Download PDF
ads:
Universidade do Estado do Rio de Janeiro
Instituto Politécnico
Wagner Rambaldi Telles
Simulação do transporte horizontal bidimensional
de substância conservativa
Nova Friburgo
2009
ads:
Livros Grátis
http://www.livrosgratis.com.br
Milhares de livros grátis para download.
Wagner Rambaldi Telles
Simulação do transporte horizontal bidimensional de substância conservativa
Dissertação apresentada como requisito
parcial para obtenção do título de Mestre,
ao Programa de Pós-Graduação em
Modelagem Computacional do Instituto
Politécnico, da Universidade do Estado do
Rio de Janeiro.
Orientadores: Prof. Antônio José da Silva Neto
Prof. Pedro Paulo Gomes Watts Rodrigues
Nova Friburgo
2009
ads:
CATALOGAÇÃO NA FONTE
UERJ/REDE SIRIUS/BIBLIOTECA CTC/E
Autorizo, apenas para fins acadêmicos e científicos, a reprodução total ou parcial
desta dissertação.
_______________________________ ______________________________
Assinatura Data
T274 Telles, Wagner Rambaldi
Simulação do transporte horizontal bidimensional
de substância conservativa / Wagner Rambaldi Telles.
– 2009.
88 f.: il.
Orientadores: Antônio José da Silva Neto e Pedro
Paulo Gomes Watts Rodrigues.
Dissertação (Mestrado) – Universidade do Estado
do Rio de Janeiro, Instituto Politécnico.
1. Água – Poluição – Métodos de simulação –
Teses. 2. Método dos volumes finitos – Teses. I. Silva
Neto, Antônio José da. II. Rodrigues, Pedro Paulo
Gomes Watts. III. Universidade do Estado do Rio de
Janeiro. Instituto Politécnico. IV. Título.
CDU 628.19:519.6
Wagner Rambaldi Telles
Simulação do transporte horizontal bidimensional de substância conservativa
Dissertação apresentada como requisito parcial
para obtenção do título de Mestre, ao
Programa de Pós - Graduação em Modelagem
Computacional do Instituto Politécnico, da
Universidade do Estado do Rio de Janeiro.
Aprovada em 27 de abril de 2009
Banca examinadora:
______________________________________
Prof. Antônio José da Silva Neto, Ph.D.
Instituto Politécnico, Universidade do Estado do Rio de Janeiro
______________________________________
Prof. Pedro Paulo Gomes Watts Rodrigues, Ph.D.
Instituto Politécnico, Universidade do Estado do Rio de Janeiro
______________________________________
Prof. Francisco Duarte Moura Neto, Ph.D.
Instituto Politécnico, Universidade do Estado do Rio de Janeiro
______________________________________
Prof. Álvaro Luiz de Bortoli, Ph.D.
Universidade Federal do Rio Grande do Sul
______________________________________
Prof. Jader Lugon Júnior, Ds.c.
Centro Federal de Educação Tecnológica
Nova Friburgo
2009
DEDICATÓRIA
Aos meus pais, José Roberto e Vera Clice,
sempre presentes me incentivando e
acreditando em meu potencial.
AGRADECIMENTOS
À Deus
Aos meus pais, José Roberto e Vera Clice pelo carinho e apoio recebido.
A minha namorada pela atenção e compreensão.
Aos meus orientadores Antônio José da Silva Neto e Pedro Paulo Gomes Watts
Rodrigues pelas críticas, participação e orientação.
Aos amigos de mestrado pela convivência e vivência.
Aos amigos pessoais pelo convívio, dicas e grandes incentivadores.
A todas aquelas pessoas que de maneira direta e indireta contribuíram na realização
deste trabalho.
Somos marionetes controladas por linhas invisíveis,
linhas que estão dentro de nós,
linhas chamadas vontades.
Schopenhauer
RESUMO
TELLES, Wagner Rambaldi. Simulação do transporte horizontal bidimensional de
substância conservativa. 2009. 88 f. Dissertação (Mestrado em Modelagem
Computacional) Instituto Politécnico, Universidade do Estado do Rio de Janeiro,
Nova Friburgo, 2009.
Nesta dissertação é apresentada a modelagem computacional do transporte de uma
pluma de contaminante em rios. A simulação do comportamento destas plumas
torna-se indispensável no processo de tomada de decisões, bastando para tanto
mencionar o fato da possibilidade de se estimar o melhor local para o lançamento de
resíduos domésticos e industriais a fim de proteger ecossistemas aquáticos e
viabilizar os usos dados a esses recursos. Desta forma o presente trabalho
apresenta um estudo sobre os parâmetros advectivos e dispersivos do transporte de
plumas de contaminantes no rio Macaé, região essa de grande interesse devido a
sua importância local e regional. Com o intuito de viabilizar esse estudo foi realizado
um trabalho de campo nas proximidades da Usina Termoelétrica (UTE) Mário Lago
através do lançamento de uma descarga de cloreto de sódio (sal de cozinha - NaCl)
no local de interesse. Foram realizadas comparações entre os resultados
experimentais com aqueles obtidos numericamente através de um modelo
matemático. Devido à geometria da área de estudos, optou-se por uma abordagem
horizontal bidimensional. Este modelo foi resolvido empregando o método de
volumes finitos com formulação totalmente implícita, sendo usado o algoritmo de
Thomas (TDMA) para a solução do sistema de equações.
Palavras-chave: Poluentes; Rio Macaé; Volumes Finitos; Modelagem
Computacional.
ABSTRACT
This dissertation presents the computational modeling of the transport of a plume of
contamination in rivers. The simulation of the behavior of the plumes becomes
indispensable in the process of decision making, it is enough to mention the
possibility of estimating the best places for the launch of household and industrial
waste to protect aquatic ecosystems and enable the use of such data features. Thus
this work presents a study on the advective and dispersive parameters is a of the
transport of contaminant plumes in the Macae river. This region of great interest due
to its local and regional importance. In order to provide to this work, a field work was
carried out in the vicinity or fieldwork in the vicinity of the thermoelectric plants (UTE)
Mario Lago by launching a discharge of sodium chloride (table salt - NaCl) in a place
of interest. Comparisons were made between the experimental results with those
obtained numerically using a mathematical model. Due to the geometry of the field of
study, we chose a horizontal two-dimensional model. This model was solved using
the finite volume method with fully implicit formulation, and made of use the
algorithm of Thomas (TDMA) to solve the system of equations.
Keywords: Pollutant; Macae River; Finite Volumes; Computational Modeling.
LISTA DE FIGURAS
Figura 2.1 Mapa do Rio Macaé onde está localizada a região de interesse.
31
Figura 2.2
Vista aérea da Termoelétrica Mário Lago e da região de estudo
.
31
Figura 2.3 Bacia hidrográfica do Rio Macaé.
34
Figura 2.4 Limites da bacia hidrográfica do rio Macaé
34
Figura 3.1 Diagrama do processo de modelagem de recursos hídricos.
40
Figura 3.2 Equação de conservação na forma conservativa.
46
Figura 3.3
Representação esquemática do rio Macaé no trecho de
realização do trabalho de campo.
50
Figura 3.4 Malha de cálculo do método de Volumes Finitos.
55
Figura 3.5 Molécula de cálculo com formulação explícita.
59
Figura 3.6 Molécula de cálculo com formulação totalmente implícita.
59
Figura 3.7 Molécula de cálculo com formulação implícita.
59
Figura 3.8
Volumes internos da malha de lculo do método de Volumes
Finitos.
60
Figura 3.9
.
61
Figura 3.10
Volume de controle situado no contorno
lateral esquerdo.
61
Figura 3.11
Volume de controle situado no contorno superior
interno.
62
Figura 3.12
Volume de controle interno situado no lado direito
.
62
Figura 4.1 Preparação da solução salina utilizada na simulação.
69
Figura 4.2 Recipiente contendo o traçador utilizado na simulação.
70
Figura 4.3 Região onde ocorreram o lançamento e a coleta das amostras.
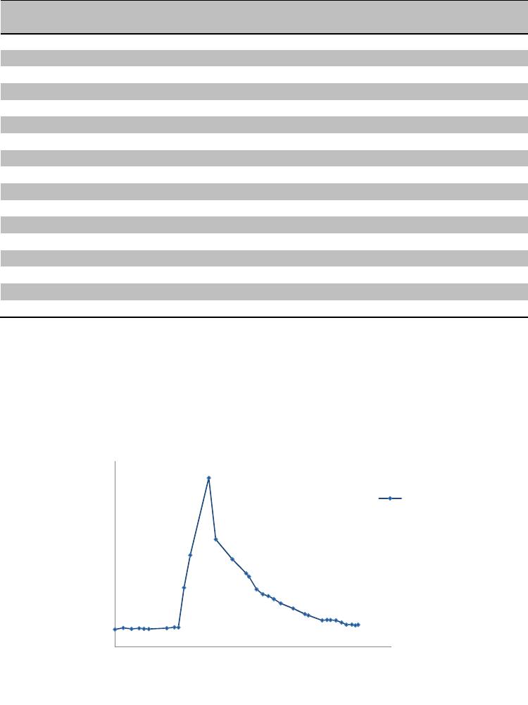
71
Figura 4.4
Gráfico referente a evolução da concentração ao longo do
tempo.
72
Figura 5.1 Gráfico do comportamento da concentração ao longo
do tempo
com lançamento na margem do rio e utilizando diferentes
malhas.
75
Figura 5.2
Gráfico da concentração considerando apenas a variação do
efeito dispersivo transversal a 0,70 metros da margem, com
l
E
=0,42 m
2
/s e
t
E
=0,01 m
2
/s, 10 s após o lançamento.
77
Figura 5.3
Gráfico da concentração considerando apenas a variação do
efeito dispersivo transversal a 0,70 metros da margem, com
l
E
=0,42 m
2
/s e
t
E
=0,1 m
2
/s, 10 s após o lançamento.
77
Figura 5.4
Gráfico da concentração considerando apenas a variação do
efeito dispersivo transversal a 0,70 metros da margem, com
l
E
=0,42 m
2
/s e
t
E
=0,5 m
2
/s, 10 s após o lançamento.
78
Figura 5.5
Comparação da concentração considerando apenas a variação
do efeito dispersivo transversal a 0,70 metros da margem e 10 s
após o lançamento.
78
Figura 5.6
Gráfico da concentração considerando apenas a variação do
efeito dispersivo transversal a 0,70 metros da margem, com
l
E
=0,42 m
2
/s e
t
E
=0,01 m
2
/s, 200 s após o lançamento.
79
Figura 5.7
Gráfico da concentração considerando apenas a variação do
efeito dispersivo transversal a 0,70 metros da margem, com
l
E
=0,42 m
2
/s e
t
E
=0,1 m
2
/s, 200 s após o lançamento.
79
Figura 5.8
Gráfico da concentração considerando apenas a variação do
efeito dispersivo transversal a 0,70 metros da margem, com
l
E
=0,42 m
2
/s e
t
E
=0,5 m
2
/s, 200 s após o lançamento.
80
Figura 5.9 Comparação da concentração co
nsiderando apenas a variação
do efeito dispersivo transversal a 0,70 metros da margem e 200
s após o lançamento.
80
Figura 5.10
Gráfico da concentração considerando apenas a variação do
efeito dispersivo transversal a 0,70 metros da margem, com
l
E
=0,42 m
2
/s e
t
E
=0,01 m
2
/s, 500 s após o lançamento.
81
Figura 5.11
Gráfico da concentração considerando apenas a variação do
efeito dispersivo transversal a 0,70 metros da margem, com
l
E
=0,42 m
2
/s e
t
E
=0,1 m
2
/s, 500 s após o lançamento.
81
Figura 5.12
Gráfico da concentração considerando apenas a variação do
efeito dispersivo transversal a 0,70 metros da margem, com
l
E
=0,42 m
2
/s e
t
E
=0,5 m
2
/s, 500 s após o lançamento.
82
Figura 5.13
Comparação da concentração considerando apenas a variação
do efeito dispersivo transversal na margem e 500 s após o
lançamento.
82
Figura 5.14
Gráfico da concentração considerando apenas a variação do
efeito dispersivo longitudinal a 0,70 metros da margem, com
l
E
=0,1 m
2
/s e
t
E
=0,01 m
2
/s, 10 s após o lançamento.
83
Figura 5.15
Gráfico da concentração considerando apenas a variação do
efeito dispersivo longitudinal a 0,70 metros da margem, com
l
E
=0,5 m
2
/s e
t
E
=0,01 m
2
/s, 10 s após o lançamento.
84
Figura 5.16
Gráfico da concentração considerando apenas a variação do
efeito dispersivo longitudinal a 0,70 metros da margem, com
l
E
=0,9 m
2
/s e
t
E
=0,01 m
2
/s, 10 s após o lançamento.
84
Figura 5.17 Comparação da concentração
considerando apenas a variação
do efeito dispersivo longitudinal 10 s após o lançamento.
85
Figura 5.18
Gráfico da concentração considerando apenas a variação do
efeito dispersivo longitudinal a 0,70 metros da margem, com
l
E
=0,1 m
2
/s e
t
E
=0,01 m
2
/s, 200 s após o lançamento.
85
Figura 5.19
Gráfico da concentração considerando apenas a variação do
efeito dispersivo longitudinal a 0,70 metros da margem, com
l
E
=0,5 m
2
/s e
t
E
=0,01 m
2
/s, 200 s após o lançamento.
86
Figura 5.20
Gráfico da concentração considerando apenas a variação do
efeito dispersivo longitudinal a 0,70 metros da margem, com
l
E
=0,9 m
2
/s e
t
E
=0,01 m
2
/s, 200 s após o lançamento.
86
Figura 5.21
Comparação da concentração considerando apenas a variação
do efeito dispersivo longitudinal 200 s após o lançamento.
87
Figura 5.22
Gráfico da concentração considerando apenas a variação do
efeito dispersivo longitudinal a 0,70 metros da margem, com
l
E
=0,1 m
2
/s e
t
E
=0,01 m
2
/s, 500 s após o lançamento.
87
Figura 5.23 Gráfico da concentração considerando apenas a variação do
efeito dispersivo longitudinal a 0,70 metros da margem, com
l
E
=0,5 m
2
/s e
t
E
=0,01 m
2
/s, 500 s após o lançamento.
88
Figura 5.24
Gráfico da concentração considerando apenas a variação do
efeito dispersivo longitudinal a 0,70 metros da margem, com
l
E
=0,9 m
2
/s e
t
E
=0,01 m
2
/s, 500 s após o lançamento.
88
Figura 5.25 Comparação da concentração
considerando apenas a variação
do efeito dispersivo longitudinal 500 s após o lançamento.
89
Figura 5.26 Gráfico da concentração no ponto de coleta considerando
x
=
y
=2,8 m.
90
Figura 5.27 Gráfico da concentração no ponto de coleta considerando
x
=
y
=1,4 m.
91
Figura 5.28 Gráfico da concentração no ponto de coleta considerando
x
=
y
=0,7 m.
91
Figura 5.29 Gráfico da concentração no ponto de coleta considerando
x
=
y
=0,7 m,
l
E
=0,33 m
2
/s e
t
E
=0,008 m
2
/s.
92
Figura 5.30
Concentração calculada com os parâmetros da Tabela 5.3
apresentando
u
=0,35 m/s e
l
E
=0,33 m
2
/s e
t
E
=0,008 m
2
/s, no
instante do lançamento.
93
Figura 5.31
Concentração calculada com os parâmetros da Tabela 5.3
apresentando
u
=0,35 m/s e
l
E
=0,33 m
2
/s e
t
E
=0,008 m
2
/s,
transcorridos 50 s.
93
Figura 5.32
Concentração calculada com os parâmetros da Tabela 5.3
apresentando
u
=0,35 m/s e
l
E
=0,33 m
2
/s e
t
E
=0,008 m
2
/s,
transcorridos 136 s.
94
Figura 5.33
Concentração calculada no centro do rio apresentando
u
=0,35
m/s e
l
E
=0,33 m
2
/s e
t
E
=0,008 m
2
/s, no instante de lançamento.
94
Figura 5.34
Concentração calculada no centro do rio apresentando
u
=0,35
m/s e
l
E
=0,33 m
2
/s e
t
E
=0,008 m
2
/s, transcorridos 50 s.
95
Figura 5.35
Concentração calculada no centro do rio apresentando
u
=0,35
m/s e
l
E
=0,33 m
2
/s e
t
E
=0,008 m
2
/s, transcorridos 136 s.
95
Figura 5.36
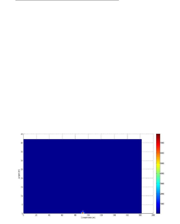
Comportamento do traçador depois de decorridos 10.000 s de
seu lançamento a 21 m da margem do rio.
97
Figura 5.37
Comportamento do traçador depois de decorridos 10.000 s de
seu lançamento na margem do rio.
98
LISTA DE TABELAS
Tabela 2.1
Distribuição do consumo de água no planeta.
21
Tabela 2.2 Distribuição porcentual da massa de água no planeta.
22
Tabela 2.3 Classes e usos da água doce.
27
Tabela 4.1
Valores das concentrações
de sal nas amostras.
72
Tabela 5.1
Valores dos parâmetros utilizados na
primeira simulação.
73
Tabela 5.2
Valores dos parâmetros utilizados na simulaç
ão dos gráficos das
Figs. 5.2 a 5.13.
76
Tabela 5.3
Valores dos parâmetros utilizados na malha onde
x
=
y
=2,8 m.
90
Tabela 5.4
Valores dos parâmetros utilizados na Fig. 5.
36.
97
LISTA DE ABREVIATURAS E SIGLAS
1D Unidimensional
2D Bidimensional
2DH Modelo bidimensional na horizontal
2DV Modelo bidimensional na vertical
3D Tridimensional
CDS Esquema de Diferenças Centrais
CEDAE Companhia Estadual de Águas e Esgotos do Estado do Rio de Janeiro
CERJ Companhia de Eletricidade do Estado do Rio de Janeiro
CIDE Centro de Informações e Dados do Rio de Janeiro
CONAMA Conselho Nacional do Meio Ambiente
DBO Demanda Bioquímica de Oxigênio
DNOS Departamento Nacional de Obras e Saneamento
EDP’s Equações Diferenciais Parciais
FEEMA Federação Estadual de Engenharia do Meio Ambiente
FIRJAN Federação das Indústrias do Estado do Rio de Janeiro
MDF Método das Diferenças Finitas
MEF Método dos Elementos Finitos
MHD Modelo hidrodinâmico
MQA Modelos de Qualidade de Águas
MTSC modelo de transporte de substância conservativa
MTSNC modelo de transporte de substância não-conservativa
MVF Método de Volumes Finitos
NaCl Cloreto de Sódio
OD Oxigênio Dissolvido
OMS Organização Mundial de Saúde
SIG’s Sistemas de Informação Geográfica
TDMA TriDiagonal Matrix Algorithm
UDS Esquema UpWind
UTE Usina Termoelétrica
WUDS Weighted Upstream Differencing Scheme
LISTA DE SÍMBOLOS
c
A
área de secção transversal do rio [L
2
];
°C graus Celsius
C
concentração [MT
-1
]
p
c
calor específico a pressão constante;
d
profundidade média [L]
l
E
Coeficiente de dispersão longitudinal [L
2
T
-1
]
t
E
Coeficiente de dispersão transversal [L
2
T
-1
]
z
E
Coeficiente de dispersão vertical [L
2
T
-1
]
g gramas
g
gravidade [LT
2
]
g/l grama por litro
ha hectare
k
coeficiente adimensional, cujo valor leva em conta o grau de mistura e o
número
km quilômetros
km² quilômetros quadrados
km
3
quilômetros cúbicos
kW quilowatts
l litros
min
L
comprimento requerido para a mistura [L];
x
L
comprimentos longitudinal do trecho do rio em análise [L]
y
L
largura média do trecho de mistura [L];
m metros
metros quadrados
m
3
metros cúbicos
m
3
/dia metros cúbicos por dia
m
3
/s metros cúbicos por segundo
mg miligrama
mg/l miligramas por litro
mm milímetros
Q
taxa do fluxo volumétrico de água [L
3
T
-1
];
rpm rotações por minuto
S
fonte
0
S
declividade [LL
-1
]
T
temperatura;
t
tempo [T];
*
u
velocidade de atrito [LT
-1
]
w
v
u
,
,
componentes do vetor velocidade correspondentes às direções
x
,
y
e
z
,
respectivamente [LT
-1
]
z
y
x
,
,
domínio espacial (coordenadas cartesianas) [L]
Símbolos gregos
θ
parâmetro para aproximação da integral no tempo
ρ
densidade do fluido [ML
-3
]
φ
grandeza conservada
SUMÁRIO
1 – INTRODUÇÃO ................................................................................................. 17
2 – DESCRIÇÃO DO PROBLEMA DE TRANSPORTE DE POLUENTES ............ 21
2.1 – Informações Preliminares ........................................................................... 21
2.2 – Comportamento de poluentes em cursos d’água .................................... 23
2.3 – Exigências Legais ....................................................................................... 26
2.4 – Modelos Matemáticos ................................................................................. 28
2.5 – Estudo de Caso – Rio Macaé ...................................................................... 30
2.5.1 – O Rio Macaé .............................................................................................. 32
2.5.2 – Bacia do Rio Macaé ................................................................................... 33
2.5.3 – Fontes Poluidoras ...................................................................................... 35
2.5.4 – Uso da água ............................................................................................... 36
2.6 – Definição do Problema ................................................................................ 37
3 – FORMULAÇÃO MATEMÁTICA E SOLUÇÃO ................................................ 39
3.1 – Modelo matemático ..................................................................................... 39
3.2 – Equações governantes ............................................................................... 44
3.3 – Equações governantes em rios ................................................................. 47
3.4 – Modelo matemático do problema proposto .............................................. 49
3.5 – Métodos numéricos..................................................................................... 53
3.6 – Método dos Volumes Finitos ...................................................................... 54
3.6.1 – Condições de contorno ............................................................................... 60
3.6.2 – Solução do sistema linear de equações ..................................................... 63
3.6.3 – Algoritmo de Thomas ................................................................................. 64
3.7 – Implementação Computacional ................................................................. 67
4 – TRABALHO DE CAMPO ................................................................................. 68
4.1 – Utilização do traçador ................................................................................. 68
4.2 – Preparação da solução salina .................................................................... 69
4.3 – Medição da velocidade do rio .................................................................... 70
4.4 – Descrição do experimento .......................................................................... 71
5 – RESULTADOS E DISCUSSÃO ....................................................................... 73
5.1 – Validação do Modelo ................................................................................... 73
5.1.1 – Variação da malha
...................................................................................... 73
5.1.2 – Variação do coeficiente de dispersão transversal ...................................... 76
5.1.3 – Variação do coeficiente de dispersão longitudinal ...................................... 83
5.2 – Calibração do Modelo ................................................................................. 89
5.2.1 – Comparação dos resultados simulados com o trabalho de campo ............ 89
6 – CONCLUSÕES E TRABALHOS FUTUROS ................................................... 99
6.1 – Conclusões .................................................................................................. 99
6.2 – Proposta para trabalhos futuros ................................................................ 100
REFERÊNCIAS BIBLIOGRÁFICAS ............................................................. 102
1 – INTRODUÇÃO
Embora a contaminação ambiental decorrente de atividades humanas tenha
tido um vertiginoso aumento nos primórdios da Revolução Industrial, a busca por
medidas preventivas ou remediativas para o problema somente ganhou impulso em
décadas recentes. Nesse caso particular, a poluição hídrica se manifesta em
lançamentos de efluentes em corpos receptores, sejam rios, mares, lagos ou
reservatórios subterrâneos. Em seu trabalho, Braga et al. (2005) citam as
conseqüências catastróficas que a poluição descontrolada está causando ao meio
ambiente, afetando a fauna e flora e todos os ecossistemas existentes no planeta.
Dependendo do uso que se faça das águas desses corpos, é necessário que
níveis de contaminação não sejam excedidos, o que define o problema em duas
vertentes, o acompanhamento da qualidade da água, comumente definido como
monitoramento ambiental, e o prognóstico dos possíveis impactos que atividades
potencialmente poluidoras podem ter, genericamente tratado como avaliação de
impacto ambiental. Tanto o monitoramento quanto a avaliação são instrumentos da
Política Nacional do Meio Ambiente através de resoluções do Conselho Nacional do
Meio Ambiente (CONAMA), o qual estabelece entre outras práticas, o percentual de
impurezas da água em decorrência do lançamento de poluentes nos corpos hídricos.
Embora cruciais, a aplicação desses instrumentos por órgãos gestores do
meio ambiente esbarra em dificuldades logísticas, financeiras e operacionais:
coletas e análises de água são caras, além de requererem material e pessoal
especializado.
Em decorrência disso, tornam-se cada vez mais freqüentes a utilização e
aperfeiçoamento de modelos os quais são formulados a partir de equações
matemáticas, sendo capazes de facilitar o monitoramento e a avaliação de impacto
ambiental, bem como a minimização da poluição dos recursos hídricos e ambientais.
Grande ênfase se dá ao estudo da contaminação dos rios e estuários.
Contribuindo para esses estudos, Elder (1959) apresenta um trabalho tendo
como enfoque a dispersão em fluxos turbulentos. Posteriormente Fischer (1979) e
Martin e McCutcheon (2005) apresentam uma discussão abordando temas como a
determinação do comprimento necessário para que um poluente possa se
homogeneizar em toda a seção transversal de um rio levando em conta o seu loca
18
de lançamento, bem como as influências ocasionadas pelos coeficientes de
dispersão e pela turbulência nas misturas ocorridas nos rios e estuários.
Diversas técnicas têm sido desenvolvidas para solução desses modelos.
Como muitos desses modelos, por serem regidos por equações diferenciais
ordinárias e parciais não possuem solução analítica, métodos numéricos têm sido
adotados para sua resolução.
Nos últimos anos vários autores vêm se dedicando ao propósito de criar
ferramentas numéricas para resolver esses modelos matemáticos e,
consequentemente estimar o comportamento desses poluentes ao longo de cursos
d’água. Encontramos na literatura uma lista de obras e autores que vêm se
dedicando a esse propósito. Trabalhos publicados recentemente como o de Devens
(2006) o qual utiliza métodos diretos para a estimativa do coeficiente de dispersão
em cursos d’água em rios da cidade de Ouro Preto MG, o de Horritt et al. (2006)
sobre modelos de fluxo de águas rasas fluviais, bem como o de Tsanis et al. (2007)
referente ao transporte de poluentes em águas costeiras aplicados à engenharia
ambiental e Rodrigues et al. (2007) são apenas alguns dos exemplos.
Outra alternativa para se modelar o comportamento de contaminantes em
cursos d’água e que vem crescendo em grande proporção é a Dinâmica de Fluidos
Computacional (CFD), a qual se baseia na análise de sistemas que envolvem
transporte de massa, transferência de calor e demais fenômenos a eles associados,
tendo como base simulações em computadores. Autores como Patankar (1980),
Malalasekera e Versteeg (1995) e Maliska (2004), abordam em suas obras o uso
das técnicas da Dinâmica de Fluidos Computacional bem como sua aplicação em
escoamento de fluidos e em transferência de calor.
Uma grande quantidade de pacotes comerciais de programas computacionais
com essa finalidade está disponível no mercado e até em versões gratuitas na
internet, como por exemplo, o MOHID que foi desenvolvido pelo Instituto cnico
Superior (ITS) pertencente à Universidade Técnica de Lisboa localizada em Portugal
e que possui sua estrutura baseada no método de volumes finitos.
Nesta dissertação o objetivo é a proposição, formulação matemática e
implementação de uma solução numérica empregando o método de volumes finitos
para um problema direto de transporte de poluentes em rios. O intuito é a
determinação de parâmetros para a aplicação em modelos de qualidade de água,
19
bem como servir de ferramenta para auxiliar no processo de tomada de decisões
concernente à gestão de recursos hídricos.
Trabalhos semelhantes ao exposto nesta dissertação foram realizados, bem
como diversas cnicas para se obter uma simulação aceitável para o
comportamento de poluentes em rios e estuários como o de Oppa (2007), o qual
propõe a análise de alternativas de enquadramento para a bacia hidrográfica do Rio
Vacacaí Mirim, utilizando como ferramenta de apoio o modelo de qualidade de água
QUAL2E, o qual foi desenvolvido pela Agência de Proteção Ambiental dos Estados
Unidos (USEPA).
A validação para o modelo computacional aqui proposto se deu através da
comparação dos dados experimentais obtidos em um trabalho de campo realizado
em um trecho do Rio Macaé, nas proximidades da Usina Termoelétrica Mário Lago
Ltda também conhecida como Termomacaé com os resultados obtidos através
da simulação numérica.
Os resultados obtidos servem como parâmetros para se verificar como se
o comportamento advectivo e dispersivo de poluentes em cursos d’água com
geometria semelhante à observada.
A relevância deste trabalho justifica-se pelo fato da bacia hidrográfica do rio
Macaé ser importante o apenas para o abastecimento de água para a cidade de
Macaé, como também para atividades desempenhadas nas proximidades do rio
Macaé, o qual possui um grande número de populações ribeirinhas. As atividades ao
longo do rio Macaé vão desde a agricultura a atividade petrolífera.
Ainda, os resultados deste trabalho poderão servir de base ao
desenvolvimento de uma ferramenta de apoio para se estimar o melhor ponto de
lançamento dos resíduos industriais no rio Macaé por parte da Usina Termoelétrica
Mario Lago Ltda, devido ao fato do ensaio experimental ter sido realizado na região
de lançamento e monitoramento dos resíduos industriais por parte desta usina, além
de se diferenciar de estudos já realizados neste mesmo rio como o de Amaral
(2003), o qual foi desenvolvido no trecho inferior da bacia do rio Macaé, incluindo a
parte final, estritamente fluvial e toda zona estuarina da bacia, bem como a zona
costeira adjacente.
O trabalho está dividido em 6 capítulos. O Capítulo 1 consta de uma
explanação do conteúdo, bem como os objetivos que se buscou alcançar com este
estudo. O capítulo 2 traz todas as informações sobre o problema descrito neste
20
trabalho, assim como a caracterização da área de estudos, o rio Macaé, desde sua
nascente asua desembocadura no Oceano Atlântico, junto à cidade de Macaé.
Informa também os principais usos da água, bem como suas principais fontes de
poluição.
Toda a abordagem matemática, os procedimentos e os métodos empregados
na resolução do problema descrito no Capítulo 2 estão presentes no Capítulo 3, o
qual apresenta uma abordagem detalhada do método de volumes finitos.
o trabalho de campo é descrito no Capítulo 4, no qual é detalhado todo o
procedimento realizado na obtenção dos dados utilizados na calibração do modelo.
Todas as simulações, calibração e validação do modelo aqui proposto estão
relatadas no Capítulo 5, o qual apresenta uma comparação entre os dados obtidos
no trabalho de campo descrito no Capítulo 4 com as simulações oriundas do método
de volumes finitos.
O Capítulo 6 reúne as conclusões obtidas da modelagem do rio Macaé além
de recomendações e previsões para estudos futuros.
21
2 – DESCRIÇÃO DO PROBLEMA
2.1 – Informações Preliminares
Um dos grandes desafios desse novo milênio é evitar a falta de água doce
potável no mundo. Um estudo apresentado na revista Science, em julho de 2000,
mostra que aproximadamente 2 bilhões de habitantes, um terço da população
mundial, enfrentam o sério problema de falta de água. Em breve poderá faltar água
para irrigação em diversos países, principalmente nos mais pobres. Os continentes
mais atingidos pela falta de água são a África, a Ásia Central e o Oriente Médio.
Entre os anos de 1990 e 1995, a necessidade por água doce aumentou cerca de
duas vezes mais que a população mundial. Esse aumento decorre do
desproporcional incremento no alto consumo de água em atividades industriais e
zonas agrícolas. A Tabela 2.1 mostra o consumo de água por região no planeta.
Tabela 2.1: Distribuição do consumo de água no planeta.
Período
de
referência
Região
Volume
anual
consumido
(km
3
)
Consumo
anual per
capita
(m
3
)
Distribuição Consumo
(%)
Agrícola Doméstico Industrial
1987 a
1997
Norte da África
e Oriente Médio
221,1 774 80 16 4
1987 a
1995
África (Exceto
Norte)
72,6 151 68 24 8
1988 a
1998
Europa 355,8 523 26 23 51
1990 a
1991
América do
Norte
512,4 1.721 27 16 57
1990 a
1997
América Central 105,7 394 65 21 14
1987 a
1997
América do Sul 157,0 833 76 17 7
1987 a
1999
Ásia 1.759,9 992 79 11 10
1985 a
1991
Oceania 14,7 398 45 40 15
1998
Brasil 67,5 398 68 14 18
1990
Mundo 3.414,0 650 71 9 20
Fonte: (BRAGA et al., 2005)
Torna-se de extrema importância frisar que cerca de apenas 2,5% da água do
planeta Terra são de água doce, sendo que aproximadamente 0,08% está em
regiões acessíveis ao ser humano. Entende-se por água doce aquela cuja
22
concentração de sais dissolvidos é de no máximo 0,5 g/l, enquanto a concentração
média das águas salgadas é de aproximadamente 35 g/l (BRAGA et al., 2005). A
Tabela 2.2 mostra a distribuição da massa de água total existente no planeta.
Tabela 2.2: Distribuição porcentual da massa de água no planeta.
Localização Área (10
6
km
3
) Volume (10
6
km
3
)
Porcentagem
da água total
(%)
Oceanos
361,3 1338 96,5
Água
subterrânea
134,8 23,4 1,7
Doce
10,53 0,76 0,055
Umidade do
solo
0,016 0,0012 0,05
Calotas Polares
16,2 24,1 1,74
Geleiras
0,22 0,041 0,003
Lagos
(água doce)
1,24 0,091 0,007
Lagos
(água salgada)
0,82 0,085 0,006
Pântanos
2,7 0,011 0,0008
Rios
14,88 0,002 0,0002
Biomassa
0,001 0,0001 0,003
Vapor na
atmosfera
0,013 0,001 0,04
Total de água
doce
35 2,53 100
Total
510 1.386 100
Fonte: (BRAGA et al., 2005)
Um dos principais fatores que contribuem para essa possível escassez da
água em nosso planeta é a poluição dos rios, lagos e oceanos.
Entende-se como poluição, a alteração indesejável nas características físicas,
químicas ou biológicas da atmosfera ou hidrosfera que cause ou possa causar
prejuízo à saúde, à sobrevivência ou às atividades dos seres humanos e outras
espécies ou ainda deteriorar materiais. Para fins práticos, em especial do ponto de
vista legal de controle de poluição, é válido acrescentar, que o conceito de poluição
deve ser associado às alterações indesejáveis provocadas pelas atividades e
intervenções humanas no ambiente (BRAGA et al., 2005).
Essa poluição das águas origina-se de várias fontes, dentre as quais se
destacam os efluentes domésticos, o deflúvio superficial urbano, o deflúvio
superficial agrícola e os efluentes industriais (CETESB, 1995). Este último deve-se,
em grande parte, à Revolução Industrial ocorrida na Inglaterra na segunda metade
do século XVIII, a qual apresentou padrões de geração de resíduos jamais vistos
23
anteriormente, produzindo quantidades excessivamente maiores que a capacidade
de absorção e reciclagem da natureza, com particular ênfase para materiais
sintéticos não biodegradáveis.
2.2 – Comportamento de poluentes em cursos d’água
Os poluentes, ao atingir os corpos de água sofrem a ação de diversos
mecanismos físicos, químicos e biológicos existentes na natureza, que alteram seu
comportamento e suas respectivas concentrações.
Ao se despejar uma substância qualquer no meio aquático usualmente a
concentração original dessa substância sofre uma redução. Esse mecanismo é
chamado de diluição e é resultante do processo de mistura do despejo com a água
presente no corpo d’água (BRAGA et al., 2005).
Por não serem estáticos, os corpos d’água apresentam um movimento próprio
que transporta um poluente de seu ponto de despejo para outras regiões e, portanto,
sua concentração varia no espaço e no tempo. O transporte é feito pelo campo de
velocidade da água, sendo esse fenômeno denominado advecção. Eiger (1991) traz
as seguintes definições dos componentes que estão presentes no transporte de
poluentes em rios:
Advecção: é o transporte de um constituinte pelo campo de velocidade do
meio fluido que o contém.
Constituinte: grandeza que pode ser representada por um poluente ou
traçador caracterizado pela concentração respectiva. Pode ser classificado
como:
Conservativo: a distribuição espacial e temporal do constituinte não é
afetada por reações com outros constituintes ou com o meio fluido
envolvente, mas sim por processos físicos de transporte. Um exemplo
de constituinte conservativo é o cloreto de sódio (sal de cozinha).
Não-conservativo: a distribuição espacial e temporal do constituinte é
afetada por reações com outros constituintes ou com o meio fluido
24
envolvente. Exemplos típicos incluem o oxigênio dissolvido (OD) e a
demanda bioquímica de oxigênio (DBO).
Ativo: constituinte cuja presença afeta as características
hidrodinâmicas do escoamento. Um exemplo típico é a temperatura,
que pode alterar a distribuição espacial de densidade, alterando as
características de turbulência e do próprio escoamento médio.
Passivo: constituinte cuja presença não afeta as características
hidrodinâmicas do escoamento. Exemplo: OD.
O comportamento do poluente está intimamente ligado ao gradiente de
velocidade, ou seja, quanto maior a velocidade, mais rapidamente o poluente se
afastará de seu ponto de lançamento. A concentração de substâncias dissolvidas ou
em suspensão em meios fluidos é também função de processos difusivos. Existem
dois processos difusivos:
Difusão molecular: resulta do movimento decorrente da agitação térmica das
partículas existentes no meio fluido. Cabe ressaltar, no entanto, que o efeito
da difusão molecular na concentração de poluentes em corpos de água
naturais é, em geral, desprezível.
Difusão turbulenta: a existência de turbulência no escoamento da água
provoca mistura mais rápida das substâncias presentes. Tal mistura ocorre a
uma taxa muito mais intensa que a verificada na difusão molecular e é um
mecanismo extremamente eficiente para a diminuição da concentração de
poluentes em meios fluidos.
O fenômeno de transporte de poluentes causado pela ocorrência conjunta da
difusão molecular e/ou turbulenta e da advecção é denominado dispersão.
A presença de turbulência em níveis elevados também pode introduzir efeitos
negativos, dificultando a sedimentação de partículas indesejáveis ou mesmo
removendo do fundo material que estaria mais bem disposto nessa região.
25
Segundo Braga et al. (2005), poluentes são resíduos gerados pelas atividades
humanas, causando um impacto ambiental negativo, ou seja, uma alteração
indesejável, estando os poluentes ligados à concentração, ou quantidade, de
resíduos presentes no ar, na água ou no solo. Para que se possa exercer o controle
da poluição de acordo com a legislação ambiental, definem-se padrões e
indicadores de qualidade do ar (concentrações de CO, NO
x
, SO
x
, Pb, etc.), da água
(concentração de O
2
, fenóis e Hg, pH, temperatura, etc.) e do solo (taxa de erosão
etc.) que se deseja respeitar em um determinado ambiente. Vale lembrar que o foco
deste trabalho diz respeito exclusivamente à poluição de águas em rios.
Por exemplo, a água de um rio é considerada de boa qualidade quando
apresenta menos de mil coliformes fecais e menos de dez microorganismos
patogênicos por litro (como aqueles causadores de verminoses, cólera,
esquistossomose, febre, tifóide, hepatite, leptospirose, poliomielite etc.). Portanto,
para a água se manter nessas condições, deve-se evitar sua contaminação por
esses resíduos (CONAMA, 2005).
De acordo com dados da Organização Mundial de Saúde OMS cerca de
25 milhões de pessoas em todo o mundo morrem por ano em virtude de doenças
provocadas por águas contaminadas, como lera e diarréias. Aproximadamente
70% da população rural e 25% da população urbana que habita os países
desenvolvidos não possuem um abastecimento de água potável adequado
(ZANCUL, 2006).
Somente a imposição de marcos regulatórios cada vez mais restritivos e a
realização de investimentos em estações de tratamento de esgoto permitirão aos
países melhorar gradualmente a qualidade de seus corpos hídricos. Mesmo nos
países mais desenvolvidos, uma boa parcela das águas poluídas ainda não é
tratada, antes de descarregadas nos rios, lagos e oceanos (DEVENS, 2006).
Dessa forma Perilissari e Sarmento (2003) indicam que torna-se
indispensável a utilização de métodos e técnicas que possibilitem o uso racional da
água, diminuindo os prejuízos ao meio ambiente. A solução para os problemas quali-
quantitativos dos recursos hídricos vem a ser o gerenciamento dos corpos d’água
(OPPA, 2007).
26
2.3 – Exigências legais
A criação de um sistema de gerenciamento de recursos hídricos estava
prevista desde a Constituição de 1988, porém somente em 9 de janeiro de 1997 foi
promulgada a Lei número 9.433, que instituiu a Política Nacional de Recursos
Hídricos e criou o Sistema Nacional de Gerenciamento de Recursos Hídricos.
O intuito dessa lei foi estabelecer alguns fundamentos, dentre os quais, o de
que a água é tida como um recurso finito, de domínio público e valor econômico
definido, devendo a sua gestão ter a participação de toda a sociedade incluindo o
Poder Público, os usuários e a comunidade. A Lei 9433/97 define, ainda, que a
aplicação do quadro normativo hídrico terá como unidade territorial a “bacia
hidrográfica”. A justificativa para o planejamento e gerenciamento de recursos
hídricos na escala de bacias é válida, devido à “conexão hidráulica” existente entre
os seus usuários, porém essa “nova” divisão territorial não coincide necessariamente
com a divisão político-administrativa que atualmente temos vigente em nosso país.
A Lei 9433/97 também prevê a utilização de alguns instrumentos os quais são
facilitadores no processo de implantação da Política Nacional de Recursos Hídricos
como por exemplo os Planos de Bacia, os quais têm a finalidade de sistematizar as
informações quanto ao uso dos recursos hídricos da bacia em questão. Esses
planos devem ser elaborados pelos respectivos Comitês de Bacia, devendo prover
não um diagnóstico atualizado, mas prever ações que minimizem as pressões e
otimizem a utilização dos recursos disponíveis. Outro importante instrumento criado
pela Lei 9433/97 é o enquadramento dos corpos d’água em classes de uso.
Visando uma melhor classificação dos recursos hídricos, de acordo com seus
respectivos usos, e instituindo limites máximos de características que a água pode
apresentar, chamados de Padrões de Qualidade, o Conselho Nacional do Meio
Ambiente CONAMA, através da Resolução número 357 de 17 de março de 2005,
a qual revogou a Resolução número 20 de 18 de junho de 1986, baseando-se na
análise de alguns parâmetros, classifica as águas em doces, salobras e salinas de
acordo com seus usos preponderantes, estabelecendo assim, não apenas limites
como também condições para os diferentes usos dessas águas. A água doce, por
exemplo, está dividida em cinco classes diferentes, como mostra a Tabela 2.3.
27
Tabela 1.3: Classes e usos da água doce.
Classe
Uso
Especial
a) abastecimento doméstico sem prévia ou simples desinfecção;
b) preservação do equilíbrio natural das comunidades aquáticas.
1
a) abastecimento doméstico após tratamento simplificado;
b) proteção das comunidades aquáticas;
c) recreação de contato primário (natação, esqui aquático e mergulho);
d) irrigação de hortaliças que são consumidas cruas e de frutas que se
desenvolvam rentes ao solo e que sejam ingeridas cruas sem
remoção de película;
e) criação natural e/ou intensiva (aquicultura) de espécies destinadas à
alimentação humana.
2
a) abastecimento doméstico, após tratamento convencional;
b) proteção das comunidades aquáticas;
c) recreação de contato primário (esqui aquático, natação e mergulho);
d) irrigação de hortaliças e plantas frutíferas;
e) criação natural e/ou intensiva (aquicultura) de espécies destinadas à
alimentação humana.
3
a) abastecimento doméstico, após tratamento convencional;
b) irrigação de culturas arbóreas, cerealíferas e forrageiras;
c) dessedentação de animais;
4
a) navegação;
b) harmonia paisagística;
c) usos menos exigentes.
Fonte: (CONAMA, 2005)
Outra importante norma técnica foi a NT-2-2.R-10, a qual foi aprovada pela
Deleberação da Comissão Estadual de Controle Ambiental (CECA) n º 1007, de
dezembro de 1986 e estabelece critérios e padrões para o lançamento de efluentes
líquidos, como parte integrante do Sistema de Licenciamento de Atividades
Poluidoras (SLAP) em corpos d’água.
Esta Norma Técnica aplica-se aos lançamentos diretos ou indiretos de
efluentes líquidos, provenientes de atividades poluidoras, em águas interiores ou
costeiras, superficiais ou subterrâneas do Estado do Rio de Janeiro, através de
quaisquer meios de lançamento, inclusive da rede pública de esgotos. Os efluentes
líquidos, além de obedecerem aos padrões gerais, não deverão conferir ao corpo
receptor, características em desacordo com os critérios e padrões de qualidade de
água adequados aos diversos usos benéficos previstos para o corpo d’água. No
caso de existência ou previsão de tais características, a Fundação Estadual de
Engenharia do Meio Ambiente - FEEMA estabelecerá limites mais restritivos do que
aqueles vigentes na lista de concentrações máximas desta Norma Técnica.
28
2.4 – Modelos Matemáticos
A gestão de recursos hídricos não envolve, entretanto, somente diagnóstico,
mas também monitoramento e previsão de cenários futuros.
Para auxiliar na gestão, no controle e na proteção dos recursos hídricos, é
importante a utilização de ferramentas que possibilitem a análise e o prognóstico dos
corpos d’água, sendo crescente a utilização de modelos de variada complexidade
que sirvam ao propósito de auxiliar nas decisões que envolvam o manejo de
recursos hídricos.
Para que o manejo e planejamento dos recursos hídricos possam ser feitos
gerando o menor impacto possível ao meio ambiente faz-se necessário um
conhecimento profundo dos mecanismos que estão envolvidos na preservação de
uma boa qualidade da água. Sendo assim, torna-se de fundamental importância, o
desenvolvimento de técnicas que sirvam de apoio a decisões referentes aos
recursos hídricos, decisões essas que possibilitem a implementação de ações de
prevenção da saúde da população e do meio ambiente, tendo em vista a importância
desses sistemas para a vida humana.
Historicamente, a avaliação do comportamento de constituintes em corpos de
água iniciou-se pelo desenvolvimento de modelos chamados do tipo “caixa-preta”,
em que a remoção ou produção do constituinte era avaliada pelo balanço de massa
existente entre sua entrada e sua saída no corpo hídrico considerado. Tal
abordagem baseia-se em monitoramento intensivo, apresentando limitações
logísticas e econômicas explícitas.
Uma alternativa para estimativa e avaliação dos constituintes em corpos
d’água o os modelos matemáticos e computacionais, os quais m sido
amplamente utilizados, por serem instrumentos tecnológicos capazes de avaliar os
impactos gerados pelo lançamento de carga poluidora em um determinado corpo
d’água, podendo ser mais ou menos precisos, dependendo das hipóteses adotadas
na formulação.
Os modelos matemáticos são classificados em dois tipos: estocásticos e
determinísticos.
Os modelos estocásticos consistem em tratamento estatístico de dados de
modo que se possa definir, por exemplo, tendências sazonais da concentração de
poluentes. Tais modelos podem ser utilizados na otimização de programas de
29
monitoramento, possibilitando estabelecer prioridades de coleta e análise de água,
bem como a frequência amostral ideal. A partir dessas informações os custos de
monitoramento de um dado corpo hídrico podem ser consideravelmente reduzidos.
os modelos determinísticos possibilitam descrever a hidrodinâmica e o
transporte de solutos ou suspensões dentro do sistema. Idealmente falando, tais
modelos apresentam-se como as ferramentas mais adequadas de diagnóstico e
prognóstico de ambientes fluviais, pois, uma vez calibrados, diversos cenários
podem ser gerados, bastando-se que para isso sejam modificadas as entradas
fornecidas ao modelo. Tais modelos obedecem a uma seqüência hierárquica de
construção e calibração. Inicialmente deve ser construído um modelo hidrodinâmico
(MHD), que resolva a distribuição espaço-temporal de velocidades, elevação de
nível d’água e vazão. A esse modelo é sobreposto um modelo de transporte de
substância conservativa (MTSC), sobre o qual é desenvolvido um modelo de
transporte do constituinte (MTC) em estudo. O grau de empiricismo de tais modelos
também cresce obedecendo à mesma sequência. Sendo assim, os MHD
fundamentam-se em equações bem estabelecidas pela mecânica dos fluidos, a
partir das quais algumas simplificações são assumidas. Os MTSC são expressos por
uma equação em que a principal incerteza está na definição do coeficiente de
dispersão, enquanto que nos modelos de substâncias não conservativas (MTSNC),
muita incerteza envolve também a dependência funcional das reações que
representam remoção ou produção da substância em meio fluvial. Essas duas
últimas categorias de modelos são genericamente denominadas de Modelos de
Qualidade de Água (MQA).
Embora sejam sempre abstrações da realidade, se consistentes, tais modelos
reduzem tempo, custo e risco de análises de impactos que estejam sendo avaliados
sobre os corpos hídricos.
A construção de MQA’s a serem aplicados em rios requer algumas
informações essenciais. Assim, é necessário que se defina a sua geometria
(extensão, largura e profundidade), a concentração do constituinte a ser modelado
nas fronteiras que delimitam o rio ou um trecho desse, bem como os aportes
(lançamento/descarga) laterais do constituinte. Com relação a esses últimos,
distinguem-se dois tipos: pontual e difuso. Aportes pontuais decorrem de lançamento
de efluentes domésticos e industriais, sendo relativamente fáceis de serem
prescritos. os aportes difusos originam-se na lixiviação processo de dissolução
30
substâncias que compõem o solo – do solo na bacia de drenagem, daí a sua
definição não ser trivial. No entanto, os Sistemas de Informação Geográfica (SIG’s),
através de um maior desenvolvimento e aprimoramento, vem permitindo um melhor
equacionamento dessas fontes na implementação de MQA de rios. Em decorrência
disso, o georreferenciamento (informações geográficas referenciadas a um sistema
de coordenadas) de características relevantes para os MQA, tais como
cobertura/uso do solo e relevo, bem como a cil manipulação e exportação desses
dados a partir dos SIGs, vem permitindo uma mais ágil definição de fontes difusas
de contaminantes em rios.
Tais modelos possibilitam descrever a dinâmica e o transporte de solutos ou
suspensões dentro do sistema. Idealmente, apresentam-se como os instrumentos
mais adequados de diagnóstico e prognóstico de ambientes aquáticos, pois, uma
vez calibrados, diversos cenários podem ser gerados, bastando-se que para isso
sejam modificados os dados e entradas do modelo.
Os modelos de qualidade de água têm sido instrumentos fundamentais para
se prever o comportamento da concentração de cargas poluidoras em decorrência
de lançamentos intencionais ou acidentais nos meios hídricos. Essas previsões
servem como parâmetros da definição de pontos mais adequados para o
lançamento de resíduos em corpos d’água, visando os menores impactos nos
mesmos.
2 .5 – Estudo de Caso – Rio Macaé
A área de estudo para a qual se aplicou a simulação desenvolvida neste
trabalho está situada no baixo curso do Rio Macaé, localizado próximo à Usina
Termoelétrica Mário Lago, localizada no quilômetro 164 da rodovia BR 101 no
município de Macaé-RJ, na Fazenda Severina, como mostram as Figs. 2.1 e 2.2.
31
Figura 2.1: Mapa do Rio Macaé onde está localizada a região de interesse.
Fonte: (LUGON et al., 2008).
Figura 2.2: Vista aérea da Termoelétrica Mário Lago e da região de estudo.
Fonte: Google Earth
UTE
Mário Lago
BR 101
Rio Macaé
32
2.5.1 – O Rio Macaé
O Rio Macaé é um rio situado em território brasileiro que banha o estado do
Rio de Janeiro. O nome deste rio é de origem indígena, Miquiê, significando Rio dos
Bagres.
Este importante rio que tem sua nascente na Serra de Macaé próximo ao Pico
do Tinguá, o qual possui cerca de 1.560 m de altitude e está localizado em Nova
Friburgo, possui cerca de 136 km de extensão e deságua no Oceano Atlântico junto
à cidade de Macaé. Suas águas correm no sentido Sudoeste-Leste e seus principais
afluentes pela margem direita são os rios Bonito, Purgatório e Pedrinhas; os
Córregos Abacaxi e Carão; o Rio Teimoso, os Córregos Roça Velha e Belarmino e o
Rio Três Pontes. Pela margem esquerda, os Rios Sana, Atalaia, São Domingos,
Santa Bárbara, Ouro Macaé, Rio São Pedro e Jurumirim e os Córregos Genipapo,
Guanandirana e Sabiá (Relatório MRA – 5, 2002).
Segundo o Relatório MRA 5 (2002), o Rio Macaé tem como característica
em toda sua extensão que vai desde o alto ao médio curso, um leito sinuoso e
pedregoso, atravessando terrenos rochosos e acidentados, bem como trechos
remanescentes de Mata Atlântica aatingir as planícies aluvionares na região da
baixada, onde se encontram diversas áreas agrícolas e de plantio, sendo citadas as
plantações de arroz e feijão. A atividade agropecuária também merece destaque,
sendo comum grandes áreas destinadas às pastagens.
Ao longo de sua extensão, o Rio Macaé sofreu fortes intervenções em sua
rede de drenagem, onde se destacam os represamentos e as retificações.
Uma dessas retificações pode ser encontrada no trecho inferior do Rio
Macaé. Essa retífica é considerada o ponto mais crítico do rio, tendo sido realizada
pelo extinto Departamento Nacional de Obras e Saneamento DNOS. Este estirão
de 25 km quase não apresenta mata ciliar, que preservaria o barranco, retendo
umidade. Seu desmatamento vem provocando o assoreamento do rio (COSTA,
1999).
Intensas atividades petrolíferas desenvolvidas na região estuarina vêm
causando grandes impactos ambientais. Em conseqüência disso, áreas de grande
potencial de riquezas naturais e inúmeras unidades biológicas vêm sendo afetadas,
acarretando danos irreversíveis ao meio ambiente e aos ecossistemas presentes na
região.
33
De acordo com a Federação Estadual de Engenharia do Meio Ambiente
(FEEMA), as águas do Rio Macaé podem ser consideradas de Classe 2 (vide Tabela
2.3), ou seja, destinadas:
a) ao abastecimento doméstico após tratamento convencional;
b) à proteção das comunidades aquáticas;
c) à recreação de contato primário (natação, esqui aquático e mergulho);
d) à irrigação de hortaliças e de plantas frutíferas;
e) à criação natural e/ou intensiva (aquicultura) de espécies destinadas à
alimentação humana.
2.5.2 – Bacia do Rio Macaé
A bacia hidrográfica do Rio Macaé está localizada na faixa costeira central-
norte do Estado do Rio de Janeiro e compõe a Região Hidrográfica VIII do Estado,
como mostra a Fig. 2.3. Compreende cerca de 1.765 km², sendo limitada ao norte,
em parte, pela Bacia do Rio Macabu, afluente à Lagoa Feia, ao sul, pela Bacia do
Rio São João, a oeste, pela Bacia do Rio Macacu e, a leste, pelo Oceano Atlântico.
Dentre as bacias hidrográficas contidas exclusivamente dentro do estado do Rio de
Janeiro, a bacia do Rio Macaé é a de maior extensão, seguida da bacia do Rio das
Ostras com cerca de 157 km
2
, e da bacia da Lagoa Imboassica com cerca de 56 km
2
(DEVENS, 2003).
Essa bacia engloba praticamente toda a área dos limites territoriais do
Município de Macaé, com cerca de 1.448 km
2
, e ainda áreas dos municípios de
Nova Friburgo (142 km
2
) onde localizam-se as nascentes do Macaé Casimiro de
Abreu (83 km
2
), Rio das Ostras (11 km
2
), Conceição de Macabu (70 km
2
) e
Carapebus (11 km
2
), como mostra a Fig. 2.4 (COSTA, 1999).
34
Figura 2.3: Bacia hidrográfica do Rio Macaé.
Fonte: Centro de Informações e Dados do Rio de Janeiro (CIDE).
Figura 2.4: Limites da bacia hidrográfica do rio Macaé.
Fonte: http://www.macae.rj.gov.br/semaph/riomacae_hidro.htm
A bacia do Rio Macaé (sub-bacia do Rio São Pedro) também recebe
influência das águas transpostas da bacia do Rio Macabu, através da Usina
Hidrelétrica Macabu.
35
Devido à riqueza da biodiversidade encontrada na bacia do Macaé, criou-se a
reserva Ecológica de Macaé de Cima, situada em Nova Friburgo. Essa reserva
destina-se à proteção do ecossistema Mata Atlântica (COSTA, 1999). Cerca de 82%
da superfície da bacia está no município de Macaé.
Segundo Devens (2003), a bacia do rio Macaé pertence ao macro-
compartimento Bacia de Campos, que é formado por:
Compartimento do rio Itabapoana (da foz do rio Itabapoana à foz do rio
Paraíba do Sul);
Compartimento planície costeira do rio Paraíba do Sul (da foz do rio Paraíba
do Sul à foz do rio Macaé);
Compartimento do rio Macaé ao embaiamento do rio São João (de Macaé ao
Cabo Búzios);
Compartimento do embaiamento Cabo Búzios-Cabo Frio (do Cabo Búzios ao
Cabo Frio).
Os principais usos da água são abastecimento humano do município e
municípios vizinhos, abastecimento industrial para cadeia de petróleo e energia, e
irrigação. Destacam-se na bacia problemas críticos como degradação de áreas de
preservação especialmente na foz, refúgios da fauna e flora ameaçados,
assoreamento, mineração e lançamento de efluentes domésticos e industriais sem
tratamento.
2.5.3 – Fontes Poluidoras
O rio Macaé é o receptor final das descargas dos esgotos sanitários (COSTA,
1999). Esses esgotos são oriundos das diversas comunidades ribeirinhas.
Além das populações ribeirinhas, a Cidade de Macaé, sede do município de
mesmo nome, também lança, sem tratamento, os esgotos na zona estuarina do Rio
Macaé.
O esgoto produzido por uma das Centrais Administrativas da Petrobras é
tratado em uma pequena lagoa de aeração e também, posteriormente, lançado nas
águas do Rio Macaé.
36
O uso de agrotóxicos, na região banhada pelo rio Macaé é frequente e as
aplicações são realizadas por trabalhadores rurais sem equipamentos de proteção.
Chega-se a lançar mão de herbicidas para o ataque a ervas daninhas que margeiam
os canais com concentrações muitas vezes acima da ideal (DEVENS, 2003).
2.5.4 – Uso da água
1
Os principais usos da água, hoje verificados no Rio Macaé, referem-se ao
abastecimento de água, à diluição de despejos domésticos, industriais e agrícolas, à
irrigação e à geração de energia elétrica. Esses usos são resumidos a seguir.
Uso Urbano/Doméstico
Os índices de atendimento em abastecimento de água situam-se em torno de
89,45%, com consumos médios "per capita" da ordem de 275 l/hab/dia. Excluída a
sede municipal de Macaé, o índice de atendimento passa a ser de 77,65%.
Em relação ao esgotamento sanitário, os índices de atendimento com rede
coletora de esgotos às populações urbanas são de 77,23% e apenas 43,79% destas
contam com o tratamento de seus efluentes domésticos. Apesar dos índices
elevados de tratamento de esgotos na Bacia, o nível de eficiência do tratamento é
baixo, resultando em grandes quantidades de cargas remanescentes de Demanda
Bioquímica de Oxigênio (DBO) e coliformes fecais sendo lançadas diariamente nos
cursos d’água da bacia.
Uso Industrial
Considerando toda a Bacia do Rio Macaé, a concentração industrial ocorre na
Cidade de Macaé, com o número de 31 indústrias cadastradas pela Federação das
Indústrias do Estado do Rio de Janeiro (FIRJAN). A maior parte das indústrias se
abastece da rede pública. Algumas indústrias de grande porte captam diretamente
1
O presente texto foi adaptado de informações obtidas no PLANO PRELIMINAR DE RECURSOS HÍDRICOSDA
BACIA DO RIO MACAÉ (2002).
37
no Rio Macaé, tais como: Petróleo Brasileiro S.A., Termoelétrica Mário Lago e El
Paso Rio Claro LTDA.
De acordo com a Secretaria Municipal de Meio Ambiente, todas as indústrias
possuem sistema de tratamento de efluentes que o encaminhados para a rede
pública. Não existem informações a respeito das cargas brutas geradas, muito
menos do tipo e da eficiência do tratamento.
Geração de Energia Elétrica
Na Bacia do Rio Macaé existe apenas o aproveitamento hidrelétrico de
Macabu, pertencente à Ampla Energia e Serviços S/A (antiga Companhia de
Eletricidade do Estado do Rio de Janeiro CERJ), situado no distrito de Glicério.
Nesta usina, a geração de energia é feita através da transposição de águas da Bacia
do Rio Macabu, para a Bacia do Rio São Pedro, afluente do Rio Macaé, através de
um aqueduto subterrâneo, com cerca de 4,8 km de extensão e queda bruta de 336
m. A usina hidrelétrica de Macabu tem potência instalada de 21.000 kW e vazão
regularizada de cerca de 5,4 m
3
/s.
2.6 – Definição do Problema
O intuito desta dissertação é verificar o comportamento de uma substância
conservativa em um trecho do Rio Macaé. Para isso, foram realizadas diversas
simulações a fim de determinar os parâmetros mais adequados para se reproduzir
computacionalmente e com satisfatória exatidão os dados experimentais obtidos em
um trabalho de campo realizado na região de interesse.
Este estudo tem particular importância devido à região de estudos estar
situada numa área de grande interesse ambiental, área essa localizada nas
proximidades da Usina Termoelétrica Mario Lago, a qual realiza o lançamento e
monitoramento de seus resíduos industriais exatamente nessa região onde ocorreu
o trabalho de campo descrito nessa dissertação.
Cabe ressaltar também que na realização do trabalho de campo as limitações
na coleta das amostras devem ser levadas em conta uma vez que nem sempre as
condições geográficas do local ajudam nessas coletas.
38
Segundo Lugon et al. (2008), uma corrente de efluente descarregado em um
rio está submetido a dois processos distintos. Em primeiro lugar os resíduos o
misturados em toda seção transversal do canal que o recebe, principalmente pela
turbulência. Quando o resíduo é completamente misturado em toda seção
transversal do canal, o processo de cisalhamento do fluxo de dispersão longitudinal
juntamente com a turbulência tenderá a eliminar com as variações longitudinais da
concentração.
No caso do Rio Macaé, são válidos os estudos de Elder (1959), pois devido
ao gradiente de velocidade, o fluxo de cisalhamento do coeficiente de dispersão
torna-se muito maior que a mistura causada pelos coeficientes gerados apenas
através da turbulência. Com isso as misturas longitudinais por turbulências
geralmente tornam-se irrelevantes.
Segundo Mancuso e Santos (2003), citado em Devens (2006), modelos
matemáticos devem ser validados para aplicações específicas, pois os fenômenos
simulados apresentam características distintas em cada caso, mesmo quando
regidos pelos mesmos princípios.
O problema aqui proposto tem como domínio de simulação uma geometria
regular e baixa declividade, sendo que foi realizado um trabalho de campo onde a
vazão fluvial do Rio Macaé estava abaixo da média, ambientalmente mais delicada
pela redução da capacidade de diluição do meio devido à baixa velocidade que o rio
apresenta nestas situações.
Sendo assim, o objetivo foi criar um modelo baseado nessas características
do Rio Macaé devido ao maior risco oferecido ao meio ambiente, e identificar o
melhor ajuste para os coeficientes de dispersão longitudinal e transversal para que o
modelo após devidamente validado e calibrado possa reproduzir o comportamento
de poluentes em suas águas sob as características descritas acima.
39
3 – FORMULAÇÃO MATEMÁTICA E SOLUÇÃO
3.1 – Modelo matemático
Diversas áreas do conhecimento humano apresentam fenômenos que, devido
a sua complexidade, necessitam de um maior rigor em sua análise para serem
melhor compreendidos. Consequentemente, alternativas para uma análise mais
detalhada e criteriosa desses fenômenos o propostas e, uma delas é a
representação dos mesmos através de modelos matemáticos. Estes modelos
quando bem desenvolvidos e utilizados, podem servir como ferramentas de
compreensão dos fenômenos e de tomada de decisão referente a alterações dos
sistemas que se analisam.
A grande maioria dos fenômenos são modelados através de equações
diferencias ordinárias e parciais, sendo estas últimas as mais utilizadas. Suas
aplicações estão cada vez mais presentes na construção de modelos matemáticos
para diferentes fenômenos de interesse em engenharia e outras áreas científicas e
tecnológicas. Exemplo disso é o emprego dos mesmos em problemas de
transferência de calor e massa, astrofísica, oceanografia, ensaios não-destrutivos,
diagnóstico e terapia em medicina. Aqui daremos atenção à transferência de massa.
Segundo Rosman (2001), é inquestionável a necessidade da aplicação de
modelos para estudos, projetos e auxílio à gestão de recursos dricos, devido à
complexidade do ambiente de corpos de água naturais, especialmente em lagos,
rios, reservatórios, estuários e zona costeira adjacente das bacias hidrográficas.
Modelos são ferramentas integradoras, sem as quais dificilmente se consegue uma
visão dinâmica de processos nestes complexos sistemas ambientais (AMARAL,
2003).
No processo de gestão e gerenciamento de corpos d’água torna-se de
fundamental importância o levantamento de informações sobre o ambiente, o que na
maioria das vezes é de difícil obtenção, devido ao alto custo para o levantamento
dos mesmos, tornando-se escassos.
Utilizando-se modelos calibrados, capazes de reproduzir valores nos pontos
onde se fez medições, pode-se realizar uma interpolação e uma extrapolação
espacial e temporal das informações obtidas nos poucos pontos onde os dados
40
foram medidos para toda a área de interesse, o que permite uma melhor
interpretação das medições isoladas, como por exemplo, fornecendo uma noção do
trajeto das plumas de contaminantes (ROSMAN, 2001). Este último, é o foco de
estudos deste trabalho.
A seguir, na Fig. 3.1, tem-se um fluxograma representando todo o processo
de modelagem. Segundo Rosman (2001), o relatório final, por conter informações
que auxiliam e integram o processo de tomada de decisões, torna-se o item mais
importante em estudos, projetos ou gestão ambiental.
Figura 3.1: Diagrama do processo de modelagem de recursos hídricos.
Fonte: (AMARAL, 2003)
41
Com o intuito de descrever melhor o fluxograma da Fig. 3.1, abaixo seguem
alguns conceitos adaptados de Amaral (2001) citado por Rosman (2001):
Observação + ciclo de medição: Inicialmente as observações de um dado
fenômeno são geralmente qualitativas, a fim de propiciar um entendimento
das causas, efeitos e agentes intervenientes. Em uma segunda etapa, parte-
se para observações quantitativas, fazendo-se medições das grandezas das
causas, efeitos e agentes intervenientes inferidos na etapa de observação
qualitativa. A partir das observações e medições desenvolvem-se modelos
conceituais dos fenômenos de interesse.
Modelo conceitual: A modelagem conceitual corresponde a formar na mente a
concepção do fenômeno observado, conhecer suas causas e efeitos,
compreender as interações e relevância dos agentes intervenientes na sua
ocorrência. Como indica o diagrama, a partir do modelo conceitual existem
duas rotas. A mais comum é a tradução para um modelo matemático, mas
por vezes o entendimento não é suficiente para isso, a recorrer-se
diretamente a um modelo físico.
Modelo matemático: A modelagem matemática consiste na tradução para a
linguagem matemática do modelo conceitual do fenômeno de interesse.
Quanto melhor e mais completo o modelo conceitual, mais complexo é o
modelo matemático e consequentemente maior é a dificuldade para se obter
uma solução geral. Por esta razão, o modelo matemático é a grande
encruzilhada do processo de modelagem, pois dependendo da possibilidade
de resolvê-lo, quatro rotas são possíveis, levando respectivamente aos
modelos físico, numérico, analítico e analógico.
Modelo analítico: Utilizado quando se tem soluções gerais. No entanto, na
maioria das situações práticas em recursos hídricos, não uma solução
geral conhecida. Neste caso, resta recorrer aos modelos físicos e aos
modelos numéricos.
42
Modelo analógico: O modelo analógico é utilizado somente em situações
muito peculiares e em geral de cunho mais acadêmico do que prático. Um
exemplo de aplicação deste tipo de modelo é uma analogia entre o fluxo das
correntes elétricas e o fluxo das correntes hidráulicas, que permite
desenvolver alguns modelos de circuito hidráulico em analogia a modelos de
circuitos elétricos.
Modelo físico: Em geral, são modelos que reproduzem em escala reduzida,
modelos conceituais de fenômenos de interesse, chamados de protótipos.
Através de um modelo matemático de semelhança, definem-se as escalas de
semelhança entre o protótipo e o modelo físico reduzido. Tal necessidade
está indicada no diagrama pela rota ligando o modelo matemático ao modelo
físico.
Devido aos enormes gastos em equipamentos eletromecânicos, alto consumo
de energia, grande número de técnicos especializados e com o surgimento dos
computadores e suas consequentes evoluções, os modelos físicos foram sendo
substituídos por modelos numéricos.
Entretanto, devido à existência de fenômenos cujas informações ainda são
duvidosas ou de difícil obtenção, haverá modelos conceituais empíricos ou semi-
empíricos e, consequentemente, modelos matemáticos falhos. Com isso, apesar de
ser possível a utilização de modelos numéricos, estes terão em si as falhas do
modelo matemático e a alternativa dos modelos físicos permanecerá necessária e
muito importante. Tal fato é indicado no diagrama pela rota que liga diretamente o
modelo conceitual ao modelo físico. Outro ponto importante dos modelos físicos é a
facilidade de compreensão do fenômeno pelos mais leigos, o que atualmente vem
sendo substituído pelas animações computacionais feitas a partir de modelos
numéricos.
Modelo numérico: Os modelos numéricos são traduções dos modelos
matemáticos adaptados para diferentes métodos de lculo, por exemplo,
diferenças finitas, elementos de contorno, elementos finitos e volumes finitos.
Praticamente qualquer modelo matemático pode ser resolvido através de um
modelo numérico, e em geral relativamente pouca perda de informação na
43
tradução de um para o outro. Os modelos numéricos permitem a solução de
uma gama de problemas muitíssimo mais abrangente que qualquer outra
modalidade de modelos.
Montagem, pré-processamento, definição de parâmetros e similares: Trata-se
de uma etapa comum a qualquer tipo de modelo para obter informações
quantitativas do modelo conceitual e do modelo matemático. Antes de obter
tais informações será necessário preparar o modelo e organizar os dados de
entrada. Para modelos físicos, por exemplo, essa obtenção das informações
quantitativas é feita através de medição direta com equipamentos específicos;
para os modelos numéricos, os resultados quantitativos são obtidos via
modelo computacional, que consiste na tradução de um modelo numérico
para uma linguagem computacional.
s-processamento: Esta etapa é também comum a todos os modelos e
consiste na tradução da massa de informações quantitativas obtidas na saída
dos modelos, de forma que possam ser mais facilmente assimiladas.
Calibração e Validação: Nesta etapa verifica-se se os resultados obtidos
conferem com o que se observa a respeito do fenômeno de interesse.
Existem duas possibilidades:
A validação não confere com as observações/medições: neste caso o
modelo não está validado e entra-se no processo de calibração
efetivamente, com duas rotas possíveis, representadas no diagrama da
Fig. 3.1. A rota mais comum é a curta, que leva à caixa do pré-
processamento, o que corresponde ao procedimento usual de
calibração via ajustes de montagem e de parâmetros, acertos de dados
de entrada e coeficientes em qualquer tipo de modelo. A menos
comum é a rota circular longa levando novamente para o modelo
conceitual, que deve ser seguida apenas no caso de repetidos
insucessos de validação do modelo com a rota curta, havendo então a
necessidade de verificar se não há erro de concepção.
44
A validação confere com as observações/medições: neste caso o
modelo está validado e o processo de modelagem termina na efetiva
incorporação dos resultados do modelo ao acervo de informações a
serem consideradas no processo de tomada de decisão.
Relatório para auxílio no processo de tomada de decisões: É o objetivo final
do processo de modelagem, ou seja, produzir informações organizadas para
auxiliar um processo de tomada de decisões.
Rosman (2001) ainda enfatiza que o entendimento e bom uso das
informações pelo modelador dependem do conhecimento por parte deste, do
fenômeno de interesse. Modelos conceituais dos fenômenos de interesse são
fundamentais ao modelador, para que este possa fazer pleno uso das informações
apresentadas, julgando a qualidade das informações recebidas e rejeitando-as, se
necessário.
O objetivo central deste trabalho é a aplicação da modelagem numérica no
transporte de contaminantes em rios, Como salientado, tais modelos assumem
particular importância na estimativa de padrões de circulação e transporte fluido em
corpos d’água, pois de acordo com Rosso e Rosman (1995) fornecem poderosa
contribuição tanto na avaliação de impactos ambientais como na identificação e
definição das estratégias para a operacionalização e gerenciamento de programas
de monitoramento ambiental.
3.2 – Equações governantes
De acordo com Braga et al. (2005), em qualquer sistema natural a matéria é
conservada, ou seja, não se cria nem se destrói matéria. Esse comportamento é
explicado pela Lei de Conservação da Massa.
A lei da conservação da massa também explica um dos grandes problemas
com o qual nos defrontamos atualmente: a poluição ambiental, como por exemplo a
poluição dos rios, foco desta dissertação.
Em geometria cartesiana, a equação de conservação da massa é
representada pela seguinte equação diferencial parcial:
45
0)()()( =
+
+
+
w
z
v
y
u
xt
ρρρ
ρ
(3.1)
sendo as grandezas expressas no Sistema Internacional como:
=
ρ
densidade do fluido [mg/l];
=
t
tempo [s];
=
z
y
x
,
,
domínio espacial (coordenadas cartesianas) [m];
=
w
v
u
,
,
componentes do vetor velocidade correspondentes às direções
x
,
y
e
z
,
respectivamente [m/s].
Segundo Martin e McCutcheon (1998), a taxa de variação no tempo ou o
acúmulo de uma determinada propriedade intrínseca no volume de controle é igual à
soma dos fluxos ou taxa de transporte ao longo do tempo, através de todas as
superfícies do volume de controle. As superfícies de controle o fronteiras abertas
ou faces do volume de controle. A essa variação adicionam-se ou subtraem-se
respectivamente quaisquer fontes ou sumidouros, os quais estão presentes no meio
em análise.
Sendo assim, as equações de conservação podem ser escritas na seguinte
forma geral:
S
z
E
zy
E
yx
E
x
w
z
v
y
u
xt
ztl
+
+
+
=
+
+
+
φφφ
φρφρφρρφ
)()()()(
(3.2)
onde essas grandezas são expressas no Sistema Internacional como:
=
φ
grandeza conservada;
=
ρ
densidade do fluido [mg/l];
=
t
tempo [s];
=
z
y
x
,
,
domínio espacial (coordenadas cartesianas) [m];
=
w
v
u
,
,
componentes do vetor velocidade correspondentes às direções
x
,
y
e
z
,
respectivamente [m/s];
46
=
ztl
EEE ,,
coeficiente de difusão da grandeza nas direções
z
y
x
,
,
, respectivamente
[m
2
/s];
=
S
termo fonte;
A Eq. (3.2) pode ser escrita na forma divergente da seguinte maneira:
(
)
SgradEdivUdiv
t
+=+
φφρρφ
)()(
(3.3)
que em palavras tem-se:
Figura 3.2: Equação de conservação na forma conservativa.
De acordo com Martin e McCutcheon (1998), as Eqs. (3.2) e (3.3)
generalizadas servem de base para desenvolver equações de conservação para
cada propriedade intrínseca: massa d'água, movimento, calor e massa constituinte.
Essas equações são válidas também para outros sistemas de coordenadas além do
cartesiano, bastando para isto interpretar as variáveis (
z
y
x
,
,
) como sendo as
coordenadas do outro sistema, e considerando
S
como sendo a soma do termo de
geração/consumo com todos os outros termos existentes na equação de
conservação original que não se enquadram nem na forma de termos de transporte,
nem na de termo de acúmulo.
Qualquer outra forma da equação é dita não-conservativa. A forma
conservativa é a forma da equação obtida diretamente da forma integral da lei de
conservação.
Na solução de problemas físicos deve-se adequá-los aos modelos
matemáticos para que se possa resolvê-los com tempos de computação não
Taxa de
variação de
φ
no elemento de
fluido
Fluxo total de
φ
no elemento de
fluido
Taxa de
variação de
φ
devido à
difusão
Taxa de
aumento de
φ
devido a fontes
ou redução
devido a
sorvedouros
+
+
=
47
proibitivos e para que os fenômenos físicos em questão sejam adequadamente
representados (BORTOLI, 2000).
3.3 – Equações governantes em rios
A formulação matemática utilizada na simulação do transporte de substâncias
em rios é modelada por equações conservativas, as quais estão representadas de
forma geral pela Eq. (3.2) e na forma divergente pela Eq. (3.3), as quais
normalmente contemplam a variação espacial e temporal.
Conforme observado nas equações acima, o transporte advectivo é formulado
considerando-se o campo de velocidades, o que implica no conhecimento da
hidrodinâmica do meio. Segundo Rosman (1997), os modelos hidrodinâmicos
podem ser divididos em três tipos, variando de acordo com a sua complexidade:
I) Modelos tridimensionais (3D): modelos tridimensionais são aqueles que
possuem todas as dimensões (
z
y
x
,
,
), sendo
z
a dimensão vertical. Os
modelos tridimensionais, ou gerais, incluem forçantes baroclínicas
(relacionadas ao gradiente de densidade) e barotrópicas (relacionadas à
altura da coluna d’água). Sendo assim, se aplicam a qualquer caso. o
modelo tridimensional sem termos baroclínicos possui uma hidrodinâmica
mais simples, pois não se incluiem gradientes de densidades. São aplicáveis
a corpos d’água com coluna d’água homogênea ou pouco estratificada, com o
objetivo de se obter perfis verticais das variáveis.
II) Modelos bidimensionais: estes modelos são subdivididos em 2 tipos, modelo
bidimensional na horizontal ou modelo em planta (2DH) e modelo
bidimensional na vertical (2DV). No modelo 2DH utiliza-se como variáveis as
médias na vertical, ou seja, possuem somente as dimensões (
t
y
x
,
,
). São
aplicáveis a corpos d’água pouco estratificados, tendendo a verticalmente
homogêneos. No modelo 2DV as variáveis são médias calculadas
lateralmente, restando as dimensões (
t
z
x
,
,
). São aplicáveis a corpos d’água
com estratificação vertical de densidade, mas com pouca variação lateral.
Normalmente são corpos d’água estreitos.
48
III) Modelo unidimensional (1D): este modelo é aplicável a corpos d’água
longitudinais com seção transversal homogênea, como canais. Considerando
o eixo
x
como longitudinal, têm-se somente as dimensões (
t
x
,
).
Para a obtenção de resultados mais precisos, a construção e o emprego de
um modelo que seja tridimensional é sempre preferível, pois o mesmo pode ser
aplicado a todos os casos. Porém, de acordo com Rosman (1997), devido aos
elevados custos relacionados a sua utilização, como maior tempo de preparação do
modelo e perda de tempo das simulações, dependendo das características do corpo
d’água a ser estudado e da qualidade dos resultados requeridos, modelos mais
simplificados podem ser adotados, oferecendo resultados semelhantes aos
tridimensionais, gerando com isso um ganho em custo/benefício considerável.
A simulação discutida neste trabalho focou-se na avaliação do
comportamento de uma pluma de poluente lançada na região do baixo curso do Rio
Macaé. Nesse trecho o rio apresenta geometria bastante regular, com largura
praticamente constante e seção transversal uniforme, o curso de fato se
assemelhando a um canal. Amaral (2003) relata que o Rio Macaé nessa região pode
ser classificado como verticalmente bem misturado, ou seja, apresenta padrões de
quase homogeneidade ao longo da coluna d’água.
Dessa forma, embora a simulação tridimensional seja sempre mais desejável,
em virtude da geometria e características do escoamento predominante no trecho do
rio Macaé aqui abordado, um modelo matemático de simulação bidimensional
horizontal pode ser perfeitamente adequado, no qual as propriedades simuladas são
assumidas invariantes na direção vertical (TELLES et al., 2008).
O foco central deste trabalho, portanto, é a simulação numérica, via método
dos volumes finitos, do comportamento de um poluente conservativo lançado no
baixo Macaé. Os resultados simulados foram confrontados com as observações
obtidas em um ensaio de campo especialmente projetado para avaliar e calibrar a
simulação.
49
3.4 – Modelo matemático do problema proposto
Para o estudo de caso do rio Macaé optou-se pela utilização de um modelo
horizontal bidimensional, pois como descrito na seção 3.3, é possível reduzir a
dimensionabilidade do problema e ainda monitorar de forma satisfatória e com
exatidão a concentração de contaminantes, levando a uma economia de tempo e
recurso computacional, sem prejudicar os resultados de interesse, que não
necessidade de obtenção dos campos de velocidade e concentração
tridimensionais.
Como o trecho do rio Macaé adotado para a simulação possui o domínio
espacial com geometria regular e sem curvas, apresentando baixas profundidades,
uma abordagem bi-dimensional que retenha apenas o termo advectivo na direção
longitudinal pode ser empregada. Com isso, a Eq. (3.2) pode ser reescrita como:
+
=
+
y
C
E
yx
C
E
x
uC
xt
C
tl
)( (3.4)
sendo:
C
= concentração [mg/l].
Os coeficientes de dispersão
l
E
e
t
E
, anteriormente definidos como coeficientes
de difusão, aqui passam a ter a denominação de coeficientes de dispersão, em
virtude da integração analítica que se promoveu na Eq. (3.2) (MIRANDA et al.,
2002).
Assumindo que a velocidade longitudinal e os coeficientes de dispersão são
conhecidos e constantes, a Eq. (3.4) se reduz a:
+
=
+
y
C
y
E
x
C
x
E
x
C
u
t
C
tl
(3.5)
com as seguintes condições de contorno e inicial:
50
(
)
( )
( )
( )
( ) ( )
=
>=
=
>=
>=
yx
x
y
y
x
y
LyLxyxCyxC
tLx
y
tLxC
y
txC
tLy
x
tyLC
tLyCtyC
0 ,0 ,,0,,
0 ,0 ,0
,,
,0,
0 ,0 ,0
,,
0 ,0 ,,,0
1
0
(3.6)
onde:
x
L
= comprimento longitudinal do trecho do rio em análise [m];
y
L
= comprimento transversal do trecho do rio em análise [m].
A Fig. 3.3 mostra uma representação esquemática do trecho do rio Macaé
adotado para a simulação.
Figura 3.3: Representação esquemática do rio Macaé no trecho de realização do
trabalho de campo.
Fonte: Adaptado de Lugon et al. (2008).
A solução da Eq. (3.5) requer o conhecimento da velocidade
u
e dos
coeficientes de dispersão longitudinal e transversal. Quanto a esses últimos há
51
algumas formulações empíricas que possibilitam sua estimativa. Por exemplo,
Fischer (1979) expressa o coeficiente de dispersão transversal (
t
E
) como:
*
15,0 duE
t
=
(3.7)
onde:
t
E
= coeficiente de dispersão transversal [m
2
/s];
d
= profundidade média [m];
*
u
= velocidade de atrito [m/s].
Para a velocidade de atrito pode ser utilizada a rmula de Martin e
McCutcheon (1998):
5,0
0*
)(gdSu =
(3.8)
onde:
g
= aceleração da gravidade [m/s
2
];
0
S
= declividade [m/m].
Utilizando-se as Eqs. (3.7) e (3.8) é possível encontrar uma estimativa para o
coeficiente de dispersão transversal do problema aqui proposto com margem de
aproximação de
±
50%.
para o coeficiente de dispersão longitudinal, Elder (1959), expressa-o
através da seguinte equação:
*
93,5
duE
l
=
(3.9)
onde
l
E
é expresso em m
2
/s,
d
em m,
*
u
em m/s
2
e a constante 5,93 é encontrada
de forma empírica por Elder (1959).
52
Este é cerca de quarenta vezes maior que o coeficiente de dispersão
transversal.
Equações de natureza empírica e semi-empíricas, genericamente
denominadas fórmulas práticas, têm sido desenvolvidas para a previsão do
coeficiente de dispersão longitudinal. Essas equações relacionam o coeficiente
l
E
com quantidades físicas de fácil obtenção ou disponibilidade, como profundidade
média, largura, declividade e velocidade média ou vazão do escoamento (DEVENS,
2006).
quanto à velocidade
u
, expressa em m/s, Martin e McCutcheon (1998)
afirmam que algumas estimativas podem ser baseadas através do fluxo e de uma
área da seção transversal média, dos dados históricos, ou aparelhos de medições.
Adotando-se a abordagem que considera uma área de seção transversal
média, a correspondente velocidade média longitudinal pode ser calculada por:
c
A
Q
u =
(3.10)
onde:
c
A
= área de seção transversal do rio [m
2
];
Q
= taxa do fluxo volumétrico de água [m
3
/s].
O modelo assim definido é capaz de simular o transporte de constituintes em
solução ou em suspensão. Na hipótese de simular-se um lançamento instantâneo, a
condição inicial terá uma característica de acordo com a malha adotada nas
simulações. Dessa forma, a condição inicial
(
)
(
)
yxCyxC ,0,,
1
=
apresentará
concentração igual a verificada no rio, 37 mg/l, concentração essa obtida através de
medições com condutivimetro no trabalho de campo, exceto a célula onde receberá
a descarga, que terá uma concentração variável de acordo com as medidas adotada
para a malha.
Na impossibilidade de resolver-se analiticamente o modelo que rege o
problema aqui descrito, busca-se uma solução numérica, ou seja, deixa-se de
trabalhar com o domínio infinitesimal como no método analítico para se trabalhar
53
com o domínio discreto, gerando assim, um sistema de equações que são resolvidos
através de métodos numéricos.
Segundo Bortoli (2000), os métodos analíticos têm a desvantagem de serem
aplicados apenas a problemas cujas hipóteses simplificadoras os desviam
demasiadamente do fenômeno físico real e, geralmente, só podem ser aplicados em
geometrias simples. Porém, apesar de nem sempre as soluções analíticas
representarem a realidade, as mesmas não devem ser descartadas, pois são muito
importantes para validar casos-limites de modelos numéricos, além de suas
soluções serem do tipo fechada (BORTOLI, 2000).
3.5 – Métodos Numéricos
Com o avanço e desenvolvimento tecnológico nos últimos anos,
principalmente no que se refere aos computadores, o que gerou um ganho
significativo tanto em recursos disponíveis como em velocidade no processamento
de dados, diversos métodos numéricos foram desenvolvidos com o intuito de se
chegar a um resultado não apenas preciso, mas também cada vez mais eficiente no
que se refere a diversos fenômenos da ciência.
Dentre a gama de opções de métodos numéricos usualmente empregados
destacam-se alguns, que particularmente tem seu uso difundido para se resolver
equações diferencias ordinárias e parciais. Os mais conhecidos e populares são:
método das diferenças finitas (MDF), método dos elementos finitos (MEF) e o
método de volumes finitos (MVF).
O método das diferenças finitas é o mais antigo método de solução numérica
de EDPs, que se pensa ter sido introduzido por Euler no Sec. XVIII. Também é o
método mais fácil de usar para geometrias simples (FERZIGER e PERIC, 2002).
Seu emprego em malhas estruturadas é muito simples e eficaz.
A finalidade do método é calcular a derivada de uma função presente na
equação, considerando os intervalos, não do ponto de vista infinitesimal, como no
cálculo analítico, mas de forma discretizada em intervalos finitos, efetuando os
cálculos por pontos (INCROPERA, 1992).
Sendo assim, o método tem início na equação de conservação na forma
diferencial. A partir daí, o domínio de solução é coberto por uma malha. Em cada
ponto da malha, a equação diferencial é aproximada substituindo as derivadas
54
parciais por aproximações em termos dos valores nodais das funções, o que gera
uma equação algébrica para cada da malha. Esse processo torna o valor da
variável dependente de um determinado número de nós vizinhos, os quais são as
incógnitas a serem determinadas.
Ferziger e Peric (2002) afirmam que, em princípio o todo de diferenças
finitas pode ser aplicado a qualquer tipo de malha, porém, estes autores
desconhecem aplicações deste método em malhas não-estruturadas.
Para se obter as aproximações para a derivada primeira e segunda lança-se
mão da expansão em rie de Taylor ou polinomial. Esses métodos são também
utilizados quando se deseja realizar interpolações para se obter valores das
variáveis em locais diferentes dos nós da malha.
Em alguns problemas, as equações discretizadas oriundas do método de
diferenças finitas assemelham-se às equações do método de volumes finitos, fato
esse que leva muitas pessoas a confundirem os dois métodos. Apesar disso, os dois
métodos apresentam bases de formulação bastante diferentes. O método de
diferenças finitas tem uma dedução puramente matemática, a partir das
aproximações de derivadas usando séries de Taylor, enquanto que a formulação do
método de volumes finitos é baseada no princípio da conservação de uma
determinada grandeza.
3.6 – Método dos Volumes Finitos
rios autores, como Patankar (1980) e Maliska (2004), definem o método
dos volumes finitos como sendo a integração, no espaço e no tempo, da equação
diferencial na sua forma conservativa em um volume de controle.
O método de volumes finitos, diferente do método das diferenças finitas,
utiliza as equações de conservação na sua forma integral. Deve-se discretizar o
domínio do problema que está sendo tratado. Divide-se o domínio em um número
finito de volumes de controles, os quais devem ser contínuos. A partir daí, aplicam-
se as equações de conservação em cada um dos volumes que serão utilizados na
integração da equação diferencial. Na Fig. 3.4 é apresentada a malha computacional
utilizada no método de volumes finitos com a caracterização dos volumes de
controle.
Figura 3.4
: Malha de cálculo do método de
Fonte: (
Segundo F
erziger e Peric (2002)
um computacional n
o
interpolação para
expressar va
controle em termos do valor do central
algébrica para cada volume de controle
vizinhos
ao nó central aparece
Devido aos volumes de controle terem faces em comum, o fluxo de uma
propriedade que sai de um volume de controle é o mesmo que entra no outro
volume, o que leva à garantia de que a lei de conservação da propriedade física
envolvida seja mantida e
De acordo com Santana (2007), o método dos volumes finitos é adequado a
qualquer forma de célula, o que o faz adequado para malhas não
união dessas vantagens faz com que o MVF seja um método conveni
resolver problemas em mecânica de fluidos envolvendo geometrias complexas e
problemas envolvendo transferência de calor e massa. Devido a tudo isso, fato que
pode ser observado, o método dos volumes finitos aparece em muitos pacotes para
resolver
problemas em mecânica de fluidos computacional.
A obtenção das
equações aproximadas pelo método dos volumes finitos
através da integra
ção
elementar, no espaço e no tempo
: Malha de cálculo do método de
volumes f
Fonte: (
M
ALALASEKERA; VERSTEEG, 1995).
erziger e Peric (2002)
, no centro de cada volume de controle
o
qual
os valores das variáveis são calculados
expressar va
lores das variáveis
na superfície dos volumes de
controle em termos do valor do central
. Como resultado,
obtém
algébrica para cada volume de controle
, em que certo
número de valores nodais
ao nó central aparece
m
, surgindo dessa forma um sistema de e
Devido aos volumes de controle terem faces em comum, o fluxo de uma
propriedade que sai de um volume de controle é o mesmo que entra no outro
volume, o que leva à garantia de que a lei de conservação da propriedade física
envolvida seja mantida e
a média da propriedade seja preservada.
De acordo com Santana (2007), o método dos volumes finitos é adequado a
qualquer forma de célula, o que o faz adequado para malhas não
união dessas vantagens faz com que o MVF seja um método conveni
resolver problemas em mecânica de fluidos envolvendo geometrias complexas e
problemas envolvendo transferência de calor e massa. Devido a tudo isso, fato que
pode ser observado, o método dos volumes finitos aparece em muitos pacotes para
problemas em mecânica de fluidos computacional.
equações aproximadas pelo método dos volumes finitos
ção
da equação na forma conservativa,
elementar, no espaço e no tempo
. Assim a Eq. (3.5) pode ser
reescrita como:
55
volumes f
initos.
ALALASEKERA; VERSTEEG, 1995).
, no centro de cada volume de controle
reside
os valores das variáveis são calculados
. É usada uma
na superfície dos volumes de
obtém
-se uma equação
número de valores nodais
, surgindo dessa forma um sistema de e
quações.
Devido aos volumes de controle terem faces em comum, o fluxo de uma
propriedade que sai de um volume de controle é o mesmo que entra no outro
volume, o que leva à garantia de que a lei de conservação da propriedade física
a média da propriedade seja preservada.
De acordo com Santana (2007), o método dos volumes finitos é adequado a
qualquer forma de célula, o que o faz adequado para malhas não
-estruturadas. A
união dessas vantagens faz com que o MVF seja um método conveni
ente para
resolver problemas em mecânica de fluidos envolvendo geometrias complexas e
problemas envolvendo transferência de calor e massa. Devido a tudo isso, fato que
pode ser observado, o método dos volumes finitos aparece em muitos pacotes para
equações aproximadas pelo método dos volumes finitos
se
da equação na forma conservativa,
sobre o volume
reescrita como:
56
++
++
+
=
+
tt
t
n
s
e
w
t
tt
t
n
s
e
w
l
tt
t
n
s
e
w
tt
t
n
s
e
w
dxdydt
y
C
y
Edxdydt
x
C
x
E
dxdydt
x
C
udxdydt
t
C
(3.11)
Integrando o termo transiente da Eq. (3.11) no tempo, tem-se:
(
)
=
+
+ n
s
e
w
ttt
tt
t
n
s
e
w
dxdyCCdxdydt
t
C
(3.12)
A integração da Eq. (3.12) no espaço resulta em:
(
)
(
)
yxCCdxdyCC
t
P
tt
P
n
s
e
w
ttt
=
++
(3.13)
onde
t
P
C
denota a concentração avaliada no ponto
P
no volume de controle e no
tempo
t
.
Na literatura, tem-se à disposição diversos esquemas de interpolação para a
aproximação das derivadas do termo advectivo. Dentre os mais conhecidos
destacam-se:
Esquema de Diferenças Centrais (CDS);
Esquema Upwind (UDS);
Esquema Exponencial;
Weighted Upstream Diferencing Scheme (WUDS);
Quadratic Upwind Interpolation for Convective Kinematics.
Nesta dissertação, optou-se pela utilização do esquema Upwind.
No esquema Upwind o valor da função na interface é substituído pelos
valores do termo situado a montante do volume de controle. Esse volume de
controle por sua vez, muda de acordo com o sentido da velocidade do escoamento.
Integrando o termo advectivo da Eq. (3.11) no espaço tem-se:
57
( )
dtyCCudxdydt
x
C
u
tt
t
we
tt
t
n
s
e
w
++
=
(3.14)
Aplicando o esquema Upwind na Eq. (3.14) encontra-se:
Pe
CC
=
e
Ww
CC
=
(3.15)
Substituindo a Eq. (3.15) na Eq. (3.14) obtém-se:
( ) ( )
dtyCCudtyCCu
tt
t
WP
tt
t
we
++
=
(3.16)
Agora, torna-se necessário avaliar o comportamento da concentração (
C
) nas
faces do volume elementar. Esse comportamento pode ser avaliado utilizando a
concentração no instante
t
ou
tt
+
. Dessa forma define-se uma função de
interpolação que descreverá o comportamento da concentração durante o intervalo
de tempo
t
. Malalasekera e Versteeg (1995) descrevem essa função da integral da
concentração no tempo como:
( )
[
]
tCCdtC
t
P
tt
P
tt
t
P
+=
+
+
θθ
1
,
10
θ
(3.17)
Aplicando a Eq. (3.17) na Eq. (3.16) tem-se:
( )
(
)
(
)
[
]
tyCCCCudtyCCu
t
W
t
P
tt
W
tt
P
tt
t
WP
+=
++
+
)1(
θθ
(3.18)
Integrando o termo dispersivo na longitudinal da Eq. (3.11) no espaço tem-se:
dty
x
C
x
C
Edxdydt
x
C
x
E
tt
t
we
l
tt
t
n
s
e
w
l
++
=
(3.19)
Aproximando as derivadas da Eq. (3.19) por diferenças centrais, tem-se:
58
dty
x
CCC
E
dty
x
CC
x
CC
Edty
x
C
x
C
E
tt
t
EPW
l
tt
t
WP
PE
l
tt
t
we
l
+
++
+
=
=
2
(3.20)
Utilizando a função de interpolação descrita pela Eq. (3.17) para a integração no
tempo, a Eq. (3.20) resulta em:
( )
ty
x
CCC
x
CCC
E
dty
x
CCC
E
t
E
t
P
t
W
tt
E
tt
P
tt
W
l
tt
t
EPW
l
+
+
+
=
+
+++
+
2
1
2
2
θθ
(3.21)
Através da integração do termo dispersivo na transversal da Eq. (3.11) no espaço
obtém-se:
dtx
y
C
y
C
Edxdydt
y
C
y
E
tt
t
sn
t
tt
t
n
s
e
w
t
++
=
(3.22)
Utilizando novamente uma aproximação por diferenças centrais para a derivada
espacial em
y
, tem-se:
dtx
y
CCC
E
dtx
y
CC
y
CC
Edtx
y
C
y
C
E
tt
t
NPS
t
tt
t
SPPN
t
tt
t
sn
t
+
++
+
=
=
2
(3.23)
Aplicando-se novamente a Eq. (3.17) na Eq. (3.23), tem-se a seguinte formulação
para a integração no tempo:
59
( )
tx
y
CCC
y
CCC
E
dtx
y
CCC
E
t
N
t
P
t
S
tt
N
tt
P
tt
S
t
tt
t
NPS
t
+
+
+
=
+
+++
+
2
1
2
2
θθ
(3.24)
Os valores adotados para o parâmetro
θ
indicam o tipo de aproximação no
tempo que será adotada nas equações e, conseqüentemente, o tipo de formulação a
ser utilizada no Método de Volumes Finitos:
0
=
θ
Formulação Explícita:
Figura 3.5: Molécula de cálculo com formulação explícita.
1
=
θ
Formulação Totalmente Implícita:
Figura 3.6: Molécula de cálculo com formulação totalmente implícita.
2
1
=
θ
Formulação Implícita (Método de Crank-Nicolson):
Figura 3.7: Molécula de cálculo com formulação implícita.
60
Para o problema aqui proposto, será utilizada a formulação totalmente
implícita por ser incondicionalmente estável e de fácil implementação computacional.
Fazendo
1
=
θ
e substituindo as Eq. (3.13), (3.18), (3.21), (3.24) na Eq. (3.11)
tem-se a seguinte formulação para o método de volumes finitos:
t
P
tt
Nt
tt
El
tt
Ptl
tt
Wl
tt
St
C
t
yx
C
y
x
EC
x
y
E
C
y
x
E
x
y
Eyu
t
yx
C
x
y
EyuC
y
x
E
=
+
+
+
++
+
+
++
+++
22
(3.25)
A equação (3.25) é válida para todos os volumes internos utilizados na
discretização do domínio como mostra a Fig. 3.8.
Figura 3.8: Volumes internos da malha de cálculo do método de Volumes Finitos.
3.6.1 – Condições de Contorno
Para os demais volumes em que a Eq. (3.25) deve conter informações sobre
as condições de contorno, deve-se determinar uma equação particular para cada um
desses volumes.
Dessa forma a Eq. (3.25) aplicada ao volume inferior do contorno esquerdo se
reduz a:
t
P
tt
Nt
tt
El
tt
Ptl
C
t
yx
C
y
x
EC
x
y
EC
y
x
E
x
y
Eyu
t
yx
=
+
+
+
++
+++
2
(3.26)
61
Figura 3.9: Volume de controle situado no contorno inferior esquerdo.
O processo para a obtenção das equações referentes ao volume superior do
contorno esquerdo, bem como os volumes inferior e superior do contorno direito é
análogo a Eq. (3.26).
Para os volumes situados entre as extremidades à esquerda, a Eq. (3.25) se reduz
a:
t
P
tt
Nt
tt
El
tt
Ptl
tt
St
C
t
yx
C
y
x
E
C
x
y
EC
y
x
E
x
y
Eyu
t
yx
C
y
x
E
=
+
+
+
++
+
+
+++
22
(3.27)
Figura 3.10: Volume de controle situado no contorno lateral esquerdo.
O contorno superior interno apresenta a seguinte formulação oriunda da Eq. (3.25):
t
P
tt
El
tt
Ptl
tt
Wl
tt
St
C
t
yx
C
x
y
E
C
y
x
E
x
y
Eyu
t
yx
C
x
y
EyuC
y
x
E
=
+
+
++
+
+
+
+++
2
(3.28)
62
Figura 3.11: Volume de controle situado no contorno superior interno.
O processo para a obtenção das equações dos contornos inferiores internos é
análogo a Eq. (3.28).
No contorno interior direito, a Eq. (3.25) se reduz a:
t
P
tt
Nt
tt
Ptl
tt
Wl
tt
St
C
t
yx
C
y
x
E
C
y
x
E
x
y
Eyu
t
yx
C
x
y
EC
y
x
E
=
+
+
++
+
+
+
+++
2
(3.29)
Figura 3.12: Volume de controle interno situado no lado direito.
Para simular o lançamento instantâneo da solução de sal, um volume de
controle foi definido como “volume de lançamento”, no qual assumiu-se imediata e
completa homogeneização da massa total de sal adicionada. As dimensões e
concentração resultante nesse volume de lançamento variaram de acordo com a
malha adotada.
63
3.6.2 – Solução do sistema de equações lineares
No todo de Volumes Finitos, independente da formulação utilizada,
unidimensional, bidimensional ou tridimensional, tem-se como resultado um sistema
linear que por sua vez pode ser representado de forma matricial. Essa matriz
resultante tem como característica principal a esparsividade.
A Eq. (3.25) acrescida das condições de contorno e inicial descritas pela Eq.
(3.6) gera um sistema do tipo
bAx
=
.
Na discretização da equação, a conexão
P
com os vizinhos aparece no
momento de aproximar numericamente os fluxos na interface. Como essa
aproximação se deu através de diferenças centrais, apenas os volumes adjacentes
participaram dessa aproximação (MALISKA, 2004).
Em se tratando de problemas bidimensionais, caso abordado aqui, devido a
ordenação em seqüência e, com a utilização de apenas dois pontos para o cálculo
dos fluxos nas quatro fronteiras, a matriz linear tem como característica cinco
diagonais, sendo elas a diagonal principal e duas diagonais adjacentes à principal
acrescidas de duas diagonais que possuem localização de acordo com a malha
adotada.
A matriz
A
é pentadiagonal, sendo que a diagonal principal é formada pelos
elementos
P
A
, enquanto que as outras são formadas, nessa ordem, pelos elementos
NEWS
AAAA ,,,
, os quais são os coeficientes das concentrações referentes aos
volumes vizinhos
NEWS
CCCC ,,,
, respectivamente.
A
=
PWS
EPWS
EPWS
NEPW
NEPW
NEP
AAA
AAAA
AAAA
AAAA
AAAA
AAA
00
0
0
00
(3.30)
A estrutura da matriz de coeficientes obtida na aproximação numérica é de
fundamental importância na escolha do método de resolução do sistema linear
(MALISKA, 2004).
64
A matriz gerada pode ser resolvida através de métodos diretos ou iterativos.
Para os métodos iterativos é necessário que o critério de Scarborough seja
satisfeito, ou seja:
(3.31)
onde:
=
p
a
é o coeficiente do volume central
P
;
=
nb
a
são os coeficientes vizinhos ao volume
P
;
O sistema
bAx
=
é resolvido através do Algoritmo de Thomas como descreve
Patankar (1980) e Malalasekera e Versteeg (1995). Vide resumo a seguir.
3.6.3 – Algoritmo de Thomas
O Algoritmo de Thomas, conhecido também como TDMA (TriDiagonal Matrix
Algorithm) é um método numérico utilizado para resolver problemas
unidimensionais, bidimensionais ou tridimensionais. Quando se trata de problemas
unidimensionais, o método resolve diretamente uma linha. Em se tratando de
problemas bi e tridimensionais, eles são iterativos, ocorrendo a varredura linha a
linha e coluna a coluna. Este método é visto como uma forma simplificada da
eliminação Gaussiana.
O Algoritmo de Thomas é um método de eliminação desenvolvido para a
solução de sistemas de equações algébricas lineares que apresentem matrizes de
coeficientes tridiagonais. Devido ao fato da matriz apresentada nesta dissertação ser
pentadiagonal, a mesma é transformada em uma matriz tridiagonal, movendo-se os
coeficientes
S
A
e
N
A
para o outro lado da igualdade com sinais trocados.
Este método tem a vantagem sobre muitos métodos devido ao seu baixo
custo, reduzindo o problema não linear a outro tridiagonal linear, envolvendo
matrizes. Sendo assim, o método transforma um sistema de equações na forma:
<
=
equações das uma menos pelo para1
equações as todaspara1
p
nb
a
a
65
PWS
EPWS
EPWS
NEPW
NEPW
NEP
AAA
AAAA
AAAA
AAAA
AAAA
AAA
00
0
0
00
=
nn
b
b
x
x
11
(3.32)
em um sistema matricial da forma
dxA
=
'
, ou seja:
=
nnnn
nnn
d
d
x
x
ba
cba
cba
cb
1
1
1
111
222
11
00
0
0
00
(3.33)
O Algoritmo de Thomas leva em consideração a esparsividade que a matriz
dos coeficientes apresenta, reduzindo significativamente os cálculos no passo de
eliminação. Este método não inclui o passo de pivotagem, o qual destruiria a
estrutura tridiagonal.
O esquema de resolução pode resumir-se nos seguintes passos adaptados
de Patankar (1980) de Malalasekera e Versteeg (1995):
1º passo:
O primeiro passo consiste em transformar os elementos da diagonal principal
em 1 e os elementos da diagonal inferior à principal em 0 (zero), o que gerará novos
coeficientes para a matriz. Assim temos:
Primeira equação, ou seja, primeira linha da matriz:
1
1
'
1
b
c
c =
(3.34.1)
1
1
'
1
b
d
d =
(3.34.2)
66
Demais linhas:
'
1
'
=
iii
i
i
cab
c
c
(3.35.1)
'
1
'
1
'
=
iii
iii
i
cab
dad
d (3.35.2)
onde:
i
= 2, 3, ...,
n
.
Com isso, o sistema
dxA
=
'
é reescrito como:
=
'
'
1
1
'
1
'
2
'
1
1000
100
010
001
n
n
n
d
d
x
x
c
c
c
(3.36)
2º passo:
O segundo passo consiste em realizar uma substituição atrasada:
'
nn
dx =
(3.37.1)
'
1
'
11
=
iiii
cxdx
(3.37.2)
onde:
i
=
n
,
1
n
, ..., 3, 2.
67
De acordo com Fletcher (1990), o Algoritmo de Thomas é particularmente
econômico, pois requer apenas 5n-4 operações (multiplicação e divisão). Mas, para
evitar mal-condicionamento (e, consequentemente, a contaminação por
arredondamento), é necessário que:
||||||
iii
cab
+
>
(3.38)
onde:
i
= 1, 2, ...,
n
.
3.7 – Implementação Computacional
O modelo foi implementado na linguagem de programação C e a calibração
do mesmo foi conduzida de modo a verificar-se o ajuste dos valores da
concentração calculados aos valores experimentais obtidos, sendo determinantes
para tal os coeficientes de dispersão.
Com o intuito de facilitar a análise dos resultados obtidos através das
simulações, foram construídos gráficos tendo como ferramenta principal para essas
construções o aplicativo Excel
®
, juntamente com o programa MATLAB
®
.
68
4 – TRABALHO DE CAMPO
Para efeito de validação da solução numérica descrita no Capítulo 3, foi
realizado um trabalho de campo na parte baixa do rio Macaé situada nas
proximidades da UTE Mário Lago.
Nessa região o rio se apresenta praticamente como um canal reto, com
geometria simples e leito com baixa declividade.
4.1 – Utilização do traçador
O experimento consistiu na simulação de uma descarga de poluente no rio
Macaé, utilizando para isso uma solução salina como traçador. O intuito de se
utilizar um traçador neste trabalho de campo se deve ao fato do mesmo simular
satisfatoriamente a dispersão de um dado poluente em cursos d’água naturais.
De acordo com Devens (1996), traçadores fluorescentes também são
constantemente utilizados quando se deseja realizar esse tipo de simulação.
Rigo e Teixeira (1995) também enfatizam a viabilidade do uso de traçadores
nesse tipo de experimento, pois além de determinar o modo como alguma
substância conservativa, que é dissolvida no escoamento, mistura-se ao longo de
um escoamento, pode eventualmente descrever a interferência da mesma no
movimento do próprio fluido que escoa, o que não ocorreu neste estudo, em face
das baixas concentrações utilizadas.
A escolha da substância cloreto de sódio (NaCl), o sal de cozinha, pode ser
relacionada às considerações de ordem prática e à satisfação de um conjunto de
requerimentos que o traçador deve apresentar. Dentre suas vantagens Devens
(1996) destaca:
solubilidade em água;
presença natural quase nula;
não tóxica para homens e animais;
facilidade de armazenamento ou de quantificação;
custo muito baixo.
69
Além do sal, Lugon et al. (2008) mencionam o uso da Rodamina WT, a qual
também poderia ser considerada como traçador, permitindo medições inclusive mais
precisas.
4.2 – Preparação da solução salina
O ensaio experimental foi realizado em 29 de maio de 2008. As condições
climáticas eram favoráveis, apresentando dia claro sem registro de precipitações nos
15 dias antecedentes.
Para a preparação da solução salina, diluiu-se 2.000 g de sal de cozinha
(NaCl) em um balde com 10 l de água como mostra a Fig. 4.1. Após a mistura,
completou-se um volume aproximado de 11 l, apresentando uma concentração em
torno de 172 g/l.
Figura 4.1: Preparação da solução salina utilizada no experimento.
Repetiu-se a operação de modo a somarem-se dois recipientes de
aproximadamente 55 l de solução salina em cada um dos mesmos (Fig. 4.2).
70
Figura 4.2: Recipiente contendo o traçador utilizado no experimento.
Utilizando um condutivímetro, foram realizadas várias medições, constatando-
se uma concentração em cada recipiente de lançamento de aproximadamente 175
g/l na primeira determinação no campo e 172 g/l numa segunda determinação,
enquanto a concentração de sal no rio era de aproximadamente 37 mg/l. Os sais
presentes nas águas dos rios geralmente são oriundos do intemperismo e da
lixiviação de rochas, sendo comum a presença de bicarbonatos, cloretos, sulfatos e
demais sais em menor quantidade.
4.3 – Medição da Velocidade do rio
Através de informações sobre a vazão, profundidade e largura do Rio Macaé,
fornecidas pela UTE Mário Lago no dia do trabalho de campo, foi estimada a
velocidade do Rio Macaé no trecho onde foi realizado o experimento.
Considerando a profundidade média do rio como 1 m e a largura média sendo
42 m, a área da seção transversal do rio é igual a 42 m
2
.
71
Dados da Agência Nacional de Águas indicaram uma vazão em torno de 14,7
m
3
/s na ocasião em que se realizou este ensaio, o que pela Eq. (3.10), fornece uma
velocidade média na seção de 0,35 m/s.
4.4 – Descrição do experimento
O lançamento do traçador no rio ocorreu através de uma injeção instantânea
da solução salina, onde os dois recipientes foram imersos simultaneamente no leito
do rio no ponto de lançamento. A injeção se deu a 0,70 m da margem
coordenadas: E-203.071 e N-7.531.643 onde foram despejados simultaneamente
os dois recipientes contendo o traçador, sendo o lançamento realizado
aproximadamente às 13h e 30 min tendo o experimento durado cerca de 360 s.
Coletas de amostras de água foram realizadas em um ponto situado 50 m a
jusante ao lançamento e a 0,70 m da margem. A Fig. 4.3 mostra onde ocorreram o
lançamento e a coleta dos dados, enquanto na Tabela 4.1 são apresentados os
valores da concentração de sal nas amostras de água coletadas. Para estas
amostras foram realizadas determinações de condutividade, posteriormente
convertidas em concentração.
Figura 4.3: Local onde ocorreram o lançamento e a coleta das amostras.
Fonte: Google Earth.
72
Tabela 4.1 – Valores das concentrações de sal nas amostras.
Tempo(s)
Concentração
(microSiemens)
Concentração
(mg/l)
Tempo(s)
Concentração
(microSiemens)
Concentração
(mg/l)
0
29,57
37,00
214
90,18
112,84
12
32,20
40,29
222
86,97
108,82
24
30,50
38,16
230
81,83
102,39
35
31,55
39,48
240
74,5
93,22
42
30,75
38,48
258
65,62
82,11
49
30,36
37,99
275
56,07
70,16
75
31,78
39,77
280
53,82
67,34
86
33,30
41,67
300
45,2
56,56
92
33,04
41,34
307
46,06
57,63
100
101,40
126,88
312
45,84
57,36
109
157,20
196,70
320
45,2
56,56
136
290,20
363,12
328
41,58
52,03
146
184,50
230,86
335
37,83
47,34
170
150,20
187,94
343
37,99
47,54
190
126,00
157,66
348
36,67
45,88
194
120,50
150,78
352
37,67
47,14
205
98,64
123,43
A Fig. 4.4 mostra o comportamento da concentração 50 m a jusante ao ponto
de lançamento de acordo com os dados da Tabela 4.1. Esses resultados foram
utilizados na calibração e avaliação do modelo aqui construído.
Figura 4.4: Gráfico referente a evolução da concentração ao longo do tempo.
0
50
100
150
200
250
300
350
400
0 50 100 150 200 250 300 350 400
Concentração (mg/l)
Tempo (s)
Experimental
73
5 – RESULTADOS E DISCUSSÃO
Com o intuito de validar e calibrar o modelo desenvolvido nesta dissertação, foram
realizadas várias simulações nas quais fez-se variar os parâmetros adotados. Os
resultados foram gerados em um computador com processador Intel Core 2 Duo
com 2 GB de memória RAM. Em todas as simulações realizadas, o tempo de
computação foi relativamente baixo, apresentando uma variação do tempo de
processamento da malha mais grossa para a malha mais fina variando entre 37 s a
60 s, respectivamente.
5.1 – Validação do Modelo
5.1.1 – Variação da malha
A solução numérica das equações diferenciais possui erros de aproximação
chamados de erros de truncamento gerados pelas aproximações das derivadas em
série de Taylor (MALISKA, 2004).
Em decorrência desses erros as soluções numéricas podem apresentar
oscilações ou então falsa difusão numérica, não representando de forma satisfatória
o fenômeno físico real. No caso abordado neste trabalho, o uso de uma
aproximação upwind para o termo advectivo pode vir a gerar uma falsa difusão
numérica.
Anderson et al. (1984) e Fortuna (2000) apresentam técnicas para a
minimização da falsa difusão, as quais levam em consideração o número de Courant
ou condição
CFL
, o qual é definido por:
x
tu
CFL
=
(5.1)
Apesar desses trabalhos apresentarem uma abordagem com formulações
explícitas, uma analogia pode ser feita ao caso aqui estudado devido à similaridade
existente entre a formulação explícita e a totalmente implícita, divergindo apenas no
instante de tempo em que os parâmetros são avaliados. Através de seus estudos,
74
Anderson et al. (1984) e Fortuna (2000), sugerem que o valor ideal para o número
de Courant é 1, evitando dessa forma a influência da falsa difusão no resultado
numérico.
Baseado nisso, foram realizadas algumas simulações com o intuito de se
verificar a melhor malha a ser utilizada nas simulações apresentadas neste trabalho.
Em uma primeira estimativa foi avaliado o comportamento de uma substância
conservativa no Rio Macaé, considerando o lançamento instantâneo de 20 kg de sal
comum (NaCl), feito na margem direita, sentido montante-jusante. Para os casos
analisados a largura e a profundidade médias foram consideradas iguais a 42 m e 1
m, respectivamente.
Os coeficientes de dispersão longitudinal e transversal foram calculados
utilizando-se a equação de Elder (1959) e Fischer (1979), respectivamente.
Adotando-se a aceleração da gravidade como 9,8 m/s
2
, a profundidade média como
1 m e a declividade como 0,0005 m/m, obtêm-se a velocidade de atrito descrita pela
Eq. (3.8) igual a 0,07 m/s. Utilizando as Eqs. (3.7) e (3.9), encontram-se
respectivamente como valores para os coeficientes de dispersão transversal e
longitudinal:
s/m 01,007,0.1.15,015,0
2
*
=== duE
t
(5.2.1)
s/m 42,007,0.1.93,593,5
2
*
=== duE
l
(5.2.2)
a velocidade utilizada é a descrita no capítulo anterior, 0,35 m/s. Assim,
têm-se os parâmetros descritos na Tabela 5.1 para a simulação do comportamento
da substância conservativa no rio.
Tabela 5.1 – Valores dos parâmetros utilizados na primeira simulação.
Parâmetros
Valores
Coef. Disp. Longitudinal [m
2
/s]
0,42
Coef. Disp. Transversal [m
2
/s] 0,01
x
L
[m]
182,00
y
L [m]
42,00
Posição de lançamento em
x
[m]
50,00
Posição de lançamento em
y
[m]
0,70
Delta_t [s] 2,00
Velocidade [m/s] 0,35
75
A Fig. 5.1 mostra a simulação do transporte do contaminante na margem do
rio com os parâmetros descritos na Tabela 5.1. Foram realizadas variações do valor
adotado para
x
e
y
com o intuito de verificar o comportamento da substância ao
longo do tempo com diferentes malhas.
Na primeira simulação adotou-se uma malha com
x
=
y
=2,8 m, gerando
975 volumes ao todo. Em um segundo momento foi adotado
x
=
y
=1,4 m
contendo 3.900 volumes e, por fim, foi utilizada uma malha com
x
=
y
=0,7 m, a
qual apresenta 15.600 volumes. A concentração no volume de lançamento foi de
2.551mg/l.
Figura 5.1: Gráfico do comportamento da concentração ao longo do tempo com
lançamento na margem do rio e utilizando diferentes malhas.
Ao analisar as três malhas adotadas verifica-se que a malha onde
x
=
y
=0,7 m apresenta número de Courant igual a 1, como sugerido por
Anderson et al. (1984) e Fortuna (2000), o que não ocorre com as malhas onde
x
=
y
=2,8 m e
x
=
y
=1,4 m, apresentando respectivamente número de Courant
iguais a 0,25 e 0,50. Observa-se também uma menor atenuação do pico de
concentração para a malha
x
=
y
=0,7 m para qualquer instante de tempo.
Uma simulação utilizando uma malha mais fina acarretaria em uma
dificuldade computacional e a impossibilidade na obtenção dos dados numéricos.
0
100
200
300
400
500
600
700
800
900
0,00 50,00 100,00 150,00 200,00
Concentração (mg/l)
Posição (m)
2,8mx2,8m
1,4mx1,4m
0,7mx0,7m
x
10s
50s
100s
76
5.1.2 – Variação do coeficiente de dispersão transversal
Nesta seção, foram considerados exclusivamente os efeitos decorrentes da
variação do termo dispersivo transversal, sendo utilizada para esse propósito a
velocidade nula, o que evita a influência do termo advectivo. Para as simulações,
optou-se por um domínio de lculo com 182 m de comprimento e 42 m de largura.
Assim como na simulação anterior, o lançamento ocorreu na margem do rio.
Os valores do coeficiente de dispersão longitudinal bem como as demais
informações utilizadas nas simulações estão descritas na Tabela 5.2.
Tabela 5.2 – Valores dos parâmetros utilizados na simulação dos gráficos das Figs.
5.2 a 5.13.
Parâmetros
Valores
Velocidade [m/s]
0,0
Coef. Disp. Longitudinal [m
2
/s] 0,42
x
L
[m]
182,00
y
L [m]
42,00
Posição de lançamento em
x
[m]
91,00
Posição de lançamento em
y
[m]
0,70
Delta_t [s] 2,00
Delta_x [m] 0,70
Delta_y [m] 0,70
As Figs. 5.2 a 5.13 mostram a simulação da substância na margem do rio
com os parâmetros descritos na Tabela 5.2, bem como diferentes coeficientes de
dispersão transversal. A concentração no volume de lançamento foi de 40.816 mg/l.
77
Figura 5.2: Gráfico da concentração considerando apenas a variação do efeito
dispersivo transversal a 0,70 metros da margem, com
l
E
=0,42 m
2
/s e
t
E
=0,01 m
2
/s,
10 s após o lançamento.
Figura 5.3: Gráfico da concentração considerando apenas a variação do efeito
dispersivo transversal a 0,70 metros da margem, com
l
E
=0,42 m
2
/s e
t
E
=0,1 m
2
/s,
10 s após o lançamento.
78
Figura 5.4: Gráfico da concentração considerando apenas a variação do efeito
dispersivo transversal a 0,70 metros da margem, com
l
E
=0,42 m
2
/s e
t
E
=0,5 m
2
/s,
10 s após o lançamento.
Figura 5.5: Comparação da concentração considerando apenas a variação do efeito
dispersivo transversal a 0,70 metros da margem e 10 s após o lançamento.
0
500
1000
1500
2000
2500
3000
3500
4000
0,00 50,00 100,00 150,00 200,00
Concentração (mg/l)
Posição (m)
Et=0,01
Et=0,10
Et=0,50
x
m
2
/s
m
2
/s
m
2
/s
79
Figura 5.6: Gráfico da concentração considerando apenas a variação do efeito
dispersivo transversal a 0,70 metros da margem, com
l
E
=0,42 m
2
/s e
t
E
=0,01 m
2
/s,
200 s após o lançamento.
Figura 5.7: Gráfico da concentração considerando apenas a variação do efeito
dispersivo transversal a 0,70 metros da margem, com
l
E
=0,42 m
2
/s e
t
E
=0,1 m
2
/s,
200 s após o lançamento.
80
Figura 5.8: Gráfico da concentração considerando apenas a variação do efeito
dispersivo transversal a 0,70 metros da margem, com
l
E
=0,42 m
2
/s e
t
E
=0,5 m
2
/s,
200 s após o lançamento.
Figura 5.9: Comparação da concentração considerando apenas a variação do efeito
dispersivo transversal a 0,70 metros da margem e 200 s após o lançamento.
0
50
100
150
200
250
300
0,00 50,00 100,00 150,00 200,00
Concentração (mg/l)
Posição (m)
Et=0,01
Et=0,10
Et=0,50
x
m
2
/s
m
2
/s
m
2
/s
81
Figura 5.10: Gráfico da concentração considerando apenas a variação do efeito
dispersivo transversal a 0,70 metros da margem, com
l
E
=0,42 m
2
/s e
t
E
=0,01 m
2
/s,
500 s após o lançamento.
Figura 5.11: Gráfico da concentração considerando apenas a variação do efeito
dispersivo transversal a 0,70 metros da margem, com
l
E
=0,42 m
2
/s e
t
E
=0,1 m
2
/s,
500 s após o lançamento.
82
Figura 5.12: Gráfico da concentração considerando apenas a variação do efeito
dispersivo transversal a 0,70 metros da margem, com
l
E
=0,42 m
2
/s e
t
E
=0,5 m
2
/s,
500 s após o lançamento.
Figura 5.13: Comparação da concentração considerando apenas a variação do
efeito dispersivo transversal na margem e 500 s após o lançamento.
Verifica-se com base nas Figs. 5.2 a 5.13, uma diminuição considerável da
pluma de concentração com o decorrer do tempo em resposta ao aumento do
coeficiente de dispersão transversal.
0
20
40
60
80
100
120
140
0,00 50,00 100,00 150,00 200,00
Concentração (mg/l)
Posição (m)
Et=0,01
Et=0,10
Et=0,50
x
m
2
/s
m
2
/s
m
2
/s
83
5.1.3 – Variação do coeficiente de dispersão longitudinal
Assim como realizado com o coeficiente de dispersão transversal, também
foram realizadas simulações para avaliar exclusivamente o comportamento do
coeficiente de dispersão longitudinal. Para este propósito foi utilizada a velocidade
nula, evitando a influência do termo advectivo, mantendo-se fixo o coeficiente de
dispersão transversal encontrado através da fórmula empírica de Ficher (1979) em
0,01 m
2
/s e fazendo-se variar o coeficiente de dispersão longitudinal para um
domínio de 182 metros de comprimento e 42 de largura. Os valores para os demais
parâmetros são os mesmos utilizados na subseção anterior, expostos na Tabela 5.2.
As Figs. 5.14 a 5.25 apresentam o comportamento da substância frente à
alteração no valor do coeficiente de dispersão longitudinal. Assim como nas
primeiras simulações onde houve apenas a variação do coeficiente de dispersão
transversal, o lançamento do traçador ocorreu em
x
= 91 m e a 0,70 metros da
margem com uma concentração de 40.816 mg/l no volume de lançamento.
Figura 5.14: Gráfico da concentração considerando apenas a variação do efeito
dispersivo longitudinal a 0,70 metros da margem, com
l
E
=0,1 m
2
/s e
t
E
=0,01 m
2
/s,
10 s após o lançamento.
84
Figura 5.15: Gráfico da concentração considerando apenas a variação do efeito
dispersivo longitudinal a 0,70 metros da margem, com
l
E
=0,5 m
2
/s e
t
E
=0,01 m
2
/s,
10 s após o lançamento.
Figura 5.16: Gráfico da concentração considerando apenas a variação do efeito
dispersivo longitudinal a 0,70 metros da margem, com
l
E
=0,9 m
2
/s e
t
E
=0,01 m
2
/s,
10 s após o lançamento.
85
Figura 5.17: Comparação da concentração considerando apenas a variação do
efeito dispersivo longitudinal 10 s após o lançamento.
Figura 5.18: Gráfico da concentração considerando apenas a variação do efeito
dispersivo longitudinal a 0,70 metros da margem, com
l
E
=0,1 m
2
/s e
t
E
=0,01 m
2
/s,
200 s após o lançamento.
0
1000
2000
3000
4000
5000
6000
7000
8000
9000
0,00 50,00 100,00 150,00 200,00
Concentração (mg/l)
Posição (m)
El=0,10
El=0,50
El=0,90
x
m
2
/s
m
2
/s
m
2
/s
86
Figura 5.19: Gráfico da concentração considerando apenas a variação do efeito
dispersivo longitudinal a 0,70 metros da margem, com
l
E
=0,5 m
2
/s e
t
E
=0,01 m
2
/s,
200 s após o lançamento.
Figura 5.20: Gráfico da concentração considerando apenas a variação do efeito
dispersivo longitudinal a 0,70 metros da margem, com
l
E
=0,9 m
2
/s e
t
E
=0,01 m
2
/s,
200 s após o lançamento.
87
Figura 5.21: Comparação da concentração considerando apenas a variação do
efeito dispersivo longitudinal 200 s após o lançamento.
Figura 5.22: Gráfico da concentração considerando apenas a variação do efeito
dispersivo longitudinal a 0,70 metros da margem, com
l
E
=0,1 m
2
/s e
t
E
=0,01 m
2
/s,
500 s após o lançamento.
0
100
200
300
400
500
600
0,00 50,00 100,00 150,00 200,00
Concentração (mg/l)
Posição (m)
El=0,10
El=0,50
El=0,90
x
m
2
/s
m
2
/s
m
2
/s
88
Figura 5.23: Gráfico da concentração considerando apenas a variação do efeito
dispersivo longitudinal a 0,70 metros da margem, com
l
E
=0,5 m
2
/s e
t
E
=0,01 m
2
/s,
500 s após o lançamento.
Figura 5.24: Gráfico da concentração considerando apenas a variação do efeito
dispersivo longitudinal a 0,70 metros da margem, com
l
E
=0,9 m
2
/s e
t
E
=0,01 m
2
/s,
500 s após o lançamento.
89
Figura 5.25: Comparação da concentração considerando apenas a variação do
efeito dispersivo longitudinal 500 s após o lançamento.
Observa-se que quando é adotada uma velocidade nula para o escoamento,
a simulação passa a caracterizar um cenário de lago e não mais de um rio e a pluma
de concentração vai se tornando cada vez mais dispersa na direção longitudinal e
também na direção transversal, com o transcorrer do tempo.
5.2 – Calibração do modelo
5.2.1 – Comparação dos resultados simulados com o trabalho de campo
Para efeito de calibração do modelo proposto nesta dissertação, foi realizada
a comparação entre os resultados obtidos no trabalho de campo com os resultados
obtidos na simulação do mesmo.
Foram realizados alguns testes com o intuito de determinar os parâmetros
que levassem ao melhor ajuste entre a solução numérica e as observações.
Em um primeiro instante, foram realizados testes variando a malha
computacional utilizada nas simulações, assim fez-se uma comparação dos
resultados numéricos obtidos através das malhas apresentadas na subseção 5.1.1
com os resultados obtidos no trabalho de campo.
0
100
200
300
400
500
600
0,00 50,00 100,00 150,00 200,00
Concentração (mg/l)
Posição (m)
El=0,10
El=0,50
El=0,90
x
m
2
/s
m
2
/s
m
2
/s
90
Para a malha onde
x
=
y
=2,8 m os valores adotados para a simulação são
descritos pela Tabela 5.3.
Tabela 5.3 – Valores dos parâmetros utilizados na malha onde
x
=
y
=2,8 m.
Parâmetros
Valores
Velocidade [m/s]
0,35
Coef. Disp. Longitudinal [m
2
/s] 0,42
Coef. Disp. Transversal [m
2
/s] 0,01
x
L
[m]
182,00
y
L [m]
42,00
Posição de lançamento em
x
[m]
50,00
Posição de lançamento em
y
[m]
0,70
Posição de coleta em
y
[m]
0,70
Posição de coleta em
x
[m]
100,00
Delta_t [s] 2,00
A Fig. 5.26 mostra o comportamento da pluma de concentração no ponto de
coleta durante o tempo de 352 s de simulação.
Figura 5.26: Gráfico da concentração no ponto de coleta considerando
x
=
y
=2,8 m.
Também foi verificado o comportamento da concentração com uma malha
onde
x
=
y
=1,4 m. Os parâmetros utilizados na simulação são os mesmos
contidos na Tabela 5.3, assim como o tempo de simulação, 352s. Os resultados são
apresentados na Fig. 5.27.
0
50
100
150
200
250
300
350
400
0 50 100 150 200 250 300 350 400
Concentração (mg/l)
Tempo (s)
Experimental
Numérico
91
Figura 5.27: Gráfico da concentração no ponto de coleta considerando
x
=
y
=1,4 m.
Por fim, foi realizada a simulação com uma terceira malha onde
x
=
y
=0,7
m e os valores dos parâmetros adotados para tal simulação também foram os
mesmos da Tabela 5.3. O tempo de simulação também foi o mesmo do
experimento, 352 s. A Fig. 5.28 apresenta os resultados dessa simulação.
Figura 5.28: Gráfico da concentração no ponto de coleta considerando
x
=
y
=0,7 m.
0
50
100
150
200
250
300
350
400
0 50 100 150 200 250 300 350 400
Concentração (mg/l)
Tempo (s)
Experimental
Numérico
0
50
100
150
200
250
300
350
400
0 50 100 150 200 250 300 350 400
Concentração (mg/l)
Tempo (s)
Experimental
Numérico
92
Como discutido na subseção 5.1.1, dependendo da malha adotada, a solução
numérica pode não representar com exatidão o fenômeno físico estudado devido a
influência do erro de truncamento e da falsa difusão.
Esses problemas podem ser minimizados com a redução do erro de
truncamento adotando-se para isso mero de Courant igual a 1. Sendo assim,
optou-se pela utilização da malha onde
x
=
y
=0,7 m.
Com o intuito de se obter o melhor ajuste entre a solução numérica e os
dados observados foram realizadas variações nos coeficientes de dispersão
longitudinal e transversal. Para os demais parâmetros, os valores são aqueles
descritos na Tabela 5.3.
Após algumas variações nos coeficientes de dispersão longitudinal e
transversal, a Fig. 5.29 apresenta o melhor ajuste obtido através do resultado
numérico em relação aos dados experimentais, sendo que nesta simulação foram
adotados respectivamente os valores de
l
E
=0,33 m
2
/s e
t
E
=0,008 m
2
/s.
Figura 5.29: Gráfico da concentração no ponto de coleta considerando
x
=
y
=0,7 m,
l
E
=0,33 m
2
/s e
t
E
=0,008 m
2
/s.
As Figs. 5.30 a 5.32 apresentam uma visão bidimensional da evolução da
pluma até o instante em que seu pico de concentração atinge o ponto de
0
50
100
150
200
250
300
350
400
0 50 100 150 200 250 300 350 400
Concentração (mg/l)
Tempo (s)
Experimental
Numérico
93
amostragem em
t
=136 s, considerando-se o melhor ajuste dos resultados
numéricos em relação aos dados experimentais.
Figura 5.30: Concentração calculada com os parâmetros da Tabela 5.3
apresentando
u
=0,35 m/s e
l
E
=0,33 m
2
/s e
t
E
=0,008 m
2
/s, no instante do
lançamento.
Figura 5.31: Concentração calculada com os parâmetros da Tabela 5.3
apresentando
u
=0,35 m/s e
l
E
=0,33 m
2
/s e
t
E
=0,008 m
2
/s, transcorridos 50 s.
Ponto de
lançamento
94
Figura 5.32: Concentração calculada com os parâmetros da Tabela 5.3
apresentando
u
=0,35 m/s e
l
E
=0,33 m
2
/s e
t
E
=0,008 m
2
/s, transcorridos 136 s.
Também foi analisado o comportamento da pluma de traçador quando o
mesmo é jogado no centro do rio, ou seja, a 21 m da margem. Para os demais
parâmetros foram utilizados os mesmos dados da Tabela 5.3. Os resultados da
evolução da pluma desde o lançamento até o instante
t
=136 s, são apresentados
nas Figs. 5.33 a 5.35.
Figura 5.33: Concentração calculada no centro do rio apresentando
u
=0,35 m/s
e
l
E
=0,33 m
2
/s e
t
E
=0,008 m
2
/s, no instante de lançamento.
Ponto de
lançamento
95
Figura 5.34: Concentração calculada no centro do rio apresentando
u
=0,35 m/s
e
l
E
=0,33 m
2
/s e
t
E
=0,008 m
2
/s, transcorridos 50 s.
Figura 5.35: Concentração calculada no centro do rio apresentando
u
=0,35 m/s
e
l
E
=0,33 m
2
/s e
t
E
=0,008 m
2
/s, transcorridos 136 s.
Lugon et al. (2008) enfatizam que, no processo de simulação bidimensional
(integrada na vertical) de contaminantes, ao se definir o domínio, pode ser
interessante estabelecer a distância dentro da qual a mistura completa na direção
transversal ocorre. A partir desse ponto, uma abordagem unidimensional (integrada
96
na seção transversal) pode ser suficiente, o que pode ser conveniente, por exemplo,
pelo aspecto de custo computacional.
Essa distância denominada zona de mistura ou zona advectiva, caracteriza-se
pelo domínio do efeito advectivo. Após esse intervalo advectivo de mistura não
homogeneizado, os efeitos da advecção o contrabalanceados pela difusão
turbulenta transversal, e o perfil de concentração evolui para uma forma gaussiana.
Barbosa Jr (2005) diz que o comprimento dessa zona advectiva pode ser
estimado através de uma equação adaptada de Yotsukura e Cobb (1972),
t
E
Bu
kL
2
min
.
=
(5.3)
onde:
min
L
= comprimento requerido para a mistura [m];
u
= velocidade média do escoamento [m/s];
B
= largura média do trecho de mistura [m];
t
E
= coeficiente de mistura transversal (difusividade turbulenta transversal) [m
2
/s];
k
= coeficiente adimensional, cujo valor leva em conta o grau de mistura e o número
e a posição dos pontos de injeção.
Para lançamentos no eixo do rio e com uma mistura em torno de 95%, o valor
de
k
é estimado em 0,1 (FISCHER, 1979). Com isso, considerando a largura do rio
Macaé no trecho simulado como 42 m, a velocidade igual a 0,35 m/s e o coeficiente
de dispersão transversal como 0,008 m
2
/s, o comprimento necessário para a
completa homogeneização da mistura do traçador será de aproximadamente 7,7 km.
Para fins de economia de custo/tempo computacional optou-se aqui por um
lançamento hipotético utilizando uma malha mais grossa onde
x
=
y
=3,5 m e
t
=10 s, minimizando dessa forma o erro de truncamento uma vez que o número de
Courant permanece igual a 1. Os valores dos parâmetros utilizados na simulação
são descritos na Tabela 5.4.
97
Tabela 5.4 – Valores dos parâmetros utilizados na Fig. 5.36.
Parâmetros
Valores
Velocidade [m/s]
0,35
Coef. Disp. Longitudinal [m
2
/s] 0,33
Coef. Disp. Transversal [m
2
/s] 0,008
x
L
[m]
4550,00
y
L [m]
42,00
Posição de lançamento em
x
[m]
50,0
Delta_t [s] 10,00
Delta_x [m] 3,50
Delta_y [m] 3,50
A Fig. 5.36 mostra o comportamento do traçador, decorridos 10.000 s após
seu lançamento. Verifica-se que a mistura começa a se homogeneizar na direção
transversal, tendo os efeitos dispersivos atenuado consideravelmente o pico de
concentração.
Figura 5.36: Comportamento do traçador depois de decorridos 10.000 s de seu
lançamento a 21 m da margem do rio.
Martin e McCutcheon (1998) afirmam que para lançamentos às margens do
rio caso abordado aqui o comprimento necessário para total a homogeneização
da concentração é proporcional ao quadrado do dobro da largura do rio, ou seja:
98
t
t
E
Bu
E
Bu
L
2
2
min
.
4,0
)2.(
1,0
=
=
(5.4)
Considerando-se um lançamento feito na margem do rio, verifica-se que o
melhor valor para o parâmetro
k
, Eq. (5.4), seria 0,4 (MARTIN e MCCUTCHEON,
1998), o que implicaria em um comprimento da zona advectiva necessário para a
completa homogeneização do traçador em torno de 93,5 km, valor esse que
ultrapassa de forma significativa o ponto de encontro do rio Macaé com o Oceano
Atlântico. A Fig. 5.37 apresenta a simulação desta situação, na qual foram adotados
os parâmetros descritos na Tabela 5.4.
Figura 5.37: Comportamento do traçador depois de decorridos 10.000 s de seu
lançamento na margem do rio.
Verifica-se, ao comparar as Fig. 5.36 e 5.37, que a pluma do traçador com o
decorrer do tempo (Fig. 5.36), se mostra mais dispersiva em relação à transversal
(Fig. 5.37), porém, a mesma se localiza bem próxima à margem de lançamento.
Com isso, o pico de concentração do traçador é mais acentuado quando o
lançamento ocorre nas margens do rio do que quando ocorre no centro do mesmo.
Esse comportamento era de se esperar devido ao comprimento de mistura para a
completa homogeneização do traçador ser significativamente superior.
99
6 – CONCLUSÕES E TRABALHOS FUTUROS
6.1 – Conclusões
Foram realizadas diversas simulações, gerando cenários hipotéticos para a
injeção da carga de poluentes em rios, avaliando-se uma situação real, o
lançamento instantâneo no baixo Macaé.
Nas primeiras simulações foi avaliada a consistência do modelo aqui
implementado. Analisando a Fig. 5.1, conclui-se que quanto menor o valor de
x
e
y
maior se torna a pico de concentração, o que era esperado, pois com a redução
da malha, o erro de truncamento vai diminuindo devido ao número de Courant ir se
aproximando de 1, atenuando inclusive a falsa difusão.
Também se verifica que além de apresentar um comportamento menos
dispersivo, a redução dos valores de
x
e
y
faz com que a simulação do
transporte advectivo do traçador torne-se menos eficaz.
De acordo com as simulações representadas pelas Figs. 5.2 a 5.13, verificou-
se a resposta do comportamento da pluma de traçador aos valores atribuídos ao
coeficiente de dispersão transversal e, como era de se esperar, constatou-se que
quanto maior esse coeficiente, maior foi a atenuação da pluma. Igualmente, as Figs.
5.14 a 5.25 permitiram avaliar o comportamento da concentração ao longo do tempo
somente com relação à variação do coeficiente de dispersão longitudinal. Analisando
o comportamento da pluma observa-se considerável sensibilidade na estrutura da
mesma com o aumento do coeficiente de dispersão longitudinal, sensibilidade essa
que se acentua com o transcorrer do tempo.
Verificou-se ainda, conforme observado nas Figs. 5.2 a 5.25, uma grande
sensibilidade da amplitude da curva de concentração a pequenas variações dos
coeficientes de dispersão, tanto transversal quanto longitudinal.
Foram realizadas também comparações entre as observações experimentais
e os resultados gerados pelo modelo.
Para fins de análise, foram realizadas simulações com diferentes malhas
adotadas a fim de minimizar o efeito do erro de truncamento, bem como uma
variação dos termos dispersivos e advectivos com o intuito de se verificar o melhor
100
ajuste numérico em relação aos dados experimentais coletados no trabalho de
campo. As Figs. 5.26 a 5.29 apresentaram as variações desses parâmetros, assim
como diferentes malhas utilizadas.
Diante das simulações, conclui-se que os parâmetros que mais adequam o
modelo computacional ao trabalho de campo foram os que geraram os resultados
apresentados na Fig. 5.29, na qual constata-se que os valores observados e
calculados numericamente possuem uma discrepância após o pico de concentração.
Isso pode ser em decorrência de uma não homogeneização total da concentração
na vertical ou de algum fator de decaimento do sal, o contemplado na simulação,
o que motiva futuras investigações.
Para verificar o melhor ponto de lançamento de poluentes em cursos d’águas,
foi feita uma comparação entre uma injeção instantânea do traçador no centro do rio
e uma em sua margem.
Com isso, analisando as Figs. 5.30 a 5.35, verificou-se que, decorrido os
mesmos intervalos de tempo (136 s), a Fig. 5.35 apresenta um pico de concentração
mais baixo comparado ao lançamento na margem, além de apresentar uma resposta
dispersiva mais acentuada. Conclui-se dessa forma que um lançamento nessa
posição é menos prejudicial ao ambiente comparado ao mesmo lançamento na
margem, o que é ratificado pelas Fig. 5.36 e 5.37.
Por último, destaca-se que a formulação e modelagem utilizadas, apesar de
adotarem algumas simplificações, conseguiram representar satisfatoriamente
fenômenos de dispersão de poluentes, modelando o pico de concentração com
aceitável precisão. Em decorrência disso, a abordagem adotada aqui apresenta-se
como uma valiosa ferramenta no processo de avaliação de impacto ambiental de
lançamento de efluentes em corpos d’água.
6.2 – Proposta para trabalhos Futuros
Os coeficientes dispersivos utilizados nas simulações deste trabalho foram
baseados na literatura sobre o tema. Porém, essas estimativas dadas pelas
equações de Fischer (1979) e Elder (1959) que expressam tanto o coeficiente de
dispersão transversal, Eq. (3.7), quanto o coeficiente de dispersão longitudinal, Eq.
(3.9), possuem uma margem de erro de
±
50%. Essa incerteza representa uma
severa limitação de ordem prática à metodologia adotada aqui.
101
Devido a essa faixa aceitável de variação, muitas vezes é difícil obter-se uma
melhor estimativa para esses coeficientes. Embora essa obtenção possa se dar por
tentativas e erros, sendo necessário para isso alterações buscando um melhor
ajuste dos resultados simulados com os experimentais, como abordado aqui neste
trabalho, métodos mais eficientes e precisos podem ser desenvolvidos através da
aplicação de problemas inversos, tema que motiva futuros estudos.
102
REFERÊNCIAS BIBLIOGRÁFICAS
AMARAL, K. J. Estuário do Rio Macaé: modelagem computacional como ferramenta
para o gerenciamento integrado de recursos hídricos. 2003. Dissertação (Mestrado
em Engenharia Civil Instituto Alberto Luiz Coimbra de Pós-Graduação e Pesquisa,
Universidade Federal do Rio de Janeiro, Rio de Janeiro, 2003.
ANDERSON, D. A.; TANNEHILL, J. C.; PLETCHER, R. H. Computational fluid
mechanics and heat transfer. New York: Hemisphere, 1984.
BARBOSA JR., A. R.; SILVA, G. Q.; DEVENS, J. A.; NEVES, B. V. B. Métodos
diretos de determinação do coeficiente de dispersão longitudinal em cursos d’água
naturais. Parte 2: Aplicação e comparação dos métodos. Revista da Escola de
Minas, Ouro Preto, v. 58, n.2, p. 209-214, jul./set. 2005.
BORTOLI, A. L. de. Introdução à dinâmica de fluidos computacional. Porto Alegre:
Universidade Federal do Rio Grande do Sul, 2000.
BRAGA, B; HESPANHOL, B.; CONEJO, J.G.L.; BARROS, M.T.L.; SPENCER, M.;
PORTO, M.; NUCCI, N.; JULIANO, N.; EIGER, S. Introdução à engenharia
ambiental. 2. ed. São Paulo: Pearson, 2005.
CONSELHO NACIONAL DO MEIO AMBIENTE. Resolução N
o
357 de 17 de março
de 2005. Disponível em: <www.mma.gov.br/conama/res/res05/res35705.pdf>.
Acesso em 15 dez. 2008.
CONSÓRCIO INTERMUNICIPAL DA MACRO REGIÃO AMBIENTAL 5 MRA 5.
Relatório de constituição do comitê de bacia do Macaé. Macaé, 2002.
COSTA, H. Subsídios para gestão dos recursos hídricos das bacias hidrográficas
dos rios Macacu, São João, Macaé e Macabu. Rio de Janeiro: Secretaria de Estado
de Meio Ambiente e Desenvolvimento Sustentável (SEMADS), 1999.
DEVENS, J. A. Quantificação do coeficiente de dispersão longitudinal em pequenos
cursos d’água naturais com o uso de traçador ambientalmente neutro. 2006.
Dissertação (Mestrado em Engenharia Ambiental) - Universidade Federal de Ouro
Preto, Ouro Preto, 2006.
EIGER, S. Qualidade da água em rios e estuários. In: PORTO, R.L. Hidrologia
ambiental. São Paulo: USP, 1991. Coleção Associação Brasileira de Recursos
Hídricos, v.3.
ELDER, J. W. The dispersion of marked fluid in turbulent shear flow. Journal of Fluid
Mechanics, 1959. v. 5, p. 544-560.
FERZIGER, J. H.; PERIC, Milovan. Computational methods for fluid dynamics. 3. ed.
New York: Springer, 2002.
103
FISCHER, H.B.; IMBERGER, J.; LIST, E.J.; KOH, R.C.Y.; BROOKS, N.H.;
FISCHER, H.B. Mixing in inland and coastal waters. New York: Academic Press,
1979.
FLETCHER, C. A. J. Computational techniques for fluid dynamics, v.1, 2.ed. Berlin:
Springer, 1991.
FORTUNA, A. O. Técnicas computacionais para dinâmica dos fluidos. São Paulo:
EdUSP, 2000.
GOOGLE EARTH. Disponível em: <http://earth.google.com/>. Acesso em: 21 jan.
2009.
HORRITT, M.S.; BATES, P.D.; MATTINSON, M.J. Effects of mesh resolution and
topographic representation in 2D finite volume models of shallow water fluvial flow.
Journal of Hydrology, v. 329, p. 306-314, sept. 2006.
INCROPERA, F. P. Fundamentals of heat and mass transfer. 6. ed. New York:
Hemisphere, 1992.
LUGON Jr., J.; RODRIGUES, P. P. G. W.; SILVA NETO A. J. Assessment of
dispersion mechanisms in rivers by means of an inverse problem approach. Inverse
Problems in Science and Engineering, v.16, n.8, p. 967-979, dec. 2008.
MALALASEKERA, W.; VERSTEEG, H. K. An introduction to computational fluid
dynamic: the finite volume method. London: Longman, 1995.
MALISKA, C. R. Transferência de calor e mecânica dos fluidos computacional. 2. ed.
Rio de Janeiro: LTC, 2004.
MANCUSO, P. C. S.; SANTOS, H.F. Reuso da água. Associação Brasileira de
Engenharia Sanitária e Ambiental. São Paulo: Manole, 2003.
MARTIN, J. L.; MCCUTCHEON. Hydrodinamics and transport for watter quality
modeling. New York: Lewis, 1998.
MIRANDA, L. B.; CASTRO, B. M.; KJERFVE, B. Princípios de oceanografia física de
estuários. São Paulo: Editora Universidade de São Paulo, 2002.
OPPA, L. F. Utilização de modelo matemático de qualidade da água para análise de
alternativas de enquadramento do rio Vacacaí Mirim. 2007. Dissertação (Mestrado
em Engenharia Civil) - Universidade Federal de Santa Maria, Santa Maria, 2007.
PATANKAR, S. V. Numerical heat transfer and fluid flow. New York: Hemisphere,
1980.
PELISSARI, V. B. e SARMENTO, R. Vazão ecológica para o rio Santa Maria da
Vitória, ES. In: SIMPÓSIO ESTADUAL SOBRE SANEAMENTO E MEIO AMBIENTE
/ SIMPÓSIO BRASILEIRO DE RECURSOS HÍDRICOS, 5., 2003, Vitória. [Anais...].
Vitória, 2003.
104
PLANO PRELIMINAR DE RECURSOS HÍDRICOS DA BACIA DO RIO MACAÉ.
Relatório, Rev.1 : Diagnóstico da situação atual dos recursos hídricos da bacia do rio
Macaé. Rio de Janeiro: FGV, 2004.
RIGO, D.; TEIXEIRA, E.C. Emprego de traçadores no projeto e otimização de
unidades de tratamento de água e efluentes. In: CONGRESSO BRASILEIRO DE
ENGENHARIA SANITÁRIA E AMBIENTAL, 18., Salvador, 1995. [Anais...]. Salvador,
1995.
Rio Macaé – Hidrologia. Disponível em:
<http://www.macae.rj.gov.br/semaph/riomacae_hidro.htm>. Acesso em: 24 nov.
2008.
RODRIGUES, P.P.G.W.; BARNES, J.; UPSTILL-GODDARD, R.C. Simulating
estuarine nitrous oxide production by means of a dynamic model. Marine Pollution
Bulletin, v.54, p.164-172, 2007.
ROSMAN, P. C. C. Os modelos para recursos hídricos. In: MAGRINI, A. Santos.
Gestão ambiental em recursos hídricos. v. 3, cap. 2 (Parte III). Rio de Janeiro:
Instituto Virtual Internacional de Mudanças Globais ; COPPE/UFRJ, 2001.
ROSMAN, P. C. C. Um sistema computacional de hidrodinâmica ambiental.
In:ROSMAN, P. C. C. et al. Métodos numéricos em recursos hídricos 5. Rio de
Janeiro: Associação Brasileira de Recursos Hídricos, 2001. Cap. 1.
SANTANA, A. A. Identificação de parâmetros em problemas de advecção-difusão
combinando a técnica do operador adjunto e métodos de volumes finitos de alta
ordem. 2007. Tese (Doutorado em Matemática Aplicada) - Universidade de São
Paulo, São Paulo, 2007.
SLEIGH, P. A.; GASKELL, P. H.; BERZINS, M.; WRIGHT, N. G. An unstructured
finite-volume algorithm for predicting flow in rivers and estuaries. Computers &
Fluids, v. 27, n.4, p. 479-508, may 1998.
TELLES, W. R.; SILVA NETO, A. J.; LUGON, JR. J.; RODRIGUES, P. P. G. W.
Simulação do comportamento de uma pluma de traçador conservativo via o método
dos volumes finitos. In: ENCONTRO DE MODELAGEM COMPUTACIONAL, 11,
2008, Volta Redonda. [Anais...]. Volta Redonda: UERJ/UFF, 2008.
TSANIS, I.; SHEN, H.; VALEO, C. Environmental hydraulics: hydrodynamic and
pollutant transport models of lakes and coastal waters with engineering applications,
v.56. [Amsterdam]: Elsevier, 2007.
TUTORIAL DE MATLAB. Universidade Federal de Mato Grosso do Sul. Disponível
em: <http://www.del.ufms.br/tutoriais/matlab/apresentacao.htm#matlab>. Acesso em
26 jan. 2009.
ZANCUL, M. S. Atualidades: água e saúde. Revista Eletrônica de Ciências, São
Carlos, n.32, abr. 2006.
Livros Grátis
( http://www.livrosgratis.com.br )
Milhares de Livros para Download:
Baixar livros de Administração
Baixar livros de Agronomia
Baixar livros de Arquitetura
Baixar livros de Artes
Baixar livros de Astronomia
Baixar livros de Biologia Geral
Baixar livros de Ciência da Computação
Baixar livros de Ciência da Informação
Baixar livros de Ciência Política
Baixar livros de Ciências da Saúde
Baixar livros de Comunicação
Baixar livros do Conselho Nacional de Educação - CNE
Baixar livros de Defesa civil
Baixar livros de Direito
Baixar livros de Direitos humanos
Baixar livros de Economia
Baixar livros de Economia Doméstica
Baixar livros de Educação
Baixar livros de Educação - Trânsito
Baixar livros de Educação Física
Baixar livros de Engenharia Aeroespacial
Baixar livros de Farmácia
Baixar livros de Filosofia
Baixar livros de Física
Baixar livros de Geociências
Baixar livros de Geografia
Baixar livros de História
Baixar livros de Línguas
Baixar livros de Literatura
Baixar livros de Literatura de Cordel
Baixar livros de Literatura Infantil
Baixar livros de Matemática
Baixar livros de Medicina
Baixar livros de Medicina Veterinária
Baixar livros de Meio Ambiente
Baixar livros de Meteorologia
Baixar Monografias e TCC
Baixar livros Multidisciplinar
Baixar livros de Música
Baixar livros de Psicologia
Baixar livros de Química
Baixar livros de Saúde Coletiva
Baixar livros de Serviço Social
Baixar livros de Sociologia
Baixar livros de Teologia
Baixar livros de Trabalho
Baixar livros de Turismo