Download PDF
ads:
UNIVERSIDADE FEDERAL DO RIO GRANDE DO SUL
INSTITUTO DE QUÍMICA
PROGRAMA DE PÓS-GRADUAÇÃO EM QUÍMICA
SILMAR BALSAMO BARRIOS
SÍNTESE DE RESINAS ALQUÍDICAS VIA CATÁLISE
ENZIMÁTICA
Dissertação apresentada como requisito parcial para a
obtenção do grau de Mestre em Química
Prof. Dr. Cesar Petzhold
Orientador
Prof. Dr. Alexandre Lapis
Co-orientador
Porto Alegre, Dezembro de 2008
ads:
Livros Grátis
http://www.livrosgratis.com.br
Milhares de livros grátis para download.
2
A presente dissertação foi realizada inteiramente pelo autor, exceto as colaborações as quais
serão devidamente citadas nos agradecimentos, no período entre agosto/2006 e
dezembro/2008, no Instituto de Química da Universidade Federal do Rio Grande do Sul sob
Orientação do Professor Doutor César Petzhold e Co-orientação do Professor Doutor
Alexandre Lapis. A dissertação foi julgada adequada para a obtenção do título de Mestre em
Química pela seguinte banca examinadora:
Comissão Examinadora:
Prof. Dr. Carlos Rodolfo Wolf
Curso de Química
Universidade Luterana do Brasil
Prof. Dr. Dimitrios Samios
Instituto de Química
Universidade Federal do Rio Grande do Sul
Prof. Dr. Annelise Gerbase
Instituto de Química
Universidade Federal do Rio Grande do Sul
Prof. Dr. Cesar Petzhold Prof. Dr. Alexandre Lapis
Silmar Bálsamo Barrios
ads:
3
Parte desta dissertação foi apresentada/ publicada nos seguintes congressos:
Future Coat 2008 – Globally Responsible Coatings – Getting There from Here
Federation of Societies for Coatings Technology International Conference
Outubro de 2008
Título: Enzymatic Catalysed Transesterification in the Manufacturing of Alkyd Resins
31
a
Reunião Anual da Sociedade Brasileira de Química
Maio de 2008
Título: Síntese de Resinas Alquídicas via Catálise Enzimática
Pedido de depósito de patente do processo descrito neste trabalho foi protocolado junto
ao Instituto Nacional de Propriedade Industrial (INPI) em 19 de dezembro de 2008
Título: Processo para Preparação de Resinas Alquídicas
Titulares: UFRGS e Killing S/A Tintas e Adesivos
4
"É muito melhor
Arriscar coisas grandiosas
Alcançar triunfos e glórias, mesmo expondo-se à derrota
Do que formar fila com os pobres de espírito
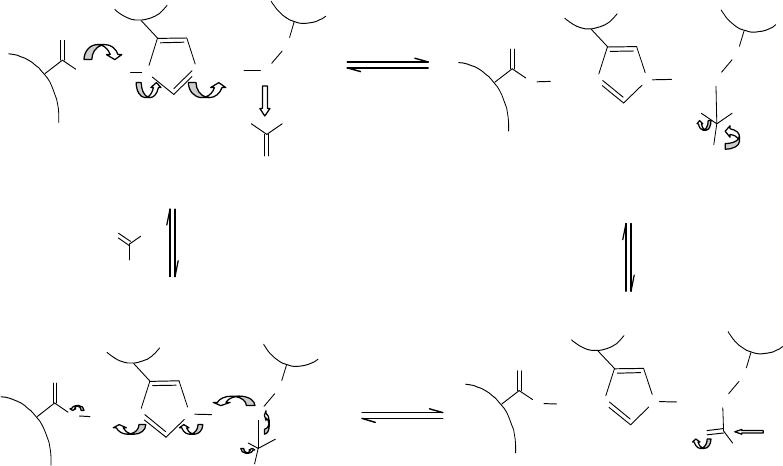
Que nem gozam muito, nem sofrem muito,
Porque vivem em uma penumbra cinzenta
Que não conhecem vitória nem derrota".
Teodore Roosevelt
5
AGRADECIMENTOS
Aos meus amores “dona” Mari, “seu” Silvio, Silmara e Giza.
Ao meu orientador e amigo César.
À “inspiradora” Cenira Verona.
Ao meu co-orientador Lapis.
Aos meus eternos amigos.
À “analítica” Angelita.
Ao pessoal do K215.
À Illen Canani.
À Killing.
À banca.
6
SUMÁRIO
LISTA DE ABREVIATURAS E GLOSSÁRIO .....................................................................8
LISTA DE TABELAS..........................................................................................................13
RESUMO.............................................................................................................................14
ABSTRACT .........................................................................................................................15
1 INTRODUÇÃO ................................................................................................................16
1.1
O MERCADO DE TINTAS E A PREOCUPAÇÃO AMBIENTAL................................ 16
1.2
TINTAS E RESINAS............................................................................................................ 18
1.3
RESINAS ALQUÍDICAS..................................................................................................... 19
1.4
A BIOTECNOLOGIA.......................................................................................................... 21
1.5
LIPASES................................................................................................................................ 23
1.6
A CATÁLISE ENZIMÁTICA APLICADA À TECNOLOGIA DE TINTAS................ 25
2 OBJETIVOS.....................................................................................................................28
3 REVISÃO BIBLIOGRÁFICA..........................................................................................29
3.1
TINTAS.................................................................................................................................. 29
3.1.1
Definição....................................................................................................................................... 29
3.1.2
Composição................................................................................................................................... 29
3.1.3
Processo de fabricação .................................................................................................................. 30
3.2
RESINAS ALQUÍDICAS..................................................................................................... 30
3.2.1
Conceito e Histórico...................................................................................................................... 30
3.2.2
Síntese e Processo ......................................................................................................................... 34
3.2.2.1
Método fusão X Método solvente ............................................................................................. 35
3.2.2.2
Método monoglicérido X Método ácido graxo ......................................................................... 36
3.2.2.3
Reações paralelas ...................................................................................................................... 38
3.2.2.3.1
Eterificação......................................................................................................................... 39
3.2.2.3.2
Formação de anel................................................................................................................ 39
3.2.2.3.3
Decomposição do poliálcool .............................................................................................. 40
3.2.2.4
Teoria da Policondensação (Equação de Carothers) ................................................................. 41
3.2.3
Composição................................................................................................................................... 44
3.2.3.1
Óleos e a Secatividade............................................................................................................... 44
3.2.3.2
Álcoois Polifuncionais (Polióis)................................................................................................ 49
3.2.3.3
Ácidos Polifuncionais (Poliácidos) ........................................................................................... 50
3.2.4
Limitações..................................................................................................................................... 51
3.2.5
Estado da Arte ............................................................................................................................... 54
3.2.5.1
Resinas Alquídicas Base-Água e Alto de Teor de Sólidos........................................................ 54
3.2.5.2
Resinas Alquídicas Modificadas ............................................................................................... 58
3.2.5.2.1
Modificação Interna............................................................................................................ 58
3.2.5.2.2
Modificação Externa .......................................................................................................... 60
3.3
CATÁLISE ENZIMÁTICA................................................................................................. 63
3.3.1
Estrutura das Enzimas ................................................................................................................... 63
3.3.2
Classificação e nomenclatura ........................................................................................................ 67
3.3.3
Mecanismo Catalítico.................................................................................................................... 68
3.3.3.1
Equação de Michaelis-Menten .................................................................................................. 70
3.3.4
Desenvolvimento de enzimas........................................................................................................ 72
3.3.5
Atividade, desnaturação e inativação ............................................................................................ 73
3.3.6
Atividade Enzimática em Meio Não-aquoso................................................................................. 74
3.3.7
Processo de Fabricação de Enzimas.............................................................................................. 75
3.3.8
Imobilização de Enzimas .............................................................................................................. 77
3.3.9
Custo das Enzimas ........................................................................................................................ 79
7
3.3.10
Lipases .......................................................................................................................................... 81
3.3.10.1
Seletividade das Lipases........................................................................................................ 84
3.3.10.2
Modelo Cinético.................................................................................................................... 88
3.3.10.3
Aplicações das Lipases.......................................................................................................... 89
3.3.10.3.1
Interesterificação .............................................................................................................. 89
3.3.10.3.2
Produção de Monoacilgliceróis e Diacilgliceróis ............................................................. 91
3.3.10.3.3
Síntese de Biodiesel.......................................................................................................... 94
3.3.10.3.4
Usos das lipases na modificação de óleos para produção de resinas alquídicas............... 96
4 MATERIAIS E MÉTODOS .............................................................................................99
4.1
REAGENTES........................................................................................................................ 99
4.2
PROTOCOLOS DE REAÇÃO ........................................................................................... 99
4.2.1
Alcóolises com lipase PPL............................................................................................................ 99
4.2.2
Alcóolises com lipases PS, A, AY e Novozym 435...................................................................... 99
4.2.3
Análise fatorial com Lipase PS ..................................................................................................... 99
4.2.4
Síntese da resina alquídica .......................................................................................................... 100
4.2.5
Reator contínuo ........................................................................................................................... 100
4.3
MÉTODOS ANALÍTICOS................................................................................................ 102
4.3.1
Solubilidade em Metanol ............................................................................................................ 102
4.3.2
Índice de acidez........................................................................................................................... 102
4.3.3
Cromatografia em camada delgada ............................................................................................. 103
4.3.4
Cromatografia Líquida de Alta Eficiência (CLAE) .................................................................... 103
4.3.5
Cromatografia de Permeação em Gel (GPC) .............................................................................. 105
4.3.6
Espectroscopia em Infravermelho............................................................................................... 105
4.4
ENSAIOS EM RESINA E TINTA.................................................................................... 105
4.4.1
Desempenho da tinta e resina...................................................................................................... 105
4.4.2
“Gel Time”.................................................................................................................................. 106
4.4.3
Imersão em água ......................................................................................................................... 106
5 RESULTADOS E DISCUSSÃO .....................................................................................108
5.1
PROCESSO ALCALINO .................................................................................................. 108
5.2
Glicerólise com lipase PPL................................................................................................. 109
5.3
Glicerólise com Enzimas Amano....................................................................................... 114
5.3.1
Otimização do processo com lipase PS....................................................................................... 118
5.3.2
Reutilização................................................................................................................................. 120
5.3.3
Efeito da Adição de Solvente...................................................................................................... 121
5.3.4
Testes com outros óleos e álcoois polifuncionais........................................................................ 123
5.4
Glicerólise com Novozym 435 ............................................................................................ 125
5.4.1
Processo contínuo........................................................................................................................ 127
5.5
Síntese da resina alquídica................................................................................................. 131
5.6
Resultados em Esmalte Poliuretânico Branco.................................................................. 135
6 CONCLUSÕES ..............................................................................................................140
Referências Bibliográficas.................................................................................................143
ANEXOS ...........................................................................................................................151
8
LISTA DE ABREVIATURAS E GLOSSÁRIO
Acabamento: camada aparente de tinta.
AGL: ácido graxo livre.
CHDM: Cicloexano-dimetanol.
CLAE: Cromatografia Líquida de Alta Eficiência.
Cobertura: propriedade de um filme de tinta de obliterar a superfície, não
permitindo a passagem de luz.
COV: Compostos Orgânicos Voláteis.
Cowles: misturador de alto cisalhamento muito usado na indústria de tintas.
Crosslinking: termo em inglês que indica ligação cruzada entre cadeias
poliméricas (reticulação).
DG: diacilglicerol.
Esmalte: acabamentos brilhantes muito usados na construção civil, para os mais
diversos substratos. A denominação também é utilizada para acabamentos de
alto brilho para a indústria metal-mecânica.
GPC: cromatografia de permeação em gel.
HD: hexanodiol.
Laca: nomenclatura usual de acabamentos para madeira.
MG: monoacilglicerol.
NPG: neopentilglicol.
P
gel
: extensão da reação de policondensação no ponto de gel. A indústria
denomina este parâmetro como K.
Primer: tinta especial que entra como primeira camada em superfícies de forma
a garantir a adesão das camadas posteriores. Pode ter função anticorrosiva em
superfícies metálicas.
TG: triacilglicerol.
Veículo: numa tinta, o veículo é composto pela resina mais os solventes.
9
LISTA DE FIGURAS
Figura 1.1 – Esquema de formação de ozônio através de reação fotoquímica dos solventes.
1
_____________ 17
Figura 1.2 – Comparativo de venda de resinas (em milhões de quilos) nos Estados Unidos nos anos de 1982 e
2004.
1,51
________________________________________________________________________________ 18
Figura 1.3 – Estrutura idealizada de uma resina alquídica, onde R corresponde à cadeia de ácido graxo
correspondente, que, dependendo do tipo de óleo utilizado, pode ser saturada ou insaturada. ____________ 19
Figura 1.4 – Reação idealizada de transesterificação (ou alcóolise) entre um óleo vegetal e glicerol. ______ 20
Figura 1.5 – Esquema simplificado da etapa de policondensação de síntese de resina alquídica. __________ 21
Figura 1.6 – Rotas sintéticas livres de benzeno para vários produtos químicos industriais.
71
______________ 22
Figura 1.7 – Processo de produção de biodiesel através da transesterificação com catalisador básico. São
necessárias várias etapas de purificação dos produtos e subprodutos para possibilitar a comercialização.
186
24
Figura 1.8 – Processo de produção de biodiesel através de transesterificação com catálise enzimática. Processo
mais simplificado, devido à alta pureza dos produtos e subprodutos.
186
______________________________ 24
Figura 3.1 – Carro do início do século 20 pintado com tinta a base de resina nitrocelulósica.
21
___________ 33
Figura 3.2 – Reação de policondensação e estrutura idealizada de resina alquídica de glicerol e anidrido
ftálico. R
corresponde à cadeia de carbonos correspondente ao ácido graxo.__________________________ 34
Figura 3.3– Representação da reação de alcoólise.______________________________________________ 37
Figura 3.4 – Formação de anel na reação de policondensação. ____________________________________ 40
Figura 3.5– Mecanismos de degradação de polióis. _____________________________________________ 40
Figura 3.6 – W. H. Carothers em seu laboratório em 1930.
25
______________________________________ 41
Figura 3.7 – Representação da reação de policondensação.
35
______________________________________ 42
Figura 3.8 – Principais ácidos graxos utilizados na formulação de resinas alquídicas. __________________ 45
Figura 3.9 – Esquema da reação de crosslinking durante a secagem de alquídica baseada em óleo linoléico. R =
polímero.
1,39
_____________________________________________________________________________ 47
Figura 3.10 – Formação de cetonas durante a secagem de resinas alquídicas.
39
_______________________ 48
Figura 3.11 – Principais ácidos polifuncionais utilizados na síntese de resinas alquídicas._______________ 50
Figura 3.12 – Comparativo de tempo de secagem (eixo Y, em minutos) de resinas alquídicas formuladas com
diversos anidridos (MA=Maleico, PA=Ftálico, SA=Succínico, GA=Glutárico) em diversos teores (eixo X,
quantidade molar de anidrido para 1 g de óleo). Conventional resin = resina convencional, formulação não
informada.
41
____________________________________________________________________________ 51
Figura 3.13 – Esquema genérico de fotodegradação de polímeros.
1
_________________________________ 52
Figura 3.14 – Representação esquemática da formação de ácidos pela degradação de polímeros alquídicos.
42
53
Figura 3.15 – Representação idealizada de resinas alquídicas diluíveis com água, adequadas para
neutralização com aminas devido à acidez residual do polímero. (a) Modificação com Anidrido Trimelítico. (b)
Modificação com anidrido maleico. __________________________________________________________ 55
Figura 3.16 – Gráfico comparativo de teor de COV e secagem de formulações de resinas alquídicas base-
solvente e base-água (tecnologia de emulsificante polimérico).
45
___________________________________ 56
Figura 3.17 – Diluentes reativos para formulação de resinas alquídicas de alto teor de sólidos. e (a) = 2,7-
octadienil fumarato, (b) = 2,7-octadienil maleato e (c) = (2,7-octadieniloxi)-2-succinato. ______________ 57
10
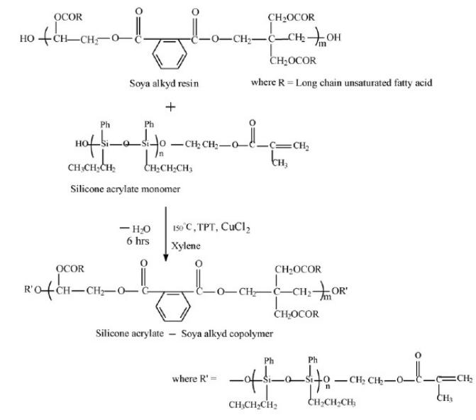
Figura 3.18 – Modificação de resina alquídica com monômero acrílico-silicone.
49
_____________________ 59
Figura 3.19 – Reação entre monoacilglicerol e heximetileno diisocianato (HDI), formando uma resina alquídica
uretanizada. ____________________________________________________________________________ 60
Figura 3.20 – Representação da reação de crosslinking de uma resina alquídica com endurecedor melamínico.
______________________________________________________________________________________ 62
Figura 3.21 – Esquema teórico de formação de ligação peptídica entre dois aminoácidos.
54
_____________ 63
Figura 3.22 – Estrutura de α-hélice de uma enzima. Em detalhe (pontilhado) as ligações de hidrogênio que
influenciam a estabilidade da estrutura.
54,55
____________________________________________________ 65
Figura 3.23 – Estrutura de folha β-pregueada de uma enzima. Em detalhe (pontilhado) as ligações de
hidrogênio.
54,55
__________________________________________________________________________ 66
Figura 3.24 - Representação da estrutura tiária de uma enzima.
58
__________________________________ 66
Figura 3.25 – Representação do modelo de chave e fechadura. A molécula de sacarose não é quebrada pela
Maltase, pois não se “encaixa” no sítio ativo.
57
________________________________________________ 69
Figura 3.26 – Representação do modelo dinâmico do encaixe substrato-enzima.
59
_____________________ 69
Figura 3.27 - Representação gráfica da equação de Michaelis-Menten.
54
_____________________________ 70
Figura 3.28 – Esquema simplificado de produção de enzimas.
58
____________________________________ 76
Figura 3.29 – Esquema de imobilização da estrutura aberta de lipase através de adição de surfactante,
imobilização em suporte aminado, fixação com glutaraldeído e posterior lavagem para remoção do
surfactante.
76
____________________________________________________________________________ 79
Figura 3.30 – Reações de hidrólise (sentido direto) e esterificação (sentido inverso) catalisadas por lipases _ 81
Figura 3.31 - Artigos publicados na revista Journal of American Oil Chemistry Society, referentes à pesquisa
com a palavra LIPASE.
84
__________________________________________________________________ 81
Figura 3.32 - A estrutura de uma lipase pancreática humana. Acima a estrutura ativa (aberta, E*) devido à
aproximação com o substrato. Embaixo a estrutura inativa (fechada, E). O sítio ativo da lipase é demonstrado,
ficando próximo a estrutura da folha β5, embaixo de uma estrutura que funciona como uma tampa (Lid
domain).
85
______________________________________________________________________________ 83
Figura 3.33 – Reações catalisadas por lipases. _________________________________________________ 84
Figura 3.34 - Randomização da estrutura do triacilglicerol na reação de interesterificação de óleos vegetais.
67
______________________________________________________________________________________ 85
Figura 3.35 - Estrutura do triacilglicerol na reação de interesterificação de óleos vegetais via catalise
enzimática com lipases 1,3 específicas.
67
______________________________________________________ 85
Figura 3.36 – Mecanismo da migração de grupamentos acila gerando produtos aleatorizados durante a
interesterificação enzimática. X e Y representam grupamentos graxos.
123
_____________________________ 86
Figura 3.37 – Mecanismo de reação genérico das lipases_________________________________________ 88
Figura 3.38 – Reação em processo contínuo (reator de leito fluidizado com membrana de separação) do óleo de
palma com glicerol a 30ºC; 300 rpm; relação glicerol/óleo 2,7; 4% de água (m/m); enzima não imobilizada.
Organismos originais das lipases: LP (Chromobacterium viscosum), OF (Candida rugosa), D (Rhizopus
delemar), AK (Pseudomonas fluorescens), PS (Pseudomonas sp.), F (Rhizopus oryzae), AY (Candida rugosa), M
(Mucor javanicus) e PL (Alcaligenes sp.).
161
___________________________________________________ 92
11
Figura 3.39 – Reação em processo contínuo (reator de leito fluidizado com membrana de separação) do óleo de
palma com glicerol a 45ºC; 300 rpm; relação glicerol/óleo 2,7; 4% de água (m/m); enzima não imobilizada.
Organismos originais das lipases: LP (Chromobacterium viscosum), D (Rhizopus delemar), PS (Pseudomonas
sp.), F (Rhizopus oryzae) e PL (Alcaligenes sp.).
161
_____________________________________________ 92
Figura 3.40 – Estabilidade das lipases na reação do óleo de palma com glicerol a 45ºC; 300 rpm; relação
glicerol/óleo 2,7; 4% de água (m/m); enzima não imobilizada. Organismos originais das lipases: LP
(Chromobacterium viscosum), D (Rhizopus delemar), PS (Pseudomonas sp.), F (Rhizopus oryzae) e PL
(Alcaligenes sp.).
161
_______________________________________________________________________ 93
Figura 3.41 – Reator contínuo de leito fixo.
161
_________________________________________________ 93
Figura 3.42 – Transesterificação de óleo vegetal por enzimas suportada em líquidos iônicos com concomitante
captura do glicerol formado.
178
_____________________________________________________________ 95
Figura 4.1 – Esquema do reator contínuo de Damstrup.
151
_______________________________________ 101
Figura 4.2 – Foto do reator contínuo de leito fixo preenchido com a enzima Novozym 435, já inchada devido ao
solvente. ______________________________________________________________________________ 101
Figura 4.3 – Exemplo de cromatograma de CLAE . Os picos referentes às diversas frações de acilgliceróis estão
indicados, inclusive o pico dos padrões internos naftaleno e linoleato de metila. ______________________ 104
Figura 4.4 – Foto ilustrativa do teste de imersão em água. _______________________________________ 107
Figura 5.1 – Resultados da análise de CLAE semi-quantitativa da alcoólise alcalina do óleo de soja e glicerol
(desconsiderado o glicerol não reagido). _____________________________________________________ 109
Figura 5.2 – Cromatograma de CLAE do óleo de mamona. ______________________________________ 112
Figura 5.3 – Cromatograma de CLAE da reação do óleo de mamona com CHDM, relação OH/ éster 2,4, THF
como solvente, temperatura 32°C e tempo 72 horas (reação 2 da Tabela XVII). ______________________ 113
Figura 5.4 – Cromatograma de CLAE da reação do óleo de mamona com TMP, relação OH/ éster 2,4, THF e
água como solventes, temperatura 32°C e tempo 48 horas (reação 4 da Tabela XVII). _________________ 113
Figura 5.5 – Comparação processo de alcóolise alcalina e enzimático por cromatografia em camada delgada.
Em ambos os casos, relação glicerol/ óleo de soja=2,4:1; Processo Lipase PS: 1% de enzima/ óleo, 96 horas de
reação, temperatura 40ºC. Processo Alcalino: 1% de octoato de lítio, 2 horas de reação, temperatura 40ºC.
Eluentes hexano/acetato etila/ácido acético na proporção 89/9/1. Revelação em vanilina/ácido sulfúrico. __ 116
Figura 5.6 – Resultados da análise de CLAE semi-quantitativa da alcoólise com óleo de soja e glicerol
(desconsiderado o glicerol não reagido). Alcóolise alcalina: 220ºC em 2 horas, 1% de octoato de lítio sobre
óleo (m/m). Alcóolise enzimática: 40ºC em 8 horas (mínimo), 1% de lipase PS sobre óleo (m/m), teor de água
indicado corresponde a percentual em massa sobre glicerol. _____________________________________ 117
Figura 5.7 – Gráfico da variação do índice de acidez versus tempo de reação da reutilização da lipase Amano
PS no sistema glicerol/óleo de soja, relação molar 2,4:1, teor de água de 50% (m/m de glicerol), temperatura de
40ºC. Padrão = enzima “nova”; R1,R2,R3=primeira, segunda e terceira reutilização. _________________ 121
Figura 5.8 - Resultados da análise de CLAE semi-quantitativa da alcoólise com óleo de soja e glicerol em
presença de lipase PS em reação em batelada (desconsiderado o glicerol não reagido), temperatura de 40ºC,
tempo de reação de 8 horas. Teores de água e t-butanol contados sobre massa de glicerol. _____________ 123
Figura 5.9 – Gráfico índice de acidez versus tempo de reação da reação de vários óleos com glicerol, relação
molar 2,4:1, temperatura de 40ºC, teor de água 3,5%. __________________________________________ 124
12
Figura 5.10 – Análise de cromatografia em camada delgada (CCD) da reação de diversos óleos com glicerol na
presença da lipase Amano PS. A esquerda de cada placa corresponde ao cromatograma do óleo puro, a direita
o produto da reação. Eluentes hexano/acetato etila/ácido acético na proporção 89/9/1. Revelação em
vanilina/ácido sulfúrico. __________________________________________________________________ 124
Figura 5.11 – Cromatograma de CLAE da reação de TMP e óleo de soja, relação molar 2,4:1, temperatura de
40ºC, por oito horas. Teor de água de 69% sobre TMP, padrão interno linoleato de metila. _____________ 125
Figura 5.12 – Resultados da análise de CLAE semi-quantitativa da alcoólise com óleo de soja e glicerol
(desconsiderado o glicerol não reagido) das experiências realizadas por processo enzimático (temperatura de
40ºC, tempo de reação até equilíbrio) com Lipase PS, Novozym 435 e processo alcalino (temperatura de 220ºC,
tempo de reação de 2 horas). Relação glicerol/óleo = 2,4, teor de água de 3,5% sobre glicerol, teor de
catalisador de 1% sobre óleo.______________________________________________________________ 126
Figura 5.13 – Reator contínuo de leito fixo utilizado no trabalho sendo alimentado pela parte inferior. A direita
o detalhe dos espaços vazios formados. ______________________________________________________ 128
Figura 5.14 - Resultados da análise de CLAE semi-quantitativa da alcoólise com óleo de soja e glicerol em
presença de lipase Novozym 435 e t-butanol, em processo batelada e contínuo (desconsiderado o glicerol não
reagido), temperatura de 40ºC, tempo de reação de 20 minutos (conforme definição de Damstrup para o
processo contínuo) e tempo de 8 horas para o processo batelada. _________________________________ 129
Figura 5.15 – Comparação visual dos processos de alcóolise enzimática (com lipase Novozym 435 em processo
contínuo a 40ºC) e alcalina (com octoato de lítio a 220ºC)._______________________________________ 130
Figura 5.16 – Resultados semi-quantitativos das análises de CLAE dos produtos de alcóolise utilizados para
síntese das resinas (desconsiderada fração de glicerol). _________________________________________ 133
Figura 5.17 – Cromatograma de GPC da Resina AP (3,5% de água). ______________________________ 134
Figura 5.18 – Tempos de gel dos esmaltes poliuretânicos brancos feitos com as resinas sintetizadas indicadas.
_____________________________________________________________________________________ 136
Figura 5.19 – Evolução de dureza dos filmes formados pelas tintas produzidas com as resinas sintetizadas
indicadas. _____________________________________________________________________________ 137
Figura 5.20 – Resultados de retenção de brilho (inicial/final) de filmes de tinta aplicados sobre aço carbono
lixado submetidos à imersão em água por 300 horas. ___________________________________________ 139
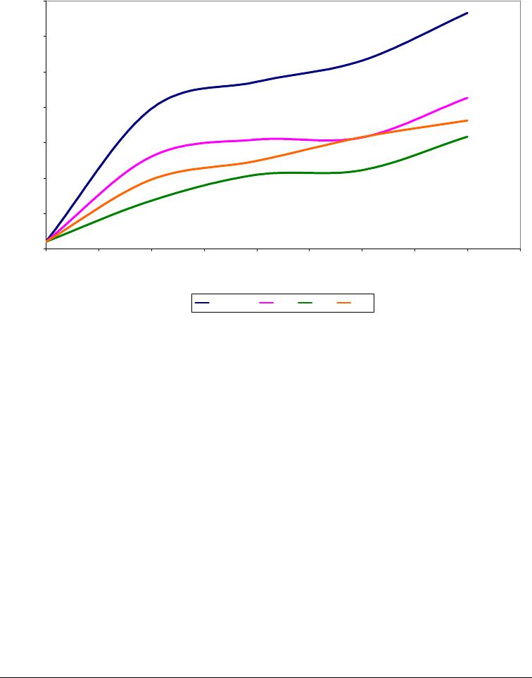
Figura 6.1 – Comparativo de produtividade das resinas sintetizadas. AA=alcóolise alcalina; AG=processo
ácido graxo; AP3 e AP50= alcóolise com lipase Amano PS em batelada, com 3,5% e 50% de água adicionada
em massa sobre glicerol respectivamente, sem considerar tempo de filtragem; AN=alcóolise com lipase
Novozym 435 em processo contínuo, sem considerar tempo de destilação. ___________________________ 141
Figura 6.2 – Comparação da energia consumida nos processos alcalino e enzimático de síntese de resinas
alquídicas. Considerou-se a produção de 5 toneladas de resina tendo como parâmetro a produção atual real de
uma indústria. __________________________________________________________________________ 142
13
LISTA DE TABELAS
Tabela I – Dados do mercado de tintas brasileiro do ano de 2007, segundo ABRAFATI.
7
________________ 16
Tabela II – Comparativo de impacto ambiental no ciclo de fabricação de 5 toneladas de miristato mirístico por
rota alcalina e enzimática.
93
________________________________________________________________ 25
Tabela III - Alcoólise do óleo de linhaça com glicerol. Quantidades percentuais em massa.
3
_____________ 37
Tabela IV – Comparativo de formação de glicerol oligomérico em diversas situações.
32
________________ 39
Tabela V - Composição dos principais óleos utilizados em resinas alquídicas no Brasil [fontes diversas]. ___ 45
Tabela VI – Resultados obtidos de resina alquídica de alto teor de sólidos. Teor de óleo: 60% (Soja).
48
_____ 58
Tabela VII - Aminoácidos que formam as enzimas.
54
_____________________________________________ 64
Tabela VIII – Classificação das enzimas.
54
_____________________________________________________ 68
Tabela IX – Custo comparativo de enzima hidrolases EC 3.1.1.3 (lipases).
201
_________________________ 80
Tabela X– Principais fontes das lipases.
85
_____________________________________________________ 82
Tabela XI – Especificidades de diferentes lipases frente à reação com triacilgliceróis.
140
________________ 87
Tabela XII – Obtenção da manteiga de cacau através da interesterificação enzimática do óleo de palma.
P=palmitato, O=oleato, St=estearato.
141
______________________________________________________ 90
Tabela XIII – Condições reacionais utilizadas no trabalho de Kumar.190 ____________________________ 96
Tabela XIV – Resultados obtidos no trabalho de Kumar com a síntese de resinas alquídicas. Formulações não
fornecidas.
190
___________________________________________________________________________ 98
Tabela XV – Metodologias empregadas para teste de desempenho da tinta final ______________________ 106
Tabela XVI – Testes realizados com óleo de soja, coco e mamona e glicerol, utilizando a enzima PPL.
(a)
___ 110
Tabela XVII – Resultados dos testes realizados com óleo de mamona, utilizando a enzima PPL como
catalisador. ____________________________________________________________________________ 111
Tabela XVIII – Resultados comparativos das Lipases PS, AY e A na reação do óleo de soja e glicerol. Condições
reacionais: temperatura 40ºC, 30% de água sobre glicerol, relação molar glicerol/óleo de 2,4:1. ________ 114
Tabela XIX – Comparação de atividades das enzimas testadas.
63
__________________________________ 115
Tabela XX – Variáveis e níveis utilizados no planejamento fatorial com Lipase PS no sistema glicerol e óleo de
soja.__________________________________________________________________________________ 118
Tabela XXI – Descrição das experiências e composição semi-quantitativa molar dos produtos através de CLAE
(para MG, DG e TG) e por índice de acidez (AGL)._____________________________________________ 119
Tabela XXII - Efeitos principais e erros padrão das variáveis testadas. _____________________________ 119
Tabela XXIII – Correlação do logaritmo do coeficiente de partição (log P) com o teor de MG obtido na
glicerólise do óleo de girassol catalisada com lipase Novozym 435.
(a)
______________________________ 122
Tabela XXIV – Composição da resina escolhida para teste. O teor de não-voláteis final é de 51%, ajustado com
solvente (xileno). ________________________________________________________________________ 131
Tabela XXV – Parâmetros teóricos calculados para a resina alquídica utilizada no trabalho. ___________ 131
Tabela XXVI – Resultados dos ensaios realizados nas resinas alquídicas sintetizadas
(a)
. _______________ 132
Tabela XXVII – Formulação do Esmalte Poliuretano Branco. ____________________________________ 136
Tabela XXVIII – Resultados de testes físicos feitos com os esmaltes poliuretânicos aplicados sobre painéis de
aço carbono lixados. Testes realizados após 7 dias de secagem. ___________________________________ 138
14
RESUMO
Esta dissertação de mestrado apresenta um estudo da aplicação da biotecnologia na
fabricação de resinas alquídicas, através do uso de catálise enzimática na transesterificação de
diversos óleos (principalmente óleo de soja) com glicerol. O objetivo principal foi estudar a
viabilidade técnica da substituição do processo de alcóolise alcalina atualmente utilizado em
uma das etapas do processo de síntese/fabricação de resinas alquídicas por um processo
enzimático com hidrolases tipo EC 3.1.1.3, mais comumente chamadas de lipases, alcançando
menor consumo de energia e sustentabilidade ambiental no processo. Os melhores resultados
foram obtidos com as enzimas dos organismos Pseudomonas sp e Candida antarctica. A
temperatura de processo utilizada foi de 40ºC, em comparação aos 220ºC utilizados no
processo alcalino. Alta conversão do óleo e alto teor de monoacilgliceróis foram alcançados.
Em razão disso, a resina obtida apresentou menor tempo de processamento na etapa da
policondensação, devido à maior funcionalidade na polimerização, levando a uma diminuição
do consumo global de energia. Algumas propriedades da resina foram melhoradas, como
dureza e resistência química do filme. A reutilização das enzimas sem perda de atividade foi
demonstrada, o que viabiliza seu uso comercialmente, além de gerar menos resíduo. Um
processo produtivo contínuo foi proposto e avaliado. A condição mais amena de reação
garantiu um maior controle do produto gerado, devido a uma diminuição de reações paralelas,
além de maior versatilidade da formulação, abrindo novas possibilidades no design destas
resinas. Portanto, através da catálise enzimática, melhor desempenho e adequação aos padrões
internacionais podem ser alcançados para as resinas alquídicas, agregando valor para esta
classe de polímeros, favorecendo o uso de óleos vegetais e maximizando a utilização de
recursos renováveis (eco eficiência).
15
ABSTRACT
This work presents a biotechnology application in the manufacturing of alkyd resin,
through the use of enzymatic catalysis in the transesterification reaction of some oils (mainly
soybean oil) with glycerol. The main objective was to study the technical feasibility to
substitute the current alkaline process that has been used in a step of the resin synthesis by a
enzymatic process with hydrolases class EC 3.1.1.3, most called lipases, achieving lower
energy consumption and environmental process sustainability. The best results were obtained
with the enzymes Pseudomonas sp and Candida antarctica. The process temperature was
40ºC, lower than the current temperature (220ºC). It was found higher oil conversion and
higher monoacylglycerol amounts. For that reason, the resin synthesis showed lower
polymerization time in the polycondensation step, leading to lower overall energy
consumption. Some resin properties were improved, as hardness and chemical resistance. The
reuse of the enzymes without high activity loss was demonstrated, which enable its use
commercially, and generate less waste. A continuous process has been proposed and
evaluated. The mild reaction conditions ensured greater control of the generated product due
to a decrease in parallel reactions, thus it resulted in greater formulation versatility, opening
new possibilities in the design of these resins. Therefore, by enzymatic catalysis, better
performance and suitability to international standards can be achieve for alkyd resins, adding
value to this class of polymers, favoring the use of vegetable oils and maximizing use of
renewable resources (eco-efficiency).
16
1 INTRODUÇÃO
A catálise enzimática é uma área que cada vez mais recebe atenção no meio
acadêmico e industrial. Condições amenas de reação e uma surpreendente especificidade
possibilitam a revisão dos processos químicos atuais, além de abrir horizonte para novas
tecnologias. As enzimas podem ser utilizadas na preparação dos mais diversos produtos, tais
como medicamentos, cosméticos, detergentes, alimentos, compostos orgânicos, polímeros,
dentre muitos outros.
A síntese de resinas alquídicas para formulação de tintas através da catálise
enzimática, objeto desta dissertação, foi pouco estudada no meio científico até o momento.
Porém, como será visto ao longo do estudo, o alcance e mesmo a superação do desempenho
atual pode ser atingido através da biotecnologia. Além disso, será visualizado que é possível
diminuir o consumo de energia no processo de síntese dessas resinas, devido às condições
reacionais brandas empregadas, contribuindo para a preservação do meio ambiente (eco-
eficiência).
1.1
O MERCADO DE TINTAS E A PREOCUPAÇÃO AMBIENTAL
Importante ramo tecnológico e comercial, o mercado de tintas movimentou em 2003
cerca de US$ 70 bilhões.
1
O Brasil está hoje entre os cinco maiores consumidores do mundo,
com um consumo per capita anual de 5,5 litros, ainda muito pequeno quando comparado com
Europa e Estados Unidos, onde o consumo ultrapassa 10 litros.
2
A Associação Brasileira dos
Fabricantes de Tintas (ABRAFATI), divide o mercado brasileiro em 4 grupos, conforme
tabela Tabela I apresentando os seguintes dados de 2007:
3
Tabela I – Dados do mercado de tintas brasileiro do ano de 2007, segundo ABRAFATI.
3
Volume (milhões de litros) Faturamento (milhões de dólares)
Imobiliária 800 1.448
Repintura Automotiva 45 223
Automotiva Original 42 171
Indústria Geral 158 600
Em termos de preocupação ambiental, a tecnologia de tintas já deu alguns passos
importantes, especialmente no contexto internacional, através de legislações vigentes (Estados
Unidos e União Européia), onde restrições a solventes orgânicos tiveram início na década de
60.
1
Os solventes, comumente chamados de compostos orgânicos voláteis (COV), além de
serem xicos, podem levar a sérios problemas de poluição, devido à formação de
particulados sólidos e oxidantes, como o ozônio (Figura 1.1).
1
Restrição a metais pesados
17
(presentes principalmente nos pigmentos amarelos e laranjas e alguns aditivos) também é
imposta naqueles países. A realização de eventos sobre “química verde” e eficiência
energética na produção/aplicação de tintas é freqüente, evidenciando uma preocupação geral
do segmento com relação ao problema ambiental.
Figura 1.1 – Esquema de formação de ozônio através de reação fotoquímica dos solventes.
1
No Brasil, as escassas legislações relacionadas à matéria referem-se basicamente a
restrições trabalhistas, através da Norma Regulamentadora (NR) número 15 (Atividades e
Operações Insalubres), e disposição de resíduos. Apesar disso, uma crescente
conscientização dos fabricantes de tintas, muitas vezes por pressões das matrizes, como no
caso de multinacionais, ou por esforços de auto-regulamentação do setor feitos pela
ABRAFATI, como o programa regulamentação da qualidade
2
e redução de COV,
4
ambos no
setor de tintas imobiliárias, além do programa Coatings Care, de atuação responsável em
tintas.
5
De uma forma geral, entretanto, mesmo no mercado internacional, a preocupação
ambiental somente é assumida se, pelo lado do consumidor, a qualidade oferecida dos
produtos é mantida, e se, pelo lado do fabricante, não há perda de lucro. Veja-se, por
exemplo, o artigo publicado recentemente numa revista especializada no mercado de tintas.
6
O autor, Paul Mills, critica a atual onda da busca pela sustentabilidade” das empresas,
concluindo que a real efetividade de esforços para preservação ambiental somente será
alcançada através da criação de legislações adequadas pelos governos. Citando Milton
Freedman, ele define a real preocupação dos empresários: “Existe uma única responsabilidade
social dos negócios usar os recursos e engajar atividades para aumentar os lucros, tanto
quando puder permanecer dentro das regras do jogo”. De fato, o grande desafio atual (e
18
futuro) na formulação de tintas é garantir não somente a sustentabilidade, mas também o
desempenho e lucratividade aos produtos.
1.2 TINTAS E RESINAS
Tintas são formadas pela dispersão sica de pigmentos, que conferem cor e cobertura,
em um veículo formado por solventes e polímeros.
1,7-8
Este veículo, mais comumente
chamado de resina, tem a finalidade de definir as principais propriedades da tinta, como
durabilidade, dureza, flexibilidade, etc. Os solventes garantem a aplicabilidade e manuseio.
Em tintas base-água, o solvente é água. A única exceção é a tinta em pó, que não utiliza
solvente.
A resina é um polímero que tem por finalidade possibilitar a formação de filme da
tinta e determinar seu uso e desempenho. Existem hoje muitas tecnologias disponíveis, que
vão de polímeros de alto desempenho - como os acrílicos e epóxi, utilizados para proteção de
materiais - até polímeros de baixo custo - como os vinílicos, utilizados nas tintas decorativas
da área imobiliária.
9,10
Na sua maioria derivadas de insumos de petróleo, que alcançou preço recorde nos
últimos anos, as resinas vêm recebendo forte pressão de custos. Apesar disso, observa-se uma
migração cada vez mais acentuada para polímeros que utilizam essa fonte. Como exemplo, é
apresentado na Figura 1.2 o desempenho de vendas de resinas dos Estados Unidos nos anos
de 1982 e 2004.
0
50
100
150
200
250
300
350
400
450
U
reta
n
o
s
Out
r
a
s
10
6
Kg
1982
2004
Figura 1.2 Comparativo de venda de resinas (em milhões de quilos) nos Estados Unidos
nos anos de 1982 e 2004.
1,11
19
Analisando o gráfico, nota-se uma mudança do portfólio consumido, onde uma
substituição de polímeros derivados parcialmente de fontes renováveis (alquídicos e
celulósicos), para polímeros derivados exclusivamente do petróleo (acrílicos, epóxi, vinílicos,
etc.).
Este movimento foi causado, dentre outros fatores, pela exigência do mercado
consumidor por produtos de melhor desempenho. Um acabamento automotivo acrílico, por
exemplo, tem durabilidade às intempéries de três a quatro vezes superiores a um acabamento
baseado em resinas alquídicas. Desta forma, como se pode notar nitidamente na Figura 1.2,
entre 1982 e 2004 houve uma retração das vendas de resinas alquídicas nos Estados Unidos,
ao passo que as resinas acrílicas, por exemplo, dobraram de consumo. Apesar de não haverem
dados precisos, o mercado brasileiro também acompanha tal movimento, porém com menor
velocidade, liderado principalmente pelo setor automotivo.
1.3 RESINAS ALQUÍDICAS
As resinas alquídicas foram as primeiras resinas sintetizadas. São, por definição,
poliésteres modificados com óleos vegetais (Figura 1.3). A designação alquídica tem origem
do inglês ALKYD (ALcohol mais acID). Assumiram papel de destaque ao longo dos anos, em
razão de sua versatilidade e baixo custo.
1,7-10
n
Resina Alquídica
OH
O
O
O
O
O
O
O
O
O
O
OH
O
O
R
O
R
O
R
Figura 1.3 Estrutura idealizada de uma resina alquídica, onde R corresponde à cadeia de
ácido graxo correspondente, que, dependendo do tipo de óleo utilizado, pode ser saturada ou
insaturada.
Um dos principais processos para fabricação de resinas alquídicas, chamado de
processo monoglicérido, ocorre em duas etapas e faz uso de óleos vegetais na sua forma in
natura. Na primeira etapa, ocorre a transesterificação entre óleo e álcoois polifuncionais. A
segunda corresponde à polimerização (policondensação) com ácidos polifuncionais,
20
geralmente derivados do ácido ftálico. O processo global envolve grande consumo de energia,
devido à necessidade de emprego de temperaturas relativamente altas (acima de 200ºC).
A primeira fase do processo, também chamada de alcóolise, é necessária para
converter o óleo em uma mistura de monoacilgliceróis (MG), diacilgliceróis (DG),
triacilgliceróis (TG) e ácidos graxos livres (AGL). Dessa forma são prevenidos problemas de
separação do meio reacional devido a pouca miscibilidade do óleo e ácido na etapa de
policondensação. Esta reação é realizada na presença de bases, como por exemplo, octoato de
lítio, a temperaturas acima de 200ºC e afeta diretamente as propriedades finais da resina, uma
vez que o crescimento da cadeia polimérica inicia-se a partir desse substrato. A Figura 1.4
mostra a reação idealizada, utilizando como álcool polifuncional o glicerol (levando à
formação de monoacilglicerol apenas).
OH
OH
OH
+
R = cadeia de ácido graxo
2
Glicerol
Óleo
Vegetal
O
R
O
O
O
O
R
O
R
Monoacilglicerol
O
R
OH
OH
O
3
Base
Figura 1.4
– Reação idealizada de transesterificação (ou alcóolise) entre um óleo vegetal e
glicerol.
Como características desse processo, pode-se citar:
- Reação rápida: a conversão por este processo é facilmente alcançada. Normalmente
uma hora de reação é suficiente.
- Conversão ineficiente: a conversão não é completa. Como parte do óleo permanece
no filme de tinta posteriormente, diminuição de dureza e resistência química. Além disso,
como a conversão não é específica, não há formação apenas de monoacilgliceróis, mas
também de diacilgliceróis e ácidos graxos livres.
Na segunda fase, também chamada de acidólise, os ácidos polifuncionais são
adicionados, além dos demais álcoois. A reação de policondensação é então controlada
21
através da viscosidade e acidez do sistema. O processo encerra-se quando se atinge um
resultado pré-determinado desses dois parâmetros (Figura 1.5).
+
O
O
O
n
R = cadeia de ácido graxo
-H
2
O
Monoacilglicerol
Anidrido
ftálico
Resina Alquídica
OH
O
O
O
O
OH
O
O
O
O
O
OH
O
O
R
O
R
O
R
O
R
OH
OH
O
Figura 1.5
Esquema simplificado da etapa de policondensação de síntese de resina
alquídica.
Como limitações da fase de acidólise, temos:
- Reações complexas e não-seletivas (altas temperaturas, reações paralelas): em
temperaturas altas, pode haver formação de subprodutos não desejáveis, como polimerização
e oxidação do óleo, causando aspecto mais escuro, sendo obrigatório uso de atmosfera inerte
durante a reação. Pode ocorrer também a dimerização do glicerol (formação de acroleína),
entre outras reações indesejáveis;
- Baixa previsibilidade das propriedades finais: a experiência em formulação de
resinas alquídicas na indústria tem mostrado que os parâmetros empíricos são, muitas vezes, a
única base para previsão de propriedades. Devido à complexidade das reações, os métodos de
cálculo estequiométricos baseados nas teorias de policondensação normalmente são utilizados
apenas para fins orientativos e didáticos;
O declínio da venda de resinas alquídicas pode ser explicado, então, pelas dificuldades
de processo demonstradas acima, aliada ao crescimento de outras tecnologias. Entretanto,
devido principalmente ao apelo ambiental, é imprescindível que novos conceitos sejam
incorporados, além de melhorar a competitividade desses polímeros no mercado.
1.4 A BIOTECNOLOGIA
Para alcançar esse objetivo, a biotecnologia tem se mostrado uma ferramenta bastante
promissora. A natureza é responsável pela síntese de uma diversidade de compostos nos
22
sistemas biológicos, com sofisticado controle estrutural e condições amenas de temperatura e
pressão. As células e as enzimas responsáveis pelas rotas bioquímicas podem ser isoladas e
utilizadas “in vitro”, tanto em meio aquoso como em meio solvente.
12-19
Estas possibilidades criaram um novo campo tecnológico multidisciplinar, chamado de
biotecnologia industrial, que tem como pretensão unir os conhecimentos das áreas da
biologia, química e engenharia. O Conselho Nacional de Desenvolvimento Científico e
Tecnológico (CNPq) define como Biotecnologia Industrial “a utilização de sistemas celulares
para obtenção de produtos ou desenvolvimento de processos industriais”.
20
Um objetivo bem
claro dessa nova área é garantir a produção industrial a partir de fontes diferentes do petróleo,
como a biomassa.
Um exemplo de como se pode alcançar esse objetivo é demonstrado em um artigo da
revista
Industrial Biotechnology
.
19
Analisando toda a cadeia de produtos que podem ser
derivados da glicose (Figura 1.5), matéria-prima obtida de diversas fontes vegetais, nota-se
que o benzeno, insumo obtido através do petróleo e matriz básica utilizada hoje para todos os
compostos indicados, poderia perfeitamente ser substituído, utilizando para isso tecnologias
de bio-refino já disponíveis.
Figura 1.6
– Rotas sintéticas livres de benzeno para vários produtos químicos industriais.
19
Além disso, a evolução da biotecnologia nos processos de desenvolvimento de novas
enzimas através da engenharia genética, possibilita que a gama de usos desses materiais
biológicos seja cada vez maior. Atualmente já existe grande diversidade de setores industriais
que utilizam esses catalisadores.
21-27
A indústria de detergentes , por exemplo, é o segmento
23
de maior aplicação de enzimas industriais, as quais conferem propriedades especiais aos
produtos para remoção de manchas específicas. Outro exemplo é a conversão enzimática do
amido em açúcares, um processo bem conhecido, e a obtenção de álcool a partir do milho. Na
indústria têxtil, novas rotas enzimáticas têm sido introduzidas, diminuindo o consumo de
energia e rejeitos. Como exemplo pode-se citar a substituição, no processamento do algodão,
do processo de limpeza da fibra, que é realizado em altas temperaturas e condições
extremamente alcalinas, com alto consumo de água e geração de rejeitos, por uma rota
enzimática limpa.
21
Esses são apenas alguns exemplos de processos atuais, que demonstram o
potencial de uso da tecnologia enzimática em processos químicos.
Dentro desse contexto, um dos processos mais estudados é a modificação enzimática
de óleos. Estes substratos são de grande importância, pois são fontes de carbono de origem
renovável (agricultura), sendo alternativas para os derivados de petróleo. As enzimas já
estudadas e mais adequadas para esse fim são as lipases, fosfolipases e lipoxigenases.
22
Contudo, as lipases ganham destaque na em razão de sua grande versatilidade, custo e
estabilidade.
1.5 LIPASES
A função natural dessas enzimas é catalisar a hidrólise de triacilgliceróis (óleos
vegetais), produzindo misturas de ácidos graxos livres e glicerol, podendo ser encontradas em
plantas, animais e microrganismos. Os campos de aplicação são os mais variados, indo da
indústria de detergentes à alimentícia.
23-27
A utilização de lipases nas reações de
interesterificação de óleos vegetais e transesterificação com álcoois mono e polifuncionais foi
muito estudada, tanto para obtenção de óleos com novas propriedades,
28-55
obtenção de mono
e diacilgliceróis
56-74
(emulsificantes largamente utilizados na indústria alimentícia), e também
na síntese de biodiesel.
75-80
Menor consumo de energia, alta seletividade, maior controle de
produtos e ausência de necessidade de purificação posterior foram alguns dos resultados
alcançados.
Na síntese de biodiesel, por exemplo, o processo enzimático utilizando lipases
possibilita a obtenção dos ésteres alquílicos com alta conversão e pureza. A glicerina obtida
como subproduto não necessita de purificação posterior (Figura 1.7 e Figura 1.8), eliminando
o atual problema de demanda deste subproduto, pois possibilitaria sua comercialização direta.
24
Figura 1.7
Processo de produção de biodiesel através da transesterificação com catalisador
básico. São necessárias várias etapas de purificação dos produtos e subprodutos para
possibilitar a comercialização
.
79
Figura 1.8
Processo de produção de biodiesel através de transesterificação com catálise
enzimática. Processo mais simplificado, devido à alta pureza dos produtos e subprodutos.
79
A modificação de óleos em escala industrial utilizando lipases é utilizada e vem
aumentando sua gama de aplicações. Como exemplo, em 2005 uma empresa da Argentina foi
25
pioneira ao implementar a catálise enzimática para fabricação de margarinas isentas de
gordura
trans
.
24
O processo para obtenção desse tipo de margarina consiste em uma
interesterificação de óleos, que substitui a hidrogenação e pode tanto ser catalisada via
processo químico como pelo processo enzimático, sendo este último escolhido, pois o produto
final não precisa de purificações e branqueamentos posteriores. Além disso, o sabor do
produto fica mais agradável. Outro exemplo é o apresentado por uma empresa alemã, do ramo
de cosméticos, que utiliza processo semelhante há mais de dez anos para fabricação de uma
linha de ésteres emolientes com menor impacto ambiental (ver estudo comparativo da
produção de miristato mirístico na Tabela II).
27
Ambos os processos utilizam reatores de leito
fixo, podendo ser considerados processos modelos, inclusive para outras aplicações, como,
por exemplo, para transesterificação de óleos no processo de fabricação de resinas alquídicas.
Tabela II
Comparativo de impacto ambiental no ciclo de fabricação de 5 toneladas de
miristato mirístico por rota alcalina e enzimática.
27
Rota Alcalina Rota Enzimática Ganho
Energia Consumida (GJ)
22,50 8,63 62%
Gás carbônico gerado (Kg)
1.518 582 62%
Dióxido de enxofre gerado (Kg)
10,58 1,31 88%
Etileno gerado (Kg)
0,49 0,12 76%
O processo contínuo utilizado por essas empresas tem como objetivo principal
viabilizar economicamente o processo, devido ao alto custo das enzimas, principalmente em
razão dos suportes empregados, que pode inviabilizar muitas vezes sua implementação em
processos industriais de larga escala, limitando a usos em química fina.
1.6 A CATÁLISE ENZIMÁTICA APLICADA À TECNOLOGIA DE TINTAS
As enzimas são usadas na produção de tintas em casos especiais. Em tintas anti-
incrustação, por exemplo, as enzimas entram diretamente na formulação, sendo usadas para
proteção de estruturas submersas.
81
26
Além disso, as enzimas podem ser utilizadas na síntese de solventes, pigmentos,
aditivos e resinas. Reações de polimerização via catálise enzimática foram bastante
estudadas.
82-105
Porém, poucos trabalhos relacionados especificamente à obtenção de resinas
para tintas foram publicados. Entre eles, em 1990, Geresh e Gilboa
106
demonstraram a síntese
de um poliéster insaturado a partir do ácido fumárico e 1,4 butanodiol utilizando enzimas do
tipo lipase. Em 1997, Bhabhe e Athawale
107
sintetizaram monômeros acrílicos modificados
com óleo através de uma rota quimio-enzimática para uso como diluentes reativos em tintas.
No mesmo ano, Kumar e colaboradores
108
utilizaram a catálise enzimática na síntese
de resinas alquídicas. Foi utilizada uma lipase na alcóolise de resinas alquídicas partindo de
diversos óleos e álcoois polifuncionais. Os melhores resultados foram obtidos com óleos de
coco e mamona e o poliol ciclohexanodimetanol (CHDM), onde se obteve valores de massa
molecular muito semelhantes ao processo de alcóolise alcalina. Não foi reportada nenhuma
caracterização posterior da resina alquídica.
Um dos motivos para a ausência de trabalhos na literatura é o alto custo das enzimas.
Porém, a possibilidade de reutilização desses catalisadores, aliada ao fato de existirem novas
pesquisas para simplificação do processo de produção desses materiais biológicos, faz com
que a viabilidade econômica seja possível.
Outros processos alternativos para a modificação de óleos já foram demonstrados além
da catálise enzimática.
39, 109
Óxidos metálicos, como óxidos de zinco, magnésio, lantânio e
cério, alquil guanidinas, bem como uso de zeólitas foram propostos com ótimos resultados
de conversão, porém com longos tempos de reação, temperaturas relativamente altas (100 a
200ºC) e necessidade de purificação posterior.
Portanto, muitos fatores contribuem para que o uso da catálise enzimática na etapa da
alcoólise na síntese de resinas alquídicas:
- Condições reacionais brandas (baixas temperaturas), melhorando a eficiência
energética do processo e menor possibilidade de reações paralelas;
- Maior teor de monoacilgliceróis e maior conversão do óleo, que contribui para o
aumento da cadeia na policondensação (diminuindo o tempo de reação) e melhores
propriedades químicas e físicas no polímero final;
27
Além disso, em razão da característica do processo, é possível que a utilização de
outros materiais renováveis (por exemplo, derivados de sementes oleaginosas, polímeros
naturais, etc.) torne-se viável, o que não ocorre através dos processos hoje utilizados.
Pelo exposto acima, evidencia-se que é viável utilizar a catálise enzimática na
transesterificação de óleos e utilizar o produto dessa reação na síntese de resinas alquídicas. O
problema dos altos custos das enzimas, que não permitiriam seu uso comercial, pode ser
resolvido através da possibilidade de reutilização desses catalisadores. O desenvolvimento
dessa nova tecnologia de fabricação pode permitir a obtenção de processos de síntese de
resinas alquídicas mais sustentáveis e produtos de melhor performance, oportunizando maior
competitividade das tintas baseadas nesse tipo de polímero.
28
2 OBJETIVOS
O principal objetivo deste trabalho foi estudar a viabilidade técnica da substituição do
processo de alcóolise alcalina atualmente utilizada em uma das etapas da síntese/fabricação de
resinas alquídicas por um processo enzimático com lipases, alcançando menor consumo de
energia e melhor sustentabilidade ambiental no processo.
Uma formulação
i
de resina utilizando óleo de soja e glicerol na fase de alcóolise foi
escolhida como alvo, sendo comumente utilizada na formulação de lacas e esmaltes
poliuretânicos. O óleo de soja foi escolhido em razão de sua importância econômica local
(custo competitivo), bem como o glicerol (glicerina), que ganha cada vez mais destaque como
plataforma sintética o qual, sendo subproduto da produção de biodiesel, leva a um importante
excedente da produção atual.
Como premissa, o desempenho da resina e conseqüentemente da tinta, pelo processo
enzimático deve ser igual ou superior à condição atual (processo alcalino). Esta melhoria de
desempenho estaria relacionada à alta seletividade das lipases, que produzem altos teores de
monoacilgliceróis, além de garantir condições amenas de reação.
O processo enzimático encontrado deveria então ser otimizado para comparação com
processo alcalino em termos de produtividade, verificando-se a possibilidade futura de
implementação em escala industrial.
Um objetivo secundário foi avaliar a possibilidade de utilizar o processo enzimático
também para outros óleos vegetais, como coco, mamona, linhaça e DCO, e outros álcoois
polifuncionais, como Trimetilolpropano (TMP) e Pentaeritritol, de forma a verificar a
viabilidade de utilização do novo processo na maioria das formulações do mercado brasileiro.
i
Formulação obtida de Killing S/A Tintas e Adesivos;
29
3 REVISÃO BIBLIOGRÁFICA
3.1 TINTAS
3.1.1 Definição
Tintas são formadas pela dispersão física de pigmentos, em um veículo constituído por
solventes e polímeros.
1,7-10
Essa mistura tem a propriedade de formar filmes aderentes sobre
as mais variadas superfícies. Podem ser descritas pelo seu tipo, por exemplo, base-solvente,
base-água, pó e pela sua função, por exemplo, anticorrosiva, decorativa, foto-sensível.
1
3.1.2 Composição
As tintas são formadas por quatro componentes principais: resinas, pigmentos,
solventes e aditivos.
A resina é responsável pela formação de filme aderente de uma tinta, conferindo suas
principais propriedades como flexibilidade, durabilidade, dureza, etc. Quimicamente são
polímeros de diferentes massas moleculares e identidades químicas.
Os pigmentos, além conferir cor, também conferem opacidade, propriedade
normalmente chamada de cobertura. Podem ser tanto compostos inorgânicos (óxidos de
titânio, ferro, cromo, etc.) como orgânicos (complexos orgânicos, naftóis, poliaromáticos,
etc.).
Os solventes são responsáveis por uma série de propriedades. Garantem a fluidez e
estabilidade do sistema, de forma que seja possível fazer a aplicação, ajudam na formação do
filme e influenciam seu aspecto final.
Quando alguma propriedade especial não é alcançada podem-se utilizar aditivos. Os
aditivos entram em pequenas quantidades, e modificam significativamente as propriedades
seja do filme seco como da tinta ainda líquida. Podem tanto ser incorporados durante o
processo de fabricação, para facilitar o processamento dos pigmentos por exemplo, como na
tinta pronta, de forma a corrigir ou melhorar alguma propriedade especial. Podem ser
inorgânicos (sílicas, por exemplo) como orgânicos (polímeros acrílicos, por exemplo.).
30
3.1.3 Processo de fabricação
O principal objetivo no processo de fabricação de tintas é a dispersão e incorporação
do pigmento no veículo (mistura da resina e solvente). Os pigmentos são sólidos insolúveis,
formados por aglomerados de partículas. Esses aglomerados devem ser desagregados e
estabilizados no veículo.
Inicialmente, parte do veículo é misturada juntamente com o pigmento, num processo
chamado de umectação. Esta etapa é realizada antes da dispersão, de forma a diminuir o
tamanho dos aglomerados sólidos de pigmento e para garantir a umectação das partículas. São
utilizados dispersores especiais, chamados
cowles
.
Na dispersão, as partículas sólidas de pigmento são desagregadas, recebendo energia
através de cisalhamento. Os equipamentos utilizados são moinhos especiais para essa função.
O processo é interrompido quando o diâmetro médio das partículas ficar menor que a
espessura do filme de tinta a ser aplicado. Para evitar a re-aglomeração dos pigmentos,
aditivos especiais podem ser utilizados durante e após a dispersão.
Após o processo de dispersão, os demais componentes o adicionados e misturados,
num processo chamado de completagem.
O produto então passa pelo controle de qualidade para ajustes finos de viscosidade e
cor, além de outras propriedades que porventura sejam necessárias.
3.2 RESINAS ALQUÍDICAS
3.2.1 Conceito e Histórico
As resinas alquídicas são conceitualmente poliésteres modificados com óleos vegetais.
Utilizadas sozinhas ou misturadas a outros polímeros, conferem ao filme de tinta a
propriedade de secatividade (secagem por oxidação). Devido a sua ampla faixa de
propriedades
9
, podem ser utilizadas em formulações de tinta que vão desde
primers
anticorrosivos
até
lacas
para madeira.
No início a definição de resinas poliéster e alquídica era um pouco confusa. Kienle,
em 1929, definiu poliésteres como sendo todo polímero obtido através da policondensação de
31
um ácido polifuncional e um álcool polifuncional, incluindo as resinas alquídicas.
110
Bjorksten, em 1956, excluiu as resinas alquídicas dessa definição.
111
Segundo Martens,
112
os primeiros trabalhos de síntese deste tipo de polímero foram
realizados por: Berzelius (1847),
113
o qual sintetizou uma resina através da reação do ácido
tartárico e glicerol; Berthelot (1853),
114
pela reação de glicerol e um diácido cíclico, derivado
de uma essência da cânfora e Van Bemmlen (1856),
115
pela reação de glicerol e os ácidos
succínico e cítrico. O uso do anidrido ftálico, como comumente é realizado hoje em dia,
apareceu inicialmente em 1901, em um trabalho de Walton Smith,
116
que obteve uma resina
sólida e transparente através do aquecimento de uma mistura glicerol/anidrido numa relação
2:3. As resinas obtidas, até então, eram muito rígidas para serem utilizadas para revestimento
de materiais, sendo utilizadas em algumas aplicações para revestimento de madeira.
As primeiras patentes depositadas para a síntese de resinas alquídicas datam do ínicio
do século 20, pelo grupo de Callahan, Kienle, Friedburg, Arsem, Howell e Dawson, todas da
empresa General Eletric.
117-122
A primeira resina foi comercializada com o nome de
‘Glyptal’.
123
Neste sentido, segundo McIntyre:
124
(...) Callahan mostrou que a reação entre glicerol e anidrido ftálico
deveria ser realizada em dois estágios primeiro com a temperatura
sendo gradualmente aumentada até 210ºC, e então a temperaturas
próximas a 100ºC durante um período de muitas horas (...). O segundo
estágio, o qual levava ao endurecimento, poderia ser feito pela
aplicação ou impregnação do produto a ser tratado. Continuando o
primeiro estágio a altas temperaturas levava à formação de massa dura
e quebradiça cheia de cavidades, presumidamente pela combinação de
reticulação
(i.e. alcançando o ponto de gel) com a evolução de vapor
d’água tão rápida que a difusão através da resina não era possível (...).
Outras patentes da General Eletric daquele período mostram que era
possível incorporar pequenas quantidades de ácido butírico, ácido
oléico ou óleo de mamona, ou ambos. Estes foram os primeiros de
muitos desenvolvimentos que aumentaram a gama de resinas
alquídicas devido ao controle sobre a flexibilidade e dureza,
modificando a velocidade de cura, e introduzindo a possibilidade de
32
reações de cura olefínicas adicionais, que naquele tempo era chamada
de ‘secatividade’ (McINTYRE,
124
páginas 4 e 5, tradução nossa).
Da mesma forma, Martens
112
escreve:
Nesta época, investigações foram realizadas sobre a gelificação e
secagem de óleo de linhaça entre outros. A teoria desenvolvida era
que a secagem envolvia uma ligação intermolecular das duplas
ligações conjugadas dos ácidos graxos de glicerol com o ar. Quando
um ftalato de glicerol era misturado com óleos secativos eles ficavam
incompatíveis. Isso era superado pela introdução de ácidos graxos
secativos durante a reação do glicerol com o anidrido ftálico. Por este
método uma resina homogênea era produzida, a qual se tornava
insolúvel pela secagem com ar ou aquecimento. Estas resinas eram
solúveis em solventes de baixo custo como os alifáticos e aromáticos e
produziam filmes com boas propriedades, como aderência,
flexibilidade e durabilidade. (MARTENS,
112
página 5, tradução nossa)
Em 1917, em plena Primeira Guerra Mundial, um novo processo para fabricação de
anidrido ftálico foi desenvolvido. O processo de oxidação catalítica do naftaleno com ácido
sulfúrico foi substituído por um novo processo baseado na oxidação em fase vapor desse
material, reduzindo significativamente o custo.
112
Com o advento do conceito de linha montagem na indústria automotiva por Henry
Ford, foi necessário encontrar tintas de secagem mais rápida, de forma a acelerar o processo
de pintura. As lacas nitrocelulósicas, desenvolvidas também durante a Primeira Guerra,
começar a substituir os esmaltes a base de óleo cru em automóveis devido a sua extrema
rapidez de secagem (Figura 3.1) .
33
Figura 3.1
– Carro do início do século 20 pintado com tinta a base de resina
nitrocelulósica.
125
Era necessário, no entanto, que essas lacas fossem modificadas com algum material
que garantisse melhor adesão. As resinas alquídicas começaram, então, a serem utilizadas
com este propósito, pois tinham boa compatibilidade com a resina nitrocelulósica. Em 1928,
cerca de duzentas toneladas de resina alquídica já eram produzidas anualmente.
112
Nas duas décadas que se seguiram, houve grande avanço na manufatura, através da
incorporação de novos processos e introdução de novas matérias-primas. Na década de
quarenta, outros álcoois polifuncionais foram incorporados, como trimetilolpropano e
pentaeritritol, permitindo alcançar propriedades únicas, ampliando o uso dessas resinas.
Durante a Segunda Guerra Mundial, houve grande aumento da produção de anidrido ftálico,
devido à produção de explosivos e repelentes, o que impulsionou, no pós-guerra, a produção
de resinas alquídicas. Foi nessa época também que apareceram as primeiras especificações de
sistemas de pintura. Em 1946, Moore
126
descreveu as principais matérias-primas utilizadas em
resinas alquídicas. Basicamente as mesmas utilizadas ainda hoje.
A tecnologia de fabricação destas resinas foi totalmente desenvolvida nas duas
décadas que se seguiram. Em 1949, Hovey
127
descreveu os equipamentos mais adequados,
que ainda são base de muitos processos atuais. Moore, em 1950,
128
relatou o processo de
síntese de alquídicas através de alcóolise de óleos. Durante os anos de 1955 e 1965 foi
desenvolvida a tecnologia de aquecimento elétrico dos reatores através de fluido térmico, pois
até então se utilizava aquecimento direto, o que possibilitou grandes avanços em termos de
produtividade e controle da reação. Em 1957, mais da metade das tintas produzidas tinham
34
como base resinas alquídicas, atingindo o patamar de produção de 240 mil toneladas por ano.
129
Em 1952 foi depositada a primeira patente de uma resina alquídica que podia ser
diluída com água,
130
o que previa o início das restrições ambientais com relação à emissão
de COV nos Estados Unidos na década de 60. Pesquisas começaram a serem feitas de forma a
reduzir a quantidade de solvente das tintas.
131
Muitas estratégias começaram a serem
utilizadas, principalmente na Europa e Estados Unidos, no desenvolvimento de novas classes
de resinas. Em 1959 e 1962, Kraft
132,133
relatou os avanços no desenvolvimento de resinas
alquídicas base-água e o surgimento da idéia de tintas de alto teor de sólidos. Essas duas
linhas de pesquisa foram, nas décadas seguintes, os principais focos de desenvolvimento tanto
na indústria quanto no meio acadêmico.
Atualmente, devido a crescentes exigências de qualidade, as resinas alquídicas estão
perdendo espaço para polímeros de melhor performance, como os acrílicos. Dados de 2004,
mostram que a produção de alquídicas nos Estados Unidos alcançou cerca de 200 mil
toneladas, que comparadas com os patamares de 1957, representa uma diminuição de 17% da
quantidade produzida. Por outro lado, as resinas acrílicas alcançaram um patamar de 416 mil
toneladas em 2004.
1
3.2.2 Síntese e Processo
A reação básica de síntese de resinas alquídicas é mostrada na Figura 3.2, e corresponde
a uma reação de policondensação entre álcoois e ácidos polifuncionais.
OH
OH
OH
+
+
O
O
O
n
R = cadeia de ácido graxo
2
-4H
2
O
Glicerol
Óleo
Vegetal
Anidrido
ftálico
Resina Alquídica
OH
O
O
O
O
O
O
O
O
O
O
OH
O
O
R
O
R
O
R
2
O
R
O
O
O
O
R
O
R
Figura 3.2
Reação de policondensação e estrutura idealizada de resina alquídica de glicerol
e anidrido ftálico. R
corresponde à cadeia de carbonos do ácido graxo.
35
A reação processa-se em atmosfera inerte, a temperaturas que variam de 180 a 280ºC,
dependendo dos reagentes utilizados.
134
remoção de água do sistema, para deslocamento
da reação no sentido dos produtos. A polimerização é interrompida quando um valor pré-
determinado de viscosidade e índice de acidez é alcançado. Nas fases iniciais da reação, a
diminuição do índice de acidez é rápida enquanto que o aumento de viscosidade é lento. No
final da reação, o inverso é verdadeiro. Muitas vezes, dependendo da composição da
formulação, o aumento de viscosidade é tão intenso que necessita de certa habilidade do
operador, que deve encerrar o processo de polimerização no momento exato, sob o risco de
formação de gel.
A reação pode ser transcorrida sem adição de solventes, num processo denominado de
método fusão
, ou pela adição de pequena quantidade de solvente que formará um azeótropo
com a água gerada, facilitando sua remoção. O processo é denominado, então, de
método
solvente
.
131
Além disso, na incorporação da fração graxa, tanto o triacilglicerol (TG) quanto o ácido
graxo livre (AGL) poderão ser utilizados. No primeiro caso, o óleo é inicialmente reagido
com uma parte do poliálcool, num processo chamado de alcóolise, e o método será designado
então de
método
monoglicérido
(ou monoacilglicerol). O segundo caso é simplesmente
chamado de
método ácido graxo
, e processa-se na própria policondensação.
Na seção seguinte será relatada uma breve comparação dos métodos.
3.2.2.1 Método fusão X Método solvente
O método fusão é o processo mais simples e antigo, e ainda encontra algumas
aplicações, principalmente em formulações com altos teores de óleo. O meio reacional é
mantido na temperatura de reação sob agitação e atmosfera inerte. Para remoção da água
formada, pode ser utilizado fluxo contínuo de gás inerte através do meio reacional. Este
método causa perda de álcoois voláteis e anidrido ftálico, levando a consideráveis problemas
associados com essa perda. Em razão disso, não é o método escolhido para preparar resinas
com especificações bem definidas.
O método solvente (algumas vezes chamado de método do azeótropo) é o mais
utilizado. Neste processo, a esterificação é realizada na presença de certa quantidade (3 a
6%)
131
de solvente com baixa miscibilidade com água, como xileno. A mistura água-solvente
36
formará um azeótropo, que facilitará a remoção de água do meio através do aumento da
pressão de vapor. O vapor de solvente-água é condensado em uma coluna, a água é separada e
o destilado orgânico retorna ao reator.
Solventes aromáticos são preferidos por diversas razões:
- São facilmente separados da água;
- São capazes de dissolver todo o anidrido ftálico que fica aderido às paredes do reator;
- Particularmente no caso do xileno, não é necessário sua remoção posterior, pois pode
fazer parte de praticamente todos os sistemas de solventes da resina final e também da tinta.
3.2.2.2 Método monoglicérido X Método ácido graxo
O método monoglicérido consiste em converter o óleo a monoacilglicerol (MG), por
meio de reação com um álcool polifuncional (transesterificação), mediante condições de
catálise alcalina, à temperatura de 220 a 250°C, sob agitação e atmosfera inerte. O resultado é
uma mistura de poliol não reagido, MG, diacilgliceróis (DG) e óleo não-convertido (Figura
3.3), que irá afetar significativamente o desempenho final. Estudos mostraram que quanto
menores são os teores de MG, piores serão as características finais da resina, como secagem e
resistência química.
135
37
OH
OH
OH
R = cadeia de ácido graxo
TRIACILGLICEROL
O
R
O
O
O
O
R
O
R
MONOACILGLICEROL
O
R
OH
OH
O
O
R
O
OH
O
O
R
DIACILGLICEROL
O
R
OH
ÁCIDO GRAXO
LIVRE
OH
OH
OH
OH
OH
OH
O
R
O
O
O
O
R
O
R
O
R
OH
ÁCIDO GRAXO
LIVRE
O
R
OH
ÁCIDO GRAXO
LIVRE
OH
2
OH
2
OH
2
Figura 3.3–
Representação da reação de alcoólise.
A composição pode variar conforme catalisador utilizado, tempo e temperatura de
reação, além da proporção entre os reagentes. Na Tabela III é mostrado o resultado de
diferentes alcoólises do óleo de linhaça e glicerol.
8
Tabela III -
Alcoólise do óleo de linhaça com glicerol. Quantidades percentuais em
massa.
8
Sal de
lítio
Óxido de
chumbo
Glicerol 6 21
Monoacilglicerol 44 27
Diacilglicerol 42 27
Triacilglicerol 8 25
38
No processo ácido graxo, a reação é realizada em apenas uma etapa, pois não
problema de reatividade e de compatibilidade com anidrido ftálico. Além de uma maior
versatilidade na formulação, normalmente menores tempos de reação são necessários. Um
inconveniente do processo é o fato que em temperaturas baixas os ácidos graxos se
solidificam, sendo necessário aquecimento prévio das embalagens para manuseio. Além disso,
em termos econômicos, os ácidos graxos são normalmente mais caros que os óleos.
Diferenças significativas são encontradas em alquídicas com a mesma composição,
porém feitas por processos diferentes.
9
Uma explicação plausível para esse fato é possível se
considerarmos as diferenças de reatividade entre os grupos hidroxila do glicerol e pela
conversão incompleta do óleo no processo monoglicérideo.
Por exemplo, no processo ácido graxo uma competição entre os grupos acila dos
ácidos graxos (menos reativo) e anidrido ftálico (mais reativo). O anidrido ftálico irá
preferencialmente reagir com as hidroxilas primárias do glicerol, também mais reativas. Os
ácidos graxos irão então se inserir na posição relativa à hidroxila secundária. Neste caso,
portanto, o aumento da cadeia do polímero se dará pelas posições relativas às hidroxilas
primárias do glicerol. no processo monoglicérido, a fração graxa estará inserida
preferencialmente na posição das hidroxilas primárias, e o crescimento da cadeia do polímero
será realizado pela posição relativa à hidroxila secundária do glicerol, diminuindo a
velocidade da polimerização além de deixar o polímero mais suscetível a ataques alcalinos.
Além disso, no processo monoglicérido, a fração de óleo não reagido desempenhará
um papel de plastificante do polímero, acarretando menor dureza e resistência química.
3.2.2.3 Reações paralelas
Na preparação de alquídicas, a policondensação é acompanhada por uma infinidade de
reações paralelas e transformações secundárias dos produtos formados. Algumas destas
reações podem ser previstas e calculadas, outras não. Dessa forma, o ajuste da formulação de
uma resina alquídica normalmente é feito empiricamente.
A seguir é apresentada a descrição das principais reações paralelas que podem ocorrer
na preparação de resinas alquídicas.
39
3.2.2.3.1 Eterificação
A eterificação de álcoois durante a polimerização é indesejável, pois aumenta as
ramificações das cadeias poliméricas, gerando riscos de gelificação. É normalmente catalisada
por ácido, o que é particularmente importante quando utilizados ácidos como catalisadores da
policondensação, ou quando estão presentes ácidos relativamente fortes na síntese do
polímero, como por exemplo ácido maleico.
A reação de eterificação também pode ser catalisada por bases, e nesse caso os
catalisadores utilizados na alcoólise também poderão favorecer a formação de éteres.
A Tabela IV apresenta um comparativo do efeito da temperatura e do catalisador na
formação de éteres durante a glicerólise do óleo de linhaça.
Tabela IV –
Comparativo de formação de glicerol oligomérico em diversas situações.
131
Catalisador Temperatura (ºC) Percentual de glicerol
oligomérico formado
Na
3
PO
4
240 3,5
Na
3
PO
4
280 27,3
NaOH 240 8,0
NaOH 280 25,6
CaO 240 1,3
CaO 280 7,7
3.2.2.3.2 Formação de anel
O processo de poliesterificação pode levar a formação de estruturas cíclicas. O
fechamento de anel é conhecido por ser importante em alquídicas baseadas no anidrido o-
ftálico (Figura 3.4).
40
O
O
O
O
R
R
O
O
O
O
Figura 3.4 –
Formação de anel na reação de policondensação.
A ciclização pode ser encarada como uma reação de terminação de cadeia, prejudicando
o crescimento da massa molecular do polímero.
3.2.2.3.3 Decomposição do poliálcool
Degradação térmica de polióis pode levar a produtos diferentes dos éteres. Glicóis
vicinais são particularmente suscetíveis a este tipo de reação, podendo levar a aldeídos,
cetonas e outros produtos mais complexos, conforme mostrado na Figura 3.5.
OH
OH
CH
3
-H
2
O
OH
CH
3
O
CH
3
(a)
OH
OH
OH
OH
O
OH
O
OH
O
CH
3
(b)
O
CH
2
O
OH
OH
OH
OH
OH
OH
OH
OH
OH
OH
OH
CH
2
O
O
Diglicerol
Acroleína
Figura 3.5–
Mecanismos de degradação de polióis.
41
3.2.2.4 Teoria da Policondensação (Equação de Carothers)
A policondensação foi um dos primeiros mecanismos de polimerização estudados. Em
1929 Wallace H. Carothers mostrou a relação entre a funcionalidade dos monômeros numa
reação de policondensação, definindo as condições necessárias para polimerização de
monômeros bifuncionais produzindo polímeros lineares.
9,124,134,136
Na mesma época, estudos
demonstraram que poliésteres bifuncionais, como por exemplo o glicol ftalato, ainda
mantinham solubilidade e fusibilidade, mesmo com altos graus de esterificação. No entanto,
quando se utilizava um componente trifuncional, como glicerol ftalato, ocorria a gelificação
antes de completar-se a esterificação.
Figura 3.6 –
W. H. Carothers em seu laboratório em 1930.
124
Quando glicerol e anidrido ftálico são juntamente aquecidos em proporções
equivalentes, a acidez da mistura diminui muito rapidamente no início, devido à reação inicial
das hidroxilas primárias do poliol, formando cadeias de poliéster curtas. Logo em seguida,
entretanto, quando o grau de esterificação alcança cerca de 80%, as hidroxilas secundárias
reagem, unindo as cadeias já formadas, num processo de reticulação levando à gelificação.
42
Figura 3.7
– Representação da reação de policondensação.
134
Usando como exemplo a reação apresentada na Figura 3.7, Carothers desenvolveu um
modelo cinético para a polimerização.
9
Assumindo que, numa polimerização por
condensação,
k
grupos funcionais reagem para cada monômero que é adicionado na estrutura
do polímero, têm-se:
grupos funcionais reagidos = k(m
0
– mp) (1)
sendo que
m
0
= número total de moléculas de monômero presentes no início da reação,
mp
=
número de moléculas de monômeros presentes quando P% da reação se completou.
E considerando ainda que a funcionalidade inicial média por molécula (
fm
) pode ser
calculada da seguinte forma:
0
m
ivalentesTotaldeEqu
fm =
(2)
A extensão da reação (P) pode então ser calculada como sendo:
fmm
mmk
P
p
0
0
)(
= (3)
Rearranjando a equação, teremos:
fm
k
m
m
m
k
P
p
×=
00
(Equação de Carothers) (4)
43
Assumindo que a massa molecular torna-se infinita no ponto de gel e, portanto,
m
p
0,
pode-se rearranjar a Equação 4, obtendo:
f
k
P
gel
= (Ponto de Gel) (5)
Um pressuposto da equação de Carothers é a não existência de reações paralelas. Além
disso, o valor de
k
normalmente é simplificado para 2.
De modo a evitar a gelificação, o controle da funcionalidade na reação de
policondensação pode ser feito pela adição de excesso de álcool polifuncional ou ácidos
monofuncionais.
O modelo de Carothers foi estabelecido para quantidades equimolares de grupos
funcionais. Porém o mesmo modelo pode ser utilizado para quantidades não estequiométricas.
Uma vez que a extensão da reação e a possibilidade de gelificação são dependentes do
reatante que está em menor quantidade, utiliza-se o número de equivalentes do monômero em
excesso como sendo igual ao número de equivalentes do monômero em menor quantidade. A
equação da funcionalidade média fica então:
0
2
m
QuantidadeMenoremMonômerodoesEquivalentdeTotal
fm
×
=
(6)
Flory foi outro pesquisador que estudou as reações de policondensação, com vários
trabalhos publicados. Em um dos seus estudos, mostrou que o ponto de gel da reação de
glicerol com anidrido ftálico ocorre com um grau esterificação de aproximadamente 79,5%,
137
muito próximo do valor teórico obtido pela equação de Carothers.
Porém, quando a equação de Carothers é utilizada para calcular o grau de esterificação
necessário para causar a gelificação de quantidades estequiométricas do pentaeritritol
(tetrafuncional) e ácido adípico (bifuncional), o resultado teórico (75%) é muito diferente dos
valores experimentais (60%).
138
O trabalho de Flory indicou que em um sistema com funcionalidade média 3, o
crescimento do polímero não se realiza exatamente como desenvolvido previamente por
Carothers. Um modelo estatístico foi então proposto.
44
Considerando-se que um reagente trifuncional (por exemplo, glicerol) espresente no
meio reacional, definiu-se como sendo ρ o excesso desse reagente com relação aos
monômeros de mesma funcionalidade. Sendo f, a funcionalidade desse monômero e r, a razão
entre a quantidade de equivalentes dos grupos funcionais (sendo sempre igual ou maior que a
unidade), teremos que:
( )
[ ]
1/2
2
1
+
=
frr
Pgel
ρ
(7)
Nesse modelo, assume-se que a reatividade de todos os grupos funcionais do mesmo
tipo é a mesma e independente da massa molecular do polímero. Além disso, não são
consideradas reações intramoleculares entre grupos funcionais na mesma molécula.
Outros modelos foram propostos para explicar cada sistema particular.
9,131
Contudo,
todos os modelos necessitam de ajustes, pois não prevêem todas as condições não-ideais da
síntese dos polímeros alquídicos. Sendo assim, o modelo de Carothers, por ser um modelo
mais simples, ainda é um dos mais utilizados na indústria.
3.2.3 Composição
As resinas alquídicas podem ser utilizadas nas mais diversas formulações de tintas.
Suas características de secatividade favorecem seu uso em esmaltes imobiliários e primers e
acabamentos econômicos para a indústria. Além disso, as hidroxilas livres da sua composição
tornam possível a reação com isocianatos, gerando tintas poliuretânicas, e também permitem a
reação com resinas amínicas, em tintas de secagem em estufa.
Para selecionar uma resina alquídica para uma aplicação em particular, é necessário
conhecer o comprimento e tipo de óleo (soja, mamona, por exemplo), álcool e ácidos
polifuncionais utilizados (glicerol ou pentaeritritol, anidrido ftálico ou ácido p-ftálico, por
exemplo) e a existência de modificações especiais da estrutura (resina fenólica, por exemplo).
3.2.3.1 Óleos e a Secatividade
Os óleos utilizados em resinas alquídicas normalmente são ésteres graxos de glicerol
(TG) de origem vegetal. As cadeias de 18 carbonos da fração graxa são as mais comuns (ver
Figura 3.8) .
Suas principais funções são:
45
- Promover a secatividade da resina (secagem por oxidação com oxigênio do ar);
- Plastificar o polímero (óleos não secativos);
- Reduzir custo;
16
OH
O
CH
3
Ácido Esteárico
14
OH
O
CH
3
Ácido Palmítico
7
CH
3
OH
O
7
Ácido Olêico
CH
3
OH
O
4
7
Ácido Linolêico
CH
3
OH
O
7
Ácido Linolênico
7
OH
CH
3
OH
O
5
Ácido Ricinolêico
Figura 3.8 –
Principais ácidos graxos utilizados na formulação de resinas alquídicas.
A composição de cada óleo depende da origem geográfica da oleaginosa. Entretanto, de
forma geral é apresentado na Tabela V a composição básica dos principais óleos utilizados em
resinas alquídicas.
Tabela V -
Composição dos principais óleos utilizados em resinas alquídicas no Brasil
[fontes diversas].
ÓLEO ÁCIDO
GRAXO
Coco Mamona Soja Linhaça DCO
b
Palmítico 10% - 11% - -
Esteárico - - 4% - -
Oléico - 7% 25% 22% 9%
Linoléico - 3% 50% 16% 83%
Linolênico - - 9% 52% -
Ricinoleico - 87% - - 8%
Outros
(saturados)
a
90% 3% 1% 10% -
a)
Óleos saturados de cadeia pequena (C
8
, C
10
, C
12
e C
14
);
b)
Abreviatura em inglês para o óleo de mamona desidratado;
46
Comprimento de óleo é a quantidade de óleo (% em massa) da formulação da resina,
apresentado sobre o teor de sólidos. Dessa forma:
- Longas em óleo: acima de 60%;
- Médias em óleo: de 40 a 60%;
- Curtas em óleo: abaixo de 40%;
Esta classificação não é rígida e cada fabricante tem sua forma de classificar. As resinas
longas em óleo são normalmente utilizadas em esmaltes imobiliários de aplicação a pincel. As
resinas médias e curtas são utilizadas industrialmente em diversos segmentos, como
automóveis (repintura), implementos agrícolas e rodoviários, estruturas metálicas, entre
outros, onde não se requer alta resistência às intempéries.
Muitos óleos são utilizados na formulação de resinas alquídicas e são classificados
segundo sua secatividade, a qual pode ser medida pelo índice de iodo (quantidade de iodo em
gramas necessária para saturar as ligações duplas de 100g de óleo). Alguns autores
classificam como óleos secativos os que apresentam índice de iodo maior que 140, semi-
secativos entre 125 e 140, e não secativos abaixo de 125.
1
Embora o índice de iodo possa ser
utilizado como especificação para controle de qualidade, ele é apenas um indicativo da
reatividade do óleo, pois a posição das ligações duplas terá papel fundamental nessa
característica, o que não é medido pelo índice.
A secatividade do óleo provém da presença de 1,4-dienos (grupos dialílicos) ou 1,3-
dienos (duplas conjugadas). Uma relação empírica foi formulada de forma a indicar a
secatividade de óleo com duplas não conjugadas, que é o índice de secatividade (equação
14).
1
Índice de secatividade = (% Ácido Linoléico)+2(% Ácido Linolênico) (8)
Um óleo secativo terá então um índice de secatividade maior que 70. Observando a
Tabela V, observa-se que o óleo de linhaça tem índice de 120, portanto é um óleo secativo.
o óleo de soja tem um índice de secatividade de 68, sendo considerado semi-secativo.
A secatividade está relacionada ao número médio de grupamentos dialílicos na
molécula. Os grupamentos metilênicos dialílicos são muito mais reativos que os grupamentos
alílicos. Esse fato reflete-se nas taxas relativas de autooxidação do trioleato, trilinoleato e
trilinolêniato de glicerol, que são 1:120:330, respectivamente.
1
As reações que acontecem durante a secagem de óleos são complexas. A Figura 3.9
ilustra algumas das muitas reações que ocorrem durante a secagem.
47
R-O-OH
R-O
.
(ou
.
OH)
+
.
OH
R R
H
H
+
R-O
.
R R
H
.
R-OH
(ou H
2
O)
+
R R
.
+
O
2
O
-
O
R R
.
Iniciação
Propagação
R R
+
R R
+
Cross-linking
R
R
.
+
R
R
R
R
(2)
(3a)
(1)
(4)
(7a)
O
-
O
R
R
(3b)
.
.
O
-
O
R R
(3c)
(5)
+
+
OH
-
.
+
(6)
(7b)
(7c)
O
-
O
R
R
.
OH O
R
R
.
OH O
R
R
O
-
R
R
.
O
-
R
R
.
O
R
R
O
R
R
O
R
R
R
R
Figura 3.9
Esquema da reação de crosslinking durante a secagem de alquídica baseada em
óleo linoléico. R = polímero.
1,139
48
Inicialmente, hidroperóxidos naturalmente presentes decompõe-se formando radicais
livres (1).
1
Esses radicais reagem com outros compostos, e os hidrogênios metilênicos
dialílicos são bastante suscetíveis ao ataque, formando um novo radical estabilizado por
ressonância (2). Este radical reage, então, com o oxigênio do ar, gerando predominantemente
um radical livre peróxido conjugado (3a-c). Foi demonstrado
139
através de FTIR que as
estruturas conjugadas 3a e 3b são favorecidas. Estes radicais podem atacar hidrogênios de
outro grupo dialílico e gerar outros radicais livres e hidroperóxidos ligados à cadeia do
polímero, propagando a reação (4 e 5). O hidroperóxido formado (5) pode ainda gerar um
radical alcóxido (6). Parte da reação de crosslinking (reticulação) irá ocorrer então pela junção
de dois radicais livres formados, principalmente grupos alcóxido, gerando as estruturas 7a-c.
Estudos de
13
C RMN indicam que as ligações cruzadas predominantes são aquelas que
contêm grupamentos éteres e peróxido.
1
Os grupamentos peróxido podem, posteriormente, gerar cetonas e enolatos, entre outros
produtos.
139
OH
H
O
R
2
R
1
O
R
2
R
1
OH
2
+
H
O
R
2
R
1
O
R
2
R
1
OH
2
+
OH
H
O
R
2
R
1
OH
H
O
R
2
R
1
Figura 3.10 –
Formação de cetonas durante a secagem de resinas alquídicas.
139
Em condições normais, as reações que levam a secagem processam-se muito
lentamente, e devem ser aceleradas para utilização prática. Sais metálicos catalisam a reação
de secagem, sendo adicionados às tintas com o nome de secantes. Os mais comuns são ésteres
(octoato, naftenato, etc.) de cobalto, manganês, chumbo, zircônio e cálcio.
Formação de pele em tintas com resinas alquídicas é comum, uma vez que ocorre
oxidação e conseqüente crosslinking na superfície líquida. Isso pode ser prevenido pela adição
de compostos inibidores da ação dos secantes. Estes compostos reagem com os metais através
de formação de complexos. Por serem voláteis, estes agentes “anti-pele” abandonam o filme
após aplicação, permitindo a ação dos secantes novamente, praticamente não prejudicando a
secagem.
49
3.2.3.2 Álcoois Polifuncionais (Polióis)
Os álcoois polifuncionais mais utilizados são glicerol, trimetilolpropano (TMP) e
pentaeritritol. Em alguns casos, etilenoglicol também é usado. A utilização de um ou outro
irá depender das características finais desejadas, além do compromisso com o custo.
O glicerol é o mais usado. Ele é obtido principalmente como subproduto na fabricação
de sabões e, mais recentemente, da produção de biodiesel.
140
O material refinado vai de
pureza de 96% (uso industrial, polímeros) a purezas que chegam próximas de 100% (uso
farmacêutico), sendo denominado comercialmente como glicerina.
Sua estrutura contém duas hidroxilas primárias e uma secundária, o que acarreta em
uma esterificação mais lenta e um polímero menos ramificado, conseqüentemente com dureza
mais baixa. Além disso, a presença de
β
-hidróxi-ésteres na estrutura final irá aumentar a
suscetibilidade à hidrólise do polímero.
141
Além disso, devido à alta temperatura de processo, ocorrem reações paralelas, como a
eterificação, que prejudicam o controle da polimerização e as propriedades do polímero final.
O ponto de fusão do glicerol é baixo (18ºC), facilitando o uso a temperatura ambiente,
sendo uma vantagem para o emprego do processo de catálise enzimática, como será visto
posteriormente.
O TMP pode substituir o glicerol, com a vantagem de ter três hidroxilas primárias, o
que torna o polímero com uma estrutura mais ramificada, conseqüentemente com maior
resistência química e menores tempos de secagem.
Resinas mais duras e com maior resistência química podem ser feitas com
pentaeritritol.
10
Suas quatro hidroxilas primárias conferem ao polímero uma estrutura
tridimensional, mais ramificada. Esta tetra-funcionalidade deve ser levada em consideração
quando glicerol é substituído em formulações de resina, devido ao risco de gelificação.
1
Além
disso, seu alto ponto de fusão e baixa solubilidade tornam o processamento possível somente
a temperaturas próximas de 200ºC. O processo de fabricação de pentaeritritol leva à formação
de estruturas dimerizadas como co-produtos. Os produtos comercializados são então, na
verdade, misturas de mono, di e até tripentaeritritol.
50
Etilenoglicol pode entrar em formulações com pentaeritritol para redução de custo.
Um mistura 1:1 de pentaeritritol e dietilenoglicol, por exemplo, resulta numa funcionalidade
média de 3, similar ao glicerol.
3.2.3.3 Ácidos Polifuncionais (Poliácidos)
Os ácidos polifuncionais mais empregados são diácidos ou anidridos da família do
ácido ftálico. O anidrido ftálico é o mais utilizado, devido à temperatura de esterificação ser
mais baixa, garantindo menor custo com energia e menor tempo de processo. Outros anidridos
também podem ser utilizados, como os anidridos glutárico, maleico e succínico. (Figura
3.11).
O
O
O
OH
O
OHO
O OH
O OH
O
O
O
O
O
O
O
O
O
Anidrido Ftálico
Ácido Isoftálico
Anidrido Maleico
Anidrido Glutárico
Anidrido Succínico
Ácido Tereftálico
O
O
O
O OH
Anidrido Trimelítico
Figura 3.11
– Principais ácidos polifuncionais utilizados na síntese de resinas alquídicas.
A estrutura aromática rígida permite atingir uma temperatura de transição vítrea
suficiente para formação de polímero com dureza e resistência mecânica necessária para
aplicação em tintas, influenciando também diretamente a secagem posterior do polímero.
Güner e colaboradores mostraram a influência dos diferentes anidridos e teores.
142
Conforme
mostrado na figura Figura 3.12, para uma mesma composição de resina, quanto maior a
quantidade de anidrido menor é o tempo de secagem, em razão da maior rigidez da estrutura.
Para uma mesma quantidade de anidrido, observa-se que o menor tempo de secagem é obtido
com o anidrido maleico.
51
Figura 3.12
Comparativo de tempo de secagem (eixo Y, em minutos) de resinas alquídicas
formuladas com diversos anidridos (MA=Maleico, PA=Ftálico, SA=Succínico,
GA=Glutárico) em diversos teores (eixo X, quantidade molar de anidrido para 1 g de óleo).
Conventional resin = resina convencional, formulação não informada.
142
Ácidos monobásicos também são utilizados, principalmente em formulações de resina
com pentaeritritol, como agente terminador de cadeia
10
(excluídos os ácidos graxos livres).
Como exemplo tem-se o ácido benzóico.
3.2.4 Limitações
As limitações das resinas alquídicas provêm de algumas características como
amarelamento e queda de brilho dos filmes formados com o passar do tempo, devido à
incidência de raios solares ou devido a ataques químicos.
A degradação fotoquímica de um polímero é ilustrada na Figura 3.13. Absorção de
radiação UV pelo polímero (P) ou mesmo outros componentes da tinta produz estados
excitados altamente energéticos (P*) que sofrem quebra de ligação gerando radicais livres
(P·). Esta absorção pode ser feita, por exemplo, pela presença de grupamentos aromáticos no
polímero. Estes radicais livres reagem com oxigênio (autoxidação), levando à degradação do
polímero. Hidroperóxidos (POOH) e peróxidos (POOP) são produtos instáveis que podem
dissociar-se com a radiação ou aquecimento gerando radicais alcóxi (PO·) e hidróxi (HO·),
que servirão como catalisadores da reação de fotodegradação. Estes radicais são
52
extremamente reativos na reação de abstração de hidrogênio, gerando novamente radicais
livres de polímero (P·), que entrarão no estágio de propagação da degradação do polímero.
Radicais alcóxi terciários gerarão cetonas e um radical livre de polímero de baixa massa
molar, resultando na cisão do polímero.
Polímero (P)
h
ν
P*
P*
Radicais Livres (P
.
)
Iniciação
Propagação
P
.
+
O
2
POO
.
POO
.
+
Polímero (P-H)
POOH
+
P
.
Terminação de Cadeia
2POO
.
POOP
+
O
2
2P
.
P-P ou produtos de desproporcionamento
POO
.
+
P
.
POOP ou produtos de desproporcionamento
2POO
.
cetonas (aldeídos) + álcoois
Autocatálise
POOH(P)
h
ν
PO
.
+
.
OH(
.
OP)
PO
.
(
.
OH)
+
Polímero (P-H)
POH (H
2
O)
+
P
.
Cisão do Polímero
PO
.
cetonas
+
P
.
Figura 3.13
– Esquema genérico de fotodegradação de polímeros.
1
53
Outros mecanismos foram propostos para explicar a degradação dos polímeros
alquídicos. Mallégol e colaboradores
143
constataram a formação de ácidos, que prejudicam
propriedades protetoras, como resistência anticorrosiva. O mecanismo proposto está
demonstrado na Figura 3.14.
O
RR
h
ν
O
CR
CH
2
R
+
CH
2
R
CO
+
O
2
XH
O
2
XH
R
OH
O
h
ν
R O
OH
2
OH
O
O
R
O
2
HX
O
2
HX
OH
O
R
Figura 3.14 –
Representação esquemática da formação de ácidos pela degradação de
polímeros alquídicos.
143
Portanto, para alcançar boa resistência à intempéries, grupos funcionais do polímero
que absorvem radiação UV devem ser eliminados. No caso das resinas alquídicas, o uso dos
ácidos ftálicos é um fator importante para a baixa resistência à degradação. Além disso, são
suscetíveis à reação de abstração os hidrogênios metilênicos dialílicos residuais, que são os
principais responsáveis pela degradação fotoquímica do polímero. Ésteres linolênicos são
mais prontamente oxidados que ésteres linoléicos. Uma ordem geral da reatividade de
hidrogênio metilênico é a seguinte:
AminoDialílicoÉter alílico>Éteres e ÁlcooisUretânicosAlílicosBenzílicos>Ésteres
Por ser um poliéster, as resinas alquídicas também são suscetíveis à hidrólise,
limitando o uso onde há alta exigência de proteção anticorrosiva.
7
Essa susceptibilidade
aumenta com o aumento do teor de óleo do polímero e pode ser reduzida através de
impedimento estéreo, por exemplo através do uso de monômeros ramificados, como
pentaeritritol. Além disso, quanto menor a solubilidade do monômero utilizado na síntese,
menor será a tendência à hidrólise.
1
A velocidade de hidrólise também pode ser influenciada
54
por grupos vizinhos. Por exemplo, os ésteres de anidrido ftálico (posição orto) são mais
suscetíveis à hidrólise ácida que os ésteres de ácido isoftálico (posição meta).
3.2.5 Estado da Arte
3.2.5.1 Resinas Alquídicas Base-Água e Alto de Teor de Sólidos
A diminuição do teor de solventes (COV) das formulações de tintas e,
conseqüentemente, das resinas é importante alvo das pesquisas acadêmicas e desenvolvimento
de produtos pela indústria, em razão das conseqüências ambientais do uso dessas matérias-
primas.
Umas das primeiras patentes depositadas com relação ao assunto, relacionadas à tinta
alquídica base-água, data do ano de 1968 e correspondia a um esmalte para cura em estufa.
144
Basicamente, a linha utilizada para resinas deste tipo faz uso de monômeros ácidos especiais,
como o anidrido trimelítico. Tendo sua acidez “preservada” mesmo após polimerização, ficam
livres para reação de neutralização com uma base amínica, por exemplo, promovendo a
solubilidade parcial do polímero em água, e possibilitando a formação de micro-emulsões
(Figura 3.15).
55
n
OH
O
O
O
O
O
O
O
O
O
O
OH
O
O
R
O
R
O
R
O
OH
O
OH
(a)
n
(b)
7
4
OH
O
O
O
O
O
O
O
O
O
O
OH
O
O
R
O
R
CH
3
O
O
O
O
Figura 3.15 –
Representação idealizada de resinas alquídicas diluíveis com água, adequadas
para neutralização com aminas devido à acidez residual do polímero. (a) Modificação com
Anidrido Trimelítico. (b) Modificação com anidrido maleico.
A grande dificuldade encontrada no desenvolvimento dessa tecnologia é relacionada
justamente à secagem destes produtos, pois a evaporação da água é dificultada por fatores
como temperatura e umidade do ar. Um artifício utilizado para superar estas dificuldades é o
uso de agentes emulsificantes externos. Compostos da família dos polissacarídeos são
largamente utilizados. Na década de 90 emulsificantes poliméricos foram introduzidos
,
145
melhorando significativamente muitas propriedades. Um exemplo de desenvolvimento de
produto com essa tecnologia foi publicado recentemente.
146
Na Figura 3.16 são apresentados
alguns resultados, como o baixo teor de COV alcançado, e praticamente o mesmo tempo de
secagem atingido.
56
0
50
100
150
200
250
300
350
Resina Alquídica Base Solvente
(Convencional)
Resina Alquídica Base-Água
(Emulsionante Polimérico)
COV (gramas por litro)
0
2
4
6
8
10
12
14
16
18
20
Tempo de Secagem (horas)
COV Secagem Manuseio
Figura 3.16
Gráfico comparativo de teor de COV e secagem de formulações de resinas
alquídicas base-solvente e base-água (tecnologia de emulsificante polimérico).
146
As resinas alquídicas de alto teor de sólidos foram introduzidas na década de setenta.
As primeiras patentes datam do ano de 1976.
147
A diminuição de solventes das formulações
pode ser obtida através da substituição do solvente por diluentes reativos, ou através da
diminuição da viscosidade do polímero de duas maneiras: diminuição das frações de alta
massa molecular da resina ou pelo uso de monômeros altamente ramificados.
O diluente reativo ideal é um composto de viscosidade próxima a do solvente, mas que
possui reatividade frente ao polímero no momento da secagem. O óleo de linhaça puro foi
bastante utilizado no passado como diluente reativo em resinas longas em óleo, mas caiu em
desuso em razão da relativa alta viscosidade e baixa performance obtida na resina final.
131
Em
1999, Zabel e colaboradores
148
descreveram uma série de características de um diluente
reativo para resinas alquídicas, tais como: baixa viscosidade, baixo odor e custo frente ao
solvente e, é claro, a habilidade para participar da reação de cura. Uma combinação do 2,7-
octadienil-maleato e fumarato e (2,7-octadieniloxi)-2-succinato foi sugerida como melhor
alternativa (Figura 3.17).
57
O
O
O
O
R
R
O
O
R
O
O
R
R =
R
O
O
O
R
O
O
R
(a)
(b)
(c)
Figura 3.17 –
Diluentes reativos para formulação de resinas alquídicas de alto teor de sólidos.
e (a) = 2,7-octadienil fumarato, (b) = 2,7-octadienil maleato e (c) = (2,7-octadieniloxi)-2-
succinato.
A diminuição da viscosidade do polímero é facilmente alcançada através do ajuste da
relação poliol/poliácido e também pelo aumento do teor de óleo. Entretanto, estas mudanças
levam a um polímero de menor funcionalidade e, principalmente, a secagem é altamente
prejudicada. Este problema pode ser superado através da diminuição da polidispersão do
polímero, de forma a melhorar o balanço entre frações de baixa e alta massa molecular,
garantindo baixa viscosidade e secagem aceitável. Pourreau e Smyth
149
descreveram em 2004
uma resina alquídica de alto teor de sólidos através do uso de monômeros especiais.
Observou-se no estudo de Pourreau que monômeros hidróxi-estirênicos podem ser
utilizados para reduzir a polidispersão de alquídicas, reduzindo sua viscosidade. Alguns
resultados do desenvolvimento são apresentados na Tabela VI.
58
Tabela VI –
Resultados obtidos de resina alquídica de alto teor de sólidos. Teor de óleo: 60%
(Soja).
149
Resina Alquídica
Convencional
Resina Alquídica de Alto Teor
de Sólidos
P
gel
1,01 1,02
Índice de Acidez 8 10
Viscosidade Brookfield
(CPs / 80% de sólidos)
100.000 1.100
Massa Molar (Mw) 4809 3944
Polidispersão 20,0 4,4
Dureza (oscilações
Sward
a
/ 150 horas de
secagem)
28 26
a)
Medição de dureza baseada na resistência ao afundamento do filme. Quanto maior o resultado, maior a dureza.
3.2.5.2 Resinas Alquídicas Modificadas
Muitos esforços foram realizados para tentar melhorar as propriedades das resinas
alquídicas. De forma geral, duas estratégias o adotadas: modificação interna ou externa. Na
modificação interna, a estrutura do polímero é modificada através da inserção de monômeros
que melhorem certas propriedades. Na modificação externa, a mistura física e reações de
crosslinking com outras resinas são realizadas, como o mesmo objetivo.
3.2.5.2.1 Modificação Interna
Uma modificação muito comum da estrutura do polímero alquídico é a reação com
resinas fenólicas, que melhoram significativamente a secagem, aderência e a resistência à
hidrólise. Em razão de sua baixa retenção de cor quando exposta à radiação ultra-violeta,
normalmente esta modificação é feita para aplicações em interiores.
59
Monômeros vinílicos são largamente utilizados para modificação de resinas
alquídicas. Os mais utilizados são o estireno, vinil-tolueno e metacrilato de metila,
1
que
melhoram significativamente a foto e termoestabilidade do polímero, além de propriedades
físicas, como secagem. Essencialmente, quaisquer monômeros vinílicos podem ser utilizados.
A incorporação é feita posteriormente à síntese normal da resina. O monômero vinílico é
então adicionado, juntamente com um iniciador de radicais livres (por exemplo, peróxido),
que favorecem a incorporação dos monômeros às insaturações do óleo.
Outros métodos de incorporação são possíveis. Kanai e colaboradores
150
modificaram
a estrutura de uma resina a base de óleo de mamona, anidrido ftálico e pentaeritritol com um
monômero acrílico (2-hidroxietil-metacrilato ou HEMA) siliconado. A incorporação realizou-
se através da reação com hidroxilas residuais da resina, conforme Figura 3.18. Maior dureza e
retenção de brilho após exposição ao teste de intemperismo foram encontrados.
Figura 3.18 –
Modificação de resina alquídica com monômero acrílico-silicone.
150
60
A uretanização de resinas alquídicas durante o processo de síntese, através da
incorporação de poliisocianatos é largamente utilizada no mercado de tintas (móveis, piso de
ginásio e manutenção industrial, entre outros).
1
A resistência à abrasão e à hidrólise são muito
superiores, além de secagem mais rápida. A incorporação pode ser feita tanto internamente
como externamente. Polímeros mais duros são obtidos pela incorporação de isocianatos
aromáticos, como o tolueno diisocianato (TDI). Quando é necessária maior resistência à
radiação ultravioleta, isocianatos alifáticos são preferidos, como o hexametileno diisocianato
(HDI).
O processo de modificação interna é realizado em resinas feitas pelo processo
monoglicérido, através da substituição do diácido por um diisocianato.
7
O diisocianato reage
com as hidroxilas do monoacilglicerol, conforme Figura 3.19. Devido à maior reatividade do
grupo isocianato, quando comparado ao ácido ftálico, menores tempos de processamento são
alcançados.
O
C
N
O
C
N
6
+
6
HDI
Monoacilglicerol
Resina Alquídica Uretanizada
R = cadeia de ácido graxo
O
R
OH
OH
O
O
O
R
OH
O
N
O
NH
O
C
n
Figura 3.19
Reação entre monoacilglicerol e heximetileno diisocianato (HDI), formando
uma resina alquídica uretanizada.
Outro tipo de modificação interna que pode ser utilizada com resinas alquídicas é o
uso de PET reciclado, sendo uma alternativa para uso desse material. O PET é incorporado ao
polímero durante o processo
.
151
3.2.5.2.2 Modificação Externa
As resinas nitrocelulósicas (nitrato de celulose) foram as primeiras resinas utilizadas
para modificação de alquídicas, e vice-versa, no início do século 20. A compatibilidade desses
dois polímeros permite grande versatilidade de composições, principalmente em alquídicas
médias e curtas em óleo. A resina nitrocelulósica, devido à sua alta dureza, melhora a
61
secagem e resistência química do sistema. Uso deste tipo de composição é bastante comum
em tintas para veis, e ainda tem sido utilizada em repintura automotiva, como uma linha
mais econômica.
Além disso, as hidroxilas livres existentes na cadeia do polímero alquídico permitem
que seja possível uso de diversos agentes de crosslinking, como poliisocianatos, formando
tintas poliuretânicas (PU) de baixo custo, e melaminas, para tintas de cura em alta
temperatura.
Tintas PU são normalmente formadas por dois componentes. No primeiro componente
(A) está contida a resina (alquídica), pigmentos, aditivos e parte dos solventes. No segundo
componente (B, chamado tradicionalmente de “catalisador”) está o isocianato e o restante dos
solventes. A mistura somente é feita antes da aplicação, sendo utilizada normalmente até 4
horas após incorporação dos dois componentes. Após isso, uma massa gelificada é formada,
sem uso prático. O tempo de mistura pode ser aumentado através da diminuição do teor de
isocianato, com impacto na dureza do polímero final, ou pela adição de álcoois terciários, que
bloqueiam a ação do isocianato, mas volatilizam-se no processo de secagem. O dibutil-
dilaurato de estanho (DBTDL) é largamente utilizado como acelerador da reação. Em
poliuretanos alquídicos, podem-se utilizar tanto óleos não secativos (coco, mamona), para
aplicações mais nobres, como também óleos secativos e semi-secativos (linhaça, soja). Neste
caso, pode-se ainda adicionar secantes para promoção da secagem por oxidação, aumentando
ainda mais a dureza final.
Resinas alquídicas modificadas com resinas amínicas (melaminas) são utilizadas em
esmaltes e primers de cura em estufa. A reação processa-se em temperaturas altas e meio
ácido, conforme Figura 3.20. O meio ácido é provido pela própria acidez da resina.
62
R R
O O
R
O
H H
N N
H
N
N
N
N
+
+
++
+
R
1
OH
3
R
1
R
1
O O
R
1
O
H H
N N
H
N
N
N
N
+
ROH
3
Resina
Melamínica
Resina
Alquídica
Resina Alquídica / Melamina
(cross-linking)
Álcool
R= grupamento alquila
R
1
= polímero alquídico
H
+
120 - 180 °C
Figura 3.20 –
Representação da reação de crosslinking de uma resina alquídica com
endurecedor melamínico.
Por reagirem a temperaturas altas, estas tintas não necessitam ser fornecidas em
componentes diferentes. São utilizadas principalmente no segmento metal-mecânico, para
pintura de implementos agrícolas, móveis metálicos, entre outros.
63
3.3 CATÁLISE ENZIMÁTICA
3.3.1 Estrutura das Enzimas
Enzimas são macromoléculas naturais (proteínas) produzidas por células vivas, que
tem como função viabilizar os processos metabólicos orgânicos através de ação catalítica. As
massas moleculares variam de 5.000 a 7.000.000 u.m.a.
152
São formadas pela combinação de
vinte diferentes aminoácidos,
20
que se ligam através de ligações peptídicas (Figura 3.21),
formando estruturas complexas. De forma didática, conforme grau de complexidade, essas
estruturas foram chamadas de primárias, secundárias, terciárias e quaternárias, podendo existir
tanto em meio aquoso, como nos organismos vivos, como em meio orgânico (ver seção
2.3.5).
+
R
O
-
NH
3
+
O
R
1
O
-
NH
3
+
O
R
NH
3
+
O R
1
O
-
NH
O
+
OH
2
Ligação Peptídica
Figura 3.21 –
Esquema teórico de formação de ligação peptídica entre dois aminoácidos.
20
A seqüência dos aminoácidos presentes em uma enzima forma a estrutura primária.
Apesar de existirem mais de 150 diferentes aminoácidos, que entram na composição de todas
as proteínas, apenas 20 formam a estrutura primária das enzimas. A função de cada
aminoácido será dada pela sua posição na cadeia e pelo grupo R.(Tabela VII).
64
Tabela VII -
Aminoácidos que formam as enzimas.
20
O
-
O
NH
3
+
R
Abreviatura R
O
-
O
NH
3
+
R
Abreviatura R
Alanina Ala
CH
3
Cisteína Cys
CH
2
S
H
Valina Val
CH
3
CH
3
CH
CH
2
Tirosina Tyr
OH
CH
2
Leucina Leu
CH
3
CH
CH
2
CH
3
Asparagina Asn
O
C
CH
2
NH
2
Isoleucina Ileu
CH
3
CH
3
CH
2
HC
Glutamina Gln
CH
2
O
C
CH
2
NH
2
Fenilalanina Phe
CH
2
Aspartato Asp
O
C
CH
2
O
-
Triptofano Trp
CH
2
N
H
Glutamato Glu
CH
2
O
C
CH
2
O
-
Metionina Met
CH
2
CH
2
S
CH
3
Lisina Lys
CH
2
NH
3
+
CH
2
3
Glicina Gly
H
Arginina Arg
3
NH
2
+
NH
2
CH
2
NH
CH
2
Serina Ser
OH
CH
2
Histidina His
N
H
NH
+
CH
2
Treonina Thr
CH
3
OH
CH
Prolina Pro
O
O
-
N
H
2
+
65
Cada ligação peptídica da seqüência oferece os elementos para a formação de ligações
de hidrogênio, o que vai estabilizar a estrutura secundária da enzima. Essa estrutura pode estar
organizada em forma de uma hélice ou de folha pregueada, conforme Figura 3.22 e Figura
3.23.
Figura 3.22 –
Estrutura de
α
-hélice de uma enzima. Em detalhe (pontilhado) as ligações de
hidrogênio que influenciam a estabilidade da estrutura.
20,153
66
Figura 3.23
– Estrutura de folha
β
-pregueada de uma enzima. Em detalhe (pontilhado) as
ligações de hidrogênio.
20,153
A estrutura terciária corresponde à conformação tridimensional real que a molécula
protéica irá assumir em solução, que normalmente é uma forma globular (Figura 3.24). Nessa
conformação, os grupos hidrofóbicos da cadeia peptídica ficam no interior da estrutura,
dobrando-a sobre si mesma. Ligações de hidrogênio, pontes dissulfeto e ligações iônicas serão
responsáveis por garantir a conformação final e estabilizar todo o sistema.
Figura 3.24 -
Representação da estrutura tiária de uma enzima
.
154
As funções catalíticas de algumas enzimas somente são alcançadas pela junção de
duas ou mais cadeias peptídicas. Da junção dessas cadeias surgirá a conformação quaternária.
As forças que mantém unidas essas estruturas são as mesmas da estrutura terciária.
67
Algumas enzimas têm sua atividade apenas dependente de sua própria cadeia
peptídica, outras necessitam de estruturas não peptídicas, chamadas de cofatores, que podem
ser tanto íons metálicos (Fe
+2
, por exemplo), ou uma molécula orgânica chamada de
coenzima.
152
As coenzimas são estruturas orgânicas formadas por vitaminas. Funcionam como
carregadores de elétrons ou grupos químicos, que são transferidos em toda a reação
enzimática. Se um cofator está permanentemente ligado a uma enzima, é chamado de grupo
prostético.
Alguns compostos têm a propriedade de ligar-se com alta especificidade a certa região
de determinadas enzimas, modificando sua estrutura tiária e, por conseqüência, sua atividade
catalítica. Essa região é designada sítio alostérico, e os compostos de efetuadores
alostéricos.
20
Além dos cofatores e efetuadores alostéricos, outros grupos podem estar ligados às
enzimas, como sacarídeos, nucleotídeos, fosfatos ou lipídios. Esses grupos têm o papel de
estabilização da estrutura, ficando covalentemente ligados à enzima.
3.3.2 Classificação e nomenclatura
A nomenclatura sistemática de todas as enzimas foi proposta pelo Comitê da União
Internacional de Bioquímica e Biologia Molecular, em concordância com a União
Internacional de Química Pura e Aplicada (IUPAC). As letras EC (de Enzyme Comission) são
seguidas de 4 números que correspondem às diversas funções das enzimas (EC X.X.X.X, por
exemplo, onde X é um número de 1 a 9).
Além da nomenclatura sistemática, existe também a nomenclatura trivial, ou usual,
consagrada pelo uso, onde apenas se agrega o sufixo “ase” ao substrato de ação da enzima.
As enzimas são classificadas em seis grandes grupos, conforme Tabela VIII.
68
Tabela VIII –
Classificação das enzimas.
20
Nomenclatura Classe Tipo de reação
EC 1 Oxidorredutases Oxi-redução
EC 2 Transferases Transferências de grupos.
EC 3 Hidrolases Hidrólise
EC 4 Liases Adição de grupos a duplas ligações ou remoção de
grupos, deixando dupla ligação
EC 5 Isomerases Rearranjos intramoleculares
EC 6 Ligases Condensação de duas moléculas, associada à hidrólise
de uma ligação de alta energia
A EC 3.1.1.3, por exemplo, é uma hidrolase (EC 3), que age em ligações éster (EC
3.1) de ácidos carboxílicos (EC 3.1.1), hidrolisando triacilgliceróis em diacilgliceróis,
monoacilgliceróis, glicerol e ácidos graxos (EC 3.1.1.3). Chama-se na nomenclatura usual de
triacilglicerol lipase, ou apenas de lipase.
3.3.3 Mecanismo Catalítico
A alta seletividade das enzimas é bem conhecida e tem sido explicada pelo clássico
modelo chave-fechadura. Embora esse modelo não seja o mais adequado para alguns casos,
ele tem a vantagem de ser didático e de fácil entendimento (ver Figura 3.25).
69
Figura 3.25
Representação do modelo de chave e fechadura. A molécula de sacarose não é
quebrada pela Maltase, pois não se “encaixa” no sítio ativo.
155
Nesse modelo, o substrato se encaixa de maneira precisa na molécula de enzima,
formando um complexo enzima-substrato, idéia que foi introduzida por Brown, Henri e
Fischer no início do século passado.
154
A teoria restringia este encaixe ao sítio ativo, com
interações limitadas aos grupos específicos diretamente envolvidos na ação catalítica, não
contemplando mudanças de conformação que a enzima poderia sofrer pela própria interação
com o substrato, ou por outros grupos.
Um modelo mais dinâmico do mecanismo enzimático surgiu na metade do século
passado em estudos feitos por Koshland.
154
No modelo, mesmo que a conformação do sítio
ativo não exiba previamente uma perfeita complementaridade ao substrato, este, ao interagir
com a enzima, pode induzir modificações conformacionais que orientam adequadamente os
grupos, otimizando o encaixe.
Figura 3.26 –
Representação do modelo dinâmico do encaixe substrato-enzima.
156
70
3.3.3.1 Equação de Michaelis-Menten
A clássica equação de Michaelis-Menten, que rege a maioria das reações enzimáticas,
pode ser encontrada virtualmente em qualquer livro de bioquímica, sendo representada como:
sM
ss
s
CK
Cr
r
+
=
max,
(9)
Onde r
s
é a velocidade da reação catalisada pela enzima, r
s,max
é a velocidade xima
para a mesma reação, C
s
é a concentração do substrato e K
M
é a constante de saturação de
Michaelis-Menten, que equivale à concentração de substrato no ponto onde a velocidade
atinge a metade de r
s,Max
. A Figura 3.27 mostra a representação gráfica da equação de
Michaelis-Menten.
C
s
(mol/m
3
)
r
s
(mol/m
3
*h)
Figura 3.27 -
Representação gráfica da equação de Michaelis-Menten.
20
A cinética das reações enzimáticas está bastante ligada à cinética das reações
químicas. Numa reação onde um composto A é transformado em um composto B, a
transformação continua até que, depois de certo tempo, as concentrações de A e B alcancem
valores independentes do tempo, numa situação de equilíbrio termodinâmico.
K
M
2
max,
s
r
max,s
r
71
Nas reações enzimáticas, assume-se a formação um complexo ativado enzima-
substrato entre reagentes e produtos, e vice-versa, resultando em uma barreira de energia de
ativação. O formalismo leva aos seguintes resultados básicos quando se considera uma
reação química de um composto A para um composto B, a qual é reversível.
A
B
k
1
k
-1
(10)
As constantes
k
1
e
k
-1
são as constantes de velocidade que podem ser definidas pela lei
da ação das massas (equações 11 e 12).
r
f
=
k
1
C
A
(11)
r
b
=
k-
1
C
B
(12)
Onde r
f
é a velocidade de reação de A para B, e r
b
é a velocidade de reação de B para
A. As equações 11 e 12 podem ser generalizadas para o caso onde mais do que um substrato
ou produto aparece.
A
B
k
1
k
-1
+
C
D
+
(13)
r
f
=
k
1
C
A
C
B
(14)
r
b
=
k-
1
C
C
C
D
(15)
Um outro resultado do tratamento cinético da lei da ação das massas é que as
velocidades de reação são funções da temperatura. A seguinte expressão (equação 16),
aplica-se a um caso geral.
RT
h
ii
R
eAk
*
=
(16)
Onde A
i
é uma constante e
H*
R
é a entalpia de ativação da reação química. É claro
pela equação 16 que as constantes de velocidade e as velocidades das reações aumentam com
o aumento de temperatura. Porém, como será visto na seção seguinte, para as reações
enzimáticas sempre uma temperatura limite que, acima dela, a enzima perde suas
propriedades catalíticas (temperatura de desnaturação).
72
3.3.4 Desenvolvimento de enzimas
O surgimento da Engenharia Genética, na década de 70, promoveu uma grande
revolução no desenvolvimento e produção de enzimas. Hoje em dia, qualquer enzima ou
proteína pode ser, em princípio, produzida em fermentações industriais, desde que o gene que
a codifica seja enxertado num microorganismo e passe a ser por ele expressado. Esta técnica é
muitas vezes chamada de clonagem ou expressão genética.
20
Basicamente, a técnica consiste em cortar”
in vitro
moléculas de DNA de diferentes
origens e ligar os fragmentos resultantes entre eles, obtendo-se assim moléculas bridas de
DNA, inexistentes na natureza. O DNA recombinante é, então, introduzido numa célula viva,
onde possa se manifestar.
Uma das estratégias da expressão genética é a extração do gene responsável pela
produção de determinada enzima de um microrganismo não-cultivável e a inserção em
microorganismo substituto hospedeiro de fácil cultivo e alta produtividade, como nas
bactérias
Escherichia coli
,
Bacillus subtilis e Bacillus licheniformis,
nas leveduras
Saccharomyces cerevisiae, Pichia pasniger
e
Hansenula polymorpha
e nos fungos
Aspergillus niger
e
Aspergillus orizae
. Essa técnica possibilita, além da fabricação em larga
escala, obter novos biocatalisadores através de evolução e recombinação genética induzida.
Outra estratégia de desenvolvimento que atualmente ganha cada vez mais atenção é
através do seqüenciamento genético. Uma vez desvendada a seqüência genética, a clonagem
dos genes codificadores é diretamente feita por cnicas especializadas, ou pela introdução de
mutações em seqüências já conhecidas.
Um método que começa ser mais utilizado é através do uso da bioquímica
computacional. Neste caso, parte-se de um modelo de estado de transição da reação onde se
pretende utilizar o biocatalisador. Após estabilização do estado de transição com grupamentos
químicos, estes são introduzidos em uma molécula de proteína adequada, alterando-se a
seqüência genética para acomodar as mudanças. A estabilidade termodinâmica pode ser
alcançada através de cálculos para obtenção da estrutura de menor energia. A utilização de
73
métodos computacionais avançados permite que essa técnica seja viável, com muitos casos de
sucesso.
157
As enzimas podem ser extraídas de animais, plantas e microorganismos.
158
O método
tradicional para identificar novas enzimas é baseado em enriquecimento de culturas de
microorganismos extraídos do solo, por exemplo. Uma vez que um biocatalisador adequado é
encontrado, a linhagem que deu origem é melhorada, podendo passar também por processos
de clonagem e expressão genética, para viabilizar a produção em larga escala.
Porém, é estimado que somente uma pequena fração (menos de 1%) da biodiversidade
pode ser cultivada diretamente, trazendo grandes perspectivas para os desenvolvimentos
futuros, pois a expressão genética pode possibilitar o seu cultivo.
159
3.3.5 Atividade, desnaturação e inativação
Para cada tipo de enzima existem condições especiais de temperatura, pH, força
iônica, entre outras características do meio que determinarão sua máxima atividade inicial.
Além disso, a engenharia molecular que provém do organismo produtor de cada enzima, bem
como o processo de fabricação e suporte utilizado, também terá influência na sua atividade.
Entretanto, nas condições de xima atividade, a enzima pode ser convertida
irreversivelmente para uma conformação inativa. Portanto, essas condições nem sempre são
compatíveis com as condições de máxima estabilidade.
160
A produtividade de enzimas utilizadas em escala industrial é, em grande parte,
determinada pela temperatura e, em menor proporção, pelo pH e íons metálicos.
153
Altas
temperaturas podem aumentar a conversão e reduzir tempo de reação, porém pode ocorrer
inativação imediata de algumas enzimas.
Acredita-se que o mecanismo de inativação passa inicialmente por um estágio de
desnaturação reversível,
onde há um desdobramento da estrutura tiária, conforme equação 17.
D
I
N
K
k
(17)
Onde
N
corresponde à molécula da enzima na sua conformação nativa,
D
à sua
conformação de desnaturação reversível e
I
à sua conformação inativa irreversível. Na prática,
74
a relação experimental entre as constantes
K
e k é definida pela constante real observada
(
k
obs
), dada pela equação:
K
obs
= k / (1+K
-1
) (18)
Em temperaturas onde K
1, uma correlação entre a quantidade de enzima
reversivelmente desnaturada e a quantidade de enzima inativada irreversivelmente. Para
temperaturas altas, onde K>>1, nenhuma correlação é encontrada. Dessa forma, para a
maioria das enzimas industriais, reações a temperaturas abaixo de 70ºC serão governadas
principalmente pelo desdobramento reversível da estrutura protéica. Essa é a razão pela qual
técnicas como imobilização garantem uma maior vida útil para a enzima.
3.3.6 Atividade Enzimática em Meio Não-aquoso
Apesar de um artigo de 1952 demonstrar esta possibilidade,
18
foi a partir da década
de 70 que a habilidade das enzimas de trabalhar em meio não-aquoso começou a ser
explorada.
12-17
Na época, acreditava-se que para o processo de catálise enzimática, a água
seria indispensável, pois manteria as características conformacionais da enzima, ativando os
sítios catalíticos. Porém, a questão primordial estaria na quantificação da água necessária para
a completa ativação da enzima.
Nesse sentido, a ação catalítica de enzimas em solventes apolares com menos de 1%
de água na composição foi comprovada.
17
A explicação para o resultado, uma vez que o
processo de catálise ocorre na interface substrato/água/enzima, é a de que a ativação do sítio
catalítico necessita apenas uma monocamada de água, denominada de “água essencial”.
Foi demonstrado ainda que este meio propicia novas propriedades para as enzimas
como, por exemplo, maior seletividade, além de maior resistência à desnaturação em
temperaturas mais altas.
Laane e colaboradores estabeleceram a medida do logaritmo do coeficiente de partição
de diversos solventes (logP) em um sistema octanol/água
161
como parâmetro para avaliar a
polaridade de solventes em biocatálise . Concluiu-se que a atividade enzimática decresce em
solventes muito polares, com logP < 2, causado pela provável distorção na camada da água
essencial. Porém, estes estudos foram feitos em reações de hidrólise e não podem ser
generalizados. Outros efeitos da polaridade de solventes e de grupos químicos foram
observados em reações de transesterificação e serão revisados posteriormente.
75
3.3.7 Processo de Fabricação de Enzimas
A primeira etapa da produção de uma enzima consiste na identificação e aquisição do
microorganismo produtor, que pode ser uma linhagem selvagem ou modificada geneticamente
pelos processos mencionados. Preferencialmente, o organismo deve atender às seguintes
exigências:
154
- Ser seguro sob o ponto de vista biológico.
- Apresentar elevada capacidade de síntese e excreção da enzima.
- Suportar condições ambientais severas.
- Ser tolerante à presença de substâncias xicas, que podem ser geradas no processo
de tratamento da matéria-prima ou pelo próprio metabolismo celular.
O processo de fabricação de enzimas vai depender muito do organismo hospedeiro
escolhido. As enzimas microbianas podem ser intracelulares (com geração de enzimas dentro
da própria célula) como a glicose-oxidase, peri-plásmicas como a invertase e a asperaginase
de leveduras ou extracelulares (com produção de enzimas externa), como as proteases e as
carboidrolases.
154
De uma maneira geral, o processo é realizado conforme descrito na Figura
3.28.
A esterilização é utilizada como forma de prevenir contaminações, sendo normalmente
realizada através de elevação de temperatura em reatores especiais e pela inserção de vapor a
alta pressão.
76
Figura 3.28 –
Esquema simplificado de produção de enzimas.
154
Os processos microbianos de produção de enzimas ocorrem basicamente em cultivos
submersos ou no estado sólido, sendo os primeiros os mais utilizados industrialmente.
Os processos submersos são aqueles em que a célula produtora se desenvolve no seio
do meio de cultivo, sob agitação, em reatores aerados com alto controle dos parâmetros
operacionais (pH, temperatura, consumo de oxigênio, etc.).
77
A fermentação no estado sólido é definida como um processo em que o crescimento
microbiano e a formação de produto ocorrem na superfície de substratos sólidos na ausência
de água livre. Tais substratos são de origem agrícola, podendo ser arroz, cevada, soja, entre
outros, e o processo pode seguir com ou sem agitação, com a vantagem de simplicidade do
processo e menor consumo de energia.
As etapas posteriores à fermentação são de extrema importância devido ao custo
associado a tais processos. Geralmente, as preparações enzimáticas comerciais consistem
essencialmente no sobrenadante da fermentação (enzimas extracelulares), que passa por um
processo de separação (filtração, centrifugação, etc.) das células do meio de cultura.
Após a separação, o volume a ser processado é geralmente grande, e precisa ser
concentrado. A concentração é feita por evaporação a vácuo, precipitação ou ultrafiltração.
Seguindo-se à concentração, a enzima pode passar por um processo de purificação.
Diferentes graus de purificação são utilizados, dependendo da necessidade no uso final.
Técnicas de cristalização, eletroforese, cromatografia (peneira molecular, troca iônica, etc.) e
extração líquido-líquido são bastante utilizadas. Ao final, aditivos podem ser adicionados para
estabilizar a atividade enzimática.
3.3.8 Imobilização de Enzimas
Catalisadores normalmente caros como as enzimas requerem que seja possível a
reutilização através de imobilização em suportes adequados, para adequação econômica do
processo. Vários processos de imobilização foram estudados,
152,162-164
com melhorias não
na estabilidade das enzimas, como também aumento da atividade e especificidade. A
imobilização de enzimas permite uso de reatores heterogêneos, como membranas
semipermeáveis,
165
reatores contínuos empacotados,
166
líquido iônico
167
entre outros métodos.
As principais cnicas utilizadas referem-se à ligação da enzima a um suporte sólido
(por adsorção ou quimissorção), oclusão em géis, microemulsões ou líquidos iônicos e ainda
pela realização de ligações cruzadas das cadeias protéicas da enzima (mais comumente
conhecido do termo em inglês
crosslinking
).
Os suportes mais utilizados para quimio e adsorção são , por exemplo, agarose, vidro,
zeólitas, resinas epóxi e acrílicas, entre outros. Como principais características desejáveis dos
suportes pode-se citar:
78
- larga superfície interna, de forma a permitir a alocação da enzima com facilidade;
- alta densidade superficial e mínimo impedimento estéreo de grupos reativos que irão
reagir com a enzima na imobilização e
- os grupos reativos devem ser facilmente inativados após imobilização, de forma a
obter uma superfície inerte.
Kristensen e colaboradores
165
testaram várias lipases com diferentes suportes em
reações de transesterificação entre glicerol e óleo de canola. Verificou-se que suportes
hidrofílicos, com o Duolite
®
(resina de troca iônica) e sílica granulada tiveram tendência a
formar um aglomerado insolúvel com glicerol, que se grudava nas paredes do meio reacional.
O fato foi explicado pela formação de uma camada de glicerol sobre as partículas de enzima
imobilizada, impedindo o acesso do óleo. O melhor suporte testado foi uma resina acrílica
(hidrofóbico).
Se a enzima possui conformações com atividades diferentes, é possível fixá-la com a
conformação mais ativa. As lipases, por exemplo, possuem duas conformações: uma mais
aberta, ativa, e outra mais fechada, inativa. A conformação mais ativa é favorecida em meios
mais hidrofóbicos. A adição de surfactantes, por exemplo, estabiliza a forma aberta da
enzima, que pode então ser imobilizada e fixada por reações cruzadas com glutaraldeído (
Figura 3.29).
79
Figura 3.29 –
Esquema de imobilização da estrutura aberta de lipase através de adição de
surfactante, imobilização em suporte aminado, fixação com glutaraldeído e posterior lavagem
para remoção do surfactante.
162
3.3.9 Custo das Enzimas
Um dos principais problemas para implementação de processos industriais
enzimáticos é o alto custo desses catalisadores. Dependendo de alguns fatores, os valores
podem variar bastante, de alguns centavos a centenas ou até milhares de reais por grama (ver
alguns exemplos na Tabela IX). Os principais fatores que afetam o custo, e que variam de
organismo para organismo, o a forma de nutrição dos microorganismos no meio de cultura,
a purificação da enzima e o suporte utilizado.
80
Tabela IX –
Custo comparativo de enzima hidrolases EC 3.1.1.3 (lipases).
168
Organismo gerador original Suporte Atividade (U/mg)
a
Custo (R$/g)
Pancreas do porco Nenhum 22 1
Pseudomonas fluorescens
Nenhum 300 13
Pseudomonas fluorescens
Sílica 40 172
Candida antarctica
Nenhum 9 11
Candida antarctica
Resina acrílica 2 320
(a)
1 U corresponde a quantidade de enzima que libera 1 µmol de ácido graxo de triacilgliceróis (reação de
hidrólise) por minuto a um pH de 8.0 e 40ºC.
A nutrição das culturas de microorganismos utiliza matérias-primas das mais variadas
fontes, como por exemplo melaço, açúcar não refinado, sucos de fruta, amido, arroz, trigo,
etc., e constituem um dos componentes mais relevantes nos custos de produção, chegando em
alguns casos até 75% do custo total. O custo poderia ser reduzido através do aproveitamento
de resíduos lignocelulósicos agroindustriais e florestais.
154
Estes resíduos são primariamente
bagaço de cana de açúcar, sabugo de milho, palha de arroz e farelo de trigo. Além disso, o uso
representa, assim, uma forma de se agregar valor a resíduos abundantes, dando solução para
seu acúmulo, que representa um sério problema ambiental.
Outra alternativa para minimizar o custo na produção de enzimas é utilizar a técnica
de cultivo intracelular e realizar a imobilização
in situ.
Dessa forma, toda a etapa posterior de
purificação é eliminada necessária apenas uma filtração simples seguida de secagem). Esta
técnica foi utilizada com sucesso na resolução ótica de (RS)-1-fenil-etanol
169
e na produção de
biodiesel de óleo de soja/ metanol.
170
Nestas técnicas toda a célula é fixada em um suporte
adequado (normalmente espuma de poliuretano). A utilização de cnicas de imobilização é
essencial pois garante a vida útil das enzimas.
De todos os fatores que influenciam o custo das enzimas, a imobilização é com certeza
o de maior impacto. A redução de custo dessas técnicas vem sendo o principal desafio para a
viabilização em larga escala dos processos enzimáticos. existem hoje alternativas de
mercado mais baratas de enzimas suportadas, além de pesquisas para diminuição do custo
desses materiais.
169
Outros exemplos que devem ser citados correspondem a duas patentes da
81
empresa Novozymes, cuja finalidade principal foi a redução do custo do processo e aumento
da atividade por grama de suporte.
171,172
Mesmo assim, pesquisas futuras devem garantir
custos ainda mais atrativos para os processos de imobilização.
3.3.10 Lipases
Lipases são enzimas que, originariamente nos organismos vivos, catalisam a reação de
hidrólise de triacilgliceróis (Figura 3.30), sendo sua habilidade de sintetizar ésteres
reconhecida a aproximadamente 70 anos.
173
R
2
O
OR
1
OH
2
H
O
OR
1
R
2
OH
+
+
Lipase
Figura 3.30
– Reações de hidrólise (sentido direto) e esterificação (sentido inverso)
catalisadas por lipases
Em 1856, Claude Bernard descobriu que uma lipase de suco pancreático hidrolisava
gotas de óleo tornando-as solúveis. Entretanto, somente em 1981 a seqüência genética de uma
lipase do pâncreas de porco foi elucidada, o que coincide com o grande aumento do número
de trabalhos relacionados a estas enzimas na modificação de óleos e gorduras nas décadas que
se seguiram (Figura 3.31).
0
50
100
150
200
250
300
350
400
450
1
940 - 1949
1
950
-
1959
1
960 - 1969
1
970
-
1979
1
980 - 1989
1
990
-
1999
2
000 - 2009
Figura 3.31 -
Artigos publicados na revista Journal of American Oil Chemistry Society,
referentes à pesquisa com a palavra LIPASE.
174
82
Lipases originalmente são obtidas de pâncreas de mamíferos. Elas desempenham
papel fundamental na absorção de óleos e gorduras no organismo e regulagem de colesterol
175
desses animais. Porém, devido aos avanços nas técnicas de expressão genética, fungos e
bactérias são as fontes preferenciais devido à sua alta produtividade (Tabela X).
Tabela X–
Principais fontes das lipases.
175
Fonte Nome
a
Mamíferos
Lipase Pâncreas Porco (PPL)
Fungos
Rhizomucor meihei, Penicillium camemberti, Humicola lanuginosa, Rhizopus
oryzae, Aspergillus niger, Candida rugosa, Candida antarctica, Geotrichium
candidum
Bactérias
Chromobacterium viscosum, Pseudomonas cepacia, Pseudomonas aeruginosa,
Pseudomonas fluorescens, Pseudomonas fragi, Bacillus thermocatenulatus,
Staphylococcus hyicus, Staphylococcus aereus, Staphylococcus epidermidis
a)
Os organismos descritos correspondem ao microorganismo doador do gene.
Na Figura 3.32 são demonstradas as formas ativa e inativa de uma lipase pancreática,
bem como as estruturas das
α
-hélices e folhas
β
-pregueadas. O centro ativo formado pelos
aminoácidos serina, ácido aspártico e histidina estão localizados na superfície da molécula,
numa estrutura protegida por espécie de tampa (na figura
lid domain
), que se abre, num
mecanismo complexo, quando ocorre a aproximação com o substrato. A geometria e o
tamanho deste centro podem variar bastante e irão responder pela especificidade da enzima.
176
83
Figura 3.32 -
A estrutura de uma lipase pancreática humana. Acima a estrutura ativa (aberta,
E*) devido à aproximação com o substrato. Embaixo a estrutura inativa (fechada, E). O sítio
ativo da lipase é demonstrado, ficando próximo a estrutura da folha
β
5, embaixo de uma
estrutura que funciona como uma tampa (
Lid domain
).
176
As lipases, bem como todas as enzimas, terão sua estrutura sempre dependente do
organismo que as gerou, diferindo bastante em alguns casos. Porém, a estrutura mostrada na
Figura 3.32 tem se mostrado como esqueleto básico de diversas lipases de organismos
diferentes, diferindo na estrutura tiária e na presença de cofatores.
Atualmente, as lipases podem ser obtidas de diversos meios (animais, bactérias,
fungos, etc.). Suas características e propriedades diferem enormemente de acordo com cada
origem, e podem ser utilizadas para catalisar a hidrólise, ou síntese, de uma grande gama de
diferentes ésteres, amidas, etc.,
21-27
resolução enantiomérica de álcoois
37
ou mesmo em síntese
de poliésteres,
82-105
com alta especificidade (Figura 3.33).
84
R
2
O
OR
1
O
O
R
3
R
2
+
+
Lipase
O
OHR
3
O
OHR
1
a) Acidólise
R
2
O
OR
1
O
O
R
1
R
3
+
+
Lipase
OH
R
3
b) Alcoólise
R
2
O
OR
1
O
O
R
1
R
4
+
+
Lipase
c) Troca de Éster
R
4
O
OR
3
R
2
O
OR
3
d) Aminólise
OH
R
2
R
2
O
OR
1
O
NH
R
1
R
3
+
+
Lipase
NH
2
R
3
OH
R
2
e) Policondensação
X
O
OR
1
X
O
O
+
Lipase
OH
OH
R
2
O
O
R
1
X
O
O
OH
R
2
n
-XOH
R
n
=alquila
X=H, alquila, halogenetos de alquila, vinila, etc.
Figura 3.33
– Reações catalisadas por lipases.
3.3.10.1 Seletividade das Lipases
A régio e estéreo-seletividade das lipases é determinada pela sua estrutura e
posicionamento do sítio ativo, sendo uma característica marcante desta classe de
enzimas.
15,28,31,176
A regiosseletividade das lipases foi demonstrada em um artigo de 1983.
15
Muitas
lipases apresentam seletividade com relação às posições 1 e 3 da cadeia do glicerol. Por
exemplo, no processo químico, uma interesterificação de dois óleos levaria a uma
randomização da estrutura conforme Figura 3.34.
85
Figura 3.34 -
Randomização da estrutura do triacilglicerol na reação de interesterificação de
óleos vegetais.
15
pelo processo enzimático, utilizando lipases 1,3 específicas pode-se chegar à
estruturas inalteradas na posição 2, conforme Figura 3.35.
Figura 3.35 -
Estrutura do triacilglicerol na reação de interesterificação de óleos vegetais via
catalise enzimática com lipases 1,3 específicas.
15
Porém, produtos aleatorizados poderão ser gerados devido à migração de grupamentos
acila (Figura 3.36) , que pode ocorrer devido a fatores como atividade e quantidade de água
no sistema, além do aumento de temperatura e tempo de reação. Foi visto que reatores
contínuos podem diminuir o grau de migração.
29,30
86
Figura 3.36
Mecanismo da migração de grupamentos acila gerando produtos aleatorizados
durante a interesterificação enzimática. X e Y representam grupamentos graxos.
29
Berger e Schneider testaram a atividade hidrolítica em diversas lipases frente a ácidos
graxos de diferentes tamanhos de cadeia (C4 a C18), com resultados bem diversos.
31
Como
exemplo, foi observado que a lipase PPL tem maior atividade frente a cadeias curtas (C4),
enquanto que a lipase de
Humicola lanuginosa
não apresenta seletividade pronunciada.
Xu classificou diferentes lipases frente à especificidade com relação ao tamanho da
cadeia e sua regiosseletividade frente a reação com triacilgliceróis
46
(
Tabela XI
).
87
Tabela XI –
Especificidades de diferentes lipases frente à reação com triacilgliceróis.
46
Nome Especifidade frente ao tamanho de
cadeia do ácido graxo
(P=cadeia
pequena; M=média; G=grande)
Regioespecificidade (posição
relativa da molécula de
acilglicerol)
Candida antarctica
P = M = G 1=3=2
Candida rugosa
P = M>>G 1=3=2
Aspergillus niger
Humicola lanuginosa
P = M = G 1=3>>2
Candida lipolytica
Rhizopus japonicus
Pseudomonas sp.
P = M = G 1=3>2
Rhizopus delemar
M = G>>P 1=3>>2
Mucor javanicus
M = G>>P 1=3>2
Rhizopus javanicus
M = G>>P 1=3>2
Rhizopus niveus
Pseudomonas flurescens
M = G>P 1=3>2
Rhizopus oryzae
Rhizopus arrhizus
M = G>P 1=3>>>2
Rhizomucor miehei
P>M = G 1>3>>2
PPL
P>M = G 1=3>>>2
Penicillium roquefortii
P = M>>G 1=3>>>2
A presença de grupos hidroxilas na cadeia do ácido graxo também influenciará a
formação de produtos. Foi visto que óleos a base de ácidos graxos hidroxilados (por exemplo
mamona),
32
quando expostos à ão catalítica das lipases de Pseudomonas sp e PPL, pode
haver formação de estolidas, lactonas, poliolidas e poliesteres dependendo da posição relativa
do grupamento hidroxila na cadeia.
Além disso, as lipases têm muitas aplicações na síntese orgânica devido a sua
habilidade de esterificar seletivamente um enantiômero de misturas racêmicas de álcoois e
ácidos, causada pela trajetória do substrato ao sítio ativo, que pode se encaixar de forma
88
única, ou pela reação competitiva para formação do intermediário enzima-substrato por
doadores ou receptores quirais.
33,37,176
Foi demonstrado que a adição de aminas e sais inorgânicos no meio reacional, além de
utilização de solventes adequados e controle da atividade da água podem melhorar a
enantiosseletividade através de mecanismos ainda não muito bem entendidos.
33,34
3.3.10.2 Modelo Cinético
O modelo cinético que foi proposto para as reações catalisadas por lipases
35-37,176
é
baseado no mecanismo de hidrólise. O sítio ativo composto pelos aminoácidos serina (Ser),
ácido aspártico (Asp) e histidina (His) catalisa a reação através da transferência de prótons
durante o curso da reação (Figura 3.37).
His
Ser
N
NH
O
CH
2
H
O
O
-
Asp
....
....
O
R
2
O
R
1
His
Ser
N
N
H
O
CH
2
O
-
R
2
O
R
1
O
O
H
Asp
....
....
Intermediário Tetraédrico 1
OH
R
1
His
Ser
N
N
H
O
CH
2
O
R
2
O
O
H
Asp
....
....
-
Nu
-
Enzima Acilada
Ser
N
N
H
O
CH
2
O
-
R
2
Nu
O
O
H
Asp
....
....
His
-
O
R
2
Nu
Intermediário Tetraédrico 2
Sítio Ativo
R
1
= H ou grupamento alquila
R
2
= grupamento alquila
Nu
-
= ROH, H
2
O, RNH
2
, RNHNH
2
, H
2
O
2
, etc.
Figura 3.37 – Mecanismo de reação genérico das lipases
Além disso, diferentemente de outras hidrolases, as lipases não seguem o
comportamento clássico Michaelis-Menten, não apresentando atividade quando o substrato
está em concentrações abaixo de um ponto crítico, chamada concentração micelar crítica
89
(CMC).
37
Este comportamento é devido ao mecanismo de ativação interfacial associado a
mudanças conformacionais da enzima.
3.3.10.3 Aplicações das Lipases
Devido à sua versatilidade (podem trabalhar em meio aquoso e não-aquoso muitas
vezes sem necessidade de cofatores), estreito controle dos produtos (régio e estereo-
seletividade), e a elucidação nos últimos anos da sua estrutura e mecanismo catalítico, as
lipases estão hoje entre as enzimas de maior potencial para aplicações industriais.
Muitos trabalhos já foram publicados sobre as possibilidades de utilização destes
biocatalisadores.
21-27,37-39
Será abordado a seguir as principais aplicações na modificação de
óleos vegetais.
3.3.10.3.1 Interesterificação
A interesterificação enzimática de óleos para obtenção de triacilgliceróis
especificamente estruturados (TEE) tem sido uma das principais aplicações das lipases,
principalmente na indústria alimentícia.
29-31,40-47
Obtêm-se diversas vantagens frente ao
processo químico, como ausência de problemas de saponificação causadas pelos catalisadores
metálicos utilizados, oxidação do produto final e não-aleatorização da distribuição dos ácidos
graxos na molécula do triacilglicerol.
45
Sabe-se que as funções nutricionais e funcionais de óleos e gorduras dependem não
do tipo de ácido graxo presente, mas também de sua posição relativa na molécula. Um
exemplo típico é a manteiga de cacau, principal constituinte das formulações de chocolate.
46
A manteiga de cacau é composta predominantemente de triacilgliceróis simétricos
com ácido oléico na posição 2 da molécula do glicerol, e grande percentual de ácido esteárico
nas posições 1 e 3 (Tabela ).
A obtenção de equivalentes da manteiga de cacau (EMC) através de reações químicas
convencionais é muito difícil devido à randomização da estrutura, o que não acontece por rota
enzimática. Por exemplo, ótimos resultados foram obtidos interesterificando óleos vegetais
relativamente baratos (palma, piqui) com triestearina ou ácido esteárico na presença de lipases
(Tabela XII).
47,140
O enriquecimento de margarinas com frações de ácido graxo insaturado é de grande
importância nutricional. Com esse objetivo, a reação de margarinas com ácido oléico em
presença de lipases foi estudada, sendo obtido um enriquecimento de 27% no teor de ácido
90
oléico, além de uma diminuição do teor de cadeias longas saturadas.
41,42
Processo semelhante
foi utilizado para modificação da gordura do leite.
43
O processo de interesterificação enzimática é uma realidade em diversas indústrias,
sendo utilizado para fabricação de EMCs industrialmente pela empresa Fuji Oil Europe,
48
Nestlé Chile e Flora Danica, na Argentina,
26,49
para fabricação de margarinas, e na produção
de substitutos da gordura do leite materno pela Unilever, na Alemanha.
46
Tabela XII –
Obtenção da manteiga de cacau através da interesterificação enzimática do óleo
de palma. P=palmitato, O=oleato, St=estearato.
47
Constituinte Manteiga de Cacau Óleo de Palma Produto
(interesterificação
com triestearina)
POP 16% 45% 22%
POSt 35% 6% 38%
StOSt 26% 0% 14%
POO 4% 47% 17%
StOO 6% 2% 9%
Outros 13% 0% 0%
Basicamente, os processos industriais existentes hoje fazem uso de reatores de reação
contínua, como os reatores de leito fixo, devido à sua simplicidade, eficiência e controle da
migração de grupamentos acila.
21,50-55,177,178
Outras formas de melhoria da eficiência da reação de interesterificação enzimática
foram tentadas. Reações a alta pressão
179
foram estudadas com melhorias obtidas em pressões
próximas de 150MPa, porém com diminuição do tempo de vida útil da enzima.
Melhorias significativas foram obtidas pelo grupo de Chen
180
e Liu
181
através do uso
de ultra-som no meio reacional. O ultra-som causa condições extremas de vibração do meio,
diminuindo barreiras de energia devido a dificuldades de transferência de massa.
O uso concomitante de 2 ou mais enzimas nas reações de interesterificação foi
também foi explorada. Ibrahim e colaboradores
182
concluíram que as lipases Lipozyme RM
IM® e Novozym 435® tem efeito sinérgico na reação de interesterificação do óleo de palma e
coco.
91
3.3.10.3.2 Produção de Monoacilgliceróis e Diacilgliceróis
Monoacilgliceróis (MG), emulsificantes largamente utilizados em alimentos, remédios
e cosméticos, são fabricados por glicerólise de óleos e gorduras em processos tipo batelada ou
contínuos. Altas temperaturas (220-250ºC) e catalisadores alcalinos são utilizados, em
processo muito parecido com a reação utilizada em resinas alquídicas. As limitações do
processo químico incluem a indesejável cor escura e o gosto queimado do produto, além de
baixo rendimento da reação (40 a 60%) e perda de propriedades nutricionais.
69
Por esses motivos, vários trabalhos foram publicados
160,56-74,183-185
de forma a se
conseguir um processo mais adequado e a catálise enzimática é uma das alternativas mais
promissoras para se alcançar esse objetivo.
A obtenção de MG pela hidrólise parcial de óleos, em presença de lipases 1,3
específicas, foi uma das primeiras estratégias utilizadas. Porém teores muito baixos (menores
que 30%) foram encontrados.
59,60
Altos teores podem ser obtidos pela reação de transesterificação de glicerol e óleos
vegetais em temperaturas abaixo da temperatura crítica de cristalização do MG formado, em
um meio heterogêneo sem adição de solventes, na qual deslocamento da reação no sentido
dos produtos.
56-58
Teores acima de 90% podem ser obtidos através da diminuição da
temperatura a 5ºC, após a reação.
61,65
Porém tempos de reação longos são normalmente
necessários (de 20 horas a alguns dias, dependendo do teor desejado), e o controle da reação é
prejudicado em razão da heterogeneidade do sistema.
A reutilização de lipases não imobilizadas foi testada por Kaewthong e
colaboradores
64
na reação do óleo de palma com glicerol. Foi utilizado um reator com
membrana de separação. Um aumento da atividade foi observado quando a temperatura é
aumentada de 30 para 45ºC,conforme pode ser observado na Figura 3.38 e na Figura 3.39 .
Em contraste, porém, foi observado que nessa temperatura as lipases perdem estabilidade, em
razão da desnaturação térmica das enzimas (conforme Figura 3.40). Em outro trabalho foi
determinada uma temperatura máxima de 40ºC para a lipase
Pseudomonas sp
de forma a
manter sua máxima estabilidade.
160
92
Figura 3.38
Reação em processo contínuo (reator de leito fluidizado com membrana de
separação) do óleo de palma com glicerol a 30ºC; 300 rpm; relação glicerol/óleo 2,7; 4% de
água (m/m); enzima não imobilizada. Organismos originais das lipases: LP
(
Chromobacterium viscosum
), OF (
Candida rugosa
), D (
Rhizopus delemar
), AK
(
Pseudomonas fluorescens
), PS (
Pseudomonas sp
.), F (
Rhizopus oryzae
), AY (
Candida
rugosa
), M (
Mucor javanicus
) e PL (
Alcaligenes sp
.).
64
Figura 3.39
Reação em processo contínuo (reator de leito fluidizado com membrana de
separação) do óleo de palma com glicerol a 45ºC; 300 rpm; relação glicerol/óleo 2,7; 4% de
água (m/m); enzima não imobilizada. Organismos originais das lipases: LP
(
Chromobacterium viscosum
), D (
Rhizopus delemar
), PS (
Pseudomonas sp
.), F (
Rhizopus
oryzae
) e PL (
Alcaligenes sp
.).
64
93
Figura 3.40
Estabilidade das lipases na reação do óleo de palma com glicerol a 45ºC; 300
rpm; relação glicerol/óleo 2,7; 4% de água (m/m); enzima não imobilizada. Organismos
originais das lipases: LP (
Chromobacterium viscosum
), D (
Rhizopus delemar
), PS
(
Pseudomonas sp
.), F (
Rhizopus oryzae
) e PL (
Alcaligenes sp
.).
64
No mesmo trabalho, o efeito da imobilização na atividade e estabilidade da lipase de
Pseudomonas sp
foi determinado. Observou-se que a enzima imobilizada apresentava uma
temperatura de máxima atividade mais alta, e uma leve melhoria na estabilidade com 24 horas
de reação.
Ainda no trabalho de Kaewthong foi proposto um reator contínuo de leito fixo (Figura
3.41), com fluxo de 0,2 mL por hora, porém baixos teores de MG foram obtidos.
Figura 3.41 –
Reator contínuo de leito fixo.
64
94
Outro trabalho que merece destaque é o de Noureddini e Harmeier,
160
que estudaram
a glicerólise do óleo de soja com nove enzimas comercialmente disponíveis, através de reação
em batelada. A atividade de cada enzima foi determinada. A lipase PS (
Pseudomonas
cepacia
) foi a de maior atividade, sendo utilizada posteriormente em um planejamento fatorial
para análise das principais variáveis reacionais. Os parâmetros otimizados, em função da
atividade glicerolítica, foram temperatura de 40ºC, relação glicerol/óleo de 2:1 e relação
enzima/óleo de 0,1: 10, respectivamente.
Todas as lipases podem ser obtidas no mercado com informações sobre sua atividade
hidrolítica. Porém essa medida muitas vezes não condiz com a atividade observada na reação
com glicerol, conforme foi demonstrado por Noureddini e comprovado nesta dissertação
(Seção 5.3).
Solventes ou uso de agentes emulsionantes podem melhorar a homogeneidade do
sistema, diminuindo os tempos de reação devido a diminuição de problemas de transferência
de massa, aumentando os teores de MG. Um dos solventes mais utilizados para esse propósito
são álcoois terciários, devido a sua baixa reatividade, possibilidade de homogeneização tanto
da fração graxa como do glicerol e coeficiente de partição adequado.
62,67,183-185
Outros
sistemas de solventes também já foram propostos, como uso de acetona.
64
Dentro deste contexto, muitos trabalhos foram publicados utilizando a enzima
Novozym 435. Obtida pela imobilização da lipase de
Candida antarctica
em uma resina
acrílica macroporosa. Foi utilizada na glicerólise de vários óleos em reator contínuo,
21,166,177
líquido iônico
167
e em batelada.
165,166
Foi demonstrada alta atividade da glicerólise de diversos
óleos, com uso de t-butanol como solvente, chegando a conversões de praticamente 100% do
óleo e altos teores de MG.
67-71
3.3.10.3.3 Síntese de Biodiesel
Lipases têm sido bastante utilizadas para obtenção de biodiesel,
75-80
através de reações
de transesterificação de óleos vegetais e álcoois mono-funcionais. A grande vantagem do
processo enzimático, além da diminuição do consumo de energia, é a eliminação de etapas de
purificação posteriores (ver seção 1.5).
79
95
Um dos problemas encontrados no processo enzimático é a inativação das lipases com
metanol, um dos principais álcoois utilizados para síntese de biodiesel. Alternativas foram
propostas, como uso de outros solventes e líquidos iônicos.
Acredita-se que a desativação da enzima em metanol é conseqüência da baixa
solubilidade do álcool em meio hidrofóbico. Proporções metanol/óleo maiores que 1,5:1
causam alta inibição.
80
Para resolver o problema, Shimada e colaboradores
75
sugeriram uma
adição gradual de metanol, obtendo-se conversões acima de 95% mesmo após 50 ciclos de
operação. Trabalho similar foi feito por Watanabe e colaboradores.
76
Foi sugerido
79
que a ação inibidora é parcialmente devida ao glicerol que é formado
durante a reação, sendo necessário sua remoção. Membranas de separação e líquidos iônicos
tem sido utilizados para este fim (Figura 3.42).
Dupont e colaboradores
80
realizaram estudos da metanólise enzimática com óleo de
soja em líquido iônico com diversas lipases, obtendo mais de 96% de biodiesel com a lipase
PS (Amano).
Figura 3.42
Transesterificação de óleo vegetal por enzimas suportada em líquidos iônicos
com concomitante captura do glicerol formado.
80
A enzima Novozym 435 foi explorada em outro trabalho.
78
A eficiência da reação com
diversos líquidos iônicos foi comparada com o processo com solvente t-butanol, sabidamente
um dos solventes mais adequados para reações de transesterificação enzimáticas. Maiores
conversões foram obtidas com o meio iônico.
96
3.3.10.3.4 Usos das lipases na modificação de óleos para produção de resinas alquídicas
A síntese de resinas alquídicas com incorporação da fração graxa através da utilização
de catálise enzimática foi muito pouco explorada na literatura. Os principais registros são
referentes à utilização para produção de poliésteres através da reação de policondensação.
82-
105
Enzimas podem também ser utilizadas diretamente na formulação de tintas
antincrustação para embarcações, prevenindo a formação de acúmulos no casco de navios,
diminuindo enormemente o consumo de combustível.
81
Dois trabalhos podem ser encontrados na síntese específica de resinas alquídicas.
Geresh e Gilboa
106
sintetizaram um polímero em meio solvente que foi denominado pelos
autores como uma resina alquídica, mas que na verdade poderia ser definida como um
poliéster insaturado, pois foram utilizados como substratos o 1,4-hexanodiol e ésteres do
ácido fumárico, sem nenhuma modificação com óleo vegetais. As enzimas utilizadas foram
PPL,
Candida cylindracaea, Mucor miehei e Pseudomonas fluorescens
. Foram obtidos
polímeros com massa molar (Mw) de até 1250, com polidispersões de próximas a 1,
calculadas através de análise de GPC.
Kumar e colaboradores
108
sintetizaram resinas alquídicas através de transesterificação
enzimática na fase da alcóolise com diversos álcoois polifuncionais e óleos. O protocolo
experimental utilizado esta descrito na
Tabela XIII
.
Tabela XIII
Condições reacionais utilizadas no trabalho de Kumar.
108
Relação Álcool/TG 2,33:1
Solvente THF (aproximadamente 20% em massa sobre massa total de
reagentes)
Enzima PPL (7,5% em massa sobre massa de óleo)
Temperatura 32ºC
97
O progresso da reação de transesterificação foi monitorado pela solubilidade em meio
reacional em metanol. Os autores consideraram uma solubilidade de 200% como sendo
indicativo de total desaparecimento da fração óleo. Porém, como será visto neste trabalho,
mesmo com teores altos de TG na composição de produtos pode-se obter alta solubilidade em
metanol, em razão do efeito compatibilizante do solvente, do álcool utilizado na reação e da
próprio MG formado durante a reação.
A análise de monoésteres foi realizada através de um método chamado de oxidação
com ácido periódico pelos autores, que não foi possível ser encontrado para discussão nesta
dissertação.
Foram testados os álcoois ciclohexano-dimetanol (CHDM), neopentil-glicol (NPG) e
hexanodiol (HD) na reação com óleo de coco. Os melhores resultados foram encontrados com
CHDM após 72 horas de reação, com altos teores de monoéster. Outros álcoois, como
glicerol, não foram testados.
O CHDM foi testado frente a outros óleos, como mamona,
saffola
e
tobacco
. A maior
conversão foi obtida com mamona, o que deve ser questionado, em razão da solubilidade do
óleo de mamona, que pode mascarar o resultado. A baixa atividade frente aos outros óleos foi
atribuída a existência de insaturações na cadeia.
O produto da reação com óleo de coco e CHDM foi então utilizado para síntese da
resina alquídica, através de 2 métodos: reação com anidrido ftálico a temperatura de 220ºC, e
através de uretanização com tolueno diisocianato (TDI) a temperatura ambiente. Os resultados
são mostrados na Tabela XIV.
98
Tabela XIV
Resultados obtidos no trabalho de Kumar com a síntese de resinas alquídicas.
Formulações não fornecidas.
108
Alquídica de Anidrido Ftálico Alquídica Uretanizada Álcool
Polifuncional
Teor de
monoéster
Índice de
acidez
(mgKOH/g)
Mn
(g/mol)
Polidispersão
Mn
(g/mol)
Polidispersão
CHDM 90% 4,2 2229 1,14 2921 1,23
NPG 82% 9,6 1838 1,09 2548 1,16
HD 75% 8,4 1999 1,10 2988 1,21
Os valores de polidispersão obtidos foram extremamente baixos para um polímero de
policondensação.
186
Podendo ter havido algum erro de determinação das massas moleculares
por GPC.
O trabalho de Kumar foi utilizado como ponto de inicial deste trabalho, com objetivo
de ampliá-lo para álcoois polifuncionais e óleos mais utilizados na síntese de resinas
alquídicas no Brasil.
Além disso, como pode ser observado no anexo a esta dissertação, uma pesquisa de
patentes realizada não foram encontrados registros de utilização de catálise enzimática na fase
de alcóolise da síntese de resinas alquídicas.
99
4 MATERIAIS E MÉTODOS
4.1 REAGENTES
As lipases PPL, PS, A e AY e os solventes utilizados foram obtidos comercialmente
(Aldrich). A enzima Novozym 435 foi gentilmente cedida por Novozymes Latin América.
Todos os óleos, polióis, poliácidos, poliisocianatos e solventes de diluição foram
cedidos por Tintas Killing S/A (grau comercial).
4.2 PROTOCOLOS DE REAÇÃO
4.2.1 Alcóolises com lipase PPL
Todos os ensaios com a enzima PPL foram realizados da seguinte forma: pesou-se
inicialmente o óleo (comercial) e a enzima em um copo de béquer, misturando-se em seguida
com um bastão de vidro, de forma a desagregar os aglomerados de enzima e favorecer a
dispersão. Após isso o solvente, caso necessário, foi adicionado.
Essa mistura foi, então, colocada em um balão de fundo redondo, juntamente com o
poliol correspondente (comercial). Acoplou-se o termopar e o misturador mecânico. O
sistema foi mantido em temperatura (tipicamente 40ºC) controlada em um banho-maria.
Um procedimento padrão dessa reação utilizou aproximadamente 45g de óleo, 7g de
enzima e 10 a 20g de poliol.
4.2.2 Alcóolises com lipases PS, A, AY e Novozym 435
Estes ensaios foram realizados em um balão de fundo redondo de 100ml, agitador
magnético com aquecimento, modelo IKA RH-KT/C (setup entre 3 e 4), controlador de
temperatura modelo IKA-Werke.
A escala padrão utilizou cerca de 10g de óleo de soja, 1% (m/m) de enzima sobre óleo,
relação molar glicerol/óleo de 2,4/1, temperatura de 40ºC e tempo mínimo 8 horas (exceto
para a análise fatorial, onde foi utilizado um tempo de 3 horas).
4.2.3 Análise fatorial com Lipase PS
O tempo de duração de cada experimento foi de 3h, escolhido para maior agilidade.
Após o término da reação, realizou-se centrifugação e filtração das amostras, seguida de
100
análise de índice de acidez, cromatografia em camada delgada (CCD) e cromatografia líquida
de alta eficiência (CLAE).
4.2.4 Síntese da resina alquídica
Para a síntese da resina alquídica foram utilizados tanto o processo via alcóolise
quanto o processo ácido graxo, comparados na seção 3.2.2.2.
No processo de alcóolise alcalina, foi utilizado em um balão de fundo redondo de
capacidade de aproximadamente 2 litros, equipado com agitador mecânico, atmosfera de
nitrogênio, termopar para controle de temperatura e condensador (para retirada de água de
reação e refluxo de xileno na etapa da policondensação). A reação era monitorada através do
teste de solubilidade em metanol. Um tempo típico de reação era de 1 hora.
Na alcóolise enzimática dois arranjos foram utilizados: um em batelada e outro
contínuo (ver próxima seção para processo contínuo).
No processo em batelada um arranjo similar ao processo alcalino foi utilizado, porém
sem utilização de atmosfera inerte. Neste caso, um tempo padrão de 8 horas foi utilizado de
forma a garantir a conversão máxima do óleo. Tempos menores poderiam ser utilizados.
Em ambos os processos, pesou-se aproximadamente 307g de óleo de soja, 82g de
glicerina e 3,1g de catalisador. A mistura era então aquecida para a respectiva temperatura de
reação, 220ºC para processo alcalino e 40ºC para processo enzimático.
Na etapa da policondensação, os demais polióis (129g), anidrido ftálico (297g), ácido
benzóico (92g) e xileno (34g) eram adicionados ao produto da alcóolise, numa temperatura de
110ºC e atmosfera inerte. A temperatura era, então, elevada novamente a 220ºC. A cada hora
retirou-se alíquotas para realização de teste de acidez e viscosidade. A reação foi interrompida
quando se alcançou os parâmetros especificados.
No processo ácido graxo, misturou-se a uma temperatura de 110ºC o ácido graxo de
soja (293g), glicerina (114g), demais polióis (129g), anidrido ftálico (297g), ácido benzóico
(92g) e xileno (34g). A temperatura era, então, elevada a 220ºC. O processo seguia-se então
de forma semelhante ao demonstrado no parágrafo anterior.
Em nenhum caso foram utilizados catalisadores para acelerar a reação de
policondensação, de forma a visualizar-se a real diferença de reatividade dos sistemas.
4.2.5 Reator contínuo
Um reator tubular, de leito fixo foi utilizado para alcóolise enzimática com a enzima
suportada Novozym 435 em processo contínuo. Ele foi construído em estrutura de vidro de
101
acordo com trabalho realizado por Damstrup.
21
Nesse trabalho foram otimizadas as
dimensões do reator, bem como fluxo e tempo de residência.
Figura 4.1 –
Esquema do reator contínuo de Damstrup.
151
As dimensões utilizadas foram 1,5 cm de diâmetro, 15 cm de comprimento, fluxo de
0,7mL/min e temperatura de 40ºC.
Figura 4.2 –
Foto do reator contínuo de leito fixo preenchido com a enzima Novozym 435, já
inchada devido ao solvente.
10
2
Um fato que foi observado nesse processo é que a enzima sofre uma expansão devido
ao inchamento do suporte de resina acrílica da enzima Novozym 435 quando em contato com
solvente, podendo chegar a quase o dobro do seu volume original. Por isso, o
preenchimento do reator deve deixar certo volume vazio (no ximo 52%), que servirá para
impedir problemas de deformação do suporte devido ao aumento da pressão dentro da câmara
de reação. Foram utilizadas 6 g de enzima para preenchimento do volume de 52% da câmara.
Os reagentes (52g de glicerina e 250g de óleo de soja) e 315g de t-butanol foram
colocados em um balão de vidro em contato com banho termostatizado a 40ºC e
homogeneizados antes da entrada no reator por um agitador mecânico RW20 (500 rpm).
Bombas peristálticas (FMI “Q”, modelo QG400) foram utilizadas para passar os reagentes no
interior do reator e para manutenção do fluxo contínuo. A temperatura no interior do reator foi
mantida constante (40ºC) por uma camisa de vidro, com fluxo de água termostatizada por um
banho SE-100AG. O produto foi recolhido em uma proveta graduada para melhor controle do
fluxo.
Após o término da reação, o t-butanol foi destilado através de um destilador a vácuo.
O produto da reação então era submetido à policondensação conforme descrito acima.
4.3 MÉTODOS ANALÍTICOS
4.3.1 Solubilidade em Metanol
O teste de solubilidade em metanol é usual na fabricação de resinas alquídicas, e
fornece uma estimativa do grau de transesterificação do óleo na fase de alcóolise, e o
prosseguimento da reação para a etapa da policondensação. Usualmente, o método consiste
em misturar em uma proveta graduada (10 mL) o meio reacional e o metanol, adicionando
este em pequenas quantidades. A mistura é homogeneizada a cada adição, sendo verificado o
aspecto da solução quanto à transparência. O processo continua até obter-se o primeiro
aspecto turvo, indicativo de insolubilidade. O resultado é expresso em percentagem de
metanol sobre volume inicial do meio reacional. De forma geral, é considerada aprovada a
amostra com 200 a 300% de solubilidade.
9
4.3.2 Índice de acidez
Titulação ácido-base com NaOH padronizado (em torno de 0,1M) de 2,0 mg
de amostra em solução de éter etílico e etanol 2:1. Soluções previamente neutralizadas .O
103
indicador usado foi a fenolftaleína. O resultado foi expresso como uma média de 3
determinações.
4.3.3 Cromatografia em camada delgada
Como eluente empregou-se uma mistura de solventes: hexano (89%), acetato de etila
(10%) e ácido acético (1%). Uma alíquota de 50mg de amostra e óleo foi dissolvida em éter.
Fase estacionária de alumina. A revelação foi feita em vanilina/ácido sulfúrico.
187
4.3.4 Cromatografia Líquida de Alta Eficiência (CLAE)
As amostras foram submetidas à análise de cromatografia quida de alta eficiência
(CLAE). O equipamento utilizado foi um Shimadzu módulo bomba modelo LC-20AT,
detector UV 205 nm modelo SPD-20A, interface modelo CBM-20A e software LC Solution
(versão 1.21). Coluna de 150mm de comprimento e 4,6 mm de diâmetro com tamanho de
partícula de 5 micrometros. A metodologia foi a mesma utilizada por Dupont.
80
O naftaleno foi utilizado inicialmente como padrão interno para quantificação dos
constituintes do produto. A construção de curva de calibração foi feita com soluções do
padrão e óleo de soja em isopropanol/hexano (grau CLAE).
Porém, o naftaleno mostrou-se inadequado como padrão interno, pois houve
sobreposição dos picos no cromatograma. Além disso, devido ao detector de ultravioleta, a
resposta relativa do naftaleno foi muito diferente dos substratos analisados (diferente
coeficiente de absortividade), além de ser de classe química diferente do analito. Optou-se
então por utilizar o linoleato de metila (Figura 4.3). Porém, as diferenças encontradas pela
quantificação com os dois padrões foram pequenas, consideradas aceitáveis para o objetivo do
trabalho.
104
0 5 10 15 20 25 30 35
Tempo de Retenção (minutos)
Intensidade Relativa
Figura 4.3
– Exemplo de cromatograma de CLAE . Os picos referentes às diversas frações de
acilgliceróis estão indicados, inclusive o pico dos padrões internos naftaleno e linoleato de
metila.
Os tempos de retenção utilizados para os derivados de óleo de soja são os seguintes: 0
a 5 minutos ácido graxo livre (AGL), 5 a 15 minutos monoacilgliceróis (MG), 15 a 25
minutos diacilgliceróis (DG) e acima de 25 minutos triacilgliceróis (TG).
A quantificação das amostras foi realizada, calculando-se inicialmente o conteúdo de
AGL, não quantificável por CLAE devido à sobreposição de picos, através do índice de
acidez. A quantidade de TG foi determinada por CLAE, através da curva de calibração com o
padrão interno (linoleato de metila). Os teores de MG e DG calculados através das seguintes
equações:
DGMGAGLTGAMOSTRA
+
=
(19)
DG
MassaMolar
DG
MGMassaMolar
MG
ÁreaDG
MGÁrea
=
(20)
Onde AMOSTRA é a massa de amostra injetada do equipamento de CLAE, TG, AGL,
MG e DG são as quantidades em massa dos constituintes. ÁreaMG e ÁreaDG são as áreas
calculadas dos respectivos sinais no cromatograma de CLAE. MassaMolarMG e
AGL
NAFTALENO
MG
LINOLEATO DE
METILA
DG TG
105
MassaMolarDG são as massas molares aproximadas de MG e DG (355 e 618 g/mol
respectivamente).
A quantificação de MG e DG constituem no método as maiores fontes de erro, pois
não foram utilizados padrões para quantificação. Em razão disso, a análise foi considerada
semi-quantitativa. Porém, para os objetivos do trabalho, esse erro pode ser considerado
aceitável, e não ultrapassa 3 pontos percentuais.
4.3.5 Cromatografia de Permeação em Gel (GPC)
Cromatografia de permeação em gel (GPC) foi realizada utilizando THF como eluente
num equipamento Waters 410, equipado com refratômetro diferencial como detector. Quatro
colunas reticuladas de poliestireno com tamanho de poros de 500, l0
3
, l0
4
, e l0
5
Å, foram
utilizadas. As massas molares foram determinadas pela calibração contra padrões de
poliestireno.
4.3.6 Espectroscopia em Infravermelho
As resinas sintetizadas foram avaliadas por espectroscopia no infravermelho, através
do espectrofotômetro Shimadzu FTIR 8300. As amostras foram aplicadas em placas de KBr e,
após secagem à vácuo e formação de filme fino, foram submetidas ao ensaio.
4.4 ENSAIOS EM RESINA E TINTA
4.4.1 Desempenho da tinta e resina
Para avaliar o desempenho da resina e da tinta, metodologias padronizadas pela
ASTM foram utilizadas de acordo com Tabela XV.
106
Tabela XV –
Metodologias empregadas para teste de desempenho da tinta final
Viscosidade Brookfield
(a)
ASTM D2196
Cor Gardner
(a)
ASTM D1544
Aderência
(b)
ASTM D3359
Flexibilidade
(b)
ASTM D522
Impacto
(b)
ASTM D2794
Dureza König ASTM D4366
Brilho
(c)
ASTM D523
(a)
Ensaios realizados na resina a 50% de sólidos (m/m)
(b)
Ensaios realizados após 7 dias de secagem a temperatura ambiente das amostras de tinta aplicadas sobre painel
de aço carbono laminado a frio, dimensões 7 por 15 cm, 1 mm de espessura, lixado com lixa gran #320 e
desengordurado com solvente xileno seguido de acetona. Camada de tinta de aproximadamente 40 µm.
(c)
Ângulo de 60º utilizado no teste. Aplicação em painel de aço carbono conforme descrito acima.
4.4.2 “Gel Time”
Este ensaio visa determinar o tempo para formação de gel após a mistura da resina
alquídica com o poliisocianato alifático, numa relação estequiométrica dos grupamentos
isocianato com as hidroxilas da resina alquídicas de 1:1. O resultado é indicativo da
reatividade do sistema e da massa molar do polímero.
O resultado é determinado como o tempo transcorrido após mistura dos componentes
até a perda de fluidez.
4.4.3 Imersão em água
A resistência à hidrólise foi testada através de teste de imersão em água. Painéis
pintados com as amostras de tintas foram submetidos a secagem de 7 dias ao ar, e então
imersos em água destilada à temperatura ambiente por 300 horas (Figura 4.4).
107
Figura 4.4
– Foto ilustrativa do teste de imersão em água.
O resultado foi expresso em termos de retenção de brilho (ASTM D523), grau de
empolamento (ASTM D714), grau de corrosão (ASTM D610), e diferença visual de cor
(ASTM D1729).
108
5 RESULTADOS E DISCUSSÃO
Será apresentada neste capítulo, inicialmente, a análise exploratória para identificação
do melhor sistema para o caso em estudo, onde o processo alcalino (padrão atual) foi
comparado com o processo enzimático utilizando as alternativas de enzimas: PPL, A, AY e
PS e Novozym 435. Logo em seguida, será apresentada a otimização dos resultados, bem
como, a aplicação da resina na preparação de tintas.
5.1 PROCESSO ALCALINO
A síntese de resinas alquídicas foi tratada na seção 3.2.2, onde se demonstrou a
necessidade da reação inicial do óleo vegetal com o álcool polifuncional, anterior a reação de
policondensação, sendo este processo chamado de monoglicérido ou alcóolise.
No presente trabalho, o processo padrão de alcoólise foi chamado de processo
alcalino, pois utiliza catalisadores metálicos básicos.
Inicialmente o processo alcalino foi testado como base para comparação posterior com
o processo enzimático. Foi utilizado 1% de octoato de lítio sobre massa de óleo, tempo de
reação de 1 a 2 horas (até 300% de solubilidade em metanol) a 220ºC de temperatura.
Realizou-se uma reação com 20% de excesso de glicerol em comparação com a
relação estequiométrica para formação de monoacilglicerol (MG), conforme procedimento de
alcóolise alcalina atual. Esse excesso tem como objetivo deslocar o equilíbrio da reação para
formação majoritária de MG. Os produtos foram analisados por CLAE (Figura 5.1) para
verificação, além da quantidade de MG, da quantidade de ácidos graxos livres (AGL),
diacilgliceróis (DG) e triacilgliceróis ou óleo não convertido (TG).
109
0
5
10
15
20
25
30
35
40
45
50
Processo Alcalino (Relação
Glicerol/Óleo = 2.0)
Processo Alcalino (Relação
Glicerol/Óleo = 2.4)
% molar
AGL MG DG TG
Figura 5.1 –
Resultados da análise de CLAE semi-quantitativa da alcoólise alcalina do óleo
de soja e glicerol (desconsiderado o glicerol não reagido).
Como se pode observar pelos resultados, o excesso de glicerol realmente resulta no
aumento da quantidade de MG, ocasionado pela diminuição da quantidade de DG e aumento
da conversão do óleo.
De qualquer forma, é surpreendente a pouca eficiência do procedimento atual de
alcóolise alcalina. O teor de 30% de óleo não reagido com certeza prejudicará o desempenho
do produto final. Porém, deve ser levado em consideração que o óleo não reagido ainda
poderá se incorporar ao polímero na policondensação, que o catalisador de alcóolise ainda
estará presente no meio, diminuindo a quantidade de óleo livre.
5.2 Glicerólise com lipase PPL
A enzima PPL, como todas as lipases, apresenta boa atividade hidrolítica e tem sido
utilizada extensivamente na literatura.
23,31,46,108
Em meio aquoso, óleos de cadeias mais
curtas, como tributirato são melhor hidrolisados, enquanto que o meio solvente favorece
cadeias mais longas, como o trioleato.
31
Além disso, é uma das enzimas comerciais de menor
custo (seção 3.3.9).
Kumar e colaboradores,
108
conforme descrito anteriormente, obtiveram bons
resultados de conversão de diversos óleos com esta enzima, empregando os álcoois CHDM,
NPG e HD e óleos de coco e mamona. Portanto, o primeiro motivador do presente trabalho
110
foi verificar a validade dos resultados obtidos por Kumar em um sistema com glicerol/ óleo de
soja, bastante comum nas formulações de resina alquídicas brasileiras.
Foi testado então, nas mesmas condições, o sistema com óleo de soja/ coco/ mamona e
glicerol usando a enzima PPL como catalisador. Porém, não se obtiveram resultados positivos
devido à formação de material insolúvel que impossibilitava o prosseguimento da reação. Os
ensaios mais representativos estão descritos na Tabela XVI. As variáveis foram escolhidas de
acordo com Kumar.
108
Tabela XVI
Testes realizados com óleo de soja, coco e mamona e glicerol, utilizando a
enzima PPL.
(a)
Reação Óleo Relação molar OH/ Éster Solvente Temperatura (ºC)
1 Soja 2,5 Nenhum 32
2 Soja 2,5 THF 32
3 Soja 2,5 THF 40
4 Soja 2,5 THF 60
(b)
5 Soja 0,8 THF 40
6 Coco 2,0 Nenhum 32
7 Mamona 2,0 Nenhum 32
a)
Resultados de teste em solubilidade em metanol com resultado negativo em todas as experiências, exceto para
reação 7. Porém o resultado é não significativo devido à solubilidade do óleo de mamona em metanol. Em todas
as reações houve formação de aglomerado insolúvel. Condições reacionais: catalisador (1% sobre massa do
óleo), tempo de reação mínimo de 8 horas. O teor de solvente, quando indicado, foi de 30% (v/m) sobre o total
do meio reacional;
b)
Temperatura acima do ponto de desnaturação da enzima escolhida propositalmente para verificar se a atividade
catalítica influenciava a formação de aglomerado insolúvel;
O aglomerado insolúvel formado apresentava consistência pastosa. Sua formação pode
ser explicada devido ao caráter hidrofílico da enzima, que interage com o glicerol. Problemas
semelhantes foram relatados na literatura.
166, 177
Nestes trabalhos, algumas enzimas foram
utilizadas na forma não imobilizada, havendo formação de material insolúvel. Além disso,
dificuldades de separação da enzima foram relatadas. Resultados semelhantes também foram
verificados com algumas enzimas imobilizadas devido à hidrofilicidade de alguns suportes
(sílica, por exemplo).
165
Kumar relatou que a enzima PPL é inativada em temperaturas acima de 50ºC. Isto
posto, pode-se concluir pelos resultados acima que a formação do material insolúvel não
111
depende da atividade catalítica da enzima, mas de alguma interação físico-química do glicerol
com os aminoácidos presentes na molécula da enzima.
Outros ensaios foram realizados, repetindo testes descritos pelo grupo de Kumar. O
álcool (CHDM), menos hidrofílico, e óleo de mamona foram reagidos, na temperatura de
32ºC, conforme Tabela XVII.
Tabela XVII
Resultados dos testes realizados com óleo de mamona, utilizando a enzima
PPL como catalisador.
Reação Álcool Relação
OH/ Éster
Solvente
(b)
Tempo de
reação
(horas)
Observação
1 CHDM 4,6 THF 72 Produto homogêneo
2 CHDM 2,4 THF 72 Produto homogêneo
3 TMP 2,4 THF
(a)
72 Formação de aglomerado
4 TMP 2,4 THF+Água 48 Produto homogêneo
5 TMP 2,4 THF+Água 72 Produto homogêneo
6 TMP 2,4 Hexano+Água 48 Produto homogêneo
7 TMP 2,4 Hexano+Água 72 Formação de aglomerado
a)
Não foi possível solubilizar o TMP;
b)
O teor de solvente, quando indicado, foi de 30% (v/m) sobre o total do meio reacional. A água utilizada
corresponde a 30% (m/m) da quantidade de TMP (utilizada para sua dissolução).
Como se pode observar, a menor hidrofilicidade do CHDM preveniu a formação de
aglomerado enzima-álcool confirmando o resultado de Kumar. Porém, mesmo sem reagir, a
mistura óleo de mamona e CHDM é totalmente solúvel em metanol.
Utilizando TMP, mais hidrofílico, encontrou-se o mesmo problema observado para o
glicerol. Porém a adição de água impediu a formação de aglomerado, provavelmente devido a
maior afinidade da água com a enzima. Quando se modificou o solvente do sistema para
hexano, houve formação de aglomerado novamente após 72 horas de reação (o processo
mostrou-se mais lento). O hexano, sendo mais hidrofóbico, contribui para uma maior
adsorção de TMP na superfície da enzima.
Os produtos de reação com TMP e CHDM foram então analisados pela técnica de
cromatografia líquida de alta eficiência (CLAE).
112
Na Figura 5.22, observa-se o cromatograma do óleo de mamona puro, com tempo de
retenção entre 34 e 40 minutos. Devido ao método de gradiente de solventes escolhido, as
frações menos polares são eluidas no final.
Figura 5.2 –
Cromatograma de CLAE do óleo de mamona.
Na Figura 5.3 observa-se a análise de CLAE do produto da reação com óleo de
mamona e CHDM. Estima-se que as frações e os tempos de retenção sejam: ácidos graxos
livres de mamona (0 a 10 minutos), MG e ésteres de CHDM (de 10 a 20 minutos) e DG (de
20 a 30 minutos).
TG
113
Figura 5.3
Cromatograma de CLAE da reação do óleo de mamona com CHDM, relação
OH/ éster 2,4, THF como solvente, temperatura 32°C e tempo 72 horas (reação 2 da Tabela
XVII).
Na Figura 5.4 é mostrado o cromatograma do produto da reação com óleo de mamona
e TMP. Observa-se um nítido aumento do teor de ácido graxo livre, em razão do maior teor de
água no sistema (utilizada para dissolução do TMP). Estimativa dos picos: 2 a 10 minutos:
ácidos graxos de mamona; 14 a 16 minutos: MG e ésteres de TMP; 28 a 34 minutos: DG.
Figura 5.4
Cromatograma de CLAE da reação do óleo de mamona com TMP, relação OH/
éster 2,4, THF e água como solventes, temperatura 32°C e tempo 48 horas (reação 4 da
Tabela XVII).
MG/ ÉSTERES DG TG
AGL
MG/ ÉSTERES DG TG AGL
114
Não foi possível quantificar de forma exata as frações devido à falta de padrões para o
óleo de mamona.
Pelo exposto acima, vê-se que a enzima PPL além de apresentar atividade frente aos
substratos testados por Kumar, é também ativa com o ao álcool TMP em condições especiais.
Entretanto, tais substratos limitam muito a gama de formulações possíveis para a síntese da
resina alquídica. Portanto, julgou-se importante a verificação com outras enzimas que fossem
capazes de catalisar a reação com os substratos alvo.
5.3 Glicerólise com Enzimas Amano
A glicerólise do óleo de soja via catálise enzimática foi estudada por Noureddini e
Harmeier.
63
Eles avaliaram a influência de diversas variáveis reacionais empregando enzimas
obtidas da multinacional japonesa Amano Enzyme Inc.
Utilizando como ponto de partida o trabalho de Noureddini e Harmeier, foram testadas
nesta dissertação 3 enzimas: A (Aspergilus niger), AY (Candida rugosa) e PS (Pseudomonas
cepacia). Os resultados estão demonstrados na Tabela XVIII.
Tabela XVIII –
Resultados comparativos
das Lipases PS, AY e A na reação do óleo de soja e
glicerol. Condições reacionais: temperatura 40ºC, 30% de água sobre glicerol, relação molar
glicerol/óleo de 2,4:1.
Lipases Concentração
(percentual em
massa sobre óleo)
Tempo de reação
(horas)
Conversão do óleo
(percentual molar
sobre quantidade
inicial)
PS 1 8 75-80
AY 1 92 >5
A 1 92 >5
AY 10 92 75-80
A 10 92 20-30
Apesar da alta atividade hidrolítica destas enzimas, somente com as lipases PS e AY
foram obtidos bons resultados. A lipase A mostrou baixíssima conversão do óleo, mesmo em
115
concentrações altas, enquanto que a lipase PS apresentou-se como a mais ativa no sistema
estudado.
Os resultados obtidos confirmaram os estudos de Noureddini. Em seu trabalho, os
comportamentos catalíticos diferentes de enzimas com atividade hidrolítica parecida foram
explicados pela definição de glicerólise. A glicerólise envolve a quebra da molécula de
glicerol, que não necessariamente seguirá o mecanismo de hidrólise, podendo responder de
forma diferente às variáveis do meio reacional. Isto se torna claro quando as respectivas
atividades das enzimas são comparadas (
Tabela XIX
).
Tabela XIX
Comparação de atividades das enzimas testadas.
160
Enzima Atividade glicerolítica
(GU/g)
a
Atividade hidrolítica
(U/g)
Lipase PS 1779,3 31100
Lipase AY 301,4 31700
Lipase A 176,3 128000
a)
GU corresponde à unidade de atividade glicerolítica (do inglês glycerolysis unit);
b)
U corresponde à unidade de atividade hidrolítica.
A International Commission on Enzymes (Comissão Internacional sobre Enzimas)
define como Unidade Internacional de Atividade Enzimática a quantidade que catalisa a
formação de 1 µmol de produto em 1 minuto.
160
No caso da atividade hidrolítica, o produto é
o ácido graxo livre. No caso da atividade glicerolítica, uma melhor definição é quantidade de
enzima necessária para consumir 1 µmol de substrato (glicerol e óleo) por minuto durante 1
hora.
Após os testes iniciais, o processo de alcóolise enzimática com a lipase PS foi
comparado com o processo alcalino. Os resultados foram inicialmente investigados através de
cromatografia em camada delgada (CCD), onde se observou uma similaridade (Figura 5.5).
116
Figura 5.5
Comparação processo de alcóolise alcalina e enzimático por cromatografia em
camada delgada. Em ambos os casos, relação glicerol/ óleo de soja=2,4:1; Processo Lipase
PS: 1% de enzima/ óleo, 96 horas de reação, temperatura 40ºC. Processo Alcalino: 1% de
octoato de lítio, 2 horas de reação, temperatura 40ºC. Eluentes hexano/acetato etila/ácido
acético na proporção 89/9/1. Revelação em vanilina/ácido sulfúrico.
Como se pode observar na análise de CCD, o aparecimento de manchas com Rf
inferiores ao do óleo em ambos os processos, devido à formação de MG e DG. Mesmo sendo
uma análise qualitativa, é possível inferir-se uma boa correlação dos produtos formados,
sendo o primeiro indício para a possibilidade de implementação do processo enzimático.
O processo enzimático começou então a ser explorado com a lipase PS, sendo que a
primeira variável analisada foi o teor de água adicionado ao sistema, que foi pouco explorado
por Noureddini. O resultado das principais experiências encontra-se na Figura 5.6.
Processo
Alcalino
Óleo de
soja puro
Produto
reação
Óleo de
soja puro
Produto
reação
TG
DG
MG
TG
DG
MG
GLICEROL
GLICEROL
117
0
10
20
30
40
50
60
Lipase PS (0%
de água)
Lipase PS
(3,5% água)
Lipase PS
(10% água)
Lipase PS
(20% água)
Lipase PS
(30% água)
Processo
alcalino
AGL MG DG TG
Figura 5.6
Resultados da análise de CLAE semi-quantitativa da alcoólise com óleo de soja
e glicerol (desconsiderado o glicerol não reagido). Alcóolise alcalina: 220ºC em 2 horas, 1%
de octoato de lítio sobre óleo (m/m). Alcóolise enzimática: 40ºC em 8 horas (mínimo), 1% de
lipase PS sobre óleo (m/m), teor de água indicado corresponde ao percentual em massa sobre
glicerol.
É nítido que o processo enzimático é mais eficiente com relação à conversão do óleo
(praticamente o dobro do óleo não reagido no processo alcalino), alcançando também alto teor
de MG. Porém, a influência do teor de água na conversão do óleo é pequena. Como era
esperado, a água favorece prioritariamente a formação de ácido graxo livre (AGL) em razão
do aumento da hidrólise no sistema (processo natural). O teor de DG aumenta inicialmente, e
alcança um patamar a partir de 10 % água, ficando praticamente inalterado. Em contrapartida
observa-se uma grande diminuição do teor de MG com o aumento da quantidade de água,
indicando que o aumento do teor de AGL provém predominantemente do consumo de MG.
Estes resultados são bastante coerentes com o trabalho de Kaewthong e
colaboradores,
161
que utilizaram a Lipase PS na glicerólise do óleo de palma. Porém, H-
Kittikutin,
193
testando a Lipase PS suportada, verificou que um teor de 10% de água sobre
glicerol otimizava a quantidade de MG, na reação com glicerol com óleo de palma numa
relação molar de 12:1, em um reator contínuo. Nesse caso, na medida em que se formava
AGL, a reação de transesterificação entre o ácido formado e o glicerol é favorecida pelo
grande excesso do álcool, gerando MG.
118
5.3.1 Otimização do processo com lipase PS
Após os testes iniciais apresentados acima se escolheu a lipase PS para realizar a
otimização do processo da alcoólise visando maior conversão do óleo de soja e aumento do
teor de MG.
Foi utilizada a metodologia de planejamento fatorial fracionário.
188
As variáveis foram
escolhidas através da experiência obtida com a análise exploratória anterior. Essa metodologia
foi escolhida por ser simples e requerer poucos ensaios. Os efeitos principais são misturados
com interações de terceira ordem, que são pouco prováveis.
Foram testadas 4 variáveis a dois níveis, resultando em um fatorial 2
4-1
. Todos os
ensaios foram realizados em duplicata, de forma aleatória, totalizando 16 experimentos.
Na Tabela XX estão descritos as variáveis e os níveis. O nível médio foi adotado em
apenas uma experiência para eventual análise posterior da superfície de resposta e do erro do
método.
Tabela XX
Variáveis e níveis utilizados no planejamento fatorial com Lipase PS no sistema
glicerol e óleo de soja.
Níveis Temperatura
(ºC)
Relação
Glicerol/ Óleo
Percentual
Enzima/ Óleo
Percentual
Água/ Glicerol
Alto (+)
50 5,0:1 10 50
Médio (0)
40 3,7:1 5 30
Baixo (-)
30 2,4:1 1 3,5
Estas variáveis já haviam sido testadas em sistema semelhante por Noureddini,
160
exceto o teor de água, que foi abordado de maneira mais superficial. Na
Tabela XXI
encontram-se os resultados, bem como a descrição de cada experiência.
119
Tabela XXI
Descrição das experiências e composição semi-quantitativa molar dos
produtos através de CLAE (para MG, DG e TG) e por índice de acidez (AGL).
Cód.
Temperatura Relação
Glicerol/óleo
%
Enzima/
Óleo
%
Água/
Glicerol
% de
AGL
% de
MG
% de
DG
% de
TG
P1 - - - - 18 8 44 31
P2 + - - + 51 17 20 12
P3 - + - + 33 19 30 18
P4 + + - - 19 20 38 22
P5 - - + + 56 16 18 11
P6 + - + - 26 20 34 20
P7 - + + - 16 33 33 18
P8 + + + + 61 16 15 8
Na Tabela XXII estão descritos os efeitos principais das variáveis estudadas.
Tabela XXII -
Efeitos principais e erros padrão das variáveis testadas.
Temperatura Relação
Glicerol/óleo
% Enzima/
Óleo
% Água/
Glicerol
Erro
padrão do
efeito
Ácido Graxo
Livre
9,0 -5,0 10,0 31,0 0,68
Monoacilglicerol
-0,8 6,8 5,3 -3,3 2,33
Diacilglicerol
-4,5 0,0 -8,0 -16,5 1,16
Triacilglicerol
-4,0 -2,0 -6,5 -10,5 1,08
120
O erro padrão do efeito foi calculado, conforme proposto por Barros,
188
como a raiz
quadrada da média das variâncias das medidas das duplicatas dividida por 4 (em razão das
quatro variáveis). Para haver relevância estatística, o módulo do efeito da variável analisada
deverá ser maior que o erro padrão medido. Além disso, o efeito positivo significa que o
aumento do teor do constituinte é diretamente proporcional ao aumento da variável analisada.
O efeito negativo significa que a diminuição do teor do constituinte é inversamente
proporcional à variável respectiva. Assim, quando se aumenta a variável “temperatura”, o teor
de “Ácido Graxo Livre” aumenta na ordem de 9,0 pontos (percentual molar sobre produtos,
excetuando-se glicerol), enquanto que os teores de “diacilgliceróis” e triacilgliceróis”
diminuem na ordem 4,5 e 4,0 pontos percentuais respectivamente. O teor de
“monoacilgliceróis” não é estatisticamente afetado por essa variável, pois o módulo do efeito
(0,8) é inferior ao erro padrão do efeito (2,33).
O aumento do teor de água no sistema leva a um aumento da hidrólise, favorecendo a
conversão do óleo e aumento do teor de ácido livre. É o efeito mais significativo. Interessante
observar que esta variável influencia negativamente nos teores de MG e TG, obviamente
também pelo favorecimento da hidrólise destes componentes, confirmando resultado anterior.
Porém, a diminuição do teor de DG pelo aumento do teor de água vai de encontro os
resultados apresentados anteriormente com testes de teor de água até 30%, indicando que a
hidrólise de DG somente é importante com altos teores de água.
também um aumento significativo da conversão de DG e TG a ácido e MG pelo
aumento do percentual de enzima.
Um aumento da temperatura favorece a conversão apenas para ácido. Resultado que
contradiz o trabalho feito por Noureddini.
160
Como esperado, o aumento da relação glicerol/ óleo influencia positivamente a
conversão para MG.
As interações estimadas
ii
de segunda ordem (não mostradas) mais significativas foram
as interações enzima / água. um efeito sinérgico que favorece a conversão para ácido livre
e prejudica a formação de MG. Isso pode ser explicado também pelo favorecimento da
atividade hidrolítica da enzima.
5.3.2 Reutilização
As lipases são catalisadores heterogêneos que permitem, depois de devida separação, a
sua reutilização. Porém, a ação de agentes químicos e a mudança de conformação em razão da
121
temperatura e do meio reacional limitam sua reutilização. De modo a verificar essa
característica, testes de reutilização da lipase PS foram realizados (Figura 5.7). O teor de água
utilizado foi de 50% (m/m) sobre glicerol para facilitar a visualização da atividade enzimática
pelo índice de acidez (ver seção experimental).
0
10
20
30
40
50
60
70
0 1 2 3 4 5 6 7 8 9
Tempo de Reação (horas)
Índice de Acidez (mg KOH/g)
Padrão R1 R2 R3
Figura 5.7
Gráfico da variação do índice de acidez versus tempo de reação da reutilização
da lipase Amano PS no sistema glicerol/óleo de soja, relação molar 2,4:1, teor de água de
50% (m/m de glicerol), temperatura de 40ºC. Padrão = enzima “nova”; R1,R2,R3=primeira,
segunda e terceira reutilização.
Como pode ser visto na Figura 5.7, uma queda significativa da atividade enzimática
hidrolítica da lipase PS foi observada na primeira reutilização. Porém uma estabilização
parece ocorrer nas reutilizações subseqüentes (R2 e R3).
A queda inicial da atividade na primeira reutilização pode ser explicada pelos fatores
já mencionados de desnaturação de enzimas, como temperatura, contaminantes, etc.
5.3.3 Efeito da Adição de Solvente
As enzimas são catalisadores que agem na interface polar/apolar do meio reacional.
Como foi visto anteriormente na Seção 3.3.10.2, o mecanismo catalítico proposto passa por
uma fase de ativação interfacial da enzima pelo meio apolar, através da movimentação da
tampa do sítio ativo e posterior formação do complexo enzima/substrato. Porém, a
ii
As interações de segunda ordem em um fatorial fracionário 2
4-1
estão sempre misturadas com interações
também de segunda ordem, o que dificulta sua análise, e somente servem como estimativa.
122
imiscibilidade do meio provoca baixa eficiência do processo, pois a zona de reação restringe-
se somente à interface. Além disso, para cada espécie polar formada (MG e AGL, por
exemplo), ocorre o deslocamento para a fase hidrofílica, o que acarreta impedimentos devido
a limitações de transferência de massa.
Tornar o meio miscível através de utilização de solventes adequados é uma das
maneiras mais usuais encontradas na literatura para melhorar a eficiência da reação.
50, 62,67,183-
185
Os solventes utilizados devem ser capazes de solubilizar tanto a fase lipofílica (óleo)
quanto a fase hidrofílica (glicerol). Além disso, o solvente não deve ter polaridade elevada,
pois pode ocorrer deslocamento da água essencial adsorvida na enzima, mudando sua
conformação, além de haver problemas na ativação interfacial e na formação do complexo
enzima/substrato. O parâmetro mais estudado para comparação da característica polar/apolar
dos solventes e sua eficiência em reações de transesterificação enzimáticas é o coeficiente de
partição.
Damstrup e colaboradores
67
estudaram a correlação do logaritmo do coeficiente de
partição (log P) de diversos solventes na obtenção de MG na glicerólise do óleo de girassol.
O coeficiente de partição foi medido em um sistema octanol/água (Tabela XXIII).
Tabela XXIII
Correlação do logaritmo do coeficiente de partição (log P) com o teor de MG
obtido na glicerólise do óleo de girassol catalisada com lipase Novozym 435.
(a)
Solvente Conteúdo de MAG no produto
(percentual em massa)
(b)
Log P
(c)
Sem solvente 0 -
n-Hexano 1 4,00
Acetonitrila 2 -0,34
Tolueno 3 2,73
2-Butanona 5 0,29
Acetona 11 -0,24
3-Pentanona 29 0,82
t-Pentanol 65 0,89
t-Butanol 84 0,35
(a)
Condições reacionais: relação glicerol/óleo 5:1, tempo de 1,5 h, temperatura de 50ºC, teor de solvente de 50
mL/ 10g de óleo, teor de enzima 30% (m/m) sobre óleo.
67
(b)
Não considerado glicerol não-reagido
(c)
Log P: logaritmo do coeficiente de partição do respectivo solvente na mistura 1-octanol/água.
123
Os melhores resultados foram obtidos com solventes que tinham o coeficiente do
logaritmo de partição entre 0,3 e 0,9. Com relação à função química, os solventes mais
eficientes são os álcoois terciários, principalmente o t-butanol. Na presente dissertação, o
efeito desse solvente no sistema em estudo foi testado para visualizar o efeito observado por
Damstrup com a enzima lipase PS (Figura 5.8).
0%
10%
20%
30%
40%
50%
60%
3,5% de água 3,5% água/ 90% t-butanol
% molar
AGL MG DG TG
Figura 5.8 -
Resultados da análise de CLAE semi-quantitativa da alcoólise com óleo de soja e
glicerol em presença de lipase PS em reação em batelada (desconsiderado o glicerol não
reagido), temperatura de 40ºC, tempo de reação de 8 horas.
Teores de água e t-butanol
contados sobre massa de glicerol.
Observando-se os resultados, confirmou-se o aumento do teor de MG, que passou de
40% para próximo de 55%. Além disso, obteve-se também maior conversão de TG. A
significativa diminuição do teor de DG e o fato de não haverem alterações significativas no
teor de AGL (reação de hidrólise), permitem concluir que o t-butanol aumenta a seletividade
na reação de glicerólise, permitindo, dessa forma, maiores teores de MG no produto final.
5.3.4 Testes com outros óleos e álcoois polifuncionais
Muitos óleos vegetais e álcoois polifuncionais podem ser utilizados na alcoólise de
resinas alquídicas.
No presente trabalho a atividade enzimática da enzima Amano PS foi testada também
nos óleos de mamona desidratada (DCO), mamona, coco e linhaça, e com o álcool
polifuncional TMP. Não foi possível empregar o pentaeritritol devido à impossibilidade de
124
solubilização do mesmo no meio reacional. Na Figura 5.9 estão apresentados os resultados
comparativos dos diversos óleos testados, levando-se em conta o índice de acidez.
0
2
4
6
8
10
12
14
0 1 2 3 4 5 6 7 8 9
Tempo de Reação (horas)
Índice de Acidez (mg KOH/g)
Soja Mamona Linhaça DCO Coco
Figura 5.9 –
Gráfico índice de acidez versus tempo de reação da reação de vários óleos com
glicerol, relação molar 2,4:1, temperatura de 40ºC, teor de água 3,5%.
Como pode ser observada, uma atividade hidrolítica similar foi obtida com todos os
óleos. Esta alta atividade foi confirmada pelo teste de CCD (Figura 4.12) exceto para o óleo
de mamona, onde não foi possível uma boa separação dos produtos com os solventes de
eluição utilizados, devido à maior polaridade desse óleo (fração de ácido ricinoleico,
hidroxilado).
Figura 5.10
Análise de cromatografia em camada delgada (CCD) da reação de diversos
óleos com glicerol na presença da lipase Amano PS. A esquerda de cada placa corresponde ao
C
C
o
o
c
c
o
o
D
D
C
C
O
O
L
L
i
i
n
n
h
h
a
a
ç
ç
a
a
M
M
a
a
m
m
o
o
n
n
a
a
S
S
o
o
j
j
a
a
125
cromatograma do óleo puro, a direita o produto da reação. Eluentes hexano/acetato etila/ácido
acético na proporção 89/9/1. Revelação em vanilina/ácido sulfúrico.
A reação com TMP (trimetilolpropano) somente foi possível pela dissolução do álcool
em água antes da reação. O teor de água utilizado foi de 69% (m/m sobre TMP), o que
ocasionou grande formação de ácidos graxos livres, retratado pelo alto índice de acidez
alcançado (79,4 mg KOH/g). O produto foi analisado por CLAE (Figura 5.11), observando-se
o aparecimento de picos característicos de monoacilgliceróis (entre 10 e 15 minutos) e
diacilgliceróis (entre 20 e 25 minutos). A conversão de óleo foi calculada através de curva de
calibração, chegando a 85%, valor similar ao obtido com glicerol.
Figura 5.11
Cromatograma de CLAE da reação de TMP e óleo de soja, relação molar 2,4:1,
temperatura de 40ºC, por oito horas. Teor de água de 69% sobre TMP, padrão interno
linoleato de metila.
Os resultados acima demonstram que é possível utilizar a catálise enzimática com a
lipase PS na fase de alcóolise de resinas alquídicas, sendo observado que a enzima apresenta
atividade frente aos principais óleos e com relação ao glicerol e TMP. Problemas foram
encontrados com pentaeritritol, devido à sua baixa solubilidade.
Porém, a lipase PS sendo uma enzima não-imobilizada, poderia apresentar
dificuldades futuras de adequação a uma escala de produção, devido a problemas de
estabilidade e manuseio. A enzima comercial imobilizada Novozym 435 foi, então, escolhida
para testes. Os resultados são apresentados a seguir.
5.4 Glicerólise com Novozym 435
A enzima Novozym 435 é uma lipase de Candida antarctica imobilizada em uma
resina acrílica macroporosa muito utilizada em vários trabalhos apresentados na literatura (ver
Seção 3.3.10.3.2– Produção de Monoacilgliceróis e Diacilgliceróis).
MG DG
Padrão
Interno
TG
AGL
126
Ela foi inicialmente testada no mesmo protocolo reacional que a Lipase PS, em
processo batelada, com 1% de enzima sobre óleo, temperatura de 40ºC, tempo de 24 horas,
relação molar glicerol/ óleo de soja de 2,4/1, com 3,5% de água sobre glicerol. O resultado foi
uma conversão muito baixa de óleo (45%), muito menor que o processo com Lipase PS (80%)
e o próprio processo alcalino (68%).
Porém, como foi visto, a utilização de solventes adequados pode aumentar a
conversão do óleo. Desta forma, t-butanol foi utilizado como solvente sendo comparado com
os resultados obtidos com a alcoólise alcalina e enzimática, com a lipase PS e com a própria
lipase Novozym 435 sem solvente (Figura 5.12).
0
10
20
30
40
50
60
Processo Alcalino Lipase PS (sem
solvente)
Novozym 435 (sem
solvente)
Lipase PS (com
terc-butanol)
Novozym 435 (com
terc-butanol)
% molar
AGL MG DG TG
Figura 5.12
– Resultados da análise de CLAE semi-quantitativa da alcoólise com óleo de soja
e glicerol (desconsiderado o glicerol não reagido) das experiências realizadas por processo
enzimático (temperatura de 40ºC, tempo de reação até equilíbrio) com Lipase PS, Novozym
435 e processo alcalino (temperatura de 220ºC, tempo de reação de 2 horas). Relação
glicerol/óleo = 2,4, teor de água de 3,5% sobre glicerol, teor de catalisador de 1% sobre óleo.
Como pode-se observar pelos resultados mostrados na Figura 5.12, a enzima
Novozym 435 alcança sua melhor efetividade somente com a adição de t-butanol. Na reação
sem adição de solvente, o teor de MG obtido é ainda menor que no processo alcalino, e a
conversão do óleo não ultrapassa 50%. Porém, quando se compara a reação em meio solvente,
127
observa-se que um teor de MG semelhante ao processo similar com lipase PS, porém com
maior conversão do óleo, obtendo-se uma quantidade de DG mais alta.
A adição de t-butanol melhorou significativamente a conversão do óleo com ambas as
enzimas, tendo seu efeito mais pronunciado na enzima Novozym 435. Esse fato é curioso,
uma vez que se esperaria que uma enzima suportada tivesse menos influência do ambiente
químico, em razão da maior rigidez da estrutura. De qualquer forma, observa-se
comportamento muito similar das duas enzimas.
Contudo, a vantagem da lipase Novozym 435 é que, sendo suportada, a enzima pode
ser utilizada nos mais diversos reatores sem comprometimento de sua estrutura. Na literatura,
o reator mais empregado é do tipo contínuo de leito fixo. A seguir são apresentados os
resultados obtidos utilizando este tipo de reator.
5.4.1 Processo contínuo
O processo contínuo montado para a realização da reação com a lipase Novozym 435
foi baseado no trabalho de Damstrup e colaboradores,
177
onde foi utilizado um reator de leito
fixo, o qual preenchido com a enzima (Figura 5.13).
Processos de reação contínua, como o proposto no presente trabalho, requerem que o
sistema seja homogêneo, de forma a prevenir eventuais obstáculos à passagem do meio, como
evolução de viscosidade e mesmo entupimentos devido a mudanças de solubilidade oriundas
de microambientes formados dentro do reator, bem como diferenças de temperatura. Além
disso, inúmeros trabalhos na literatura fazem uso de solventes para garantir a completa
solubilidade em sistemas contínuos, que ajudam também a melhorar a seletividade da
enzima.
177
Neste trabalho utilizamos o solvente t-butanol (Seção 5.3.3).
128
Figura 5.13 –
Reator contínuo de leito fixo utilizado no trabalho sendo alimentado pela parte
inferior. A direita o detalhe dos espaços vazios formados.
O grupo de Damstrup definiu o parâmetro tempo de reação como sendo:
ρν
τ
×
=
0
W
(21)
Onde
τ
= tempo de reação (min), W = massa da enzima (g),
0
ν
= vazão (mL/min),
ρ
=
densidade aparente da enzima
.
O tempo otimizado utilizado no trabalho de Damstrup foi
de 20 minutos, que foi utilizado nesta dissertação.
Uma variável importante do processo contínuo em reator de leito fixo é a direção de
alimentação do sistema. Como a enzima não está imóvel no reator, a alimentação pela base
(parte inferior) pode criar espaços vazios que diminuem a eficiência do sistema (Figura 5.14).
129
0
10
20
30
40
50
60
70
Processo batelada Processo contínuo (alimentação
parte inferior)
Processo contínuo (alimentação
parte superior)
% molar
AGL MG DG TG
Figura 5.14 -
Resultados da análise de CLAE semi-quantitativa da alcoólise com óleo de soja
e glicerol em presença de lipase Novozym 435 e t-butanol, em processo batelada e contínuo
(desconsiderado o glicerol não reagido), temperatura de 40ºC, tempo de reação de 20 minutos
(conforme definição de Damstrup para o processo contínuo) e tempo de 8 horas para o
processo batelada.
Quando comparados, percebe-se que um ganho de seletividade para MG no
processo contínuo em relação ao processo em batelada, porém a diferença é pequena. A
conversão de TG, entretanto, é maior no processo em batelada.
De qualquer forma, o processo com Novozym 435 mostrou-se mais eficiente,
conforme também concluído com a lipase PS, do que o processo alcalino. Como esperado,
além da maior conversão do óleo e maior teor de MG, menor desenvolvimento de cor foi
observado, em razão da baixa temperatura de processo (Figura 5.15).
130
Figura 5.15
Comparação visual dos processos de alcóolise enzimática (com lipase
Novozym 435 em processo contínuo a 40ºC) e alcalina (com octoato de lítio a 220ºC).
Com base nos resultados obtidos, foram escolhidos para comparação na síntese da
resina alquídica os processos com lipase PS em batelada e Novozym 435 em reator de leito
fixo. Os resultados são apresentados a seguir.
Alcóolise
Enzimática
Alcóolise
Alcalina
131
5.5 ntese da resina alquídica
A resina escolhida tem a composição sica conforme mostrado na Tabela XXIV,
sendo muito utilizada para formulação de tintas poliuretânicas (quando reticulada com
poliisocianato) para acabamento de madeira e metal. Na Tabela XXV são apresentados os
parâmetros teóricos dessa formulação de resina.
Tabela XXIV
– Composição da resina escolhida para teste. O teor de não-voláteis final é de
51%, ajustado com solvente (xileno).
Processo
Reagente Percentual em massa
(a)
Glicerol 8
Alcóolise
Óleo de soja 31
Anidrido Ftálico 33
Outros ácidos e álcoois 29
Policondensação
Xileno 4
a)
Percentual em massa da resina não diluída. Diluição feita com solvente xileno ao final da síntese.
Tabela XXV
– Parâmetros teóricos calculados para a resina alquídica utilizada no trabalho.
Parâmetros Especificação
Teor de sólidos 48,0 – 52,0%
Viscosidade Gardner X – Z
Cor Gardner
8
Índice de acidez (mgKOH/g)
15
Massa molar numérica teórica (Mn, em
g/mol)
3.332
Teor de hidroxila livre (m/m sobre sólidos) 3,13%
132
Os resultados da resina obtida pela alcóolise alcalina (AA) e alcóolise enzimática com
lipase PS (AP) e Novozym 435 (AN) são apresentados na Tabela XXVI. Além disso, uma
resina sintetizada pelo processo ácido graxo (AG) foi preparada para comparação, onde foram
mantidos os parâmetros de formulação.
Tabela XXVI
Resultados dos ensaios realizados nas resinas alquídicas sintetizadas
(a)
.
Característica/ Teste Resina AA
Resina
AG
(d)
Resina AP3 Resina AP
50
Resina AN
Processo Alcóolise Batelada - Batelada Batelada Contínuo
Catalisador de
alcóolise
(f)
Octoato de
lítio
- Lipase PS Lipase PS Lipase
Novozym 435
% de água na
alcóolise
(e)
0 - 3,5 50 0
Tempo de processo
alcóolise (h)
1 - 8 8 12
(c)
Tempo de processo
policondensação (h)
10 12 4 8 5
Valor de P
gel
(b)
1,020 1,020 1,020 1,005 1,005
Viscosidade
Brookfield (20°C)
1404 2365 1390 1700 1440
Índice de acidez
(mgKOH/g)
5,9 3,5 9,5 10,4 11,1
Cor 4-5 7-8 5-6 5-6 6-7
Massa molar (Mn) 3427 3468 3339 5960 3623
Polidispersão
(Mw/Mn)
34,0 36,0 55,9 44,7 45,0
(a)
Resultados da experiência Resina AP0 (0% de água) não mostrados pois houve gelificação em 3 horas na
reação de policondensação;
(b)
Houve variação do valor de P
gel
em razão de variações na pesagem dos componentes;
(c)
Processo contínuo. Tempo para obtenção da mesma quantidade de produto que a alcóolise em processo em
batelada, considerando vazão de 0,7 mL/ min.(
τ
= 20 min.). Não foi contado aqui o tempo para destilação do
solvente;
(d)
Resina sintetizada utilizando ácido graxo de soja (Processo Ácido Graxo);
(e)
Quantidade calculada em massa sobre glicerol;
(f)
Quantidade de catalisador: 1% em massa sobre óleo, exceto com Novozym 435 (processo contínuo).
133
Como pode ser visto, em todas as Resinas AP e AN (alcóolise enzimática) houve uma
maior reatividade na policondensação, evidenciada pelo menor tempo de reação. A maior
funcionalidade média do produto de alcóolise (maior conversão de TG) deve ser a principal
causa. (Figura 5.16).
0
10
20
30
40
50
60
70
Produto AA Produto AP0 Produto AP3 Produto AP50 Produto AN
% molar
AGL MG DG TG
Figura 5.16 –
Resultados semi-quantitativos das análises de CLAE dos produtos de alcóolise
utilizados para síntese das resinas (desconsiderada fração de glicerol).
A gelificação da Resina AP0 (com 0% de água) provavelmente ocorreu em razão do
baixo teor de ácido graxo aliado ao alto teor de monoacilgliceróis presentes no produto da
alcóolise (evidenciado anteriormente na seção 4.6), além do valor de P
gel
ter ficado
ligeiramente inferior (1,003).
Não houve diferenças significativas entre os tempos totais de processo das resinas AA,
AG e AP3. A resina AG, apesar de não necessitar da fase da alcóolise, teve um tempo de
policondensação longo. Isso ocorre pois a reatividade do ácido graxo é baixa. na resina
AP50 o maior tempo de alcoólise foi compensado pela maior reatividade na policondensação
e, conseqüentemente, menor tempo. Na resina AP50, o alto teor de ácido graxo diminuiu a
reatividade, aumentando o tempo de reação na fase da policondensação.
134
O processo contínuo utilizado na síntese do produto da alcóolise da resina AN levou a
um tempo total de processo mais longo (17 horas sem contar o tempo de destilação do
solvente). Porém, esse processo pode ser otimizado através de utilização de reatores maiores,
onde o fluxo poderia ser aumentado. Por exemplo, no presente trabalho, utilizou-se um reator
com 15 cm de comprimento, o que acarretou em um fluxo de 0,7 mL/min para um tempo de
reação de 20 min. Se o reator fosse de 45 cm, poderíamos utilizar um fluxo de 2,1 mL/min, o
que acarretaria um tempo de 3 h para a alcóolise, de forma a obter o mesmo volume anterior.
As diferentes funcionalidades médias do produto da alcóolise levaram a polidispersões
diversas da resina final, como pode ser visto nos resultados da análise de GPC.
A quantificação da massa molar por GPC para resinas alquídicas é relativa, uma vez
que a coluna é calibrada com padrões de poliestireno. O polímero alquídico, em razão de sua
característica ramificada, é mais compacto que o poliestireno (linear), para uma mesma massa
molar, variando muito o volume hidrodinâmico.
189
Porém, algumas inferências podem ser
feitas com erros aceitáveis.
A maior polidispersão obtida para as resinas AP3, AP50 e AN, causada principalmente
pela maior funcionalidade presente, pode ser notada com mais detalhes no cromatograma de
GPC da resina (Figura 5.17). Observa-se uma a fração de alta massa molar formada, a qual
influenciará na secagem final da tinta.
Figura 5.17 –
Cromatograma de GPC da Resina AP (3,5% de água).
F
F
r
r
a
a
ç
ç
ã
ã
o
o
d
d
e
e
a
a
l
l
t
t
a
a
m
m
a
a
s
s
s
s
a
a
m
m
o
o
l
l
a
a
r
r
135
Polidispersões altas estão de acordo com o descrito na literatura. Segundo
Canevarolo
186
polímeros de condensação atingem valores maiores que 2 e ramificados de 10 a
50.
Os resultados de massa molar obtidos foram superiores aos resultados encontrados por
Kumar.
108
Obviamente pode haver diferenças de formulação, e como não outros
parâmetros para comparação, como viscosidade, é impossível chegar-se a qualquer conclusão.
Porém chama a atenção que as polidispersões obtidas por Kumar são próximas a 1, o que é
muito diferente dos obtidos neste trabalho, e do esperado para um polímero alquídico.
Outro fato interessante é que não houve diferença de cor significativa entre as resinas.
Resultado surpreendente, que resultados iniciais tinham demonstrado que menor
desenvolvimento de cor era obtido no processo da alcoólise enzimático, devido às menores
temperaturas utilizadas e menores tempos de processo. Variações no fluxo de nitrogênio, bem
como amarelamento durante a estocagem do produto da alcóolise enzimática podem explicar
tal fato.
Análise de espectroscopia por infravermelho foi realizada, sem diferenças
significativas entre as resinas sintetizadas.
5.6 Resultados em Esmalte Poliuretânico Branco
Um esmalte poliuretânico branco foi feito com as resinas obtidas, de forma a verificar
as propriedades finais em tinta. A formulação básica é apresentada na Tabela XXVII.
136
Tabela XXVII –
Formulação do Esmalte Poliuretano Branco.
Componente Função Quantidades (massa)
Resina Alquídica Formador de filme 50
Dióxido de titânio Pigmento (cor e cobertura) 20
Tensoativos Agentes de dispersão e
nivelantes
1
Xileno Solvente 29
Poliisocianato alifático
(a)
Reticulante 15
(a)
O reticulante poliisocianato somente é adicionado logo antes da aplicação do esmalte.
Esta formulação é bastante utilizada para acabamentos de máquinas na indústria.
Inicialmente, foi feito teste de gel time para verificação da reatividade frente ao
poliisocianato. Os resultados encontram-se na Figura 5.18.
0
1
2
3
4
5
6
7
8
9
Resina AA Resina AG Resina AP3 Resina AP50 Resina AN
Gel Time (horas)
Figura 5.18 –
Tempos de gel dos esmaltes poliuretânicos brancos feitos com as resinas
sintetizadas indicadas.
Como pode ser observado, devido ao processo enzimático, os tempos de gelificação
das tintas feitas com as resinas AP3, AP50 e AN foram menores, demonstrando uma maior
reatividade, que provavelmente se deve a dois fatos:
- Menor teor de óleo livre: a resina obtida através de alcóolise alcalina possui um
maior teor de óleo livre, que age como plastificante, inerte à reação com o poliisocianato;
137
- Maior fração de moléculas de alta massa molecular nas resinas sintetizadas através
de alcoólise enzimática, evidenciado pela análise de GPC.
A evolução de dureza König dos esmaltes foi determinada após aplicação em uma
superfície plana de vidro. Os resultados são apresentados na Figura 5.19.
0
20
40
60
80
100
120
0 100 200 300 400 500 600 700 800
Tempo após aplicação (horas)
Dureza König (número de oscilações)
Resina AA Resina AG Resina AN Resina AP3 Resina AP50
Figura 5.19 –
Evolução de dureza dos filmes formados pelas tintas produzidas com as resinas
sintetizadas indicadas.
Apesar do teor de óleo livre no produto de alcóolise alcalina, percebe-se que a dureza
da resina final é similar à resina feita com a alcóolise enzimática com lipase PS (Resinas AP3
e AP50). Esse fato é um indicativo que incorporação de óleo na fase de policondensação
quando se parte do produto de alcóolise alcalina, devido à presença do catalisador da alcóolise
ainda no meio (octoato de lítio). Uma melhoria que poderia ser feita no processo das resinas
AP3 e AP50 (e mesmo na resina AN), poderia ser a adição do catalisador de alcóolise na fase
da policondensação, o que diminuiria ainda mais a quantidade de óleo livre.
O conteúdo de óleo livre dos produtos de alcóolise das resinas AP e AN são similares,
porém alcançou-se uma dureza mais baixa no processo enzimático AP3, indicando que podem
haver frações plastificantes no polímero devido ao maior teor de DG no produto de alcóolise.
Sendo terminador de cadeia, o DG levará a massas molares mais baixas.
A dureza inicial mais baixa da resina AN pode ser atribuída a resíduos de t-butanol na
resina, que plastificam o filme e retardam a reação com poliisocianato no início do tempo de
secagem, evaporando após certo período.
138
O desempenho das tintas sobre aço carbono lixado foi avaliado. Os principais testes de
especificação de tinta foram realizados, sem diferença significativa entre eles (Tabela
XXVIII).
Tabela XXVIII –
Resultados de testes físicos feitos com os esmaltes poliuretânicos aplicados
sobre painéis de aço carbono lixados. Testes realizados após 7 dias de secagem.
Resina AA Resina AG Resina AP3 Resina
AP50
Resina AN
Aderência GR0 GR0 GR0 GR0 GR0
Flexibilidade OK OK OK OK OK
Impacto direto
(30lb-in)
OK OK OK OK OK
Impacto reverso
(5lb-in)
OK OK OK OK OK
Brilho (60º) 97 95 96 94 95
Outro fator importante no desempenho final de tintas para indústria é a resistência à
hidrólise. É esperado que um recobrimento possa permanecer com suas características
inalteradas, como brilho, por exemplo, após exposição à chuva ou ambientes úmidos.
As resinas alquídicas sabidamente apresentam pouca resistência à hidrólise, pois suas
ligações éster são facilmente hidrolisáveis. Além disso, óleos não reagidos na composição
também comprometem o desempenho final.
Um dos testes mais usuais para verificar da resistência à hidrólise de tintas é realizar a
imersão de um painel pintado com a tinta a ser testada, devidamente seca por um período pré-
estipulado. O resultado pode ser expresso de diversas formas, como aparecimento de bolhas
(empolamento), perda de cor e brilho, amolecimento do filme, entre outros.
Os esmaltes poliuretânicos produzidos foram então testados em imersão em água, após
7 dias de secagem a temperatura ambiente, permanecendo imersos por 300 horas (Figura
5.20) .
139
0%
10%
20%
30%
40%
50%
60%
70%
80%
90%
100%
Resina AA Resina AG Resina AP3 Resina AP50 Resina AN
Retenção de brilho (60º)
Figura 5.20
Resultados de retenção de brilho (inicial/final) de filmes de tinta aplicados
sobre aço carbono lixado submetidos à imersão em água por 300 horas.
Os resultados de retenção de brilho mostraram, conforme se verifica na Figura 5.20,
um ótimo desempenho da Resina AN (quase 90% de retenção de brilho), enquanto que as
demais resinas obtiveram resultados inferiores (cerca de 60% de retenção). Outras avaliações
dos filmes foram feitas e não se encontrou diferenças significativas (dureza, cor, etc.).
O desempenho da Resina AN (alcóolise com Novozym 435) foi surpreendente para
uma resina alquídica a base de óleo de soja e glicerol. Desempenhos semelhantes somente são
obtidos com álcoois e óleos mais “nobres”, como pentaeritritol e óleo de DCO, por exemplo.
A maior resistência à hidrólise da resina final pode ser atribuída ao maior teor de MG
do produto de alcóolise, uma vez que a cadeia do polímero cresce a partir dessa matriz”,
formando um polímero com arquitetura diferenciada, com teores mais baixos de beta-hidroxi
ésteres na estrutura, mais suscetíveis à hidrólise.
141,190
Este resultado mostra que a catálise enzimática pode trazer novos conceitos à
formulação das resinas alquídicas. Matérias-primas consideradas de segunda opção podem
voltar à agenda dos formuladores, além de abrir espaço para fontes renováveis em processos
sustentáveis, buscando a eco-eficiência.
140
6 CONCLUSÕES
O presente trabalho demonstrou que a catálise enzimática pode substituir tecnicamente
a alcóolise alcalina do óleo de soja e glicerol na síntese de resinas alquídicas.
Os melhores resultados foram obtidos com as enzimas PS e Novozym 435. Dois
processos diferentes foram demonstrados.
No primeiro, a mistura heterogênea glicerol e óleo foi aquecida a 40 ºC e misturada
com Lipase PS, resultando em uma conversão do óleo maior que o processo alcalino em 8
horas de reação, inclusive com maior geração de monoacilgliceróis (MG). O processo foi
melhorado através de adição de solvente, no caso t-butanol, que garantiu a miscibilidade do
sistema e, conseqüentemente, melhorou a conversão do óleo, direcionando a formação de
MG. A adição de t-butanol também possibilitou o uso da enzima Novozym 435 em processo
batelada obtendo-se altos teores de MG. O resultado sem solvente com esta lipase ficou
abaixo do esperado.
A adição de água no meio reacional mostrou-se diretamente proporcional à formação
de ácido graxo livre, devido ao processo natural de hidrólise, porém tendo pouco efeito sobre
a conversão total do óleo.
O processo em batelada com lipase PS foi ainda utilizado com outros óleos e álcoois,
mostrando-se adequado para os óleos de mamona, coco e linhaça, e para o álcool
polifuncional trimetilolpropano (TMP). Não foi possível realizar a reação com pentaeritritol,
em razão de sua baixa solubilidade.
No processo em batelada não foram obtidos resultados satisfatórios com a lipase PPL
no sistema com glicerol e óleo de soja, em razão da formação de material insolúvel na reação
de transesterificação, mesmo com mudança da solubilidade e polaridade do meio. Resultados
significativos com esta enzima somente foram obtidos utilizando-se polióis menos
hidrofílicos (TMP e CHDM) e óleo de mamona, mas estes não foram utilizados para síntese
da resina. As enzimas A e AY não apresentaram atividade significativa no sistema alvo,
mesmo em combinação com a enzima PS, e também não foram utilizadas para estudo
posterior. Nenhuma dessas enzimas foi testada em processo contínuo.
O processo contínuo foi estudado somente com a lipase Novozym 435 (enzima
imobilizada), utilizando reator contínuo de leito fixo. Neste caso, o solvente t-butanol foi
utilizado em todos os testes. A melhor homogeneidade do sistema, menor viscosidade e alta
razão enzima/ substrato garantiram uma conversão quase total do óleo e um alto teor de MG.
A desvantagem é que além da filtração, a separação do solvente por destilação foi necessária.
141
Em termos práticos, esta separação poderia ser realizada antes da etapa de policondensação. O
solvente então poderia ser reaproveitado no início do processo. Apenas uma adaptação dos
reatores atuais deveria ser feita, pois atualmente já é realizada a separação de água da
policondensação por destilação.
Em ambos os processos (contínuo e batelada), a conversão do óleo foi maior que no
processo alcalino, e os teores de MG foram também superiores.
Em termos de produtividade, foram obtidos valores muito parecidos com o processo
alcalino, utilizando reator de batelada com a enzima PS. O resultado de produtividade também
foi similar ao processo utilizando ácido graxo (sem alcóolise). Num eventual aumento de
escala, é possível prever que não haveria problemas de produtividade nesse tipo de processo.
0,0
10,0
20,0
30,0
40,0
50,0
60,0
70,0
80,0
90,0
100,0
Resina AA Resina AG Resina AP3 Resina AP50 Resina AN
Quantidade de resina produzida por hora (mL)
Figura 6.1
Comparativo de produtividade das resinas sintetizadas. AA=alcóolise alcalina;
AG=processo ácido graxo; AP3 e AP50= alcóolise com lipase Amano PS em batelada, com
3,5% e 50% de água adicionada em massa sobre glicerol respectivamente, sem considerar
tempo de filtragem; AN=alcóolise com lipase Novozym 435 em processo contínuo, sem
considerar tempo de destilação.
Portanto, o processo mais viável para implantação industrial hoje seria o processo
batelada, onde teríamos a mesma produtividade atual (Figura 6.1), mesmo em um eventual
scale up, porém com ganhos substanciais em termos de energia consumida.
Comparando-se os processos das resinas AA (Alcóolise Alcalina) e AP3 (Alcóolise
Enzimática com lipase PS) em termos de tempos totais, temperaturas, agitação, filtração, etc.,
142
obteve-se uma redução de 62% no consumo total de energia no processo enzimático (Figura
6.2).
0,00
2,00
4,00
6,00
8,00
Processo Alcalino Processo Enzimático
Energia Total Consumida (MJ)
Figura 6.2
Comparação da energia consumida nos processos alcalino e enzimático de
síntese de resinas alquídicas. Considerou-se a produção de 5 toneladas de resina tendo como
parâmetro a produção atual real de uma indústria.
Um esmalte poliuretânico branco foi produzido com a resina sintetizada. As
propriedades físicas, como aderência, flexibilidade e impacto mantiveram-se iguais ao padrão
. Melhores resultados foram obtidos com relação à resistência à hidrólise.
A resina feita com o produto de alcóolise com Novozym 435 e processo contínuo teve
um ótimo resultado na resistência à hidrólise, evidenciado no teste de imersão em água de um
filme seco produzido pela aplicação em chapa de ferro do esmalte poliuretânico. Maior
retenção de brilho foi obtida nesse caso. O bom resultado foi explicado pelo alto teor de MG
obtido no produto de alcóolise, além da alta conversão do óleo.
Os resultados obtidos com este trabalho demonstram o grande potencial que esta nova
tecnologia possui. Novos materiais podem ser propostos e uma grande gama de novas
propriedades pode ser alcançada. Porém uma nova forma de pensar no design de polímeros
deve permear o meio acadêmico e industrial. Por isso, novas pesquisas são necessárias no
sentido de verificar todas as possibilidades de formulação das resinas, explorando cada vez
mais essas novas possibilidades.
143
Referências Bibliográficas
1.
Wicks, Z. W.; Jones, F. N.; Pappas, S. P.; Organic Coatings
;
John Wiley: Hoboken,
2007.
2.
Abrafati; Tintas Imobiliárias de Qualidade; Blucher: São Paulo,
2008
.
3.
Abrafati; Números do Setor de Tintas no Brasil; Disponível em:
http://www.abrafati.com.br; Acesso em 29 de Novembro de
2008
.
4.
Revista Abrafati, CLA: São Paulo,
2008,
77.
5.
Abrafati; Express Abrafati 59
;
Disponível em http://www.abrafati.com.br; Acesso em 17
de Maio de 2008.
6.
Mills, P.; PCI Magazine;
2008
, 24, 91.
7.
Hare, C.; Protective
Coatings; Technology Publishing Company: Pittisburg,
1994
.
8.
Fazenda, R. (Coord.); Tintas e Vernizes; Abrafati: São Paulo,
2005
.
9.
Patton, T. C.; Alkyd Resin Technology; Interscience: New York,
1962
.
10.
Oldring, P. H. G. (Ed.); Resins for Surface Coatings; Sita Tecnology: London,
1993
.
11.
Fulmer, R.; J. Am. Oil Chem. Soc.;
1985
, 62, 926.
12.
Misiorowski, R. L.; Biochem.;
1974
, 13, 4921
.
13.
Tsujisaka, Y., Okumura, S., Iwai, M., Biochim. Biphys. Acta,
1977
, p 489.
14.
Jones, J.; Mehes, M.; Canadian Journal of Chemistry-Revue Canadienne de Chimie;
1979
, 57, 2245.
15.
Macrae, A. R., J. Am. Oil Chem. Soc.;
1983
, 60, 291.
16.
Kazandjian, R. Z.; Dordick, J. S., Klibanov, A. M.; Biotech. Bioeng.;
1986
, 28, 417.
17.
Klibanov, A. M., Chemtech,
1986
, vol. 6.
18.
Hanhan, D. J.; J. Biol. Chem.;
1952
, 195, 199.
19.
Frost, J. W.; Ind. Biotech. ;
2005
, 1, 23.
20.
Borzani, W.; Schmidell, W.; Lima U. A.; Aquarone, E.; Biotecnologia Industrial;
Blücher: São Paulo,
2001
,
vol.
1.
21.
Kirk, O.; Borchert, T. V.; Fuglsang, C. C.; Curr. Opin. Biot.;
2002
, 13, 345
.
22.
Hayes, D.; J. Am. Oil Chem. Soc.;
2004
, 81, 1077.
23.
Gandhi; N.; J. Am. Oil Chem. Soc.;
1997
, 74, 621.
24.
McNeill, G.P., Enzymic Processes, in: Lipid Synthesis and Manufacture, CRC: New
York,
1999
, p 288.
25.
Metzger, J. & Bornscheuer, U.; Appl. Microbiol. Biot.;
2006
, 71, 13.
26.
Novozymes; Biotimes;
2006
, 4, 8; .Disponível em http://www.biotimes.com; acesso em
15 de junho de
2008
.
27.
Novozymes; Biotimes;
2007
, 1, 4. Disponível em http://www.biotimes.com; acesso em 15
de junho de
2008
.
144
28.
Secundo, F.; Carrea, G.; Tarabiono, C.; Gatti-Lafranconi, P.; Brocca, S.; Lotti, M.; Jaeger,
K.; Puls, M. & Eggert, T.; Proceedings of the 7th. International Symposium on
Biocatalysis and Biotransformations;
2006
, 39, 166.
29.
Xu, X.; Balchen, S.; Jonsson, G. & Adler-Nissen, J.; J. Am. Oil Chem. Soc.;
2000
, 77,
1035.
30.
Xu, X.; Balchen, S.; ¸ C.; Adler-Nissen, J.;
J. Am. Oil Chem. Soc.;
1998,
75, 301.
31.
Berger, M.; Schneider, M. P.; Biotechnol. Lett.;
1991
, 13, 333.
32.
Hayes, D. G.; J. Am. Oil Chem. Soc.;
1996
, 73, 543.
33.
Berglund, P.; Biomol. Eng.;
2001,
18, 13.
34.
Theil, F.; Tetrahedron;
2000
, 56, 2905.
35.
Al-Zuhair, S.; Ling, F. W.; Jun, L. S.; Process Biochem. ;
2007
, 42, 951.
36.
Al-Zuhair, S.; Ramachandran, K.; Hasan, M.; Chem. Eng. J.;
2008
, 139, 540.
37.
Costa, V. E. U.; Amorin, H. L. N.; Quím. Nova;
1999
, 22, 863.
38.
Freire, D. M. G.; Castilho, L. R.; Lipases em Biocatálise. In: Enzimas em Biotecnologia:
Produção, Aplicações e Mercado; Interciência: Rio de Janeiro,
2008,
p
369.
39.
Suarez, P. A. Z.; Meneghetti S. M. P., Meneghetti M. R.; WOLF, C. R.; Quim. Nova;
2007
, 30, 667.
40.
Malcata, F. X.; Reyes, H. R.; Garcia, H. S.; Hill, C. G.; Amundson, C. H.; J. Am. Oil
Chem. Soc.;
1990
, 67, 890.
41.
Balcao, V. M.; Kemppinen, A.; Malcata, F. X.; Kalo, P. J.;
Enzyme Microb. Tech.;
1998
, 23, 118.
42.
Balcao, V. M.; Malcata, F. X.; Enzyme Microb. Tech.;
1998
, 22, 511.
43.
Balcao, V. M.; Malcata, F. X.; Biotechnol. Adv.;
1998
, 16, 309.
44.
Facioli, N. L. & Goncalves, L. A. G.; Quim. Nova;
1998,
21, 16.
45.
Carvalho, P. D.; Campos, P. R. B.; Noffs, M. D.; de Oliveira, J. G.; Shimizu, M. T.; da
Silva, D. M.; Quim. Nova;
2003,
26, 75.
46.
Xu, X.; Eur. J. Lipid Sci. Tech.;
2000,
102, 287.
47.
Liu, K. J.; Cheng, H. M.; Chang, R. C.; Shaw, J. F.; J. Am. Oil Chem. Soc.;
1997
; 74,
1477.
48.
Fuji Oil Europe; Disponível em http://www.fujioileurope.com/Products; Acesso em 07 de
novembro de
2008
.
49.
Novozymes; Disponível em: http://www.novozymes.com/NZ; Acesso em 07 de novembro
de
2008
.
50.
Mukesh, D.; Banerji, A. A.; Newadkar, R.; Bevinakatti, H. S.; Biotechnol. Lett.;
1993
, 15,
77.
51.
Mukesh, D.; Jadhav, S.; Sheth, D.; Banerji, A. A.; Newadkar, R. ; Bevinakatti, H. S.,
Biotechnol. Tech.;
1993
, 7, 569.
52.
Mu, H.; Xu, X.; Høy. C.; J. Am. Oil Chem. Soc.;
1998
, 75, 1187.
145
53.
Xu, X.; Balchen, S.; Høy, C.; Adler-Nissen, J.; J. Am. Oil Chem. Soc.;
1998
, 75, 1573.
54.
Xu, X. B.; Zhou, D. Q.; Mu, H. L.; Adler-Nissen, J.; Hoy, C. E.; J. Am. Oil Chem. Soc.;
2002
, 79, 205.
55.
Xu, X. B.; Porsgaard, T.; Zhang, H.; Adler-Nissen, J.; Hoy, C. E.; J. Am. Oil Chem. Soc.;
2002
, 79, 561.
56.
Mcneill, G. P.; Shimizu, S. ; Yamane, T.; J. Am. Oil Chem. Soc.;
1990,
67, 779.
57.
Mcneill, G. P.; Shimizu, S. ; Yamane, T.; J. Am. Oil Chem. Soc.;
1991,
68, 1.
58.
Mcneill, G. P.; Yamane, T.; J. Am. Oil Chem. Soc.;
1991
, 68, 6.
59.
Bornscheuer, U. T.; Enzyme Microb. Tech.;
1995
, 17, 578.
60.
Bornscheuer, U. T.; Yamane, T.; J. Am. Oil Chem. Soc.;
1995
, 72, 193.
61.
Watanabe, Y.; Shimada, Y.; Yamauchi-Sato, Y.; Kasai, M.; Yamamoto, T.; Tsutsumi, K.;
Tominaga, Y.; Sugihara, A.; J. Am. Oil Chem. Soc.;
2002
,
79, 891.
62.
Monteiro, J. B.; Nascimento, M. G.; Ninow, J. L.; Biotechnol. Lett.;
2003
, 25, 641.
63.
Watanabe, Y.; Yamauchi-Sato, Y.; Nagao, T.; Yamamoto, T.; Tsutsumi, K.; Sugihara, A.
, Shimada, Y.; J. Am. Oil Chem. Soc.;
2003
,
80, 909.
64.
Kaewthong, W. & H-Kittikun, A.; Enzyme Microb. Tech.;
2004
, 35, 218.
65.
Pinsirodom, P.; Watanabe, Y.; Nagao, T.; Sugihara, A.; Kobayashi, T.; Shimada, Y., J.
Am. Oil Chem. Soc.;
2004
, 81, 543.
66.
Watanabe, Y.; Yamauchi-Sato, Y.; Nagao, T.; Negishi, S.; Terai, T.; Kobayashi, T.
Shimada, Y. J. Am. Oil Chem. Soc.;
2005
, 82, 619.
67.
Damstrup, M.; Jensen, T.; Sparso, F.; Kiil, S.; Jensen, A.; Xu, X.; J. Am. Oil Chem. Soc.;
2005
, 82, 559.
68.
Kaewthong, W.; Sirisansaneeyakul, S.; Prasertsan, P.; H-Kittikun, A.; Process Biochem.;
2005
, 40, 1525.
69.
Rebsdorf, M.; Engelrud, U.; Xu, X. B.; J. Food Lipids;
2005
, 12, 299.
70.
Damstrup, M.; Jensen, T.; Sparso¸, F.; Kiil, S.; Jensen, A.; Xu, X.; J. Am. Oil Chem. Soc.;
2006
, 83, 27.
71.
Damstrup, M. L.; Kiil, S.; Jensen, A. D.; Sparso, F.; Xu, X. B.; J. Agr. Food Chem.;
2007
, 55, 7786.
72.
Xu, X.; Mu, H.; Skands, A.; , C.; Adler-Nissen, J.; J. Am. Oil Chem. Soc.;
1999
, 76,
175.
73.
Weber, N.; Mukherjee, K. D.; J. Agr. Food Chem.;
2004
, 52, 5347.
74.
Xu, X.; Mu, H.; Skands, A.; ¸ C. ; Adler-Nissen, J., J. Am. Oil Chem. Soc.;
1999
, 76,
175.
75.
Shimada, Y.; Watanabe, Y.; Samukawa, T.; Sugihara, A.; Noda, H.; Fukuda, H.
Tominaga, Y.; J. Am. Oil Chem. Soc.;
1999,
76, 789.
76.
Watanabe, Y.; Shimada, Y.; Sugihara, A.; Noda, H.; Fukuda, H., Tominaga, Y. J. Am. Oil
Chem. Soc.;
2000
, 77, 355.
77.
Watanabe, Y.; Shimada, Y.; Sugihara, A.; Tominaga, Y.; J. Am. Oil Chem. Soc.;
2001,
78, 703.
146
78.
Ha, S. H.; Lan, M. N.; Lee, S. H.; Hwang, S. M.; Koo, Y. M.; Enzyme Microb. Tech.;
2007
, 41, 480.
79.
Ranganathan, S. V.; Narasimhan, S. L. & Muthukumar, K.; Bioresource Technol.;
2008,
99, 3975.
80.
Gamba, M.; Lapis, A. A. M.; Dupont, J.; Adv. Synth. Catal.;
2008
, 350, 160.
81.
Olsen, S. M.; Pedersen, L. T.; Laursen, M. H.; Kiil, S. ; Dam-Johansen, K.; Biofouling;
2007
, 23, 369.
82.
Dordick, J. S.; Trends Biotechnol.;
1992
, 10, 287
.
83.
Gerech, S.; Gilboa, Y.; Abrahami, S. ; Bershadsky, A.; Polym. Eng.Sci.;
1993
, 33, 311.
84.
Park, H. G.; Chang, H. N. , Dordick, J. S.; Biocatal.;
1994,
11, 263.
85.
Kobayashi, S.; Uyama, H.; Shoda, S.; Advan. Polym. Sci.;
1995
, 121, 1.
86.
Linko, Y.; Wang, Z. L.; Seppala, J.; Enzyme Microb. Tech.;
1995
, 17, 506.
87.
Mezoul, G.; Lalot, T.; Brigodiot, M., Marechal, E.; J. Polymer Sci. A1;
1995
, 33, 2691.
88.
Mezoul, G.; Lalot, T.; Brigodiot, M.; Marechal, E.; Polym. Bull.;
1996,
36, 541.
89.
Nobes, G. A. R.; Kazlauskas, R. J.; Marchessault, R. H.;
Macromolecules,
1996
, 29, 4829.
90.
Wang, Z. L.; Hiltunen, K.; Orava, P.; Seppala, J.; Linko, Y. Y.; J. Macromol. Sci. Pure;
1996
, 33, 599.
91.
Berkane, C.; Mezoul, G.; Lalot, T.; Brigodiot, M.; Marechal, E.
Macromol Symp.;
1997
, 122, 129.
92.
Chaudhary, A. K.; Lopez, J.; Beckman, E. J.; Russell, A. J.; Biotechnol. Progr.;
1997
, 13,
318.
93.
Chaudhary, A. K.; Beekman, E. J. & Russell, A. J.; Enz Polym. Synt.;
1998
, 684, 18.
94.
Kobayashi, S.; Uyama, H.; Namekawab, S.; Polym. Degrad. Stabil.;
1998
, 59, 195.
95.
Kobayashi, S.; J. Polym. Sci. A1;
1999
, 37, 3041.
96.
Kobayashi, S.; Uyama, H.; Yagushi, S.; Polym. J.;
1999
, 31, 380.
97.
Kobayashi, S.; Uyama, H.; Tsujimoto, T.; Biomacromolecules;
2001
, 2, 29.
98.
Kobayashi, S.; Uyama, H.; Kimura, S.; Chem. Rev.;
2001,
101, 3793.
99.
Gross, R. A.; Kumar, A.; Kalra, B., Chem. Rev.;
2001
, 101, 2097.
100.
Kim, D. Y. & Dordick, J. S., Biotechnol. Bioeng.;
2001
, 76, 200.
101.
Kobayashi, S.; Uyama, H.; Acs Sym. Ser.;
2003
,
840, 128.
102.
Armstrong World Ind; Tian, D., Ross, J. S.; Price, C. R.; Patente EP1482001,
2004
.
103.
Albertsson A.; Varma, I. K.; Rajkhowa, R.; Srivastava, R. K.; Prog. Polym. Sci.;
2005
,
30, 949.
104.
Kaplan, D. L.; Enzyme-Catalysed Synthesis of Polymers; In: Advances in Polymer
Science, Springer: Berlin,
2006
, p 194.
105.
Gross, R. A.; Miller, E.; Chen, B.; Langmuir;
2007
, 23, 6467.
106.
Geresh, S.; Gilboa, Y.; Biotechnol. Bioeng.;
1990
, 36, 270.
147
107.
Bhabhe, M. D.; Athawale, V. D.; Prog. Org, Coat.;
1997
, 30, 207.
108.
Kumar, G.S., Ghogare, A., Mukesh, D., J. Appl. Polymer Sci.;
1997
, 63.
109.
Aguiar, L.; Vargas, R.; J. Am. Oil Chem. Soc.;
1998
, 75, 755.
110.
Kienle, R. H.; Hovey, A.G.; J. Am. Chem. Soc.
;
1929
, 51, 509.
111.
Bjorksten, J.; Tovey, H.; Harker, B.; Henning, J.; Polyesters and their Applications
;
Reinhold: New York,
1956
.
112.
Martens, C. R.; Alkyd Resins; Reinhold: New York,
1961
.
113.
Berzelius, J.; Rapt. Ann. Inst. Geol. Hongrie
; 1847
, 26.
114.
Berthelot, M. M.; Comptes Rend.;
1853
, 37, 398.
115.
Bemmelen, J.V.; J. Prakt. Chem.;
1856
, 69, 84
116.
Smith, W.; J. Soc. Chem. Ind.
; 1901
, 20, 1075.
117.
GE CO; Callahan, M. J.; Patente US1108329;
1914
.
118.
GE CO; Callahan, M. J.; Patente US1108330;
1914
.
119.
GE CO; Friedburg, L. H.; Patente US1119592;
1914
.
120.
GE CO; Arsem, W. C.; Patente US1098777;
1914
.
121.
GE CO; Howell, K. B.; Patente US1098728;
1914
.
122.
GE CO; Dawson, E. S.; Patente US1141944;
1915
.
123.
Kienle, R. H.; Hovey, A.G.; J. Am. Chem. Soc.
;
1929
, 51, 509.
124.
McIntyre, J.E.; The Historical Development of Polyesters, In: Modern Polyesters:
Chemistry and Technology of Polyesters and Copolyesters. John Wiley: São Paulo,
2003
,
p 3.
125.
Dupont CO; The History of Automotive Paint; Disponível em
http://www.standox.com/, acesso em 28 de Novembro de
2008
.
126.
Moore, C.; J. Am. Oil Chem. Soc.;
1946
, 23, 69.
127.
Hovey, A. G.; Ind. Eng. Chem.;
1949
, 41, 730.
128.
Moore, C.; J. Am. Oil Chem. Soc.;
1950
, 27, 510.
129.
Kaska, J., Lesek, F.; Prog. Org. Coat.;
1991
, 19, 283.
130.
Hoenel, H.; Patente C08L101/00,
1952
.
131.
Holmberg, K.; High Solids Alkyd Resins, Dekker: Nova York,
1987
.
132.
Kraft, W.; J. Am. Oil Chem. Soc.;
1959,
36, 583.
133.
Kraft, W.; J. Am. Oil Chem. Soc.;
1962
, 39, 501.
134.
Lanson, H. J.; Alkyd Resins; In: Encyclopedia of Polymer Science and Engineering;
John Wiley: New York,
1985
, 1, 644.
135.
Solomon, D. H.; Hopwood, J. J.; J. App. Polymer Sc.;
1966
, 10, 993.
136.
Carothers, W.H.; J. Am. Chem. Soc.;
1929
, 51, 1548.
137.
Flory, P. J.; Chem. Rev. Am. Chem. Soc.;
1946
, 39, 137.
138.
Flory, P. J.; J. Am. Chem. Soc.;
1947
, 69, 30.
148
139.
Mallégol, J.; Gardette, J.; Lemaire, J.; J. Am. Oil Chem. Soc.;
1999
, 76, 967.
140.
Gunstone, F.D.; Hamilton, R.J.; Oleochemical Manufacture and Applications;
Sheffield: New York,
2001
.
141.
March, J.; Advanced Organic Chemistry; John Wiley: New York,
1992
, p 312.
142.
Güner, F. S.; Yagci, Y. & Erciyes, A. T.; Prog. Polymer Sc.;
2006
, 31, 633.
143.
Mallégol, J.; Gardette, J.; Lemaire, J.; J. Am. Oil Chem. Soc.;
2000
, 77, 257.
144.
Badische Anilin; Soda, F. A. G.; Patente DE1250036,
1967
.
145.
Perstorp; Products for Waterborne Coatings; Disponível em
http://www.perstorp.com/upload/waterborne_screen.pdf; Acesso em 29 de Novembro de
2008
.
146.
Sullivan, C.; PCI;
2008
, 24, 40.
147.
Nippon Zeon CO; Motoaki, Y.; Patente JP51124129
,
1976
.
148.
Zabel, K. H.; Klaasen, R. P.; Muizebelt, W. J.; Gracey, B. P.; Hallett, C.; Brooks, C.
D.; Prog. Org, Coat;
1999
, 35, 255.
149.
Pourreau, D. B.; Smyth, S.E.; JCT Coatings Tech;
2004
, 1, 40.
150.
Kanai, T.; Mahato, T. K. & Kumar, D.; Prog. Org. Coat.;
2007
, 58, 259.
151.
Dullius, J.; Ruecker, C.; Oliveira, V.; Ligabue, R. & Einloft, S.; Prog. Org, Coat.;
2006
, 57, 123.
152.
Bender, M. L.; Enzymes; In: Encyclopedia of Polymer Science and Engineering; John
Wiley: New York,
1986
, 6, 134.
153.
Solomons, T.W.G.; Fryhle, C.B.; Organic Chemistry
.
John Wiley: New York,
2000
.
154.
Bon, E. P. S.; Ferrara, M. A.; Pereira Jr., N.; Gottschalk, L. M. F.; Roseiro, J. C.;
Bioprocessos para Produção de Enzimas
.
In: Enzimas em Biotecnologia: Produção,
Aplicações e Mercado, Intiência: Rio de Janeiro,
2008
, p 95.
155.
Silva J., C. S.; Sasson, S.; Biologia César e Sezar; Disponível em:
http://biologiacesaresezar.editorasaraiva.com.br; Acesso em 29 de Novembro de
2008
.
156.
Mattos, C. P.; Química das Células Enzimas; Disponível em:
http://adorobiologia.blogspot.com, Acesso em 29 de novembro de
2008
.
157.
Ghirlanda, G.; Nature;
2008
, 453, 164.
158.
Präve, P.; Faust, U.; Sittig, W.; Sukatsch, D. A.; Fundamentals of Biotechnology
;
VCH: Weinheim,
1982
.
159.
Bornscheuer, U. T.; Trends and Challenges in Enzyme Technology; In: Biotecnology
for the Future; Springer: Berlin,
2005
, p 181.
160.
Noureddini, H.; Harmeier, S. E.; J. Am. Oil Chem. Soc.;
1998
, 75, 1359
.
161.
Laane, C.; Boeren, S.; Vos, K.; Veeger, C.; Biot. Bioeng.;
1987,
30, 81.
162.
Mateo, C.; Palomo, J. M.; Fernandez-Lorente, G.; Guisan, J. M.; Fernandez-Lafuente,
R.; Enzyme Microb. Tech.;
2007
, 40, 1451.
163.
Costa, L.; Brissos, V.; Lemos, F.; Ribeiro, F. & Cabral, J.; Bioproc. Biosyst. Eng.;
2008
, 31, 323.
149
164.
Kumari, A.; Mahapatra, P.; Kumar, G.; Banerjee, R.
Bioproc. Biosyst. Eng.;
2008,
31, 291.
165.
Kristensen, J. B.; Xu, X. B.; Mu, H. L.
;
J. Am. Oil Chem. Soc.;
2005
, 82, 329.
166.
Yang, T. K.; Rebsdorf, M.; Engelrud, U. ;Xu, X. B.; J. Agr. Food Chem.;
2005
, 53,
1475.
167.
Zheng, G.; Xu, X.; Green Chem.;
2006
, 55, 8.
168.
Sigma-Aldrich; Disponível em: http://www.sigmaaldrich.com; Acesso em 10 de
janeiro de 2009.
169.
Tamalampudi, S.; Talukder, M. D. M. R.; Hama, S.; Tanino, T.; Suzuki, Y.; Kondo,
A.; Fukuda, H.; Appl. Microbiol. Biot.;
2007
, 75, 387.
170.
Hama, S.; Yamaji, H.; Fukumizu, T.; Numata, T.; Tamalampudi, S.; Kondo, A.; Noda,
H.; Fukuda,H.; Biochem. Eng. J.;
2007
, 34, 273.
171.
Novozymes AS; Christensen, M. W., Kirk, O., Pedersen, C.; Patente WO9933964,
1999
.
172.
Novozymes AS; Mazeaud, I.; Poulsen, P. B. R.; Christensen, M. W.; Brask, J.;
Poulsen, P.; Christensen, M.; Patente WO2007036235,
2007
.
173.
Hasan, F.; Shah, A. A. & Hameed, A.; Enzyme Microb. Tech.;
2006
, 39, 235.
174.
J. Am. Oil Chem. Soc.; Disponível em: http://www.springerlink.com; Acesso em: 29
de novembro de
2008
.
175.
Wong, H. & Schotz, M. C.; J. Lipid Res.;
2002
, 43, 993.
176.
Muralidhar, R. V.; Chirumamilla, R. R.; Marchant, R.; Ramachandran, V. N.; Ward,
O. P.; Nigam, P.; World J. Microb. Biot.;
2002
, 18, 81.
177.
Damstrup, M. L.; Abildskov, J.; Kiil, S.; Jensen, A. D.; Sparso, F. V.; Xu, X. B.; J.
Agr. Food Chem.;
2006
, 54, 7113.
178.
Ibrahim, N. A.; Nielsen, S. I. T.; Wigneswaran, V.; Zhang, H. ; Xu, X. B.; J. Am. Oil
Chem. Soc.;
2008
, 85, 95.
179.
Osorio, N. M.; Ribeiro, M. H.; da Fonseca, M. M. R.; Ferreira-Dias, S.; J. Mol. Catal.
B-Enzym;
2008
, 52, 58.
180.
Chen, Z.; Zong, M.; Gu, Z.; Han, Y.; Bioproc. Biosyst. Eng.;
2008
, 31, 351.
181.
Liu, Y. X.; Jin, Q. Z.; Shan, L.; Liu, Y. F.; Shen, W.; Wang, X. G.; Ultrason.
Sonochem.;
2008,
15, 402.
182.
Ibrahim, N. A.; Guo, Z.; Xu, X. B.; J. Am. Oil Chem. Soc.;
2008
, 85, 37.
183.
Janssen, A. E. M.; Vanderpadt, A.; Vansonsbeek, H. M.; Vantriet, K.; Biotechnol.
Bioeng.;
1993
,
41, 95.
184.
Bellot, J. C.; Choisnard, L.; Castillo, E.; Marty, A.; Enzyme Microb. Tech.;
2001,
28,
362.
185.
Rendon, X.; Lopez-Munguia, A. & Castillo, E., J. Am. Oil Chem. Soc.;
2001
, 78,
1061.
186.
Canevarolo, J. S. V.; Técnicas de Caracterização de Polímeros, Artliber: São Paulo,
2004
.
150
187.
Liu, Q.T.; Kinderer, J.L.; J. Chromatogr. A;
1999,
855, 617.
188.
Barros N., B.; Scarminio, I.S.; Bruns, R.E.; Como Fazer Experimentos; Unicamp:
Campinas,
2003
.
189.
Vareckova, D.; Podzimek, S., Lebduska, J., Anal. Chim. Acta;
2006
, 557.
190.
Van Gaalen, R. P. C.; Kooijmans, P. G.; Van Noort, L. W.; Patente US6388024,
2002
.
151
ANEXOS
PESQUISA DE PATENTES RELACIONADA À UTILIZAÇÃO DE
TRANSESTERIFICAÇÃO ENZIMÁTICA NA SÍNTESE DE RESINAS ALQUÍDICAS
PI0104107-0 - 23/08/2001
Classificação: C07C 69/003
TÍTULO:
PRODUÇÃO DE ÉSTERES ETÍLICOS, BIODIESEL, A PARTIR DE ÓLEOS
VEGETAIS E ÁLCOOL ETÍLICO
RESUMO:
consiste em um processo químico que tem por objetivo modificar a estrutura
molecular do óleo vegetal (oleo de soja degomado ou aquele ja utilizado em fritura) através
do álcool etílico anidro ou hidratado transformando a em esteres etílicos (biodiesel) e por
conseqüência com propriedades físico químicas similares ao do óleo diesel convencional a
presente invenção envolve duas reações de transesterificaçao a primeira em presença do
catalisador alcoxido metálico; e a segunda em presença do catalisador acido sulfurico e
cloreto de sódio esta invenção também envolve a otimização dos fatores mais influentes no
processo (temperatura pressão tempo de reação concentração de catalisadores) com o objetivo
de propiciar menores custos e maiores rendimentos favorecendo o meio ambiente.
COMENTÁRIO
: esta patente relata a modificação do óleo vegetal por processos químicos, e
não via catálise enzimática, bem como não cita a utilização para síntese de resinas alquídicas.
PI0215782-9 - 02/07/2002
Classificação: C11B 3/00; C11B 7/00
TÍTULO:
PROCESSO PARA RECUPERAÇÃO DE ESTERÓIS DE VEGETAIS A
PARTIR DE UM SUBPRODUTO DO REFINAMENTO DE ÓLEO VEGETAL
RESUMO:
processo para recuperação esterois e tocoferois de vegetais de destilados de
desodorizaçao formados durante refino químico ou físico de óleos vegetais consiste das
seguintes etapas ácidos graxos livres são removidos do destilado de desodorizaçao por meio
de destilação a vácuo ou por continuação de saponificação de solvente após a remoção de
ácidos graxos livres o material recebido e reagido com um anidrido de acido carboxilico
aromático em uma temperatura de 50 a 150<198>c sob pressão reduzida após o tratamento
com anidrido os tocoferois são removidos da mistura e esterois livres cristalinos são
152
recuperados do resíduo de destilação contendo esteres de esterois di e triglicerideos por meio
de transesterificaçao.
COMENTÁRIO
: esta patente relata a modificação do óleo vegetal por processos químicos, e
não via catálise enzimática, bem como não cita a utilização para síntese de resinas alquídicas.
PI0301183-6 - 08/04/2003
Classificação: C07C 67/02
TÍTULO:
PROCESSO PARA A PRODUÇÃO DE ÉSTER ETÍLICO DE ÁCIDOS
GRAXOS E EQUIPAMENTO PARA A SUA REALIZAÇÃO
RESUMO:
processo para a produção de éster etílico de ácidos graxos e equipamento para a
sua realização idealizado para viabilizar técnica e economicamente a produção de biodiesel
incluindo as composições de ácidos graxos saturados e insaturados de pelo menos um dos de
origem vegetal e animal com pelo menos um álcool de cadeia de c1 a c5 preferivelmente c2h5
oh em presença de uma catalisador ou co catalisador que pode ser alcalino acido enzimatico
ou lipase preferivelmente alcalino o processo também inclui uma bomba(5) tendo as funções
de sucção agitação e injeção cujo processo de transesterificaçao da referida mistura corre
internamente a ela sendo injetada em condição de alta pressão em um bico atomizador (30)
situado internamente em um reator(3) a mistura já transesterificada internamente na bomba(5)
e injetada no bico atomizador(30) ao passar de um ambiente de alta pressão para um de mais
baixa pressão imediatamente se separa em fases uma inferior contendo glicerina e em outra
superior contendo um mono éster neste processo o álcool desempenha a função extra de
liquido atomizador dos ácidos graxos tal processo possibilita a produção de esteres com alto
índice de conversão em um tempo extremamente curto.
COMENTÁRIO
: esta patente relata a modificação do óleo vegetal via catálise enzimática,
porém o objetivo é produzir um éster etílico, provavelmente para uso como biodiesel, e não
um monoacilglicerol, como no caso da patente que iremos requerer. Além disso o processo
não é utilizado para síntese de resinas alquídicas.
PI0300931-9 - 09/04/2003
Classificação: C07C 67/02
TÍTULO:
PROCESSO DE PRODUÇÃO DE ÉSTERES ALQUÍLICOS A PARTIR DE UM
ÓLEO VEGETAL OU ANIMAL E DE UM MONOÁLCOOL ALIFÁTICO
153
RESUMO:
a invençao refere se a esteres alquilicos de acidos graxos e da glicerina com
elevada pureza aplicando se um processo que compreende um conjunto de reaçoes de
transesterificaçao entre um oleo vegetal ou animal e um monoalcool alifatico que utiliza um
oleo vegetal ou animal e um monoalcool alifatico que utiliza um catalisador heterogeneo por
exemplo a base de aluminato de zinco o teor em agua no meio reacional sendo controlado
com um valor inferior a um valor limite determinado.
COMENTÁRIO
: esta patente relata a modificação do óleo vegetal por processos químicos, e
não via catálise enzimática, bem como não cita a utilização para síntese de resinas alquídicas.
PI0404243-3 - 04/10/2004
Classificação: C10L 1/02
TÍTULO:
PROCESSO CONTÍNUO PARA PRODUÇÃO DE BIODIESEL
RESUMO:
processo continuo para produçao de biodiesel o qual foi desenvolvido para a
produçao de forma continua de mono esteres de acidos graxos (biodiesel) de qualidade
superior padrao internacional a partir de oleo vegetal semi refinado e alcool anidro por
processo de transesterificaçao em reatores caracteristicos com separaçao continua do alcool
residual atraves de evaporaçao e da glicerina (obtida como sub produto da reaçao) atraves de
centrifugas tambem usadas na lavagem e purificaçao final do biodiesel.
COMENTÁRIO
: esta patente relata a modificação do óleo vegetal por processos químicos, e
não via catálise enzimática, bem como não cita a utilização para síntese de resinas alquídicas.
PI0408563-9 - 17/03/2004
Classificação: C11C 3/04; C02F 9/00
TÍTULO:
PROCESSO E APARELHO PARA REFINO DE BIODIESEL
RESUMO:
processo e aparelho para produçao de combustivel biodiesel isto e ster alquilico a
partir de oleo vegetal e ou animal um catalisador de transesterificaçao e preparado em um
tanque de catalisador basico por pulverizaçao de alcool alquilico sob pressao atraves de jatos
em pelotas de hidroxido metalico ate que as pelotas tenham reagido completamente com o
alcool o oleo e aquecido e transesterificado na presença de alcool alquilico e catalisador de
transesterificaçao em um sistema de fluxo de transesterificaçao com recirculaçao fechado sob
154
leve cavitaçao para fornecer um produto de éster alquilico e um produto de glicerol a
cavitaçao e conseguida permitindo se que o ar entre no sistema de fluxo de transesterificaçao
atraves de uma valvula de entrada de ar ajustavel quando deixado em repouso o produto de
ester alquilico forma uma camada superior que e decantada e submetida a etapas de
purificaçao para remover particulas e alcool alquilico do produto de ester alquilico e uma
camada inferior de produto de glicerol que e drenada a purificaçao do produto de ester
alquilico inclui de preferencia a submissao do produto de ester alquilico a uma nevoa de agua
aplicada por cima em um tanque de lavagem com infusão simultanea de uma corrente de
bolhas de ar o vapor de alcool e reciclado como álcool liquido dentro de um condensador de
alcool e armazenado para reutilizaçao se o óleo contiver ácidos graxos livres antes da
transesterificaçao o óleo é aquecido e os ácidos graxos livres sao esterificados na presença de
um catalisador de esterificaçao e álcool alquilico por razoes de segurança instalam se
anteparos e barreiras amortecedoras de explosão corta fogo em locais em que vapores
inflamáveis representem um risco.
COMENTÁRIO
: esta patente não relata a modificação do óleo vegetal via catálise
enzimática, bem como não é utilizada para síntese de resinas alquídicas.
PI0501601-0 - 03/05/2005
Classificação: C07C 67/02; B01J 31/38
TITULO
: PROCESSO DE TRANSESTERIFICAÇÃO DE ÓLEOS VEGETAIS OU
ANIMAIS EM UM MEIO DE CATALISADORES HETEROGÊNEOS A BASE DE ZINCO
OU BISMUTO, TITÂNIO E ALUMÍNIO
RESUMO
: a presente invenção refere se a um processo de produção de esteres e de ácidos
monocarboxilicos lineares de 6 a 26 átomos de carbono por reação de óleos vegetais ou
animais neutros ou nao como monoálcoois de 1 a 18 átomos de carbono utiliza um catalisador
escolhido dentre as combinações de óxidos de zinco e de titânio; e as combinações de óxido
de zinco de oxido de titanio e de alumina; as combinações de óxidos de bismuto e de titânio; e
as combinações de óxidos de bismuto de oxido de titânio e de alumina o processo permite
produzir diretamente em uma ou varias etapas um éster utilizável como carburante ou
combustível e uma glicerina pura.
COMENTÁRIO
: esta patente relata a modificação do óleo vegetal por processos químicos, e
não via catálise enzimática, bem como não cita a utilização para síntese de resinas alquídicas.
155
PI0500790-9
Classificação: C10L 1/18
TITULO:
PROCESSO PARA PRODUZIR UM BIODIESEL, E, BIODIESEL
RESUMO:
é aqui descrito um processo em uma única etapa para produzir biodiesel e
produto do mesmo empregando se fontes de óleo não comestível contendo acido graxo livre o
processo compreende a esterificaçao e transesterificaçao de fontes de óleo vegetal não
comestível contendo ácidos graxos livres em uma única etapa empregando se um removedor
de água ou um adsorvente de água ou uma mistura deles.
COMENTÁRIO
: esta patente relata a modificação do óleo vegetal por processos químicos, e
não via catálise enzimática, bem como não cita a utilização para síntese de resinas alquídicas.
MD20060164 - 31/01/2008
Classificação:
C08G63/49; C08G63/91; C09D5/08; C09D5/16; C09D7/02; C09D7/04;
C09D7/12; C09D131/08; C09D167/08; C08G63/00; C09D5/08; C09D5/16; C09D7/02;
C09D7/04; C09D7/12; C09D131/00; C09D167/08.
Título:
Process for obtaining paintwork material on alkyd base
Resumo:
The invention relates to the paintwork material obtaining on alkyd basis, used for
painting wood, metal and other surfaces inside and outside the rooms. Obtaining of glyptal
and pentaerythritor-modified phtalic resins is based on carrying out of the stage of
transesterification of vegetable oils with glycerine or pentaerythritol and of the stage of
polyesterification with phtalic anhydride at heating within the range of 240à260?C. The
boiled oils are obtained by thermal treatment of vegetable oils. The natural boiled oils are
prepared by heating the crude vegetable drying oil. The combined boiled oils and oxole boiled
oils are prepared on base of drying and semidrying oils, subjected to a deeper polymerization
and oxidation with subsequent introduction of siccative and dissolution with white-spirit. The
synthetic boiled oils are obtained on base of transesterified semidrying oils.
COMENTÁRIO
: esta patente relata a síntese de resina alquídica através da transesterificação
de óleo vegetal, porém não relata o uso de catálise enzimática para tanto.
156
CA2553872 - 27/01/2008.
Classificação:
C11C3/10; C07C67/02; C10L1/02; C11C3/00; C07C67/00; C10L1/00.
TÍTULO:
A DEVICE FOR THE TRANSESTERIFICATION OF ANIMAL AND PLANT
GLYCERIDES INTOFATTY ACID ALKYD ESTERS FOR SMALL SCALE
PRODUCTION OF BIODIESEL AND VALUE ADDED PRODUCTS
RESUMO:
The present invention relates to a device for the small scale and portable
production of transesterified fatty acid alkyl esters for use as biodiesel or other applications.
The invention allows for the economic production in small scale and portable equipment
which transesterifies various glycerides including waste vegetable oil, animal fat s, and/or
virgin vegetable oil singly or in admixtures of various ratios. A primary vessel (1 ) which is
fitted with immersion heaters or other heating means (5) contains glycerides which are heated
to reaction temperature. A reservoir (2) which contains an alkaline solution, f or example
sodium or potassium hydroxide dissolved in an alcohol, particularly methanol , is connected
to primary vessel (1) with a piping system and in-line pump (4) in a pipe lo op which permits
the mixture of the glycerides with the strong base and alcohol mixture. Transparent piping, for
example transparent tubing (14), is installed on the side of the primary vessel (1) to permit
visual examination and act as a manometer. Once transesterification takes place, the bottom
phase, which contains glycerol and other residues, is removed through transparent tubing
fitted to a clean out pipe mounted at the bottom of the primary vessel (1). The resulting fatty
acid alkyl estersare then purified by the addition of cleaning reagents, including magnesium
silicate in one embodiment or a mild acid in another embodiment, in primary vessel (1).
<SDOCL LA=EN> CLAIMS The embodiments of the invention in which an exclusive
property or privilege is claimed are defined as follows: Claim 1: A portable device for the
transesterification of animal- and plant- derived glycerides, in small scale batches of 50-500
L, more or less, comprising a mounting frame, a main vessel used for transesterification and
washing, a circulation system , an alcohol and catalyst mixing system, a facultative cleaning
system under various combinations and a facilitative spill containment system. Claim 2: A
component of the device as according to claim 1, which includes a reaction vessel which may
be closed with a removable hatch and vented, includes heati ng elements or others source of
heat and which is the main vessel used in the transesterification reaction. Claim 3: A
component of the device as according to claim 1, which includes a circulation and piping
system including transparent pipes and/or tubing mounted vertical ly on the side of the
primary vessel for dual use in the circulation of the feedstock and/o r biodiesel as well as a
157
manometer and which permits visual assessment of phase separation which takes place during
transesterification of glycerides. Claim 4: A component of the device as according to claim 1,
which includes transparent pipes and/or tubing which are mounted below the reaction tank
which permits to discriminate between the glycerin and fatty acid alky ester phases and the
physical separation of the former and permits the elimination of the latter through gravimetry
and or with the aide of a pump. Claim 5: A component of the device as according to claim 1,
which may includ e a filtration unit which is mounted inside the main reservoir and permits
the filtration o f residues which may be contained in the feedstock. 6 Claim 6: A component
of the device as according to claim 1, which may includ e a bottom reservoir for the
containment of spilled reagents, feedstocks and/or biodiesel; Claim 7: A component of the
device as according to claim 1, which may includ e an electrical console for the control of
electrical equipment which is associat ed with subcomponents of claims 1-6; Claim 8: A
component of the device as according to claim 1, which may includ e a support stand and base
which permits to hold subcomponents of the device as accordin g to claims 1 to 7 in a single
skid with a low footprint and which may be fitted with handles for easy handling and/or
transport. 7</SDOCL>
COMENTÁRIO
: esta patente relata a criação de um equipamento para modificação do óleo
vegetal por processos químicos, e não via catálise enzimática, bem como não cita a utilização
para síntese de resinas alquídicas.
WO2008010253 - 24/01/2008.
Classificação:
C11C3/00; C10L1/08; C11B7/00; C11C3/00; C10L1/00; C11B7/00;
TÍTULO:
INTEGRATED PROCESS FOR THE PRODUCTION OF BIOFUELS FROM
DIFFERENT TYPES OF STARTING MATERIALS AND RELATED PRODUCTS
RESUMO:
Process for the production of biocombustible or biofuel mixtures suitable for
different conditions of use, starting from refined or raw vegetable oils, including those
extracted from seaweed, and/or from used food oils and animal fats, each of which is pre-
treated with specific treatments in order to yield a dried refined oil. The latter then undergoes
transesterification with an excess of lower alcohols or bioalcohols, and a subsequent
separation into a raw glycerine-based phase and a phase containing mixtures of fatty acid
alkyl esters and the excess alcohols or bioalcohols. The excess amount of lower
alcohols/bioalcohols can be partially or completely recovered from the obtained mixture, or
the mixture itself may be integrated with additional quantities of the same or different lower
alcohols/bioalcohols, thereby yielding combustible products and ecological fuels suitable for
158
various environmental conditions and 'for the types of apparatus and engines they must be
employed in. The product can either be used by itself or as the main or secondary ingredient
of a mixture with conventional fuel.
COMENTÁRIO
: esta patente relata a modificação do óleo vegetal por processos químicos
para uso como combustível, e não via catálise enzimática, bem como não cita a utilização para
síntese de resinas alquídicas.
WO2008009772 - 24/01/2008
Classificação:
C12P7/64; C11C 3/10; C12P 7/64; C10G 3/00; C11C 3/00;
TÍTULO:
METHOD FOR PRODUCING BIODIESEL USING PORCINE PANCREATIC
LIPASE AS AN ENZYMATIC BIOCATALYST
RESUMO:
The invention relates to a method for producing biodiesel, comprising the
transesterification reaction of a starting product selected from one or more oils, one or more
fats and mixtures of same in the presence of porcine pancreatic lipase as an enzymatic
biocatalyst at a pH of at least 8, preferably at least 10. The invention also relates to the use of
said method for the production of biodiesel and glycerin.
COMENTÁRIO
: esta patente relata a modificação do óleo vegetal via catálise enzimática,
porém o objetivo é produzir um éster etílico para uso como biodiesel, e não um
monoacilglicerol, como no caso da patente que iremos requerer. Além disso o processo não é
utilizado para síntese de resinas alquídicas.
WO2007058636 - 24/05/2007
Classificação:
C11C3/00; C10L1/02; C11C3/00; C10L1/00.
TÍTULO:
NOVEL REACTORSAND A PROCESS TO PRODUCE BIODIESEL
USINGHOMOGENEOUSALKALINE CATALYST
RESUMO:
The present invention is about a fast biodiesel production process, called NOBA
process, where transesterification reaction and separation of glycerol take place concurrently
using novel reactor configurations. The NOBA process consists of reacting vegetable
oil/waste oil with methanol in the presence of a homogeneous catalyst (NaOH) in novel type
reactors in which transesterification and glycerol separation occur concurrently. The process
results in rapid production of biodiesel with high yield. The process has also a method for
purification of biodiesel using hot water.
159
COMENTÁRIO
: esta patente relata a invenção de um reator para a modificação do óleo
vegetal por processos químicos, e não via catálise enzimática, bem como não cita a utilização
para síntese de resinas alquídicas.
US2007112212 - 17/05/2007
Classificação: C07C 51/43; C07C 51/42.
TÍTULO:
Refined method for manufacturing ethyl esters from fatty substances of natural
origin
RESUMO:
A method allowing, from natural fat or oils, vegetable or animal, or from other
glyceride mixtures, to obtain in a quasi-quantitative way fatty acid ethyl esters that can be
used as gas oil substitutes, comprises the succession of stages as follows: a stage (a) wherein
the oil, the fat or the glyceride mixture is transesterified by ethanol using a soluble catalyst or
a catalyst that becomes soluble during the reaction, a stage (b) wherein the glycerin formed is
decanted and removed, without requiring an excess ethanol evaporation operation, a stage (c)
wherein a second transesterification reaction is carried out so as to obtain a product whose
ester content is at least 97% by mass, a stage (d) wherein controlled neutralization of the
catalyst is carried out, a stage (e) wherein the excess ethanol is removed by distillation, a
stage (f) wherein the ester undergoes purification by means of water wash sequences, and a
stage (g) wherein the ester mixture is dried under reduced pressure.
COMENTÁRIO
: esta patente relata a invenção de um método para a modificação do óleo
vegetal por processos químicos para uso como biodiesel, e não via catálise enzimática, bem
como não cita a utilização para síntese de resinas alquídicas.
JP2007308658 29/11/2007
Classificação:
C11C3/10; B01J31/04; C07C67/03; C07C69/30; C07C69/58; C08G63/49;
C07B61/00; C11C3/00; B01J31/04; C07C67/00; C07C69/00; C08G63/00; C07B61/00
TÍTULO:
PRODUCTION METHOD FOR TRANSESTERIFICATION PRODUCT AND
PRODUCTION METHOD FOR ALKYD RESIN USING THE TRANSESTERIFICATION
PRODUCT
PROBLEM TO BE SOLVED:
To provide a transesterification product substantially free
from a metallic transesterification catalyst and to provide a method for producing an alkyd
160
resin substantially free of a metallic transesterification catalyst by using the transesterification
product.
SOLUTION:
(1) A fat and oil is reacted with a polyhydric alcohol in the presence of a
metallic transesterification catalyst to form a transesterification product 1. (2) A fat and oil is
reacted with a polyhydric alcohol in the presence of the obtained transesterification product 1
without using any metallic transesterification catalyst to form a transesterification product 2.
COPYRIGHT: (C)2008,JPO&INPIT
JP2007077348 - 29/03/2007
Classificação: C10L 1/02; C10L 1/08; C10L 1/19; C10L 1/00; C10L 1/10....
TÍTULO:
DIESEL FUEL CONTAINING FATTY ACID ESTER
PROBLEM TO BE SOLVED:
To provide a diesel fuel that is produced by using a fatty acid
alkyl ester obtained by the transesterification of a fatty acid ester, especially fats and oils
made from a vegetable or animal fat (including a waste oil), with a lower alcohol, has a high
storage stability, and can be used without limitation at a low temperature.
SOLUTION:
The diesel fuel is a mixture of a fatty acid ester which is obtained by the
transesterification of fats and oils with a straight or branched chain alcohol having a carbon
atom from 1 to 4, with a liquid organic compound at a normal temperature (20[deg.]C) and at
a normal pressure (101,325 Pa). The mixture comprises the fatty acid ester by a ratio not less
than 1 mass percent and not more than 99 mass percent.
COPYRIGHT: (C)2007,JPO&INPIT
COMENTÁRIO
: esta patente relata a invenção de um método para a modificação do óleo
vegetal por processos químicos para uso como biodiesel, e não via catálise enzimática, bem
como não cita a utilização para síntese de resinas alquídicas.
CN1894390 - 10/01/2007
Classificação: C11C3/00; C10L1/02; C11B3/10; C11C3/10; C11C3/00; C10L1/00;
C11B3/00.
TÍTULO:
Improved method for preparing fatty-acid alkyl ester used as biological diesel oil
161
RESUMO:
Fatty acid alkyl esters suitable for use as biodiesel are produced by a single step
esterification of free fatty acids and transesterification of triglycerides from vegetable oils or
animal fats or combinations thereof with a lower alcohol (e.g. Methanol) in presence of alkyl
tin oxide as catalyst. The ester thus produced is purified by distillation, treatment with an
adsorbent, washing with water or combination thereof to give esters suitable for use as
biodiesel.
COMENTÁRIO
: esta patente relata a invenção de um método para a modificação do óleo
vegetal por processos químicos para uso como biodiesel, e não via catálise enzimática, bem
como não cita a utilização para síntese de resinas alquídicas.
US2006224005 - 05/10/2006
Classificação:
C07C 51/43; C07C 51/42; C07C 67/03; C07C 67/08; C11C 1/08; C11C
3/00B
TÍTULO:
Method and apparatus for refining biodiesel
RESUMO:
Method and apparatus for producing biodiesel fuel, i.e., alkyl ester, from
vegetable and/or animal oil. A transesterification catalyst is prepared in a base catalyst tank by
spraying alkyl alcohol under pressure through jets at metal hydroxide pellets until the pellets
have fully reacted with the alcohol. The oil is heated and transesterified in the presence of
alkyl alcohol and the transesterification catalyst in a closed, recirculating transesterification
flow system under slight cavitation to yield product alkyl ester and product glycerol.
Cavitation is achieved by permitting air to enter the transesterification flow system through an
adjustable air inlet valve. When permitted to stand, product alkyl ester forms an upper layer
that is decanted and subjected to purification steps, to remove particulates and alkyl alcohol
from the product alkyl ester, and a lower layer of product glycerol is drained away.
Purification of the product alkyl ester preferably includes subjecting the product alkyl ester to
an overhead water mist in a wash tank with simultaneous infusion of a stream of air bubbles.
Alcohol vapor is reclaimed as liquid alcohol within an alcohol condenser and stored for reuse.
If the oil contains free fatty acids, prior to transesterification, the oil is heated and the free
fatty acids are esterified in the presence of an esterification catalyst and alkyl alcohol. For
safety, baffles and explosion damper/flame arrestors are provided in locations where
flammable vapors pose a risk.
162
WO03040081 - 15/05/2003
Classificação:
C07C 67/03; C10L 1/02; C11C 3/00; C11C 3/10; C07C 67/00; C10L1/00;
C11C 3/00.
TÍTULO:
IMPROVEMENTS IN OR RELATING TO A METHOD FOR
TRANSESTERIFYING VEGETABLE OILS
RESUMO:
The invention relates to a method for producing Diesel grade fuel of plant origin
by transesterifying a refined vegetable oil with a C1-C4 alkanol in the presence of a catalyst
whereupon a polar phase and an apolar phase is formed, removing the polar phase comprising
glycerol by-product, and subjecting the apolar phase comprising the fuel to a refining
procedure. According to the method of the in-vention refined vegetable oil is transesterified in
a homogeneous phase in the presence of at least 0.2 parts by volume, related to unit volume of
refined vegetable oil, of an aliphatic hydrocarbon solvent with a boiling point of 40-200<
DEG >C to form a mixture comprising a polar phase and an apolar phase, if necessary, the
apolar phase which also comprises non-transesterified vegetable oil beside aliphatic hydro-
carbon solvent and transesterified product, obtained after removing the separated polar phase
comprising glycerol by-product, is reacted in a further step with a C1-C4 alkanol in the
presence of a catalyst until a transesterification conversion of 95-98 % is attained, the
separated polar phase comprising glycerol by-product is removed, and the apolar phase
comprising the fuel is refined wherein, if desired, at least a portion of the aliphatic
hydrocarbon solvent is retained in the product.
Livros Grátis
( http://www.livrosgratis.com.br )
Milhares de Livros para Download:
Baixar livros de Administração
Baixar livros de Agronomia
Baixar livros de Arquitetura
Baixar livros de Artes
Baixar livros de Astronomia
Baixar livros de Biologia Geral
Baixar livros de Ciência da Computação
Baixar livros de Ciência da Informação
Baixar livros de Ciência Política
Baixar livros de Ciências da Saúde
Baixar livros de Comunicação
Baixar livros do Conselho Nacional de Educação - CNE
Baixar livros de Defesa civil
Baixar livros de Direito
Baixar livros de Direitos humanos
Baixar livros de Economia
Baixar livros de Economia Doméstica
Baixar livros de Educação
Baixar livros de Educação - Trânsito
Baixar livros de Educação Física
Baixar livros de Engenharia Aeroespacial
Baixar livros de Farmácia
Baixar livros de Filosofia
Baixar livros de Física
Baixar livros de Geociências
Baixar livros de Geografia
Baixar livros de História
Baixar livros de Línguas
Baixar livros de Literatura
Baixar livros de Literatura de Cordel
Baixar livros de Literatura Infantil
Baixar livros de Matemática
Baixar livros de Medicina
Baixar livros de Medicina Veterinária
Baixar livros de Meio Ambiente
Baixar livros de Meteorologia
Baixar Monografias e TCC
Baixar livros Multidisciplinar
Baixar livros de Música
Baixar livros de Psicologia
Baixar livros de Química
Baixar livros de Saúde Coletiva
Baixar livros de Serviço Social
Baixar livros de Sociologia
Baixar livros de Teologia
Baixar livros de Trabalho
Baixar livros de Turismo