Download PDF
ads:
1
UNIVERSIDADE FEDERAL DE SANTA CATARINA
PROGRAMA DE PÓS-GRADUAÇÃO EM ENGENHARIA DE
PRODUÇÃO
MAURY LEONCINE
SISTEMÁTICA PARA APURAÇÃO DE CUSTOS POR
PROCEDIMENTO MÉDICO HOSPITALAR
Florianópolis Santa Catarina Brasil
2010
ads:
Livros Grátis
http://www.livrosgratis.com.br
Milhares de livros grátis para download.
2
ads:
3
MAURY LEONCINE
SISTEMÁTICA PARA APURAÇÃO DE CUSTOS POR
PROCEDIMENTO MÉDICO HOSPITALAR
Dissertação submetida ao Programa de
Pós-Graduação em Engenharia de
Produção da Universidade Federal de
Santa Catarina para obtenção do Grau
de Mestre em Engenharia de Produção.
Florianópolis Santa Catarina Brasil
Março de 2010
4
5
MAURY LEONCINE
SISTEMÁTICA PARA APURAÇÃO DE CUSTOS POR
PROCEDIMENTO MÉDICO HOSPITALAR
Esta dissertação foi julgada adequada para obtenção do título de Mestre
em Engenharia de Produção, e aprovada em sua forma final pelo
Programa de Pós Graduação em Engenharia de Produção da
Universidade Federal de Santa Catarina.
Florianópolis, 25 de março de 2010
____________________________
Prof. Antonio Cezar Bornia, Dr.
Coordenador do Curso de Pós-Graduação
Banca Examinadora:
________________________________
Prof. Antonio Cezar Bornia, Dr.
Orientador
____________________________________
Prof. Álvaro Guillermo Rojas Lezana, Dr.
Universidade Federal de Santa Catarina
________________________________
Prof. Altair Borgert, Dr.
Universidade Federal de Santa Catarina
________________________________
Prof. Eduardo Regonha, Dr.
Planis
6
7
À Deus. Sem Ele nada seria possível!
8
9
AGRADECIMENTOS
A Deus, por ter me concedido a bênção de concluir esta
dissertação e ter conhecido pessoas maravilhosas nesta trajetória.
Ao professor Antonio Cezar Bornia, profundo conhecedor da
gestão de custos, pela sua capacidade, orientação, amizade, incentivo e
pela sua paciência no desenvolvimento e na conclusão deste trabalho.
Obrigado pela oportunidade de aprender mais sobre gestão de custos
com você!
Aos professores do PPGEP, em especial aos professores Edson
Pacheco Paladini, Álvaro Guillermo Rojas Lezana e Nelson Casarotto
Filho.
Aos funcionários do PPGEP, em especial a Meri.
Ao hospital do Coração do Mato Grosso do Sul Clínica Campo
Grande, que disponibilizou as informações para que eu pudesse realizar
a aplicação desse estudo, em especial ao Dr. Mauro pela oportunidade e
a Mariolinda pela paciência e pelo apoio.
Aos meus familiares por entenderem minha ausência nesse
período e pelo incentivo.
Aos colegas de trabalho das Industrias Romi S/A, Hospital
Estadual Sumaré, Planisa e Planis pelos ensinamentos e preciosas
discussões que contribuíram para o entendimento do assunto.
Ao professor Afonso José de Matos pela confiança na
oportunidade oferecida para seguir meus estudos, pelo estímulo e e
contribuições oportunas que enriqueceram este trabalho.
Ao Eduardo Regonha, pelo incentivo, estímulo, pelas valiosas
discussões ao longo dos anos e pelo enorme apoio no desenvolvimento
desse trabalho.
Ao meu grande amore Katia Abbas pelo incentivo, apoio,
companheirismo e paciência. Katia saiba que sem você esta conquista
não teria sido possível, amo você!
Enfim, a todos aqueles que, de alguma forma, contribuíram para a
realização deste trabalho, os meus sinceros agradecimentos.
10
11
RESUMO
Os serviços de saúde, seja num hospital, numa clínica ou no consultório
são complexos e envolvem variáveis complexas como tecnologias
inovadoras de diagnóstico, mão-de-obra especializada, aumento da
idade média da população, exigências de órgãos regulamentadores,
negociações de pagamentos, constante busca pela qualidade e recursos
limitados, dentre outras. As pesquisas de custos encontradas na literatura
têm se concentrado na escolha e aplicação dos métodos de custeio
(ABC, RKW), sem, porém, dar a devida importância à utilização do
método para auxiliar na geração de resultados para a tomada de decisão.
A implantação de um sistema de custos em instituições de saúde, além
de propiciar a gestão de custos deve também auxiliar na análise de
resultados. Nesse sentido, o objetivo do trabalho é propor uma
sistemática para apuração de custos por procedimento médico hospitalar
e assim contribuir para a melhoria do gerenciamento dos resultados
operacionais de instituições de saúde. Para tanto, é apresentada uma
sistemática composta de 13 etapas que devem ser realizadas de forma
sequenciada. O método escolhido foi o RKW, pois diante da
complexidade deste tipo de organização, se apresenta como o mais
aplicável. Com a utilização desta sistemática é possível, dentre outros,
apurar o custo por procedimento, a receita por procedimento, e o
respectivo resultado por procedimento. Também é feita a simulação do
ponto de equilíbrio por procedimento médico hospitalar. Outros níveis
de análise também podem ser proporcionados através das informações
obtidas da conta do paciente, dentre eles: a análise por convênio, por
médico e por especialidade.
Palavras-chave: RKW. Custos Hospitalares. Análise de Resultados.
Análise Custo-Volume-Lucro. Análise dos Procedimentos. Instituições
de Saúde.
12
13
ABSTRACT
Health services, whether in a hospital, a clinic or office are complex and
involve complex variables as innovative diagnostic technologies, skilled
labor, increasing the average age of the population, demands for
regulatory bodies, negotiating payments, constant search for quality and
limited resources, among others. The search cost in the literature have
focused on the choice and application of methods of costing (ABC,
RKW), without, however, give due importance to the use of the method
to assist in generating results for decision making. The implementation
of a cost system in health institutions, in addition to providing cost
management should also assist in the analysis of results. Accordingly,
the objective is to propose a systematic investigation of hospital costs
per medical procedure and thus contribute to improving the management
of the operating results of health institutions. To this end, we present a
systematic composed of 13 steps that must be undertaken in order
sequenced. The method chosen was the RKW, because given the
complexity of this type of organization, presents itself as the most
applicable. With the use of this method is possible, among others, to
determine the cost per procedure, the revenue per procedure, and its
result by procedure. Is also made to simulate the equilibrium point for
hospital medical procedure. Other levels of analysis can also be
provided through information obtained from the patient's bill, including:
analysis by agreement, by physician and by specialty.
Key-words: RKW. Hospital Costs. Analysis of Results. Cost-Volume-
Profit. Analysis Procedures. Health Institutions
14
15
LISTA DE FIGURAS
Figura 1 - Princípios e métodos de custeio ............................................ 37
Figura 2 - Custeio por absorção ............................................................ 53
Figura 3 - Exemplos de custos diretos e indiretos em hospitais ............ 57
Figura 4 - Método de rateio simples ou direto ...................................... 60
Figura 5 - Método de rateio sequencial ou gradativo ............................ 61
Figura 6 - Método duplo ou recíproco ................................................... 62
Figura 7 - Matriz de custos .................................................................... 63
Figura 8 - Modelo ABC ........................................................................ 67
Figura 9 - Custeio por processo e custeio por encomenda .................... 69
Figura 10 - Custo por procedimento ...................................................... 71
Figura 11 - Sistemática para apuração de custos por procedimento
médico hospitalar .................................................................................. 90
Figura 12 - Processo de auto-correção .................................................. 99
Figura 13 - Fluxo de informações para a conta do paciente ................ 101
16
17
LISTA DE QUADROS
Quadro 1 - Fatores a serem observados na utilização do ponto de
equilíbrio. .............................................................................................. 51
Quadro 2 - Exemplos de bases de distribuição primárias ...................... 58
Quadro 3 - Exemplos de bases de distribuição secundárias .................. 60
Quadro 4 - Características dos sistemas de acumulação de custos ........ 68
Quadro 5 - Métodos e sistemas de acumulação de custos ..................... 84
Quadro 6 - Resumo dos objetivos e passos necessários da sistemática
............................................................................................................. 109
18
19
LISTA DE TABELAS
Tabela 1 - Movimento hospitalar previsto conforme porcentagens de
procedimentos ....................................................................................... 43
Tabela 2 - Receita média dos procedimentos ........................................ 43
Tabela 3 - Custo variável médio dos procedimentos ............................. 44
Tabela 4 - Relação das receitas por tipo de convênio ........................... 45
Tabela 5 - Cálculo de receita unitária e custo variável unitário
ponderados ............................................................................................ 46
Tabela 6 - Cenário de um hospital hipotético que apura prejuízo ......... 48
Tabela 7 - Cenário onde o hospital quer calcular o PE ......................... 48
Tabela 8 - Cenário hipotético onde o hospital quer obter lucro de
R$10.000,00 .......................................................................................... 49
Tabela 9 - Ponto de equilíbrio de vários produtos ................................. 49
Tabela 10 - Exemplo de capacidade de produção limitada ................... 52
Tabela 11 - Análise dos procedimentos A, B e C, com limitação de
produção ................................................................................................ 52
Tabela 12 - Análise de resultado por centro de custos ........................ 103
Tabela 13 - Modelo de relatório demonstrativo da conta do paciente . 104
Tabela 14 - Modelo de relatório demonstrativo de procedimentos ..... 105
Tabela 15 - Modelo de relatório demonstrativo de convênios ............ 106
Tabela 16 - Análise de resultado por procedimentos .......................... 125
Tabela 17 - Cálculo da receita unitária e do custo variável unitário por
procedimento ....................................................................................... 128
Tabela 18 - Ponto de equilíbrio por procedimentos ............................ 128
20
21
LISTA DE ABREVIATURAS E SIGLAS
ABC - Activity Based Costing
ABM - Activity Based Management
CME - Central de Materiais Esterilizados
CTI - Central de Terapia Intensiva
CPV - Custo dos Produtos Vendidos
CSP - Custo dos Serviços Prestados
CV - Custo Variável
CVL - Custo-volume-lucro
DRE - Demonstração do Resultado do Exercício
IPTU - Imposto Predial e Territorial Urbano
Kg - Quilogramas
Km - Quilometros
MAT/MED - Materiais e Medicamentos
MC - Margem de Contribuição
M² - Metros Quadrados
PE - Ponto de Equilíbrio
PS - Pronto Socorro
RKW - Reichskuratorium für Wirtschaftlichkeit
SADT - Serviços Auxiliares de Diagnose e Terapia
SCIH - Serviço de Controle de Infecção Hospitalar
SESMT - Serviço Especializado em Segurança e Medicina do Trabalho
SND - Serviço de Nutrição e Dietética
SUS - Sistema Único de Saúde
UP - Unidade de Produção
UCO - Unidade Coronariana
UEP - Unidade de Esforço de Produção
23
SUMÁRIO
1 INTRODUÇÃO ................................................................................ 27
1.1 APRESENTAÇÃO DO PROBLEMA DE PESQUISA ............................. 27
1.2 OBJETIVO ................................................................................................. 31
1.2.1 Objetivos Específicos ............................................................................. 31
1.3 JUSTIFICATIVA ....................................................................................... 32
1.4 ESTRUTURA DO TRABALHO ............................................................... 33
2 FUNDAMENTAÇÃO TEÓRICA ................................................... 34
2.1 GESTÃO HOSPITALAR ........................................................................... 34
2.2 SISTEMAS DE CUSTOS .......................................................................... 36
2.2.1 Princípios de Custeio ............................................................................. 38
2.2.2 Métodos de Custeio ................................................................................ 54
2.2.3 Sistema para Acumulação de Custos ................................................... 68
2.3 TRABALHOS CORRELATOS ................................................................. 73
2.3.1 Avaliação da Aplicabilidade do Custeio ABC Activity Based Costing
na Acurácia de Custos na Área Hospitalar, Especificamente na Unidade de
Terapia Intensiva (BAUMGARTNER, 1998) ............................................... 73
2.3.2 Gestão de Custos em Organizações Hospitalares (ABBAS, 2001) ..... 74
2.3.3 O custeio Baseado em Atividades Aplicado em Serviços de UTI
Hospitalar (VARGAS, 2002) .......................................................................... 75
2.3.4 Desenvolvimento de um Modelo de Resultados em Serviços
Hospitalares com Base na Comparação entre Receitas e Custos das
Atividades Associadas aos Serviços (MARTINS, V., 2002) ......................... 76
2.3.5 Dificuldades na Implantação de Sistemas de Custeio em Instituições
Hospitalares: Estudo de Caso em um Hospital de Florianópolis (ROCHA,
2004) ................................................................................................................. 76
2.3.6 Como são Apurados os Custos dos Procedimentos Médicos: o Caso do
IMIP - Instituto Materno Infantil de Pernambuco (SOUZA, 2004) ........... 78
2.3.7 Aplicabilidade do Custeio Baseado em Atividades e Análise de Custos
em Hospitais Públicos (RAIMUNDINI et al. 2006) ...................................... 80
2.3.8 Mensuração dos Custos de Procedimentos Médicos em Organizações
Hospitalares: Sistematização de um Método de Custeio brido à Luz do
ABC e da UEP (Silva, 2006) ........................................................................... 81
2.3.9 Gestão dos Custos de Serviços Públicos de Alta Complexidade
Hospitalar (SCHULTZ, 2007) ....................................................................... 81
2.3.10 Modelagem do Custeio Baseado em Atividades para o Centro
Cirúrgico de Hospitais (SOUZA et al. 2008) ................................................ 83
2.4 CONSIDERAÇÕES FINAIS...................................................................... 83
3 METODOLOGIA ............................................................................ 86
3.1 CLASSIFICAÇÃO ..................................................................................... 86
3.2 UNIDADE DE ESTUDO ........................................................................... 87
24
3.3 COLETA DE DADOS ................................................................................ 87
3.4 PROCEDIMENTOS METODOLÓGICOS................................................. 87
3.5 LIMITAÇÕES ............................................................................................. 88
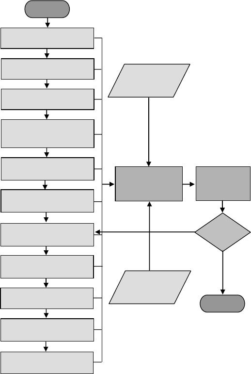
3.6 VISÃO GERAL DA SISTEMÁTICA PROPOSTA ................................... 88
3.6.1 Etapa 1 - Formar uma Equipe de Trabalho ......................................... 91
3.6.2 Etapa 2 - Fazer Reunião para Apresentação da Sistemática .............. 91
3.6.3 Etapa 3 - Visitar as Unidades ................................................................ 92
3.6.4 Etapa 4 - Fazer Reunião Individual com os Responsáveis pelos Setores
........................................................................................................................... 92
3.6.5 Etapa 5 - Elaborar Diagnóstico do Sistema de Gestão Hospitalar ..... 93
3.6.6 Etapa 6 - Determinar os Centros de Custos ......................................... 94
3.6.7 Etapa 7 - Elaborar Relatórios de Coleta dos Dados............................. 94
3.6.8 Etapa 8 - Desenvolver Aplicativo de Informática ................................ 94
3.6.9 Etapa 9 - Processar os Dados ................................................................. 95
3.6.10 Etapa 10 - Fazer Acompanhamento dos Dados .................................. 96
3.6.11 Etapa 11 - Elaborar Relatórios Gerenciais ......................................... 96
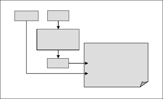
3.6.12 Etapa 12 - Determinar o Custo por Procedimento ............................ 99
3.6.13 Etapa 13 - Analisar os Resultados ..................................................... 102
3.7 CONSIDERAÇÕES FINAIS .................................................................... 109
4 ESTUDO DE CASO ...................................................................... 112
4.1 A ORGANIZAÇÃO PESQUISADA ........................................................ 112
4.2 O SISTEMA DE CUSTOS ........................................................................ 113
4.2.1 A Implantação ....................................................................................... 113
4.2.2 Aplicação da Sistemática ...................................................................... 113
4.3 CONSIDERAÇÕES FINAIS .................................................................... 130
5 CONCLUSÃO ................................................................................ 131
5.1 CONCLUSÕES ......................................................................................... 131
5.2 SUGESTÕES PARA TRABALHOS FUTUROS ..................................... 133
REFERÊNCIAS ................................................................................ 134
Apêndice A - Informações disponíveis no sistema de gestão
hospitalar ........................................................................................... 141
APENDICE B - Informações disponíveis no sistema de gestão
hospitalar ........................................................................................... 145
APÊNDICE C - Relação de centros de custos com a respectiva
classificação ....................................................................................... 147
APENDICE D - Informações adicionais necessária para coleta de
dados .................................................................................................. 151
APENDICE E - Modelo de relatório de coleta de dados ............... 154
APÊNDICE F - Relatório de composição e evolução dos custos ... 158
APENDICE G - Relatório de composição e variação dos custos .. 164
APÊNDICE H - Relatórios de item de custo por centro de custos 170
APÊNDICE I - Relatório individualizado por centro de custos
produtivo unidade de internação 3
º
andar ................................... 175
25
APENDICE J - Relatório individualizado por centro de custos
auxiliar serviço de processamento de roupas ............................... 181
APENDICE K - Relatório de demonstração do custo unitário dos
centro de custos ................................................................................. 186
APÊNDICE L - Conta do paciente .................................................. 196
APENDICE M - Análise de resultado por centro de custos unidade
de internação ...................................................................................... 206
APÊNDICE N - Relatório de análise dos convênios atendidos no
hospital ............................................................................................... 208
ANEXO A - Relatório de composição e evolução dos custos ......... 211
ANEXO B - Relatório de demonstração do custo unitário dos
serviços ............................................................................................... 214
ANEXO C - Relatório individualizado por centro de custos ......... 216
27
1 INTRODUÇÃO
1.1 APRESENTAÇÃO DO PROBLEMA DE PESQUISA
Entre as diversas organizações cuja presença caracteriza a
sociedade moderna, uma se sobressai pela complexidade das tarefas o
hospital. O hospital tem sido, e continua a ser, uma das mais complexas
organizações existentes (COLTRO e SANTOS, 1998).
O hospital moderno é uma organização que agrupa uma equipe de
profissionais médicos, paramédicos e administradores, e incorpora o
avanço constante dos conhecimentos, das aptidões, das tecnologias da
medicina e dos aspectos finais destas tecnologias representados pelas
instalações e equipamentos (COLTRO e SANTOS, 1998).
Nas palavras de Porter (2007):
prestar serviços de saúde, seja num hospital, numa
clínica ou no consultório é algo complexo que
envolve miríades de atividades e desafios. Os
prestadores precisam lidar com contratos com
planos de saúde, negociações de pagamento,
cumprimento de exigências regulamentares,
assimilação de novas tecnologias médicas,
melhoria do atendimento a clientes e recrutamento
e retenção de pessoal. Um acervo de livros,
artigos e estudos revela inúmeras oportunidades
para melhorias de processos em todos os aspectos
da prestação de serviços de saúde, que podem
reduzir erros e complicações, melhorar o resultado
dos tratamentos e aumentar a eficiência. Assimilar
todas essas praticas e melhorar a eficácia
operacional pode ser desgastante.
Os usuários que procuram um serviço no hospital são originários
de um encaminhamento médico para um determinado procedimento (por
exemplo: uma cirurgia de hérniorrafia, uma revascularização do
miocárdio, um parto cesárea); em caso de urgência, são originários do
próprio serviço de urgência do hospital ou até mesmo serem originários
de um tratamento feito a longo prazo feito em consultório. Ou seja,
regularmente os pacientes chegam ao hospital em busca de um
tratamento - conhecido como procedimento médico - e não
28
simplesmente para utilizar um serviço (uma diária, uma hora de centro
cirúrgico ou uma refeição, por exemplo).
A gestão de custos em hospitais é um importante instrumento de
gerenciamento e controle dos custos incorridos nos centros de custos. A
literatura apresenta vários métodos de custeio. Porém, pela
complexidade, pelas informações e controles gerados, o RKW (mais
conhecido como método das seções homogêneas), segundo Matos
(2002), é o mais viável de ser implantado no hospital como um todo.
Com este método, é possível não só obter o custo dos centros de custos,
mas também o custo dos serviços prestados.
Cita ainda o referido autor que o RKW representa o instrumento
mais tradicional de gestão de custos. Assim, esta abordagem de custeio é
largamente utilizada para o processo de operação dos custos
hospitalares, ou seja, para o cálculo dos custos por centros de custos,
bem como para o cálculo dos custos por procedimentos hospitalares.
Segundo Matos (2002, p. 97-98):
a apropriação de custos por centros de custos e o
custeio por procedimentos hospitalares
representam as duas formas mais usuais de
expressão do custo de um serviço gerado por uma
empresa hospitalar. O custo gerado pela
apropriação dos centros de custos corresponde às
unidades de serviços produzidas em cada um dos
centros de custos definidos para o hospital. As
expressões de custo unitário associadas a cada um
dos centros de custos corresponderão, portanto, a
uma diária hospitalar, a uma taxa de sala
cirúrgica, a uma consulta, a um exame, entre
outros. O custo dos procedimentos hospitalares
corresponde a uma sequência de cálculos, os quais
compreenderão os custos unitários gerados pelos
centros de custos combinados com a intensidade
dos referidos insumos.
Pode-se assim dizer que o RKW é um eficiente sistema orientado
para as decisões operacionais. Por outro lado, ele não revela alguns
custos que a moderna competição global colocou em evidência. Assim,
a utilização deste método deve estar aliada ao custeio variável, que
segundo Souza e Clemente (2007), é um princípio que destaca o peso da
estrutura organizacional e produtiva da empresa e força o confronto
entre a capacidade instalada e o nível de atividade, orientando a
elaboração de estratégias que buscam otimizar o uso da estrutura. Para
29
tanto, parâmetros, indicadores e ferramentas gerenciais são utilizados,
destacando entre estes o custo variável unitário e a margem de
contribuição.
Cita Maher (2001) que, na busca do equilíbrio entre receitas,
custos e despesas, métodos como o custeio variável e a análise de custo-
volume-lucro (CVL), largamente utilizados no setor industrial, são
trazidos para a realidade de empresas de serviços. Outra vantagem da
análise CVL é permitir análises com números totais, de forma que os
custos fixos indiretos não necessitam de rateio para integrarem as
análises.
Para Souza e Clemente (2007), em 1936, Jonathan N. Harris,
que publicou no NACA Bulletin o primeiro artigo sistematizando os
conceitos do Custeio Variável (What did we earn last month?), talvez
não percebeu que a mudança conceitual causaria grande impacto para a
contabilidade gerencial: os conceitos de margem de contribuição;
análise custo-volume-lucro, gestão de custos fixos e, principalmente, o
deslocamento do foco de produção para as vendas. Em outras palavras,
gerenciar os custos fixos é importante, porém o que irá cobrir esse custo
fixo é a margem de contribuição resultante da venda de um determinado
produto.
Segundo este princípio, apenas os custos variáveis seriam
alocados aos produtos, enquanto que os custos fixos devem ser lançados
como despesas do período. Assim, pelo custeio variável, elimina-se a
necessidade de rateios, que são os grandes responsáveis pela inexatidão
dos custos devido aos rateios dos custos indiretos de fabricação.
A partir da informação dos custos dos centros de custos, obtida
através do RKW, é possível evoluir e obter também a receita por centros
de custos. Isso possibilita ao hospital obter a sua margem de
contribuição e o seu ponto de equilíbrio e, consequentemente, incorrer
na análise custo-volume-lucro, por centro de custos.
A utilização do RKW em um hospital constitui uma base de
dados útil para obtenção dos indicadores Ponto de Equilíbrio e Margem
de Contribuição, dentre outros. Os próprios hospitais utilizam estes
indicadores por serviço (centro de custos produtivos), ou seja, a Margem
de Contribuição por Serviço (representa quanto da receita sobra para
cobrir os custos fixos do serviço clínica de internação, por exemplo) e o
Ponto de Equilíbrio por Serviço (representa a quantidade mínima a ser
produzida e vendida, em certo período, para que todos os custos
operacionais sejam ressarcidos no serviço centro cirúrgico, por
exemplo). Para embasar esta afirmação, cita-se, por exemplo, Silva et al.
(2002), que realizaram pesquisa em hospitais de Recife, considerado o
30
segundo maior pólo médico-hospitalar brasileiro. Outra pesquisa de
campo envolvendo dez empresas hospitalares sediadas no município de
Natal realizada por Santiago et al. (2007) revela que os hospitais
utilizam os referidos indicadores por centro de custos.
Ressalta Matos (2002, p. 186) que:
em geral, o cálculo do custo de um centro de custo
expressa o custo médio unitário de um produto ou
serviço, cujo resultado leva a inferência de um
parâmetro de custeio médio aplicado a todas as
unidades produzidas pelo centro de custo. Embora
compreenda que o custo médio unitário de uma
diária hospitalar, em uma unidade específica de
internação, possa sofrer variação entre os diversos
pacientes atendidos, a aplicação da sistemática de
cálculo, sob a segmentação por centros de custos,
reflete a expressão de custos médios, em geral
adequados para os fins gerenciais a que se propõe.
Embora a conceituação e a correspondente obtenção dos custos
de bens ou serviços, gerados sob a classificação de centros de custos,
compreenda informação de custeio das atividades de um hospital,
somente a complementação com o custeio de procedimentos
hospitalares é que encerra o ciclo da apropriação de custos sob a
orientação da abordagem do RKW (MATOS, 2002).
Dessa forma, o custo por procedimento médico hospitalar se
constitui em informação estratégica, podendo ser utilizado para a
definição de alguns indicadores, tais como: do
procedimento/convênio/médico ou especialidade com maior margem de
contribuição e do ponto de equilíbrio por procedimento médico,
tornando assim mais viável o gerenciamento da informação no hospital.
Os hospitais normalmente apuram estes indicadores por serviço (centro
de custos produtivos), porém, é mais importante para a tomada de
decisão, apurar estes indicadores por procedimentos. Baker (1998),
referindo-se ao assunto, cita quatro metodologias tradicionais de
alocação de custos: custo por tarefa encomendada, custo por processo,
custo por unidade de valor relativo e, por fim, custo baseado em
atividades.
Dentre estas metodologias de alocação de custos apresentadas por
Baker (1998), Matos (2002, p. 181) reforça que:
quando se calcula o custo de um serviço por
centros de custos, trata-se apenas de um processo
(produto intermediário) e não a expressão de
31
custeio do tratamento prestado ao paciente que,
sob a fundamentação conceitual de contabilização
de custos, poderia ser entendido como o “custo de
um produto final.
O referido autor recomenda a adoção do sistema de custeio por
tarefa encomendada (procedimento hospitalar), que permite a geração
do custo para cada uma das especificações definidas (MATOS, 2002).
A alocação de custos por procedimento médico hospitalar seria
uma informação importante para a gestão de instituições de saúde,
permitindo o agrupamento dos procedimentos hospitalares por
procedimento, por médico, por especialidade e por convênio.
No entanto, não se utiliza a informação dessa forma, havendo
uma lacuna a ser preenchida pelo cálculo do custo por procedimento dos
serviços médicos hospitalares, analisando os que proporcionam melhor
margem de contribuição e o seu ponto de equilíbrio.
Em face do exposto, pode-se formular a seguinte pergunta de
pesquisa: como apurar o custo de procedimento médico hospitalar?
1.2 OBJETIVO
O objetivo dessa dissertação é propor uma sistemática para
apuração dos custos por procedimento médico.
1.2.1 Objetivos Específicos
Para atingir o objetivo, têm-se os seguintes objetivos específicos:
a) verificar quais as etapas para a implantação do RKW em um
hospital;
b) apurar o custo dos centros de custos através do sistema de
acumulação de custos por processo;
c) apurar o custos dos procedimentos através do sistema de
acumulação de custos por encomenda;
d) apurar a margem de contribuição dos procedimentos realizados em
um hospital;
e) calcular o ponto de equilíbrio por procedimentos.
32
1.3 JUSTIFICATIVA
A literatura hospitalar, especialmente a partir de 1995, tem
apresentado ferramentas de gestão que objetivam o conhecimento, a
redução e o controle de custos na saúde. Vários autores (ESTEVES,
1992; CANBY, 1995; EDBROOKE et al., 1997; BAKER, 1998;
GARATTINI; GIULIANI e PAGANO, 1999; FALK, 2001; PATTIO,
2001; ABBAS, 2001; CHING, 2001; MARTINS, D., 2002; MARTINS,
V., 2002; VARGAS, 2002; LI e BENTON, 2003; ROCHA, 2004;
NEGRINI et al., 2004; MATOS, 2007; ABBAS, 2008,) abordam o
problema do crescimento da demanda dos serviços hospitalares, da
escassez de recursos, da administração, dos desconhecimentos dos
custos realmente incorridos, além da mensuração dos custos pelas
metodologias tradicionais fornecerem informações distorcidas.
Segundo Martins D. (2000), existe uma profisão de técnicas e
conhecimentos referentes à utilização de metodologias de custos e à
gestão de custos. Tais práticas estão consolidadas anos. Nasceram
inicialmente nas empresas industriais e mais tarde se estenderam às
empresas de serviços. Termos como custo-padrão, ABC (Activity Based
Costing), método dos centros de custos - RKW (Reichskuratorium für
Wirtschaftlichkeit), ABM (Activity Based Management), dentre outros,
são relativamente comuns nas empresas industriais e de serviços. Porém,
apenas alguns hospitais contam com sistemas de custos, e, de forma
geral, estes não são utilizados para tomada de decisão.
Atualmente, através de pesquisas realizadas de Falk (2001),
Oliveira et al. (2007) e Carpintéro (1999), os hospitais possuem sistemas
de custos que permitem gerenciar os custos e as receitas incidentes nos
centros de custos e indicadores como margem de contribuição e ponto
de equilíbrio por centro de custos.
Existem trabalhos que tratam do cálculo do custo por
procedimento médico hospitalar, porém, não foram encontrados
trabalhos que tratem da importância e da necessidade da utilização do
RKW aliado ao sistema de acumulação por encomenda custo por
procedimento médico hospitalar - para geração da Margem de
Contribuição e Ponto de Equilíbrio por Procedimentos. Assim, a
apuração do custo por procedimento médico hospitalar contribuirá para
a melhoria dos resultados operacionais em instituições de saúde.
Este estudo pretende assim contribuir para a gestão de custos de
instituições de saúde.
33
1.4 ESTRUTURA DO TRABALHO
O Capítulo 1 - Introdução apresenta uma visão geral do tema,
definindo o problema que justifica a elaboração da pesquisa. Apresenta
também os objetivos e a justificativa do trabalho.
O Capítulo 2 - Fundamentação Teórica apresenta um
referencial teórico sobre a situação dos hospitais, a gestão hospitalar,
custos hospitalares e trabalhos correlatos.
O capítulo 3 - Sistemática Proposta apresenta a metodologia
(tipo de classificação da pesquisa, unidade de estudo, coleta de dados,
procedimentos metodológicos e limitações da pesquisa) e as etapas para
a implantação do RKW juntamente com a utilização do sistema de
acumulação de custos por processo, e, através deste, os cálculos dos
custos dos procedimentos através do sistema de acumulação de custos
por encomenda em um hospital.
O Capítulo 4 - Estudo de Caso - apresenta a aplicação do RKW
com a utilização do sistema de acumulação de custos por encomenda
para obtenção da margem de contribuição e do ponto de equilíbrio dos
procedimentos realizados em um hospital selecionado.
O Capítulo 5 - Conclusão apresenta as conclusões que deverão
estar relacionadas aos objetivos do trabalho bem como as sugestões para
trabalhos futuros.
34
2 FUNDAMENTAÇÃO TEÓRICA
Inicialmente, este capítulo apresenta uma caracterização do
hospital, mostrando os problemas que agravaram sua gestão. São
apresentados ainda, os conceitos básicos dos princípios e métodos que
dão origem aos sistemas de custeio, consagrados por renomados autores,
mostrando qual o sistema mais adequado para a realidade das
organizações hospitalares. Por fim, são mostrados trabalhos correlatos
encontrados na literatura.
2.1 GESTÃO HOSPITALAR
Na visão de Almeida (1983) o hospital é uma instituição
destinada ao diagnóstico e tratamento de doentes; servindo ao mesmo
tempo para prevenir a doença e promover a saúde, a prática, a pesquisa e
o ensino da medicina, da cirurgia, da enfermagem, da dietética, e das
demais especialidades afins.
De natureza pública ou privada, com ou sem fins lucrativos,
prestam atendimento ao SUS (Sistema Único de Saúde), a convênios e a
pacientes particulares, fornecendo à população serviços de diagnóstico,
prevenção, tratamento, e também ensino e pesquisa.
Jacobi (1996) define os serviços hospitalares como um conjunto
de processos direcionados ao restabelecimento e manutenção da saúde
de pessoas que procuram assistência médica para promover sua saúde.
Estes processos podem ser divididos em:
a) atividades dos serviços de pessoal, orçamentário, financeiro,
contábil, material, diretoria geral e de área e outros serviços de
administração;
b) atividades relacionadas à infra-estrutura (atividades de apoio)
necessária ao funcionamento do hospital, como por exemplo,
lavanderia, serviços de nutrição e dietética, serviço de higienização
e limpeza, dentre outros;
c) atividades relacionadas aos serviços de diagnóstico e tratamento,
como por exemplo, serviços de radiologia, laboratórios de análises
clínicas e ultrassonografia, dentre outros;
d) atividades relacionadas com a consecução dos objetivos finais da
unidade, como unidades de internamento, centro cirúrgico, pronto-
socorro, e clínicas de internação.
35
Segundo Bruger (1997) a indústria de cuidados à saúde cresceu
muito não somente nos Estados Unidos, mas também em outros países.
Porém, os interessados, como o governo federal, estadual e local, as
financiadoras e mesmo alguns grupos de consumidores estão
preocupados com o aumento crescente dos gastos dedicados à saúde e o
seu aparente baixo nível de eficácia.
Em 2000, nos países de baixa renda o gasto público na saúde
representava, em média, 1% do PIB em comparação com 6% nos países
de alta renda. Os países ricos gastam US$ 2.700 por pessoa nos
cuidados da saúde per capita, enquanto os países africanos gastam
apenas US$ 29 per capita e alguns até mesmo US$ 6 por pessoa. A
despesa total em cuidados da saúde nos Estados Unidos foi de US$1,3
trilhão ou 13% do PIB e representou 43% da despesa global total na
saúde. As economias de baixa renda gastaram apenas US$45 bilhões
(GRUPO BANCO MUNDIAL, 2007).
Apesar destes gastos vultosos com a saúde, grande parte dos
hospitais não cobram taxas com embasamento técnico, ou seja, os custos
dos procedimentos são desconhecidos. Já em 1998, Baumgartner (1998)
dizia que a era do empirismo na gestão hospitalar estava com seus dias
contados. As ferramentas administrativas e financeiras eram cada vez
mais necessárias. Já se falava em planejamento financeiro, fluxo de
caixa e outras ferramentas simples, porém de grande utilidade para a
administração do negócio. Dentre estas ferramentas, a questão dos
custos hospitalares também já era importante.
Sob o impacto de um Estado que vem diminuindo sua ação social
e apesar das dificuldades do sistema de saúde, uma maior
conscientização do público tem gerado uma demanda crescente por
serviços de qualidade, aliados a custos mais baixos. Este fato tem
forçado o setor de saúde a procurar por técnicas e metodologias, que
possam minimizar as complexidades inerentes à gestão hospitalar
(JACOBI, 1996).
Aliado a isto, as transformações sociais ocorridas nos últimos 50
anos ocupam lugar de igual importância desse problema, haja vista o
aumento da expectativa de vida da população, que obrigou os serviços a
atenderem um maior contingente de pacientes com mais de 60 anos,
onde os agravos são mais frequentes e onerosos, e as doenças crônico-
degenerativas, que aumentaram proporcionalmente as doenças infecto-
contagiosas, exigindo internações, equipamentos, exames e tratamentos
sofisticados. Ao mesmo tempo, as técnicas e materiais utilizados na
prática médica têm sido aprimorados e sofisticados continuamente e sua
incorporação nas ações rotineiras de assistência médica passou a exigir
36
mão-de-obra mais especializada e aquisição de novos equipamentos, que
têm maiores custos operacionais e de manutenção (MÉDICI, 1994).
Controlar e reduzir custos, formar o preço de venda dos serviços
e arquitetar a estrutura operacional, entende-se como a receita básica
para o bom funcionamento de um hospital.
Segundo a Federação Brasileira de Hospitais, desde 1999 até
2005 pelo menos 30 hospitais privados fecharam as portas (NEVES,
2003 apud OLIVEIRA et al., 2007). Dizem os referidos autores que,
muitos destes hospitais, fecharam por falhas no seu processo de
gerenciamento de custos.
Assim, o registro e a gestão estratégica de custos hospitalares são
necessários nas instituições hospitalares, visto que o registro serve de
instrumento eficaz de gerencia e acompanhamento dos serviços,
enquanto que a gestão estratégica de custos permite a implantação de
medidas corretivas que visem a um melhor desempenho das unidades,
com base na possível redefinição das prioridades essenciais, aumento da
produtividade e racionalização do uso de recursos dentre outras medidas
administrativas (OLIVEIRA et al., 2007).
2.2 SISTEMAS DE CUSTOS
Ainda não um consenso entre os autores sobre a classificação
em princípio, método ou sistema de custos. Por exemplo, alguns autores
chamam o RKW de sistema de custos, outros de princípio de custeio e
há ainda os que denominam de método de custeio.
Bornia (2009), referindo ao assunto, diz que um sistema de custos
pode ser analisado através de dois enfoques:
a) se tipo de informação gerada é adequada às necessidades da
empresa e quais seriam as informações importantes que deveriam
ser fornecidas;
b) como os dados são processados para obtenção de informações.
A junção desses dois enfoques origem aos sistemas de custos.
Logo, um sistema de custo é a união do princípio (se tipo de informação
gerada é adequada as necessidades da empresa) mais o método de
custeio (quais seriam as informações importantes que deveriam ser
fornecidas). Ou seja, inicialmente se define quais informações são
importantes, dependendo dos objetivos do sistema, e, em seguida, como
elas devem ser tratadas.
37
Padoveze (2005, p. 76) afirma que “o método é o fundamento
teórico mais importante na gestão de custos uma vez que todos os
demais fundamentos e processos decisórios deverão ser modelados à luz
do método adotado”.
De acordo com a figura 1, são princípios de custeio, o custeio
variável, o custeio por absorção integral e o custeio por absorção ideal,
enquanto que, o RKW, o ABC e o UEP, dentre outros, são métodos de
custeio.
Figura 1 - Princípios e métodos de custeio
Fonte: Bornia (2009)
Assim, o princípio norteia o tratamento das informações e o
método viabiliza a operacionalização desse princípio e, segundo o
referido autor, “a rigor, qualquer um dos métodos pode ser aplicado com
qualquer um dos sistemas” (BORNIA, 2009, p. 31).
Pompermayer (1999, p.23), referindo-se ao assunto, diz que:
por sistema de custos entende-se, aqui, o conjunto
dos meios que a empresa utilizará para coletar e
sistematizar os dados de que necessita para
produzir informações gerenciais úteis para toda a
organização e seus níveis hierárquicos.
Para Bornia (2009), os sistemas de custos devem estar em
harmonia com os sistemas de gestão, visto que aqueles fazem parte
deste (que é um sistema mais amplo). Nas palavras do autor: “o sistema
Sistema = Princípio + Método
Custeio variável
Custeio por absorção integral
Custeio por absorção ideal
RKW
ABC
UEP
Outros
38
de custos deve se adaptar às necessidades do sistema de gestão, a fim de
que os gestores sejam capazes de utilizar plenamente as informações
fornecidas” (BORNIA, 2009, p. 32).
Pompermayer (1999, p.23) ressalta a importância dos sistemas de
custos ao dizer que constituem o conjunto dos meios que a empresa
utilizará para coletar e sistematizar os dados de que necessita para
produzir informações gerenciais úteis para toda a organização e seus
níveis hierárquicos".
Logo, a gestão de custos, segundo Dias e Padoveze (2007),
abrange o conjunto de elementos inter-relacionados e interdependentes
entre si, que interagem e se integram, desde as operações necessárias ao
custeio, passando por técnicas de registro e acompanhamento, até a
análise e gestão de informações. O processo de informações deve conter
um método de custeio pré-definido, a forma de organização de dados e
operação de acumulação.
Conclui-se assim que a gestão de custos abrange o método e o
princípio de custeio que formam um sistema de custos. E, segundo
Bornia (2009) o sistema de custos só será útil se acompanhar a evolução
das organizações.
2.2.1 Princípios de Custeio
Os princípios de custeio são: custeio variável, custeio por
absorção integral e custeio por absorção ideal. A seguir serão descritos
cada princípio e sua respectiva aplicação.
2.2.1.1 Princípio do custeio variável
No custeio variável, também denominado de custeio direto ou
marginal, os custos são separados em fixos e variáveis, sendo que
apenas estes, os custos variáveis - que são os que variam de acordo com
o volume de produção ou de acordo com alguma outra base estabelecida
irão compor o custo do objeto de custeio (bens ou serviços). Os custos
fixos num determinado período de tempo permanecem inalterados
apesar da variação do volume de produção são considerados como
despesas do período, ou seja, irão para a DRE (Demonstração do
Resultado do Exercício).
Nas palavras de Leone (1997, p.322):
39
o critério do custeio variável fundamenta-se na
idéia de que os custos e as despesas que devem ser
inventariáveis (debitados aos produtos em
processamento e acabados) serão apenas aqueles
diretamente identificados com a atividade
produtiva e que sejam variáveis em relação a uma
medida (referência, base, volume) dessa atividade.
Os demais custos de produção, definidos como
periódicos, repetitivos e fixos, serão debitados
diretamente contra o resultado do período.
Martins, E. (2003) defende que a consideração dos custos fixos
na composição do valor de um bem ou serviço não é de grande utilidade
para fins de análise gerencial, uma vez que se identificam três problemas
fundamentais. Primeiramente os custos fixos existem
independentemente da produção ou prestação de serviço ocorrerem. Em
segundo lugar, são distribuídos aos bens ou serviços por meio de
critérios de rateio, que incluem, na sua forma de cálculo, em maior ou
menor grau, arbitrariedade. O terceiro problema diz respeito à relação
entre o custo fixo por unidade e o volume de produção, ou seja,
aumentando-se o volume produzido tem-se um menor custo fixo por
unidade e vice-versa. Assim, a análise deverá contemplar o custo global
do bem/serviço, bem como a ligação do mesmo com os demais itens
produzidos e suas respectivas formações.
2.2.1.1.1 Análise custo-volume-lucro e o ponto de equilíbrio
O custeio variável, através da margem contribuição, possibilita
fazer a análise do custo-volume-lucro que auxilia na avaliação dos
resultados quanto às metas estabelecidas. Sob esta análise obtém-se o
ponto de equilíbrio que possibilita ao gestor maior compreensão dos
dados incorridos nos centros de custos.
O custeio variável pressupõe que para o hospital funcionar ele
está comprometido com os custos fixos os quais não serão alterados.
Portanto, uma vez que a estrutura fixa do hospital está preparada para
atender os pacientes, a decisão relevante está relacionada com os custos
variáveis.
40
A margem de contribuição unitária representa a parcela do preço
de venda que resta para a cobertura dos custos e para a geração do lucro,
conforme equação 1:
MC = PV CVunit (1)
Onde:
MC = margem de contribuição;
PV = preço de venda;
CVunit = custo variável unitário.
Bernardi (1996) conceitua a margem de contribuição de um
serviço prestado como sendo a diferença entre o valor das receitas
e os custos variáveis de venda. Esta ferramenta permite avaliar o
quanto cada serviço contribui para pagar os custos fixos, despesas
fixas e gerar lucro.
Perez Junior, Oliveira e Costa (2009) comentam, porém, que sua
utilização é limitada a contabilidade para fins internos da empresa, a
chamada contabilidade gerencial.
Segundo Falk (2001), Matos (2002), Bornia (2009), Perez Junior,
Oliveira e Costa (2009), Santos (2009), Souza e Clemente (2007),
Ribeiro (2009), o ponto de equilíbrio representa uma importante
ferramenta de gestão de resultados operacionais de uma empresa. Ele
expressa o nível de atividades em que o resultado operacional da
empresa é zero, onde ocorre, portanto, a igualdade entre receita total e o
custo total.
Em decorrência desse conceito fica estabelecido que para o
hospital obter resultados deverá atender paciente acima do ponto de
equilíbrio, pois se o hospital atender uma quantidade menor que a do
ponto de equilíbrio irá incorrer em prejuízos.
Souza e Clemente (2007, p. 172) dizem que para a utilização
desta ferramenta, as seguintes hipóteses são necessárias: “linearidade do
comportamento dos custos variáveis; conhecimento do nível máximo de
atividades determinado pelo processo ou pelo mercado; e conhecimento
dos custos fixos para o nível de atratividade que se pretende alcançar.”
O ponto de equilíbrio pode ser medido por produto único ou
múltiplos produtos. Sua fórmula em unidades físicas esrepresentada
nas equações 2 e 3:
41
Qpe = CF / (PV CVunit) (2)
Qpe = CF / MC (3)
Onde:
Qpe = quantidade de ponto de equilíbrio;
CF = custo fixo total;
PV = preço de venda;
CVunit = custo variável unitário;
MC = margem de contribuição.
O ponto de equilíbrio também poderá ser aplicado para expressar
o valor da receita total. Neste caso o resultado indicará qual o valor da
receita que o hospital deverá gerar para alcançar o ponto de equilíbrio
sob a mesma orientação descrita com relação à quantidade de
atendimentos, conforme equação 4.
RTpe = CF / (1 (CF / PVunit)) (4)
Onde:
RTpe = receita total do ponto de equilíbrio;
CF = custo fixo total;
PVunit = preço de venda unitário.
E para obtenção do valor da receita necessária para a obtenção de
determinado resultado, aplica-se a equação 5:
RT = CF + L / (1 (CVunit / PVunit)) (5)
Onde:
RT = receita total;
CF = custo fixo total;
L = lucro;
CVunit = custo variável unitário;
PVunit = preço de venda unitário.
Uma consideração importante a ser feita em relação ao ponto de
equilíbrio é a capacidade de ocupação, ou seja, se a capacidade de
atendimento do hospital seja na unidade de internação, no centro
42
cirúrgico, no consultório, no pronto atendimento ou em qualquer área
está dentro dos limites possíveis para obter o ponto de equilíbrio. Para
isso sugere-se a aplicação de estudos específicos nas determinadas áreas
para levantamento da capacidade.
Conforme citado na introdução dessa dissertação, quando um
paciente procura um determinado serviço em um hospital, esta procura
está na maioria das vezes relacionada a um procedimento e não na
utilização de um serviço isolado. O procedimento agrupa diversas áreas,
dentre elas a unidade de internação, a unidade de tratamento intensivo, o
centro cirúrgico, dentre outros. Por isso, o foco da análise do ponto de
equilíbrio está voltado ao relacionamento do equilíbrio de todas as áreas
não apenas uma delas.
Para exemplificar o caso, tem-se uma situação na área de varejo
(supermercado) onde a venda apurada no final é o resultado do carrinho
de compra. Uma determinada pessoa vai ao supermercado comprar
diversos produtos, alguns em promoção, outros conforme sua
necessidade. No final da compra os produtos são passados no caixa onde
é feito seu pagamento. O gerente do supermercado irá inferir na análise
do resultado do carrinho de compra (carrinho do supermercado =
produto do supermercado), pois dentre diversos bens adquiridos pelo
comprador alguns apresentaram resultado positivo e outros
apresentaram resultado negativo. Pode ter havido prejuízo em
determinado sabão em pó e pode ter havido lucro em determinado
iogurte. Porém, a análise que o gerente do supermercado faz é se o
resultado final do carrinho foi positivo.
Na área da saúde ocorre o mesmo, ou seja, o paciente faz
determinado procedimento e no final (na alta médica), após o
fechamento da conta deveria ser apurado o resultado do procedimento.
Em alguns centros de custos o resultado pode ter cito satisfatório e em
outros pode ter havido prejuízo. O que importa para o hospital, no caso
da apuração do resultado do procedimento, é que a somatória de todos
os custos e receitas obtidos pelo procedimento seja favorável.
Falk (2001) comenta que a aplicação da fórmula do ponto de
equilíbrio para um único bem ou serviço pressupõe que a receita unitária
seja igual para todos os financiadores. Entretanto, como na maioria dos
hospitais, existem várias fontes de receita, é importante a adequabilidade
da análise do ponto de equilíbrio para estas fontes.
Supondo que o hospital prevê a realização dos cinco
procedimentos (A, B, C, D e E), que representam as fontes de receitas, o
referido autor sugere os cálculos demonstrados na tabela 1:
43
Tabela 1 - Movimento hospitalar previsto conforme porcentagens de
procedimentos
PROCEDIMENTO
%
ADMISSÕES
RECEITA
UNITÁRIA
CUSTO
FIXO
TOTAL
CUSTO
VARIÁVEL
UNITÁRIO
A
15
R$ 500,00
R$ 50.000,00
R$ 300,00
B
10
R$ 2.000,00
R$ 150.000,00
R$ 1.200,00
C
30
R$ 1.500,00
R$ 200.000,00
R$ 800,00
D
25
R$ 750,00
R$ 250.000,00
R$ 500,00
E
20
R$ 3.000,00
R$ 300.000,00
R$ 2.100,00
TOTAL
100
R$ 950.000,00
FONTE: Adaptado de Falk (2001)
Com base nos dados da tabela 1, é necessário encontrar uma
média da receita e dos custos variáveis unitários, multiplicando a receita
unitária pela porcentagem de admissão esperada e o respectivo valor do
custo variável unitário pela porcentagem de admissão (tabelas 2 e 3):
Tabela 2 - Receita média dos procedimentos
PROCEDIMENTOS
% ADMISSÕES
RECEITA
UNITÁRIA
RECEITA
PONDERADA
A
15
R$ 500,00
R$ 75,00
B
10
R$ 2.000,00
R$ 200,00
C
30
R$ 1.500,00
R$ 450,00
D
25
R$ 750,00
R$ 187,50
E
20
R$ 3.000,00
R$ 600,00
TOTAL
100
R$ 1.512,50
FONTE: Adaptado de Falk (2001)
44
Tabela 3 - Custo variável médio dos procedimentos
PROCEDIMENTOS
%
ADMISSÕES
CUSTO
VARIÁVEL
UNITÁRIO
CUSTO
VARIÁVEL
PONDERADO
A
15
R$ 300,00
R$ 45,00
B
10
R$ 1.200,00
R$ 120,00
C
30
R$ 800,00
R$ 240,00
D
25
R$ 500,00
R$ 125,00
E
20
R$ 2.100,00
R$ 420,00
TOTAL
100
R$ 950,00
FONTE: Adaptado de Falk (2001)
Assim pode-se incorrer no cálculo do ponto de equilíbrio através
dos valores obtidos utilizando a equação 3:
Ponto de equilíbrio = custo fixo total / margem de contribuição
= R$ 950.000 / (R$ 1.512,50 R$ 950,00)
= 1.689 admissões
Sobre a fonte de receita para vários produtos, Falk (2001) cita um
exemplo para uma situação mais complexa onde as fontes de receitas se
originam dos cinco procedimentos citados anteriormente (A, B, C, D, e
E). Porém, para cada tipo de procedimento a fonte de receita provém de
quatro tipos de convênios diferentes (X, Y, Z, e W).
Neste caso o hospital não teria apenas procedimentos múltiplos
de atendimento, mas uma estrutura de receita múltipla. Logo, o cálculo
do ponto de equilíbrio seguiria o mesmo plano apresentado para
procedimentos múltiplos. Primeiramente é preciso fazer o cálculo da
receita média e do custo variável médio e posteriormente, através do
valor obtido, será aplicada a fórmula para o cálculo do ponto de
equilíbrio (tabela 4).
45
Tabela 4 - Relação das receitas por tipo de convênio
Procedimentos
%
Admissões
Custo Fixo
Receita
Unitária
Custo
Variável
Unitário
A
15
CONVÊNIO X
6
R$ 50.000,00
R$ 500,00
R$ 300,00
CONVÊNIO Y
4
R$ 475,00
CONVÊNIO Z
2
R$ 450,00
CONVÊNIO W
3
R$ 650,00
B
10
CONVÊNIO X
5
R$ 150.000,00
R$ 2.000,00
R$ 1.200,00
CONVÊNIO Y
2
R$ 1.900,00
CONVÊNIO Z
1
R$ 1.800,00
CONVÊNIO W
2
R$ 2.500,00
C
30
CONVÊNIO X
12
R$ 200.000,00
R$ 1.500,00
R$ 800,00
CONVÊNIO Y
8
R$ 1.425,00
CONVÊNIO Z
4
R$ 1.350,00
CONVÊNIO W
6
R$ 1.750,00
D
25
CONVÊNIO X
12
R$ 250.000,00
R$ 750,00
R$ 500,00
CONVÊNIO Y
6
R$ 720,00
CONVÊNIO Z
2
R$ 675,00
CONVÊNIO W
5
R$ 850,00
E
20
CONVÊNIO X
10
R$ 300.000,00
R$ 3.000,00
R$ 2.100,00
CONVÊNIO Y
4
R$ 2.850,00
CONVÊNIO Z
2
R$ 2.700,00
CONVÊNIO W
4
R$ 3.500,00
TOTAL
100
R$ 950.000,00
FONTE: Adaptado de Falk (2001)
A tabela 5 apresenta o cálculo da porcentagem prevista de
atendimento por procedimento e convênio multiplicado pela receita
unitária e custo variável unitário.
46
Tabela 5 - Cálculo de receita unitária e custo variável unitário ponderados
Procedimen-tos
%
Admis-
sões (1)
Receita
Unitária (2)
Receita
Unitária
Ponderada
(3 = 1 / total
de procedi-
mentos (100)
X 2)
Custo Variável
Unitário (4)
Custo
Variável
Unitário
Ponderado
(5 = 1 / total
de procedi-
mentos (100)
x 4)
A
15
CONVÊNIO
X
6
R$ 500,00
R$ 30,00
R$ 300,00
R$ 18,00
CONVÊNIO
Y
4
R$ 475,00
R$ 19,00
R$ 12,00
CONVÊNIO
Z
2
R$ 450,00
R$ 9,00
R$ 6,00
CONVÊNIO
W
3
R$ 650,00
R$ 19,50
R$ 9,00
B
10
CONVÊNIO
X
5
R$ 2.000,00
R$ 100,00
R$ 1.200,00
R$ 60,00
CONVÊNIO
Y
2
R$ 1.900,00
R$ 38,00
R$ 24,00
CONVÊNIO
Z
1
R$ 1.800,00
R$ 18,00
R$ 12,00
CONVÊNIO
W
2
R$ 2.500,00
R$ 50,00
R$ 24,00
C
30
CONVÊNIO
X
12
R$ 1.500,00
R$ 180,00
R$ 800,00
R$ 96,00
CONVÊNIO
Y
8
R$ 1.425,00
R$ 114,00
R$ 64,00
CONVÊNIO
Z
4
R$ 1.350,00
R$ 54,00
R$ 32,00
CONVÊNIO
W
6
R$ 1.750,00
R$ 105,00
R$ 48,00
D
25
CONVÊNIO
X
12
R$ 750,00
R$ 90,00
R$ 500,00
R$ 60,00
CONVÊNIO
Y
6
R$ 720,00
R$ 43,20
R$ 30,00
continua
47
continuação
CONVÊNIO
Z
2
R$ 675,00
R$ 13,50
R$ 10,00
CONVÊNIO
W
5
R$ 850,00
R$ 42,50
R$ 25,00
E
20
CONVÊNIO
X
10
R$ 3.000,00
R$ 300,00
R$ 2.100,00
R$ 210,00
CONVÊNIO
Y
4
R$ 2.850,00
R$ 2.850,00
R$ 84,00
CONVÊNIO
Z
2
R$ 2.700,00
R$ 2.700,00
R$ 42,00
CONVÊNIO
W
4
R$ 3.500,00
R$ 3.500,00
R$ 84,00
RECEITA UNITÁRIA PONDERADA = R$ 1.533.70
CUSTO VARIÁVEL
PONDERADO = R$ 950,00
FONTE: Adaptado de Falk (2001)
Com base nos dados obtidos é aplicada a equação 3:
Ponto de equilíbrio = custo fixo total / margem de contribuição
= R$ 950.000 / (R$ 1.533,70 R$ 950,00)
= 1.628 ADMISSÕES
Santos (2009, p. 51) julga de extrema importância gerencial o
ferramental que propicia meios de analisar as relações custo, volume e
lucro dos negócios de uma empresa. Esta análise dará respostas a
perguntas do tipo: “O que acontecerá com o resultado se alterar preços,
volume e custo?”.
Custo, preço e volume são os fatores medidos no planejamento e
na análise de variação do lucro. O preço de venda geralmente é de
controle limitado, mas custo e volume possuem elementos mais
controláveis e normalmente seu relacionamento é mais solicitado
(SANTOS, 2009).
Com isso, pretende-se estabelecer cenários para análise de
resultados que propiciem melhoria nos resultados operacionais dos
hospitais. Primeiramente são estabelecidos os padrões de análise básico
do ponto de equilíbrio para um único produto.
48
A tabela 6 apresenta um cenário de um hospital hipotético que
está incorrendo em prejuízo. Nesta tabela são obtidos dados de custos
(fixos e variáveis), quantidade produzida e receita unitária, ou seja, os
dados necessários para a aplicação da análise custo-volume-lucro.
Tabela 6 - Cenário de um hospital hipotético que apura prejuízo
Número de procedimentos
500
Preço de venda por procedimento
R$ 1.000,00
Custo variável por procedimento
R$ 350,00
Receita
R$ 500.000,00
100%
Custo variável do procedimento
R$ 175.000,00
35%
Margem de contribuição
R$ 325.000,00
65%
Custos fixos
R$ 400.000,00
80%
Resultado (Prejuízo)
-R$ 75.000,00
-15%
Fonte: Adaptado de Souza e Clemente (2007)
Na tabela 7 é aplicada a análise custo-volume-lucro para
obtenção da quantidade necessária para a obtenção do ponto de
equilíbrio.
Tabela 7 - Cenário onde o hospital quer calcular o PE
Número de procedimentos
615
Preço de venda por procedimento
R$ 1.000,00
Custo variável por procedimento
R$ 350,00
Receita
R$ 615.384,62
100,00
Custo variável do procedimento
R$ 215.384,62
35,00
Margem de contribuição
R$ 400.000,00
65,00
Custos fixos
R$ 400.000,00
65,00
Resultado (Ponto de Equilíbrio)
R$ 0,00
0,00
Fonte: Adaptado de Souza e Clemente (2007)
Na tabela 8 é feita a análise custo-volume-lucro para a obtenção
do lucro.
49
Tabela 8 - Cenário hipotético onde o hospital quer obter lucro de
R$10.000,00
Número de procedimentos
631
Preço de venda por procedimento
R$ 1.000,00
Custo variável por procedimento
R$ 350,00
Receita
R$ 630.769,23
100,00
Custo variável do procedimento
R$ 220.769,23
35,00
Margem de contribuição
R$ 410.000,00
65,00
Custos fixos
R$ 400.000,00
63,41
Resultado (Lucro)
R$ 10.000,00
1,59
Fonte: Adaptado de Souza e Clemente (2007)
Neste caso, a opção de bens ou serviços a serem oferecidos aos
clientes do hospital é inúmera e para isso torna-se necessário o cálculo
do ponto de equilíbrio de vários produtos. A tabela 9 apresenta os
cálculos para os procedimentos parto cesárea e herniorrafia.
Tabela 9 - Ponto de equilíbrio de vários produtos
Descrição
Item
Parto Cesárea
Herniorrafia
Total
Preço de venda
A
R$ 1.400,00
R$ 1.900,00
Custo variável unitário
B
R$ 820,00
R$ 1.113,00
Margem de contribuição
unitária
C = A - B
R$ 580,00
R$ 787,00
Fator de Ponderação
(demanda de mercado)
D
2
1
Margem de Contribuição
Ponderada
E = C x D
R$ 1.160,00
R$ 787,00
R$ 1.947,00
Custos fixos
F
R$ 987.500,00
Quantidade no ponto de
equilíbrio
G = F / E
507
Quantidade por produto
H = G x D
1014
507
Margem de contribuição
por produto
I = H x C
R$ 588.341,04
R$ 399.158,96
R$ 87.500,00
Fonte: Adaptado de Perez Junior, Oliveira e Costa (2009)
50
Segundo Finkler (1994) citado por Falk (2001) a análise do ponto
de equilíbrio deve ser utilizada com um grau de cuidado. O quadro 7
apresenta alguns fatores que devem ser observados na utilização do
ponto de equilíbrio.
CITAÇÃO
OBSERVAÇÃO
A análise do ponto de equilíbrio assume que
a receita unitária para um procedimento ou
uma gama de procedimentos é constante a
medida que o volume se altera para mais ou
para menos. Em outras palavras não
reconhece alterações no preço, como
abatimentos, para um aumento de volume
ou aumento de preço à medida que o
volume de atendimentos cai.
Abatimentos e negociações de preços
acontecem, portanto, ajustes devem ser
feitos a medida que as suposições
acontecem.
Para a realização da análise do ponto de
equilíbrio é necessário medir,
adequadamente os custos fixos e variáveis.
Muitos hospitais não têm um sistema de
captação de dados adequado para essa
finalidade. A veracidade dos dados de
custos é muito importante para a eficácia da
metodologia de análise do ponto de
equilíbrio.
Sugere-se trabalhar de forma eficaz com
uma estrutura que possibilite dados
confiáveis e segregação dos custos fixos e
variáveis.
Os dados de custos não são estáticos. O
hospital é dinâmico bem como a situação
econômica e tecnologia específica da área.
Sugere-se a revisão periódica para manter o
sistema o mais apurado possível.
Os custos variáveis podem aumentar em
relação direta com a produção como podem
diminuir unitariamente em relação ao
volume de material adquirido sofrendo
influência de preço, pois grandes aquisições
são acompanhadas de abatimentos.
Neste item também é necessário uma
revisão periódica dos dados utilizados no
estudo em questão. A medida que o hospital
obtém melhorias em negociações de preços
conseqüentemente alcançará melhoria nos
resultados esperados.
Atenção para a previsão de atendimentos,
até que ponto a previsão é adequada e por
quanto tempo.
Se houve uma alteração na previsão de
atendimentos, tanto nos procedimentos de
categoria mais baratas quanto a de categoria
mais cara é necessário rever os cálculos. Em
alguns casos é sugerido a criação de
cenários e o acompanhamento do previsto
versus o realizado.
Uma condição importante a ser considerada
é que o volume não é o único fator que afeta
os custos. Alguns fatores tais como: greve,
falta de energia, disponibilidade de pessoal,
tecnologia existente pode interferir na
previsão de atividades a serem realizadas.
Mudanças nas atividades e na produtividade
podem trazer impactos significativos nos
dados de custos. Manter o nível de atividade
e produtividade constante é um desafio para
todo o gestor hospitalar.
continua
51
continuação
É preciso observar os custos mistos, ou seja,
aqueles custos que possuem uma parcela
fixa e outra variável. Por exemplo, o
consumo de energia, que apresenta uma
parcela fixa (mínimo) e outra variável
(conforme o volume de atendimentos
realizado acima da parcela mínima).
Fazer um estudo da parcela mínima (custo
fixo) e considerar a outra parte como a
parcela variável, pois a metodologia do
ponto de equilíbrio só considera esses dois
grupos: fixos e variáveis e não os custos
mistos que já estariam fazendo parte desses
grupos.
Os custos fixos por grau de volume são
fixos até certo grau de atendimento.
Deve-se se atentar para que acima do
estimado de produção possa haver alteração
no custo fixo, fazendo assim necessário a
readequação do cálculo para o cenário mais
realista.
Quadro 1 - Fatores a serem observados na utilização do ponto de equilíbrio.
Fonte: Adaptado de Finkler (1994) citado por Falk (2001)
Segundo Falk (2001) a utilização da análise do ponto de
equilíbrio para tomada de decisão inclui decisões de preço (receita
unitária), diminuição dos custos, tanto fixos (custo fixo total) como
variáveis (custo variável unitário), ou volume de atendimento e pode
ainda ajudar a indicar qual tipo de atendimento deverá ser feito pelo
hospital caso haja capacidade ociosa ou quando recursos de produção
são limitados.
Em relação à capacidade ociosa, o instrumento de maior valor na
tomada de decisão é a margem de contribuição do procedimento. Não é
somente uma questão de receita, pois, nem sempre o paciente com maior
receita é o paciente mais rentável para o hospital. Neste caso, o paciente
mais indicado é aquele cuja receita unitária excede mais o seu custo
unitário variável.
Quando a capacidade de produção do hospital é limitada, mas
existe possibilidade de aumentar o volume de atendimentos surge a
pergunta: Qual desses procedimentos deve receber prioridade? Ressalta-
se que somente são levados em consideração aspectos financeiros,
desconsiderados aspectos sociais, assistenciais e políticos, dentre outros.
Supondo que o hospital prevê a realização de atendimentos a
quaro tipos de pacientes (A, B, C e D), Falk (2001) sugere os cálculos
da tabela 10 para demonstrar qual dos pacientes deve ter prioridade para
ampliação no atendimento.
52
Tabela 10 - Exemplo de capacidade de produção limitada
Item
A
B
C
D
Receita esperada / paciente
R$ 750,00
R$1.500,00
R$3.000,00
R$7.500,00
Custo adicional / paciente
R$ 300,00
R$1.000,00
R$2.250,00
R$7.600,00
MC / paciente (R$)
R$ 450,00
R$ 500,00
R$750,00
R$ -100,00
MC / paciente (%)
60%
33%
30%
- 1,3%
Fonte: Falk (2001, p.138)
Existe uma tendência natural de atração pela receita oferecida,
pois o valor apresentado é mais de duas vezes o valor de qualquer outro
tipo de atendimento. Sem o conhecimento de custos a escolha pelo
paciente de maior receita daria prejuízo ao hospital.
Excluindo o paciente D, restam os pacientes A, B e C que
apresentam na análise várias particularidades: o paciente A tem menor
margem de contribuição em termos monetários, mas maior margem de
contribuição em percentual. O paciente C tem maior volume de dinheiro
recebido, mas menor margem de contribuição em percentual. Por isso,
nesses casos é necessário levar em consideração fatores que limitem a
capacidade de ampliação do atendimento, tais como: existência de leitos
suficientes para os atendimentos; e a média de permanência de cada tipo
de atendimento.
Supondo neste mesmo exemplo que a médica de permanência é o
fator limitante, sendo que a média do pacienta A é de 3 dias, do B é 5
dias e do C é 7 dias, a tabela 11 apresenta que o paciente A é a melhor
opção para o hospital, visto que, apesar de apresentar a receita menor,
esse não é o fator de maior relevância e sim a margem de contribuição.
Tabela 11 - Análise dos procedimentos A, B e C, com limitação de
produção
Item
A
B
C
Receita esperada / paciente
R$ 750,00
R$ 1.500,00
R$ 3.000,00
Custo adicional / paciente
R$ 300,00
R$ 1.000,00
R$ 2.250,00
MC / paciente (R$)
R$ 450,00
R$ 500,00
R$ 750,00
Média de permanência
3 dias
5 dias
7 dias
MC / paciente-dia
R$ 150,00
R$ 100,00
R$ 107,15
Fonte: Falk (2001, p.138)
53
Por fim, ressalta-se que em um estudo empírico Ferreira (2005)
cita que o custeio variável poderá ser uma ferramenta importante na
avaliação dos resultados dos serviços ofertadas pela área de diagnóstico
dos hospitais privados.
2.2.1.2 Princípio do custeio por absorção integral
No custeio por absorção integral, também denominado de custeio
por absorção total, todos os custos de produção comporão o custo do
objeto de custeio (bem ou serviço).
Santos (2009) diz que o princípio do custeio por absorção integral
é considerado como básico para avaliação de estoques pela
contabilidade societária, para fins de levantamento do Balanço
Patrimonial e da Demonstração do Resultado do Exercício.
De acordo com a figura 2, neste princípio, muito estudado pelos
estudantes de ciências contábeis, por ser o princípio aceito para fins
legais (fiscais e societários), as despesas não fazem parte do custo do
bem/serviço (CPV custo do produto vendido ou CSP custo do
serviço prestado); são lançadas diretamente no resultado enquanto que
os custos, tanto diretos quanto indiretos, são apropriados a todos os bens
e compõem o estoque.
Figura 2 - Custeio por absorção
Fonte: Martins E. (2003, p. 37 e 38)
Custos
Estoque de
Produtos/Prestação
de Serviços
Despesas
Demonstração de Resultados
Receita
CPV ou CSP
Lucro Bruto
Despesas
Lucro Operacional
Venda
54
A diferença em relação às empresas prestadoras de serviços
reside no fato de que estas não possuem estoque, porém a forma de
apropriação é a mesma da atribuída às empresas de manufatura, ou seja,
as despesas são consideradas no resultado da empresa enquanto os
custos, tanto diretos quanto indiretos, compõem o custo de cada serviço
prestado e, após, este é considerado no resultado da empresa.
Martins E. (2003) cita que em ambos os casos na apropriação de
custos indiretos aos produtos ocorre a utilização de estimativas ou
critérios de rateios, para que possa ser identificada qual parte desses será
apropriada a cada bem ou serviço.
2.2.1.3 Princípio do custeio por absorção ideal
No custeio por absorção ideal, assim como no custeio por
absorção integral, todos os custos de produção comporão o custo do
objeto de custeio (bens ou serviços), com a diferença de que os custos
fixos são alocados aos objetos de custeio de acordo com sua utilização
eficiente, sendo os custos mal utilizados, lançados como despesas do
período na Demonstração do Resultado do Exercício.
Este princípio é utilizado como apoio ao controle e ao processo
de melhoria contínua da empresa. Ao incorrer em uma separação entre
custos utilizados e mal utilizados (desperdícios), auxilia na
implementação do processo de redução contínua dos desperdícios,
possibilitando a eliminação das atividades que não agregam valor ao
processo bem como os desperdícios (BORNIA, 2009).
2.2.2 Métodos de Custeio
2.2.2.1 Método RKW
O método RKW teve sua origem na Europa, no início do século
XX, sendo o método mais utilizado não no Brasil como no mundo
(BORNIA, 2009; PEREZ JUNIOR; OLIVEIRA e COSTA, 2009).
Neste método, todos os custos são apropriados aos centros de
custos. Na definição de e (1995, p. 73), os centros de custos
correspondem ao “lugar ou seção de uma empresa que recebe as cargas
dos custos com a finalidade de saber o quanto se aplicou para mantê-la”.
De acordo com a função que desempenham, os centros de custos
podem ser classificados em:
55
centros administrativos: agregam os custos das atividades dos
serviços de pessoal, orçamentário, financeiro, contábil, material,
diretoria geral e de área e outros serviços de administração;
centros auxiliares: sustentam a produção, porém não são os
responsáveis diretos pela transformação do produto, ou seja,
prestam apoio direto às atividades fins;
centros produtivos: trabalham diretamente com a produção e geram
receita.
Para Falk (2001), os centros de custos, também chamados de
centros de responsabilidade, onde os gerentes dos centros de custos de
apoio são responsáveis pelos seus gastos, enquanto gerentes dos centros
produtivos são os responsáveis tanto pelos seus gastos como por receitas
realizadas. Todos os centros oferecem uma ação conjunta em prol de um
objetivo comum: a sobrevivência financeira da instituição mediante a
prestação de serviços de qualidade, tanto os centros produtivos quanto
os centros auxiliares e administrativos.
Matos (2002, p. 102) referindo-se ao assunto diz que:
embora as operações de serviços hospitalares
reúnam características particulares a essas
atividades, a conceituação de centros de custos
segue os mesmos fundamentos de segmentação
utilizados pela contabilização de custos de
qualquer empresa unidades de produção com a
característica de representar a localização onde os
serviços estão sendo elaborados ou prestados e
unidades de apoio ou administrativas como
complementação imprescindível à consecução das
atividades de prestação de um serviço de
assistência médica.
Com isso, a segmentação mais usual aplicada a um hospital
compreende os conceitos de centros de custos produtivos e centros de
custos auxiliares e administrativos. Para a definição e correspondente
estruturação dos centros de custos deve levar em consideração a
organização das atividades operacionais, a estrutura organizacional e a
forma com que as informações de custos atendem ao modelo de gestão
do hospital (MATOS, 2002).
Os centros de custos produtivos são representados pelas unidades
de produção do hospital, cuja função correspondente à prestação de um
56
serviço ao paciente e que compreenda uma atividade objeto de
remuneração pelos serviços prestados. São exemplos de centros de
custos produtivos: unidade de internação, centro cirúrgico, pronto
socorro, ambulatório, laboratório, tomografia, dentre outros.
Os centros de custos administrativos e auxiliares são
representados pelos serviços de apoio e as funções de natureza
administrativa. Os serviços produzidos por essas unidades não são
objeto de remuneração específica pelos pacientes, eles têm o papel de
uma prestação de serviços interna, em geral aos centros produtivos, mas
também a outros centros auxiliares e administrativos. São exemplos de
centros de custos auxiliares e administrativos: serviço de nutrição e
dietética, lavandeira, limpeza, manutenção, faturamento, contabilidade,
departamento pessoal, dentre outros.
O custo total de um centro de custos é composto pela somatória
dos custos diretos e indiretos do respectivo centro de custos. Os custos
diretos são aqueles que não necessitam de rateio enquanto os custos
indiretos necessitam de rateio (CHING, 2001).
Quando se identifica o centro de custos como unidade de
acumulação de custos, toda a identificação deve levar em consideração
esse ponto de referência.
Normalmente a fonte de dados para contemplação dos custos
diretos e indiretos é o plano de contas. O plano de contas é um conjunto
de contas, diretrizes e normas que disciplinam as tarefas do setor de
contabilidade obtendo assim uma uniformização dos registros contábeis.
Para cada empresa, o plano de contas pode conter um número maior ou
menor de informações em decorrência de interesses da própria
instituição (RIBEIRO, 2009).
A figura 4 destaca alguns itens de custos diretos e custos indiretos
em hospitais:
Para a distribuição dos custos indiretos, são avaliadas diferentes
formas de instrumentos de rateio que estabelecem as proporções
adequadas de distribuição desses insumos aos respectivos centros de
custos.
57
Figura 3 - Exemplos de custos diretos e indiretos em hospitais
Fonte: Matos (2002 p. 105-106)
Medicamentos
Materiais médico-cirúrgicos
Gases medicinais
Gêneros alimentícios
Material de consumo
Material de expediente
Materiais diversos
Serviços de terceiros
Manutenção e
conservação
Depreciação
Telefone
Outros custos e despesas
CUSTOS
INDIRETOS
CONSUMO
DE
MATERIAIS
CUSTOS
DIRETOS
PESSOAL
CUSTOS E
DESPESAS
GERAIS
Salários
Encargos Sociais
Benefícios
Outros custos de pessoal
Aluguel
Depreciação predial
Seguros
Energia elétrica
Água
Telefone
Impostos e taxas
Outros custos e despesas
58
Por exemplo, o salário do funcionário da lavanderia é custo
direto, pois, é fácil de ser identificado com os centros de custos. Já, a
energia elétrica é custo indireto, pois não é fácil a sua alocação entre os
centros de custos, necessitando de um parâmetro ou estimativa, ou seja,
de um rateio para a sua distribuição. Pode ser utilizado como base de
rateio para energia elétrica (metros quadrados), e assim o centro de
custos que tiver maior tamanho receberá maior parcela dos custos com
energia elétrica. Outra base de rateio pode ser a potência instalada, ou
seja, o centro de custos que tiver equipamentos que consomem mais
potência receberá maior parcela do rateio do custo com energia elétrica.
Caso seja necessário um maior rigor, o critério de rateio da energia
elétrica poderá ser a potência instalada considerando outro fator, que é o
tempo de utilização estimado de uso dos equipamentos por mês.
Foram assim citados três critérios de rateios diferentes, desde o
mais simples até o mais criterioso. Entretanto, o critério de rateio mais
adequado não significa o correto, pois o mais justo seria que em cada
centro de custos houvesse um medidor instalado para computar
perfeitamente o respectivo consumo. Porém, a instalação de um medidor
torna-se inviável pelo alto valor de investimento do equipamento e
adequações que seriam necessárias. Portanto, nesse caso, sugere-se o
maior esforço para tornar o critério de rateio mais justo possível. Para
tanto, é necessário o envolvimento de pessoas capacitadas que possam
auxiliar na aplicação de um método mais adequado; no caso da energia o
envolvimento de um engenheiro pode auxiliar em uma alocação mais
adequada, ocasionando assim, menor arbitrariedade.
O quadro 2 apresenta alguns exemplos de bases de rateio dos
custos indiretos aos centros de custos, encontrados na literatura.
CUSTOS INDIRETOS
CRITÉRIOS DE RATEIO
Depreciação predial
Área ocupada (m²)
IPTU
Área ocupada (m²)
Aluguel
Área ocupada (m²)
Seguros
Valor dos itens segurados
Seguro predial
Área ocupada (m²)
Energia elétrica
Potência instalada
Quadro 2 - Exemplos de bases de distribuição primárias
Fonte: Bornia (2009) e Matos (2002)
59
Quanto à seleção de critérios de rateio dos centros de custos
administrativos para os próprios administrativos e para os auxiliares e
produtivos e, dos auxiliares para os próprios auxiliares e para os
produtivos, é uma atividade difícil e sempre que possível, a base deve
ter uma relação direta com o tipo de atividade exercida. Falk (2001) cita
o exemplo da definição do critério do rateio do setor de limpeza que
não pode ratear seus custos de maneira igual aos centros de custos que
se utilizam deste serviço, visto que, um determinado centro de custos
necessita ter suas cestas de lixos esvaziadas com maior frequência, ter o
chão lavado e desinfetado diariamente para garantir a perfeita limpeza
necessária à qualidade dos serviços prestados, enquanto outro centro de
custos, apesar de ter o mesmo tamanho, não exige este mesmo grau de
limpeza. Assim, um critério de rateio em termos de metro quadrados não
faria sentido, mas sim, um critério baseado nas horas dedicadas ao
trabalho.
O tempo poderia ser um cálculo da média necessária para a
limpeza do setor ou um registro real do tempo dedicado à limpeza do
setor. Cada uma dessas alternativas necessita de tempo extra para sua
definição, e tempo custa dinheiro. A pergunta que o referido autor indica
a ser feita para análise desse tipo de ocorrência é a seguinte: Qual o
impacto do custo de limpeza nos gastos totais do hospital? O importante
é saber a finalidade do sistema de custo implantado no hospital. Será
que vai conseguir que o pessoal da limpeza faça a coleta de dados de
maneira programada, de tal forma que possa acreditar nos resultados
obtidos? É necessário investir num processo sofisticado de coleta de
dados, e depois chegar a conclusão que a informação não é confiável?
Um processo mais simples promovendo uma informação menos
apurada, talvez seja mais indicado (FALK, 2001).
O quadro 3 apresenta alguns exemplos de bases de rateio dos
centros de custos administrativos para os próprios administrativos e para
os auxiliares e produtivos e, dos auxiliares para os próprios auxiliares e
para os produtivos, encontrados na literatura.
Segundo Souza e Clemente (2007) e Matos (2002), os métodos
de rateio utilizados para a apropriação dos centros de custos auxiliares e
administrativos são:
a) rateio simples ou direto;
b) rateio sequencial ou gradativo (step down);
c) rateio duplo ou recíproco.
60
CENTROS DE CUSTOS
AUXILIARES E
ADMINISTRATIVOS
CRITÉRIOS DE RATEIO
Lavandeira
Quilos de roupa
Manutenção
Horas de manutenção ou
Ordens de manutenção ou
Área m²
Refeitório
Número de refeições
Vigilância
Área m²
Departamento de Pessoal
Número de funcionários
Administração Geral
Número de funcionários
Limpeza
Área m²
Almoxarifado
Número de itens requisitados ou
Valor dos itens requisitados
Quadro 3 - Exemplos de bases de distribuição secundárias
Fonte: Bornia (2009) e Matos (2002)
No método de rateio simples ou direto um centro de custos
auxiliar e administrativo não transfere custos para outro centro de custos
dessa mesma categoria, apenas para os serviços finais existentes nas
unidades produtivas do hospital. A figura 4 ilustra este método de rateio.
Figura 4 - Método de rateio simples ou direto
Fonte: Adaptado de Souza e Clemente (2007)
Centros
Produtivos
Centros
Administrativos
Centros
Auxiliares
61
O método de rateio sequencial ou gradativo (step down) permite
que cada centro de custos transfira, por rateio, seu custo total à todos os
centros de custos que tenham prestado serviços, ou seja, àqueles que
sucedam no plano hierarquizado de centros de custo (“efeito cascata”).
Segundo Mattos (1998), permite assim, a transferência de custo também
entre centros de custo do mesmo grupo. Em contrapartida, exige um
grande rigor na hierarquização dos centros alocados em cada um dos
grupos, de forma que, no processo de interação de troca de serviços,
tenha prioridade, no rateio de seus custos para os demais, aqueles cujos
serviços prestados tenham maior relevância econômica do que os
recebidos. Os centros de custo que foram rateados, não receberão
rateios dos demais centros, evitando-se assim, a formação de resíduos de
custos não apropriáveis aos produtos. A figura 5 ilustra este método de
rateio.
Figura 5 - Método de rateio sequencial ou gradativo
Fonte: Adaptado de Souza e Clemente (2007)
Já, o método de rateio duplo ou recíproco, considerado um
aprimoramento no processo de apropriação dos custos dos centros
auxiliares e administrativos, em relação aos métodos anteriores, permite
a alocação recíproca entre os centros de custos, independente da
sequência com que os rateios sejam realizados. Portanto, permite que os
centros de custos auxiliares e administrativos sejam rateados ao mesmo
tempo que se encontram em condições de receber quaisquer rateios de
outras unidade, mesmo após já terem distribuído custos aos demais
centros de custos. Matos (2002) ressalta que, embora os softwares
possibilitem cálculos sistemáticos e contínuos, os resíduos de custos
(valores irrelevantes) dos centros de custos auxiliares e administrativos
Centros
Produtivos
Centros
Administrativos
Centros
Auxiliares
62
devam utilizar o rateio simples ou o seqüencial. Isto permite o
encerramento do ciclo de rateio e a alocação de todos os custos para os
centros produtivos. Assim, para o referido autor este método permite a
obtenção de parâmetros de custeio dos bens ou serviços de forma mais
precisa. A figura 6 ilustra este método de rateio.
Figura 6 - Método duplo ou recíproco
Fonte: Adaptado de Souza e Clemente (2007)
A figura 7 apresenta a matriz de custos que representa o RKW.
Inicialmente, listam-se todos os itens de custos da empresa no período
determinado, geralmente um mês, seguido do seu valor no período.
Definem-se as bases de rateio, ou bases de distribuição, que devem
representar o consumo dos itens de custos e despesas pelos centros de
custos administrativos, auxiliares e produtivos. Obtidos os custos de
cada centro, procede-se ao rateio de acordo com o método escolhido
(rateio simples ou direto; rateio sequencial ou gradativo; rateio duplo ou
recíproco). No final, obtém-se os custos dos departamentos produtivos.
Centros
Produtivos
Centros
Administrativos
Centros
Auxiliares
63
Figura 7 - Matriz de custos
Fonte: Adaptado de Bornia (2009)
Esta citação de Falk (2001, p. 56) resume a maneira como os
centros se comportam quando recebem custos de outros centros:
nem sempre o centro de custo que recebe a
despesa alocada esta satisfeito com seu custo,
especialmente se esta tentando controlar seus
gastos diretos e os gastos dos outros centros que
recebe indiretamente continua a crescer
indiscriminadamente. Na mente do responsável,
vem sempre a pergunta: “porque meu centro de
custo vai arcar com o aumento dos custos totais,
quando não tive nenhum controle sobre estes
gastos”. Esse aumento nos custos indiretos,
inclusive pode acontecer, dependendo da
metodologia adotada, por motivos muito simples e
enganadores. Caso uma clínica ou alguns leitos
forem fechados, temporariamente, por exemplo, o
custo médio rateado para os demais centros de
produção seria maior pela razão de diminuição da
base de rateio, o custo do serviço de apoio
permanecendo o mesmo. Outro centro de custos
como a UTI, por exemplo, poderia decidir em usar
lençóis descartáveis em vez de mandar a roupa
para a lavanderia. O custo da lavanderia não seria
afetado muito pela mudança, mas agora a
diferença teria que ser rateada aos demais centros
de produção que utilizam lençóis reaproveitáveis.
A mudança nos custos de fato não ocorreu no
centro de custo lavanderia, mas por uma mudança
Itens de
Custos
Valor
Bases
de
Rateio
Centros de Custos
Centros
administrativos
Centros
auxiliares
Centros
produtivos
64
de política de utilização de descartáveis pelo
centro de custo UTI. Um sistema de custos precisa
ser consciente desse tipo de mudanças e não
responsabilizar os centros de custos beneficiados
pelos custos indiretos alocados.
Considerado o método mais utilizado e mais viável à realidade
dos hospitais, o RKW propicia as informações de quanto foi despendido
e quais centros de custos são os responsáveis pelos gastos do hospital.
Porém, na determinação dos custos dos bens ou serviços e,
principalmente, na localização das perdas para o processo de melhoria, o
método deixa a desejar, pois não trabalha com atividades e, então, é
difícil a diferenciação entre custos e perdas nos vários centros de custos.
Assim sendo, certa dificuldade no uso deste método para o apoio ao
melhoramento constante do processo produtivo.
Rocha (2004) concorda com o exposto ao dizer que o método de
centro de custos pode trazer à organização uma visão de como os
recursos se espalham nos diversos departamentos da organização,
porém, não permite a identificação das atividades que não agregam
valor aos bens ou serviços.
Muitos autores confundem o RKW com o princípio do custeio
por absorção integral, pois normalmente o RKW é utilizado com a
concepção de apropriação integral dos custos aos objetos custeados
(ROCHA, 2004). Porém, cita Martins E. (2003) que o RKW também
considera as despesas nos custos dos produtos, ou seja, a análise de
custos deve estender-se às despesas de estrutura (administrativas,
comerciais e financeiras) visto que, em muitas empresas, tais despesas
ultrapassam 20% do faturamento e a não alocação de tais despesas aos
produtos, embora requerida pela contabilidade financeira, é inadequada
para medir os custos dos produtos.
2.2.2.2 Custeio baseado em atividades
Seu surgimento, segundo Nakagawa (1994), é devido à aquisição
de novas tecnologias e metodologias nas empresas que aumentaram
assim, consideravelmente, os gastos considerados indiretos.
Concorda com o referido autor, Ching (1997) que diz que o perfil
dos custos nas empresas se alterou nas últimas décadas, sendo essa
alteração mais visível nos custos indiretos, inovações tecnológicas e
metodologias.
65
Estes custos indiretos, segundo Nakawaga (1994), Brimsom
(1996), Ching (1997), Kaplan e Cooper (1998), Silvestre (2002), dentre
vários outros autores, apresentam vários problemas para sua alocação
aos diferentes produtos em razão de sua complexidade quanto aos
critérios adotados. Esses critérios variam de empresa para empresa
devido à subjetividade na alocação desse tipo de custo.
Como os custos indiretos necessitam de rateios para serem
atribuídos aos bens ou serviços, e estes rateios contêm em maior ou
menor grau a subjetividade, o custeio baseado em atividades (ABC)
auxilia na redução dessa subjetividade aos alocar os custos.
Este método baseia-se na premissa de que as atividades
consomem recursos, gerando bens ou serviços, e os bens ou serviços
utilizam as atividades, absorvendo seus custos. Logo, para apurar com
maior precisão os custos dos bens ou serviços e, assim, possibilitar um
cálculo com maior precisão em seus preços de venda; determinar a
eficiência e a eficácia das atividades executadas; identificar novas
atividades, com a finalidade de melhorar o desempenho da empresa no
futuro; detectar as atividades que estão onerando o bem ou serviço;
determinar quais as atividades que podem ser executadas por terceiros
com menor custo e maior eficiência, é necessário conhecer e calcular as
atividades, que são os atores principais deste método.
Para Ching (1997) a atividade é caracterizada pelo consumo de
recursos para produzir uma saída.
Assim, o custo não deve ser atribuído diretamente ao
bem/serviço, mas sim, deve considerar as atividades que se tornam
necessárias e o custo de cada atividade então fluirá ao bem/serviço que
torna a atividade necessária baseado sobre o respectivo consumo da
mesma.
Os recursos são alocados às atividades através dos chamados
direcionadores de recursos, que representam a quantidade de um recurso
para a realização de uma atividade.
As atividades são alocadas aos bens ou serviços através dos
direcionadores de atividades, que representam quanto de uma atividade
destina-se a um bem ou serviço.
Na verdade, tanto os direcionadores de recursos quanto os de
atividades, que podem ser chamados de direcionadores de custos, m
conceito análogo às bases de rateio do método RKW.
Ressalta-se, porém que, apesar da literatura abordar este método
como o melhor para o atual ambiente competitivo, Cogan (1997, p. 153)
diz que:
66
determinar o custo real ainda é algo longe da
realidade, pois existem despesas impossíveis de
serem determinadas economicamente, utilizando
técnicas, instrumentos e ferramentas disponíveis
hoje pelo conhecimento humano. Possivelmente
algum dia, no futuro não muito longínquo, o
homem disporá de tais ferramentas que permitirão
determinar essas despesas por produto, com total
precisão e por meio de medições fáceis e de baixo
custo.
Portanto, segundo a figura 4, este método é constituído de
recursos, atividades e dos objetos de custos. Os recursos são
representados pelas despesas que impactam o dia a dia da empresa e são
alocados para as atividades através dos direcionadores de recursos e
desses, distribuídos aos objetos de custo (bens ou serviços), através dos
direcionadores de atividades.
Várias pesquisas (BAUMGARTNER, 1998; PATTIO, 2001,
ABBAS, 2001; VARGAS, 2002; RAIMUNDINI et al., 2006;
SCHULTZ, 2007; SOUZA et al., 2008) o apresentam como o método
mais adequado a ser utilizado em hospitais para fins de gestão e tomada
de decisão.
Para Miranda et al. (2007) a aplicação do ABC no ambiente
hospitalar tem merecido a atenção de diversos pesquisadores. Em uma
pesquisa feita pelo referido autor na Plataforma Lattes, no mês de agosto
de 2006, foram encontradas 130 publicações de trabalhos envolvendo o
Custeio ABC e o ambiente hospitalar, todos eles realizados de 1996 a
2006.
Dizem ainda os referidos autores que a evolução da pesquisa
sobre o Custeio ABC, no ambiente hospitalar, constitui um forte
sinalizador de aplicabilidade desta metodologia para apuração dos
custos hospitalares (MIRANDA et al., 2007).
Contrariando os autores, porém, apesar do grande número de
pesquisas envolvendo o ABC no ambiente hospitalar, empiricamente
averigua-se que os hospitais brasileiros utilizam o RKW. O método é de
valia para algumas áreas que desejam melhorar seu processo ou como
cada atividade contribui para a melhoria de determinado procedimento
médico.
67
Figura 8 - Modelo ABC
Fonte: Adaptado de Cogan (1997)
Abbas (2001) apresenta alguns exemplos de hospitais que
implantaram o ABC como o Providence Portland Hospital Medical
Center em Portland Estados Unidos da América; o MidPeninsula
HomeCare and Hospice em Silicon Valley Califórnia; o Baintree
Hospital em Boston Estados Unidos da América; e aqui no Brasil, o
Hospital João XXIII em Belo Horizonte Minas Gerais.
1
2
3
4
5
6
7
n
1
Atividade
2
Atividade
n
3
Atividade
P
n
RECURSOS
DIRECIONADORES
DE RECURSOS
ATIVIDADES
DIRECIONADOR DE
ATIVIDADES
OBJETOS DE
CUSTEIO
P
2
P
1
68
Não há, porém, na literatura, informações quanto aos resultados
das implantações nestes hospitais.
2.2.3 Sistema para Acumulação de Custos
Bornia (2009) cita que uma forma de classificar os sistemas
produtivos é considerando seu tipo de produção que está relacionado
com o grau de semelhança entre os produtos gerados.
Segundo Perez Junior, Oliveira e Costa (2009) a contabilidade de
custos tem como ponto de partida que o sistema de custos utilizado em
uma empresa seja coerente com o sistema de produção de bens ou
serviços. Existem duas formas de direcionar a sua linha de produção:
produção contínua ou por processos;
produção por encomenda.
O quadro 4 apresenta as características e definição dos dois tipos
de sistema de produção, baseado em Perez Junior., Oliveira e Costa
(2009), Santos (2009), Martins (2003) e Bornia (2009).
SISTEMAS DE PRODUÇÃO
PRODUÇÃO POR PROCESSOS
PRODUÇÃO POR ENCOMENDA
Caracterizada pela produção rotineira de
produtos similares, utilizando fatores de
produção que não se alteram facilmente a
curto ou médio prazo.
O produto flui sem interrupção do processo.
Para obter o custo do produto, basta dividir
os custos totais e as quantidades produzidas.
Os custos são alocados ao processo para
depois serem distribuídos aos produtos.
Caracterizada pela fabricação ou realização
específica de produtos ou serviços
diferenciados, podendo usar fatores de
produção que se alteram de acordo com as
especificações do produto ou serviço
encomendado.
Normalmente a empresa não tem produtos
definidos e o processo está organizado por
departamentos funcionais.
No sistema de produção por encomenda são
abertas ordens de produção ou ordens de
serviço onde os custos são acumulados.
Quadro 4 - Características dos sistemas de acumulação de custos
Fonte: Elaborado pelo autor
69
Matos (2002, p.186) revela que o sistema de produção por
encomenda é o mais adequado para a apuração do custo dos
procedimentos hospitalares e cita o seguinte exemplo para explicar a
afirmação:
enquanto um serviço de radiologia ou uma
unidade de internação geram custos médios
unitários, representados por unidades uniformes
de produção, cada paciente poderá requerer uma
combinação de insumos específica e, portanto, a
lógica indicaria não um custo médio unitário por
paciente, e sim um valor de custeio adequado para
cada cesta de serviços requisitados para cada caso.
Podem ser encontrados na mesma empresa os dois tipos de
sistemas de acumulação de custos. Assim, em um hospital, o custeio por
processos está relacionado com o custo por centro de custos e o custeio
por encomenda esta relacionado com o custeio por procedimentos
hospitalares. A figura 9 ilustra essa afirmação.
Figura 9 - Custeio por processo e custeio por encomenda
Fonte: Matos (2002. p. 187)
CUSTEIO POR
PROCESSO
CENTRO DE CUSTO
(Unidade de Internação,
Centro Cirúrgico, Laboratório,
Farmácia)
CUSTEIO POR
ENCOMENDA
PROCEDIMENTO
HOSPITALAR
(CUSTO DO PACIENTE)
70
2.2.3.1 Custo por procedimento
Conforme demonstrado na figura 10, o custo por procedimento é
a somatória dos itens incorridos no processo de produção mais a
utilização dos referidos insumos (materiais e medicamentos)
consumidos no tratamento dos pacientes. Pode-se dizer, em outras
palavras, que o custo do procedimento é o custo do paciente, ou seja,
todo o consumo de insumos é registrado na conta do paciente e a
respectiva conta refere-se a pessoa (paciente) e a determinado
procedimento (que é o que levou o paciente a ser atendido no hospital).
Ressalta-se que em uma conta podem ser acumulados vários
procedimentos.
Com isso fica evidente o sistema de acumulação chamado custeio
por encomenda onde cada paciente atendido recebe um número,
podendo ser chamado de “registro do paciente” e, depois de aberta essa
“ordem de produção”, todos os lançamentos são feitos nessa ordem
como, por exemplo, uma diária, uma hora-cirúrgica, um exame de raio-x
e a incidência de materiais e medicamentos consumidos por cada
paciente atendido.
Martins D. (2000, p. 38), referindo-se ao assunto, diz que
na determinação do custo por ordem de produção
médica, no qual materiais médicos,
medicamentos, taxas, salários, encargos sociais,
benefícios, gêneros alimentícios, energia elétrica,
água, telefone etc. são atribuídos de forma direta
ou por meio de rateios. O custo de cada ordem de
produção médica deve ser registrado em folhas de
custos por ordem de produção médica. Várias
ordens de produção médica ocorrem no hospital
ao mesmo tempo. Cada uma recebe um número
chamado registro do paciente, o qual é colocado
em cada requisição de material médico,
medicamento, exames, taxas de sala, etc.
Falk (2001, p. 81), complementa o assunto ao dizer que:
uma saída pode ser um serviço particular (teste
laboratorial), ou um grupo de serviços fornecidos
a um paciente durante um período específico de
tempo, tal como uma visita ambulatorial, uma
diária, ou a estadia total do paciente na instituição
em termos de sua enfermidade. Uma vez definida
a saída, seu custo total pode ser determinado pelo
71
registro das despesas diretas mantido pelo
faturamento e contabilidade, mais uma parcela
justa das despesas indiretas cabíveis. A alocação
das despesas diretas à saída de um centro de
custos produtores de renda depende do sistema de
informação implementado.
Figura 10 - Custo por procedimento
Fonte: Matos (2002, p. 188)
CENTRO DE CUSTO
CUSTO DO PROCEDIMENTO HOSPITALAR
PACIENTE A
PACIENTE B
Custo Médio Unitário
3
diárias
270,00
Unidade
de
Internação
= 90,00
Laboratório
de Análises
Clínicas
= 4,00
Radiologia
= 12,00
Farmácia
= 3,50
4
diárias
360,00
+
4
exames
16,00
5
exames
20,00
+
2
exames
24,00
1
exame
12,00
+
7 medi-
camentos
24,50
12 medi-
camentos
42,00
+
+
+
=
=
TOTAL
334,50
TOTAL
434,00
Custeio por encomenda ou por ordem de serviço
Custeio por processo
72
Quanto ao produto final (output) de um hospital, Neumann
(1998) enfatiza que não é um exame de laboratório, uma diária
hospitalar ou uma refeição servida, mas sim, é um paciente (curado ou
mais saudável), que no hospital recebeu os serviços durante sua
permanência.
Para Matos (2001, p. 181):
o custeio de procedimentos hospitalares significa
a constituição do custo sob a unidade do
“paciente” e compreende, portanto, todos os
insumos utilizados no fluxo percorrido pelo
paciente, ao longo das unidades funcionais de
prestação de serviço sob a segmentação de centro
de custos, trata-se apenas de um processo (produto
intermediário) e não a expressão de custeio do
tratamento prestado ao paciente que, sob a
fundamentação conceitual de contabilização de
custo, poderia ser entendido como o “custo de um
produto final”.
A apuração do custo por procedimento hospitalares pode ser
aplicado sob diferentes parâmetros de referência, dentro da mesma
fundamentação metodológica. As possibilidades de apuração do custo
por procedimento citado por Matos (2002) são: custo individualizado
por paciente, custo médio de procedimentos hospitalares, custo do
procedimento baseado em protocolo de atendimento e a adoção do custo
por procedimento padrão.
O custo por procedimento individualizado por paciente trata de
todas as incidências ocorridas especificadamente por determinado
paciente. A adoção dessa forma de apuração do custo por procedimento
exige um sistemático processo de coleta de informações estatísticas bem
como todos os insumos utilizados (MATOS, 2002).
O custo médio de procedimentos hospitalares é obtido através da
coleta de amostras aleatórias de determinados procedimentos sendo que
as condições permitam um grau de representatividade adequado. Não é
indicado para os tipos de procedimentos com muita heterogeneidade e
sim os que tenham incidências parecidas, com um nível homogêneo de
condutas médicas (MATOS, 2002).
Já, o custo por procedimento baseado em protocolos de
atendimento baseia-se em parâmetros fundamentados pela conduta
médica adequada para o tratamento do paciente. Neste caso, também
73
deve ser considerado a homogeneidade dos procedimentos (MATOS,
2002).
E, por fim, o custo por procedimento padrão combina o
estabelecimento de parâmetros padrões das unidades físicas (quantidade
de diárias, horas de utilização de sala cirúrgica, número de exames,
quantidade de materiais e medicamentos, dentre outros) e o
correspondente custo incidente da apuração do procedimento, ou seja, é
estabelecido padrão de quantidades e valores unitários dentro de certa
capacidade de utilização. Consiste numa referência de desempenho a ser
atingido (MATOS, 2002).
2.3 TRABALHOS CORRELATOS
Muitas das pesquisas e debates sobre custos têm se concentrado
na aplicação dos métodos de custeio, sem, porém, dar a devida
importância à utilização do método para gerar dados que apurem os
resultados de todos os procedimentos médicos hospitalares realizados no
hospital para tomada de decisão. Além disso, a maioria das pesquisas
estão mais focadas no custeio baseado em atividades, demonstrando em
aplicações restritas à uma unidade hospitalar, ser o método mais
adequado para fins de gestão e tomada de decisão.
A seguir estão elencados alguns destes trabalhos com a respectiva
crítica.
2.3.1 Avaliação da Aplicabilidade do Custeio ABC Activity Based
Costing na Acurácia de Custos na Área Hospitalar, Especificamente
na Unidade de Terapia Intensiva (BAUMGARTNER, 1998)
O autor defendeu a utilização do método de custeio ABC
enfatizando que o RKW é ainda utilizado pois o único interesse dos
hospitais é conhecer a estrutura de custos para poder negociar, mesmo
que de uma forma simplista, seus preços com os tomadores de serviços.
Para tanto, inicialmente, pesquisou seis hospitais quanto à sua
estrutura organizacional, sistemas de custos e disponibilidade de
informações. São eles:
a) Hospital das Clínicas da UNICAMP Campinas São Paulo;
b) Hospital Universitário São Francisco Bragança Paulista SP;
c) Hospital Santa Paula São Paulo o Paulo;
74
d) Hospital da UNIMED Piracicaba São Paulo;
e) Hospital da Beneficência Portuguesa Salvador Bahia; e
f) Hospital Cardio Pulmonar Salvador Bahia.
Dentre estes hospitais foi verificado que todos possuíam uma
estrutura de custos em funcionamento, alguns com o sistema RKW em
fase de implantação, e outros, como o sistema RKW em funcionamento
há quase um ano.
No Hospital das Clínicas da UNICAMP, por ter possibilitado
maior abertura para o levantamento dos dados, dentre outros, o autor
desenvolveu um caso prático apurando o custo do paciente-dia da UTI
de um hospital de emergência o Hospital das Clínicas da UNICAMP
em Campinas no estado de São Paulo tanto pelo método RKW quanto
pelo ABC.
Porém, o referido autor não analisa o impacto dessa avaliação no
resultado da conta do paciente, apenas aplica os dois métodos para o
cálculo do paciente-dia.
Ressalta-se que todos os hospitais pesquisados pelo autor utilizam
o RKW, visto que, o tempo de implantação do ABC é relativamente
longo em se tratando de todo o hospital, o que pode desestimular a
continuidade da sua implantação.
2.3.2 Gestão de Custos em Organizações Hospitalares (ABBAS,
2001)
A autora defendeu em sua dissertação a utilização do método
ABC e selecionou sete hospitais da cidade de Florianópolis em Santa
Catarina e três hospitais de Maringá no Paraná para verificar, dentre
outros:
a) informações quanto à apropriação dos custos indiretos aos
departamentos e a forma de determinar o custo paciente-dia;
b) informações sobre os tipos de relatórios elaborados, seus usuários e
o posicionamento da administração em relação a esses relatórios;
c) o relato do sistema implantado com vistas ao controle e à política de
redução de custos;
d) a utilização dos sistemas de custos como base das principais
decisões tomadas pela administração quanto à fixação dos preços
dos serviços e também em relação à contratação de serviços de
terceiros;
75
e) se os dirigentes hospitalares conhecem ou ouviram falar sobre
esta metodologia de determinação de custos baseada nas atividades
que compõem os procedimentos médicos.
Com base nos questionários Abbas (2001), constatou-se que
muitas destas organizações utilizam o Sistema por Centros de Custos,
rateando os custos indiretos com base na mão-de-obra direta ou no
material direto.
Além da aplicação do questionário, a autora utilizou o método
ABC para o cálculo do quilograma da roupa lavada do Setor de
Processamento de Roupas de um hospital de ensino - o Hospital
Universitário da Universidade Federal Santa Catarina em Florianópolis
no estado de Santa Catarina.
A problemática do trabalho aborda o crescimento dos gastos na
área de saúde e as limitações impostas pelos tomadores de serviços,
além de possibilitar, através da aplicação do questionário, possível
verificar a estrutura e o mecanismo dos sistemas de custos utilizados de
hospitais de Florianópolis SC e de Maringá PR.
Porém, a aplicação do ABC, a autora escolheu o Setor de
Processamento de Roupas de um Hospital que tem a característica de
uma indústria. É inviável a adoção do método para o hospital todo, visto
ser uma organização muito complexa.
2.3.3 O custeio Baseado em Atividades Aplicado em Serviços de UTI
Hospitalar (VARGAS, 2002)
O autor aplicou o método de custeio ABC em três procedimentos
específicos de internação na UTI do hospital filantrópico Santa Rita de
Cássia localizado em Vitória no Espírito Santo - colecistectomia,
revascularização do miocárdio e endardectomia - defendo sua utilização
a todos os setores do hospital.
Para tanto, foi necessário identificar, descrever e analisar as
atividades, sub-atividades, funções e processos envolvidos no
funcionamento da UTI.
Cita Vargas (2002, p. 125) que “na condução dos trabalhos foram
levantadas 113 sub-atividades que constituíram a base para a
composição das 15 atividades estudadas” o que comprova a
complexidade do método, ou seja, se para apenas três procedimentos
76
foram levantadas 113 sub-atividades, para o hospital todo este número
seria muito maior.
O hospital pesquisado apura seus custos através do RKW o que
possibilitou também ao autor a comparação dos resultados obtidos pelo
ABC com o RKW.
De fato o ABC proporciona informações precisas como a
literatura defende. É um instrumento gerencial oportuno em algumas
áreas de hospital, porém a adoção do método para o hospital todo, como
defende o autor, é muito complexa, envolveria muitos recursos. O
levantamento de todas as sub-atividades do hospital seria inviável
também sob o ponto de visto financeiro.
2.3.4 Desenvolvimento de um Modelo de Resultados em Serviços
Hospitalares com Base na Comparação entre Receitas e Custos das
Atividades Associadas aos Serviços (MARTINS, V., 2002)
Em seu trabalho, o autor propõe a construção de um modelo de
gestão de resultados para serviços hospitalares. Esse modelo apoiou-se
na gestão de processos, tendo o método de custeio ABC para custear as
atividades e os objetos de custos.
A proposta era de aplicar num hospital como um todo e analisar o
resultado de todas as áreas produtivas. Porém, a aplicação foi feita
apenas no setor de hemodinâmica. Além disso, foi utilizado o ABC
(complexo para ser aplicado integralmente em um hospital).
2.3.5 Dificuldades na Implantação de Sistemas de Custeio em
Instituições Hospitalares: Estudo de Caso em um Hospital de
Florianópolis (ROCHA, 2004)
Rocha (2004) identificou a possibilidade de aplicação dos
princípios e métodos de custeio adaptados às organizações hospitalares e
descreveu as dificuldades encontradas na implantação de tais sistemas
de custos: falta de escopo do projeto; falta de participação da direção;
utilização de pesquisadores; resistência cultural; falta de conhecimento
para usar as informações; divisão funcional arraigada e sem visão de
processo; necessidade de uso de um software e necessidade de
treinamento.
A autora ressaltou que:
77
as dificuldades em se implantar um sistema de
custos em hospitais não são diferentes de outras
instituições, elas esbarram nos mesmos
problemas, apenas algumas valorizam mais uma
dificuldade que outras pelas características
particulares de cada ramo de atuação.
Em um hospital filantrópico de Florianópolis em Santa Catarina,
não identificado, Rocha (2004) concluiu que este teve a implantação do
método RKW interrompida por problemas de resistência cultural, falta
de formação dos gestores na área para saberem lidar com as
informações, desinteresse da área médica em auxiliar no trabalho, pois
para eles não haveria qualquer mudança visto que eram apenas
credenciados.
Para a autora, caso a implantação fosse do método ABC, pela
complexidade ainda maior, seria ainda mais difícil de mantê-lo.
Nas palavras e Rocha (2004, p. 106):
quanto ao objetivo de identificar o método que
traria mais benefícios ao setor, percebe-se que
muitos trabalhos têm surgido com a discussão da
implantação do método de custeio baseado em
atividades nas organizações hospitalares e de
saúde em geral, porém é importante fazer algumas
ponderações quanto a estas situações uma vez que
na prática nem sempre é possível que o método
seja implantado e mantido. A maioria destes
trabalhos identifica o método ABC como sendo o
único capaz de dar informações confiáveis aos
gestores e que os demais métodos estão
ultrapassados e não atendem as necessidades da
organização. O método ABC tem sido um método
que possibilita uma visão do processo que facilita
imensamente os gestores em avaliar o consumo
dos recursos, porém as características do setor
hospitalares tornam as dificuldades de
implantação e manutenção ainda mais trabalhosas
e custosas.
A pesquisa da autora identifica as dificuldades na aplicação dos
sistemas, e enfatiza a impossibilidade da aplicação do ABC devido às
próprias características do setor hospitalar. Para Rocha (2004) o RKW,
se utilizado com critérios de rateio escolhidos de forma criteriosa, são
78
mais eficientes para os hospitais. Faltou apenas no trabalho de Rocha
informação quanto à efetiva utilização dos custos nas análises do
resultado financeiro do hospital auxiliando a administração na tomada
de decisão.
2.3.6 Como são Apurados os Custos dos Procedimentos Médicos: o
Caso do IMIP - Instituto Materno Infantil de Pernambuco
(SOUZA, 2004)
Inicialmente Souza (2004) ressalta que o segmento hospitalar,
tardiamente, descobriu a utilidade do uso de custos como ferramenta
para decisões e justifica que a complexidade das instituições de saúde
tem sido a causa do atraso tão elevado na apuração de custos com
finalidades gerenciais.
O autor realizou um estudo comparativo no IMIP Instituto
Materno Infantil de Pernambuco, hospital filantrópico tido como Centro
de Referência Nacional para a Assistência Materno-Infantil do
Ministério da Saúde e credenciado como Hospital de Ensino pelo
Ministério da Educação. Foi o primeiro Hospital do Brasil a receber o
diploma de “Hospital Amigo da Criança”, outorgado pela
OMS/UNICEF/MS.
O referido hospital apura seus custos por centro de custos (RKW)
e também o custo de alguns procedimentos apenas com o intuito de
verificar se os valores recebidos do SUS - Sistema Único de Saúde, pelo
FIDEPS - Fundo de Incentivo ao Desenvolvimento de Ensino e Pesquisa
e por outras fontes superam os custos atribuídos a estes procedimentos.
Souza (2004) constatou que a metodologia utilizada pelo hospital
na apuração dos custos por centro de custos, é coerente com o modelo
preconizado pela literatura, porém, levantou alguns problemas
observados durante a condução da pesquisa:
a) o número de pessoas envolvidas na apuração dos custos é muito
reduzido;
b) a contabilidade adota o sistema de custo médio para avaliação dos
materiais médicos, porém o setor de compras avalia seus inventários
pelo UEPS (último que entra é o primeiro que sai). Com isso se
um choque entre os valores apurados nas planilhas por centro de
custos e o que se poderia obter caso se utilizasse os dados da
contabilidade e não do setor de compras;
79
c) o valor da mão-de-obra direta (médicos) ou é alocado aos
procedimentos pelo valor atribuído pelo SUS ao tipo de cirurgia que
se está analisando, ou utiliza-se o valor pago à cooperativa
dividindo-se este total pelo número de cirurgias ocorridas no
período. Não há uma apuração por horas gastas em cada cirurgia, de
maneira que se possa calcular sobre os rendimentos do médico, qual
é a parte direta e qual a indireta ou fixa;
d) em relação às horas gastas em cada cirurgia, percebeu-se que não se
coleta esta medida no RKW, seja porque não existe medidor
conveniente, seja porque envolve o choque de cultura entre os
médicos e o pessoal de controle, característica já detectada por
diversos autores e que dificulta a obtenção de dados mais confiáveis
para apuração dos custos por procedimentos, embora não interfiram
na apuração do custo por centro de custos;
e) os custos fixos são alocados de acordo com o volume de
ocorrências, considerada uma forma base de rateio antiga que
conduz a resultados arbitrários;
f) o custo de enfermaria inclui somente o custo dos hospitais gerais de
pediatria 1 e 2, não incluindo a UTI pediátrica, mesmo existindo
diversos procedimentos em que os pacientes precisam passar longas
horas neste local;
g) os custos fixos denominados “outros custos indiretos” utilizam uma
forma de apropriação que não encontra menção em nenhuma obra
pesquisada, tendo em vista utilizar uma relação percentual entre os
custos fixos e os custos diretos alocados a algum procedimento;
h) não existe encontro de contas entre o setor que apura os custos -
Departamento de Qualidade e Análise Institucional com a
contabilidade. Isto possibilita a ocorrência de inconsistências entre
os valores apurados, obtidos junto às áreas e os efetivamente
contabilizados pela instituição.
Quanto o critério de apuração de custo por procedimento Souza
concluiu que existem diferenças significativas de metodologia, entre a
forma de apuração utilizada pelo hospital e o que preconizam os
estudiosos sobre o assunto.
Verificou-se que o hospital apura somente os custos de alguns
procedimentos médicos, os de maior incidência na área cirúrgica. Esse
levantamento é esporádico e, objetiva identificar se esses procedimentos
analisados possuem receita superior ao custo apurado.
Conclui-se que o autor calcula os custos pelo RKW e também
ressalta a importância da elaboração dos custos por procedimento,
80
porém, não cita a importância de incorrer na análise da margem de
contribuição e na análise custo-volume-lucro.
2.3.7 Aplicabilidade do Custeio Baseado em Atividades e Análise de
Custos em Hospitais Públicos (RAIMUNDINI et al. 2006)
Os autores aplicaram o ABC no setor de Ginecologia e
Obstetrícia em dois hospitais públicos - o Hospital Universitário
Regional de Maringá (HUM) localizado em Maringá no estado do
Paraná e o Hospital Universitário Clemente Faria (HUCF) em Montes
Claros no estado de Minas Gerais - com o objetivo de obter os custos
dos procedimentos de parto normal e cesárea e verificar se este é inferior
ou não aos repasses feitos pelo SUS. Também é apresentada a margem
de contribuição de cada procedimento de parto nos dois hospitais.
Os autores defendem o ABC como uma ferramenta de gestão
financeira para hospitais públicos. Nas palavras de Raimundini et al.
(2006, p. 464):
o sistema ABC possibilita o mapeamento dos
processos e dos subprocessos, inclusive com as
atividades realizadas no decorrer de todo o
procedimento. Esse mapeamento permite que a
administração exerça maiores acompanhamento,
controle e análise dos resultados e dos recursos
disponíveis. Além disso, quanto à atividade, o
sistema ABC possibilita identificar seu grau de
aproveitamento em relação à sua capacidade e
apontar as prováveis causas de a atividade estar
subutilizada.
O ABC é aplicável, recomendável e apresenta benefícios para
algumas áreas de um hospital. Neste caso, os autores necessitavam de
uma informação mais acurada para verificar se o SUS repassa aos
hospitais elencados um valor inferior ou não ao custo dos procedimentos
parto normal e cesárea.
Os referidos autores não deixam claro no artigo o motivo da
escolha da aplicação no setor de Ginecologia e Obstetrícia. O ABC pode
apresentar sim, conforme dizem os autores, informações úteis e
confiáveis à administração financeira, porém, ressalta-se novamente a
impossibilidade da utilização da referida ferramenta no hospital como
um todo, devido à sua complexidade. Portanto, pode e deve ser aplicado
81
em setores que necessitam de uma informação mais acurada para a
tomada de decisão.
2.3.8 Mensuração dos Custos de Procedimentos Médicos em
Organizações Hospitalares: Sistematização de um Método de
Custeio Híbrido à Luz do ABC e da UEP (Silva, 2006)
A referida autora, sugere a aplicação conjunta das metodologias
de custeio ABC e UEP. No decorrer da dissertação é citada as
dificuldades que os hospitais passam no processo de gerenciamento das
suas atividades, considerando a complexidade e as restrições financeira,
humanas e tecnológicas.
A aplicação foi feita no hospital universitário da UFSC com o
propósito de determinar o custo dos procedimentos médicos
relacionados ao evento “parto” no setor de obstetrícia. Na aplicação
notou-se que devido as variações que ocorrem no processo de
atendimento do paciente o evento parto pode apresentar algumas
diferenças entre uma paciente e outra. Também foi apresentado o
cálculo do custo desse procedimento sendo que a pesquisa estabelece
um valor numérico como Medida de Esforço da Atividade MEA.
Neste caso foram subdivididos em oito procedimentos distintos.
A autora expõe que o método híbrido utilizado tem críticas e
contraposições às estas críticas quanto a utilização do UEP no segmento
de serviços, onde ela justifica a viabilidade da sua aplicação. Porém, nas
limitações fica claro que a utilização restrita apenas um evento não
garante a possibilidade de aplicação aos demais eventos realizados no
hospital e sugere que para comprovação o estudo envolva maior número
de eventos. Além disso, o mapeamento das atividades envolvendo
muitos eventos na área hospitalar acaba sendo inviável.
2.3.9 Gestão dos Custos de Serviços Públicos de Alta Complexidade
Hospitalar (SCHULTZ, 2007)
A aplicação do trabalho de Schultz (2007), ocorreu no serviço de
hemodinâmica de um hospital que desempenha funções de ensino e de
saúde, prestando serviços totalmente públicos e gratuitos para a
sociedade - Hospital Professor Polydoro Ernani de São Thiago mais
82
conhecido como Hospital Universitário da Universidade Federal de
Santa Catarina localizado em Florianópolis Santa Catarina.
O hospital possui o RKW, porém em virtude da não existência de
depreciação de ativos de empresas públicas e dos altos custos de
aquisição e de manutenção do equipamento, Schultz (2007) definiu
como objeto de estudo a depreciação dos equipamentos de alta
complexidade.
Durante a pesquisa, porém verificou-se a existência de outros
fatores de custos envolvidos no serviço de hemodinâmica, além dos
custos de depreciação e manutenção.
Assim, o autor fez visitas ao setor da hemodinâmica para o
acompanhamento das rotinas e procedimentos onde foram anotados
dados sobre consumo de materiais e observações sobre diversos
aspectos.
Além disso, foram coletados dados físicos e documentais,
realizadas observações e entrevistas, nos setores de: custos, faturamento,
manutenção, engenharia, farmácia, licitação, empenho, compras,
almoxarifado, materiais, departamento de pessoal, patrimônio, direção,
economia, estatística, cardiologia e esterilização do próprio HU; e
análise dos dados quantitativos.
Com esses apontamentos e também com alguns dados
utilizados no HU pelo setor de custos onde é feita a apuração pelo
RKW, Schultz (2007) calculou o custo dos procedimentos da
hemodinâmica e analisou que o resultado dos procedimentos é
desfavorável. Um dos principais motivos, segundo o autor é a baixa
utilização do serviço disponível (alto custo fixo e indireto).
Assim, no estudo é demonstrada a apuração do custo dos
procedimentos da hemodinâmica com sua respectiva análise por meio
das técnicas tais como: segregação dos custos em fixo e variável,
margem de contribuição, análise custo-volume-lucro e análise de
resultado dos procedimentos considerando a receita recebida pelo
serviço prestado e o custo apurado.
O trabalho do autor se restringiu ao serviço de hemodinâmica,
entretanto, houve uma recomendação de um estudo englobando o
hospital como um todo.
83
2.3.10 Modelagem do Custeio Baseado em Atividades para o Centro
Cirúrgico de Hospitais (SOUZA et al. 2008)
Os autores defenderam aplicação do custeio ABC enfatizando
que possibilita apurar os custos reais de cada serviço, eliminar
desperdícios e auxiliar na tomada de decisões, além de facilitar a
identificação de atividades que agregam valor. Enfatizou também que os
hospitais não conhecem os custos reais dos serviços prestados e
apresentou um modelo de aplicação do custeio baseado em atividades
para o setor de centro cirúrgico de três hospitais privados da cidade de
Belo Horizonte em Minas Gerais.
Os hospitais não foram identificados, sendo denominados no
artigo de Hospital I, Hospital II e Hospital III.
Os autores concluíram que os centros cirúrgicos dos Hospitais I,
II e III apresentaram as informações necessárias para a aplicação do
sistema ABC, porém, algumas melhorias são necessárias. As melhorias
citadas pelos referidos autores são:
a) no sistema de informação do Hospital III;
b) desenvolvimento e informatização dos mecanismos de controle
utilizados no Hospital I;
c) melhoria da infra-estrutura em equipamentos de informática nos
Hospitais I, II e III;
d) capacitação técnica dos funcionários responsáveis pela tomada de
decisão;
e) e desenvolvimento da cultura da organização a fim de facilitar e de
agilizar a implantação do ABC.
Muitos hospitais não conhecem realmente os seus custos, porém
ressalta-se novamente a inviabilidade do método para o hospital todo. É
possível sim, a aplicação em uma unidade, como o centro cirúrgico. O
ABC pode ser usado como um complemento ao RKW auxiliando na
obtenção de melhores informações de setores ou processos que se
identificarem mais problemáticos.
2.4 CONSIDERAÇÕES FINAIS
O quadro 5 sintetiza os métodos de custeio e o sistema de
acumulação de custos utilizados pelos referidos autores dos trabalhos
citados no item 2.3 (TRABALHOS CORRELATOS). Nota-se que a
84
aplicação do método de custeio e o sistema de acumulação de custo
empregados em cada trabalho apresentado têm a objetividade de
proporcionar o tipo de informação necessária para cada caso.
É possível interpretar que os trabalhos que tem o objetivo a
apuração do custo por procedimento médico hospitalar utilizam o
método RKW e o sistema de acumulação de custo por ordem ou
encomenda.
Autores
Método de Custeio
Sistema de Acumulação
de Custos
RKW
ABC
Processo
Ordem
Baumgartner (1998)
X
X
Abbas (2001)
X
X
Vargas (2002)
X
X
Martins, V. (2002)
X
Rocha (2004)
X
X
Souza (2004)
X
X
Raimundini et al. (2006)
X
X
Silva, (2006)
X
X
Schultz (2007)
X
X
Souza et al. (2008)
X
X
Quadro 5 - Métodos e sistemas de acumulação de custos
Fonte: Elaborado pelo autor
Os autores que defendem a utilização do método dos centros de
custos como Rocha (2004) e Schultz (2007), mostram a aplicação do
método sem, contudo, demonstrar a efetiva utilização dos custos nas
análises do resultado financeiro do hospital auxiliando a administração
na tomada de decisão. Suas aplicações se restringem a apenas alguns
procedimentos do hospital e não a todos.
Para Oliveira et al. (2007) o nível de apuração das informações de
custos também implica em resultados muito diversos no que diz respeito
à gestão dos hospitais.
85
Em muitas instituições hospitalares, os sistemas de custeio
implantados restringem-se à apuração dos custos setoriais, e em alguns
casos, atendem a análises de avaliação de resultado por área (BEULKE
e BERTÓ, 1997).
Porém, ainda que alguns hospitais estejam evoluídos em relação a
outros, uma etapa importante deixa de ser cumprida, que é a apuração do
custo dos procedimentos hospitalares, com a atribuição dos custos aos
serviços prestados.
Diante do exposto, é viável assim a utilização do RKW e o
sistema de acumulação de custos por ordem ou encomenda para
apuração dos resultados dos procedimentos hospitalares.
Com isso, esta dissertação pretende proporcionar condições
favoráveis para ser feita a apuração do custo de todos os procedimentos
hospitalares realizados e inferir na respectiva análise de resultados.
86
3 METODOLOGIA
Neste capítulo são apresentados, inicialmente, o tipo de
classificação da pesquisa, a unidade de estudo, a coleta de dados, os
procedimentos metodológicos e as limitações da pesquisa.
Em seguida, com base nesta metodologia, são definidas as etapas
necessárias para a obtenção do custo por procedimento médico
hospitalar com foco na melhoria dos resultados operacionais de
instituições de saúde. A definição das etapas teve como parâmetro
levantamento bibliográfico e as metodologias apresentadas por diversos
autores os quais serão citados no decorrer das respectivas etapas.
3.1 CLASSIFICAÇÃO
De acordo com Silva e Menezes (2001), do ponto de vista da sua
natureza, esta pesquisa pode ser classificada como aplicada. Objetiva
colher informações junto ao hospital selecionado, melhorar estas
informações e apresentar dados mais acurados para auxílio na tomada de
decisão dos gestores.
A pesquisa aplicada é realizada através coleta de dados
quantitativos do período de maio a agosto de 2009, obtidos no
departamento de controladoria do hospital. Após, a coleta os dados são
trabalhados com o intuito de obter o custo por procedimento. Ressalta-se
que o autor do trabalho está envolvido de modo participativo em todas
as etapas da implantação.
Quanto à classificação de Silva e Menezes (2001), do ponto de
vista da forma de abordagem do problema, esta pesquisa é quantitativa.
Ao apurar o custo dos centros de custos e dos procedimentos; ao apurar
a margem de contribuição dos procedimentos; ao verificar quais e
quantos procedimentos devem ser realizados; ao verificar quanto um
hospital precisa obter de receita por procedimentos para cobrir os seus
custos fixos; e ao verificar qual a quantidade mínima de procedimentos
a ser produzida e vendida por um hospital para que todos os seus custos
operacionais sejam ressarcidos, o autor estará incorrendo em uma
pesquisa quantitativa.
Ainda de acordo com a classificação de Silva e Menezes (2001),
quanto aos objetivos, esta pesquisa pode ser classificada como
exploratória, pois objetiva proporcionar maior familiaridade com o
87
problema com vistas a torná-lo explícito. Conforme citado pelas
referidas autoras, esta pesquisa fará um levantamento bibliográfico;
entrevistas com pessoas e análise com exemplos que estimulam a
compreensão, neste caso, serão levantados outros materiais como
dissertações e artigos para verificar como o problema está sendo
analisado.
Por fim, do ponto de vista dos procedimentos técnicos,
predomina nesta pesquisa a pesquisa-ação (SILVA e MENEZES, 2001).
O pesquisador está envolvido com a instituição pesquisada na busca da
resolução do problema.
3.2 UNIDADE DE ESTUDO
A unidade de estudo é um hospital privado de médio porte da
cidade de Campo Grande Mato Grosso do Sul. A escolha do referido
hospital se deve a necessidade do hospital em calcular o custo dos
procedimentos médico hospitalar, pois pretende com esses dados
identificar melhores formas para contribuir no gerenciamento dos
resultados operacionais do hospital.
3.3 COLETA DE DADOS
A pesquisa é realizada através coleta de dados do período de
maio a agosto de 2009, obtidos no departamento de controladoria do
hospital.
Após, a coleta os dados são trabalhados com o intuito de obter o
custo por procedimento. Por fim, após apresentados os dados aos
gestores da controladoria e da diretoria, inclusive sendo feita a
comparação com os dados utilizados pelo hospital, será analisado se
houve ganho de informação.
3.4 PROCEDIMENTOS METODOLÓGICOS
O material bibliográfico selecionado para a pesquisa é composto
de livros da área de engenharia de produção e também da contabilidade
88
bem como artigos de revistas especializadas e confiáveis. Além disso,
foram consultadas teses, dissertações e livros que versam sobre o tema.
A sistemática proposta foi estruturada com base nas análises
teóricas e por fim, foi aplicada no hospital selecionado. As informações
obtidas através da apuração do custo por procedimento, como receita,
resultado, margem de contribuição, dentre outros, darão suporte para as
ações do planejamento estratégico.
3.5 LIMITAÇÕES
Este trabalho limita-se ao estudo da apuração do custo dos
procedimentos médicos hospitalares através do RKW alinhado a
metodologia de custeio por encomenda. Portanto, não são utilizados
outros métodos de custeio que não o RKW.
Inicialmente, o custo do hospital é apurado pelo RKW para obter
a média de cada serviço prestado. Após, é feito um levantamento de
dados do hospital para obter a relação de todos os procedimentos
clínicos realizados num determinado período de tempo. Em posse desses
dados é feita a aplicação da metodologia de custo por encomenda
obtendo assim, o custo de cada procedimento médico hospitalar
realizado.
Foram coletados para análise somente os procedimentos de
pacientes sem ocorrências, que distorcem da média. Também não faz
parte do trabalho gerar um suporte computacional, ou seja, um software
para a apuração dos custos.
Ressalta-se que o trabalho não pretende criar tabela de preço para
simulação da receita pois se baseia em valores pré-definidos. Entretanto,
os dados gerados na apuração do custo por procedimento pode auxiliar
em uma possível negociação de preço.
É aconselhável a não generalização das conclusões do estudo em
hospitais públicos, filantrópicos ou mesmo em hospitais afins
(privados), devido às peculiaridades de cada entidade.
A seguir será aplicada a metodologia baseada no que foi descrito.
3.6 VISÃO GERAL DA SISTEMÁTICA PROPOSTA
A figura 11 apresenta uma visão geral da sistemática para
apuração do custo por procedimento até a análise de resultado. A
89
sistemática proposta está estruturada em várias etapas que devem ser
realizadas de forma sequenciada.
É utilizado o RKW, composto de duas fases: na primeira, divide-
se a empresa em centros de custos e distribuem-se todos os itens de
custos nestes centros, como custos diretos ou através de bases de
distribuição, conseguindo-se, desta forma, os custos totais do período
para cada centro de custos; na segunda fase, os custos são transferidos
entre os departamentos através do método do rateio duplo ou recíproco,
ou seja, os centros de custos auxiliares e administrativos são rateados ao
mesmo tempo que se encontram em condições de receber quaisquer
rateios de outras unidade, mesmo após terem distribuído custos aos
demais centros de custos. Os resíduos de custos dos centros de custos
auxiliares e administrativos utilizam o rateio simples ou o sequencial,
que o permite o encerramento do ciclo de rateio e a alocação de todos os
custos para os centros produtivos.
O custo do procedimento é obtido através de informações da
apuração do custo pelo RKW, dos lançamentos dos custos diretos feitos
pela farmácia e almoxarifado e também das informações lançadas pelo
faturamento na conta do paciente. A conta do paciente é constituída de
informações financeiras geradas a partir da assistência a ele prestada. A
assistência prestada está contida no prontuário do paciente, que segundo
o Conselho Federal de Medicina(CFM), através da Resolução
1638/02, é:
documento único, constituído de um conjunto de
informações, sinais e imagens registrados, gerados
a partir de fatos, acontecimentos e situações sobre
a saúde do paciente e a assistência a ele prestada,
de caráter legal, sigiloso e científico, que
possibilita a comunicação entre membros da
equipe multiprofissional e a continuidade da
assistência prestada ao indivíduo (BRASIL,
2002).
Com isso, é possível incorrer na análise de resultado da conta do
paciente, ou seja, do procedimento. E através da junção de todos os
procedimentos realizados, a análise é ampliada, utilizando para tanto, a
margem de contribuição e o ponto de equilíbrio
A seguir é descrito detalhadamente cada etapa e as condições
necessárias para o seu cumprimento.
Para a elaboração da sistemática foram consideradas as técnicas e
os conceitos apresentados na literatura.
90
Figura 11 - Sistemática para apuração de custos por procedimento médico
hospitalar
A meta foi
atingida?
Não
S
im
a
Etapa 2 Fazer reunião para
apresentação da sistemática
Etapa 3 Visitar as unidades
Etapa 1 Formar uma equipe
de trabalho
Etapa 4 Fazer reunião
individual com os
responsáveis pelas unidades
Etapa 5 Elaborar diagnóstico
do sistema de gestão hospitalar
Etapa 6 Determinar os
centros de custos
Etapa 8 Desenvolver
aplicativo de informática
Fim
Faturamento
Custos Diretos
(Farmácia e
Almoxarifado)
Etapa 13
Analisar os
resultados
Início
Etapa 10 Fazer
acompanhamento dos dados
Etapa 11 Elaborar relatórios
gerenciais
Etapa 12
Determinar o custo
por procedimento
Etapa 7 Elaborar relatórios
de coleta de dados
Etapa 9 Processar os dados
Sim
91
3.6.1 Etapa 1 - Formar uma Equipe de Trabalho
Encarregada de conduzir a aplicação da sistemática, logo no
início do projeto é constituída uma equipe de trabalho podendo ser
formada por:
um pesquisador que irá coordenar as etapas da implantação da
sistemática;
um profissional da controladoria do hospital que pode ter formação
em contabilidade, administração ou engenharia, que tendo
conhecimento das práticas do hospital, dará suporte ao pesquisador.
Além disso, será capacitado pelo pesquisador a dar continuidade nos
trabalhos;
o diretor do hospital, que deve apoiar o projeto, incentivar e facilitar
o trabalho do pesquisador e do profissional de controladoria.
Ressalta-se que, é imprescindível o envolvimento e colaboração
dos responsáveis pelos centros de custo do hospital.
Para a implantação da sistemática sugere-se também que seja
avaliada a disponibilidade de recursos financeiros para investimento em
mão de obra, treinamento de pessoal, sistema informatizado,
equipamentos e até mesmo espaço físico para a estruturação do setor de
custos.
A organização de um departamento de custos é de fundamental
importância para a apuração contínua e sistematizada dos custos de uma
unidade hospitalar. O funcionamento do departamento de custos
depende, essencialmente, do bom funcionamento dos demais setores do
hospital, em relação à coleta e fornecimento das informações
necessárias. Este departamento deverá operar coordenadamente com os
setores responsáveis pelos dados estatísticos e com os setores geradores
de informações.
3.6.2 Etapa 2 - Fazer Reunião para Apresentação da Sistemática
Depois de formada a equipe de trabalho, a primeira tarefa do
pesquisador é fazer uma reunião com o profissional de controladoria e
diretor do hospital para apresentação da sistemática.
Após esta reunião, são convocados todos os gerentes das
unidades do hospital para apresentação e detalhamento da sistemática.
São apresentadas as noções de custos (fixos, variáveis, diretos,
92
indiretos), despesas, perdas, investimentos, gastos, centros de custos e
rateios (distribuição dos custos), dentre outros.
É necessária a conscientização sobre a importância do sistema e
exposição dos conceitos e metodologia a serem aplicados com o
objetivo de proporcionar a todos um entendimento sobre o que irá
ocorrer dentro da organização e qual será o envolvimento de cada um no
processo.
3.6.3 Etapa 3 - Visitar as Unidades
Após as reuniões, a equipe de trabalho fará uma visita à todas as
unidades para que o pesquisador conheça a estrutura física do hospital e
possa, assim, elaborar a estrutura física de centros de custos.
Para tanto, é necessário:
a) verificação dos setores encontrados no hospital;
b) definição com clareza da adequação dos centros de custos, ou seja,
como serão definidas as áreas físicas com dois ou mais centros de
custos; separação clara dos funcionários, materiais, áreas, dentre
outros;
c) verificação dos serviços de diagnóstico existentes;
d) verificação se as unidades ambulatoriais e de SADT´s possuem
recepção, enfermagem e se estão separados por centro de custos;
e) identificação dos centros de custos administrativos, auxiliares e
produtivos.
3.6.4 Etapa 4 - Fazer Reunião Individual com os Responsáveis pelos
Setores
O pesquisador e o profissional de controladoria, após a visita
física às unidades do hospital, convocam cada responsável pelos setores
para uma reunião individual onde são discutidas as atividades realizadas
pelos setores bem como a existência de relatórios estatísticos os quais
serão utilizados para definição das bases de rateio dos itens de custos
indiretos e dos centros de custos administrativos e auxiliares, e unidades
de produção dos centros produtivos.
Esta reunião possibilita ao pesquisador definir se a unidade pode
ser ou não um centro de custos e se possui os dados suficientes para
alimentar o sistema de custos. Caso não possua os dados suficientes, e
93
sendo um centro de custos será orientado para que forneça os dados
necessários os quais deverão ser informados através do relatório de
coleta de dados.
3.6.5 Etapa 5 - Elaborar Diagnóstico do Sistema de Gestão
Hospitalar
Depois de concluída a etapa 4 onde são feitas reuniões
individuais com os responsáveis pelos setores, o pesquisador e o
profissional de controladoria incorrem em um diagnóstico do atual
sistema de informações existente no hospital, ou seja, do sistema de
gestão hospitalar. Várias informações que alimentarão o sistema de
custos migrarão deste sistema de gestão hospitalar.
Ressalta-se a importância da existência de um amplo sistema de
informações sobre as atividades hospitalares, que colete e organize os
dados relativos à produção de serviços realizados no hospital, tais como,
o número de diárias geradas por centro de custos, o número de pacientes
atendidos no pronto atendimento, o número de exames realizados,
dentre outros. Sendo que, tudo isso deve ser integrado com a conta do
paciente para que após a apuração do custo por centro de custos seja
possível inferir na análise do custo da conta do paciente. Caso não haja,
propõe-se uma série de melhorias para a sua existência.
É indicado que a implantação do sistema de custos em um
hospital seja feita de forma integrada com o sistema de gestão existente,
de forma que o sistema de custos seja uma parte ou um módulo do
sistema de gestão.
Também será feito um levantamento e análise do sistema
contábil, que é parte integrante do sistema de gestão hospitalar, visando
avaliar quais informações do sistema contábil poderão ser utilizadas
pelo sistema de apuração de custos. Os itens de custos (diretos e
indiretos) a serem utilizadas no sistema de apuração de custos devem ser
programados em conformidade com o plano de contas do hospital. A
definição do elenco de contas representa uma etapa importante no
processo de constituição de um sistema de custos. As contas utilizadas
para a apuração do custo devem refletir uma resenha de itens de custos
relevantes, gerenciais e simples, de modo a ser compreendido pelos
gerentes das unidades.
94
3.6.6 Etapa 6 - Determinar os Centros de Custos
Com base nas reuniões (etapas 3 e 4), do diagnóstico do atual
sistema de gestão hospitalar (etapa 5) e também observando o
organograma do hospital, é possível ao pesquisador a identificação dos
níveis de gestão e correspondente estrutura de departamentalização. Para
um adequado acompanhamento dos custos com enfoque gerencial, é
conveniente a estruturação do hospital em centros de custos, consistindo
de uma segregação que facilita o controle dos custos, tanto em nível da
unidade, como da administração superior.
Ressalta-se que o organograma é um elemento facilitador na
implantação de um sistema de apuração de custos, pois, define a
estrutura organizacional da unidade, ou seja, identifica os níveis de
gestão.
3.6.7 Etapa 7 - Elaborar Relatórios de Coleta dos Dados
Após a determinação dos centros de custos, o pesquisador elabora
relatórios com dados faltantes, ou seja, dados que não existem nem no
sistema de gestão hospitalar (etapa 5) e nem no controle dos próprios
setores. Por exemplo: o número de refeições servidas para pacientes,
funcionários e acompanhantes no Setor de Nutrição e Dietética do
Hospital, não consta no sistema de gestão e nem no controle do próprio
setor, logo, é necessária a criação de um controle manual, visto que, esta
informação é necessária para apuração do custo da refeição servida e
com base nessa estatística é que o custo do Setor de Nutrição e Dietética
será distribuído aos outros centros de custo.
Por fim, é fixado um prazo para entrega destes relatórios
mensalmente ao profissional de controladoria, que alimentará o sistema
de custos e proporcionará assim a apuração do custo do hospital.
3.6.8 Etapa 8 - Desenvolver Aplicativo de Informática
O pesquisador avalia de que forma será implantado o sistema de
custos. De forma artesanal, ou seja, através de uma planilha eletrônica,
mas é importante destacar que assim não haverá grande flexibilidade,
rapidez, facilidade de análise, facilidade de interpretação e
95
disponibilidade dos dados a serem utilizados pelos funcionários
envolvidos no referido processo.
Portanto, o mais indicado é a utilização de um software,
proporcionando o processo de apuração de custos integrado, reduzindo o
tempo de apuração e diminuindo os erros que são muitos frequentes
quando o processo é manual. O software pode ser adquirido através de
empresas especializadas neste tipo de aplicativo.
Uma vez que os dados do projeto (centros de custo, unidades de
produção, critérios de rateio, itens de custos diretos e indiretos, dentre
outros) estejam organizados e a forma de processamento (manual ou
através de aplicativo) definida inicia-se o cadastro e parametrização do
aplicativo definido onde serão informados os dados (financeiros,
estatísticos, dentre outros) para na próxima etapa ser feito o
processamento dos dados.
3.6.9 Etapa 9 - Processar os Dados
Com o aplicativo definido, o pesquisador e o profissional de
controladoria iniciam o processamento das informações coletadas. Para
tanto o método escolhido é o RKW, ou seja, inicialmente os custos
diretos e indiretos são alocados aos centros de custos administrativos,
auxiliares e produtivos. Em seguida, procede-se ao rateio de acordo com
o método duplo ou recíproco obtendo-se assim os custos dos centros
produtivos.
Os custos diretos que alimentarão o sistema podem ser
encontrados no sistema de gestão hospitalar ou nos relatórios de coleta
de dados. São os custos de pessoal, consumo de materiais e despesas
gerais. Já, os custos indiretos, que são os itens de custos para os quais
não uma alocação direta aos centros de custos, exigem a adoção de
fórmulas de rateio, que foram obtidas na etapa 4, para serem apropriados
aos centros de custos administrativos, auxiliares e produtivos. São os
custos de energia elétrica, água, depreciação predial, dentre outros.
Com o processamento se obtém o custo total e unitário dos
centros de custos. O foco é apurar o custo total e unitário para cada um
dos centros de custos principalmente os centros de custo produtivos os
quais prestam serviços finais ao paciente e são passíveis de
remuneração. Através da divisão do custo total do centro de custos pela
quantidade produzida tem-se o custo médio unitário de cada centro de
custos.
96
Nesta etapa obtém-se o sistema de acumulação de custos por
processo onde os custos são acumulados por centros de custos.
3.6.10 Etapa 10 - Fazer Acompanhamento dos Dados
Depois do processamento dos dados, o pesquisador e o
profissional de controladoria fazem um acompanhamento minucioso dos
dados recebidos pelos centros de custos a fim de que, quando os
relatórios gerenciais forem entregues aos responsáveis pelos centros de
custos, estes já estejam mais fidedignos possíveis.
uma preocupação de que os dados sejam confiáveis e reflitam
o que está ocorrendo nos centros de custos. Para isso é necessária uma
conscientização de todos os níveis do hospital, pois esses dados
refletirão nos custos que serão apurados.
Também é importante destacar o envolvimento do profissional de
controladoria que é a pessoa que irá estar no dia a dia com os
responsáveis pelos setores do hospital. O profissional de controladoria
será responsável pelo bom seguimento do trabalho esclarecendo
inclusive as dúvidas que muitas vezes virão a ocorrer.
Uma vez processados os dados e feito o acompanhamento destes,
menor será a inconsistência e assim os gerentes receberão dados mais
confiáveis que refletem o seu respectivo centro de custos.
Após este registro, cálculo dos rateios e apropriações, os dados
deverão ser analisados e interpretados pelo pesquisador e pelo
profissional de controladoria, gerando informações lapidadas para o
gerenciamento em todos os níveis da instituição.
3.6.11 Etapa 11 - Elaborar Relatórios Gerenciais
Concluídas as etapas de processamento dos dados (etapa 9) e
acompanhamento dos dados (etapa 10) os dados são disponibilizados
aos gerentes pelo pesquisador e pelo profissional de controladoria em
formato de relatórios que permitem análises de diversas formas, gerando
assim uma ferramenta de apoio na gestão do hospital.
O principal objetivo de um sistema de custos é fornecer
informações para o auxílio na tomada de decisões. Para tanto, deve-se
proceder à classificação dos centros de custos, o acompanhamento
97
mensal das despesas, os procedimentos de rateio e a emissão de
relatórios para os gerentes dos centros de custos.
O anexo A apresenta um exemplo de relatório de composição e
evolução dos custos ao longo dos períodos. Este relatório mostra o custo
total do hospital, que é o somatório dos custos diretos e indiretos de
todos os centros de custos auxiliares, administrativos e produtivos,
agrupados por grupos de itens de custos.
Os itens de custos estão separados em custos diretos e indiretos.
Os custos diretos estão divididos em pessoal; honorários médicos;
materiais; e custos gerais. No grupo de pessoal estão agrupados todos os
itens de custos relacionados com pessoal, como salários; benefícios e
encargos; dentre outros. No grupo honorários médicos estão
contemplados os itens de custos referentes aos pagamentos dos serviços
médicos que podem ser devido a um atendimento no consultório ou a
um procedimento cirúrgico e também relacionados a plantões médicos
realizados no pronto atendimento e na unidade de terapia intensiva. No
grupo materiais estão relacionados os itens de custos de uso comum
(material de expediente; impressos e gêneros alimentícios; dentre
outros) e os materiais de uso exclusivo dos pacientes dentre eles drogas
e medicamentos; materiais hospitalares; dietas enterais; e gases
medicinais; dentre outros. Por fim, os grupos gerais contemplam os
serviços de terceiros; depreciação de móveis e equipamentos; energia;
água; telefone; e depreciação predial; dentre outros.
Nos custos indiretos estão os seguintes itens: energia elétrica;
água e esgoto; telefone; depreciação predial; IPTU; e impostos, taxas e
contribuições.
Através deste relatório é possível inferir qual o grupo de maior
representatividade no hospital, ou seja, qual grupo de custo que
contempla a maior parcela de custos do hospital.
O anexo B apresenta um exemplo de relatório onde é
demonstrado o custo total e unitário de cada centro de custos. Com esse
relatório é possível inferir na análise de dados referente a número de
funcionários, custos com pessoal, custos com materiais, custos gerais e
indiretos, rateios recebidos, quantidade produzida e por fim o custo
total. Através da divisão do custo total do centro de custos pela
quantidade produzida obtém-se o custo médio unitário de cada produção
realizada no centro de custos.
Vale ressaltar que este custo contempla o custo de materiais e
medicamentos consumidos por todos os pacientes do centro de custos
em questão e para obter o custo da hotelaria, ou seja, o custo médio
unitário de uma diária na unidade de internação, por exemplo, subtrai-se
98
o custo de materiais e medicamentos e o custo de honorários médicos,
pois esses dois itens serão obtidos através do lançamento feito em cada
atendimento de paciente no hospital. Assim obtém-se o custo médio
unitário de cada serviço prestado ao paciente em cada unidade que ele
passou, representado pelo sistema de acumulação de custo por processo.
O anexo C apresenta um exemplo de relatório individualizado por
centro de custos onde é detalhado de forma analítica, cada um dos
centros de custos, segregado por grupo de custo e item de custo. Além
dos itens de custos diretos e indiretos também são apresentados os
rateios recebidos pelo centro de custos correspondente. Com este
relatório sugere-se uma análise minuciosa da incidência e da variação
ocorrida em cada item de custo e na própria produção, pois esta pode
acarretar um aumento ou uma diminuição no custo unitário do centro de
custos. É importante um acompanhamento mensal da incidência dos
custos apresentados neste relatório e o envolvimento de todas as áreas
possibilitando que todos os responsáveis entendam o ocorrido no seu
respectivo centro de custos.
As informações na forma de relatórios de custos devem ser
disseminadas a todos os níveis da organização com o envolvimento e
participação das chefias, gerências e diretorias, para a avaliação de
desempenho do setor e adequação dos custos de acordo com parâmetros
e perfis adequados para o setor e com o objetivo de que cada nível
hierárquico tenha condições de planejar, controlar e decidir com
eficiência e eficácia.
O profissional de controladoria é responsável pelo bom
desempenho das informações de custos e deve envolver-se ativamente
com os usuários no processo inicial (coleta de dados) e na conclusão
através dos relatórios gerenciais.
A área de custos deve transmitir ao usuário qual a melhor forma
para utilizar bem a informação recebida, além de passar noções de
custos e técnicas de análise. O usuário, por sua vez, retribui à área de
custos com informações sobre o processo produtivo do setor.
Este relacionamento entre as partes deve ser constante a fim de
aperfeiçoar o sistema de custos, gerando informações de qualidade e
envolvendo o usuário no gerenciamento dos custos. Todos os setores
devem estar preparados e treinados para gerar informações de qualidade
e fidedignas para a gestão de custos, desde informações monetárias ou
estatísticas até informações estruturais e/ou operacionais que podem
passar despercebidas à área de custos (mudança na área física do setor,
alteração de funcionários, mudança no processo produtivo, dentre
outros). Na maioria das vezes os setores que recebem as informações
99
através de relatórios gerenciais para análise são os mesmos que geram
os dados (coleta de dados) para a consecução do sistema.
Com esse envolvimento, caso os dados cheguem de forma
insatisfatória e/ou atrasados, a área de custos processará dados
incorretos e os usuários da informação receberão os relatórios com
falhas motivadas muitas vezes por eles mesmos, desta forma
subentende-se que o processo gera uma auto-correção (figura 12).
Figura 12 - Processo de auto-correção
Fonte: Adaptado de Matos (2002)
Tendo sido obtidos s relatórios gerenciais, ou seja, tendo sido
obtidos os custos unitários dos centros de custos e emitidos os relatórios,
pode-se identificar os indicadores de custo, produção, estatística,
materiais e faturamento, subsidiados por técnicos habilitados e estrutura
adequada de acordo com as normas regulamentadas em cada área. Com
isso, pode-se propor um ciclo de melhorias no processo de trabalho para
consequente melhoria dos indicadores.
3.6.12 Etapa 12 - Determinar o Custo por Procedimento
O sistema de custos fornece o valor médio dos custos dos
serviços consumidos pelo paciente (etapas 9, 10 e 11), com exceção dos
materiais e medicamentos que deve ser disponibilizado através do
sistema de almoxarifado/farmácia.
O paciente ou usuário do hospital é o repositório de todos os
serviços gerados pela empresa. No momento em que se a entrada do
Coleta de Dados
(Geradores de
Informações)
Cálculo de
Apropriações das
Informações
Relatórios
Gerenciais
(Usuários)
(Feedback Auto-Correção)
100
mesmo no hospital, deve ser aberta um Registro de Atendimento (figura
13), que é o documento acumulativo dos registros no qual são
acumulados os seus custos individuais, ou seja, todos os custos de
acordo com os serviços recebidos pelo paciente durante sua estadia no
hospital. Pelo registro de atendimento do paciente é possível coletar as
informações do seu “consumo” durante sua estadia no hospital (taxas;
internação; SADTs). Em alguns casos, o enfermeiro, o auxiliar de
enfermagem, o auxiliar administrativo ou até mesmo o próprio sistema
de gestão (desde que esteja parametrizado para isso) faz os lançamentos
necessários na conta do paciente. O serviço de faturamento hospitalar
tem a função de processar as contas hospitalares dos pacientes atendidos
nos diversos serviços do hospital.
101
Figura 13 - Fluxo de informações para a conta do paciente
Fonte: Elaborado pelo autor
Faturamento
Radiologia
Laboratório
Materiais/
Medicamentos
Internação
SADTs
Taxas
Unid. Int. A
UTI
Unid. Int. B
Tórax
Bioquímica
Hematologia
Abdômen
Registro de
Atendimento
Fim
Custos Diretos
(Farmácia e
Almoxarifado)
Início
SISTEMA DE
CUSTOS
102
Através da conta do paciente, é possível obter os dados para
apuração do custo do procedimento realizado. A determinação do custo
por procedimento (que pode ser agrupado em: por médico, por
especialidade e por convênio) é importante, porque afetará um grande
número de análises e ações a serem tomadas no hospital. Uma correta
determinação do custo do procedimento servirá de parâmetro para traçar
as estratégias de gestão de custos: estabelecer o preço médio de cada
procedimento médico; estimar os custos para negociação por pacote
1
;
determinar as margens brutas associadas às especialidades e
procedimentos médicos; estimar a rentabilidade das especialidades e
procedimentos médicos; e confrontar com o valor faturado o custo do
procedimento médico.
3.6.13 Etapa 13 - Analisar os Resultados
3.6.13.1 Por centro de custos
Através das etapas 9, 10 e 11 é possível obter o custo médio por
paciente-dia, custo médio da hora-cirúrgica, custo médio por
atendimento, custo médio por consulta, custo médio por exame, custo
médio por sessão, custo médio por refeição, custo médio por kg de
roupa lavada, custo médio por km rodado, custo médio por volume
processado, custo médio por funcionário, dentre outros. O custo médio é
obtido através da divisão do custo total do centro de custos pelo número
de unidades produzidas pelo centro de custos.
Uma vez estabelecidos, na etapa 11, os relatórios gerenciais para
acompanhamento e análise dos custos pelos respectivos responsáveis
pelo gerenciamento de cada área, essas informações de custos dos
períodos, comparadas com os meses anteriores são indicadores
importantes tanto no gerenciamento dos custos, avaliação sobre a
produtividade, como na comparação com os valores de receita obtida.
Como citado no item 2.1 Gestão Hospitalar os hospitais
podem ter naturezas diferentes (SUS, convênios, particulares) e para
cada natureza existe uma regra de remuneração pré-estabelecida sobre a
qual incidirá a respectiva receita pelo serviço prestado. Ou seja, além da
1
Constitui a padronização do tempo de internação, utilização da sala cirúrgica, exames,
materiais e medicamentos, dentre outros itens para cada tipo procedimentos médicos
hospitalar.
103
gestão de custos é importante que o hospital contemple a análise de
resultados.
A tabela 12 é um exemplo de relatório de análise de resultado por
centro de custos que apresenta a receita obtida pela remuneração dos
serviços prestados e dela são diminuídos os custos variáveis para se
chegar ao valor da margem de contribuição, que cobrirá os custos fixos
e representa um total de 63% sobre a receita. O relatório traz também
informações quanto ao resultado do centro de custos, ou seja, o lucro
obtido no período, e o ponto de equilíbrio, ou seja, o centro de custos
precisa atender 260 pacientes-dia para cobrir seus custos fixos e
variáveis. Outra informação que merece destaque e pode ser útil para a
tomada de decisão é a taxa de ocupação, que está em 82%.
Tabela 12 - Análise de resultado por centro de custos
NOME DO SETOR: UNIDADE DE INTERNAÇÃO
MÊS XYZ
RECEITA
R$ 296.939,00
CUSTO VARIÁVEL
R$ 109.526,00
MARGEM DE CONTRIBUIÇÃO
R$ 187.413,00
MARGEM DE CONTRIBUIÇÃO (%)
63%
CUSTO FIXO
R$ 136.541,00
RESULTADO
R$ 50.872,00
NÚMERO DE FUNCIONÁRIOS
28
NÚMERO DE PACIENTES-DIA
558
NÚMERO DE LEITOS
22
TAXA DE OCUPAÇÃO
82%
PONTO DE EQUILÍBRIO
260
Fonte: Elaborado pelo autor
3.6.13.2 Por procedimento
Após a análise de resultados, análise da margem de contribuição
e ponto de equilíbrio, todos por centros de custos, são elaborados
relatórios que propiciam a análise de resultados por procedimentos
que é o produto final do hospital.
Para ser feita a análise de resultado dos procedimentos serão
apresentadas as tabelas 2, 3 e 4 que servem de modelos de relatórios que
podem ser gerados para análise dos resultados e tomada de decisão.
104
A tabela 13 representa um demonstrativo da conta do paciente. A
partir do momento em que o paciente recebe os serviços no hospital
estes são inseridos em seu registro de atendimento. As colunas descrição
dos serviços e a quantidade consumida (prestada de serviço) devem
receber estas informações. A receita unitária refere-se ao valor faturado,
ou seja, ao valor que pode ser pago ou pelo convênio, ou pelo SUS ou
pelo próprio paciente, no caso do atendimento ser particular. As colunas
custo unitário e custo total representam o valor dos serviços prestados
apurados pelo sistema de custos. O resultado representa a diferença
entre a receita total e o custo total também expresso em porcentagem na
última coluna.
Através da conta do paciente é possível incorrer em uma análise
de resultado dos serviços prestados a este no hospital. É possível,
através de relatório, verificar qual serviço apresenta um resultado
positivo (ou negativo) e consequentemente é mais rentável para o
hospital, ou seja, quais procedimentos geram lucro e quais não geram.
Com essa análise gerencial é possível aos administradores maior auxílio
para a tomada de decisão.
Nesse contexto, a informação de custo serve como um
comparativo ao parâmetro de remuneração verificando se uma
relação adequada e em quais situações é necessário melhoria em nível
de eficiência interna (CHING, 2001).
Tabela 13 - Modelo de relatório demonstrativo da conta do paciente
Paciente: __________________________ N
o
do Registro de Atendimento____________
Convênio: _____________________________ Procedimento: ____________________
Médico: ____________________________________ Data _____ / _______ / ______
Descrição
do Serviço
Quantidade
Consumida
Receita
Unitária
Receita
Total
Custo
Unitário
Custo
Total
Resulta
-do
Resulta-
do em %
TOTAL
Fonte: Elaborado pelo autor
A tabela 14 representa um relatório para análise dos
procedimentos realizados no hospital. Na primeira coluna listam-se
todos os procedimentos realizados no hospital num determinado
105
período. Em seguida, a quantidade consumida dos procedimentos
seguidos pela receita total. Na quarta coluna listam-se os custos
variáveis e a partir deste é possível obter a margem de contribuição que
representa quanto cada atendimento colabora para a cobertura dos custos
fixos.
O conceito de margem de contribuição indica que, além da
cobertura do custo variável (que ocorre com cada unidade),
necessidade de cobrir o montante de custos fixos. Em termos
percentuais, representa a parcela com que cada unidade monetária obtida
com a venda dos serviços contribui para cobrir os custos fixos ou para
formar o lucro. Esses conceitos contribuem para o planejamento de
estratégias e para tomada de decisão em geral.
Com o uso deste relatório é possível analisar qual procedimento
apresenta melhor resultado para o hospital e também qual apresenta um
resultado insatisfatório. Esta análise contempla o valor faturado (receita)
pelo serviço prestado e apresenta também a separação dos custos em
fixos e variáveis e com isso, obtém-se a margem de contribuição de cada
procedimento.
Tabela 14 - Modelo de relatório demonstrativo de procedimentos
Período: de ______ / ________ / _______ a ______ / ________ / _______
Procedimentos
Receita
Total
Custo
Variável
Margem de
Contribuição
%
Custo
Fixo
Resultado
TOTAL
Fonte: Elaborado pelo autor
A tabela 15 representa um relatório para análise de resultado dos
procedimentos por convênios. Também este relatório apresenta a
separação dos custos em fixos e variáveis e consequentemente a margem
de contribuição. Com este relatório, é possível verificar quais convênios
representam melhores resultados para o hospital. Neste caso, vale
ressaltar que o convênio pode dar resultado acumulado desfavorável em
sua totalidade, mas em um determinado procedimento pode apresentar
resultado favorável. Por isso, sugere-se que a análise por convênio seja
delimitada a algum procedimento.
106
Tabela 15 - Modelo de relatório demonstrativo de convênios
Procedimento: __________________________________________
Período: de ______ / ________ / _______ a ______ / ________ / _______
Convênio
Receita
Total
Custo
Variável
Margem de
Contribuição
%
Custo
Fixo
Resultado
TOTAL
Fonte: Elaborado pelo autor
As tabelas 13, 14 e 15 são apenas exemplos de relatórios para
análise de resultados de procedimentos e de convênios. Vários outros
relatórios podem ser gerados pelo sistema de custos, de acordo com as
necessidades dos usuários da informação.
Como citado anteriormente, o hospital é uma empresa
complexa interligada por processos representados aqui em vários centros
de custos que oferecem um serviço ao paciente e que cada um deles irá
refletir no produto final o produto é o procedimento. Tendo sido
efetuada a análise de resultados, análise da margem de contribuição e
ponto de equilíbrio, todos por centros de custos, é possível a utilização
dessas ferramentas na análise de procedimentos.
O quadro 6 apresenta um resumo das etapas da sistemática, com
os objetivos a serem alcançados e os passos necessários para atingi-los.
107
ETAPA
OBJETIVOS DA
ETAPA
PASSOS PARA ATINGIR O
OBJETIVO
1- Formar uma
equipe de trabalho.
- Determinação
das pessoas
responsáveis para
implementação da
sistemática.
- Avaliação e definição de quem são as
pessoas capacitadas para implementar e
desenvolver a sistemática.
2- Fazer reunião
para apresentação da
sistemática.
- Esclarecimento
das etapas da
sistemática.
- Conscientização
das pessoas
envolvidas.
- Apresentação da sistemática.
- Fazer detalhamento da sistemática para
todos os envolvidos.
- Exposição de conceitos e metodologias
a serem aplicadas.
3- Visitar as
unidades.
- Identificação da
estrutura física do
hospital.
- Detalhamento dos
setores existentes no
hospital.
- Anotação das principais características
dos setores do hospital, tais como,
tamanho, número de funcionários,
quantidade de equipamentos, atividades
desenvolvidas, dentre outras.
4- Fazer reunião
individual com os
responsáveis pelas
unidades.
- Definir a
característica de
cada setor.
- Avaliar a
possibilidade de
abertura de centro
de custos.
- Definição das
bases de rateios e
unidades de
produção
- Verificação das atividades realizadas
por cada setor.
- Validação das características de cada
setor (tamanho, número de funcionários
envolvidos, existências de dados
estatísticas, dentre outras).
5- Elaborar
diagnóstico do
sistema de gestão
hospitalar.
- Levantamento e
análise do sistema
de gestão e sistema
contábil.
- Identificação das características do
sistema de gestão (disponibilidade de
dados, abrangência da informação,
verificação dos setores que utilizam o
sistema de gestão).
- Busca de informações criteriosas por
meio de dados disponíveis no sistema de
gestão.
continua
108
continuação
6- Determinar os
centros de custos
- Definição da
estrutura de centros
de custos.
- Avaliação do sistema de gestão, e do
organograma, bem como com base nas
reuniões individuais e conforme
necessidade de controle sugerido pela
instituição.
- Análise da disponibilidade de recursos
e estatísticas, tais como, mão de obra
envolvida, espaço físico pré-determinado,
dados estatísticos, dentre outros.
7- Elaborar
relatórios de coleta
de dados.
- Definição dos
relatórios de coleta
de dados necessários
para apontamento
mensal.
- Alguns dados não são possíveis de ser
obtido através do sistema de gestão, para
isso, sugere-se aprimoramento do sistema
de gestão ou estabelecimento de formas de
controle manual para coleta de dados.
- Orientações para os responsáveis pelas
unidade sobre como fazer a coleta de
dados e a influência desses dados na
apuração dos custos.
8- Desenvolver
aplicativo de
informática.
- Definição forma
como os dados serão
processados.
- Verificação da disponibilidade de
sistema informatizado que esteja dentro
dos conceitos apresentados para apuração
dos custos. Caso não haja sistema
informatizado pode ser utilizado planilha
eletrônica (excel).
9- Processar os
dados.
- Execução da
apuração dos custos.
- Depois de estruturado o sistema de
custos com seus respectivos cadastros e
parametrizações, o sistema efetua os
cálculos necessários para apuração dos
custos por centro de custos.
10- Fazer
acompanhamento
dos dados.
- Verificação e
análise da apuração
dos custos por
centro de custos.
- Acompanhamento mensal da apuração
dos custos.
- Verificação da incidência dos itens de
custos por centro de custos
- Analise dos custos apurados para
verificar se estão adequados para a
estrutura do centro de custos em questão.
- Elaboração do plano de ação para
verificação das informações que
alimentaram o sistema, mas não
apresentam coerência.
continua
109
continuação
11- Elaborar
relatórios gerenciais.
- Definir os
relatórios gerenciais
que darão suporte à
análise e
acompanhamento
mensal da apuração
dos custos por
centro de custos.
- Verificação dos modelos de relatórios
gerenciais disponíveis pelo sistema de
apuração de custos.
12- Determinar o
custo por
procedimento.
- Apuração do
custo por
procedimento.
- Identificação dos lançamentos
ocorridos em cada conta hospitalar (conta
do paciente - sistema de acumulação por
encomenda).
- Avaliação de cada item lançado na
conta do pacientes. Por exemplo, os itens
referentes a materiais e medicamentos (são
considerados itens de custo direto)
valorizados pelo custo médio do estoque, e
para os itens de serviço são valorizados
conforme a apuração do custo feita pelo
sistema de custos.
- Elaboração de plano de ação para
solucionar problemas encontrados nos
apontamentos das contas dos pacientes.
13- Analisar os
resultados.
- Demonstração
da análise de
resultados dos
procedimentos,
através das
ferramentas
sugeridas na
fundamentação
teórica.
- Análise dos dados apontados na conta
do paciente para verificar se apresentam
coerência.
- Análise de custo, receita, margem de
contribuição, custo-volume-lucro e ponto
de equilíbrio por procedimento.
- Análise com foco em margem de
contribuição e resultado por diferentes
níveis através da conta do paciente, dentre
eles, por procedimento, por médico, por
convênio.
Quadro 6 - Resumo dos objetivos e passos necessários da sistemática
Fonte: Elaborado pelo autor
3.7 CONSIDERAÇÕES FINAIS
Numa economia complexa, onde vários atores envolvidos
(hospital, convênio, cliente, médico, fornecedor, dentre vários outros) é
necessária a adoção de formas mais sofisticadas de gerenciamento dos
110
custos uma vez que o mercado na área da saúde está cada vez mais
restritivo.
Dentro dos parâmetros do sistema de gerenciamento de custos,
estabelecidos na metodologia sugerida nessa dissertação, está a
classificação dos centros de custos em produtivos, auxiliares e
administrativos, comportamentos dos custos em fixos e variáveis, tipos
de custos em diretos e indiretos e a formação dos custos dos serviços
fornecendo dados que possibilitam um bom gerenciamento dos bens ou
serviços.
A análise dos procedimentos tem como base os padrões médios,
ou seja, elaborados conforme a média dos resultados passados. Assim,
como o hospital realiza vários procedimentos, os dados coletados
constituem uma média de cada procedimento (média de receita, de custo
variável, de custo fixo, dentre outros) e, partindo destas médias é que
serão elaboradas as análises da margem de contribuição, ponto de
equilíbrio e resultado por procedimentos.
Mesmo sabendo que variações sempre existirão entre os padrões
e os dados coletados, a variação nos dados não indica a causa, apenas a
ocorrência.
É importante observar que o sistema de custos, com a apropriação
por centros de custos, compreende a geração de dados econômicos e
estatísticos que, após o processamento sob as orientações conceituais
pertinentes a esta metodologia, permitem a emissão de relatórios
gerenciais relevantes ao processo de gestão.
Para que o sistema receba informações adequadas e qualificadas é
necessário um esforço do profissional responsável pelo processamento
das informações, neste caso, o pesquisador e o profissional de
controladoria que desenvolvem o trabalho de planejamento e seleção
dos dados de forma consistente e objetiva. Uma vez que os dados
estejam definidos, os setores envolvidos na geração dos dados devem
ser treinados e futuramente avaliados para a efetiva validação da
informação.
Após a implantação do sistema, o risco de que seu
funcionamento permaneça estacionário, em seu estado basal, isto é, os
custos são apurados, mas não são analisados e tampouco utilizados no
processo de decisão. Desta forma não será alcançado o objetivo
principal do sistema: funcionar como instrumento gerencial.
Logo, o pesquisador e o profissional de controladoria são os
responsáveis pelo contato com os gerentes (responsáveis por
determinados centros de custos do hospital) que coletam e fornecem as
informações, pela consolidação dos dados obtidos, pelo preenchimento
111
dos relatórios de coleta, devendo ainda colaborar com as atividades de
ajustes e modificações a serem feitas no sistema.
O departamento de custos, para ter um bom funcionamento, deve
definir de maneira clara seu relacionamento com outros setores do
hospital. Estes, por sua vez, devem fornecer as informações sobre suas
atividades, principalmente em relação ao setor de pessoal, administração
médica, planejamento e direção do hospital.
Finalmente, ressalta-se a importância de que tais informações
sejam divulgadas aos diversos escalões da estrutura organizacional e, se
possível, a todo o público hospitalar. Devem ser promovidas reuniões
periódicas entre o profissional de controladoria e os responsáveis pelos
centros de custos para avaliação das informações de custos e
estabelecimento de metas.
112
4 ESTUDO DE CASO
4.1 A ORGANIZAÇÃO PESQUISADA
Inaugurada em 29 de abril de 1963, a Clínica de Campo Grande
foi o primeiro projeto arquitetônico elaborado especificamente para
instalações de unidades hospitalares na cidade de Campo Grande. Na
época, a Santa Casa de Saúde Santa Maria não possuía leitos cirúrgicos
disponíveis para atender a demanda de Campo Grande, assim, alguns
médicos se reuniram e resolveram construir a clínica.
No início de suas atividades, a Clínica contava com duas
enfermeiras, que comandavam seu grupo de técnicos e auxiliares
implantando os princípios de assepsia. Foi o primeiro centro cirúrgico
no Estado a adotar medidas rigorosas de controle com a finalidade de
prevenir a contaminação do ambiente e das intervenções cirúrgicas.
Em novembro de 1991 uma equipe de médicos assumiu o
controle do Pronto Socorro e do CTI da Clínica Campo Grande. Assim,
nasceu o grupo Procárdio, que inaugurou em 1992 um ambulatório
atendendo diversas especialidades médicas.
Dois anos depois, a mesma equipe de médicos inaugurou o
Procárdio Unidade II, com Pronto Socorro 24 horas, fechado em 16 de
março de 1995. Assim, o grupo assumiu o controle acionário na Clínica
Campo Grande iniciando então um processo de constante modernização.
Devido ao crescimento no número de atendimentos houve a
necessidade de ampliação dos serviços de diagnósticos, que eram
espalhados no hospital, dificultando o gerenciamento e elevando os
custos por estarem descentralizados.
Em 13 de março de 2009, foi inaugurado a unidade de
diagnósticos no sub-solo do hospital, com instalações modernas,
oferecendo qualidade e conforto aos clientes.
O grupo Procardio, observando que existia no mercado uma
demanda para exames de ressonância e um número reduzido do serviço
na cidade, em parceria com alguns radiologistas decidiram inaugurar a
Pró-Exames, uma filial em um bairro estratégico em Campo Grande.
Hoje a Clínica de Campo Grande é um Hospital Geral de médio
porte, privado, com 63 leitos e uma estrutura física vertical.
113
4.2 O SISTEMA DE CUSTOS
4.2.1 A Implantação
A Clínica Campo Grande iniciou o trabalho de gestão de custos
em meados de 1996, período em que o diretor superintendente começou
a aperfeiçoar as técnicas de gestão participando de curso de gestão na
área da saúde.
No início, apenas ele participou de cursos de aperfeiçoamento.
Porém, no decorrer do tempo outros funcionários da Clínica Campo
Grande foram se aperfeiçoando, até que, num determinado momento,
um engenheiro que trabalhava na área de processos se propôs a começar
a apurar os custos a partir dos conceitos apresentados nos cursos de
aperfeiçoamento.
Em 2007, na expectativa de validar os conceitos aplicados desde
1998, uma equipe na qual o pesquisador faz parte iniciou a revisão todo
o projeto de custos implantado para aprimorar os dados com a visão do
custo por procedimento, uma vez que o a apuração dos custos limitava-
se a informação de custos por centro de custos. Com isso a
administração da Clínica Campo Grande estaria com os dados validados
e caminharia para um nível melhor de informação (da apuração do custo
por centro de custos para a apuração do custo por procedimento) tendo
assim melhores condições para análise e tomada de decisão.
O projeto previa um prazo de 10 meses para a revisão e
aprimoramento e teria a participação da equipe contratada sendo que, o
pesquisador dedicava 32 horas mensais diretamente no hospital na
atividade de implantação.
4.2.2 Aplicação da Sistemática
4.2.2.1 Etapa 1 - formar uma equipe de trabalho
Para a formação da equipe de trabalho são definidas as seguintes
pessoas:
Maury Leoncine: o pesquisador que irá coordenar as etapas da
implantação da sistemática;
Mariolinda: possui graduação em gestão de serviços e saúde; em
tecnologia em processamento de dados e pós-graduação em
114
administração financeira e controladoria. Na função de profissional
de controladoria, dará suporte ao pesquisador visto ter plenos
conhecimentos do funcionamento do hospital e bom relacionamento
com as demais unidades. Atualmente é responsável pelas unidades
de controladoria, custos e tecnologia da informação;
Mauro Cosme: possui formação em medicina e atua na área além de
ser o diretor superintendente do hospital. Terá grande envolvimento
no projeto, apoiando cada etapa e incentivando as áreas, facilitando
o andamento do projeto e dando o suporte necessário à profissional
de controladoria e ao pesquisador.
A estrutura física, mão de obra e equipamentos disponíveis no
hospital já possibilitam a implantação do projeto.
4.2.2.2 Etapa 2 - ´fazer reunião para apresentação da sistemática
Definida a equipe de trabalho, é apresentada pelo pesquisador, à
profissional de controladoria e ao diretor do hospital, a sistemática
utilizada para apuração do custo, a qual é fundamentada no RKW. Nesta
apresentação foram ressaltados alguns conceitos, tais como: custos
diretos, indiretos, custos fixos, custos variáveis, tipos de centros de
custos, enfim foram reforçados os conceitos e as etapas a serem
realizadas para aplicação da metodologia.
Como o diretor e a profissional de controladoria haviam
participado de cursos e tinham conhecimento da metodologia a ser
aplicada, esta etapa foi realizada com facilidade.
Logo após, é realizada outra reunião entre a equipe de trabalho e
os gestores de cada área, como o gestor da manutenção, do serviço de
nutrição, da farmácia, da recepção, da lavanderia, enfim todos os
responsáveis por um determinado setor do hospital estavam presentes
em um auditório onde são apresentados novamente os conceitos (custos
diretos, indiretos, custos fixos, custos variáveis, tipos de centros de
custos, dentre outros) e terminologias (investimento, despesa, custo,
perda, pagamento, dentre outras) e as etapas (sistemática ou
cronograma) a serem realizadas na aplicação da metodologia. A
diferença desta reunião com a outra feita com a equipe de trabalho, é
que nesta são apresentados os conceitos de forma mais detalhada e com
alguns exemplos a fim de elucidar os objetivos a serem alcançados.
O objetivo é que os gestores se envolvam com os propósitos do
projeto, ou seja, a gestão de custos.
115
4.2.2.3 Etapa 3 - visitar as unidades
Após a reunião com a equipe de trabalho e com os gestores
envolvidos, é realizada pela equipe de trabalho uma visita física para
apresentar ao pesquisador as instalações do hospital. Esta visita física é
importante para que o pesquisador conheça a estrutura física do hospital,
ou seja, as unidades, tamanho das salas, quantidade de equipamentos,
pessoas envolvidas, dentre outros.
Em cada unidade pela qual a equipe passa, através de conversas
informais, são fornecidas as principais atividades realizadas. Todas as
informações obtidas são anotadas pelo pesquisado, visto que, constituem
um importante material de apoio para outras etapas da sistemática.
4.2.2.4 Etapa 4 - fazer reunião individual com os responsáveis pelas
unidades
São feitas reuniões individuais sendo dirigidas pelo pesquisador e
pela profissional de controladoria com os responsáveis por cada
unidade. As reuniões têm duração de 30 minutos a 3 horas
aproximadamente, conforme a complexidade do departamento.
Nessas reuniões são discutidos assuntos pertinentes a sistemática
a ser implantada. Como o responsável pela unidade já esteve presente na
reunião geral, tem uma visão prévia do projeto. Assim, são
reafirmados os conceitos apresentados na reunião geral e é feita uma
coleta de informações gerais e específicas da unidade, tais como, a
quantidade de pessoas envolvidas, as principais atividades realizadas, o
horário de trabalho, os relatórios estatísticos existentes, se a unidade faz
requisição de material separada no almoxarifado, se o funcionário está
alocado na unidade correta, dentre outras informações pertinentes à
unidade. Também nesta etapa é avaliado o nível de envolvimento da
unidade com os demais unidades do hospital.
4.2.2.5 Etapa 5 - elaborar diagnóstico do sistema de gestão hospitalar
Além das reuniões individuais é feito um levantamento sobre o
funcionamento do sistema de gestão hospitalar utilizado no hospital.
Em 1996, a Clínica Campo Grande criou o setor de informática
no hospital. Na época, um funcionário técnico e um programador
desenvolveram um sistema de gestão que foi utilizado até o final do ano
116
de 1999 quando decidiu-se trocá-lo por outro sistema oferecido por uma
empresa no ramo, pois não oferecia os dados necessários.
Portanto, existe um software de gestão hospitalar, utilizado desde
o início do ano 2000, que foi escolhido depois de uma avaliação feita
dentre várias empresas que fornecem o respectivo software. A escolha
pelo software utilizado levou-se em consideração primeiramente o
atendimento as necessidades do hospital e, em seguida, se o suporte
técnico e as adequações necessárias são obtidos com facilidade,
flexibilidade. Além, disso, também foi considerado o preço na escolha
da aquisição.
Atualmente o software engloba vários módulos dentre eles:
gestão clínica: ambulatório e marcação de consultas, pronto socorro,
internação, centro cirúrgico, laboratório, imagens, prescrição
eletrônica e prontuário eletrônico;
operacional: estoque, farmácia, compras, faturamento e
manutenção;
administrativo: financeiro e custos;
apoio a decisão: gerencial.
Tendo sido verificado a existência dos dados financeiros no
sistema de gestão, o pesquisador analisa se estão de acordo com os
conceitos da sistemática.
Cada item de custo, obtido do sistema de gestão hospitalar, foi
classificado quanto:
à facilidade de alocação: direto ou indireto;
ao grupo a que pertencente: pessoal, materiais, gerais ou indireto;
à variabilidade: fixo ou variável.
O apêndice A apresenta as informações disponíveis no sistema de
gestão hospitalar levantados e avaliados, para utilização no sistema de
custos.
O apêndice B apresenta as informações estatísticas obtidas
através do sistema de gestão hospitalar.
4.2.2.6 Etapa 6 - determinar os centros de custos
Para a determinação dos centros de custos do hospital é
considerada a estrutura de centros de custos atualmente utilizada no
hospital, pois, através das anotações feitas na visita física, das reuniões
individuais e do levantamento das características individuais das
117
unidades, verifica-se que a atual estrutura é adequada à implantação da
sistemática.
Assim, o apêndice C apresenta os centros de custos e sua
classificação em administrativos, produtivos e auxiliares para o hospital.
4.2.2.7 Etapa 7 - elaborar relatórios de coleta dos dados
Na etapa 4 foram feitas reuniões individuais com cada unidade
com o objetivo de saber quais atividades realizam e se possuem algum
relatório estatístico.
Caso as unidades possuam os relatórios, estes são avaliados para
verificar se cumprem seus objetivos ou se necessitam de
aprimoramento. Porém, caso não tenham nenhum dado estatístico, no
momento da reunião individual é sugerido uma forma de organizar o
trabalho a fim de obter as informações necessárias para serem aplicadas
na sistemática.
Assim, nesta etapa são elaborados pelo pesquisador os relatórios
de coleta de dados para os centros de custos levantados na etapa 6 que
não dispõem da informação através do sistema de gestão hospitalar
(etapa 5).
O apêndice D apresenta os centros de custos para os quais o
pesquisador elaborou relatórios bem como o tipo de informação
necessária.
O apêndice E apresenta um modelo de relatório para o centros de
custos lavanderia que tem o objetivo de apresentar o número de itens
dispensados as outras unidades. Esta informação não consta no sistema
de gestão hospitalar e deve integrar o sistema de custos.
O relatório de coleta para os centros de custos auxiliares e
administrativos foi elaborado com toda a estrutura de centros de custos
existente no hospital e deve informar a quantidade de serviço que o
respectivo centro de custos prestou para o centro de custos que recebeu.
Nos centros de custos produtivos não é necessária a descrição de
todos os centros de custos uma vez que esses não rateiam o custo, pois
ele é o centro de custos prestador de serviço final.
Os relatórios de coleta são preenchidos e entregues ao setor de
custos no prazo máximo definido pela equipe de trabalho que é o quinto
dia útil do mês subsequente. É importante o cumprimento do prazo de
entrega para que seja viabilizado o fechamento do mês, uma vez que a
informação rápida proporciona maiores condições de melhoria.
118
Na maioria dos casos, o relatório é entregue apenas para controle
e conferência, pois os responsáveis têm acesso direto no sistema de
custos para fazer a digitação dos dados.
4.2.2.8 Etapa 8 - desenvolver aplicativo de informática
Com todos os dados organizados, o pesquisador e a profissional
de controladoria iniciam a parametrização do sistema de custos. Como
foi dito no início da dissertação, o cálculo dos custos pode ser feito
através de uma planilha eletrônica (excel) ou com o auxílio de um
sistema informatizado.
No caso do hospital Clínica Campo Grande, foi disponibilizado
pela empresa que forneceu o sistema de gestão hospitalar um sistema
computadorizado que faz a importação de alguns dados do sistema de
gestão hospitalar para o sistema de custos, obtendo assim os dados com
maior facilidade e confiabilidade. Isto possibilita também que outros
usuários do hospital se conectem no sistema de custos para fazer
consultas, digitação e impressão de relatórios.
Nesta etapa, foram cadastrados e parametrizados no sistema de
custos, pelo pesquisador e pela profissional de controladoria, todos os
dados do projeto, tais como:
a estrutura de centros de custos: administrativos, auxiliares e
produtivo;
as bases de rateio para os centros de custos auxiliares e
administrativos;
as unidades de produção: para os centros de custos produtivos;
as bases de rateio: para os itens de custos indiretos;
os grupos de custos: pessoal, materiais, gerais e indiretos;
os itens de custos que compõe os grupos de custos: salários,
medicamentos, energia, dentre outros;
a classificação de cada item de custo: direto ou indireto;
a classificação de cada item de custo: fixo ou variável.
Concluída esta etapa, o sistema está pronto para receber os dados,
processar e gerar as informações através de relatórios gerenciais.
4.2.2.9 Etapa 9 - processamento os dados
A etapa de processamento de dados é feita pelo pesquisador e
pela profissional de controladoria com o auxílio do sistema
119
computadorizado, no momento em que todos os dados já estão digitados
ou já foram importados do sistema de gestão para o sistema de custos.
O sistema de custos é preparado para efetuar o cálculo de
distribuição dos custos indiretos, rateio dos custos auxiliares e
administrativos (neste caso utilizando o método duplo ou recíproco) e os
cálculos de custo unitário (custo total dividido pela quantidade), além da
montagem dos relatórios gerenciais.
Com a utilização do software de apoio, uma vez cadastrados os
dados, parametrizado o sistema e digitado ou feita a importação dos
dados, o processamento dos dados é a etapa mais fácil de ser feita. Ou
seja, o sistema já esta preparado para fazer os cálculos, as apropriações e
a geração dos relatórios que serão utilizados na gestão dos custos.
4.2.2.10 Etapa 10 - fazer acompanhamento dos dados
Uma vez efetuado o processamento dos dados, o pesquisador e a
profissional de controladoria fazem a conferência para verificar se o
custo total do hospital foi distribuído para os centros de custos
produtivos.
Além dessa conferência técnica, o pesquisador e a profissional de
controladoria fazem a análise da incidência dos itens de custos nos
centros de custos, avaliando se houve lançamento exorbitante para
determinado centro de custos, se falta algum lançamento evidente em
algum centro de custos (por exemplo, falta lançamento do item de custo
salário no centro de custos lavanderia onde há funcionários contratados),
se os custos mais aparentes estão lançados (são impressos todos os itens
de custos digitados e avaliados um a um) e, se os dados alocados estão
coerentes e a apuração do custo total e unitário está propiciando um
dado concreto com a apuração do referido centro de custos (por
exemplo, ao analisar a unidade de internação e o custo unitário apurado
for de R$2.000,00 pode ter havido algum lançamento de custo ou de
produção incorreto, ou seja, é um caso a ser avaliado mais
detalhadamente antes da entrega dos relatórios aos gestores).
Após a primeira apuração do custo através do software, inicia-se
a criação de um banco de dados de custos no qual são criando
parâmetros e limites que propiciam maiores condições de análise e a
equipe envolvida vai aprimorando a validação dos dados os quais
podem tamm ter erros de digitação ou são necessários ajustes na
coleta de dados.
120
O pesquisador e a profissional de controladoria verificam também
se a competência dos lançamentos está correta, pois algumas vezes as
notas fiscais podem ser alocadas em centros de custos incorretos ou em
datas incorretas. Isto ocorre devido a falha na identificação do serviço
ou devido ao atraso da entrega da nota fiscal no setor financeiro que faz
o lançamento no sistema de gestão sendo importado para o sistema de
custos.
Essas observações são analisadas mensalmente e o objetivo é que
os erros sejam sanados ou minimizados da melhor forma possível.
4.2.2.11 Etapa 11 - elaborar relatórios gerenciais
Uma vez efetuado o cálculo com o auxílio do software e feito o
acompanhamento (análise) dos dados pelo pesquisador e pela
profissional de controladoria, são gerados os relatórios gerenciais que
propiciam informações de toda apuração do custo.
Os relatórios gerenciais estão disponíveis em diversos formatos
para que possa ser utilizado por todos os níveis de gestão.
No hospital Clínica Campo Grande os relatórios mais utilizados
são: relatório de composição e evolução dos custos, relatório de
composição e variação dos custos, relatório de item de custo, relatório
de demonstração do custo unitário dos serviços, ou seja, dos centros de
custos produtivos e o relatório individualizado por centro de custos.
O apêndice F apresenta um relatório de composição e evolução
dos custos ao longo dos períodos. Este relatório mostra o custo total do
hospital, que é o somatório dos custos diretos e indiretos de todos os
centros de custos auxiliares, administrativos e produtivos, agrupados por
grupos de itens de custos para os meses de maio, junho, julho e agosto
de 2009.
Através deste relatório é possível inferir que o grupo de maior
representatividade no hospital é o de materiais, seguido pelo grupo de
pessoal, ou seja, estes dois grupos de custos contemplam a maior parcela
de custos do hospital.
O apêndice G apresenta um relatório parecido com o relatório
apresentado no apêndice F, ou seja, também é um relatório de
composição de custos porém, o foco de análise está na variação que
ocorre entre o segundo mês apresentado sob referência ao mês anterior
analisando a variação que ocorre em cada item de custo ou em cada
grupo de item de custo. Quanto maior a variação (para mais ou para
menos), maior deve ser o nível de avaliação sob o item em questão. É
121
possível ocorrer uma variação alta entre um mês e outro, não
significando que a apuração está incorreta desde que esta variação seja
justificada.
Através deste relatório é possível verificar qual foi o grupo ou
item de custo com maior ou menor variação nos meses de maio, junho,
julho e agosto de 2009.
O apêndice H apresenta o item de custo “salário” e os centros de
custos onde é alocado bem como o valor alocado, podendo ser elaborada
para os demais itens de custo. É apresentado em ordem decrescente, ou
seja, em primeiro lugar está o centro de custos que recebeu a maior
alocação seguido dos demais.
Também esta tabela apresenta a variação entre o mês subsequente
e o mês anterior, ou seja, o mês de junho é comparado com o mês de
maio e assim por diante. Assim, este relatório proporciona de forma
clara e objetiva a variação que ocorreu no item de custo por centro de
custos nos meses de maio, junho, julho e agosto de 2009.
O apêndice I apresenta o relatório individualizado de um centro
de custos produtivo unidade de internação enquanto o apêndice J
apresenta o relatório individualizado de um centro de custos auxiliar
serviço de processamento de roupas. As informações destes relatórios
estão segregadas por grupo de custo, por item de custo e possibilitam,
dentre outros, observar a evolução ocorrida em cada item de custo e na
própria produção, pois esta pode acarretar um aumento ou uma
diminuição no custo unitário do centro de custos.
O apêndice K apresenta um relatório contemplando o custo total e
unitário de cada centro de custos possibilitando a análise de dados
referente a número de funcionários, custos com pessoal, custos com
materiais, custos gerais e indiretos, rateios recebidos, quantidade
produzida e, por fim, o custo total. Através da divisão do custo total do
centro de custos pela quantidade produzida obtém-se o custo médio
unitário de cada produção realizada no centro de custos.
É importante ressaltar que a equipe de trabalho classifica como
fundamental a divulgação dos dados aos níveis de gestão envolvidos
para que possam tomar conhecimento, analisar, criticar e sugerir
melhoria nos dados apresentados.
Uma vez que os relatórios foram disponibilizados, pode haver
alguns ajustes a serem feitos. As vezes algum detalhe pode não ter sido
visto pelo pesquisador, pela profissional de controladoria ou pelo
diretor, mas a pessoa que está fazendo a gestão do centro de custos, ao
avaliar os dados pode detectar algum lançamento errado ou algum ajuste
a ser feito que possa aprimorar a apuração do custo, proporcionando
122
assim maior confiabilidade nos dados para que o hospital possa ser
gerido com dados confiáveis, minimizando as chances de que uma
tomada de decisão seja feita com dados incorretos.
4.2.2.12 Etapa 12 - determinar o custo por procedimento
O custo por procedimento é apurado com o auxílio das
informações do sistema de gestão hospitalar e do sistema de custos.
Conforme apresentado na figura 10 (custo por procedimento) , a
incidência de cada item da conta do paciente multiplicado pelo custo do
respectivo item forma o custo do procedimento.
Os itens são lançados na conta do paciente assim que o serviço é
realizado. Se o serviço é uma diária, logo que o paciente utiliza essa
diária a mesma é lançada na conta do paciente. Se o paciente consome
um determinado medicamento, esse é lançado na conta do paciente e
assim por diante.
Existem taxas que são passíveis de cobranças conforme o acordo
feito entre o hospital e o convênio. Nesses casos a taxa gera uma receita,
entretanto, o custo já está embutido no custo do serviço maior oferecido,
como, por exemplo, a taxa de tricotomia no centro cirúrgico. Esta taxa é
uma receita e o respectivo custo está apropriado na hora-cirúrgica que o
paciente utiliza no centro cirúrgico.
Com a informação da etapa 12 é apurado o custo unitário dos
serviços, ou sejam dos centros de custos. Com essa informação atrelada
à quantidade de serviços prestados ao paciente, é iniciada a apuração do
custo por procedimento
Além de apurar o custo dos serviços lançados na conta do
paciente, existem os materiais e medicamentos consumidos pelo
paciente no período da utilização do serviço no hospital. Para isso
multiplica-se a quantidade de itens pelo custo médio do item apurado no
almoxarifado ou farmácia do hospital.
O apêndice L apresenta um exemplo de conta do paciente.
4.2.2.13 Etapa 13 - analisar os resultados
Através das etapas 9, 10 e 11 é possível obter o custo médio por
paciente-dia, custo médio da hora-cirúrgica, custo médio por exame,
dentre outros. O custo médio é obtido através da divisão do custo total
(subtraindo o custo com materiais e medicamentos e honorários) do
123
centro de custos pelo número de unidades produzidas pelo centro de
custos.
Uma vez estabelecidos, na etapa 11, os relatórios gerenciais para
acompanhamento e análise dos custos pelos respectivos responsáveis
pelo gerenciamento de cada área, essas informações de custos dos
períodos, comparadas com os meses anteriores são indicadores
importantes tanto no gerenciamento dos custos, avaliação sobre a
produtividade, como na comparação com os valores de receitas obtidas.
Os hospitais podem ter naturezas diferentes (SUS, convênios,
particulares) e para cada natureza existe uma regra de remuneração pré-
estabelecida sobre a qual incidirá a respectiva receita pelo serviço
prestado. Ou seja, além da gestão de custos é importante que o hospital
contemple a análise de resultados.
O apêndice M é um exemplo de relatório de análise de resultados
por centro de custos produtivos que apresenta a receita obtida pela
remuneração dos serviços prestados e dela são diminuídos os custos
variáveis para se chegar ao valor da margem de contribuição, que
cobrirá os custos fixos e representa nos meses de maio, junho e julho um
total de 68%, 68% e 66%, respectivamente, sobre a receita. O relatório
traz também informações quanto ao resultado do centro de custos, ou
seja, o lucro obtido nos períodos e o ponto de equilíbrio, ou seja, o
centro de custos precisa atender 168, 348 e 150 pacientes-dia nos
referidos meses para cobrir seus custos fixos e variáveis. Outra
informação que merece destaque e pode ser útil para a tomada de
decisão é a taxa de ocupação, que está em 73,73%, 89,50% e 73,73%,
respectivamente para os meses de maio, junho e julho.
Este modelo de relatório pode ser elaborado para os demais
centros de custos produtivos do hospital.
A tabela 16 apresenta um relatório para análise dos
procedimentos realizados no hospital. Na primeira coluna listam-se os
procedimentos realizados no hospital no mês de junho de 2009. Em
seguida, a quantidade consumida dos procedimentos seguidos pela
receita total. Na quarta coluna listam-se os custos variáveis e a partir
deste é possível obter a margem de contribuição. Em termos percentuais,
a margem de contribuição representa a parcela com que cada unidade
monetária obtida com a venda dos serviços contribui para cobrir os
custos fixos ou para formar o lucro. Esses conceitos contribuem para o
planejamento de estratégias e para tomada de decisão em geral.
Com o uso deste relatório (tabela 16) é possível analisar qual
procedimento apresenta melhor resultado para o hospital e também qual
apresenta um resultado insatisfatório. Esta análise contempla o valor
124
faturado (receita) pelo serviço prestado e apresenta também a separação
dos custos em fixos e variáveis, possibilitando, com isso, obter a
margem de contribuição de cada procedimento. A nível de ilustração a
tabela 16 apresenta 20 tipos de procedimentos do hospital de um total de
502 tipos de procedimentos realizados no mês de junho.
Ressalta-se que quando um determinado procedimento é
repetitivo, o valor deste é consolidado em uma única célula, por
exemplo, se existem cinco colecistectomias sem colangiografia idênticas
neste mês, as cinco são consolidadas em uma única linha. Logo, para
saber o valor de cada uma é necessário analisar cada conta
separadamente. Neste caso, justifica-se a análise considerando a média
dos valores apresentados do respectivo procedimento.
O apêndice N apresenta um relatório para análise dos convênios
atendidos no hospital. Na primeira coluna listam-se os convênios
atendidos no hospital sendo que para manter a imparcialidade na
apresentação dos dados o nome dos convênios foram alterados por
números aleatoriamente. Na segunda coluna é apresentada a receita total
gerada pelo respectivo convênio. Nas colunas seguintes segue o mesmo
raciocínio da tabela 16 até a coluna “resultado”. Após a coluna resultado
é apresentada a coluna “quantidade de diárias” onde é informada a
quantidade de diárias geradas pelo respectivo convênio e na sequencia é
apresentada a margem de contribuição por diária com a respectiva
representatividade dentro do conjunto de diárias geradas. Nota-se que os
convênios 25, 20 e 38 representam certa de 52% da margem de
contribuição gerada por diária.
Nota-se que alguns convênios não geraram custo com materiais e
medicamentos devido ao não consumo desses itens, ou seja, foram
utilizados apenas custos fixos para a prestação de serviço. E em outros
casos os convênios não geraram diárias, podendo ser respondido devido
a realização de exames ou consultas, não necessitando assim de diárias.
Outras formas de análises podem ser elaboradas agrupando os
dados extraídos da conta do paciente, tais como análise da rentabilidade
e da margem de contribuição por especialidade, por médico, por tipo de
plano, etc.
125
Tabela 16 - Análise de resultado por procedimentos
PROCEDIMENTO
RECEITA
TOTAL
CUSTO COM
MATERIAIS E
MEDICAMENTOS
(R$)
MARGEM DE
CONTRIBUIÇÃO
(R$)
MARGEM DE
CONTRIBUIÇÃO
(%)
CUSTO
COM
SERVIÇOS
(R$)
CUSTO
TOTAL
(R$)
RESUL-
TADO
(R$)
MICROCIRURGIA
VASC.
INTRACRANIANA
99.144,67
60.591,21
38.553,46
39%
6.154,97
66.746,18
32.398,49
IMPLANTE DE
PROTESE
INTRAVASCULAR NA
AORTA
40.257,64
23.099,76
17.157,88
43%
2.378,80
25.478,56
14.779,08
IMPLANTE DE STENT
COM OU SEM
ANGIOPLASTIA P/
BALÃO
35.274,89
20.601,43
14.673,46
42%
1.189,40
21.790,83
13.484,06
IMPLANTE DE STENT
CORONARIO COM OU
SEM ANGIOPLASTIA
33.049,61
14.516,48
18.533,13
56%
2.378,80
16.895,28
16.154,33
RESSECÇÃO
ENDOSCÓPICA DA
PRÓSTATA
28.976,50
5.795,14
23.181,36
80%
14.682,27
20.477,41
8.499,09
IMPLANTE DE
PRÓTESE
INTRAVASC. NA
AORTA PULMONAR
24.854,07
11.214,15
13.639,92
55%
1.189,40
12.403,55
12.450,52
COLECISTECTOMIA
SEM
COLANGIOGRAFIA
18.070,23
4.038,82
14.031,41
78%
8.466,56
12.505,38
5.564,85
REVASCULARIZAÇÃO
DO MIOCARDIO
16.754,19
2.431,92
14.322,27
85%
8.595,40
11.027,32
5.726,87
continua
126
continuação
CATETERISMO CAMAR. DIR.
ESQ. ESTUDO
CINECORONARIOAG.
13.313,79
5.140,00
8.173,79
61%
13.083,41
18.223,41
-4.909,62
ANGIOPLASTIA
TRANSLUMINAL P/VASO
(OUTRA REGIÃO)
12.673,41
6.686,63
5.986,78
47%
1.189,40
7.876,03
4.797,38
APENDICECTOMIA
11.574,96
2.446,67
9.128,29
79%
5.906,11
8.352,78
3.222,18
GASTROPLASTIA PARA
OBESIDADE MORBIDA
11.019,48
3.202,85
7.816,63
71%
5.192,48
8.395,33
2.624,15
CATETERISMO CARDIACO
9.009,80
1.188,42
7.821,38
87%
7.136,41
8.324,83
684,97
TIREOIDECTOMIA TOTAL
8.578,98
2.327,60
6.251,38
73%
6.317,50
8.645,10
-66,12
CATETERISMO CARDÍACO E
E/OU D C/ CINEANGIO. E
VENT
8.450,36
2.074,85
6.375,51
75%
13.083,41
15.158,26
-6.707,90
COLECISTECTOMIA SEM
COLANGIOGRAFIA POR
VIDEO
8.408,12
1.036,66
7.371,46
88%
3.950,33
4.986,99
3.421,13
VIDEOAPENDICECTOMIA
8.382,99
1.085,83
7.297,16
87%
3.453,08
4.538,91
3.844,08
CATETERISMO CAMARA
ESQ. ESTUDO
CINECORONARIOGRAFIA
8.277,85
2.691,58
5.586,27
67%
5.947,01
8.638,59
-360,73
IMPLANTE DE STENT
7.308,41
3.455,88
3.852,53
53%
2.378,80
5.834,68
1.473,73
PROSTATAVESICULECTOMIA
RADICAL
6.712,04
1.294,58
5.417,46
81%
4.100,39
5.394,97
1.317,07
TOTAL
3.049.746,89
736.268,71
2.313.478,18
76%
1.515.831,86
2.252.100,57
825.315,03
127
O hospital é uma empresa complexa interligada por processos
representados aqui em vários centros de custos que oferecem um serviço
ao paciente e cada um destes centros irá refletir no produto final o
procedimento. Portanto é importante evoluir da análise por centros de
custos para a análise por procedimentos.
Tendo sido efetuada a análise de resultados e análise da margem
de contribuição por procedimentos, é possível obter o ponto de
equilíbrio por procedimentos (tabela 18), que expressa o nível de
atividades em que o resultado operacional da empresa é zero, onde
ocorre, portanto, a igualdade entre receita total e o custo total. Ele é
obtido através da divisão do custo fixo total obtido no total da coluna
“custo com serviços” da tabela 16 pela margem de contribuição total
ponderada, obtida pela multiplicação da margem de contribuição
unitária pelo percentual de participação por procedimentos. Com isso
obtém-se o ponto de equilíbrio de um procedimento.
Neste caso o objetivo é calcular o ponto de equilíbrio dos três
procedimentos, então é multiplicado o percentual de participação dos
procedimentos pela quantidade obtida na divisão do custo fixo total pela
margem de contribuição total ponderada. Para tanto, inicialmente devem
ser calculados a receita e o custo variável unitários (tabela 17). Devido a
grande quantidade de procedimentos realizados no hospital, foram
selecionados de forma aleatória três procedimentos para incorrer no
cálculo do ponto de equilíbrio por procedimentos.
O procedimento colecistectomia sem colangiografia é o
procedimento que apresenta menor margem de contribuição, porém,
maior participação ou demanda de mercado. O procedimento implante
de prótese intravascular na aorta apresenta maior margem de
contribuição, porém, menor participação ou demanda de mercado. Já, o
procedimento ressecção endoscópica da próstata apresenta a margem de
contribuição e a participação ou demanda de mercado intermediário
(tabela 18).
128
Tabela 17 - Cálculo da receita unitária e do custo variável unitário por
procedimento
DESCRIÇÃO
PROCEDIMENTOS
RESSECÇÃO
ENDOSCÓPI-
CA DA
PRÓSTATA
IMPLANTE DE
PRÓTESE
INTRAVAS-
CULAR NA
AORTA
COLECIS-
TECTOMIA
SEM
COLANGIO-
GRAFIA
RECEITA TOTAL (R$)
28.976,50
24.854,07
18.070,23
CUSTO COM
MATERIAIS E
MEDICAMENTOS (R$)
5.795,14
11.214,15
4.038,82
CUSTO COM SERVIÇOS
(R$)
14.682,27
1.189,40
8.466,56
RESULTADO (R$)
8.499,09
12.450,52
5.564,85
QUANTIDADE
11
2
17
% DE PARTICIPAÇÃO
36,67
6,67
56,67
RECEITA UNITÁRIA
(R$)
2.634,23
12.427,04
1.062,95
CUSTO VARIÁVEL
UNITÁRIO (R$)
526,83
5.607,08
237,58
Tabela 18 - Ponto de equilíbrio por procedimentos
Descrição
Item
Ressecção
Endoscópi-
ca da
Próstata
Implante de
Prótese
Intravascu-
lar na Aorta
Colecistecto-
mia sem
Colangio-
grafia
Total
Receita unitária
(R$)
A
2.634,23
12.427,04
1.062,95
Custo variável
unitário (R$)
B
526,83
5.607,08
237,58
Margem de
contribuição
unitária (R$)
C = A - B
2.107,40
6.819,96
825,38
Fator de
Ponderação
(participação
ou demanda de
mercado)
D
36,67
6,67
56,67
continua
129
continuação
Margem de
Contribuição
Total
Ponderada (R$)
E = C x D
77.278,22
45.489,13
46.774,12
169.541,48
Custo fixo total
(R$)
F
1.515.831,86
Quantidade do
ponto de
equilíbrio
G = F / E
9
Quantidade do
ponto de
equilíbrio por
procedimento
H = G x D
328
60
507
894
Margem de
contribuição
por
procedimento
(R$)
I = H x C
678.315,47
399.284,31
410.563,36
1.488.163,15
Portanto, dentre estes três procedimentos, é mais vantajoso ao
hospital atender mais pacientes de colecistectomia sem colangiografia.
Ressalta-se porém, que a análise se limita aos aspectos financeiros, não
sendo considerados outros fatores, como por exemplo, os aspectos
sociais e aspectos relacionados com a capacidade de produção. Nota-se
que os hospitais apresentam frequentemente disponibilidade de recursos
para a utilização da sua capacidade operacional.
O item “quantidade do ponto de equilíbrio por procedimento”
possibilita a quantidade exata de procedimentos a serem realizados para
que o resultado operacional do hospital seja zero. Portanto, para o
hospital obter resultados deverá atender paciente acima do ponto de
equilíbrio, pois se o hospital atender uma quantidade menor que a do
ponto de equilíbrio irá incorrer em prejuízos. Quanto aos três
procedimentos em analise, deve atender 328 procedimentos de ressecção
endoscópica da próstata, 60 procedimentos de implante de prótese
intravascular na aorta e 507 procedimentos de colecistectomia sem
colangiografia.
130
4.3 CONSIDERAÇÕES FINAIS
A sistemática proposta foi aplicada no hospital Clínica Campo
Grande que, através de seus funcionários, auxiliaram em sua
implantação. O período de aplicação foi de quatro meses e os dados
referem-se aos meses de maio, junho, julho e agosto.
A sistemática é viável e possibilitou ao hospital, através de vários
relatórios, apurar os custos por procedimento médico. Para tanto, foram
seguidas sequencialmente as etapas estabelecidas pela sistemática.
O capítulo 5 apresentará as conclusões e as sugestões para
trabalhos futuros.
131
5 CONCLUSÃO
5.1 CONCLUSÕES
Um acervo de livros, artigos e estudos revela que o setor de saúde
passa por um momento em que é necessário lidar com os avanços das
pesquisas, tecnologias inovadoras de diagnóstico, aumento da idade
média da população, contratos, exigências de órgãos regulamentadores,
negociações de pagamentos, constante busca pela qualidade, eficiência
no tratamento e a gestão de pessoas, colocam a informação de custo
como uma ferramenta imprescindível para a sobrevivência frente à
competitividade do setor, onde quem determina os preços é o mercado, e
a única maneira de sobreviver é gerenciando os custos.
Os recursos limitados, competição entre as empresas do setor,
oferta de serviços (trazendo maior opção aos consumidores) faz com que
os profissionais da área procurem constante atualização e desenvolvam
assim suas habilidades gerenciais.
A implantação de um sistema de custos em instituições de saúde,
além de propiciar a gestão de custos deve também auxiliar na análise de
resultados.
Fazer a gestão da saúde é tão complexo quanto a gestão de outras
áreas. Tão importante quanto fazer a gestão de custos é analisar os
resultados e confrontar os custos com as respectivas receitas. E para
isso, é necessário primeiramente a estruturação de um sistema de custos,
neste caso foi utilizado o RKW.
É possível perceber, através do apanhado teórico, que o método
ABC é apresentado como uma panaceia para todos os problemas dentro
de um hospital. Porém, a complexidade das instituições de saúde, em
especial os hospitais, torna praticamente impossível a utilização desta
ferramenta em todas as unidades e um hospital. O ABC pode auxiliar os
gestores se aplicado em uma unidade especifica, para melhorar o
processo. Porém, o RKW , apesar de ser possuir suas limitações, ainda é
adequado para as instituições de saúde.
O custo dos serviços apurado pelo RKW proporciona os dados
necessários para que, com a junção dos demais dados lançados na conta
do paciente (custos diretos material e medicamento e outros
lançamentos feitos pelo faturamento), seja possível inferir na apuração
do custo por procedimento, que é o objetivo final do ciclo da
132
apropriação dos custos, uma vez que o hospital é remunerado pelos
procedimentos.
Assim, o custo por procedimento médico hospitalar fornece
informação estratégica para a tomada de decisão.
Porém, para que se obtenha uma apuração de custos mais precisa
faz-se necessário, além do mencionado, que todos os setores
envolvidos no processo de apuração enviem as informações pertinentes
para o setor de custos.
O objetivo geral do trabalho - propor uma sistemática para
apuração dos custos por procedimento médico e assim contribuir para a
melhoria do gerenciamento operacional de instituições de saúde foi
alcançado. O capítulo 3, item 3.7, apresenta a sistemática proposta e o
capítulo 4 mostrou sua adequabilidade através da aplicação em um
hospital. A sistemática apresentada possibilita informações confiáveis
para auxiliar a tomada de decisão.
O primeiro objetivo específico - verificar quais as etapas para a
implantação do RKW em um hospital - foi alcançado nos item 2.2.2.1
da Fundamentação Teórica e consolidado na Etapa 6 da aplicação da
sistemática.
O segundo objetivo específico - apurar o custo dos centros de
custos através do sistema de acumulação de custos por processo foi
consolidado na etapa 11 da aplicação da sistemática.
O terceiro objetivo específico - apurar o custos dos
procedimentos através do sistema de acumulação de custos por
encomenda - foi consolidado na etapa 12 da aplicação da sistemática.
O quarto objetivo específico - apurar a margem de contribuição
dos procedimentos realizados em um hospital - foi consolidado na
etapa 13, conforme a tabela 16 apresentada na aplicação da sistemática.
Por fim, o quinto objetivo específico - calcular o ponto de
equilíbrio por procedimentos também foi consolidado na etapa 13,
conforme as tabelas 16, 17 e 18 apresentadas na aplicação da
sistemática.
No desenvolvimento deste trabalho, é importante o apoio da
direção da empresa, pois a resistência dos setores na implantação de
controles é sempre uma barreira delicada e difícil de transpor. O pessoal
envolvido no processo deve estar consciente que o principal objetivo do
trabalho é o adequado gerenciamento da organização que necessita de
controles para a efetiva aplicação do sistema, porém destacando os
controles como necessidade e não como objetivo.
Vale lembrar que a Contabilidade de Custos não cria nenhuma
informação, ela depende totalmente das informações obtidas nos
133
diversos setores do hospital, por isso, costuma-se afirmar que o mais
importante para a implantação de um sistema de custos é o
envolvimento e participação de todos os níveis da organização, em
especial os geradores de dados que devem estar bem conscientes da
importância da informação, que deve ser gerada com qualidade e
dignidade.
Para que o sistema de apuração de custos hospitalares se
consolide como instrumento que subsidie a tomada de decisões, deve
haver uma permanente supervisão, com acompanhamento e análise dos
resultados da apuração, por parte dos setores que se responsabilizam
pela coordenação da unidade
Ressalta-se que, com base nas informações geradas pela
sistemática, a administração, porém, é quem decide sobre as ações que
precisam ser tomadas para melhorar os resultados.
5.2 SUGESTÕES PARA TRABALHOS FUTUROS
Para estudos futuros, o custo-padrão pode ser utilizado para
analisar as informações apuradas no custo dos procedimentos através de
protocolos padrão de atendimento.
Também pode ser feito um estudo envolvendo simulação dos
custos fixos e o respectivo impacto nos resultados, considerando o
estudo de ociosidade das unidades do hospital.
134
REFERÊNCIAS
ABBAS, Katia. Gestão de custos em organizações hospitalares.
Dissertação (Mestrado em Engenharia de Produção) Programa de Pós-
Graduação em Engenharia de Produção, Universidade Federal de Santa
Catarina, Florianópolis, 2001.
ABBAS, Katia. Uma sistemática para a alocação de recursos em
ativos intangíveis para a maximização da percepção da qualidade
em serviços profissionais. Tese (Doutorado em Engenharia de
Produção) Programa de Pós-Graduação em Engenharia de Produção,
Universidade Federal de Santa Catarina, Florianópolis, 2008.
ALMEIDA, Teófilo R. R. Perspectivas de sobrevivência do hospital.
Revista Paulista de Hospitais, São Paulo, n.5/6, p.104-113, maio/jun.
1983.
BAKER, Judith J. Activity-based costing and activity-based
management for health care. Maryland: Aspen Publishers, 1998.
BAUMGARTNER, Ricardo Rinaldi. Avaliação da aplicabilidade do
custeio ABC activity based costing na acurácia de custos na área
hospitalar, especificamente na Unidade de Terapia Intensiva. Estudo de
um caso prático. 1998. Dissertação (Mestrado em Ciências Financeiras e
Contábeis) PUC, São Paulo.
BERNARDI, Luiz Antonio. Política e formação de preços. São Paulo:
Atlas, 1996
BORNIA, Antonio Cezar. Análise gerencial de custos: uma aplicação
em empresas modernas. 2. Ed. São Paulo: Atlas, 2009.
BRASIL. Conselho Federal de Medicina. Resolução n. 1638/02,
Brasília, 2002.
BRIMSON, James. Contabilidade por atividades: uma abordagem de
custeio baseado em atividades; trad. Antonio T. G. Carneiro. São Paulo:
Atlas, 1996.
135
BRUGER, Newman, et al. Financial management: concepts and
applications for health care organizations. Dubuque, Iowa:
Kendall/Hunt, 1997.
CANBY, James. B. Applying activity-based costing to healthcare
settings. Healthcare Financial Management, v. 49, n. 2, p. 50-64, feb.
1995.
CARPINTÉRO, José Newton Cabral. Custos na área de saúde:
considerações teóricas. VI Congresso Brasileiro de Custos. Anais
eletrônicos... São Paulo - SP, 1999.
CHING, Hong Yuh. Gestão baseada em custeio por atividades =
ABM Activity Based Management 2. Ed. São Paulo : Atlas, 1997.
CHING, Hong Yuh. Manual de custos de instituições de saúde:
sistemas tradicionais de custos e sistema de custeio baseado em
atividades. São Paulo: Atlas, 2001.
COGAN, Samuel. Modelos de ABC/ABM: inclui modelos resolvidos e
metodologia original de reconciliação de dados para ABC/ABM Rio
de Janeiro : Qualitymark 1997.
COLTRO, Alex. SANTOS, Silvio Aparecido dos. A busca da
compreensão da racionalidade e da ética da ação administrativa na
gestão de uma organização hospitalar pública. XXII Encontro da
ANPAD. Anais eletrônicos... Foz do Iguaçu PR, 1998.
DIAS, Elaine Aparecida, PADOVEZE, Clóvis Luís Os diferentes
métodos de custeio e sua implicação na apuração de custo do produto:
um estudo caso em empresa de graxas e óleos industriais. Revista
Eletrônica Gestão e Sociedade. 2. Ed. 2007.
EDBROOKE, D. L.; STEVENS, V. G.; HIBBERT, C. L.; MANN, A.
J.; WILSON, A.J. A new method of accurately identifying costs of
individual patients in intensive care: the initial results. Springer -
Verlag, p. 645-650, 1997.
ESTEVES, Maria Josefa Vilar. A utilização de custos em hospitais
paulistas: um estudo preliminar. Dissertação (Mestrado em Saúde
136
Pública) - Faculdade de Saúde Pública da USP, Universidade de São
Paulo, Sã Paulo, 1992.
FALK, James Anthony. Gestão de custos para hospitais. São Paulo.
Atlas. 2001
FERREIRA, Leonardo Nunes. A utilização do custeio variável como
ferramenta de gestão em hospitais privados: um estudo empírico. XXV
Encontro Nacional de Engenharia de Produção Anais eletrônicos...
Porto Alegre, RS, 2005.
GARATTINI, L.; GIULLIANI, G.; PAGANO, E. A model for
calculating costs of hospital ward: an Italian experience. Journal of
Management in Medicine, v. 13, n. 2, 1999.
GOODE, William J.; HATT, Paul K. todo em pesquisa social. São
Paulo: Nacional,1979.
GRUPO BANCO MUNDIAL. Indicadores do desenvolvimento
mundial 2003. Disponível em:
<http://www.obancomundial.org/index.php/content/view_document/153
4.html>. Acesso em: 10 abr. 2007.
JACOBI, Michael A. How to unlock the benefits of MRP II and Just-in-
Time. Hospital Materiel Management. v. 15, p. 12-22, 1996.
LEONE, George Sebastião Gerra Leone. Custos: planejamento,
implementação e controle. São Paulo: Atlas, 1997
LI, L.; BENTON, W. C. Hospital capacity management decisions:
emphasis on cost control and quality enhancement. European Journal
of Operational Research, n.146, p. 596-614, 2003.
KAPLAN, Robert; COOPER, Robin. Custo e desempenho: administre
seus custos para ser mais competitivo; Tradução O.P. Traduções. São
Paulo: Futura, 1998.
MATOS, Afonso José de. Gestão de custos hospitalares: técnicas,
análise e tomada de decisão. São Paulo: Editora STS, 2002.
137
MATOS, Afonso José de. Análise da relação custo-efetividade do
tratamento com desfibrilador cardioversor implantável. Tese
(Doutorado em Saúde Pública) Programa de Pós-Graduação em Saúde
Pública, Universidade de São Paulo. São Paulo, 2007.
MAHER, Michael. Contabilidade de custos: criando valor para a
administração. Tradução José Evaristo dos Santos. São Paulo: Atlas,
2001.
MARTINS, Domingos. Custos e orçamentos hospitalares. São Paulo:
Atlas, 2000.
MARTINS, Domingos dos Santos. Custeio hospitalar por atividades:
activity based costing. São Paulo: Atlas, 2002.
MARTINS, Eliseu. Contabilidade de custos. 9. Ed. São Paulo: Atlas,
2003.
MARTINS, Vidigal Fernandes. Desenvolvimento de um modelo de
resultados em serviços hospitalares com base na comparação entre
receitas e custos das atividades associadas aos serviços. Dissertação
(Mestrado em Engenharia de Produção) Programa de Pós-Graduação
em Engenharia de Produção, Universidade Federal de Santa Catarina,
Florianópolis, 2002.
MATTOS, José Geraldo de. Sistema de apropriação de custos do
hospital universitário da UFSC: um diagnóstico da situação atual.
Monografia (Especialização em Gestão Hospitalar) Universidade
Federal de Santa Catarina, Florianópolis, 1998.
MÉDICI, André Cezar Economia e financiamento do setor saúde no
Brasil: balanços e perspectivas do processo de descentralização. São
Paulo: Faculdade de Saúde Pública, USP, 1994.
MEKSENAS, Paulo. Pesquisa social e ação pedagógica: conceitos,
métodos e práticas. São Paulo: Loyola, 2002.
MIRANDA, Gilberto José; CARVALHO, Cleverton Euclen de;
MARTINS, Vidigal Fernandes; FARIA, Adolar Ferreira. Custeio ABC
no ambiente hospitalar: um estudo nos hospitais universitários e de
138
ensino brasileiros. Rev. contab. finanç. São Paulo, v.18, n.
44. may/aug. 2007.
NAKAGAWA, Masayuki. ABC: custeio baseado em atividades. São
Paulo: Atlas, 1994.
OLIVEIRA, Alexandre David da Silva; BRUNI, Adriano Leal;
PAIXÃO, Roberto Brazileiro; CARVALHO JÚNIOR, Cesar Valentim.
Estratégia, custos e hospitais: um diagnóstico na cidade de Salvador,
Bahia (2006). XIV Congresso Brasileiro de Custos. Anais eletrônicos...
João Pessoa - PB, 2007.
NEGRINI, D.; KETTLE A.; SHEPPARD, L.; MILLS, G.H.;
EDBROOKE, D.L. The cost of a hospital ward in Europe. Journal of
Heath Organization and Management, v. 18, n. 3, 2004.
NEUMANN, Peter J.; ROSEN, Allison B.; Rosen; WEINSTEIN,
Milton. Medicare and cost-effectiveness analysis. N Engl J Med, v.
353, p. 1516-1522, 2005.
2005, v. 353, p. 1516-22.
PADOVEZE, Clóvis Luís. Curso básico gerencial de custos. 1. Ed.
São Paulo: Thompson, 2005
PATTIO, Maria Luiza Pimenta. Os impactos da implantação do
sistema ABC na Casa de Saúde Santa Maria. Dissertação (Mestrado
em Engenharia de Produção) Programa de Pós-Graduação em
Engenharia de Produção, UFSC, Florianópolis, 2001.
PEREZ JUNIOR, José Hernandez; OLIVEIRA, Luís Martins de;
COSTA, Rogério Guedes. Gestão estratégica de custos. 6. ed. São
Paulo: Atlas, 2009.
POMPERMAYER, Cleonice Bastos. Sistema de gestão de custos:
dificuldades na implantação. Rev. FAE, Curitiba, v.2, n.3, set./dez.,
1999, p.21-28.
PORTER, Michael E. Repensando a saúde: estratégias para melhorar a
qualidade e reduzir custos / Michael E. Porter, Elizabeth Olmsted;
tradução de Cristina Bazan. Porto Alegre: Bookman, 2007.
139
RAIMUNDINI, Simone Letícia; SOUZA, Antonio Artur de;
STRUETT, Mirian Aparecida Micarelli; BOTELHO, Ernani Mendes.
Aplicabilidade do custeio baseado em atividades e análise de custos em
hospitais públicos. R. Adm., São Paulo, v.41, n.4, p.453-465,
out./nov./dez. 2006.
RIBEIRO, Osni Souza. Contabilidade de custos. São Paulo: Saraiva,
2009.
ROCHA, Viviane Lenzi. Dificuldades na implantação de sistemas de
custeio em instituições hospitalares: estudo de caso em um hospital de
Florianópolis. Dissertação (Mestrado em Engenharia de Produção)
Programa de Pós-Graduação em Engenharia de Produção, UFSC,
Florianópolis, 2004.
SÁ, Antonio Lopes de; SÁ, Ana Maria Lopes de. Dicionário de
contabilidade. São Paulo: Atlas, 1995.
SANTOS, Joel José. Contabilidade e análise de custos: modelo
contábil, Métodos de depreciação, ABC custeio baseado em
atividades, análise atualizada de encargos sociais sobre salários. 5. Ed.
São Paulo: Atlas 2009.
SANTIAGO, Josicarla Soares, LOPES, Fátima Gorete Soares de Souza,
LIMA, Diogo Henrique Silva de, SOARES, Yara Magali Albano. A
utilização de informações de custos por instituições hospitalares: um
estudo em hospitais da cidade de Natal RN. In: XIV CONGRESSO
BRASILEIRO DE CUSTOS, Anais eletrônicos... João Pessoa - PB,
2007.
SILVA, Ana Paula Ferreira da; SOUZA, Érica Xavier de; FALK, James
Anthony; MIRANDA, Luiz Carlos. Estudo dos métodos de custeio mais
utilizados pelos hospitais do Recife. In: 2º SEMINÁRIO USP DE
CONTABILIDADE, Anais eletrônicos... São Paulo, 2002.
SILVA, Edna Lúcia da.; MENEZES, Estera Muszkat. Metodologia da
pesquisa e elaboração de dissertação. 3. ed. rev. atual. Florianópolis:
Laboratório de Ensino a Distância da UFSC, 2001.
SILVA, Márcia Zanievicz da. Mensuração dos custos de
procedimentos médicos em organizações hospitalares: sistematização
140
de um método de custeio híbrido à luz do ABC e da UEP. Dissertação
(Mestrado) Universidade Federal de Santa Catarina, Programa de Pós-
Graduação em Contabilidade, 2006
SILVESTRE, William Celso. Sistema de custos ABC: uma visão
avançada para tecnologia de informação e avaliação de desempenho.
São Paulo: Atlas, 2002.
SOUZA, Paulo Cezar Ferreira de. Como são apurados os custos dos
procedimentos médicos: o caso do IMIP - Instituto Materno Infantil
de Pernambuco. Dissertação (Mestrado em Administração) - Programa
de Pós-Graduação em Administração, UFP, Recife, 2004.
SOUZA, Alceu. Gestão de custos: aplicações operacionais e
estratégicas: exercícios resolvidos e propostos com utilização do Excel /
Alceu, Souza, Ademir Clemente. São Paulo: Atlas, 2007.
SOUZA, Antônio Artur; GUERRA, Mariana; AMORIM, Thaísy Las-
Casas Macedo; RAIMUNDINI, Simone Léticia. Modelagem do custeio
baseado em atividades para o centro cirúrgico de hospitais. XXVIII
Encontro Nacional de Engenharia de Produção. Anais eletrônicos... Rio
de Janeiro - RJ, 2008.
SCHULTZ, Charles Albino. Gestão dos custos de serviços públicos de
alta complexidade hospitalar. Dissertação (Mestrado em
Contabilidade) - Programa de Pós Graduação em Contabilidade, UFSC,
Florianópolis, 2007.
VANDERBECK, Edward J, NAGY, Charles F. Contabilidade de
custos. Tradução Roberti Brian Taylor, 11. Ed. São Paulo: Pioneira
Thompson Learning, 2003
VARGAS, Odyr César. O custeio baseado em atividades aplicado em
serviços de UTI hospitalar. Dissertação (Mestrado em Engenharia de
Produção) Programa de Pós-Graduação em Engenharia de Produção,
Universidade Federal de Santa Catarina, Florianópolis, 2002.
141
APÊNDICE A - Informações disponíveis no sistema de gestão
hospitalar
142
Informação
(em R$)
Fonte
Grupo
Facilidade de
alocação
Variabili-
dade
Água e esgoto
Procardio I
Módulo almoxarifado
Indireto
Indireto
Fixo
Água e esgoto
Procardio II
Módulo almoxarifado
Indireto
Indireto
Fixo
Água e esgoto
Clínica
Módulo almoxarifado
Indireto
Indireto
Fixo
Água e esgoto
Ressonância
Módulo almoxarifado
Indireto
Indireto
Fixo
Aluguel
apartamento 1
Módulo almoxarifado
Indireto
Indireto
Fixo
Aluguel
apartamento 7
Módulo almoxarifado
Indireto
Indireto
Fixo
Aluguel
equipamentos
Módulo almoxarifado
Direto
Direto
Fixo
Aluguel
manutenção
Módulo almoxarifado
Indireto
Indireto
Fixo
Aluguel procardio
I
Módulo almoxarifado
Indireto
Indireto
Fixo
Aluguel procardio
II
Módulo almoxarifado
Indireto
Indireto
Fixo
Bens de valores
irrelavantes
Módulo almoxarifado
Direto
Direto
Fixo
Cesta básica
Módulo almoxarifado
Direto
Direto
Fixo
Combustíveis e
lubrificantes
Módulo almoxarifado
Direto
Direto
Fixo
Condução e
transporte
Módulo almoxarifado
Direto
Direto
Fixo
Cursos e
treinamentos
Módulo almoxarifado
Direto
Direto
Fixo
Comunicação
Módulo almoxarifado
Direto
Direto
Fixo
Dietas enterais
Módulo
Farmácia
Direto
Direto
Variável
Doações e
contribuições
Módulo almoxarifado
Direto
Direto
Fixo
continua
143
continuação
Drogas e
medicamentos
Módulo
Farmácia
Direto
Direto
Variável
Energia Procardio
I
Módulo almoxarifado
Indireto
Indireto
Fixo
Energia Procardio
II
Módulo almoxarifado
Indireto
Indireto
Fixo
Energia
apartamento 7
Módulo almoxarifado
Indireto
Indireto
Fixo
Energia
apartamento 1
Módulo almoxarifado
Indireto
Indireto
Fixo
Energia Clínica
Módulo almoxarifado
Indireto
Indireto
Fixo
Energia direta
Módulo almoxarifado
Direto
Direto
Fixo
Entidade de classe
Módulo almoxarifado
Direto
Direto
Fixo
Enxoval
Módulo almoxarifado
Direto
Direto
Fixo
Estagiários
Módulo almoxarifado
Direto
Direto
Fixo
Filmes
radiológicos
Módulo almoxarifado
Direto
Direto
Variável
Gases medicinais
Módulo almoxarifado
Direto
Direto
Variável
Valor com
gêneros
alimentícios
Módulo almoxarifado
Direto
Direto
Fixo
Valor com
honorários
advocatícios
Módulo almoxarifado
Direto
Direto
Fixo
IPTU Procardio I
Módulo almoxarifado
Indireto
Indireto
Fixo
IPVA
Módulo almoxarifado
Direto
Direto
Fixo
Leasing e
consórcio
Módulo almoxarifado
Direto
Direto
Fixo
Manutenção
equipamentos
Módulo almoxarifado
Direto
Direto
Fixo
Manutenção
preventiva
Módulo almoxarifado
Direto
Direto
Fixo
Materiais de
expediente
Módulo almoxarifado
Direto
Direto
Fixo
Materiais de
lavanderia
Módulo almoxarifado
Direto
Direto
Fixo
Materiais de
limpeza
Módulo almoxarifado
Direto
Direto
Fixo
continua
144
continuação
Materiais de
manutenção
Módulo almoxarifado
Direto
Direto
Fixo
Materiais
descartáveis
Módulo almoxarifado
Direto
Direto
Fixo
Materiais
hospitalares
Módulo almoxarifado
Direto
Direto
Variável
Órteses e proteses
Módulo farmácia
Direto
Direto
Variável
Plano de saúde
Módulo almoxarifado
Direto
Direto
Fixo
Reforma e
manutenção
predial
Módulo almoxarifado
Direto
Direto
Fixo
Recibo de
pagamento
autônomo
Módulo almoxarifado
Direto
Direto
Fixo
Salário
Módulo custos
Direto
Direto
Fixo
Seguro
Módulo almoxarifado
Direto
Direto
Fixo
Serviços de
terceiros
Módulo almoxarifado
Direto
Direto
Fixo
Serviços de
esterilização
Módulo almoxarifado
Direto
Direto
Variável
Taxas com
emonumentos e
correios
Módulo almoxarifado
Direto
Direto
Fixo
Telefone
Módulo almoxarifado
Direto
Direto
Fixo
Salário mirim
Módulo almoxarifado
Direto
Direto
Fixo
Fator
participativo
Módulo faturamento
Direto
Direto
Fixo
Honorários
médicos
Módulo faturamento
Direto
Direto
Variável
Materiais e
medicamentos
Módulo farmácia
Direto
Direto
Variável
145
APENDICE B - Informações disponíveis no sistema de gestão
hospitalar
146
INFORMAÇÃO (ESTATÍSTICA)
FONTE
Quantidade de itens comprados
Módulo compras
Número de lançamentos da farmácia
Módulo farmácia
Numero de lançamentos do
almoxarifado
Almoxarifado (Módulo farmácia)
Valor do tarifador
Almoxarifado (Módulo farmácia)
Número de bolsas transfundidas
Relatório estatístico manual
Número de diárias
Módulo faturamento
Número de leitos
Relatório estatístico manual
Número de exames
Módulo ambulatório e imagens
Número de itens glosados
Módulo faturamento
Número de sessões de fisioterapia
Módulo faturamento
Número de agendamentos
Módulo ambulatório
Número de consultas ambulatoriais
Módulo ambulatório
Número de consultas do pronto socorro
Módulo ambulatório
Número de itens faturados
Módulo faturamento
147
APÊNDICE C - Relação de centros de custos com a respectiva
classificação
148
CENTROS DE CUSTOS
CLASSIFICAÇÃO
Unidade de internação - 3º Andar
Produtivo
Unidade de internação - 2º Andar
Produtivo
Centro de terapia intensiva
Produtivo
Unidade coronariana
Produtivo
Centro cirúrgico
Produtivo
Pronto socorro
Produtivo
Procardio I
Produtivo
Procardio II
Produtivo
Hemodinâmica
Produtivo
SADT - Raio-X
Produtivo
SADT Tomografia
Produtivo
SADT Ultrassonografia
Produtivo
SADT ECG
Produtivo
SADT Espirometria
Produtivo
SADT Holter
Produtivo
SADT Mapa
Produtivo
SADT - Teste ergométrico
Produtivo
SADT - Eco transtorácico
Produtivo
SADT - Eco transesofágico
Produtivo
SADT - Eco de estresse
Produtivo
SADT - Laboratório de análises clínicas
Produtivo
SADT - Agência transfusional
Produtivo
Fisioterapia
Produtivo
Almoxarifado
Auxiliar
Farmácia
Auxiliar
Central de Materiais Esterilizados - C.M.E.
Auxiliar
Serviço de Nutrição e Dietética - S.N.D.
Auxiliar
Serviço de Processamento de Roupas
Auxiliar
Serviço de Higiene e Limpeza
Auxiliar
Governança
Auxiliar
Serviço de Arquivo Médico e Estatístico - S.A.M.E.
Auxiliar
continua
149
continuação
Supervisão de Enfermagem
Auxiliar
Manutenção
Auxiliar
Usina de O2
Auxiliar
Gerador
Auxiliar
Central de abastecimento de água
Auxiliar
Serviço de controle de infecção hospitalar
Auxiliar
Recepção internação
Auxiliar
Recepção pronto socorro
Auxiliar
Recepção exames
Auxiliar
Recepção hemodinâmica e tomografia
Auxiliar
Recepção raio-X
Auxiliar
Agendamento
Auxiliar
Transporte
Auxiliar
Segurança
Auxiliar
Áreas comuns
Auxiliar
Administração
Administrativo
Comunicação e marketing
Administrativo
Controladoria
Administrativo
Financeiro
Administrativo
Patrimônio
Administrativo
Tecnologia da informação
Administrativo
Departamento pessoal
Administrativo
Recursos humanos
Administrativo
Serviço especializado em segurança e medicina do
trabalho
Administrativo
Faturamento
Administrativo
Recursos de glosas
Administrativo
Compras
Administrativo
Telefonia
Administrativo
Centro de estudos
Administrativo
Refeições pagas
Não operacionais
Honorários médicos
Não operacionais
continua
150
continuação
Estacionamento
Não operacionais
Obras e reformas sub-solo
Não operacionais
Obras e reformas central de abastecimento de água
Não operacionais
Obras e reformas procardio I
Não operacionais
Obras e reformas procardio II
Não operacionais
Obras e reformas faturamento
Não operacionais
Obras e reformas 2º andar
Não operacionais
Obras e reformas centro cirúrgico
Não operacionais
Obras e reformas agência transfusional
Não operacionais
Obras e reformas administração
Não operacionais
Obras e reformas pronto socorro
Não operacionais
Obras e reformas áreas comuns
Não operacionais
Obras e reformas 3º andar
Não operacionais
151
APENDICE D - Informações adicionais necessária para coleta de
dados
152
CENTRO DE CUSTOS
INFORMAÇÃO
Centro cirúrgico
Tempo de cirurgia por paciente
Central de Materiais Esterilizados
Número de itens esterilizados x peso
Serviço de Nutrição e Dietética
Número de refeições x peso
Serviço de Processamento de
Roupas
Kg de roupas lavadas
Serviço de Higiene e Limpeza
Área m
2
x níveis de criticidade
Governança
Minutos trabalhados da governança
Serviço de Arquivo Médico e
Estatístico
Número de documentos movimentados,
arquivados e arquivoteca
Supervisão de Enfermagem
Número de funcionários da enfermagem
Manutenção
Minutos trabalhados da manutenção
Usina de O2
% de consumo de gases medicinais
Gerador
% de consumo do gerador
Central de Abastecimento de Água
% de consumo da central de abast. de
água
Serviço de Controle de Infecção
Hospitalar
Minutos trabalhados do SCIH
Recepção Internação
Número de internações / transferências
Recepção Pronto Socorro
100% Pronto Socorro
Recepção Exames
Número de exames da recepção de
exames
Recepção Hemodinâmica e
Tomografia
Nº de exames da tomografia e
hemodinâmica
Recepção Raio-X
100 % Raio X
Agendamento
Número de agendamentos
Transporte
Km rodados
Segurança
Área m
2
Clínica
Áreas Comuns
Área m
2
Clínica
Administração
Número de funcionários
Comunicação e Marketing
% de custos diretos
Controladoria
% de custos diretos
Financeiro
% de custos diretos
Patrimônio
Número de itens patrimoniados
continua
153
continuação
Tecnologia da Informação
Número de equipamentos de informática
Departamento Pessoal
Número de funcionários
Recursos Humanos
Número de funcionários
S.E.S.M.T.
Número de funcionários
Faturamento
Número de itens faturados Clínica
Recursos de Glosas
Número de itens glosados
Compras
Número de itens solicitados ao compras
Telefonia
Valor do tarifador
Centro de Estudos
Número de pacientes-dia, atendimentos e
consultas
154
APENDICE E - Modelo de relatório de coleta de dados
155
CLÍNICA CAMPO GRANDE
QUILOGRAMAS DE ROUPAS LAVADAS PELA LAVANDERIA
RESPONSÁVEL: _____________________________________
MÊS / ANO: _________________________________________
DESCRIÇÃO DO CENTRO DE CUSTOS
KG DE ROUPAS
LAVADAS PELA
LAVANDERIA
Unidade de internação - 3º Andar
Unidade de internação - 2º Andar
Centro de terapia intensiva
Unidade coronariana
Centro cirúrgico
Pronto socorro
Procardio I
Procardio II
Hemodinâmica
SADT - Raio-X
SADT - Tomografia
SADT - Ultrassonografia
SADT - ECG
SADT - Espirometria
SADT - Holter
SADT - Mapa
SADT - Teste ergométrico
SADT - Eco transtorácico
SADT - Eco transesofágico
SADT - Eco de estresse
continua
156
continuação
SADT - Laboratório de análises clínicas
SADT - Agência transfusional
Fisioterapia
Almoxarifado
Farmácia
Central de Materiais Esterilizados - C.M.E.
Serviço de Nutrição e Dietética - S.N.D.
Serviço de Processamento de Roupas
Serviço de Higiene e Limpeza
Governança
Serviço de Arquivo Médico e Estatístico -
S.A.M.E.
Supervisão de Enfermagem
Manutenção
Usina de O2
Gerador
Central de abastecimento de água
Serviço de controle de infecção hospitalar
Recepção internação
Recepção pronto socorro
Recepção exames
Recepção hemodinâmica e tomografia
Recepção raio-X
Agendamento
Transporte
Segurança
Áreas comuns
Administração
Comunicação e marketing
Controladoria
Financeiro
Patrimônio
continua
157
continuação
Tecnologia da informação
Departamento pessoal
Recursos humanos
Serviço especializado em segurança e medicina
do trabalho
Faturamento
Recursos de glosas
Compras
Telefonia
Centro de estudos
Refeições pagas
Honorários médicos
Estacionamento
Obras e reformas sub-solo
Obras e reformas central de abastecimento de
água
Obras e reformas procardio I
Obras e reformas procardio II
Obras e reformas faturamento
Obras e reformas 2º andar
Obras e reformas centro cirúrgico
Obras e reformas agência transfusional
Obras e reformas administração
Obras e reformas pronto socorro
Obras e reformas áreas comuns
Obras e reformas 3º andar
TOTAL
158
APÊNDICE F - Relatório de composição e evolução dos custos
159
CUSTOS
Maio/09
Jun./09
Jul./09
Ago./09
Valor
%
Valor
%
Valor
%
Valor
%
CUSTOS DIRETOS
PESSOAL
SALARIO
274.883,27
12,40
285.788,49
12,69
287.742,84
13,53
305.438,50
13,69
COMPLEMENTO
36.426,55
1,64
33.617,38
1,49
38.693,30
1,82
35.760,49
1,60
SALARIO MIRIM
6.978,64
0,31
7.405,98
0,33
6.087,74
0,29
5.233,98
0,23
HORAS EXTRAS
10.679,12
0,48
12.684,17
0,56
13.439,27
0,63
9.088,67
0,41
GRATIFICAÇÕES
20.141,20
0,91
24.467,50
1,09
35.558,35
1,67
37.064,00
1,66
PROLABORE
21.400,00
0,97
24.570,00
1,09
18.340,00
0,86
18.340,00
0,82
ESTAGIARIOS
2.611,00
0,12
3.471,88
0,15
5.569,20
0,26
5.222,01
0,23
HONORARIOS MEDICOS -
P.S./C.T.I./U.C.O.
129.852,60
5,86
117.185,28
5,20
126.596,32
5,95
133.284,74
5,97
BENEFICIOS
25.418,81
1,15
24.650,36
1,09
26.282,36
1,24
26.550,18
1,19
ENCARGOS SOCIAIS E PROVISOES
160.371,82
7,23
167.622,22
7,44
169.143,91
7,95
176.638,47
7,92
ENCARGOS SOCIAIS E PROVISOE
PROLABORE
2.988,00
0,13
3.622,00
0,16
3.668,00
0,17
3.668,00
0,16
TOTAL:
691.751,01
31,20
705.085,26
31,31
731.121,29
34,38
756.289,04
33,89
continua
160
continuação
HONORARIOS MEDICOS
HONORARIOS MÉDICOS
331.642,12
14,96
294.741,92
13,09
331.105,00
15,57
325.043,48
14,57
TOTAL:
331.642,12
14,96
294.741,92
13,09
331.105,00
15,57
325.043,48
14,57
MATERIAIS
DROGAS E MEDICAMENTOS
290.743,74
13,12
237.514,52
10,55
246.608,54
11,60
276.913,60
12,41
MATERIAIS HOSPITALARES
70.497,87
3,18
74.086,61
3,29
78.556,35
3,69
72.654,84
3,26
MATERIAIS RADIOLOGICOS
10.398,11
0,47
15.748,43
0,70
20.133,25
0,95
13.475,20
0,60
NUTRIÇÃO PARENTERAL
26.789,08
1,21
29.891,12
1,33
30.566,28
1,44
31.811,72
1,43
ORTESE, PROTESES E MATERIAIS
344.877,07
15,56
464.138,38
20,61
255.252,81
12,00
298.482,06
13,38
GASES MEDICINAIS
3.691,87
0,17
2.799,19
0,12
3.403,35
0,16
5.849,14
0,26
GENEROS ALIMENTICIOS
20.382,69
0,92
18.787,63
0,83
25.652,26
1,21
23.177,98
1,04
MATERIAIS DE EXPEDIENTE
17.824,10
0,80
18.002,36
0,80
19.830,01
0,93
19.370,98
0,87
MATERIAIS DE LIMPEZA
12.766,39
0,58
14.338,21
0,64
15.307,44
0,72
16.141,45
0,72
MATERIAIS DE LAVANDERIA
4.368,03
0,20
5.765,55
0,26
4.866,42
0,23
5.077,44
0,23
MATERIAIS DESCARTAVEIS
6.295,56
0,28
5.105,68
0,23
5.093,51
0,24
6.124,80
0,27
MATERIAIS DE MANUTENÇÃO
2.412,35
0,11
1.320,71
0,06
2.198,98
0,10
1.438,55
0,06
OBRAS E REFORMAS
10.693,93
0,48
6.655,55
0,30
9.330,88
0,44
9.359,24
0,42
TECIDOS E CONFECÇÕES (ENXOVAL)
4.486,58
0,20
5.861,44
0,26
5.790,95
0,27
4.814,40
0,22
TOTAL:
826.227,37
37,27
900.015,38
39,96
722.591,03
33,98
784.691,40
35,16
continua
161
continuação
CUSTOS GERAIS
ALUGUEL APTO
12.670,98
0,57
15.107,78
0,67
15.212,05
0,72
15.212,05
0,68
ÁGUA E ESGOTO RESSONÂNCIA
62,01
0,00
474,50
0,02
590,84
0,03
123,90
0,01
DEPRECIAÇÃO
23.379,82
1,05
23.752,66
1,05
25.041,60
1,18
25.389,14
1,14
SERVICO DE TERCEIROS
51.908,14
2,34
47.079,87
2,09
46.522,66
2,19
49.958,44
2,24
TELEFONE
16.128,07
0,73
10.638,66
0,47
14.791,67
0,70
15.883,08
0,71
MANUTENÇÃO PREVENTIVA
23.684,60
1,07
23.772,79
1,06
24.447,54
1,15
24.363,36
1,09
SERVIÇOS DE ESTERILIZAÇÃO
3.788,19
0,17
3.288,40
0,15
3.965,28
0,19
4.039,55
0,18
HONORARIOS ADVOCATICIOS
2.720,00
0,12
2.720,00
0,12
2.720,00
0,13
2.720,00
0,12
COMUNICAÇÃO E MARKETING
18.801,98
0,85
17.832,11
0,79
17.336,96
0,82
15.427,40
0,69
LEASING / CONSORCIO
64.857,26
2,93
64.857,26
2,88
64.857,26
3,05
66.370,52
2,97
MANUTENÇÃO DE
EQUIPAMENTOS
17.187,20
0,78
11.170,95
0,50
11.078,23
0,52
14.299,14
0,64
ALUGUEL EQUIPAMENTOS
10.170,04
0,46
10.376,63
0,46
10.944,41
0,51
14.233,60
0,64
COMBUSTIVEL E LUBRIFICANTES
2.479,11
0,11
2.598,08
0,12
1.935,44
0,09
1.686,34
0,08
CONDUÇÃO, TRANSPORTE E TAXI
4.577,00
0,21
3.190,73
0,14
2.252,68
0,11
2.014,10
0,09
ENERGIA ELETRICA
8.471,33
0,38
9.979,27
0,44
6.676,45
0,31
9.830,84
0,44
SEGURO DE VEÍCULO
0,00
0,00
0,00
0,00
0,00
0,00
172,46
0,01
IPVA
64,16
0,00
64,16
0,00
64,17
0,00
64,17
0,00
CURSOS E TREINAMENTOS
476,79
0,02
2.456,29
0,11
1.823,40
0,09
1.817,11
0,08
continua
162
continuação
BENS DE VALORES
IRRELEVANTES
7.115,60
0,32
6.620,70
0,29
7.848,63
0,37
9.470,31
0,42
ENTIDADE DE CLASSE
2.022,07
0,09
2.825,09
0,13
1.279,13
0,06
1.279,13
0,06
TAXAS, EMOLUMENTOS E
CORREIOS
2.280,40
0,10
2.931,08
0,13
2.339,15
0,11
2.471,80
0,11
TOTAL:
272.844,75
12,31
261.737,01
11,62
261.727,55
12,31
276.826,44
12,41
TOTAL DIRETOS:
2.122.465,25
95,74
2.161.579,57
95,98
2.046.544,87
96,23
2.142.850,36
96,03
CUSTOS INDIRETOS
ENERGIA ELETRICA CLINICA
18.679,78
0,84
17.667,51
0,78
14.821,37
0,70
19.732,03
0,88
ENERGIA ELETRICA - CLINICA II
8.902,68
0,40
8.790,33
0,39
6.716,05
0,32
6.532,46
0,29
ENERGIA ELETRICA PROCARDIO I
1.876,61
0,08
1.600,02
0,07
1.107,69
0,05
1.321,92
0,06
ENERGIA ELETRICA - PROCARDIO
II
2.351,70
0,11
1.786,89
0,08
1.145,58
0,05
1.429,79
0,06
ENERGIA ELETRICA - APTO 01
129,23
0,01
84,85
0,00
78,62
0,00
109,78
0,00
AGUA E ESGOTO CLINICA
6.850,79
0,31
10.363,81
0,46
7.560,04
0,36
8.526,39
0,38
AGUA E ESGOTO - PROCARDIO II
51,41
0,00
51,41
0,00
51,41
0,00
51,41
0,00
AGUA E ESGOTO - PROCARDIO I
284,12
0,01
284,12
0,01
146,62
0,01
287,09
0,01
ALUGUEL CLINICA
34.999,99
1,58
34.999,99
1,55
34.999,99
1,65
34.999,99
1,57
ALUGUEL PROCARDIO I
4.773,26
0,22
4.773,26
0,21
4.858,70
0,23
4.858,70
0,22
ALUGUEL PROCARDIO II
3.499,99
0,16
3.499,99
0,16
3.499,99
0,16
3.499,99
0,16
ALUGUEL APTO 7
541,22
0,02
541,22
0,02
541,22
0,03
541,22
0,02
continua
163
continuação
ALUGUEL APTO 1
561,56
0,03
561,56
0,02
561,56
0,03
561,56
0,03
ALUGUEL MANUT, LAV, ALMOX ,
FARMA,
465,00
0,02
465,00
0,02
465,00
0,02
465,00
0,02
IPTU CLINICA
2.573,16
0,12
2.573,16
0,11
2.573,16
0,12
2.573,18
0,12
IPTU - PROCARDIO II
395,09
0,02
395,09
0,02
395,09
0,02
395,09
0,02
IPTU - PROCARDIO I
582,80
0,03
582,80
0,03
582,80
0,03
582,80
0,03
IMPOSTOS, TAXAS E
CONTRIBUIÇÕES
6.869,99
0,31
1.499,99
0,07
0,00
0,00
2.199,99
0,10
TOTAL:
94.388,38
4,26
90.521,00
4,02
80.104,89
3,77
88.668,39
3,97
TOTAL INDIRETOS:
94.388,38
4,26
90.521,00
4,02
80.104,89
3,77
88.668,39
3,97
TOTAL DIRETOS + INDIRETOS
2.216.853,63
100,00
2.252.100,57
100,00
2.126.649,76
100,00
2.231.518,75
100,00
164
APENDICE G - Relatório de composição e variação dos custos
165
CUSTOS
Maio/09
Jun./09
Jul./09
Ago./09
Valor
%
Valor
%
Valor
%
Valor
%
CUSTOS DIRETOS
PESSOAL
SALARIO
274.883,27
0,00
285.788,49
3,97
287.742,84
0,68
305.438,50
6,15
COMPLEMENTO
36.426,55
0,00
33.617,38
-7,71
38.693,30
15,10
35.760,49
-7,58
SALARIO MIRIM
6.978,64
0,00
7.405,98
6,12
6.087,74
-17,80
5.233,98
-14,02
HORAS EXTRAS
10.679,12
0,00
12.684,17
18,78
13.439,27
5,95
9.088,67
-32,37
GRATIFICAÇÕES
20.141,20
0,00
24.467,50
21,48
35.558,35
45,33
37.064,00
4,23
PROLABORE
21.400,00
0,00
24.570,00
14,81
18.340,00
-25,36
18.340,00
0,00
ESTAGIARIOS
2.611,00
0,00
3.471,88
32,97
5.569,20
60,41
5.222,01
-6,23
HONORARIOS MEDICOS -
P.S./C.T.I./U.C.O.
129.852,60
0,00
117.185,28
-9,76
126.596,32
8,03
133.284,74
5,28
BENEFICIOS
25.418,81
0,00
24.650,36
-3,02
26.282,36
6,62
26.550,18
1,02
ENCARGOS SOCIAIS E PROVISOES
160.371,82
0,00
167.622,22
4,52
169.143,91
0,91
176.638,47
4,43
ENCARGOS SOCIAIS E PROVISOE
PROLABORE
2.988,00
0,00
3.622,00
21,22
3.668,00
1,27
3.668,00
0,00
TOTAL:
691.751,01
0,00
705.085,26
1,93
731.121,29
3,69
756.289,04
3,44
continua
166
continuação
HONORARIOS MEDICOS
HONORARIOS MÉDICOS
331.642,12
0,00
294.741,92
-11,13
331.105,00
12,34
325.043,48
-1,83
TOTAL:
331.642,12
0,00
294.741,92
-11,13
331.105,00
12,34
325.043,48
-1,83
MATERIAIS
DROGAS E MEDICAMENTOS
290.743,74
0,00
237.514,52
-18,31
246.608,54
3,83
276.913,60
12,29
MATERIAIS HOSPITALARES
70.497,87
0,00
74.086,61
5,09
78.556,35
6,03
72.654,84
-7,51
MATERIAIS RADIOLOGICOS
10.398,11
0,00
15.748,43
51,45
20.133,25
27,84
13.475,20
-33,07
NUTRIÇÃO PARENTERAL
26.789,08
0,00
29.891,12
11,58
30.566,28
2,26
31.811,72
4,07
ORTESE, PROTESES E MATERIAIS
ESPECIAIS
344.877,07
0,00
464.138,38
34,58
255.252,81
-45,01
298.482,06
16,94
GASES MEDICINAIS
3.691,87
0,00
2.799,19
-24,18
3.403,35
21,58
5.849,14
71,86
GENEROS ALIMENTICIOS
20.382,69
0,00
18.787,63
-7,83
25.652,26
36,54
23.177,98
-9,65
MATERIAIS DE EXPEDIENTE
17.824,10
0,00
18.002,36
1,00
19.830,01
10,15
19.370,98
-2,31
MATERIAIS DE LIMPEZA
12.766,39
0,00
14.338,21
12,31
15.307,44
6,76
16.141,45
5,45
MATERIAIS DE LAVANDERIA
4.368,03
0,00
5.765,55
31,99
4.866,42
-15,59
5.077,44
4,34
MATERIAIS DESCARTAVEIS
6.295,56
0,00
5.105,68
-18,90
5.093,51
-0,24
6.124,80
20,25
MATERIAIS DE MANUTENCAO
2.412,35
0,00
1.320,71
-45,25
2.198,98
66,50
1.438,55
-34,58
OBRAS E REFORMAS
10.693,93
0,00
6.655,55
-37,76
9.330,88
40,20
9.359,24
0,30
TECIDOS E CONFECCOES (ENXOVAL)
4.486,58
0,00
5.861,44
30,64
5.790,95
-1,20
4.814,40
-16,86
TOTAL:
826.227,37
0,00
900.015,38
8,93
722.591,03
-19,71
784.691,40
8,59
continua
167
continuação
CUSTOS GERAIS
ALUGUEL APTO
12.670,98
0,00
15.107,78
19,23
15.212,05
0,69
15.212,05
0,00
ÁGUA E ESGOTO RESSONÂNCIA
62,01
0,00
474,50
665,20
590,84
24,52
123,90
-79,03
DEPRECIAÇÃO
23.379,82
0,00
23.752,66
1,59
25.041,60
5,43
25.389,14
1,39
SERVICO DE TERCEIROS
51.908,14
0,00
47.079,87
-9,30
46.522,66
-1,18
49.958,44
7,39
TELEFONE
16.128,07
0,00
10.638,66
-34,04
14.791,67
39,04
15.883,08
7,38
MANUTENÇÃO PREVENTIVA
23.684,60
0,00
23.772,79
0,37
24.447,54
2,84
24.363,36
-0,34
SERVIÇOS DE ESTERILIZAÇÃO
3.788,19
0,00
3.288,40
-13,19
3.965,28
20,58
4.039,55
1,87
HONORARIOS ADVOCATICIOS
2.720,00
0,00
2.720,00
0,00
2.720,00
0,00
2.720,00
0,00
COMUNICAÇÃO E MARKETING
18.801,98
0,00
17.832,11
-5,16
17.336,96
-2,78
15.427,40
-11,01
LEASING / CONSORCIO
64.857,26
0,00
64.857,26
0,00
64.857,26
0,00
66.370,52
2,33
MANUTENÇÃO DE EQUIPAMENTOS
17.187,20
0,00
11.170,95
-35,00
11.078,23
-0,83
14.299,14
29,07
ALUGUEL EQUIPAMENTOS
10.170,04
0,00
10.376,63
2,03
10.944,41
5,47
14.233,60
30,05
COMBUSTIVEL E LUBRIFICANTES
2.479,11
0,00
2.598,08
4,80
1.935,44
-25,50
1.686,34
-12,87
CONDUÇÃO, TRANSPORTE E TAXI
4.577,00
0,00
3.190,73
-30,29
2.252,68
-29,40
2.014,10
-10,59
ENERGIA ELETRICA
8.471,33
0,00
9.979,27
17,80
6.676,45
-33,10
9.830,84
47,25
SEGURO DE VEÍCULO
0,00
0,00
0,00
0,00
0,00
0,00
172,46
0,00
IPVA
64,16
0,00
64,16
0,00
64,17
0,02
64,17
0,00
CURSOS E TREINAMENTOS
476,79
0,00
2.456,29
415,17
1.823,40
-25,77
1.817,11
-0,34
BENS DE VALORES IRRELEVANTES
7.115,60
0,00
6.620,70
-6,96
7.848,63
18,55
9.470,31
20,66
continua
168
continuação
ENTIDADE DE CLASSE
2.022,07
0,00
2.825,09
39,71
1.279,13
-54,72
1.279,13
0,00
TAXAS, EMOLUMENTOS E CORREIOS
2.280,40
0,00
2.931,08
28,53
2.339,15
-20,19
2.471,80
5,67
TOTAL:
272.844,75
0,00
261.737,01
-4,07
261.727,55
0,00
276.826,44
5,77
TOTAL DIRETOS:
2.122.465,25
0,00
2.161.579,57
1,84
2.046.544,87
-5,32
2.142.850,36
4,71
CUSTOS INDIRETOS
ENERGIA ELETRICA CLINICA
18.679,78
0,00
17.667,51
-5,42
14.821,37
-16,11
19.732,03
33,13
ENERGIA ELETRICA - CLINICA II
8.902,68
0,00
8.790,33
-1,26
6.716,05
-23,60
6.532,46
-2,73
ENERGIA ELETRICA PROCARDIO I
1.876,61
0,00
1.600,02
-14,74
1.107,69
-30,77
1.321,92
19,34
ENERGIA ELETRICA - PROCARDIO II
2.351,70
0,00
1.786,89
-24,02
1.145,58
-35,89
1.429,79
24,81
ENERGIA ELETRICA - APTO 01
129,23
0,00
84,85
-34,34
78,62
-7,34
109,78
39,63
AGUA E ESGOTO CLINICA
6.850,79
0,00
10.363,81
51,28
7.560,04
-27,05
8.526,39
12,78
AGUA E ESGOTO - PROCARDIO II
51,41
0,00
51,41
0,00
51,41
0,00
51,41
0,00
AGUA E ESGOTO - PROCARDIO I
284,12
0,00
284,12
0,00
146,62
-48,40
287,09
95,81
ALUGUEL CLINICA
34.999,99
0,00
34.999,99
0,00
34.999,99
0,00
34.999,99
0,00
ALUGUEL PROCARDIO I
4.773,26
0,00
4.773,26
0,00
4.858,70
1,79
4.858,70
0,00
ALUGUEL PROCARDIO II
3.499,99
0,00
3.499,99
0,00
3.499,99
0,00
3.499,99
0,00
ALUGUEL APTO 7
541,22
0,00
541,22
0,00
541,22
0,00
541,22
0,00
ALUGUEL APTO 1
561,56
0,00
561,56
0,00
561,56
0,00
561,56
0,00
ALUGUEL MANUT, LAV,ALMOX ,
FARMA, LIMP
465,00
0,00
465,00
0,00
465,00
0,00
465,00
0,00
continua
169
continuação
IPTU - CLINICA
2.573,16
0,00
2.573,16
0,00
2.573,16
0,00
2.573,18
0,00
IPTU - PROCARDIO II
395,09
0,00
395,09
0,00
395,09
0,00
395,09
0,00
IPTU - PROCARDIO I
582,80
0,00
582,80
0,00
582,80
0,00
582,80
0,00
IMPOSTOS, TAXAS E
CONTRIBUIÇÕES
6.869,99
0,00
1.499,99
-78,17
0,00
0,00
2.199,99
0,00
TOTAL:
94.388,38
0,00
90.521,00
-4,10
80.104,89
-11,51
88.668,39
10,69
TOTAL INDIRETOS:
94.388,38
0,00
90.521,00
-4,10
80.104,89
-11,51
88.668,39
10,69
TOTAL DIRETOS + INDIRETOS
2.216.853,63
0,00
2.252.100,57
1,59
2.126.649,76
-5,57
2.231.518,75
4,93
170
APÊNDICE H - Relatórios de item de custo por centro de custos
171
CENTROS DE CUSTOS
SALÁRIO
Mai./09
Jun./09
Jul./09
Ago./09
Valor
%
Valor
%
Valor
%
Valor
%
CENTRO DE TERAPIA INTENSIVA - C.T.I
22.377,38
0,00
23.368,68
4,43
23.368,68
0,00
23.609,02
1,03
UNIDADE DE INTERNAÇÃO - 2º ANDAR
23.748,54
0,00
23.367,13
-1,61
24.114,71
3,20
22.393,63
-7,14
UNIDADE CORONARIANA - U.C.O
21.064,57
0,00
22.595,02
7,27
23.075,69
2,13
22.354,68
-3,12
CENTRO CIRÚRGICO - C.C.
15.544,76
0,00
16.437,63
5,74
16.437,63
0,00
16.874,56
2,66
FATURAMENTO
12.245,22
0,00
13.049,06
6,56
10.690,77
-18,07
15.745,34
47,28
SERVIÇO DE NUTRIÇÃO E DIETÉTICA -
SND
14.059,23
0,00
14.059,23
0,00
14.059,23
0,00
14.059,23
0,00
PRONTO SOCORRO - P.S.
10.975,50
0,00
12.703,40
15,74
12.703,40
0,00
12.953,09
1,97
SERVIÇO DE HIGIENE E LIMPEZA
10.136,00
0,00
10.916,07
7,70
11.526,07
5,59
12.840,07
11,40
FARMÁCIA
11.030,76
0,00
11.030,76
0,00
11.030,76
0,00
11.711,89
6,17
SADT - RESSONÂNCIA MAGNÉTICA
4.958,43
0,00
5.899,58
18,98
5.899,58
0,00
10.603,14
79,73
ADMINISTRAÇÃO
5.164,16
0,00
5.735,42
11,06
7.652,90
33,43
10.053,02
31,36
RECUSOS DE GLOSAS
4.351,60
0,00
5.065,76
16,41
5.065,76
0,00
9.381,80
85,20
SUPERVISÃO DE ENFERMAGEM
10.778,29
0,00
8.943,84
-17,02
8.943,84
0,00
8.943,84
0,00
FISIOTERAPIA
8.148,56
0,00
8.148,56
0,00
8.148,56
0,00
8.148,56
0,00
UNIDADE DE INTERNAÇÃO - 3 ANDAR
6.552,06
0,00
6.911,49
5,49
6.911,49
0,00
6.911,49
0,00
SERVIÇO DE PROCESSAMENTO DE
6.100,00
0,00
6.520,04
6,89
6.520,04
0,00
6.520,04
0,00
continua
172
continuação
SADT RAIO-X
6.517,42
0,00
6.567,27
0,76
6.487,37
-1,22
6.487,37
0,00
MANUTENCÃO
5.586,07
0,00
5.726,47
2,51
5.726,47
0,00
5.726,47
0,00
SADT - HEMODINAMICA
4.170,01
0,00
4.504,26
8,02
4.504,26
0,00
4.504,26
0,00
RECEPÇÃO INTERNAÇÃO
5.593,74
0,00
5.593,74
0,00
4.988,74
-10,82
4.382,42
-
12,15
SADT TOMOGRAFIA
4.145,73
0,00
4.145,73
0,00
4.145,73
0,00
4.145,73
0,00
CENTRAL DE MATERIAIS
ESTERILIZADOS - CME
3.018,45
0,00
4.145,53
37,34
4.145,53
0,00
4.145,53
0,00
RECEPÇÃO - PRONTO SOCORRO
5.297,34
0,00
4.691,02
-11,45
3.938,40
-16,04
3.938,40
0,00
RECEPÇÃO PROEXAMES
2.082,96
0,00
2.689,28
29,11
3.295,60
22,55
3.901,92
18,40
FINANCEIRO
3.545,21
0,00
3.789,90
6,90
4.525,96
19,42
3.655,64
-
19,23
SADT - AGENCIA TRANSFUSIONAL
3.524,54
0,00
3.582,69
1,65
3.582,69
0,00
3.582,69
0,00
DEPARTAMENTO PESSOAL - D.P.
3.442,63
0,00
3.442,63
0,00
3.442,63
0,00
3.442,63
0,00
RECEPÇÃO - EXAMES
3.480,74
0,00
2.474,74
-28,90
2.617,91
5,79
3.224,23
23,16
CONTROLADORIA
2.578,69
0,00
2.939,06
13,97
2.939,06
0,00
2.939,06
0,00
RECEPÇÃO - HEMODINAMICA /
2.914,07
0,00
2.914,07
0,00
2.914,07
0,00
2.914,07
0,00
PROCARDIO I
2.765,30
0,00
2.792,93
1,00
2.792,93
0,00
2.792,93
0,00
TECNOLOGIA DA INFORMAÇÃO - T.I.
2.452,76
0,00
2.576,45
5,04
2.576,45
0,00
2.576,45
0,00
COMPRAS
2.247,00
0,00
2.484,10
10,55
2.484,10
0,00
2.484,10
0,00
continua
173
continuação
SERVIÇO CTRL. INFECÇÃO HOSP.
S.C.I.H.
2.054,98
0,00
2.163,02
5,26
1.682,35
-22,22
2.163,02
28,57
ESTACIONAMENTO
2.037,97
0,00
2.104,57
3,27
2.104,57
0,00
2.104,57
0,00
ALMOXARIFADO
1.903,50
0,00
2.076,50
9,09
2.076,50
0,00
2.076,50
0,00
SERVIÇO DE ARQUIVO MÉDICO - SAME
1.583,22
0,00
1.584,54
0,08
1.504,64
-5,04
2.029,34
34,87
PROCARDIO II
1.962,96
0,00
1.990,59
1,41
1.990,59
0,00
1.990,59
0,00
RECEPÇÃO RAIO-X
1.198,38
0,00
1.198,38
0,00
1.804,70
50,59
1.804,70
0,00
RECURSOS HUMANOS
1.239,20
0,00
1.539,77
24,26
1.539,77
0,00
1.539,77
0,00
TELEFONIA
1.226,85
0,00
1.226,85
0,00
1.226,85
0,00
1.226,85
0,00
SADT - ECO TRANSTORACICO
1.187,57
0,00
1.217,83
2,55
1.199,93
-1,47
1.199,93
0,00
TRANSPORTE
1.188,44
0,00
1.188,44
0,00
1.188,44
0,00
1.188,44
0,00
ELEVADOR
1.116,00
0,00
1.116,00
0,00
1.116,00
0,00
1.116,00
0,00
STERRAD-CENTRAL MATERIAIS
967,49
0,00
1.020,54
5,48
1.020,54
0,00
1.020,54
0,00
SESMT
831,88
0,00
972,28
16,88
972,28
0,00
972,28
0,00
SADT - ECG
958,99
0,00
989,25
3,16
971,35
-1,81
971,35
0,00
SADT - TESTE ERGOMETRICO
958,99
0,00
989,25
3,16
971,35
-1,81
971,35
0,00
SADT - ECO DE STRESS
339,05
0,00
341,69
0,78
930,11
172,21
930,11
0,00
SADT - HOLTER
746,87
0,00
777,13
4,05
759,23
-2,30
759,23
0,00
SADT - MAPA
746,87
0,00
777,13
4,05
759,23
-2,30
759,23
0,00
SADT ESPIROMETRIA
683,91
0,00
714,17
4,42
696,28
-2,51
696,28
0,00
continua
174
continuação
AGENDAMENTO
652,82
0,00
652,82
0,00
652,82
0,00
652,82
0,00
SADT - ULTRASSOM PROEXAMES
0,00
0,00
606,32
0,00
606,32
0,00
606,32
0,00
SADT - ECO TRANSESOFAGICO
502,01
0,00
532,28
6,03
514,38
-3,36
514,38
0,00
GERADOR
108,45
0,00
108,45
0,00
108,45
0,00
108,45
0,00
USINA DE OXIGÊNIO
89,15
0,00
89,15
0,00
89,15
0,00
89,15
0,00
TOTAL
274.883,27
285.788,49
287.742,84
305.438,50
175
APÊNDICE I - Relatório individualizado por centro de custos
produtivo unidade de internação 3
º
andar
176
CUSTOS
Mai./09
Jun./09
Jul./09
Ago./09
Valor
%
Valor
%
Valor
%
Valor
%
CUSTOS DIRETOS
Pessoal
SALARIO
6.552,06
9,89
6.911,49
8,49
6.911,49
9,13
6.911,49
7,86
HORAS EXTRAS
28,00
0,04
61,60
0,08
65,00
0,09
65,00
0,07
GRATIFICAÇÕES
1.336,80
2,02
1.927,00
2,37
2.281,00
3,01
2.357,00
2,68
BENEFICIOS
377,50
0,57
321,14
0,39
460,54
0,61
510,60
0,58
ENCARGOS SOCIAIS E
PROVISOES
3.695,36
5,58
3.916,08
4,81
3.917,99
5,17
3.917,99
4,46
TOTAL:
11.989,72
18,10
13.137,31
16,14
13.636,02
18,00
13.762,08
15,66
HONORARIOS MEDICOS
HONORARIOS MÉDICOS
1.186,56
1,79
4.906,60
6,03
3.356,70
4,43
4.893,76
5,57
TOTAL:
1.186,56
1,79
4.906,60
6,03
3.356,70
4,43
4.893,76
5,57
MATERIAIS
DROGAS E MEDICAMENTOS
11.609,93
17,53
14.858,68
18,26
12.904,44
17,04
14.676,94
16,70
MATERIAIS HOSPITALARES
2.581,24
3,90
3.289,10
4,04
3.201,53
4,23
4.461,69
5,08
NUTRIÇÃO PARENTERAL
791,22
1,19
2.107,27
2,59
1.786,92
2,36
4.581,12
5,21
GENEROS ALIMENTICIOS
756,72
1,14
688,08
0,85
914,83
1,21
1.035,50
1,18
MATERIAIS DE EXPEDIENTE
45,65
0,07
70,52
0,09
71,01
0,09
30,86
0,04
MATERIAIS DE LIMPEZA
879,85
1,33
747,66
0,92
961,40
1,27
978,51
1,11
continua
177
continuação
MATERIAIS DESCARTAVEIS
753,14
1,14
623,75
0,77
767,33
1,01
891,84
1,01
MATERIAIS DE MANUTENCAO
35,52
0,05
66,32
0,08
17,03
0,02
6,44
0,01
OBRAS E REFORMAS
57,36
0,09
112,00
0,14
641,45
0,85
262,00
0,30
TECIDOS E CONFECCOES
(ENXOVAL)
209,19
0,32
209,19
0,26
205,69
0,27
206,11
0,23
TOTAL:
17.719,82
26,75
22.772,57
27,98
21.471,63
28,35
27.131,01
30,87
CUSTOS GERAIS
DEPRECIAÇÃO
249,23
0,38
253,79
0,31
259,38
0,34
282,22
0,32
SERVICO DE TERCEIROS
7,40
0,01
0,00
0,00
0,00
0,00
35,00
0,04
MANUTENÇÃO PREVENTIVA
245,45
0,37
245,45
0,30
245,45
0,32
245,45
0,28
SERVIÇOS DE ESTERILIZAÇÃO
33,58
0,05
0,00
0,00
28,98
0,04
13,84
0,02
COMUNICAÇÃO E MARKETING
210,48
0,32
210,48
0,26
210,48
0,28
210,45
0,24
MANUTENÇÃO DE
EQUIPAMENTOS
45,74
0,07
11,25
0,01
8,95
0,01
38,95
0,04
CONDUÇÃO, TRANSPORTE E
TAXI
15,00
0,02
0,00
0,00
21,00
0,03
15,78
0,02
BENS DE VALORES
IRRELEVANTES
262,29
0,40
463,56
0,57
560,16
0,74
318,71
0,36
TOTAL:
1.069,17
1,61
1.184,53
1,46
1.334,40
1,76
1.160,40
1,32
continua
178
continuação
TOTAL CUSTOS DIRETOS:
31.965,27
48,25
42.001,01
51,61
39.798,75
52,55
46.947,25
53,41
CUSTOS INDIRETOS
ENERGIA ELETRICA CLINICA
1.755,90
2,65
1.660,75
2,04
1.393,21
1,84
1.854,81
2,11
AGUA E ESGOTO CLINICA
45,21
0,07
68,40
0,08
49,90
0,07
56,27
0,06
ALUGUEL CLINICA
2.074,83
3,13
2.074,83
2,55
2.074,83
2,74
2.074,83
2,36
IPTU CLINICA
152,54
0,23
152,54
0,19
152,54
0,20
152,54
0,17
IMPOSTOS, TAXAS E
CONTRIBUIÇÕES
118,62
0,18
33,77
0,04
0,00
0,00
56,54
0,06
TOTAL:
4.147,10
6,26
3.990,29
4,90
3.670,48
4,85
4.194,99
4,77
TOTAL CUSTOS INDIRETOS:
4.147,10
6,26
3.990,29
4,90
3.670,48
4,85
4.194,99
4,77
TOTAL DIRETOS + INDIRETOS
36.112,37
54,51
45.991,30
56,51
43.469,23
57,40
51.142,24
58,18
RATEIOS RECEBIDOS
ADMINISTRAÇÃO
2.090,16
3,16
2.375,03
2,92
2.326,24
3,07
2.416,95
2,75
TECNOLOGIA DA INFORMAÇÃO
199,80
0,30
200,64
0,25
221,70
0,29
231,66
0,26
CENTRAL DE ABAST. DE AGUA
8,51
0,01
10,10
0,01
8,72
0,01
15,93
0,02
DEPARTAMENTO PESSOAL - D.P.
297,78
0,45
307,66
0,38
287,55
0,38
293,95
0,33
GERADOR
62,75
0,09
72,00
0,09
83,83
0,11
77,42
0,09
CENTRAL DE MATERIAIS
ESTERILIZADOS -
231,66
0,35
188,83
0,23
138,95
0,18
98,61
0,11
FARMÁCIA
2.637,72
3,98
2.865,83
3,52
2.637,86
3,48
3.312,56
3,77
FINANCEIRO
223,79
0,34
298,28
0,37
370,33
0,49
331,46
0,38
continua
179
continuação
SERVIÇO DE PROCESSAMENTO
DE ROUPAS
2.846,52
4,30
4.506,37
5,54
3.111,66
4,11
3.796,86
4,32
MANUTENCÃO
413,97
0,62
846,32
1,04
829,65
1,10
1.417,04
1,61
SERVIÇO DE NUTRIÇÃO E
DIETÉTICA
3.993,34
6,03
4.752,43
5,84
4.701,45
6,21
4.360,27
4,96
RECUSOS DE GLOSAS
65,53
0,10
62,68
0,08
403,75
0,53
145,28
0,17
SERVIÇO DE HIGIENE E
LIMPEZA
5.077,56
7,66
5.508,81
6,77
5.766,54
7,61
6.276,33
7,14
USINA DE OXIGÊNIO
71,50
0,11
62,02
0,08
59,53
0,08
59,59
0,07
RECEPÇÃO INTERNAÇÃO
2.056,05
3,10
2.246,38
2,76
1.691,00
2,23
1.980,61
2,25
TRANSPORTE
48,08
0,07
33,45
0,04
66,60
0,09
27,91
0,03
CONTROLADORIA
233,28
0,35
287,24
0,35
259,53
0,34
285,88
0,33
SERVIÇO CTRL. INFECÇÃO
HOSP.
192,78
0,29
179,07
0,22
99,43
0,13
118,74
0,14
ELEVADOR
108,94
0,16
123,97
0,15
114,27
0,15
114,11
0,13
COMUNICAÇÃO E MARKETING
179,42
0,27
224,32
0,28
226,74
0,30
227,91
0,26
SESMT
38,22
0,06
44,93
0,06
44,18
0,06
44,45
0,05
CENTRO DE ESTUDOS
343,32
0,52
424,13
0,52
363,84
0,48
327,52
0,37
FATURAMENTO
3.751,25
5,66
5.159,67
6,34
3.295,71
4,35
5.348,23
6,08
COMPRAS
30,61
0,05
59,72
0,07
55,21
0,07
58,41
0,07
ALMOXARIFADO
259,25
0,39
316,98
0,39
325,38
0,43
360,44
0,41
continua
180
continuação
SERVIÇO DE ARQUIVO MÉDICO -
SAME
923,15
1,39
830,70
1,02
844,86
1,12
879,45
1,00
SUPERVISÃO DE ENFERMAGEM
1.997,17
3,01
1.737,69
2,14
1.793,26
2,37
1.674,56
1,91
RECURSOS HUMANOS
61,43
0,09
0,00
0,00
73,30
0,10
0,00
0,00
SEGURANÇA
430,74
0,65
342,78
0,42
339,53
0,45
412,52
0,47
AREAS COMUNS
1.260,76
1,90
1.321,33
1,62
1.726,23
2,28
2.061,85
2,35
TOTAL:
30.135,04
45,49
35.389,36
43,49
32.266,83
42,60
36.756,50
41,82
TOTAL RATEIOS RECEBIDOS:
30.135,04
45,49
35.389,36
43,49
32.266,83
42,60
36.756,50
41,82
TOTAL DIRETOS + IND +
RATEIOS
66.247,41
100,00
81.380,66
100,00
75.736,06
100,00
87.898,74
100,00
(-) RATEIOS PRÓPRIOS
0,00
0,00
0,00
0,00
CUSTO TOTAL DA UNIDADE
66.247,41
81.380,66
75.736,06
87.898,74
PACIENTE - DIA
160,00
187,00
160,50
146,00
CUSTO UNITÁRIO
414,05
435,19
471,88
602,05
Nº DE FUNCIONÁRIOS
7,45
7,45
7,45
7,45
Nº DE LEITOS
7
7
7
7
181
APENDICE J - Relatório individualizado por centro de custos auxiliar
serviço de processamento de roupas
182
CUSTOS
Mai./09
Jun./09
Jul./09
Ago./09
Valor
%
Valor
%
Valor
%
Valor
%
CUSTOS DIRETOS
SALARIO
6.100,00
20,70
6.520,04
16,70
6.520,04
20,96
6.520,04
19,00
HORAS EXTRAS
59,89
0,20
245,88
0,63
0,00
0,00
124,79
0,36
GRATIFICAÇÕES
20,00
0,07
1.246,00
3,19
304,00
0,98
600,00
1,75
BENEFICIOS
805,80
2,73
806,40
2,07
935,40
3,01
998,80
2,91
ENCARGOS SOCIAIS E PROVISOES
3.459,39
11,74
3.799,74
9,73
3.661,65
11,77
3.731,73
10,87
TOTAL:
10.445,08
35,45
12.618,06
32,33
11.421,09
36,72
11.975,36
34,90
MATERIAIS
DROGAS E MEDICAMENTOS
0,00
0,00
0,00
0,00
6,57
0,02
0,00
0,00
MATERIAIS HOSPITALARES
27,35
0,09
61,35
0,16
39,27
0,13
73,14
0,21
MATERIAIS DE EXPEDIENTE
0,32
0,00
1,85
0,00
242,31
0,78
0,00
0,00
MATERIAIS DE LIMPEZA
114,62
0,39
695,69
1,78
109,91
0,35
111,00
0,32
MATERIAIS DE LAVANDERIA
4.368,03
14,83
5.765,55
14,77
4.866,42
15,65
5.077,44
14,80
MATERIAIS DESCARTAVEIS
1.040,03
3,53
1.160,91
2,97
861,09
2,77
1.181,03
3,44
MATERIAIS DE MANUTENCAO
196,40
0,67
486,00
1,25
140,50
0,45
61,36
0,18
OBRAS E REFORMAS
9,90
0,03
247,32
0,63
45,65
0,15
57,69
0,17
TECIDOS E CONFECCOES (ENXOVAL)
103,89
0,35
103,89
0,27
103,89
0,33
458,19
1,34
TOTAL:
5.860,54
19,89
8.522,56
21,83
6.415,61
20,63
7.019,85
20,46
continua
183
continuação
CUSTOS GERAIS
DEPRECIAÇÃO
24,49
0,08
47,24
0,12
47,24
0,15
47,24
0,14
SERVICO DE TERCEIROS
14,80
0,05
70,00
0,18
0,00
0,00
0,00
0,00
MANUTENÇÃO DE EQUIPAMENTOS
147,00
0,50
209,86
0,54
209,86
0,67
209,86
0,61
CURSOS E TREINAMENTOS
23,00
0,08
0,00
0,00
0,00
0,00
0,00
0,00
BENS DE VALORES IRRELEVANTES
0,00
0,00
128,60
0,33
0,00
0,00
17,00
0,05
TOTAL:
209,29
0,71
455,70
1,17
257,10
0,83
274,10
0,80
TOTAL CUSTOS DIRETOS:
16.514,91
56,05
21.596,32
55,33
18.093,80
58,17
19.269,31
56,15
CUSTOS INDIRETOS
ENERGIA ELETRICA - CLINICA II
1.300,68
4,41
1.284,27
3,29
981,21
3,15
954,39
2,78
AGUA E ESGOTO - CLINICA
4.213,88
14,30
6.374,77
16,33
4.650,17
14,95
5.244,58
15,28
ALUGUEL CLINICA
330,41
1,12
330,41
0,85
330,41
1,06
330,41
0,96
ALUGUEL MANUT, LAV,ALMOX ,
FARMA, LIMP
89,65
0,30
89,65
0,23
89,65
0,29
89,65
0,26
TOTAL:
6.020,85
20,43
8.120,70
20,81
6.075,73
19,53
6.666,30
19,43
TOTAL CUSTOS INDIRETOS:
6.020,85
20,43
8.120,70
20,81
6.075,73
19,53
6.666,30
19,43
TOTAL DIRETOS + INDIRETOS
22.535,76
76,49
29.717,02
76,14
24.169,53
77,70
25.935,61
75,57
RATEIOS RECEBIDOS
ADMINISTRAÇÃO
2.805,58
9,52
3.299,54
8,45
3.231,76
10,39
3.357,77
9,78
CENTRAL DE ABAST. DE AGUA
793,35
2,69
941,54
2,41
813,11
2,61
1.484,61
4,33
continua
184
continuação
DEPARTAMENTO PESSOAL - D.P.
399,70
1,36
427,42
1,10
399,48
1,28
408,38
1,19
FARMÁCIA
2,44
0,01
3,80
0,01
6,16
0,02
5,67
0,02
FINANCEIRO
116,85
0,40
152,94
0,39
167,49
0,54
134,72
0,39
SERVIÇO DE PROCESSAMENTO DE
ROUPAS
0,00
0,00
0,00
0,00
0,00
0,00
18,39
0,05
MANUTENCÃO
290,22
0,99
668,89
1,71
0,00
0,00
424,93
1,24
SERVIÇO DE NUTRIÇÃO E DIETÉTICA
1.810,51
6,14
2.797,17
7,17
1.579,23
5,08
1.727,24
5,03
TRANSPORTE
0,00
0,00
220,20
0,56
0,00
0,00
0,00
0,00
CONTROLADORIA
121,80
0,41
147,28
0,38
117,38
0,38
116,19
0,34
COMUNICAÇÃO E MARKETING
93,68
0,32
115,02
0,29
102,55
0,33
92,63
0,27
SESMT
51,30
0,17
62,42
0,16
61,37
0,20
61,75
0,18
COMPRAS
76,53
0,26
71,66
0,18
36,81
0,12
33,38
0,10
ALMOXARIFADO
96,63
0,33
141,89
0,36
91,06
0,29
122,49
0,36
SEGURANÇA
68,59
0,23
54,59
0,14
54,07
0,17
65,69
0,19
AREAS COMUNS
200,77
0,68
210,42
0,54
274,89
0,88
328,34
0,96
TOTAL:
6.927,95
23,51
9.314,78
23,86
6.935,36
22,30
8.382,18
24,43
TOTAL RATEIOS RECEBIDOS:
6.927,95
23,51
9.314,78
23,86
6.935,36
22,30
8.382,18
24,43
TOTAL DIRETOS + IND + RATEIOS
29.463,71
100,00
39.031,80
100,00
31.104,89
100,00
34.317,79
100,00
(-) RATEIOS PRÓPRIOS
0,00
0,00
0,00
18,39
CUSTO TOTAL DA UNIDADE
29.463,71
39.031,80
31.104,89
34.299,40
continua
185
continuação
KG DE ROUPAS
20.184,00
18.882,00
20.202,40
18.659,90
CUSTO UNITÁRIO
1,46
2,07
1,54
1,84
Nº DE FUNCIONÁRIOS
10,00
10,35
10,35
10,35
186
APENDICE K - Relatório de demonstração do custo unitário dos
centro de custos
187
CENTROS DE
RESULTADO
MÊS
DE
FUNC.
CUSTOS DIRETOS E INDIRETOS
RATEIOS
RECEBI-
DOS
AUX.
ADM.
CUSTO
TOTAL
QTDE
PROD.
CUSTO
UNIT
C/ MAT/
MED
CONSUMO
DE MAT/
MED
H
HONO-
RARIOS
CUSTO
UNIT
S/
HON. E
S/
MAT/
MED
CUSTOS C/
PESSOAL
CUSTOS C/
MATERIAIS
CUSTOS
GERAIS/
IND.
SUB-
TOTAL
CUSTOS
UNIDADE DE
INTERNAÇÃO
2º ANDAR
UNIDADE DE
PRODUÇÃO
(PACIENTE -
DIA)
Mai
24
48.429,03
69.264,64
14.840,34
132.534,01
108.241,30
240.775,31
815,50
295,25
66.013,11
6.191,91
206,71
Jun
22
49.533,72
72.133,69
15.361,84
137.029,25
112.220,65
249.249,90
871,50
286,00
68.546,61
6.487,07
199,90
Jul
23
61.909,56
79.258,58
13.504,30
154.672,44
111.180,56
265.853,00
785,50
338,45
74.265,66
12.667,74
227,78
Ago
21
51.712,02
100.748,46
12.872,80
165.333,28
112.154,90
277.488,18
765,50
362,49
95.111,73
8.040,14
227,74
MÉDIA
22
52.896,08
80.351,34
14.144,82
147.392,24
110.949,35
258.341,60
809,50
319,14
75.984,28
8.346,72
214,96
UNIDADE DE
INTERNAÇÃO
3º ANDAR
UNIDADE DE
PRODUÇÃO
(PACIENTE -
DIA)
Mai
7
13.176,28
17.719,82
5.216,27
36.112,37
30.135,04
66.247,41
160,00
414,05
14.982,39
1.186,56
312,99
Jun
7
18.043,91
22.772,57
5.174,82
45.991,30
35.389,36
81.380,66
187,00
435,19
20.255,05
4.906,60
300,64
Jul
7
16.992,72
21.471,63
5.004,88
43.469,23
32.266,83
75.736,06
160,50
471,88
17.892,89
3.356,70
339,48
Ago
7
18.655,84
27.131,01
5.355,39
51.142,24
36.756,50
87.898,74
146,00
602,05
23.719,75
4.893,76
406,06
MÉDIA
7
16.717,19
22.273,76
5.187,84
44.178,79
33.636,93
77.815,72
163,38
476,30
19.212,52
3.585,91
336,75
CENTRO DE
TERAPIA
INTENSIVA -
C.T.I.
UNIDADE DE
PRODUÇÃO
(PACIENTE -
DIA)
Mai
21
79.894,43
138.045,37
14.108,99
232.048,79
59.614,82
291.663,61
296,00
985,35
136.548,36
0,00
524,04
Jun
21
82.259,71
100.860,21
9.443,16
192.563,08
62.613,73
255.176,81
176,00
1.449,87
98.781,70
0,00
888,61
Jul
21
82.469,81
97.184,89
9.782,46
189.437,16
65.204,06
254.641,22
209,00
1.218,38
95.067,47
0,00
763,51
Ago
21
87.704,29
99.241,16
10.634,94
197.580,39
68.917,63
266.498,02
230,00
1.158,69
97.531,78
0,00
734,64
MÉDIA
21
83.082,06
108.832,91
10.992,39
202.907,36
64.087,56
266.994,92
227,75
1.172,32
106.982,33
0,00
702,58
continua
188
continuação
UNIDADE
CORONARIA-
NA - UCO
UNIDADE DE
PRODUÇÃO
(PACIENTE -
DIA)
Mai
22
77.473,97
64.842,15
4.353,56
146.669,68
58.785,29
205.454,97
259,50
791,73
63.825,42
0,00
545,78
Jun
22
81.089,29
48.358,50
3.832,68
133.280,47
56.142,46
189.422,93
241,50
784,36
46.777,74
0,00
590,66
Jul
22
82.997,01
56.776,25
4.149,95
143.923,21
57.283,34
201.206,55
300,50
669,57
55.227,42
0,00
485,79
Ago
22
85.184,07
68.824,14
5.189,05
159.197,26
63.078,35
222.275,61
273,00
814,20
67.498,80
0,00
566,95
MÉDIA
22
81.686,09
59.700,26
4.381,31
145.767,65
58.822,36
204.590,01
268,63
761,62
58.332,35
0,00
544,47
CENTRO
CIRÚRGICO -
C.C.
U.P. (HORAS
CIRURGICAS)
Mai
18
66.096,28
246.674,56
16.523,96
329.294,80
64.854,26
394.149,06
442,00
891,74
243.603,58
39.149,17
252,03
Jun
18
54.602,80
209.853,99
11.503,58
275.960,37
68.419,16
344.379,53
380,52
905,03
206.805,54
26.849,76
290,98
Jul
17
44.325,65
93.300,40
11.585,31
149.211,36
62.090,37
211.301,73
430,00
491,40
90.109,76
16.410,83
243,68
Ago
18
51.146,99
76.151,32
12.067,28
139.365,59
59.639,07
199.004,66
325,00
612,32
73.589,53
21.408,91
320,02
MÉDIA
17
54.042,93
156.495,07
12.920,03
223.458,03
63.750,72
287.208,74
396,25
724,82
153.527,10
25.954,67
271,87
SADT
HEMODINA-
MICA
U.P.
(EXAMES)
Mai
4
86.419,78
182.183,15
13.734,78
282.337,71
21.404,83
303.742,54
91,00
3.337,83
180.561,07
76.692,77
510,86
Jun
4
56.660,81
332.402,64
13.019,10
402.082,55
24.856,79
426.939,34
87,00
4.907,35
331.953,63
46.737,45
554,58
Jul
4
73.560,95
245.401,41
13.111,49
332.073,85
23.384,56
355.458,41
96,00
3.702,69
244.103,45
63.425,45
499,27
Ago
4
83.298,75
288.675,52
14.112,33
386.086,60
24.756,98
410.843,58
95,00
4.324,67
288.103,04
72.969,53
523,91
MÉDIA
4
74.985,07
262.165,68
13.494,42
350.645,18
23.600,79
374.245,97
90,75
4.123,92
261.180,30
64.956,30
530,13
continua
189
continuação
PROCARDIO I
U.P. (CONSULTAS)
Mai
4
34.566,71
778,50
9.155,01
44.500,22
13.088,16
57.588,38
818,00
70,40
102,93
29.553,95
34,15
Jun
4
34.829,85
804,17
8.826,78
44.460,80
13.296,19
57.756,99
795,00
72,65
30,32
29.900,09
35,00
Jul
4
39.130,57
754,77
8.742,55
48.627,89
14.680,98
63.308,87
891,00
71,05
37,21
33.932,58
32,93
Ago
4
38.324,58
1.112,67
8.691,01
48.128,26
15.029,77
63.158,03
901,00
70,10
130,99
33.137,55
33,17
MÉDIA
4
36.712,93
862,53
8.853,84
46.429,29
14.023,78
60.453,07
851,25
71,02
75,36
31.631,04
33,77
PROCARDIO II
U.P.(CONSULTAS)
Mai
3
42.666,66
1.945,29
4.136,13
48.748,08
13.113,24
61.861,32
1.150,00
53,79
88,29
38.780,19
19,99
Jun
3
41.575,88
870,92
3.875,51
46.322,31
10.401,77
56.724,08
1.129,00
50,24
33,29
37.824,31
16,71
Jul
3
46.013,18
928,75
3.280,27
50.222,20
11.538,00
61.760,20
1.255,00
49,21
124,15
42.045,46
15,61
Ago
3
37.539,31
972,41
3.456,96
41.968,68
9.620,10
51.588,78
1.001,00
51,54
64,19
33.396,76
18,11
MÉDIA
3
41.948,76
1.179,34
3.687,22
46.815,32
11.168,28
57.983,59
1.133,75
51,14
77,48
38.011,68
17,55
PRONTO
SOCORRO - P.S.
U.P.
(ATENDIMENTOS)
Mai
12
68.441,82
11.925,92
4.958,41
85.326,15
46.790,44
132.116,59
2.222,00
59,46
11.670,61
0,00
54,21
Jun
13
56.540,56
12.022,79
4.953,73
73.517,08
45.249,68
118.766,76
2.032,00
58,45
11.540,95
0,00
52,77
Jul
13
68.873,21
14.672,82
4.126,15
87.672,18
45.201,43
132.873,61
2.295,00
57,90
13.543,44
0,00
52,00
Ago
13
69.572,45
15.609,60
4.964,72
90.146,77
56.075,92
146.222,69
2.607,00
56,09
14.787,02
0,00
50,42
MÉDIA
13
65.857,01
13.557,78
4.750,75
84.165,55
48.329,37
132.494,91
2.289,00
57,88
12.885,51
0,00
52,25
SADT -
RESSONÂNCIA
MAGNÉTICA
U.P. (EXAMES)
Mai
3
49.391,16
16.201,87
82.727,01
148.320,04
8.059,81
156.379,85
295,00
530,10
7.809,49
36.098,73
381,26
Jun
4
60.295,59
23.163,19
84.056,75
167.515,53
8.570,10
176.085,63
379,00
464,61
9.461,73
44.836,73
321,34
Jul
5
70.975,78
28.168,47
81.561,17
180.705,42
9.502,88
190.208,30
416,00
457,23
10.773,29
49.876,94
311,44
continua
190
continuação
Ago
5
65.412,94
22.368,60
85.288,03
173.069,57
14.080,37
187.149,94
406,00
460,96
11.018,09
42.790,51
328,43
MÉDIA
4
61.518,87
22.475,53
83.408,24
167.402,64
10.053,29
177.455,93
374,00
474,48
9.765,65
43.400,73
332,33
SADT -
ULTRASSOM
PROEXAMES
U.P. (EXAMES)
Mai
0
0,00
0,00
3.155,80
3.155,80
11,85
3.167,65
0,00
0,00
0,00
0,00
0,00
Jun
1
982,76
130,39
3.155,80
4.268,95
418,76
4.687,71
32,00
146,49
0,00
0,00
146,49
Jul
1
3.421,68
12,15
3.204,89
6.638,72
1.376,38
8.015,10
103,00
77,82
0,00
2.352,29
54,98
Ago
1
5.602,89
16,70
3.155,80
8.775,39
1.529,04
10.304,43
64,00
161,01
16,70
4.516,03
90,18
MÉDIA
1
2.501,83
39,81
3.168,07
5.709,72
834,01
6.543,72
49,75
131,53
4,17
1.717,08
96,93
SADT - RAIO X
U.P.
(QUANTIDADE
DE CH´S DO
RAIO-X)
Mai
5
21.912,09
3.633,34
2.795,68
28.341,11
11.034,57
39.375,68
63.205,00
0,62
680,90
7.624,46
0,49
Jun
5
21.907,35
4.366,47
1.951,25
28.225,07
11.165,15
39.390,22
65.450,00
0,60
407,82
7.826,78
0,48
Jul
5
24.335,36
5.156,41
2.319,73
31.811,50
12.486,00
44.297,50
82.420,00
0,54
772,07
9.943,51
0,41
Ago
5
23.402,18
5.011,64
3.129,04
31.542,86
12.920,69
44.463,55
81.467,00
0,55
334,00
10.020,74
0,42
MÉDIA
5
22.889,25
4.541,97
2.548,93
29.980,13
11.901,60
41.881,74
73.135,50
0,57
548,70
8.853,87
0,44
SADT -
TOMOGRAFIA
U.P. (EXAMES)
Mai
4
18.484,13
6.663,44
24.124,58
49.272,15
7.287,65
56.559,80
237,00
238,65
2.915,44
11.866,56
176,28
Jun
4
19.354,47
7.091,25
23.970,70
50.416,42
7.374,53
57.790,95
233,00
248,03
2.963,64
12.266,13
182,67
Jul
4
18.926,60
7.356,88
23.577,95
49.861,43
7.282,34
57.143,77
244,00
234,20
3.307,90
12.169,93
170,76
Ago
4
16.117,10
4.757,39
24.404,76
45.279,25
8.014,39
53.293,64
187,00
284,99
2.173,37
9.505,26
222,54
MÉDIA
4
18.220,58
6.467,24
24.019,50
48.707,31
7.489,73
56.197,04
225,25
249,49
2.840,09
11.451,97
186,04
191
SADT
ULTRASONO-
GRAFIA
U.P.
(EXAMES)
Mai
0
0,00
507,89
298,33
806,22
1.519,10
2.325,32
0,00
0,00
76,23
0,00
0,00
Jun
0
0,00
585,29
301,30
886,59
1.437,05
2.323,64
0,00
0,00
126,83
0,00
0,00
Jul
0
0,00
626,12
248,05
874,17
1.351,01
2.225,18
0,00
0,00
98,02
0,00
0,00
Ago
0
0,00
636,07
329,26
965,33
1.750,86
2.716,19
0,00
0,00
114,78
0,00
0,00
MÉDIA
0
0,00
588,84
294,24
883,08
1.514,51
2.397,58
0,00
0,00
103,97
0,00
0.00
SADT - ECO-
TRANSESO-
FAGICO
U.P.
(EXAMES)
Mai
1
3.096,16
762,24
1.224,07
5.082,47
1.064,58
6.147,05
14,00
439,07
443,29
1.866,85
274,06
Jun
1
2.558,22
1.049,52
1.116,11
4.723,85
1.016,76
5.740,61
8,00
717,58
706,84
1.153,33
485,06
Jul
1
2.171,15
486,95
1.115,77
3.773,87
922,43
4.696,30
6,00
782,72
486,95
982,77
537,76
Ago
1
3.040,98
377,66
1.230,51
4.649,15
1.705,53
6.354,68
13,00
488,82
355,36
1.643,05
335,10
MÉDIA
1
2.716,63
669,09
1.171,62
4.557,33
1.177,33
5.734,66
10,25
559,48
498,11
1.411,50
373,18
SADT - ECO
DE STRESS
U.P.
(EXAMES)
Mai
0
2.427,48
714,12
960,00
4.101,60
1.144,15
5.245,75
16,00
327,86
714,12
1.870,32
166,33
Jun
0
3.280,52
1.054,04
687,37
5.021,93
1.186,81
6.208,74
24,00
258,70
968,95
2.658,01
107,57
Jul
1
4.631,51
1.226,26
662,94
6.520,71
1.378,44
7.899,15
21,00
376,15
863,71
2.807,78
201,32
Ago
1
4.588,14
1.441,08
678,75
6.707,97
1.496,72
8.204,69
17,00
482,63
1.205,94
2.543,11
262,10
MÉDIA
1
3.731,91
1.108,88
747,27
5.588,05
1.301,53
6.889,58
19,50
353,31
938,18
2.469,81
178,54
SADT - ECG
U.P.
(EXAMES)
Mai
1
4.787,23
821,68
472,37
6.081,28
5.819,41
11.900,69
637,00
18,68
431,34
2.947,91
13,38
Jun
1
4.496,86
245,23
1.032,39
5.774,48
5.367,11
11.141,59
628,00
17,74
208,36
2.572,89
13,31
Jul
1
4.967,35
443,45
415,31
5.826,11
5.269,52
11.095,63
746,00
14,87
403,54
3.157,39
10,10
Ago
1
5.121,74
832,89
493,39
6.448,02
5.817,64
12.265,66
689,00
17,80
265,17
3.233,91
12,72
MÉDIA
1
4.843,30
585,81
603,36
6.032,47
5.568,42
11.600,89
675,00
17,19
327,10
2.978,02
12,29
192
SADT - ECO
TRANSTORACI
CO
U.P. (EXAMES)
Mai
2
47.184,79
742,69
5.789,92
53.717,40
7.148,96
60.866,36
669,00
90,98
287,53
44.925,48
23,40
Jun
2
42.280,18
1.673,30
5.583,47
49.536,95
6.826,70
56.363,65
661,00
85,27
147,91
39.546,26
25,22
Jul
2
44.023,69
1.764,52
5.527,85
51.316,06
6.442,50
57.758,56
738,00
78,26
299,77
41.899,07
21,08
Ago
2
40.627,22
540,46
5.383,94
46.551,62
5.481,84
52.033,46
567,00
91,77
167,22
38.543,37
23,50
MÉDIA
2
43.528,97
1.180,24
5.571,30
50.280,51
6.475,00
56.755,51
658,75
86,16
225,61
41.228,54
23,23
SADT -
ESPIROMETRI
A
U.P. (EXAMES)
Mai
1
5.081,89
63,30
358,03
5.503,22
2.026,94
7.530,16
182,00
41,37
12,67
3.717,34
20,88
Jun
1
5.091,37
617,77
355,88
6.065,02
1.991,35
8.056,37
180,00
44,76
82,58
3.681,38
23,85
Jul
1
7.157,64
411,86
458,27
8.027,77
2.100,57
10.128,34
260,00
38,96
8,38
5.841,25
16,46
Ago
1
6.571,99
1.088,25
469,69
8.129,93
2.306,35
10.436,28
215,00
48,54
56,37
5.125,81
24,44
MÉDIA
1
5.975,72
545,29
410,47
6.931,49
2.106,30
9.037,79
209,25
43,19
40,00
4.591,45
21,06
SADT -
HOLTER
U.P. (EXAMES)
Mai
1
7.199,70
1.650,47
327,72
9.177,89
1.297,52
10.475,41
80,00
130,94
184,25
5.914,48
54,71
Jun
1
6.640,84
576,77
295,66
7.513,27
1.149,90
8.663,17
55,00
157,51
119,32
5.306,49
58,86
Jul
1
6.788,44
499,70
341,15
7.629,29
1.294,59
8.923,88
104,00
85,81
100,38
5.354,74
33,35
Ago
1
8.605,04
828,64
386,36
9.820,04
1.407,95
11.227,99
86,00
130,56
290,47
7.119,99
44,39
MÉDIA
1
7.308,50
888,89
337,72
8.535,12
1.287,49
9.822,61
81,25
120,89
173,61
5.923,92
45,85
193
SADT -
MAPA
U.P.
(EXAMES)
Mai
1
9.360,40
634,36
708,01
10.702,77
1.491,00
12.193,77
116,00
105,12
57,20
8.091,98
34,87
Jun
1
8.595,86
267,83
144,85
9.008,54
1.344,42
10.352,96
101,00
102,50
64,28
7.271,11
29,88
Jul
1
10.532,62
483,96
220,68
11.237,26
1.430,96
12.668,22
137,00
92,47
32,14
9.236,62
24,81
Ago
1
10.775,32
561,64
171,79
11.508,75
1.543,69
13.052,44
129,00
101,18
32,14
9.514,57
27,18
MÉDIA
1
9.816,05
486,95
311,33
10.614,33
1.452,52
12.066,85
120,75
99,93
46,44
8.528,57
28,92
SADT -
TESTE
ERGOME-
TRICO
U.P.
(EXAMES)
Mai
1
15.423,55
2.077,35
1.423,35
18.924,25
5.391,57
24.315,82
423,00
57,48
1.266,22
13.663,46
22,19
Jun
1
15.364,83
2.572,19
1.265,82
19.202,84
5.044,99
24.247,83
401,00
60,47
1.416,40
13.417,53
23,48
Jul
1
16.148,06
2.887,80
1.054,86
20.090,72
5.012,74
25.103,46
428,00
58,65
1.666,24
14.143,95
21,71
Ago
1
17.059,24
2.497,10
1.162,27
20.718,61
5.522,05
26.240,66
414,00
63,38
1.763,26
15.140,48
22,55
MÉDIA
1
15.998,92
2.508,61
1.226,57
19.734,10
5.242,84
24.976,94
416,50
59,97
1.528,03
14.091,35
22,47
FISIOTE-
RAPIA
U.P.
(SESSÕES)
Mai
7
13.623,91
52,95
494,43
14.171,29
5.315,31
19.486,60
1.793,00
10,87
0,00
0,00
10,87
Jun
7
13.458,17
52,26
280,90
13.791,33
5.637,35
19.428,68
1.210,00
16,06
0,00
0,00
16,06
Jul
7
15.152,83
88,19
325,16
15.566,18
5.413,48
20.979,66
1.323,00
15,86
0,00
0,00
15,86
Ago
7
14.224,11
46,49
304,12
14.574,72
6.173,29
20.748,01
1.474,00
14,08
0,00
0,00
14,08
MÉDIA
7
14.114,76
59,97
351,15
14.525,88
5.634,86
20.160,74
1.450,00
13,90
0,00
0,00
13,90
194
SADT - AGENCIA
TRANSFUSIONAL
U.P. (BOLSAS
TRANSFUNDIDAS)
Mai
4
6.609,55
754,25
650,24
8.014,04
3.115,63
11.129,67
133,00
83,68
694,27
0,00
78,46
Jun
4
5.951,86
691,06
698,13
7.341,05
3.538,20
10.879,25
359,00
30,30
602,11
0,00
28,63
Jul
4
6.077,62
913,66
523,29
7.514,57
3.785,94
11.300,51
145,00
77,93
857,39
0,00
72,02
Ago
4
6.055,95
1.100,68
789,01
7.945,64
5.096,89
13.042,53
203,00
64,25
1.053,48
0,00
59,06
MÉDIA
4
6.173,74
864,91
665,17
7.703,82
3.884,16
11.587,99
210,00
55,18
801,81
0,00
51,36
SADT - LAB. DE
ANÁLISES CLÍNICAS
U.P. (TERCEIRIZADO)
Mai
0
0,00
0,00
1.980,44
1.980,44
891,90
2.872,34
0,00
0,00
0,00
0,00
0,00
Jun
0
0,00
0,00
1.981,90
1.981,90
1.172,11
3.154,01
0,00
0,00
0,00
0,00
0,00
Jul
0
0,00
0,00
1.936,11
1.936,11
1.091,26
3.027,37
0,00
0,00
0,00
0,00
0,00
Ago
0
0,00
0,00
1.960,35
1.960,35
1.488,76
3.449,11
0,00
0,00
0,00
0,00
0,00
MÉDIA
0
0,00
0,00
1.964,70
1.964,70
1.161,01
3.125,71
0,00
0,00
0,00
0,00
0.00
ESTACIONAMENTO
Mai
3
3.882,61
61,60
12.191,93
16.136,14
11.422,88
27.559,02
0,00
0,00
0,00
0,00
0,00
Jun
3
4.240,92
13,98
11.940,24
16.195,14
11.026,17
27.221,31
0,00
0,00
0,00
0,00
0,00
Jul
3
4.263,39
25,18
11.893,23
16.181,80
12.753,24
28.935,04
0,00
0,00
0,00
0,00
0,00
Ago
3
4.370,65
8,40
11.983,28
16.362,33
14.714,79
31.077,12
0,00
0,00
0,00
0,00
0,00
MÉDIA
3
4.189,39
27,29
12.002,17
16.218,85
12.479,27
28.698,12
0,00
0,00
0,00
0,00
0.00
OBRAS E REFORMAS
SUB-SOLO
Mai
0
0,00
3.085,50
561,05
3.646,55
1.926,67
5.573,22
0,00
0,00
0,00
0,00
0,00
Jun
0
0,00
314,85
20,74
455,44
20,26
355,85
0,00
0,00
0,00
0,00
0,00
Jul
0
0,00
2,36
20,39
22,75
5,39
28,14
0,00
0,00
2,36
0,00
0,00
Ago
0
0,00
77,27
78,94
156,21
323,87
480,08
0,00
0,00
77,27
0,00
0,00
MÉDIA
0
0,00
899,96
170,28
1.070,24
485,14
1.555,38
0,00
0,00
19,91
0,00
0.00
195
REFEIÇÕES PAGAS
Mai
0
0,00
0,00
0,00
0,00
150,28
150,28
0,00
0,00
0,00
0,00
0,00
Jun
0
0,00
0,00
0,00
0,00
91,55
91,55
0,00
0,00
0,00
0,00
0,00
Jul
0
0,00
0,00
0,00
0,00
76,00
76,00
0,00
0,00
0,00
0,00
0,00
MÉDIA
0
0,00
0,00
0,00
0,00
105,94
105,94
0,00
0,00
0,00
0,00
0.00
TOTAL GERAL
Mai
2.216.853,63
Jun
2.252.100,57
Jul
2.126.649,76
Ago
2.231.518,75
MÉDIA
2.206.780,68
196
APÊNDICE L - Conta do paciente
197
DADOS DO PACIENTE
ATENDIMENTO: 0906005439
TIPO DE ACOMODAÇÃO: apartamento
CONVÊNIO: Boa saúde S/A
CÓD. PROCED. PRINC.: 31009115 Herniorrafia
PLANO: Cobertura total
ENTRADA: 20/06/2009 6:39 h SAÍDA: 24/06/2009 9:50 h
MÉDICO: Fulano de tal
ESPECIALIDADE: Cirurgia geral
GRUPO FATURAMENTO: MATERIAIS E MEDICAMENTOS
Data
Hora
Código
Descrição
Quanti-
dade
Preço
Unitário
Preço
Total
Custo
Unitário
Custo
Total
Resultado
20/6/2009
ABOCATH Nº 20 (INSYTE)
1
R$ 3,90
R$ 3,90
R$ 1,76
R$ 1,76
R$ 2,14
20/6/2009
AGUA DESTILADA 10 ML AMP - H.ISTAR
8
R$ 0,64
R$ 5,12
R$ 0,09
R$ 0,68
R$ 4,44
20/6/2009
AGULHA DESCARTAVEL 25 X 07 MM
1
R$ 0,16
R$ 0,16
R$ 0,04
R$ 0,04
R$ 0,12
20/6/2009
AGULHA DESCARTAVEL 30 X 08 MM
2
R$ 0,16
R$ 0,32
R$ 0,04
R$ 0,08
R$ 0,24
20/6/2009
AGULHA DESCARTAVEL 40 X 12 MM
3
R$ 0,16
R$ 0,48
R$ 0,07
R$ 0,21
R$ 0,27
20/6/2009
CANULA ENDOTRAQUEAL C/ BALAO Nº 8,5
1
R$ 10,00
R$ 10,00
R$ 4,81
R$ 4,81
R$ 5,19
20/6/2009
CATETER OXIGENIO TIPO OCULOS (48H)
1
R$ 1,30
R$ 1,30
R$ 0,66
R$ 0,66
R$ 0,64
20/6/2009
CEFAZOLINA 1 G FA
2
R$ 6,25
R$ 12,50
R$ 0,98
R$ 1,96
R$ 10,54
20/6/2009
DEXAMETASONA 10 MG/2,5 ML AMP
1
R$ 1,86
R$ 1,86
R$ 0,37
R$ 0,37
R$ 1,49
20/6/2009
DIMORF 10 MG/1 ML AMP
1
R$ 3,16
R$ 3,16
R$ 0,74
R$ 0,74
R$ 2,42
20/6/2009
DIMORF 2 MG/2 ML AMP
1
R$ 4,78
R$ 4,78
R$ 1,04
R$ 1,04
R$ 3,74
20/6/2009
DIPIRONA 1 G/2 ML AMP
2
R$ 0,65
R$ 1,30
R$ 0,23
R$ 0,46
R$ 0,84
20/6/2009
DIPRIVAN 2% 1 G/50 ML SERINGA
2
R$ 301,19
R$ 602,38
R$ 201,00
R$ 402,00
R$ 200,38
20/6/2009
ELETRODO CARDIO DESCARTAVEL C/ GEL
5
R$ 0,80
R$ 4,00
R$ 0,33
R$ 1,65
R$ 2,35
20/6/2009
EQUIPO INTRAFIX IL (SORO) B.BRAUN
2
R$ 3,02
R$ 6,04
R$ 1,38
R$ 2,76
R$ 3,28
continua
198
continuação
20/6/2009
EXTENSOR / PERFUSOR ST20 120CM-
2
R$ 3,57
R$ 7,14
R$ 2,50
R$ 5,00
R$ 2,14
20/6/2009
FENTANEST 0,1 MG/2 ML AMP
2
R$ 4,41
R$ 8,82
R$ 0,63
R$ 1,26
R$ 7,56
20/6/2009
LAMINA DE BISTURI Nº 15 (FEATHER)
1
R$ 1,35
R$ 1,35
R$ 1,07
R$ 1,07
R$ 0,28
20/6/2009
LUVA ESTERIL Nº 7,0
1
R$ 1,15
R$ 1,15
R$ 0,78
R$ 0,78
R$ 0,38
20/6/2009
LUVA ESTERIL Nº 7,5
1
R$ 1,15
R$ 1,15
R$ 0,73
R$ 0,73
R$ 0,43
20/6/2009
LUVA ESTERIL Nº 8,5
1
R$ 1,15
R$ 1,15
R$ 0,84
R$ 0,84
R$ 0,31
20/6/2009
MONOCRYL 4-0 AG3/8 1,9CM 45CM - Y496G
1
R$ 34,00
R$ 34,00
R$ 18,71
R$ 18,71
R$ 15,29
20/6/2009
POLIFIX 2 VIAS
2
R$ 2,76
R$ 5,52
R$ 1,75
R$ 3,50
R$ 2,02
20/6/2009
PROLENE 2-0 AG1/2 26MM 75CM - 8411T
1
R$ 10,00
R$ 10,00
R$ 6,08
R$ 6,08
R$ 3,92
20/6/2009
RAPIFEN 2,72 MG/5 ML AMP
1
R$ 29,16
R$ 29,16
R$ 11,00
R$ 11,00
R$ 18,16
20/6/2009
SERINGA DESCARTAVEL 10 ML
1
R$ 0,37
R$ 0,37
R$ 0,24
R$ 0,24
R$ 0,13
20/6/2009
SERINGA DESCARTAVEL 20 ML
3
R$ 0,60
R$ 1,80
R$ 0,36
R$ 1,08
R$ 0,72
20/6/2009
SF 0,9% SISTEMA FECHADO 500 ML
1
R$ 6,21
R$ 6,21
R$ 1,99
R$ 1,99
R$ 4,22
20/6/2009
SOL. RINGER C/ LACTATO SIST FECH 500
ML
5
R$ 7,36
R$ 36,80
R$ 1,95
R$ 9,75
R$ 27,05
20/6/2009
TORADOL 30 MG AMP
1
R$ 7,00
R$ 7,00
R$ 4,59
R$ 4,59
R$ 2,41
20/6/2009
TORNEIRINHA ROTATIVA 3 VIAS
1
R$ 2,60
R$ 2,60
R$ 0,45
R$ 0,45
R$ 2,15
20/6/2009
ULTIVA 2 MG AMP
3
R$ 55,70
R$ 167,10
R$ 29,00
R$ 87,00
R$ 80,10
20/6/2009
DIPIRONA 1 G/2 ML AMP
2
R$ 0,65
R$ 1,30
R$ 0,23
R$ 0,46
R$ 0,84
20/6/2009
DIPRIVAN 2% 1 G/50 ML SERINGA
2
R$ 301,19
R$ 602,38
R$ 201,00
R$ 402,00
R$ 200,38
20/6/2009
ELETRODO CARDIO DESCARTAVEL C/ GEL
5
R$ 0,80
R$ 4,00
R$ 0,33
R$ 1,65
R$ 2,35
20/6/2009
EQUIPO INTRAFIX IL (SORO) B.BRAUN
2
R$ 3,02
R$ 6,04
R$ 1,38
R$ 2,76
R$ 3,28
continua
199
continuação
20/6/2009
EXTENSOR / PERFUSOR ST20 120CM-
2
R$ 3,57
R$ 7,14
R$ 2,50
R$ 5,00
R$ 2,14
20/6/2009
FENTANEST 0,1 MG/2 ML AMP
2
R$ 4,41
R$ 8,82
R$ 0,63
R$ 1,26
R$ 7,56
20/6/2009
LAMINA DE BISTURI Nº 15 (FEATHER)
1
R$ 1,35
R$ 1,35
R$ 1,07
R$ 1,07
R$ 0,28
20/6/2009
LUVA ESTERIL Nº 7,0
1
R$ 1,15
R$ 1,15
R$ 0,78
R$ 0,78
R$ 0,38
20/6/2009
LUVA ESTERIL Nº 7,5
1
R$ 1,15
R$ 1,15
R$ 0,73
R$ 0,73
R$ 0,43
20/6/2009
LUVA ESTERIL Nº 8,5
1
R$ 1,15
R$ 1,15
R$ 0,84
R$ 0,84
R$ 0,31
20/6/2009
MONOCRYL 4-0 AG3/8 1,9CM 45CM - Y496G
1
R$ 34,00
R$ 34,00
R$ 18,71
R$ 18,71
R$ 15,29
20/6/2009
POLIFIX 2 VIAS
2
R$ 2,76
R$ 5,52
R$ 1,75
R$ 3,50
R$ 2,02
20/6/2009
PROLENE 2-0 AG1/2 26MM 75CM - 8411T
1
R$ 10,00
R$ 10,00
R$ 6,08
R$ 6,08
R$ 3,92
20/6/2009
RAPIFEN 2,72 MG/5 ML AMP
1
R$ 29,16
R$ 29,16
R$ 11,00
R$ 11,00
R$ 18,16
20/6/2009
SERINGA DESCARTAVEL 10 ML
1
R$ 0,37
R$ 0,37
R$ 0,24
R$ 0,24
R$ 0,13
20/6/2009
SERINGA DESCARTAVEL 20 ML
3
R$ 0,60
R$ 1,80
R$ 0,36
R$ 1,08
R$ 0,72
20/6/2009
SF 0,9% SISTEMA FECHADO 500 ML
1
R$ 6,21
R$ 6,21
R$ 1,99
R$ 1,99
R$ 4,22
20/6/2009
SOL. RINGER C/ LACTATO SIST FECH 500
ML
5
R$ 7,36
R$ 36,80
R$ 1,95
R$ 9,75
R$ 27,05
20/6/2009
TORADOL 30 MG AMP
1
R$ 7,00
R$ 7,00
R$ 4,59
R$ 4,59
R$ 2,41
20/6/2009
TORNEIRINHA ROTATIVA 3 VIAS
1
R$ 2,60
R$ 2,60
R$ 0,45
R$ 0,45
R$ 2,15
20/6/2009
ULTIVA 2 MG AMP
3
R$ 55,70
R$ 167,10
R$ 29,00
R$ 87,00
R$ 80,10
20/6/2009
VICRYL 0 AG1/2 26MM 70CM - VCP318H
9
R$ 22,63
R$ 203,67
R$ 9,95
R$ 89,55
R$ 114,12
20/6/2009
VICRYL 2-0 AG3/8 31MM 70CM - VCP407H
1
R$ 15,00
R$ 15,00
R$ 9,20
R$ 9,20
R$ 5,80
TOTAL GRUPO DE FATURAMENTO: MATERIAIS E MEDICAMENTOS - CENTRO CIRÚRGICO
R$ 1.197,29
R$ 672,04
R$ 525,25
continua
200
continuação
GRUPO FATURAMENTO: MATERIAIS E MEDICAMENTOS - UNIDADE DE INTERNAÇÃO 3º ANDAR
Data
Hora
Código
Descrição
Quanti-
dade
Preço
Unitário
Preço
Total
Custo
Unitário
Custo
Total
Resultad
o
20/6/2009
AGUA DESTILADA 10 ML AMP - H.ISTAR
8
R$ 0,64
R$ 5,12
R$ 0,09
R$ 0,68
R$ 4,44
20/6/2009
AGUA DESTILADA 10 ML AMP - H.ISTAR
13
R$ 0,64
R$ 8,32
R$ 0,09
R$ 1,11
R$ 7,22
20/6/2009
AGUA DESTILADA 10 ML AMP - H.ISTAR
12
R$ 0,64
R$ 7,68
R$ 0,09
R$ 1,02
R$ 6,66
20/6/2009
AGUA DESTILADA 10 ML AMP - H.ISTAR
10
R$ 0,64
R$ 6,40
R$ 0,09
R$ 0,85
R$ 5,55
20/6/2009
AGULHA DESCARTAVEL 40 X 12 MM
19
R$ 0,16
R$ 3,04
R$ 0,07
R$ 1,31
R$ 1,73
20/6/2009
AGULHA DESCARTAVEL 40 X 12 MM
20
R$ 0,16
R$ 3,20
R$ 0,07
R$ 1,38
R$ 1,82
20/6/2009
AGULHA DESCARTAVEL 40 X 12 MM
18
R$ 0,16
R$ 2,88
R$ 0,07
R$ 1,24
R$ 1,64
20/6/2009
AGULHA DESCARTAVEL 40 X 12 MM
11
R$ 0,16
R$ 1,76
R$ 0,07
R$ 0,76
R$ 1,00
21/6/2009
CEFAZOLINA 1 G FA
4
R$ 6,25
R$ 25,00
R$ 0,98
R$ 3,92
R$ 21,08
21/6/2009
CLEXANE 40 MG SERINGA
1
R$ 44,19
R$ 44,19
R$ 21,98
R$ 21,98
R$ 22,21
21/6/2009
CLEXANE 40 MG SERINGA
1
R$ 44,19
R$ 44,19
R$ 21,98
R$ 21,98
R$ 22,21
21/6/2009
CLORETO DE SODIO 20% 10 ML AMP
2
R$ 0,79
R$ 1,58
R$ 0,13
R$ 0,26
R$ 1,32
21/6/2009
DIPIRONA 1 G/2 ML AMP
12
R$ 0,65
R$ 7,80
R$ 0,23
R$ 2,76
R$ 5,04
continua
201
continuação
21/6/2009
DIPIRONA 1 G/2 ML AMP
10
R$ 0,65
R$ 6,50
R$ 0,23
R$ 2,30
R$ 4,20
21/6/2009
DIPIRONA 1 G/2 ML AMP
12
R$ 0,65
R$ 7,80
R$ 0,23
R$ 2,76
R$ 5,04
22/6/2009
DIPIRONA 1 G/2 ML AMP
12
R$ 0,65
R$ 7,80
R$ 0,23
R$ 2,76
R$ 5,04
22/6/2009
DIPROSPAN 7 MG/1 ML AMP
1
R$ 18,64
R$ 18,64
R$ 5,91
R$ 5,91
R$
12,73
22/6/2009
DOLANTINA 100 MG/2 ML AMP
3
R$ 3,00
R$ 9,00
R$ 0,90
R$ 2,70
R$ 6,30
22/6/2009
DOLANTINA 100 MG/2 ML AMP
3
R$ 3,00
R$ 9,00
R$ 0,90
R$ 2,70
R$ 6,30
22/6/2009
DORMONID 7,5 MG COMP
1
R$ 1,22
R$ 1,22
R$ 0,94
R$ 0,94
R$ 0,28
22/6/2009
DORMONID 7,5 MG COMP
1
R$ 1,22
R$ 1,22
R$ 0,94
R$ 0,94
R$ 0,28
22/6/2009
EQUIPO INTRAFIX IL (SORO) B.BRAUN
2
R$ 3,02
R$ 6,04
R$ 1,38
R$ 2,76
R$ 3,28
22/6/2009
EQUIPO INTRAFIX IL (SORO) B.BRAUN
2
R$ 3,02
R$ 6,04
R$ 1,38
R$ 2,76
R$ 3,28
23/6/2009
EQUIPO INTRAFIX IL (SORO) B.BRAUN
4
R$ 3,02
R$ 12,08
R$ 1,38
R$ 5,52
R$ 6,56
22/6/2009
EQUIPO INTRAFIX IL (SORO) B.BRAUN
2
R$ 3,02
R$ 6,04
R$ 1,38
R$ 2,76
R$ 3,28
21/6/2009
NAUSEDRON 8 MG/4 ML AMP
3
R$ 36,74
R$ 110,22
R$ 0,50
R$ 1,50
R$
108,72
23/6/2009
NAUSEDRON 8 MG/4 ML AMP
3
R$ 36,74
R$ 110,22
R$ 0,50
R$ 1,50
R$
108,72
21/6/2009
NAUSEDRON 8 MG/4 ML AMP
3
R$ 36,74
R$ 110,22
R$ 0,50
R$ 1,50
R$
108,72
21/6/2009
NUBAIN 10 MG/1 ML AMP
3
R$ 17,75
R$ 53,25
R$ 8,96
R$ 26,88
R$
26,37
c21/6/2009
SERINGA DESCARTAVEL 03 ML
3
R$ 0,21
R$ 0,63
R$ 0,12
R$ 0,36
R$ 0,27
21/6/2009
SERINGA DESCARTAVEL 05 ML
3
R$ 0,24
R$ 0,72
R$ 0,13
R$ 0,39
R$ 0,33
22/6/2009
SERINGA DESCARTAVEL 05 ML
3
R$ 0,24
R$ 0,72
R$ 0,13
R$ 0,39
R$ 0,33
continua
202
continuação
21/6/2009
SERINGA DESCARTAVEL 05 ML
3
R$ 0,24
R$ 0,72
R$ 0,13
R$ 0,39
R$ 0,33
23/6/2009
SERINGA DESCARTAVEL 10 ML
8
R$ 0,37
R$ 2,96
R$ 0,24
R$ 1,92
R$ 1,04
22/6/2009
SERINGA DESCARTAVEL 10 ML
6
R$ 0,37
R$ 2,22
R$ 0,24
R$ 1,44
R$ 0,78
23/6/2009
SERINGA DESCARTAVEL 10 ML
9
R$ 0,37
R$ 3,33
R$ 0,24
R$ 2,16
R$ 1,17
21/6/2009
SERINGA DESCARTAVEL 10 ML
9
R$ 0,37
R$ 3,33
R$ 0,24
R$ 2,16
R$ 1,17
22/6/2009
SERINGA DESCARTAVEL 20 ML
6
R$ 0,60
R$ 3,60
R$ 0,36
R$ 2,16
R$ 1,44
21/6/2009
SERINGA DESCARTAVEL 20 ML
6
R$ 0,60
R$ 3,60
R$ 0,36
R$ 2,16
R$ 1,44
22/6/2009
SERINGA DESCARTAVEL 20 ML
5
R$ 0,60
R$ 3,00
R$ 0,36
R$ 1,80
R$ 1,20
21/6/2009
SERINGA DESCARTAVEL 20 ML
6
R$ 0,60
R$ 3,60
R$ 0,36
R$ 2,16
R$ 1,44
22/6/2009
SF 0,9% SISTEMA FECHADO 100 ML
3
R$ 6,89
R$ 20,67
R$ 1,64
R$ 4,92
R$
15,75
23/6/2009
SF 0,9% SISTEMA FECHADO 100 ML
6
R$ 6,89
R$ 41,34
R$ 1,64
R$ 9,84
R$
31,50
21/6/2009
SF 0,9% SISTEMA FECHADO 100 ML
6
R$ 6,89
R$ 41,34
R$ 1,64
R$ 9,84
R$
31,50
22/6/2009
SF 0,9% SISTEMA FECHADO 100 ML
8
R$ 6,89
R$ 55,12
R$ 1,64
R$ 13,12
R$
42,00
21/6/2009
SG 5% SISTEMA FECHADO 1000 ML
2
R$ 10,52
R$ 21,04
R$ 2,07
R$ 4,14
R$
16,90
22/6/2009
SOL. GLICERINA 12% 500 ML
1
R$ 7,87
R$ 7,87
R$ 4,38
R$ 4,38
R$ 3,50
20/6/2009
TILATIL 20 MG FA
3
R$ 8,06
R$ 24,18
R$ 4,76
R$ 14,28
R$ 9,90
22/6/2009
TILATIL 20 MG FA
3
R$ 8,06
R$ 24,18
R$ 4,76
R$ 14,28
R$ 9,90
continua
203
continuação
23/6/2009
TILATIL 20 MG FA
2
R$ 8,06
R$ 16,12
R$ 4,76
R$ 9,52
R$ 6,60
21/6/2009
TILATIL 20 MG FA
3
R$ 8,06
R$ 24,18
R$ 4,76
R$ 14,28
R$ 9,90
20/6/2009
TRAMAL RETARD 100 MG COMP
4
R$ 10,48
R$ 41,92
R$ 4,78
R$ 19,13
R$ 22,79
TOTAL GRUPO DE FATURAMENTO: MATERIAIS E MEDICAMENTOS - - U. I. 3º ANDAR
R$ 982,84
R$ 260,65
R$ 722,19
GRUPO FATURAMENTO: GASOTERAPIA
Data
Hora
Código
Descrição
Quanti-
dade
Preço
Unitário
Preço Total
Custo
Unitár
io
Custo
Total
Resultado
20/6/2009
OXIGENIO RESPIRADOR C/C (MIN)
15
R$ 0,21
R$ 3,15
R$ 0,00
R$ 0,00
R$ 3,15
20/6/2009
OXIGENIO RESPIRADOR C/C (HORA)
3
R$ 13,00
R$ 39,00
R$ 0,00
R$ 0,00
R$ 39,00
20/6/2009
DIOXIDO DE CARBONO (USO)
1
R$ 25,00
R$ 25,00
R$ 0,00
R$ 0,00
R$ 25,00
20/6/2009
OXIGENIO EM CATETER (MIN)
10
R$ 0,16
R$ 1,60
R$ 0,00
R$ 0,00
R$ 1,60
20/6/2009
OXIGENIO EM CATETER (HORA)
2
R$ 11,00
R$ 22,00
R$ 0,00
R$ 0,00
R$ 22,00
TOTAL GRUPO DE FATURAMENTO: GASOTERAPIA
R$ 90,75
R$ 0,00
R$ 90,75
GRUPO FATURAMENTO: TAXAS - CENTRO CIRÚRGICO
Data
Hora
Código
Descrição
Quanti-
dade
Preço Unitário
Preço Total
Custo
Unitár
io
Custo
Total
Resultado
20/6/2009
TRICOTOMIA
1
R$ 13,00
R$ 13,00
R$ 0,00
R$ 0,00
R$ 13,00
20/6/2009
ASPIRAÇÃO TRAQUEAL
1
R$ 14,00
R$ 14,00
R$ 0,00
R$ 0,00
R$ 14,00
continua
204
continuação
20/6/2009
TAXA DE CONTROLE DE USO DE
MATERIAL
1
R$ 87,00
R$ 87,00
R$ 0,00
R$ 0,00
R$ 87,00
20/6/2009
TAXA DE SALA PORTE 2
195
2
R$ 230,00
R$ 230,00
R$ 5,09
R$ 992,55
-R$ 762,55
20/6/2009
BISTURI ELETRICO
1
R$ 31,00
R$ 31,00
R$ 0,00
R$ 0,00
R$ 31,00
20/6/2009
SALA DE RECUPERAÇÃO POS
ANTESTESICA
1
R$ 61,13
R$ 61,13
R$ 0,00
R$ 0,00
R$ 61,13
TOTAL GRUPO DE FATURAMENTO: TAXAS- CENTRO CIRÚRGICO
R$ 436,13
R$ 992,55
-R$ 556,42
GRUPO FATURAMENTO: TAXAS E DIÁRIAS - U. I. 3º ANDAR
Data
Hora
Código
Descrição
Quanti-
dade
Preço Unitário
Preço Total
Custo
Unitári
o
Custo Total
Resultado
20/6/2009
SONDAGEM RETAL
1
R$ 44,00
R$ 44,00
R$ 0,00
R$ 0,00
R$ 44,00
24/6/2009
DIÁRIA DE ENFERMARIA
4
R$ 104,00
R$ 416,00
R$ 311,39
R$ 1.245,56
-R$ 829,56
TOTAL GRUPO DE FATURAMENTO: TAXAS E DIÁRIAS - U. I. 3º ANDAR
R$ 460,00
R$ 1.245,56
-R$ 785,56
RESUMO GERAL DOS GRUPOS DE FATURAMENTO
Quanti-
dade
Preço Unitário
Preço Total
Custo
Unitári
o
Custo Total
Resultado
MATERIAL / MEDICAMENTO - CENTRO CIRÚRGICO
0
R$ 0,00
R$ 1.197,29
R$ 0,00
R$ 672,04
R$ 525,25
MATERIAL / MEDICAMENTO - UNIDADE DE INTERNAÇÃO 3º ANDAR
0
R$ 0,00
R$ 982,84
R$ 0,00
R$ 260,65
R$ 722,19
continua
2
No momento em que o paciente entra na sala cirúrgica inicia-se a medição com a anotação do horário de entrada na sala cirúrgica. Após a utilização
da sala cirúrgica é feita a anotação do horário de término da utilização da sala. Portanto, na descrição do item “taxa de sala porte 2” a quantidade
refere-se aos minutos utilizados.
205
continuação
GASOTERAPIA - CENTRO CIRÚRGICO
0
R$ 0,00
R$ 90,75
R$ 0,00
R$ 0,00
R$ 90,75
TAXAS - CENTRO CIRÚRGICO
0
R$ 0,00
R$ 436,13
R$ 0,00
R$ 992,55
-R$ 556,42
TAXAS / DIÁRIAS - UNIDADE DE INTERNAÇÃO 3º ANDAR
4
R$ 0,00
R$ 460,00
R$ 0,00
R$ 1.245,56
-R$ 785,56
HONORÁRIOS MÉDICOS
3
R$ 0,00
R$ 0,00
R$ 0,00
R$ 0,00
R$ 0,00
TOTAL GERAL
R$ 3.167,01
R$ 3.170,80
-R$ 3,79
206
APENDICE M - Análise de resultado por centro de custos unidade
de internação
207
UNIDADE DE INTERNAÇÃO - 3º
ANDAR
MAIO
JUNHO
JULHO
RECEITA (R$)
64.147,73
51.410,20
78.932,91
CUSTO VARIÁVEL (R$)
20.588,23
29.152,16
26.926,04
CUSTO COM MAT/MED (R$)
12.708,01
20.255,05
19.029,14
MARGEM DE CONTRIBUIÇÃO (R$)
43.559,50
22.258,04
52.006,87
MARGEM DE CONTRIBUIÇÃO (%)
68%
43%
66%
CUSTO FIXO (R$)
45.659,18
52.228,49
48.810,02
RESULTADO (R$)
-2.099,68
-
29.970,45
3.196,85
RESULTADO (%)
-1%
-11%
9%
CUSTO UNITÁRIO (SEM MAT/MED
EM R$)
312,99
300,64
339,48
Nº FUNCIONÁRIOS
7
7
7
Nº DE PACIENTE DIA
160
187
160
Nº LEITOS
7
7
7
DIAS MÊS
31
30
31
TAXA DE OCUPAÇÃO - %
73,73
89,50
73,73
PONTO DE EQUILÍBRIO
168
438
150
208
APÊNDICE N - Relatório de análise dos convênios atendidos no
hospital
209
CONVÊ
-NIO
RECEITA
TOTAL
(R$)
CUSTO COM
MATERIAIS E
MEDICAMEN-
TOS (R$)
MARGEM DE
CONTRI-
BUIÇÃO (R$)
MC
(%)
CUSTO
COM
SERVIÇO
S (R$)
CUSTO
TOTAL
(R$)
RESULTAD
O (R$)
QUANTIDA-
DE DE
DIÁRIAS
MC / DIA
PARTICI
-PAÇÃO
28
10,00
-
10,00
100%
50,60
50,60
-40,60
-
-
0%
1
26,25
-
26,25
100%
33,10
33,10
-6,85
-
-
0%
34
60,00
-
60,00
100%
42,85
42,85
17,15
-
-
0%
27
78,76
-
78,76
100%
60,60
60,60
18,16
-
-
0%
35
100,80
-
100,80
100%
151,80
151,80
-51,00
-
-
0%
30
106,54
-
106,54
100%
102,55
102,55
3,99
-
-
0%
42
128,35
-
128,35
100%
121,12
121,12
7,23
-
-
0%
41
200,00
-
200,00
100%
148,56
148,56
51,44
-
-
0%
15
210,60
-
210,60
100%
355,84
355,84
-145,24
-
-
0%
44
293,91
-
293,91
100%
51,95
51,95
241,96
-
-
0%
5
535,51
-
535,51
100%
703,90
703,90
-168,39
-
-
0%
12
584,89
60,49
524,40
90%
446,87
507,36
77,53
-
-
0%
16
613,41
-
613,41
100%
461,13
461,13
152,28
-
-
0%
33
1.124,40
-
1.124,40
100%
593,18
593,18
531,22
-
-
0%
29
1.135,80
59,61
1.076,19
95%
534,38
593,99
541,81
-
-
0%
39
1.155,00
-
1.155,00
100%
899,85
899,85
255,15
-
-
0%
23
1.801,38
2,33
1.799,05
100%
1.122,05
1.124,38
677,00
-
-
0%
37
1.923,80
276,97
1.646,83
86%
1.012,86
1.289,83
633,97
-
-
0%
22
2.419,19
-
2.419,19
100%
1.712,72
1.712,72
706,47
-
-
0%
40
2.960,54
-
2.960,54
100%
1.297,65
1.297,65
1.662,89
-
-
0%
9
3.273,81
-
3.273,81
100%
1.743,63
1.743,63
1.530,18
-
-
0%
18
3.617,96
-
3.617,96
100%
3.681,27
3.681,27
-63,31
-
-
0%
14
3.970,28
586,63
3.383,65
85%
2.449,22
3.035,85
934,43
-
-
0%
45
4.597,99
478,46
4.119,53
90%
4.799,69
5.278,15
-680,16
-
-
0%
24
6.919,90
347,92
6.571,98
95%
4.585,85
4.933,77
1.986,13
3
2.190,66
3%
26
6.952,62
269,08
6.683,54
96%
5.413,03
5.682,11
1.270,51
-
-
0%
continua
210
continuação
21
9.487,32
566,97
8.920,35
94%
2.235,85
2.802,82
6.684,50
4
2.230,09
3%
3
10.050,23
650,74
9.399,49
94%
4.330,29
4.981,03
5.069,20
4
2.349,87
3%
2
15.986,71
5.090,38
10.896,33
68%
4.511,22
9.601,60
6.385,11
3
3.632,11
4%
36
17.715,94
700,51
17.015,43
96%
12.749,63
13.450,14
4.265,80
5
3.403,09
4%
38
22.076,94
6.122,60
15.954,34
72%
9.520,93
15.643,53
6.433,41
2
7.977,17
9%
25
29.311,40
1.170,14
28.141,26
96%
21.275,92
22.446,06
6.865,34
1
28.141,26
33%
6
32.021,76
4.303,34
27.718,42
87%
16.175,24
20.478,58
11.543,18
21
1.319,92
2%
8
35.814,27
2.958,47
32.855,80
92%
23.537,67
26.496,14
9.318,13
18
1.825,32
2%
17
39.150,00
12.443,16
26.706,84
68%
10.029,75
22.472,91
16.677,09
11
2.427,89
3%
10
42.665,58
14.516,48
28.149,10
66%
8.629,80
23.146,28
19.519,30
10
2.814,91
3%
32
45.352,14
-
45.352,14
100%
26.953,24
26.953,24
18.398,90
-
-
0%
11
47.513,74
2.046,65
45.467,09
96%
29.550,32
31.596,97
15.916,77
23
1.976,83
2%
4
48.026,09
8.589,56
39.436,53
82%
19.069,82
27.659,38
20.366,71
42
938,97
1%
13
90.250,67
38.293,92
51.956,75
58%
14.347,67
52.641,59
37.609,08
16
3.247,30
4%
31
102.100,02
6.602,29
95.497,73
94%
36.075,40
42.677,69
59.422,33
41
2.329,21
3%
43
145.382,78
17.977,43
127.405,35
88%
56.931,28
74.908,71
70.474,07
83
1.535,00
2%
46
333.440,86
52.410,05
281.030,81
84%
230.451,14
282.861,19
50.579,67
89
3.157,65
4%
20
340.787,68
148.486,28
192.301,40
56%
69.550,97
218.037,25
122.750,43
21
9.157,21
11%
47
384.175,85
76.387,62
307.788,23
80%
201.366,11
277.753,73
106.422,12
69
4.460,70
5%
19
424.916,83
155.655,92
269.260,91
63%
162.939,31
318.595,23
106.321,60
167
1.612,34
2%
7
788.718,39
179.214,71
609.503,68
77%
495.355,35
674.570,06
114.148,33
543
1.122,47
1%
TOTAL
3.049.746,89
736.268,71
2.313.478,18
76%
1.515.831,86
2.252.100,57
825.315,03
85.659,32
100%
211
ANEXO A - Relatório de composição e evolução dos custos
212
Mês / ano
Mês / ano
Mês / ano
Mês / ano
Valor
%
Valor
%
Valor
%
Valor
%
CUSTOS DIRETOS
PESSOAL
SALARIO
0,00
0,00
0,00
0,00
0,00
0,00
0,00
0,00
HORAS EXTRAS
0,00
0,00
0,00
0,00
0,00
0,00
0,00
0,00
PROLABORE
0,00
0,00
0,00
0,00
0,00
0,00
0,00
0,00
ESTAGIARIOS
0,00
0,00
0,00
0,00
0,00
0,00
0,00
0,00
BENEFICIOS
0,00
0,00
0,00
0,00
0,00
0,00
0,00
0,00
ENCARGOS SOCIAIS E
PROVISOES
0,00
0,00
0,00
0,00
0,00
0,00
0,00
0,00
TOTAL:
0,00
0,00
0,00
0,00
0,00
0,00
0,00
0,00
HONORARIOS MEDICOS
HONORARIOS MÉDICOS
0,00
0,00
0,00
0,00
0,00
0,00
0,00
0,00
TOTAL:
0,00
0,00
0,00
0,00
0,00
0,00
0,00
0,00
MATERIAIS
DROGAS E MEDICAMENTOS
0,00
0,00
0,00
0,00
0,00
0,00
0,00
0,00
MATERIAIS HOSPITALARES
0,00
0,00
0,00
0,00
0,00
0,00
0,00
0,00
GASES MEDICINAIS
0,00
0,00
0,00
0,00
0,00
0,00
0,00
0,00
MATERIAIS DE EXPEDIENTE
0,00
0,00
0,00
0,00
0,00
0,00
0,00
0,00
MATERIAIS DE LIMPEZA
0,00
0,00
0,00
0,00
0,00
0,00
0,00
0,00
MATERIAIS DE
\LAVANDERIA
0,00
0,00
0,00
0,00
0,00
0,00
0,00
0,00
MATERIAIS DESCARTAVEIS
0,00
0,00
0,00
0,00
0,00
0,00
0,00
0,00
TOTAL:
0,00
0,00
0,00
0,00
0,00
0,00
0,00
0,00
CUSTOS GERAIS
ALUGUEL
0,00
0,00
0,00
0,00
0,00
0,00
0,00
0,00
DEPRECIAÇÃO
0,00
0,00
0,00
0,00
0,00
0,00
0,00
0,00
SERVICO DE TERCEIROS
0,00
0,00
0,00
0,00
0,00
0,00
0,00
0,00
TELEFONE
0,00
0,00
0,00
0,00
0,00
0,00
0,00
0,00
MANUTENÇÃO
PREVENTIVA
0,00
0,00
0,00
0,00
0,00
0,00
0,00
0,00
SERVIÇOS DE
ESTERILIZAÇÃO
0,00
0,00
0,00
0,00
0,00
0,00
0,00
0,00
HONORARIOS
ADVOCATICIOS
0,00
0,00
0,00
0,00
0,00
0,00
0,00
0,00
COMUNICAÇÃO E
MARKETING
0,00
0,00
0,00
0,00
0,00
0,00
0,00
0,00
CURSOS E TREINAMENTOS
0,00
0,00
0,00
0,00
0,00
0,00
0,00
0,00
BENS DE VALORES
IRRELEVANTES
0,00
0,00
0,00
0,00
0,00
0,00
0,00
0,00
213
TOTAL:
0,00
0,00
0,00
0,00
0,00
0,00
0,00
0,00
TOTAL CUSTO DIRETO:
0,00
0,00
0,00
0,00
0,00
0,00
0,00
0,00
CUSTOS INDIRETOS
ENERGIA ELETRICA
0,00
0,00
0,00
0,00
0,00
0,00
0,00
0,00
AGUA E ESGOTO
0,00
0,00
0,00
0,00
0,00
0,00
0,00
0,00
TELEFONE
0,00
0,00
0,00
0,00
0,00
0,00
0,00
0,00
DEPRECIAÇÃO PREDIAL
0,00
0,00
0,00
0,00
0,00
0,00
0,00
0,00
IPTU
0,00
0,00
0,00
0,00
0,00
0,00
0,00
0,00
IMPOSTOS, TAXAS E
CONTRIBUIÇÕES
0,00
0,00
0,00
0,00
0,00
0,00
0,00
0,00
TOTAL:
0,00
0,00
0,00
0,00
0,00
0,00
0,00
0,00
TOTAL CUSTOS
INDRETOS:
0,00
0,00
0,00
0,00
0,00
0,00
0,00
0,00
TOTAL DIRETOS +
INDIRETOS
0,00
0,00
0,00
0,00
0,00
0,00
0,00
0,00
214
ANEXO B - Relatório de demonstração do custo unitário dos
serviços
215
CENTROS DE
RESULTADO
MÊS
DE
FUNC.
CUSTOS DIRETOS E INDIRETOS
RATEIOS
RECEBI-
DOS
AUX.
ADM.
CUSTO
TOTAL
QTDE
PROD.
CUSTO
UNIT C/
MAT/
MED
CONSU-
MO DE
MAT/
MED
H
HONO-
RA-
RIOS
CUSTO
UNIT S/
HON. E S/
MAT/
MED
CUSTOS C/
PESSOAL
CUSTOS C/
MATERIAIS
CUSTOS
GERAIS/
IND.
SUB-TOTAL
CUSTOS
DESCRIÇÃO
DO CENTRO
DE CUSTOS
(NOME DA
UNIDADE DE
PRODUÇÃO)
216
ANEXO C - Relatório individualizado por centro de custos
217
Nome do centro de custos
MÊS / ANO
MÊS / ANO
MÊS / ANO
MÊS / ANO
Valor
%
Valor
%
Valor
%
Valor
%
CUSTOS DIRETOS
PESSOAL
SALARIO
0,00
0,00
0,00
0,00
0,00
0,00
0,00
0,00
HORAS EXTRAS
0,00
0,00
0,00
0,00
0,00
0,00
0,00
0,00
BENEFICIOS
0,00
0,00
0,00
0,00
0,00
0,00
0,00
0,00
ENCARGOS SOCIAIS E
PROVISOES
0,00
0,00
0,00
0,00
0,00
0,00
0,00
0,00
TOTAL:
0,00
0,00
0,00
0,00
0,00
0,00
0,00
0,00
MATERIAIS
MATERIAIS
HOSPITALARES
0,00
0,00
0,00
0,00
0,00
0,00
0,00
0,00
MATERIAIS DE
EXPEDIENTE
0,00
0,00
0,00
0,00
0,00
0,00
0,00
0,00
MATERIAIS DE LIMPEZA
0,00
0,00
0,00
0,00
0,00
0,00
0,00
0,00
MATERIAIS DE
LAVANDERIA
0,00
0,00
0,00
0,00
0,00
0,00
0,00
0,00
MATERIAIS
DESCARTAVEIS
0,00
0,00
0,00
0,00
0,00
0,00
0,00
0,00
MATERIAIS DE
MANUTENCAO
0,00
0,00
0,00
0,00
0,00
0,00
0,00
0,00
TOTAL:
0,00
0,00
0,00
0,00
0,00
0,00
0,00
0,00
CUSTOS GERAIS
DEPRECIAÇÃO
0,00
0,00
0,00
0,00
0,00
0,00
0,00
0,00
SERVICO DE TERCEIROS
0,00
0,00
0,00
0,00
0,00
0,00
0,00
0,00
MANUTENÇÃO DE
EQUIPAMENTOS
0,00
0,00
0,00
0,00
0,00
0,00
0,00
0,00
BENS DE VALORES
IRRELEVANTES
0,00
0,00
0,00
0,00
0,00
0,00
0,00
0,00
TOTAL:
0,00
0,00
0,00
0,00
0,00
0,00
0,00
0,00
TOTAL CUSTOS DIRETOS:
0,00
0,00
0,00
0,00
0,00
0,00
0,00
0,00
CUSTOS INDIRETOS
ENERGIA ELETRICA
0,00
0,00
0,00
0,00
0,00
0,00
0,00
0,00
AGUA E ESGOTO
0,00
0,00
0,00
0,00
0,00
0,00
0,00
0,00
DEPRECIAÇÃO PREDIAL
0,00
0,00
0,00
0,00
0,00
0,00
0,00
0,00
218
IMPOSTOS, TAXAS E
CONTRIBUIÇÕES
0,00
0,00
0,00
0,00
0,00
0,00
0,00
0,00
TOTAL:
0,00
0,00
0,00
0,00
0,00
0,00
0,00
0,00
TOTAL CUSTOS
INDIRETOS:
0,00
0,00
0,00
0,00
0,00
0,00
0,00
0,00
TOTAL DIRETOS +
INDIRETOS
0,00
0,00
0,00
0,00
0,00
0,00
0,00
0,00
RATEIOS RECEBIDOS
ADMINISTRAÇÃO
0,00
0,00
0,00
0,00
0,00
0,00
0,00
0,00
CENTRAL DE ABAST. DE
AGUA
0,00
0,00
0,00
0,00
0,00
0,00
0,00
0,00
DEPARTAMENTO PESSOAL
0,00
0,00
0,00
0,00
0,00
0,00
0,00
0,00
FARMÁCIA
0,00
0,00
0,00
0,00
0,00
0,00
0,00
0,00
FINANCEIRO
0,00
0,00
0,00
0,00
0,00
0,00
0,00
0,00
MANUTENCÃO
0,00
0,00
0,00
0,00
0,00
0,00
0,00
0,00
SERVIÇO DE NUTRIÇÃO E
DIETÉTICA
0,00
0,00
0,00
0,00
0,00
0,00
0,00
0,00
TRANSPORTE
0,00
0,00
0,00
0,00
0,00
0,00
0,00
0,00
CONTROLADORIA
0,00
0,00
0,00
0,00
0,00
0,00
0,00
0,00
SERVIÇO CTRL. INFECÇÃO
HOSP.
0,00
0,00
0,00
0,00
0,00
0,00
0,00
0,00
COMUNICAÇÃO E
MARKETING
0,00
0,00
0,00
0,00
0,00
0,00
0,00
0,00
SESMT
0,00
0,00
0,00
0,00
0,00
0,00
0,00
0,00
COMPRAS
0,00
0,00
0,00
0,00
0,00
0,00
0,00
0,00
ALMOXARIFADO
0,00
0,00
0,00
0,00
0,00
0,00
0,00
0,00
GOVERNANÇA
0,00
0,00
0,00
0,00
0,00
0,00
0,00
0,00
RECURSOS HUMANOS
0,00
0,00
0,00
0,00
0,00
0,00
0,00
0,00
SEGURANÇA
0,00
0,00
0,00
0,00
0,00
0,00
0,00
0,00
AREAS COMUNS
0,00
0,00
0,00
0,00
0,00
0,00
0,00
0,00
TOTAL:
0,00
0,00
0,00
0,00
0,00
0,00
0,00
0,00
TOTAL RATEIOS
RECEBIDOS:
0,00
0,00
0,00
0,00
0,00
0,00
0,00
0,00
TOTAL DIRETOS + IND +
RATEIOS
0,00
0,00
0,00
0,00
0,00
0,00
0,00
0,00
(-) RATEIOS PRÓPRIOS
0,00
0,00
0,00
0,00
CUSTO TOTAL DA
UNIDADE
0,00
0,00
0,00
0,00
219
BASE DE RATEIO
0,00
0,00
0,00
0,00
CUSTO UNITÁRIO
0,00
0,00
0,00
0,00
Nº DE FUNCIONÁRIOS
0,00
0,00
0,00
0,00
Nº DE LEITOS
0,00
0,00
0,00
0,00
Livros Grátis
( http://www.livrosgratis.com.br )
Milhares de Livros para Download:
Baixar livros de Administração
Baixar livros de Agronomia
Baixar livros de Arquitetura
Baixar livros de Artes
Baixar livros de Astronomia
Baixar livros de Biologia Geral
Baixar livros de Ciência da Computação
Baixar livros de Ciência da Informação
Baixar livros de Ciência Política
Baixar livros de Ciências da Saúde
Baixar livros de Comunicação
Baixar livros do Conselho Nacional de Educação - CNE
Baixar livros de Defesa civil
Baixar livros de Direito
Baixar livros de Direitos humanos
Baixar livros de Economia
Baixar livros de Economia Doméstica
Baixar livros de Educação
Baixar livros de Educação - Trânsito
Baixar livros de Educação Física
Baixar livros de Engenharia Aeroespacial
Baixar livros de Farmácia
Baixar livros de Filosofia
Baixar livros de Física
Baixar livros de Geociências
Baixar livros de Geografia
Baixar livros de História
Baixar livros de Línguas
Baixar livros de Literatura
Baixar livros de Literatura de Cordel
Baixar livros de Literatura Infantil
Baixar livros de Matemática
Baixar livros de Medicina
Baixar livros de Medicina Veterinária
Baixar livros de Meio Ambiente
Baixar livros de Meteorologia
Baixar Monografias e TCC
Baixar livros Multidisciplinar
Baixar livros de Música
Baixar livros de Psicologia
Baixar livros de Química
Baixar livros de Saúde Coletiva
Baixar livros de Serviço Social
Baixar livros de Sociologia
Baixar livros de Teologia
Baixar livros de Trabalho
Baixar livros de Turismo