
52
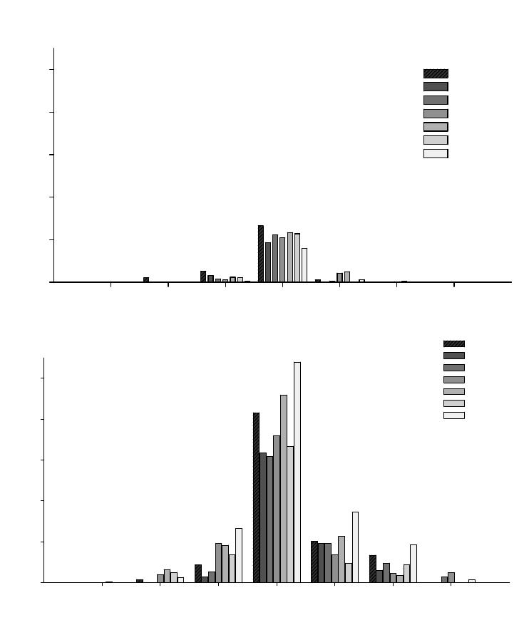
Tabela 4. Distribuição de agregados em classe de tamanho e em profundidade
nos diferentes sistemas de cultivo.
Classe de Tamanho de Agregados (mm)
Prof.
m
Tratam.
8,00-4,76 4,76-2,0 2,0-1,0 1,0-0,21 <0,21
%
0 – 0,05
PC
66,93 c B
17,86 a A 1,63 a A 1,47 a A 12,06 a A
PD
79,31 abc A 11,57 ab A 0,85 ab A 1,11 a AB 7,16 ab A
PD 1H
73,78 bc A 12,82 ab A 1,15 ab A 1,70 a BC 10,55 a B
PD 2H
86,56 ab A 7,01 b A 0,49 b A 0,67 a A 5,26 ab A
PD 3H
77,69 abc A
13,61 ab A 1,31 ab A 1,31 a AB 6,07 ab A
PD 4H
89,92 a A 5,43 b A 0,43 b A 0,60 a A 3,62 b A
PD 5H
84,99 ab BC
7,79 b A 0,51 ab B 0,86 a B 5,85 ab B
0,05 – 0,10
PC
77,12 a AB 10,38 a B 1,08 a A 1,88 a A 9,54 a AB
PD
93,05 a A 3,45 b B 0,18 a A 0,33 a B 2,99 a A
PD 1H
83,40 a A 8,65 ab AB 0,64 a A 1,32 a C 5,99 a AB
PD 2H
87,18 a A 5,07 ab A 0,52 a A 1,16 a A 6,08 a A
PD 3H
87,02 a A 6,97 ab B 1,14 a A 1,07 a B 3,79 a B
PD 4H
81,87 a A 5,96 ab A 1,07 a A 2,13 a A 8,98 a A
PD 5H
93,49 a A 3,15 b B 0,23 a B 0,51 a B 2,62 a B
0,10 – 0,15
PC
84,68 a A 8,41 a B 0,54 a A 0,95 a A 5,43 a B
PD
84,47 a A 7,30 a AB 0,80 a A 1,64 a AB 5,79 a A
PD 1H
81,90 a A 4,82 a B 0,76 a A 2,47 a ABC 10,05 a AB
PD 2H
86,65 a A 5,19 a A 0,50 a A 1,43 a A 6,22 a A
PD 3H
85,47 a A 6,27 a B 0,67 a A 1,41 a AB 6,18 a AB
PD 4H
88,32 a A 4,87 a A 0,79 a A 1,77 a A 4,25 a A
PD 5H
91,06 a AB 2,85 a B 0,53 a B 0,91 a B 4,65 a B
0,15 – 0,20
PC
88,03 a A 5,12 ab B 0,47 a A 0,97 b A 5,42 b B
PD
89,54 a A 2,21 b B 1,58 a A 1,64 b AB 5,04 b A
PD 1H
70,50 b A 8,76 a AB 1,60 a A 4,72 a A 14,42 a AB
PD 2H
80,68 ab A 5,26 ab A 0,87 a A 2,60 ab A 10,59 ab A
PD 3H
80,29 ab A 6,52 ab B 1,19 a A 2,37 ab A 9,63 ab A
PD 4H
76,50 ab A 7,60 ab A 1,76 a A 3,47 ab A 10,66 ab A
PD 5H
87,49 b ABC 4,64 ab AB 0,70 a AB 1,55 b AB 5,62 b AB
0,20 – 0,25
PC
81,58 a A 5,82 a B 1,37 a A 2,64 a A 8,59 a AB
PD
81,92 a A 5,19 a AB
1,13 a A
2,84 a A 8,93 a A
PD 1H
73,20 a A 7,83 a AB 4,47 a A 4,47 a AB 12,87 a A
PD 2H
78,67 a A 6,87 a A 1,27 a A 2,73 a A 10,46 a A
PD 3H
83,40 a A 5,73 a B 2,17 a A 2,17 a AB 7,91 a A
PD 4H
77,26 a A 7,87 a A 1,51 a A 2,88 a A 10,48 a A
PD 5H
81,49 a C 6,23 a AB 1,12 a A 2,23 a A 8,93 a A
PC = preparo convencional; PD = plantio direto; PD1H= PD escarificado com 1 haste de
escarificador; PD2H= PD escarificado com 2 hastes; PD3H= PD escarificado com 3 hastes;
PD4H= PD escarificado com 4 hastes; PD5H= PD escarificado com 5 hastes
Médias seguidas pela mesma letra em minúsculo, na coluna entre os tratamentos na mesma
faixa de profundidade e em maiúsculo, na coluna para o mesmo tratamento e entre as faixas
de profundidade, não diferem entre si pelo teste de Duncan (P<5%).