Download PDF
ads:
S
imulação de Sistemas de Climatização
Combinada à Simulação Higrotérmica de
Edificações
Rogério Marcos Barbosa
P
ontifícia Universida
de Católica do Para
Pós-Graduação em Engenharia Mecânica
Programa de Pós-Graduação em Engenharia Mecânica
Trabalho apresentado como parte dos requisitos para a obtenção do título de Mestre em
Engenharia Mecânica na Pontifícia Universidade Católica do Paraná, Curitiba, Paraná, Brasil.
Curitiba, 4 de outubro de 2006
por
ads:
Livros Grátis
http://www.livrosgratis.com.br
Milhares de livros grátis para download.
APROVAÇÃO
Nome: Rogério Marcos Barbosa
Titulação: Mestre em Engenharia Mecânica
tulo da Tese: Simulação de Sistemas de Climatização Combinada à Simulação
Higrotérmica de Edificações
Banca Examinadora:
Mediador: Dr. Mediador do Comitê de Tese
Dr. Primeiro Membro do Comitê
Departamento - Instituição
Dr. Segundo Membro do Comitê
Departamento - Instituição
Dr. Terceiro Membro do Comitê
Orientador
Departamento - Instituição
Dr. último membro do comitê
Examinador Externo
Departamento - Instituição
ads:
ii
Resumo
Devido à inexistência de programas de simulação de edificações capazes de
modelar em detalhe tanto a transferência combinada de calor, vapor e líquido em
elementos porosos de edificações como sistemas centrais de climatização,
elaborou-se um algoritmo computacional genérico e flexível para simulação
integrada de sistemas de climatização do tipo expansão-indireta com edificações
multizonas.
Nesse algoritmo, foram descritos modelos matemáticos para o sistema
primário, compreendendo chiller, torre de resfriamento e bombas de circulação
primária e de condensação. Para o sistema secundário, foram considerados
modelos para a serpentina de resfriamento e desumidificação, umidificador,
ventilador e caixa de mistura. Esses modelos matemáticos foram integrados ao
programa de simulação de edificações DOMUS, permitindo a realização de
simulação higrotérmica de edificações combinada à simulação do sistema e da
planta de climatização.
Resultados de simulação são apresentados na seguinte ordem: i)
comparação entre os programas DOMUS e VisualDOE para verificar o desempenho
dos modelos do sistema de climatização, indicando uma concordância razoável
entre os programas; ii) comparação entre sistemas primários resfriados a ar e a
água, ilustrando a flexibilidade do uso do algoritmo e as vantagens do sistema à
água; iii) análise da influência dos fenômenos de adsoão e dessoão no cálculo
de carga térmica e no consumo de energia, mostrando que a desconsideração
desse femeno pode resultar em superdimensionamento do sistema de
climatização em 13% e subestimativa do consumo de energia em 4% para o estudo
de caso definido neste trabalho.
iii
Abstract
Due to the nonexistence of a building simulation program that can
simulate in details the combined heat, vapor and liquid transfer in porous
elements and the HVAC systems, a generic and flexible computational algorithm
has been elaborated in order to integrate models for both HVAC systems and
multizone building models.
In that algorithm, mathematical models for the primary system
composed of chiller, cooling tower, primary pumps and condensation pumps
have been described. For the secondary system, models for the cooling and
dehumidifying coil, humidifier, fan and mixing box have been considered. Those
mathematical models have been integrated into the whole-building simulation
program DOMUS, allowing to perform hygrothermal building simulation
combined to HVAC systems and plant simulation.
Simulation results are presented in the following order: i) comparison
between DOMUS and VisualDOE programs to verify the performance of HVAC
systems models, which has indicated a reasonable agreement between both
programs; ii) comparison between air and water cooled primary systems,
illustrating the flexibility of the use of the algorithm and the advantages of the
water-based system. iii) analysis of the influence of the adsorption and
desorption phenomena on the calculations of thermal loads and energy
consumption, showing that the disregard of moisture may oversize the HVAC
system in 13% and underestimate the cooling energy consumption in 4% for the
case study defined in this work.
iv
Dedico este trabalho:
Ao meu Pai (em memória).
A minha Mãe por estar sempre me apoiando e
incentivado.
A minha namorada, Marianne Frank, que soube me dar
força e apoio nas horas diceis.
v
Agradecimentos
Ao meu orientador Prof. Dr. Nathan Mendes pela sua constante
orientação e incentivo para o desenvolvimento deste trabalho.
A toda a minha família pela compreensão e apoio.
A minha namorada, Marianne Frank, pela força e paciência nas horas
diceis.
Ao Fernando Simon Westphal do LABEEE da UFSC pela colaboração e
disposição.
Ao estagiário Bruno Leite Reis pelo grande apoio em programação.
Aos professores do Programa de Pós-Graduação em Engenharia
Mecânica da PUC-PR.
A todos os companheiros do Laboratório de Sistemas Térmicos da
PUCPR.
A empresa ANNEMOS pela colaboração e fornecimento de material
didático.
A CAPES pelo apoio financeiro.
vi
Sumário
Aprovação i
Resumo ii
Abstract iii
Publicações Erro! Indicador não definido.
Prefácio Erro! Indicador não definido.
Sumário vi
Lista de Figuras ix
Lista de Tabelas xiii
Lista de Símbolos xv
Catulo 1
Introdução 1
1.1 Sistemas de Condicionamento de Ar.............................................................................4
1.2 Revisão Bibliográfica.....................................................................................................7
1.3 Contextualização..........................................................................................................9
1.4 Descrição Sumária do Presente Trabalho...................................................................11
Catulo 2
Sistema Primário 14
2.1 Modelo do Resfriador de Líquido (Chiller)....................................................................14
2.1.1 Modelo DOE-2........................................................................................................16
2.1.1.1 Descrição do Modelo............................................................................................17
2.2 Modelo da Torre de Resfriamento...............................................................................23
2.2.1 Descrição do Modelo..............................................................................................24
2.2.2 Método para Calcular a Temperatura de Saída da Água.........................................27
Sumário
vii
2.2.3 Avaliação do Produto do Coeficiente Global de Transferência de Calor pela Área - UA
31
2.2.4 lculo da Temperatura de Saída da Água Atual e da Potência do Ventilador........34
2.3 Modelo da Bomba de Circulação de Água...................................................................37
2.3.1 Descrição Matemática.............................................................................................37
Catulo 3
Sistema Secundário 43
3.1 Modelo da Serpentina de Resfriamento.......................................................................43
3.1.1 Coeficiente de Transferência de Calor para o Escoamento Interno..........................46
3.1.2 Coeficiente de Conveão para Supercie Externa Seca........................................48
3.1.3 Coeficiente de Conveão para Supercie Externa Molhada...................................51
3.1.4 Eficiência de Supercies Aletadas..........................................................................52
3.1.5 Coeficiente Global de Transferência de Calor.........................................................58
3.1.6 Alise do Trocador de Calor: O Método da Efetividade NUT...............................60
3.1.7 Transferência de Calor na Serpentina com Superfície Seca....................................62
3.1.8 Transferência de Calor na Serpentina com Superfície Molhada...............................64
3.1.9 Transferência de Calor na Serpentina com Superfície Parcialmente Molhada.........70
3.1.10 Parâmetros da Serpentina de Resfriamento........................................................73
3.1.11 Fluxograma de lculo da Serpentina de Resfriamento.......................................74
3.2 Modelo do Umidificador Injeção de Vapor.................................................................75
3.2.1 Descrição Matemática.............................................................................................75
3.2.2 Fluxograma do Modelo do Umidificador..................................................................78
3.3 Modelo do Ventilador..................................................................................................79
3.3.1 Descrição Matemática.............................................................................................79
3.4 Modelo da Caixa de mistura........................................................................................84
3.4.1 Descrição Matemática.............................................................................................84
Catulo 4
Procedimento de Simulação 86
4.1 Dados Climáticos........................................................................................................86
4.2 Descrição das Edificações..........................................................................................88
4.2.1 Edificação Monozona (EMNZ).................................................................................88
4.2.2 Edificação Multizona (EMTZ)..................................................................................89
4.3 Carga Térmica das Edificações...................................................................................91
4.3.1 Carga Térmica da Edificação Multizona..................................................................91
4.3.2 Carga Térmica da Edificação Monozona.................................................................95
4.4 Descrição dos Sistemas de Climatização....................................................................97
4.4.1 Sistema Primário com Condensação a Ar (SP-AR).................................................97
4.4.2 Sistema Primário com Condensação a Água (SP-AGUA)......................................100
4.4.3 Sistema Secundário da Edificação MonoZona......................................................104
4.4.4 Sistema Secundário da Edificação Multizona........................................................106
Sumário
viii
Catulo 5
Resultados 109
5.1 Comparação com VisualDOE....................................................................................110
5.1.1 Resultados sem Sistema de Climatização.............................................................110
5.1.2 Resultado com Sistema de Climatização...............................................................114
5.2 Alise de Resultados da Edificação Multizona.........................................................119
5.2.1 Resultados com o SP-AR......................................................................................119
5.2.2 Alise Comparativa do Consumo entre o SP-AR e SPGUA.............................126
5.3 Alise do Efeito da Umidade nas Paredes...............................................................132
Catulo 6
Conclusões 138
Referências Bibliogficas 143
Índice Remissivo 150
Anexo A
Catálogos de Chillers 151
A.1 Catálogo do Chiller com Condensação a Ar..............................................................152
A.2 Catálogo do Chiller com Condensação a Água.........................................................155
Anexo B
Catálogo de Bomba 158
ix
Lista de Figuras
Figura 1.1 Elementos principais da simulação de energia de edificações...............................3
Figura 1.2 Esquema de um sistema de climatização de expansão indireta.............................5
Figura 2.1 Exemplo de uma curva de capacidade (CAPFT) em função das temperaturas....18
Figura 2.2 Exemplo de uma curva de eficiência (EIRFT) em função das temperaturas.........19
Figura 2.3 Exemplo de uma curva de eficiência em função do PLR (part-loa ratio)...............19
Figura 2.4 Fluxograma do modelo do chiller com condensação a ar.....................................21
Figura 2.5 Fluxograma do modelo do chiller com condensação a água................................22
Figura 2.6 Representação esquemática de uma torre de resfriamento em contra
corrente..............................................................................................................23
Figura 2.7 Esquema simplificado da torre de resfriamento...................................................27
Figura 2.8 Fluxograma para calcular a temperatura de saída da torre..................................30
Figura 2.9 Diagrama de fluxo para estimar o coeficiente UA................................................31
Figura 2.10 Fluxograma do método para estimar o coeficiente UA.........................................33
Figura 2.11 Fluxograma para determinar a temperatura de saída da água e a potência do
ventilador............................................................................................................36
Figura 2.12 Representação esquemática de uma bomba de circulação de água....................37
Figura 2.13 Características do comportamento de uma bomba centrífuga (Stoecker,
1985)..................................................................................................................39
Figura 2.14 Exemplo de uma curva da fração de potência em carga total (FFLP) em
função da razão de carga parcial (PLR)...............................................................40
Figura 2.15 Fluxograma do modelo da bomba de circulação..................................................42
Figura 3.1 Representação esquemática de uma serpentina de resfriamento........................44
Figura 3.2 Comparação das temperaturas do ar de insuflamento obtida pelos modelos e
medidas no sistema real para o 29 de Julho (Nassif et al., 2003).........................46
Figura 3.3 Fator de Colburn e fator de atrito num trocador de calor de tubos circulares
aletados (Kays e London, 1984)..........................................................................50
Lista de Figuras
x
Figura 3.4 Fator de Colburn e fator de atrito num trocador de calor de tubos circulares e
aletas connuas (Kays e London, 1984)..............................................................50
Figura 3.5 Ilustração esquemática de tubos aletados (Kuehn et al., 1998)............................52
Figura 3.6 Ilustração esquemática de uma aleta em barra (Kuehn et al., 1998)....................53
Figura 3.7 Eficiência de uma aleta em barra (Kuehn et al., 1998).........................................55
Figura 3.8 Ilustração esquemática de aletas planas circulares (a) tendo uma espessura
uniforme, e (b) com uma seção transversal constante (Kuehn et al., 1998)..........56
Figura 3.9 Eficiência de uma aleta plana circular de espessura uniforme (Kuehn et al.,
1998)..................................................................................................................56
Figura 3.10 Eficiência de uma aleta plana circular com uma seção transversal uniforme
(Kuehn et al., 1998).............................................................................................57
Figura 3.11 Método de aproximação para tratar uma aleta plana retangular de espessura
uniforme em termos de uma aleta plana circular de mesma área (Kuehn et al.,
1998)..................................................................................................................58
Figura 3.12 Esquema simplificado da serpentina de resfriamento com a superfície seca........62
Figura 3.13 Fluxograma da serpentina com supercie seca...................................................64
Figura 3.14 Esquema simplificado da serpentina de resfriamento com a superfície
molhada..............................................................................................................65
Figura 3.15 Fluxograma da serpentina com supercie molhada.............................................69
Figura 3.16 Esquema simplificado da serpentina de resfriamento com a superfície
parcialmente molhada.........................................................................................70
Figura 3.17 Fluxograma da serpentina parcialmente molhada................................................72
Figura 3.18 Representação em corte da serpentina de resfriamento......................................73
Figura 3.19 Fluxograma de cálculo da serpentina de resfriamento.........................................74
Figura 3.20 Representação esquemática de um umidificador com injeção de vapor...............75
Figura 3.21 Fluxograma do modelo do umidificador com Injeção de vapor.............................78
Figura 3.22 Representação esquemática de um ventilador....................................................79
Figura 3.23 Curva de desempenho de ventilador...................................................................81
Figura 3.24 Fluxograma do modelo do ventilador...................................................................83
Figura 3.25 Esquema do processo de mistura.......................................................................84
Figura 4.1 Temperatura e umidade relativa da cidade de Belém para o mês de janeiro........87
Figura 4.2 Radiação solar total da cidade de Belém para o mês de janeiro..........................87
Figura 4.3 Características geométricas da edificação monozona..........................................89
Figura 4.4 Características geométricas da edificação multizona...........................................90
Figura 4.5 Carga térmica total máxima de cada mês da EMTZ.............................................92
Figura 4.6 Carga térmica total máxima de cada mês da EMNZ, obtida através do
programa DOMUS..............................................................................................95
Lista de Figuras
xi
Figura 4.7 Esquema do sistema primário com condensação a ar.........................................97
Figura 4.8 Curvas de capacidade (CAPFT) e de eficiência (EIRFT) em função das
temperaturas do chiller RTAA-70.........................................................................99
Figura 4.9 Curva da eficiência (EIRFPLR) em função das condições de carga parcial do
chiller RTAA-70...................................................................................................99
Figura 4.10 Esquema do sistema primário com condensação a água..................................100
Figura 4.11 Curvas de capacidade (CAPFT) e eficiência (EIRFT) em função das
temperaturas do chiller RTWA-70......................................................................102
Figura 4.12 Curva da eficiência (EIRFPLR) em função das condições de carga parcial do
chiller RTWA-70................................................................................................102
Figura 4.13 Esquema do sistema secundário da edificação monozona................................104
Figura 4.14 Esquema sistema secundário das zonas 5 e 6 da edificação multizona.............106
Figura 5.1 Comparação entre as temperaturas da zona obtidas através dos programas
VisualDoe e Domus, sem radiação solar e sem sistema de climatização, para
os primeiros 15 dias do mês de janeiro..............................................................110
Figura 5.2 Diferença relativa entre as curvas de temperatura do DOMUS e VisualDOE
em função do número de horas no ano, sem considerar a radiação solar..........111
Figura 5.3 Comparação entre as temperaturas da zona obtidas através dos programas
VisualDOE e DOMUS, com radiação solar, para os primeiros 15 dias do mês
de janeiro..........................................................................................................112
Figura 5.4 Diferença relativa entre as curvas de temperatura do DOMUS e VisualDOE
em função do número de horas no ano, considerando a radiação solar.............113
Figura 5.5 Comparação entre as temperaturas da zona obtidas através do programa
VisualDOE e DOMUS, sem radiação solar e sem sistema de climatização,
para os primeiros 15 dias do mês de janeiro......................................................115
Figura 5.6 Consumo de energia elétrica mensal obtido através dos programas DOMUS e
VisualDOE........................................................................................................116
Figura 5.7 Diferença relativa entre o consumo de energia elétrica mensal obtido através
dos programas DOMUS e VisualDOE...............................................................116
Figura 5.8 Comparação do consumo de energia elétrica anual de cada equipamento e
total obtido através dos programas DOMUS e VisualDOE.................................117
Figura 5.9 Diferença relativa entre o consumo de energia elétrica anual de cada
equipamento e total obtido através dos programas DOMUS e VisualDOE.........118
Figura 5.10 Variação da temperatura e umidade relativa das zona 1, 2 e 3 para o dia 14
de janeiro..........................................................................................................120
Figura 5.11 Variação da temperatura e umidade relativa das zona 4, 5 e 6 para o dia 14
de janeiro..........................................................................................................120
Lista de Figuras
xii
Figura 5.12 Variação da capacidade de resfriamento total, sensível e latente da
serpentina na zona 1.........................................................................................122
Figura 5.13 Variação da temperatura e umidade relativa na entrada da serpentina da zona
1.......................................................................................................................122
Figura 5.14 Variação da capacidade de resfriamento sensível, latente e total na
serpentina da zona 1 no período das 8:00 às 8:30 horas...................................123
Figura 5.15 Variação da capacidade de resfriamento sensível, latente e total na
serpentina da zona 1 no período das 16:00 às 16:30 horas...............................124
Figura 5.16 Variação da umidade absoluta (a) e da temperatura (b) na saída do
componentes 4do sistema secundário, referente à zona 1, no período das
16:00 às 16:30 horas.........................................................................................125
Figura 5.17 Comparação entre o consumo de energia elétrica mensal do chiller com
condensação a ar e a água...............................................................................126
Figura 5.18 Comparação entre a curva de eficiência em função da razão de carga parcial
(EIRPLR) do chiller a Ar e a Água.....................................................................128
Figura 5.19 Média mensal da temperatura externa..............................................................129
Figura 5.20 Comparação do consumo de energia elétrica anual de cada equipamento e
do total dos sistemas primários com condensação a ar e a água.......................130
Figura 5.21 Diferença relativa entre o consumo de energia elétrica anual de cada
equipamento e do total dos sistemas primários com condensação a ar e a
água.................................................................................................................131
Figura 5.22 Comparação entre as cargas térmicas máximas total de cada mês obtidas
através do nível 0 e do nível 5...........................................................................133
Figura 5.23 Variação da temperatura e umidade relativa dentro da zona 6, com sistema
de climatização, obtidas através do nível 0 e nível 5..........................................134
Figura 5.24 Perfis de temperatura nas paredes, às 8:00 e às 18:00 horas, para o nível 0 e
nível 5 com sistema de climatização (parede face norte)...................................135
Figura 5.25 Perfis de umidade relativa nas parede, às 8:00 e às 18:00 horas, para o nível
0, com e sem sistema de climatização (parede face norte)................................136
Figura 5.26 Comparação do consumo de energia anual entre o modelo do nível 0 e nível
5.......................................................................................................................137
xiii
Lista de Tabelas
Tabela 3.1 Relações de efetividade nos trocadores de calor (Incropera e Witt, 1992)...........61
Tabela 3.2 Parâmetros geométrico da serpentina de resfriamento........................................73
Tabela 4.1 Características físicas do concreto celular monolítico..........................................88
Tabela 4.2 Relação das janelas existentes na EMTZ............................................................90
Tabela 4.3 Relação de ocupantes, equipamentos e iluminação da EMTZ.............................91
Tabela 4.4 Relação do dia, mês e hora em que ocorreu a carga térmica máxima da
EMTZ e a temperatura e umidade relativa externa..............................................92
Tabela 4.5 Relação da vazão de ar externo e total para as zonas da EMTZ..........................93
Tabela 4.6 Relação das cargas térmicas devido a quantidade de ar externo introduzida
nas zonas da EMTZ............................................................................................94
Tabela 4.7 Valores de carga térmica total de cada zona da EMTZ........................................95
Tabela 4.8 Relação do dia e hora em que ocorreu a carga térmica máxima, do mês de
janeiro, da EMNZ e a temperatura e umidade relativa externa.............................96
Tabela 4.9 Relação da vazão de ar externo e total da EMNZ................................................96
Tabela 4.10 Relação da carga térmica devido a quantidade de ar externo introduzida na
EMNZ.................................................................................................................96
Tabela 4.11 Parâmetros de simulação do chiller com condensação a ar modelo RTAA-70.....98
Tabela 4.12 Coeficientes das curvas de capacidade e eficiência do chiller com
condensação a ar, obtidos através da regressão de dados de catálogo...............98
Tabela 4.13 Parâmetros de simulação das bombas de água gelada modelo Meganorm 40-
125...................................................................................................................100
Tabela 4.14 Parâmetros de simulação do chiller com condensação a água modelo RTWA-
70.....................................................................................................................101
Tabela 4.15 Coeficientes das curvas de capacidade e eficiência do chiller com
condensação a água, obtidos através da regressão de dados de catálogo........101
Tabela 4.16 Parâmetros de simulação das bombas de água gelada e de água de
condensação modelo Meganorm 40-125...........................................................103
Lista de Tabelas
xiv
Tabela 4.17 Parâmetros de simulação da torre de resfriamento modelo MD/3M...................103
Tabela 4.18 Parâmetros geométricos de simulação da serpentina de resfriamento e
desumidificação da edificação monozona..........................................................105
Tabela 4.19 Parâmetros de simulação do ventilador da edificação monozona......................105
Tabela 4.20 Parâmetros geométricos de simulação das serpentinas de resfriamento e
desumidificação da edificação multizona...........................................................107
Tabela 4.21 Parâmetros de simulação dos ventiladores da edificação multizona..................107
Tabela 4.22 Lógica do sistema de controle de temperatura e umidade das zona 5 e 6 da
edificação multizona..........................................................................................108
Tabela 4.23 Parâmetros de simulação do umidificador das zonas 5 e 6 da edificação
multizona..........................................................................................................108
Tabela 5.1 Valores dos ângulos de altitude solar e azimute solar do programa DOMUS e
VisualDOE, para o dia 07 de janeiro, e as diferenças relativas entre estes
valores..............................................................................................................114
Tabela 5.2 Valores do consumo de energia elétrica do chiller a ar e a água e da diferença
relativa entre estes valores................................................................................127
Tabela 5.3 Valores médios mensais das curvas CAPFT, EIRFT e EIRPLR e do PLR para
o chiller com condensação a ar e a água...........................................................128
xv
Lista de Símbolos
A
T
Área total de uma supercie (m
2
)
A
ff
Área mínima de escoamento (m
2
)
A
fr
Área frontal (m
2
)
A
f
Área de aleta (m
2
)
A
sup,ext
Área da superfície externa (m
2
)
A
sup,int
Área da supercie interna (m
2
)
A
t,ext
Área de tubo externa (m
2
)
A
t,int
Área de tubo interna (m
2
)
a Distância entre fileiras (m)
CAPFT Curva de capacidade em função das temperaturas (-)
c Distância entre as faces dos tubos (m)
c
p
Calor específico a pressão constante (J/kg K)
d
t,ext
Diâmetro externo do tubo (m)
d
t,int
Diâmetro interno do tubo (m)
d
h
Diâmetro hidráulico (m)
EIRFT Curva de eficiência em função das temperaturas (-)
EIRPLR Curva de eficiência em função das condições de carga parcial (-)
e Espessura da aleta (m)
F
t
Fator de incrustação para tubos (m
2
ºC/W)
G Velocidade mássica (kg/s m
2
)
g
ext
Coeficiente transferência de calor por convecção externo (W/m
2
K)
g
int
Coeficiente transferência de calor por conveão interno (W/m
2
K
h Entalpia específica do ar (J/kg)
j Fator de Colburn (-)
k Condutividade térmica (W/m K)
L Comprimento (m)
L
v
Calor latente de vaporização (J/kg)
Lista de Símbolos
xvi
Nu mero de Nusselt (-)
PLR razão de carga parcial (part-load-ratio) (-)
p - kyg
ext
/ para aletas secas; kyg
mext
/
,
para aletas molhadas (1/m)
Pot Potência (-)
Pr Número de Prandtl (-)
q Taxa de transferência de calor (W)
r
t,ext
Raio externo do tubo (m)
r
t,int
Raio interno do tubo (m)
R
ext
Resistência térmica da superfície externa (m
2
ºC/W)
R
f
Resistência térmica da aleta (m
2
ºC/W)
R
int
Resistência térmica da supercie interna (m
2
ºC/W)
R
p
Resistência térmica por condução no tubo (m
2
ºC/W)
Re mero de Reynolds (-)
St Número Stanton (-)
T Temperatura (ºC)
u velocidade (m/s)
u
max
Velocidade máxima (m/s)
u
f
Velocidade de face (m/s)
y metade da espessura da aleta (m)
Letras Gregas
η
f
- Eficiência da aleta (-)
η
sup,ext
- Eficiência da superfície externa (-)
µ - Viscosidade dimica do fluído (kg/s m)
ρ - Massa específica (kg/m
3
)
σ - Razão entre a área mínima da seção reta de um trocador de calor e a área frontal (-)
Subscritos
a Ar
b Base
bu bulbo úmido
ext Externo
e entrada
eev, sev entrada e saída do evaporador
ecd, scd entrada e saída do condensador
Lista de Símbolos
xvii
ext - externo
f - aleta
int Interno
ins - Insuflamento
m Valor médio, superfície molhada
p Parede
s Supercie seca, saída
set set-point
sen sensível
sp serpentina de resfriamento
t Tubo
tot Total
z - Zona
w - Água
Abreviações
EMTZ Edificação multizona.
EMNZ Edificação monozona.
SP-ÁGUA Sistema primário com condensação a água.
SP-AR Sistema primário com condensação a ar.
1
Capítulo 1
Introdução
A energia ou consumo de combusvel necessário em sistemas de
condicionamento de ar HVAC (Heating, Ventilation and Air Conditioning) tem um
impacto direto no custo de operação de uma edificação e um impacto indireto no
meio ambiente. A partir da cada de 70, com a crise mundial de energia,
muitos trabalhos de pesquisa foram iniciados com o objetivo de reduzir o
consumo de energia em edificações, com projetos direcionados ao
gerenciamento pelo lado da demanda (Demand-Side Management -DSM).
No Brasil, 46% do consumo de energia elétrica é atribuído a edificações
residenciais, comerciais e blicas (MME, 2003), sendo que nas edificações
comerciais a maior parte da energia consumida é devido principalmente aos
sistemas de climatização, o que aponta para uma importante direção de tema de
pesquisa.
Os aspectos relacionados ao consumo de energia de grandes edificações
residenciais e comerciais levaram ao desenvolvimento de programas de
computador capazes de analisar cenários complexos. Os objetivos eram a
redução e o uso racional de energia nas construções, caracterizados por vários
fatores que poderiam ser levados em conta tais como a geometria da edificação,
padrões de uso, iluminação e os sistemas de climatização.
A necessidade de conhecer o comportamento detalhado do fenômeno
Capítulo 1: Introdução
2
sico e o grande avanço dos computadores conduziram vários grupos de
pesquisa a desenvolverem programas de simulação nos anos 70 e 80 tais como
NBSLD, HVACSIM, DOE-2, BLAST, ESP-r e RADIANCE. Recentemente com o
avanço extraordinário do hardware e software de computadores, programas de
CFD (Computational Fluid Dynamic) começaram a ser desenvolvidos e usados
intensamente tais como FLUENT, CFX e PHOENICS. Os resultados
encontrados por esses programas de simulação podem ser usados diretamente
no entendimento do comportamento térmico de edificações, fornecendo dados
tais como a distribuição da temperatura do ar, a velocidade do ar e campos de
pressão e umidade para alises de conforto ambiental (Mendes et al., 2001a).
A simulação de energia em edificações é baseada nos métodos
tradicionais de cálculos de carga e de energia em projetos de aquecimento,
ventilação e condicionamento de ar (HVAC) (ASHRAE,1993). A finalidade do
cálculo da carga é determinar os picos de carga térmica nos projetos dos
sistemas de climatização para dimensionar e projetar os equipamentos e a
planta; a finalidade do cálculo da energia é estimar a necessidade de energia da
edificação para conhecer as cargas necessárias durante todo o ano. A
simulação de energia em edificações é realizada para analisar o rendimento
enertico de uma edificação dinamicamente e para entender a relação entre os
parâmetros de projeto e as características de uso da energia da edificação.
Informações detalhadas sobre o consumo de energia da edificação, as
condições ambientais internas e os equipamentos e o rendimento da planta
podem ser obtidas para uma avaliação do projeto e da seleção do sistema.
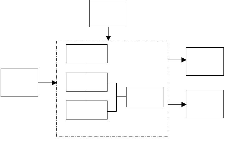
A Figura (1.1) mostra os elementos principais da simulação de energia em
edificações (Clarke e Irving, 1988). Dentro do sistema de simulação, são usados
quatro modelos sicos para representar os principais componentes que afetam
o fluxo de energia da edificação:
Modelo da edificação.
Modelo do sistema HVAC (sistema secundário).
Modelo da planta HVAC (sistema primário).
Modelo do sistema de controle.
Capítulo 1: Introdução
3
As entradas para o sistema de simulação são as descrições da edificação
e os parâmetros de projeto; a condição de contorno é o arquivo climático do
ambiente externo. Os dados de saída são o consumo de energia, pico de
demanda e as condições ambientais internas. Geralmente, o objetivo da
modelagem é fornecer condições internas para conforto térmico mantendo
níveis de consumo de energia aceitáveis - para otimizar o rendimento do
sistema ou para comparar diferentes opções de projeto baseado em seus custos
de instalação.
Figura 1.1 Elementos principais da simulação de energia de edificações.
Para implementar sistemas de simulação em programas de computador,
podem ser utilizadas diferentes aproximações de modelagens e técnicas de
solução (Hensen, 1995; Clarke, 1985). Embora o método e o nível de detalhe
possam variar em diferentes programas, a aproximação geral para a simulação
enertica é similar.
Influência
do clima
Parâmetros
de projeto
da edificação
Modelo da
edificação
Modelo do
sistema HVAC
Modelo da
planta HVAC
Sistema de
controle do
modelo
Condições
ambientais
internas
Rendimento
enertico
Simulação do Sistema
Capítulo 1: Introdução
4
1.1 Sistemas de Condicionamento de Ar
As principais funções de um sistema de condicionamento de ar (AC) são
aquecer, resfriar, umidificar, desumidificar e distribuir o ar condicionado
apropriadamente limpo para compensar as cargas latentes e sensíveis impostas
ao ambiente condicionado.
Os sistemas de condicionamento de ar são divididos em dois grupos, os
quais são denominados: sistema de expansão direta e sistema de expansão
indireta (água gelada).
Os sistemas de expansão direta são denominados desta forma, pois o
calor do ar é retirado diretamente por um sistema de refrigeração. Como
exemplos de sistemas de expansão direta têm-se: sistema Mini Split, sistema
Self Contained e central compacto com condensador resfriado a ar ou a água e
com condensador remoto resfriado a ar.
Os sistemas de condicionamento de ar do tipo expansão indireta, também
conhecidos como sistemas de água gelada, utilizam a água como líquido
intermediário para retirar calor dos ambientes condicionados. Este tipo de
sistema apresenta dois subsistemas interconectados, que são denominados de
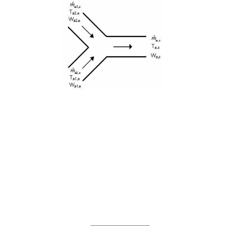
sistemas primário e secunrio, conforme mostrado na Fig. (1.2).
O sistema secundário, também conhecido como fan-coil, é o responsável
direto pelo condicionamento do ambiente. Pode ser instalado diretamente no
local, ou próximo ao ambiente, sendo que neste último caso emprega-se uma
rede de dutos para fazer a distribuição do ar. Os sistemas sicos secundários
são do tipo zona única ou múltiplas zonas, ou seja, podem condicionar apenas
um ambiente ou vários ao mesmo tempo. Podem ser projetados para fornecer ar
a volume constante ou a volume variável. O condicionador de ar é
freqüentemente instalado fora da área climatizada, podendo estar adjacente ao
sistema primário ou a consideráveis distâncias (ASHRAE 1996). O sistema
secundário (Fig. (1.2)) pode ser composto por diversos componentes, tais como:
caixa de mistura, a qual tem a finalidade de fazer a mistura do ar externo com o
ar de retorno; serpentina de resfriamento ou de aquecimento, onde circula água
Capítulo 1: Introdução
5
gelada ou quente, responsável pelo resfriamento ou aquecimento do ar;
umidificador, o qual faz a umidificação do ar quando existe a necessidade
através da adição de
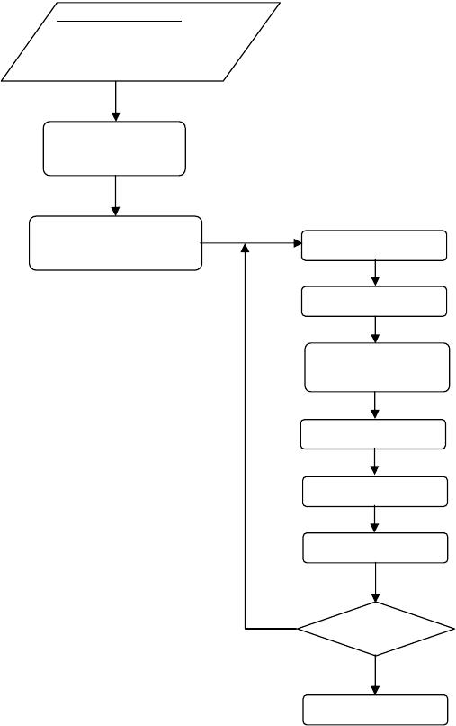
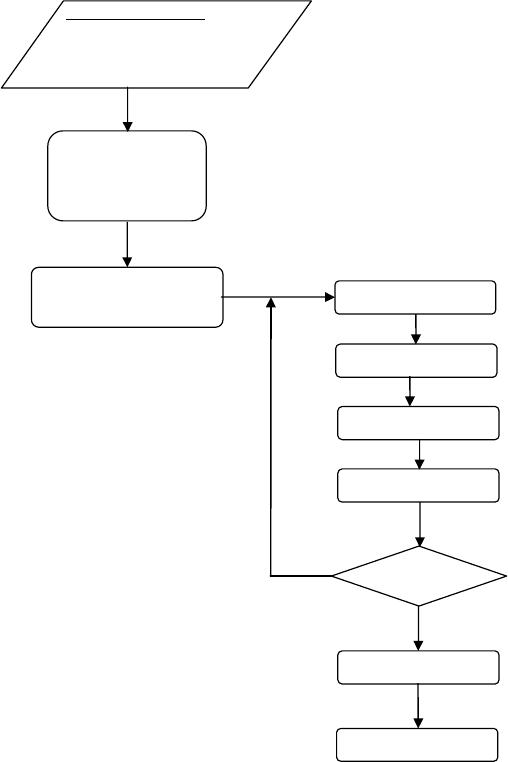
Figura 1.2 Esquema de um sistema de climatização de expansão indireta.
Capítulo 1: Introdução
6
vapor; resistência elétrica, com a função de fazer o reaquecimento do ar quando
a temperatura estiver abaixo da temperatura de insuflamento; e o ventilador
responsável pelo fluxo de ar insuflado no ambiente a ser condicionado.
O sistema primário tem a função de suprir o sistema secundário com
água quente para aquecer os ambientes ou água gelada para resfriá-los. Os
componentes e equipamentos que fazem parte do sistema primário (ver
Fig. (1.2)) são os resfriadores de líquido (chillers), torres de resfriamento,
bombas de circulação, caldeiras e tanques de termoacumulação.
Os chillers são responsáveis pelo fornecimento de água gelada, enquanto
a água quente é fornecida por caldeiras. Conforme mostrado na Fig. (1.2), a
ligação entre os sistemas primário e secundário é feita através de tubulações
que podem conduzir água gelada ou água quente.
O resfriamento ou aquecimento do ambiente é feito através da água
gelada ou água quente que entra no climatizador (fan-coil) passando pela
serpentina. Para um sistema de aquecimento a água ao passar pelo
climatizador sofre uma diminuição na temperatura e retorna à caldeira para ser
novamente aquecida.
No caso de um sistema de resfriamento, após passar através do
climatizador, a água sofre um aumento de temperatura e retorna ao resfriador
de líquido que através de um ciclo de refrigeração retira o calor da água e
transfere para uma segunda rede de água, a de condensação, caso o resfriador
seja com condensação a água ou para o ar através de um fluxo de ar forçado
por ventiladores se o resfriador for com condensação a ar. O circuito de
condensação faz com que a água que sai do condensador do resfriador
levemente aquecida abaixe sua temperatura mediante contato com ar, o qual é
otimizado através da torre de resfriamento, que à medida que produz o
gotejamento da água que cai da parte mais alta, também produz uma corrente
de ar com ventiladores cruzando os fluxos. A água arrefecida cai no reservatório
da torre e retorna para o condensador do resfriador de líquido.
O foco deste presente trabalho está voltado ao estudo dos sistemas de
expansão indireta levando em conta apenas o resfriamento.
Capítulo 1: Introdução
7
1.2 Revisão Bibliográfica
Hensen (1991) em sua tese de doutorado apresentou o desenvolvimento
de uma ferramenta para avaliar o desempenho enertico em edificações a qual
trata a edificação e a planta de condicionamento de ar como um sistema
dinâmico integrado. Ele descreve uma técnica modular-simultânea para a
simulação combinada do aquecimento e do escoamento do ar na edificação e
na planta.
Bourdouxhe e André (1997) simularam uma planta de resfriamento de um
edifício cuja demanda máxima de resfriamento era 5 MW. A planta era composta
por resfriadores de líquido (chiller), torres de resfriamento e bancos de gelo. A
simulação da planta foi realizada com o software TRNSYS. O objetivo de seu
trabalho foi analisar o impacto no desempenho da planta através de mudanças
na estratégia de controle do sistema.
Chow et al. (1997) descreveram em seu trabalho uma aproximação para
a modelagem dos componentes de uma planta de condicionamento de ar,
baseada na noção de partes primitivas para representar os processos
fundamentais de transferência de calor e massa. Nesta aproximação, diferentes
componentes podem ser representados pela combinação de diferentes sub-
modelos. A principal vantagem da aproximação encontra-se na sua flexibilidade
em relação à multiplicidade dos sistemas da planta.
Lam et al. (1997) apresentaram um trabalho sobre o desenvolvimento de
modelos de regressão e equações de energia, para o prognóstico do rendimento
enertico de um sistema completo de condicionamento de ar de um edicio,
usando técnicas de regressão simples e múltiplas. Os resultados encontrados
com os modelos de regressão foram comparados com resultados simulados no
programa DOE-2 (Winkelmann et. al, 1993), demonstrando os benecios e os
potenciais de uma aproximação para expressar o rendimento enertico de uma
edificação.
Corrêa (1998) apresentou em sua tese de doutorado o desenvolvimento
de modelos de condicionadores de gabinete, onde estes modelos foram
Capítulo 1: Introdução
8
integrados ao programa ESP-r (Environmental System Performance) para
realizar as simulações e demonstrar as potencialidades dos modelos. Ele
desenvolveu quatro modelos numéricos para representá-los: empírico com
condensação a ar, empírico com condensação a água, semi-empírico com
condensação a ar e semi-empírico com condensação a água acoplado a torre
de arrefecimento em contra corrente.
Jacquard (1999) apresentou a modelagem dinâmica de uma pequena
instalação com aquecimento e condicionamento do ar em um edicio
residencial. O estudo foi realizado usando o software de modelagem ALLAN,
que atualmente está acoplado com software CISIs NEPTUNIX. O objetivo de
seu trabalho foi predizer as características de desempenho do sistema global e
determinar os parâmetros do modelo dimico os quais influenciam o COP do
sistema. Foi observado que o COP depende das condições externas, tais como
temperatura e umidade relativa.
Cui et al. (1999) desenvolveram um método de modelagem para um
processo de controle automático de temperatura e umidade em uma pica sala
de escritório. Uma parte do ambiente era condicionada por dois sistemas de
expansão direta (FCU) e uma outra parte por um sistema de água gelada (AHU).
O consumo total de energia no caso do controle simultâneo foi 60% maior do
que no caso onde apenas o controle da temperatura era feito. O controle
simultâneo da temperatura e umidade interna reduziu aproximadamente 10% da
umidade relativa dentro da sala.
Villani (2000) apresentou uma metodologia para a modelagem e
simulação de estratégias de gerenciamento de sistemas de condicionamento de
ar onde focalizou-se a integração do sistema condicionamento de ar com os
demais sistemas de um edicio. A metodologia apresentada em seu trabalho
visou, através da simulação, fornecer dados para a análise do ambiente e do
sistema de condicionamento de ar considerando estratégias de controle cuja
evolução é determinada, entre outras coisas, pela ocorrência de eventos em
outros sistemas.
Knabe e Le (2001) realizaram uma simulação em edificações em conjunto
Capítulo 1: Introdução
9
com um sistema de climatização, especificamente um sistemasplit,
considerando o comportamento térmico e a umidade no perímetro das paredes.
Através desta simulação, pôde-se calcular o consumo de energia e o
comportamento do controle em função da dimica da temperatura e da
umidade.
Lebrun (2001) realizou uma simulação de um sistema de climatização
com a ajuda do EES (Engineering Equation Solver). O sistema de climatização
considerado era formado por um conjunto de quatro resfriadores de líquido
(chiller), quatro tanques de banco de gelo e cinco torres resfriamento. A maioria
dos modelos de componentes usados foi retirada do ASHRAE HVAC1 Toolkit
(Bourdouxhe J.P. et al, 1999).
Nassif et al. (2003) apresentaram a modelagem dos componentes de um
sistema de climatização existente. O sistema modelado era um sistema VAV
(volume de ar variável) composto por ventiladores, dampers e serpentina de
resfriamento. Foram obtidos os modelos de cada componente (ventilador,
damper e serpentina de resfriamento), os quais foram validados através de
dados monitorados no sistema real.
Yu e Paassen (2004) discutiram uma modelagem matemática, de uma
sala com condicionamento de ar, com modelos construídos em duas
aproximações diferentes, bloco Simulink e bond graph. Eles realizaram uma
comparação entre os dois métodos e discutiram suas vantagens e
desvantagens. Eles demonstram também que a combinação entre as duas
aproximações, para elaborar modelos complicados de sistemas de climatização
em edificações, na aplicação do modelo baseado na deteão e diagstico de
falhas é uma boa solução.
1.3 Contextualização
Visando contribuir com o estudo de redução de consumo de energia em
edificações e o aprimoramento de programas de simulação, alguns trabalhos na
área de climatização vêem sendo realizados no âmbito da pesquisa do grupo do
Capítulo 1: Introdução
10
Laboratório de Sistemas Térmicos (LST) da Ponticia Universidade Católica do
Paraná. Cherem-Pereira (2003) desenvolveu modelos para simulação de
condicionadores de ar de janela, integrando-os com o programa DOMUS
(Cherem-Pereira e Mendes, 2003a-2003b). Barbosa e Mendes (2003, 2004) e
Novak et al. (2004) elaboraram modelos para simulação em regime transiente
de sistemas secundários, sendo que Novak também fez a integração com o
sistema primário (chiller e torre de arrefecimento) através de modelos quasi-
estáticos que utilizam equações de regressão, como utilizados nos programas
americanos EnergyPlus, DOE-2 e BLAST. Na mesma linha de simulação de
equipamentos, pode-se citar o desenvolvimento do programa HVAC-LST (Reis
et al., 2005 (submetido)) que consiste de uma interface computacional
apropriada ao ensino da disciplina de climatização de ambientes. Mendonça
(2004) desenvolveu uma biblioteca de modelos para descrever o
comportamento higrotérmico e energético de um ambiente condicionado,
utilizando a abordagem zonal. Nesta abordagem, o ambiente em estudo foi
dividido em um número reduzido de sub-volumes, nos quais as variáveis de
estado do ar, com exceção da pressão, são consideradas uniformes.
Paralelamente, trabalhos em conjunto com o grupo de pesquisa do LAS
(Laboratório de Automação e Sistemas da PUCPR) vêem sendo feitos também
com a finalidade de integração das áreas de climatização e processos de
controle, usando MATLAB/SIMULINK (Mendes et al. 2000, 2001a e 2002;
Arjo et al., 2003; Oliveira et al., 2003a-2003b; Mendes et al., 2003a; Coelho et
al., 2004, Freire et al., 2005). Como resultado desta colaboração, deve-se citar o
desenvolvimento de um programa (ASTECCA) para Análise de Sistemas
Térmicos e de Estratégias de Controle em Condicionamento de Ambientes
(Mendes et al., 2003c).
Recentemente, o grupo de pesquisa do Laboratório de Sistemas
Térmicos iniciou um trabalho junto à IEA (International Energy Agency) para
auxiliar na formação do Anexo 41, intitulado Whole-Building Heat, Air And
Moisture Response (Moist-Eng) - em colaboração com instituições de 19 países
(Hens, 2003). O objetivo principal desse trabalho da IEA é investigar os efeitos
Capítulo 1: Introdução
11
do fenômeno de adsorção e dessorção de umidade em materiais porosos no
conforto e no consumo e demanda de energia de edificações, além de estudar o
impacto na qualidade do ar interno (IAQ Indoor Air Quality) e na durabilidade
de materiais.
No entanto, segundo a revisão bibliográfica mostrada anteriormente, o
histórico de pesquisa do LST e conforme mencionado por Augenbroe (2002) e
relatado no Anexo 41 da IEA (http://www.kuleuven.ac.be/bwf/projects/annex41/)
que contém o estado-da-arte nesta área de pesquisa, não programas
computacionais capazes de simular em detalhe a transferência combinada de
calor, vapor e líquido em elementos porosos de edificações e sistemas centrais
de climatização.
Assim, este presente trabalho visa à integração dos modelos
matemáticos dos componentes pertinentes aos sistemas de climatização central,
a modelos de edificações que consideram a transferência de calor e massa nas
paredes. Desta forma, acredita-se que o presente trabalho possibilita contribuir
não apenas com a formação do Anexo 41 da IEA, mas também com o avanço
na área de simulação higrotérmica e enertica de edificações no Brasil.
Na Seção 1.4 , descreve-se o conteúdo deste documento com detalhes
da metodologia utilizada para modelar e simular os sistemas de climatização de
forma integrada a edificações.
1.4 Descrição Sumária do Presente Trabalho
O Capítulo 2 apresenta os modelos matemáticos utilizados no
desenvolvimento dos componentes do sistema primário (chiller, torre de
resfriamento e bomba de circulação). Para o modelo do resfriador de líquido
(chiller) foi utilizada uma abordagem híbrida, i.e., modelos de regressão
baseados em funções biquadráticas e polinomiais que descrevem como a
capacidade de resfriamento e as eficiências variam em função das condições de
operação, e como a potência do compressor varia em condições de cargas
parciais. Este modelo é conhecido como modelo DOE-2, desenvolvido pelo
Capítulo 1: Introdução
12
Departamento de Energia dos Estados Unidos (Pacific Gas and Electricity,
1996). Estas curvas são calibradas necessitando-se apenas de dados
fornecidos em catálogos ou através de dados obtidos experimentalmente. Os
modelos da torre de resfriamento e da bomba de circulação são baseados nos
modelos incluídos no ASHRAE HVAC 1 Toolkit (Bourdouxhe et al., 1999) e no
ASHRAE HVAC 2 Toolkit (Brandemuel, 1993), respectivamente. Os parâmetros
de entrada destes dois modelos utilizam diretamente dados fornecidos em
catálogos.
No Capítulo 3, são mostrados os modelos matemáticos dos componentes
do sistema secundário, tais como o da serpentina de resfriamento, do
umidificador, do ventilador e da caixa de mistura. Para o modelo da serpentina
de resfriamento, utilizou-se o modelo descrito no ASHRAE HVAC 2 Toolkit
(Brandemuel, 1993), por ser um modelo mais completo levando em conta tanto
o resfriamento como a desumidificação e tamm por alguns estudos realizados
com este modelo onde foram obtidos bons resultados (Nassif et al,. 2003). Os
modelos matemáticos do umidificador e do ventilador tamm são baseados nos
modelos fornecidos pelo ASHRAE HVAC 2 Toolkit. Os dados de entrada destes
modelos podem ser facilmente obtidos em catálogos. Já o modelo da caixa de
mistura é baseado nas equações de conservação de energia e de massa para
um processo de mistura.
O Capítulo 4 apresenta os procedimentos de simulação utilizados para a
realização das simulações. São apresentadas as características construtivas e
geométricas das edificações utilizadas, bem como os dados climáticos e os
parâmetros de entrada dos modelos que comem os sistemas de climatização
utilizados na realização das simulações.
No Capítulo 5, são apresentados os resultados obtidos através das
simulações realizadas utilizando os modelos matemáticos dos componentes dos
sistemas primário e secundário descritos nos Capítulo 2 e Capítulo 3 integrados
ao programa de simulação de edificações DOMUS (Mendes et al., 2001b,
2003b). Inicialmente foi apresentada uma comparação entre os programas
DOMUS e VisualDOE, com o intuito de avaliar o desempenho dos modelos do
Capítulo 1: Introdução
13
sistema de climatização. Posteriormente, foram apresentados os resultados
obtidos através da simulação de uma edificação multizona, para mostrar a
flexibilidade dos modelos do sistema de climatização desenvolvidos. Também foi
realizada uma análise da importância de se considerar o fenômeno da adsorção
e dessorção de umidade em materiais porosos, fazendo uma comparação em
termos da carga térmica da edificação e do consumo de energia elétrica do
sistema de climatização, utilizando dois modelos de edificação, com e sem
umidade nas paredes.
O Capítulo 6 apresenta as conclusões e as observações finais pertinentes
ao presente trabalho, bem como as sugestões para trabalhos futuros.
14
Capítulo 2
Sistema Primário
Este capítulo apresenta os modelos matemáticos utilizados no
desenvolvimento dos componentes do sistema primário. A Seção 2.1 apresenta
o desenvolvimento do modelo do resfriador de líquido (chiller), seguida pela
Seção 2.2, que mostra o modelo para a torre de resfriamento e pela Seção 2.3
que apresenta o modelo da bomba de circulação.
2.1 Modelo do Resfriador de Líquido (Chiller)
Na literatura os modelos matemáticos podem ser classificados em duas
classes amplas: empíricos (caixa preta) e analíticos (princípios físicos ou
primários)
Modelos empíricos não compreendem nenhum conhecimento prévio do
sistema. Exemplos de modelos empíricos incluem o ajuste de curvas polinomiais
e redes neurais artificiais. Uma vantagem dos modelos empíricos é que não a
necessidade de conhecimentos sicos detalhados do sistema. Uma
desvantagem destes modelos é que são confiáveis apenas para pontos de
operação dentro de uma faixa específica dos dados experimentais, e a
extrapolação fora desta faixa pode levar a erros significativos. Para obter um
bom modelo, devem-se ter dados experimentais adequados; quanto melhor
Capítulo 2: Sistema Primário
15
forem os dados, mais preciso será o modelo.
Modelos analíticos ou sicos, também conhecidos como modelos caixa-
branca (white-box), são em grande parte baseados em leis sicas. Modelos
sicos podem necessitar de uma quantidade menor de dados experimentais,
desde que o modelo seja válido para todas as condições de operação para as
quais as considerações inerentes ao próprio modelo são válidas. Uma
desvantagem é a necessidade de se ter um bom entendimento do fenômeno
sico na busca de um modelo preciso, que nem sempre está disponível. Na
prática, um modelo pode ser parcialmente empírico e baseado parcialmente em
princípios primários (Haves, 1999).
Sreedharan (2001) fez uma comparação entre três modelos de chiller
para o uso em modelos baseados na detecção de falhas. Em seu trabalho foram
estudados três diferentes modelos de chillers: o modelo Universal de Gordon-Ng
(Ng et. al, 1997), o modelo baseado no ASHRAE HVAC 1 Toolkit (Bourdouxhe
et al.,1999), os quais são ambos baseados nos princípios primários, e o modelo
usado no programa de simulação de energia DOE-2, como implementado no
CoolTools (Pacific Gas and Electricity, 1996), o qual é um modelo empírico.
O modelo Universal de Gordon-Ng é baseado na primeira e na segunda
lei da termodimica, e também utiliza as relações de transferência de calor.
Entretanto, não é um modelo baseado em componentes, mas usa uma
aproximação de sistemas e a estrutura do modelo fornece uma simples solução
explícita. O modelo do Toolkit é um modelo baseado em componentes
(evaporador, compressor, condensador e válvula de expansão), o qual tem
como base a primeira lei da termodimica e as relações de transferência de
calor, onde as equações são resolvidas de modo iterativo. O modelo do DOE-2
é um modelo empírico baseado em ajuste de curvas polinomiais, as quais
relacionam a eficiência, a capacidade, e a potência consumida para as
condições de operação. Os três modelos foram elaborados para situação em
regime permanente.
Segundo Sreedharan (2001), os três modelos apresentam níveis de
precisão semelhantes. Entres os modelos analíticos, o modelo de Gordon-Ng
Capítulo 2: Sistema Primário
16
(1997) tem a vantagem de ser linear nos parâmetros, o que permite a utilização
de um método de identificação mais robusto e facilita a estimativa da incerteza
nos valores dos parâmetros. O modelo do ASHRAE Toolkit tem vantagens
quando as medidas de temperatura do fluido refrigerante também estão
disponíveis, desde que o desempenho do compressor, do condensador e do
evaporador possa ser calculado separadamente com mais precisão do que com
apenas as medidas da temperatura da água. O modelo DOE-2 tem vantagens
quando os dados para calibrar o modelo são muito limitados.
Tendo em vista o estudo realizado por Sreedharan, neste presente
trabalho foi adotado o modelo DOE-2 para a modelagem do chiller, por ser um
modelo que não exige o conhecimento de dados sicos do equipamento,
necessitando apenas de dados fornecidos em catálogos ou dados obtidos
experimentalmente para calibrar o modelo. Ademais, estudos realizados
(Zmeureanu, 2002) mostraram que este modelo pode promover bons resultados.
2.1.1 Modelo DOE-2
O modelo DOE-2 foi desenvolvido pelo Departamento de Energia dos
Estados Unidos como uma ferramenta para ajudar arquitetos e engenheiros a
projetarem edicios energeticamente eficientes. Dentro do programa de
simulação de energia DOE-2 este modelo é um módulo responsável pela
simulação do desempenho do chiller. O modelo de chiller DOE-2 é baseado em
três curvas polinomiais. Elas descrevem como a capacidade de resfriamento e
as eficiências variam em função das condições de operação, e como a potência
do compressor varia em condições de cargas parciais. Estas curvas são
empíricas no sentido que a estrutura polinomial não é baseada em relações
sicas. Entretanto, o modelo pode ser considerado como um modelo caixa-cinza
(grey-box), desde que a estimativa da potência final do chiller seja baseada em
quantidades fisicamente significativas obtidas através das curvas polinomiais.
Uma consideração que é feita no modelo é que o fluxo de água no evaporador e
no condensador é constante (Pacific Gas and Electricity, 1996).
Capítulo 2: Sistema Primário
17
2.1.1.1 Descrição do Modelo
Este modelo é um modelo empírico que fornece a potência consumida do
chiller através das temperaturas da água na saída do evaporador (T
sev
) e na
entrada do condensador (T
ecd
) e da taxa de calor retirado do ambiente, ou seja,
na serpentina de resfriamento (Q
ev
). Se o chiller for resfriado a ar, a temperatura
T
ecd
é a temperatura externa. O modelo é baseado em três curvas polinomiais
da seguinte forma:
ecdsevecdecdsevsev
TTfTeTdTcTbaCAPFT
1
2
11
2
111
+++++= (2.1)
ecdsevecdecdsevsev
TTfTeTdTcTbaEIRFT
2
2
22
2
222
++++= + (2.2)
),(,
2
333
,
ecdsev
TTavaliadoev
ev
Q
Q
PLRondePLRcPLRbaEIRPFPLR =++= (2.3)
onde
T
sev
é a temperatura da água na saída do evaporador do chiller;
T
ecd
, a temperatura da água na entrada do condensador do chiller;
PLR, a razão de carga parcial (part-load ratio), definida como a razão
entre a capacidade de refrigeração necessária no ambiente pela
capacidade de refrigeração fornecida pelo chiller avaliada nas
temperaturas T
sev
e T
ecd
;
a, b, c, ..., são os coeficientes das curvas.
A primeira curva (Eq. (2.1)), é um polinômio bi-quadrático (Fig. 2.1) que
descreve como a capacidade de refrigeração do chiller varia para diferentes
temperaturas da água no evaporador e no condensador, em comparação com a
capacidade de refrigeração nas condições de referência. As condições de
referência podem ser quaisquer temperaturas, desde que sejam consistentes.
De acordo com a norma ARI Standards, estas temperaturas de referência são
6.7 ºC para a temperatura de saída da água do evaporador (T
sev
) e 29.4 ºC para
a temperatura de entrada da água no condensador (T
ecd
). Os parâmetros Q
ev,ref
Capítulo 2: Sistema Primário
18
e P
ref
são, respectivamente, a capacidade de resfriamento em carga total e a
potência consumida nas temperaturas de referência da água gelada e da água
do condensador.
Assim,
refe
avaliadoe
Q
Q
CAPFT
,
,
= (2.4)
Figura 2.1 Exemplo de uma curva de capacidade (CAPFT) em função das temperaturas.
A segunda curva (Eq. (2.2)), também é um polimio bi-quadrático
(Fig. 2.2) que descreve como a eficiência em carga total, definida como potência
consumida em kW por tons (toneladas) de refrigeração varia com as
temperaturas da água. Este termo é adimensional definido da seguinte forma:
ref
refev
avaliadoev
Pot
Q
Q
Pot
EIRFT
,
,
max
= (2.5)
Capítulo 2: Sistema Primário
19
Figura 2.2 Exemplo de uma curva de eficiência (EIRFT) em função das temperaturas.
A terceira curva (Eq. (2.3)), é um polinômio cúbico (Fig. 2.3) que descreve
como a potência consumida varia em condições de cargas parciais. Este termo
também é adimensional definido como sendo:
max
)(
Pot
PLRPot
EIRPLR = (2.6)
Figura 2.3 Exemplo de uma curva de eficiência em função do PLR (part-load ratio).
Capítulo 2: Sistema Primário
20
onde EIRPLR é igual a 1, quando o chiller estiver trabalhando em regime de
carga total.
Combinando as três equações (Eqs. 2.4- 2.6), a potência do compressor
do chiller nas condições de operação especificadas pode ser obtida da seguinte
forma:
EIRPLRxEIRFTxCAPFTxPotPot
refTTcomp
sevecd
=
),(
(2.7)
As três curvas acima podem ser calibradas de duas formas: uma é
através de dados experimentais e a outra é através de dados de catálogos,
desde que o catálogo forneça os dados necessários para a calibração, como a
variação da capacidade e da eficiência (COP) em função das temperaturas da
água e também a variação da eficiência em regime de carga parcial.
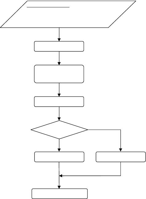
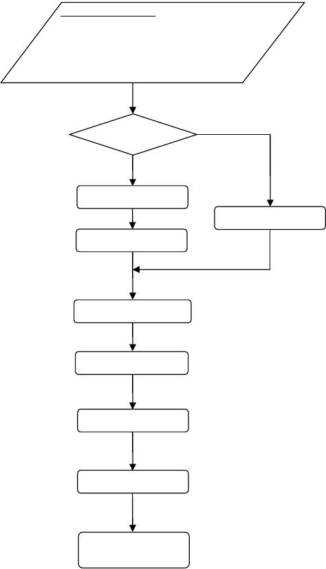
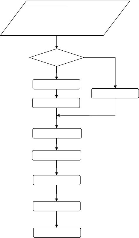
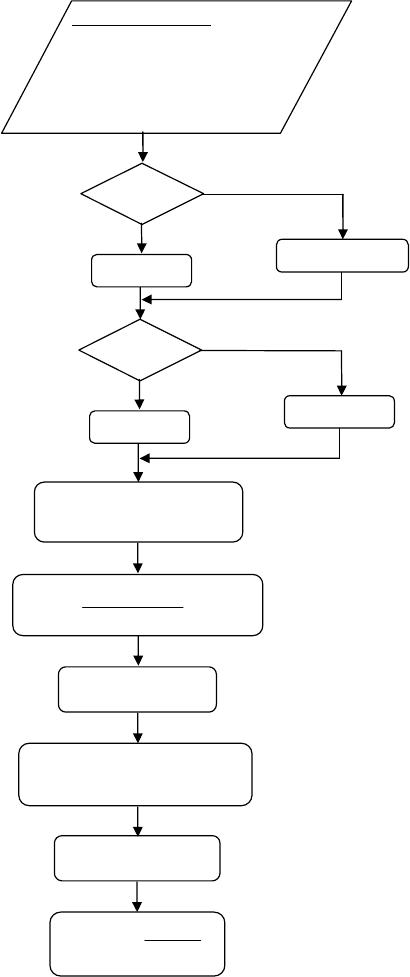
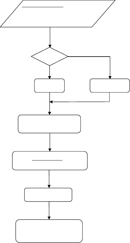
A Figura (2.4) apresenta o fluxograma do modelo do chiller com
condensação a ar onde é mostrada a seqüência dos cálculos utilizada na
modelagem.
Capítulo 2: Sistema Primário
21
Figura 2.4 Fluxograma do modelo do chiller com condensação a ar.
A Figura (2.5) apresenta o fluxograma do modelo do chiller com
condensação a água. Neste fluxograma é mostrado o procedimento de cálculo
utilizado pelo modelo.
T
sev
= T
set
(T
eev
- T
set
)
>
T
ev
<
T
ev
T
sev
= T
eev
-
T
ev
ev
sp
QxCAPFT
Q
PLR =
(Eq. 2.3)
EIRFPLR (Eq. 2.3)
Pot
comp
(Eq.
2
.
7
)
(
)
seveevpevparcev
TTcmQ =
&
,
Dados de Entrada:
Q
ev
,
ev
m
&
, T
ev
, T
set
, COP, T
eev
, T
ecd
,
Q
sp
, Coeficientes das curvas
CAPFT(T
eev
,T
ext
)
(
Eq.
2
.
1
)
EIRFT(T
eev
,T
ext
) ( Eq. 2.2)
Q
ev
capacidade de refrigeração nominal do
evaporador em carga total (kW).
Q
sp
capacidade de refrigeração retirada na
serpentina de resfriamento (kW).
Q
ev,parc
capacidade de refiregração parcial
do evaporador (kW).
ev
m
&
vao mássica de água nominal no
evaporador (kg/s).
COP eficiência nominal do chiller.
T
ev
queda de temperatura nominal no
evaporador (ºC).
T
set
temperatura de set point na sda do
evaporador (ºC).
T
eev
, T
ecd
temperatura da água na entrada do
evaporador e do condensador (ºC).
T
sev
temperatura da água na saída do
evaporador (ºC).
P
comp
potência do compressor (kW).
PLR razão de carga parcial.
Capítulo 2: Sistema Primário
22
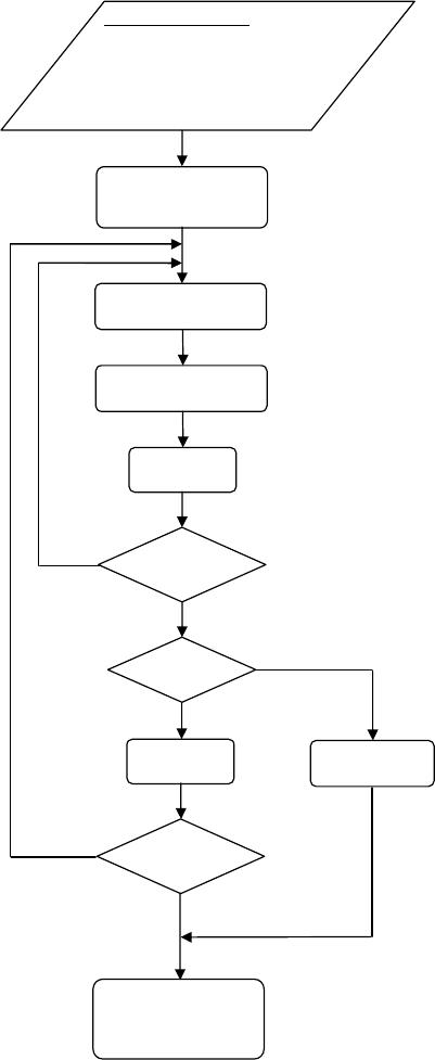
Figura 2.5 Fluxograma do modelo do chiller com condensação a água.
Pot
comp
(Eq.
2
.
7
)
(
)
seveevpevparcev
TTcmQ =
&
,
T
sev
= T
set
(T
eev
- T
set
)
>
T
ev
<
T
ev
T
sev
= T
eev
-
T
ev
ev
sp
QxCAPFT
Q
PLR =
(Eq. 2.3)
EIRFPLR (Eq. 2.3)
Dados de Entrada:
Q
ev
, M
ev
, T
ev
, T
set,ev
, COP,
M
cd
, T
cd
, T
set,cd
, T
eev
, T
sdtorre
,
Q
sp
, Coeficientes das curvas
CAPFT(T
eev
,T
ecd
)
(
Eq.
2
.
1
)
EIRFT(T
eev
,T
ecd
) ( Eq. 2.2)
compparcevparccd
PotQQ +=
,,
pcd
parccd
ecdscd
cm
Q
TT
&
,
+=
T
ecd
= T
set,cd
T
sdtorre
> T
set,cd
< T
set,cd
T
ecd
= T
sdtorre
Q
ev
capacidade de refrigeração nominal do
evaporador em carga total (kW).
Q
sp
capacidade de refrigeração retirada na
serpentina de resfriamento (kW).
cdev
mm
&&
, vazão ssica de água nominal no
evaporador e no condensador (kg/s).
Q
ev,parc
, Q
cd,parc
capacidade de refiregração parcial
do evaporador e do condensador (kW).
COP eficiência nominal do chiller.
T
ev
, T
cd
queda de temperatura nominal no
evaporador e no condensador(ºC).
T
set,ev
temperatura de set point na saída do
evaporador (ºC).
T
set,cd
temperatura de set point na entrada do
condensador C).
T
eev
, T
ecd
, temperatura da água na entrada do
evaporador e do condensador (ºC).
T
sev
, T
scd
temperatura da água na saída do
evaporador e do condensador (ºC).
T
sdtorre
temperatura na saída da torre de
resfriamento C).
P
comp
potência do compressor (kW).
PLR razão de carga parcial.
Capítulo 2: Sistema Primário
23
2.2 Modelo da Torre de Resfriamento
O modelo da torre de resfriamento (Fig. 2.6) utilizado neste trabalho é
baseado na teoria de Merkels (Merkel, 1925), a qual também é base do modelo
incluído no ASHRAE HVAC 1 Toolkit (Bourdouxhe et al., 1999). Merkel (1925)
desenvolveu uma teoria para torre de resfriamento através da transferência de
massa e calor sensível entre o ar e a água em uma torre de resfriamento com
escoamento em contra corrente, combinando a transferência de calor e de
massa em um simples processo baseado no potencial entalpico. A teoria de
Merkel despreza o efeito da perda de água devido à evaporação e assume o
mero de Lewis como 1 (Le = 1).
Figura 2.6 Representação esquemática de uma torre de resfriamento em contra corrente.
O desempenho da torre de resfriamento é modelado utilizando as
relações de efetividade-NUT para um trocador de calor em contra corrente. O
modelo leva em conta o desempenho da torre em regime de conveão livre,
ou seja, quando o ventilador da torre está desligado e a bomba de água
permanece ligada. Para que o modelo leve em conta a conveão livre, deve-se
fornecer o diferencial de temperatura da água quando o ventilador da torre está
desligado. Caso este diferencial de temperatura for zero, a temperatura de saída
da água é igual a temperatura de entrada. Para operação em regime de carga
Capítulo 2: Sistema Primário
24
parcial, o modelo assume uma simples interpolação linear entre dois estados de
regime permanente.
2.2.1 Descrição do Modelo
Baseado na teoria de Merkel (1925), a transferência total de calor em
regime permanente entre o ar e a água que entram na torre pode ser definida
pela equação abaixo:
( )
asata
p
total
hh
c
UdA
dq =
,
(2.8)
onde
h
a,sat
, entalpia do ar saturado à temperatura da supercie molhada (J/kg);
h
a
, entalpia do ar em corrente livre (J/kg);
c
p
, calor específico do ar úmido (J/kg K);
U, coeficiente global de transferência de calor da torre de resfriamento
(W/m
2
K);
A, área de transferência de calor (m
2
);
A Equação (2.8) é baseada nas seguintes considerações:
Ø o ar e o vapor dágua comportam-se como s ideal.
Ø o efeito de evaporação da água é desprezado.
Ø o ganho de calor no ventilador é desprezado.
Ø o filme de ar na interface é assumido estar saturado.
Ø o mero de Lewis é igual a 1.
Neste modelo também é assumido que a entalpia do ar é uma função
somente da temperatura de bulbo úmido. Desde que as linhas de temperatura
de bulbo úmido constante na carta psicrométrica seguem próximas as linhas de
entalpia constante (Stoecker e Jones, 1985), a entalpia do ar úmido pode ser
Capítulo 2: Sistema Primário
25
calculada, com uma precisão razvel, usando-se a equação abaixo:
3
,3
2
,2,10 buabuabua
TCTCTCCh +++= (2.9)
onde os valores dos coeficientes C
0
, C
1
, C
2
, C
3
dependem da pressão
atmosférica.
Uma outra consideração é que o ar úmido pode ser tratado como um s
ideal equivalente com um calor específico médio definido pela seguinte
equação:
bu
pe
T
h
c
= (2.10)
onde
i, diferença de entalpia do ar entre a entrada e a saída da torre (J/kg).
T
bu
, diferença da temperatura de bulbo úmido do ar entre a entrada e a
saída da torre (ºC).
Considerando que a condutância do lado do líquido é muito maior que a
condutância do lado do s, a temperatura da supercie molhada é assumida
igual a temperatura da água. Baseado nesta consideração e nas Eqs. (2.8) e
(2.10), a expressão para a transferência de calor total torna-se:
(
)
buawetotal
TTdAUdq
,
= (2.11)
onde
p
pe
e
c
cU
U =
T
bu
, temperatura de bulbo úmido do ar (ºC).
T
w
, temperatura da água (ºC).
Fazendo-se um balanço de energia, tanto no lado da água quanto do lado
Capítulo 2: Sistema Primário
26
do ar, na fronteira entre o ar e a água, obtêm-se as seguintes equações:
wpwwtotal
dTcmdq
&
= (2.12)
bua
pe
atotal
dTcmdq
,
&
= (2.13)
onde
w
m
&
, vazão mássica de água (kg/s).
a
m
&
, vazão mássica de ar (kg/s).
Assumindo que a capacidade calorífica da água (
p
cm
&
) da torre de
resfriamento é menor do que a do ar, a efetividade da torre de resfriamento
pode ser definida pela analogia à efetividade de um simples trocador de calor
(Incropera e Witt, 1992):
ebuaew
swew
TT
TT
,,,
,,
=ε (2.14)
onde
ε, efetividade do trocador de calor.
T
w,e
, temperatura de entrada da água.
T
w,s
, temperatura de saída da água.
T
a,bu,e
, temperatura de bulbo úmido do ar na entrada.
Combinando as Eqs. (2.11), (2.12) e (2.13) e integrando sobre a área da
supercie de transferência de calor e combinando ainda o resultado com a Eq.
(2.14), obtêm-se a seguinte expressão para a efetividade da torre de
resfriamento:
(
)
[
]
{
}
( ) ( )
[ ]
{ }
awaw
aw
CCNUTCC
CCNUT
=
1exp1
1exp1
ε (2.15)
onde
pwww
cmC
&
= e
paaa
cmC
&
= (2.16)
w
e
C
UA
ciaTransferêndeUnidadesdeNúmeroNUT ==
A Equação (2.15) é idêntica à expressão para a efetividade de um
Capítulo 2: Sistema Primário
27
trocador de calor em contra corrente de contato indireto (isto é, os fluidos são
separados por uma parede sólida) (Incropera e Witt, 1992). Portanto, a torre de
resfriamento pode ser modelada, em regime permanente, por um trocador de
calor em contra corrente equivalente como mostrado na Fig. (2.7).
Figura 2.7 Esquema simplificado da torre de resfriamento.
O primeiro fluido é a água e o segundo é um fluido equivalente que neste
caso é o ar que entra no trocador de calor à temperatura T
a,bu,e
e com calor
específico
pe
c . O trocador de calor é caracterizado por um único parâmetro que
é o produto do coeficiente global de transferência de calor pela área doravante
denominado coeficiente UA. O coeficiente UA atual, da torre de resfriamento,
está relacionado ao coeficiente UA
e
pela seguinte expressão:
pe
p
e
c
c
UAUA = (2.17)
O coeficiente UA é assumido como sendo função apenas da vazão
mássica de ar e pode ser estimado através de testes em laboratório ou através
de dados de catálogos fornecidos por fabricantes.
2.2.2 Método para Calcular a Temperatura de Saída da Água
O objetivo do modelo da torre de resfriamento é prever a temperatura de
saída da água e a potência necessária do ventilador para fornecer água na
temperatura de saída estabelecida (“set point”). Como são conhecidas apenas
Água
Fluido equivalente - Ar
UA
e
T
w,s
T
w,e
T
a,bu,e
T
a,bu,s
Capítulo 2: Sistema Primário
28
as temperaturas de entrada da água e de entrada do ar para qualquer passo de
tempo de simulação, é necessário um processo iterativo para determinar as
temperaturas de saída dos fluidos, utilizando as equações definidas na
Seção (2.2.1). As iterações são realizadas para determinar a temperatura de
bulbo úmido do ar na saída da torre de resfriamento. A temperatura de saída da
água é então calculada baseada em um balaço de energia que assume que a
energia absorvida pelo ar é equivalente a energia removida da água. O
processo para calcular a temperatura de bulbo úmido do ar é explicado abaixo.
Conforme mencionado na Seção (2.2.1), é assumido que a entalpia do ar
úmido pode ser definida apenas pela temperatura de bulbo úmido do ar.
Portanto, o primeiro passo no processo é calcular a entalpia do ar úmido na
entrada da torre de resfriamento baseado na temperatura de bulbo úmido do
ambiente através de um arquivo climático. Como este processo exige uma
solução iterativa, faz-se então uma primeira suposição da temperatura de bulbo
úmido do ar na saída e calcula-se a entalpia. Baseado nestas condições de
entrada e saída do ar, o calor específico médio do ar é calculado de acordo com
a Eq. (2.10), mostrada abaixo:
bu
pe
T
h
c
=
Com o coeficiente UA da torre de resfriamento, que é fornecido ao
modelo ou calculado conforme a Seção 2.2.3 , o produto do coeficiente de
transferência de calor pela área efetivo é calculado através da Eq. (2.17),
mostrada abaixo:
pe
p
e
c
c
UAUA =
Com
pe
c e UA
e
conhecidos, a efetividade do trocador de calor é calculada da
seguinte forma:
Capítulo 2: Sistema Primário
29
(
)
[
]
{
}
( ) ( )
[ ]
{ }
máxmínmáxmín
máxmín
CCNUTCC
CCNUT
=
1exp1
1exp1
ε (2.18)
onde
(
)
(
)
awmáxawmín
CCMáximoCeCCMínimoC ,, ==
pwww
cmC
&
= e
paaa
cmC
&
=
mín
e
C
UA
ciaTransferêndeUnidadesdeNúmeroNUT ==
Assim, a taxa de transferência de calor é calculada da seguinte forma
(Incropera e Witt, 1992):
(
)
ebuaewmíntotal
TTCq
,,,
= ε (2.19)
E a temperatura de bulbo úmido do ar na saída é então recalculada:
a
total
ebuasbua
C
q
TT +=
,,,,
(2.20)
O processo iterativo para o cálculo de T
a,bu,s
continua até a convergência.
As a convergência da temperatura de bulbo úmido do ar, calcula-se a
temperatura de saída da água através da equação abaixo:
w
total
ewsw
C
q
TT +=
,,
(2.21)
A Figura (2.8) apresenta o fluxograma para calcular a temperatura da
água de saída da torre, onde é mostrado o procedimento de cálculo utilizado
pelo modelo.
Capítulo 2: Sistema Primário
30
Figura 2.8 Fluxograma para calcular a temperatura de saída da torre.
Dados de Entrada:
a
m
&
,
w
m
&
, T
w,e
, T
a,bu,e
, UA
h
a,e
Eq.
(
2
.
9
)
C
w
Eq. (2.16)
h
a,s
Eq. (2.9)
c
pe
Eq. (2.10)
Primeira Aproximação
T
a,bu,s
UA
e
Eq.
(
2
.
17
)
C
a
Eq. (2.16)
q
total
Eq. (2.19)
não
T
a,bu,s
Eq. (2.20)
T
w,s
Eq. (2.21)
Convergiu?
sim
ε
Eq. (2.18)
a
m
&
- vazão de ar (kg/s).
w
m
&
- vazão de água (kg/s).
T
w,e
temperatura de entrada da
água (ºC).
T
a,bu,e
temperatura de bulbo úmido
do ar na entrada (ºC).
UA produto do coeficiente global
de transferência de calor pela
área (W/K).
Capítulo 2: Sistema Primário
31
2.2.3 Avaliação do Produto do Coeficiente Global de Transferência de
Calor pela Área - UA
O produto do coeficiente global de transferência de calor pela área é o
parâmetro que caracteriza a torre de resfriamento quanto a sua capacidade.
Conforme mencionado anteriormente este coeficiente poder ser estimado
através de testes em laboratório ou através de dados de catálogos fornecidos
por fabricantes. Nesta seção é apresentado um método para estimar o
coeficiente UA da torre de resfriamento através de dados nominais fornecidos
em catálogos (Bourdouxhe et al., 1999). A Figura (2.9) apresenta o diagrama de
fluxo para avaliar o coeficiente UA, o qual mostra os dados de entrada
necessários para estimar este coeficiente.
Figura 2.9 Diagrama de fluxo para estimar o coeficiente UA.
O método de avaliação consiste no uso da Eq. (2.9) para calcular a
entalpia do ar úmido na entrada da torre de resfriamento h
a,e
em função da
temperatura nominal de bulbo úmido do ar T
a,bu,e
, enquanto a Eq. (2.16) fornece
a capacidade calorífica da água C
w
.
A taxa de transferência de calor entre o ar e a água pode ser calculada
pela Eq. (2.21) em função das temperaturas nominais de entrada e saída da
água da torre de resfriamento.
Para calcular a temperatura de bulbo úmido na saída da torre T
a,bu,s
é
Vazão nominal de ar (
a
m
&
)
Vazão nominal de água (
w
m
&
)
Temperatura nominal de
bulbo úmido (T
a,bu,
)
Temperatura nominal de
entrada da água (T
w,e
)
Temperatura nominal de
saída da água (T
w,s
)
Produto do Coeficiente
de transferência de calor
pela área UA
Capítulo 2: Sistema Primário
32
necessário um processo iterativo. Faz-se uma primeira aproximação do valor de
T
a,bu,s
para calcular o calor específico efetivo c
pe
do ar através da Eq. (2.10) para
depois calcular a capacidade calorífica do ar C
a
(Eq. (2.16)). A temperatura de
saída do ar deve ser recalculada usando a Eq. (2.20). O processo iterativo deve
continuar até a convergência.
Assumido a torre de resfriamento como um trocador de calor em contra
corrente (Fig. (2.7)), coeficiente UA efetivo é dado pela seguinte relação:
( ) ( )
=
ebuasw
sbuaew
ebuaswsbuaew
total
e
TT
TT
TTTT
q
UA
,,,
,,,
,,,,,,
ln
(2.22)
Nestas condições, o coeficiente UA atual pode ser calculado pela
Eq. (2.17), a qual é mostrada abaixo:
pe
p
e
c
c
UAUA =
Na Figura (2.10) é apresentado em detalhe o procedimento de cálculo
usado para estimar o produto do coeficiente global de transferência de calor
pela área (UA).
Capítulo 2: Sistema Primário
33
Figura 2.10 Fluxograma do método para estimar o coeficiente UA.
h
a,s
Eq. (2.9)
Dados de Entrada:
a
m
&
,
w
m
&
, T
w,e,nom
, T
w,s,nom
,
T
a,bu,
h
a,e
Eq. (2.9)
C
w
Eq. (2.16)
q
total
Eq. (2.21)
c
pe
Eq. (2.10)
não
Primeira Aproximação
T
a,bu,s
T
a,bu,s
Eq. (2.20)
UA
e
Eq. (2.22)
UA
Eq. (2.17)
Convergiu?
sim
a
m
&
- vazão nominal de ar (kg/s).
w
m
&
- vazão nominal de água (kg/s).
T
w,e,nom
temperatura nominal de
entrada da água (ºC).
T
w,s,nom
temperatura nominal de
sda da água (ºC).
T
a,bu,e
temperatura nominal de
bulbo úmido do ar C).
C
a
Eq. (2.16)
Capítulo 2: Sistema Primário
34
2.2.4 Cálculo da Temperatura de Saída da Água Atual e da Potência do
Ventilador
A Seção (2.2.2) apresentou a metodologia utilizada para calcular a
temperatura de saída da água da torre de resfriamento em regime permanente.
Esta metodologia é utilizada para calcular a temperatura de saída da água com
o ventilador da torre em operação. O cálculo da temperatura de saída da água
usa as vazões dos fluidos (água e ar) e os valores de UA como dado de entrada
para o regime em que tanto a bomba e o ventilador da torre estão ligados. Em
regime de conveão livre (bomba ligada e ventilador desligado) o modelo utiliza
apenas o diferencial de temperatura da água quando o ventilador está
desligado, que deve ser fornecido ao modelo, para determinar a temperatura de
saída da água da torre resfriamento. Neste caso, o modelo faz a diferença entre
a temperatura de entrada da água e o diferencial de temperatura fornecido para
calcular a temperatura de saída da água da torre.
O modelo procura manter a temperatura de saída da água da torre de
resfriamento abaixo ou igual à temperatura nominal de saída da água
especificada (“set-point”). O modelo inicia determinando o impacto da convecção
livre na temperatura de saída da água. Se o diferencial de temperatura da
conveão livre for igual zero, então a temperatura de saída da água assume o
valor da temperatura de entrada da água. Se a temperatura de saída da água
em regime permanente baseada na convecção livre for igual ou menor que a
temperatura de saída nominal especificada, então o ventilador da torre está
desligado.
Se a temperatura de saída da água na conveão livre for maior que a
temperatura de saída nominal especificada, calcula-se a temperatura de saída
conforme mostrada na Seção (2.2.4), e o ventilador é ligado para reduzir a
temperatura de saída da água até a temperatura imposta. O modelo assume
que a operação em regime de carga parcial é representada por uma simples
interpolação linear entre dois estados de regime permanente (com ventilador da
torre ligado e ventilador da torre desligado dentro do mesmo passo de tempo da
simulação).
Capítulo 2: Sistema Primário
35
A fração de tempo (ω) que o ventilador da torre deve operar é calculada
conforme a seguinte equação (Energyplus, 2004):
offwsonws
offwsset
TT
TT
,,
,
=ω (2.23)
onde
T
set
, temperatura de saída da água nominal especificada (ºC).
T
ws,off
, temperatura de saída da água com ventilador desligado (ºC).
T
ws,on
, temperatura de saída da água com ventilador ligado (ºC).
A potência média do ventilador (Pot
vent,m
) para o passo de tempo da
simulação é calculada multiplicando ω pela potência nominal do ventilador
(Pot
vent,nom
) em regime permanente que deve ser fornecida ao modelo
(Eq. (2.24)).
nomventmvent
PotPot
,,
ω= (2.24)
Capítulo 2: Sistema Primário
36
Figura 2.11 Fluxograma para determinar a temperatura de saída da água e a potência do
ventilador.
Dados de Entrada:
Pot
vent,non
, T
w,off
, T
we
, T
set
wa
mm
&&
,
T
ws,off
= T
we
T
w,off
não
T
ws,off
<= T
set
sim
ω
= 0, T
ws,on
= T
set
T
ws,on
Seção 2.2.2
ω
Eq. (2.23)
Pot
vent,m
Eq. (2.24)
T
ws
=T
ws,on
a
m
&
- vazão nominal de ar (kg/s).
w
m
&
- vazão nominal de água (kg/s).
T
w,e
temperatura de entrada da água (ºC).
T
w,s
temperatura nominal de sda da água (ºC).
T
ws,on
temperatura de sda da água com
ventilador ligado (ºC).
T
ws,off
temperatura de sda da água com
ventilador desligado (ºC).
T
w,off
diferencial de temperatura da água com
ventilador desligado (ºC).
ω fração de tempo.
Pot
vent,nom
potência nominal do ventilador (kW)
Pot
vent,m
potência média do ventilador (kW)
Capítulo 2: Sistema Primário
37
2.3 Modelo da Bomba de Circulação de Água
O modelo da bomba de circulação (Fig. (2.12)) utilizado neste trabalho
tem como base o modelo apresentado no ASHRAE HVAC 2 Toolkit
(Brandemuel, 1993). O modelo calcula a potência consumida da bomba bem
como a temperatura de saída do líquido através da vazão volumétrica e das
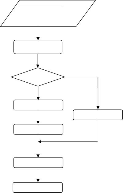
condições de entrada do líquido, sem considerar a influência da pressão do
líquido. O modelo considera dois tipos de bomba: com fluxo variável e com fluxo
constante. A potência consumida da bomba, com fluxo variável, é calculada
através da regressão da potência consumida em carga parcial em função da
vazão do líquido.
Figura 2.12 Representação esquemática de uma bomba de circulação de água.
A bomba é caracterizada por um diferencial de pressão (altura
manométrica), uma vazão volumétrica e uma potência consumida da
bomba/motor nas condições nominais. A potência consumida em carga parcial é
determinada por uma relação empírica função da razão entre a vazão atual
sobre a vazão nominal. A diferença de pressão gerada pela bomba não é
calculada. O aumento da temperatura do líquido é determinado para uma dada
potência necessária (shaft power), assumindo a hipótese de que a eficiência do
motor e a eficiência combinada bomba/motor são constantes.
2.3.1 Descrição Matemática
Conforme mencionado anteriormente, a seleção da bomba de um sistema
de condicionamento de ar é caracterizada pelo aumento de pressão, pela vazão
volumétrica e pela potência nominal em carga total. Para um aumento de
Capítulo 2: Sistema Primário
38
pressão através da bomba, a vazão de líquido nominal e a potência são as duas
variáveis que caracterizam o consumo de energia da bomba. O desempenho
fora das condições nominais é calculado através do desempenho nominal
utilizando uma aproximação da razão de carga parcial (part-load ratio).
Para um ponto de funcionamento fora das condições nominais, a razão
de carga parcial (PLR) é definida como a razão entre a vazão volumétrica atual
pela vazão volumétrica nominal:
nomw
ww
V
m
PLR
,
&
&
ρ
= (2.25)
onde
w
m
&
, vazão mássica de água (kg/s);
ρ
w
, massa específica da água (kg/m
3
);
nomw
V
,
&
, vazão volumétrica de água nominal (m
3
/s);
O consumo em carga parcial é representado como uma fração da
potência nominal. Para um ponto de funcionamento onde vazão é reduzida, esta
fração de potência em carga total (FFLP fraction of full-load power) é calculada
utilizando uma curva polinomial em função da razão de carga parcial (PLR), da
seguinte forma:
3
3
2
210
PLRCPLRCPLRCCFFLP +++= (2.26)
onde FFLP é a razão entre a potência atual pela potência nominal da bomba. A
soma dos coeficientes deve ser sempre igual a um, pois quando a razão de
carga parcial (PLR) for 1, isto implica que a bomba está operando em carga total
e valor de FFPL também deve ser igual a um.
Através de dados fornecidos em catálogos é possível obter as
características do comportamento da bomba em vários pontos de operação. A
Capítulo 2: Sistema Primário
39
Figura (2.13) mostra uma curva com os dados de características do
comportamento de um bomba centrífuga, que é fornecida pelos fabricantes de
bombas, onde é mostrado a potência necessária e as curvas de isoeficiências
(curvas de eficiência constante) em vários pontos ao longo da curva.
Figura 2.13 Características do comportamento de uma bomba centrífuga (Stoecker, 1985).
Através da Fig. (2.13) é possível calibrar o coeficientes da Eq. (2.26)
fazendo uma varredura da vazão volumétrica desde o ponto das condições
nominais até um valor mínimo possível, obtendo os valores de potência
correspondentes para uma altura manométrica constante. Com os vários pontos
obtidos fora das condições nominais pode-se levantar uma curva de FFLP em
função de PLR, conforme mostrado na Fig. (2.14), e através desta curva fazer
uma regressão cúbica e obter os valores dos coeficientes da Eq. (2.26).
Capítulo 2: Sistema Primário
40
Figura 2.14 Exemplo de uma curva da fração de potência em carga total (FFLP) em função da
razão de carga parcial (PLR).
Os valores dos coeficientes de regressão devem ser obtidos através de
no mínimo três pontos de funcionamento da bomba considerada. Assim, a
potência atual da bomba/motor nas condições de carga parcial é calculada
através da potência em carga total e da fração de potência em carga total, da
seguinte forma:
nomnparcn
PotxFFLPPot
,,
= (2.27)
onde
Pot
n,parc
, potência de eixo (shaft power) parcial da bomba (kW);
Pot
n,nom
, potência de eixo (shaft power) nominal da bomba (kW);
A potência total (bomba e motor) em condições de carga parcial é
calculada em função da eficiência do motor elétrico da seguinte forma
(ASHRAE, 1996):
m
parcn
parct
Pot
Pot
η
,
,
=
(2.28)
Capítulo 2: Sistema Primário
41
O aumento de temperatura da água na bomba é determinado a partir da
eficiência da bomba. A eficiência total da bomba/motor é assumida constante e
igual a eficiência nominal, e pode ser calculada da seguinte forma (ASHRAE,
1996):
nomn
nomnom
t
Pot
PV
,
=
&
η (2.29)
onde
P
nom
, aumento de pressão nominal na bomba ou altura manométrica
(kPa);
η
t
, eficiência total da bomba/motor;
A eficiência da bomba (η
b
) pode ser determinada através da eficiência
total (η
t
) e da eficiência do motor (η
m
), a qual é um parâmetro de entrada do
modelo, da seguinte forma (ASHRAE, 1996):
m
t
b
η
η
η = (2.30)
Fazendo a hipótese de uma bomba adiabática, o aumento da temperatura
da água na bomba está relacionado à potência total pela seguinte expressão:
(
)
(
)
(
)
ewswpwparctmbparctmperdam
TTcmPotPotf
,,,,,
11 =+
&
ηηη (2.31)
O primeiro termo leva em conta a influência das perdas do motor no
aumento de temperatura do líquido e o segundo termo leva em conta a
influência das perdas na bomba. O fator f
m,perda
é a fração das perdas do motor
que são transmitidas ao líquido (tipicamente 5-10% das perdas totais do motor).
Para bombas, este fator é praticamente zero ou muito pequeno.
A Figura (2.15) apresenta o fluxograma do modelo da bomba de
circulação, onde é mostrado o procedimento de cálculo utilizado para determinar
Capítulo 2: Sistema Primário
42
o desempenho da bomba.
Figura 2.15 Fluxograma do modelo da bomba de circulação.
Dados de Entrada:
Variáveis:
w
m
&
, T
w,e
Parâmetros: η
m
, f
m,perda
,
nom
V
&
,
Pot
n,npom
, P
nom
, Coeficientes C
0 ...3
FFLP = 1
Fluxo Variável?
não
sim
Pot
n,parc
Eq. (2.27)
PLR
Eq. (2.25)
FFLP
Eq. (2.26)
Pot
t,parc
Eq.
(
2.28
)
w
m
&
- vazão de água atual (kg/s).
T
w,e
temperatura de entrada da água (ºC).
T
wse
temperatura de sda da água (ºC).
η
m
eficiência do motor.
η
b
eficiência da bomba.
η
t
eficiência total.
f
m,perda
fração das perdas do motor.
nom
V
&
- vazão volumétrica nominal (m3/s)
Pot
n,npom
Potência necessária nominal (kW).
Pot
n,parc
Potência necessária parcial (kW).
Pot
t,parc
Potência total parcial (kW).
P
nom
aumento de pressão na bomba ou
altura manométrica (kPa).
PLR razão de carga parcial.
FFLP fração de potÊncia em carga total.
η
t
Eq. (2.29)
η
b
Eq. (2.30)
T
w,s
Eq. (2.30)
43
Capítulo 3
Sistema Secundário
Nesta seção são apresentados os modelos matemáticos dos
componentes do sistema secundário. A Seção 3.1 mostra o desenvolvimento
matemático do modelo da serpentina de resfriamento, seguido pelas
Seções (3.2), (3.3) e (3.4) as quais apresentam os modelos do umidificador, do
ventilador e da caixa de mistura, respectivamente.
3.1 Modelo da Serpentina de Resfriamento
A serpentina de resfriamento (Fig. 3.1) é um dos principais componentes
de qualquer sistema de condicionamento de ar, pois é responsável pelo
resfriamento e pela desumidificação do ar dentro do ambiente, através de
conveão forçada, para promover o conforto térmico. As serpentinas são
trocadores de calor compactos em contracorrente e corrente cruzada com tubos
aletados com aletas planas connuas ou aletas circulares.
Capítulo 3: Sistema Secundário
44
Figura 3.1 Representação esquemática de uma serpentina de resfriamento.
Um dos modelos mais importantes e necessários para estimar o consumo
enertico dos sistemas de climatização (HVAC Heating, Ventilation and Air
Conditioning) é o modelo da serpentina de resfriamento, pois é responsável pela
remoção tanto de calor sensível como também de calor latente
(desumidificação). Os sistemas HVAC operam freqüentemente usando apenas o
controle de temperatura, mas a carga provocada pelo o controle da
desumidificação não é desprezível comparada ao consumo anual de energia e
necessita ser determinada.
Algumas análises destes tipos de trocadores de calor podem ser
encontradas na literatura, incluindo análises experimentais bem como o estudo
de alguns modelos tricos. A seguir são apresentados alguns estudos
realizados sobre serpentinas de resfriamento.
Elmahdy e Bigss (1985) desenvolveram uma correlação para a
transferência de calor em supercie seca de um trocador de calor de tubos
aletados, usando dados experimentais obtidos de serpentinas de seis ou mais
fileiras.
Brandemuehl et al. desenvolveram um modelo detalhado para serpentina
de resfriamento, conhecido como modelo CCDET (ASHRAE HVAC 2 Toolkit,
1993), que leva em conta tanto o resfriamento quanto a desumidificação do ar
para determinar o desempenho da serpentina. O modelo associa a transferência
Capítulo 3: Sistema Secundário
45
de calor e massa com a camada de condensado sobre a supercie aletada do
lado do ar da serpentina de acordo com os métodos da ASHRAE. O modelo
determina se a supercie está seca, completamente molhada ou parcialmente
molhada.
Chuah et al. (1998) apresentaram um estudo do desempenho de um
trocador de calor de tubos aletados em um fan-coil. Os dados experimentais
foram comparados com dados obtidos a partir de correlações encontradas na
literatura.
Rabehl et al. (1999) desenvolveram uma técnica para modelar a
transferência de calor em um trocador de calor (serpentina de resfriamento) que
evita algumas das suposições e complicações de modelos detalhados. A técnica
é baseada nas relações fundamentais de transferência de calor e massa e inclui
parâmetros característicos cujos valores são determinados usando dados de
catálogo.
Tendo em vista os estudos realizados sobre serpentinas de resfriamento,
procurou-se escolher um modelo que pudesse representar da forma mais real o
comportamento da serpentina, levando em conta tanto o resfriamento como
também a desumidificação do ar. Assim, neste presente trabalho foi adotado o
modelo descrito no ASHRAE HVAC 2 Toolkit (Brandemuel, 1993), por
proporcionar bons resultados conforme descrito por Nassif et al. (2003) que
apresentaram a modelagem dos componentes de um sistema de climatização,
sendo um deles a serpentina de resfriamento. Neste trabalho, foram adotados
dois modelos para modelar a serpentina de resfriamento, sendo um deles o
modelo CCDET, os quais foram validados através de dados monitorados no
sistema real. A Figura (3.2) apresenta a comparação das temperaturas do ar de
insuflamento para o dia 29 de Julho de 2002. É possível observar que o modelo
CCDET é bem preciso. O erro relativo determinado é de 1.8% para este modelo.
Assim, pode-se concluir que o modelo CCDET fornece resultados confiáveis.
Capítulo 3: Sistema Secundário
46
Figura 3.2 Comparação das temperaturas do ar de insuflamento obtida pelos modelos e
medidas no sistema real para o 29 de Julho (Nassif et al., 2003).
A seguir é apresentada a descrição matemática do modelo CCDET, o
qual é baseado no ASHRAE HVAC 2 Toolkit (Brandemuel, 1993) onde é
mostrado o procedimento de cálculo utilizado pelo modelo.
3.1.1 Coeficiente de Transferência de Calor para o Escoamento Interno
O coeficiente de transferência de calor por conveão forçada é calculado
para um escoamento completamente desenvolvido em um tubo usando as
relações de transferência de calor para um escoamento padrão laminar ou
turbulento. Pode ser aplicado para uma seção não circular usando o diâmetro
hidráulico ao invés do diâmetro do tubo circular. As correlações são válidas para
escoamento laminar ou turbulento em tubos lisos, com diferenças de
temperatura moderadas entre a parede do tubo e o fluido, para fluidos com
mero de Prandtl entre 0.6 e 100.
O mero de Reynolds para o escoamento num tubo circular é definido
por:
w
tw
w
dG
µ
int,
Re =
(3.1)
onde
www
uG ρ= (3.2)
Capítulo 3: Sistema Secundário
47
G
w
é o fluxo de massa do fluido (taxa de escoamento de massa por unidade de
área do tubo), d
t,int
é o diâmetro interno do tubo, e μ
w
é a viscosidade dinâmica
do fluido na temperatura média da água.
O coeficiente de transferência de calor por conveão (g) é calculado da
definição do mero de Nusselt.
int,
int
t
w
w
d
k
Nug = (3.3)
Para um número de Reynolds maior do que 3000 é utilizada a correlação
de Sieder e Tate (1936), para um escoamento turbulento completamente
desenvolvido, para calcular o mero de Nusselt.
=
pw
w
www
Nu
,
3/18.0
PrRe027.0
µ
µ
(3.4)
onde
w
wpw
w
k
c
,
Pr
µ
=
(3.5)
Para um mero de Reynolds menor que 2000 é utilizado a correlação de
Sieder e Tate (1936) para a transferência de calor laminar em tubos.
( )
14.0
,
3/1
int,
3/1
PrRe86.1
=
pw
w
t
www
L
d
Nu
µ
µ
(3.6)
para 10PrRe
int,
>
L
d
t
ww
Para um número de Reynolds entre 2000 e 3000, o que caracteriza um
escoamento transitório, é utilizado para o cálculo do mero de Nusselt uma
Capítulo 3: Sistema Secundário
48
interpolação linear que resulta na seguinte expressão (Brandemuel, 1993):
+=
arlaw
turbulentow
w
arlaww
Nu
Nu
NuNu
min,
,
min,
20003000
2000Re
(3.7)
3.1.2 Coeficiente de Convecção para Superfície Externa Seca
O coeficiente de transferência de calor por conveão de trocadores de
calor com supercies estendidas é determinado utilizando-se uma correlação
entre o fator de Colburn (j), o mero de Reynolds (Re) e o mero de Stanton
(St) para o ar baseado no fluxo de massa máximo (G) (Incropera e Witt, 1992),
de forma:
frffff
fra
máxaa
A
m
A
m
A
uA
uG
σ
ρ
ρ
&&
=== (3.8)
onde
A
fr
é a área frontal do trocador de calor ;
A
ff
é a área mínima de escoamento livre das passagens aletadas (área da
seção reta perpendicular à direção do escoamento);
σ é a razão entre a área mínima de escoamento e a área frontal;
Número de Stanton (St):
apa
sext
cG
g
St
,
,
= (3.9)
Fator de Colburn (j):
3/2
PrStj = (3.10)
Sob a condição de serpentina seca, o coeficiente de transferência de
calor médio pode ser calculado através da seguinte correlação do fator Colburn,
Capítulo 3: Sistema Secundário
49
do mero de Prandtl e das propriedades do escoamento:
3/2
,,
Pr
=
aapasext
cGjg (3.11)
O fator de transferência de calor de Colburn é determinado usando o
mero de Reynolds e parâmetros geométricos da serpentina.
2
Re
1
c
a
cj = (3.12)
Os coeficientes c
1
e c
2
determinados por Elmahdy e Biggs (1985) para a
Eq. (3.12) através de dados geométricos para 200< Re
a
<2000 são os
seguintes:
065.0
141.0
1
2
2
159.0
=
y
d
l
y
c
h
(3.13)
077.0
049.0
2
2
2
323.0
=
y
e
l
y
c (3.14)
As Figuras (3.3) e (3.4) apresentam as correlações Kays e London (1984)
para os fatores de Colburn (j) e de atrito (f) em função do mero de Reynolds
para um determinado arranjo de tubos aletados.
Capítulo 3: Sistema Secundário
50
Figura 3.3 Fator de Colburn e fator de atrito num trocador de calor de tubos circulares
aletados (Kays e London, 1984).
Figura 3.4 Fator de Colburn e fator de atrito num trocador de calor de tubos circulares e aletas
connuas (Kays e London, 1984).
Capítulo 3: Sistema Secundário
51
O mero de Reynolds é calculado da seguinte forma:
µ
ha
a
dG
=Re (3.15)
O fluxo de massa, G
a
, é baseado na área mínima de escoamento. O
diâmetro hidráulico, d
h
, é um diâmetro efetivo dentro dos canais da aleta, e é
definido como:
T
ff
h
A
LA
d
4
=
(3.16)
3.1.3 Coeficiente de Convecção para Superfície Externa Molhada
A presença de uma camada de líquido em uma supercie faz com que
seu coeficiente de convecção aumente, pois esta camada dificulta a
transferência de calor nesta supercie. Portanto, quando se deseja estudar
supercies molhadas deve-se levar em conta a resistência térmica da camada
de líquido.
O coeficiente de transferência de calor por conveão para uma
supercie estendida de um trocador de calor com uma supercie molhada é
calculado através do coeficiente de conveão para uma supercie seca usando
um fator de correção baseado na velocidade de face.
O coeficiente de convecção médio para uma supercie molhada pode ser
determinado pelo coeficiente para uma supercie seca (Eq. (3.11)) com um
simples fator de correção dado por Myers (1967):
sextfmext
gCg
,,
= (3.17)
O fator de correção é uma função da velocidade de face para o ar padrão
e foi determinado pela regressão de dados experimentais. Para unidades da
velocidade de face em m/s o fator de correção pode ser expresso da seguinte
Capítulo 3: Sistema Secundário
52
forma:
101.0
0673.1
ff
uC = (3.18)
onde a velocidade de face u
f
é
a
a
f
G
u
ρ
= (3.19)
onde G
a
é calculado pela Eq. (3.8).
Esta correlação foi desenvolvida para 600< Re
a
<2000. O mero de
Reynolds é dado pela Eq. (3.15).
3.1.4 Eficiência de Superfícies Aletadas
Trocadores de calor usados para aquecimento ou resfriamento podem ter
aletas de vários tipos na supercie em contato com o ar. A Figura (3.5) mostra
dois tipos de tubos aletados. A Figura (3.5a) apresenta aletas em espiral,
enquanto a Fig. (3.5b) tem aletas planas connuas. Vários outros tipos podem
ser empregados como aletas circulares e aletas em barra.
Figura 3.5 Ilustração esquemática de tubos aletados (Kuehn et al., 1998).
A adição de aletas aos tubos aumenta a área externa, mas com a
Capítulo 3: Sistema Secundário
53
diminuição da diferença média de temperatura entre a superfície e a corrente de
ar. Considerando que a resistência térmica do tubo pode ser desprezível, a
resistência térmica da supercie estendida pode ser considerável.
Um fator significante na avaliação da efetividade térmica de aletas é a
eficiência da aleta, η
f
, definida como:
bf
mf
bf
mf
f
T
T
TT
TT
,
,
,
,
=
=η (3.20)
onde T
f,m
é a temperatura média da aleta, T
f,b
é a temperatura na base da aleta
e T a temperatura de bulbo seco do ar.
Figura 3.6 Ilustração esquemática de uma aleta em barra (Kuehn et al., 1998).
Nesta seção será apresentado o estudo das eficiências de vários tipos de
supercies aletadas. Primeiramente será a eficiência de uma aleta em barra, a
qual é matematicamente o tipo mais elementar. A Figura (3.6) mostra
esquematicamente uma aleta em barra conectada ao tubo. Em geral, as
equações para a eficiência de aletas são baseadas em suposições padrão de
(1) transferência de calor em regime permanente, (2) condutividade térmica da
aleta constante, (3) t4emperatura constante na base da aleta, (4) condução de
calor unidimensional na aleta, (5) transferência de calor desprezível através da
Capítulo 3: Sistema Secundário
54
borda exterior da aleta, (6) temperatura uniforme da corrente de ar, e (7)
coeficiente de conveão na supercie externa constante.
Para qualquer seção transversal de comprimento unitário na Fig. (3.6)
tem-se (Kuehn et al., 1998):
dx
dT
ky
dx
dT
kAq
ff
f
2==
ou
dx
dx
Td
kydx
dx
Td
kydq
ff
f
2
2
2
2
22
==
mas
(
)
fextfextf
TdxgTTdxgdq == 22
Assim
f
ext
f
T
ky
g
dx
Td
=
2
2
(3.21)
Resolvendo a Eq. (3.21) para seguintes condições: x=0, T
f
=T
f,b
, e x=l,
dT
f
/dx=0, obtém-se:
+
+
=
plpl
xlpxlp
bff
ee
ee
TT
)()(
,
(3.22)
onde kygp
ext
/= e T
f,b
=T
f,b
-T.
Pode-se encontrar a taxa de transferência de calor total por unidade de
comprimento de uma aleta da seguinte forma:
=
L
fextf
dxTgq
0
2
Capítulo 3: Sistema Secundário
55
Com a Eq. (3.22), tem-se
( )
pl
p
Tg
q
bfext
f
tanh
2
,
= (3.23)
Pela definição da temperatura média da aleta T
f,m
(
)
mfextmffextf
TlgTTAgq
,,
2 == (3.24)
Assim, pelas Eqs. (3.20), (3.23) e (3.24), a eficiência da aleta em barra é dada
por:
lp
lp
f
tanh
=η (3.25)
A Figura (3.7) mostra a eficiência de uma aleta em barra calculada pela
Eq. (3.25) para valores de pl até 5.0.
Figura 3.7 Eficiência de uma aleta em barra (Kuehn et al., 1998).
Capítulo 3: Sistema Secundário
56
Aletas circulares são mais comumente aplicadas em trocadores de calor
do que aletas em barra. A Figura (3.8) mostra dois esquemas de aletas
circulares. A aleta (a) tem uma espessura uniforme, enquanto a aleta (b) tem
uma seção transversal constante. Gráficos da eficiência da aleta para estas
duas geometrias são dados nas Figs. (3.9) e (3.10). Outras configurações de
aleta são consideradas em Rohsenow et al. (1985).
Figura 3.8 Ilustração esquemática de aletas planas circulares (a) tendo uma espessura
uniforme, e (b) com uma seção transversal constante (Kuehn et al., 1998).
Figura 3.9 Eficiência de uma aleta plana circular de espessura uniforme (Kuehn et al., 1998).
Capítulo 3: Sistema Secundário
57
Figura 3.10 Eficiência de uma aleta plana circular com uma seção transversal uniforme (Kuehn
et al., 1998).
A aleta retangular de espessura uniforme é comumente usada em
serpentinas aletadas para aquecimento ou resfriamento do ar. Não é possível
obter uma solução matemática exata para a eficiência de tais aletas. Uma
aproximação normalmente utilizada é assumir que a área da aleta é equivalente
em desempenho a uma aleta plana circular de mesma área. A Figura (3.11)
mostra o método onde o raio externo equivalente da aleta circular é determinado
como
π
ab
r
extt
=
,
(3.26)
As a determinação do raio externo equivalente, a eficiência da aleta
pode ser encontrada através da Fig. (3.11).
Capítulo 3: Sistema Secundário
58
Figura 3.11 Método de aproximação para tratar uma aleta plana retangular de espessura
uniforme em termos de uma aleta plana circular de mesma área (Kuehn et al.,
1998).
3.1.5 Coeficiente Global de Transferência de Calor
O coeficiente global de transferência de calor necessário para o modelo
do trocador de calor é determinado através das resistências térmicas individuais
da serpentina.
A resistência térmica devido à condução através do tubo e devido à
incrustação no tubo é:
(
)
+
=
t
t
textt
t
extt
p
F
k
rr
A
A
R
int,,
int,
,
(3.27)
As resistências de supercie do lado do ar e do lado da água são:
ext
ext
g
R
1
= (3.28)
Capítulo 3: Sistema Secundário
59
intintsup,
sup,
int
1
gA
A
R
ext
= (3.29)
A resistência térmica devido à eficiência das aletas é:
(
)
extext
ext
f
g
R
1
1
sup,
sup,
η
η
= (3.30)
onde a efetividade da supercie é definida em termos da eficiência da aleta.
( )
f
ext
f
ext
A
A
ηη = 11
sup,
sup,
(3.31)
O coeficiente global de transferência de calor é calculado em termos de
R
i
, R
p
, R
ext
e R
f
. Para a supercie seca, usa-se o coeficiente global de
transferência de calor para o trocador de calor entre as temperaturas do ar e do
líquido.
int
sup,
RRRR
A
UA
fextp
ext
+++
= (3.32)
Para a supercie molhada, usa-se um coeficiente global interno para a
transferência de calor entre o líquido e a base da aleta e um coeficiente global
externo para a transferência de calor entre a base da aleta e o ar.
int
sup,
int
RR
A
UA
p
ext
+
= (3.33)
extf
ext
ext
RR
A
UA
+
=
sup,
(3.34)
Capítulo 3: Sistema Secundário
60
3.1.6 Análise do Trocador de Calor: O Método da Efetividade NUT
O método da efetividade é utilizado para calcular as condições de saída
de um trocador de calor simples quando são conhecidas somente as
temperaturas de entrada e as capacidades caloríficas.
A efetividade de um trocador de calor é definida como razão entre a taxa
real de transferência de calor no trocador de calor e a taxa máxima possível de
transferência de calor para uma dada condição de entrada do fluido (Incropera e
Witt, 1992). Desde que a transferência de calor possa ser expressa em termos
da taxa de escoamento e das condições de entrada e saída do fluido, o estado
de saída de um trocador de calor pode ser determinado através do estado de
entrada, da taxa de escoamento e da efetividade ε. As seguintes equações
indicam estas relações:
(
)
(
)
ewswwsaeaa
XXCXXCq
,,,,
== (3.35)
(
)
eweamáx
XXCq
,,min
= (3.36)
máx
qq ε= (3.37)
onde X é uma variável de estado que pode ser tanto a temperatura como a
entalpia. A capacidade calorífica C relaciona a transferência com a variável de
estado.
A Equação (3.37) define a efetividade, a qual pode ser determinada pelas
características sicas do trocador de calor, como a capacidade calorífica das
duas correntes e a configuração do escoamento. Para uma dada configuração,
a efetividade de um trocador de calor pode ser expressa como uma função de
duas variáveis adimensionais: o número de unidades de transferência, N ou
NUT, e a razão entre as capacidades caloríficas das correntes, C
r
.
mín
C
UA
NUTN == (3.38)
Capítulo 3: Sistema Secundário
61
máx
mín
r
C
C
C = (3.39)
onde C
mín
é a capacidade calorífica mínima e C
máx
é a capacidade calorífica
máxima das duas correntes e UA é o coeficiente global de transferência de calor
para o trocador de calor.
O método da efetividade-NUT é tipicamente aplicado na análise de
trocadores de calor sensível. Para o cálculo da transferência de calor sensível, a
temperatura do fluido é a variável de estado e a capacidade calorífica é o
produto entre a vazão mássica e o calor específico do fluido. Contudo, o método
da efetividade-NUT também pode ser usado na análise da variação de entalpia
envolvendo transferência acoplada de calor e massa (serpentina de
resfriamento e desumidificação) para calcular a entalpia de saída do fluido. Para
o cálculo da entalpia, a capacidade calorífica tem unidades de vazão mássica e
o UA é modificado para expressar a variação de entalpia.
A Tabela (3.1) apresenta algumas expressões para a efetividade em
função de C
r
e NUT para determinadas configurações de escoamento.
As condições de saída do fluido podem ser calculadas a partir da
definição da efetividade da seguinte forma:
( )
( )
ewea
w
mín
ewsw
ewea
a
mín
easa
XX
C
C
XX
XX
C
C
XX
,,,,
,,,,
=
=
ε
ε
(3.40)
Tabela 3.1 Relações de efetividade nos trocadores de calor (Incropera e Witt, 1992).
Capítulo 3: Sistema Secundário
62
DISPOSIÇÃO DAS CORRENTES RELAÇÃO
Escoamento em contra corrente
(
)
( )
r
r
CN
r
CN
eC
e
=
1
1
1
1
ε
(3.41)
1
1
=
+
=
r
Cse
N
N
ε (3.42)
Escoamento Paralelo
(
)
r
CN
C
e
r
+
=
+
1
1
1
ε
(3.43)
Escoamento Cruzado, com os dois fluidos
não misturados
=
22.0
1
exp1
78.0
NC
e
r
CN
r
ε (3.44)
Escoamento Cruzado, com os dois fluidos
misturados
1
1
11
1
+
=
N
e
C
e
r
NC
r
N
ε
(3.45)
Escoamento Cruzado, C
mín
(o-
misturado)
e C
máx
(misturado)
(
)
[
]
r
eC
C
e
N
r
=
1
1
ε
(3.46)
Escoamento Cruzado, C
mín
(misturado)
e C
máx
(mão-misturado)
r
r
NC
C
e
e
=
1
1ε (3.47)
Todos os trocadores
(aproximado,C
r
=0)
N
e
=1ε (3.48)
3.1.7 Transferência de Calor na Serpentina com Superfície Seca
Trocadores de calor com supercie seca são definidos como trocadores
de calor nos quais não transferência de massa ou remoção de umidade, ou
seja, só ocorre transferência de calor sensível.
Figura 3.12 Esquema simplificado da serpentina de resfriamento com a superfície seca.
A Figura (3.12) mostra um esquema simplificado da serpentina de
Parede do Tubo
Ar
Água
T
a,e
w
a,e
a
m
&
T
w,e
w
m
&
T
a,s
w
a,s
a
m
&
T
w,s
w
m
&
Capítulo 3: Sistema Secundário
63
resfriamento com um escoamento em contra corrente. A análise de uma
serpentina com supercie seca é realizada usando as relações convencionais
para um trocador de calor sensível. A serpentina é modelada utilizando o
método da efetividade-NUT . O cálculo da efetividade-NUT é realizado conforme
mostrado na seção (3.1.6), o qual necessita do coeficiente global de
transferência de calor e as capacidades caloríficas das duas correntes.
Aplicando um balanço de energia na serpentina (Fig. (3.12)), obtém-se as
seguintes expressões para o cálculo da transferência de calor:
(
)
( )
pwww
paaa
ewswws
saeaas
cmC
cmC
TTCq
TTCq
&
&
=
=
=
=
,,
,,
(3.49)
onde C
a
é a capacidade calorífica do ar e C
w
é a capacidade calorífica da água.
As temperaturas de saída do ar e da água são calculadas através do
método da efetividade dado valores de UA , C
a
e C
w
.
A Figura (3.13) apresenta o procedimento de cálculo utilizado para
determinar as condições de saída do ar e da água quando a superfície da
serpentina está seca.
Capítulo 3: Sistema Secundário
64
Figura 3.13 Fluxograma da serpentina com supercie seca.
3.1.8 Transferência de Calor na Serpentina com Superfície Molhada
Se a temperatura da supercie na entrada da serpentina for menor que a
temperatura de orvalho do ar na entrada, considera-se que a serpentina está
operando com a supercie completamente molhada. Para a condição de
supercie molhada, as condições do ar e da água em regime permanente
podem ser determinadas usando as relações padrão de efetividade do trocador
de calor baseadas nas entalpias ao invés das temperaturas. É utilizado um
modelo de efetividade, para uma configuração de escoamento em
contracorrente, para a variação da entalpia o qual se aproxima do desempenho
de um trocador de calor com várias fileiras e com escoamento cruzado e
contracorrente. As resistências para a transferência de entalpia são computadas
em termos dos coeficientes convencionais de transferência de calor, das
eficiências das aletas, e dos parâmetros da entalpia ficcia como descrito em
Kuehn et al. (1998) e resumido abaixo.
Dados de Entrada:
wa
mm
&&
, ,T
a,e
, T
w,e
, W
a,e
, UA
C
a
, C
w
Eq. (3.49)
T
a,s
, T
w,s
Eqs. (3.35–3.40)
q
tot
Eq. (3.49)
W
a,s
= W
a,e
wa
mm
&&
, vao mássica de ar e de água
(kg/s).
T
a,e
, T
w,e
temperatura de entrada do ar e da
água (ºC).
T
a,s
, T
w,s
temperatura de saída do ar e da
água (ºC).
W
a,e
, W
a,s
umidade absoluta do ar na
entrada e saída (kg/kg).
UA coeficiente global de transferência de
calor (W/K).
C
a
, C
w
capacidades caloríficas do ar e da
água (W/K).
q
tot
transferência de calor total (W).
Capítulo 3: Sistema Secundário
65
Figura 3.14 Esquema simplificado da serpentina de resfriamento com a superfície molhada.
A Figura (3.14) mostra um esquema simplificado da serpentina de
resfriamento com a supercie molhada com um escoamento em contra corrente.
A transferência de calor em uma serpentina molhada é calculada baseada na
entalpia para incluir os efeitos latentes. As entalpias do ar são calculadas
utilizando as equações psicrométricas convencionais. As entalpias
correspondentes da serpentina e da água são relacionadas com a do ar através
das entalpias ficcias, definida como a entalpia do ar saturado à temperatura
da serpentina ou da água.
O cálculo da transferência de calor baseado na entalpia para uma
supercie molhada usa a relação fundamental entre a transferência de calor, a
entalpia e a capacidade calorífica. Aplicando um balanço de energia na
serpentina (Fig. (3.14)), obtêm-se as seguintes expressões para o cálculo da
transferência de calor:
(
)
( )
( )
( )
ewsw
w
pesatawssatawww
saeaaa
TTcmhhCq
hhCq
,,,,,,
,,
==
=
&
(3.50)
O sub-índice da entalpia aw,sat refere-se a entalpia do ar saturado
avaliado à temperatura da água e representa a entalpia ficcia. A capacidade
calorífica depende da relação entre a transferência de calor e as entalpias. No
lado do ar, a capacidade calorífica da entalpia é a vazão mássica de ar. No lado
Parede do Tubo
Ar
Água
w
a,e
a
m
&
T
a,e
h
a,e
T
w,e
w
m
&
w
a,s,
a
m
&
T
a,s
h
a,sd
T
w,s
w
m
&
Condensado
Capítulo 3: Sistema Secundário
66
da água, a capacidade calorífica da entalpia é baseada na entalpia do ar
saturado à temperatura da água.
w
satp
p
w
aa
c
c
mC
mC
=
=
,
&
&
(3.51)
onde
satsatpsat
Tch =
,
(3.52)
A variável c
p,sat
é o calor específico efetivo do ar saturado, definido pela
Eq. (3.52). Para obter a melhor aproximação, um valor médio de c
p,sat
é
determinado utilizando a temperatura da supercie aletada na entrada e na
saída da serpentina molhada. Cálculos rigorosos de c
p,sat
sob essas suposições
necessitam conhecer o estado de saída do fluido, resultando em uma solução
iterativa. Para evitar um processo iterativo, c
p,sat
é calculado usando a
temperatura de orvalho do ar na entrada T
orv,e
e a temperatura da água na
entrada T
w,e
. A temperatura real da supercie da aleta na entrada do ar será
menor e a temperatura real na entrada da água será maior, mas a curva entre
esses dois pontos é muito próxima pelas temperaturas do ar e da água.
(
)
( )
eweorv
ewesataweorvesata
satp
TT
ThTh
c
,,
,,,,,,
,
)()(
= (3.53)
A entalpia de saída do ar e a entalpia do ar saturado à temperatura da
água pode ser determinada pela modelagem da serpentina como um trocador
de calor em contracorrente (Fig. (3.14)). Contudo, visto que os cálculos da
transferência de calor são realizados baseados nas entalpias, o coeficiente
global de transferência de calor deve ser baseado no potencial entálpico ao
invés do potencial de temperatura. O coeficiente de transferência de calor
baseado na entalpia, UA
h
, é relacionado ao coeficiente convencional baseado
Capítulo 3: Sistema Secundário
67
na temperatura pelo calor específico.
p
h
c
UA
UA = (3.54)
Para uma serpentina molhada, a transferência de calor local pode ser
calculada pela seguinte expressão:
(
)
satwatoth
hhUAq
,,
= (3.55)
onde UA
h,tot
é o coeficiente global entálpico de transferência de calor.
Expressando o coeficiente global de transferência de calor entre o líquido
e o ar como um par de resistências térmicas em série, uma entre a água e a
aleta e outra entre a aleta e o ar, o coeficiente global entálpico pode ser
relacionado aos coeficientes convencionais de transferência de calor interno e
externo como:
ext
a,p
int
sat,p
tot,h
UA
c
UA
c
UA
1
+= (3.56)
Usando o coeficiente global de transferência de entalpia e as
capacidades caloríficas, a entalpia de saída do ar e a entalpia do ar saturado na
temperatura de saída do líquido pode ser calculado utilizando o modelo de
trocador de calor pelo método da efetividade-NUT (Seção (3.1.6) ). A
temperatura de saída do líquido é calculada através da entalpia de saturação
usando as relações psicrométricas.
Através das condições do ar e da água e dos coeficientes globais de
transferência de calor interno UA
int
e externo UA
ext
, é possível determinar as
condições de entrada e saída da supercie externa
A temperatura de bulbo seco e a umidade absoluta do ar na saída são
calculadas através da entalpia do ar usando o método da efetividade, o qual é
baseado na estimativa da temperatura da supercie aletada. A temperatura do
Capítulo 3: Sistema Secundário
68
condensado na serpentina é desconhecida, mas é assumida constante.
Portanto, o condensado representa uma corrente de fluido com capacidade
calorífica térmica infinita (C
r
=0), e aplica-se a seguinte relação de efetividade
(Tab. 3.1):
N
e1
=ε (3.57)
Usando esta relação junto com a entalpia do ar na entrada da serpentina
e a entalpia do ar na saída que são conhecidas, a entalpia saturada na
temperatura do condensado para o cálculo da efetividade pode ser determinada
da seguinte forma:
ε
saea
eacondsat
hh
hh
,,
,,
= (3.58)
A temperatura do condensado (supercie) é determinada através da
entalpia saturada usando-se as relações psicrométricas. Dada a temperatura do
condensado, T
cond
, a temperatura de bulbo seco do ar na saída é calculada pela
seguinte expressão:
(
)
condeaeasa
TTTT =
,,,
ε (3.59)
Logo, o calor sensível pode ser determinado usando um simples balaço
de energia:
(
)
saeapaamsen
TTcmq
,,,
=
&
(3.60)
A Figura (3.15) apresenta o procedimento de cálculo utilizado para
determinar as condições de saída do ar e da água quando a superfície da
serpentina está completamente molhada.
Capítulo 3: Sistema Secundário
69
Figura 3.15 Fluxograma da serpentina com supercie molhada.
Dados de Entrada:
wa
mm
&&
, ,T
a,e
, T
w,e
, W
a,e
,
UA
int
,UA
ext
h
a,e
e h
aw,sat,e
c
p,sat
Eq. (3.53)
wa
mm
&&
, vao mássica de ar e de água (kg/s).
T
a,e
, T
w,e
temperatura de entrada do ar e da água (ºC).
T
a,s
, T
w,s
temperatura de saída do ar e da água (ºC).
T
sup,e
temperatura da superfície de entrada (ºC).
W
a,e
, W
a,s
umidade absoluta do ar na entrada e saída
(kg/kg).
h
a,s
, h
a,s
entalpia do ar na entrada e na saída (J/kg).
h
aw,sat,e
, h
aw,sat,e
entalpia do ar saturado na temperatura
da água de entrada e sda (J/kg).
h
asuo,sat,e
, h
asup,sat,e
entalpia do ar saturado na
temperatura da superfície de entrada
e sda (J/kg).
UA
int
, UA
ext
coeficiente global de transferência de
calor interno e externo (W/K).
C
p,sat
calor específico efetivo (J/kg K).
q
tot
transferência de calor total (W).
q
sen
transferência de calor sensível (W).
R
r,resist
razão de resistências (-).
W
a,s
umidade absoluta do ar na saída (kg/kg).
h
a,s
, h
aw,sat,s
Eqs. (3.35–3.40)
ext
satp
pa
resistr
UA
c
c
UA
UA
R
,
int
int
,
+
=
T
sup,e
(
)
saeaatot
hhmq
,,
=
&
pww
tot
ewsw
cm
q
TT
&
+=
,,
T
a,s
Eq. (3.59)
Q
sen
Eq. (3.60)
(
)
ssatawearesistrssatawesata
hhRhh
,,,,,,,sup,
+
=
(
)
esatawsaresistresatawssata
hhRhh
,,,,,,,sup,
+=
W
a,s
(
T
a,s
,h
a,s
)
Capítulo 3: Sistema Secundário
70
3.1.9 Transferência de Calor na Serpentina com Superfície Parcialmente
Molhada
Uma serpentina de resfriamento pode operar com a supercie
parcialmente molhada, ou seja, pode existir uma região da serpentina onde a
supercie esta seca e uma outra onde a supercie esta molhada tendo assim
duas regiões distintas dentro da serpentina. Se temperatura da superfície na
entrada do ar é maior do que a temperatura de orvalho do ar na entrada, mas a
temperatura da supercie na saída do ar é menor do que a temperatura de
orvalho na entrada, então é considerado que a supercie da serpentina esta
parcialmente molhada. A serpentina é modelada como duas serpentinas
separadas uma seca e outra molhada com condições comuns na fronteira
(Fig. (3.16)). Sob condições secas, as condições do ar e da água em regime
permanente podem ser determinadas usando as relações padrão de efetividade
do trocador de calor. Sob condições molhadas, as mesmas relações podem ser
usadas.
Figura 3.16 Esquema simplificado da serpentina de resfriamento com a superfície parcialmente
molhada.
A transferência de calor em uma serpentina com parte da superfície seca
e parte molhada é calculada tratando as duas seções da serpentina como
trocadores de calor separados com uma fronteira comum como mostrado na
Parede do Tubo
Ar
Água
w
a,e
a
m
&
T
a,e
h
a,e
T
w,e
w
m
&
Condensado
w
a,s,
a
m
&
T
a,s
h
a,s
T
w,s
w
m
&
Fronteira, T
orv
Capítulo 3: Sistema Secundário
71
Fig. (3.16). A parte seca da serpentina é analisada pelo método descrito na
Seção (3.1.7) e a parte molhada da serpentina é analisada pelo método
descrito na Seção (3.1.8). Os trocadores de calor seco e molhado são unidos
por uma fronteira comum entre eles.
Para que as condições de saída do ar possam ser calculadas é
necessário determinar exatamente qual fração da área da supercie externa
total está molhada (f
am
). A área é determinada sabendo-se que o vapor dágua
presente no ar (umidade) começa a se condensar na supercie da serpentina
quando a temperatura da supercie é igual a temperatura de orvalho do ar na
entrada. A fração de área da supercie molhada é ajustada iterativamente para
obter esta temperatura na supercie da fronteira entre as seções seca e
molhada.
A Figura (3.17) apresenta o procedimento de cálculo utilizado para
determinar as condições de saída do ar e da água quando a superfície da
serpentina está parcialmente molhada.
Capítulo 3: Sistema Secundário
72
Figura 3.17 Fluxograma da serpentina parcialmente molhada.
Dados de Entrada:
wa
mm
&&
, ,T
a,e
, T
w,e
, T
orv,e,
W
a,e
,A
sup,ext
, UA
int
,UA
s
, UA
m
Estimar:
T
w,f
, T
w,s
, f
am
Seção 3.1.7
Seção (3.1.8
)
T
w,f
T
w,f
Convergiu?
não
sim
T
sup,f
> T
orv,e
não
sim
Asup,ext
área da superfície externa (m2).
f
am
fração de área molhada (-).
wa
mm
&&
, vao mássica de ar e de água (kg/s).
T
a,e
, T
w,e
temperatura de entrada do ar e da água (ºC).
T
orv,e
temperatura de orvalho na entrada (ºC).
T
w,s
temperatura de saída da água (ºC).
T
w,f
temperatura da água na fronteira (ºC).
T
sup,f
temperatura da superfície na fronteira C).
W
a,e
umidade absoluta do ar na entrada (kg/kg).
UA
s
, UA
m
coeficiente global de transferência de
calor da sup. seca e molhada (W/K).
UA
int
coeficiente global de transferência de calor
interno (W/K).
q
tot
, q
sen
transferência de calor total e sensível (W).
q
tot,s
, q
sen,m
transferência de calor total e sensível da
f
am
(T
sup,f
)
f
am
Convergiu?
não
sim
Seção 3.1.7
msenssensen
mtotstottot
qqq
qqq
,,
,,
+=
+=
Capítulo 3: Sistema Secundário
73
3.1.10 Parâmetros da Serpentina de Resfriamento
O modelo da serpentina de resfriamento necessita de alguns parâmetros
geométricos. A Tabela (3.2) apresenta os parâmetros geométricos necessários
para modelar a serpentina de resfriamento.
Tabela 3.2 Parâmetros geométrico da serpentina de resfriamento.
PARÂMETRO UNIDADE
Altura da serpentina (H)
m
Comprimento da serpentina (C)
m
Largura da serpentina (L)
m
Distância entre tubos (b)
m
Distância entre fileiras (a)
m
Diâmetro do tubo externo (d
t,ext
)
m
Diâmetro do tubo interno (d
t,int
)
m
Espessura da aleta (e)
m
Número de aletas por metro 1/m
Número de fileiras
Número de Tubos por fileira
Número circuitos
Condutividade térmica da aleta (k
f
)
W/m K
Condutividade térmica do tubo (k
t
)
W/m K
A Figura (3.18) mostra uma representação em corte da serpentina de
resfriamento.
Figura 3.18 Representação em corte da serpentina de resfriamento.
C
H
L
d
t,ext
d
t,int
b
a
Capítulo 3: Sistema Secundário
74
3.1.11 Fluxograma de Cálculo da Serpentina de Resfriamento
Figura 3.19 Fluxograma de cálculo da serpentina de resfriamento.
UA
int
Eq. (3.33)
UA
ext,tot,,m
Eq. (3.34)
g
int
Seção (3.1.1)
g
ext,s
Seção (3.1.2)
Dados de entrada:
T
a,e
, W
a,e
,
ea
m
,
&
, T
w,e
,
ew
m
,
&
Parâmetros da serpentina
Serpentina Seca
Seção (3.1.7)
T
orv,e
< T
w,e
sim
UA
ext,tot,s
Eq. (3.32)
não
UA
ext,s
Eq. (3.34)
g
ext,m
Seção (3.1.3)
η
f,s
(g
ext,s
)
Seção (3.1.4)
η
f,s
(g
ext,m
)
Seção (3.1.4)
Serpentina Molhada
Seção (3.1.8)
T
orv,e
< T
sup,e
não
sim
Serpentina Parcialmente
Molhada
Seção (3.1.9)
FIM
wa
mm
&&
, vao mássica de ar e de água (kg/s).
T
a,e
, T
w,e
temperatura de entrada do ar e da água (ºC).
T
orv,e
temperatura de orvalho na entrada (ºC).
T
sup,e
temperatura da superfície de entrada (ºC).
g
int
.coef. de transferência de calor interno (W/m
2
K)
g
ext,s
, g
ext,m
coef. de transferência de calor externo para
sup. seca e molhada(W/m
2
K).
UA
int
, UA
ext
coeficiente global de transferência de calor
interno e externo (W/K).
η
f,s
, η
f,m
eficiência da aleta com superfície seca e molhada.
W
a,e
umidade absoluta do ar na entrada (kg/kg).
Capítulo 3: Sistema Secundário
75
3.2 Modelo do Umidificador Injão de Vapor
O umidificador é responsável por umidificar uma corrente de ar quando
este estiver com a umidade abaixo da desejada.
Neste trabalho foi utilizado um modelo de umidificador com injeção de
vapor, o qual realiza o processo de umidificação do ar através da adição de um
fluxo de vapor dágua. O modelo é baseado no ASHRAE HVAC 2 Toolkit
(Brandemuel, 1993), o qual utiliza um simples balanço térmico no umidificador
(Fig. (3.20)) levando em conta a saturação do ar. Este modelo determina a
temperatura e umidade absoluta ar considerando um processo isobárico
(pressão constante) onde é injetado um fluxo de vapor na corrente de ar
aumentando assim a sua umidade. A umidade de saída do ar é limitada por uma
eficiência de saturação η
sat
onde a umidade não pode exceder esta eficiência.
Figura 3.20 Representação esquemática de um umidificador com injeção de vapor.
3.2.1 Descrição Matemática
A temperatura de saída do ar é determinada através de uma média
ponderada entre as condições de entrada do ar e do fluxo de vapor, da seguinte
forma:
aupavappvap
eapaavapvappvap
sa
cmcm
TcmTcm
T
,,
,,
,
&&
&&
+
+
= (3.61)
Capítulo 3: Sistema Secundário
76
onde
T
a,e
, T
a,s
, temperatura do ar na entrada e na saída do umidificador (ºC).
T
vap
, temperatura de entrada do vapor (ºC).
c
p,vap
, massa específica do vapor dágua (kg/m
3
).
c
pa
, c
p,au
, massa específica do ar seco e do ar úmido (kg/m
3
).
vap
m
&
, vazão mássica de vapor (kg/s).
a
m
&
, vazão mássica de ar (kg/s).
A massa específica do ar úmido pode ser determinada através da equação
abaixo (Stoecker e Jones, 1985):
vappeapaaup
cWcc
,,,
+= (3.62)
Considerando que todo o vapor é absorvido pela corrente de ar, a
umidade absoluta do ar na saída do umidificador pode ser determinada através
de um balanço de massa, da seguinte forma:
a
vap
easa
m
m
WW
&
&
+=
,,
(3.63)
A umidade absoluta de saturação do ar na temperatura de saída pode ser
determinada através da pressão de saturação, da seguinte forma (Stoecker e
Jones, 1985):
(
)
( )
sasatatm
sasat
ssata
TPP
TP
W
,
,
,,
622.0
= (3.64)
onde
P
atm
, pressão atmosférica (Pa).
P
sat
(T
a,s
), pressão de saturação do ar em função da temperatura de saída
Capítulo 3: Sistema Secundário
77
do ar (Pa).
W
a,sat,s
, umidade absoluta de saturação do ar na saída do umidificador
(kg/kg).
A umidade absoluta do ar na saída do umidificador é limitada por uma
eficiência de saturação η
sat
, definida como a razão entre a umidade absoluta
atual máxima pela umidade absoluta de saturação na mesma temperatura. A
eficiência de saturação é aproximadamente igual a máxima umidade relativa que
o ar pode sair do umidificador. A umidade do ar na saída do umidificador
corresponde ao menor valor entre a umidade absoluta determinada
considerando que todo o vapor seja absorvido pela corrente de ar (Eq. (3.63)) e
a umidade absoluta de saturação multiplicada pela eficiência de saturação
(Eq. (3.64)), conforme mostrado abaixo:
(
)
satssatasasa
WWMINW η
,,,,
,= (3.65)
A taxa de transferência de calor é determinada através de um balanço de
energia no umidificador. A equação abaixo mostra como pode ser determinada a
taxa de transferência de calor total (q
tot
) e a taxa de transferência de calor
sensível (q
sen
):
(
)
( )
saeaaupasen
saeaatot
TTcmq
hhmq
,,,
,,
=
=
&
&
(3.66)
Capítulo 3: Sistema Secundário
78
3.2.2 Fluxograma do Modelo do Umidificador
A Figura (3.21) apresenta o fluxograma do modelo do umidificador onde
é mostrado o procedimento de cálculo utilizado no modelo.
Figura 3.21 Fluxograma do modelo do umidificador com Injeção de vapor.
Dados de Entrada:
Variáveis:
a
m
&
,
vap
m
&
, T
a,e
, T
vap
, W
a,e
Parâmetros: η
sat
W
a,s
<
η
sat
W
a,sat,s
sim
c
p,au
Eq. (3.62)
W
a,s
=W
a,s
T
a,s
Eq. (3.61)
W
a,s
Eq. (3.63)
W
a,sat,s
Eq. (3.64)
não
W
a,s
=W
a,sat,s
q
tot
, q
sen
Eq. (3.66)
a
m
&
- vazão ssica de ar (kg/s).
vap
m
&
- vazão ssica de vapor (kg/s).
T
a,e
, T
a,s
temperatura de entrada e saída do ar (ºC).
T
vap
temperatura do vapo d’água (ºC).
W
a,e
, W
a,s
umidade absoluta do ar na entrada e na
sda (kg/s).
W
a,sat,s
umidade absoluta de saturação (kg/s).
η
sat
eficiência de saturação.
c
p,au
massa especifica do ar úmido (kg/m
3
).
q
tot
, q
sen
taxa de transferência de calor total e
sensível (W).
Capítulo 3: Sistema Secundário
79
3.3 Modelo do Ventilador
O modelo do ventilador (Fig. (3.22)) determina a potência e as condições
de saída do ar, como a temperatura e umidade absoluta, para uma dada vazão
e condições de entrada do ar. O modelo do ventilador utilizado neste trabalho é
baseado no modelo apresentado no ASHRAE HVAC 2 Toolkit (Brandemuel,
1993). Este modelo considera um aumento de pressão constante através do
ventilador. A hipótese de aumento de pressão constante no ventilador é o
mesmo que assumir uma pressão estática de insuflamento fixa, o que é comum
em sistemas HVAC.
Figura 3.22 Representação esquemática de um ventilador.
O ventilador é caracterizado pela potência em carga total e pela vazão
volumétrica de ar nas condições nominais. A potência consumida em carga
parcial é determinada por uma relação empírica função da razão entre a vazão
atual sobre a vazão nominal. O aumento de pressão através do ventilador não é
determinado. O aumento da temperatura do ar é determinado para uma dada
potência de eixo (shaft power) e do motor. O modelo também não considera a
variação na massa específica do ar através do ventilador.
3.3.1 Descrição Matemática
A seleção de um ventilador de um sistema de condicionamento de ar é
caracterizada pelo aumento de pressão, pela vazão volumétrica e pela potência
necessária nominal em condição de carga total. Para um aumento de pressão
através do ventilador, a vazão de ar nominal e a potência necessária são as
duas variáveis que caracterizam o consumo de energia do ventilador. O
Capítulo 3: Sistema Secundário
80
desempenho do ventilador fora das condições nominais é determinado através
do desempenho nominal utilizando uma aproximação da razão de carga parcial
(part-load ratio).
Para um ponto de funcionamento fora das condições nominais, a razão
de carga parcial (PLR) é definida como a razão entre a vazão volumétrica atual
pela vazão volumétrica nominal:
noma
aa
V
m
PLR
,
&
&
ρ
= (3.67)
onde
a
m
&
é a vazão mássica de ar (kg/s).
ρ
a
, a massa específica do ar (kg/m
3
).
noma
V
,
&
, a vazão volumétrica de ar nominal (m
3
/s).
O consumo em carga parcial é representado como uma fração da
potência nominal. Para um ponto de funcionamento onde a vazão é reduzida,
esta fração de potência em carga total (FFLP fraction of full-load power) é
calculada utilizando uma curva polinomial em função da razão de carga parcial
(PLR), da seguinte forma:
3
3
2
210
PLRCPLRCPLRCCFFLP +++= (3.68)
onde FFLP é a razão entre a potência atual pela potência nominal do ventilador.
A soma dos coeficientes deve ser sempre igual a um, pois quando a razão de
carga parcial (PLR) for 1, isto implica que o ventilador esta operando em carga
total e valor de FFPL tamm deve ser igual a um.
Cada tipo e tamanho de ventilador têm características diferentes, onde
estas características são mostradas através das curvas de desempenho de
ventiladores (Fig. (3.23)) que devem ser desenvolvidas por fabricantes. Uma
curva de desempenho de um ventilador é uma representação gráfica de seu
Capítulo 3: Sistema Secundário
81
desempenho, onde normalmente cobre todo o intervalo desde a descarga livre
(sem obstruções ao fluxo) até vazão zero (um sistema totalmente vedado sem
nenhum fluxo de ar). As seguintes características podem ser representadas
graficamente em função da vazão: a pressão estática, pressão total, potência,
rendimento estático do ventilador e rendimento total do ventilador. A densidade
do s, o tamanho do ventilador e a rotação são geralmente constantes durante
toda a curva e devem ser expressos.
Figura 3.23 Curva de desempenho de ventilador.
Através da curva de desempenho de um ventilador (Fig. (3.23)) é possível
calibrar o coeficientes da Eq. (3.68) fazendo uma varredura da vazão
volumétrica desde o ponto das condições nominais até um valor mínimo
possível, obtendo os valores de potência correspondentes para uma pressão
constante. Com os vários pontos obtidos fora das condições nominais pode-se
levantar uma curva de FFLP em função de PLR e através desta curva fazer uma
regressão cúbica e obter os valores dos coeficientes da Eq. (3.68).
A potência necessária atual do ventilador em condições de carga parcial
Capítulo 3: Sistema Secundário
82
é determinada através da potência em carga total e da fração de potência em
carga total, da seguinte forma:
nomnparcn
PotxFFLPPot
,,
= (3.69)
onde
Pot
n,parc
, potência de eixo parcial do ventilador (kW).
Pot
n,nom
, potência eixo nominal do ventilador (kW).
A potência total do ventilador em condições de carga parcial é calculada
em função da eficiência do motor elétrico da seguinte forma (ASHRAE, 1996):
m
parcn
parct
Pot
Pot
η
,
,
=
(3.70)
O aumento da temperatura do ar depende da posição onde é colocado o
ventilador. Enquanto a potência necessária do ventilador sempre contribui para
a transferência de calor do ar, o efeito das ineficiências do motor pode ou o
afetar esta transferência de calor dependendo de onde está localizado o motor,
dentro ou fora do fluxo de ar. A equação abaixo fornece um modelo conveniente
e geral para levar em conta a transferência de calor do motor:
(
)
perdamparcnparctparcnp
fPotPotPotq
,,,,
+= (3.71)
onde o fator f
m,perda
é a fração das ineficiências do motor transferida para o fluxo
de ar e q
p
é a perda de calor do ar. O valor desta fração é 1 se o motor estiver
dentro do fluxo de ar e 0 se estiver fora do fluxo. As condições de saída do ar
são determinadas em termos da entalpia (Eq. (3.72)) e umidade absoluta e a
temperatura de saída é determinada utilizando relações psicrométricas.
(
)
easaap
hhmq
,,
= (3.72)
A Figura. (3.24) apresenta o fluxograma do modelo do ventilador, onde é
Capítulo 3: Sistema Secundário
83
mostrado o procedimento de cálculo utilizado para determinar o desempenho do
ventilador.
Figura 3.24 Fluxograma do modelo do ventilador.
Dados de Entrada:
Variáveis:
a
m
&
, T
a,e
Parâmetros: η
m
, f
m,perda
,
nom
V
&
,
Pot
n,npom
,, Coeficientes C
0 ...3
FFLP = 1
Fluxo Variável?
não
sim
Pot
n,parc
Eq. (3.69)
PLR
Eq. (3.67)
FFLP
Eq. (3.68)
Pot
t,parc
Eq. (3.70)
a
m
&
- vazão de ar atual (kg/s).
T
a,e
temperatura de entrada do ar (ºC).
T
w,s
temperatura de saída do ar (ºC).
η
m
eficiência do motor.
q
p
calor perdido pelo ar (kW).
h
a,s
entalpia do ar na saída (kJ/kg).
f
m,perda
fração das perdas do motor.
nom
V
&
- vazão volumétrica nominal (m
3
/s)
Pot
n,npom
Potência necessária nominal (kW).
Pot
n,parc
Potência necessária parcial (kW).
Pot
t,parc
Potência total parcial (kW).
PLR razão de carga parcial.
FFLP fração de potência em carga total.
W
a,e
umidade absoluta na entrada (kg/kg).
W
a,s
umidade absoluta na saída (kg/kg).
q
p
Eq. (3.71)
h
a,s
Eq. (3.72)
W
a,s
= W
a,e
T
a,s
Capítulo 3: Sistema Secundário
84
3.4 Modelo da Caixa de Mistura
Em um sistema de condicionamento de ar a caixa de mistura é
responsável pela mistura da corrente de ar de retorno com a corrente de ar
externo (renovação). O modelo determina as condições de saída do ar para um
processo de mistura baseado nas equações de conservação de energia e de
massa para o ar úmido (Stoecker e Jones, 1985). A Figura (3.25) apresenta o
esquema do processo de mistura de duas correntes de ar em dois estados
diferentes.
Figura 3.25 Esquema do processo de mistura.
3.4.1 Descrição Matemática
Aplicando a equação de conservação de massa no esquema acima é
possível determinar a vazão mássica de ar seco após a mistura da seguinte
forma:
eaeasa
mmm
,2,1,
&&&
+
=
(3.73)
A umidade absoluta do ar as a mistura é determinada da conservação
de massa de água, através da equação abaixo:
sa
eaeaeaea
sa
m
WmWm
W
,
,2,2,1,1
,
&
&&
+
= (3.74)
Capítulo 3: Sistema Secundário
85
A entalpia do ar misturado é obtida através da equação da conservação
de energia da seguinte forma:
sa
eaeaeaea
sa
m
hmhm
h
,
,2,2,1,1
,
&
&&
+
= (3.75)
A temperatura do ar é determinada através da entalpia e da umidade
absoluta pelas relações psicrométricas.
As Equações (3.74) e (3.75) mostram que a entalpia final do ar é a média
ponderada das entalpias das correntes que se misturam, o mesmo ocorrendo
com a umidade absoluta final em relação às umidade absolutas das correntes
que se misturam.
86
Capítulo 4
Procedimento de Simulação
Este capítulo apresenta os parâmetros de simulação (características
construtivas) das edificações utilizadas para realizar as simulações que serão
mostradas no Capítulo 5. Serão apresentadas duas edificações, uma composta
por uma única zona, utilizada para fazer uma comparação entre os programas
DOMUS (Mendes et al., 2001b, 2003b) e VisualDOE (Winkelmann et. al, 1993),, e
uma outra composta por seis zonas sobrepostas Também serão apresentados
os parâmetros de simulação dos dados climáticos e dos sistemas de
climatização utilizados para a realização das simulações e a carga térmica das
edificações.
4.1 Dados Climáticos
Para realizar as simulações foi utilizado o arquivo climático (TRY-Test
Reference Year) da cidade de Belém (latitude: -1.38º; longitude: -48.48º; GMT: -
3h; altitude: 16m). As Figuras (4.1) e (4.2) mostram os dados de temperatura,
umidade relativa e radiação solar total para o mês de janeiro.
Capítulo 4: Procedimento de Simulação
87
Figura 4.1 Temperatura e umidade relativa da cidade de Belém para o mês de janeiro.
Figura 4.2 Radiação solar total da cidade de Belém para o mês de janeiro.
A radiação solar total apresentada na Fig. (4.2) foi calculada pelo modelo
do DOE-2 (Winkelmann et al, 1993) o qual se baseia na nebulosidade do céu.
Capítulo 4: Procedimento de Simulação
88
4.2 Descrição das Edificações
As características construtivas das edificações são iguais para os dois
casos (monozona e multizona). As paredes laterais, o teto e piso são feitos de
concreto celular monolítico com uma espessura de 15 cm não possuindo
nenhum revestimento interno ou externo, com uma permeância na supercie
externa de 9e-10 kg/(Pa-m
2
-s) e na interna de 2e-10 kg/(Pa-m
2
-s), com uma
divisão de 20 seções em cada parede. A Tabela (4.1) mostra as características
sicas do concreto monolítico utilizado nas edificações. O ambiente abaixo do
piso das edificações é o ar externo, ou seja, não existe solo.
Tabela 4.1 Características físicas do concreto celular monolítico.
Cond.
Térmica
(W/mK)
Espessura
(m)
U
(W/m
2
K)
R
(m
2
K/W)
Densidade
(kg/m
3
)
C
p
(J/kgK)
Paredes Laterais (interna para externa)
Coeficiente de
conveão interno
8.29 0.121
Concreto 0.18 0.15 1.33 0.750 650 840
Coeficiente de
Conveão externo
29.30 0.034
Piso (interno para externo o externo é o ar)
Coeficiente de
conveão interno
8.29 0.121
Concreto 0.18 0.15 1.33 0.750 650 840
Coeficiente de
Conveão externo
29.30 0.034
Teto (interno para externo)
Coeficiente de
conveão interno
8.29 0.121
Concreto 0.18 0.15 1.33 0.750 650 840
Coeficiente de
Conveão externo
29.300 0.034
4.2.1 Edificação Monozona (EMNZ)
A Figura (4.3) apresenta as características geométricas da edificação
monozona que possui um volume de 1190 m
3
. Todas as paredes laterais, piso e
teto possuem características sicas conforme mostrado na Tab. (4.1). Para esta
Capítulo 4: Procedimento de Simulação
89
edificação não são considerados os fenômenos da adsorção e dessorção de
umidade nas paredes. A edificação não possui janelas. O piso da edificação, no
lado externo, possui uma camada de isolante térmico de 1 metro de espessura
com uma densidade de 40 kg/m
3
, condutividade térmica de 0.045 W/m-K e um
calor específico de 750 J/kg-K. O ambiente abaixo da camada de isolante é o ar
externo.
A edificação possui um ganho de calor interno de 1300 W sendo 100%
sensível e 100% convectivo. Este ganho de calor interno é configurado para
ficar ligado 24h por dia durante todo o ano.
Figura 4.3 Características geométricas da edificação monozona.
4.2.2 Edificação Multizona (EMTZ)
A Figura (4.4) apresenta as características geométricas da edificação
multizona. As zonas possuem as mesmas dimensões (13 x 10 x 3m). Todas as
paredes laterais, piso e teto das zonas possuem características sicas conforme
mostrado na Tab. (4.1). Neste caso são considerados os fenômenos da
adsorção e dessorção de umidade nas paredes. O ambiente abaixo do piso da
zona 1, a qual é a zona mais inferior, é o ar externo. As janelas existentes nas
zonas são de vidros do tipo duplo com um coeficiente global de transferência de
calor igual a 3 W/m
2
K. O coeficiente de ganho de calor solar é igual a 1
(incidência normal) e não possuem qualquer proteção interna contra o Sol. A
Tabela (4.2) mostra a relação das janelas existentes em cada zona de acordo
com as fachadas e as dimensões.
17 m
20 m 3.5m
Norte
Capítulo 4: Procedimento de Simulação
90
Figura 4.4 Características geométricas da edificação multizona.
Tabela 4.2 Relação das janelas existentes na EMTZ.
Fachada janelas
Dimeno:
Altura x Largura
Norte 1 1.5 m x 4.0 m
Sul 2 1.5 m x 4.0 m
Leste 2 1.5 m x 4.0 m
Zona 1
Oeste 2 1.5 m x 4.0 m
Norte 2 1.5 m x 5.0 m
Sul 4 1.5 m x 2.0 m
Leste 4 1.5 m x 2.0 m
Zona 2 à Zona 6
Oeste 4 1.5 m x 2.0 m
As cargas térmicas internas eventuais são provenientes dos ocupantes,
da iluminação artificial e dos equipamentos. As configurações dos horários das
cargas internas são de segunda à sexta-feira das 8:00 às 18:00 horas. Os
ocupantes das zonas estão sentados e cada um dissipa 60 W de calor sensível,
sendo 100% convectivo e 80 W de calor latente. A iluminação fluorescente
dissipa 45 W/m
2
de área útil de piso, 100% convectivo. Os equipamentos
dissipam 100 W de calor sensível cada um 100% convectivo. A Tabela (4.3)
apresenta a relação das quantidades dos ocupantes, equipamentos e
iluminação de cada zona.
Zona 1
Zona 2
Zona 3
Zona 4
Zona 5
Zona 6
3 m
10 m
13 m
Norte
Capítulo 4: Procedimento de Simulação
91
Tabela 4.3 Relação de ocupantes, equipamentos e iluminação da EMTZ.
Número de
Ocupantes
Número de
Equipamentos
Iluminação (W)
Zona 1 20 10 5850
Zona 2 20 12 5850
Zona 3 20 10 5850
Zona 4 20 8 5850
Zona 5 20 12 5850
Zona 6 20 10 5850
4.3 Carga Térmica das Edificações
Para selecionar os sistemas de climatização que atendem as edificações
a fim de proporcionar as condições de conforto desejadas, é necessário
conhecer a carga térmica máxima (calor latente e sensível) introduzida nos
ambientes através da condução, insolação, pessoas, equipamentos, infiltração e
também a carga térmica devido à renovação de ar externo no ambiente.
Normalmente os sistemas de climatização são dimensionados para fornecer as
condições de conforto desejadas quando a carga térmica do ambiente
condicionado é máxima.
4.3.1 Carga Térmica da Edificação Multizona
A Figura (4.5) mostra a carga térmica total (sensível e latente) máxima de
cada mês da edificação multizona que deve ser retirada dos ambientes
condicionados (zonas) para manter uma condição de conforto interna de 24ºC
de temperatura e 50% de umidade relativa. Esta carga térmica foi calculada
considerando a transferência acoplada de calor e massa nas paredes da
edificação. Na Tabela (4.4) é apresentado a relação do dia, mês e hora em que
ocorreu a carga térmica máxima de cada zona bem como a temperatura e a
umidade relativa externa.
Capítulo 4: Procedimento de Simulação
92
Figura 4.5 Carga térmica total máxima de cada mês da EMTZ.
Tabela 4.4 Relação do dia, mês e hora em que ocorreu a carga térmica máxima da EMTZ e a
temperatura e umidade relativa externa.
Carga
Sensível (kW)
Carga
Total (kW)
Dia/Mês
Hora
Temperatura
Ext. (ºC)
Umidade
Relativa Ext. (%)
Zona 1 12.912 14.678 18/11 16h 30.6 65
Zona 2 11.220 12.959 06/01 16h 35 46
Zona 3 11.029 12.780 06/01 16h 35 46
Zona 4 10.836 12.599 06/01 16h 35 46
Zona 5 11.243 13.794 06/01 16h 35 46
Zona 6 14.526 17.207 18/11 16h 30.6 65
Conhecendo a carga térmica de calor sensível a ser retirada da zona e as
condições de conforto internas desejadas e de insuflamento, pode-se determinar
a quantidade de ar que deve ser insuflado no ambiente da seguinte forma
(Creder, 1996):
( )
( )
inszpa
sen
ainszpaasen
TTc
q
mouTTcmq
==
&&
(4.1)
Capítulo 4: Procedimento de Simulação
93
onde
q
sen
, taxa de transferência de calor sensível (W).
a
m
&
, vazão mássica de ar total (kg/s).
T
z
, temperatura interna da zona (ºC).
T
ins
, temperatura de insuflamento (ºC).
c
pa
, calor específico do ar (J/kg K).
Para determinar a quantidade de ar insuflado em cada zona foi
considerada uma condição de conforto de 24ºC de temperatura e 50% de
umidade relativa e uma temperatura de insuflamento do ar no ambiente de 14ºC.
A vazão de ar externo de cada zona é de 30% da vazão total de ar insuflado no
ambiente. A Tabela (4.5) mostra os valores das vazões de ar externo e total
para as zonas da edificação multizona determinados através da Eq. (4.1).
Tabela 4.5 Relação da vazão de ar externo e total para as zonas da EMTZ.
Vazão de
Ar Externo (kg/s)
Vazão Total
De Ar (kg/s)
Zona 1 0.3847 1.2823
Zona 2 0.3343 1.1142
Zona 3 0.3286 1.0952
Zona 4 0.3228 1.0761
Zona 5 0.3349 1.1165
Zona 6 0.4327 1.4425
O ar externo introduz calor sensível e latente ao ser misturado com o ar
de retorno antes de passar pela serpentina. Portanto, além da carga térmica
total da zona, o sistema de climatização tamm deve retirar o calor adicionado
pela renovação de ar. O calor sensível e latente adicionado pelo ar externo é
determinado da seguinte forma (Creder, 1996):
Capítulo 4: Procedimento de Simulação
94
(
)
zextpaextasen
TTcmq =
,
&
(4.2)
(
)
zextvextalat
WWLmq =
,
&
(4.3)
onde
q
sen
, q
lat
, taxa de transferência de calor sensível e latente (W).
W
ext
, umidade absoluta externa (kg/kg).
W
z
, umidade absoluta da zona (kg/kg).
L
v
, calor latente de vaporização (J/kg).
exta
m
,
&
, vazão mássica de ar externo (kg/s).
A Tabela (4.6) apresenta as cargas de calor sensível e latente que são
introduzidas devido ao ar externo em cada zona. Estes valores são
determinados através das Eqs. 4.2 e 4.3, onde são utilizadas as temperaturas e
vazões do ar externo de acordo com as Tabs. (4.4) e (4.5) respectivamente.
Tabela 4.6 Relação das cargas térmicas devido a quantidade de ar externo introduzida nas
zonas da EMTZ.
Carga Latente de
Ar Externo (kW)
Carga Sensível de
Ar Externo (kW)
Carga Total de
Ar externo (kW)
Zona 1 8.418 2.557 10.975
Zona 2 5.869 3.703 9.572
Zona 3 5.769 3.639 9.408
Zona 4 5.668 3.576 9.244
Zona 5 5.881 3.710 9.591
Zona 6 9.470 2.876 12.346
Para determinar qual a capacidade de refrigeração que o sistema de
climatização deve possuir é necessário fazer o somatório das cargas térmicas
devido à condução, insolação, pessoas, equipamentos, infiltração e também
devido à renovação de ar externo. A tabela mostra a carga térmica total das
zonas que deve ser retirada para manter as condições de conforto desejadas
(24ºC e 50%). Estes valores são obtidos através do somatório da carga total
mostrada na Tab. (4.4) e (4.6) para cada zona.
Capítulo 4: Procedimento de Simulação
95
Tabela 4.7 Valores de carga térmica total de cada zona da EMTZ.
Carga Térmica
Total (kW)
Zona 1 25.653
Zona 2 22.531
Zona 3 22.188
Zona 4 21.843
Zona 5 23.385
Zona 6 29.553
4.3.2 Carga Térmica da Edificação Monozona
A Figura (4.6) mostra a carga térmica total (sensível e latente) máxima de
cada mês da edificação monozona, obtida através do programa DOMUS, que
deve ser retirada dos ambientes condicionados (zonas) para manter uma
condição de conforto interna de 24ºC de temperatura e 50% de umidade
relativa. Esta carga térmica foi calculada considerando apenas a transferência
de calor nas paredes da edificação.
O sistema de climatização da EMNZ será dimensionado para atender a
carga térmica máxima do mês de janeiro. Na Tabela (4.8) é apresentado a
relação do dia e hora em que ocorreu a carga térmica máxima do mês de janeiro
da EMNZ.
Figura 4.6 Carga térmica total máxima de cada mês da EMNZ, obtida através do programa
DOMUS.
Capítulo 4: Procedimento de Simulação
96
Tabela 4.8 Relação do dia e hora em que ocorreu a carga térmica máxima, do mês de janeiro,
da EMNZ e a temperatura e umidade relativa externa.
Carga
Sensível (kW)
Carga
Total (kW)
Dia/Mês
Hora
Temperatura
Ext. (ºC)
Umidade
Relativa Ext. (%)
Monozona 15.695 15.695 06/01 16h 35 46
Com a carga térmica de calor sensível a ser retirada da zona e as
condições de conforto internas desejadas e de insuflamento (24 ºC e 14º,
respectivamente), determina-se a quantidade de ar que deve ser insuflado no
ambiente através da Eq. (4.1). A vazão de ar externo da zona é de 50% da
vazão total do ar insuflado no ambiente. A Tabela (4.9) mostra os valores das
vazões de ar externo e total determinados através da Eq. (4.1).
Tabela 4.9 Relação da vazão de ar externo e total da EMNZ.
Vazão de
Ar Externo (kg/s)
Vazão Total
De Ar (kg/s)
Monozona
0.7793 1.5586
O calor sensível e latente adicionado pelo ar externo é determinado
através das Eq. (4.2) e (4.3), em função da temperatura e vazão de ar externo
mostradas nas Tabs. (4.8) e (4.9), respectivamente. A Tabela (4.10) apresenta
as cargas de calor sensível e latente que são introduzidas devido ao ar externo.
Tabela 4.10 Relação da carga térmica devido a quantidade de ar externo introduzida na EMNZ.
Carga Latente de
Ar Externo (kW)
Carga Sensível de
Ar Externo (kW)
Carga Total de
Ar externo (kW)
Monozona
14.033 5.571 19.604
A capacidade de refrigeração total que o sistema de climatização deve
possuir é obtida fazendo-se o somatório das cargas térmicas devido à
condução, insolação, equipamentos, infiltração e também devido à renovação
de ar externo. A capacidade de refrigeração necessária para a EMNZ é de
35.299 kW.
Capítulo 4: Procedimento de Simulação
97
4.4 Descrição dos Sistemas de Climatizão
A seguir serão especificados os sistemas de climatização utilizados para
a realização das simulações das edificações monozona e multizona. Estes
sistemas foram selecionados considerando as cargas térmicas das edificações
mostradas na Seção 4.3.
4.4.1 Sistema Primário com Condensação a Ar (SP-AR)
O sistema primário com condensação a ar (Fig. (4.7)) é composto de um
resfriador de líquido (chiller) com condensação a ar e por duas bombas de
circulação de água gelada (BAG). As especificações dos equipamentos serão
mostradas a seguir.
Figura 4.7 Esquema do sistema primário com condensação a ar.
Foi selecionado um resfriador de líquido com condensação a ar modelo
RTAA-70 do fabricante TRANE com compressor tipo parafuso. Maiores detalhes
de dados gerais e dados de desempenho deste equipamento estão
especificados no Anexo A.1 .
A Tabela (4.11) e (4.12) mostram os parâmetros do chiller RTAA-70 que
devem ser fornecidos ao modelo que são necessários para a simulação. A
Tabela (4.11) apresenta os dados nominais do equipamento retirados de
Capítulo 4: Procedimento de Simulação
98
catálogo e a Tab. (4.12) os coeficientes das curvas da capacidade (CAPFT) e
eficiência (EIRFT) em função das temperatura de saída do evaporador e da
temperatura de entrada no condensador e também a curva da eficiência em
função das condições de carga parcial (EIRFPLR). Estes coeficientes foram
obtidos através de uma regressão dos dados retirados de catálogo (Anexo A.1 ).
Tabela 4.11 Parâmetros de simulação do chiller com condensação a ar modelo RTAA-70.
Parâmetros Nominais Evaporador
Capacidade (kW)
245.90
Queda de temperatura (ºC)
5.5
Vazão de água (L/s)
10.68
COP 3.05
Temperatura de saída da água (ºC)
7.0
Tabela 4.12 Coeficientes das curvas de capacidade e eficiência do chiller com condensação a
ar, obtidos através da regressão de dados de catálogo.
a b c d e f
CAPFT
1.08622 3.56512e-2 2.10534e-4 -6.95675e-3 -3.66968e-5
-2.35492e-4
EIRFT
0.646851
-6.51409e-3 4.66783e-4 -1.77684E-5 4.41528e-4 -6.22135e-4
EIRPLR
0.600954
7.72655e-2 3.46559e-1
A Figura (4.8) mostra a curva da capacidade (CAPFT) e da eficiência
(EIRFT) em função das temperatura de saída do evaporador do chiller RTAA-70.
Os limites de operação destas duas curvas variam entre 23 ºC à 41 ºC para a
temperatura de entrada do condensador e entre 4 ºC à 10 ºC para a temperatura
de saída do evaporador. A Figura. (4.9) mostra a curva da eficiência (EIRFPLR)
em função das condições de carga parcial (PLR part-load-ratio).
Capítulo 4: Procedimento de Simulação
99
Figura 4.8 Curvas de capacidade (CAPFT) e de eficiência (EIRFT) em função das
temperaturas do chiller RTAA-70.
Figura 4.9 Curva da eficiência (EIRFPLR) em função das condições de carga parcial do chiller
RTAA-70.
Foram selecionadas duas bombas centrífugas de fluxo constante, modelo
Meganorm 40-125 do fabricante KSB cada uma com uma vazão de 5.34 L/s,
para promover a circulação da água gelada resfriada pelo chiller até o sistema
secundário. A Tabela (4.13) mostra os parâmetros nominais das bombas
centrífugas Meganorm 40-125 retirados de catálogo (Anexo B) necessários para
a simulação. No Anexo B pode-se encontrar as curvas características destas
bombas.
Capítulo 4: Procedimento de Simulação
100
Tabela 4.13 Parâmetros de simulação das bombas de água gelada modelo Meganorm 40-125.
Parâmetros Nominais BAG 1 BAG 2
Potência necessária (kW)
0.6847 0.6847
Eficiência do motor (%)
70 70
Rotação (rpm)
1750 1750
Vazão de água (L/s)
5.34 5.34
Altura manométrica (m)
9.15 9.15
4.4.2 Sistema Primário com Condensação a Água (SP-ÁGUA)
O sistema primário com condensação a água (Fig. (4.10)) é composto de
um resfriador de líquido (chiller) com condensação a água, duas bombas de
circulação de água gelada (BAG), duas bombas de circulação de água de
condensação (BAC) e três torres de resfriamento. As especificações dos
equipamentos utilizados serão mostradas a seguir.
Figura 4.10 Esquema do sistema primário com condensação a água.
Para este sistema foi selecionado um resfriador de líquido (chiller) com
condensação a água modelo RTWA-70 também do fabricante TRANE. O
Anexo A.2 apresenta maiores detalhes de dados gerais e de desempenho do
Capítulo 4: Procedimento de Simulação
101
chiller RTWA-70. A Tabela (4.14) e (4.15) mostram os parâmetros do chiller
RTWA-70 fornecidos pelo usrio necessários para a simulação. A
Tabela (4.14) apresenta os dados nominais do evaporador e do condensador e
a Tab. (4.15) os coeficientes das curvas da capacidade (CAPFT) e eficiência
(EIRFT) em função das temperatura de saída do evaporador e da temperatura
de entrada no condensador e também a curva da eficiência em função das
condições de carga parcial (EIRFPLR). Estes coeficientes tamm foram obtidos
através da regressão de dados de catálogo (Anexo A.2).
Tabela 4.14 Parâmetros de simulação do chiller com condensação a água modelo RTWA-70.
Parâmetros Nominais Evaporador Condensador
Capacidade (kW)
261.60 322.30
Queda de temperatura (ºC)
5.5 5.5
Vazão de água (L/s)
11.36 14
COP 4.138
Temperatura de saída da água (ºC)
7.0
Temperatura de entrada da água (ºC)
29.44
Tabela 4.15 Coeficientes das curvas de capacidade e eficiência do chiller com condensação a
água, obtidos através da regressão de dados de catálogo.
a b c d e f
CAPFT
0.78987 3.84934e-2 1.54618e-4 8.44142e-3 -2.77510e-4 -3.35687e-4
EIRFT
0.66151 -9.66258e-3 7.35535e-4 6.77953e-4 6.14440e-4 -8.82759e-4
EIRPLR
0.78805 -3.74650e-1 5.90249e-1
A Figura (4.11) mostra a curva da capacidade (CAPFT) e da eficiência
(EIRFT) em função das temperatura de saída do evaporador do chiller RTWA-
70. Os limites de operação destas duas curvas variam entre 23 ºC à 41 ºC para
a temperatura de entrada do condensador e entre 4 ºC à 10 ºC para a
temperatura de saída do evaporador. A Figura (4.12) mostra a curva da
eficiência (EIRFPLR) em função das condições de carga parcial (PLR part-
load-ratio).
Capítulo 4: Procedimento de Simulação
102
Figura 4.11 Curvas de capacidade (CAPFT) e eficiência (EIRFT) em função das temperaturas
do chiller RTWA-70.
Figura 4.12 Curva da eficiência (EIRFPLR) em função das condições de carga parcial do chiller
RTWA-70.
As bombas de água gelada e de água de condensação selecionadas
também são do fabricante KSB modelo Meganorm 40-125. O sistema possui
duas bombas de água gelada cada uma com vazão de 5.68 L/s para promover a
circulação da água resfriada pelo chiller até o sistema secundário e duas
bombas de condensação cada uma com vazão de 7 L/s para promover a
circulação da água de condensação entre o condensador do chiller e as torres
de resfriamento. A Tabela (4.16) mostra os parâmetros das bombas de água
gelada e de condensação necessários para a simulação. O Anexo B apresenta
Capítulo 4: Procedimento de Simulação
103
dados mais detalhados das bombas centrífugas selecionadas.
Tabela 4.16 Parâmetros de simulação das bombas de água gelada e de água de condensação
modelo Meganorm 40-125.
Parâmetros Nominais BAG 1 BAG 2 BAC 1 BAC 2
Potência necessária (kW)
0.7283 0.7283 0.633840
0.633840
Eficiência do motor (%)
70 70 66 66
Rotação (rpm)
1750 1750 1750 1750
Vazão de água (L/s)
5.68 5.68 7.0 7.0
Altura manométrica (m)
9.15 9.15 4.50 4.50
Para resfriar a água de condensação que entra no condensador do chiller
foi selecionado uma torre de resfriamento com três módulos do fabricante
AMEMOS modelo MD/3M. A Tabela (4.17) apresenta os parâmetros de
simulação dos módulos da torre de resfriamento.
Tabela 4.17 Parâmetros de simulação da torre de resfriamento modelo MD/3M.
Parâmetros Nominais Módulo 1 Módulo 2 Módulo 3
Capacidade (kW)
107.40 107.40 107.40
Vazão de água (L/s)
4.67 4.67 4.67
Temperatura de entrada da
água (ºC)
34.94 34.94 34.94
Temperatura de saída da
água (ºC)
29.44 29.44 29.44
Vazão de ar (m
3
/h)
15500 15500 15500
Potência do ventilador (kW)
2.237 2.237 2.237
Capítulo 4: Procedimento de Simulação
104
4.4.3 Sistema Secundário da Edificação Monozona
O sistema secundário da edificação monozona (Fig. (4.13)) é composto
por três componentes: caixa de mistura, serpentina de resfriamento e ventilador
de insuflamento. A caixa de mistura faz a mistura do ar de retorno com o ar
externo. A vazão de ar externo para este sistema é de 50% da vazão total de ar
insuflado no ambiente. A serpentina é responsável pelo resfriamento e pela
desumidificação do ar que vem da caixa de mistura. A Tabela (4.18) mostra os
parâmetros geométricos da serpentina de resfriamento necessários para a
simulação deste sistema. O ventilador faz o insuflamento do ar no ambiente
resfriado na serpentina.
Figura 4.13 Esquema do sistema secundário da edificação monozona.
Na Tabela (4.19) são encontrados os parâmetros de simulação
necessários do ventilador. O sistema de controle é do tipoon-off, e atua
durante todo o tempo de ocupação da edificação, mas apenas no controle da
temperatura do ambiente condicionado. O termostato (S) avalia a temperatura
no interior do ambiente e atua sobre a válvula abrindo ou fechando dependendo
da necessidade. A válvula trabalha apenas com duas condições de vazão 0 ou
100%. O termostato é configurado para manter a temperatura interna em 24 ºC
com uma histerese de 2 ºC, ou seja, a temperatura é mantida entre os limites de
23 e 25 ºC pela ação do controleon-off.
Capítulo 4: Procedimento de Simulação
105
Tabela 4.18 Parâmetros geométricos de simulação da serpentina de resfriamento e
desumidificação da edificação monozona.
Parâmetros da Serpentina Monozona
Altura (mm)
610
Comprimento (mm)
1035
Largura (mm)
162
Distância entre tubos (mm)
38.125
Distância entre fileiras (mm)
27.0
Diâmetro ext. do tubo (mm)
15.875
Diâmetro int. do tubo (mm)
13.875
Espessura da aleta (mm)
0.1905
de aletas por metro 314.96
de fileiras 6
de Tubos por fileira 16
circuitos 816
Cond. da aleta (W/m K)
230
Cond. do tubo (W/m K)
380
Vazão de água (L/s)
1.60
Tabela 4.19 Parâmetros de simulação do ventilador da edificação monozona.
Parâmetros do Ventilador Monozona
Potência necessária (kW)
1.20
Eficiência do motor (%)
70
Vazão de ar (m
3
/h)
4000
Capítulo 4: Procedimento de Simulação
106
4.4.4 Sistema Secundário da Edificação Multizona
Os sistemas secundários das zonas 1, 2, 3 e 4 da edificação multizona
(Fig. (4.4)) também são compostos por três componentes (caixa de mistura,
serpentina de resfriamento e ventilador), conforme mostrado na Fig. (4.13). As
zonas 5 e 6, além da caixa de mistura, serpentina de resfriamento e do
ventilador, possuem também mais dois componentes no sistema secundário
(Fig. (4.14)), os quais são o umidificador e resistências elétricas. O umidificador
é utilizado para fazer a umidificação do ar quando houver necessidade,
enquanto as resistências elétricas funcionam como um reaquecimento terminal
utilizado para reaquecer o ar quando a temperatura de insuflamento estiver
muito baixa.
Figura 4.14 Esquema sistema secundário das zonas 5 e 6 da edificação multizona.
A vazão de ar externo do sistema secundário para todas as zonas é 30%
da vazão total do ar insuflado no ambiente. Na Tabela (4.20) são apresentados
os parâmetros geométricos de simulação das serpentinas de resfriamento e
desumidificação para todas as zonas da edificação multizona.
Capítulo 4: Procedimento de Simulação
107
Tabela 4.20 Parâmetros geométricos de simulação das serpentinas de resfriamento e
desumidificação da edificação multizona.
Parâmetros da Serpentina Zona 1 Zona 2 Zona 3 Zona 4 Zona 5 Zona 6
Altura (mm)
457 457 457 457 457 457
Comprimento (mm)
1050 850 850 850 850 1050
Largura (mm)
198 264 264 264 264 198
Distância entre tubos (mm)
38.083 38.083 38.083 38.083 38.083 38.083
Distância entre fileiras (mm)
33.0 33.0 33.0 33.0 33.0 33.0
Diâmetro ext. do tubo (mm)
15.875 15.875 15.875 15.875 15.875 15.875
Diâmetro int. do tubo (mm)
13.875 13.875 13.875 13.875 13.875 13.875
Espessura da aleta (mm)
0.1905 0.1905 0.1905 0.1905 0.1905 0.1905
de aletas por metro 314.96 314.96 314.96 314.96 314.96 314.96
de fileiras 6 8 8 8 8 6
de Tubos por fileira 12 12 12 12 12 12
circuitos 6 6 6 6 6 6
Cond. da aleta (W/m K)
230 230 230 230 230 230
Cond. do tubo (W/m K)
380 380 380 380 380 380
Vazão de água (L/s)
1.20 1.10 1.10 1.10 1.10 1.30
Os parâmetros de simulação dos ventiladores dos sistemas secundários
das zonas da edificação multizona são descritos na Tabela (4.21).
Tabela 4.21 Parâmetros de simulação dos ventiladores da edificação multizona.
Parâmetros do Ventilador Zona 1 Zona 2 Zona 3 Zona 4 Zona 5 Zona 6
Potência necessária (kW)
0.7457 0.7457 0.7457 0.7457 0.7457 0.7457
Eficiência do motor (%)
68 67 68 67.5 67.9 69
Vazão de ar (m
3
/h)
3846 3342 3285 3228 3349 4327
Os sistemas de controle das zonas são todos do tipoon-off, e atuam
durante todo o período de ocupação da edificação. As zonas 1, 2, 3 e 4
possuem um sistema de controle que atua apenas no controle de temperatura
do ambiente. Enquanto, as zonas 5 e 6 são atendidas por um sistema que
controla tanto a temperatura quanto a umidade do ambiente condicionado. O
Capítulo 4: Procedimento de Simulação
108
controle de temperatura e umidade das zonas 5 e 6 são feitos através de um
sensor de temperatura (ST) que atua na serpentina de resfriamento e
desumidificação e nas resistências elétricas e um sensor de umidade (SU) que
atua no umidificador e tamm na serpentina de resfriamento e desumidificação,
os quais estão instalados dentro do ambiente. A lógica deste sistema de
controle é mostrada na Tabela (4.22), onde T
z
e
z
são a temperatura e
umidade relativa da zona, T
set
e
set
são a temperatura e umidade relativa de
set-point e H
T
e H
a histerese da temperatura e da umidade relativa.
Tabela 4.22 Lógica do sistema de controle de temperatura e umidade das zona 5 e 6 da
edificação multizona.
Sinal de Controle
Condição Lógica
Serpentina Umidificador
Reaquecedor
Se, T
z
> (T
set
+ H
T
/2) e
z
> (
set
+ H
/2)
1 0 0
Se, T
z
> (T
set
+ H
T
/2) e
z
< (
set
- H
/2)
1 1 0
Se, T
z
< (T
set
- H
T
/2) e
z
< (
set
- H
/2)
0 1 0
Se, T
z
< (T
set
- H
T
/2) e
z
> (
set
+ H
/2)
1 0 1
Se, (T
set
- H
T
/2) < T
z
< (T
set
+ H
T
/2) e
e(
set
- H
/2) <
z
< (
set
+ H
/2)
0 0 0
A Tabela (4.23) mostra os parâmetros de simulação do umidificador do
sistema secundário das zonas 5 e 6 da edificação multizona. As resistências
elétricas do sistema secundário das zonas 5 e 6 têm uma potência de
aquecimento de 500 W cada uma.
Tabela 4.23 Parâmetros de simulação do umidificador das zonas 5 e 6 da edificação multizona.
Parâmetros do Umidificador Zona 5 Zona 6
Vazão de Vapor (kg/s)
0.0008120 0.0008120
Temperatura do Vapor (ºC)
100 100
109
Capítulo 5
Resultados
Este capítulo apresenta os resultados obtidos através das simulações
realizadas utilizando os modelos matemáticos dos componentes dos sistemas
primário e secundário, descritos nos Capítulo 2 e Capítulo 3, integrados ao
programa de simulação de edificações DOMUS (Mendes et al., 2001b, 2003b).
São realizados três estudos de casos. Inicialmente é apresentada uma
comparação entre os programas DOMUS e VisualDOE (Winkelmann et. al, 1993),
com o intuito de avaliar o desempenho dos modelos do sistema de climatização.
Posteriormente, são apresentados os resultados obtidos através da simulação
de uma edificação multizona, para mostrar a flexibilidade dos modelos do
sistema de climatização desenvolvidos. Também é realizada uma análise da
importância de se considerar o fenômeno da adsorção e dessorção de umidade
em materiais porosos, fazendo uma comparação em termos da carga térmica da
edificação e do consumo de energia elétrica do sistema de climatização,
utilizando dois modelos de edificação, com e sem umidade nas paredes. As
descrições das edificações e dos sistemas de climatização foram apresentadas
no Capítulo 4 .
Capítulo 5: Resultados
110
5.1 Comparação com VisualDOE
Esta seção apresenta uma comparação entre resultados obtidos através
de simulações da edificação monozona (Seção 4.2) realizadas com os
programas de simulação termoenertica DOMUS e VisualDOE. Estas
simulações foram realizadas considerando apenas a transferência de calor nas
paredes da edificação. Para fazer esta comparação foram utilizados os sistemas
primário e secundário conforme descrito nas Seções 4.4.1 e 4.4.3,
respectivamente.
As simulações no programa DOMUS foram realizadas utilizando um
passo de tempo de 1 minuto, enquanto que no VisualDOE o passo de tempo foi
de 1 hora. Foi adotado um passo de tempo de 1 minuto no programa DOMUS
para se manter uma coerência quando o sistema de climatização for inserido,
pois o passo de tempo do sistema de climatização, para o DOMUS, deve ser
baixo devido à resposta ser mais rápida que a da edificação.
5.1.1 Resultados sem Sistema de Climatização
A Figura (5.1) mostra uma comparação entre as temperaturas internas da
zona obtidas pelas simulações realizadas com o programa VisualDOE e
00:00 48:00 96:00 144:00 192:00 240:00 288:00 336:00
28
30
32
34
36
38
40
42
44
46
VisualDOE
DOMUS
Temperatura (ºC)
Tempo (h)
Figura 5.1 Comparação entre as temperaturas da zona obtidas através dos programas
VisualDoe e Domus, sem radiação solar e sem sistema de climatização, para os
primeiros 15 dias do mês de janeiro.
Capítulo 5: Resultados
111
DOMUS sem sistema de climatização, para os primeiros 15 dias do mês de
janeiro, não considerando a radiação solar e com um ganho interno de 6400 W.
Analisando a Figura (5.1) é possível observar que as duas curvas
apresentam um comportamento semelhante, mas com diferenças entre os
valores das temperaturas em alguns instantes maiores e em outros menores.
Pode-se dizer que esta diferença ocorre pela diferença entre os métodos
utilizados pelos programas, pois o VisualDOE utiliza o método do fator de
resposta e o DOMUS utiliza volumes finitos. A Figura (5.2) mostra a diferença
relativa entre as curvas de temperatura do programa DOMUS e VisualDOE
(Fig. (5.1)) em função do mero de horas do ano. Estas diferenças relativas
entre as curvas foram determinadas segundo a equação abaixo:
100x
T
TT
Dif
DOMUS
VisualDOEDOMUS
relativa
=
(5.1)
onde, T
DOMUS
e T
VisualDOE
são respectivamente a temperatura interna obtida pelo
programa DOMUS e pelo VisualDOE. A Figura (5.2) mostra que em
aproximadamente 5200 horas, ou seja, 60% das horas do ano a diferença
relativa entre as temperaturas obtidas através do DOMUS e do VisualDOE, em
relação ao DOMUS, são inferiores à 3% e, no restante das horas, ficaram
Figura 5.2 Diferença relativa entre as curvas de temperatura do DOMUS e VisualDOE em
função do número de horas no ano, sem considerar a radiação solar.
Capítulo 5: Resultados
112
divididas entre as faixas de 3.01 à 6% com 2950 horas e 6.01 à 8.73% com 610
horas do ano. As diferenças relativas mínima, máxima e média entre as
temperaturas das curvas são 0, 8.73 e 2.72% respectivamente.
A Figura (5.3) mostra uma comparação entre as temperaturas internas da
zona obtidas pelas simulações realizadas nos programas VisualDOE e DOMUS
sem sistema de climatização, para os primeiros 15 dias do mês de janeiro, mas
considerando a radiação solar e com um ganho interno de 1300 W. Analisando
a Fig. (5.3) é possível observar que para este caso as curvas também
apresentam um comportamento semelhante e que as diferenças maiores entre
as temperaturas ocorrem nos picos, enquanto que nos vales estas diferenças
são menores.
00:00 48:00 96:00 144:00 192:00 240:00 288:00 336:00
22
24
26
28
30
32
34
36
38
40
42
44
46
48
50
VisualDOE
DOMUS
Temperatura (ºC)
Tempo (h)
Figura 5.3 Comparação entre as temperaturas da zona obtidas através dos programas
VisualDOE e DOMUS, com radiação solar, para os primeiros 15 dias do mês de
janeiro.
Para este caso com radiação solar, o mero de horas do ano que as
diferenças relativas entre as temperaturas são inferiores à 3% foi de 2583 horas,
ou seja, aproximadamente 30% das horas do ano conforme mostrado na
Fig. (5.4). As diferenças relativas mínima, máxima e média entre as
temperaturas são 0, 18.24 e 6.03%, respectivamente. Comparando o caso sem
Capítulo 5: Resultados
113
e com radiação solar (Figs. 5.1 e 5.3) pode-se observar que as diferenças
relativas no caso com radiação são maiores.
Acredita-se que as diferenças relativas neste caso são maiores, pois além
da diferença entre os métodos utilizados pelos programas (fator de resposta
pelo VisualDOE e volumes finitos pelo DOMUS) existe também uma diferença
entre os ângulos altitude e azimute solar calculados pelos dois programas, como
pode ser visto na Tab. (5.1). A Tabela (5.1) mostra a variação dos ângulos
solares altitude e azimute e também as diferenças destes valores em relação ao
programa DOMUS para o dia 07 de janeiro no período das 7:00 às 18:00 horas,
que não utiliza o algoritmo da ASHRAE como o VisualDOE, mas sim o proposto
por Reda e Andreas (2003). As diferenças relativas entre os ângulos de altitude
solar são maiores que as do azimute solar, alcançando um valor máximo de
127.3% às 18:00 horas e um valor mínimo de 2.76% às 13:00 horas com uma
diferença relativa média de 27.15%. As diferenças relativas da altitude solar
mínima, máxima e média são 0.11, 9.50 e 3.09%, respectivamente.
Figura 5.4 Diferença relativa entre as curvas de temperatura do DOMUS e VisualDOE em
função do número de horas no ano, considerando a radiação solar.
Capítulo 5: Resultados
114
Tabela 5.1 Valores dos ângulos de altitude solar e azimute solar do programa DOMUS e
VisualDOE, para o dia 07 de janeiro, e as diferenças relativas entre estes valores.
Domus VisualDOE
Hora
Altitude
Solar (º)
Azimute
Solar (º)
Altitude
Solar (º)
Azimute
Solar (º)
Diferença
Relativa entre
Altitudes (%)
Diferença
Relativa entre
Azimutes (%)
7:00 9.77 112.53 5.00 112.40 48.83 0.11
8:00 23.56 113.94 16.80 113.10 28.69 0.74
9:00 37.10 117.39 30.50 115.50 17.78 1.61
10:00 50.01 124.38 43.80 120.50 12.41 3.12
11:00 61.35 138.70 56.10 130.60 8.56 5.84
12:00 68.42 167.30 65.70 151.40 3.97 9.50
13:00 66.85 204.04 68.70 186.90 2.76 8.40
14:00 57.90 227.26 62.70 217.80 8.30 4.16
15:00 45.86 238.52 51.80 233.90 12.96 1.94
16:00 32.67 244.08 39.10 241.70 19.66 0.98
17:00 19.02 246.76 25.60 245.60 34.56 0.47
18:00 5.19 247.66 11.80 247.30 127.30 0.15
5.1.2 Resultado com Sistema de Climatização
Na Figura (5.5) é apresentada uma comparação entre as curvas de
temperatura obtidas pelas simulações realizadas nos programas DOMUS e
VisualDOE com sistema de climatização, para os primeiros 15 dias do mês de
janeiro, considerando a radiação solar e um ganho interno de 1300 W. Nas duas
curvas é mostrada a média aritmética horária da temperatura. Nos dois
programas foram utilizados sistemas de controle de temperaturaon-off com um
set-point de 24 ºC e uma histerese de 2 ºC com uma configuração horária para
permanecerem ligados todos os dias do ano das 8:00 às 18:00 horas.
Quando o sistema de climatização entra em funcionamento às 8:00 horas
os dois programas tentam manter a temperatura no interior da zona dentro da
faixa de controle (entre 23 ºC e 25 ºC). No primeiro dia de simulação a curva de
temperatura do programa DOMUS não permanece dentro da faixa de controle
enquanto que o VisualDOE a mantém dentro da faixa.
Capítulo 5: Resultados
115
00:00 48:00 96:00 144:00 192:00 240:00 288:00 336:00
20
22
24
26
28
30
32
34
36
38
40
VisualDOE
DOMUS
Temperatura (ºC)
Tempo (h)
Figura 5.5 Comparação entre as temperaturas da zona obtidas através do programa
VisualDOE e DOMUS, sem radiação solar e sem sistema de climatização, para os
primeiros 15 dias do mês de janeiro.
Uma das possíveis causas desta diferença são as temperaturas dentro
da zona no início do acionamento do sistema de climatização. A temperatura da
zona obtida através do DOMUS às 8:00 horas é aproximadamente 33.20 ºC
enquanto que na curva fornecida pelo VisualDOE a temperatura é 27.10 ºC,
correspondendo a uma diferença de 6.10ºC.
A Figura (5.6) mostra uma comparação entre o consumo de energia
elétrica total (chiller, bombas e ventilador) mensal obtido através dos programas
DOMUS e VisualDOE. O consumo elétrico mensal obtido pelo DOMUS é
superior ao consumo obtido pelo VisualDOE. As diferenças relativas dos valores
do consumo elétrico mensal em relação ao DOMUS são apresentadas na
Fig. (5.7). Fevereiro, abril e setembro são os meses onde ocorrem as máximas
diferenças, alcançando aproximadamente 20% do consumo obtido pelo
DOMUS.
Capítulo 5: Resultados
116
jan fev mar abr mai jun jul ago set out nov dez
0
2000
4000
6000
8000
10000
12000
14000
16000
18000
Mês
Consumo de Energia Elétrica (kWh)
DOMUS
VisualDOE
Figura 5.6 Consumo de energia elétrica mensal obtido através dos programas DOMUS e
VisualDOE.
jan fev mar abr mai jun jul ago set out nov dez
0
5
10
15
20
25
30
Mês
Diferença Relativa (%)
Figura 5.7 Diferença relativa entre o consumo de energia elétrica mensal obtido através dos
programas DOMUS e VisualDOE.
Na Figura (5.8) e (5.9) são apresentadas, respectivamente, uma
comparação do consumo de energia elétrica anual do chiller, das bombas, do
ventilador e o total obtido através dos programas DOMUS e VisualDOE e as
Capítulo 5: Resultados
117
diferenças relativas do consumo de energia elétrica em relação ao DOMUS.
Chiller Bombas Ventiladores Total
0
20000
40000
60000
80000
100000
120000
140000
160000
180000
200000
Equipamento
Consumo de Energia Elétrica (kWh))
DOMUS
VisualDOE
Figura 5.8 Comparação do consumo de energia elétrica anual de cada equipamento e total
obtido através dos programas DOMUS e VisualDOE.
A diferença relativa do consumo anual do chiller (compressor) é de
15.69%. Apesar do modelo matemático do chiller utilizado pelo programa
DOMUS ser igual ao modelo utilizado pelo VisualDOE, uma das possíveis
causas desta diferença esta relacionada às diferenças encontradas nas curvas
de temperatura sem sistema de climatização (Fig. (5.3)), conforme discutido
anteriormente. Além disso, um outro fator que contribui é a diferença no modelo
da serpentina de resfriamento utilizado pelos programas, que está diretamente
ligada ao consumo elétrico do chiller em função da capacidade de resfriamento.
Devido à diferença nos modelos existe a dificuldade de se configurar as
serpentinas de resfriamento com as mesmas características. No consumo de
energia elétrica anual das bombas e do ventilador, as diferenças relativas entre
os dois programas foram de 10.36% e 11.95%, respectivamente, em relação ao
DOMUS. Nestes dois casos (bombas e ventilador), as diferenças relativas no
consumo elétrico podem estar associadas principalmente às diferenças nos
Capítulo 5: Resultados
118
modelos matemáticos utilizados pelos programas DOMUS e VisualDOE. No
consumo de energia elétrica anual total a diferença relativa entre os dois
programas em relação ao DOMUS foi de aproximadamente 14.92%.
Chiller Bombas Ventiladores Total
0
5
10
15
20
25
30
Equipamento
Diferença Relativa (%)
Figura 5.9 Diferença relativa entre o consumo de energia elétrica anual de cada equipamento
e total obtido através dos programas DOMUS e VisualDOE.
Capítulo 5: Resultados
119
5.2 Análise de Resultados da Edificação Multizona
Nesta seção serão apresentados os resultados obtidos através das
simulações realizadas com a edificação multizona, utilizando os sistemas de
climatização com condensação a ar e com condensação a água e considerando
o fenômeno de adsorção e dessorção de umidade em materiais porosos. Foi
adotado para estas simulações um passo de tempo de 10 segundos, para que
fosse possível ter uma sensibilidade maior na variação das temperaturas
internas das zonas com o sistema de climatização.
5.2.1 Resultados com o SP-AR
Neste caso, as simulações foram realizadas utilizando um sistema de
climatização com o sistema primário com condensação a ar e o sistema
secundário da edificação multizona conforme descrito nas Seções 4.4.1 e 4.4.3.
Foram adotados para todas as zonas um sistema de controle de temperatura
on-off, com umset-point de 24 ºC e uma histerese de 2 ºC. Os resultados das
simulações apresentados a seguir referem-se ao dia 14 de janeiro, onde foi
utilizado o arquivo climático da cidade de Belém, conforme descrito na
Seção (4.1).
As Figuras (5.10) e (5.11) mostram a variação da temperatura e umidade
relativa dentro das zonas da EMTZ para o período das 7:00 às 19:00 horas.
Pode-se observar que as temperaturas internas das zonas ficam oscilando entre
os limites de 23 e 25ºC, devido à ação do sistema de controleon-off que atua
na serpentina de resfriamento, durante o período de ocupação da edificação das
8:00 às 18:00 horas. A umidade relativa das zonas também fica oscilando
acompanhando a variação da temperatura.
A partir das 8:00 horas as cargas térmicas das zonas começam a
aumentar, devido às cargas eventuais provenientes das pessoas, iluminação e
equipamentos, e os sistemas de climatização começam a funcionar. Quando a
temperatura da zona atinge 25ºC a válvula da serpentina de resfriamento é
acionada e a zona começa ser resfriada até que a temperatura atinja 23ºC,
quando a válvula é fechada.
Capítulo 5: Resultados
120
07:0008:0009:0010:0011:0012:0013:0014:0015:0016:0017:0018:0019:00
22
24
26
28
30
32
20
30
40
50
60
70
Temperatura
Zona 3
Zona 2
07:0008:0009:0010:0011:0012:0013:0014:0015:0016:0017:0018:0019:00
22
24
26
28
30
32
Zona 1
Temperatura (ºC)
07:0008:0009:0010:0011:0012:0013:0014:0015:0016:0017:0018:0019:00
22
24
26
28
30
32
Umidade Relativa
Temperatura
Temperatura
Tempo (h)
20
30
40
50
60
70
Umidade Relativa
Umidade Relativa
Umidade Relativa (%)
20
30
40
50
60
70
Figura 5.10 Variação da temperatura e umidade relativa das zona 1, 2 e 3 para o dia 14 de
janeiro.
07:0008:0009:0010:0011:0012:0013:0014:0015:0016:0017:0018:0019:00
22
24
26
28
30
32
20
30
40
50
60
70
Temperatura
Zona 6
Zona 5
07:0008:0009:0010:0011:0012:0013:0014:0015:0016:0017:0018:0019:00
22
24
26
28
30
32
Zona 4
Temperatura (ºC)
07:0008:0009:0010:0011:0012:0013:0014:0015:0016:0017:0018:0019:00
22
24
26
28
30
32
Umidade Relativa
Temperatura
Temperatura
Tempo (h)
20
30
40
50
60
70
Umidade Relativa
Umidade Relativa
Umidade Relativa (%)
20
30
40
50
60
70
Figura 5.11 Variação da temperatura e umidade relativa das zona 4, 5 e 6 para o dia 14 de
janeiro.
Capítulo 5: Resultados
121
As Figuras (5.12) e (5.13) mostram, respectivamente, a variação da
capacidade de resfriamento sensível, latente e total da serpentina e a variação
da temperatura e umidade relativa na entrada da serpentina (caixa de mistura),
referentes à zona 1, no período das 7:00 às 19:00 horas. Antes das 8:00 horas
quando o sistema ainda não entrou em funcionamento a temperatura e a
umidade relativa na caixa de mistura são iguais as condições dentro da zona de
aproximadamente 25.76 ºC e 58.7% e a capacidade de resfriamento igual a
zero. A partir das 8:00 horas, o sistema entra em funcionamento e sob a ação
do controleon-off a temperatura na entrada da serpentina começa a aumentar
e a umidade relativa a diminuir acompanhado as condições externas e de
retorno que são as mesmas da zona.
A capacidade de resfriamento sensível da serpentina acompanha a
variação da temperatura na entrada da serpentina enquanto a capacidade de
resfriamento latente segue a variação da umidade relativa. A capacidade de
calor sensível começa baixa e vai aumentado ao longo do dia alcançando um
valor de pico máximo igual a 19.90 kW às 13:51 horas coincidindo quando a
temperatura na entrada da serpentina é máxima, com um valor de 26.96 ºC.O
valor de pico mínimo da capacidade sensível é 16.99 kW e ocorre às 8:03 horas,
o qual coincide com o valor de pico mínimo da temperatura na entrada da
serpentina que é 25 ºC.
No entanto, a capacidade de calor latente retirada na serpentina inicia
com um valor um pouco maior que a capacidade sensível atingindo o valor de
pico máximo igual a 17.9 kW no início do funcionamento do sistema às 8:00
horas, ocorrendo quando a umidade relativa na entrada da serpentina é
máxima. A capacidade latente vai diminuindo e, logo às 8:06 horas, já é menor
que a capacidade sensível, atingindo o valor de pico mínimo de 11.85 kW às
17:00 horas.
A capacidade de resfriamento total é máxima às 8:00 horas quando a
capacidade latente também é máxima com um valor de pico de 35.12 kW e
atinge um valor de pico mínimo de 31.06 kW às 17:00 horas que também
coincide quando a capacidade latente é mínima. Os valores de máximo e
Capítulo 5: Resultados
122
mínimo da capacidade total ocorreram no mesmo instante da capacidade latente
devido à variação da capacidade sensível ter um comportamento mais estável
enquanto a latente tem uma variação maior o que determinou os picos da
capacidade de resfriamento total.
08:00 09:00 10:00 11:00 12:00 13:00 14:00 15:00 16:00 17:00 18:00
0
5
10
15
20
25
30
35
40
Total
Latente
Sensível
Total
Sensível
Latente
Capacidade de Resfriamento (kW)
Tempo (h)
Figura 5.12 Variação da capacidade de resfriamento total, sensível e latente da serpentina na
zona 1.
07:0008:0009:0010:0011:0012:0013:0014:0015:0016:0017:0018:0019:00
22
24
26
28
30
32
34
Tempo (h)
Temperatura (ºC)
20
30
40
50
60
70
80
Umidade Relativa
Temperatura
Umidade Relativa (%)
Figura 5.13 Variação da temperatura e umidade relativa na entrada da serpentina da zona 1.
Capítulo 5: Resultados
123
A Figura (5.14) mostra a variação da capacidade de resfriamento
sensível, latente e total em detalhe na serpentina da zona 1 no período das
08:00 às 08:30 horas. Quando a temperatura da zona fica acima de 25 ºC, a
válvula da serpentina é aberta e começa a ser retirado o calor latente e sensível
do ar que passa através dela. A serpentina vai retirando o calor latente e
sensível do ar até que a temperatura dentro da zona fique abaixo dos 23 ºC,
quando a válvula é então desligada.
Pode-se observar que quando a válvula é desligada, a capacidade de
resfriamento da serpentina cai instantaneamente para zero, pois o modelo
matemático da serpentina não leva em conta a inércia térmica da água que
permanece dentro dos tubos. Para este período das 8:00 às 8:30 horas
ocorreram 12 ciclos na serpentina. O período de cada ciclo em que a válvula
permaneceu ligada foi de 1 minuto e 50 segundos. Já o período em que a
válvula permaneceu desligada foi de 47 segundos para todos os ciclos deste
período.
08:00 08:05 08:10 08:15 08:20 08:25 08:30
0
5
10
15
20
25
30
35
40
Total
Sensível
Latente
Capacidade de Resfriamento (kW)
Tempo (h)
Figura 5.14 Variação da capacidade de resfriamento sensível, latente e total na serpentina da
zona 1 no período das 8:00 às 8:30 horas.
A Figura (5.15) mostra o comportamento da capacidade de resfriamento
Capítulo 5: Resultados
124
sensível, latente e total na serpentina da zona 1 no período das 16:00 às 16:30
horas. Neste período ocorreram aproximadamente 7 ciclos na serpentina. O
período de cada ciclo em que a válvula permaneceu ligada foi de 3 minutos e 40
segundos e o período que ficou desligada foi de 40 segundos. Comparando com
o período das 8:00 às 8:30 horas (Fig. (5.14)) o número de ciclos deste período
é quase duas vezes menor. Isto ocorre pelo aumento da carga térmica na zona
devido aos ganhos internos e também pelo comportamento da temperatura e
umidade relativa externa, fazendo com que a serpentina fique mais tempo ligada
para compensar as cargas latentes e sensíveis geradas dentro da zona.
16:00 16:05 16:10 16:15 16:20 16:25 16:30
0
5
10
15
20
25
30
35
40
Total
Sensível
Latente
Capacidade de Resfriamento (kW)
Tempo (h)
Figura 5.15 Variação da capacidade de resfriamento sensível, latente e total na serpentina da
zona 1 no período das 16:00 às 16:30 horas.
As Figuras (5.16a) e (5.16b) mostram, respectivamente, a variação da
umidade absoluta e da temperatura na saída dos componentes do sistema
secundário referente a zona 1, no período das 16:00 às 16:30 horas. Os valores
de umidade absoluta e de temperatura na caixa de mistura (Fig. (5.16a) e
(5.16b)) encontram-se entre as curvas do ar externo e do ar de retorno,
aproximando-se mais da curva do ar de retorno, pois a razão de ar externo é de
apenas 30% da quantidade total do ar insuflado no ambiente.
Durante o período do ciclo em que a válvula da serpentina permanece
Capítulo 5: Resultados
125
ligada, tanto a temperatura e a umidade absoluta do ar ao passar através da
serpentina diminuem. Isto ocorre, pois o modelo matemático utilizado na
serpentina considera a condensação de vapor que ocorre na serpentina. Ao
passar através do ventilador (ponto de insuflamento), a temperatura do ar sofre
um leve acrécimo de aproximadamente 0.84ºC, pois o modelo matemático do
ventilador considera a transmissão do calor gerado pelo motor para o ar. Já a
umidade absoluta do ar permanece a mesma, pois no ventilador ocorre apenas
um processo de aquecimento. Para o período do ciclo em que a válvula da
serpentina permanece desligada as condições do ar na saída da serpentina e do
ventilador são iguais às condições da caixa de mistura.
16:00 16:05 16:10 16:15 16:20 16:25 16:30
10
12
14
16
18
20
22
24
26
28
30
32
Ar Externo
Ar Retorno
Caixa de Mistura
Serpentina
Ventilador
Temperatura (ºC)
16:00 16:05 16:10 16:15 16:20 16:25 16:30
0.006
0.008
0.010
0.012
0.014
0.016
0.018
0.020
Umidade Absoluta (kg/kg)
Tempo (h)
Figura 5.16 Variação da umidade absoluta (a) e da temperatura (b) na saída do componentes
4do sistema secundário, referente à zona 1, no período das 16:00 às 16:30 horas.
Capítulo 5: Resultados
126
5.2.2 Análise Comparativa do Consumo entre o SP-AR e SP-ÁGUA
Nesta seção será apresentada uma comparação do consumo de energia
obtido através das simulações realizadas com sistema primário com
condensação a ar e com condensação a água, da edificação multizona
utilizando um sistema de controle apenas da temperatura em todas as zonas.
Os sistemas secundários utilizados nestas simulações são iguais nos dois
casos, com características conforme descrito na Seção (4.4.3).
Na Figura (5.17) é apresentada uma comparação entre o consumo de
energia elétrica mensal do chiller com condensação a ar e à água, obtido
através das simulações realizadas com a EMTZ.
Analisando a Figura (5.17), pode-se observar que o consumo de energia
elétrica do chiller com condensação a ar é superior ao consumo do chiller a
água. Na Tabela (5.2) são apresentados os valores do consumo de energia
elétrica mensal do chiller a ar e a água e a diferença relativa entre estes valores
em relação ao chiller a ar. As diferenças relativas entre os valores do consumo
para os quatros primeiros meses do ano ficaram na faixa de 8.90 à 10.89%,
enquanto para o restante dos meses as diferenças aumentam permanecendo na
faixa de 13.23 à 15.78%.
jan fev mar abr mai jun jul ago set out nov dez
0
2000
4000
6000
8000
10000
12000
14000
16000
Mês
Consumo de Energia Elétrica (kWh)
Chiller a Água
Chiller a Ar
Figura 5.17 Comparação entre o consumo de energia elétrica mensal do chiller com
condensação a ar e a água.
Capítulo 5: Resultados
127
Tabela 5.2 Valores do consumo de energia elétrica do chiller a ar e a água e da diferença
relativa entre estes valores.
Mês
Consumo do
Chiller a Ar
(kWh)
Consumo do
Chiller a
Água (kWh)
Diferença
Relativa (%)
jan 11426.00 10182.00 10.89
fev 10600.00 9655.00 8.92
mar 12386.00 11135.00 10.10
abr 11346.00 10156.00 10.49
mai 11958.00 10656.00 10.89
jun 12302.00 10658.00 13.36
jul 12079.00 10253.00 15.12
ago 13401.00 11288.00 15.78
set 12287.00 10662.00 13.23
out 11791.00 10170.00 13.75
nov 12509.00 10676.00 14.65
dez 12341.00 10666.00 13.57
Para explicar esta variação na diferença relativa entre os dois sistemas,
deve-se fazer uma análise dos valores das curvas da capacidade (CAPFT) e da
eficiência (EIRFT) em função das temperaturas e dos valores da curva de
eficiência em função da razão de carga parcial (EIRPLR), pois são estes valores
que determinam a potência consumida pelo chiller (Seção (2.1) ).
A Figura (5.18) mostra uma comparação entre a curva de eficiência em
função da razão de carga parcial (EIRPLR) do chiller a ar e a água. Esta
comparação mostra que para uma condição de operação abaixo de 60% da
capacidade total o chiller com condensação a ar possui valores de EIRPLR mais
baixos que o chiller com condensação a água, o que caracteriza uma eficiência
maior (Seção (2.1)). Já para uma condição acima de 60% ocorre o inverso.
Conforme pode ser visto na Tab. (5.3), os valores médios mensais dos
valores do PLR para os dois sistemas permanecem entre os limites de 48 à
56%, na faixa onde o chiller a ar tem uma eficiência maior. Além dos valores da
curva EIRPLR, o consumo de energia também sofre influência dos valores das
curvas CAPFT e EIRFT, os quais também são mostrados na Tab. (5.3). Estas
Capítulo 5: Resultados
128
duas curvas estão relacionadas com a temperatura de saída da água do
evaporador e com a temperatura do ar externo, para o chiller com condensação
a ar, e com temperatura de entrada da água no condensador do chiller com
condensação a água.
0 10 20 30 40 50 60 70 80 90 100
0.50
0.55
0.60
0.65
0.70
0.75
0.80
0.85
0.90
0.95
1.00
Chiller a Água
Chiller a AR
EIRPLR
PLR (%)
Figura 5.18 Comparação entre a curva de eficiência em função da razão de carga parcial
(EIRPLR) do chiller a ar e a água.
Tabela 5.3 Valores médios mensais das curvas CAPFT, EIRFT e EIRPLR e do PLR para o
chiller com condensação a ar e a água.
Chiller a Ar Chiller a Água
Mês
CAPFT EIRFT EIRPLR PLR (%)
CAPFT EIRFT EIRPLR PLR (%)
jan 1.0792 0.8447 0.7395 50.55 1.0057 1.0005 0.7609 50.91
fev 1.0888 0.8261 0.7298 48.23 1.0057 1.0005 0.7577 49.00
mar 1.0825 0.8379 0.7355 49.59 1.0057 1.0005 0.7598 50.10
abr 1.0806 0.8414 0.7361 49.79 1.0057 1.0005 0.7590 50.20
mai 1.0790 0.8447 0.7389 50.45 1.0057 1.0005 0.7602 50.80
jun 1.0626 0.8763 0.7440 51.75 1.0057 1.0005 0.7603 51.34
jul 1.0544 0.8927 0.7569 54.67 1.0057 1.0005 0.7662 53.82
ago 1.0522 0.8975 0.7641 56.20 1.0057 1.0005 0.7702 55.17
set 1.0637 0.8742 0.7440 51.71 1.0057 1.0005 0.7605 51.34
out 1.0601 0.8810 0.7446 51.94 1.0057 1.0005 0.7600 51.41
nov 1.0554 0.8903 0.7494 53.09 1.0057 1.0005 0.7616 52.33
dez 1.0621 0.8773 0.7457 52.18 1.0057 1.0005 0.7609 51.73
Capítulo 5: Resultados
129
Para o chiller com condensação a água os valores médios mensais das
curvas CAPFT e EIRFT (Tab. (5.3)) são constantes, pois as temperaturas da
água na saída do evaporador e na entrada do condensador são constantes,
sendo iguais aoset-point do chiller e da torre de resfriamento,
respectivamente. Já os valores médios mensais das curvas, para o chiller com
condensação a ar não são constantes, pois neste caso apenas a temperatura na
saída do evaporador é constante enquanto a temperatura na entrada do
condensador é igual a do ar externo. A Figura (5.19) mostra a média mensal da
temperatura externa, onde é possível verificar que para os primeiros quatro
meses do ano as temperatura são menores que para o restante do ano. Com
isto, pode-se dizer que a variação nas diferenças relativas dos valores do
consumo de energia elétrica, do chiller a ar e a água (Tab. (5.2)), ocorrem
principalmente devido à variação da temperatura externa.
jan fev mar abr mai jun jul ago set out nov dez
20
21
22
23
24
25
26
27
28
29
30
Temperatura (ºC)
Mês
Figura 5.19 Média mensal da temperatura externa.
A Figura (5.20) mostra uma comparação do consumo de energia elétrica
anual de cada equipamento e do total dos sistemas primários com condensação
a ar e a água. Além do consumo do chiller, das bombas primárias e dos
ventiladores dos sistemas secundários, o SP-ÁGUA também apresenta o
Capítulo 5: Resultados
130
consumo das bombas de condensação e das torres de resfriamento. O consumo
do chiller a água apresenta uma diferença relativa de quase 13% menor em
relação ao consumo do chiller a ar, conforme mostrado na Fig. (5.21). Já as
bombas primárias do SP-ÁGUA possuem uma diferença relativa no consumo de
aproximadamente 6% maior em relação ao SP-AR. A diferença relativa no
consumo anual total, envolvendo todos os equipamentos de cada sistema
(primário e secundário), do sistema com condensação a água foi de
aproximadamente 1.6% menor em relação ao sistema com condensação a ar.
Acredita-se que esta diferença seria mais acentuada se estivesse sendo
utilizada uma capacidade média mensal dos chillers acima dos 60%, pois acima
deste valor a eficiência em função da carga parcial do chiller com condensação
a água é maior, conforme mostrado na Fig. (5.18).
C
h
i
l
l
e
r
B
o
m
b
a
s
P
r
i
m
á
r
i
a
B
o
m
b
a
s
C
o
n
d
e
n
s
a
ç
ã
o
T
o
r
r
e
s
V
e
n
t
i
l
a
d
o
r
e
s
T
o
t
a
l
0
20000
40000
60000
80000
100000
120000
140000
160000
180000
200000
Equipamento
Consumo de Energia Elétrica (kWh)
SP-ÁGUA
SP-AR
Figura 5.20 Comparação do consumo de energia elétrica anual de cada equipamento e do total
dos sistemas primários com condensação a ar e a água.
Capítulo 5: Resultados
131
Chiller Bombas Primária Ventiladores Total
0
5
10
15
20
Equipamento
Diferea Relativa (%)
Figura 5.21 Diferença relativa entre o consumo de energia elétrica anual de cada equipamento
e do total dos sistemas primários com condensação a ar e a água.
Capítulo 5: Resultados
132
5.3 Análise do Efeito da Umidade nas Paredes
Nesta seção será apresentada uma comparação entre os resultados
obtidos tanto através das simulações realizadas considerando apenas a
transferência de calor nas paredes, doravante chamada de nível 5, como
através das simulações onde foi considerada a transferência de calor e de
massa pelas paredes, doravante chamada de nível 0 (modelo mais completo do
programa DOMUS).
Foram realizadas análises em termos de temperatura e de umidade, nas
paredes e dentro zona, e o impacto sobre o consumo de energia quando são
considerados ou não os femenos da adsorção e dessorção de umidade nas
paredes da edificação. Estas simulações foram feitas utilizando a edificação
multizona (EMTZ) descrita na Seção (4.2.2), com o sistema primário com
condensação a ar mostrado na Seção (4.4.1) e o sistema secundário da EMTZ
descrito na Seção (4.4.3). Para estas simulações foi adotado um passo de
tempo de 1 minuto e os resultados apresentados são referentes à zona 6 da
EMTZ para o dia 14 de janeiro.
A Figura (5.22) mostra uma comparação entre as cargas térmicas
máximas totais de cada mês e as diferenças relativas entre estes valores,
determinadas pelas simulações com o nível 0 e o com o nível 5. Na Fig. (5.22) ,
pode-se observar que quando é considerado o efeito da umidade nas paredes a
carga térmica é sempre menor. Isto ocorre, pois a evaporação nas supercies
das paredes abaixa sua temperatura, diminuindo assim a carga térmica por
condução.
Considerando apenas a transferência de calor nas paredes, corre-se o
risco de superdimensionar o sistema de climatização em média de 13%, para os
dados do presente estudo.
Capítulo 5: Resultados
133
jan fev mar abr mai jun jul ago set out nov dez
0
5
10
15
20
Carga Térmica (kW)
Nível 5
Nível 0
jan fev mar abr mai jun jul ago set out nov dez
0
5
10
15
20
Mês
Diferença Relativa (%)
Figura 5.22 Comparação entre as cargas térmicas máximas totais de cada mês obtidas através
do nível 0 e do nível 5.
Na Figura (5.23) é apresentado o comportamento da temperatura e
umidade relativa dentro da zona 6 da EMTZ para o período da 1:00 às 24:00
horas do dia 14 de janeiro. O sistema de condicionamento de ar (AC) opera das
8:00 às 18:horas, com um sistema de controle de temperatura comset-point de
24ºC e histerese de 2ºC.
Nota-se que a temperatura dentro da zona, quando o sistema de
condicionamento de ar (AC) está desligado, da 1:00 às 8:00 horas e das 18:00
às 24:00 horas, para o modelo do nível 0 é menor que a do nível 5. Isto pode ser
explicado através do perfil de temperatura nas paredes, analisando o instante
quando o sistema de climatização está entrando em funcionamento às 8:00
horas, mostrado na Fig. (5.24). Pode-se notar na Fig. (5.24) que a temperatura
na supercie da parede interna para o nível 5 é aproximadamente 1ºC maior
que a do nível 0, justificando o fato de que a temperatura interna da zona, sem
sistema de climatização em funcionamento, seja maior para o nível 5.
No caso da umidade relativa interna ocorre o inverso, uma vez que ela é
Capítulo 5: Resultados
134
maior para o modelo do nível 0, quando o sistema está desligado. Isto ocorre,
pois um fluxo de vapor proveniente das supercies das paredes internas, no
caso do nível 0, o que o ocorre no nível 5, devido à presença de umidade nas
supercies das paredes, favorecendo o aumento da umidade relativa interna da
zona.
02:00 04:00 06:00 08:00 10:00 12:00 14:00 16:00 18:00 20:00 22:00 24:00
22
23
24
25
26
27
28
29
30
Tempo (h)
TemperaturaC)
Nível 0
Nível 5
02:00 04:00 06:00 08:00 10:00 12:00 14:00 16:00 18:00 20:00 22:00 24:00
35
40
45
50
55
60
65
70
Tempo(h)
Umidade Relativa (%)
Figura 5.23 Variação da temperatura e umidade relativa dentro da zona 6, com sistema de
climatização, obtidas através do nível 0 e nível 5.
Observa-se que mesmo com o sistema de climatização em
funcionamento a umidade relativa da zona para o nível 0 é maior que para o
nível 5 (Fig. (5.23)), o que mostra que o fluxo de vapor das paredes é relevante
no balanço de massa de vapor dágua da zona.
O controle da temperatura interna da zona, no período das 8:00 às 18:00
horas, é melhor para o nível 0 em função de que o sistema de climatização foi
dimensionado, considerando como modelo para o cálculo da caga térmica a
transferência acoplada de calor e massa nas paredes (nível 0).
Capítulo 5: Resultados
135
5 10 15 20
24
25
26
27
28
29
30
interno
externo
Nó na Parede
Temperatura (ºC)
Nível 0 - às 8:00
Nível 5 - às 8:00
Nível 0 - às 18:00
Nível 5 - às 18:00
Figura 5.24 Perfis de temperatura nas paredes, às 8:00 e às 18:00 horas, para o nível 0 e nível
5 com sistema de climatização (parede face norte).
A Figura (5.25) mostra o perfil de umidade relativa na parede face norte,
às 8:00 e às 18:00 horas, para o nível 0, com e sem sistema de climatização.
Pode ser observado o efeito da secagem da parede devido à presença do
sistema de condicionamento de ar (AC), comparando as curvas de umidade
relativa na supercie da parede com e sem sistema de climatização às 18:00
horas. Nota-se que há uma diferença de 4% de umidade relativa para estas
duas curvas. Em alguns casos esta secagem nas paredes pode reduzir o
problema do crescimento de fungos e mofos.
Comparando as curvas de umidade relativa com sistema de
condicionamento de ar e as curvas sem climatização, às 8:00 e às 18:00,
observa-se o efeito da radiação solar na secagem da face externa, uma vez que
a umidade relativa reduziu 10% com climatização e 9% sem climatização.
Capítulo 5: Resultados
136
2 4 6 8 10 12 14 16 18 20
62
64
66
68
70
72
74
76
78
Com AC - às 8:00
Com AC - às 18:00
Sem AC - às 18:00
Sem AC - às 8:00
externo interno
Umidade Relativa (%)
Nó na Parede
Figura 5.25 Perfis de umidade relativa nas parede, às 8:00 e às 18:00 horas, para o nível 0,
com e sem sistema de climatização (parede face norte).
Na Figura (5.26) é apresentada uma comparação entre o consumo de
energia anual dos equipamentos e o total obtido pelos modelos do nível 0 e
nível 5. Nota-se que o consumo de energia anual total obtido pelo modelo do
nível 5 apresenta uma diferença relativa de aproximadamente 4% menor em
relação ao nível 0. Esta diferença ocorre em função da diferença entre o
consumo do chiller, pois como foi utilizado o mesmo sistema de climatização nos
dois casos, o consumo das bombas e dos ventiladores foram os mesmos.
Portanto, ao desprezar o efeito da umidade nas paredes pode-se subestimar o
consumo de energia do sistema , conforme já discutido em (Mendes 1997;
Mendes et al., 2003c). Assim, ao desprezar a umidade, corre-se o risco de
superdimensionar equipamentos de climatização e subavaliar o consumo de
energia.
Capítulo 5: Resultados
137
Chiller Bombas Ventiladores Total
0
50000
100000
150000
200000
Consumo de Ernergia Etrica (kWh)
Nível 5
Nível 0
Figura 5.26 Comparação do consumo de energia anual entre o modelo do nível 0 e nível 5.
138
Capítulo 6
Conclusões
A motivação deste trabalho está relacionada à simulação de sistemas
centrais de climatização (água gelada) integrados a programas de simulação
higrotérmica e enertica de edificações capazes de simular em detalhe a
transferência combinada de calor, vapor e líquido em elementos porosos de
edificações. Este trabalho também visa contribuir com o estudo de redução de
consumo de energia em edificações e o aprimoramento de programas de
simulação.
Assim, foi desenvolvida a modelagem matemática dos componentes do
sistema de climatização do tipo expansão indireta, o qual também conhecido
como sistema central ou de água gelada. Para o sistema primário foram obtidos
os modelos matemáticos do chiller, da torre de resfriamento e da bomba de
circulação primária e de condensação. Enquanto para o sistema secundário
foram obtidos os modelos da serpentina de resfriamento, do umidificador, do
ventilador e da caixa de mistura.
Para o modelo matemático do resfriador de líquido (chiller) foi utilizada
uma abordagem híbrida, i.e., modelos de regressão baseados em funções
biquadráticas e polinomiais, conhecido como modelo DOE-2, desenvolvido pelo
Departamento de Energia dos Estados Unidos (Pacific Gas and Electricity,
1996), o qual também é utilizado pelo programa de simulação termoenertica
Capítulo 6: Conclusões
139
VisualDOE. Os modelos matemáticos dos outros componentes foram baseados
nos modelos descritos no ASHRAE HVAC Toolkit (Brandemuel, 1993 e
Bourdouxhe et al., 1999). Os parâmetros de entrada destes modelos utilizam
diretamente dados fornecidos em catálogos.
Com os modelos matemáticos de cada componente dos sistemas
primário e secunrio, elaborou-se um código computacional fazendo a
integração entre os modelos de cada sistema com o modelo da edificação, onde
utilizou-se o programa de simulação termoenertica DOMUS (Mendes et al.,
2001b, 2003b). Este código computacional foi elaborado de forma genérica e
flexível, sendo possível fazer qualquer configuração de montagem do sistema
de climatização com a edificação.
As simulações foram realizadas para duas edificações, uma composta
por uma única zona (monozona) e uma outra composta por seis zonas
sobrepostas (multizona). Tamm foram utilizados dois tipos de sistema
primários, um composto com chiller com condensação a ar e um outro com
chiller com condensação a água. Para a realização das simulações foi adotado
o arquivo climático (TRY-Test Reference Year) da cidade de Belém.
No Capítulo 4 foram apresentados os procedimentos de simulação
utilizados para a realização das simulações, onde foram mostradas as
características construtivas e geométricas das edificações utilizadas, bem como
os dados climáticos e os parâmetros de entrada dos modelos que compõem os
sistemas de climatização utilizados na realização das simulações.
Com o intuito de avaliar o desempenho dos modelos do sistema de
climatização desenvolvidos, foi apresentada, no Capítulo 5 , uma comparação
entre os programas DOMUS e VisualDOE, através da simulação de uma
edificação monozona. Inicialmente foi realizada uma comparação entres os dois
programas sem sistema de climatização com e sem considerar a radiação solar.
Pôde-se notar que, para o caso sem radiação solar em 60% das horas do ano
as diferenças relativas para temperatura interna da zona obtida pelos dois
programas em relação ao DOMUS foram inferiores a 3% com uma diferença
média de 2.72%. Levando-se em conta a radiação solar, em apenas 30% das
Capítulo 6: Conclusões
140
horas do ano as diferenças relativas foram inferiores a 3%, com uma diferença
média de 6%.
No caso sem radiação solar, pode-se dizer que esta diferença ocorre pela
diferença entre os métodos utilizados pelos programas, pois o VisualDOE utiliza
o método do fator de resposta do programa DOE-2 e o DOMUS utiliza volumes
finitos. No entanto, quando é considerada a radiação solar a diferença torna-se
maior, pois existe tamm uma diferença entre os ângulos altitude e azimute
solar calculados pelos dois programas. Através de uma análise dos ângulos
solares altitude e azimute calculados pelos dois programas, para o dia 17
janeiro, observou-se que as diferenças relativas entre os ângulos de altitude
solar são maiores que as do azimute solar. As diferenças relativas da altitude
solar mínima, máxima e média foram 0.11, 9.50 e 3.09%, respectivamente.
Para comparar os resultados com o sistema de climatização, foi
considerada a radiação solar para realizar as simulações. Os dois programas
mantiveram a temperatura interna da zona, quando o sistema de climatização
está em operação, na faixa de controle imposta através da ação do sistema de
controleon-off. A diferença relativa do consumo anual do chiller (compressor)
entre os programas DOMUS e VisualDOE é de 15.69%. Apesar do modelo
matemático do chiller utilizado pelo programa DOMUS ser igual ao modelo
utilizado pelo VisualDOE, uma das possíveis causas desta diferença esta
relacionada às diferenças encontradas nas temperaturas obtidas pelos dois
programas sem sistema de climatização. Além disso, um outro fator que
contribui é a diferença no modelo da serpentina de resfriamento utilizado pelos
programas, que está diretamente ligada ao consumo elétrico do chiller em
função da capacidade de resfriamento.
No consumo de energia elétrica anual das bombas e do ventilador, as
diferenças relativas entre os dois programas foram de 10.36% e 11.95%,
respectivamente, em relação ao DOMUS. Neste caso, as diferenças podem
estar associadas principalmente às diferenças nos modelos matemáticos
utilizados pelos programas. No consumo de energia elétrica anual total, a
diferença relativa entre os dois programas em relação ao DOMUS foi de
Capítulo 6: Conclusões
141
aproximadamente 14.92%.
Nos resultados apresentados para a edificação multizona, verificou-se a
flexibilidade do sistema climatização quando utilizado para atender várias zonas
e a facilidade de se utilizar diferentes sistemas primários, tais como com
condensação a ar e a água. Foi realiza uma comparação entre o consumo de
energia elétrica obtido com sistema primário com condensação ar e água, e
verificou-se que consumo de energia elétrica do chiller a água (compressor)
apresenta uma diferença relativa de quase 13% menor em relação ao consumo
do chiller a ar. Mas quando leva-se em conta todos os equipamento de cada
sistema (primário e secundário), a diferença relativa no consumo de energia
anual, do sistema com condensação a água foi de aproximadamente 1.6%
menor em relação ao sistema com condensação a ar.
Mostrou-se, ainda no Capítulo 5, a importância de se levar em conta a
transferência de calor e massa pelas paredes comparando a carga térmica e o
consumo de energia elétrica anual para os casos onde é considerada apenas
transferência de calor e quando considera-se o efeito da umidade nas paredes.
Verificou-se que para o modelo que considera a transferência de calor e massa
pelas paredes, apresentou uma diferença relativa média na carga térmica
máxima mensal de 13% inferior a do outro modelo, mesmo para uma edificação
com 13% de área envidraçada. O consumo de energia anual total obtido pelo
modelo que considera apenas a transferência de calor nas paredes apresenta
uma diferença relativa de aproximadamente 4% menor em relação ao modelo
que leva em conta o efeito da umidade nas paredes. Assim, ao desprezar o
fenômeno da adsorção e dessorção de umidade nas paredes, corre-se o risco
de superdimensionar equipamentos de climatização e subavaliar o consumo de
energia, conforme já discutido em Mendes (1997) e Mendes et al. (2003).
Desta forma, acredita-se que o presente trabalho possa contribuir não
apenas com a formação do Anexo 41 da IEA (Hens, 2003), mas também com o
avanço da área de simulação higrotérmica e enertica de edificações no Brasil,
uma vez que acredita-se que a integração de modelos para simulação de
sistemas centrais de climatização com modelos de simulação higrotérmica de
Capítulo 6: Conclusões
142
edificações multizona tenha um caráter de ineditismo no País.
Para trabalhos futuros são feitas as seguintes sugestões:
Incluir o modelo de tanque de termoacumulação ao sistema primário.
Implementação de um sistema de aquecimento através de água quente,
incluindo os modelos de caldeira e de serpentina de aquecimento.
Incluir modelo transiente para a serpentina de resfriamento e
desumidificação.
Avaliar em maior profundidade os efeitos de higroscopicidade de materiais,
ventilação e de permeância de pintura para diferentes climas brasileiros e
diferentes tipos de edificações.
143
Referências Bibliogficas
Arjo, H. X. De ; Oliveira, G. H. C. ; Mendes, N. ; Coelho, L. S. . Ambiente para
simulação de sistemas de controle em edificações - Parte 1:descrição
funcional. In: VII Encontro Nacional Sobre Conforto No Ambiente Construído
(ENCAC), v. 1. p. 1-6, Curitiba, 2003.
ASHRAE, ASHRAE Handbook 1993, Fundamentals, Cap. 25-28, American Society of
Heating, Refrigerating and Air-Conditioning Engineers, Atlanta, 1993.
ASHRAE, ASHRAE Handbook 1996, HVAC Systems and Equipment, Cap. 38,
American Society of Heating, Refrigerating and Air-Conditioning Engineers,
Atlanta, 1996.
Augenbroe G., Trens in Building Simulation, Building and Environment 37, pp. 891-902,
2002.
Barbosa, R. M., Mendes N., Dynamic Simulation of Fan-Coil Systems , 17th
International Congress of Mechanical Engineering, COBEM2003, São Paulo,
Brasil, novembro de 2003.
Barbosa, R. M., Mendes N., Simulação de Sistemas de Expansão indireta: Alise
Higrotérmica da Serpentina, Congresso Brasileiro de Engenharia e Ciências
Térmicas, ENCIT 2004, Rio de Janeiro, Brasil, dezembro de 2004.
Bourdouxhe, J-P, P. André , Simulation of A Centralized Cooling Plant Under Different
Control Strategies, International Conference on Building Performance
Simulation (IBPSA´97), V.1, p. 95-102, Prague, Czech Republic, 1997
Referências Bibliográficas
144
Brandemuehl, M. J., S. Gabel, I. Andresen, HVAC2 Toolkit: A Toolkit for Secondary
HVAC System Energy Calculation, ASHRAE, Atlanta, 1993.
Bourdouxhe, J-P., M. Grodent, J. Lebrun, HVAC1 Toolkit: A Toolkit for Primary HVAC
System Energy Calculation, ASHRAE, Atlanta, 1999.
Cherem-Pereira, G.C., Modelagem de Condicionadores de Ar Residenciais. 2003.
Dissertação de Mestrado em Mestrado em Engenharia Mecânica, Pontifícia
Universidade Católica do Para, 172 f, 2003.
Cherem-Pereira, G.C.; Mendes, N.. Development of Empirical Models for Predicting
Heat Exchangers Performance of a Wyndow-Type Air Conditioner. In: Fourth
European Thermal Sciences Conference, 2003, Valencia-Spain. 2003a.
Cherem-Pereira, G. C.; Mendes, N., Room Air Conditioners: Determination of
EmpiricalCorrelations For Predicting Building Energy Consumption. In: Building
Simulation , Eindhoven, Netherlands, p. 1-8, 2003b.
Chow, T. T., J. A. Clarke, A. Dunn, Primitive Parts: an Approach to Air-Conditioning
Component Modeling, Energy and Buildings, Nº 26, p. 165-173, 1997.
Chuah, Y. K., C. C. Hung, P. C. Tseng, Experiments on the Dehumidification
Performance of a Finned Tube Heat Exchangers an Coil, HVAC&R Research,
Vol. 4, Nº 2, p. 167-178, Janeiro, 1998.
Clarke, J. A., Energy Simulation in Building Design, Adam Hilger Ltd, Bristol, 1985.
Clarke, J. A., A.D. Irving, Building energy simulation: an introduction, Energy and
Buildings, Nº 10, p. 157-159, 1988.
Creder, H., Instalações de Ar Condicionado, LTC, Rio de Janeiro., 1996.
Coelho, L. S. ; Arjo, H. X. De ; Oliveira, G. H. C. ; Mendes, N. . Controle PID Baseado
em otimização por evolução diferencial aplicado a um sistema de conforto
térmico . In: XV Congresso Brasileiro de Automática, Gramado-RS, 2004.
Referências Bibliográficas
145
Corrêa, J. M., Alise Dimica do comportamento Integrado de Edificações e
Sistemas de Climatização, Tese de Doutorado Universidade Federal de
Santa Catarina, Florianópolis, 203 f., 1998.
Cui, J., T. Watanabe, Y. Ryu, Y. Akashi, N. Nishiyama, Numerical simulation on
Simultaneos Control Process of Indoor Air Temperature and Humidity,
International Conference on Building Performance Simulation (IBPSA´99), V.2,
p. 1005-1012, Kyoto, Japan, 1999.
Elmahdy, A. H., R. C. Biggs, Finned Tube Heat Exchanger: Correlation of Dry Surface
Heat Transfer Data, ASHRAE Trans, 85(2), p. 262-273.1985
EnergyPlus, EnergyPlus Engineering Document, University of Illinois and the Ernest
Orlando Lawrence Berkeley National Laboratory, 2004.
Freire, R. Z. ; Oliveira, G. H. C. ; Mendes, N. . Thermal comfort based predictive
controllers for building heating systems. In: IFAC World Congress, Prague,
2005.
Haves, P., Overview of Diagnostics Methods, Proceedings of Diagnostics for
Commercial Buildings: From Research to Pratice, San Francisco, CA., 1999.
Hensen, J. L. M., On the Thermal Interaction of Building Structure and Heating and
Ventilating System," PhD Thesis, Eindhoven University of Technology,1991
Hensen, J., On system simulation for building performance evaluation, International
Building Performance Simulation Association, V.3, p. 259-267, Madison,
Wisconsin, 1995.
Hens, H., Proposal for a new annex, 2003.
Incropera, F. P., D. P. Witt, Fundamentos de Transferência de Calor e Massa, 3ª ed.,
1992.
Jacquard, M.- H., Modeling of an Air Conditioning Installation in a Residential Building,
International Conference on Building Performance Simulation (IBPSA´99), V.3,
p. 1253-1258, Kyoto, Japan, 1999.
Referências Bibliográficas
146
Kays, W. M., A. L. London, Compact Heat Exchangers, McGraw-Hill, New York, 1984.
Knabe, G., H. Le , 2001, Building Simulation by Application of a HVAC System
Considering the Thermal and Moisture Behaviors of the Perimeter Walls,
International Conference on Building Performance Simulation (IBPSA´01), V.1,
p. 965-972, Rio de Janeiro, Brasil,2001.
Kuehn , T. H., J. W. Ramsey, J. L. Threlkeld, Thermal Environmental Engineering, 3ª
ed., 1998.
Lamberts, R., Thomé M., Lomardo L. e Mascarenhas A.C., Retrofit Demonstration in
Brazilian Commercial and Public Buildings, ACEEE Summer Study on
Energy Efficiency in Buildings, 1998
Lam, C. L., S. C. M. Hui, A. L. S. Chan, Regression Analysis of high-rise fully air-
conditioned Office buildings, Energy and Buildings, 26, 189-197, 1997.
Lebrun J., Simulation of a HVAC System with the Help of an Engineering Equation
Solver, International Conference on Building Performance Simulation
(IBPSA´01), V.1, p. 1119-1126, Rio de Janeiro, Brasil, 2001.
Mendes, N., Modelos para Previsão da Transferência de Calor e de Umidade em
Elementos Porosos de Edificações. Tese de Doutorado Universidade Federal
de Santa Catarina, Florianópolis, 225 f., 1997
Mendes, N.; Araújo, H. X.; Oliveira, G. H. C.; O Problema de Controle de Temperatura
em Aquecimento de Edificações In: Encontro Nacional De Tecnologia Do
Ambiente Construído, Salvador, Brasil, 2000.
Mendes N.; Oliveira G. H. C.; Araújo H. X. Building Thermal Performance Analysis by
Using Matlab/Simulink. In: International IBPSA Conference (Building
Simulation), Rio de Janeiro, Brazil, 2001a.
Mendes N., R.C.L.F. Oliveira, G.H. Santos, DOMUS 1.0: A Brazilian PC Program for
Building Simulation, Seventh International Conference on Building Performance
Simulation (IBPSA´01), V.1, n.1, p.83-89, Rio de Janeiro, Brazil, 2001b.
Referências Bibliográficas
147
Mendes N.; Oliveira G. H. C.; Araújo H. X. The Use of Matlab/Simulink to Evaluate
Building Heating Processes. In: Biennial Conference on Engineering Systems
Design and Analysis (ESDA'02), Istanbul, 2002.
Mendes, N.; Oliveira, G. H. C.; Arjo, H. X.; Coelho, L. S.; A Matlab-based simulation
tool for building thermal performance analysis. In: international IBPSA
Conference (Building Simulation), Eindhoven, Holanda, 2003a.
Mendes N., R.C.L.F. Oliveira, G.H. Santos, Domus 2.0: A Whole-Building Hygrothermal
Simulation Program, Eighth International Conference on Building Performance
Simulation (IBPSA´03), Eindhoven, Netherlands, 2003b.
Mendes, N. ; Oliveira, G. H. C. ; Araújo, H. X. De ; Coelho, L. S. . A Matlab-based
simulation tool for building thermal performance analysis. In: IBPSA
International Conference and Exhibition on Building Simulation, Eindhoven., v.
1. p. 1-6, 2003c.
Mendes, N.; Winkelmann, F. C.; Lamberts, R.; Philippi, P. C. Moisture Effects on
Conduction Loads. Energy and Buildings, v. 35, n. 7, p. 631-644, 2003c.
Mendonça, K. C. Modélisation thermo-hydro-raulique des locaux climatisés selon
l’approche zonale Prise en compte des phénomènes de sorption dhumidité.
Tese de doutorado Universidade de La Rochelle (França), 2004.
Ministério de Minas e Energia (MME). Balanço Energético Nacional. Brasília, DF, 2004.
Disponível em: <http://www.mme.gov.br>. Acesso em: 18 de abril de 2005.
Myers, R. J., The Effect of Dehumidification on the Air Side Heat Transfer Coefficient for
a Finned Coil, Masters Thesis, University of Minnesota, 1967.
Nassif, N., S. Kajl, R. Sabourin, Modélisation des Composants D’un Système CVCA
Existant, VI Colloque Interuniversitaire Franco-Quécois, Thermique des
systèmes, Québec, 2003.
Ng, K. C., H. T. Chua, W. Ong, S. S. Lee, J. M. Gordon, Diagnostics and optimization of
Reciprocating Chillers: theory and experiment, Applied Thermal Engineering,
vol. 17, no. 3, pp. 263-276, 1997.
Referências Bibliográficas
148
Novak, P. R.; Mendes, N.; Oliveira, G. H. C. Simulation and Analysis of a Secondary
HVAC System using MATLAB/SIMULINK Platform. in: International Mechanical
Engineering Congress. USA, 2004.
Oliveira, G. H. C.; Arjo, H. X.; Mendes, N.; Coelho, L. S. Ambiente para simulação de
sistemas de controle em edificações - Parte 2: descrição matemática do
conjunto ambiente-climatizador e exemplo de simulação. In: Encontro Nacional
Sobre Conforto No Ambiente Construído, Curitiba, 2003a.
Oliveira, G. H. C.; Coelho, L. S.; Araújo, H. X.; Mendes, N. Using Fuzzy Logic in Heating
Control Systems. In: ASME-JSME Thermal Engineering Joint Conference, 6th,
Hawai, USA, 2003b.
Pacific Gas and Electric, Proceedings from the PG&E Energy Center DOE-2 Lunch
Series: Chiller Plant Performance Curves, San Francisco, CA., 1996.
Rabehl, R. J., J. W. Mitchell, W. A. Beckman, Parameter Estimation and the Use of
Catalog Data in Modeling Heat Exchangers an Coil, HVAC&R Research, Vol. 5,
Nº 1, p. 3-17, Janeiro, 1999.
Reda, I., Andreas, A., Solar position algorithm for solar radiation application, National
Renewable Energy Laboratory (NREL),Technical report NREL/TP-560-34302,
2003.
Reis, B. L.; Barbosa, R. M.; Mendes, N., HVAC-LST Software De Simulação De
Sistemas De Climatização, VIII Encontro Nacional Sobre Conforto No Ambiente
Construído (ENCAC), Maceió, 2005.
Rohsenow, W. M., J. P. Hartnett, E. N. Ganié, Handbook of Heat Transfer
Fundamentals, 2º ed., McGraw-Hill, 1985.
Sreedharan, P., Comparison of Chiller Models for use in Model-Based Fault Detection,
Master Project, University of California, Berkeley, 2001.
Sieder, E. N., C. E. Tate, Heat Transfer and Pressure Drop of Liquid in Tubes, Ind. Eng.
Chem., Vol. 28, 1936.
Referências Bibliográficas
149
Stoecker, W.F., J. W. Jones, Refrigeração e Ar Condicionado, McGraw-Hill do Brasil,
São Paulo, 1985.
Villani, E., Abordagem Híbrida para Modelagem de Sistemas de Ar Condicionado em
Edifícios Inteligentes, Dissertação de Mestrado, Escola Politécnica da
Universidade de São Paulo, São Paulo, 2000.
Zmeureanu, R., Zelaya, E.M., Giguere, D, Simulation de la consommation d'énergie
d'un aréna à l'aide du logiciel DOE-2.1E, ESIM 2002 Conference, Montreal,
2002.
Winkelmann, F. C., B. E. Birdsall, W. F. Buhl, K. L. Ellington, A. E. Erdem, DOE-2
Supplement, V. I, Version 2.1E, Energy and Environment Division, Lawrence
Berkeley Laboratory, University of California, Berkeley, CA, 1993a
Winkelmann, F. C., B. E. Birdsall, W. F. Buhl, K. L. Ellington, A. E. Erdem, DOE-2
Supplement, V. II, Version 2.1E, Energy and Environment Division, Lawrence
Berkeley Laboratory, University of California, Berkeley, CA, 1993a
Yu, B., A. H. C. van Paassen, Simulink and Bond Graph Modeling of an Air-Conditioning
Room, Simulation Modelling Practice and Theory, Nº 12, p. 61-76, 2004.
150
Índice Remissivo
Erro! Nenhuma entrada de índice remissivo foi encontrada.
151
Anexo A
Catálogos de Chillers
Nesta seção são apresentados os catálogos dos resfriadores de líquido
(chiller), tipo parafuso com condensação a ar e com condensação a água do
fabricante TRANE. São apresentados dados gerais e de desempenho destes
equipamentos.
Anexo A: Catálogos de Chillers
152
A.1 Catálogo do Chiller com Condensação a Ar
Anexo A: Catálogos de Chillers
153
Anexo A: Catálogos de Chillers
154
Anexo A: Catálogos de Chillers
155
A.2 Catálogo do Chiller com Condensação a Água
.
Anexo A: Catálogos de Chillers
156
Anexo A: Catálogos de Chillers
157
158
Anexo B
Catálogo de Bomba
Esta seção apresenta a curva característica da bomba centrifuga modelo
KSB Meganorm 40-125 com 1750 rpm, retirada do catálogo do frabricante KSB.
Anexo B: Catálogo de Bomba
159
Livros Grátis
( http://www.livrosgratis.com.br )
Milhares de Livros para Download:
Baixar livros de Administração
Baixar livros de Agronomia
Baixar livros de Arquitetura
Baixar livros de Artes
Baixar livros de Astronomia
Baixar livros de Biologia Geral
Baixar livros de Ciência da Computação
Baixar livros de Ciência da Informação
Baixar livros de Ciência Política
Baixar livros de Ciências da Saúde
Baixar livros de Comunicação
Baixar livros do Conselho Nacional de Educação - CNE
Baixar livros de Defesa civil
Baixar livros de Direito
Baixar livros de Direitos humanos
Baixar livros de Economia
Baixar livros de Economia Doméstica
Baixar livros de Educação
Baixar livros de Educação - Trânsito
Baixar livros de Educação Física
Baixar livros de Engenharia Aeroespacial
Baixar livros de Farmácia
Baixar livros de Filosofia
Baixar livros de Física
Baixar livros de Geociências
Baixar livros de Geografia
Baixar livros de História
Baixar livros de Línguas
Baixar livros de Literatura
Baixar livros de Literatura de Cordel
Baixar livros de Literatura Infantil
Baixar livros de Matemática
Baixar livros de Medicina
Baixar livros de Medicina Veterinária
Baixar livros de Meio Ambiente
Baixar livros de Meteorologia
Baixar Monografias e TCC
Baixar livros Multidisciplinar
Baixar livros de Música
Baixar livros de Psicologia
Baixar livros de Química
Baixar livros de Saúde Coletiva
Baixar livros de Serviço Social
Baixar livros de Sociologia
Baixar livros de Teologia
Baixar livros de Trabalho
Baixar livros de Turismo