Download PDF
ads:
UNIVERSIDADE FEDERAL DE ITAJU
INSTITUTO DE ENGENHARIA MECÂNICA
PROGRAMA DE PÓS-GRADUAÇÃO EM ENGENHARIA MECÂNICA
DISSERTAÇÃO DE MESTRADO
Simulação Numérica do Escoamento Bifásico
Óleo-Água em Tubos
Autora: Michelly Martuchele Santos
Orientador: Prof. Dr. Ramiro Gustavo Ramirez Camacho
Itajubá, Julho de 2010
ads:
Livros Grátis
http://www.livrosgratis.com.br
Milhares de livros grátis para download.
UNIVERSIDADE FEDERAL DE ITAJU
INSTITUTO DE ENGENHARIA MECÂNICA
PROGRAMA DE PÓS-GRADUAÇÃO EM ENGENHARIA MECÂNICA
DISSERTAÇÃO DE MESTRADO
Simulação Numérica do Escoamento Bifásico
Óleo-Água em Tubos
Autora: Michelly Martuchele Santos
Orientador: Prof. Dr. Ramiro Gustavo Ramirez Camacho
Curso: Mestrado em Engenharia Mecânica
Área de Concentração: Dinâmica dos Fluidos e Máquinas de Fluxo
Dissertação submetida ao Programa de Pós-Graduação em Engenharia Mecânica como
parte dos requisitos para obtenção do Título de Mestre em Engenharia Mecânica.
Itajubá, Julho de 2010
M.G. – Brasil
ads:
UNIVERSIDADE FEDERAL DE ITAJU
INSTITUTO DE ENGENHARIA MECÂNICA
PROGRAMA DE PÓS-GRADUAÇÃO EM ENGENHARIA MECÂNICA
DISSERTAÇÃO DE MESTRADO
Simulação Numérica do Escoamento Bifásico
Óleo-Água em Tubos
Autora: Michelly Martuchele Santos
Orientador: Prof. Dr. Ramiro Gustavo Ramirez Camacho
Composição da Banca Examinadora:
Prof. Dr. Marcelo Assato - VSE
Prof. Dr. Genésio José Menon - IEM/UNIFEI
Prof. Dr. Marcos Theiss Neves - IEM/UNIFEI
Prof. Dr. Ramiro Gustavo Ramirez Camacho - Orientador - IEM/UNIFEI
Dedicatória
Aos meus pais, Elza e José Ailton,
as minhas irmãs, Marcela e Karina,
e ao meu irmão André.
Agradecimentos
Agradeço primeiramente a Deus por sempre estar presente em minha vida, pela
coragem e determinação que me destes.
Aos meus pais, Elza e José Ailton, aos meus irmãos, Marcela, Karina e André, e ao meu
cunhado Douglas pelo carinho, amor, pela força, compreensão e por estarem sempre ao meu
lado.
Ao meu namorado, Ivan pelo apoio, carinho, compreensão e pelas sábias palavras de
conforto nos momentos difíceis.
Aos amigos, Eduardo Miguel da Silva, André Giorgi de Oliveira, Celso Antônio da
Silveira e Fernanda Sírio Lima pelo apoio, amizade, pelos inesquecíveis momentos de lazer e
por tornar todos os momentos difíceis em momentos de muita alegria e paz.
Aos amigos, Ricardo Carrasco Carpio, Juraci Lourenço Teixeira, Ana Paula Moni,
Lorena Castilho, Marcos Antônio R. Santos e Edna R. Silva pelo incentivo, pela amizade e
força.
Ao meu orientador, Prof. Dr. Ramiro G. Ramirez Camacho, pela confiança depositada
em mim, amizade e pelo incentivo.
Aos Professores, Waldir de Oliveira, Genésio José Menon, Nelson Manzanares Filho e
Marcos Theiss Neves, pelos ensinamentos, pelas valiosas sugestões e amizade.
Aos professores, Marcos Aurélio de Souza, Luiz Fernando Barca e sua equipe do
laboratório SEPFAS-UNIFEI, pelo apoio e toda ajuda durante os ensaios experimentais.
Aos funcionários do IEM, Wanderlei, Carlos e César, pelo carinho e amizade.
A PETROBRAS e a CAPES, pelo suporte financeiro.
Agradeço a todos que participaram na realização deste trabalho.
“A sabedoria não nos é dada. É preciso descobri-la por nós mesmos,
depois de uma viagem que ninguém nos pode poupar ou fazer por nós.”
Marcel Proust
Resumo
SANTOS, M. M. (2010), Simulação Numérica do Escoamento Bifásico Óleo-Água em
Tubos, Itajubá, 99p. Dissertação (Mestrado em Dinâmica dos Fluidos e Máquinas de
Fluxo) - Instituto de Engenharia Mecânica, Universidade Federal de Itajubá.
A simulação numérica de escoamentos bifásicos através das técnicas de CFD tem-se
tornado indispensável na análise de escoamentos complexos, possibilitando o estudo de
diferentes geometrias e condições de contorno. O presente trabalho tem como objetivo
simular o escoamento bifásico óleo-água, incompressível, isotérmico e permanente em tubos.
Para solução numérica do escoamento utilizou-se o software FLUENT
®
. Foram analisados
vários casos de estudo para a análise da estratificação do escoamento bifásico, dentre os quais:
refinamento da malha na região da interface, tubo reto horizontal, tubo com curva, tubo com
inclinações ascendente e descendente, variação do diâmetro da gota de óleo, análise da perda
de carga em função da variação do diâmetro da gota de óleo e da concentração de óleo e
análise do tempo de residência das partículas. Os resultados da simulação numérica para o
tubo reto horizontal foram comparados e validados qualitativamente com resultados
experimentais obtidos no Laboratório de Separação de Fases da UNIFEI.
Palavras-chave
Simulação Numérica, Escoamento Bifásico Óleo-Água, Dinâmica dos Fluidos
Computacional (CFD).
Abstract
SANTOS, M. M. (2010), Numerical Simulation of Oil-Water Two-phase Flow in Tubes,
Itajubá, 99p. MSc. Dissertation - Instituto de Engenharia Mecânica, Universidade
Federal de Itajubá.
The numerical simulation of two-phase flow by CFD techniques has become
indispensable in the analysis of complex flows, allowing the study of different geometries and
boundary conditions. This work aims to simulate the oil-water two-phase flow,
incompressible, isothermal, steady state in the tubes. Was used for numerical solution of the
flow the FLUENT
®
software. Several case studies was realized for the analysis of stratified
two-phase flow, among them: the mesh refinement in the region of the interface, horizontal
straight tube, curved tube, tube inclination (upward and downward), variation of the diameter
of oil droplet, analysis of pressure loss due to the variation of the diameter of the oil droplet
and the oil concentration and analysis of the residence time of particles. The results of
numerical simulation for horizontal straight tube were compared and validated qualitatively
with experimental results obtained in the Laboratório de Separação de Fases da UNIFEI.
Keywords
Numerical Simulation, Oil-Water Two-phase Flow, Computational Fluid Dynamics
(CFD).
i
Sumário
SUMÁRIO..................................................................................................................................i
LISTA DE FIGURAS..............................................................................................................iv
LISTA DE TABELAS..........................................................................................................viiv
SIMBOLOGIA ......................................................................................................................viii
LETRAS LATINAS ..............................................................................................................viii
LETRAS GREGAS.................................................................................................................ix
ABREVIATURAS...................................................................................................................ix
SIGLAS .....................................................................................................................................x
CAPÍTULO 1............................................................................................................................1
INTRODUÇÃO ........................................................................................................................1
1.1 Motivação.........................................................................................................................2
1.2 Objetivos...........................................................................................................................3
1.3 Estrutura do Trabalho.......................................................................................................3
CAPÍTULO 2............................................................................................................................5
REVISÃO DA LITERATURA ...............................................................................................5
2.1 Identificação dos Padrões de Escoamento........................................................................5
2.2 Classificação dos Padrões de Escoamento Óleo-Água.....................................................6
2.3 Mapas dos Padrões de Escoamento..................................................................................9
2.4 Dinâmica dos Fluidos Computacional (CFD)................................................................12
2.5 Dinâmica dos Fluidos Computacional (CFD) Aplicada a Sistemas Multifásicos..........13
2.6 Modelagem de Escoamentos Multifásicos.....................................................................17
2.6.1 Abordagem Euleriana-Lagrangiana........................................................................17
2.6.2 Abordagem Euleriana-Euleriana .............................................................................18
ii
CAPÍTULO 3..........................................................................................................................23
DINÂMICA DOS FLUIDOS COMPUTACIONAL (CFD) E MODELO
MATEMÁTICO .....................................................................................................................23
3.1 Dinâmica dos Fluidos Computacional (CFD)................................................................23
3.1.1 Procedimento de Solução em CFD..........................................................................25
3.1.2 Geração de Malhas Computacionais .......................................................................27
3.2 Modelo Matemático........................................................................................................30
3.2.1 Fração Volumétrica .................................................................................................30
3.2.2 Equações de Conservação .......................................................................................31
3.2.3 Forças Atuantes entre as Fases................................................................................33
CAPÍTULO 4..........................................................................................................................38
PROCEDIMENTO EXPERIMENTAL...............................................................................38
4.1 Descrição do Banco de Ensaios......................................................................................38
4.1.1 Sistema de Bombeamento e Estocagem dos Fluidos...............................................42
4.2 Propriedades Físicas dos Fluidos....................................................................................42
4.3 Metodologia para Determinação da Distribuição do Tamanho das Partículas...............43
4.3.1 Determinação do Diâmetro da Gota de Óleo...........................................................44
CAPÍTULO 5..........................................................................................................................47
RESULTADOS E DISCUSSÕES .........................................................................................47
5.1 Simulação Numérica.......................................................................................................47
5.1.1 Geometria e Malha ..................................................................................................48
5.1.2 Condições de Contorno ...........................................................................................48
5.1.3 Discretização e Esquema de Interpolação...............................................................49
5.2 Resultados e Discussões.................................................................................................50
5.2.1 Análise da Malha na Estratificação.........................................................................50
5.2.2 Validação do Escoamento Bifásico Óleo-Água ......................................................57
5.2.3 Análise da Influência da Curvatura do Tubo na Estratificação...............................61
5.2.4 Análise da Influência do Diâmetro da Gota de Óleo na Estratificação...................65
5.2.5 Análise da Influência da Inclinação do Tubo na Estratificação ..............................66
5.2.6 Análise da Perda de Carga em Função do Diâmetro da Gota de Óleo....................67
5.2.7 Análise da Perda de Carga em Função da Variação da Concentração de Óleo.......68
5.2.8 Análise do Tempo de Residência das Partículas Numéricas...................................69
CAPÍTULO 6..........................................................................................................................71
CONCLUSÕES E SUGESTÕES FUTURAS ......................................................................71
6.1 Conclusões......................................................................................................................71
iii
6.2 Sugestões Futuras...........................................................................................................72
REFERÊNCIAS BIBLIOGRÁFICAS .................................................................................74
ANEXO A................................................................................................................................80
iv
Lista de Figuras
Figura 2.1 - Comparação dos mapas experimentais dos padrões de escoamento com os
resultados de Arirachakarn et al. (1989). Fonte: Angeli e Hewitt (2000)...........10
Figura 2.2 - Comparação dos mapas experimentais dos padrões de escoamento com os
resultados de Nädler e Mewes (1995). Fonte: Angeli e Hewitt (2000)...............10
Figura 2.3 - Mapa dos padrões de escoamento óleo-água a partir de dados experimentais
definido por Torres-Monzón (2006). Fonte: Torres-Monzón (2006).................11
Figura 2.4 - Comparação do modelo unificado de Barnea (1987) e dados de Nädler e Mewes
(1997). Fonte: Xu (2007).....................................................................................12
Figura 3.1 - Resumo do procedimento para solução de um problema utilizando CFD. ..........24
Figura 3.2 - Tipos de malhas computacionais: estruturada, não-estruturada e híbrida. ...........28
Figura 4.1 - Vista geral do banco de ensaios. (1) Conversores de frequência, (2) Bombas de
cavidade progressiva, (3) Tubo de acrílico..........................................................39
Figura 4.2 - Esquema do banco de ensaios...............................................................................40
Figura 4.3 - Gerador de emulsão..............................................................................................41
Figura 4.4 - Caixa de acrílico para visualização do escoamento (0,15 x 0,05 x 0,12 m).........41
Figura 4.5 - Variação da viscosidade em função da temperatura do óleo................................43
Figura 4.6 - Princípio de determinação da distribuição do tamanho de partículas por difração a
laser. Fonte: Ramalho e Oliveira (1999)..............................................................44
Figura 4.7 - Variação do diâmetro da gota de óleo para 3% de óleo em água........................45
Figura 4.8 - Variação do diâmetro da gota de óleo para 15% de óleo em água.......................45
Figura 5.1 - Malha sem refino na região da interface no plano transversal. ............................51
v
Figura 5.2 - Contornos da fração volumétrica do óleo em diferentes planos transversais do
tubo para uma malha sem refino na interface – 3% de óleo................................52
Figura 5.3 - Interface de estratificação para diferentes frações volumétricas de óleo no plano
longitudinal central para uma malha sem refino na interface – 3% de óleo........52
Figura 5.4 - Malha com refino na região da interface no plano transversal.............................53
Figura 5.5 - Contornos da fração volumétrica do óleo em diferentes planos transversais do
tubo para uma malha com refino na interface – 3% de óleo. ..............................54
Figura 5.6 - Interface de estratificação para diferentes frações volumétricas de óleo no plano
longitudinal central para uma malha com refino na interface – 3% de óleo. ......54
Figura 5.7 - Contornos da fração volumétrica do óleo em diferentes planos transversais do..55
Figura 5.8 - Interface de estratificação para diferentes frações volumétricas de óleo no plano
longitudinal central para uma malha sem refino na interface – 15% de óleo......56
Figura 5.9 - Contornos da fração volumétrica do óleo em diferentes planos transversais.......57
Figura 5.10 - Interface de estratificação para diferentes frações volumétricas de óleo no plano
longitudinal central para uma malha com refino na interface – 15% de óleo. ....57
Figura 5.11 - Geometria parcial e malha..................................................................................62
Figura 5.12 - Contornos da fração volumétrica do óleo para 3% - raio da curva = 0,0216 m...
..................................................................................................................................................63
Figura 5.13 - Contornos da fração volumétrica do óleo em planos transversais......................63
Figura 5.14 - Contornos da fração volumétrica do óleo para 3% - raio da curva = 0,0648 m...
..................................................................................................................................................64
Figura 5.15 - Contornos da fração volumétrica do óleo para 3% - raio da curva = 0,140 m.....
..................................................................................................................................................64
Figura 5.16 - Interface de estratificação para variação do diâmetro das gotas de óleo............65
Figura 5.17- Interface de estratificação para diâmetro de gota. a) D
g
= 340 µm, b) D
g
=
680 µm.................................................................................................................66
Figura 5.18 - Interface de estratificação para fração volumétrica de 0,65 de óleo em tubos
inclinados e perfis de velocidade da fase óleo.....................................................67
Figura 5.19 - Variação da pressão estática em função da concentração de óleo......................69
Figura 5.20 - Trajetória das partículas numéricas ao longo do tubo... .....................................70
vi
Figura 5.21 - Tempo de residência das partículas ...................................................................70
Figura A1 – Distribuição do tamanho das gotas de óleo para 3%............................................81
Figura A2 – Distribuição do tamanho das gotas de óleo para 15%..........................................81
vii
Lista de Tabelas
Tabela 2.1- Descrição dos principais padrões de escoamento definidos por Trallero (1995).
Fonte: Adaptada de Torres-Monzón, 2006............................................................7
Tabela 4.1 - Propriedades físicas da água e do óleo.................................................................42
Tabela 4.2 - Média do diâmetro da gota de óleo obtidos por difração a laser..........................46
Tabela 5.1 - Condições de contorno utilizadas nas simulações................................................49
Tabela 5.2 - Dados da simulação numérica para a malha sem e com refino – 3% de óleo......50
Tabela 5.3 - Dados da simulação numérica para a malha sem e com refino – 15% de óleo....55
Tabela 5.4 - Visualização do escoamento bifásico óleo-água para 3% de óleo - experimental e
simulação.............................................................................................................59
Tabela 5.5 - Visualização do escoamento bifásico óleo-água para 15% de óleo - experimental
e simulação..........................................................................................................60
Tabela 5.6 - Relações geométricas para o tubo com curva. .....................................................62
Tabela 5.7 - Variação da pressão estática em função do diâmetro da gota de óleo. ................68
viii
Simbologia
Letras Latinas
x
V
Volume da fase x
m
&
Taxa de transferência de massa entre as fases
q
ν
r
Velocidade da fase
q
g
r
Aceleração da gravidade
pq
R
r
Força de interação entre as fases
pq
ν
r
Velocidade interfacial
q
F
r
Força de campo externa
lift
F
r
Força de sustentação
mv
F
r
Força de massa virtual
p
Pressão
pq
K
Coeficiente de troca de quantidade de movimento na interface
p
t
Tempo de relaxação da partícula
p
d
Diâmetro da partícula da fase p
D
g
Diâmetro da gota de óleo
f
Fator de atrito
D
C
Coeficiente de arrasto
Re Número de Reynolds
L Comprimento do tubo
C
óleo
Concentração de óleo
ix
Letras Gregas
α
Fração volumétrica
ρ
ˆ
Massa específica efetiva
ρ
Massa específica
φ
Grandeza escalar ou vetorial
τ
Tensor tensão de cisalhamento
λ
Viscosidade bulk
µ
Viscosidade dinâmica
Abreviaturas
CFD Dinâmica dos Fluidos Computacional
CAD Computer Aid Design
UDF User Define Funtions
VOF Volume of Fluid
S.O. Sistema Operacional
x
Siglas
IEM Instituto de Engenharia Mecânica
LHV Laboratório de Hidrodinâmica Virtual
SEPFAS Laboratório de Separação de Fases
UNIFEI Universidade Federal de Itajubá
VSE Vale Soluções em Energia
1. Capítulo 1
INTRODUÇÃO
Escoamentos multifásicos são encontrados em muitos processos industriais, como nas
indústrias petrolífera, química, farmacêutica, alimentícia, agrícola, etc. Escoamento
multifásico é o termo usado para se referir a qualquer escoamento simultâneo de duas ou mais
fases em contato direto em um determinado sistema. O presente trabalho visa o estudo do
escoamento bifásico óleo-água em tubos.
Dependendo das combinações das fases, escoamentos bifásicos podem ser classificados
como: gás-partícula, líquido-sólido, gás-líquido e líquido-líquido, sendo este último o foco
principal deste trabalho. Escoamento líquido-líquido em tubos horizontais podem assumir
diferentes configurações geométricas denominadas padrões de escoamento. Dentre os
padrões conhecidos para escoamento bifásico óleo-água em tubos horizontais será estudado o
padrão de escoamento estratificado. Este padrão de escoamento se caracteriza pela separação
gravitacional das fases, separadas por uma interface. O padrão de escoamento estratificado
ocorre para baixas velocidades de mistura.
Escoamentos bifásicos são governados por leis de conservação, como conservação da
massa, da quantidade de movimento e da energia. Essas leis são expressas em termos de
equações diferenciais parciais não-lineares. Essas equações não possuem solução analítica
devido a não-linearidade. Portanto, para se obter a solução dessas equações faz-se o uso de
técnicas computacionais, como a Dinâmica dos Fluidos Computacional.
A Dinâmica dos Fluidos Computacional ou CFD (Computational Fluid Dynamics) é
área da computação científica que estuda métodos computacionais para simulação de
2
fenômenos que envolvem fluidos em movimento com ou sem troca de calor, isto é, a técnica
que busca por meio da simulação numérica resolver as equações de conservação que
descrevem o escoamento. A simulação em CFD é feita pela discretização das equações
diferenciais parciais de conservação através de métodos numéricos.
A CFD pode ser utilizada para o cálculo dos mais diversos fenômenos, como
dissipação, difusão, convecção, ondas, superfícies livres e turbulência. Esses fenômenos estão
associados aos mais diversos tipos de escoamentos, como na aerodinâmica, combustão,
transporte multifásico em tubos, entre outros.
Atualmente existem vários softwares comerciais, como por exemplo, FLUENT
®
, CFX
®
,
PHOENICS
®
, entre outros usados na solução de uma grande quantidade de problemas, desde
escoamentos simples a escoamentos complexos. Estes softwares são baseados nos mesmos
princípios físicos e matemáticos, diferenciados pela forma de implementação numérica e pelo
tratamento gráfico das soluções. Neste trabalho o software de CFD utilizado para a realização
das simulações numéricas do escoamento bifásico óleo-água em tubos foi o FLUENT
®
.
1.1 MOTIVAÇÃO
O fluxo simultâneo de óleo e água em oleodutos ocorre comumente na indústria de
petróleo, onde o óleo cru e a água são produzidos em poços, transportados em oleodutos e
separados nas instalações de processo. A indústria de petróleo é uma das principais
interessada em estudos relacionados à estratificação do escoamento óleo-água. Esta vem
apresentando grande interesse na utilização das técnicas de CFD aplicadas ao escoamento
bifásico óleo-água.
A simulação numérica de escoamentos bifásicos, através das técnicas de CFD, tem-se
tornado de grande interesse devido à complexidade desse tipo de escoamento. Com o avanço
da simulação numérica, é atualmente possível simular um escoamento bifásico e obter o
apenas as propriedades globais do escoamento como perda de carga, mas também
propriedades locais do campo de escoamento como os perfis de velocidade e pressão e as
trajetórias das linhas de corrente do escoamento.
3
A Dinâmica dos Fluidos Computacional (CFD) vem se mostrando uma ferramenta
poderosa, complementando trabalhos experimentais e teóricos, fornecendo informações úteis
em condições onde a realização de ensaios experimentais é complexa e de alto custo.
1.2 OBJETIVOS
Os objetivos do presente trabalho podem ser citados da seguinte maneira:
- Objetivo Geral
Realizar simulações numéricas do escoamento bifásico óleo-água em tubos
utilizando técnicas de Dinâmica Computacional dos Fluidos (CFD), visando à
estratificação do escoamento.
- Objetivos Específicos
Comparar e validar (qualitativamente) os resultados da simulação numérica, para
um caso de estudo, com os resultados experimentais obtidos no Laboratório de
Separação de Fases (SEPFAS) da UNIFEI.
Analisar a importância do refinamento da malha na região da interface no
comportamento da estratificação.
Analisar através da simulação numérica a influência da curvatura do tubo, do
diâmetro da gota de óleo e da inclinação do tubo na estratificação do
escoamento.
Analisar através da simulação a perda de carga em função do diâmetro da gota
de óleo e da variação da concentração de óleo.
Analisar o tempo de residência das partículas no tubo.
1.3 ESTRUTURA DO TRABALHO
Este trabalho está estruturado da seguinte maneira:
4
Capítulo 1 aborda uma introdução sobre o tema, assim como a motivação, os
objetivos a serem alcançados e a forma como este trabalho foi desenvolvido.
Capítulo 2 apresenta uma revisão bibliográfica dos padrões de escoamentos
óleo-água, como a identificação, a classificação e os mapas correspondentes ao
escoamento bifásico. Apresenta-se também, uma revisão sobre Dinâmica dos
Fluidos Computacional (CFD) e aplicações desta ferramenta a sistemas
multifásicos, assim como a modelagem matemática de escoamentos
multifásicos.
Capítulo 3 discorre sobre Dinâmica dos Fluidos Computacional (CFD),
envolvendo as etapas de solução e os tipos de malhas computacionais. Neste
capítulo descreve-se a formulação do modelo utilizado no presente trabalho.
Capítulo 4 descreve o banco de ensaios, as propriedades físicas do óleo e da
água e a metodologia para determinação do diâmetro das gotas de óleo.
Capítulo 5 apresenta os resultados obtidos na simulação numérica e a
comparação e validação qualitativa de um caso de estudo com resultados
experimentais.
Capítulo 6 traz as principais conclusões obtidas e sugestões para trabalhos
futuros.
2. Capítulo 2
REVISÃO DA LITERATURA
Este capítulo tem por objetivo apresentar uma revisão sobre os padrões de escoamento
bifásico óleo-água, Dinâmica dos Fluidos Computacional (CFD) e modelagem de
escoamentos multifásicos. Sobre os padrões de escoamentos serão apresentados os métodos
de identificação, classificação e mapas dos padrões. Apresenta-se uma visão geral sobre CFD,
assim como trabalhos utilizando esta técnica em sistemas multifásicos. Serão apresentadas as
abordagens para a modelagem de escoamentos multifásicos, os modelos disponíveis e as
forças que atuam na interface fluido-fluido.
2.1 IDENTIFICAÇÃO DOS PADRÕES DE ESCOAMENTO
Durante o escoamento simultâneo de óleo e água em tubos horizontais a deformação da
interface entre os dois fluidos pode adquirir diferentes configurações, conhecidas como
padrões de escoamento. O interesse sobre os padrões de escoamento em sistema líquido-
líquido reside no fato de cada padrão de escoamento ter características hidrodinâmicas únicas.
A formação de cada padrão de escoamento depende das velocidades, fração
volumétrica, massa específica e viscosidade de cada fase, das características de molhabilidade
da parede do tubo (Angeli e Hewitt, 2000), da rugosidade da tubulação e da presença de
componentes adicionais na mistura (Shi et al., 1999).
6
A identificação dos diferentes padrões de escoamento óleo-água pode ser feita
utilizando os seguintes métodos:
Visualização através de tubos transparentes. A visualização é feita usando
técnicas de fotografias e vídeo. Os primeiros estudos feitos por Russel et al.
(1959) e Charles et al. (1961), juntamente com o trabalho de Arirachakaran et
al. (1989) fazem uso desta técnica.
Uso de sondas de condutividade (Trallero, 1995; Nädler e Mewes, 1997),
assim como o uso de sonda de impedância de alta frequência (Angeli e Hewitt,
2000; Lovic e Angeli, 2004).
Densitometria de raios gama usada por Kvandal et al. (2000) e Elseth (2001)
representa outro método útil.
2.2 CLASSIFICAÇÃO DOS PADRÕES DE ESCOAMENTO
ÓLEO-ÁGUA
A partir dos estudos iniciais de Russel et al. (1959) e Charles et al. (1961), diferentes
padrões de escoamento óleo-água foram definidos. Charles et al. (1961) observaram os
seguintes padrões: bolhas de óleo na água, bolhas de água no óleo, bolhas dispersas de óleo na
água, bolhas dispersas de água no óleo, intermitente e anular. Russel et al. (1959) observaram
padrões de escoamento misturado, estratificado e com bolhas.
Desde 1990, com o avanço das técnicas de instrumentação, diferentes padrões de
escoamento foram identificados com mais precisão e os padrões de escoamento óleo-água
foram analisados mais cuidadosamente como relatados nos trabalhos de: Trallero (1995),
Nädler e Mewes (1997), Shi et al. (1999) e Angeli e Hewitt (2000).
Trallero (1995) tentou padronizar a classificação dos padrões de escoamento óleo-água
em tubos horizontais com base nos trabalhos anteriores de Guzhov et al. (1973) e Nädler e
Mewes (1995). Foram observados os seguintes padrões: estratificado (ST), estratificado com
mistura na interface (ST&MI), dispersão de óleo em água com uma camada de água
(DO/W&W), dispersão de óleo em água (DO/W), dispersão dual (DO/W&W/O) e dispersão
7
de água em óleo (DW/O). Na Tabela 2.1 podem ser observados os padrões de escoamento
definidos por Trallero (1995).
Tabela 2.1- Descrição dos principais padrões de escoamento definidos por Trallero (1995).
Fonte: Adaptada de Torres-Monzón, 2006.
ESCOAMENTO ESTRATIFICADO (ST) - Neste
padrão de escoamento, as duas fases líquidas fluem
como camadas, com o menos denso, normalmente
óleo, na parte superior do tubo e o mais denso na
parte inferior, normalmente água. Alguma
ondulação pode ser observada na interface.
ESCOAMENTO ESTRATIFICADO COM
MISTURA NA INTERFACE (ST&MI) - Neste
padrão, o escoamento tende a ser estratificado, mas
instabilidades na interface geram uma zona de
mistura. A zona de mistura na interface pode ser
significativa, porém podem existir fluidos puros na
parte superior e inferior do tubo.
DISPERSÃO DE ÓLEO EM ÁGUA COM UMA
CAMADA DE ÁGUA (DO/W&W) - A água é
distribuída em toda a seção transversal do tubo.
Forma-se uma camada de água limpa que escoa na
parte inferior do tubo e uma mistura com gotas de
óleo dispersas no escoamento da água na parte
superior.
DISPERSÃO DE ÓLEO EM ÁGUA (DO/W) -
Neste padrão, toda a área da seção transversal do
tubo fica ocupada por água que contém gotas de
óleo dispersas.
DISPERSÃO DUAL (DO/W&W/O) - Neste
padrão de escoamento, ocorrem duas camadas
diferentes. Ambas as fases estão presentes em toda a
seção transversal do tubo, mas na parte superior a
fase contínua é o óleo, contendo gotas de água. Na
parte inferior do tubo, a fase contínua é a água e o
óleo existe como gotas dispersas.
DISPERSÃO DE ÁGUA EM ÓLEO (DW/O) -
Neste padrão o óleo é a fase contínua e a água está
presente dispersa na forma de gotas em toda a área
da seção transversal do interior do tubo.
8
Nädler e Mewes (1997) realizaram um estudo experimental em tubo horizontal para
identificação dos padrões de escoamento óleo-água. Os padrões identificados foram:
estratificado, estratificado com mistura na interface, emulsão instável de água em óleo,
dispersão de água em óleo e camada de água, camadas de dispersões e camadas de água,
dispersão de óleo em água e camada de água e emulsão de óleo em água.
Angeli e Hewitt (2000) estudaram os padrões de escoamento óleo-água em tubos
horizontais. A identificação dos padrões foi feita através da análise visual e através da
determinação das frações volumétricas locais, utilizando uma sonda de impedância de alta
frequência. Para escoamentos dispersos, a fase contínua foi reconhecida com uma sonda de
condutividade. Os padrões observados foram: estratificado ondulado (SW), estratificado
ondulado com gotas (SWD), fluxo de três camadas (3L), estratificado misturado com camada
de água (SM/água), estratificada misturado com camada de óleo (SM/óleo), misturado(M). Os
autores trabalharam com uma relação de viscosidade baixa e o fluxo anular não foi observado.
Elseth (2001) realizou um estudo experimental do escoamento óleo-água em tubos
horizontais. Os diferentes padrões de escoamento foram identificados através da observação
visual e densitometria transversal por raios gama. Os padrões observados foram: estratificado
suave, estratificado ondulado, estratificado misturado com gotas de água no óleo, estratificado
misturado com gotas de óleo na água, estratificado misturado com gotas de água no óleo e
gotas de óleo na água, dispersão contínua de óleo com uma camada densa de gotas de água,
dispersão contínua de água com camada densa de gotas de óleo, dispersão contínua de óleo
não homogênea dispersão contínua de água não homogênea, dispersão contínua de óleo
homogênea, dispersão contínua de água homogênea.
Simmons e Azzopardi (2001) analisaram experimentalmente a influência na distribuição
do tamanho de gotas em escoamentos dispersos quido-líquido em tubo horizontal. Foram
observados os seguintes padrões de escoamento: estratificado, estratificado com mistura na
interface, dispersão de óleo em água e dispersão de água em óleo.
Lovic e Angeli (2004) estudaram o padrão de escoamento dual contínuo em tubo
horizontal utilizando óleo e água como fluidos de trabalho. A identificação do padrão dual
contínuo foi feita através de uma sonda de impedância e uma sonda de condutividade. Foram
obtidos dados com relação aos gradientes de pressão, fração volumétrica local e distribuição
das fases.
9
Rodrigues e Oliemans (2006) realizaram um estudo experimental do escoamento óleo-
água em tubos horizontais e ligeiramente inclinados. Os padrões observados foram:
estratificado (ST), estratificado ondulado (SW), estratificado com mistura na interface
(ST&MI), dispersão de óleo em água com uma camada de água (DO/W&W), dispersão de
óleo em água (DO/W) dispersão de água em óleo (DW/O) e dispersão de água em óleo e óleo
em água (DW/O&DO/W). Segundo os autores, os padrões observados apresentaram uma boa
concordância com a classificação proposta por Trallero (1995). A única diferença foi o padrão
estratificado ondulado (SW), observado nas inclinações ascendentes e descendentes.
2.3 MAPAS DOS PADRÕES DE ESCOAMENTO
Na literatura existe uma variedade de mapas para escoamento bifásico em tubos
horizontais. Os mapas apresentam uma classificação dos padrões de escoamento limitados
pelas fronteiras de transição num sistema de coordenadas (ver Figuras 2.3 e 2.4). Os padrões
de escoamento ocorrem em sistemas com características definidas e com propriedades dos
fluidos conhecidas. Mapas construídos a partir de determinadas características e propriedades
do fluido não são necessariamente válidos para outros casos.
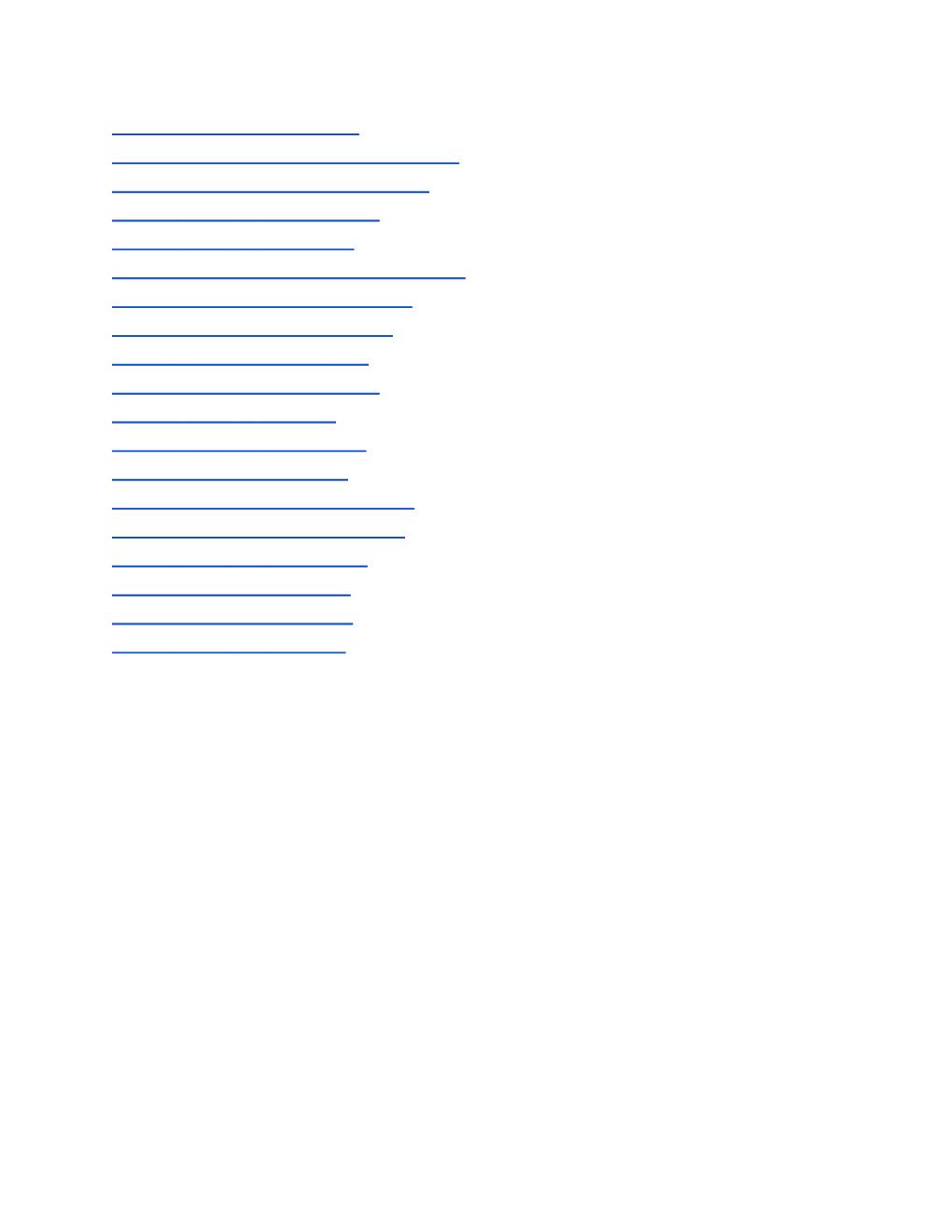
Angeli e Hewitt (2000) realizaram uma comparação dos mapas experimentais dos
padrões de escoamento com resultados obtidos por Arirachakarn et al. (1989) e Nädler e
Mewes (1995) em tubos de aço inoxidável e acrílicos, conforme as Figuras 2.1 e 2.2. Na
Figura 2.1 (a e b), observa-se que Arirachakarn et al. (1989) não relataram qualquer padrão de
escoamento semelhante ao de três camadas, enquanto que no estudo de Angeli e Hewitt
(2000) não foi observado o escoamento anular. Segundo Angeli e Hewitt (2000), as diferenças
entre os dois mapas da Figura 2.1(a) no escoamento contínuo de óleo poderiam ser devidas
aos diferentes tipos de óleo utilizados nos experimentos. A incoerência entre os dois mapas,
no tubo de acrílico, Figura 2.1(b), foi provavelmente devido ao material diferente dos tubos
utilizados. Na Figura 2.2, observa-se que Nädler e Mewes (1995) também não observaram
qualquer padrão de escoamento anular. Além disso, Angeli e Hewitt (2000) relataram uma
região indefinida entre os fluxos contínuos dispersos óleo e água, que se assemelha ao padrão
de três camadas, como pode ser observado na Figura 2.2 regiões IIIa e IIIb.
10
Input water volume fraction
Mixture velocity, m/s
Input water volume fraction
Mixture velocity, m/s
(a)
Mixture velocity, m/s
Input water volume fraction
Mixture velocity, m/s
Input water volume fraction
(b)
Figura 2.1
- Comparação dos mapas experimentais dos padrões de escoamento com os resultados
de Arirachakarn et al. (1989). (a) Tubo de aço inoxidável. (b) Tubo de acrílico. Regimes definidos
por Angeli e Hewitt (2000): , estratificado ondulado (SW); , estratificado misturado/água
(SW/água); ---, limites de continuidade da fase; , estratificado ondulado/gotas (SWD); ,
estratificado misturado/óleo (SM/óleo); , três camadas (3L); +, misturado (M). Regimes
definidos por Arirachakarn et al. (1989), (limites dados pelas linhas contínuas): S, estratificado;
SMO, estratificado-misturado/camada de óleo; SMW, estratificado-misturado/camada de água;
AO, anular/anel de óleo; DO, misturado-óleo contínuo; DW, misturado-água contínuo. Fonte:
Angeli e Hewitt (2000).
Mixture velocity, m/s
Input water volume fraction
Mixture velocity, m/s
Input water volume fraction
(a)
Mixture velocity, m/s
Input water volume fraction
Mixture velocity, m/s
Input water volume fraction
(b)
Figura 2.2 - Comparação dos mapas experimentais dos padrões de escoamento com os resultados
de Nädler e Mewes (1995). (a) Tubo de aço inoxidável. (b) Tubo de acrílico. Regimes definidos
por Angeli e Hewitt (2000): , estratificado ondulado (SW); , estratificado misturado/água
(SW/água); ---, limites de continuidade da fase; , estratificado ondulado/gotas (SWD); ,
estratificado misturado/óleo (SM/óleo); , três camadas (3L); +, misturado (M). Regimes
definidos por Nädler e Mewes (1995), (limites dados pelas linhas contínuas): I, estratificado; II,
misturado/óleo; IIIa, dispersão de água em óleo e água; IIIb, dispersões de água em óleo e óleo
em água e água; IV, dispersão de óleo em água e camada de água; V, misturado/água. Fonte:
Angeli e Hewitt (2000).
11
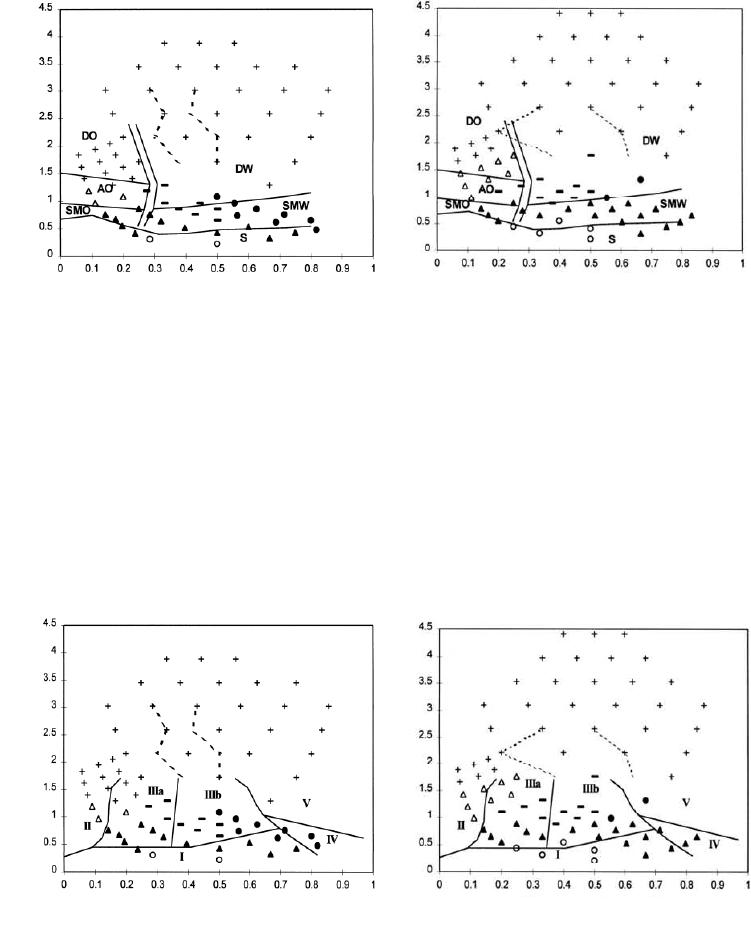
O trabalho de Torres-Monzón (2006) é um dos estudos mais recentes na previsão das
transições dos padrões de escoamento. Neste trabalho, o autor apresenta um mapa dos
padrões de escoamento a partir de dados experimentais com base no trabalho de Trallero
(1995). A Figura 2.3 mostra o mapa dos padrões de escoamento óleo-água em tubo horizontal
para diferentes regiões, separadas por limites de transição definidos por Torres-Monzón
(2006) após o trabalho de Trallero (1995). Neste mapa, pode-se visualizar os seis principais
padrões de escoamento e suas velocidades correspondentes. O mapa dos padrões de
escoamento apresentado, leva em conta a velocidade da fase água (Uws) e a velocidade da
fase óleo (Uos).
Uos (m/s)
Uws (m/s)
Uos (m/s)
Uws (m/s)
Figura 2.3 - Mapa dos padrões de escoamento óleo-água a partir de dados experimentais
definido por Torres-Monzón (2006). Regimes definidos por Torres-Monzón (2006): ,
estratificado; , estratificado com mistura na interface; , dispersão de óleo em água com
uma camada de água; , óleo em água; x, dispersão dual; , água em óleo. Fonte: Torres-
Monzón (2006).
Xu (2007) apresenta a comparação do modelo unificado de Barnea (1987) e dados de
Nädler e Mewes (1997). De acordo com Xu (2007), a Figura 2.4 mostra que o modelo de
Barnea (1987) e Nädler e Mewes (1997) não previu a região de água dominante (DO/W & W
e O/W) considerando que todo óleo que dominou os padrões de escoamento (DW/O & DO/W
e W/O) foram classificados como escoamento anular.
12
Figura 2.4 - Comparação do modelo unificado de Barnea (1987) e dados de Nädler e Mewes
(1997). Regimes definidos: , estratificado; , estratificado com mistura na interface; ,
dispersão de óleo em água e água; , óleo em água; x, dispersão dual (óleo em água e água
em óleo); , dispersão de água em óleo e água; , água em óleo. Fonte: Xu (2007).
2.4 DINÂMICA DOS FLUIDOS COMPUTACIONAL (CFD)
A Dinâmica dos Fluidos Computacional ou CFD (Computational Fluid Dynamics)
consiste na solução das equações de conservação da massa, da quantidade de movimento e
energia, através de métodos numéricos. Aplicações industriais desta técnica de análise e
simulação de processos iniciaram-se a partir de 1995 em situações denominadas “gargalos” de
processo.
A partir da segunda metade do século XX, a Dinâmica dos Fluidos Computacional
(CFD) começou a ser utilizada como ferramenta de análise por muitos pesquisadores para
concluir seus trabalhos mais rapidamente e com menor custo.
O objetivo da Dinâmica dos Fluidos Computacional é ajudar a entender os eventos
físicos que ocorrem em um escoamento de fluidos, em um determinado volume de controle,
através da simulação computacional dos fenômenos que os envolve. A simulação em CFD é
feita pela discretização das equações diferenciais parciais das equações de conservação que
descrevem o escoamento, (Fortuna, 2000; Lomax et al., 2001).
13
Segundo Fortuna (2000), apesar da Dinâmica dos Fluidos Computacional auxiliar na
compreensão do que acontece em um determinado escoamento, esta é considerada apenas
uma ferramenta.
A Dinâmica dos Fluidos Computacional tem sido utilizada em diversas áreas, como
engenharia aeronáutica, engenharia ambiental, engenharia costeira, medicina, escoamentos
com reações químicas, escoamentos multifásicos, entre outras.
Segundo Massah e Oshinowo (2000), algumas das principais vantagens da aplicação de
CFD são:
Oferece flexibilidade de alterar as configurações do problema sem grandes
investimentos. O investimento é menor quando comparado com experimentos
laboratoriais.
Tem um tempo de resposta mais rápido do que as experiências em laboratório,
proporcionando uma maior quantidade de análises.
Fornece informações relevantes sobre as variáveis locais do campo de
escoamento.
Fornece informações em regiões de difícil ou de impossível obtenção de dados a
partir de experimentos laboratoriais.
Existem softwares comerciais, como o FLUENT
®
, o CFX
®
, o PHOENICS
®
, entre
outros, destinados a resolver problemas através da técnica de CFD. Embora, inicialmente, o
método numérico mais aplicado para resolução das equações de conservação em dinâmica dos
fluidos se baseasse em elementos finitos, os softwares atuais baseiam-se no método dos
volumes finitos. Conforme Maliska (2004), a preferência pelo método dos volumes finitos é
em função da robustez devido às características conservativas deste método.
2.5 DINÂMICA DOS FLUIDOS COMPUTACIONAL (CFD)
APLICADA A SISTEMAS MULTIFÁSICOS
A literatura apresenta uma considerável quantidade de trabalhos que utilizam técnicas
de CFD para análise de escoamentos multifásicos, porém para o caso específico de óleo-água
14
não se encontram muitos trabalhos disponíveis. A seguir serão apresentados alguns trabalhos
aplicados a sistemas gás-líquido, líquido-líquido, gás-sólido e líquido-sólido.
Boisson e Malin (1996) apresentam um trabalho utilizando técnicas de CFD aplicadas
em colunas de bolhas. Os autores apresentam um modelo bidimensional baseado nas equações
de conservação para mistura gás-líquido. No modelo, foram adicionadas equações para as
forças interfaciais como força de massa virtual, força de arrasto, força de sustentação e forças
interfaciais de pressão. O modelo de turbulência k-ε foi utilizado. O método numérico
utilizado foi o método dos volumes finitos implementado no software comercial
PHOENICS
®
. A validação do modelo foi feita através da comparação com dados
experimentais.
Delnoij et al. (1997) apresentam um modelo hidrodinâmico para um escoamento
bifásico gás-líquido. O modelo é baseado em uma abordagem Euleriana-Lagrangiana para
descrever a fluidodinâmica de colunas de bolha. O movimento destas bolhas é calculado a
partir do balanço de força para cada bolha individualmente. As equações da conservação da
massa e quantidade de movimento, como as equações constitutivas para as forças de arrasto,
sustentação, massa virtual e interações bolha-bolha, caracterizam o modelo bifásico e
bidimensional. O modelo foi validado com dados experimentais da literatura.
Podowski (1999) apud Paladino (2005) apresenta em seu trabalho a modelagem de um
escoamento bifásico em tubo, utilizando o software comercial CFX
®
. São apresentados alguns
modelos de transferência interfacial para regime anular, disperso e pistonado (slug). O autor
faz uma comparação entre os termos de interface para os regimes disperso e pistonado,
mostrando a similaridade do termo de arrasto, para os diferentes regimes de escoamento.
Krishna et al. (2000) apresentam uma estratégia de intensificação de reatores de colunas
de bolhas que operam em regime de escoamento turbulento utilizando CFD. A coluna de
bolha é composta por três fases: quido, bolhas pequenas e bolhas grandes. Foi utilizada a
descrição Euleriana para modelar cada umas das fases. O modelo k-ε foi utilizado para
modelar a turbulência da fase líquida. O software utilizado para as simulações foi o CFX
®
. A
validação do modelo trifásico euleriano foi feita através da comparação de resultados
experimentais.
Mouza et al. (2001) apresentam um estudo utilizando técnicas de CFD para obter
detalhes de um escoamento gás-líquido ondulado em duas geometrias (tubulação e canal). O
software CFX
®
foi utilizado para o cálculo dos perfis de velocidades de ambas as fases e para
15
distribuição das tensões de cisalhamento interfacial, líquido-parede. Os valores calculados
apresentam uma boa concordância com os valores obtidos experimentalmente.
Paladino e Maliska (2002) apresentam um estudo de um escoamento multifásico em
medidores de vazão do tipo pressão diferencial, como medidores Venturi. Para este estudo, os
autores utilizaram o modelo de dois fluidos, cuja formulação é baseada numa abordagem
Euleriana-Euleriana para a mistura bifásica. Neste trabalho, os autores apresentam três
abordagens de modelagem para o cálculo de escoamento disperso e resultados preliminares
obtidos usando o modelo de dois fluidos e o modelo homogêneo através do software CFX
®
.
Resultados desses modelos são comparados com dados experimentais da literatura. Com
modelo de dois fluidos obteve-se melhores resultados, mas os autores afirmam que os valores
estão distante dos dados experimentais exigindo melhorias do modelo, particularmente das
forças de interface.
Decker (2003) apresenta um modelo gás-sólido inviscído, transiente e tridimensional
para o transporte vertical e horizontal de partículas. Para o transporte pneumático de
partículas foi utilizado a abordagem Euleriana-Euleriana, considerando a fase sólida como
não viscosa. Para a solução das equações diferenciais parciais do modelo foi utilizado o
software CFX
®
, o qual se baseia no método de volumes finitos para a discretização numérica.
Os resultados numéricos foram comparados com dados experimentais da literatura,
apresentando boa concordância.
Ropelato (2004) apresenta um modelo matemático gás-sólido transiente e
tridimensional como uma aproximação da dinâmica do escoamento em reatores downer. O
autor analisou a influência de diferentes configurações geométricas na entrada do reator e
observou que determinadas configurações representam com maior precisão os dados
experimentais que outras. O modelo matemático foi implementado numericamente em um
software comercial de CFD realizando vários estudos numéricos para verificação e validação
do modelo. Os estudos de verificação em CFD foram realizados no software CFX
®
. O modelo
foi validado com dados experimentais disponíveis na literatura.
Paladino (2005) apresenta um estudo numérico e experimental de escoamentos
multifásicos dispersos para medidores de vazão baseados em pressão diferencial. Dentro da
proposta experimental, o autor apresenta um estudo qualitativo a partir da visualização do
escoamento de água-ar em tubos Venturi. Para o estudo numérico, foi utilizado o modelo de
dois fluidos cuja formulação é baseada na abordagem Euleriana-Euleriana para a mistura
bifásica, através do software CFX
®
. O modelo numérico foi validado através de medidas
16
experimentais obtidas em uma bancada de testes. As visualizações do escoamento
possibilitaram uma comparação com os resultados numéricos que, embora qualitativamente,
permitiram verificar alguns pontos fundamentais em termo de distribuição de fase,
principalmente na seção divergente do Venturi.
Torres-Monzón (2006) apresenta um estudo numérico para escoamento óleo-água em
tubos horizontais e ligeiramente horizontais. O autor apresenta um modelo numérico
bidimensional para o escoamento óleo-água. O modelo é baseado na solução numérica das
equações diferenciais do escoamento utilizando o método de volumes finitos. As previsões do
modelo proposto para os campos de escoamento das duas fases mostram uma concordância
satisfatória quando comparados com dados experimentais. O modelo multifluido, incorporado
no software FLUENT
®
, foi testado e comparado com dados do escoamento óleo-água
apresentando boa concordância.
Jun et al. (2006) apresentam um estudo sobre um mecanismo de separação óleo-água
em tubos helicoidal. O estudo foi realizado através de simulação numérica e experimentos. O
modelo euleriano e o modelo de fase discreta são utilizados para a simulação do escoamento
bifásico. Segundo os autores, os resultados da simulação numérica tiveram uma boa
concordância com os resultados experimentais, demonstrando uma precisão do modelo
matemático. Em relação a eficiência dos tubos, os autores observaram que esta é função do
raio de giro, tempo de residência, pressão na entrada e na saída, diferença de densidade entre
as fases e diâmetro da gota do líquido.
Damacena et al. (2009) apresentam um estudo numérico do comportamento transiente
do escoamento multifásico tipo core-flow de óleos pesados e ultra-viscosos em tubos
horizontais através do software CFX
®
. Foi utilizado o modelo multifluido considerando o
escoamento tridimensional, laminar para a fase óleo e turbulento para a fase água (modelo k-
ε). Os autores analisaram e compararam a influência da viscosidade no escoamento core-flow
com dados apresentados na literatura obtendo uma boa concordância.
Souza et al. (2009) apresentam uma descrição dos resultados preliminares referentes à
simulação numérica da deposição de partículas em uma fenda existente em um poço produtor
de petróleo, para avaliar as tendências de assentamento das partículas em diferentes tamanhos
e formas de partículas. A simulação do problema envolvendo o escoamento fluido-sólido foi
realizada através do acoplamento dos softwares FLUENT
®
e EDEM
®
. O primeiro resolve as
equações de quantidade de movimento para o campo fluido através do método dos volumes
finitos, enquanto o segundo calcula a trajetória das partículas individuais através das leis de
17
Newton do movimento. O modelo proposto através do acoplamento entre CFD e métodos de
elementos discretos se mostrou robusto, e capaz de reproduzir diferentes regimes de
escoamento.
2.6 MODELAGEM DE ESCOAMENTOS MULTIFÁSICOS
Em escoamento multifásicos, a modelagem matemática é estabelecida com base nas
equações de conservação da massa, da quantidade de movimento e da energia. Estas
equações, quando submetidas a condições de contorno e iniciais apropriadas representam,
matematicamente, um problema particular. A solução analítica destas equações somente é
possível para escoamentos muito simples. A Dinâmica dos Fluidos Computacional vem,
então, para obter a solução dessas equações através de métodos numéricos, como por
exemplo, o Método dos Volumes Finitos.
Na literatura existem duas abordagens para a modelagem de escoamentos multifásicos:
Abordagem Euleriana-Lagrangiana
Abordagem Euleriana-Euleriana
Tais abordagens serão apresentadas a seguir. No presente trabalho adotou-se a
abordagem Euleriana-Euleriana para a modelagem do escoamento bifásico óleo-água.
2.6.1 Abordagem Euleriana-Lagrangiana
Na abordagem Euleriana-lagrangeana a fase líquida é tratada como contínua dada
através da solução das equações de Navier-Stokes nas médias temporais. Já a fase dispersa é
resolvida através do acompanhamento da trajetória de um grande número de partículas, bolhas
ou gotas através do campo de escoamento contínuo. As partículas são tratadas pela mecânica
clássica do corpo sólido, entretanto a fase dispersa pode trocar massa, quantidade de
movimento e energia com a fase líquida ou contínua.
Esta abordagem é indicada para sistemas em que a fase secundária (dispersa) ocupa uma
pequena fração volumétrica do sistema. A trajetória das partículas ou gotas é calculada
individualmente em intervalos determinados durante o cálculo da fase líquida. Assim, a
18
partícula não influência o escoamento do fluido e este determina a trajetória da partícula. Isso
torna o modelo inadequado para a modelagem de misturas líquido-líquido ou qualquer outra
aplicação onde a fração volumétrica da fase secundária é significante.
Dentre as dificuldades encontradas nesta abordagem, pode-se ressaltar a necessidade de
utilizar correlações para descrever as interações partícula-partícula, partícula-gás e partícula-
parede e a dificuldade em prever as variáveis de campo para a fase particulada, dificultando a
visualização científica dos fenômenos que influenciam nas trajetórias das partículas (Decker
et al., 2004). Informações mais detalhadas sobre esta abordagem podem ser encontradas nos
trabalhos de Crowe et al. (1998), Sommerfeld (2000) e Wörner (2003).
2.6.2 Abordagem Euleriana-Euleriana
A abordagem Euleriana-Euleriana caracteriza-se por considerar as diferentes fases do
sistema como contínuas e interpenetrantes. Uma vez que o volume de uma fase não pode ser
ocupado pela outra, surge o conceito de fração volumétrica das fases. As frações volumétricas
são consideradas como funções contínuas no espaço e no tempo cuja soma é igual a 1. Forma-
se então um conjunto de equações de conservação da massa, quantidade de movimento e
energia, para cada uma das fases. Estas equações são fechadas através de relações
constitutivas que são obtidas a partir de informações empíricas.
A abordagem Euleriana-Euleriana é útil e computacionalmente eficiente, quando as
frações volumétricas das fases são comparáveis, ou quando as forças de campo, como
gravidade, atuam na separação das fases, ou quando a interação entre as fases desempenham
um papel significativo na determinação da hidrodinâmica do sistema, (Massah e Oshinowo,
2000). Maiores informações sobre esta abordagem podem ser encontradas nos trabalhos de
Ishii (1975), Crowe et al. (1998), Drew e Passman (1998) e Wörner (2003).
A abordagem Euleriana-Euleriana constitui-se, na atualidade, na abordagem mais
utilizada para a solução de escoamentos multifásicos. Segundo Paladino (2005), esta
abordagem é adequada para escoamentos onde as fases estão misturadas e as velocidades
relativas entre as fases são consideráveis. Esta abordagem é aplicada em escoamentos
líquidos-líquidos, por exemplo, água e óleo ou gás e líquido, e escoamentos líquido-sólido,
como líquidos e partículas ou gases e partículas (Massah e Oshinowo, 2000).
19
O software FLUENT
®
disponibiliza três modelos diferentes para esta abordagem: o
Modelo de Volume de Fluido (VOF), o Modelo de Mistura e o Modelo Euleriano, descritos
sucintamente a seguir, de acordo com FLUENT
®
User’s Guide (2003).
- Modelo VOF
O Modelo VOF é indicado para sistemas compostos por dois ou mais fluidos imiscíveis
em que a posição da interface entre os fluidos é de interesse. Neste modelo, um único
conjunto de equações de transporte é compartilhado pelos fluidos, e a fração volumétrica de
cada fase é obtida em cada volume de controle do domínio de cálculo. O modelo VOF resolve
apenas equações para a mistura como um todo, acarretando em limitações quando aplicado a
sistemas com diferença de velocidade marcante entre as fases. O modelo é aplicável a
escoamentos de superfícies livres, movimento de bolhas grandes e problemas estacionários ou
transientes envolvendo interface líquido-gás.
- Modelo de Mistura
O Modelo de Mistura é aplicado a sistemas com duas ou mais fases (fluido ou
partícula), sendo as fases tratadas como contínuas. O modelo de mistura pode ser obtido a
partir do Modelo Euleriano quando as equações de conservação de quantidade de movimento
e de energia para as fases são somadas obtendo-se uma equação de conservação das mesmas
grandezas para a mistura como um todo. Este modelo resolve a equação de quantidade de
movimento aplicada à mistura e prescreve a velocidades relativas das fases dispersas. O
modelo é aplicável em partículas com baixo carregamento, escoamento com bolhas,
sedimentação e separação em ciclones.
- Modelo Euleriano
O Modelo Euleriano é o mais complexo dos modelos multifásicos. Este modelo resolve
um conjunto de equações que incluem a quantidade de movimento e conservação da massa
para cada fase. O acoplamento da pressão é conseguido através dos coeficientes da troca entre
as fases. A maneira de garantir este acoplamento depende do tipo de fases envolvidas, por
exemplo, escoamentos granulares (líquido-sólido) são tratados de maneira diferente dos
escoamentos não-granulares (líquido-líquido). Para escoamento granular, as propriedades são
obtidas pela aplicação da teoria cinética. A troca de quantidade de movimento entre as fases
20
depende também do tipo de mistura que está sendo modelada. Aplicações do Modelo
Euleriano incluem escoamentos em colunas de bolhas, risers, suspensão de partículas, leitos
fluidizados, entre outros. Segundo Sarica (2006) apud Coelho (2006), o Modelo Euleriano é o
mais indicado para escoamentos estratificados.
Portanto no presente trabalho adotou-se o Modelo Euleriano, para a análise do
escoamento bifásico óleo-água em tubo horizontal. Este modelo pode apresentar formulações
mais complexas, entretanto é adequado para a modelagem de escoamentos quidos-líquidos,
onde são calculadas todas as forças que atuam na interfase de forma a representar a
estratificação óleo e água. Detalhes sobre a formulação matemática deste modelo será
apresentada no Capítulo 3.
2.6.2.1 Forças de Interface
De forma geral, a abordagem Euleriana-Euleriana requer equações constitutivas para as
forças de interface. Equações constitutivas ou equações de fechamento são as correlações que
expressam as tensões viscosas e turbulentas, e os termos de transferência de interface em
função de variáveis de cálculo (fração volumétrica, pressão, velocidade, etc.) e propriedades
dos fluidos.
A influência das diferentes forças de interface na estrutura do escoamento depende, em
princípio, do tipo de problema que está sendo estudado. As forças de interface geralmente
levadas em consideração na modelagem de escoamentos multifásicos dispersos, são as forças
de arrasto, de massa virtual, de sustentação e de dispersão turbulenta.
Vários autores como Drew (1983), Drew e Lahey (1987), Kowe et al. (1988), Couet et
al. (1991), entre outros, analisam estas forças de interface, que aparecem em escoamentos
dispersos, e apresentam modelos de cálculo. De modo geral, apenas a força de arrasto é
considerada na maioria das aplicações. Outras forças, como massa virtual, têm sido estudadas
apenas do ponto de vista dos efeitos sobre a estabilidade do escoamento (Lahey et al., 1980;
Watanabe et al., 1990). Porém, para escoamentos acelerados, esta força pode ter um efeito
importante nos valores calculados, principalmente no gradiente de pressão (Paladino e
Maliska, 2004). Uma descrição detalhada sobre as forças de sustentação, massa virtual e
arrasto, será apresentada no Capítulo 3.
A seguir, serão apresentadas as principais forças de interface na modelagem de
escoamentos multifásicos, para a abordagem Euleriana-Euleriana, de acordo com a literatura.
21
- Força de arrasto
Em escoamentos dispersos internos, como em tubulações, a força de arrasto
desempenha um papel fundamental, e é responsável pela maior parte da transferência de
quantidade de movimento interfacial (Paladino, 2005). Devido à importância desta força em
escoamentos multifásicos, esta tem recebido grande atenção dos pesquisadores da área,
existindo vários modelos para o seu cálculo. A forma padrão de expressar a força de arrasto é
através de um coeficiente de arrasto. Na literatura existem várias correlações para este
coeficiente, que podem ser utilizadas, dependendo dos regimes de escoamento, formas das
bolhas, etc. Detalhes sobre alguns modelos de coeficiente de arrasto serão apresentados no
Capítulo 3.
- Força de Massa Virtual
As forças de massa virtual e de sustentação são originadas de acelerações relativas entre
as fases, portanto, em escoamentos plenamente desenvolvidos como os que ocorrem em tubos
de seção constante estas são pequenas quando comparadas com a força de arrasto.
A força de massa virtual aparece devido à aceleração relativa de uma parcela de massa
da fase contínua que é arrastada pela fase dispersa adquirindo sua velocidade. Esta força pode
ser definida como a quantidade de movimento necessária para deslocar a massa da fase
contínua pela passagem de uma bolha. Esta parcela de massa deverá ser acelerada em relação
à aceleração que tinha originalmente dentro da fase contínua. Esta porção de massa da fase
contínua deverá atingir a velocidade da bolha. Desta forma, o fenômeno pode ser visto como
se a bolha virtualmente aumentasse a sua massa, d o nome dado a esta força. Em
escoamentos de líquidos imiscíveis, a importância da “massa virtual” dependerá da diferença
da massa específica entre as fases. Porém, nestes casos, as acelerações relativas entre as fases
são normalmente pequenas e, portanto, pode-se desprezar o efeito da massa virtual (Paladino,
2005).
- Força de Sustentação
A força de sustentação é originada pelo efeito de rotação do escoamento da fase
contínua sobre as bolhas. A sustentação é dada pela rotacionalidade induzida pela vorticidade
do campo de velocidades médias cujos gradientes possuem uma escala de comprimento muito
maior que os diâmetros das bolhas, e muito maior que as escalas de comprimento dos
22
gradientes de velocidade locais na superfície das bolhas. Estes gradientes de velocidades
locais são responsáveis pela força de arrasto, enquanto as forças de sustentação e massa
virtual estão associadas às variações das velocidades relativas (Paladino, 2005).
- Força de Dispersão Turbulenta
A força de dispersão turbulenta, segundo Lopez de Bertodano et al. (1994), é o
resultado das componentes flutuantes das forças atuando sobre uma partícula.
Resumidamente, esta força pode ser entendida como a média das flutuações da força de
arrasto ou como a contribuição das tensões turbulentas na interface à transferência de
quantidade de movimento interfacial. Esta força, quando considerada no modelo matemático,
terá o efeito de dissipar picos de concentração de fase, pois é contrária ao gradiente de fração
volumétrica (Paladino, 2005). Informações mais detalhadas sobre esta força de interface
podem ser encontradas em Lopez de Bertodano et al. (1994).
3. Capítulo 3
DINÂMICA DOS FLUIDOS COMPUTACIONAL (CFD)
E MODELO MATEMÁTICO
Neste capítulo apresenta-se aspectos relacionados à Dinâmica dos Fluidos
Computacional (CFD), como os procedimentos de solução via CFD e os tipos de malhas
computacionais. Apresenta-se também uma descrição detalhada da formulação matemática
para o Modelo Euleriano utilizado no presente trabalho.
3.1 DINÂMICA DOS FLUIDOS COMPUTACIONAL (CFD)
A Dinâmica dos Fluidos Computacional ou CFD (Computational Fluid Dynamics) é
uma ferramenta que consiste na solução das equações de conservação da massa, da
quantidade de movimento e da energia, empregando métodos numéricos como o Método dos
Volumes Finitos, Método das Diferenças Finitas, Método de Elementos Finitos, visando obter
uma representação local das variáveis do campo de escoamento. Os métodos numéricos
resolvem as equações diferenciais para um número finito de pontos, que compõem a malha,
substituindo-as por expressões algébricas e aplicando-as para cada elemento de volume.
Para a solução de problemas envolvendo CFD algumas etapas devem ser executadas. A
Figura 3.1 representa as principais etapas para solução de um problema utilizando esta
24
ferramenta. A primeira etapa consiste na definição do problema, onde é definida a geometria
através de programas que permitem modelar qualquer objeto no espaço bidimensional ou
tridimensional, a geração da malha, a entrada dos dados físicos e químicos, os modelos e as
condições de contorno e iniciais. Após definido o problema, a próxima etapa a ser realizada é
o cálculo numérico solver através da aplicação de métodos numéricos. Por fim, a última etapa
consiste na visualização e análise dos resultados.
Para as simulações realizadas no presente trabalho foram utilizados os seguintes
softwares comerciais: ICEM-CFD 11.0
®
para a geração da geometria e da malha e o CFD-
FLUENT 12.0
®
para a definição das condições de contorno e iniciais, e dos modelos, para a
solução numérica e para análise e visualização dos resultados.
O software FLUENT
®
, utilizado neste trabalho, emprega o Método dos Volumes Finitos
na solução numérica do sistema de equações diferenciais parciais. A principal vantagem deste
método aplicado em CFD está relacionada à discretização conservativa, sendo a massa,
quantidade de movimento e energia conservadas no elemento de volume, Maliska (2004).
Figura 3.1 - Resumo do procedimento para solução de um problema utilizando CFD.
25
3.1.1 Procedimento de Solução em CFD
De modo a fornecer um meio mais fácil de resolver e analisar problemas de
escoamentos de fluidos, o processo de simulação através da Dinâmica dos Fluidos
Computacional pode ser dividido em três etapas importantes, Versteeg e Malalasekera (2007):
Pré-processamento
Solver
Pós-processamento
3.1.1.1 Pré-processamento
Este é o primeiro passo na construção e análise de um modelo de escoamento. O pré-
processamento envolve as seguintes etapas:
Definição da geometria da região de interesse: domínio computacional.
Geração da malha: subdivisão do domínio em um número menor de volumes.
Seleção dos fenômenos físicos e químicos que serão modelados e simulados.
Definição das propriedades dos fluidos, como massa específica, viscosidade,
etc.
Especificação das condições de contorno apropriadas nos elementos da malha
associados ao contorno do domínio.
A primeira informação a ser introduzida no ambiente computacional para resolver um
problema de CFD é o domínio onde se buscará a solução do problema, ou seja, definição da
geometria. Essa geometria normalmente é determinada através de programas que permitem
modelar qualquer objeto no espaço bidimensional ou tridimensional, de modo que todas as
regiões de entrada e a saída sejam definidas para que posteriormente possam ser
identificadas. Atualmente estão disponíveis vários programas comerciais de desenho, como
ICEM-CFD
®
, SolidWorks
®
, AutoCAD
®
, Pro-Engineer
®
, CATIA
®
, entre outros.
Depois de criado o domínio é necessário dividi-lo em pequenos subdomínios, chamados
elementos, pois a solução das equações de conservação (massa, quantidade de movimento e
26
energia) pelos métodos numéricos envolve cálculos em subdomínios. Este processo é
chamado de geração de malha. Estão disponíveis softwares comerciais de CFD modernos
com seus próprios geradores de malhas, como o GAMBIT
®
, ICEM-CFD
®
, TURBOGRID
®
,
entre outros. Basicamente a malha pode ser construída com elementos triangulares,
quadriláteros, hexágonos, etc. em problemas bidimensionais (2D) e elementos tetraedros,
pirâmides, prismas, hexaédricos, etc. no caso tridimensional (3D).
Os pré-processadores mais recentes fornecem bancos de dados de propriedades
incorporadas para fluidos comuns e permitem ao usuário selecionar diversos modelos já
implementados no software, como modelos de turbulência, escoamento multifásico,
sedimentação, acústica etc. Muitos softwares comerciais, entre eles, o FLUENT
®
e CFX
®
permitem a implementação de novos modelos através de funções definidas pelo usuário
(UDF).
3.1.1.2 Solver
O solver implementa as técnicas numéricas de solução e seus parâmetros para resolver
os problemas físicos do modo apropriado. Resumidamente, os métodos numéricos que
formam a base do solver passam pelos seguintes passos:
Integração das equações de conservação em todos os volumes de controle do
domínio
Discretização: Conversão das equações integrais resultantes em um sistema de
equações algébricas
Solução das equações algébricas
Nesta etapa ocorre a transformação do sistema de equações diferenciais parciais em um
sistema de equações algébricas que será resolvido por métodos numéricos, que podem ser
diretos (por exemplo: Eliminação de Gauss e Decomposição LU) ou iterativos (por exemplo:
Método de Gauss Seidel, Método de Jacobi e Método das Sobre-relaxações Sucessivas).
Existem várias técnicas numéricas de solução e suas diferenças estão associadas à forma
com que as variáveis incógnitas são aproximadas e ao procedimento de discretização. Todas
essas metodologias numéricas levam a sistemas de equações lineares, com matrizes cheias ou
esparsas, com um grande número de equações, tornando necessária uma abordagem numérica
27
para a solução de tal sistema. Alguns softwares comerciais utilizados nesta etapa são o
FLUENT
®
, CFX
®
, PHOENICS
®
, entre outros.
3.1.1.3 Pós-processamento
Este é o passo final na análise de CFD, e envolve a organização e interpretação dos
dados do campo de escoamento previsto, a produção de imagens, gráficos e animações para
facilitar a análise dos resultados. Devido aos avanços tecnológicos, a maioria dos softwares
comerciais de CFD estão equipados com ferramentas versáteis para visualização de campos
escalares e vetoriais, incluindo:
Visualização da geometria e da malha
Visualização de linhas de corrente
Visualização da trajetória das partículas
Saída gráfica colorida
Gráficos de contornos
Gráficos de vetores
Gráficos bidimensional e tridimensional.
A maioria dos softwares de CFD tem pós-processadores incorporados, criados para
analisar o campo de escoamento de modo gráfico e rápido. Os pós-processadores oferecem
várias opções para uma melhor visualização das variáveis de interesse, possibilitando a
obtenção de diversas propriedades tanto para comparação com dados experimentais como
para ampliar o entendimento do processo. A partir dos resultados obtidos, podem ser
calculados valores médios das variáveis de interesse, como velocidade, pressão, temperatura,
etc. Os resultados obtidos podem ser exportados para outros softwares de visualização, por
exemplo, TecPlot
®
.
3.1.2 Geração de Malhas Computacionais
A primeira etapa de uma solução em CFD é a geração de uma malha que defina, em
todo o domínio computacional, as células nas quais as variáveis de escoamento são
28
calculadas. A precisão da solução em um problema de CFD depende do mero de elementos
e como estes estão distribuídos na malha. Em geral, a precisão da solução melhora com o
aumento do número de elementos da malha. Contudo, é necessário balancear a precisão da
solução através do refinamento da malha com o custo computacional. A qualidade da malha
possui um papel direto na qualidade da análise, sendo assim a geração da malha tem se
tornado a etapa mais importante e que demanda mais tempo na análise de CFD.
As malhas podem ser definidas como estruturada, não-estruturada e híbrida, as quais
são discutidas a seguir e apresentadas na Figura 3.2.
Figura 3.2 - Tipos de malhas computacionais: estruturada, não-estruturada e híbrida.
3.1.2.1 Malha estruturada
Uma malha estruturada consiste em elementos bidimensionais e tridimensionais que são
quadriláteros e hexaédricos, respectivamente. Nesse tipo de malha, cada elemento tem sempre
o mesmo número de elementos vizinhos, a não ser quando o elemento pertence ao contorno.
A malha estruturada pode ser moldada para sofrer alterações como torção e esticamento.
Geradores de malha estruturada utilizam equações elípticas sofisticadas para aperfeiçoar a
forma da malha automaticamente buscando a uniformidade e ortogonalidade.
A construção deste tipo de malha tem como base a associação de blocos com diferentes
subdomínios geométricos. Esta técnica permite conectar vários blocos juntos e construir o
domínio inteiro, com uma distribuição uniforme dos elementos em cada bloco.
As malhas estruturadas oferecem certas vantagens sobre outras malhas pelo fato de
apresentarem uma simples implementação e por requerer menor capacidade de
Estruturada Não-estruturada Híbrida
29
armazenamento. Mais importante ainda é o fato de que, em geral, em uma malha estruturada
são geradas menos células do que em uma malha não-estruturada.
A grande desvantagem de uma malha estruturada é a falta de flexibilidade em se ajustar
a geometrias mais complexas.
3.1.2.2 Malha não-estruturada
Uma malha não-estruturada consiste em elementos bidimensionais, triângulos ou
quadriláteros, e em elementos tridimensionais, tetraedros ou hexaédricos. Como ocorrem
com as malhas estruturadas, os elementos podem sofrer deformações para se ajustar ao
domínio.
Malhas não-estruturadas se ajustam com grande facilidade a geometrias complexas, mas
demanda uma capacidade de armazenamento maior que malhas estruturadas. Essas malhas
conseguem representar mais facilmente as geometrias complexas, devido à maior
flexibilidade de forma que seus elementos podem assumir. Este tipo malha é gerada
automaticamente, porém pode acarretar erros na malha quantificados através de valores de
Skewness e Aspect Ratio.
Skewness é definido como a diferença entre o formato de uma célula e o formato de uma
célula equilateral de equivalente volume. Células com alto índice de skewness podem
diminuir a precisão e desestabilizar a solução. Como ilustração de uma situação ideal, para
uma célula triangular os ângulos internos devem ser de aproximadamente 60º, enquanto para
uma célula quadrilateral os ângulos internos devem ser de aproximadamente 90º. Uma regra
geral é utilizar células com índice de skewness inferior 0,95. Valores superiores a 0,95 podem
provocar dificuldades de convergência e podem exigir mudanças no solver, como fatores de
sub-relaxação.
A relação de aspecto ou razão de aspecto (aspect ratio) da célula é a razão entre a maior
e a menor diagonal de uma célula. É esperado que seu valor seja o mais próximo da unidade.
3.1.2.3 Malha híbrida
Uma malha híbrida consiste na utilização simultânea das malhas estruturadas e não-
estruturadas. A vantagem desta malha é a utilização da malha estruturada em regiões de mais
detalhamento e a utilização da malha não-estruturada onde o perfil a ser analisado for de
30
menor interesse. Sendo assim, a habilidade para controlar a forma e distribuição da malha
localmente é uma ferramenta poderosa que pode render malhas de boa qualidade e garantir
resultados satisfatórios.
A desvantagem de uma malha hibrida é que esta exige muita prática e experiência na
geração de malhas para geometrias complexas.
3.2 MODELO MATEMÁTICO
A modelagem matemática de escoamentos multifásicos de fluidos imiscíveis é
fundamentada nas equações básicas da mecânica dos fluidos. Tais equações são expressas
pelas leis de conservação da massa, da quantidade de movimento e da energia.
No presente trabalho, será estudado o caso específico de um escoamento bifásico óleo-
água incompressível, isotérmico e sem transferência de massa entre as fases, através de tubos.
Como se trata de um escoamento isotérmico, as equações governantes são expressas pelas
equações da conservação da massa e da quantidade de movimento.
Para a modelagem do escoamento óleo-água foi aplicado o modelo euleriano. Este
modelo adota a hipótese do contínuo, o qual considera as duas fases como contínua e
interpenetrante, sendo que a fração volumétrica é a variável que quantifica cada fase. A
hipótese do contínuo considera que toda matéria é contínua, ou seja, não existem vazios no
interior do fluido e a interpenetrabilidade das fases considera que ambas as fases podem
ocupar o mesmo volume de controle, não tendo porém um espaço definido para cada uma.
Segue o desenvolvimento deste modelo com suas principais equações e conceitos.
3.2.1 Fração Volumétrica
A descrição do escoamento multifásico como contínuo e interpenetrante incorpora a
definição de fração volumétrica da fase, denotada por
x
α
. Fração volumétrica representa a
relação entre o volume de cada fase pelo volume total, e as leis de conservação da massa e
quantidade de movimento são satisfeitas em cada fase individualmente.
31
O volume da fase x,
x
V , é definido por
=
V
xx
dVV
α
x = 1,2 (3.1)
sendo que a fração volumétrica da fase x deve satisfazer a seguinte condição
=
=
n
x
x
1
1
α
(3.2)
A massa específica efetiva da fase
x
é definida por
xxx
ραρ
=
ˆ
(3.3)
onde
x
ρ
é a massa específica da fase
x
.
3.2.2 Equações de Conservação
As equações de conservação utilizadas no presente trabalho são apresentadas a seguir.
3.2.2.1 Equação da conservação da massa
A equação da conservação da massa para a fase
q
é
( ) ( )
=
=+
n
p
pqqqqqq
m
t
1
&
r
νραρα
q
= 1,2 (3.4)
A conservação da massa pode ser obtida por
qppq
mm
&&
=
(3.5)
e
0
=
pp
m
&
(3.6)
onde
q
ν
r
é a velocidade da fase
q
. O termo
qppq
mm
&&
=
caracteriza a transferência de massa
da fase
p
para
q
e
n
é
o número de fases
.
No presente trabalho, não foi considerado a
32
transferência de massa entre as fases, ou seja, o termo fonte do lado direito da Equação (3.4) é
nulo. A fração volumétrica da fase
q
deve satisfazer a condição da Equação (3.2).
3.2.2.2 Equação da quantidade de movimento
O balanço da quantidade de movimento para a fase
q
é
( ) ( )
( ) ( )
=
++++
+++=+
n
p
qvmqliftqqqpqpqpq
qqqqqqqqqqq
FFFmR
gp
t
1
,,
rrr
r
&
r
r
rrr
ραν
ραταννρανρα
(3.7)
O termo
q
τ
da Equação (3.7) representa o tensor das tensões de cisalhamento da fase
q
, dado
por
( )
I
qqqq
T
qqqqq
νµλαννµατ
rrr
++=
3
2
,
(3.8)
onde
q
µ
e
q
λ
são a viscosidade de cisalhamento (dinâmica) e a viscosidade bulk da fase q,
respectivamente.
q
F
r
é a força de campo externa (gravidade, força centrífuga),
qlift
F
,
r
é a força
de sustentação,
qvm
F
,
r
é a força de massa virtual,
pq
R
r
é a força de interação entre as fases, e
p
é
a pressão distribuída em todas as fases,
pq
ν
r
é a velocidade interfacial, definida como: se
0
>
pq
m
&
(massa da fase
p
que está sendo transferida para fase
q
),
ppq
νν
r
r
=
; se
0
<
pq
m
&
(massa da fase
q
que está sendo transferida para fase
p
), ;
qpq
νν
r
r
=
e
qppq
νν
r
r
=
.
Para a solução da Equação (3.7), deve ser definido o termo
pq
R
r
. Esta força de interação
depende do atrito, pressão, colisão e outros efeitos e esta sujeito a condição que
qppq
RR
r
r
=
e
0
=
qq
R
r
O termo de interação entre as fases é definido por
( )
qp
n
p
pq
n
p
pq
KR
νν
vv
v
=
== 11
, (3.9)
33
sendo que
qppq
KK =
é coeficiente de troca de quantidade de movimento na interface (fluido-
fluido), definido pela Equação (3.14).
3.2.3 Forças Atuantes entre as Fases
Escoamentos bifásicos líquido-líquido, com formação de gotas ou bolhas, são regidos
pela existência de forças atuantes na interface fluido-fluido, que podem ter influência variada
dependendo da combinação entre as propriedades das partículas e do meio contínuo. A seguir,
são discutidas algumas forças interfaciais apresentadas na literatura para a abordagem
Euleriana-Euleriana.
- Força de Sustentação
A força de sustentação ou
lift
(
)
lift
F
r
que age na fase secundária
p
e na fase primária
q
é
calculada através da seguinte equação:
(
)
(
)
qpqpqlift
F
ννναρ
r
r
r
r
××=
5,0 (3.10)
A força de sustentação atua sobre as partículas devido aos gradientes da velocidade no
campo de escoamento da fase primária ou contínua, sendo mais significante para partículas
maiores. A força de sustentação
lift
F
r
será adicionada no lado direito da equação de quantidade
de movimento, para ambas as fases
(
)
pliftqlift
FF
,,
r
r
=
. Esta força foi considerada no presente
trabalho.
- Força de Massa Virtual
Para escoamentos bifásicos, é possível ainda incluir o efeito da força de massa virtual
(
)
qvm
F
,
r
que ocorre quando a fase secundária
p
acelera em relação à fase primária
q
. A
inércia da massa da fase primária gera uma força de massa virtual sobre as partículas, definida
pela Equação (3.11).
=
Dt
D
Dt
D
F
ppqq
qpvm
νν
ρα
r
r
r
5,0 (3.11)
34
O termo
Dt
D
pq,
denota a derivada material ou substancial da fase em relação ao tempo,
definida como
(
)
(
)
( )
φν
φ
φ
+
=
q
q
t
Dt
D
r
, (3.12)
onde
φ
, é definida como uma grandeza escalar ou vetorial, no caso especifico é dada como
vetor de velocidades da fase primária ou secundária.
O efeito da força de massa virtual é significante quando a massa específica da fase
secundária é muito menor que a massa específica da fase primária. Se for incluído o termo da
força de massa virtual
(
)
vm
F
r
esta, será adicionada no lado direito da equação da quantidade de
movimento para ambas as fases,
(
)
pvmqvm
FF
,,
r
r
=
. Esta força será desconsiderada neste
trabalho.
- Força de Arrasto
O fator de atrito pode ser definido como função do coeficiente de arrasto, como
24
Re
D
C
f
= , (3.13)
onde
e
R
é o número de Reynolds relativo do fluido e
D
C
é o coeficiente de arrasto.
O cálculo da força de arrasto sobre a partícula da fase secundária é introduzido dentro
do termo fonte
pq
R
r
(Equação (3.9)) através da quantificação do coeficiente de troca de
quantidade de movimento entre as fases,
qppq
KK
= .
A troca de quantidade de movimento entre as fases é baseada no coeficiente de troca
fluido-fluido
pq
K
, definido como
p
ppq
pq
t
f
K
ρ
α
α
=
, (3.14)
sendo
f
o fator de atrito, que muda de acordo com o modelo de coeficiente de arrasto adotado
e
p
t
o tempo de relaxação da partícula, definido por
35
q
pp
p
d
t
µ
ρ
18
2
= , (3.15)
onde
p
d
é o diâmetro das partículas da fase
p
e
q
µ
a viscosidade dinâmica da fase
secundária.
Todas as definições de
f
incluem um coeficiente de arrasto (
C
D
), que é baseado no
número de Reynolds relativo (
Re
).
Alguns modelos de coeficiente de arrasto, obtidos experimentalmente, disponíveis no
programa FLUENT
®
, são descritos a seguir.
Modelo de Schiller e Naumann ( 1935 )
Neste modelo, o fator de atrito pode ser definido em função do coeficiente de arrasto:
24
Re
D
C
f
= (3.16)
e
(
)
>
+
=
1000Re44,0
1000ReRe/Re05,0124
687,0
D
C
(3.17)
sendo
e
R
o número de Reynolds relativo do fluido. O número de Reynolds relativo da fase
primária
q
e da fase secundária
p
é dado por
Re
q p q p
q
d
ρ ν ν
µ
=
r r
(3.18)
O número de Reynolds relativo para a fase secundária p e r é obtido por
Re
rp r p rp
rp
d
ρ ν ν
µ
=
r r
(3.19)
Sendo
rp p p r r
µ α µ α µ
= +
é a viscosidade da mistura das fases p e r.
36
O modelo de Schiller e Naumann é o método padrão, e é aceitável para uso geral para
todas fases fluido-fluido. Este modelo foi utilizado no presente trabalho.
Modelo de Morsi e Alexander (1972 )
O fator de atrito pode ser definido como
24
Re
D
C
f
=
, (3.20)
onde
Re
Re
3
2
1
a
a
aC
D
++=
(3.21)
sendo Re definido pela Equação (3.18) ou (3.19). Os coeficientes a
1
, a
2
e a
3
são definidos
como
<<
<<
<<
<<
<<
<<
<<
=
10000Re5416700;5,1662;5191,0
10000Re5000578700;546,490;46,0
5000Re100047500;62,148;357,0
1000Re1002778;33,98;3644,0
100Re1067,116;50,46;6167,0
10Re18889,3;1667,29;222,1
1Re1,00903,0;73,22;690,3
1,0Re00;18;0
,,
321
aaa (3.22)
O modelo Morsi e Alexander é o mais completo, ajustando a definição do coeficiente de
arrasto (C
D
) frequentemente sobre uma ampla gama de números de Reynolds, mas o cálculo
com este modelo pode ser menos estável do que com os outros modelos.
Modelo Simétrico
Neste modelo, o coeficiente de troca de quantidade de movimento entre as fases
(
)
pq
K é
dado por
(
)
pq
qqppq
pq
t
f
K
ρ
α
ρ
α
α
+
=
(3.23)
37
onde
( )
( )
qqpp
qp
pqpp
pq
dd
t
µαµα
ραρα
+
+
+
=
18
2
2
(3.24)
e
24
Re
D
C
f =
, (3.25)
onde
(
)
>
+
=
1000Re44.0
1000ReRe/Re05.0124
687.0
D
C
(3.26
)
sendo
Re
definido pela Equação (3.18) ou (3.19).
O modelo simétrico é recomendado para escoamentos em que a fase secundária
(dispersa) em uma região do domínio se torna a principal (contínua) em outra fase. Este
modelo também pode ser usado para a interação entre as fases secundárias.
4. Capítulo 4
PROCEDIMENTO EXPERIMENTAL
Neste capítulo apresenta-se a descrição do banco de ensaios montado no Laboratório de
Separação de Fases (SEPFAS) do Instituto de Engenharia Mecânica (IEM) da Universidade
Federal de Itajubá (UNIFEI). O banco de ensaios descrito foi utilizado para a visualização do
escoamento bifásico óleo-água ao longo de um tubo reto horizontal e para a determinação do
diâmetro das gotas de óleo presente na emulsão. As visualizações do escoamento bifásico
óleo-água, obtidas através de fotografias, irão fornecer subsídios qualitativos para simulação
do escoamento. Essas visualizações serão utilizadas para comparação com os resultados
obtidos na simulação numérica. Os dados experimentais relacionados com as propriedades
físicas dos fluidos, velocidade da emulsão, fração volumétrica e diâmetro das gotas de óleo
serão utilizados na definição das condições de contorno na simulação numérica.
4.1 DESCRIÇÃO DO BANCO DE ENSAIOS
Para o estudo experimental do escoamento bifásico óleo-água foi construído um banco
de ensaios, cuja vista geral do banco pode ser observada na Figura 4.1 e o esquema é
apresentado na Figura 4.2.
39
O banco consta basicamente de:
Tanque de água
Tanque de óleo
Bombas de cavidade progressiva
Tubulação de condução do escoamento
Gerador de emulsão
Válvula globo
Medidores de vazão
Manômetro
Caixas de visualização
3
2
1
3
2
1
Figura 4.1 - Vista geral do banco de ensaios. (1) Conversores de frequência, (2) Bombas de
cavidade progressiva, (3) Tubo de acrílico.
40
Figura 4.2 - Esquema do banco de ensaios.
Na Figura 4.2, a água e o óleo armazenados nos tanques são conduzidos até o gerador
de emulsão pelas bombas de óleo e de água. O gerador de emulsão é constituído de um
misturador e de uma válvula globo, como apresentado na Figura 4.3. O misturador
proporciona uma mistura mais homogênea do óleo com a água e gera uma distribuição
controlada do diâmetro de gota. No interior do misturador existem dois giclês, um com um
furo de diâmetro de 1,0 mm e o outro com um furo de 1,5 mm, que atuam sobre as dimensões
das gotas. Além do misturador, a válvula globo que gerando perda de carga localizada
também atua sobre as dimensões das gotas.
Após o fluido passar pelo gerador de emulsão, este se encaminha para os medidores de
vazão e para a bomba de emulsão. Em seguida o fluido é conduzido para um tubo de acrílico
de 0,0238 m de diâmetro interno em um trecho horizontal de 13 m. Ao longo do tubo foram
colocadas seis caixas de acrílico a cada 2 m, preenchidas com glicerina, para visualizar o
desenvolvimento do escoamento. O objetivo da glicerina nas caixas é minimizar a distorção
ótica da curvatura do tubo, obtendo uma visualização melhor do diâmetro interno do tubo.
Todas as visualizações foram registradas através de uma câmera digital. Na Figura 4.4, é
apresentada a caixa de acrílico com os anéis de vedação.
41
No final do tubo foi construído um amostrador para a coleta do fluido em três regiões
diferentes, superior, intermediária e inferior. As coletas foram realizadas apenas na parte
superior, para quantificar a concentração do óleo.
Figura 4.3 - Gerador de emulsão.
Figura 4.4 -
Caixa de acrílico para visualização do escoamento (0,15 x 0,05 x 0,12 m)
Linha de óleo
Válvula globo
Misturador
óleo-água
Linha de água
42
A movimentação dos fluidos foi realizada por três bombas de cavidade progressiva,
uma bomba para água, uma para o óleo e uma para a emulsão. As vazões mássicas, de água e
de emulsão, foram medidas através de medidores de vazão do tipo Coriolis.
4.1.1 Sistema de Bombeamento e Estocagem dos Fluidos
O sistema de bombeamento consiste de três bombas de cavidade progressiva, uma de
alta vazão (bomba de água) e duas de baixa vazão (bomba de óleo e emulsão). Cada uma das
bombas tem seu motor acionado através de um conversor de frequência, permitindo o controle
da rotação e consequentemente da vazão.
No sistema de estocagem de óleo foi utilizado um tanque de aço com capacidade de 20
mil litros, com uma bóia interna para controle de vel. Para o sistema de estocagem de água
foi utilizado um tanque de fibra com capacidade de 20 mil litros.
Os tanques foram montados de forma que as bombas são alimentadas com pressão
positiva na sucção.
4.2 PROPRIEDADES FÍSICAS DOS FLUIDOS
Nos ensaios foram utilizados óleo crú e água potável como fluidos de trabalho. As
propriedades físicas da água e do óleo são apresentadas na Tabela 4.1, as quais serão
utilizadas como condições iniciais na simulação numérica.
Tabela 4.1 - Propriedades físicas da água e do óleo.
Fluidos Propriedades Físicas
Massa específica -
ρ-
(kg/m
3
) Viscosidade dinâmica a 18°C -
µ
- (kg/m s)
Água
980 0,001003
Óleo
880 0,02896
A viscosidade do óleo a 18°C foi obtida pela função
µ
= 57,52 e
-0,0381T
, como
apresentada na Figura 4.5.
43
0 10 20 30 40 50
T
e
m
e
r
a
t
r
a
(
º
C
)
0
10
20
30
40
50
Viscosidade dinâmica (Kg/m s)
x
10
-
3
µ=
57,52
e
-0,0381T
Figura 4.5 - Variação da viscosidade em função da temperatura do óleo.
4.3 METODOLOGIA PARA DETERMINAÇÃO DA
DISTRIBUIÇÃO DO TAMANHO DAS PARTÍCULAS
No presente trabalho, a determinação da distribuição do tamanho das partículas foi feita
com o instrumento
Mastersizer 2000,
da
Malvern
, o qual utiliza o princípio de difração a laser
para determinar a distribuição. O diâmetro da partícula, neste trabalho, é o diâmetro das gotas
de óleo presente na emulsão gerada. Na Figura 4.6, apresenta-se o princípio de medição deste
equipamento. Um feixe de laser é enviado em direção à amostra liquida a ser analisada.
Quando o feixe encontra as partículas parte do laser é difratado e, subsequentemente, focado
por meio de lentes no detector. Quanto menor o tamanho da partícula, maior será o ângulo de
difração.
Os principais parâmetros estatísticos exibidos no boletim de resultados do equipamento
Mastersizer 2000
são:
44
D
(0,5)
– é o diâmetro da mediana. Ele divide a distribuição obtida exatamente na
metade, ou seja, 50% do volume total das partículas encontram-se abaixo deste
valor e 50% encontram-se acima (Ramalho e Oliveira, 1999).
D
(0,1 e 0,9)
são os diâmetros que cortam a distribuição em 10% e 90% do
volume total, respectivamente (Ramalho e Oliveira, 1999).
Os dados da distribuição do tamanho das partículas gerados são apresentados sob a
forma de gráficos e tabelas, em volume ou massa. Maiores detalhes sobre este equipamento
podem ser encontrados nos trabalhos de Jillavenkatesa
et al
. (2001), Kippax (2005) e Scott
(2008).
Figura 4.6 - Princípio de determinação da distribuição do tamanho de partículas por difração a
laser. Fonte: Ramalho e Oliveira (1999).
4.3.1 Determinação do Diâmetro da Gota de Óleo
Para a determinação do diâmetro da gota de óleo, foram coletadas três amostras da
emulsão na entrada da tubulação, com 3% e 15% de óleo, para cada amostra foram feitas três
repetições com um total de dezoito amostras. As amostras foram coletas em balões de 700
ml, cada.
Com base nos resultados obtidos pelo
Mastersizer 2000
, calculou-se a média de cada
diâmetro da gota em função do percentual de volume acumulado, D
(0,1; 0,5 e 0,9)
para gerar uma
função de regressão polinomial de segundo grau, como mostram as Figuras 4.7 e 4.8. A
função polinomial tem como objetivo quantificar os valores do diâmetro da gota de óleo, D
g
,
para diferentes percentuais de volume acumulado.
45
0 20 40 60 80 100
Percentual de volume acumulado - D
(
0
,
1
-
0
,
9
)
(%)
0
40
80
120
160
200
Diâmetro da gota de óleo - D
g
(
µ
m)
32.63
92.98
167.4
D
g
= 19.73543437 + 1.245876875 D
(0,1- 0,9)
+ 0.00438096875 (D
(0,1- 0,9)
)
2
Figura 4.7 - Variação do diâmetro da gota de óleo para 3% de óleo em água.
0 20 40 60 80 100
Percentual de volume acumulado - D
(
0
,
1
-
0
,
9
)
(%)
0
40
80
120
160
200
Diâmetro da gota de óleo - D
g
(
µ
m)
15.94
85.41
170.1
D
g
= 0.948665625 + 1.452048125 D
(0,1- 0,9)
+ 0.00474453125 (D
(0,1- 0,9)
)
2
Figura 4.8 - Variação do diâmetro da gota de óleo para 15% de óleo em água.
46
Na Tabela 4.2 apresenta-se as médias do diâmetro da gota de óleo obtidas para emulsão
óleo-água, com 3% e 15% de óleo para dezoito amostras.
Tabela 4.2 - Média do diâmetro da gota de óleo obtidos por difração a laser
(Mastersizer 2000).
Metodologia
Concentração de óleo na
entrada (%)
Média do diâmetro da gota de óleo -
D
g
(µ
µµ
µ m)
D
(0,1)
D
(0,5)
D
(0,9)
3
32, 6323 92, 9817 167, 3502
Difração
a
Laser
15 15, 9436 85, 4124 170, 0637
No Anexo A, apresenta-se os resultados estatísticos obtidos pelo
Mastersizer 2000
, para
os ensaios de 3% e 15% de óleo na emulsão.
5. Capítulo 5
RESULTADOS E DISCUSSÕES
Neste capítulo apresentam-se as considerações iniciais para as simulações numéricas
como as propriedades físicas do óleo e da água, hipóteses do escoamento, geometria e malha,
condições de contorno e os esquemas de interpolação utilizados. Apresenta-se os resultados e
discussões das simulações numéricas e dos ensaios experimentais.
5.1 SIMULAÇÃO NUMÉRICA
As simulações numéricas desenvolvidas neste trabalho para o escoamento bifásico óleo-
água em tubos foram realizadas com o software FLUENT
®
. As propriedades físicas do óleo e
da água utilizadas nas simulações foram: massa específica do óleo
ρ
= 880 (kg/m
3
),
viscosidade dinâmica do óleo
µ
= 0,02896
(kg/m s) e massa específica da água
ρ
= 980
(kg/m
3
) e viscosidade dinâmica da água
µ
= 0,001003 (kg/m s).
Para as simulações foram consideradas algumas hipóteses pertinentes ao escoamento
como:
Escoamento permanente
Escoamento laminar
48
Escoamento incompressível
Escoamento isotérmico
Escoamento bidimensional e tridimensional
Escoamento sem transferência de massa entre as fases
Força gravitacional
Fluidos Newtonianos
As simulações bidimensionais (2D) e tridimensionais (3D) foram realizadas no
Laboratório de Hidrodinâmica Virtual (LHV) do Instituto de Engenharia Mecânica da
UNIFEI. Para as simulações 2D utilizou um computador com S.O. Linux Open Suse, 4
núcleos, 1,70 GHz e 8 GB de memória RAM. As simulações 3D foram realizadas em um
cluster
de alto desempenho com as seguintes características: S.O. Linux Open Suse, 24
núcleos cada um com 2,83 GHz, 48 Gb de memória RAM. Esta configuração é representada
com 5 CPU´s. O tempo de processamento para as simulações 3D foi aproximadamente 36
horas, e para as simulações 2D aproximadamente 1 hora.
O LHV tem disponibilizado licenças oficiais de softwares comerciais como: Fluent
®
,
ICEM
®
,
entre outros.
5.1.1 Geometria e Malha
A definição da geometria e a criação da malha foram realizadas no software ICEM
®
12.0. Tratando-se de uma geometria simples (tubo) optou-se por uma malha estruturada
hexaédrica tipo “O-grid” com refino na parede calculada através do critério de Y+ em torno
de 5 a 40. Esta faixa de valores é aceitável para escoamentos incompressíveis com baixo
número de Reynolds.
5.1.2 Condições de Contorno
O software FLUENT
®
permite selecionar diversos tipos de condições de contorno como
pressão, velocidade, vazão mássica, periodicidade, simetria, entre outras.
49
Para as simulações realizadas neste trabalho as principais condições de contorno
utilizadas foram:
Condição de contorno para escoamento na entrada
Condição de contorno para escoamento na saída
Condição de contorno de escorregamento nulo na parede
Tais condições de contorno são apresentadas na Tabela 5.1, a seguir.
Tabela 5.1 - Condições de contorno utilizadas nas simulações.
Condições de Contorno
Entrada
Velocidade do óleo
Velocidade da água
Fração volumétrica do óleo
Diâmetro médio da gota de óleo
Saída
Pressão
Parede
No slip
(não escorregamento)
5.1.3 Discretização e Esquema de Interpolação
No software FLUENT
®
, a discretização das equações de conservação é feita pelo
método dos volumes finitos. Na literatura encontra-se uma grande quantidade de material
sobre este assunto, dentre outros, os livros de Patankar (1980) e Maliska (1995 e 2004).
No método dos volumes finitos as equações discretizadas são obtidas pela integração
das equações diferenciais no volume de controle, utilizando esquemas de interpolação. Os
esquemas de interpolação são necessários para definir as variáveis no volume de controle.
Dentre os esquemas disponibilizados pelo FLUENT
®
, o esquema utilizado neste trabalho foi
o
QUICK
. Este esquema é indicado para malhas com elementos quadrilaterais e hexaédricos.
O acoplamento pressão-velocidade é característico de sistemas com escoamentos
incompressíveis ou fracamente compressíveis. Para esse acoplamento foi utilizado o
algoritmo
Phase Coupled SIMPLE
. Este algoritmo é uma extensão do algoritmo
SIMPLE
para
escoamentos multifásicos.
50
5.2 RESULTADOS E DISCUSSÕES
Nesta seção apresentam-se os resultados obtidos da simulação numérica e dos ensaios
experimentais para o escoamento bifásico óleo-água em tubos. Foram realizadas as seguintes
análises: comparação dos resultados da simulação, para um caso de estudo, com os resultados
experimentais, tubos com curva, variação do diâmetro da gota de óleo, inclinação do tubo,
perda de carga e tempo de residência das partículas.
Para todas as simulações foi considerado escoamento laminar sendo o Re = 1136 para
uma concentração de 3% de óleo e Re = 398 para uma concentração de 15% de óleo.
5.2.1 Análise da Malha na Estratificação
Para a análise da malha no comportamento da interface de estratificação do escoamento
óleo-água, gerou-se uma malha 3D com elementos hexaédricos para um tubo reto horizontal
de comprimento
L
= 13 m e diâmetro interno
d
= 0,0238 m.
Em um primeiro caso, analisou-se o comportamento da interface do escoamento com
3% de óleo em água para uma malha sem e com refino na interface. Para um segundo caso,
fez-se a mesma análise, porém para escoamento com 15% de óleo em água. Tais casos são
apresentados a seguir.
5.2.1.1 Malha sem refino na região da interface para 3% de óleo em água
Os dados apresentados na Tabela 5.2 foram utilizados na simulação numérica para a
malha sem e com refino na interface.
Tabela 5.2 - Dados da simulação numérica para a malha sem e com refino – 3% de óleo.
Velocidade do
óleo na entrada
(m/s)
Velocidade da
água na entrada
(m/s)
Concentração de
óleo na entrada
(%)
Concentração de
água na entrada
(%)
Diâmetro
médio da gota
de óleo (µm)
0,09 0,09 3 97 92,9817
51
Para simulação numérica da malha sem refino na interface, gerou-se uma malha 3D com
1.506.681 elementos hexaédricos. A Figura 5.1, apresenta a malha sem refino no plano
transversal.
Figura 5.1 - Malha sem refino na região da interface no plano transversal.
Os resultados obtidos para malha sem refino são apresentados nas Figuras 5.2 e 5.3. Na
Figura 5.2, pode-se visualizar os contornos da fração volumétrica do óleo (ou concentração de
óleo) em planos transversais a cada 2 m ao longo do tubo, onde na região superior (vermelha)
a concentração de óleo é maior, na região inferior (azul) a concentração de óleo é menor e na
região intermediária tem-se a interface a qual separa as duas regiões. Observa-se que, de 2 m
a 4 m do tubo ocorre a estratificação e que a partir dos 6 m o escoamento se mistura. Para uma
análise dessa mistura fez-se um refino na malha na região da interface. O refino foi feito
nesta região devido a problemas com o balanço de massa na interface, como problemas na
convergência da equação da conservação da massa. Os resultados para essa análise são
apresentados no item 5.2.1.2.
A Figura 5.3, apresenta o comportamento da interface de estratificação para frações
volumétricas na interface para 0,40, 0,65 e 0,90 de óleo no plano longitudinal central. Nota-se
que no início do tubo ocorre a estratificação e que após 4 m têm-se uma mistura.
52
2,0 m 4,0 m 6,0 m
8,0 m 10,0 m 12,0 m
Figura 5.2 - Contornos da fração volumétrica do óleo em diferentes planos transversais do
tubo para uma malha sem refino na interface – 3% de óleo.
0 2 4 6 8 10 12 14
C
m
r
i
m
e
t
t
(
m
)
-0.012
-0.009
-0.006
-0.003
0
0.003
0.006
0.009
0.012
D
i
â
m
e
t
r
o
i
n
t
e
r
n
o
d
o
t
u
b
o
(
m
)
fração 0,40 óleo
fração 0,65 óleo
fração 0,90 óleo
Figura 5.3 - Interface de estratificação para diferentes frações volumétricas de óleo no plano
longitudinal central para uma malha sem refino na interface – 3% de óleo.
53
5.2.1.2 Malha com refino na região da interface para 3% de óleo em água
Para simulação numérica da malha com refino na interface, gerou-se uma malha 3D
com 1.997.918 elementos hexaédricos. O refino foi feito através de uma adaptação da malha
na região da interface pela fração volumétrica do óleo. A Figura 5.4, apresenta a malha com
refino no plano transversal.
Figura 5.4 - Malha com refino na região da interface no plano transversal.
Os resultados obtidos para esta simulação são apresentados nas Figuras 5.5 e 5.6. Na
Figura 5.5, têm-se os contornos da fração volumétrica do óleo em planos transversais a cada 2
m do tubo. Observa-se que com o refino da malha na interface a estratificação se mantém ao
longo do tubo, tornando-se estável a partir dos 4 m.
A Figura 5.6, apresenta o comportamento da interface de estratificação para frações
volumétricas na interface para 0,40, 0,65 e 0,90 de óleo no plano longitudinal central. Nota-se
que a estratificação ocorre ao longo do tubo, com pequenas instabilidades na interface de
estratificação. Observa-se também que na saída do tubo existe uma instabilidade na interface,
podendo esta ser provocada por fluxos reversos. Pode-se observar que o refino da malha na
interface é importante na estratificação do escoamento. Também observou-se que com refino
da malha obteve-se uma convergência da massa.
54
2,0 m 4,0 m 6,0 m
8,0 m 10,0 m 12,0 m
Figura 5.5 - Contornos da fração volumétrica do óleo em diferentes planos transversais do
tubo para uma malha com refino na interface – 3% de óleo.
0 2 4 6 8 10 12 14
C
m
r
i
m
e
t
t
(
m
)
-0.012
-0.009
-0.006
-0.003
0
0.003
0.006
0.009
0.012
Diâmetro interno do tubo (m)
fraction 0,40 oil
fraction 0,65 oil
fraction 0,90 oil
Figura 5.6 - Interface de estratificação para diferentes frações volumétricas de óleo no plano
longitudinal central para uma malha com refino na interface – 3% de óleo.
55
5.2.1.3 Malha sem refino na região da interface para 15% de óleo em água
Os dados utilizados na simulação para a malha sem e com refino na interface são
apresentados na Tabela 5.3.
Tabela 5.3 - Dados da simulação numérica para a malha sem e com refino – 15% de óleo.
Velocidade do
óleo na entrada
(m/s)
Velocidade da
água na entrada
(m/s)
Concentração de
óleo na entrada
(%)
Concentração de
água na entrada
(%)
Diâmetro
médio da gota
de óleo (µm)
0,09 0,09 15 85 85,4124
Para a malha sem refino na região da interface, foi gerada uma malha 3D com 1.506.681
elementos hexaédricos. Os resultados obtidos para esta simulação podem ser vistos nas
Figuras 5.7 e 5.8.
Na Figura 5.7, têm-se os contornos da fração volumétrica do óleo em planos
transversais a cada 2 m do tubo, na qual a região superior (vermelha) representa a maior
concentração de óleo, a região inferior (azul) possui menor concentração de óleo e uma região
intermediária que representa a interface que separa as duas regiões. Observa-se que a 2 m do
tubo ocorre a estratificação com uma camada de mistura, tornando-se estável a partir dos 6 m.
2,0 m 4,0 m 6,0 m
8,0 m 10,0 m 12,0 m
Figura 5.7 - Contornos da fração volumétrica do óleo em diferentes planos transversais do
tubo para uma malha sem refino na interface – 15% de óleo.
56
Uma descrição detalhada do comportamento da interface de estratificação pode ser vista
na Figura 5.8, na qual apresenta frações volumétricas na interface para 0,40, 0,65 e 0,90 de
óleo no plano longitudinal central. Nota-se que a 4 m do tubo ocorre uma instabilidade na
interface de estratificação a qual a partir dos 6 m torna-se estável. Observa-se também que na
saída do tubo existe uma instabilidade na interface, podendo esta ser provocada por fluxos
reversos.
0 2 4 6 8 10 12 14
C
m
r
i
m
e
t
t
(
m
)
-0.012
-0.009
-0.006
-0.003
0.000
0.003
0.006
0.009
0.012
D
i
â
m
e
t
r
o
i
n
t
e
r
n
o
d
o
t
u
b
o
(
m
)
fração 0,40 óleo
fração 0,65 óleo
fração 0,90 óleo
Figura 5.8 - Interface de estratificação para diferentes frações volumétricas de óleo no plano
longitudinal central para uma malha sem refino na interface – 15% de óleo.
5.2.1.4 Malha com refino na região da interface para 15% de óleo em água
Para a malha com refino na interface, foi gerada uma malha 3D com 1.997.918
hexáedricos. Os resultados obtidos para este caso são apresentados nas Figuras 5.9 e 5.10.
Na Figura 5.9, apresenta-se os contornos da fração volumétrica do óleo em planos
transversais para uma malha refinada na região da interface.
A Figura 5.10, mostra o comportamento da interface de estratificação para uma malha
com refino na interface. Observa-se que para a malha refinada, a interface de estratificação
torna-se mais estável ao longo do tubo, desaparecendo as instabilidades apresentadas para a
malha sem refino na interface (ver Figura 5.7).
57
2,0 m 4,0 m 6,0 m
8,0 m 10,0 m 12,0 m
Figura 5.9 - Contornos da fração volumétrica do óleo em diferentes planos transversais
do tubo para malha com refino na interface – 15% de óleo.
0 2 4 6 8 10 12 14
C
m
r
i
m
e
t
t
(
m
)
-0.012
-0.009
-0.006
-0.003
0
0.003
0.006
0.009
0.012
Diâmetro interno do tubo (m)
fração 0,40 óleo
fração 0,65 óleo
fração 0,90 óleo
Figura 5.10 - Interface de estratificação para diferentes frações volumétricas de óleo no plano
longitudinal central para uma malha com refino na interface – 15% de óleo.
58
5.2.2 Validação do Escoamento Bifásico Óleo- Água
Os resultados da simulação numérica para 3% e 15% de óleo em água, apresentados nos
itens 5.2.1.2 e 5.2.1.4, foram comparados e validados qualitativamente com os resultados dos
ensaios experimentais obtidos no laboratório SEPFAS-UNIFEI.
Na Tabela 5.4 e 5.5, pode-se visualizar o escoamento bifásico óleo-água para os ensaios
experimentais e para as simulações numéricas. As visualizações do escoamento para os
ensaios experimentais foram registradas com uma câmera fotográfica digital. Foram
colocadas ao longo do tubo seis caixas de acrílico a cada 2 metros, preenchidas com glicerina
para minimizar a distorção ótica da curvatura do tubo, obtendo uma visualização do diâmetro
interno do tubo e do escoamento. As visualizações para as simulações numéricas foram feitas
para varias seções do tubo (0,05; 2,0; 4,0; 6,0; 8,0; 10; 12 m), em um plano longitudinal
central.
Na Tabela 5.4, mostra a visualização do escoamento com 3% de óleo em água. Nota-se
que na simulação e no experimental a estratificação ocorre ao longo do tubo mantendo-se
estável a partir de 6 m do tubo. Para este escoamento pode-se observar que a estratificação
ocorre logo no início do tubo.
A Tabela 5.5, apresenta a visualização para o escoamento com 15% de óleo em água.
Pode-se observar tanto na simulação quanto no experimental, que a 2 m de tubo têm-se a
estratificação do escoamento com uma camada de mistura tornando-se estável a partir de 6 m.
Observa-se que a estratificação ocorre no início, porém devido a uma maior concentração de
óleo em água esta ainda não apresenta uma interface definida como no caso de 3%, após 4 m
a interface se torna estável.
59
Tabela 5.4 - Visualização do escoamento bifásico óleo-água para 3% de óleo - experimental e
simulação.
3% de óleo
Posição da
caixa (m)
Visualização do escoamento –
experimental
Visualização do escoamento –
simulação numérica
2
Caixa de visualização a 2,0 m.
Seção a 0,05 m.
Seção a 2,0 m.
4
Caixa de visualização a 4,0 m.
Seção a 4,0 m.
6
Caixa de visualização a 6,0 m.
Seção a 6,0 m.
8
Caixa de visualização a 8,0 m.
Seção a 8,0 m.
60
10
Caixa de visualização a 10,0 m.
Seção a 9,0 m.
12
Caixa de visualização a 12,0 m.
Seção a 10,0 m.
Tabela 5.5 - Visualização do escoamento bifásico óleo-água para 15% de óleo - experimental
e simulação.
15% de óleo
Posição da
caixa (m)
Visualização do escoamento –
experimental
Visualização do escoamento –
simulação numérica
2
Caixa de visualização a 2,0 m.
Seção a 0,05 m.
Seção a 2,0 m.
4
Caixa de visualização a 4,0 m.
Seção a 4,0 m.
61
6
Caixa de visualização a 6,0 m.
Seção a 6,0 m.
8
Caixa de visualização a 8,0 m.
Seção a 8,0 m.
10
Caixa de visualização a 10,0 m.
Seção a 10,0 m.
12
Caixa de visualização a 12,0 m.
Seção a 12,0 m.
5.2.3 Análise da Influência da Curvatura do Tubo na Estratificação
Casos A, B e C
Para a análise do efeito provocado pela curvatura na estratificação da emulsão óleo-
água, foram consideradas diferentes relações de aspecto (
r
/
d
). A Tabela 5.6 apresenta as
relações geométricas do tubo.
Foi analisado para os Casos A, B, e C, tubos horizontais com diferentes raios de
curvatura. Para análise destes casos gerou-se uma malha 3D com 369.522 elementos
hexaédricos, garantindo a ortogonalidade dos elementos na curva.
62
A velocidade do óleo e da água, na simulação numérica, foi de 0,09 m/s para uma
concentração de 3% de óleo em água.
Tabela 5.6 - Relações geométricas para o tubo com curva.
Caso Diâmetro interno do
tubo - d (m)
Raio da curva - r (m) Relação r/d
A 0,0216 0,0216 1,00
B 0,0216 0,0648 3,00
C 0,0216 0,1400 6,48
Para os Casos A, B e C, gerou-se três geometrias (tubos com curva) com diâmetro
interno
d
= 0,0216 e comprimento
L
= 3 m nas seções antes e após a curva, variando apenas o
raio da curva (
r
). A Figura 5.11 mostra a geometria e a malha para o Caso A.
Figura 5.11 – Geometria parcial e malha.
Os resultados obtidos para o Caso A são apresentados nas Figuras 5.12 e 5.13. A Figura
5.12, mostra os contornos da fração volumétrica do óleo para um tubo com raio de curvatura
r
= 0,0216 m. Observa-se que a estratificação se inicia antes da curva e que nesta ocorre uma
mistura, devido ao efeito centrífugo provocando o aparecimento de fluxos secundários, sendo
que após a curva o escoamento estratifica-se novamente.
A Figura 5.13, apresenta os contornos da fração volumétrica em vários planos
transversais. Observa-se nestes planos a formação de fluxos secundários, provocando a
deformação da interface de estratificação.
63
Figura 5.12
-
Contornos da fração volumétrica do óleo para 3% - raio da curva = 0,0216 m.
Figura 5.13 - Contornos da fração volumétrica do óleo em planos transversais.
Para o Caso B, o resultado é apresentado na Figura 5.14.
A Figura 5.14, apresenta os
contornos da fração volumétrica do óleo para um tubo com raio de curvatura
r
= 0,0648 m.
Observa-se que a estratificação se mantém na curva, porém ocorre uma redução desta causada
pela força centrífuga.
64
Figura 5.14 - Contornos da fração volumétrica do óleo para 3% - raio da curva = 0,0648 m
Para o Caso C, o resultado pode ser visto na Figura 5.15. Na Figura 5.15, têm-se os
contornos da fração volumétrica do óleo para um tubo com raio de curvatura
r
= 0,140 m.
Observa-se que a estratificação se mantém ao longo do tubo, sendo pouca alterada pela
curvatura do tubo.
Figura 5.15 - Contornos da fração volumétrica do óleo para 3% - raio da curva = 0,140 m.
65
5.2.4 Análise da Influência do Diâmetro da Gota de Óleo na
Estratificação
Para análise da influência do diâmetro da gota de óleo na estratificação da emulsão
óleo-água, gerou-se uma geometria (tubo reto horizontal) com diâmetro interno
d
= 0,025 m e
comprimento
L
= 2 m e uma malha 2D com refino na interface com 170.019 elementos
quadrilaterais.
A velocidade do óleo e da água, na simulação numérica, foi de 0,09 m/s para uma
concentração de 15% de óleo em água.
A Figura 5.16, apresenta o comportamento da interface de estratificação para seis
valores do diâmetro da gota de óleo (D
g
), para concentração de 0,65 de óleo no plano
longitudinal central. Pode-se observar variações na interface de estratificação para os seis
diâmetros de gota (20, 40, 85, 170, 340, 680 µm). Para os diâmetros D
g
= 20, 40, 85 e 170
µm, observa-se uma estratificação estável ao longo do tubo. Para o diâmetro D
g
= 340 µm,
nota-se que a estratificação ocorre no início do tubo e que a partir de 0,6 m têm-se uma
mistura. Para o diâmetro D
g
= 680 µm, ocorre uma mistura a partir de 0,2 m do tubo. Uma
melhor visualização do comportamento da interface para D
g
= 340 e 680 µm, pode ser vista
na Figura 5.17 (a e b).
0 0.4 0.8 1.2 1.6 2
C
o
m
p
r
i
m
e
n
t
o
d
o
t
u
b
o
(
m
)
0.000
0.005
0.010
0.015
0.020
0.025
0.030
D
i
â
m
e
t
r
o
i
n
t
e
r
n
o
d
o
t
u
b
o
(
m
)
D
g
=20
µ
m
D
g
=40
µ
m
D
g
=85
µ
m
D
g
=170
µ
m
D
g
=340
µ
m
D
g
=680
µ
m
Figura 5.16 - Interface de estratificação para variação do diâmetro das gotas de óleo.
66
0 0.4 0.8 1.2 1.6 2
C
o
m
p
r
i
m
e
n
t
o
d
o
t
u
b
o
(
m
)
0.000
0.005
0.010
0.015
0.020
0.025
0.030
D
i
â
m
e
t
r
o
i
n
t
e
r
n
o
d
o
t
u
b
o
(
m
)
D
g
=340
µ
m
(a)
0 0.4 0.8 1.2 1.6 2
C
o
m
p
r
i
m
e
n
t
o
d
o
t
u
b
o
(
m
)
0.000
0.005
0.010
0.015
0.020
0.025
0.030
D
i
â
m
e
t
r
o
i
n
t
e
r
n
o
d
o
t
u
b
o
(
m
)
D
g
=680
µ
m
(b)
Figura 5.17- Interface de estratificação para diâmetro de gota. a)
D
g
= 340 µm, b) D
g
= 680 µm.
5.2.5 Análise da Influência da Inclinação do Tubo na Estratificação
Para o estudo da influência da inclinação do tubo na estratificação, analisou-se um tubo
reto com inclinações ascendentes (+1º, +3º, +5º), descendentes (-1º, -3º, -5º) e inclinação 0º.
Gerou-se uma geometria, tubo, com comprimento
L
= 5 m e diâmetro interno
d
= 0,025 m e
uma malha 2D com refino na interface.
Na simulação utilizou-se uma velocidade de 0,09 m/s para óleo e para a água e uma
concentração de 15% de óleo em água.
Na Figura 5.18, tem-se o comportamento da interface de estratificação em tubos
inclinados para fração volumétrica de 0,65 de óleo no plano longitudinal central. Observa-se
para inclinações +1º, +3º, +5º, 0º e -1º uma interface de estratificação estável ao longo do
tubo. Para inclinações -3º e -5º nota-se uma interface de estratificação instável, aparecendo
regiões descontínuas.
A Figura 5.18, apresenta também os perfis de velocidade do óleo para tubos com
inclinações -5º, e +5º. Observa-se perfis mais uniformes para inclinações de e +5º. Para
inclinação -5, o perfil de velocidade aparece com maior variação provocando regiões de maior
vorticidade e de fluxos recirculatórios, comprometendo a estabilidade da interface de
estratificação.
67
Perfil de velocidade do óleo (+5º)
Perfil de velocidade do óleo (+0º)
0 1 2 3 4 5
C
o
m
p
r
i
m
e
n
t
o
d
o
t
u
b
o
(
m
)
0.000
0.004
0.008
0.012
0.016
0.020
0.024
0.028
D
i
â
m
e
t
r
o
i
n
t
e
r
n
o
d
o
t
u
b
o
(
m
)
Inclinação 0º
Inclinação -1º
Inclinação -3º
Inclinação -5º
Inclinação +1º
Inclinação +3º
Inclinação +5º
Perfil de velocidade do óleo (-5º)
Figura 5.18 - Interface de estratificação para fração volumétrica de 0,65 de óleo em tubos
inclinados e perfis de velocidade da fase óleo.
5.2.6 Análise da Perda de Carga em Função do Diâmetro da Gota de
Óleo
Analisou-se a variação da pressão estática na entrada e na saída do tubo, para três
valores do diâmetro da gota de óleo. Para análise da perda de carga em função do diâmetro da
gota, gerou-se uma malha 2D para uma geometria (tubo reto horizontal) com comprimento
L
= 5 m e diâmetro interno
d
= 0,025 m. Considerou-se pequenas variações do diâmetro da gota
e as propriedades físicas do óleo e da água constantes, focando o padrão de escoamento
estratificado. Utilizou-se na simulação numérica uma velocidade de 0,09 m/s para óleo e para
água e uma concentração de 15% de óleo em água.
68
A Tabela 5.7, apresenta a variação da pressão estática (perda de carga) em função do
diâmetro da gota de óleo. Observa-se uma variação da pressão com o aumento do diâmetro da
gota de óleo. Nota-se que para o diâmetro D
g
= 60 µm a perda de pressão é mais significativa.
Esta pequena variação esta associada às tensões de atrito ou forças de arrasto que ocorrem em
função do aumento do diâmetro da gota.
Tabela 5.7 - Variação da pressão estática em função do diâmetro da gota de óleo.
Diâmetro da gota de óleo (µm) Variação da pressão estática - p - (Pa)
20 43,8740
40 43,9184
60 60,5263
5.2.7 Análise da Perda de Carga em Função da Variação da
Concentração de Óleo
Realizou-se uma análise da perda de carga em função da variação da concentração de
óleo em um tubo reto horizontal com diâmetro
d
= 0,025 m e comprimento
L
= 5 m. Para
simulação numérica, considerou-se uma velocidade de 0,09 m/s para o óleo e água e
concentrações de 3%, 15%, 20%, 30%, 40%, 50%, 60% e 100% de óleo.
A Figura 5.19, apresenta a variação da pressão estática (perda de carga) em função da
variação da concentração de óleo. Pode-se observar um aumento da perda de carga à medida
que a concentração de óleo aumenta. Verifica-se que para uma concentração de 100% de óleo
a perda de carga atinge seu valor máximo. Esta perda de carga pode ser representada através
de uma regressão polinomial cúbica, como mostra a Figura 5.19.
Nota-se que na Figura 5.19, a variação da pressão em função da concentração de óleo
foi realizada considerando escoamento bidimensional (2D), caso placas paralelas, entretanto
deve ser realizada uma correção para representar a variação da pressão estática no tubo
horizontal considerando o escoamento tridimensional (3D). Na Figura 5.19, estão indicados
os valores de perda de carga para escoamento monofásico (água e óleo) 2D com axisimetria
axial, no tubo através da simulação numérica e da teoria básica com base no fator de atrito
laminar (64/Re).
69
0 20 40 60 80 100
C
o
n
c
e
n
t
r
a
ç
ã
o
d
e
o
l
e
o
(
%
)
0
40
80
120
160
Variação da pressão estática (Pa/m)
3.7
11.2
13.4
13.8
15.8
17.2
18.5
19.8
50.83
5.09
133
5.6
135
Simulação bifásica
Regressão cúbica
Solução analítica monofásica óleo e água
Simulação monofásica óleo e água
p
= 1.0236 + 0.954 C
óleo
- 0.0213 (C
óleo
)
2
+ 0.000167 (C
óleo
)
3
Figura 5.19 - Variação da pressão estática em função da concentração de óleo.
5.2.8 Análise do Tempo de Residência das Partículas Numéricas
Para análise do tempo de residência das partículas, gerou-se uma geometria (tubo reto
horizontal) com comprimento
L
= 13 m e diâmetro interno
d
= 0,0216 m e uma malha 3D
com 207.955 elementos hexaédricos. Na simulação utilizou-se uma velocidade de 0,09 m/s
para óleo e para a água e uma concentração de 15% de óleo em água.
A análise pode ser realizada injetando partículas inertes no escoamento na entrada do
tubo acompanhando sua trajetória até a saída.
Na Figura 5.20, pode-se visualizar a trajetória de algumas partículas ao longo do tubo.
Nota-se que as partículas quando são arrastadas pelo escoamento bifásico, ocorre um
retardamento no deslocamento de algumas partículas provocando tempos maiores de
residência. Escoamento bifásico possui duas fases que escoam em velocidades diferentes, o
que pode contribuir para tempos maiores de permanência da partícula no tubo.
Na Figura 5.21, apresenta-se o tempo de residência das partículas da entrada do tubo até
a saída. Observa-se uma variação no tempo de residência, sendo o tempo máximo de 346
segundos.
70
Figura 5.20 - Trajetória das partículas numéricas ao longo do tubo.
Figura 5.21 - Tempo de residência das partículas.
6. Capítulo 6
CONCLUSÕES E SUGESTÕES FUTURAS
6.1 CONCLUSÕES
No presente trabalho utilizou-se técnicas de CFD para solução numérica do escoamento
bifásico óleo-água. As simulações numéricas foram realizadas através do software FLUENT
®
.
A Dinâmica dos Fluidos Computacional (CFD) mostrou-se uma importante ferramenta
na análise do escoamento bifásico, possibilitando o estudo de diferentes geometrias e
condições de contornos. Neste trabalho foram realizadas as seguintes análises: comparação da
simulação com dados experimentais para a validação, refinamento da malha na região da
interface, tubos com curva, variação do diâmetro da gota de óleo, inclinação do tubo, perda de
carga e tempo de residência das partículas.
A partir das simulações numéricas realizadas neste trabalho, referentes às análises
citadas acima, pode-se destacar as seguintes conclusões:
Para análise da malha, pode-se verificar a importância do refinamento desta na
região da interface no comportamento da estratificação do escoamento bifásico
óleo-água, assim como na convergência dos resultados.
72
Os resultados da simulação numérica, apenas para os itens 5.2.1.2 e 5.2.1.4,
foram comparados com os resultados obtidos nos ensaios experimentais e
validados mostrando que há uma boa concordância qualitativa entre eles.
Para a análise da curvatura do tubo, verificou-se que esta tem influência na
estratificação do escoamento. Para o raio de menor curvatura, observou-se que
a mistura na estratificação é mais significativa quando comparada aos demais
raios analisados.
Para análise da influência do diâmetro da gota de óleo, observou-se que para
diâmetros menores obteve-se uma interface de estratificação mais estável em
comparação com diâmetros de gota maiores.
Para análise da influência da inclinação do tubo na estratificação, observou-se
que para inclinações +1, +3º, +5º, e -1 a interface de estratificação manteve-
se estável ao longo do tubo e para inclinações -3 e -5 observou-se regiões de
descontinuidade na interface.
Para a análise da perda de carga em função do diâmetro da gota de óleo,
verificou-se que a perda de carga aumenta com o tamanho do diâmetro da gota.
Para análise da perda de carga em função da variação da concentração de óleo,
observou-se que a perda de carga aumenta gradativamente com aumento da
concentração.
Para análise do tempo de residência das partículas, observou-se uma variação
no tempo de residência. Algumas partículas tiveram um tempo de permanência
no tubo maior que outras.
6.2 SUGESTÕES FUTURAS
Com relação aos futuros trabalhos sobre escoamento bifásico óleo-água em tubos e
considerando os resultados obtidos neste trabalho, propõem-se as seguintes sugestões:
Utilizar nas simulações do escoamento bifásico óleo-água modelos de
turbulência.
73
Utilizar funções pré-definidas pelo usuário (UDF) com objetivo de
implementar e testar novas correlações semi-empíricas disponíveis na literatura
para o coeficiente de troca de quantidade de movimento da interface.
Realizar estudos experimentais para tubos com inclinações ascendentes e
descendentes e para tubos com diferentes raios de curvatura para validação da
simulação numérica.
Medir nos estudos experimentais a pressão na entrada e na saída do tubo para o
cálculo da perda de carga.
Verificar a perda de pressão em sistema de bombeamento com diferentes
viscosidades de óleo.
Utilizar técnicas de LDV (
Laser Doppler Velocimetry
) ou PIV/LIF (
Particle
Image Velocimetry
/
Laser Induced Flourecence
) nos ensaios experimentais
para obter representações locais do campo de escoamento, como perfil de
velocidade e fração volumétrica local.
REFERÊNCIAS BIBLIOGRÁFICAS
ANGELI, P.; HEWITT, G. F. (2000),
“Flow Structure in Horizontal Oil-Water Flow”,
International Journal of Multiphase Flow
, vol. 26, pp. 1117-1140.
ARIRACHAKARAN, S.; OGLESBY, K. D.; MALINOWSKY, M. S.; SHOHAM, O.,
BRILL, J. P. (1989),
“An Analysis of Oil-Water Flow Phenomena in Horizontal
Pipes”,
SPE Production Operations Symposium
, Oklahoma, pp. 115-167.
BARNEA, D. (1987),
“Unified Model for Predicting Flow-Pattern Transitions for the Whole
Range of Pipe Inclinations”,
International Journal of Multiphase Flow
, vol. 11, pp. 1-
12.
BOISSON, N.; MALIN, M. R. (1996), “Numerical Prediction of Two-Phase Flow in Bublle
Columns”, Internatinal Journal for Numerical
, vol. 23, pp. 1289-1310.
CHARLES, M. E.; GOVIER, G. W.; HODGSON, G. W. (1961),
“The Horizontal Pipeline
Flow of Equal Density Oil-Water Mixtures”,
Canadian Journal of Chemical
Engineering
, vol. 39, pp. 27-36.
COELHO, R. M. L. (2006), Métodos Numéricos para Solução de Sistemas Hiperbólicos
Aplicados aos Escoamentos Compressíveis Mono e Bifásicos
, Tese de Doutorado,
Escola de Química, UNFRJ, 274 p.
COUET, B.; BROWN, P.; HUNT, A. (1991),
“Two-Phase Bubbly-Droplet Flow through a
Contraction: Experiments and a Unified Model”,
International
Journal of Multiphase
Flow
, vol. 17, pp. 291-307.
75
CROWE, C.; SOMMERFELD, M.; TSUJI, Y. (1998),
Multiphase Flows with Droplets
and Particles
, CRC Press, 467 p.
DAMACENA, Y. T.; CRIVELARO, K. C. O.; ANDRADE, T. H. F.; NETO, S. R. F.;
LIMA, A. G. B. (2009),
“Transporte de Óleos Pesados em Dutos Horizontais via
Técnica Core-Flow: Modelagem e Simulação Numérica”,
Congreso Iberoamericano
de Ingeniería Mecánica
, pp. 143-153.
DECKER, R. K. (2003),
Modelagem e Simulação Tridimensional e Transiente do
Escoamento Gás-Sólido
, Dissertação de Mestrado, Unicamp, Campinas, São Paulo,
118 p.
DECKER, R. K.; MEIER, H. F.; MORI, M. (2004),
“Validação de Modelo Tridimensional
para o Escoamento Gás-Sólido Diluído Vertical e Horizontal, por Técnicas de
Fluidodinâmica Computacional (CFD)”,
Boletim Técnico Petrobras
, Rio de Janeiro,
vol. 47, pp.88-100.
DELNOIJ, E.; KUIPERS, J. A.; SWAAIJ, W. P. M. (1997),
Dynamic Simulation of Gas-
Liquid Two-Phase Flow using Discrete Bubble Model”,
Chemical Engineering
Science
,
vol. 52, pp. 1429-1458.
DREW, D. (1983),
“Mathematical Modelling of Two-Phase Flows”,
Annual Review of Fluid
Mechanics
, vol. 15, pp. 261-291.
DREW, D. A.; LAHEY, J. (1987),
“The Virtual Mass and Lift Force on a Sphere in Rotating
and Straining Inviscid Flow”,
International Journal of Multiphase Flow
, vol. 13, pp.
113-121.
DREW, D. A.; PASSMAN, S. L. (1998), Theory of Multicomponent Fluids
, Springer-
Verlag, New York Inc., 308 p.
ELSETH, G. (2001), An Experimental Study of Oil-Water Flow in Horizontal Pipes
, Ph. D.
Thesis, The Norwegian University of Science and Technology, Porsgrunn, 270 p.
76
FLUENT INC. (2003):
FLUENT User’s Guide
, Lebanon, USA, 2003.
FORTUNA, A. O. (2000),
Técnicas Computacionais para Dinâmica dos Fluidos: Conceitos
Básicos e Aplicações
, São Paulo, Edusp, 426 p.
GUZHOV, A.; GRISHIN, A. D.; MEDREDEV, V. F.; MEDREDEVA, O.P. (1973),
Emulsion Formation during the Flow of Two Liquids in a Pipe”
, Neft Khoz, vol. 8, pp.
58-61.
ISHII, M. (1975),
Thermo-Fluid Dynamic Theory of Two-Phase Flow
, Eyrolles, 275 p.
JILLAVENKATESA, A.; DAPKUNAS, S. J.; LIN-SIEN, H. L. (2001),
“Particle Size
Characterization”,
National Institute of Standards and Technology
, Special Publication,
pp. 165.
JUN, Z.; JUN, G.; DAO-TONG, G.; LI-YANG, W.; ZHI-CHU, Z. (2006),
“An
Investigation on Oil-Water Separation Mechanism inside Helical Pipes”,
Science
Direct
, Conference of Global Chinese Scholars on Hydrodynamics, pp. 343-347.
KIPPAX, P. (2005),
Measuring Particle Size Using Modern Laser Diffraction Techniques
,
Paint e Coatings Industry
, pp. 5.
KOWE, R.; HUNT, J. C. R.; HUNT, A.; COUET, B.; BRADBURY, L. J. S. (1988),
“The
Effects of Bubbles on the Volume Fluxes and the Pressure Gradients in Unsteady and
Non-Uniform Flow of Liquids”,
International Journal of Multiphase Flow
, vol. 14, pp.
587-606.
KRISHNA, R.; VAN BATEN, J. M.; URSEANU, M. I. (2000),
“Three-Phase Eulerian
Simulations of Bubble Column Reactors Operating in the Churn-Turbulent Regime: a
Scale up Strategy”,
Chemical Engineering Science
, vol. 55, pp. 3275-3286.
KVANDAL, H. K.; ELSETH, G.; MELAAEN, M. C. (2000)
, Measurement of Velocity
and Phase Fraction in Dispersed Two-Phase Flow,
International Symposium On
Multiphase Flow and Transport Phenomena
, Antalya, Turkey, 5-10 Nov, p. 342-348.
77
LAHEY, J.; CHENG, L. Y.; DREW, D. A.; FLAHERTY, J. E. (1980),
“The Effect of
Virtual Mass on the Numerical Stability of Accelerating Two-Phase Flows”,
International Journal of Multiphase Flow
, vol. 6, pp. 281-294.
LOMAX, H., PULLIAM, T.H., ZINGG, D.W. (2001),
Fundamentals of Computacional
Fluid Dynamics
, Springer, 275 p.
LOPEZ DE BERTODANO, M.; LAHEY, J.; JONES, O. C. (1994),
“Phase Distribution in
Bubbly Two-Phase Flow in Vertical Ducts”,
International Journal of Multiphase Flow
,
vol. 20, pp. 805-818.
LOVICK, J.; ANGELI, P. (2004)
, “Experimental Studies on the Dual Continuous Flow
Pattern in Oil–Water Flows”,
International Journal of Multiphase Flow
, vol. 30, pp.
139-157.
MALISKA, C. R. (1995)
,
Transferência de Calor e Mecânica dos Fluidos Computacional:
Fundamentos e Coordenadas Generalizas
, Rio de Janeiro, LTC Editora, 424 p.
MALISKA, C. R. (2004)
,
Transferência de Calor e Mecânica dos Fluidos Computacional,
2ª ed., Rio de Janeiro, LTC Editora, 453 p.
MASSAH, H.; OSHINOWO, L. (2000),
Advanced Gas-Solid Multiphase Flow Models
Offer Significant Process Improvements”,
Journal Articles by Fluent Software Users
,
pp. 1-6.
MOUZA, A. A.; PARAS, S. V.; KARABELAS, A. J. (2001),
“CFD Code Application to
Wavy Stratified Gas-Liquid Flow”,
Chemical Engineering Research and Design
, vol.
79, pp. 561-568.
NÄDLER, M.; MEWES, D
. (1995),
“The effect of Gas Injection on the Flow Immiscible
Liquids in Horizontal Pipes”,
Chemical Engineering
, vol. 18, pp. 156-165.
NÄDLER, M.; MEWES, D
. (1997),
“Flow Induced Emulsification in the Flow of Two
Immiscible Liquids in Horizontal Pipes”,
International Journal of Multiphase Flow
,
vol. 23, pp. 55-68.
78
PALADINO, E. E. (2005), Estudo do Escoamento Multifásico em Medidores de Vazão do
Tipo Pressão Diferencial,
Tese de Doutorado, Departamento de Engenharia Mecânica,
UFSC, 237 p.
PALADINO, E. E.; MALISKA, C. R., (2002),
“Multi-Phase Flow Modeling in Differential
Pressure Flow Meters”,
Congresso Brasileiro de Engenharia e Ciências Térmicas -
ENCIT
, Caxambu, pp. 1-12.
PALADINO, E. E.; MALISKA, C. R., (2004),
“Virtual Mass in Accelerated Bubbly
Flows”,
Proceedings of 4th European Themal Sciences
, 29th, National Exhibition
Centre, Birmingham, UK.
PATANKAR, S. V.
(1980)
,
Numerical Heat Transfer and Fluid Flow
, New York, Ed.
Hemisphere Publishing Corporation, 197 p.
RAMALHO, J. B. V. S.; OLIVEIRA, M. C. K. (1999),
“Metodologia para Determinação
da Distribuição do Diâmetro de Gotas em Emulsões de Petróleo do tipo Água-Óleo por
Difração a Laser”,
Boletim Técnico da Petrobrás
, Rio de Janeiro, pp. 5.
RODRIGUES, O. M. H.; OLIEMANS, R. V. A. (2006),
“Experimental Study on Oil-Water
Flow in Horizontal and Slightly Inclined Pipes”,
International Journal of Multiphase
Flow
,
vol. 32, pp. 323-343.
ROPELATO, K. (2004),
Modelagem 3D e Simulação Dinâmica do Escoamento Gás-Sólido
em Reator Downer
, Dissertação de Mestrado, UNICAMP, Campinas, São Paulo, 105 p.
RUSSEL, T. W. F.; HODGSON, G. W.; GOVIER, G. W. (1959),
“Horizontal Pipelines
Flow of Mixture of Oil and Water”,
Canadian Journal Chemical Engineering
, vol. 37,
pp. 9-17.
SOUZA, J. Z.; RIBEIRO, D. C.; FONTES, C. E.; LEIBSOHN, A.; WALDMANN, A.;
LOMBA, R. (2009),
“Análise do Escoamento e Fluidos Particulados durante a
Perfuração de Reservatórios Fraturados
,
III Encontro Nacional de Hidráulica de
Poços
, Campos do Jordão, São Paulo, p. 8.
79
SCOTT, D. M.
(2008)
“Industrial Process Sensors”
, Taylor and Francis Group, Chapter 8,
44 p.
SHI, H.; CAI, J. Y.; JEPSON, W.P. (1999),
“The Effect of Surfactants on Flow
Characteristics in Oil-Water Flows in Large Diameter Horizontal Pipelines”,
Multiphase 99
, pp. 181-199.
SIMMONS, M. J. H.; AZZOPARDI, B.J. (2001),
“Drop Size Distributions in Dispersed
Liquid-Liquid Pipe Flow,”
International Journal Multiphase Flow
, vol.
27, pp. 843-
859.
SOMMERFELD, M. (2000),
“Theoretical and Experimental Modelling of Partículate
Flows: Overview and Fundamentals”
, Von Karman Institute for Fluid Dynamics, 63 p.
TRALLERO, J. L. (1995),
Oil–Water Flow Patterns in Horizontal Pipes
, Ph.D. Thesis,
University of Tulsa, Tulsa.
TORRES-MONZÓN, C. F. (2006), Modeling of Oil-Water Flow in Horizontal and Near
Horizontal Pipes
,
Ph. D. Thesis, Department of Mechanical Engineering, University of
Tulsa, 117 p.
VERSTEEG, H. K.; MALALASEKERA, W. (2007),
An Introduction to Computational
Fluid Dynamics: The Finite Volume Method
, 2th ed., England, Ed. Pearson Education
Limited, 503 p.
WATANABE, T.; HIRANO, M.; TANABE, F.; KAMO, H. (1990),
The Effect of the
Virtual Mass Force Term on the Numerical Stability and Efficiency of System
Calculations”,
Nuclear Engineering and Design
, vol. 120, pp. 181-192.
WÖRNER, M. (2003),
“A Compact Introduction to the Numerical Modeling of Multiphase
Flows”
,
Forschungszentrum Karlsruhe Gmbh, Karlsruhe, 38 p.
XU, X. X. (2007),
“Study on Oil-Water Two-Phase Flow in Horizontal Pipelines”,
Journal of
Petroleum Science and Engineering
, vol. 59, pp. 43-58.
Anexo A
RESULTADOS DAS ANÁLISES DA DISTRIBUIÇÃO
DO TAMANHO DAS GOTAS DE ÒLEO
81
No presente trabalho, a determinação da distribuição do tamanho das gotas de óleo na
emulsão foi realizada através do instrumento
Mastersizer 2000
, da
Malvern
, o qual utiliza o
princípio de difração a laser para determinar a distribuição. Para a determinação do diâmetro
da gota, foram coletadas amostras da emulsão na entrada da tubulação para 3% e 15% de óleo
na emulsão.
Exemplos dos resultados obtidos pelo
Mastersizer 2000
, para os ensaios de 3% e 15%
de óleo são apresentados nas Figuras A1 e A2.
3% de óleo
Figura A1 - Distribuição do tamanho das gotas de óleo para 3%.
15% de óleo
Figura A2 - Distribuição do tamanho das gotas de óleo para 15%.
Livros Grátis
( http://www.livrosgratis.com.br )
Milhares de Livros para Download:
Baixar livros de Administração
Baixar livros de Agronomia
Baixar livros de Arquitetura
Baixar livros de Artes
Baixar livros de Astronomia
Baixar livros de Biologia Geral
Baixar livros de Ciência da Computação
Baixar livros de Ciência da Informação
Baixar livros de Ciência Política
Baixar livros de Ciências da Saúde
Baixar livros de Comunicação
Baixar livros do Conselho Nacional de Educação - CNE
Baixar livros de Defesa civil
Baixar livros de Direito
Baixar livros de Direitos humanos
Baixar livros de Economia
Baixar livros de Economia Doméstica
Baixar livros de Educação
Baixar livros de Educação - Trânsito
Baixar livros de Educação Física
Baixar livros de Engenharia Aeroespacial
Baixar livros de Farmácia
Baixar livros de Filosofia
Baixar livros de Física
Baixar livros de Geociências
Baixar livros de Geografia
Baixar livros de História
Baixar livros de Línguas
Baixar livros de Literatura
Baixar livros de Literatura de Cordel
Baixar livros de Literatura Infantil
Baixar livros de Matemática
Baixar livros de Medicina
Baixar livros de Medicina Veterinária
Baixar livros de Meio Ambiente
Baixar livros de Meteorologia
Baixar Monografias e TCC
Baixar livros Multidisciplinar
Baixar livros de Música
Baixar livros de Psicologia
Baixar livros de Química
Baixar livros de Saúde Coletiva
Baixar livros de Serviço Social
Baixar livros de Sociologia
Baixar livros de Teologia
Baixar livros de Trabalho
Baixar livros de Turismo