .15 /H= .30 /BCs= .62 /BCi= .00 /TpS= 2 /Esp.LS= .10 /Esp.LI= .00 FSp.Ex= .15 /FLt.Ex= .07 [M]
Cargas No. Tipo Esf.Adic. Maximos: MEsq= .00 MDir= .00 Q= .00 Minimos: MEsq= .00 MDir= .00 Q=
.00
[Tf,m] 1- Parc.Dist.PMax= 1.00 PMin= .90 Inicio= .00 Compr= 3.12
- - - - - - A R M A D U R A S ( F L E X A O E C I S A L H A M E N T O ) - - - - -
FLEXAO-| E S Q U E R D A | M E I O D O V A O | D I R E I T A
| M.[-] = 1.3 Tf* m | M.[+] Max= .7 Tf* m - Abcis.= 182 | M.[-] = .2 Tf* m
[Tf,cm]| As = 2.12 -SRAS- [ 3 B 10.0mm] | AsL= .00 ------ Flecha= .4 | As = 1.02 -SRAS- [ 2 B
10.0mm]
| AsL= .00 ------ x/d = .19 | As = 1.38 -STAS- [ 2 B 10.0mm ] | AsL= .00 ------ x/d =
.09
| x/dMx= .50 | | Grampos Dir.= 1B 6.3mm x/dMx=
.50
| | Fle.Adm.= 1.0 |
| % Baric.Armad.= 11 *** | % Baric.Armad.= 1 | % Baric.Armad.= 1
[Tf,cm]| Bit.Fiss.= 1.5 M[-]Min= 132.9 | Bit.Fiss.= 2.4 M[+]Min= 65.5 | Bit.Fiss.= 4.1 M[-]Min=
71.3
CISALHAMENTO- Xi Xf Vsd VRd2 MdC Ang. Asw[C] Asw[C+T] Bit Esp NR AsTrt AsSus MENSAGEM
[Tf,cm] 0.- 297. 2.64 19.09 2 45. .0 1.7 6.3 15.0 2 .0 .0
167
T O R C A O- Xi Xf Tsd TRd2 %dT he b-nuc h-nuc Asw-1R Asl-b Asl-h ComDia M E N S A G E M
[Tf,cm] 0.- 297. .00 .31 5 4.1 4.1 19.1 .0 .0 .0 .14
REACOES DE APOIO - No. Maximos Minimos Largura DEPEV Morte Nome M.I.Mx M.I.Mn Pilares:
1 1.154 1.022 .15 .00 1 P4 .00 .00 4 0 0 0 0
0
2 4.258 4.112 .15 .00 1 P5 .00 .00 5 0 0 0 0
0
3 1.100 .962 .15 .00 1 P6 .00 .00 6 0 0 0 0
0
=================================================================================================================================
Viga= 3 V3 Eng.E=Nao Eng.D=Nao Repet= 1 NAnd= 1 Red V Ext=Nao Fat.Alt=1.00 Cob=4.0
CM
------------------------------- G E O M E T R I A E C A R G A S -------------------------------
Vao= 2 /L= 3.31 /B= .15 /H= .30 /BCs= .65 /BCi= .00 /TpS= 2 /Esp.LS= .10 /Esp.LI= .00 FSp.Ex= .15 /FLt.Ex= .07 [M]
Cargas No. Tipo Esf.Adic. Maximos: MEsq= .00 MDir= .00 Q= .00 Minimos: MEsq= .00 MDir= .00 Q=
.00
[Tf,m] 1- Parc.Dist.PMax= 1.10 PMin= .99 Inicio= .00 Compr= 3.32
- - - - - - A R M A D U R A S ( F L E X A O E C I S A L H A M E N T O ) - - - - -
FLEXAO-| E S Q U E R D A | M E I O D O V A O | D I R E I T A
| M.[-] = .0 Tf* m | M.[+] Max= .8 Tf* m - Abcis.= 112 | M.[-] = 1.8 Tf* m
[Tf,cm]| As = 1.04 -SRAS- [ 2 B 10.0mm] | AsL= .00 ------ Flecha= .5 | As = 3.15 -SRAS- [ 4 B
10.0mm]
| AsL= .00 ------ x/d = .09 | As = 1.42 -STAS- [ 2 B 10.0mm ] | AsL= .00 ------ x/d =
.31
| Grampos Esq.= 1B 6.3mm x/dMx= .50 | | x/dMx=
.50
| | Fle.Adm.= 1.1 |
| % Baric.Armad.= 1 | % Baric.Armad.= 1 | % Baric.Armad.= 17 ***
[Tf,cm]| Bit.Fiss.= 50.0 M[-]Min= 73.0 | Bit.Fiss.= 2.1 M[+]Min= 66.0 | Bit.Fiss.= 1.9 M[-]Min=
137.0
CISALHAMENTO- Xi Xf Vsd VRd2 MdC Ang. Asw[C] Asw[C+T] Bit Esp NR AsTrt AsSus MENSAGEM
[Tf,cm] 0.- 315. 3.09 19.09 2 45. .0 1.7 6.3 15.0 2 .0 .0
T O R C A O- Xi Xf Tsd TRd2 %dT he b-nuc h-nuc Asw-1R Asl-b Asl-h ComDia M E N S A G E M
[Tf,cm] 0.- 315. .02 .31 5 4.1 4.1 19.1 .2 .0 .0 .21
168
------------------------------- G E O M E T R I A E C A R G A S -------------------------------
Vao= 3 /L= 2.98 /B= .15 /H= .30 /BCs= .60 /BCi= .00 /TpS= 2 /Esp.LS= .10 /Esp.LI= .00 FSp.Ex= .15 /FLt.Ex= .07 [M]
Cargas No. Tipo Esf.Adic. Maximos: MEsq= .00 MDir= .00 Q= .00 Minimos: MEsq= .00 MDir= .00 Q=
.00
[Tf,m] 1- Parc.Dist.PMax= 1.10 PMin= .99 Inicio= .00 Compr= 2.98
- - - - - - A R M A D U R A S ( F L E X A O E C I S A L H A M E N T O ) - - - - -
FLEXAO-| E S Q U E R D A | M E I O D O V A O | D I R E I T A
| M.[-] = 1.7 Tf* m | M.[+] Max= .7 Tf* m - Abcis.= 203 | M.[-] = .0 Tf* m
[Tf,cm]| As = 3.10 -SRAS- [ 4 B 10.0mm] | AsL= .00 ------ Flecha= .3 | As = 1.03 -SRAS- [ 2 B
10.0mm]
| AsL= .00 ------ x/d = .30 | As = 1.37 -STAS- [ 2 B 10.0mm ] | AsL= .00 ------ x/d =
.09
| x/dMx= .50 | | Grampos Dir.= 1B 6.3mm x/dMx=
.50
| | Fle.Adm.= 1.0 |
| % Baric.Armad.= 17 *** | % Baric.Armad.= 1 | % Baric.Armad.= 1
[Tf,cm]| Bit.Fiss.= 1.9 M[-]Min= 130.0 | Bit.Fiss.= 2.3 M[+]Min= 65.1 | Bit.Fiss.= 50.0 M[-]Min=
70.8
CISALHAMENTO- Xi Xf Vsd VRd2 MdC Ang. Asw[C] Asw[C+T] Bit Esp NR AsTrt AsSus MENSAGEM
[Tf,cm] 0.- 282. 2.89 19.09 2 45. .0 1.7 6.3 15.0 2 .0 .0
T O R C A O- Xi Xf Tsd TRd2 %dT he b-nuc h-nuc Asw-1R Asl-b Asl-h ComDia M E N S A G E M
[Tf,cm] 0.- 282. .02 .31 5 4.1 4.1 19.1 .2 .0 .1 .21
REACOES DE APOIO - No. Maximos Minimos Largura DEPEV Morte Nome M.I.Mx M.I.Mn Pilares:
1 .948 .780 .15 .00 2 V6 .00 .00 0 0 0 0 0
0
2 4.107 4.003 .30 .06 1 P7 .00 .00 7 0 0 0 0
0
3 .750 .558 .15 .00 2 V8 .00 .00 0 0 0 0 0
0
=================================================================================================================================
Viga= 4 V4 Eng.E=Nao Eng.D=Nao Repet= 1 NAnd= 1 Red V Ext=Nao Fat.Alt=1.00 Cob=4.0
CM
------------------------------- G E O M E T R I A E C A R G A S -------------------------------
Vao= 2 /L= 3.31 /B= .15 /H= .30 /BCs= .65 /BCi= .00 /TpS= 2 /Esp.LS= .10 /Esp.LI= .00 FSp.Ex= .15 /FLt.Ex= .07 [M]
Cargas No. Tipo Esf.Adic. Maximos: MEsq= .00 MDir= .00 Q= .00 Minimos: MEsq= .00 MDir= .00 Q=
.00
169
[Tf,m] 1- Parc.Dist.PMax= 1.15 PMin= 1.03 Inicio= .00 Compr= 3.31
- - - - - - A R M A D U R A S ( F L E X A O E C I S A L H A M E N T O ) - - - - -
FLEXAO-| E S Q U E R D A | M E I O D O V A O | D I R E I T A
| M.[-] = .3 Tf* m | M.[+] Max= .8 Tf* m - Abcis.= 112 | M.[-] = 1.4 Tf* m
[Tf,cm]| As = 1.04 -SRAS- [ 2 B 10.0mm] | AsL= .00 ------ Flecha= .6 | As = 2.14 -SRAS- [ 2 B
12.5mm]
| AsL= .00 ------ x/d = .09 | As = 1.42 -STAS- [ 2 B 10.0mm ] | AsL= .00 ------ x/d =
.18
| x/dMx= .50 | | x/dMx=
.50
| | Fle.Adm.= 1.1 |
[Tf,cm]| Bit.Fiss.= 2.6 M[-]Min= 73.0 | Bit.Fiss.= 1.9 M[+]Min= 66.0 | Bit.Fiss.= 1.6 M[-]Min=
137.0
CISALHAMENTO- Xi Xf Vsd VRd2 MdC Ang. Asw[C] Asw[C+T] Bit Esp NR AsTrt AsSus MENSAGEM
[Tf,cm] 0.- 315. 2.99 19.09 2 45. .0 1.7 6.3 15.0 2 .0 .0
T O R C A O- Xi Xf Tsd TRd2 %dT he b-nuc h-nuc Asw-1R Asl-b Asl-h ComDia M E N S A G E M
[Tf,cm] 0.- 315. .01 .31 5 4.1 4.1 19.1 .1 .0 .0 .18
------------------------------- G E O M E T R I A E C A R G A S -------------------------------
Vao= 3 /L= 2.85 /B= .15 /H= .30 /BCs= .58 /BCi= .00 /TpS= 2 /Esp.LS= .10 /Esp.LI= .00 FSp.Ex= .15 /FLt.Ex= .07 [M]
Cargas No. Tipo Esf.Adic. Maximos: MEsq= .00 MDir= .00 Q= .00 Minimos: MEsq= .00 MDir= .00 Q=
.00
[Tf,m] 1- Parc.Dist.PMax= 1.15 PMin= 1.03 Inicio= .00 Compr= 2.85
- - - - - - A R M A D U R A S ( F L E X A O E C I S A L H A M E N T O ) - - - - -
FLEXAO-| E S Q U E R D A | M E I O D O V A O | D I R E I T A
| M.[-] = 1.5 Tf* m | M.[+] Max= .6 Tf* m - Abcis.= 194 | M.[-] = .7 Tf* m
[Tf,cm]| As = 2.32 -SRAS- [ 2 B 12.5mm] | AsL= .00 ------ Flecha= .3 | As = 1.53 -SRAS- [ 2 B
10.0mm]
| AsL= .00 ------ x/d = .20 | As = 1.32 -STAS- [ 2 B 10.0mm ] | AsL= .00 ------ x/d =
.13
| x/dMx= .50 | | x/dMx=
.50
| | Fle.Adm.= .9 |
[Tf,cm]| Bit.Fiss.= 1.7 M[-]Min= 127.0 | Bit.Fiss.= 2.4 M[+]Min= 64.7 | Bit.Fiss.= 1.1 M[-]Min=
105.6
CISALHAMENTO- Xi Xf Vsd VRd2 MdC Ang. Asw[C] Asw[C+T] Bit Esp NR AsTrt AsSus MENSAGEM
[Tf,cm] 0.- 267. 3.00 19.09 2 45. .0 1.7 6.3 15.0 2 .0 .0
170
T O R C A O- Xi Xf Tsd TRd2 %dT he b-nuc h-nuc Asw-1R Asl-b Asl-h ComDia M E N S A G E M
[Tf,cm] 0.- 267. .01 .31 5 4.1 4.1 19.1 .1 .0 .0 .18
REACOES DE APOIO - No. Maximos Minimos Largura DEPEV Morte Nome M.I.Mx M.I.Mn Pilares:
1 1.198 .994 .15 .00 1 P8 .00 .00 8 0 0 0 0
0
2 4.017 3.626 .30 .06 1 P9 .00 .00 9 0 0 0 0
0
3 1.641 1.050 .30 .06 1 P10 .00 .00 10 0 0 0 0
0
=================================================================================================================================
Viga= 5 V5 Eng.E=Nao Eng.D=Nao Repet= 1 NAnd= 1 Red V Ext=Nao Fat.Alt=1.00 Cob=4.0
CM
------------------------------- G E O M E T R I A E C A R G A S -------------------------------
Vao= 2 /L= 3.28 /B= .20 /H= .30 /BCs= .45 /BCi= .00 /TpS= 8 /Esp.LS= .10 /Esp.LI= .00 FSp.Ex= .15 /FLt.Ex= .10 [M]
Cargas No. Tipo Esf.Adic. Maximos: MEsq= .00 MDir= .00 Q= .00 Minimos: MEsq= .00 MDir= .00 Q=
.00
[Tf,m] 1- Parc.Dist.PMax= .41 PMin= .38 Inicio= .00 Compr= 3.28
- - - - - - A R M A D U R A S ( F L E X A O E C I S A L H A M E N T O ) - - - - -
FLEXAO-| E S Q U E R D A | M E I O D O V A O | D I R E I T A
| M.[-] = .3 Tf* m | M.[+] Max= .3 Tf* m - Abcis.= 109 | M.[-] = .5 Tf* m
[Tf,cm]| As = 1.37 -SRAS- [ 2 B 10.0mm] | AsL= .00 ------ Flecha= .3 | As = 1.59 -SRAS- [ 2 B
10.0mm]
| AsL= .00 ------ x/d = .08 | As = 1.27 -STAS- [ 2 B 10.0mm ] | AsL= .00 ------ x/d =
.10
| Grampos Esq.= 1B 6.3mm x/dMx= .50 | | x/dMx=
.50
| | Fle.Adm.= 1.1 |
[Tf,cm]| Bit.Fiss.= 4.1 M[-]Min= 100.2 | Bit.Fiss.= 7.4 M[+]Min= 78.2 | Bit.Fiss.= 1.3 M[-]Min=
115.8
CISALHAMENTO- Xi Xf Vsd VRd2 MdC Ang. Asw[C] Asw[C+T] Bit Esp NR AsTrt AsSus MENSAGEM
[Tf,cm] 0.- 310. 1.06 25.46 2 45. .0 2.3 6.3 15.0 2 .0 .0
T O R C A O- Xi Xf Tsd TRd2 %dT he b-nuc h-nuc Asw-1R Asl-b Asl-h ComDia M E N S A G E M
[Tf,cm] 0.- 310. .02 .99 5 6.0 9.1 19.1 .1 .0 .0 .06
------------------------------- G E O M E T R I A E C A R G A S -------------------------------
Vao= 3 /L= 3.05 /B= .20 /H= .30 /BCs= .43 /BCi= .00 /TpS= 8 /Esp.LS= .10 /Esp.LI= .00 FSp.Ex= .15 /FLt.Ex= .10 [M]
171
Cargas No. Tipo Esf.Adic. Maximos: MEsq= .00 MDir= .00 Q= .00 Minimos: MEsq= .00 MDir= .00 Q=
.00
[Tf,m] 1- Parc.Dist.PMax= .41 PMin= .38 Inicio= .00 Compr= 3.05
- - - - - - A R M A D U R A S ( F L E X A O E C I S A L H A M E N T O ) - - - - -
FLEXAO-| E S Q U E R D A | M E I O D O V A O | D I R E I T A
| M.[-] = .6 Tf* m | M.[+] Max= .3 Tf* m - Abcis.= 229 | M.[-] = .3 Tf* m
[Tf,cm]| As = 1.54 -SRAS- [ 2 B 10.0mm] | AsL= .00 ------ Flecha= .2 | As = 1.34 -SRAS- [ 2 B
10.0mm]
| AsL= .00 ------ x/d = .09 | As = 1.24 -STAS- [ 2 B 10.0mm ] | AsL= .00 ------ x/d =
.08
| x/dMx= .50 | | Grampos Dir.= 1B 6.3mm x/dMx=
.50
| | Fle.Adm.= 1.0 |
[Tf,cm]| Bit.Fiss.= 1.3 M[-]Min= 112.6 | Bit.Fiss.= 9.0 M[+]Min= 77.6 | Bit.Fiss.= 5.5 M[-]Min=
97.9
CISALHAMENTO- Xi Xf Vsd VRd2 MdC Ang. Asw[C] Asw[C+T] Bit Esp NR AsTrt AsSus MENSAGEM
[Tf,cm] 0.- 287. 1.01 25.46 2 45. .0 2.3 6.3 15.0 2 .0 .0
T O R C A O- Xi Xf Tsd TRd2 %dT he b-nuc h-nuc Asw-1R Asl-b Asl-h ComDia M E N S A G E M
[Tf,cm] 0.- 287. .02 .99 5 6.0 9.1 19.1 .1 .0 .0 .06
REACOES DE APOIO - No. Maximos Minimos Largura DEPEV Morte Nome M.I.Mx M.I.Mn Pilares:
1 .489 .270 .20 .01 1 P11 .00 .00 11 0 0 0 0
0
2 1.266 1.233 .20 .01 1 P12 .00 .00 12 0 0 0 0
0
3 .432 .193 .20 .01 1 P13 .00 .00 13 0 0 0 0
0
=================================================================================================================================
Viga= 6 V6 Eng.E=Nao Eng.D=Nao Repet= 1 NAnd= 1 Red V Ext=Nao Fat.Alt=1.00 Cob=4.0
CM
------------------------------- G E O M E T R I A E C A R G A S -------------------------------
Vao= 2 /L= 2.01 /B= .15 /H= .40 /BCs= .30 /BCi= .00 /TpS= 5 /Esp.LS= .10 /Esp.LI= .00 FSp.Ex= .20 /FLt.Ex= .07 [M]
Cargas No. Tipo Esf.Adic. Maximos: MEsq= .00 MDir= .00 Q= .00 Minimos: MEsq= .00 MDir= .00 Q=
.00
[Tf,m] 1- Parc.Dist.PMax= .34 PMin= .32 Inicio= .00 Compr= 2.01
- - - - - - A R M A D U R A S ( F L E X A O E C I S A L H A M E N T O ) - - - - -
FLEXAO-| E S Q U E R D A | M E I O D O V A O | D I R E I T A
172
| M.[-] = .2 Tf* m | M.[+] Max= .2 Tf* m - Abcis.= 0 | M.[-] = 1.1 Tf* m
[Tf,cm]| As = 1.38 -SRAS- [ 2 B 10.0mm] | AsL= .00 ------ Flecha= .0 | As = 1.38 -SRAS- [ 2 B
10.0mm]
| AsL= .00 ------ x/d = .08 | As = 1.13 -STAS- [ 2 B 10.0mm ] | AsL= .00 ------ x/d =
.08
| x/dMx= .50 | | x/dMx=
.50
| | Fle.Adm.= .7 |
[Tf,cm]| Bit.Fiss.= 31.4 M[-]Min= 138.5 | Bit.Fiss.= 29.6 M[+]Min= 102.3 | Bit.Fiss.= 1.1 M[-]Min=
138.5
CISALHAMENTO- Xi Xf Vsd VRd2 MdC Ang. Asw[C] Asw[C+T] Bit Esp NR AsTrt AsSus MENSAGEM
[Tf,cm] 0.- 179. 1.46 26.73 2 45. .0 1.7 6.3 20.0 2 .0 .0
T O R C A O- Xi Xf Tsd TRd2 %dT he b-nuc h-nuc Asw-1R Asl-b Asl-h ComDia M E N S A G E M
[Tf,cm] 0.- 179. .01 .47 5 4.1 4.1 29.1 .1 .0 .0 .08
------------------------------- G E O M E T R I A E C A R G A S -------------------------------
Vao= 3 /L= 5.06 /B= .15 /H= .40 /BCs= .45 /BCi= .00 /TpS= 5 /Esp.LS= .10 /Esp.LI= .00 FSp.Ex= .20 /FLt.Ex= .07 [M]
Cargas No. Tipo Esf.Adic. Maximos: MEsq= .00 MDir= .00 Q= .00 Minimos: MEsq= .00 MDir= .00 Q=
.00
[Tf,m] 1- Parc.Dist.PMax= .18 PMin= .18 Inicio= .00 Compr= 3.04
2- Parc.Dist.PMax= .12 PMin= .12 Inicio= 3.04 Compr= 2.02
3- Parc.Dist.PMax= .21 PMin= .19 Inicio= .00 Compr= 5.06
4- Reac.Ind. PMax= .95 PMin= .78 Aplic.= 3.04 Bw Ap= .15 D.Ver= .30 Viga= 3 Apoio= 1
- - - - - - A R M A D U R A S ( F L E X A O E C I S A L H A M E N T O ) - - - - -
FLEXAO-| E S Q U E R D A | M E I O D O V A O | D I R E I T A
| M.[-] = 1.3 Tf* m | M.[+] Max= 1.1 Tf* m - Abcis.= 298 | M.[-] = 1.4 Tf* m
[Tf,cm]| As = 1.99 -SRAS- [ 3 B 10.0mm] | AsL= .00 ------ Flecha= .8 | As = 1.99 -SRAS- [ 3 B
10.0mm]
| AsL= .00 ------ x/d = .12 | As = 1.38 -STAS- [ 2 B 10.0mm ] | AsL= .00 ------ x/d =
.12
| x/dMx= .50 | Arm.Lat.=[2 X 1 B 6.3mm] - LN= .7 | x/dMx=
.50
| | Fle.Adm.= 1.7 |
[Tf,cm]| Bit.Fiss.= 1.1 M[-]Min= 185.6 | Bit.Fiss.= 1.7 M[+]Min= 110.9 | Bit.Fiss.= 1.1 M[-]Min=
185.6
CISALHAMENTO- Xi Xf Vsd VRd2 MdC Ang. Asw[C] Asw[C+T] Bit Esp NR AsTrt AsSus MENSAGEM
[Tf,cm] 0.- 482. 2.18 26.73 2 45. .0 1.7 6.3 20.0 2 .0 .0
173
T O R C A O- Xi Xf Tsd TRd2 %dT he b-nuc h-nuc Asw-1R Asl-b Asl-h ComDia M E N S A G E M
[Tf,cm] 0.- 482. .04 .47 5 4.1 4.1 29.1 .3 .0 .1 .16
------------------------------- G E O M E T R I A E C A R G A S -------------------------------
Vao= 4 /L= 2.99 /B= .15 /H= .40 /BCs= .37 /BCi= .00 /TpS= 5 /Esp.LS= .10 /Esp.LI= .00 FSp.Ex= .20 /FLt.Ex= .07 [M]
Cargas No. Tipo Esf.Adic. Maximos: MEsq= .00 MDir= .00 Q= .00 Minimos: MEsq= .00 MDir= .00 Q=
.00
[Tf,m] 1- Parc.Dist.PMax= .43 PMin= .40 Inicio= .00 Compr= 2.99
- - - - - - A R M A D U R A S ( F L E X A O E C I S A L H A M E N T O ) - - - - -
FLEXAO-| E S Q U E R D A | M E I O D O V A O | D I R E I T A
| M.[-] = 1.3 Tf* m | M.[+] Max= .4 Tf* m - Abcis.= 251 | M.[-] = .4 Tf* m
[Tf,cm]| As = 1.62 -SRAS- [ 2 B 10.0mm] | AsL= .00 ------ Flecha= .1 | As = 1.55 -SRAS- [ 2 B
10.0mm]
| AsL= .00 ------ x/d = .10 | As = 1.24 -STAS- [ 2 B 10.0mm ] | AsL= .00 ------ x/d =
.09
| x/dMx= .50 | | x/dMx=
.50
| | Fle.Adm.= 1.0 |
[Tf,cm]| Bit.Fiss.= 1.1 M[-]Min= 161.8 | Bit.Fiss.= 11.1 M[+]Min= 106.9 | Bit.Fiss.= 5.1 M[-]Min=
154.6
CISALHAMENTO- Xi Xf Vsd VRd2 MdC Ang. Asw[C] Asw[C+T] Bit Esp NR AsTrt AsSus MENSAGEM
[Tf,cm] 0.- 275. 1.66 26.73 2 45. .0 1.7 6.3 20.0 2 .0 .0
T O R C A O- Xi Xf Tsd TRd2 %dT he b-nuc h-nuc Asw-1R Asl-b Asl-h ComDia M E N S A G E M
[Tf,cm] 0.- 275. .01 .47 5 4.1 4.1 29.1 .1 .0 .0 .08
REACOES DE APOIO - No. Maximos Minimos Largura DEPEV Morte Nome M.I.Mx M.I.Mn Pilares:
1 .209 -.225 .20 .00 1 P11 .00 .00 11 0 0 0 0
0
2 2.383 2.063 .30 .03 1 P8 .00 .00 8 0 0 0 0
0
3 2.583 2.281 .30 .03 1 P4 .00 .00 4 0 0 0 0
0
4 .581 .158 .30 .03 1 P1 .00 .00 1 0 0 0 0
0
=================================================================================================================================
Viga= 7 V7 Eng.E=Nao Eng.D=Nao Repet= 1 NAnd= 1 Red V Ext=Nao Fat.Alt=1.00 Cob=4.0
CM
------------------------------- G E O M E T R I A E C A R G A S -------------------------------
174
Vao= 2 /L= 3.05 /B= .15 /H= .30 /BCs= .76 /BCi= .00 /TpS= 2 /Esp.LS= .10 /Esp.LI= .00 FSp.Ex= .15 /FLt.Ex= .07 [M]
Cargas No. Tipo Esf.Adic. Maximos: MEsq= .00 MDir= .00 Q= .00 Minimos: MEsq= .00 MDir= .00 Q=
.00
[Tf,m] 1- Parc.Dist.PMax= .93 PMin= .84 Inicio= .00 Compr= 3.05
- - - - - - A R M A D U R A S ( F L E X A O E C I S A L H A M E N T O ) - - - - -
FLEXAO-| E S Q U E R D A | M E I O D O V A O | D I R E I T A
| M.[-] = .0 Tf* m | M.[+] Max= 1.1 Tf* m - Abcis.= 152 | M.[-] = .3 Tf* m
[Tf,cm]| As = .00 -SRAS- [ 0 B 6.3mm] | AsL= .00 ------ Flecha= .6 | As = 1.04 -SRAS- [ 2 B
12.5mm]
| AsL= .00 ------ x/d = .00 | As = 1.61 -STAS- [ 2 B 10.0mm ] | AsL= .00 ------ x/d =
.09
| Grampos Esq.= 1B 6.3mm x/dMx= .50 | | Grampos Dir.= 1B 6.3mm x/dMx=
.50
| | Fle.Adm.= 1.0 |
[Tf,cm]| Bit.Fiss.= 50.0 M[-]Min= 70.8 | Bit.Fiss.= 1.3 M[+]Min= 67.7 | Bit.Fiss.= 3.1 M[-]Min=
70.8
CISALHAMENTO- Xi Xf Vsd VRd2 MdC Ang. Asw[C] Asw[C+T] Bit Esp NR AsTrt AsSus MENSAGEM
[Tf,cm] 0.- 290. 1.73 19.09 2 45. .0 1.7 6.3 15.0 2 .0 .0
T O R C A O- Xi Xf Tsd TRd2 %dT he b-nuc h-nuc Asw-1R Asl-b Asl-h ComDia M E N S A G E M
[Tf,cm] 0.- 290. .02 .31 5 4.1 4.1 19.1 .3 .0 .1 .17
REACOES DE APOIO - No. Maximos Minimos Largura DEPEV Morte Nome M.I.Mx M.I.Mn Pilares:
1 .685 .617 .15 .00 2 V2 .00 .00 0 0 0 0 0
0
2 1.239 1.160 .15 .00 1 P2 .00 .00 2 0 0 0 0
0
=================================================================================================================================
Viga= 8 V8 Eng.E=Nao Eng.D=Nao Repet= 1 NAnd= 1 Red V Ext=Nao Fat.Alt=1.00 Cob=4.0
CM
------------------------------- G E O M E T R I A E C A R G A S -------------------------------
Vao= 2 /L= 1.94 /B= .15 /H= .40 /BCs= .30 /BCi= .00 /TpS= 8 /Esp.LS= .10 /Esp.LI= .00 FSp.Ex= .20 /FLt.Ex= .07 [M]
Cargas No. Tipo Esf.Adic. Maximos: MEsq= .00 MDir= .00 Q= .00 Minimos: MEsq= .00 MDir= .00 Q=
.00
[Tf,m] 1- Parc.Dist.PMax= .34 PMin= .32 Inicio= .00 Compr= 1.93
- - - - - - A R M A D U R A S ( F L E X A O E C I S A L H A M E N T O ) - - - - -
FLEXAO-| E S Q U E R D A | M E I O D O V A O | D I R E I T A
175
| M.[-] = .2 Tf* m | M.[+] Max= .2 Tf* m - Abcis.= 0 | M.[-] = .9 Tf* m
[Tf,cm]| As = 1.36 -SRAS- [ 2 B 10.0mm] | AsL= .00 ------ Flecha= .0 | As = 1.36 -SRAS- [ 2 B
10.0mm]
| AsL= .00 ------ x/d = .08 | As = 1.12 -STAS- [ 2 B 10.0mm ] | AsL= .00 ------ x/d =
.08
| x/dMx= .50 | | x/dMx=
.50
| | Fle.Adm.= .6 |
[Tf,cm]| Bit.Fiss.= 26.4 M[-]Min= 136.7 | Bit.Fiss.= 21.8 M[+]Min= 101.8 | Bit.Fiss.= 1.1 M[-]Min=
136.7
CISALHAMENTO- Xi Xf Vsd VRd2 MdC Ang. Asw[C] Asw[C+T] Bit Esp NR AsTrt AsSus MENSAGEM
[Tf,cm] 0.- 176. 1.15 26.73 2 45. .0 1.7 6.3 20.0 2 .0 .0
T O R C A O- Xi Xf Tsd TRd2 %dT he b-nuc h-nuc Asw-1R Asl-b Asl-h ComDia M E N S A G E M
[Tf,cm] 0.- 176. .01 .47 5 4.1 4.1 29.1 .1 .0 .0 .05
------------------------------- G E O M E T R I A E C A R G A S -------------------------------
Vao= 3 /L= 5.20 /B= .15 /H= .40 /BCs= .46 /BCi= .00 /TpS= 8 /Esp.LS= .10 /Esp.LI= .00 FSp.Ex= .20 /FLt.Ex= .07 [M]
Cargas No. Tipo Esf.Adic. Maximos: MEsq= .00 MDir= .00 Q= .00 Minimos: MEsq= .00 MDir= .00 Q=
.00
[Tf,m] 1- Parc.Dist.PMax= .18 PMin= .18 Inicio= .00 Compr= 3.18
2- Parc.Dist.PMax= .12 PMin= .12 Inicio= 3.18 Compr= 2.02
3- Parc.Dist.PMax= .21 PMin= .19 Inicio= .00 Compr= 5.20
4- Reac.Ind. PMax= .75 PMin= .56 Aplic.= 3.18 Bw Ap= .15 D.Ver= .30 Viga= 3 Apoio= 3
- - - - - - A R M A D U R A S ( F L E X A O E C I S A L H A M E N T O ) - - - - -
FLEXAO-| E S Q U E R D A | M E I O D O V A O | D I R E I T A
| M.[-] = 1.0 Tf* m | M.[+] Max= .9 Tf* m - Abcis.= 304 | M.[-] = 1.4 Tf* m
[Tf,cm]| As = 2.02 -SRAS- [ 3 B 10.0mm] | AsL= .00 ------ Flecha= .8 | As = 2.02 -SRAS- [ 3 B
10.0mm]
| AsL= .00 ------ x/d = .12 | As = 1.39 -STAS- [ 2 B 10.0mm ] | AsL= .00 ------ x/d =
.12
| x/dMx= .50 | Arm.Lat.=[2 X 1 B 6.3mm] - LN= .7 | x/dMx=
.50
| | Fle.Adm.= 1.7 |
[Tf,cm]| Bit.Fiss.= 1.1 M[-]Min= 188.0 | Bit.Fiss.= 2.3 M[+]Min= 111.3 | Bit.Fiss.= 1.1 M[-]Min=
188.0
CISALHAMENTO- Xi Xf Vsd VRd2 MdC Ang. Asw[C] Asw[C+T] Bit Esp NR AsTrt AsSus MENSAGEM
[Tf,cm] 0.- 500. 1.97 26.73 2 45. .0 1.7 6.3 20.0 2 .0 .0
T O R C A O- Xi Xf Tsd TRd2 %dT he b-nuc h-nuc Asw-1R Asl-b Asl-h ComDia M E N S A G E M
176
[Tf,cm] 0.- 500. .04 .47 5 4.1 4.1 29.1 .4 .0 .1 .16
------------------------------- G E O M E T R I A E C A R G A S -------------------------------
Vao= 4 /L= 3.10 /B= .15 /H= .40 /BCs= .38 /BCi= .00 /TpS= 8 /Esp.LS= .10 /Esp.LI= .00 FSp.Ex= .20 /FLt.Ex= .07 [M]
Cargas No. Tipo Esf.Adic. Maximos: MEsq= .00 MDir= .00 Q= .00 Minimos: MEsq= .00 MDir= .00 Q=
.00
[Tf,m] 1- Parc.Dist.PMax= .43 PMin= .40 Inicio= .00 Compr= 3.10
- - - - - - A R M A D U R A S ( F L E X A O E C I S A L H A M E N T O ) - - - - -
FLEXAO-| E S Q U E R D A | M E I O D O V A O | D I R E I T A
| M.[-] = 1.2 Tf* m | M.[+] Max= .3 Tf* m - Abcis.= 208 | M.[-] = .1 Tf* m
[Tf,cm]| As = 1.73 -SRAS- [ 3 B 10.0mm] | AsL= .00 ------ Flecha= .1 | As = 1.22 -SRAS- [ 2 B
10.0mm]
| AsL= .00 ------ x/d = .11 | As = 1.25 -STAS- [ 2 B 10.0mm ] | AsL= .00 ------ x/d =
.07
| x/dMx= .50 | | Grampos Dir.= 1B 6.3mm x/dMx=
.50
| | Fle.Adm.= 1.0 |
[Tf,cm]| Bit.Fiss.= 1.1 M[-]Min= 164.2 | Bit.Fiss.= 20.0 M[+]Min= 107.4 | Bit.Fiss.= 39.7 M[-]Min=
123.1
CISALHAMENTO- Xi Xf Vsd VRd2 MdC Ang. Asw[C] Asw[C+T] Bit Esp NR AsTrt AsSus MENSAGEM
[Tf,cm] 0.- 290. 1.52 26.73 2 45. .0 1.7 6.3 20.0 2 .0 .0
T O R C A O- Xi Xf Tsd TRd2 %dT he b-nuc h-nuc Asw-1R Asl-b Asl-h ComDia M E N S A G E M
[Tf,cm] 0.- 290. .01 .47 5 4.1 4.1 29.1 .1 .0 .0 .07
REACOES DE APOIO - No. Maximos Minimos Largura DEPEV Morte Nome M.I.Mx M.I.Mn Pilares:
1 .034 -.238 .20 .00 1 P13 .00 .00 13 0 0 0 0
0
2 1.823 1.645 .15 .00 1 P10 .00 .00 10 0 0 0 0
0
3 2.355 2.165 .30 .03 1 P6 .00 .00 6 0 0 0 0
0
4 .522 .263 .15 .00 1 P3 .00 .00 3 0 0 0 0
0
=================================================================================================================================
177
9.2 APÊNDICE 2
R E L G E R - Relatorio geral de vigas
T Q S Projeto: 1o teto
CAD/Vigas
fck=250.kg/cm2 - Aco : CA-60B CA-50A - Esforcos Caracteristicos
Viga= 1 V1 Eng.E=Nao Eng.D=Nao Repet= 1 NAnd= 1 Red V Ext=Nao Fat.Alt=1.00 Cob=3.0
CM
------------------------------- G E O M E T R I A E C A R G A S -------------------------------
Vao= 2 /L= 2.75 /B= .12 /H= .30 /BCs= .33 /BCi= .00 /TpS= 5 /Esp.LS= .10 /Esp.LI= .00 FSp.Ex= .15 /FLt.Ex= .06 [M]
Cargas No. Tipo Esf.Adic. Maximos: MEsq= .00 MDir= .00 Q= .00 Minimos: MEsq= .00 MDir= .00 Q=
.00
[Tf,m] 1- Parc.Dist.PMax= .30 PMin= .28 Inicio= .00 Compr= 2.75
- - - - - - A R M A D U R A S ( F L E X A O E C I S A L H A M E N T O ) - - - - -
FLEXAO-| E S Q U E R D A | M E I O D O V A O | D I R E I T A
| M.[-] = .1 Tf* m | M.[+] Max= .2 Tf* m - Abcis.= 140 | M.[-] = .6 Tf* m
[Tf,cm]| As = .70 -SRAS- [ 2 B 8.0mm] | AsL= .00 ------ Flecha= .2 | As = .96 -SRAS- [ 2 B
10.0mm]
| AsL= .00 ------ x/d = .08 | As = .85 -STAS- [ 2 B 8.0mm ] | AsL= .00 ------ x/d =
.12
| Grampos Esq.= 1B 6.3mm x/dMx= .50 | | x/dMx=
.50
| | Fle.Adm.= .9 |
[Tf,cm]| Bit.Fiss.= 8.7 M[-]Min= 51.4 | Bit.Fiss.= 9.1 M[+]Min= 42.3 | Bit.Fiss.= 1.0 M[-]Min=
69.5
CISALHAMENTO- Xi Xf Vsd VRd2 MdC Ang. Asw[C] Asw[C+T] Bit Esp NR AsTrt AsSus MENSAGEM
[Tf,cm] 0.- 261. .98 13.54 2 45. .0 1.2 6.3 15.0 2 .0 .0
T O R C A O- Xi Xf Tsd TRd2 %dT he b-nuc h-nuc Asw-1R Asl-b Asl-h ComDia M E N S A G E M
[Tf,cm] 0.- 261. .01 .17 5 3.1 3.1 21.1 .1 .0 .0 .11
------------------------------- G E O M E T R I A E C A R G A S -------------------------------
Vao= 3 /L= 3.42 /B= .12 /H= .30 /BCs= .38 /BCi= .00 /TpS= 5 /Esp.LS= .10 /Esp.LI= .00 FSp.Ex= .15 /FLt.Ex= .06 [M]
178
Cargas No. Tipo Esf.Adic. Maximos: MEsq= .00 MDir= .00 Q= .00 Minimos: MEsq= .00 MDir= .00 Q=
.00
[Tf,m] 1- Parc.Dist.PMax= .37 PMin= .34 Inicio= .00 Compr= 3.42
- - - - - - A R M A D U R A S ( F L E X A O E C I S A L H A M E N T O ) - - - - -
FLEXAO-| E S Q U E R D A | M E I O D O V A O | D I R E I T A
| M.[-] = .9 Tf* m | M.[+] Max= .5 Tf* m - Abcis.= 261 | M.[-] = .7 Tf* m
[Tf,cm]| As = 1.34 -SRAS- [ 2 B 10.0mm] | AsL= .00 ------ Flecha= .6 | As = 1.02 -SRAS- [ 2 B
10.0mm]
| AsL= .00 ------ x/d = .16 | As = .93 -STAS- [ 2 B 8.0mm ] | AsL= .00 ------ x/d =
.12
| x/dMx= .50 | | x/dMx=
.50
| | Fle.Adm.= 1.1 |
[Tf,cm]| Bit.Fiss.= 1.3 M[-]Min= 76.8 | Bit.Fiss.= 2.0 M[+]Min= 43.4 | Bit.Fiss.= 1.0 M[-]Min=
73.3
CISALHAMENTO- Xi Xf Vsd VRd2 MdC Ang. Asw[C] Asw[C+T] Bit Esp NR AsTrt AsSus MENSAGEM
[Tf,cm] 0.- 325. 1.60 13.54 2 45. .0 1.2 6.3 15.0 2 .0 .0
T O R C A O- Xi Xf Tsd TRd2 %dT he b-nuc h-nuc Asw-1R Asl-b Asl-h ComDia M E N S A G E M
[Tf,cm] 0.- 325. .01 .17 5 3.1 3.1 21.1 .1 .0 .0 .15
REACOES DE APOIO - No. Maximos Minimos Largura DEPEV Morte Nome M.I.Mx M.I.Mn Pilares:
1 .437 .194 .12 .00 1 P1 .00 .00 1 0 0 0 0
0
2 1.574 1.292 .30 .06 1 P2 .00 .00 2 0 0 0 0
0
3 .920 .396 .30 .06 1 P3 .00 .00 3 0 0 0 0
0
=================================================================================================================================
Viga= 2 V2 Eng.E=Nao Eng.D=Nao Repet= 1 NAnd= 1 Red V Ext=Nao Fat.Alt=1.00 Cob=3.0
CM
------------------------------- G E O M E T R I A E C A R G A S -------------------------------
Vao= 2 /L= 3.30 /B= .12 /H= .30 /BCs= .61 /BCi= .00 /TpS= 2 /Esp.LS= .10 /Esp.LI= .00 FSp.Ex= .15 /FLt.Ex= .06 [M]
Cargas No. Tipo Esf.Adic. Maximos: MEsq= .00 MDir= .00 Q= .00 Minimos: MEsq= .00 MDir= .00 Q=
.00
[Tf,m] 1- Parc.Dist.PMax= .78 PMin= .69 Inicio= .00 Compr= 2.73
2- Parc.Dist.PMax= .90 PMin= .80 Inicio= 2.73 Compr= .58
3- Parc.Dist.PMax= .09 PMin= .09 Inicio= .00 Compr= 3.30
4- Reac.Ind. PMax= .60 PMin= .55 Aplic.= 2.73 Bw Ap= .12 D.Ver= .30 Viga= 7 Apoio= 1
179
- - - - - - A R M A D U R A S ( F L E X A O E C I S A L H A M E N T O ) - - - - -
FLEXAO-| E S Q U E R D A | M E I O D O V A O | D I R E I T A
| M.[-] = .2 Tf* m | M.[+] Max= .7 Tf* m - Abcis.= 137 | M.[-] = 1.3 Tf* m
[Tf,cm]| As = .75 -SRAS- [ 2 B 10.0mm] | AsL= .00 ------ Flecha= .4 | As = 2.13 -SRAS- [ 3 B
10.0mm]
| AsL= .00 ------ x/d = .09 | As = 1.29 -STAS- [ 2 B 10.0mm ] | AsL= .00 ------ x/d =
.28
| Grampos Esq.= 1B 6.3mm x/dMx= .50 | | x/dMx=
.50
| | Fle.Adm.= 1.1 |
| % Baric.Armad.= 1 | % Baric.Armad.= 1 | % Baric.Armad.= 11 ***
[Tf,cm]| Bit.Fiss.= 5.6 M[-]Min= 54.1 | Bit.Fiss.= 2.1 M[+]Min= 47.1 | Bit.Fiss.= 1.9 M[-]Min=
106.4
CISALHAMENTO- Xi Xf Vsd VRd2 MdC Ang. Asw[C] Asw[C+T] Bit Esp NR AsTrt AsSus MENSAGEM
[Tf,cm] 0.- 318. 3.47 13.54 2 45. 1.3 1.7 6.3 15.0 2 .0 .5
T O R C A O- Xi Xf Tsd TRd2 %dT he b-nuc h-nuc Asw-1R Asl-b Asl-h ComDia M E N S A G E M
[Tf,cm] 0.- 318. .01 .17 5 3.1 3.1 21.1 .2 .0 .1 .33
------------------------------- G E O M E T R I A E C A R G A S -------------------------------
Vao= 3 /L= 3.15 /B= .12 /H= .30 /BCs= .59 /BCi= .00 /TpS= 2 /Esp.LS= .10 /Esp.LI= .00 FSp.Ex= .15 /FLt.Ex= .06 [M]
Cargas No. Tipo Esf.Adic. Maximos: MEsq= .00 MDir= .00 Q= .00 Minimos: MEsq= .00 MDir= .00 Q=
.00
[Tf,m] 1- Parc.Dist.PMax= .99 PMin= .89 Inicio= .00 Compr= 3.15
- - - - - - A R M A D U R A S ( F L E X A O E C I S A L H A M E N T O ) - - - - -
FLEXAO-| E S Q U E R D A | M E I O D O V A O | D I R E I T A
| M.[-] = 1.3 Tf* m | M.[+] Max= .7 Tf* m - Abcis.= 183 | M.[-] = .1 Tf* m
[Tf,cm]| As = 2.12 -SRAS- [ 3 B 10.0mm] | AsL= .00 ------ Flecha= .4 | As = .73 -SRAS- [ 2 B
10.0mm]
| AsL= .00 ------ x/d = .28 | As = 1.25 -STAS- [ 2 B 10.0mm ] | AsL= .00 ------ x/d =
.09
| x/dMx= .50 | | Grampos Dir.= 1B 6.3mm x/dMx=
.50
| | Fle.Adm.= 1.1 |
| % Baric.Armad.= 11 *** | % Baric.Armad.= 1 | % Baric.Armad.= 1
[Tf,cm]| Bit.Fiss.= 1.9 M[-]Min= 103.9 | Bit.Fiss.= 1.9 M[+]Min= 46.9 | Bit.Fiss.= 7.4 M[-]Min=
53.3
CISALHAMENTO- Xi Xf Vsd VRd2 MdC Ang. Asw[C] Asw[C+T] Bit Esp NR AsTrt AsSus MENSAGEM
[Tf,cm] 0.- 303. 3.46 13.54 2 45. 1.3 1.3 6.3 15.0 2 .0 .0
180
T O R C A O- Xi Xf Tsd TRd2 %dT he b-nuc h-nuc Asw-1R Asl-b Asl-h ComDia M E N S A G E M
[Tf,cm] 0.- 303. .00 .17 5 3.1 3.1 21.1 .0 .0 .0 .26
REACOES DE APOIO - No. Maximos Minimos Largura DEPEV Morte Nome M.I.Mx M.I.Mn Pilares:
1 1.087 1.001 .12 .00 1 P4 .00 .00 4 0 0 0 0
0
2 4.915 4.773 .12 .00 1 P5 .00 .00 5 0 0 0 0
0
3 1.030 .942 .12 .00 1 P6 .00 .00 6 0 0 0 0
0
=================================================================================================================================
Viga= 3 V3 Eng.E=Nao Eng.D=Nao Repet= 1 NAnd= 1 Red V Ext=Nao Fat.Alt=1.00 Cob=3.0
CM
------------------------------- G E O M E T R I A E C A R G A S -------------------------------
Vao= 2 /L= 3.33 /B= .12 /H= .30 /BCs= .62 /BCi= .00 /TpS= 2 /Esp.LS= .10 /Esp.LI= .00 FSp.Ex= .15 /FLt.Ex= .06 [M]
Cargas No. Tipo Esf.Adic. Maximos: MEsq= .00 MDir= .00 Q= .00 Minimos: MEsq= .00 MDir= .00 Q=
.00
[Tf,m] 1- Parc.Dist.PMax= 1.09 PMin= .98 Inicio= .00 Compr= 3.33
- - - - - - A R M A D U R A S ( F L E X A O E C I S A L H A M E N T O ) - - - - -
FLEXAO-| E S Q U E R D A | M E I O D O V A O | D I R E I T A
| M.[-] = .0 Tf* m | M.[+] Max= .8 Tf* m - Abcis.= 113 | M.[-] = 1.7 Tf* m
[Tf,cm]| As = .76 -SRAS- [ 2 B 10.0mm] | AsL= .00 ------ Flecha= .5 | As = 3.17 -SRAS- [ 4 B
10.0mm]
| AsL= .00 ------ x/d = .09 | As = 1.30 -STAS- [ 2 B 10.0mm ] | AsL= .00 ------ x/d =
.44
| Grampos Esq.= 1B 6.3mm x/dMx= .50 | | x/dMx=
.50
| | Fle.Adm.= 1.1 |
| % Baric.Armad.= 1 | % Baric.Armad.= 1 | % Baric.Armad.= 17 ***
[Tf,cm]| Bit.Fiss.= 50.0 M[-]Min= 54.6 | Bit.Fiss.= 1.7 M[+]Min= 47.2 | Bit.Fiss.= 2.3 M[-]Min=
106.9
CISALHAMENTO- Xi Xf Vsd VRd2 MdC Ang. Asw[C] Asw[C+T] Bit Esp NR AsTrt AsSus MENSAGEM
[Tf,cm] 0.- 318. 3.08 13.54 2 45. .8 1.2 6.3 15.0 2 .0 .0
T O R C A O- Xi Xf Tsd TRd2 %dT he b-nuc h-nuc Asw-1R Asl-b Asl-h ComDia M E N S A G E M
[Tf,cm] 0.- 318. .01 .17 5 3.1 3.1 21.1 .2 .0 .1 .29
------------------------------- G E O M E T R I A E C A R G A S -------------------------------
181
Vao= 3 /L= 3.00 /B= .12 /H= .30 /BCs= .57 /BCi= .00 /TpS= 2 /Esp.LS= .10 /Esp.LI= .00 FSp.Ex= .15 /FLt.Ex= .06 [M]
Cargas No. Tipo Esf.Adic. Maximos: MEsq= .00 MDir= .00 Q= .00 Minimos: MEsq= .00 MDir= .00 Q=
.00
[Tf,m] 1- Parc.Dist.PMax= 1.09 PMin= .98 Inicio= .00 Compr= 3.00
- - - - - - A R M A D U R A S ( F L E X A O E C I S A L H A M E N T O ) - - - - -
FLEXAO-| E S Q U E R D A | M E I O D O V A O | D I R E I T A
| M.[-] = 1.7 Tf* m | M.[+] Max= .7 Tf* m - Abcis.= 204 | M.[-] = .0 Tf* m
[Tf,cm]| As = 3.11 -SRAS- [ 4 B 10.0mm] | AsL= .00 ------ Flecha= .3 | As = .00 -SRAS- [ 0 B
6.3mm]
| AsL= .00 ------ x/d = .43 | As = 1.23 -STAS- [ 2 B 10.0mm ] | AsL= .00 ------ x/d =
.00
| x/dMx= .50 | | Grampos Dir.= 1B 6.3mm x/dMx=
.50
| | Fle.Adm.= 1.0 |
| % Baric.Armad.= 17 *** | % Baric.Armad.= 1 | % Baric.Armad.= 1
[Tf,cm]| Bit.Fiss.= 2.3 M[-]Min= 101.3 | Bit.Fiss.= 1.8 M[+]Min= 46.6 | Bit.Fiss.= 50.0 M[-]Min=
52.8
CISALHAMENTO- Xi Xf Vsd VRd2 MdC Ang. Asw[C] Asw[C+T] Bit Esp NR AsTrt AsSus MENSAGEM
[Tf,cm] 0.- 285. 2.89 13.54 2 45. .6 1.2 6.3 15.0 2 .0 .0
T O R C A O- Xi Xf Tsd TRd2 %dT he b-nuc h-nuc Asw-1R Asl-b Asl-h ComDia M E N S A G E M
[Tf,cm] 0.- 285. .01 .17 5 3.1 3.1 21.1 .2 .0 .1 .29
REACOES DE APOIO - No. Maximos Minimos Largura DEPEV Morte Nome M.I.Mx M.I.Mn Pilares:
1 .907 .739 .12 .00 2 V6 .00 .00 0 0 0 0 0
0
2 4.104 3.999 .30 .06 1 P7 .00 .00 7 0 0 0 0
0
3 .723 .533 .12 .00 2 V8 .00 .00 0 0 0 0 0
0
=================================================================================================================================
Viga= 4 V4 Eng.E=Nao Eng.D=Nao Repet= 1 NAnd= 1 Red V Ext=Nao Fat.Alt=1.00 Cob=3.0
CM
------------------------------- G E O M E T R I A E C A R G A S -------------------------------
Vao= 2 /L= 3.33 /B= .12 /H= .30 /BCs= .62 /BCi= .00 /TpS= 2 /Esp.LS= .10 /Esp.LI= .00 FSp.Ex= .15 /FLt.Ex= .06 [M]
Cargas No. Tipo Esf.Adic. Maximos: MEsq= .00 MDir= .00 Q= .00 Minimos: MEsq= .00 MDir= .00 Q=
.00
[Tf,m] 1- Parc.Dist.PMax= 1.13 PMin= 1.02 Inicio= .00 Compr= 3.33
182
- - - - - - A R M A D U R A S ( F L E X A O E C I S A L H A M E N T O ) - - - - -
FLEXAO-| E S Q U E R D A | M E I O D O V A O | D I R E I T A
| M.[-] = .2 Tf* m | M.[+] Max= .8 Tf* m - Abcis.= 113 | M.[-] = 1.4 Tf* m
[Tf,cm]| As = .75 -SRAS- [ 2 B 10.0mm] | AsL= .00 ------ Flecha= .6 | As = 2.08 -SRAS- [ 2 B
12.5mm]
| AsL= .00 ------ x/d = .09 | As = 1.29 -STAS- [ 2 B 10.0mm ] | AsL= .00 ------ x/d =
.26
| Grampos Esq.= 1B 6.3mm x/dMx= .50 | | x/dMx=
.50
| | Fle.Adm.= 1.1 |
[Tf,cm]| Bit.Fiss.= 5.0 M[-]Min= 54.6 | Bit.Fiss.= 1.6 M[+]Min= 47.2 | Bit.Fiss.= 1.9 M[-]Min=
106.9
CISALHAMENTO- Xi Xf Vsd VRd2 MdC Ang. Asw[C] Asw[C+T] Bit Esp NR AsTrt AsSus MENSAGEM
[Tf,cm] 0.- 318. 3.00 13.54 2 45. .7 1.2 6.3 15.0 2 .0 .0
T O R C A O- Xi Xf Tsd TRd2 %dT he b-nuc h-nuc Asw-1R Asl-b Asl-h ComDia M E N S A G E M
[Tf,cm] 0.- 318. .01 .17 5 3.1 3.1 21.1 .1 .0 .0 .25
------------------------------- G E O M E T R I A E C A R G A S -------------------------------
Vao= 3 /L= 2.85 /B= .12 /H= .30 /BCs= .55 /BCi= .00 /TpS= 2 /Esp.LS= .10 /Esp.LI= .00 FSp.Ex= .15 /FLt.Ex= .06 [M]
Cargas No. Tipo Esf.Adic. Maximos: MEsq= .00 MDir= .00 Q= .00 Minimos: MEsq= .00 MDir= .00 Q=
.00
[Tf,m] 1- Parc.Dist.PMax= 1.13 PMin= 1.02 Inicio= .00 Compr= 2.85
- - - - - - A R M A D U R A S ( F L E X A O E C I S A L H A M E N T O ) - - - - -
FLEXAO-| E S Q U E R D A | M E I O D O V A O | D I R E I T A
| M.[-] = 1.6 Tf* m | M.[+] Max= .6 Tf* m - Abcis.= 194 | M.[-] = .7 Tf* m
[Tf,cm]| As = 2.34 -SRAS- [ 2 B 12.5mm] | AsL= .00 ------ Flecha= .3 | As = 1.14 -SRAS- [ 2 B
10.0mm]
| AsL= .00 ------ x/d = .29 | As = 1.18 -STAS- [ 2 B 10.0mm ] | AsL= .00 ------ x/d =
.14
| x/dMx= .50 | | x/dMx=
.50
| | Fle.Adm.= .9 |
[Tf,cm]| Bit.Fiss.= 2.1 M[-]Min= 98.7 | Bit.Fiss.= 2.0 M[+]Min= 46.3 | Bit.Fiss.= 1.0 M[-]Min=
81.5
CISALHAMENTO- Xi Xf Vsd VRd2 MdC Ang. Asw[C] Asw[C+T] Bit Esp NR AsTrt AsSus MENSAGEM
[Tf,cm] 0.- 267. 3.04 13.54 2 45. .8 1.2 6.3 15.0 2 .0 .0
T O R C A O- Xi Xf Tsd TRd2 %dT he b-nuc h-nuc Asw-1R Asl-b Asl-h ComDia M E N S A G E M
183
[Tf,cm] 0.- 267. .00 .17 5 3.1 3.1 21.1 .1 .0 .0 .25
REACOES DE APOIO - No. Maximos Minimos Largura DEPEV Morte Nome M.I.Mx M.I.Mn Pilares:
1 1.139 .984 .12 .00 1 P8 .00 .00 8 0 0 0 0
0
2 4.083 3.632 .30 .06 1 P9 .00 .00 9 0 0 0 0
0
3 1.641 1.036 .30 .06 1 P10 .00 .00 10 0 0 0 0
0
=================================================================================================================================
Viga= 5 V5 Eng.E=Nao Eng.D=Nao Repet= 1 NAnd= 1 Red V Ext=Nao Fat.Alt=1.00 Cob=3.0
CM
------------------------------- G E O M E T R I A E C A R G A S -------------------------------
Vao= 2 /L= 3.28 /B= .20 /H= .30 /BCs= .45 /BCi= .00 /TpS= 8 /Esp.LS= .10 /Esp.LI= .00 FSp.Ex= .15 /FLt.Ex= .10 [M]
Cargas No. Tipo Esf.Adic. Maximos: MEsq= .00 MDir= .00 Q= .00 Minimos: MEsq= .00 MDir= .00 Q=
.00
[Tf,m] 1- Parc.Dist.PMax= .41 PMin= .38 Inicio= .00 Compr= 3.28
- - - - - - A R M A D U R A S ( F L E X A O E C I S A L H A M E N T O ) - - - - -
FLEXAO-| E S Q U E R D A | M E I O D O V A O | D I R E I T A
| M.[-] = .4 Tf* m | M.[+] Max= .4 Tf* m - Abcis.= 109 | M.[-] = .6 Tf* m
[Tf,cm]| As = 1.15 -SRAS- [ 2 B 10.0mm] | AsL= .00 ------ Flecha= .3 | As = 1.32 -SRAS- [ 2 B
10.0mm]
| AsL= .00 ------ x/d = .08 | As = 1.27 -STAS- [ 2 B 10.0mm ] | AsL= .00 ------ x/d =
.09
| Grampos Esq.= 1B 6.3mm x/dMx= .50 | | x/dMx=
.50
| | Fle.Adm.= 1.1 |
[Tf,cm]| Bit.Fiss.= 3.1 M[-]Min= 87.0 | Bit.Fiss.= 6.4 M[+]Min= 67.9 | Bit.Fiss.= 1.2 M[-]Min=
100.6
CISALHAMENTO- Xi Xf Vsd VRd2 MdC Ang. Asw[C] Asw[C+T] Bit Esp NR AsTrt AsSus MENSAGEM
[Tf,cm] 0.- 310. 1.11 22.56 2 45. .0 2.1 6.3 15.0 2 .0 .0
T O R C A O- Xi Xf Tsd TRd2 %dT he b-nuc h-nuc Asw-1R Asl-b Asl-h ComDia M E N S A G E M
[Tf,cm] 0.- 310. .02 1.14 5 6.0 11.1 21.1 .1 .0 .0 .07
------------------------------- G E O M E T R I A E C A R G A S -------------------------------
Vao= 3 /L= 3.05 /B= .20 /H= .30 /BCs= .43 /BCi= .00 /TpS= 8 /Esp.LS= .10 /Esp.LI= .00 FSp.Ex= .15 /FLt.Ex= .10 [M]
184
Cargas No. Tipo Esf.Adic. Maximos: MEsq= .00 MDir= .00 Q= .00 Minimos: MEsq= .00 MDir= .00 Q=
.00
[Tf,m] 1- Parc.Dist.PMax= .41 PMin= .38 Inicio= .00 Compr= 3.05
- - - - - - A R M A D U R A S ( F L E X A O E C I S A L H A M E N T O ) - - - - -
FLEXAO-| E S Q U E R D A | M E I O D O V A O | D I R E I T A
| M.[-] = .6 Tf* m | M.[+] Max= .3 Tf* m - Abcis.= 229 | M.[-] = .3 Tf* m
[Tf,cm]| As = 1.29 -SRAS- [ 2 B 10.0mm] | AsL= .00 ------ Flecha= .2 | As = 1.13 -SRAS- [ 2 B
10.0mm]
| AsL= .00 ------ x/d = .09 | As = 1.24 -STAS- [ 2 B 10.0mm ] | AsL= .00 ------ x/d =
.08
| x/dMx= .50 | | Grampos Dir.= 1B 6.3mm x/dMx=
.50
| | Fle.Adm.= 1.0 |
[Tf,cm]| Bit.Fiss.= 1.1 M[-]Min= 97.8 | Bit.Fiss.= 7.3 M[+]Min= 67.4 | Bit.Fiss.= 4.2 M[-]Min=
85.0
CISALHAMENTO- Xi Xf Vsd VRd2 MdC Ang. Asw[C] Asw[C+T] Bit Esp NR AsTrt AsSus MENSAGEM
[Tf,cm] 0.- 287. 1.06 22.56 2 45. .0 2.1 6.3 15.0 2 .0 .0
T O R C A O- Xi Xf Tsd TRd2 %dT he b-nuc h-nuc Asw-1R Asl-b Asl-h ComDia M E N S A G E M
[Tf,cm] 0.- 287. .02 1.14 5 6.0 11.1 21.1 .1 .0 .0 .06
REACOES DE APOIO - No. Maximos Minimos Largura DEPEV Morte Nome M.I.Mx M.I.Mn Pilares:
1 .531 .269 .20 .01 1 P11 .00 .00 11 0 0 0 0
0
2 1.292 1.255 .20 .01 1 P12 .00 .00 12 0 0 0 0
0
3 .466 .181 .20 .01 1 P13 .00 .00 13 0 0 0 0
0
=================================================================================================================================
Viga= 6 V6 Eng.E=Nao Eng.D=Nao Repet= 1 NAnd= 1 Red V Ext=Nao Fat.Alt=1.00 Cob=3.0
CM
------------------------------- G E O M E T R I A E C A R G A S -------------------------------
Vao= 2 /L= 2.01 /B= .12 /H= .40 /BCs= .27 /BCi= .00 /TpS= 5 /Esp.LS= .10 /Esp.LI= .00 FSp.Ex= .20 /FLt.Ex= .06 [M]
Cargas No. Tipo Esf.Adic. Maximos: MEsq= .00 MDir= .00 Q= .00 Minimos: MEsq= .00 MDir= .00 Q=
.00
[Tf,m] 1- Parc.Dist.PMax= .31 PMin= .29 Inicio= .00 Compr= 2.01
- - - - - - A R M A D U R A S ( F L E X A O E C I S A L H A M E N T O ) - - - - -
FLEXAO-| E S Q U E R D A | M E I O D O V A O | D I R E I T A
185
| M.[-] = .2 Tf* m | M.[+] Max= .3 Tf* m - Abcis.= 0 | M.[-] = 1.1 Tf* m
[Tf,cm]| As = 1.01 -SRAS- [ 2 B 8.0mm] | AsL= .00 ------ Flecha= .0 | As = 1.09 -SRAS- [ 2 B
10.0mm]
| AsL= .00 ------ x/d = .09 | As = .95 -STAS- [ 2 B 8.0mm ] | AsL= .00 ------ x/d =
.09
| Grampos Esq.= 1B 6.3mm x/dMx= .50 | | x/dMx=
.50
| | Fle.Adm.= .7 |
[Tf,cm]| Bit.Fiss.= 14.6 M[-]Min= 104.6 | Bit.Fiss.= 14.0 M[+]Min= 72.8 | Bit.Fiss.= 1.0 M[-]Min=
104.6
CISALHAMENTO- Xi Xf Vsd VRd2 MdC Ang. Asw[C] Asw[C+T] Bit Esp NR AsTrt AsSus MENSAGEM
[Tf,cm] 0.- 179. 1.43 18.75 2 45. .0 1.2 6.3 20.0 2 .0 .0
T O R C A O- Xi Xf Tsd TRd2 %dT he b-nuc h-nuc Asw-1R Asl-b Asl-h ComDia M E N S A G E M
[Tf,cm] 0.- 179. .01 .25 5 3.1 3.1 31.1 .1 .0 .0 .11
------------------------------- G E O M E T R I A E C A R G A S -------------------------------
Vao= 3 /L= 5.06 /B= .12 /H= .40 /BCs= .42 /BCi= .00 /TpS= 5 /Esp.LS= .10 /Esp.LI= .00 FSp.Ex= .20 /FLt.Ex= .06 [M]
Cargas No. Tipo Esf.Adic. Maximos: MEsq= .00 MDir= .00 Q= .00 Minimos: MEsq= .00 MDir= .00 Q=
.00
[Tf,m] 1- Parc.Dist.PMax= .18 PMin= .18 Inicio= .00 Compr= 3.03
2- Parc.Dist.PMax= .12 PMin= .12 Inicio= 3.03 Compr= 2.03
3- Parc.Dist.PMax= .18 PMin= .16 Inicio= .00 Compr= 5.06
4- Reac.Ind. PMax= .91 PMin= .74 Aplic.= 3.03 Bw Ap= .12 D.Ver= .30 Viga= 3 Apoio= 1
- - - - - - A R M A D U R A S ( F L E X A O E C I S A L H A M E N T O ) - - - - -
FLEXAO-| E S Q U E R D A | M E I O D O V A O | D I R E I T A
| M.[-] = 1.2 Tf* m | M.[+] Max= 1.0 Tf* m - Abcis.= 298 | M.[-] = 1.4 Tf* m
[Tf,cm]| As = 1.43 -SRAS- [ 2 B 10.0mm] | AsL= .00 ------ Flecha= .8 | As = 1.43 -SRAS- [ 2 B
10.0mm]
| AsL= .00 ------ x/d = .12 | As = 1.19 -STAS- [ 2 B 10.0mm ] | AsL= .00 ------ x/d =
.12
| x/dMx= .50 | Arm.Lat.=[2 X 1 B 6.3mm] - LN= .8 | x/dMx=
.50
| | Fle.Adm.= 1.7 |
[Tf,cm]| Bit.Fiss.= 1.0 M[-]Min= 144.0 | Bit.Fiss.= 1.3 M[+]Min= 79.2 | Bit.Fiss.= 1.1 M[-]Min=
144.0
CISALHAMENTO- Xi Xf Vsd VRd2 MdC Ang. Asw[C] Asw[C+T] Bit Esp NR AsTrt AsSus MENSAGEM
[Tf,cm] 0.- 482. 2.09 18.75 2 45. .0 1.2 6.3 20.0 2 .0 .0
T O R C A O- Xi Xf Tsd TRd2 %dT he b-nuc h-nuc Asw-1R Asl-b Asl-h ComDia M E N S A G E M
186
[Tf,cm] 0.- 482. .03 .25 5 3.1 3.1 31.1 .3 .0 .1 .22
------------------------------- G E O M E T R I A E C A R G A S -------------------------------
Vao= 4 /L= 2.99 /B= .12 /H= .40 /BCs= .34 /BCi= .00 /TpS= 5 /Esp.LS= .10 /Esp.LI= .00 FSp.Ex= .20 /FLt.Ex= .06 [M]
Cargas No. Tipo Esf.Adic. Maximos: MEsq= .00 MDir= .00 Q= .00 Minimos: MEsq= .00 MDir= .00 Q=
.00
[Tf,m] 1- Parc.Dist.PMax= .40 PMin= .37 Inicio= .00 Compr= 2.99
- - - - - - A R M A D U R A S ( F L E X A O E C I S A L H A M E N T O ) - - - - -
FLEXAO-| E S Q U E R D A | M E I O D O V A O | D I R E I T A
| M.[-] = 1.2 Tf* m | M.[+] Max= .4 Tf* m - Abcis.= 251 | M.[-] = .4 Tf* m
[Tf,cm]| As = 1.21 -SRAS- [ 2 B 10.0mm] | AsL= .00 ------ Flecha= .1 | As = 1.21 -SRAS- [ 2 B
10.0mm]
| AsL= .00 ------ x/d = .11 | As = 1.06 -STAS- [ 2 B 10.0mm ] | AsL= .00 ------ x/d =
.11
| x/dMx= .50 | | x/dMx=
.50
| | Fle.Adm.= 1.0 |
[Tf,cm]| Bit.Fiss.= 1.0 M[-]Min= 124.2 | Bit.Fiss.= 8.3 M[+]Min= 76.3 | Bit.Fiss.= 2.8 M[-]Min=
124.2
CISALHAMENTO- Xi Xf Vsd VRd2 MdC Ang. Asw[C] Asw[C+T] Bit Esp NR AsTrt AsSus MENSAGEM
[Tf,cm] 0.- 275. 1.58 18.75 2 45. .0 1.2 6.3 20.0 2 .0 .0
T O R C A O- Xi Xf Tsd TRd2 %dT he b-nuc h-nuc Asw-1R Asl-b Asl-h ComDia M E N S A G E M
[Tf,cm] 0.- 275. .01 .25 5 3.1 3.1 31.1 .1 .0 .0 .11
REACOES DE APOIO - No. Maximos Minimos Largura DEPEV Morte Nome M.I.Mx M.I.Mn Pilares:
1 .208 -.271 .20 .00 1 P11 .00 .00 11 0 0 0 0
0
2 2.271 1.904 .30 .03 1 P8 .00 .00 8 0 0 0 0
0
3 2.462 2.147 .30 .03 1 P4 .00 .00 4 0 0 0 0
0
4 .579 .142 .30 .03 1 P1 .00 .00 1 0 0 0 0
0
=================================================================================================================================
Viga= 7 V7 Eng.E=Nao Eng.D=Nao Repet= 1 NAnd= 1 Red V Ext=Nao Fat.Alt=1.00 Cob=3.0
CM
------------------------------- G E O M E T R I A E C A R G A S -------------------------------
Vao= 2 /L= 3.05 /B= .12 /H= .30 /BCs= .73 /BCi= .00 /TpS= 2 /Esp.LS= .10 /Esp.LI= .00 FSp.Ex= .15 /FLt.Ex= .06 [M]
187
Cargas No. Tipo Esf.Adic. Maximos: MEsq= .00 MDir= .00 Q= .00 Minimos: MEsq= .00 MDir= .00 Q=
.00
[Tf,m] 1- Parc.Dist.PMax= .92 PMin= .83 Inicio= .00 Compr= 3.05
- - - - - - A R M A D U R A S ( F L E X A O E C I S A L H A M E N T O ) - - - - -
FLEXAO-| E S Q U E R D A | M E I O D O V A O | D I R E I T A
| M.[-] = .0 Tf* m | M.[+] Max= 1.1 Tf* m - Abcis.= 152 | M.[-] = .2 Tf* m
[Tf,cm]| As = .00 -SRAS- [ 0 B 6.3mm] | AsL= .00 ------ Flecha= .6 | As = .73 -SRAS- [ 2 B
10.0mm]
| AsL= .00 ------ x/d = .00 | As = 1.47 -STAS- [ 2 B 10.0mm ] | AsL= .00 ------ x/d =
.09
| Grampos Esq.= 2B 6.3mm x/dMx= .50 | | Grampos Dir.= 2B 6.3mm x/dMx=
.50
| | Fle.Adm.= 1.0 |
[Tf,cm]| Bit.Fiss.= 50.0 M[-]Min= 52.7 | Bit.Fiss.= 1.5 M[+]Min= 48.5 | Bit.Fiss.= 5.8 M[-]Min=
52.7
CISALHAMENTO- Xi Xf Vsd VRd2 MdC Ang. Asw[C] Asw[C+T] Bit Esp NR AsTrt AsSus MENSAGEM
[Tf,cm] 0.- 293. 1.64 13.54 2 45. .0 1.2 6.3 15.0 2 .0 .0
T O R C A O- Xi Xf Tsd TRd2 %dT he b-nuc h-nuc Asw-1R Asl-b Asl-h ComDia M E N S A G E M
[Tf,cm] 0.- 293. .02 .17 5 3.1 3.1 21.1 .3 .0 .1 .22
REACOES DE APOIO - No. Maximos Minimos Largura DEPEV Morte Nome M.I.Mx M.I.Mn Pilares:
1 .595 .549 .12 .00 2 V2 .00 .00 0 0 0 0 0
0
2 1.174 1.116 .12 .00 1 P2 .00 .00 2 0 0 0 0
0
=================================================================================================================================
Viga= 8 V8 Eng.E=Nao Eng.D=Nao Repet= 1 NAnd= 1 Red V Ext=Nao Fat.Alt=1.00 Cob=3.0
CM
------------------------------- G E O M E T R I A E C A R G A S -------------------------------
Vao= 2 /L= 1.95 /B= .12 /H= .40 /BCs= .27 /BCi= .00 /TpS= 8 /Esp.LS= .10 /Esp.LI= .00 FSp.Ex= .20 /FLt.Ex= .06 [M]
Cargas No. Tipo Esf.Adic. Maximos: MEsq= .00 MDir= .00 Q= .00 Minimos: MEsq= .00 MDir= .00 Q=
.00
[Tf,m] 1- Parc.Dist.PMax= .31 PMin= .29 Inicio= .00 Compr= 1.95
- - - - - - A R M A D U R A S ( F L E X A O E C I S A L H A M E N T O ) - - - - -
FLEXAO-| E S Q U E R D A | M E I O D O V A O | D I R E I T A
| M.[-] = .2 Tf* m | M.[+] Max= .3 Tf* m - Abcis.= 0 | M.[-] = .8 Tf* m
188
[Tf,cm]| As = 1.00 -SRAS- [ 2 B 8.0mm] | AsL= .00 ------ Flecha= .0 | As = 1.00 -SRAS- [ 2 B
10.0mm]
| AsL= .00 ------ x/d = .09 | As = .94 -STAS- [ 2 B 8.0mm ] | AsL= .00 ------ x/d =
.09
| Grampos Esq.= 1B 6.3mm x/dMx= .50 | | x/dMx=
.50
| | Fle.Adm.= .7 |
[Tf,cm]| Bit.Fiss.= 12.0 M[-]Min= 103.4 | Bit.Fiss.= 10.2 M[+]Min= 72.6 | Bit.Fiss.= 1.0 M[-]Min=
103.4
CISALHAMENTO- Xi Xf Vsd VRd2 MdC Ang. Asw[C] Asw[C+T] Bit Esp NR AsTrt AsSus MENSAGEM
[Tf,cm] 0.- 179. 1.09 18.75 2 45. .0 1.2 6.3 20.0 2 .0 .0
T O R C A O- Xi Xf Tsd TRd2 %dT he b-nuc h-nuc Asw-1R Asl-b Asl-h ComDia M E N S A G E M
[Tf,cm] 0.- 179. .00 .25 5 3.1 3.1 31.1 .0 .0 .0 .07
------------------------------- G E O M E T R I A E C A R G A S -------------------------------
Vao= 3 /L= 5.18 /B= .12 /H= .40 /BCs= .43 /BCi= .00 /TpS= 8 /Esp.LS= .10 /Esp.LI= .00 FSp.Ex= .20 /FLt.Ex= .06 [M]
Cargas No. Tipo Esf.Adic. Maximos: MEsq= .00 MDir= .00 Q= .00 Minimos: MEsq= .00 MDir= .00 Q=
.00
[Tf,m] 1- Parc.Dist.PMax= .18 PMin= .18 Inicio= .00 Compr= 3.15
2- Parc.Dist.PMax= .12 PMin= .12 Inicio= 3.15 Compr= 2.03
3- Parc.Dist.PMax= .18 PMin= .16 Inicio= .00 Compr= 5.18
4- Reac.Ind. PMax= .72 PMin= .53 Aplic.= 3.15 Bw Ap= .12 D.Ver= .30 Viga= 3 Apoio= 3
- - - - - - A R M A D U R A S ( F L E X A O E C I S A L H A M E N T O ) - - - - -
FLEXAO-| E S Q U E R D A | M E I O D O V A O | D I R E I T A
| M.[-] = .9 Tf* m | M.[+] Max= .9 Tf* m - Abcis.= 303 | M.[-] = 1.3 Tf* m
[Tf,cm]| As = 1.45 -SRAS- [ 2 B 10.0mm] | AsL= .00 ------ Flecha= .8 | As = 1.45 -SRAS- [ 2 B
10.0mm]
| AsL= .00 ------ x/d = .12 | As = 1.20 -STAS- [ 2 B 10.0mm ] | AsL= .00 ------ x/d =
.12
| x/dMx= .50 | Arm.Lat.=[2 X 1 B 6.3mm] - LN= .7 | x/dMx=
.50
| | Fle.Adm.= 1.7 |
[Tf,cm]| Bit.Fiss.= 1.0 M[-]Min= 145.8 | Bit.Fiss.= 1.8 M[+]Min= 79.4 | Bit.Fiss.= 1.0 M[-]Min=
145.8
CISALHAMENTO- Xi Xf Vsd VRd2 MdC Ang. Asw[C] Asw[C+T] Bit Esp NR AsTrt AsSus MENSAGEM
[Tf,cm] 0.- 500. 1.89 18.75 2 45. .0 1.2 6.3 20.0 2 .0 .0
T O R C A O- Xi Xf Tsd TRd2 %dT he b-nuc h-nuc Asw-1R Asl-b Asl-h ComDia M E N S A G E M
[Tf,cm] 0.- 500. .03 .25 5 3.1 3.1 31.1 .3 .0 .1 .22
189
------------------------------- G E O M E T R I A E C A R G A S -------------------------------
Vao= 4 /L= 3.11 /B= .12 /H= .40 /BCs= .35 /BCi= .00 /TpS= 8 /Esp.LS= .10 /Esp.LI= .00 FSp.Ex= .20 /FLt.Ex= .06 [M]
Cargas No. Tipo Esf.Adic. Maximos: MEsq= .00 MDir= .00 Q= .00 Minimos: MEsq= .00 MDir= .00 Q=
.00
[Tf,m] 1- Parc.Dist.PMax= .40 PMin= .37 Inicio= .00 Compr= 3.11
- - - - - - A R M A D U R A S ( F L E X A O E C I S A L H A M E N T O ) - - - - -
FLEXAO-| E S Q U E R D A | M E I O D O V A O | D I R E I T A
| M.[-] = 1.2 Tf* m | M.[+] Max= .3 Tf* m - Abcis.= 209 | M.[-] = .1 Tf* m
[Tf,cm]| As = 1.24 -SRAS- [ 2 B 10.0mm] | AsL= .00 ------ Flecha= .1 | As = .80 -SRAS- [ 2 B
10.0mm]
| AsL= .00 ------ x/d = .11 | As = 1.07 -STAS- [ 2 B 10.0mm ] | AsL= .00 ------ x/d =
.06
| x/dMx= .50 | | Grampos Dir.= 1B 6.3mm x/dMx=
.50
| | Fle.Adm.= 1.0 |
[Tf,cm]| Bit.Fiss.= 1.0 M[-]Min= 126.5 | Bit.Fiss.= 16.1 M[+]Min= 76.7 | Bit.Fiss.= 50.0 M[-]Min=
76.4
CISALHAMENTO- Xi Xf Vsd VRd2 MdC Ang. Asw[C] Asw[C+T] Bit Esp NR AsTrt AsSus MENSAGEM
[Tf,cm] 0.- 293. 1.42 18.75 2 45. .0 1.2 6.3 20.0 2 .0 .0
T O R C A O- Xi Xf Tsd TRd2 %dT he b-nuc h-nuc Asw-1R Asl-b Asl-h ComDia M E N S A G E M
[Tf,cm] 0.- 293. .00 .25 5 3.1 3.1 31.1 .0 .0 .0 .09
REACOES DE APOIO - No. Maximos Minimos Largura DEPEV Morte Nome M.I.Mx M.I.Mn Pilares:
1 .027 -.254 .20 .00 1 P13 .00 .00 13 0 0 0 0
0
2 1.690 1.498 .12 .00 1 P10 .00 .00 10 0 0 0 0
0
3 2.248 2.043 .30 .03 1 P6 .00 .00 6 0 0 0 0
0
4 .475 .243 .12 .00 1 P3 .00 .00 3 0 0 0 0
0
=================================================================================================================================
190
9.3 APÊNDICE 3
R E L G E R - Relatorio geral de vigas
T Q S Projeto: 1o teto
CAD/Vigas
fck=400.kg/cm2 - Aco : CA-60B CA-50A - Esforcos Caracteristicos
Viga= 1 V1 Eng.E=Nao Eng.D=Nao Repet= 1 NAnd= 1 Red V Ext=Nao
Fat.Alt=1.00 Cob=2.5 CM
------------------------------- G E O M E T R I A E C A R G A S -----------------------
--------
Vao= 2 /L= 2.75 /B= .12 /H= .30 /BCs= .33 /BCi= .00 /TpS= 5 /Esp.LS= .10 /Esp.LI= .00 FSp.Ex= .15
/FLt.Ex= .06 [M]
Cargas No. Tipo Esf.Adic. Maximos: MEsq= .00 MDir= .00 Q= .00 Minimos: MEsq= .00 MDir=
.00 Q= .00
[Tf,m] 1- Parc.Dist.PMax= .30 PMin= .28 Inicio= .00 Compr= 2.75
- - - - - - A R M A D U R A S ( F L E X A O E C I S A L H A M E N T O ) - - -
- -
FLEXAO-| E S Q U E R D A | M E I O D O V A O | D I R E I T A
| M.[-] = .1 Tf* m | M.[+] Max= .2 Tf* m - Abcis.= 140 | M.[-] = .6
Tf* m
[Tf,cm]| As = .95 -SRAS- [ 2 B 10.0mm] | AsL= .00 ------ Flecha= .2 | As = 1.30 -SRAS-
[ 2 B 10.0mm]
| AsL= .00 ------ x/d = .07 | As = .85 -STAS- [ 2 B 8.0mm ] | AsL= .00 ------
x/d = .10
| Grampos Esq.= 1B 6.3mm x/dMx= .40 | |
x/dMx= .40
| | Fle.Adm.= .9 |
[Tf,cm]| Bit.Fiss.= 13.4 M[-]Min= 71.6 | Bit.Fiss.= 13.7 M[+]Min= 59.0 | Bit.Fiss.= 1.4
M[-]Min= 96.9
CISALHAMENTO- Xi Xf Vsd VRd2 MdC Ang. Asw[C] Asw[C+T] Bit Esp NR AsTrt AsSus MENSAGEM
[Tf,cm] 0.- 261. .98 20.61 2 45. .0 1.7 6.3 15.0 2 .0 .0
191
T O R C A O- Xi Xf Tsd TRd2 %dT he b-nuc h-nuc Asw-1R Asl-b Asl-h ComDia M E N S A G E M
[Tf,cm] 0.- 261. .01 .46 5 4.1 4.1 22.1 .1 .0 .0 .06
------------------------------- G E O M E T R I A E C A R G A S -----------------------
--------
Vao= 3 /L= 3.42 /B= .12 /H= .30 /BCs= .38 /BCi= .00 /TpS= 5 /Esp.LS= .10 /Esp.LI= .00 FSp.Ex= .15
/FLt.Ex= .06 [M]
Cargas No. Tipo Esf.Adic. Maximos: MEsq= .00 MDir= .00 Q= .00 Minimos: MEsq= .00 MDir=
.00 Q= .00
[Tf,m] 1- Parc.Dist.PMax= .37 PMin= .34 Inicio= .00 Compr= 3.42
- - - - - - A R M A D U R A S ( F L E X A O E C I S A L H A M E N T O ) - - -
- -
FLEXAO-| E S Q U E R D A | M E I O D O V A O | D I R E I T A
| M.[-] = .9 Tf* m | M.[+] Max= .5 Tf* m - Abcis.= 261 | M.[-] = .7
Tf* m
[Tf,cm]| As = 1.45 -SRAS- [ 2 B 10.0mm] | AsL= .00 ------ Flecha= .5 | As = 1.38 -SRAS-
[ 2 B 10.0mm]
| AsL= .00 ------ x/d = .11 | As = .93 -STAS- [ 2 B 8.0mm ] | AsL= .00 ------
x/d = .10
| x/dMx= .40 | |
x/dMx= .40
| | Fle.Adm.= 1.1 |
[Tf,cm]| Bit.Fiss.= 1.4 M[-]Min= 107.1 | Bit.Fiss.= 2.9 M[+]Min= 60.5 | Bit.Fiss.= 1.4
M[-]Min= 102.2
CISALHAMENTO- Xi Xf Vsd VRd2 MdC Ang. Asw[C] Asw[C+T] Bit Esp NR AsTrt AsSus MENSAGEM
[Tf,cm] 0.- 325. 1.60 20.61 2 45. .0 1.7 6.3 15.0 2 .0 .0
T O R C A O- Xi Xf Tsd TRd2 %dT he b-nuc h-nuc Asw-1R Asl-b Asl-h ComDia M E N S A G E M
[Tf,cm] 0.- 325. .01 .46 5 4.1 4.1 22.1 .1 .0 .0 .09
REACOES DE APOIO - No. Maximos Minimos Largura DEPEV Morte Nome M.I.Mx M.I.Mn Pilares:
1 .437 .194 .12 .00 1 P1 .00 .00 1 0 0 0
0 0
2 1.574 1.292 .30 .06 1 P2 .00 .00 2 0 0 0
0 0
3 .920 .396 .30 .06 1 P3 .00 .00 3 0 0 0
0 0
192
====================================================================================================================
Viga= 2 V2 Eng.E=Nao Eng.D=Nao Repet= 1 NAnd= 1 Red V Ext=Nao
Fat.Alt=1.00 Cob=2.5 CM
------------------------------- G E O M E T R I A E C A R G A S -----------------------
--------
Vao= 2 /L= 3.30 /B= .12 /H= .30 /BCs= .61 /BCi= .00 /TpS= 2 /Esp.LS= .10 /Esp.LI= .00 FSp.Ex= .15
/FLt.Ex= .06 [M]
Cargas No. Tipo Esf.Adic. Maximos: MEsq= .00 MDir= .00 Q= .00 Minimos: MEsq= .00 MDir=
.00 Q= .00
[Tf,m] 1- Parc.Dist.PMax= .78 PMin= .69 Inicio= .00 Compr= 2.73
2- Parc.Dist.PMax= .90 PMin= .80 Inicio= 2.73 Compr= .58
3- Parc.Dist.PMax= .09 PMin= .09 Inicio= .00 Compr= 3.30
4- Reac.Ind. PMax= .60 PMin= .55 Aplic.= 2.73 Bw Ap= .12 D.Ver= .30 Viga= 7 Apoio=
1
- - - - - - A R M A D U R A S ( F L E X A O E C I S A L H A M E N T O ) - - -
- -
FLEXAO-| E S Q U E R D A | M E I O D O V A O | D I R E I T A
| M.[-] = .2 Tf* m | M.[+] Max= .7 Tf* m - Abcis.= 137 | M.[-] = 1.3
Tf* m
[Tf,cm]| As = 1.01 -SRAS- [ 2 B 10.0mm] | AsL= .00 ------ Flecha= .4 | As = 2.19 -SRAS-
[ 3 B 10.0mm]
| AsL= .00 ------ x/d = .08 | As = 1.28 -STAS- [ 2 B 10.0mm ] | AsL= .00 ------
x/d = .17
| Grampos Esq.= 1B 6.3mm x/dMx= .40 | |
x/dMx= .40
| | Fle.Adm.= 1.1 |
| % Baric.Armad.= 1 | % Baric.Armad.= 1 | % Baric.Armad.= 11
***
[Tf,cm]| Bit.Fiss.= 8.6 M[-]Min= 75.5 | Bit.Fiss.= 3.1 M[+]Min= 65.7 | Bit.Fiss.= 1.7
M[-]Min= 148.3
CISALHAMENTO- Xi Xf Vsd VRd2 MdC Ang. Asw[C] Asw[C+T] Bit Esp NR AsTrt AsSus MENSAGEM
[Tf,cm] 0.- 318. 3.47 20.61 2 45. .1 1.7 6.3 15.0 2 .0 .5
T O R C A O- Xi Xf Tsd TRd2 %dT he b-nuc h-nuc Asw-1R Asl-b Asl-h ComDia M E N S A G E M
[Tf,cm] 0.- 318. .01 .46 5 4.1 4.1 22.1 .2 .0 .0 .20
193
------------------------------- G E O M E T R I A E C A R G A S -----------------------
--------
Vao= 3 /L= 3.15 /B= .12 /H= .30 /BCs= .59 /BCi= .00 /TpS= 2 /Esp.LS= .10 /Esp.LI= .00 FSp.Ex= .15
/FLt.Ex= .06 [M]
Cargas No. Tipo Esf.Adic. Maximos: MEsq= .00 MDir= .00 Q= .00 Minimos: MEsq= .00 MDir=
.00 Q= .00
[Tf,m] 1- Parc.Dist.PMax= .99 PMin= .89 Inicio= .00 Compr= 3.15
- - - - - - A R M A D U R A S ( F L E X A O E C I S A L H A M E N T O ) - - -
- -
FLEXAO-| E S Q U E R D A | M E I O D O V A O | D I R E I T A
| M.[-] = 1.3 Tf* m | M.[+] Max= .7 Tf* m - Abcis.= 183 | M.[-] = .1
Tf* m
[Tf,cm]| As = 2.14 -SRAS- [ 3 B 10.0mm] | AsL= .00 ------ Flecha= .3 | As = .99 -SRAS-
[ 2 B 10.0mm]
| AsL= .00 ------ x/d = .17 | As = 1.25 -STAS- [ 2 B 10.0mm ] | AsL= .00 ------
x/d = .07
| x/dMx= .40 | | Grampos Dir.= 1B
6.3mm x/dMx= .40
| | Fle.Adm.= 1.1 |
| % Baric.Armad.= 11 *** | % Baric.Armad.= 1 | % Baric.Armad.= 1
[Tf,cm]| Bit.Fiss.= 1.7 M[-]Min= 144.8 | Bit.Fiss.= 2.9 M[+]Min= 65.3 | Bit.Fiss.= 11.4
M[-]Min= 74.3
CISALHAMENTO- Xi Xf Vsd VRd2 MdC Ang. Asw[C] Asw[C+T] Bit Esp NR AsTrt AsSus MENSAGEM
[Tf,cm] 0.- 303. 3.46 20.61 2 45. .1 1.7 6.3 15.0 2 .0 .0
T O R C A O- Xi Xf Tsd TRd2 %dT he b-nuc h-nuc Asw-1R Asl-b Asl-h ComDia M E N S A G E M
[Tf,cm] 0.- 303. .00 .46 5 4.1 4.1 22.1 .0 .0 .0 .17
REACOES DE APOIO - No. Maximos Minimos Largura DEPEV Morte Nome M.I.Mx M.I.Mn Pilares:
1 1.087 1.001 .12 .00 1 P4 .00 .00 4 0 0 0
0 0
2 4.915 4.773 .12 .00 1 P5 .00 .00 5 0 0 0
0 0
3 1.030 .942 .12 .00 1 P6 .00 .00 6 0 0 0
0 0
====================================================================================================================
194
Viga= 3 V3 Eng.E=Nao Eng.D=Nao Repet= 1 NAnd= 1 Red V Ext=Nao
Fat.Alt=1.00 Cob=2.5 CM
------------------------------- G E O M E T R I A E C A R G A S -----------------------
--------
Vao= 2 /L= 3.33 /B= .12 /H= .30 /BCs= .62 /BCi= .00 /TpS= 2 /Esp.LS= .10 /Esp.LI= .00 FSp.Ex= .15
/FLt.Ex= .06 [M]
Cargas No. Tipo Esf.Adic. Maximos: MEsq= .00 MDir= .00 Q= .00 Minimos: MEsq= .00 MDir=
.00 Q= .00
[Tf,m] 1- Parc.Dist.PMax= 1.09 PMin= .98 Inicio= .00 Compr= 3.33
- - - - - - A R M A D U R A S ( F L E X A O E C I S A L H A M E N T O ) - - -
- -
FLEXAO-| E S Q U E R D A | M E I O D O V A O | D I R E I T A
| M.[-] = .0 Tf* m | M.[+] Max= .8 Tf* m - Abcis.= 113 | M.[-] = 1.7
Tf* m
[Tf,cm]| As = 1.02 -SRAS- [ 2 B 10.0mm] | AsL= .00 ------ Flecha= .4 | As = 2.81 -SRAS-
[ 4 B 10.0mm]
| AsL= .00 ------ x/d = .08 | As = 1.29 -STAS- [ 2 B 10.0mm ] | AsL= .00 ------
x/d = .24
| Grampos Esq.= 1B 6.3mm x/dMx= .40 | |
x/dMx= .40
| | Fle.Adm.= 1.1 |
| % Baric.Armad.= 1 | % Baric.Armad.= 1 | % Baric.Armad.= 17
***
[Tf,cm]| Bit.Fiss.= 50.0 M[-]Min= 76.2 | Bit.Fiss.= 2.6 M[+]Min= 65.8 | Bit.Fiss.= 2.1
M[-]Min= 149.0
CISALHAMENTO- Xi Xf Vsd VRd2 MdC Ang. Asw[C] Asw[C+T] Bit Esp NR AsTrt AsSus MENSAGEM
[Tf,cm] 0.- 318. 3.08 20.61 2 45. .0 1.7 6.3 15.0 2 .0 .0
T O R C A O- Xi Xf Tsd TRd2 %dT he b-nuc h-nuc Asw-1R Asl-b Asl-h ComDia M E N S A G E M
[Tf,cm] 0.- 318. .01 .46 5 4.1 4.1 22.1 .1 .0 .0 .17
------------------------------- G E O M E T R I A E C A R G A S -----------------------
--------
Vao= 3 /L= 3.00 /B= .12 /H= .30 /BCs= .57 /BCi= .00 /TpS= 2 /Esp.LS= .10 /Esp.LI= .00 FSp.Ex= .15
/FLt.Ex= .06 [M]
195
Cargas No. Tipo Esf.Adic. Maximos: MEsq= .00 MDir= .00 Q= .00 Minimos: MEsq= .00 MDir=
.00 Q= .00
[Tf,m] 1- Parc.Dist.PMax= 1.09 PMin= .98 Inicio= .00 Compr= 3.00
- - - - - - A R M A D U R A S ( F L E X A O E C I S A L H A M E N T O ) - - -
- -
FLEXAO-| E S Q U E R D A | M E I O D O V A O | D I R E I T A
| M.[-] = 1.7 Tf* m | M.[+] Max= .7 Tf* m - Abcis.= 204 | M.[-] = .0
Tf* m
[Tf,cm]| As = 2.77 -SRAS- [ 4 B 10.0mm] | AsL= .00 ------ Flecha= .3 | As = .00 -SRAS-
[ 0 B 6.3mm]
| AsL= .00 ------ x/d = .24 | As = 1.22 -STAS- [ 2 B 10.0mm ] | AsL= .00 ------
x/d = .00
| x/dMx= .40 | | Grampos Dir.= 1B
6.3mm x/dMx= .40
| | Fle.Adm.= 1.0 |
| % Baric.Armad.= 17 *** | % Baric.Armad.= 1 | % Baric.Armad.= 1
[Tf,cm]| Bit.Fiss.= 2.1 M[-]Min= 141.2 | Bit.Fiss.= 2.8 M[+]Min= 64.9 | Bit.Fiss.= 50.0
M[-]Min= 73.6
CISALHAMENTO- Xi Xf Vsd VRd2 MdC Ang. Asw[C] Asw[C+T] Bit Esp NR AsTrt AsSus MENSAGEM
[Tf,cm] 0.- 285. 2.89 20.61 2 45. .0 1.7 6.3 15.0 2 .0 .0
T O R C A O- Xi Xf Tsd TRd2 %dT he b-nuc h-nuc Asw-1R Asl-b Asl-h ComDia M E N S A G E M
[Tf,cm] 0.- 285. .01 .46 5 4.1 4.1 22.1 .2 .0 .0 .17
REACOES DE APOIO - No. Maximos Minimos Largura DEPEV Morte Nome M.I.Mx M.I.Mn Pilares:
1 .907 .739 .12 .00 2 V6 .00 .00 0 0 0 0
0 0
2 4.104 3.999 .30 .06 1 P7 .00 .00 7 0 0 0
0 0
3 .723 .533 .12 .00 2 V8 .00 .00 0 0 0 0
0 0
====================================================================================================================
Viga= 4 V4 Eng.E=Nao Eng.D=Nao Repet= 1 NAnd= 1 Red V Ext=Nao
Fat.Alt=1.00 Cob=2.5 CM
------------------------------- G E O M E T R I A E C A R G A S -----------------------
--------
196
Vao= 2 /L= 3.33 /B= .12 /H= .30 /BCs= .62 /BCi= .00 /TpS= 2 /Esp.LS= .10 /Esp.LI= .00 FSp.Ex= .15
/FLt.Ex= .06 [M]
Cargas No. Tipo Esf.Adic. Maximos: MEsq= .00 MDir= .00 Q= .00 Minimos: MEsq= .00 MDir=
.00 Q= .00
[Tf,m] 1- Parc.Dist.PMax= 1.13 PMin= 1.02 Inicio= .00 Compr= 3.33
- - - - - - A R M A D U R A S ( F L E X A O E C I S A L H A M E N T O ) - - -
- -
FLEXAO-| E S Q U E R D A | M E I O D O V A O | D I R E I T A
| M.[-] = .2 Tf* m | M.[+] Max= .8 Tf* m - Abcis.= 113 | M.[-] = 1.4
Tf* m
[Tf,cm]| As = 1.02 -SRAS- [ 2 B 10.0mm] | AsL= .00 ------ Flecha= .5 | As = 2.21 -SRAS-
[ 3 B 10.0mm]
| AsL= .00 ------ x/d = .08 | As = 1.29 -STAS- [ 2 B 10.0mm ] | AsL= .00 ------
x/d = .18
| Grampos Esq.= 1B 6.3mm x/dMx= .40 | |
x/dMx= .40
| | Fle.Adm.= 1.1 |
| % Baric.Armad.= 1 | % Baric.Armad.= 1 | % Baric.Armad.= 11
***
[Tf,cm]| Bit.Fiss.= 7.7 M[-]Min= 76.2 | Bit.Fiss.= 2.4 M[+]Min= 65.8 | Bit.Fiss.= 1.8
M[-]Min= 149.0
CISALHAMENTO- Xi Xf Vsd VRd2 MdC Ang. Asw[C] Asw[C+T] Bit Esp NR AsTrt AsSus MENSAGEM
[Tf,cm] 0.- 318. 3.00 20.61 2 45. .0 1.7 6.3 15.0 2 .0 .0
T O R C A O- Xi Xf Tsd TRd2 %dT he b-nuc h-nuc Asw-1R Asl-b Asl-h ComDia M E N S A G E M
[Tf,cm] 0.- 318. .01 .46 5 4.1 4.1 22.1 .1 .0 .0 .16
------------------------------- G E O M E T R I A E C A R G A S -----------------------
--------
Vao= 3 /L= 2.85 /B= .12 /H= .30 /BCs= .55 /BCi= .00 /TpS= 2 /Esp.LS= .10 /Esp.LI= .00 FSp.Ex= .15
/FLt.Ex= .06 [M]
Cargas No. Tipo Esf.Adic. Maximos: MEsq= .00 MDir= .00 Q= .00 Minimos: MEsq= .00 MDir=
.00 Q= .00
[Tf,m] 1- Parc.Dist.PMax= 1.13 PMin= 1.02 Inicio= .00 Compr= 2.85
197
- - - - - - A R M A D U R A S ( F L E X A O E C I S A L H A M E N T O ) - - -
- -
FLEXAO-| E S Q U E R D A | M E I O D O V A O | D I R E I T A
| M.[-] = 1.6 Tf* m | M.[+] Max= .6 Tf* m - Abcis.= 194 | M.[-] = .7
Tf* m
[Tf,cm]| As = 2.31 -SRAS- [ 3 B 10.0mm] | AsL= .00 ------ Flecha= .3 | As = 1.54 -SRAS-
[ 2 B 10.0mm]
| AsL= .00 ------ x/d = .18 | As = 1.18 -STAS- [ 2 B 10.0mm ] | AsL= .00 ------
x/d = .12
| x/dMx= .40 | |
x/dMx= .40
| | Fle.Adm.= .9 |
| % Baric.Armad.= 11 *** | % Baric.Armad.= 1 | % Baric.Armad.= 1
[Tf,cm]| Bit.Fiss.= 1.9 M[-]Min= 137.6 | Bit.Fiss.= 2.9 M[+]Min= 64.5 | Bit.Fiss.= 1.4
M[-]Min= 113.6
CISALHAMENTO- Xi Xf Vsd VRd2 MdC Ang. Asw[C] Asw[C+T] Bit Esp NR AsTrt AsSus MENSAGEM
[Tf,cm] 0.- 267. 3.04 20.61 2 45. .0 1.7 6.3 15.0 2 .0 .0
T O R C A O- Xi Xf Tsd TRd2 %dT he b-nuc h-nuc Asw-1R Asl-b Asl-h ComDia M E N S A G E M
[Tf,cm] 0.- 267. .00 .46 5 4.1 4.1 22.1 .1 .0 .0 .16
REACOES DE APOIO - No. Maximos Minimos Largura DEPEV Morte Nome M.I.Mx M.I.Mn Pilares:
1 1.139 .984 .12 .00 1 P8 .00 .00 8 0 0 0
0 0
2 4.082 3.632 .30 .06 1 P9 .00 .00 9 0 0 0
0 0
3 1.641 1.036 .30 .06 1 P10 .00 .00 10 0 0 0
0 0
====================================================================================================================
Viga= 5 V5 Eng.E=Nao Eng.D=Nao Repet= 1 NAnd= 1 Red V Ext=Nao
Fat.Alt=1.00 Cob=2.5 CM
------------------------------- G E O M E T R I A E C A R G A S -----------------------
--------
Vao= 2 /L= 3.28 /B= .20 /H= .30 /BCs= .45 /BCi= .00 /TpS= 8 /Esp.LS= .10 /Esp.LI= .00 FSp.Ex= .15
/FLt.Ex= .10 [M]
198
Cargas No. Tipo Esf.Adic. Maximos: MEsq= .00 MDir= .00 Q= .00 Minimos: MEsq= .00 MDir=
.00 Q= .00
[Tf,m] 1- Parc.Dist.PMax= .41 PMin= .38 Inicio= .00 Compr= 3.28
- - - - - - A R M A D U R A S ( F L E X A O E C I S A L H A M E N T O ) - - -
- -
FLEXAO-| E S Q U E R D A | M E I O D O V A O | D I R E I T A
| M.[-] = .4 Tf* m | M.[+] Max= .4 Tf* m - Abcis.= 109 | M.[-] = .6
Tf* m
[Tf,cm]| As = 1.55 -SRAS- [ 2 B 10.0mm] | AsL= .00 ------ Flecha= .2 | As = 1.80 -SRAS-
[ 3 B 10.0mm]
| AsL= .00 ------ x/d = .07 | As = 1.27 -STAS- [ 2 B 10.0mm ] | AsL= .00 ------
x/d = .08
| x/dMx= .40 | |
x/dMx= .40
| | Fle.Adm.= 1.1 |
[Tf,cm]| Bit.Fiss.= 4.7 M[-]Min= 121.3 | Bit.Fiss.= 9.7 M[+]Min= 94.7 | Bit.Fiss.= 1.8
M[-]Min= 140.2
CISALHAMENTO- Xi Xf Vsd VRd2 MdC Ang. Asw[C] Asw[C+T] Bit Esp NR AsTrt AsSus MENSAGEM
[Tf,cm] 0.- 310. 1.11 34.34 2 45. .0 2.8 6.3 15.0 2 .0 .0
T O R C A O- Xi Xf Tsd TRd2 %dT he b-nuc h-nuc Asw-1R Asl-b Asl-h ComDia M E N S A G E M
[Tf,cm] 0.- 310. .02 1.94 5 6.0 12.1 22.1 .1 .0 .0 .04
------------------------------- G E O M E T R I A E C A R G A S -----------------------
--------
Vao= 3 /L= 3.05 /B= .20 /H= .30 /BCs= .43 /BCi= .00 /TpS= 8 /Esp.LS= .10 /Esp.LI= .00 FSp.Ex= .15
/FLt.Ex= .10 [M]
Cargas No. Tipo Esf.Adic. Maximos: MEsq= .00 MDir= .00 Q= .00 Minimos: MEsq= .00 MDir=
.00 Q= .00
[Tf,m] 1- Parc.Dist.PMax= .41 PMin= .38 Inicio= .00 Compr= 3.05
- - - - - - A R M A D U R A S ( F L E X A O E C I S A L H A M E N T O ) - - -
- -
FLEXAO-| E S Q U E R D A | M E I O D O V A O | D I R E I T A
| M.[-] = .6 Tf* m | M.[+] Max= .3 Tf* m - Abcis.= 229 | M.[-] = .3
Tf* m
199
[Tf,cm]| As = 1.75 -SRAS- [ 3 B 10.0mm] | AsL= .00 ------ Flecha= .2 | As = 1.51 -SRAS-
[ 2 B 10.0mm]
| AsL= .00 ------ x/d = .08 | As = 1.24 -STAS- [ 2 B 10.0mm ] | AsL= .00 ------
x/d = .07
| x/dMx= .40 | |
x/dMx= .40
| | Fle.Adm.= 1.0 |
[Tf,cm]| Bit.Fiss.= 1.7 M[-]Min= 136.3 | Bit.Fiss.= 11.1 M[+]Min= 93.9 | Bit.Fiss.= 6.5
M[-]Min= 118.5
CISALHAMENTO- Xi Xf Vsd VRd2 MdC Ang. Asw[C] Asw[C+T] Bit Esp NR AsTrt AsSus MENSAGEM
[Tf,cm] 0.- 287. 1.06 34.34 2 45. .0 2.8 6.3 15.0 2 .0 .0
T O R C A O- Xi Xf Tsd TRd2 %dT he b-nuc h-nuc Asw-1R Asl-b Asl-h ComDia M E N S A G E M
[Tf,cm] 0.- 287. .02 1.94 5 6.0 12.1 22.1 .1 .0 .0 .04
REACOES DE APOIO - No. Maximos Minimos Largura DEPEV Morte Nome M.I.Mx M.I.Mn Pilares:
1 .531 .269 .20 .01 1 P11 .00 .00 11 0 0 0
0 0
2 1.293 1.256 .20 .01 1 P12 .00 .00 12 0 0 0
0 0
3 .466 .181 .20 .01 1 P13 .00 .00 13 0 0 0
0 0
====================================================================================================================
Viga= 6 V6 Eng.E=Nao Eng.D=Nao Repet= 1 NAnd= 1 Red V Ext=Nao
Fat.Alt=1.00 Cob=2.5 CM
------------------------------- G E O M E T R I A E C A R G A S -----------------------
--------
Vao= 2 /L= 2.01 /B= .12 /H= .40 /BCs= .27 /BCi= .00 /TpS= 5 /Esp.LS= .10 /Esp.LI= .00 FSp.Ex= .20
/FLt.Ex= .06 [M]
Cargas No. Tipo Esf.Adic. Maximos: MEsq= .00 MDir= .00 Q= .00 Minimos: MEsq= .00 MDir=
.00 Q= .00
[Tf,m] 1- Parc.Dist.PMax= .31 PMin= .29 Inicio= .00 Compr= 2.01
- - - - - - A R M A D U R A S ( F L E X A O E C I S A L H A M E N T O ) - - -
- -
FLEXAO-| E S Q U E R D A | M E I O D O V A O | D I R E I T A
200
| M.[-] = .2 Tf* m | M.[+] Max= .3 Tf* m - Abcis.= 0 | M.[-] = 1.1 Tf* m
[Tf,cm]| As = 1.39 -SRAS- [ 2 B 10.0mm] | AsL= .00 ------ Flecha= .0 | As = 1.39 -SRAS-
[ 2 B 10.0mm]
| AsL= .00 ------ x/d = .07 | As = .95 -STAS- [ 2 B 8.0mm ] | AsL= .00 ------
x/d = .07
| x/dMx= .40 | |
x/dMx= .40
| | Fle.Adm.= .7 |
[Tf,cm]| Bit.Fiss.= 22.1 M[-]Min= 145.8 | Bit.Fiss.= 20.9 M[+]Min= 101.5 | Bit.Fiss.= 1.4
M[-]Min= 145.8
CISALHAMENTO- Xi Xf Vsd VRd2 MdC Ang. Asw[C] Asw[C+T] Bit Esp NR AsTrt AsSus MENSAGEM
[Tf,cm] 0.- 179. 1.43 28.38 2 45. .0 1.7 6.3 20.0 2 .0 .0
T O R C A O- Xi Xf Tsd TRd2 %dT he b-nuc h-nuc Asw-1R Asl-b Asl-h ComDia M E N S A G E M
[Tf,cm] 0.- 179. .01 .66 5 4.1 4.1 32.1 .1 .0 .0 .06
------------------------------- G E O M E T R I A E C A R G A S -----------------------
--------
Vao= 3 /L= 5.06 /B= .12 /H= .40 /BCs= .42 /BCi= .00 /TpS= 5 /Esp.LS= .10 /Esp.LI= .00 FSp.Ex= .20
/FLt.Ex= .06 [M]
Cargas No. Tipo Esf.Adic. Maximos: MEsq= .00 MDir= .00 Q= .00 Minimos: MEsq= .00 MDir=
.00 Q= .00
[Tf,m] 1- Parc.Dist.PMax= .18 PMin= .18 Inicio= .00 Compr= 3.03
2- Parc.Dist.PMax= .12 PMin= .12 Inicio= 3.03 Compr= 2.03
3- Parc.Dist.PMax= .18 PMin= .16 Inicio= .00 Compr= 5.06
4- Reac.Ind. PMax= .91 PMin= .74 Aplic.= 3.03 Bw Ap= .12 D.Ver= .30 Viga= 3 Apoio=
1
- - - - - - A R M A D U R A S ( F L E X A O E C I S A L H A M E N T O ) - - -
- -
FLEXAO-| E S Q U E R D A | M E I O D O V A O | D I R E I T A
| M.[-] = 1.2 Tf* m | M.[+] Max= 1.0 Tf* m - Abcis.= 298 | M.[-] = 1.4
Tf* m
[Tf,cm]| As = 2.03 -SRAS- [ 3 B 10.0mm] | AsL= .00 ------ Flecha= .8 | As = 2.03 -SRAS-
[ 3 B 10.0mm]
| AsL= .00 ------ x/d = .11 | As = 1.18 -STAS- [ 2 B 10.0mm ] | AsL= .00 ------
x/d = .11
201
| x/dMx= .40 | |
x/dMx= .40
| | Fle.Adm.= 1.7 |
[Tf,cm]| Bit.Fiss.= 1.4 M[-]Min= 200.8 | Bit.Fiss.= 2.0 M[+]Min= 110.4 | Bit.Fiss.= 1.4
M[-]Min= 200.8
CISALHAMENTO- Xi Xf Vsd VRd2 MdC Ang. Asw[C] Asw[C+T] Bit Esp NR AsTrt AsSus MENSAGEM
[Tf,cm] 0.- 482. 2.09 28.38 2 45. .0 1.7 6.3 20.0 2 .0 .0
T O R C A O- Xi Xf Tsd TRd2 %dT he b-nuc h-nuc Asw-1R Asl-b Asl-h ComDia M E N S A G E M
[Tf,cm] 0.- 482. .03 .66 5 4.1 4.1 32.1 .2 .0 .0 .11
------------------------------- G E O M E T R I A E C A R G A S -----------------------
--------
Vao= 4 /L= 2.99 /B= .12 /H= .40 /BCs= .34 /BCi= .00 /TpS= 5 /Esp.LS= .10 /Esp.LI= .00 FSp.Ex= .20
/FLt.Ex= .06 [M]
Cargas No. Tipo Esf.Adic. Maximos: MEsq= .00 MDir= .00 Q= .00 Minimos: MEsq= .00 MDir=
.00 Q= .00
[Tf,m] 1- Parc.Dist.PMax= .40 PMin= .37 Inicio= .00 Compr= 2.99
- - - - - - A R M A D U R A S ( F L E X A O E C I S A L H A M E N T O ) - - -
- -
FLEXAO-| E S Q U E R D A | M E I O D O V A O | D I R E I T A
| M.[-] = 1.2 Tf* m | M.[+] Max= .4 Tf* m - Abcis.= 251 | M.[-] = .4
Tf* m
[Tf,cm]| As = 1.74 -SRAS- [ 3 B 10.0mm] | AsL= .00 ------ Flecha= .1 | As = 1.74 -SRAS-
[ 3 B 10.0mm]
| AsL= .00 ------ x/d = .10 | As = 1.06 -STAS- [ 2 B 10.0mm ] | AsL= .00 ------
x/d = .10
| x/dMx= .40 | |
x/dMx= .40
| | Fle.Adm.= 1.0 |
[Tf,cm]| Bit.Fiss.= 1.4 M[-]Min= 173.1 | Bit.Fiss.= 12.3 M[+]Min= 106.4 | Bit.Fiss.= 4.3
M[-]Min= 173.1
CISALHAMENTO- Xi Xf Vsd VRd2 MdC Ang. Asw[C] Asw[C+T] Bit Esp NR AsTrt AsSus MENSAGEM
[Tf,cm] 0.- 275. 1.58 28.38 2 45. .0 1.7 6.3 20.0 2 .0 .0
T O R C A O- Xi Xf Tsd TRd2 %dT he b-nuc h-nuc Asw-1R Asl-b Asl-h ComDia M E N S A G E M
202
[Tf,cm] 0.- 275. .01 .66 5 4.1 4.1 32.1 .0 .0 .0 .06
REACOES DE APOIO - No. Maximos Minimos Largura DEPEV Morte Nome M.I.Mx M.I.Mn Pilares:
1 .208 -.271 .20 .00 1 P11 .00 .00 11 0 0 0
0 0
2 2.271 1.904 .30 .03 1 P8 .00 .00 8 0 0 0
0 0
3 2.463 2.148 .30 .03 1 P4 .00 .00 4 0 0 0
0 0
4 .579 .142 .30 .03 1 P1 .00 .00 1 0 0 0
0 0
====================================================================================================================
Viga= 7 V7 Eng.E=Nao Eng.D=Nao Repet= 1 NAnd= 1 Red V Ext=Nao
Fat.Alt=1.00 Cob=2.5 CM
------------------------------- G E O M E T R I A E C A R G A S -----------------------
--------
Vao= 2 /L= 3.05 /B= .12 /H= .30 /BCs= .73 /BCi= .00 /TpS= 2 /Esp.LS= .10 /Esp.LI= .00 FSp.Ex= .15
/FLt.Ex= .06 [M]
Cargas No. Tipo Esf.Adic. Maximos: MEsq= .00 MDir= .00 Q= .00 Minimos: MEsq= .00 MDir=
.00 Q= .00
[Tf,m] 1- Parc.Dist.PMax= .92 PMin= .83 Inicio= .00 Compr= 3.05
- - - - - - A R M A D U R A S ( F L E X A O E C I S A L H A M E N T O ) - - -
- -
FLEXAO-| E S Q U E R D A | M E I O D O V A O | D I R E I T A
| M.[-] = .0 Tf* m | M.[+] Max= 1.1 Tf* m - Abcis.= 152 | M.[-] = .2
Tf* m
[Tf,cm]| As = .00 -SRAS- [ 0 B 6.3mm] | AsL= .00 ------ Flecha= .6 | As = .99 -SRAS-
[ 2 B 12.5mm]
| AsL= .00 ------ x/d = .00 | As = 1.46 -STAS- [ 2 B 10.0mm ] | AsL= .00 ------
x/d = .07
| Grampos Esq.= 1B 6.3mm x/dMx= .40 | | Grampos Dir.= 1B
6.3mm x/dMx= .40
| | Fle.Adm.= 1.0 |
[Tf,cm]| Bit.Fiss.= 50.0 M[-]Min= 73.5 | Bit.Fiss.= 1.6 M[+]Min= 67.6 | Bit.Fiss.= 8.9
M[-]Min= 73.5
203
CISALHAMENTO- Xi Xf Vsd VRd2 MdC Ang. Asw[C] Asw[C+T] Bit Esp NR AsTrt AsSus MENSAGEM
[Tf,cm] 0.- 293. 1.64 20.61 2 45. .0 1.7 6.3 15.0 2 .0 .0
T O R C A O- Xi Xf Tsd TRd2 %dT he b-nuc h-nuc Asw-1R Asl-b Asl-h ComDia M E N S A G E M
[Tf,cm] 0.- 293. .02 .46 5 4.1 4.1 22.1 .2 .0 .0 .12
REACOES DE APOIO - No. Maximos Minimos Largura DEPEV Morte Nome M.I.Mx M.I.Mn Pilares:
1 .595 .549 .12 .00 2 V2 .00 .00 0 0 0 0
0 0
2 1.174 1.116 .12 .00 1 P2 .00 .00 2 0 0 0
0 0
====================================================================================================================
Viga= 8 V8 Eng.E=Nao Eng.D=Nao Repet= 1 NAnd= 1 Red V Ext=Nao
Fat.Alt=1.00 Cob=2.5 CM
------------------------------- G E O M E T R I A E C A R G A S -----------------------
--------
Vao= 2 /L= 1.95 /B= .12 /H= .40 /BCs= .27 /BCi= .00 /TpS= 8 /Esp.LS= .10 /Esp.LI= .00 FSp.Ex= .20
/FLt.Ex= .06 [M]
Cargas No. Tipo Esf.Adic. Maximos: MEsq= .00 MDir= .00 Q= .00 Minimos: MEsq= .00 MDir=
.00 Q= .00
[Tf,m] 1- Parc.Dist.PMax= .31 PMin= .29 Inicio= .00 Compr= 1.95
- - - - - - A R M A D U R A S ( F L E X A O E C I S A L H A M E N T O ) - - -
- -
FLEXAO-| E S Q U E R D A | M E I O D O V A O | D I R E I T A
| M.[-] = .2 Tf* m | M.[+] Max= .3 Tf* m - Abcis.= 0 | M.[-] = .8
Tf* m
[Tf,cm]| As = 1.37 -SRAS- [ 2 B 10.0mm] | AsL= .00 ------ Flecha= .0 | As = 1.37 -SRAS-
[ 2 B 10.0mm]
| AsL= .00 ------ x/d = .07 | As = .94 -STAS- [ 2 B 8.0mm ] | AsL= .00 ------
x/d = .07
| x/dMx= .40 | |
x/dMx= .40
| | Fle.Adm.= .7 |
[Tf,cm]| Bit.Fiss.= 18.0 M[-]Min= 144.1 | Bit.Fiss.= 15.1 M[+]Min= 101.1 | Bit.Fiss.= 1.4
M[-]Min= 144.1
204
CISALHAMENTO- Xi Xf Vsd VRd2 MdC Ang. Asw[C] Asw[C+T] Bit Esp NR AsTrt AsSus MENSAGEM
[Tf,cm] 0.- 179. 1.09 28.38 2 45. .0 1.7 6.3 20.0 2 .0 .0
T O R C A O- Xi Xf Tsd TRd2 %dT he b-nuc h-nuc Asw-1R Asl-b Asl-h ComDia M E N S A G E M
[Tf,cm] 0.- 179. .00 .66 5 4.1 4.1 32.1 .0 .0 .0 .04
------------------------------- G E O M E T R I A E C A R G A S -----------------------
--------
Vao= 3 /L= 5.18 /B= .12 /H= .40 /BCs= .43 /BCi= .00 /TpS= 8 /Esp.LS= .10 /Esp.LI= .00 FSp.Ex= .20
/FLt.Ex= .06 [M]
Cargas No. Tipo Esf.Adic. Maximos: MEsq= .00 MDir= .00 Q= .00 Minimos: MEsq= .00 MDir=
.00 Q= .00
[Tf,m] 1- Parc.Dist.PMax= .18 PMin= .18 Inicio= .00 Compr= 3.15
2- Parc.Dist.PMax= .12 PMin= .12 Inicio= 3.15 Compr= 2.03
3- Parc.Dist.PMax= .18 PMin= .16 Inicio= .00 Compr= 5.18
4- Reac.Ind. PMax= .72 PMin= .53 Aplic.= 3.15 Bw Ap= .12 D.Ver= .30 Viga= 3 Apoio=
3
- - - - - - A R M A D U R A S ( F L E X A O E C I S A L H A M E N T O ) - - -
- -
FLEXAO-| E S Q U E R D A | M E I O D O V A O | D I R E I T A
| M.[-] = .9 Tf* m | M.[+] Max= .9 Tf* m - Abcis.= 303 | M.[-] = 1.3
Tf* m
[Tf,cm]| As = 2.05 -SRAS- [ 3 B 10.0mm] | AsL= .00 ------ Flecha= .7 | As = 2.05 -SRAS-
[ 3 B 10.0mm]
| AsL= .00 ------ x/d = .11 | As = 1.19 -STAS- [ 2 B 10.0mm ] | AsL= .00 ------
x/d = .11
| x/dMx= .40 | |
x/dMx= .40
| | Fle.Adm.= 1.7 |
[Tf,cm]| Bit.Fiss.= 1.4 M[-]Min= 203.2 | Bit.Fiss.= 2.6 M[+]Min= 110.7 | Bit.Fiss.= 1.4
M[-]Min= 203.2
CISALHAMENTO- Xi Xf Vsd VRd2 MdC Ang. Asw[C] Asw[C+T] Bit Esp NR AsTrt AsSus MENSAGEM
[Tf,cm] 0.- 500. 1.89 28.38 2 45. .0 1.7 6.3 20.0 2 .0 .0
T O R C A O- Xi Xf Tsd TRd2 %dT he b-nuc h-nuc Asw-1R Asl-b Asl-h ComDia M E N S A G E M
[Tf,cm] 0.- 500. .03 .66 5 4.1 4.1 32.1 .3 .0 .0 .11
205
------------------------------- G E O M E T R I A E C A R G A S -----------------------
--------
Vao= 4 /L= 3.11 /B= .12 /H= .40 /BCs= .35 /BCi= .00 /TpS= 8 /Esp.LS= .10 /Esp.LI= .00 FSp.Ex= .20
/FLt.Ex= .06 [M]
Cargas No. Tipo Esf.Adic. Maximos: MEsq= .00 MDir= .00 Q= .00 Minimos: MEsq= .00 MDir=
.00 Q= .00
[Tf,m] 1- Parc.Dist.PMax= .40 PMin= .37 Inicio= .00 Compr= 3.11
- - - - - - A R M A D U R A S ( F L E X A O E C I S A L H A M E N T O ) - - -
- -
FLEXAO-| E S Q U E R D A | M E I O D O V A O | D I R E I T A
| M.[-] = 1.2 Tf* m | M.[+] Max= .3 Tf* m - Abcis.= 209 | M.[-] = .1
Tf* m
[Tf,cm]| As = 1.77 -SRAS- [ 3 B 10.0mm] | AsL= .00 ------ Flecha= .1 | As = 1.00 -SRAS-
[ 2 B 10.0mm]
| AsL= .00 ------ x/d = .10 | As = 1.07 -STAS- [ 2 B 10.0mm ] | AsL= .00 ------
x/d = .05
| x/dMx= .40 | |
x/dMx= .40
| | Fle.Adm.= 1.0 |
[Tf,cm]| Bit.Fiss.= 1.4 M[-]Min= 176.3 | Bit.Fiss.= 24.0 M[+]Min= 106.9 | Bit.Fiss.= 50.0
M[-]Min= 106.5
CISALHAMENTO- Xi Xf Vsd VRd2 MdC Ang. Asw[C] Asw[C+T] Bit Esp NR AsTrt AsSus MENSAGEM
[Tf,cm] 0.- 293. 1.42 28.38 2 45. .0 1.7 6.3 20.0 2 .0 .0
T O R C A O- Xi Xf Tsd TRd2 %dT he b-nuc h-nuc Asw-1R Asl-b Asl-h ComDia M E N S A G E M
[Tf,cm] 0.- 293. .00 .66 5 4.1 4.1 32.1 .0 .0 .0 .06
REACOES DE APOIO - No. Maximos Minimos Largura DEPEV Morte Nome M.I.Mx M.I.Mn Pilares:
1 .027 -.254 .20 .00 1 P13 .00 .00 13 0 0 0
0 0
2 1.690 1.498 .12 .00 1 P10 .00 .00 10 0 0 0
0 0
3 2.248 2.043 .30 .03 1 P6 .00 .00 6 0 0 0
0 0
4 .475 .243 .12 .00 1 P3 .00 .00 3 0 0 0
0 0
====================================================================================================================
Livros Grátis
( http://www.livrosgratis.com.br )
Milhares de Livros para Download:
Baixar livros de Administração
Baixar livros de Agronomia
Baixar livros de Arquitetura
Baixar livros de Artes
Baixar livros de Astronomia
Baixar livros de Biologia Geral
Baixar livros de Ciência da Computação
Baixar livros de Ciência da Informação
Baixar livros de Ciência Política
Baixar livros de Ciências da Saúde
Baixar livros de Comunicação
Baixar livros do Conselho Nacional de Educação - CNE
Baixar livros de Defesa civil
Baixar livros de Direito
Baixar livros de Direitos humanos
Baixar livros de Economia
Baixar livros de Economia Doméstica
Baixar livros de Educação
Baixar livros de Educação - Trânsito
Baixar livros de Educação Física
Baixar livros de Engenharia Aeroespacial
Baixar livros de Farmácia
Baixar livros de Filosofia
Baixar livros de Física
Baixar livros de Geociências
Baixar livros de Geografia
Baixar livros de História
Baixar livros de Línguas
Baixar livros de Literatura
Baixar livros de Literatura de Cordel
Baixar livros de Literatura Infantil
Baixar livros de Matemática
Baixar livros de Medicina
Baixar livros de Medicina Veterinária
Baixar livros de Meio Ambiente
Baixar livros de Meteorologia
Baixar Monografias e TCC
Baixar livros Multidisciplinar
Baixar livros de Música
Baixar livros de Psicologia
Baixar livros de Química
Baixar livros de Saúde Coletiva
Baixar livros de Serviço Social
Baixar livros de Sociologia
Baixar livros de Teologia
Baixar livros de Trabalho
Baixar livros de Turismo