
Resultados – Cinética Química
87
-
2,4 dimetilestireno e
-
1H indeno, 1 metil.
Os resultados obtidos estão apresentados na Tabela 8.1, 8.2 e 8.3.
Tabela 8.1 – Resultados obtidos para a vazão de entrada de 5,46 cm
3
.min
-1
em diferentes
temperaturas no ponto central
T
central
(K) 673,15 673,15 723,15 723,15 773,15 773,15
T
entrada
(K) 639,15 668,15 680,15 713,15 749,15 733,15
T
saída
(K) 663,15 674,15 711,15 723,15 751,15 771,15
β
-pineno (%)
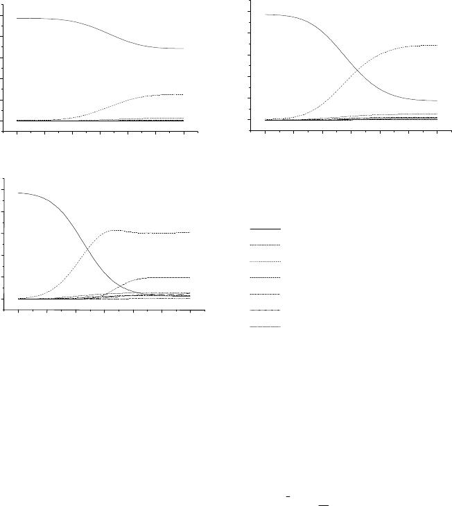
71,6568 65,0375 38,3949 36,5258 3,0433 2,7561
Mirceno (%) 19,3992 22,6151 46,1093 48,8851 70,7596 71,9612
Limoneno (%) 3,4821 2,1634 5,7110 6,3419 9,3668 8,2286
p-mentadieno (%) 1,0486 0,9239 2,2284 2,5107 4,6033 3,9779
Verbeneno (%) 0,1621 0,1621 0,1651 0,1668 0,5928 0,5222
Pentenos (%) 0,0010 0,0011 0,4054 0,3722 3,3353 2,8263
1,3 Butadieno (%) 0,1688 0,1356 0,5527 0,6395 2,1120 1,9997
Outros (%) 4,0814 8,9613 6,4332 4,5580 6,1869 7,7280
Dados em percentagem molar
Tabela 8.2 – Resultados obtidos para a vazão de entrada de 9,43 cm
3
.min
-1
em diferentes
temperaturas no ponto central
T
central
(K) 673,15 673,15 723,15 723,15 773,15 773,15
T
entrada
(K) 650,15 640,15 660,15* 678,15 685,15 670,15
T
saída
(K) 685,15 667,15 689,15* 696,15 721,15 753,15
β
-pineno (%)
72,6997 71,2803 43,8618* 42,4358 15,0433 15,7585
Mirceno (%) 18,3894 17,4408 42,1107* 43,4726 59,7596 50,0620
Limoneno (%) 3,0952 2,7963 5,3220* 6,1403 7,3668 6,6704
p-mentadieno (%) 1,0003 1,0285 2,3700* 2,3169 3,6033 3,4553
Verbeneno (%) 0,1639 0,1670 0,1695* 0,1686 0,4704 0,8749
Pentenos (%) 0,0000 0,0000 0,4054* 0,3943 2,3247 7,0977
1,3 Butadieno (%) 0,1517 0,1639 0,5527* 0,5823 1,9939 3,1273
Outros (%) 4,4998 7,1232 5,2079* 4,4892 9,4380 12,9539
Dados em percentagem molar
* Dados eliminados
Tabela 8.3 – Resultados obtidos para a vazão de entrada de 10,36 cm
3
.min
-1
em diferentes
temperaturas no ponto central
T
central
(K) 673,15 673,15 723,15 723,15
T
entrada
(K) 587,15 608,15 639,15 647,15
T
saída
(K) 673,15 643,15 723,15 693,15
β
-pineno (%)
73,6611 74,1194 50,7925 49,7483
Mirceno (%) 18,8233 19,8589 35,2660 36,9770
Limoneno (%) 2,2415 2,0792 4,6179 4,9813
p-mentadieno (%) 1,0667 1,0077 2,4327 1,9876
Verbeneno (%) 0,1248 0,1640 0,7239 0,3163
Pentenos (%) 0,0000 0,0757 3,9816 0,5981
1,3 Butadieno (%) 0,5499 0,2239 1,9786 0,6737
Outros (%) 3,5327 2,4712 0,2068 4,7177
Dados em percentagem molar