Download PDF
ads:
MÁRCIO FERNANDO RIBEIRO DE RESENDE JÚNIOR
SELEÇÂO GENÔMICA AMPLA NO MELHORAMENTO VEGETAL
Dissertação apresentada à
Universidade Federal de Viçosa, como
parte das exigências do Programa de
Pós-Graduação em Genética e
Melhoramento, para obtenção do título
de Magister Scientiae.
VIÇOSA
MINAS GERAIS BRASIL
2010
ads:
Livros Grátis
http://www.livrosgratis.com.br
Milhares de livros grátis para download.
ii
Se eu algum dia pude ver mais longe, foi por estar de pé sobre ombros de
gigantes
(Sir Isaac Newton)
ads:
iii
Ao meu pai Márcio, à minha mãe Ana, minhas irmãs Ju, Fê e Carol e à minha
noiva Kelly, pelo apoio, amor, sacrifícios e abdicações,
Dedico.
iv
AGRADECIMENTOS
Ao meu pai Márcio Fernando Ribeiro de Resende, minha mãe Ana Maria
Lara de Resende e minhas irmãs Juliana, Fernanda e Ana Carolina pelo exemplo,
pelo apoio, amizade e compreensão em todos os momentos.
À Universidade Federal de Viçosa, ao Departamento de Engenharia
Florestal e ao Departamento de Biologia Geral pela oportunidade de realização do
curso de graduação e de mestrado.
Ao Conselho Nacional de Desenvolvimento Científico e Tecnológico
(CNPq) pelo auxílio financeiro.
Aos orientadores Dr. Cosme Damião Cruz e Dr. Marcos Deon Vilela de
Resende pelo exemplo de pesquisadores, pela amizade, orientação, pelos sábios
ensinamentos responsáveis pelo meu crescimento e por estarem sempre
disponíveis e atenciosos para prontamente me atenderem mesmo com várias
outras obrigações e compromissos.
Ao Dr. Dario Grattapaglia, pelos ensinamentos, conselhos, amizade e pela
confiança ao permitir que eu integrasse o grupo de pesquisa de GWS.
Aos estudantes de doutorado da UnB, César Daniel Petroli e Carolina
Paola Sansaloni, que embora eu não os conheça, fizeram um trabalho árduo e
brilhante na geração dos marcadores DArTs, material de suas dissertações e
também utilizados nesta tese.
Ao professor Dr. Fabyano Fonseca da Silva pela coorientação, atenção e
pelas valiosas contribuições ao trabalho.
Às empresas CENIBRA Papel e Celulose e FIBRIA Papel e Celulose por
disponibilizarem o material de análise.
Aos amigos de laboratório que me apoiaram nesta caminhada: Leo,
Edmar, Tatiana, Rafael, Rafael, Danielle, Caio, Felipe, Otávio, Tetsu, Eliel,
Marcelo, Moysés, Lívia e Talles.
Aos amigos do GENMELHOR que estiveram sempre presentes nas
organizões de eventos e cursos
v
Aos amigos da área de genética florestal: Alexandre, Ricardo e Leandro
pelas horas compartilhadas em Viçosa, estudando ou descansando.
Aos amigos da Engenharia Florestal e da república que tornaram os anos
em Viçosa mais divertidos: Leo, Fred, Vítor, Serjão, Guilherme, Ana, Bruna, Mila,
Nanda, Douglas, Ricardinho, Gustavo, Gustavinho, Leo e Lu, Reno, Marcelão,
Bernardo, demais amigos da ENF-2004 e outros que cruzaram meu caminho e
que foram sempre companheiros nesta cidade.
À Edna e à Dona Rita, secretárias do programa de Pós-Graduação,
sempre dispostas a ajudar
A todos os professores que tive em toda a minha vida acadêmica, por
terem contribuído com a minha formação e crescimento.
Ao meu País, Brasil, que financiou toda minha formação acadêmica.
E por último, mas não menos importante, à Kelly por tornar a minha vida
mais feliz, pela companhia, compreensão e sobretudo, AMOR!...
Meu muito obrigado!!!
vi
BIOGRAFIA
MÁRCIO FERNANDO RIBEIRO DE RESENDE JÚNIOR, filho de Márcio
Fernando Ribeiro de Resende e Ana Maria Lara de Resende, nasceu em Belo
Horizonte, MG, no dia dois de outubro de 1985.
Em 2004 ingressou no curso de Engenharia Florestal pela Universidade
Federal de Viçosa graduando-se em janeiro de 2008.
Em março de 2008, iniciou o curso de Mestrado em Genética e
Melhoramento na Universidade de Viçosa (UFV), submetendo-se à defesa de tese
em abril de 2010.
Em março de 2010, obteve aprovação para cursar o doutorado na
Universidade da Flórida USA, sob a supervisão do professor Dr. Matias Kirst
com início previsto para maio de 2010.
vii
ÍNDICE
RESUMO .............................................................................................................................. ix
ABSTRACT...........................................................................................................................xi
INTRODUÇÃO GERAL ....................................................................................................... 1
CAPÍTULO I - SELEÇÂO GENÔMICA AMPLA VIA DADOS SIMULADOS ............... 2
1. INTRODUÇÃO ............................................................................................................. 3
2. MATERIAL E MÉTODOS ........................................................................................... 8
2.1 SIMULAÇÃO DOS DADOS GENOTÍPICOS E FENOTÍPICOS ................................ 8
2.2 METODOLOGIA DE ANÁLISE .................................................................................. 11
2.3 NÚMERO DE MARCADORES UTILIZADOS NA GWS .......................................... 14
2.3.1 UTILIZAÇÃO DE TODOS OS MARCADORES ..................................................... 14
2.3.2 TESTE DE ASSOCIAÇÃO VIA MARCA SIMPLES E TESTE F. .......................... 15
2.3.3 CRITÉRIO DA TAXA DE FALSA DESCOBERTA (FDR). .................................... 16
2.4 AVALIAÇÃO DOS DADOS ....................................................................................... 16
2.5 FERRAMENTAS DE ANÁLISES ................................................................................ 17
3. RESULTADOS E DISCUSSÃO ................................................................................. 18
3.1 CARACTERÍSTICA SIMULADA COM LOCOS DE MAIOR EFEITO
(OLIGOGÊNICA)................................................................................................................ 18
3.1.1 NÚMERO DE MARCADORES SIGNIFICATIVOS EM LD IGUAL A 1 ....... 18
3.1.2 NÚMERO DE MARCADORES SIGNIFICATIVOS EM LD DIFERENTE DE 1 .. 20
3.1.3 ESTIMATIVAS DE ACURÁCIA E CORRELAÇÃO .............................................. 22
3.1.4 OUTRAS MEDIDAS DE DESEQUILÍBRIO DE LIGAÇÃO .................................. 24
3.1.5 GANHOS DE SELEÇÃO. .......................................................................................... 25
3.2 CARACTERÍSTICA SIMULADA COM EFEITOS INFINITESIMAIS
(POLIGÊNICA) ................................................................................................................... 27
3.2.1 ESTIMATIVAS DE ACURÁCIAS E CORRELAÇÃO ............................................ 28
4. CONCLUSÃO ............................................................................................................. 33
5. REFERÊNCIAS BIBLIOGRÁFICAS ......................................................................... 34
CAPÍTULO II - SELEÇÂO GENÔMICA AMPLA EM Eucalyptus .................................. 38
1. INTRODUÇÃO ........................................................................................................... 40
2. MATERIAL E MÉTODOS ......................................................................................... 43
2.1 METODOLOGIA DE ANÁLISE .................................................................................. 43
2.2 ESTIMAÇÃO DOS EFEITOS DE MARCADORES VIA BLUP/GWS ...................... 44
2.3 ESTIMAÇÃO DOS EFEITOS DE MARCADORES VIA BayesA.............................. 46
2.4 AVALIAÇÃO DOS DADOS ........................................................................................ 47
3. RESULTADOS E DISCUSSÃO ................................................................................. 48
3.1 POPULAÇÃO CENIBRA ............................................................................................. 48
3.1.1 ACURÁCIAS CALCULADAS NA POPULAÇÃO DE ESTIMAÇÃO ................... 48
viii
3.1.2 VALIDAÇÃO CRUZADA: POPULAÇÃO DE ESTIMAÇÃO vs POPULAÇÃO DE
VALIDAÇÃO ...................................................................................................................... 50
3.2 POPULAÇÃO DA FIBRIA. .......................................................................................... 55
3.2.1 ACURÁCIA REALIZADA NA POPULAÇÃO DE ESTIMAÇÃO.......................... 55
3,2,2 VALIDAÇÃO CRUZADA ......................................................................................... 57
3.2.3 VALIDAÇÃO EM POPULAÇÃO COM FAMÍLIAS DIFERENTES ...................... 59
3.3 GANHOS DE SELEÇÃO .............................................................................................. 62
4. CONCLUSÃO ............................................................................................................. 64
5. REFERÊNCIAS BIBLIOGRÁFICAS ......................................................................... 65
RESUMO
RESENDE JÚNIOR, Márcio Fernando Ribeiro, M.Sc., Universidade Federal de
Viçosa, Abril de 2010. Seleção genômica ampla no melhoramento vegetal.
Orientador: Cosme Damião Cruz. Coorientadores: Marcos Deon Vilela de
Resende e Fabyano Fonseca e Silva.
A seleção genômica ampla (GWS) foi idealizada no ano de 2001 como
forma de predizer o fenótipo futuro de uma população baseado em informações de
marcadores moleculares, cujos efeitos genéticos aditivos, que estes explicam,
foram previamente estimados. Esta tecnologia é pesquisada e integrada aos
programas de melhoramento animal. Embora em plantas nenhum trabalho com
dados reais tenha sido descrito, a GWS tem grandes perspectivas de utilização
também no melhoramento genético vegetal, o que pode permitir melhores
acurácias e seleção precoce. O objetivo deste trabalho foi, em um primeiro
momento, fornecer subsídios para melhor entender a seleção genômica ampla e
fazer uma comparação de sua utilização com marcadores dominantes e
codominantes. Em uma segunda etapa, a aplicação dessa tecnologia foi então
proposta em Eucalyptus e seu impacto foi avaliado no melhoramento florestal.
Foram simuladas uma característica de controle oligogênico e outra controlada por
muitos genes em diferentes situações de desequilíbrio de ligação com os
marcadores. Em cada característica, o número de locos que controlava o caracter
foi estabelecido entre 100, 200 e 400 e as herdabilidades entre 20%, 30% e 40%.
Foi avaliada a correlação dos valores fenotípicos observados com os valores
fenotípicos preditos via informação de marcadores e a acuáracia de seleção. A
partir das estimativas de acurácia, calculou-se também o ganho de seleção por
unidade de tempo comparado com a seleção fenotípica. Os resultados das
simulações demonstraram altos valores de acurácias que proporcionaram ganhos
de até 500% caso o tempo do ciclo de geração seja reduzido. Observou-se que se
o número de marcadores dominantes disponíveis foi superior ao número de
marcadores codominantes, essa maior densidade proporciona acurácias maiores.
A segunda etapa do trabalho foi realizada em duas populações de Eucalipto
utilizando marcadores dominantes DArTs e avaliando as características Altura
total, Diâmetro a Altura do Peito (DAP) e penetração do Pilody. As acurácias
x
máximas obtidas foram de 0,67 para Altura e 0,69 para DAP em uma população, e
de 0,53, 0,62, e 0,53 para Altura, DAP e Pilodyn, respectivamente, na segunda
população. Estes valores proporcionaram ganhos que variaram entre 430% e
723% caso o ciclo de geração seja reduzido em 7 anos, situação possível no
melhoramento de Eucalipto. Este trabalho demonstrou resultados animadores e o
uso GWS se mostrou factível em plantas nas simulações e no conjunto de dados
reais.
xi
ABSTRACT
RESENDE JÚNIOR, Márcio Fernando Ribeiro, M.Sc., Universidade Federal de
Viçosa, April 2010. Genome wide selection in plant breeding. Advisor: Cosme
Damião Cruz. Co-Advisors: Marcos Deon Vilela de Resende and Fabyano
Fonseca e Silva.
The Genome Wide selection was proposed in 2001 to predict the phenotype
values based in molecular markers information. In a previus step, the effect of each
of each marker in controlling the genetic variance is estimated. This technology
has already been used in animals, however, no report of its use was made for
plants. This work aimed to study the impact of GWS, first in a simulated dataset,
then in two Eucalyptus populations. Besides that, on the simulated data, it was
compared the efficiency of using dominant markers versus the use of codominant
ones. The simulation generated one population controlled by many genes
(polygenic) and one population with olligogenic control. There were different
situations of linkage disequilibrium among the marker and the QTL, different
number of markers controlling the trait and heritabilities of 20, 30 and 40%. It was
evaluated the prediction ability and the accuracy of the GWS. The results of
accuracy were high, which turn in to a selection gain of up to 500% in the selection
dataset and the use dominant markers at higher densities is more efficient than the
use of dominant markers with lower densities. The Euvalyptus populations were
genotyped for total height, diameter at breast height (DBH) and Pilodyn. The
values of accuracy were 0,67 for height and 0,69 for DBH in the first population
and ,53, 0,62, and 0,53 for total height, DBH and Pilodyn respectively. Those result
turn in to a selection gain that varied from 430% to 723% with a reduction of 7
years in the breeding cycle. This showed significant results and gave evidences
that the use of GWS in plants is possible to improve the way plant breeding is
actually performed.
INTRODUÇÃO GERAL
O melhoramento genético, associado às pesquisas de práticas agrícolas e
silviculturais como o manejo do solo, controle de pragas e doenças dentre outros,
proporcionou avanços consideráveis para a agricultura e para o setor florestal.
Embora estas tecnologias continuam, ainda hoje, a proporcionar ganhos para as
culturas, o advento da biotecnologia gerou expectativas de aumentar ou maximizar
estas melhorias dos materiais para as diferentes características de interesse.
A partir de pesquisas de biologia molecular e genômica, foram identificados
marcadores genéticos com potencial de aplicação na localização de regiões
genômicas que controlam características de interesse (QTLs). Estes marcadores
podem ser utilizados para elucidar a arquitetura genética de caracteres complexos
em plantas via mapeamento genético e detecção de QTLs. Sua aplicação foi
vislumbrada para auxiliar os procedimentos de seleção no melhoramento
convencional, o que foi chamado de melhoramento genômico.
No entanto, até os dias atuais, a operacionalização do uso de marcadores
moleculares se deu principalmente em medidas de controle de qualidade para
detecção de cruzamentos contaminantes e proteção varietal, uma vez que essas
aplicações requerem um baixo número de marcadores disponíveis, ao contrário do
melhoramento genômico que requer a genotipagem de um grande número de
marcadores para que este seja efeciente.
Para que esta integração se torne viável e eficiente, vários foram os
esforços de pesquisa que culminaram com o desenvolvimento de tecnologias de
genotipagem em larga escala a um custo muitas vezes inferior ao inicialmente
proposto e um método de utilização destes marcadores conhecido como seleção
genômica ampla. Com isso, o panorama atual demonstra perpectivas da
integração dos marcadores moleculares nos programas de melhoramento
genético vegetal, fato que já vem sendo feito no setor animal.
O objetivo deste trabalho foi, em um primeiro momento, fornecer subsídios
para melhor entender a seleção genômica ampla, técnica que permite a seleção
de indivíduos baseado apenas na informação dos seus marcadores. Em uma
segunda etapa, a aplicação dessa tecnologia foi então proposta em Eucalyptus,. e
o impacto de seu uso no melhoramento florestal foi avaliado.
2
CAPÍTULO
SELEÇÂO GENÔMICA AMPLA VIA DADOS SIMULADOS
VIÇOSA
MINAS GERAIS BRASIL
2010
3
1. INTRODUÇÃO
O melhoramento genético tem, a vários anos, proporcionado, com muito
sucesso, o aumento de produtividade e a melhoria de várias outras características
de interesse na agricultura e na pecuária. Embora muitos métodos surgiram ao
longo dos anos, a estratégia básica utilizada foi a de predizer o valor genético do
indivíduo, baseado em informações fenotípicas e em alguns casos de genealogia.
No entanto, com o desenvolvimento dos marcadores moleculares e o avanço em
técnicas de biologia molecular, criou-se a expectativa de que as informações
genotípicas dos marcadores moleculares, uma vez correlacionados com
características fenotípicas de interesse, pudessem ser amplamente utilizadas na
obtenção e seleção de indivíduos com maior valor genético. Esta técnica ficou
conhecida como seleção assistida por marcadores moleculares (MAS - Marker
Assisted Selection).
Com a perspectiva de um aumento nos ganhos de seleção e redução nos
ciclos de melhoramento via seleção assitida por marcadores, muitas pesquisas
foram feitas e QTLs foram detectados e mapeados nas mais variadas culturas
(Frary, et. al. 2000; Yano et. al. 2000; Takahashi et. al. 2001; El-Din El-Assal et. al.
2001; Liu et. al, 2002). No entanto, grande parte destes QTLs detectados e
mapeados em cada espécie, não foram aplicados de forma prática nos seus
programas de melhoramento (Bernardo et al. 2008)
As principais causas deste insucesso foram a necessidade do
estabelecimento de associações entre os marcadores e os QTLs para cada família
avaliada e o fato de serem feitas apenas a detecção de um pequeno número de
QTLs de grande efeito, os quais, devido à natureza poligênica e à alta influência
ambiental dos caracteres quantitativos, não explicam suficientemente toda a
variação genética (Dekkers, 2004). Além disso, pode se destacar, também, que a
seleção baseada em marcadores moleculares é superior em relação á seleção
fenotípica quando esta é aplicada em uma família com tamanho superior a 500
indivíduos. (Resende, 2007)
4
A partir do início do culo XXI, os avanços de tecnologias de genotipagem
em larga escala, a descoberta de novos marcadores como os SNPs e a
automação do processo de genotipagem de marcadores (Jenkins and Gibson,
2002) proporcionaram a redução do preço por data point e permitiram que um
grande número de marcadores fosse usado para várias culturas.
Uma vez gerado um grande mero de marcadores espalhados por todo o
genoma de um indivíduo, alguns destes marcadores estarão muito perto do QTL e
em desequilíbrio de ligação (LD) com este (Hastbacka et. al., 1994). O conceito de
desequilíbrio de ligação refere-se à associação não aleatória entre dois genes ou
entre um QTL e um loco marcador. Quando as freqüências alélicas e genotípicas
de um ou mais locos autossômicos são constantes de uma geração para a outra e
as freqüências genotípicas são determinadas pelas freqüências alélicas, diz se
que este loco se encontra em equilíbrio de ligação. Com a ligação gênica, dois
genes ligados apresentam uma associação que não se ao acaso e estão em
desequilíbrio de ligação. Com os eventos de recombinação, a cada nova geração,
os locos tendem a uma situação de equilíbrio, e o tamanho de um dado segmento
cromossômico que contém dois locos quaisquer e que não sofreu recombinação
diminui, o que consequentemente reduz o LD. Por essa razão, o uso eficiente de
marcadores moleculares para auxiliar o melhoramento genético requer grande
número, para que, mesmo em uma população que passou por várias gerações
e sucessivas recombinações históricas, exista um marcador tão próximo do QTL
que apresente uma associação com este que não tem razão aleatória.
Uma vez que um marcador se encontra em LD com o QTL, alguns alelos
destes marcadores, estarão correlacionados com efeitos positivos dos QTLs em
todas as famílias e podem ser utilizados sem que seja necessário o
estabelecimento da fase de ligação em cada família. (Meuwissen et.al., 2001).
Além disso, características quantitativas o controladas por muitos genes e para
que se tenha grande parte da variação genética explicada pelos marcadores
moleculares, é preciso obter um marcador em desequilíbrio de ligação com cada
loco controlador da característica quantitativa.
A seleção genômica ampla (Genome Wide Selection - GWS), proposta
inicialmente no ano de 2001 por Meuwissen et. al. (2001), consiste na análise de
5
um grande número de marcadores amplamente distribuídos no genoma. Após a
obtenção destes marcadores, seus efeitos o estimados baseados em dados
fenotípicos de uma população conhecida como população de estimação. Uma vez
que seus efeitos são modelados e estimados, estes são testados em uma
população de validação e ,então, seleciona-se os marcadores que explicam parte
da variância genética do caráter em estudo para que sua informação seja
efetivamente incorporada à etapa de seleção do programa de melhoramento.
Na população de validação, utiliza-se um conjunto de dados menor do que
aquele da população de estimação e contempla indivíduos genotipados e
fenotipados para a característica de interesse. Esta amostra independente é
utilizada para testar e verificar as acurácias das equações de predição de valores
genéticos genômicos. Para computar essa acurácia, os valores genéticos
genômicos são preditos (usando os efeitos estimados na população de estimação)
e submetidos a análise de correlação com os valores fenotípicos observados.
Como a amostra de validação não foi envolvida na predição dos efeitos dos
marcadores, os erros nas estimativas dos valores genéticos genômicos e dos
valores fenotípicos são independentes e toda covariância entre esses valores é de
natureza genética (Resende, 2007, 2008).
O ponto chave da análise destes marcadores é a estimação de seus
efeitos, uma vez que o número de parâmetros que precisam ser estimados é muito
superior ao número de observações fenotípicas disponíveis. Vários métodos de
predição de valores genéticos genômicos foram propostos, dos quais se pode
destacar o de quadrados mínimos, BLUP/GWS, BayesA e BayesB (Meuwissen et
al., 2001), aprendizado de máquina (AM de Long et al., 2007), regressão RKHS
(Reproducing Kernel Hilbert Spaces) (Gianola et al., 2008), LASSO Bayesiano (de
los Campos, 2009), Bayes C (Gredler et al., 2009), Bayes B Acelerado
(Meuwissen, 2009), Regressão via Quadrados Mínimos Parciais (PLSR) (Solberg
et al., 2009) e Regressão via Componentes Principais (PCR) (Solberg et al.,
2009).
A GWS tem sido amplamente pesquisada e desenvolvida para aplicação na
pecuária sendo que vários estudos analisaram as perspectivas da Seleção
Genômica avaliando parâmetros e procedimentos analitcos que influenciam na
6
predição dos valores genômicos e qual seriam o impacto de seu uso no
melhoramento animal (Calus et al. 2008; Dekkers 2007; Long et al. 2007; Muir
2007; Schaeffer 2006; Solberg et al. 2008). Em plantas, esta técnica tem também
possibilidades de grandes impactos e revisões e pesquisas recentes, com dados
simulados, demonstraram excelentes resultados na utilização desta tecnologia em
diferentes culturas (Bernardo & Yu 2007; Resende et. al. 2008; Wong & Bernardo
2008; Heffner et al. 2009; Zhong et al. 2009). No entanto, até o presente momento,
nenhum trabalho com o uso da seleção genômica foi descrito com aplicação em
dados reais de culturas vegetais.
No melhoramento animal, os marcadores moleculares utilizados para as
pesquisas e aplicações da GWS são os polimorfismos de base única, SNPs, uma
vez que um grande mero destes marcadores está disponível e são
comercializados em painéis de vários milhares de marcas (Matukumalli et. al.,
2009 ).
Recentemente, um novo tipo de marcador conhecido como DArTs (Diversity
Array Technology) foi desenvolvido com perspectivas para aplicação em análises
de seleção genômica ampla. Este marcador apresenta como característica a
genotipagem em larga escala baseada em análises de micro arranjo, o baixo custo
de desenvolvimento e de genotipagem e sua natureza dominante (Wenzl et al.,
2004). Para cada amostra de DNA estudada, o desenvolvidas representações
genômicas através da digestão do DNA genômica com enzimas de restrição. Os
framentos amplificados por PCR são clonados e arranjados em um suporte sólido
(microarranjo) resultando em um arranjo de descoberta. Representações
genômicas preparadas a partir de genomas individuais alvo de estudo são
hibridizados a esse arranjo de descoberta para identificação de polimorfismos. Os
clones polimórficos (marcadores DArT) mostram intensidade de sinais de
hibridização variáveis para diferentes indivíduos conforme os diferentes genótipos
(Jaccoud et al., 2001).
Este marcador tem se mostrado como uma alternativa disponível para a
aplicação de seleção genômica em culturas vegetais que não têm painéis de
SNPs desenvolvidos, como é o caso do Eucalipto. Os DArTs podem reduzir as
implicações de uma das limitações para a aplicação prática da seleção genômica
7
que é o custo desde o desenvolvimento de um grande número de marcadores até
a genotipagem de um grande número de indivíduos. No entanto, nenhuma
pesquisa foi encontrada utilizando este tipo de marcador, principalmente devido ao
fato de as pesquisas de GWS na área vegetal ainda serem limitadas e de que as
pesquisas animais se concentram em marcadores SNPs. Assim, o objetivo deste
trabalho foi fazer uma primeira avaliação, via dados simulados, sobre o uso da
seleção genômica ampla e sua perspectiva no melhoramento de plantas,
avaliando a acurácia da GWS utilizando marcadores dominantes e codominantes.
8
2. MATERIAL E MÉTODOS
Nos estudos genéticos, caracteres quantitativos são, em geral, regulados por
vários genes com pequena magnitude de efeitos, ao passo que os caracteres
qualitativos são controlados por alguns poucos genes de maior efeito.
As estratégias de melhoramento genético aplicada a características
quantitativas como produção de grãos e volume de madeira podem ser diferentes
das estratégias utilizadas no melhoramento de características oligogênicas como a
resistência a doenças. Dessa forma, para estudar o impacto da seleção genômica
ampla em características de controle poligênico e oligogênico, foram realizadas
duas simulações, uma com magnitude dos efeitos genéticos semelhantes e outra
com alguns poucos genes de maior efeito reponsáveis por grande parte da
variação genética da característica
2.1 SIMULAÇÃO DOS DADOS GENOTÍPICOS E FENOTÍPICOS
Para proceder as análises de seleção genômica, foram simulados dados
genotípicos e fenotípicos considerando ausência de dominância, diferentes
herdabilidades, desequilíbrios de ligação, número de locos controlando a
característica e tipos de marcadores.
A simulação dos dados foi feita de dois modos diferentes. Em ambas as
situações, o caráter quantitativo foi simulado em três situações, considerando dois
alelos por loco, efeitos aditivos e o controle por 100, 200 e 400 locos. No primeiro
caso, o efeito do alelo favorável em cada loco foi simulado como sendo
)1(
)1(
L
L
a
L
em que L refere-se ao L-ésimo QTL. (Lande e Thompson ,1990 e Bernardo e Yu,
2007) (Figura 1). O efeito do alelo menos favorável foi tomado como a
L
. Foram
simulados 1000 indivíduos com fenótipos gerados segundo o modelo f = g+e, em
que g são os efeitos genéticos totais dados pelo somatório dos efeitos genéticos
em cada loco e e são os efeitos ambientais, gerados segundo uma distribuição
9
normal com média 10 e variância compatível com as três herdabilidades testadas:
20%, 30% e 40% de acordo com a fórmula:
2
22
)1(
2
h
h
M
g
,
em que
2
M
é a variância ambiental,
2
g
a variância genética e a herdabilidade
testada
Figura 1 Distribuição dos efeitos dos alelos favoráveis de cada marcadore simulados de acordo
com Lande e Thompson (1990).
No segundo caso, a simulação foi feita considerando novamente as três
situações de 100, 200 e 400 locos. No entanto, os efeitos foram simulados de
acordo com a expressão
em que L refere-se ao L-ésimo QTL. A distribuição dos efeitos a
L
, neste
caso, se assemelha mais a uma situação biológica de característica oligogênica e
qualitativa, uma vez que, embora a característica seja controlada por vários genes,
existem alguns poucos QTLs de maior efeito e a grande maioria tem efeitos
próximos de zero como pode ser observado na figura 2, O número de indivíduos, o
modelo para simulação dos fenótipos e as herdabilidades testadas foram as
mesmas da primeira simulação.
10
Figura 2 Distribuição dos efeitos de “a” de acordo com a segunda simulação.
Em cada indivíduo, genótipos do tipo A
1
A
1
, A
1
A
2
, ou A
2
A
2
foram sorteados
aleatoriamente em cada loco e codificados como 0, 1 e 2, respectivamente. O
número 1 dos genótipos do tipo A
1
A
1
e A
1
A
2
denotam o alelo desfavorável e o
número 2 denota o alelo favorável.
Para avaliar o efeito da densidade de marcadores utilizados e do nível de
desequilíbrio de ligação (LD) obtido entre o QTL e pelo menos um marcador foram
simuladas quatro situações de LD igual a 0,5; 0,7; 0,9 e 1,0, Nesta simulação, o
objetivo não foi representar o LD médio da população e sim uma densidade
hipotética de marcadores capaz de explicar 50, 70, 90 e 100% dos QTLs
controladores da característica. Dessa forma, em cada situação, o valor de LD
simbolizou a porcentagem de locos marcadores que estavam em desequilíbrio de
ligação com um QTL e a proprorção da variância genética que estava sendo
explicada pelos marcadores. Nas situações em que o loco marcador estava em
desequilíbrio de ligação, foi considerado que este marcador é efetivamente um
QTN (Quantitative Trait Nucleotide) estando diretamente ligado ao QTL e tendo
efeito igual ao do QTL. Na situação oposta, em que foi observado equilíbrio de
ligação do marcador com o QTL, o genótipo do marcador teve seu efeito atríbuido
como zero. Sendo assim, considerando o genótipo A
1
A
1
do QTL, teve seu efeito
associado ao genótipo M
1
M
1
do marcador quando estes se encontravam em LD.
11
Neste caso, o efeito do marcador M
1
M
1
foi o mesmo do efeito do QTL. Na situação
contrária, o genótipo A
1
A
1
teve seu efeito aleatoriamente associado a qualquer um
dos genótipos M
1
M
2
, ou M
2
M
2
representando uma associação aleatória, conceito
de equilíbrio de ligação.
Embora em uma situação prática para uma aplicação eficiente da Seleção
Genômica Ampla o número de marcadores necessários seja grande e superior ao
número de QTLs que controlam a característica, nesta simulação, o número de
marcadores simulados foi fixado como o número de locos utilzados em cada
cenário para explicar a característica quantitativa. No entanto, a avaliação da
densidade de marcadores utilizada pode ser extrapolada pelo nível de LD
considerado, ou seja, uma situação de LD igual a 0,5 será obtida quando um
pequeno número de marcadores for utilizado de modo a apenas 50% deles se
encontrar em LD com o QTL. Quando muitos marcadores forem utilizados, será
possível obter uma marca em LD com cada QTL (LD = 1).
A simulação dos marcadores dominantes foi realizada da mesma maneira
que o método descrito acima. No entanto, ao final da simulação, todos os
genótipos de código 2 (genótipo A
2
A
2
) foram substituídos pelo código 1 de
maneira que o conjunto de dados dispôs apenas de 2 classes, 0 e 1, e a última
com as informações confundidas do genótipo heterozigoto (A
1
A
2
) e do genótipo
homozigoto para o alelo 2.
2.2 METODOLOGIA DE ANÁLISE
A partir dos dados fenotípicos gerados, foram estimados os efeitos de cada
um dos locos marcadores que somados, compõem o valor genético genômico
predito de cada indivíduo. Em situações práticas, o número de marcadores
genotipados é maior que o número de fenótipos avaliados. A estimação dos
efeitos do elevado número de parâmetros (locos) a partir de um número limitado
de dados fenotípicos conduz ao problema da estimação por quadrados mínimos
com número insuficiente de graus de liberdade para ajustar todos esses efeitos
simultaneamente. Assim, os efeitos foram preditos por meio do procedimento
BLUP/GWS que permite ajustar todos os efeitos alélicos simultaneamente.
12
O seguinte modelo linear misto geral foi usado para estimar os efeitos dos
marcadores, conforme Resende (2008):
y = Xb + Zh + e,
em que y é o vetor de observações fenotípicas, b é o vetor de efeitos fixos, h é o
vetor dos efeitos aleatórios dos marcadores e e refere-se ao vetor de resíduos
aleatórios. X e Z são as matrizes de incidência para b e h. A estrutura de médias e
variâncias no modelo em questão é definida como:
As equações de modelo misto genômicas para a predição de h via o
método BLUP/GWS equivalem a:
yZ
yX
h
b
n
IZZXZ
ZXXX
g
e
'
'
ˆ
ˆ
)/(
''
''
2
2
em que
2
g
refere-se à variância genética total do
caráter e
2
e
é a variância residual. O valor genético genômico global do indivíduo j
é dado por
i
iij
hZyVGG
ˆ
ˆ
,
em que Z
i
equivale a 0, 1 ou 2 para os genótipos A
1
A
1
, A
1
A
2
e A
2
A
2
,
respectivamente, para marcadores bialélicos e codominantes. Para marcadores
dominantes, A
1
A
2
e A
2
A
2
ficam confundidos. Neste caso, foram testados quatro
valores para um peso médio constante k que foi inserido na matriz Z para tentar
explicar melhor a estrutura dos dados genotípicos. Dessa forma, a matriz Z
quando marcadores dominantes foram utilizados foi composta pelos valores 0 e k.
Os 4 valores de k testados foram: (1) k assumiu um valor de 1 o que seria
equivalente a considerar que todos os indivíduos que receberam código 1
possuiam genótipo heterozigoto, (2) k assumiu o valor de 1,33 que seria o peso
médio a se inserir na matriz Z em uma situação de equilíbrio de Hardy e Weinberg,
dado por 0,33 x 2 + 0,66 x 1, (3) k assumiu o valor de 1,5, em que foi considerado
uma situação intermediária, e (4) k assumindo o valor de 2, equivalente à dizer
13
que todos os indivíduos da população com o código na matriz Z diferente de zero
eram na realidade homozigotos do tipo 22.
As equações de predição apresentadas acima assumiram a priori que todos
os locos explicam iguais quantidades da variação genética. Assim, a variação
genética explicada por cada loco é dada por
n
g
/
2
, em que
2
g
é a variação
genética total e n é o número de marcadores utilizados em cada um dos cenários
com os três tipos de seleção de marcadores testados. Essa estratégia foi adotada
por Meuwissen et al. (2001), Muir (2007), Bernardo (2007) e Kolbehdari et al.
(2007).
Na predição dos efeitos aleatórios via BLUP/GWS, não necessidade de
uso da matriz de parentesco (Schaeffer, 2006). A matriz de parentesco baseada
em pedigree usada no BLUP tradicional foi substituída pela própria matriz Z´Z que
é uma matriz de parentesco estimada pelos marcadores.
A seleção genômica ampla requer o uso de uma população de estimação
para estimar os efeitos dos marcadores e uma população de validação, para
analisar a eficiência da estimação destes efeitos na recuperação do valor
genômico em uma população independente. Após a validação e estimação de um
conjunto de marcadores, estes serão utilizados em uma população que dispõe
apenas de genotipagem (Figura 3).
Figura 3 Esquema de aplicação da seleção genômica ampla em um programa de melhoramento
genético.
População de Estimação
Amostra da População de Seleção
Fenotipagem e Genotipagem
População >500 indivíduos
Y = Xb + Zh + e
Estimação dos efeitos dos marcadores
Geração das equações de predição
População de Validação
Fenotipagem e Genotipagem
Aplicação na Seleção Genômica Precoce
Apenas Genotipagem
População de Melhoramento
14
Cada população de 1000 indivíduos foi separada em 10 grupos de 100
indivíduos. A análise foi repetida 10 vezes de acordo com um procedimento
Jacknife de maneira que em cada repetição, um grupo era removido do conjunto
de dados para compor a população de validação e os outros 900 indivíduos eram
utilizados na estimação dos valores genômicos preditos. Uma vez estimados todos
os efeitos, estes eram aplicados na população de validação para predizer o valor
genômico e somados à média geral estimada para compor o fenótipo realizado na
população de validação. Uma vez que em cada repetição, um grupo era utilizado
na validação, ao final da análise obteve-se o fenótipo realizado para todos os 1000
indivíduos, no entanto, sem que isso comprometesse a independência necessária
entre a estimação e a validação.
2.3 NÚMERO DE MARCADORES UTILIZADOS NA GWS
Quando um grande número de marcadores são genotipados, vários destes
não apresentam nenhuma associação com nenhum QTL. Em um primeiro estudo,
é necessário a genotipagem de um máximo de marcadores possível, uma vez que
a informação prévia da associação ou não destes com o QTL não é conhecida. No
entanto, após uma primeira análise de associação e de estimação dos efeitos, o
pesquisador pode selecionar apenas marcadores que tiveram sua associação
detectada por algum teste estatístico específico.
2.3.1 UTILIZAÇÃO DE TODOS OS MARCADORES
A escolha do número de marcadores selecionados para estimação de seus
efeitos foi feita de diferentes formas. Em um primeiro cenário, todos os
marcadores genotipados foram utilizados na análise, independente de seus efeitos
estarem associados ou não ao QTL. Neste caso, todos os efeitos dos marcadores
são estimados, o que acarreta a estimação de um número maior de parâmetros.
15
2.3.2 TESTE DE ASSOCIAÇÃO VIA MARCA SIMPLES E TESTE F.
Em uma segunda abordagem, os marcadores foram préviamente testados
quanto a associação da característica com a marca por um teste estatístico. Para
isso, foi avaliada a associação via regressão em marcas simples. O seguinte
modelo de regressão em marcas simples foi empregado para testar a associação
entre marcador e QTL, conforme Resende (2008).
Y = 1u + Xm +e
Em que y é o vetor de observações fenotípicas, 1 é um vetor com valores 1,
u é o escalar referente à média geral, m é o efeito fixo do marcador e e refere-se
ao vetor de resíduos aleatórios. X é a matriz de incidência para m. As equações
de quadrados mínimos para a estimação dos efeitos da média geral e do
marcador equivalem a:
yX
y
m
û
XXX
X
'
'1
'1'
'11'1
^
A hipótese da nulidade, ou seja, de que o marcador não apresenta qualquer
efeito sobre o caráter, pode ser avaliado pelo teste F cuja estatística é calculada
de acordo com a fórmula:
A hipótese alternativa é a de que o marcador afeta o caráter, ou seja, de
que o marcador e QTL encontram-se em desequilíbrio de ligação e existe uma
associação entre eles. A comparação com o valor tabelado de F foi feita a um
nível de significância de 40%. Os marcadores que demonstraram associação com
o QTL e foram considerados significativos pelo teste F, foram selecionados para
as análises de estimação de seus efeitos.
16
2.3.3 CRITÉRIO DA TAXA DE FALSA DESCOBERTA (FDR).
Uma das questões a serem consideradas quando se realizam testes
conjuntos para várias marcas moleculares é o estabelecimento do nível crítico de
significância. Neste caso, o nível nominal de significância adotado para cada teste
não corresponde àquele realizado em todo o experimento.
O terceiro cenário considerado foi o de avaliar o modo de seleção dos
marcadores a terem seus efeitos estimados baseado no teste F e no critério da
taxa de descobertas falsas (FDR). Este critério propõe controlar a razão de falsas
descobertas, ou seja, a proporção de hipóteses nulas verdadeiras entre as
hipóteses nulas rejeitadas. (Benjamini e Rochberg, 1995; Cruz, 2000).
2.4 AVALIAÇÃO DOS DADOS
Ao estimar os efeitos de cada marcador, o fenótipo dos indivíduos são
preditos, multiplicando a matriz de incidência Z, que corresponde aos genótipos
dos marcadores para a população, pelos efeitos estimados de cada marcador e
somando à média geral estimada. Como na validação dos resultados, o valor
fenotípico é conhecido, a Seleção Genômica e cada situação testada foram
avaliadas ao calcular a correlação do valor genético predito com o fenótipo
observado nos 1000 indivíduos. Esta correlação é conhecida como capacidade
preditiva (
yy
r
ˆ
) da seleção genômica em estimar os fenótipos e ela é dada
teoricamente pela acurácia de seleção (
gg
r
ˆ
) multiplicada pela raiz quadrada da
herdabilidade individual (h) ou, em outras palavras,
hrr
ggyy
ˆˆ
(Resende, 2008).
Assim, foi isolado dessa equação o valor de
gg
r
ˆ
ao dividir a correlação pela raiz
quadrada da herdabilidade e foi também avaliada a acurácia de seleção,
removendo a influência da herdabilidade na capacidade de predição.
A seleção genômica foi ainda comparada com a seleção fenotípica quanto
ao ganho de seleção por unidade de tempo. Os únicos parâmetros variáveis no
calculo do ganho de seleção ao comparar a seleção genômica com a fenotípica
são a acurácia de seleção e, possívelmente, o tempo de seleção. Assim, as
17
acurácias obtidas pela GWS foram comparadas com o valor ximo de acurácia
possível de se obter via seleção fenotípica (0,68 para a seleção de indivíduos em
testes de progênie e herdabilidade igual a 0,2) (Resende, 2002). A relação foi
avaliada considerando a expectatica de redução do tempo de geração em ½ e ¾
ao utilizar a seleção precoce via dados genotípicos.
2.5 FERRAMENTAS DE ANÁLISES
Todas as análises, tanto de simulação quanto de estimação foram
desenvolvidas e serão futuramente implementadas como um pacote do software
R, que é uma linguagem e um ambiente distribuído gratuitamente e utilizado para
computação estatística e elaboração de gráficos.
Além disso, foi implementado no R (R Development Core Team, 2009) três
técnicas de análise Bayesiana: BayesA, BayesB (Meuwissen et al., 2001) e Bayes
B Acelerado (Meuwissen, 2009). No entanto, estes métodos, da forma como foram
implementados necessitam de uma grande demanda computacional não sendo
possível a análise dos diferentes cenários e sendo necessárias melhorias na
programação para que estas se tornem viáveis do ponto de vista prático.
18
3. RESULTADOS E DISCUSSÃO
3.1 CARACTERÍSTICA SIMULADA COM LOCOS DE MAIOR EFEITO
(OLIGOGÊNICA)
As características simuladas foram analisadas quanto ao número de
marcadores significativos pelo teste de associação entre o marcador e a
característica fenotípica, quanto à capacidade preditiva da seleção genômica
(medida via correlação) e quanto à acurácia de seleção.
3.1.1 NÚMERO DE MARCADORES SIGNIFICATIVOS EM LD IGUAL A 1
Ao avaliar o impacto da Seleção Genômica no melhoramento de uma
característica controlado por locos de maior efeito, como pode ser o caso da
resistência de plantas à doenças, avaliou-se: O número de marcadores em que foi
possível detectar associação com o QTL, ou seja que eram significativos pelo
teste estatístico F, as acurácias obtidas via seleção baseada nos marcadores e os
ganhos de seleção por unidade de tempo comparados com a seleção fenotípica.
de se observar, quando o desequilíbrio de ligação considerado foi igual a
um, que o número de marcadores significativos avaliados pela estatística F a um
nível de significância de 40% variou entre 40 a 48% do total de marcadores
codominantes utilizados. A mesma amplitude de variação pode ser observada
quando foram utilizados marcadores do tipo dominante. (Tabela 1)
Quando o critério da taxa de falsa descoberta (FDR) foi utilizado o número
de marcadores significativos, variou, para ambos os tipos de marcadores, de 6 a 9
% quando foram avaliados 100 locos marcadores, de 2 a 3% quando foram
avaliados 200 locos, e de 1 a 3% quando 400 locos marcadores foram utilzados
na genotipagem. (Tabela 1)
19
Tabela 1 Número médio de marcadores significativos em cada um dos tipos de marcadores
(Dominante e Codominante) e utilizando apenas o teste F e o critério de FDR. Desequilíbrio de
ligação foi igual a 1
Número de
Locos
Herdabilidade
(h²)
Marcador Codominante
Tipo: SNP
Marcador dominante
Tipo: DARTs
Teste F
FDR
Teste F
FDR
0,2
46,1
9,8
44,9
6,7
100
0,3
42,2
6,4
41,2
8
0,4
47,9
6,8
47,3
9,6
0,2
91,6
6,2
93,6
5,4
200
0,3
82,6
7,5
86,5
4,7
0,4
89,6
6,5
87,1
6,9
0,2
163,1
11,6
160,6
15,9
400
0,3
168,1
5,9
161,8
7,1
0,4
161,5
11,3
165
11,6
É possível observar na tabela 1 que o mero de marcadores significativos
em cada cenário de 100, 200 e 400 locos simulados foi aproximadamente
constante em todas as herdabilidades e proporcional ao número de locos. De
maneira análoga, observou-se que o teste FDR detectou em todos os cenários,
um número de marcadores significativos constantes e próximos de dez em todos
os cenários. A razão destes valores constantes é o fato da simulação ter uma
distribuição que se assemelha a uma característica oligogênica. Assim, a soma de
50% dos locos de menor efeito representam apenas 2% da variação genotípica
para 100 locos, 1% para 200 locos, e 0,5% para os 400 marcadores simulados. O
poder dos testes de associação para detectar um QTL pelo uso de marcadores é a
probabilidade de que o experimento rejeitará corretamente a hipótese de nulidade
quando um QTL realmente existe na população. De acordo com Hayes (2009),
dois dos fatores, dentre outros que influenciam este poder, são a proporção da
variância fenotípica total explicada pelo QTL e o número de observações
fenotípicas. Embora, mesmo na situação de desequilíbrio de ligação igual a um,
20
em que os marcadores moleculares são simulados diretamente ligados aos QTLs,
a associação não é detectada devido à magnitude dos efeitos.
A mesma explicação pode ser extrapolada para a significância via o critério
de FDR. Dessa forma, os 10 primeiros locos representaram 85, 84 e 83% da
variação genética nas situações de 100, 200 e 400 locos, respectivamente. Como
a razão de falsa descoberta considera um nível de significância mais rigoroso e
pela proporção da variância total explicada pelos primeiros locos ser
aproximadamente a mesma nos três casos, um número menor, e
aproximadamente constante de marcas foram detectadas como significativas.
No entanto, embora os marcadores SNPs, por serem codominantes, são
mais informativos, o teste de significância via regressão em marca simples foi
capaz de detectar a associação em aproximadamente o mesmo número de
marcas do tipo DArTs. Este foi considerado como o primeiro indício da
aplicabilidade dos marcadores dominantes nos estudos de associação.
3.1.2 NÚMERO DE MARCADORES SIGNIFICATIVOS EM LD DIFERENTE DE 1
Ao analisar os cenários cuja população simulada apresentava um
desequilíbrio de ligação com os marcadores inferior a um, observou-se uma
redução no número de marcadores significativos. Este número variou de 36 a 45%
do total de marcadores utilizados do tipo codominante. Ao avaliar os marcadores
dominantes, este número variou de 33 a 43%, com excessão de um único caso,
de desequilíbrio de ligação igual a 0,7, herdabilidade igual a 0,2 e 100 locos
simulados que o número de marcadores significativos foi 48% do valor total de
marcadores (Tabela 2).
Quando o critério FDR foi utilizado, novamente o número de marcadores
significativos foi inferior à situação de desesquilíbrio de ligação igual a 1, Estes
valores variaram de 0,02 a 14 % (Tabela 2), sendo possível observar, em várias
repetições em diferentes casos, um número de marcadores não significativos
iguais ao número total de marcadores simulados, especialmente para o LD igual a
0,5.
21
Tabela 2 Número de marcadores significativos considerando o desequilíbrio de ligação (LD) igual
a 0,5, 0,7 e 0,9 para os marcadores tipo SNPs e DArTs em diferentes herdabilidades.
SNPs
DARTs
N° de
Locos
LD
Teste F
FDR
Teste F
FDR
100
0,2
41,6
0,5
33,6
0,3
100
0,4
36,7
1,0
39,3
0,1
200
0,2
80,9
1,8
73,2
1,8
200
0,5
0,4
73,1
1,8
80,3
2,1
400
0,2
170,8
2,3
173,9
2,8
400
0,4
164,4
0,1
158,8
2,6
100
0,2
45
5,4
48
14,3
100
0,4
41,1
6,3
39,9
5,5
200
0,2
81,9
4,8
81,6
2,8
200
0,7
0,4
76,4
4,1
79,1
3,7
400
0,2
165
2,5
150,9
2,7
400
0,4
166,6
3,2
162,4
1,9
100
0,2
41,5
4,5
58,1
4,8
100
0,4
40,7
7,5
56,1
5,9
200
0,2
88,8
6,1
80,1
7
200
0,9
0,4
82,7
8,8
84,2
6,2
400
0,2
161,2
5,8
156,6
6,2
400
0,4
160,1
6,7
158,1
5,8
Quando os casos de desequilíbrio de ligação diferentes de um foram
analisados, o número de marcadores significativos reduziu mais ainda. Pritchard e
Przeworski (2001) declararam ainda que a medida de desequilíbrio de ligação é
outro fator que afeta o poder de detecção de um QTL via um marcador.
22
3.1.3 ESTIMATIVAS DE ACURÁCIA E CORRELAÇÃO
Após ser feita a genotipagem na população de estimação e validação, o
número de marcadores que tiveram seus efeitos estimados para posterior
validação foi escolhido de acordo com os tratamentos testados. Ao todo foram
analisadas 11 formas de selecionar os marcadores para a etapa de estimação,
das quais algumas não foram apresentadas neste trabalho. No conjunto de dados
que apresentava desequilíbrio de ligação completo, isto é, igual a um, as
estimativas de correlação entre o valor fenotípico real e o valor fenotípico
recuperado a partir das informações genotípicas e fenotípicas da população de
estimação variaram entre 0,19 e 0,64, As acurácias da seleção genômica ampla,
calculadas após dividir as estimativas de correlação pela raiz quadrada da
herdabilidade variaram de 0,44 a 0,99.
Nesta simulação de característica oligogênica, em todos os casos testados,
para os diferentes marcadores e valores de constantes K utilizados, as acurácias
de seleção se mostraram menores quando foi feita a análise com todos os
marcadores genotipados, do que a análise baseada em uma seleção prévia dos
marcadores via teste F (Tabela 3). A razão desta inferioridade foi porque muitos
dos QTLs explicam uma fração muito pequena da variação genética. Neste caso,
mesmo quando são obtidos marcadores ligados a estes QTLs, o erro na
estimação dos efeitos é maior que o ganho que estes efeitos poderiam
proporcionar à acurácia realizada.
23
Tabela 3 Acurácias de seleção utilizando todos os marcadores e utilizando apenas aqueles
significativos pelo teste F com nível de significância igual a 40%. D_K significa o marcador
dominante do tipo DArT, e a constante K testada. N indica o número total de locos genotipados.
N
Seleção baseada em todos os
Marcadores
Seleção baseada nos marcadores
significativos pelo teste F
SNPs
D_1
D_1,33
D_1,5
D_2
SNPs
D_1
D_1,33
D_1,5
D_2
100
0,2
0,90
0,75
0,76
0,76
0,76
0,91
0,75
0,75
0,74
0,72
100
0,3
0,83
0,70
0,70
0,70
0,68
0,88
0,71
0,71
0,71
0,69
100
0,4
0,92
0,82
0,82
0,81
0,80
0,95
0,86
0,86
0,85
0,84
200
0,2
0,70
0,56
0,55
0,55
0,52
0,74
0,56
0,55
0,55
0,53
200
0,3
0,75
0,63
0,64
0,64
0,63
0,80
0,65
0,65
0,65
0,63
200
0,4
0,85
0,69
0,69
0,68
0,65
0,91
0,72
0,71
0,69
0,62
400
0,2
0,62
0,52
0,53
0,54
0,54
0,66
0,55
0,55
0,55
0,54
400
0,3
0,64
0,49
0,49
0,49
0,45
0,74
0,60
0,59
0,59
0,55
400
0,4
0,70
0,60
0,60
0,60
0,56
0,77
0,65
0,64
0,63
0,59
É possível observar na Tabela 3 que, de maneira geral, a medida que o
número de locos aumenta, a acurácia reduz. Como os primeiros locos simulados,
são os que explicam a maior parte da variância genética, a medida que o número
de parâmetros a serem estimados aumentam, e os efeitos relacionados a estes
locos têm magnitude muito pequena, a acurácia reduz pela mesma razão que as
acurácias estimadas quando todos os marcadores foram utilizados foi inferior.
No total, foram analisadas 45 situações onde a seleção foi baseada
somente no teste F, e 45 situações em que a seleção foi baseada no critério de
FRD. De um total de 45 comparações, a acurácia da seleção dos marcadores
após ser considerado o critério de FDR foi superior em 44 vezes, num total de
98%.
O resultado comparando a multiplicação da matriz de incidência Z, pela
contante K para tentar explicar melhor a estrutura da população, demonstrou que
de um total de 115 comparações, o valor de K igual a um se mostrou melhor em
valor absoluto em 76% das vezes e o valor de K igual a 1,33 se mostrou superior
em 16% das vezes. No entanto, estas diferenças entre K igual a 1, 1,33, e 1,5
24
foram praticamente nulas. A diferença entre a acurácia obtida com o uso de
marcadores codominantes, tipo SNPs, e o uso de marcadores DArTs, variou entre
zero e 0,29, com média igual a 0,13.
O valor de constante K que gerou os melhores resultados analisados foi
quando a matriz Z foi multiplicada por 1. Este resultado foi diferente do esperado,
uma vez que a o sorteio dos genótipos no procedimento de simulação, foi feito de
forma aleatória, com P(A
1
A
1
) = P(A
1
A
2
) = P(A
2
A
2
) = 1/3. Dessa forma, a freqüência
de genótipos confundidos na classe de código 1 é P(A
1
A
2
) = P(A
2
A
2
) = ½ e o valor
de K esperado seria então ½ x 1 + ½ x 2 = 1,5. Embora as diferenças entre os
valores de acurácias para cada constante K tenha sido muito pequena, a
alternativa de multiplicar a matriz Z por um peso, mesmo que este explique a
estrutura da população, o parece ser aconselhada nestas populações
simuladas. Entretanto, os resultados para K igual a 1, 1,33 e 1,5 foram
praticamente idênticos.
3.1.4 OUTRAS MEDIDAS DE DESEQUILÍBRIO DE LIGAÇÃO
A análise dos dados simulados com desequilíbrio de ligação diferente de 1,
foi feitas apenas para os métodos utilizando o Teste F e a proteção de FDR, uma
vez que estes métodos se mostraram superiores. A constante utilizada para K foi
apenas o valor 1 e foram consideradas as herdabilidades de cada extremo, 0,2 e
0,4.
Em algumas situações quando o desequilíbrio de ligação foi igual a 0,2 e a
taxa de falsa descoberta foi considerada, a correlação e acurácia não puderam ser
estimadas. A razão disto foi o fato de que, em algumas repetições do Jacknife,
todos os marcadores foram não significativos, o que impossibilitou a recuperação
dos valores fenotípicos para este grupo, uma vez que não havia marcadores pra
terem seus efeitos estimados. Como a correlação e a acurácia foi estimada,
baseada em todos os indivíduos, a ausência de fenótipo para alguns grupos de
indivíduos não permitiu a estimativa (Tabela 5).
Assim como na situação de desequilíbrio de ligação igual a 1, as
estimativas de correlação e de acurácias foram superiores quando o critério de
25
FDR foi adotado ao comparar com a situação em que apenas a estatística F foi
utilizada (Tabela 5). As estimativas de correlação variaram de -0,09 a 0,48 e as
estimativas de acurácia variaram de -0,13 a 0,77.
Tabela 5 Estimativas de acurácia da seleção genômica em diferentes desequilíbrios de ligação
(LD) e considerando dois critérios de significância: Teste F e FDR.
SNPs
DArTs
N° de
Locos
LD
Teste F
FDR
Teste F
FDR
100
0,2
-0,09
-0,10
-0,07
-
100
0,4
-0,14
0,19
-0,08
-
200
0,2
0,02
0,17
0,06
0,10
200
0,5
0,4
0,05
0,13
0,11
0,06
400
0,2
0,07
-
0,19
-
400
0,4
0,07
-
0,05
-0,04
100
0,2
0,19
0,35
0,33
0,31
100
0,4
0,48
0,50
0,34
0,40
200
0,2
0,23
0,39
0,07
0,21
200
0,7
0,4
0,29
0,47
0,2
0,42
400
0,2
0,20
0,55
0,06
0,40
400
0,4
0,14
0,38
0,08
0,35
100
0,2
0,51
0,64
0,48
0,62
100
0,4
0,65
0,71
0,57
0,61
200
0,2
0,45
0,65
0,28
0,53
200
0,9
0,4
0,63
0,72
0,5
0,60
400
0,2
0,46
0,77
0,35
0,56
400
0,4
0,59
0,76
0,46
0,63
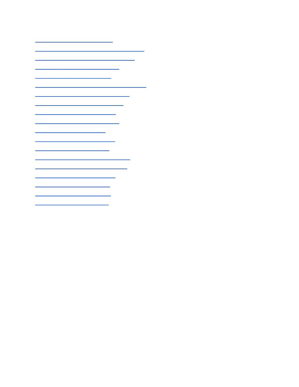
3.1.5 GANHOS DE SELEÇÃO.
Os ganhos de seleção foram calculados em relação a acurácia de 0,68 que
é a acurácia máxima obtida via seleção fenotípica (Resende, 2002; Resende,
26
2007a). Em espécies de ciclo longo, como o Eucalipto, uma das vantagens da
seleção genômica pode ser a redução do ciclo de seleção ao fazer a seleção
precoce. Assim, o ganho por unidade de tempo foi avaliado considerando a
redução de 0, 25, 50, 75 e 88,5% no tempo do ciclo de melhoramento o que
potencializou os ganhos (Figura 4).
Figura 4 Gráfico com eficiência da GWS em relação a seleção fenotípica. (a) Valor máximo de
acurácia obtido ao analisar casos com os 3 números de locos e 3 herdabilidades e ainda LD igual a
1 (b) Valor mínimo de acurácia quando LD foi igual a 1; (c) e (d) Valor máximo e mínimo de
acurácia quando o LD foi igual a 0,9; (e) e (f) Valor máximo e mínimo para LD igual a 0,7.
Percebe se aqui, o impacto que a seleção genômica pode ter
principalmente em espécies de ciclo longo como as perenes com ganhos que
chegam a 200% caso o ciclo seja reduzido para a metade do tempo usual. Nesta
situação, após o mapeamento de poucos QTLs de maior efeito, metodologias que
DArTs
SNPs
e
f
d
c
a
b
e
a
f
d
c
b
27
abordam a descoberta de genes candidatos poderiam ser aplicadas para
identificação de marcadores diretamente ligados a estes genes e aplicação da
MAS. No entanto, o grupo de QTLs de pequenos efeitos possivelmente nao seria
detectado, o que reduziria os ganhos.
3.2 CARACTERÍSTICA SIMULADA COM EFEITOS INFINITESIMAIS
(POLIGÊNICA)
A simulação realizada de acordo com Lande e Thompson (1990) obteve um
número de marcadores significativos pelo teste F que variou de 33 a 75% no caso
dos marcadores dominantes tipo DArT, e de 34 a 85% nos casos dos marcadores
codominantes tipo SNP. Após a aplicação da proteção de razão de falsa
descoberta, o número de marcadores signicativos diminuiu, e variou de 0 a 68%,
para os DArTs e 0 a 81% para os SNPs (Tabela 7).
Quando foi avaliada a variação em porcentagem separada por número de
locos marcadores, estes valores ficaram entre 35 e 85% para 100 locos, 33 e 70%
para 200 locos e 38 e 57% para 400 locos. Padrão semelhante foi observado ao
avaliar o teste FDR, que obteve variações de 0 a 80%, de 0 a 51% e de 0 a 20%
para 100, 200 e 400 locos respectivamente.
Na tabela 7 pode-se observar que o número de marcas significativas, tanto
pelo teste F quanto pelo critério FDR, aumentou ao comparar com a característica
oligogênica, uma vez que os locos que explicavam pequenas proporções da
variação fenotípica total eram poucos.
28
Tabela 7 Número de marcadores significativos avaliados em diferentes situações de
herdabilidade, desequilíbrio de ligação igual a 0,5, 0,7, 0,9 e 1, e 100, 200 e 400 locos controlando
o caracter quantitativo.
Significativos pelo teste FDR
N
DARTs
SNPs
0,5
0,7
0,9
1
0,5
0,7
0,9
1
100
0,2
2,1
20,9
14,8
46,1
3
19
22,9
46,6
100
0,3
0
7,1
45,9
50,9
0,1
6,8
50,2
67,3
100
0,4
2,5
14
54,8
68,4
1,3
25,4
66,6
80,5
200
0,2
5,8
9,2
14
30,2
5,9
11,9
25,7
45,2
200
0,3
0
4,6
15,9
49,4
0
12,1
43
77
200
0,4
3
10,3
59,6
78,4
1,3
16,4
70,1
102,8
400
0,2
6,7
0,4
4,5
12,6
6,6
0,1
13,8
38,5
400
0,3
0
1,4
46,2
30,4
0
0,1
58
62,4
400
0,4
0,5
6,6
53,1
75,9
0,1
12
69,7
81,8
Significativos Via o Teste F (α = 0,4)
N
DARTs
SNPs
0,5
0,7
0,9
1
0,5
0,7
0,9
1
100
0,2
44,7
57
51,2
64,3
44,3
55,7
56,4
68
100
0,3
37,6
40,1
64
70,2
35,8
45,8
69,4
75,6
100
0,4
45,7
54
69,3
75,1
41,8
57,6
76
84,6
200
0,2
80,8
92,6
103,4
102,1
82,5
92
111,3
112,3
200
0,3
66,1
91,7
104,6
109,5
69,7
98
116,4
127,5
200
0,4
90,2
88,9
114,8
129,7
94,7
93,4
117,3
140,8
400
0,2
176,5
156,8
175,6
189,4
168,8
153,6
182,3
202,9
400
0,3
173,1
177,3
203,7
204,5
164,7
183,2
208,2
217,8
400
0,4
154,2
180,4
199,4
211,4
153
179,2
220,9
231,3
3.2.1 ESTIMATIVAS DE ACURÁCIAS E CORRELAÇÃO
29
As estimativas de correlação e acurácia de seleção na simulação de dados
que se assemelhou, do ponto de vista biológico, a uma característica quantitativa,
variaram de -0,14 a 0,59 para correlação e 0 a 0,93 para a acurácia.
Nesta simulação, em que nenhum QTL de efeito maior e diferenciado dos
outros foi simulado, as estiimativas de correlação e acurácia calculadas após
aplicar critério do FDR foram inferiores às estimativas calculadas após a seleção
via teste F. Este último por sua vez, obteve acurácias inferiores às estimativas
obtidas quando todos os marcadores foram utilizados. Esta situação pode ser
vizualizada na Tabela 8, que ilustra a acurácia obtida via marcadores SNPs nas
situações de desequilíbrio de ligação igual a 0, 9 e 1,0. Os demais desequilíbrios
de ligação obtiveram resultados de acurácia baixo, variando de 0 a 0,24 para LD
igual a 0,5 e de 0 a 0,44 para LD igual a 0,7 (Resultados não apresentados).
Tabela 8 Estimativas de Acurácia obtidas via seleção baseada em todos os marcadores, seleção
dos marcadores significativos via teste F e via FDR. Desequilíbrios de ligação igual a 0,9 e 1,
Marcador SNP
Todas as
Marcas
Teste F
FDR
N
0,9
1
0,9
1
0,9
1
100
0,2
0,51
0,82
0,48
0,81
0,32
0,76
100
0,3
0,63
0,89
0,60
0,85
0,55
0,83
100
0,4
0,63
0,93
0,55
0,91
0,52
0,89
200
0,2
0,56
0,65
0,41
0,47
0,27
0,42
200
0,3
0,47
0,75
0,39
0,67
0,21
0,54
200
0,4
0,60
0,80
0,58
0,64
0,50
0,53
400
0,2
0,50
0,68
0,48
0,57
0,21
0,31
400
0,3
0,52
0,70
0,56
0,62
0,34
0,29
400
0,4
0,56
0,69
0,51
0,60
0,35
0,45
Nesta situação, pôde se observar também, que as acurácias foram muito
afetadas pela individual, uma vez que muitos locos contribuíram na variação
fenotípica e a herdabilidade foi então gerada a partir da herdabilidade individual de
muitos marcadores, o que alterou as estimativas.
30
Os valores altos de acurácia obtidos indicam a possibilidade de aplicação da
seleção genômica com ambos os tipos de marcador. Os resultados obtidos
concordam com os valores obtidos via abordagem determinística feita por
Resende (2008). O melhor método de seleção foi quando a seleção genômica foi
realizada considerando todos os marcadores. Como o objetivo da seleção
genômica é maximizar o ganho de seleção e consequentemente a acurácia, nesta
situação quantitativa, em que muitos locos controlam o carácter com magnitudes
de efeitos semelhantes, o fato de utilizar marcas que se encontram em LD, mesmo
que a associação não tenha sido detectada, maximiza estes ganhos. Quando a
simulação foi feita com LD igual a um, existiu um marcador que estava em
desequilíbrio de ligação com cada QTL. No entanto, é importante ressaltar que,
em situações reais, para que seja genotipado um marcador dentro do bloco
genômico que se encontra em LD com cada QTL é necessária a saturação do
genoma com um grande número de marcas para que se tenha a densidade
suficiente e obter estes marcadores em LD. Uma vez que não se tem
conhecimento do posicionamento dos QTLs no genoma, esta genotipagem tem
que ser ampla, o que acarreta também na genotipagem de marcas que não estão
em associação nenhuma com nenhum QTL. Nesta situação pode ser necessário
descartar alguns marcadores, os quais não foi observada a associação para
reduzir o número de parâmetros que serão estimados.
Outra observação interessante foi a respeito da comparação entre
marcadores codominantes e dominantes. Obviamente que quando analisados em
situações idênticas, os marcadores SNPs proporcionam maior acurácia, por serem
mais informativos. No entanto, considerando a disponibilidade de um número de
SNPs com densidade suficiente para obter 90% dos QTLs em associação com
pelo menos um marcador (LD = 0,9), e um número maior de DArTs neste mesmo
genoma, com densidade de marcadores suficientes para detectar associação com
todos os QTLs, as acurácias obtidas via marcadores DArTs foram superiores.
A metodologia BLUP se adequou bem as análises de seleção genômica e
demonstrou potencial em sua aplicação. Outras metodologias foram relatadas
como superiores (Meuwissen, 2001, Meuwissen, 2009) fato também observado e
relatado no próximo capítulo com a metodologia BayesA na análise de dados reais
31
em Eucalipto. O modelo pode ainda conter o efeito poligênico, quando alguns
locos não estiverem sendo explicados por marcadores (Hayes, 2009)
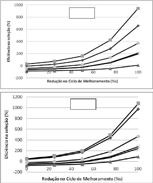
Os ganhos de seleção foram calculados para os desequilíbrios de ligação
de 0,9 e 1. Embora em alguns casos a acurácia obtida via Seleção Genômica foi
menor que o máximo possível para a seleção fenotípica, quando o ganho é
calculado em função do tempo de seleção, é possível observar uma superioridade.
Para o LD igual a 0,9, o ganho com a redução do ciclo em 50% variou de -32 a
62% no caso de DArTs e de 46 a 84% no caso de SNPs. Quando o LD foi igual a
1,0, a variação foi de 90 a 134% para SNPs e de 27 a 131% para DArTs (Figura
5). Pode se observar nesse caso que a GWS pode impactar o melhoramento
genético com grandes possibilidades de ganho, sendo no entanto necessário o
uso de um grande número de marcadores.
32
Figura 5 Eficiência da GWS em relação a seleção fenotípica quando foi considerado: (a) e (b)
Valores máximos e mínimos de acurácia para os cenários testados com LD igual a 1; (c) e (d)
Valores máximos e mínimos para os cenários com LD igual a 0,9
d
c
a
b
a
b
c
d
33
4. CONCLUSÃO
A partir deste estudo, pôde se concluir que a seleção genômica ampla tem
perspectivas de serem aplicadas em quaisquer organismos. A real concretização
desta tecnologia pode alterar completamente a maneira como o melhoramento
genético é feito. No entanto, ainda são necessários a disponibilidade de um
grande número de marcadores cobrindo de maneira ampla, todo o genoma. Nos
próximos anos, algumas espécies terão seus genomas seqüenciados, situação
esta que permite a descoberta de um número quase infinito de marcadores SNPs.
Entretanto, espécies que não têm esta disponibilidade, podem perfeitamente,
desenvolver marcadores dominantes do tipo DArTs para utilização na GWS.
Novos estudos precisam ser realizados, avaliando o custo de aplicação,
considerando taxas reais de desequilíbrio de ligação em culturas vegetais e
testando novas metodologias. Este estudo demonstrou, no entanto que a
metodologia BLUP atende bem às análises e pode ser utilizada como forma de
estimação dos efeitos.
34
5. REFERÊNCIAS BIBLIOGRÁFICAS
Bernardo R (2008). Molecular Markers and Selection for Complex Traits in Plants:
Learning from the Last 20 Years. Crop Science, 48:1649-1664.
Bernardo R, Yu JM (2007) Prospects for genomewide selection for quantitative
traits in maize. Crop Sci 47:1082-1090.
Calus MPL, Meuwissen THE, de Roos APW, Veerkamp RF (2008) Accuracy of
genomic selection using different methods to define haplotypes. Genetics
178:553-561.
de los Campos, G, Naya, H, Gianola, D, Crossa, J, Legarra, A, Manfredi, E,
Weigel, K, Cotes, JM (2009). Predicting Quantitative Traits With Regression
Models for Dense Molecular Markers and Pedigree Genetics 182: 375-385 .
Dekkers JCM (2004) Commercial application of marker- and gene-assisted
selection in livestock: Strategies and lessons. Journal of Animal Science 82:313-
328.
Dekkers JCM (2007) Marker-assisted selection for commercial crossbred
performance. Journal of Animal Science 85:2104-2114.
El-Din El-Assal S, Alonso-Blanco C, Peeters AJ, Raz V, Koornneef M (2001): A
QTL for flowering time in Arabidopsis reveals a novel allele of CRY2, Nat Genet,
29:435-440.
Frary A, Nesbitt TC, Grandillo S, Knaap E, Cong B, Liu J, Meller J, Elber R, Alpert
KB, Tanksley SD (2000): fw2,2: a quantitative trait locus key to the evolution of
tomato fruit size. Science, 289:85-88.
Gianola D, Van Kaam JBCHM (2008) Reproducing Kernal Hilbert Spaces
Regression methods for genomic assisted prediction of quantitative trais.
Genetics 178:4:2289-2303.
Gredler,B, Nirea,KG, Solberg TR, Egger-Danner, C, Meuwissen, T, Sölkner, J
(2009). A comparison of methods for genomic selection in Austrian dual purpose
Simmental cattle. Proc. Assoc. Advmt. Anim. Breed. Genet. 18:568-571.
Hastbacka J, de la Chapelle A, Mahtani MM, Clines G, Reeve-Daly MP, Daly M,
Hamilton BA, Kusumi K, Trivedi B, Weaver A.(1994). The diastrophic dysplasia
35
gene encodes a novel sulfate transporter: positional cloning by fine-structure
linkage disequilibrium mapping. Cell; 78: 107387.
Hayes B (2009): Whole Genome Association and Genomic Selection Course
Notes. 120p.
Heffner EL, Sorrells ME, Jannink JL (2009) Genomic Selection for Crop
Improvement. Crop Sci 49:1-12.
Jaccoud D, Peng K, Feinstein D, Kilian A (2001) Diversity arrays: a solid state
technology for sequence information independent genotyping. Nucleic Acids
Res 29:E25.
Jenkins, S., and N. Gibson. 2002, High-throughput SNP genotyping. Comp. Funct.
Genom. 3:5766.
Lande R, Thompson R (1990) Efficiency of marker-assisted selection in the
improvement of quantitative traits. Genetics 124.
Liu J, Van Eck J, Cong B, Tanksley SD (2002): A new class of regulatory genes
underlying the cause of pear-shaped tomato fruit. Proc Natl Acad Sci USA ,
99:13302-13306.
Long N, Gianola D, Rosa GJM, Weigel KA, Avendano S. (2007). Machine learning
classification procedure for selecting SNPs in genomic selection: application to
early mortality in broilers. Journal of Animal Breeding and Genetics, 124:377-
389.
Matukumalli LK, Lawley CT, Schnabel RD, Taylor JF, Allan MF, et al. 2009
Development and Characterization of a High Density SNP Genotyping Assay for
Cattle. PLoS ONE 4(4): e5350.
Meuwissen T, Hayes B, Goddard M (2001) Prediction of Total Genetic Value Using
Genome-Wide Dense Marker Maps. Genetics 157:1819-1829.
Meuwissen T, Solberg TR, Shepherd R, Wooliams JA (2009). A fast algorithm for
BayesB type of prediction of genome-wide estimates of genetic value. Genetics
Selection Evolution. 41:2.
Muir WM (2007). Comparison of genomic and traditional BLUP-estimated breeding
value accuracy and selection response under alternative trait and genomic
parameters. Journal of Animal Breeding and Genetics, 124:342-355.
36
R Development Core Team (2009). R: A language and environment for statistical
computing. R Foundation for Statistical Computing, Vienna, Austria. ISBN 3-
900051-07-0, URL http://www.R-project.org.
Resende MDV (2008) Notas de aula de Melhoramento Florestal.
Resende MDV, Lopes PS, Silva RL, Pires IE (2008) Seleção genômica ampla
(GWS) e maximização da eficiência do melhoramento genético. Pesquisa
Florestal Brasileira 56:63-77.
Resende, MDV (2002). Genética biométrica e estatística no melhoramento de
plantas perenes. Brasília: Embrapa Informação Tecnológica, 2002, 975p.
Resende, MDV (2007). Matemática e estatística na análise de experimentos e no
melhoramento genético. Colombo: Embrapa Florestas. 561p.
Resende MDV (2008) Genômica Quantitativa e Seleção no Melhoramento de
Plantas Perenes e Animais. Colombo:EMBRAPA Florestas. 330p.
Schaeffer LR (2006) Strategy for applying genome-wide selection in dairy cattle.
Journal of Animal Breeding and Genetics 123:218-223.
Schuster I, Cruz CD (2004) Estatística Genômica aplicada a populações derivadas
de cruzamentos controlados. Editora UFV, Viçosa.
Solberg TR, Sonesson AK, Woolliams JA, Meuwissen THE. Reducing
dimensionality for prediction of genome-wide breeding values. Genet Sel Evol.
2009;41:29.
Solberg TR, Sonesson AK, Woolliams JA, Meuwissen THE. Genomic selection
using different marker types and densities. J Anim Sci. 2008;86:24472454.
Takahashi Y, Shomura A, Sasaki T, Yano M (2001): Hd6, a rice quantitative trait
locus involved in photoperiod sensitivity, encodes the a subunit of protein kinase
CK2, Proc Natl Acad Sci USA, 98:7922-7927.
Wenzl P, Carling J, Kudrna D, Jaccoud D, Huttner E, Kleinhofs A, Kilian A (2004)
Diversity Arrays Technology (DArT) for whole-genome profiling of barley.
Proceedings of the National Academy of Sciences of the United States of
America 101:9915-9920.
Wong, CK., Bernardo, R (2008). Genomewide selection in oil palm: Increasing
selection gain per unit time and cost with small populations. Theor. Appl. Genet.
116:815824.
37
Yano M, Katayose Y, Ashikari M, Yamanouchi U, Monna L, Fuse T, Baba T,
Yamamoto K, Umehara Y, Nagamura Y, Sasaki T (2000): Hd1, a major
photoperiod sensitivity quantitative trait locus in rice, is closely related to the
Arabidopsis flowering time gene CONSTANS. Plant Cell, 12:2473-2484.
Zhong, S, Dekkers, JCM., Fernando, RL., Jannink, JL (2009). Factors Affecting
Accuracy From Genomic Selection in Populations Derived From Multiple Inbred
Lines: A Barley Case Study Genetics. 182: 355-364.
38
CAPÍTULO II
SELEÇÂO GENÔMICA AMPLA EM Eucalyptus
VIÇOSA
MINAS GERAIS BRASIL
2010
39
40
1. INTRODUÇÃO
Atualmente as espécies do gênero Eucalyptus são as mais utilizadas em
plantações florestais no país, sendo que o Brasil ocupa lugar de destaque como
um dos países de maior área plantada com eucalipto do mundo. Estas plantações
de rápido crescimento o o suporte para uma indústria multimilionária baseada
na produção de papel, celulose, carvão vegetal e produtos sólidos (Grattapaglia et
al., 2009).
Os programas de melhoramento de eucalipto o em geral baseados na
obtenção de híbridos interespecíficos férteis que capitalizam os efeitos da
heterose para os caracteres de crescimento e a propagação clonal que explora,
além dos efeitos aditivos, os efeitos devido a dominância (Resende e Assis, 2008).
A estratégia de seleção utilizada é a seleção recorrente recíproca interespecífica,
e o processo de recomendação que inicia na hibridação, passa por testes de
progênie e testes clonais para então indicação de um material comercial. Esse
processo demanda em média, de 12 a 16 anos.
Assim, em espécies florestais, as perspectivas do uso de marcadores
moleculares para auxilio no melhoramento genético (Seleção assitida por
marcadores MAS) são ainda maiores. Nestes casos, a seleção precoce
permitiria a seleção nos primeiros estágios das mudas, não sendo necessário
aguardar até que as árvores expressassem o fenótipo desejado o que poderia
então, representar um substituto para a seleção fenotípica (Dekkers, 2004). No
caso de Eucalyptus, os testes clonais amplos derivados do intercruzamento de
algumas dezenas de parentais elites de diferentes espécies se apresentam como
uma condição favorável a MAS (Grattapaglia 2007; Grattapaglia and Kirst 2008),
pois geram grande quantidade de LD. Com o uso da seleção precoce assitida por
marcadores é possível aumentar o ganho genético por unidade de tempo. Esta
oportunidade é rara em espécies anuais, mas é evidente em espécies perenes
com longo ciclo de vida. No caso de Eucalyptus, este ganho é ainda maior pelo
fato da seleção precoce permitir a instalação imediata de testes clonais a partir de
41
mudas jovens antes mesmo de estas serem submetidas a teste de progênie
convencional.
Vários trabalhos descreveram o sucesso na identificação de QTLs para
componentes de produtividade (crescimento volumétrico, forma), qualidade da
madeira (densidade básica, teor de lignina, rendimento em celulose), resistência a
estresses abióticos (tolerância ao frio, à seca) e resistência a patógenos,
principalmente fungos (O' Malley et al. 1996; Sewell e Neale 2000; Neale e
Savolainen 2004; Grattapaglia e Kirst 2008). No entanto, apesar de dezenas ou
mesmo centenas de QTLs terem sido mapeados, a informação gerada não tem
sido imediatamente útil para a seleção assistida no melhoramento. A razão deste
insucesso pode ser extrapolada de estudos de associação entre vários
marcadores e diferentes características (Eckert et al. 2009; Gonzalez Martinez et
al. 2007; Gonzalez Martinez et al. 2008). A magnitude dos efeitos da associação
individual destes marcadores, raramente excedeu 5 a 10% da variância genética.
Estes resultados são similares aos obtidos em estudos de associação em
humanos (Visscher e Montgomery, 2009), animais domésticos (Goddard e Hayes
2009) e plantas (Buckler et al. 2009) e demonstram a natureza complexa das
características quantitativas e questionam o uso de algumas poucas associações
discretas na melhoria de caracteres quantitativos em espécies florestais. Para que
a seleção assistida por marcadores possa ser eficiente, é necessária a captura
simultânea de uma grande proporção da variação genotípica de uma
característica.
Para efetivamente alcançar esse benefício um novo método de seleção
denominado seleção genômica (GS) ou seleção genômica ampla (GWS) foi
proposto (Meuwissen et al. 2001). A GWS pode ser aplicada em todas as famílias
em avaliação nos programas de melhoramento genético de espécies alógamas,
apresenta alta acurácia seletiva para a seleção baseada exclusivamente em
marcadores (após terem seus efeitos genéticos estimados a partir de dados
fenotípicos em uma amostra da população de seleção) e não exige prévio
conhecimento das posições (mapa) dos QTLs (Resende et al. 2008).
A maior limitação na implementação da seleção genômica é o grande
número de marcadores necessários e os altos custos de genotipagem (Goddard
42
and Hayes 2007). No entanto, uma abordagem que permite a genotipagem
paralela de eucalipto a baixo custo e dado os altos níveis de polimorfismo no
genoma do eucalipto (Grattapaglia and Kirst 2008) é o marcador DArT (Diversity
Array Technology) (Jaccoud et al. 2001; Wenzl et al. 2006). Uma vez disponível
um elevado número de marcadores, a probabilidade de se encontrar um QTL em
LD com pelo menos um marcador é muito alta. Este aspecto é extremamente
importante uma vez que somente os marcadores em LD com os QTLs serão úteis
na determinação dos fenótipos e na explicação da variação genética.
É importante salientar que o desequilíbrio de ligação entre dois locos é
afetado pela freqüência alélica, pelas taxas de recombinações e pelo tamanho
efetivo populacional (Flint-Garcia et. al, 2003). As taxas de recombinação entre um
QTL e um marcador podem ser controladas pela densidade de marcadores, uma
vez que com um grande número de marcadores, espera-se encontrar um
marcador mais próximo do QTL e, consequentemete, com menor taxa de
recombinação. No entanto, o tamanho efetivo populacional é uma característica da
população de melhoramento que têm algumas limitações quanto a redução muito
acentuada do tamanho efetivo com eventual perda de variabilidade genética.
Assim, este trabalho relata a implementação da seleção genômica em duas
populações elites de Eucalyptus com diferentes tamanhos efetivos utilizando um
grande número de marcadores DArTs. Trabalhos semelhantes foram realizados
no melhoramento animal (Van Raden et al., 2009; Hayes et al. 2009), no entanto
este é o primeiro estudo de seleção genômica com dados reais de plantas.
43
2. MATERIAL E MÉTODOS
Neste primeiro experimento de prova de conceito da GWS em Eucalyptus,
duas populações foram utilizadas na estimação de efeitos genéticos e validação
dos marcadores DArTs. Uma população, oriunda da CENIBRA S.A., foi composta
por 783 indivíduos amostrados aleatoriamente de 51 famílias derivadas de 11
parentais (N
e
igual a 11). Todos os indivíduos foram fenotipados para altura total e
diâmetro a altura do peito (DAP) aos três anos e genotipados com 2343
marcadores DArTs de alta qualidade. A segunda população foi oriunda da
empresa FIBRIA S.A., e foi composta por 920 indivíduos amostrados em uma
população com um tamanho efetivo de 120. O fenótipo de todos os indivíduos foi
coletado para as características altura total, DAP, e densidade básica avaliada via
Pilodyn. A genotipagem envolveu 3564 marcadores DArTs de alta qualidade.
Os marcadores DArTs foram gerados na Austrália como parte da
dissertação de doutorado dos estudantes da Universidade de Brasília, César
Petroli e Carolina Sansaloni, sob orientação do pesquisador da EMBRAPA
CENARGEN, Dr. Dario Grattapaglia.
Os valores fenotípicos foram derregressados (deregressed) corrigindo os
dados da CENIBRA para efeitos de blocos e efeitos de parcela e os dados da
FIBRIA para efeitos de blocos, parcela e falhas no experimento. Análises de
associação individual baseada em regressão em marca simples foram conduzidas
considerando os efeitos de marcadores como fixos.
2.1 METODOLOGIA DE ANÁLISE
Foram obtidas as acurácias da seleção genômica baseada em dois
métodos de estimação dos efeitos de marcadores propostos por Meuwissen
(2001): BLUP/GWS e BayesA. Em ambos os casos, a validação foi realizada
através da reamostragem de um grupo de indivíduos via procedimento Jacknife. A
metodoloia generalizada do Jacknife baseia-se na divisão do conjunto de N dados
amostrais em g grupos de tamanho igual a k, de forma que N = gk. A população
da CENIBRA foi dividida em 9 grupos de 87 indivíduos de maneira que a mesma
44
análise foi realizada nove vezes. Em cada repetição, um grupo foi removido da
população e utilizado para a formação da população de validação e 696 indivíduos
(8 grupos x 87 indivíduos) foram utilizados na população de estimação dos efeitos
dos marcadores. O mesmo procedimento foi adotado na população da FIBRIA,
neste caso, foram separados 10 grupos com 92 indivíduos em cada e 9 grupos
foram utilizados na estimação dos efeitos dos marcadores.
No modelo Jacknife, a validação é feita em uma população independente,
pertencente à mesma população e às mesmas famílias. No caso da população da
FIBRIA, outra forma de validação dos efeitos estimados dos marcadores foi feita.
A validação foi realizada em uma população independente pertencente à mesma
população, porém pertencente à diferentes famílias. Assim foram removidos da
população de 920 indivíduos, todos aqueles que pertenciam a famílias oriundas de
quatro genitores aleatoriamente selecionados. Dessa forma, um grupo de 102
indivíduos formou a população de validação pertencente a diferentes famílias da
população utilizada na estimação. Esta validação é considerada mais precisa pois
retrata o padrão de desequilíbrio de ligação que é permanente na população, sem
ser afetado pela genealogia.
2.2 ESTIMAÇÃO DOS EFEITOS DE MARCADORES VIA BLUP/GWS
Os marcadores que tiveram seus efeitos estimados a partir dos dados
fenotípicos foram selecionados após uma análise de associação individual via
regressão em marca simples e a associação declarada pela estatística F a um
nível de significância de 5%, conforme descrito no capítulo anterior. O valor da
constante k utilizada para compor a matriz Z foi igual a 1,0. Análises anteriormente
realizadas demonstraram que as acurácias foram inferiores quando todos os
marcadores foram utilizados e quando diferentes valores da constante k foram
selecionados. De um total de 2343 marcadores utilizados na população da
CENIBRA, 555 marcadores tiveram sua associação declarada como significativa
para altura total e 944 para DAP. Quando o teste FDR foi aplicado a 5%, o número
de marcadores significativos caiu para 210 e 757 para altura e DAP,
respectivamente. na população da FIBRIA, o número de marcadores
45
significativos pelo teste F foi de 1081,1414 e 816, respectivamente, para altura,
DAP e Pilodyn e após as análises de FDR, esse número caiu para 624, 1041 e
308 marcadores. Estes resultados sugerem que a característica DAP é
possivelmente controlada por um número maior de locos nestas populações. Em
todas as situações, os resultados de acurácia da seleção genômica com os
marcadores selecionados após o teste FDR foram inferiores à situação onde
apenas o teste F foi aplicado e os resultados então não são aqui apresentados.
Estes resultados concordam com os obtidos no capítulo anterior ao calcular as
acurácias da GWS na simulação de características quantitativas. A possível
explicação para este fato é que o nível de significância global utilizado é rigoroso a
ponto de não detectar algumas associações que auxiliam no incremento da
acurácia.
Os efeitos dos marcadores significativos foram estimados pelo
procedimento BLUP proposto por Meuwissen et. al. (2001).
O modelo linear misto usado conforme Resende(2008) foi :
y = Xb + Zm + e,
onde y é um vetor de observações fenotípicas, b é um vetor de efeitos fixos, m é o
vetor de efeitos dos marcadores assumidos como aleatórios e e se refere ao vetor
de erros aleatórios. X e Z são as matrizes de incidência para b e m.
A equação de modelos mistos para a predição dos valores genômicos é
dada por:
yZ
yX
m
b
n
IZZXZ
ZXXX
g
e
'
'
ˆ
ˆ
)/(
''
''
2
2
onde
2
g
se refere a variância genetica da
característica e
2
e
a variância residual. O valor genômico do indivíduo é dado por:
i
ij
m
i
ZyGBV
ˆ
ˆ
,
O valor de
2
g
foi estimado via metodologia REML através do software
SELEGEN (Resende 2007b) e também a partir de diferentes valores de
herdabilidade relatados na literatura como padrão para cada característica em
estudo
46
2.3 ESTIMAÇÃO DOS EFEITOS DE MARCADORES VIA BayesA.
O método BayesA equivale ao método BLUP com variâncias heterogêneas,
pois as variâncias dos segmentos cromossômicos diferem para cada segmento e
são estimadas sob esse modelo, considerando a informação combinada dos
dados e da distribuição a priori para estas variâncias. Essa distribuição é tomada
como uma qui-quadrado invertida e escalonada. Para obtenção dessa informação
combinada ou da distribuição das variâncias, adota-se o procedimento de
amostragem de Gibbs.
O seguinte modelo foi utilizado
y = Xb + Zg + e, onde:
y : vetor de dados fenotípicos.
b : vetor de efeitos fixos.
g : vetor de valores aleatórios dos marcadores
e : vetor de erros.
X, Z : matrizes de incidência que associam b e h aos dados fenotípicos (y).
De maneira resumida, os passos para estimação de cada efeito podem ser
apresentados da seguinte forma, conforme Resende (2008).
1, Foram fornecidos os valores iniciais dos parâmetros de locação e dispersão
do modelo. A média geral
y
como o único efeito fixo, foi inicialmente calculada
como a média aritmética das observações. O vetor dos efeitos de marcadores foi
inicializado com um número positivo e de pequena magnitude igual a 0,01.
2, Os valores da variância
2
gi
para o i-ésimo segmento cromossômico, foi
amostrado da distribuição condicional completa
)',()(
222
iiigi
ggSqgP
com
002.0012.4
2
Se
conforme Meuwissen et al (2001).
3, Dados gi e
y
, foi calculado os valores de e via
)( ZgXbye
, em que Z é a
matriz de incidência para os efeitos de marcadores. Então, atualize a variância
residual por meio da amostragem de
)',2(
2
ii
een
.
4, A média geral foi amostrada de uma distribuição normal com média (1/n)
)( Zgy
e variância
n
e
/
2
após a variância residual ter sido atualizada
47
5, Por fim, os efeitos dos marcadores g
ij
foram amostrados de uma distribuição
normal com média
22'
'
0
''
/
1
gieijij
nijijijij
ZZ
uZZgZyZ
e variância
)//(
22'2
gieijije
ZZ
, dado a
amostragem mais recente da média,
2
e
e
2
gi
, em que Zij é o vetor coluna de Z
com efeitos g
ij
e, g
ij
=0 equivale a g com efeito gij igualado a zero.
6, Os passos de (2) a (5) foram repetidos 10 mil vezes. Após todas as iterações,
foram descartados os 2000 primeiros ciclos e selecionados um valor de cada
parâmetro,
y
,
2
gi
,
2
e
, e e gi, a cada 100 ciclos de modo que ao final da análise
obteve-se 80 repetições. Uma análise visual do gráfico identificou convergência
nas estimações. A partir daí, o valor dos efeitos estimados para cada marcador
foram calculados pela média aritmética das 80 iterações.
Este algotirmo foi implementado no software R, no entanto, a análise de
cada repetição do procedimento Jacknife demorou aproximadamente 12 dias em
um servidor quad core, 2,33Ghz com 12 Gb de memória RAM. Dessa forma, esta
metodologia foi utilizada apenas para a característica altura total na população da
CENIBRA.
2.4 AVALIAÇÃO DOS DADOS
A avaliação dos dados foi realizada baseada na correlação do valor
genético predito com o fenótipo observado. Foi isolado também a acurácia de
seleção, removendo a influência da herdabilidade na capacidade de predição.
A seleção genômica foi ainda comparada com a seleção fenotípica quanto
ao ganho de seleção por unidade de tempo. Os únicos parâmetros variáveis no
cálculo do ganho de seleção ao comparar a seleção genômica com a fenotípica
são a acurácia de seleção e possívelmente o tempo de seleção. Assim, as
acurácias obtidas pela GWS foram comparadas com o valor máximo de acurácia
possível de se obter via seleção fenotípica e a relação foi avaliada considerando a
expectatica de redução do tempo de geração em ½ e ¾ ao utilizar a seleção
precoce via dados genotípicos.
48
3. RESULTADOS E DISCUSSÃO
3.1 POPULAÇÃO CENIBRA
3.1.1 ACURÁCIAS CALCULADAS NA POPULAÇÃO DE ESTIMAÇÃO
As acurácias obtidas na predição dos valores genômicos aditivos na
população de estimação foram obtidas via a variância do erro de predição (PEV) e
inversão da matriz dos coeficientes da equação de modelos mistos e são
demonstradas na Tabela 1. Estes valores representam o valor máximo que pode
se obter de acurácia nesta população da CENIBRA.
Tabela 1, Acurácias realizadas na população de estimação obtidas via PEV e inversão da matriz
dos coeficientes da equação de modelos mistos sob diferentes herdabilidades
Altura total
DAP
2343 Marcadores
2343 Marcadores
0,20
0,70
0,66
0,30
0,74
0,67
0,40
0,77
0,70
Os resultados na Tabela 1 indicam pequena superioridade nas acurácias
obtidas para Altura, em função do menor número de marcadores com efeitos
significativos o que proporciona menor número de parâmetro a serem estimados.
As análises foram feitas considerando as herdabilidades individuais de árvores e
variou no intervalo das estimativas comumente relatadas na literatura para estas
características em Eucalyptus em condições experimentais similares.
Para comparar as acurácias realizadas foram gerados os valores de
acurácias esperadas utilizando a abordagem determinística proposta por Resende
et. al (2008) para estimar a acurácia esperada da seleção genômica. Os
parâmetros utilizados foram uma população com tamanho efetivo Ne igual a 10 e
a distância entre marcadores igual a 0,005M (2 marcadores a cada cM) (Tabela 2).
Esta distância entre marcadores foi escolhida, pois equivale a aproximadamente
49
2400 marcadores analisados em eucalipto, uma vez que o tamanho do genoma do
eucalipto é igual a 1200cM (D. Gratappaglia, comunicação pessoal).
Tabela 2, Acurácias esperadas através de simulações determinísticas para uma população com
Ne= 10, distância entre marcadores de 0,005 Morgans, herdabilidade de 20%, 30% e 40%, um
número variável de locos (N) controlando a característica um nível de LD igual a 0,83 (proporção
da variação genética explicada pelos marcadores (r
2
mq
)).
Herdabilidade
(h2)
N
Acurácia
r
2
mq
Distância entre
marcas(M)
0,2
50
0,77
0,83
0,005
0,2
100
0,67
0,83
0,005
0,2
150
0,61
0,83
0,005
0,2
200
0,56
0,83
0,005
0,2
300
0,49
0,83
0,005
0,3
50
0,81
0,83
0,005
0,3
100
0,73
0,83
0,005
0,3
150
0,68
0,83
0,005
0,3
200
0,63
0,83
0,005
0,3
300
0,56
0,83
0,005
0,4
50
0,83
0,83
0,005
0,4
100
0,77
0,83
0,005
0,4
150
0,72
0,83
0,005
0,4
200
0,68
0,83
0,005
0,4
300
0,61
0,83
0,005
Comparando a Tabela 1 com 2343 marcadores com a Tabela 2 para
herdabilidade igual a 20%, é possível inferir que o número mais provável de locos
que controlam as duas características é um número próximo de 100 para a altura
(acurácia de 67% na Tabela 2, próximo de 70% na Tabela 1) e entre 100 e 150
locos para DAP (acurácia de 67% e 61% na tabela 2, próximo de 66% obtido na
tabela 1). Para a herdabilidade de 30%, a mesma análise indica que
50
aproximadamente 100 locos controlam altura (acurácia de 73% na tabela 2 e de
74% na tabela 1) e 150 locos para DAP ( acurácia de 68% na Tabela 2 e de 67%
na Tabela 1). Mais uma vez, para herdabilidade igual a 40% pôde-se observar o
mesmo padrão de 100 locos para altura total (acurácia de 77% em ambas as
tabelas) e de 150 locos para DAP (acurácia de 72% na tabela 2 de 70% na tabela
1).
Estes resultados reforçam a hipótese de que um número maior de locos
controlam a característica DAP quando comparado com a característica altura
total nesta população.
3.1.2 VALIDAÇÃO CRUZADA: POPULAÇÃO DE ESTIMAÇÃO vs
POPULAÇÃO DE VALIDAÇÃO
Para a validação cruzada foram utilizados 83 indivíduos para a validação e
696 indivíduos na população de estimação via uma estratégia de reamostragem
Jacknife, o que forneceu independência entre os dados de estimação e validação.
Neste esquema, todos os fenótipos dos 783 indivíduos foram usados na validação
da população e submetidos as análises de correlação com os valores genômicos
preditos usando os efeitos dos marcadores estimados
Na Tabela 3 são mostrados os resultados de correlação entre os valores
genômicos preditos e os fenótipos dos indivíduos na população de validação
associados às três diferentes medidas de herdabilidades. Nesta análise, calculou-
se as medidas de correlação quando um número variável de marcadores
significativos foram utilizados na estimação dos efeitos.
51
Tabela 3, Capacidade de predição do fenótipo pela seleção genômica. Correlação entre os valores
genômicos preditos e os fenótipos dos indivíduos na população de validação associados a
herdabilidades de 20, 30 e 40% e um número de marcadores variando de um até o total de marcas
significativas.
2343 Marcadores
Número de
marcadores
Altura
= 20%
Altura
= 30%
Altura
= 40%
DAP
h
2
= 20%
DAP
h
2
= 30%
DAP
h
2
= 40%
1
-0,03
-0,01
-0,01
-0,05
-0,07
-0,07
5
0,09
0,07
0,08
0,06
0,01
-0,01
10
0,12
0,08
0,07
0,15
0,09
0,06
20
0,17
0,10
0,09
0,20
0,19
0,17
30
0,20
0,14
0,12
0,22
0,23
0,23
40
0,22
0,19
0,16
0,25
0,25
0,26
50
0,24
0,21
0,18
0,27
0,27
0,28
100
0,28
0,27
0,26
0,32
0,33
0,32
200
0,29
0,30
0,29
0,39
0,39
0,39
300
0,30
0,31
0,30
0,41
0,41
0,42
400
0,30
0,31
0,30
0,42
0,43
0,44
600
-
-
-
0,42
0,43
0,44
900
-
-
-
0,42
0,43
0,44
Estes resultados demonstram que as correlações estabilizaram quando
foram utilizados os 200 marcadores de maiores efeitos para altura e os 300
marcadores para DAP (Figura 1). Estes resultados também mostram que o valor
máximo das correlações variou entre 0,30, 0,31 e 0,30 para a altura e 0,42, 0,43, e
0,44 para DAP associados às herdabilidades de 20, 30 e 40%, respectivamente.
Isto demonstra que as medidas de correlações são robustas para a incerteza
sobre o valor paramétrico da herdabilidade.
Os valores de correlação foram maiores para DAP, o que sugere que esta
característica, embora seja controlada por um número maior de locos tenha
herdabilidade mais alta. Estes resultados indicam que 200 marcadores para altura
52
e 300 para DAP estão explicando, respectivamente, 100 locos para altura e 150
para DAP.
Figura 1 Correlações entre os valores genômicos preditos e os valores fenotípicos (Altura e DAP,
respectivamente) associados às herdabilidades de 20% para altura e 40% para DAP.
É importante salientar que os valores de correlação da Tabela 3 não são as
acurácias da seleção genômica. Estas correlações são chamadas de capacidade
preditiva da seleção genômica e sua acurácia é calculada ao remover a influência
da herdabilidade dividindo a correlação pela raiz quadrada da herdabilidade
associada.
53
Tabela 4, Acurácias da seleção genômica ampla calculadas na população de validação associadas
a herdabilidades de 20, 30 e 40% e número de marcadores utilizados variando de um até o total de
marcadores significativos.
2343 marcadores
Número de
marcadores
Altura
h²= 20%
Altura
h²= 30%
Altura
h²= 40%
DAP
h
2
= 20%
DAP
h
2
= 30%
DAP
h
2
= 40%
1
-0,06
-0,02
-0,01
-0,12
-0,13
-0,12
5
0,20
0,13
0,13
0,14
0,01
-0,02
10
0,26
0,15
0,12
0,33
0,16
0,10
20
0,39
0,17
0,14
0,44
0,34
0,28
30
0,45
0,26
0,20
0,49
0,42
0,36
40
0,50
0,35
0,25
0,57
0,46
0,41
50
0,54
0,39
0,29
0,60
0,49
0,44
100
0,63
0,50
0,41
0,72
0,60
0,51
200
0,65
0,54
0,46
0,86
0,71
0,62
300
0,67
0,56
0,47
0,91
0,75
0,67
400
0,67
0,57
0,48
0,94
0,78
0,70
600
-
-
-
0,94
0,78
0,69
900
-
-
-
0,93
0,78
0,69
Ao transformar a capacidade preditiva na acurácia de seleção pôde-se
observar o impacto que a herdabilidade causa nos valores de acurácia. Para
altura, a acurácia na validação foi de 67% na herdabilidade de 20%, 57% na
herdabilidade de 30% e 48% na herdabilidade de 40%. Todos estes valores são
consistentes com o valor máximo de acurácia obtido anteriormente via PEV na
população de estimação os quais gerou 70, 74 e 77% nas três herdabilidades.
Observando a proximidade entre os valores de 67% na validação e de 70%
na população de estimação para herdabilidade igual a 20% conclui-se que esta
parece ser a herdabilidade mais plausível para a característica altura. Assim, 67%
pode ser considerada como a acurácia mais provável para a seleção genômica no
crescimento em altura. Este resultado é coerente com as expectativas teóricas
apresentadas na Tabela 2 para uma herdabilidade de 20%, um número
54
aproximado de 100 locos controlando a característica, um Ne de 10 e uma
distância entre marcadores de 0,005M.
Para DAP, a acurácia na população de validação variou entre 93, 78 e 69%
para as herdabilidades de 20, 30 e 40%, respectivamente. Nem todos estes
resultados são plausíveis uma vez que o valor máximo de acurácia possível obtido
via PEV (Tabela 1) foi de 66, 67 e 70%, respectivamente para as três
herdabilidades testadas. Apenas os valores de acurácia quando a herdabilidade
foi de 40% teve resultados coerentes. Nos outros casos os valores são
superestimados. Observando a proximidade dos valores de 69% na validação e de
70% na estimação pôde-se concluir que esta parece ser a herdabilidade desta
característica nesta população. Assim, 69% pode ser considerado como o valor
mais provável de acurácia da seleção genômica ampla para a característica DAP.
Mais uma vez esses resultados são coerentes com as expectativas teóricas
(Tabela 2) para uma característica com de 40%, controle por aproximadamente
150 a 200 locos, Ne igual a 10 e distância entre marcadores igual a 0,005M.
É importante apontar que estas seriam as herdabilidades ajustadas, uma
vez que os dados fenotípicos foram inicialmente ajustados pela correção para os
efeitos macro ambientais e os efeitos para as capacidades específicas de
combinação.
As herdabilidades estimadas no experimento de campo inteiro de onde as
árvores foram amostradas foram de 27 e 37%, respectivamente, para altura e
DAP. Usando estes valores as acurácias na população de validação seriam 60% e
72%, respectivamente.
Quando a característica altura foi submetida à análise bayesiana pelo
método BayesA, os efeitos dos marcadores estimados proporcionaram valores
superiores de acurácia que variaram de 0,83 para herdabilidade de 20 % e 0,68 e
0,59 para as herdabilidades de 30 e 40 %. Estes valores são coerentes com os
estudos de Meuwissen et al, (2001) que obtiveram acurácias pela metodologia
Bayes A de 0,80, superiores também às acurácias de 0,73 obtidas vias BLUP.
55
3.2 POPULAÇÃO DA FIBRIA.
3.2.1 ACURÁCIA REALIZADA NA POPULAÇÃO DE ESTIMAÇÃO
As acurácias obtidas via Variância do Erro de Predição (PEV) foram
superiores às obtidas para a população da CENIBRA (Tabela 5). Como as
herdabilidades estimadas a partir dos dados do experimento de campo completo
de onde foram amostrados os indivíduos foram superiores aos padrões
observados na literatura, estas estimativas, de 0,6 para Altura total e Pilodyn, e 0,7
para DAP foram utilizadas em todos os cálculos. É importante salientar que estes
valores de herdabilidade foram ajustados para o efeito de falhas, razão pela qual a
herdabilidade estimada é mais alta que o padrão.
Tabela 5, - Acurácias realizadas na população de estimação obtidas via PEV e inversão da matriz
dos coeficientes da equação de modelos mistos associadas às herdabilidades calculadas a partir
dos dados obtidos no experimento de campo.
Altura
DAP
Pilodyn
3564 marcadores
3564 marcadores
3564 marcadores
0,6
0,89
-
0,87
0,7
-
0,83
-
Nesta população foi observado mais uma vez que a característica DAP
parece ser controlada por um número maior de locos por obter acurácias mais
baixas. Era esperado que os valores de acurácia esperado fossem inferiores uma
vez que quanto menor o desequilíbrio de ligação, menores as acurácias
esperadas e o desequilíbrio de ligação é inversamente proporcional ao tamanho
efetivo. Uma possível explicação para esse fato é a composição da população que
foi formada por híbridos de várias espécies de Eucalyptus. Esta hibridação,
principalmente interespecífica, gera desequilíbrio de ligação, embora este não seja
permanente de uma geração para a outra. Dessa maneira, não foi possível fazer
uma comparação das acurácias obtidas via PEV com as expectativas de acurácias
obtidas na abordagem determinística de Resende et al. (2008). (Tabela 6). Isto
acontece porque a abordagem determinística de Resende et al. (2008) foi feita
56
baseada na fórmula E(r²) = 1/(1+4N
e
c) proposta por Sved (1971) para o cálculo da
medida de desequilíbrio de ligação r²: em que N
e
é o tamanho efetivo populacional
e c é a taxa de recombinação entre o marcador e o QTL. Esta rmula é utilizada
para calcular o LD entre dois locos em uma situação em que a população, após
muitas gerações, que se encontra em equlíbrio. Como a estrutura da população da
FIBRIA foi gerada por uma hibridação interespecífica, foi gerado também um
desequilíbrio transitório, que não permanece na geração subseqüente.
Tabela 6 - Acurácias esperadas através de simulações determinísticas para uma população com
distância entre marcadores de 0,0036 Morgans, herdabilidade de 60% e 70%, um número variável
de locos (N) controlando a característica e um nível de LD igual a 0,36 e 0,9 (proporção da
variação genética explicada pelos marcadores (r
2
mq
)).
Caractere
Herdabilidade
(h²)
N
Acurácia
r
2
mq
Distância entre
marcas(M)
ALT
0,6
100
0,53
0,36
0,0036
0,6
100
0,88
0,9
0,0036
DAP
0,7
150
0,52
0,36
0,0036
0,7
200
0,50
0,36
0,0036
0,7
200
0,83
0,9
0,0036
Pôde-se observar ao analisar a Tabela 6 que as acurácias esperadas
considerando uma distância entre marcadores de 0,0036M, um número pré
estabelecido de 100 e 150 locos baseado no conhecimento da outra população
estudada, uma herdabilidade de 0,6 para Altura e Pilodyn e 0,7 para DAP e para
uma medida de
mq
(proporção da variância genética explicada pelos marcadores)
derivada de um tamanho efetivo de 120 foi de 0,53 e 0,52, Com os valores
observados de acurácia via PEV e fixando o mesmo número de locos que
controlou as características na população da CENIBRA, concluiu-se que o valor de
mq
em ambos os casos foi de 0,9, Entretanto, este é transitório e não
permanece na próxima geração.
57
3,2,2 VALIDAÇÃO CRUZADA
A Tabela 7 mostra os resultados da capacidade preditiva da SG ao avaliar a
correlação entre o fenótipo observado e o fenótipo predito a partir dos efeitos
estimados dos marcadores.
Tabela 7 Capacidade preditiva dos fenótipos via seleção genômica ampla calculadas na
população de validação associadas a herdabilidades de 50, 60 e 70% e número de marcadores
utilizados variando de um até o total de marcadores significativos.
3564 Marcadores
Número de
Marcadores
Altura
h² = 0,6
DAP
h²= 0,7
Pilodyn
h² = 0,6
Pilodyn
= 0,5
1
0,01
0,05
-0,04
-0,03
10
0,07
0,11
0,07
0,06
20
0,12
0,20
0,18
0,13
30
0,18
0,27
0,24
0,15
40
0,20
0,30
0,28
0,17
50
0,22
0,32
0,29
0,19
100
0,30
0,42
0,35
0,30
200
0,35
0,47
0,34
0,34
300
0,37
0,50
0,34
0,35
400
0,38
0,51
0,34
0,35
600
0,39
0,52
0,34
0,35
900
0,40
0,51
0,34
0,35
2000
0,40
0,51
-
-
3000
-
-
-
-
Pôde-se observar na Tabela 7, que assim como na população da
CENIBRA, a medida de correlação foi robusta e praticamente não alterou ao variar
a herdabilidade da característica Pilodyn de 0,5 para 0,6 (0,34 para h² igual 0,50%
e 0,35 para igual a 60%). A magnitude da correlação é maior quando o valor
58
paramétrico da herdabilidade é maior pois o fenótipo observado reflete de maneira
mais precisa o valor genético. Assim, é possível concluir que a variável DAP
realmente tem um valor paramétrico de herdabilidade superior às demais
características. Por esta mesma razão, uma nova análise foi realizada para a
característica Pilodyn com herdabilidade 0,5 uma vez que as correlações desta
variável foram inferiores quando comparadas à variável altura total em um mesmo
valor de herdabilidade (0,6).
A Tabela 8 mostra os resultados da acurácia de seleção para as três
características, Altura, DAP e Pilodyn, obtidas após a estimação dos efeitos de um
número variável de marcadores. Pôde-se observar que as acurácias na Tabela 8
foram inferiores às acurácias obtidas via PEV na população de estimação (0,89,
0,83 e 0,87 para Altura, DAP e Pilodyn) uma vez que esta última apresentou
valores altos e diferentes do esperado devido a estrutura da população.
Os valores observados na Tabela 8 estabilizaram seu cresimento quando
aproximadamente 300 marcadores foram utilizados nas características Altura e
DAP e 200 marcadores utilizados na característica Pilodyn. Este resultado indica
que um número menor de marcadores explica a característica Pilodyn ao ser
comparado com a variável Altura e DAP
59
Tabela 8 - Acurácias da seleção genômica ampla calculadas na população de validação
associadas a herdabilidades de 50, 60 e 70% e número de marcadores utilizados variando de um
até o total de marcadores significativos.
3564 Marcadores
Número de
Marcadores
Altura h² =
0,6
DAP h²=
0,7
Pilodyn h² =
0,6
Pilodyn h² =
0,5
1
0,00
0,06
-0,04
-0,05
10
0,10
0,13
0,08
0,10
20
0,16
0,24
0,17
0,25
30
0,22
0,32
0,20
0,34
40
0,25
0,36
0,22
0,39
50
0,29
0,39
0,24
0,42
100
0,39
0,50
0,39
0,49
200
0,44
0,56
0,44
0,48
300
0,47
0,60
0,46
0,47
400
0,49
0,61
0,45
0,48
600
0,51
0,62
0,45
0,48
900
0,51
0,61
0,45
0,48
2000
0,51
0,61
-
-
3000
-
-
-
-
3.2.3 VALIDAÇÃO EM POPULAÇÃO COM FAMÍLIAS DIFERENTES
Para fazer a validação em indivíduos oriundos de famílias diferentes das
famílias utilizadas na população de estimação, foram removidos 102 indivíduos
que juntos compuseram a população de validação. Os demais 818 indivíduos
formaram a população de estimação. Os valores das correlações estimadas para
as três características baseado nas herdabilidades de 0,6, 0,7, e 0,6 para Altura,
DAP e Pilodyn, respectivamente, são mostrados na Tabela 9,
60
Tabela 9 Capacidade preditiva da seleção genômica ampla calculadas na população de
validação associadas a herdabilidades de 50, 60 e 70% e número de marcadores utilizados
variando de um até o total de marcadores significativos.
3564 Marcadores
Número de
Marcadores
Altura h² =
0,6
DAP h²=
0,7
Pilodyn h² =
0,6
Pilodyn h² =
0,5
1
0,10
0,22
0,10
0,10
10
0,14
0,22
0,15
0,12
20
0,21
0,33
0,22
0,18
30
0,21
0,36
0,30
0,26
40
0,29
0,41
0,29
0,31
50
0,32
0,44
0,30
0,30
100
0,31
0,50
0,41
0,42
200
0,40
0,52
0,42
0,41
300
0,42
0,53
0,40
0,42
400
0,41
0,52
0,40
0,41
600
0,41
0,53
0,40
0,41
900
0,41
0,53
-
-
2000
-
-
-
-
As medidas de correlações observadas na Tabela 9 são praticamente
iguais às medidas obtidas na validação cruzada dependente. para as variáveis
altura total e DAP (Tabela 7). Os valores de correlação para a variável Pilodyn,
embora constantes nas duas herdabilidades testadas, foram um pouco superiores
aos obtidos na Tabela 7 para validação cruzada dependente. É possível que os
valores obtidos via jacknife na validação cruzada (0,34 para a variável Pilodyn)
sejam melhor estimados uma vez que foram utilizados 10 repetições, ao contrário
desta validação independente, onde apenas uma repetição foi feita.
Os valores das acurácias de seleção estimada para as três características
são apresentados na Tabela 10, Neste caso, as análises de seleção genômica
61
ampla não foram realizadas na herdabilidade 0,5 para a característica Pilodyn uma
vez que altura e Pilodyn obtiveram os mesmos valores de correlação (0,41).
Tabela 10 - . Acurácias da seleção genômica ampla calculadas na população de validação
associadas a herdabilidades de 60 e70% e número de marcadores utilizados variando de um até o
total de marcadores significativos.
3564 Marcadores
Número de Marcadores
Altura h² = 0,6
DAP = 0,7
Pilodyn h² =
0,6
Marcadores
significativos
1081
1414
816
1
0,12
0,26
0,14
10
0,19
0,33
0,15
20
0,27
0,40
0,23
30
0,27
0,41
0,33
40
0,37
0,42
0,40
50
0,42
0,44
0,39
100
0,40
0,56
0,54
200
0,52
0,60
0,53
300
0,54
0,62
0,54
400
0,53
0,62
0,53
600
0,53
0,63
0,53
900
0,53
0,62
0,53
2000
0,53
0,62
-
3000
-
-
-
Nesta validação, os valores de acurácias se estabilizaram quando foram
utilizados 200 marcadores para as características de Altura e DAP e 100
marcadores para a característica Pilodyn. Estes resultados, diferente do esperado,
foram próximos, porém inferiores dos valores estimados na validação cruzada
dependente. Uma possível razão para este fato é o uso de repetições para
62
estimações dos valores na validação cruzada, fato que não pode ser realizado
nesta validação. De qualquer maneira, os resultados revelam a eficiência do
procedimento Jacknife em produzir uma validação independente.
Uma vez que estas acurácias foram obtidas nesta população de validação
independente, concluí-se que estes valores poderiam ser também obtidos caso a
seleção genômica fosse aplicada em todo o teste de progênie de onde estes
indivíduos foram amostrados. Novos estudos devem agora ser conduzidos, para
que uma nova validação seja feita nesta mesma população, porém na próxima
geração de recombinação. Assim, isto permite que uma vez estimado os efeitos
dos marcadores e devidamente validados, após a próxima recombinação e
montagem do próximo teste de progênie, estas progênies podem ser selecionadas
em estágios iniciais de mudas com a acurácia esperada obtida nesta população
de validação de segunda geração.
Em próximos estudos considerando estas duas populações da FIBRIA e da
CENIBRA, serão comparados quantos dos marcadores significativos para uma
determinada característica em uma população foi também significativa para a
outra. Será feito ainda a validação do modelo predito em uma empresa, na
população da outra empresa. Espera-se que esta validação não proporcionará
estimativas de acurácias altas, pois em diferentes populações, diferentes alelos
podem estar presentes e os efeitos de marcadores estimados em uma população
provavelmente não terão efeito em outra. No entanto, para algumas
características, como resistência a doenças que são controlados por um número
menor de genes, pode-se obter um modelo generalizado para aplicação em
diferentes regiões do país.
3.3 GANHOS DE SELEÇÃO
As estimativas de ganho de seleção foram calculadas ao comparar a
eficiência da seleção genômica ampla com o valor ximo obtido com a seleção
fenotípica. Como uma das aplicações da GWS é a seleção precoce, o ganho foi
avaliado por unidade de tempo, considerando assim a redução no ciclo de
melhoramento de 25, 50 e 75% (Tabela 11).
63
Tabela 11 Superioridade da seleção genômica ampla em relação a acurácia máxima possível de
obter via seleção fenotípica (Acur F 0,68 para igual a 20% e 0,80 para igual a 60%) e em
função da redução do tempo de geração convencional em anos do melhoramento fenotípico (Temp
F) para tempos menores (Temp G)
Pop. CENIBRA
Pop. Fibria
Acur
F
Temp
F
Temp
G
ALT/
0,67
DAP/
0,70
Acur
F
ALT/
0,53
DAP/
0,62
Pilodyn/
0,53
0,68
8
4
97,06
105,88
0,80
32,50
55,00
32,50
0,68
8
3
162,75
174,51
0,80
76,67
106,67
76,67
0,68
8
2
294,12
311,76
0,80
165,00
210,00
165,00
0,68
8
1
688,24
723,53
0,80
430,00
520,00
430,00
É possível observar, que com a densidade de marcadores usada, os
valores de acurácias obtidos via seleção genômica são inferiores aos valores
máximos obtidos na seleção fenotípica. Neste experimento piloto, o grande
impacto que esta tecnologia pode trazer é a possibilidade de seleção genômica
precoce, que proporciona ganhos em torno de 100% na população da CENIBRA e
de 40-50% na população da FIBRIA, caso o ciclo de geração de novos materiais
seja reduzido pela metade.
Considerando novas pesquisas sobre alguns fatores cruciais para a
aplicação da GWS como formas de induzir o florescimento precoce para
recombinação dos genitores selecionados no teste de progênie, a precocidade da
seleção pode reduzir o tempo de geração em um programa de melhoramento em
até 7 anos. Esta redução proporciona ganhos por unidade de tempo de até 724%.
Percebe-se que aqui a GWS pode revolucionar a forma como é feita a
seleção nos programas de melhoramento, principalmente de espécies perenes. É
importante salientar ainda que, com o desenvolvimento de um número maior de
marcadores, o desequilíbrio de ligação entre o loco e um marcador aumenta, o
que proporciona medidas de acurácias que podem, per se, ultrapassarem os
valores de acurácia via seleção fenotípica.
64
4. CONCLUSÃO
Com este estudo pioneiro em espécies vegetais, de-se concluir que a
seleção genômica ampla tem grande potencial de aplicação e pode gerar um
elevado ganho, principalmente em programas de melhoramento de espécies de
longo ciclo onde a seleção precoce tem um maior potencial na geração de ganhos.
Além disso, percebe-se que, em aplicações práticas, é necessário a
genotipagem do número máximo de marcadores disponíveis para aumentar a
probabilidade de se encontrar vários marcadores em LD com os QTLs. No
entanto, após a estimação dos efeitos dos marcadores, a acurácia máxima é
obtida com a estimação baseada no uso de um número menor de marcadores.
Neste caso, em genotipagens futuras, é necessária a genotipagem apenas destes
marcadores, que além de terem sido significativos para o teste de associação com
o fenótipo, geraram estimativas de acurácias de magnitude aproximadamente
igual às acurácias obtidas quando todos os marcadores foram utilizados.
Pôde se concluir também, que o procedimento Jacknife, cuja aplicação foi
avaliada neste trabalho para obter um modo eficiente de validação, foi efetivo e
pode ser utilizado para validar os efeitos estimados de marcadores.
Além disso, observou-se neste trabalho que os ganhos de seleção
comparados apenas pela magnitude da acurácia e da diminuição do tempo de
seleção foram expressivos. No entanto, novos estudos devem ser feitos, pois o
valor agregado e competitivo de se liberar um material selecionado 8 anos antes
de um concorrente pode atingir escalas muito altas aumentando ainda mais o
impacto que o uso da GWS pode ter no melhoramento florestal.
65
5. REFERÊNCIAS BIBLIOGRÁFICAS
Buckler et. al. (2009). The genetic architecture of maize flowering time. Science.
2009 Aug 7;325(5941):714-8.
Dekkers JCM (2004) Commercial application of marker- and gene-assisted
selection in livestock: Strategies and lessons. Journal of Animal Science 82:313-
328.
Eckert A., Wegrzyn J.L., Pande B., Jermstad K.D., Lee J.M., Liechty J.D., Tearse
B.R., Krutovsky K.V., Neale D.B. (2009) Multilocus Patterns of Nucleotide
Diversity and Divergence Reveal Positive Selection at Candidate Genes Related
to Cold-hardiness in Coastal Douglas-fir (Pseudotsuga menziesii var. menziesii).
Genetics. 183:289-298.
Flint-Garcia, S.A., J.M. Thornsberry, and E.S. Buckler, IV. 2003, Structure of
linkage disequilibrium in plants. Annu. Rev. Plant Biol. 54:357374,
Goddard, ME, Hayes, BJ (2007). Genomic Selection. J. Anim. Breed. Genet. 124
323330.
Goddard, M. E., and B. J. Hayes, 2009 Mapping genes for complex traits in
domestic animals and their use in breeding programmes. Nat. Rev. Genet. 10:
381391.
Gonzalez-Martinez SC, Wheeler NC, Ersoz E, Nelson CD,Neale DB: Association
genetics in Pinus taeda L. I. Wood property traits. Genetics 2007, 175:399-409.
Gonzalez-Martinez SC, Huber D, Ersoz E, Davis JM, Neale DB: Association
genetics in Pinus taeda L. II. Carbon isotope discrimination. Heredity 2008,
101:19-26.
Grattapaglia D (2007a) Mapas genéticos e seleção assistida por marcadores
moleculares. In: Borem A (ed) Biotecnologia Florestal. Editora UFV, Viçosa, pp
201-230.
Grattapaglia D (2007b) Marker assisted selection in Eucalyptus. In: Guimarães E,
Ruane J, Scherf B, Sonnino A, Dargie J (eds) Marker assisted selection -
Current status and future perspectives in crops, livestock, forestry and fish, pp
251-283.
Grattapaglia D, Kirst M (2008) Eucalyptus applied genomics: from gene sequences
to breeding tools. New Phytologist 179:911-929.
66
Grattapaglia D, Plomion C, Kirst M, Sederoff RR (2009) Genomics of growth traits
in forest trees. Curr Opin Plant Biol 12:148-156.
Jaccoud D, Peng K, Feinstein D, Kilian A (2001) Diversity arrays: a solid state
technology for sequence information independent genotyping. Nucleic Acids
Res 29:E25.
Hayes, B. J., P. J. Bowman, A. J. Chamberlain and M. E. Goddard, 2009 Invited review:
genomic selection in dairy cattle: progress and challenges. J. Dairy Sci. 92: 433
443,.
Meuwissen T, Hayes B, Goddard M (2001) Prediction of Total Genetic Value Using
Genome-Wide Dense Marker Maps. Genetics 157:1819-1829.
Meuwissen T, Solberg TR, Shepherd R, Wooliams JA (2009). A fast algorithm for
BayesB type of prediction of genome-wide estimates of genetic value. Genetics
Selection Evolution. 41:2.
Muir WM (2007). Comparison of genomic and traditional BLUP-estimated breeding
value accuracy and selection response under alternative trait and genomic
parameters. Journal of Animal Breeding and Genetics, 124:342-355.
Neale DB, Savolainen O: Association genetics of complex traits in conifers. Trends Plant
Sci 2004, 9:325-330.
O´Malley et. al. (1996). Molecular markers, Forest genetics and tree breeding. In
Gustafson, JP, Flavell, RB. Genomes of plants and animals. New York: Plenum
Press. P. 87-102.
Resende MDV, Lopes PS, Silva RL, Pires IE (2008) Seleção genômica ampla
(GWS) e maximização da eficiência do melhoramento genético. Pesquisa
Florestal Brasileira 56:63-77.
Resende, MDV (2002). Genética biométrica e estatística no melhoramento de
plantas perenes. Brasília: Embrapa Informação Tecnológica, 2002, 975p.
Resende, MDV (2007a). Matemática e estatística na análise de experimentos e no
melhoramento genético. Colombo: Embrapa Florestas. 561p.
Resende, MDV (2007b). SelegenReml/Blup: Sistema Estatístico e Seleção
Genética Computadorizada via Modelos Lineares Mistos. Colombo: Embrapa
Florestas, 361 p.
67
Resende MDV (2008) Genômica Quantitativa e Seleção no Melhoramento de
Plantas Perenes e Animais. Colombo:EMBRAPA Florestas. 330p.
Resende MDV, Assis, TF (2008). Seleção Recorrente Recíproca entre populações
sintéticas multi-espécies (SRR-PSME) de Eucalipto.Pesquisa Florestal
Brasileira, Colombo n. 57:57-60.
Schaeffer LR (2006) Strategy for applying genome-wide selection in dairy cattle.
Journal of Animal Breeding and Genetics 123:218-223.
Sewell M.M., Bassoni D.L., Megraw R.A., Wheeler N.C. , and Neale, D.B. (2000)
Identification of QTLs influencing wood property traits in loblolly pine (Pinus
taeda L.) I Physical wood properties. Theoretical Applied Genetics. 101:1273-
1281.
VanRaden, P.M. et al. 2009 J. Dairy Sci. 92:16.
Visscher, PM, Montgomery, GW (2009). Genome-wide association studies and
human disease: from trickle to flood. JAMA.;302(18):2028-9.
Wenzl P, Carling J, Kudrna D, Jaccoud D, Huttner E, Kleinhofs A, Kilian A (2004)
Diversity Arrays Technology (DArT) for whole-genome profiling of barley.
Proceedings of the National Academy of Sciences of the United States of
America 101:9915-9920.
Wilcox PL, Echt CE, Burdon RD (2007) Gene-assisted selection: applications of
association genetics for forest tree breeding Associated Mapping in Plants:211-
247.
Wong, C.K., and R. Bernardo. 2008, Genomewide selection in oil palm: Increasing
selection gain per unit time and cost with small populations. Theor. Appl. Genet.
116:815824.
Xu Y, Crouch JH (2008) Marker-Assisted Selection in Plant Breeding: From
Publications to Practice. Crop Sci 48:391-407.
Zhong, S, Dekkers, JCM., Fernando, RL., Jannink, JL (2009). Factors Affecting
Accuracy From Genomic Selection in Populations Derived From Multiple Inbred
Lines: A Barley Case Study Genetics. 182: 355-364 .
Livros Grátis
( http://www.livrosgratis.com.br )
Milhares de Livros para Download:
Baixar livros de Administração
Baixar livros de Agronomia
Baixar livros de Arquitetura
Baixar livros de Artes
Baixar livros de Astronomia
Baixar livros de Biologia Geral
Baixar livros de Ciência da Computação
Baixar livros de Ciência da Informação
Baixar livros de Ciência Política
Baixar livros de Ciências da Saúde
Baixar livros de Comunicação
Baixar livros do Conselho Nacional de Educação - CNE
Baixar livros de Defesa civil
Baixar livros de Direito
Baixar livros de Direitos humanos
Baixar livros de Economia
Baixar livros de Economia Doméstica
Baixar livros de Educação
Baixar livros de Educação - Trânsito
Baixar livros de Educação Física
Baixar livros de Engenharia Aeroespacial
Baixar livros de Farmácia
Baixar livros de Filosofia
Baixar livros de Física
Baixar livros de Geociências
Baixar livros de Geografia
Baixar livros de História
Baixar livros de Línguas
Baixar livros de Literatura
Baixar livros de Literatura de Cordel
Baixar livros de Literatura Infantil
Baixar livros de Matemática
Baixar livros de Medicina
Baixar livros de Medicina Veterinária
Baixar livros de Meio Ambiente
Baixar livros de Meteorologia
Baixar Monografias e TCC
Baixar livros Multidisciplinar
Baixar livros de Música
Baixar livros de Psicologia
Baixar livros de Química
Baixar livros de Saúde Coletiva
Baixar livros de Serviço Social
Baixar livros de Sociologia
Baixar livros de Teologia
Baixar livros de Trabalho
Baixar livros de Turismo