Download PDF
ads:
Universidade de São Paulo
Escola Superior de Agricultura “Luiz de Queiroz”
Seleção de leveduras para bioconversão de D-xilose em xilitol
Marcus Venicius de Mello Lourenço
Dissertação apresentada para obtenção
do título de Mestre em Ciências. Área de
concentração: Microbiologia Agrícola
Piracicaba
2009
ads:
Livros Grátis
http://www.livrosgratis.com.br
Milhares de livros grátis para download.
Marcus Venicius de Mello Lourenço
Biólogo
Seleção de leveduras para bioconversão de D-xilose em xilitol
Orientador:
Prof. Dr. LUIZ CARLOS BASSO
Dissertação apresentada para obtenção do título
de Mestre em Ciências. Área de concentração:
Microbiologia Agrícola
Piracicaba
2009
ads:
Dados Internacionais de Catalogação na Publicação
DIVISÃO DE BIBLIOTECA E DOCUMENTAÇÃO - ESALQ/USP
Lourenço, Marcus Venicius de Mello
Seleção de leveduras para bioconversão de D-xilose em xilitol / Marcus Venicius de Mello
Lourenço. - - Piracicaba, 2009.
76 p. : il.
Dissertação (Mestrado) - - Escola Superior de Agricultura “Luiz de Queiroz”, 2009.
Bibliografia.
1. Candida 2. Fermentação aeróbica 3.Leveduras - Isolamento e purificação 4. Sequência
do DNA I. Título
CDD 660.62
L892s
“Permitida a cópia total ou parcial deste documento, desde que citada a fonte – O autor”
3
AGRADECIMENTOS
Agradeço ao meu orientador Prof. Dr. Luiz Carlos Basso, pela oportunidade,
confiança, e pelo privilegio de fazer parte da sua equipe de pesquisa.
Aos meus pais Advair Carlos Lourenço e Regina Lúcia de Mello Lourenço e ao
meu irmão Mario Vitor de Mello Lourenço pelo apoio, educação, carinho e convivência
quase sempre harmônica.
Aos meus avos Angelina Luma Lourenço, Antonio Lourenço (in Memorian),
Therezinha Apparecida Fernandes de Mello e Venicio Bruno de Mello - Zuzu (in
memorian)
Aos Prof. Dr. Luiz Humberto Gomes e Prof. Dra Kelia Maria Roncato Duarte pela
amizade, paciência, oportunidade, incentivo, viagens e pelos ensinamentos.
Aos Dr. Fernando Dini Andreote pela paciência e colaboração em diversas etapas
do desenvolvimento desse trabalho e Dr. Itamar Soares de Melo pela ajuda e gentileza
concedidas na EMBRAPA meio ambiente.
Ao Prof Dr. Luiz Coutinho Hermam e Dra. Nirlei pela inestimável colaboração no
sequenciamento das minhas amostras.
Aos colegas do Laboratório de Bioquímica do dep. de Ciências Biológicas da
ESALQ: Luiz Lucatti (Cometa), Nara Bortolazo, Renata Cristofoleti, Stafania, Natalia
Alexandrino, Thalita Peixoto Basso, Juliana Bueno da Silva pela amizade, ajuda durante
esse período.
Aos colegas do Laboratório de Genética de Microrganismos do dep. de genética
da ESALQ, Msc.Ana Paula Pallu, Msc. Maria Beatriz C. Rodrigues, Manuela Nóbrega,
Msc. Michele Silva, Dra. Priscila Rosseto, Msc. Maria Carolina Quenice, Fernanda
4
Sebastianes, Fernanda Bernardes, Renata Assis, Msc. Andréa Bogas, Dr. Rodrigo
Mendes, Msc. Marise Suzuki, Dr. Uira Belmonte, José Antonio da silva (Zezo),
Msc.Mariele Porto, Msc. Anderson Ferreira, Msc.Danice Mazzer Luvizotto, Prof. Dr.
João Lucio de Azevedo, Prof Dra. Aline Aparecida Pizzirane-Kleiner, Dr. Wellington Luiz
de Araújo em especial aos amigos Ms. Laura de Castro Assumpção, Franscisco Dini
Andreote, Dr. Fernando Dini Andreote, Msc. Armando Dias Cavalcante, Msc. Cristiane
Cipolla Fasanella Prof. Dr. Paulo Teixeira Lacava pela amizade, ajuda e convivência
Aos amigos do Laboratório de Genética de Leveduras do dep. de genética da
ESALQ: Msc. Marina Gumieire Alves, Lia Matelli, Ana Maria Brancalion Giacomelli,
Marcos Gorga, Prof Dr. Gildenberg Amorim Leal Junior, Prof Dr. Luiz Humberto Gomes,
Prof Dra. Keila Maria Roncato Duarte, Elisa Domingues, Felipe Gabriel Andrino, Rebeca
Duarte Gomes, Sara Duarte Gomes, Ana Carolina Peroni Gomes pela ajuda, incentivos,
passagens aéreas, viagens, churrascos, risadas e agradabilissima convivência.
Aos colegas do Laboratório de Genética e Bioquimica de plantas do dep. de
genética da ESALQ: Dra Priscila Lupino Gratão, Carolina, Daiane, Dr. Vanderlei Varisi,
Paula e Gika.
Aos colegas do Laboratório de Açúcar e Álcool do dep de agroindústria alimentos
e nutrição da ESALQ: Prof Dr. André Ricardo Alcarde, Silvino, Pedrinho, Bruno (portuga)
e Paula Araujo pela convivência, amizade e risadas.
Aos meus grandes amigos de colégio Guilherme Giovanonni e familia, Msc.
Fernanda Bhürrer Rizzato e familia, Kelly Cristiane Galesi e familia, por todos esse anos
de amizade.
Aos meus grandes amigos de graduação: Fabiana Sinicato, Julio César Ciriaco
de Camargo, André Ometo Belleza, Dra. Kamila Cristina Silva, Msc. Camila Cerboni
Pinto, Msc. Ana Luiza Beraldo, Crsitiane Fumagali, Daiane Nardini pela amizade,
carinho, baladas, viagens, e agradável convivência.
5
A Ms. Carlos Ivan Aguiar-Vildoso, Dr. Fernando Dini Andreote, Msc. Marina
Gumieire Alves, Prof. Dr. Luiz Humberto Gomes pela amizade, criticas construtivas,
apoio nas analises estatísticas, disposição de sempre ajudar e pelas dicas na conclusão
a dissertação.
Aos meus grandes amigos Dr. Rafael Tozadori, Dra. Ana Letica Bertolo Dr.
Fernando Dini Andreote, Dr. Walter Fernado Bernardi pela grande amizade, jantares,
cervejadas, viagens e convivência.
As grandes amizades construidas nesses dois anos, as codornas Msc.Cristiane
Cipola Fasanela, Msc Laura de Castro Assumpção, Msc Júlia Ronzela Ottoni, Msc Lílian
Beloti, Natalia Nardeli, pelas risadas, jogatinas, viagens e companhias.
A FERMENTEC pelo apoio financeiro
A CAPES pela bolsa concedida
Aos Professores Dr. Luiz Antonio Rochele e Dra. Adriane Palanchi pelas cartas
de recomendação
A todos que direta ou indiretamente contribuíram para a elaboração deste
trabalho, meus sinceros agradecimentos.
OBRIGADO A TODOS!
.
6
7
SUMÁRIO
RESUMO..........................................................................................................................9
ABSTRACT ....................................................................................................................11
1 INTRODUÇÃO ............................................................................................................13
2 DESENVOLVIMENTO ................................................................................................15
2.1 Revisão de Literatura ...............................................................................................15
2.1.1 Leveduras..............................................................................................................15
2.1.2 Leveduras do genêro candida ...............................................................................16
2.1.3 Metabolismo de D-xilose em leveduras.................................................................18
2.1.4 Residuos lignocelulosicos .....................................................................................20
2.1.5 Xilitol......................................................................................................................22
2.1.6 Produção de xilitol por microrganismos.................................................................25
2.1.7 Identificação molecular..........................................................................................27
2.2 Material e métodos...................................................................................................31
2.2.1 Coleta de amostra da biomassa de torta de filtro..................................................31
2.2.2. Isolamento e purificação das leveduras ...............................................................31
2.2.3 Conservação das leveduras ..................................................................................32
2.2.4. Extração de DNA das colônias isoladas...............................................................32
2.2.5 Amplificação e sequenciamento............................................................................32
2.2.6 Analises filogenéticas............................................................................................33
2.2.7 Fermentações .......................................................................................................33
2.2.7.1 Micorganismos utilizados ..................................................................................33
2.2.7.2 Preparo do pré inoculo .......................................................................................34
2.2.7.3 Preparação do meio de cultivo e condições da fermentação .............................34
2.2.7.4 Metodos analiticos..............................................................................................34
2.2.7.5 Analise estatistica...............................................................................................35
2.2.8 Determinação dos parametros fermentativos........................................................35
2.2.8.1 Fator de conversão de D-xilose e xilitol (Yp/s) ..................................................35
2.2.8.2 Produtividade volumétrica (Qp) ..........................................................................35
2.2.8.3 Eficiencia de conversão (η) ................................................................................36
8
2.2.8.4 Fator de conversão de D-xilose em biomassa (Yx/s)......................................... 36
2.3. Resultados e discussão.......................................................................................... 37
2.3.1 Ensaios fermentativos........................................................................................... 37
2.3.2 Alinhamento das seuquencias de DNA e construções das árvores filogenticas. 43
2.3.3 Utilização de D-xilose e produção de xilitol em meio UPX.................................... 46
3 CONCLUSÕES........................................................................................................... 57
REFERÊNCIAS ............................................................................................................. 59
ANEXOS........................................................................................................................ 73
9
RESUMO
Seleção de leveduras para a bioconversão de D-xilose em xilitol
Espécies microbianas, em especial as leveduras, são de grande importância para
a produção de xilitol. A produção de xilitol envolve uma complicada regulação
metabólica, incluindo o transporte de D-xilose, produção de enzimas fundamentais e
cofator de regeneração. Assim, a triagem de microorganismos que consomem
naturalmente D-xilose se torna uma maneira viável e eficaz para se obter organismos
com possível aplicação industrial para a produção de xilitol. Neste trabalho foram
isoladas vinte e oito leveduras provenientes do ambiente industrial da produção de
etanol (torta de filtro) com habilidade de consumir D-xilose. O seqüenciamento e a
identificação pela análise da região D1/D2 do gene do rDNA 26S demonstraram que
todas pertencem ao gênero Candida, sendo 24 linhagens (85.71%) C. tropicalis e 4
linhagens (14.29%) C. rugosa. Das 28 linhagens isoladas, cinco linhagens de leveduras
foram escolhidas aleatóriamente para o ensaio de bioconversão de D-xilose em xilitol
devido ao fato das mesmas apresentarem velocidade de crescimento em D-xilose
semelhantes. As linhagens selecionadas para o ensaio foram: Candida tropicalis MVP
03, Candida tropicalis MVP 16, Candida rugosa MVP 17, Candida rugosa MVP 21,
Candida tropicalis MVP 40, pois representam bem a amostragem. Três leveduras
pertencentes à coleção do Departamento de Ciências Biológicas da ESALQ / USP
(kluyveromyces marxianus IZ 1339, Candida tropicalis IZ 1824 e Candida guilliermondii
FTI 20037) foram utlizadas nos ensaios para obtenção de xilitol a partir da bioconversão
da D-xilose como controle positivo. Para a formação de xilitol em meio sintético
utilizando D-xilose como única fonte de carbono. Foram realizados ensaios da cinética
de crescimento durante 96 horas de fermentação. Na primeira triagem, para a avaliação
da melhor condição nutricional para o ensaio, as leveduras foram cultivadas em três
meios quimicamente definidos: YNB 6.7 g L
-1
, UPX (uréia 2.3 g L
-1
e peptona 6.6 g L
-1
)
MCX (KH
2
PO
4
0,62 g L
-1
; K
2
HPO
4
2,0 g L
-1
; (NH
4
)2SO
4
1,0 g L
-1
MgSO
4
1,1 g L
-1
, extrato
de levedura 0.5 g L
-1
) acrescidos de 20 g L
-1
de D-xilose, a 3C e 120 rpm. O meio UPX
apresentou o melhor rendimento, com uma produtividade volumetrica (Qp) entre 0,004 a
0,09, fator de conversão de xilose em xilitol (Yp/s) entre 0,23 a 0,28 g g
-1
, fator de
conversão de D-xilose em biomassa (Yx/s) entre 0.20 a 0.24 g g
-1
,
com
uma
eficiência de
10
conversão (η) entre 21% a 26%.As leveduras C. tropicalis MVP 03; C. tropicalis MVP 16;
C. rugosa MVP 17; C. rugosa MVP 21; C. tropicalis MVP 40 foram avaliadas em uma
triagem, em meio UPX, com padronização do inóculo inicial. Para os cinco isolados, a
produção de xilitol variou de 5,76 a 32,97 g L-1, a partir de 50 g L
-1
de D-xilose com
produtividade (Qp) de 0,06 a 0,35 g L
-1
h
-1
, fator de conversão de xilose em xilitol (Yp/s)
de 0,14 a 0,65 g g
-1
, fator de conversão de D-xilose em biomassa (Yx/s) de 0,08 a 0,29 g
g
-1
e a eficiência de conversão (η) entre 6% e 61% que foi calculado segundo Barbosa
et al 1988. Destacou-se a levedura C. tropicalis 16, produzindo 32,97 g L
-1
de xilitol com
um Qp de 0,35 g L
-1
h
-1
, Yp/s de 0,65 g g
-1
, Y x/s de 0,11 g g
-1
e eficiência de conversão
(η) de 61 %.
Palavras chave: Leveduras; D-xilose; Xilitol; rDNA 26S
11
ABSTRACT
Yeast selection for bioconversion of D-xylose to xilitol
Microbial species, particularly yeast, are of great importance for the production of
xylitol. The xylitol production involves complicated metabolic regulation, including the
transport of D-xylose, production of key enzymes and cofactor regeneration. Thus,
screening of microorganisms that consume D-xylose naturally becomes a viable and
effective way to obtain organisms with industrial application for the production of xylitol.
In this work we isolated twenty-eight yeasts from the environment of the industrial
production of ethanol (filter cake) with capacity to consume D-xylose. The sequencing
and identification by analysis of the D1/D2 region of 26S rDNA gene showed that all
belong to the genus Candida, and 24 strains (85.71%) C. tropicalis and 4 strains
(14.29%) C. rugosa. Of the 28 isolates, five strains of yeast were selected randomly to
test the bioconversion of D-xylose to xylitol due to the fact that they present rate of
growth in D-xylose similar. The lines selected for testing were: Candida tropicalis MVP
03, Candida tropicalis MVP 16, Candida rugosa MVP 17, Candida rugosa MVP 21,
Candida tropicalis MVP 40, and they represent a sampling. Three yeasts from the
collection of the Department of Biological Sciences, ESALQ / USP (Kluyveromyces
marxianus IZ 1339, Candida tropicalis IZ 1824 and Candida guilliermondii FTI 20037),
used were the tests to obtain xylitol from the bioconversion of D-xylose as positive
control, for the formation of xylitol in a synthetic medium using D-xylose as sole carbon
source. Assays were performed in the kinetics of growth during 96 hours of fermentation.
In the first evaluation, the evaluation of the best nutritional condition in the test, yeast
cells were grown in three chemically defined media: YNB 6.7 g L
-1
, UPX (urea 2.3 g L-1
peptone and 6.6 g L
-1
) MCX ( KH
2
PO
4
0.62 g L
-1
, K
2
HPO
4
2.0 g L
-1
, (NH
4
)
2
SO
4
1.0 g L
-1
MgSO
4
1.1 g L
-1
, yeast extract 0.5 g L
-1
) plus 20 g L
-1
D-xylose at 30°C and 120 rpm.
Mean UPX showed the best performance with a volumetric productivity (Qp) from 0.004
to 0.09, the conversion factor of xylose to xylitol (Yp/s) between 0,23 to 0,28 g g
-1
conversion factor D-xylose in biomass (Yx/s) between 0.20 to 0.24 g g
-1
Yeasts 0,20 to
0,24 g g-1, with a conversion efficiency (η) between 21% to 26%. C. tropicalis MVP 03,
C. tropicalis MVP 16, C. rugosa MVP 17, C. rugosa MVP 21, C. tropicalis MVP 40 were
evaluated in a screening, in media UPX, with standardization of initial inoculation. For
12
five isolates, the production of xylitol varied from 5.76 to 32.97 g L
-1
, from 50 g L
-1
D-
xylose with productivity (Qp) of 0.06 to 0,35 g L
-1
h
-1
, the conversion factor of xylose to
xylitol (Yp/s) 0.14 to 0.65 g g
-1
, the conversion factor of D-xylose in biomass (Yx/s) from
0.08 to 0.29 g g
-1
and conversion efficiency (η) between 6% and 61% which was
calculated according to Barbosa et al 1988. They outlined the yeast C. tropicalis MVP16,
yielding 32.97 g L
-1
of xylitol with a Qp of 0.35 g L
-1
h
-1
, Yp/s to 0.65 g g-1, Y x/s of 0.11 g
g
-1
and conversion efficiency (η) of 61%.
Keywords: Yeast; D-xylose; Xylitol; rDNA 26S
13
1 INTRODUÇÃO
A importância econômica e social do xilitol, que o coloca como produto de
elevado valor agregado, reside em seu alto poder adoçante, sua propriedade
anticariogênica e metabolismo insulina-independente que garantem sua aplicação nas
indústrias de alimento e farmacêutica.
No Brasil, as indústrias estão começando a incluir o xilitol na formulação de
produtos, atraídas pelo seu efeito refrescante e, sobretudo, pela sua ação
anticariogênica. Entre os produtos com xilitol que se acham disponíveis no mercado
brasileiro, na área de comestíveis, as gomas de mascar, balas, confeitos, compotas,
caramelos, chocolates, geléias, sobremesas e pudins, e na área de dentifrícios, os
cremes dentais e as soluções para lavagem bucal. De acordo com a Agência Nacional
de Vigilância Sanitária (Anvisa), o xilitol é um aditivo alimentar do tipo umectante, que
pode ser empregado na quantidade necessária para se obter o efeito desejado
(“quantum satis”), uma vez que este não afeta a identidade e a genuinidade dos
alimentos.
Na indústria farmacêutica, o xilitol pode ser empregado como adoçante ou
excipiente na formulação de xaropes, tônicos e vitaminas. Entretanto, como seu preço é
relativamente alto (custo de produção cerca de 10 vezes superior ao da sacarose ou do
sorbitol), ele é normalmente utilizado em combinação com outros polióis que servem
como agente de corpo da mistura.
O uso de xilitol em produtos industrializados foi aprovado em mais de quarenta
países. Na Escandinávia e em outras partes da Europa, o xilitol vem sendo amplamente
utilizado nesses três setores industriais há mais de 20 anos.
O xilitol é obtido industrialmente por via química, a partir da redução de D-xilose
derivada de hidrolisados lignocelulósicos. Esta produção é assegurada por patentes e
envolve desde a hidrólise da matéria-prima de resíduos lignocelulósicos ricos em xilana,
até a hidrogenação catalítica de D-xilose a xilitol.
Entretanto, o rendimento da conversão é baixo (50 a 60%), e são necessárias
várias operações como troca iônica, descoloração e fracionamento cromatográfico para
purificação até o produto final, aumentando, assim, o preço de comercialização do xilitol.
14
A produção microbiana é uma alternativa ao processo químico, com a vantagem
de ser conduzida em condições de temperatura e pressão brandas, portanto, com
menor gasto de energia e, devido à especificidade da bioconversão, são obtidos
rendimentos mais levados, com baixo custo de separação/purificação, e efluentes mais
limpos.
A seleção de microrganismos que fermentam D-xilose a xilitol é o primeiro passo
para o desenvolvimento de um processo de bioconversão com alta produtividade e
rendimento. Os fungos filamentosos, a maioria das leveduras e algumas bactérias são
capazes de realizar essa bioconversão. A maioria das pesquisas sobre produção
microbiana de xilitol utiliza leveduras, destacando-se o gênero Candida.
A produção de xilitol, assim como outros processos de bioconversão, são
influenciados pelas condições ambientais. Fatores como temperatura, concentração de
xilose, pH do meio de cultivo, concentração do inóculo, estado fisiológico do inóculo e
taxa de aeração.
Neste estudo, foram isoladas e avaliadas linhagens de leveduras capazes de
fermentar D-xilose a xilitol com alta produtividade e rendimento, sendo avaliados alguns
meios sintéticos de cultivo para o processo de bioconversão.
15
2 DESENVOLVIMENTO
2.1 REVISÃO DE LITERATURA
2.1.1 LEVEDURAS
As leveduras constituem um grupo de microrganismos eucarióticos (Fig.1.)
integrado no Reino Fungi, domínio Eukarya, caracterizado por um crescimento
vegetativo predominantemente unicelular e pela possibilidade de formação de estruturas
sexuadas não contidas em corpos de frutificação (PHAFF et al., 1978; KURTZMAN,
1994). Terão evoluído de uma forma ancestral unicelular (BANDONI, 1987;
OBERWINKLER, 1987), compreendendo atualmente representantes dos Filos
Ascomycota e Basidiomycota (SWANN; TAYLOR 1995; ERIKSSON; WINKA 1997).
Figura 1 - Representação esquemática de uma célula de levedura (adaptado de
http://www.rpi.edu/dept/chem-eng/Biotech-Environ/beer/yeast/yeast2.htm)
16
As leveduras, como microrganismos quimio-organo-heterotróficos, são capazes
de utilizar diferentes fontes de carbono e de energia tais como D-glucose, D-galactose,
D-xilose, glicerol, sorbitol, entre muitos outros. A seleção por determinado nutriente
poderá determinar a diversidade de espécies em diferentes nichos, sendo que, as
leveduras podem ser altamente especializadas por habitat (PHAFF et al., 1978).
As leveduras têm sido isoladas de ambientes muito diversos: terrestres,
aquáticos e aéreos. As plantas parecem constituir os nichos mais comuns, Por outro
lado, no filoplano predominam as leveduras de afinidade basidiomiceta, em particular do
gênero Erythrobasidium e Rhodotorula (INÁCIO et al., 2002). Águas doces e salgadas
são ambientes onde se encontram freqüentemente leveduras do gênero Candida,
Cryptococcus, Rhodotorula e Debaryomyces. Foram encontradas leveduras marinhas
(essencialmente do gênero Rhodotorula e Sporobolomyces) em sedimento recolhido de
profundidades entre 6.400 e 11.000 metros (NAGAHAMA et al., 2001). A concentração
de leveduras em águas do mar pode passar de um número típico de 10-100 UFC
(unidades formadoras de colônias) por litro para valores pelo menos duas ordens de
grandeza mais elevadas nas regiões de estuário região de contato entre água doce e
salgada (WALKER, 1998).
Para muitas leveduras, o solo é o único reservatório conhecido. Lipomyces e
Schwanniomyces são gêneros de leveduras exclusivamente isoladas do solo. Os solos
pobres poderão ter poucas leveduras, mas em solos usados na agricultura poderão ter
até 4 x 10
4
UFC por grama (WALKER, 1998).
2.1.2 LEVEDURAS DO GÊNERO Candida
São descritas atualmente 197 espécies do gênero Candida pertencentes ao
Reino Fungi, divisão Eumycota, subdivisão Deuteromycotina, classe Blastomycetes e
famila Cryptococcaceae, embora haja algumas espécies classificadas da subdivisão
Ascomycotina (KREEGEN VAM RIJ 1982.; LACAZ et al., 1998.; SIDRIM; ROCHA.;
2004)
As leveduras do gênero Candida apresentam em meio sólido colônias úmidas,
cremosas de aspecto liso ou rugoso, e coloração branco/amarelada.
Microscopicamente, as células são globosas, ovaladas ou ovaladas alongadas medindo
17
em media de 3 a 14 µm. (KREEGEN VAM RIJ 1982.; LACAZ et al., 1998; SIDRIM;
ROCHA, 2004).
Candida é um gênero de levedura ascomiceto que se apresenta, geralmente, na
forma unicelular, porém muitas espécies desenvolvem hifas, como as que podem
ocorrer em infecções oportunistas. A espécie patogênica ao homem mais conhecida é a
Candida albicans que se desenvolve na pele, na mucosa oral ou vaginal. A virulência da
espécie de Candida spp. é atribuída ao diformismo, à aderência, secreção de enzimas,
diversidade de fenótipos e variabilidade de antígenos (GILFILLAN et al., 1998).
Além da importância para a saúde publica, o gênero Candida apresenta diversos
outros interesses. Por exemplo, Candida guillermondii pode ser usada para a produção
de xilitol (MUSSATO, SILVA, ROBERTO, 2006), em biorremediação Candida
digboiensis por ser capaz de assimilar e metabolizar hidrocarbonetos (SOOD; LAL
2009), Candida antartica e Candida tropicalis são empregadas na produção de ácidos
dicarboxilos, matéria prima para a fabricação de perfumes, poliamida, poliéster,
adesivos e antibióticos (PICATAGGIO et al., 1991; CRAFT et al., 2003). Contudo uma
das principais aéreas de aplicação das leveduras do gênero Candida é na industria
alimentícia (Tabela 1). Mesmo podendo ser patogênicas oportunistas a agência de
controle de alimentos e medicamentos dos Estados Unidos US FOOD AND DRUG
ADMINISTRATION (FDA) tem permitido o uso de Candida guillermondii e Candida
lipolytica na produção de acido citrico.
Tabela 1 - Espécies de Candida com aplicação na indústria de alimentos (continua)
Processo
Microorganismo
Referência
Glutamato monossódico
C. lipolytica, C. utilis, C. krusei
Oki et al 1971
Àcido cítrico
C. lipolytica
Pazouki et al 2000
18
Tabela 1 - Espécies de Candida com aplicação na industria de alimentos (continuação)
Processo
Microorganismo
Referência
Àcido ascorbico
C. norvegensis e
C. antártica
Cayle et al 1986
Riblofavina ( vitamina B2)
C. guillermondii
Ghamen et al 1992
L- arabitol
C. entomaea
Saha; Bothast 1996
Xilitol
C. tropicalis e
C. guillermondii
Meyrial et al 1991
Yahashi et al 1996
Dentre as espécies estudadas, Candida tropicalis e Candida guillermondii são
as mais promissoras apresentando produtividade cima de 0,7 g de xilitol por grama de
xilose consumida. O processo de produção de xilitol por Candida tropicalis foi
patenteado nos EUA e no Japão por Kim et al. (1999 e 2000).
A variabilidade na produção de xilitol existente em C. tropicalis é explorada em
programas se seleção, que diferenças foram encontradas quanto aos parâmetros
fermentativos entre C. guillermondii FTI 20037 e C. tropicalis (GIMENES et al., 2002),
2.1.3 METABOLISMO DE D-XILOSE EM LEVEDURAS
Algumas leveduras são capazes de transformar xilose em D-xylulose através de
uma rota de oxido-redução consistindo em duas reações seqüenciais. Na primeira,
xilose-redutase (XR), na presença de NADH e/ou NADPH, transforma D-xilose em xilitol,
embora a relativa estabilidade deste produto leva a questionar se xilitol é um
intermediário, um produto ou ambos (TAYLOR et al., 1990).
19
Em uma reação subseqüente, o xilitol é transformado em D-xylulose por qualquer
NAD
+
ou NADP
+
ligada a xilitol desidrogenase (XDH) (SKOOG; HAHN-HÄGERDAL,
1988; GIRIO et al., 1990, PRIOR et al 1989). A Figura 2 mostra um esquema
simplificado do metabolismo de D-xilose em levedura com base nos dados de Prior et al.
(1989).
Leveduras diferentes mostram diferentes habilidades para fermentação de D-
xilose em etanol ou em xilitol (JEFFRIES, 1983; GONG et al., 1983), entre eles
Saccharomyces cerevisiae, S. uvarum, S. roixxi, Schyzosaccharomyces pombe,
Candida mogii, C. melibiosica (UENG et al. 1981).
Em ambas condições, as anaeróbias e as de oxigênio em condições limitadas, as
leveduras com as atividades de XR ligadas aos dois NADH e NADPH (como em Pichia
stipitis) regeneram o NAD
+
consumido na segunda etapa do metabolismo de D-xilose.
Neste caso, produto principal é o etanol e o ha acumulação de xilitol devido ao
equilíbrio redox entre os cofatores XR e XDH.
Em contrapartida, as leveduras que consomem D-xilose apenas por atividade de
XR dependente de NADPH (com completa ausência de NADH ligada a XR) na primeira
etapa do metabolismo de D-xilose (como em Debaryomyces hansenii) acumulam xilitol
(AMARAL-COLLAÇCO et al., 1989; GIRIO et al, 1990). Na segunda etapa, xilitol é
oxidado por XDH, geralmente na presença de NAD
+
(BRUINENBERG et al., 1984;
DITZELMULLER et al., 1984; GIRIO et al., 1989; VANDESKA et al., 1995).
Kruse; Schfigerl (1996) observaram que NAD
+
dependente, aumenta a atividade
de XDH durante fermentação por P tannophilus, enquanto o NADP
+
dependente diminui
a atividade de XDH .
Em condições aeróbicas, o NADH formado nesta etapa podem ser reoxidadas na
via respiratória, mas sob condições semi-aeróbicas, um desequilíbrio redox limita a taxa
de oxidação levando ao acumulo de xilitol (DITZELMULLER et al., 1984; PRIOR et al.,
1989).
20
.
XILOSE
XILITOL
NADP(H) + H
+
NAD(P)+
XILOSE REDUTASE
XILITOL DESIDROGENASE
NAD +
NADH + H
+
XILULOSE
ATP
ADP
VIA FOSFOPENTOSES
REAÇÕES OXIDATIVAS (REGENARAÇÃO
DO NADPH
REAÇÕES NÃO OXIDATIVAS
(CONVERSÃO DAS PENTOSES FOSFATO
A TRIOSE E HEXOSE
GLICERALDEIDO 3 P
FRUTOSE 6 P
VIA GLICOLITICA
PIRUVATO
NADH + H
+
NAD+
ETANOL + CO2
CICLO DOS ACIDOS TRICARBOXILOS
Figura 2 - Esquema simplificado do metablismo de D-xilose em leveduras
2.1.4 RESIDUOS LIGNOCELULOSICOS
Os materiais lignocelulósicos são os recursos orgânicos renováveis mais
abundantes da terra, representam a maior porção do carbono total fixado por
fotossíntese (ARISTIDOU; PENTTILÄ 2000; CACCHIO et al., 2001) e possuem imenso
potencial de uso como matérias-prima em processos industriais para a produção de
alimentos, biocombustíveis, insumos químicos, enzimas, biofertilizantes e bens de
consumo diversos (WINKELHAUSEN; KUSMANOVA, 1998; KADAM et al., 2000;
KRISHNA et al., 2001; LATIF; RAJOCA, 2001; TENGERDY; SZAKACS, 2003). Esta
biomassa inclui materiais oriundos das atividades de exploração agro-industrial e
florestal tais como palhas de arroz e trigo, sabugo de milho, casca de aveia, bagaço de
cana-de-açúcar, aparas de eucalipto entre outros.
21
Os resíduos agroindustriais, ou lignocelulósicos são constituídos principalmente
por celulose, hemicelulose e lignina. As hemiceluloses podem ser classificadas como
xilanas, mananas, arabinoxilanas, arabinogalactanas e arabinanas (du TOIT et al., 1984;
BIELY, 1985; KERN et al., 1997; AGUIAR et al., 1999). A xilana é hidrolisada em
açúcares monômeros constituintes (glicose, xilose, arabinose, galactose, manose e
outros oligossacarídeos) usando ácido diluído, álcali, explosão a vapor, explosão com
amônio (AFEX) (HOLTZAPPLE et al., 1991) ou uma mistura de tratamentos enzimaticos
(amilase, xilanase e celulase) (HESPELL et al., 1997, SAHA et al). Devido à estrutura
heterogênea e ao baixo grau de polimerização, xilana é facilmente hidrolisada. Na
hidrólise ácida, a massa do material hemicelulósico é tratada com solução de ácido
diluído, sob pressão e temperatura altas, para hidrolisar a hemicelulose e precipitar a
lignina. Os açúcares monoméricos dissolvem-se no meio de reação, juntamente com
outros solutos. A ocorrência de inespecificidade e sítios deficientes de reação levam à
formação de subprodutos indesejáveis, como furfural, hidroximetilfurfural e ácido acético
que trazem restrição ao uso da hidrólise ácida (HYVÖNEM et al., 1982), sendo
necessária a purificação parcial do hidrolisado (ROBERTO et al., 1994; SILVA et al.,
1994; ROBERTO et al., 1996; PREZIOSI-BELLOY et al., 1997; ALVES et al., 1998;
GURGEL et al., 1998; SILVA et al., 1998; CONVERTI et al., 1999; DOMINGUEZ et al.,
1999; RAMOS, 1999; CRUZ et al., 2000).
Em razão de sua maior especificidade e condições reacionais brandas, a hidrólise
enzimática preserva a integridade dos açúcares que compõem a hemicelulose, evitando
a formação de compostos de degradação, e pode substituir a hidrólise química que
requer alta pressão e alta temperatura (HYVÖNEM et al., 1982).
Outras técnicas são utilizadas para obtenção de hidrolisado de resíduos
lignocelulósicos ricos em xilana, tais como: autohidrólise “steam explosion” (MARCHAL
et al., 1986; PREZIOSI-BELLOY et al., 1997; PREZIOSI-BELLOY et al., 2000) e
extração, utilizando-se soluções alcalinas (du TOIT et al., 1984).
D-xilose, o principal produto da hidrólise de xilanas, pode ser convertida em
proteína microbiana e em uma gama de substâncias de interesse industrial, tais como:
combustíveis e solventes (etanol, butanol, 2,3-butanodiol, acetona e 2-propanol), alditóis
(xilitol e glicerol) e ácidos orgânicos (ácido lático, acético e butírico), podendo também
22
ser utilizada como substrato para produção de glicose isomerase (MARCHAL et al.,
1986; FRAZER; MCCASKEY, 1989; FOGARTY; KELLY, 1990; AGUIAR et al., 1999).
De acordo com Parajó et al. (1998), a separação simultânea dos três principais
grupos de polímeros da biomassa lignocelulósica em suas formas poliméricas não é
possível com o uso de procedimentos de separações convencionais como a
cristalização, precipitação ou extração. Pelo menos um dos polímeros é degradado
pelos tratamentos baseados nas diferenças entre suas propriedades químicas. Ainda
segundo estes autores, celulose e hemicelulose são menos suscetíveis à oxidação do
que a lignina, mas ambas podem ser hidrolisadas por ácidos, ao contrário da fração
fenólica (lignina) que permanece como um resíduo sólido no meio ácido; e a
hemicelulose é mais suscetível do que a celulose à ação hidrolítica de catalisadores
devido a sua estrutura ramificada e aberta. O fato de o catalisador ter sua difusão
facilitada dentro da cadeia polimérica da hemicelulose, por esta apresentar uma
estrutura aberta aliada à sua estrutura heterogênea e baixo grau de polimerização,
proporciona um melhor rendimento em condições mais amenas e faz com que este
constituinte da biomassa seja bastante atrativo para uso em processos fermentativos
(JEFFRIES et al., 1983; MAGGE; KOSARIC, 1985).
2.1.5 XILITOL
O nome xilitol relaciona-se à xilose, o açúcar da madeira, a partir da qual o xilitol
foi obtido pela primeira vez (MÄKINEN,2000). Na nomenclatura química, o xilitol é
classificado similarmente ao sorbitol e ao manitol, ou seja, como um açúcar-álcool ou
um poliol. (álcool-polihidroxilado ou açúcar álcool), cuja rmula molecular é C
5
H
12
O
5
(1,2,3,4,5-pentaidroxipentano), De estrutura aberta, a molécula de xilitol possui cinco
grupos hidroxila (OH
-
), cada um deles ligado a um átomo de carbono (figura 3), razão
pela qual esse composto é conhecido como poliidroxiálcool acíclico ou pentitol
(MÄKINEN, 2000). É descrito como um cristalino branco com poder edulcorante
equivalente ao da sacarose e superior ao de outros polióis como o manitol e o sorbitol
(NINGAN; SINGH 1995). As propriedades físicas e químicas do xilitol estão relacionadas
na tabela 2. As propriedades especiais de xilitol encontram uso em alimentos e indústria
farmacêutica (BEUTLER,1984).
23
Tabela 2 - Carateristicas e propriedades fisico químicas do xilitol (HEYVONEN et al.,
1982 e BAR, 1991) (continua)
Propriedades
Características ou valores
Fórmula empírica
C
5
H
12
O
5
Massa molar
152,15 g/mol
Aparência
Pó cristalino
Cor
Branca
Sabor
Doce
Odor
nenhum
Ponto de fusão
92-9C
Ponto de ebulição
126°C
pH (solução aquosa 10%)
5-7
Densidade (solução aquosa 10%)
1,03 g/mL
Solubilidade em água a 2C
63 g/100 g solução
Índice de refração (25°C)
1,3471 (solução aquosa 10%)
Viscosidade (solução aquosa 10%)
1,23 cP a 20°C
Figura 3 - Estrutura química do xilitol.
24
Tabela 2 - Carateristicas e propriedades fisico químicas do xilitol
(HEYVONEN et al 1982 e BAR 1991) (continuação)
Propriedades
Características ou valores
Valor calórico
2,4 Kcal/g
Higrosdcopicidade
Em elevada umidade relatica é mais
higroscópico que asacarose e menos que
o sorbitol
Pode adoçante
Similar ao da sacarose, superior ao do
manitol e sorbitol
Estabilidade
Estável a 120°C (não carameliza)
Açúcares alcoois são uma classe de poliois derivados da carbonila (aldeiodo ou
cetona) e é reduzida para o correspondente grupo hidroxila primario ou secundário
(AKINTERINWA, KHANKAL, CIRINO 2008). úcares álcoois encontram muitas
aplicações na industria (SILVEIRA, 2002), tendo características semelhantes ao açúcar
e são utilizados para melhorar o perfil nutricional dos produtos alimentares devido às
propriedades promotoras de saúde, tais como menor teor calórico, anticariogenicidade,
baixos índices glicêmicos e resposta à insulina (GRANSTROM et al., 2007; SCHIWECK,
2003).
O xilitol é um poliol naturalmente encontrado em diversas frutas e vegetais, porém
em baixa concentração (900mg/100g) (PARAJO et al., 1988) sendo também um
intermediário metabólico normal de mamíferos, produzido no metabolismo humano na
proporção entre 5 a 15 g por dia tendo no sangue uma concentração de 0,03 a 0,06
mg/100 mL (PEPPER; OLINGER, 1988). Em humanos o xilitol é metabolizado por vias
metabólicas insulino-independente. (KO et al 2007). Possui um poder adoçante similar à
sacarose contendo 40% de calorias a menos. É obtido principalmente da Bétula e outras
espécies de árvores, própria dos países escandinavos (TRINDADE, 2005). Pode
também ser produzido industrialmente a partir de sabugo de milho, cana de açúcar,
casca de sementes e de nozes (MAKINEN, 2000; CUNHA, 2003). A síntese química de
xilitol pela redução da xilose a partir de fontes naturais é um processo de alto custo.
Primeiro devido à baixa disponibilidade inicial de açúcar e em segundo lugar, devido às
25
extensas etapas de purificação e separação – medidas necessárias a fim de eliminar os
subprodutos formados durante a reação (LÓPES et al., 2004). A vantagem de não
exigir um xarope puro de xilose no inicio do processo para a produção microbiológica,
como a síntese química exige, torna o processo microbiológico interessante devido ao
baixo custo de hidrolisados hemicelulósico que são potenciais substratos.(ROSEIRO et
al., 1991).
Atualmente, a produção mundial de xilitol ultrapassa 75.000 toneladas por ano
(TAPIAINEN et al., 2002; MAKINEN, 2000; TAPIAINEN et al., 2002b). O mercado anual
do xilitol é estimado em 340 milhões dólares, com preço em US $ 4-5 kg
_1
(KADAM et
al, 2008).
2.1.6 PRODUÇÃO DE XILITOL POR MICRORGANISMOS
O xilitol é um intermediário no metabolismo de D-xilose em microrganismos e se
torna uma alternativa atrativa para a sua produção (PARAJÓ et al 1997).
Microrganismos assimilam e fermentam mais facilmente glicose que xilose. No
entanto, embora em pequeno número, existem bactérias, leveduras e fungos capazes
de assimilar e fermentar xilose a xilitol, etanol e outros compostos (BARNETT et al;
2003).
Diversas bactérias (YOSHITAKE et al., 1971; IZUMORI; TUZAKI, 1988), fungos
filamentosos (DAHIYA 1991), e leveduras (MEYRIAL et al., 1991; NISHIO et al., 1989;
GONG et al. 1983; VANDESKA et al., 1996), são conhecidas por produzirem xilitol.
Algumas bactérias, como Corynebacterium sp. (YOSHITAKE et al., 1971)
Enterobacter liquefaciens (YOSHITAKE et al., 1971; YOSHITAKE, 1973) e
Mycobacterium smegmatis (IZUMORI; TUZAKI, 1988), foram estudadas para a
produção de xilitol. No entanto devido às pequenas quantidades de xilitol formado, a
produção de xilitol por bactérias não é muito atrativa. No que diz respeito aos fungos,
existem estudos quanto à produção de xilitol por Petromyces albertensis (DAHIYA,
1991). Penicillium, Aspergillus, Rhizopus, Glicoladium, Byssochlamyz, Myrothecium, e
Neurospora sp. (CHIANG; KNIGHT, 1961), Apergilus niger, P. roqueforti, P.
brevicompactum P. chrysogenum, P. citrinum, penicilium crustosum, P. expasum, P.
griseo roseum, P. italicum, P. janthinellum, P. purpurogenum (SAMPAIO et al., 2003).
26
No entanto tais estudos demonstraram produzir pequenas quantidades de xilitol, em
meio contendo D-xilose.
Ueng e Gong (1982) detectaram pequenas quantidades de xilitol na fermentação
de Mucor sp, na fração hemicelulose de bagaço de cana hidrolisado. Suihko (1984)
relatou a produção de xilitol em uma cultura de Fusarium oxysporum.
Leveduras que naturalmente utilizam D-xilose produzem grandes quantidades de
xilitol como principal produto do metabolismo de xilose (GIRIO et al., 1989). A
acumulação de xilitol em meio de cultura varia de acordo com a levedura e as condições
de cultura utilizadas (SAHA; BOTHAST, 1997). A conversão microbiológica de xilose em
xilitol é influenciada por diversos fatores: concentração do inóculo inicial, pressão
osmótica, idade do inóculo, linhagem celular, condições de cultura (pH, aeração,
temperatura), tipo de fermentação, composição do meio (substratos sintéticos ou
compostos ou lignocelulósico hidrolisados), presença de compostos inibidores e a
influência de outros açúcares (WATSON et al., 1984; PAREKH et al., 1987; BJORLING;
LINDMAN, 1989; GIRIO et al., 1990; WINKELHAUSAN; KUZMANOVA, 1998;
ROBERTO et al., 1999; HAHN-HAGERBAHL, 1994; VAN DIJKEN; SCHEFERS 1986;
NOLLEAN, 1995).
A capacidade de produção de xilitol como um produto metabólico normal tem sido
frequentemente observado em diversas leveduras, em particular para espécies de
Candida (LATIF; RAJOKA, 2001; SILVA; ROBERTO, 2001; WALTHER et al., 2001;
FARIA et al., 2002).
Em geral, entre os microrganismos, as leveduras são consideradas as melhores
produtoras de xilitol e, portanto, a maioria das publicações menciona esses
microrganismos. Quarenta e quatro cepas de levedura de cinco gêneros Candida,
Hansenula, Kluveromyces, Pichia e Pachysolen foram selecionados por sua habilidade
de converter D-xilose em xilitol por Barbosa et al (1988). Candida guilliermondii e
Candida tropicalis foram relatadas como boas produtoras de xilitol (AZUMA et al., 2000;
SHEU et al., 2003).
Leveduras do gênero Candida fermentam cerca de 40% de D-xilose em 24-48 h
(ONISHI; SUZUKI et al., 1966). Em outro experimento Gong et al. (1983) avaliou 20
linhagens de onze espécies de Candida, 21 linhagens de oito espécies de
27
Saccharomyces e 8 linhagens de Schizosaccharomyces pombe. A Candida sp. obteve
um rendimento em xilitol de 10 a 15% w/v. Debaryomyces hansenii obteve um
rendimento mais elevado do que várias outras leveduras selecionadas para fermentação
de pentoses utilizando materiais lignocelulósicos (AMARAL-COLLAÇO et al., 1989).
Vandeska et al. (1995) selecionou Debaryomyces hansenii, que apresentou um alto
rendimento (0,47-0,48 g g
-1
) em ralação a outras leveduras. Candida mogii apresentou o
maior rendimento (0.7 g g
-1
) em comparação com outras onze leveduras estudadas por
Sirisansaneeyakul; Rizziz (1995).
Em um experimento realizado por Dominguez et al. (1996) comparando seis
linhagens de leveduras, D. hansenii apresentou um rendimento de 0,71 g g
-1
. A taxa de
produção de 2,67 g L h
-1
de xilitol com D-xilose como substrato foi obtida utilizando C.
tropicalis por Horitsu et al. (1996). Outras espécies Candida foram avaliadas entre elas
Candida pelliculosa (KITPREECHSVANISCH et al., 1984 e NISHIO et al., 1989),
Candida boidinii (VONGSUVANLERT et al., 1989), Candida guilliermondi (BARBOSA et
al., 1988; LEE, 1988 e MEYERIAL et al., 1991), Candida shehatae (DU PREEZ et al.,
1986) e Candida tropicalis (BARBOSA et al., 1988).
2.1.7 IDENTIFICAÇÃO MOLECULAR
Na identificação de leveduras através da caracterização fenotípica podem surgir
dificuldades devidas a leituras não conclusivas, seja dos exames morfológicos quer dos
testes bioquímicos e fisiológicos. Por outro lado, estes métodos são laboriosos, morosos
e podem não ser adequado para diferenciar espécies próximas (DEÁK, 1995;
LOPANDIC et al., 2006). Ao longo das últimas décadas, foram sendo introduzidos
diferentes métodos moleculares baseados em estudos comparativos de DNA que
asseguram uma caracterização e identificação de leveduras mais confiável, sensível e
rápida As aplicações destes todos tornaram mais evidentes as ambigüidades e
inconsistências dos sistemas de classificação baseados essencialmente em critérios
fenotípicos (KURTZMAN; PHAFF, 1987; FELL, 1995).
Em leveduras, assim como noutros eucariontes, os genes do RNA ribossômico
(rRNA) estão organizados numa unidade de DNA ribossômico (rDNA) que se repete
seqüencialmente, podendo ocorrer em várias dezenas de pias por genoma haplóide.
28
Muitas leveduras apresentam os genes do rDNA das subunidades ribossômicas
pequena (17-18S) e grande (26S, 5,8S e 5S) numa unidade comum, embora o gene do
rDNA 5S possa ser transcrito separadamente.
A unidade de rDNA tem regiões estruturais altamente conservadas, na maioria
situadas nos genes de rDNA, e domínios mais variáveis, geralmente localizados nas
regiões intergênicas. Estas diferenças têm permitido estabelecer relações evolutivas
entre indivíduos e a sua distinção a vários níveis da hierarquia taxonômica
(KURTZMAN; FELL, 1998).
A utilização de rDNA na identificação molecular tem uma série de vantagens: (i)
os ribossomas estão presentes em todos os organismos; (ii) são estruturas homólogas
do ponto de vista funcional e evolutivo; (iii) parecem partilhar uma origem evolutiva
comum, pois, apesar de serem muito conservados, revelam diferentes níveis de
evolução, podendo funcionar como cronômetros moleculares; (iv) os genes do rRNA
parecem o variar entre indivíduos contemporâneos, refletindo somente as relações
evolutivas entre os organismos; (v) a totalidade de mais de 6.000 nucleotídeos contidos
nas sequências dos genes de rDNA (26S, 18S, 5,8S e 5S) é suficientemente elevada
para apreciar filogenias e fazer a respectiva análise estatística; (vi) a utilização de
primers, para amplificação por PCR, beneficia de fácil acesso a qualquer zona da
unidade de rDNA, simplificando, deste modo, o estudo de um grande número de
amostras (FELL et al., 2000); e (vii) a existência de bases de dados públicas de rDNA
(e.g., GenBank) permite a comparação de sequências de muitos e diversos organismos
(GUÉHO et al., 1989; PETERSON; KURTZMAN, 1991; VAN DE PEER et al., 1999).
Atualmente, o método molecular de uso mais generalizado em estudos de
taxonomia e para identificação de leveduras baseia-se na comparação de sequências
da região D1/D2 do gene do rDNA 26S e/ou do gene do rDNA 18S.
Outras regiões da unidade de rDNA também têm sido analisadas, como as
regiões ITS (Internal Transcribed Spacer) e IGS (InterGenic Spacer). As sequências
D1/D2 de todas as leveduras conhecidas têm a vantagem de estar acessíveis em bases
de dados blicas, tais como o NCBI (http://www.ncbi.nlm.nih.gov), EMBL
(http://www.embl-heidelberg.de) e DDBJ (http://www.ddbj.nig.ac.jp.)
29
A investigação intensiva que foi desenvolvida nas últimas décadas evidenciou
que a região D1/D2 exibe diferenças suficientes entre leveduras para que se possa
avaliar relações intra- e inter-específicas (KURTZMAN; ROBNETT, 1998; FELL et al.,
2000). Geralmente, estirpes da mesma espécie não apresentam diferenças
nucleotídicas superiores a 1-1,5% (PETERSON; KURTZMAN, 1991; KURTZMAN;
ROBNETT, 1998). Por outro lado, Fell et al. (2000) sugerem que dois nucleotídeos de
diferença nos 600 pb da região D1/D2 serão suficientes para considerar que leveduras
do filo basidiomycetos representam espécies diferentes.
30
31
2.2 MATERIAL E MÉTODOS
O procedimento experimental foi dividido em duas fases:
- Isolamento, purificação, e caracterização molecular de leveduras obtidas de torta de
filtro para a obtenção de xilitol.
-Testes de fermentação dos microrganismos usando-se meio sintético.
2.2.1 COLETA DE AMOSTRA DA BIOMASSA DE TORTA DE FILTRO
Para o isolamento das leveduras, as amostras de torta de filtro, foram coletados
no mês de outubro de 2007 em uma usina, localizada no município de Piracicaba, e
colocados em sacos plásticos esterilizados. Os sacos plásticos foram acondicionados
em gelo e transportados até o laboratório de Bioquímica de Fermentações Alcoólicas, na
ESALQ/USP.
2.2.2 ISOLAMENTO E PURIFICAÇÃO DAS LEVEDURAS
As amostras de torta de filtro (5g em 50 ml de água destilada esterilizada), com
auxílio de uma alça, foram colocadas em homogenizador durante 2 minutos.
Em seguida, com o intuito de se obter colônias isoladas, foram realizadas
diluições em série, em água peptonada, destas amostras (10
-1
, 10
-2
, 10
-3
, 10
-4
, 10
-5
, 10
-
6
, 10
-7
, 10
-8
) e 0,1 ml de cada diluição foi assepticamente transferida para o centro da
placa contendo meio lido YEPX (extrato de levedura 1%, peptona 1%, xilose 2%)
acrescido de clorafenicol e tetraciclina na concentração de 100 µg mL
-1
, procedendo-se
à semeadura com auxílio de alça de Drigalski. As placas foram incubadas a 30 ºC
durante 24 horas. Para cada diluição foram empregadas três placas de Petri.
As colônias isoladas crescidas, com características macroscópicas e
microscópicas de levedura foram semeadas, com auxílio de uma alça estéril, por
esgotamento em placas de Petri contendo meio sólido YEPX (extrato de levedura 1%,
peptona 1%, D-xilose 2%) adicionado do antibiótico clorafenicoL e tetraciclina na
concentração de 100 µg mL
-1
. As placas foram colocadas em estufa a 30ºC durante 24
horas.
32
As colônias puras obtidas, ou seja, isentas de qualquer contaminação, foram
identificadas utilizando números cardinais e transferidas para tubos de ensaio contendo
meio liquido YEPX 2% e colocadas em estufa a 30 ºC durante 24 horas.
2.2.3 CONSERVAÇÃO DAS LEVEDURAS
Colônias representativas de cada levedura pura isolada foram acondicionadas em
tubos contendo glicerol (15% concentração final) e mantidos em freezer - 80°C.
2.2.4 EXTRAÇÃO DE DNA
As leveduras foram transferidas para tubos de cultura contendo 10 ml de meio
YEPD liquido (extrato de levedura 1%, peptona 1%, glicose 2%) e incubadas a 30°C
durante 24 horas em shaker. Amostras de 1,5 mL foram transferidas para microtubos
de 2,0 mL e centrifugadas a 5.000g durante 5 minutos. Essa operação fora repetida 2
vezes. O sobrenadante foi descartado e o precipitado foi ressuspendendido em 0,2 ml
de tampão A (2% Triton X-100, 1% SDS, 100mM NaCl, 10mM Tris-HCl, pH 8; 1mM
EDTA, pH 8). Adicionou-se 200mg de pérolas de vidro 0,1 mm (glass beads Biospec
products TM ®) e 0,2 mL clorofane (25 mL fenol: 24mL clorofórmio: 1mL alcool
isoamílico) e agitado em vortex durante 3 minutos. Em seguida os microtubos foram
centrifugados por 5 minutos a 15000g e o sobrenadante transferido a um novo tubo.
Adicionou-se a este novo tubo 1 mL de etanol PA e o mesmo foi centrifugado a 15.000 g
por 2 minutos. Em seguida o pellet foi ressuspendido em 0.4 mL de tampão TE ( 10mM
Tris-HCl, 100mM EDTA) e adicionou-se 10µL de acetato de amônio 4M e 1 ml de etanol
PA e homogenizou-se e em seguida centrifugou-se a 15.000g por 2 minutos e o pellet
foi ressuspendido em 50µL de tampão TE.
2.2.5 AMPLIFICAÇÃO E SEQUENCIAMENTO
Para a amplificação dos domínios divergentes D1/D2 da sub unidade 26S do
rDNA foram utilizados 5,0 mM tampão PCR, 3,0 mM MgCl2, 1,0 U de taq DNA
polimersase 1,0 mM dNTP, 20 pmol de iniciadores, NL1 -
(5`GCCATATCAATAAGCGGAGG 3`) e NL4 - (5` GGTCCGTGTTTCAAGACGG 3`),
água deionizada esterilizada para volume final de 50 µL como descrito por O´Donell
33
(1993). O termociclador utilizado foi PTC-100 MJ Research, nas seguintes condições:
para um ciclo de desnaturação inicial de 94°C durante 5 minutos, seguidos de 35 ciclos
de desnaturação a 94°C durante 1 minuto, anelamento a 55°C durante 1 minuto e
extensão de 72°C durante 1 minuto com um ciclo de extensão final de 72°C durante 7
minutos. O tamanho do fragmento encontrado foi de 600pb.
Os produtos da amplificação foram purificados com polietileno glicol (PEG 8000 20% e
NaCl 2,5 mM). A eletroforese dos fragmentos purificados foi realizada em gel de
agarose 1.2% em tampão TBE.Os fragmentos foram corados com brometo de etidio
(TBE 1X/EtBr 0.5µg/mL- (SAMBROOK et al., 1989), visualizados em transluminador de
UV.
Os domínios D1/D2 da região 26S de rDNA das espécies de leveduras foram
seqüenciados utilizando Kit Dinamic GE. Para a identificação de cada isolado foi feito
um BLAST nucleotídeo a nucleotideo. As seqüências destas leveduras foram
comparadas com as seqüências disponíveis no Genbank (http://www.ncbi.nlm.nih.gov-
national center for biotechnology information)
2.2.6 ANÁLISES FILOGENÉTICAS
Os alinhamentos das sequências de DNA foram realizados com o programa
informático MegAlign (DNAStar), e visualmente inspecionadas. Foram obtidas árvores
filogenéticas com o programa informático MEGA, versão 4.0, usando o método
Neighbor-Joining. As distâncias entre as sequências foram determinadas usando o
modelo Kimura’s two-parameter. Foi testado o suporte estatístico das árvores
filogenéticas obtidas com uma análise de bootstrap, utilizando 1000 réplicas.
2.2.7 FERMENTAÇÕES
2.2.7.1 MICRORGANISMOS UTILIZADOS
Cinco linhagens de leveduras, C. tropicalis MVP 03, C. tropicalis MVP 16, C.
rugosa MVP 17, C. rugosa MVP 21, C. tropicalis MVP 40, e três leveduras pertencentes
à coleção do Departamento de Ciências Biológicas da ESALQ / USP (kluyveromyces
marxianus IZ 1339, Candida tropicalis IZ 1824 e Candida guilliermondii FTI 20037),
34
foram avaliadas para a formação de xilitol em meio sintético utilizando D-xilose como
única fonte de carbono. Foram realizados ensaios da cinética de crescimento durante 96
horas de fermentação.
2.2.7.2 PREPARO DO PRÉ-INÓCULO
Para a obtenção do pré-inoculo da fermentação, 1 mL da suspenção estoque de célula
foi transferida do eppendorf para um frasco de erlenmeyer de 125 mL contendo 30 mL
com meio sintético YEPD (10 g L
-1
de extrato de levedura, 10 g L
-1
de peptona e 20 g L
-1
de glicose) e incubados sob agitação de a 150 rpm durante 24 horas a temperatura de
30°C.
Após este tempo mensurou-se a densidade óptica em espectrofotômetro a 600
nm. A concentração celular foi determinada, a partir de uma curva de calibração
relacionado à densidade ótica com a concentração de células g L
-1
de (massa seca). Em
seguida as suspenções padronizadas
foram utilizadas para se inocular os frascos
contendo o meio de fermentação, sendo a concentração inicial de cada linhagem de
aproximadamente 0,1 g L
-1.
2.2.7.3 PREPARAÇÃO DO MEIO DE CULTIVO E CONDIÇÕES DA FERMENTAÇÃO
Os ensaios de fermentação foram efetuados em erlenmeyers de 125 mL com 50
ml de meio UPX contendo a seguinte formulação: Uréia (2,3 g L
-1
), Peptona (6,6 g L
-1
)
e Xilose (50 g L
-1
). O pH do meio foi ajustado para 6.0 e os frascos erlenmeyers foram
incubados em shaker orbital com rotação de 150 rpm a temperatura de 30°C. Amostras,
em triplicata, foram retiradas nos intervalos de 0, 24, 48, 72 e 96 horas para as analises
da produção de xilitol, biomassa e consumo de D-xilose.
2.2.7.4 METODOS ANALITICOS
A concentração celular foi determinada em espectrofotômetro A 600nm, a partir
de uma curva de calibração relacionando-se a densidade ótica com a concentração da
massa seca de células g L
-1
(48 horas a 65-70°C). As concentrações de xilitol e xilose
foram determinadas em HPLC com detector de índice de refração, utilizando-se uma
coluna HPX-87H (300 x 7,8 mm) empregando-se H
2
SO
4
5mM como eluente a um fluxo
35
de 0,6 mL/minuto. As amostras foram previamente centrifugadas durante 5 minutos a
10,000 rpm, diluídas 100 vezes em água MQ e o sobrenadante filtrado em membrana
milipore de 02 µm.
2.2.7.5 ANALISE ESTATISTICA
As analises estatísticas foram realizadas no programa ESTAT sendo realizada
uma comparação de médias com variância de 5% e o experimento foi baseado em um
delineamento fatorial 5 x 3 em blocos casualizados com três reptições.
2.2.8 DETERMINAÇÃO DOS PARAMETROS FERMENTATIVOS
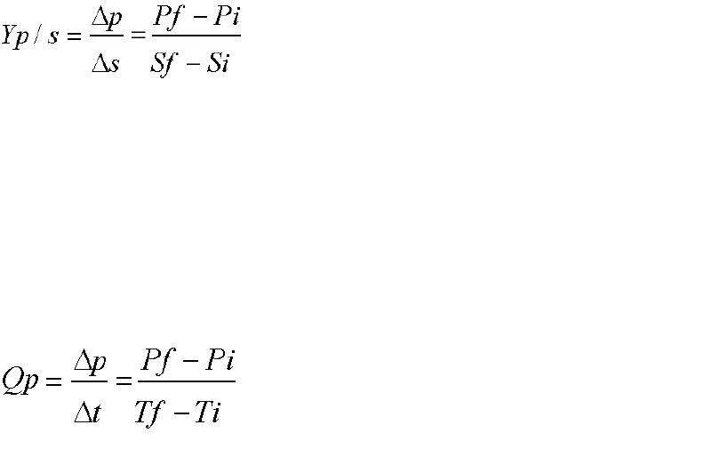
2.2.8.1 FATOR DE CONVERSÃO DE D-XILOSE EM XILITOL (Y
p/s
)
O fator de conversão, o qual expressa a massa de xilitol produzida por massa de
xilose consumida, em gramas, foi calculado pela seguinte equação:
Onde Pi e Pf as concentrações inicial e final de xilitol (g L
-1
) e Si e Sf
correspondem as concentrações inicial e final de xilose (g L
-1
).
2.2.8.2 PRODUTIVIDADE VOLUMETRICA DE XILITOL (Qp
)
A produtividade volumétrica de xilitol, a qual expressa a quantidade de xilitol produzida
(g/L) por tempo (h) foi calculada de acordo coma seguinte equação:
(1)
(2)
36
Onde Pi e Pf correspondem às concentrações inicial e final de xilitol (g L
-1
) e Ti e
Tf correspondem aos tempos inicial e final de fermentação.
2.2.8.3 EFICIÊNCIA DE CONVERSÃO (η
ηη
η)
Este parâmetro fermentativo expresso em % representa a razão entre o fator de
conversão (y/
p/s
) obtido experimentalmente e o fator de correção teórico de 0,917
g
xol
/g
xse
calculado segundo Barbosa et al. (1988).
2.2.8.4 FATOR DE CONVERSÃO DE D-XILOSE EM BIOMASSA (Yx/s)
Esse parâmetro expressa a massa de células (g
cel
) produzida por massa de xilose
consumida, em gramas, e foi calculado de acordo com a seguinte equação:
Onde Si e Sf correspondem às concentrações iniciais e finais de xilose (g L
-1
) e
Xi e Xf correspondem à concentração inicial e final de biomassa celular (g L
-1
).
(3)
37
2.3 RESULTADOS E DISCUSSÃO
Os métodos tradicionalmente utilizados em ecologia microbiana, baseados na
cultura e isolamento dos microrganismos a partir de amostras ambientais, são
trabalhosos e mais ou menos seletivos para determinados grupos de microrganismos.
Além disso, os isolados obtidos utilizando meios de cultura sólidos poderão constituir
apenas uma fração da população devido à presença de células não viáveis ou não
cultiváveis nos meios de isolamento, supondo-se que um grande número dos
microrganismos, por vezes dominantes nos respectivos habitats, são ainda
desconhecidos (MOREIRA; LÓPEZ-GARCÍA 2002).
A metodologia de isolamento tradicional utilizada neste trabalho, devido à sua
extrema simplicidade e baixo custo, e embora trabalhosa, constituiu em um excelente
ponto de partida para um estudo preliminar sobre as populações de leveduras,
consumidoras de D-xilose, presentes em nichos naturais ou industriais, permitindo o
isolamento de espécies diversas.
Esta metodologia apresenta, no entanto, algumas limitações: (i) a possibilidade
de espécies minoritárias passarem despercebida (com uma densidade celular abaixo
dos níveis de detecção), (ii) a composição dos meios de cultura laboratoriais utilizados
para o isolamento (ANDREWS; HIRANO 1991).
A partir da torta de filtro resuspendida em água e diluída, foram isoladas vinte e
oito leveduras provenientes do ambiente industrial da produção de etanol, com
capacidade de consumir D-xilose.
2.3.1 ENSAIOS FERMENTATIVOS
Numa primeira etapa, baseado nos dados de cariotipagem, que identificou vinte
e oito isolados como pertencentes ao gênero Candida, cinco linhagens, aleatoriamente,
foram testadas em três diferentes meios de fermentação sendo escolhidas as seguintes:
MVP 03, MVP 15, MVP 16, MVP 22 e MVP 40.
Esses microrganismos foram cultivados em três diferentes em meios
quimicamente definidos: YNB 6,7 g L
-1
acrescido de 20 g L
-1
de xilose, UPX (6,6 g L
-1
de peptona e 2,3 g L
-1
de uréia acrescido de 20 g L
-1
de xilose) MCX (KH
2
PO
4
0,62 g L-
38
1; K
2
HPO
4
2,0 g L
-1
; (NH
4
)
2
SO
4
1,0 g L
-1
MgSO
4
1,1 g L
-1
, extrato de levedura 0.5 g L
-1
)
acrescidos de 20 g L
-1
de D-xilose, a 30°C e 120 rpm.
Neste ensaio foram avaliados a produção de biomassa, consumo de D-xilose,
expresso em porcentagem, concentração de xilitol conversão de xilose em xilitol (Yp/s),
produtividade volumétrica de xilitol (Qp), conversão de D-xilose em biomassa (Yx/s) e a
eficiência de conversão (
η
) que foi calculado segundo Barbosa et al (1988). Em todos os
meios às linhagens testadas produziram xilitol, embora com taxas e rendimentos
variados.
O meio de cultura MCX apresentou o melhor produção de biomassa seca, com
uma taxa de produção onde a linhagem com a menor produção apresentou 5.68 e a de
maior produção foi de 6.43 g L
-1
(Figura 6), com uma taxa de produção de xilitol entre
4.35 a 5.36 g L
-1
produtividade volumétrica (Qp) entre 0.04 e 0.07 g L
-1
h
-1
, rendimento
(Yp/s) de 0.11 a 0.21 g g
-1
, Yx/s de 0.30 e 0.34 g g
-1
e a eficiência de conversão (η)
entre 10% a 19% (Tabela 5).
O meio UPX apresentou o melhor rendimento em xilitol, com uma taxa de
produção entre 4.35 a 5.36 g L
-1
(Figura 7), produtividade volumétrica (Qp) entre 0.07 e
0.09 g L
-1
h
-1
, rendimento (Yp/s) de 0.23 a 0.27 g g-1, Yx/s de 0.20 e 0.24 g g
-1
e a
eficiência de conversão (η) entre 21 a 26% (Tabela 4). A menor produção de biomassa
neste meio de cultura se da devido maior produção de xilitol, por isso definimos que o
meio UPX fosse utilizado como base para o próximo ensaio de fermentação.
O meio de cultura YNB em todos os parâmetros apresentou resultados inferiores
aos meios MCX e UPX, sendo considerado ineficiente para a produção de xilitol. Os
resultados podem ser observados na Tabela 6.
Em todos os meios de cultura testados, o consumo de D-xilose pelas linhagens
testadas, variou de 95 % a 100% (Figura 8).
39
0
1
2
3
4
5
6
7
C.tropicalis
MVP 03
C. tropicalis
MVP 15
C. tropicalis
MVP 16
C.tropicalis
MVP 22
C. tropicalis
MVP 40
g L-1
massa seca 60 h UPX
massa seca 60 h MCX
massa seca 60 h YNB
Figura 4 - Produção de biomassa seca em g L
-1
nos meios de cultura UPX (6,6 g L-1 de peptona e 2,3 g L-
1, D-xilose 20 g L-1); MCX (KH
2
PO
4
0,62 g L-1; K
2
HPO
4
2,0 g L
-1
; (NH
4
)
2
SO
4
1,0 g L
-1
MgSO
4
1,1 g L
-1
, extrato de levedura 0.5 g L
-1
, D-xilose 20 g L
-1
), YNBX (YNB 6,7 g L
-
1 D-xilose 20 g L
-1
)
a 30°C e 120 rpm, no período de 60 horas de fermentação
40
0
1
2
3
4
5
6
C.tropicalis
MVP 03
C. tropicalis
MVP 15
C. tropicalis
MVP 16
C.tropicalis
MVP 22
C. tropicalis
MVP 40
g L-1
xilitol produzido 60 h
UPX
xilitol produzido 60 h
MCX
xilitol produzido 60 h
YNB
Figura 5 - Produção de xilitol em g L
-1
nos meios de cultura UPX (6,6 g L-1 de peptona e 2,3 g L-1, D-
xilose 20 g L-1); MCX (KH
2
PO
4
0,62 g L-1; K
2
HPO
4
2,0 g L
-1
; (NH
4
)
2
SO
4
1,0 g L
-1
MgSO
4
1,1 g
L
-1
, extrato de levedura 0.5 g L
-1
, D-xilose 20 g L
-1
), YNBX (YNB 6,7 g L
-
1 D-xilose 20 g L
-1
) a
30°C e 120 rpm, no período de 60 horas de fermentação
41
0
20
40
60
80
100
120
C.tropicalis
MVP 03
C. tropicalis
MVP 15
C. tropicalis
MVP 16
C.tropicalis
MVP 22
C. tropicalis
MVP 40
consumo %
D-xilose consumida 60 h UPX
D-xilose consumida 60 h MCX
D-xilose consumida 60 h YNB
Figura 6 - Consumo de xilose em g L
-1
, expresso em porcentagem, nos meios de cultura UPX (6,6 g L-1
de peptona e 2,3 g L-1, D-xilose 20 g L-1); MCX (KH
2
PO
4
0,62 g L-1; K
2
HPO
4
2,0 g L
-1
;
(NH
4
)
2
SO
4
1,0 g L
-1
MgSO
4
1,1 g L
-1
, extrato de levedura 0.5 g L
-1
, D-xilose 20 g L
-1
), YNBX
(YNB 6,7 g L
-
1 D-xilose 20 g L
-1
) a 30°C e 120 rpm no período de 60 horas de fermentação
42
Tabela 4 - Fator de conversão de xilose em xilitol (Yp/s), produtividade volumétrica de xilitol (Qp), o fator
de conversão de D-xilose me biomassa (Yx/s) e eficiência de conversão (η) para o cultivo da
levedura isoladas Candida tropicalis 03; 15; 16; 22; 40 em meio UPX (uréia 2,3 g L-1, peptona
6,6 g L-1, xilose 20 g L-1) a 120 rpm e 30°C no tempo 60 horas de fermentação
Linhagem
Y/p/s
a
Qp
b
Yx/s
c
η
d
C. tropicalis 03
0.27 0.08 0.24 24%
C. tropicalis 15
0.28 0.09 0.23 26%
C. tropicalis 16
0.29 0.09 0.24 26%
C. tropicalis 22
0.23 0.07 0.24 21%
C. tropicalis 40
0.27 0.08 0.20 25%
a
Yp/s (g g
-1
) g xilitol produzida /g xilose consumida.
b
Qp (g L
-1
h
-1
) produtividade volumétrica de xilitol
c
Yx/s (g g
-1
) g massa celular produzida / g de xilose consumida
d
eficiência calculado assumindo que o máximo teórico de 0.917 g g
-1
(BARBOSA et al.; 1988).
Tabela 5 - Fator de conversão de xilose em xilitol (Yp/s), produtividade volumétrica de xilitol (Qp), o fator
de conversão de D-xilose me biomassa (Yx/s) e eficiência de conversão () para o cultivo das
leveduras isoladas Candida tropicalis 03; 15; 16; 22; 40 em meio MCX (KH
2
PO
4
0,62 g L-1; K
2
HPO
4
2,0 g L
-1
; (NH
4
)
2
SO
4
1,0 g L
-1
MgSO
4
1,1 g L
-1
, extrato de levedura 0.5 g L
-1
xilose 20 g L
-1
)
a 120 rpm e 30°C no tempo 60 horas de fermentação
Linhagem
Y/p/s
a
Qp
b
Yx/s
c
η
d
C. tropicalis 03
0.19 0.06 0.32 18%
C. tropicalis 15
0.15 0.05 0.30 14%
C. tropicalis 16
0.13 0.04 0.34 12%
C. tropicalis 22
0.11 0.04 0.34 10%
C. tropicalis 40
0.21 0.07 0.33 19%
a
Yp/s (g g
-1
) g xilitol produzida /g xilose consumida.
b
Qp (g L
-1
h
-1
) produtividade volumétrica de xilitol
c
Yx/s (g g
-1
) g massa celular produzida / g de xilose consumida
d
eficiência calculado assumindo que o máximo teórico de 0.917 g g
-1
(BARBOSA et al.; 1988).
43
Tabela 6 - Fator de conversão de xilose em xilitol (Yp/s), produtividade volumétrica de xilitol (Qp), o fator
de conversão de D-xilose me biomassa (Yx/s) e eficiência de conversão (η) para o cultivo das
leveduras isoladas Candida tropicalis 03; 15; 16; 22; 40 em meio YNBX (YNB 6,7 g L
-1
, xilose 20
g L
-1
) a 120 rpm e 30°C no tempo 60 horas de fermentação
Linhagem Y/p/s
a
Qp
b
Yx/s
c
η
d
C. tropicalis 03
0.10 0.03 0.36 9%
C. tropicalis 15
0.10 0.00 0.31 9%
C. tropicalis 16
0.14 0.04 0.30 12%
C. tropicalis 22
0.12 0.03 0.28 11%
C. tropicalis 40
0.14 0.04 0.23 13%
a
Yp/s (g g
-1
) g xilitol produzida /g xilose consumida.
b
Qp (g L
-1
h
-1
) produtividade volumétrica de xilitol
c
Yx/s (g g
-1
) g massa celular produzida / g de xilose consumida
d
eficiência calculado assumindo que o máximo teórico de 0.917 g g
-1
(BARBOSA et al.; 1988).
O método de cariotipagem apresenta uma eficiência de identificação ao nível de
gênero, e como as vinte e oito leveduras isoladas foram classificadas como
pertencentes ao mesmo gênero, com o intuito de refinar a classificação, os vinte e oito
isolados foram posteriormente identificados pela análise baseada na comparação de
sequências da região D1/D2 do gene do rDNA 26S, sendo que 100% dos isolados
pertencentes ao gênero Candida, 24 (85.71%) Candida tropicalis e 4 (14.29%) Candida
rugosa.
2.3.2 ALINHAMENTO DE SEQUÊNCIAS DE DNA E CONSTRUÇÃO DE ÁRVORES
FILOGENÉTICAS
Na identificação molecular, o sequenciamento da região D1/D2 do gene do rDNA
26s das leveduras isoladas de torta de filtro obteve-se uma sequência média de 412 pb.
Ao realizar o alinhamento simples com as sequências disponíveis no GenBank, com
auxílio do BLASTn, os isolados apresentaram 99% a 100% de variação na identidade e
similaridade com as espécies C. tropicalis ou C. rugosa e E-value de 0 a 3e
-160
(tabela
3).
44
Tabela 3 – Identificação dos isolados comparando com as sequencias do Gen bank
Isolado Identificação Gen bank Coverage e-value Max ident.
MVP 03*
C.tropicalis
FJ947158 100% 0.0 100%
MVP 15
C.tropicalis
FJ947158 99% 0.0 99%
MVP 06
C.tropicalis
FJ947158 100% 0.0 99%
MVP 16*
C.tropicalis
FJ516747 99% 0.0 99%
MVP 07
C.tropicalis
AB500889 99% 0.0 99%
MVP 09
C.tropicalis
AB500889 100% 0.0 99%
MVP 10
C.tropicalis
AB500210 100% 3e-160 100%
MVP 26
C.tropicalis
AB500889 100% 0.0 98%
MVP 34
C.tropicalis
AB438119 99% 0.0 98%
MVP 27
C.tropicalis
AB499016 99% 0.0 99%
MVP 35
C. rugosa
AB437389 100% 0.0 99%
MVP 28
C.tropicalis
FJ665620 100% 0.0 99%
MVP 29
C.tropicalis
FJ665624 100% 0.0 99%
MVP 37
C.tropicalis
AB500889 100% 0.0 98%
MVP 30
C.tropicalis
AB500210 100% 0.0 98%
MVP 39
C.tropicalis
AB499016 100% 0.0 99%
MVP 17*
C. rugosa
AB437389 100% 0.0 99%
MVP 40*
C.tropicalis
FJ947158 100% 0.0 98%
MVP 19
C.tropicalis
FJ665620 99% 0.0 99%
MVP 12
C.tropicalis
FJ827136 100% 0.0 99%
MVP 13
C.tropicalis
AB500889 100% 0.0 99%
MVP 21*
C. rugosa
AB498988 100% 0.0 99%
MVP 14
C.tropicalis
FJ483907 100% 0.0 99%
MVP 22
C.tropicalis
AB498989 100% 0.0 99%
MVP 23
C.tropicalis
FJ485700 100% 0.0 99%
MVP 24
C.rugosa
AB437389 100% 0.0 99%
MVP 32
C.tropicalis
EF550184 99% 0.0 98%
MVP 25
C.tropicalis
EU293420 99% 0.0 99%
MVP 33
C.tropicalis
AB498989 100% 0.0 98%
* isolados usados nos ensaios de fermentação.
45
Figura 5 - Árvore filogenética baseada na análise da sequência nucleotidica da região D1/D2 do gene
rDNA 26S de membros o nero candida obtida com o método neighbor-joining, com um
bootstrap com 1000 repetições
C.tropicalis FJ649615
MVP30
MVP10
C.tropicalis FJ485712
MVP03
C.tropicalis FJ535249
C.tropicalis AB500889
MVP37
MVP07
C.tropicalis FJ665624
MVP09
C.tropicalis AB499016
C.tropicalis EU822494
MVP33
MVP13
MVP39
C.tropicalis FJ516747
C.tropicalis FJ595932
C.tropicalis FJ485723
C.tropicalis FJ485721
MVP26
MVP28
C.tropicalis FJ598586
C.tropicalis AB500210
MVP29
MVP22
C.tropicalis U45749
MVP06
MVP16
MVP12
MVP23
MVP32
MVP34
MVP14
MVP25
C.tropicalis FJ485714
C.tropicalis FJ665619
MVP40
MVP15
MVP27
C.tropicalis FJ665620
C.tropicalis AB498989
MVP19
C.parapsilosis U45754
Candida sp. NRRL Y-17456 U45775
C.maltosa U45745
Lodderomyces elongisporus U45763
C.albicans U45776
C.dubliniensis U57685
C.aaseri AJ539363
C.conglobata AJ539361
C.membranifaciens AJ539358
C.lodderae U45755
C.viswanathii U45752
C.haemulonii U44812
C.haemulonii type II U44819
MVP24
MVP17
C.rugosa FJ873551
C.rugosa AB437388
C.rugosa AB436406
C.rugosa AF374612
C.rugosa AB498988
MVP21
C.rugosa AB437389
C.rugosa AB437386
C.rugosa EF375701
C.rugosa AB436404
C.rugosa U45727
C.rugosa ATCC 10571 FJ768915
MVP35
C.rugosa AB437387
C.rugosa FJ873551(2)
C.rugosa AB436405
C.santamarae var. santamariae AJ539357
C.zeylanoides U45832
C.santamariae var. santamariae U45794
C.beechii AJ539356
Pichia guilliermondii U45709
Kluyveromyces yarrowii U68559
Zygosaccharomyces cidri U84236
Zygosaccharomyces fermentati U84239
Zygosaccharomyces florentinus U72165
C.glabrata U44808
Kluyveromyces delphensis U69576
99
100
99
74
74
89
43
84
74
91
35
52
48
51
44
43
13
46
43
16
6
31
36
28
51
0.01
46
2.3.3 UTILIZAÇÃO DE D-XILOSE E PRODUÇÃO DE XILITOL EM MEIO UPX
Num segundo ensaio para a fermentação de D-xilose foi realizado utilizando cinco
leveduras selecionadas baseado no sequênciamento da região D1/D2 do gene 26s
rDNA sendo elas: Candida tropicalis MVP 03, Candida tropicalis MVP 16, Candida
tropicalis MVP 40 e Candida rugosa MVP 17, Candida rugosa MVP 21 e três
leveduras pertencentes a coleção do laboratório de bioquímica de fermentação do
departamento de ciências biológicas da ESALQ/USP sendo elas: Candida guillierrmondii
FTI 20037, Kluyveromyces marxianus IZ 1339 e Candida tropicalis IZ 1824 como
controle positivo descritas na literatura.
A fermentação de xilose pelas várias linhagens selecionadas acima, foram
realizadas em meio UPX e os parâmetros utilizados para a avaliação do processo foram,
produção de biomassa, consumo de D-xilose e concentração final de xilitol. A máxima
produção de biomassa seca foi verificada na levedura isolada Candida tropicalis MVP 16
que apresentou 6,47 g L
-1
e a menor produção foi encontrada na levedura isolada
Candida rugosa MVP 17 que apresentou 3,72 g L
-1
dados referente ao tempo de 72
horas de fermentação.(Figura 9).
Figura 7 - Produção de biomassa seca em g L
-1
em meio UPX (uréia 2,3 g L
-1
, peptona 6,6 g L
-1
,
xilose 50 g L
-1
), nos tempos 24, 48, 72, 96 horas de fermentação.
0
1
2
3
4
5
6
7
8
K. marxianus
IZ 1339
C. tropicalis IZ
1824
C.
guilliermondii
FTI 20037
C..tropicalis
MVP 03
C. tropicalis
MVP 40
C. tropicalis
MVP 16
C. rugosa
MVP 17
C. rugosa
MVP 21
[ ] g L-1
massa seca 24 h
massa seca 48 h
massa seca 72 h
massa seca 96 h
47
A maior produção de xilitol foi observada na levedura Candida tropicalis MVP 16,
que apresentou uma produção de 33,67 g L
-1
, durante 72 horas de fermentação (Figura
10), tempo esse onde a D-xilose foi 100% consumida (Figura 11). A diminuição na
concentração de xilitol no tempo 96 horas se deve ao fato de o xilitol ter sido consumido
pela levedura Candida tropicalis MVP 16 para produção de outros metabólitos. A
levedura Candida rugosa MVP 17 apresentou o menor rendimento em xilitol,
apresentando uma produção máxima de 1,01 g L
-1
(Figura 10), no tempo de 72 horas e
onde a D-xilose ainda não havia sido totalmente consumida(Figura 11).
0
5
10
15
20
25
30
35
40
K. marxianus
IZ 1339
C. tropicalis
IZ 1824
C.
guilliermondii
FTI 20037
C..tropicalis
MVP 03
C. tropicalis
MVP 40
C. tropicalis
MVP 16
C. rugosa
MVP 17
C. rugosa
MVP 21
[ ] g L-1
xilitol produzido 24 h
xilitol produzido 48 h
xilitol produzido 72 h
xilitol produzido 96 h
Figura 8 - Produção de xilitol pelas leveduras C. tropicalis IZ 1824, MVP 03, MVP 16, MVP 40, Cândida
rugosa MVP 17 ne 21, K. marxianus IZ 1339 e C. guillermondii em meio UPX (uréia 2,3 g L
-1
,
peptona 6,6 g L
-1
, xilose 50 g L
-1
), nos tempos 24, 48, 72, 96 horas de fermentação
Das oito leveduras testadas, quatro (C. tropicalis MVP 03; MVP 16; MVP 40 e C.
guilliermondii FTI-20037) consumiram 100% da D-xilose em 72 horas de fermentação
(Figura 11). As outras quatro linhagens mostraram-se menos eficientes na utilização do
48
substrato, apresentado um consumo muito lento variando entre 33% a 80% num período
de 96 horas de fermentação. C rugosa MVP 17 apresentou o pior desempenho
consumindo apenas 33% do substrato.
0
20
40
60
80
100
120
K. marxianus
IZ 1339
C. tropicalis
IZ 1824
C.
guilliermondii
FTI 20037
C..tropicalis
MVP 03
C. tropicalis
MVP 40
C. tropicalis
MVP 16
C. rugosa
MVP 17
C. rugosa
MVP 21
consumo %
D-xilose consumida 24 h
D-xilose consumida 48 h
D-xilose consumida 72 h
D-xilose consumida 96 h
Figura 9 - Consumo de D-xilose, expresso em porcentagem, pelas leveduras C. tropicalis IZ 1824, MVP
03, MVP 16, MVP 40, Cândida rugosa MVP 17 ne 21, K. marxianus IZ 1339 e C. guillermondii
em meio UPX (uréia 2,3 g L
-1
, peptona 6,6 g L
-1
, xilose 50 g L
-1
) nos tempos 24, 48, 72, 96
horas de fermentação
Para os cinco isolados, Candida tropicalis MVP 03, Candida tropicalis MVP 16,
Candida tropicalis MVP 40 e Candida rugosa MVP 17, Candida rugosa MVP 21, a
produção de xilitol variou de 5,76 a 35,36 g L
-1
, a partir de 50 g L
-1
de D-xilose com
produtividade voluemtrica (QP) entre 0,06 a 0,35 g L
-1
h
-1
, fator de conversão de xilose
em xilitol (Yp/s) entre 0,14 a 0,65 g g
-1
e fator de conversão de D-xilose em biomassa
(Yx/s) entre 0,08 a 0,29 g g
-1
. Destacou-se a levedura C. tropicalis 16, produzindo 32,36
g L
-1
de xilitol com produtividade volumétrica (Qp) de 0,35 g L
-1
h
-1
, fator de conversão
de xilose em xilitol (Yp/s) 0,65 g g
-1
, fator de conversão de D-xilose em biomassa (Yx/s)
de 0,11 g g
-1
) e fator de conversão (η) de 62%.
49
Os resultados obtidos estão apresentados nas tabelas 7; 8; 9 e 10. As maiores
produções de xilitol, juntamente com uma eficiência de 100% na utilização de D-xilose
no período de 72 horas, foram encontrados nos isolados Candida tropicalis MVP03,
Candida tropicalis MVP16, Candida tropicalis MVP40.
Esses rendimentos em xilitol foram substancialmente superior, nessas condições
de cultivo, aos coeficientes de rendimentos Yp/s de 0,51 g g
-1
; Yx/s de 0,09 g g
-1
; Qp de
0,27 g L
-1
h
-1
e um fator de conversão (η) 47% encontrado com a cepa de referência C.
guilhermondii FTI 20037 uma das leveduras mais utilizadas ate agora para a produção
de xilitol.
Tabela 7 - Parâmetros fermentativos para o cultivo das linhagens em meio UPX (uréia 2,3 g L
-1
, peptona
6,6 g L
-1
e xilose 50 g L
-1
) a 120 rpm e 30°C no tempo 24 horas de fermentação
Linhagens Yp/s
a
Qp
b
Yx/s
c
η
d
K. marxianus IZ 1339
0.45 ± 0.071 0.23 ± 0.065
0.22 ± 0.057 24 %
C. tropicalis IZ 1824
0.16 ± 0.019 0.18 ± 0.010
0.09 ± 0.024 41 %
C. guilliermondii FTI 20037
0.61 ± 0.011 0.63 ± 0.012
0.10 ± 0.002 56 %
C. tropicalis MVP 03
0.69 ± 0.012 0.68 ± 0.017
0.10 ± 0.006
63 %
C. tropicalis MVP 40
0.67 ± 0.033 0.57 ± 0.019
0.13 ± 0.003 62 %
C. tropicalis MVP 16
0.74 ± 0.090
0.52 ± 0.08 0.18 ± 0.020 57 %
C. rugosa MVP 17
0.05 ± 0.006 0.01 ± 0.002
0.46 ± 0.065 8 %
C. rugosa MVP 21
0.04 ± 0.008 0.01 ±0.001 0.54 ± 0.059 3 %
a
Yp/s (g g
-1
) g xilitol produzida /g xilose consumida.
b
Qp (g L
-1
h
-1
) produtividade volumétrica de xilitol
c
Yx/s (g g
-1
) g massa celular produzida / g de xilose consumida
d
eficiência calculado assumindo que o máximo teórico de 0.917 g g
-1
(BARBOSA et al.; 1988).
50
Tabela 8 - Parâmetros fermentativos para o cultivo das linhagens em meio UPX (uréia 2,3 g L
-1
, peptona
6,6 g L
-1
e xilose 50 g L
-1
) a 120 rpm e 30°C no tempo 48 horas de fermentação
Linhagens Yp/s
a
Qp
b
Yx/s
c
η
d
K. marxianus IZ 1339
0.35 ± 0.086 0.14 ± 0.016
0.19 ± 0.030 32 %
C. tropicalis IZ 1824
0.22 ± 0.004 0.13 ± 0.010
0.12 ± 0.049 20 %
C. guilliermondii FTI 20037
0.65 ± 0.128 0.60 ± 0.051
0.09 ± 0.010 59 %
C. tropicalis MVP 03
0.61 ± 0.014 0.61 ± 0.008
0.09 ± 0.004 55 %
C. tropicalis MVP 40
0.60 ± 0.056 0.53 ± 0.086
0.11 ± 0.005 55 %
C. tropicalis MVP 16
0.72 ± 0.020 0.65 ± 0.05 0.11 ± 0.005 66 %
C. rugosa MVP 17
0.06 ± 0.010 0.01 ± 0.002
0.28 ± 0.018 6 %
C. rugosa MVP 21
0.07 ± 0.005 0.01 ± 0.001
0.38 ± 0.045 9 %
a
Yp/s (g g
-1
) g xilitol produzida /g xilose consumida.
b
Qp (g L
-1
h
-1
) produtividade volumétrica de xilitol
c
Yx/s (g g
-1
) g massa celular produzida / g de xilose consumida
d
eficiência calculado assumindo que o máximo teórico de 0.917 g g
-1
(BARBOSA et al.; 1988).
Tabela 9 - Parâmetros fermentativos para o cultivo das linhagens em meio UPX (uréia 2,3 g L
-1
, peptona
6,6 g L
-1
e xilose 50 g L
-1
) a 120 rpm e 30°C no tempo 72 horas de fermentação
Linhagens Yp/s
a
Qp
b
Yx/s
c
η
d
K. marxianus IZ 1339
0.29 ± 0.013 0.10 ± 0.003
0.16 ± 0.012 26 %
C. tropicalis IZ 1824
0.14 ± 0.009 0.07 ± 0.002
0.11 ± 0.025 13 %
C. guilliermondii FTI 20037
0.47 ± 0.035 0.33 ± 0.026
0.09 ± 0.001 43 %
C..tropicalis MVP 03
0.55 ± 0.031 0.39 ± 0.021
0.09 ± 0.002 51 %
C. tropicalis MVP 40
0.58 ± 0.008 0.41 ± 0.005
0.10 ± 0.002 53 %
C. tropicalis MVP 16
0.68 ± 0.020 0.47 ± 0.02 0.12 ± 0.010 62 %
C. rugosa MVP 17
0.06 ± 0.013 0.01 ± 0.001
0.28 ± 0.053 6 %
C. rugosa MVP 21
0.09 ± 0.009 0.02 ± 0.001
0.35 ± 0.016 8 %
a
Yp/s (g g
-1
) g xilitol produzida /g xilose consumida.
b
Qp (g L
-1
h
-1
) produtividade volumétrica de xilitol
c
Yx/s (g g
-1
) g massa celular produzida / g de xilose consumida
d
eficiência calculado assumindo que o máximo teórico de 0.917 g g
-1
(BARBOSA et al.; 1988).
51
Tabela 10 - Parâmetros fermentativos para o cultivo das linhagens em meio UPX (uréia 2,3 g L
-1
,
peptona 6,6 g L
-1
e xilose 50 g L
-1
) a 120 rpm e 30°C no tempo 96 horas de fermentação
Linhagens Yp/s
a
Qp
b
Yx/s
c
η
d
K. marxianus IZ 1339
0.26 ± 0.029 0.09 ± 0.008
0.13 ± 0.009 24 %
C. tropicalis IZ 1824
0.14 ± 0.005 0.06 ± 0.003
0.10 ± 0.007 13 %
C. guilliermondii FTI 20037
0.51 ± 0.023 0.27 ± 0.014
0.09 ± 0.007 47 %
C.tropicalis MVP 03
0.61 ± 0.028 0.33 v 0.018 0.08 ± 0.003 56 %
C. tropicalis MVP 40
0.60 ± 0.040 0.32 ± 0.023
0.09 ± 0.005 55 %
C. tropicalis MVP 16
0.67 ± 0.040 0.34 ± 0.020
0.11 ± 0.002 61 %
C. rugosa MVP 17
0.06 ± 0.005 0.01 ± 0.001
0.22 ± 0.001 6 %
C. rugosa MVP 21
0.09 ± 0.008 0.02 ± 0.001
0.28 ± 0.011 8 %
a
Yp/s (g g
_1
) g xilitol produzida /g xilose consumida.
b
Qp (g L
_1
h
_1
) produtividade volumétrica de xilitol
c
Yx/s (g g
_1
) g massa celular produzida / g de xilose consumida
d
eficiência calculado assumindo que o máximo teórico de 0.917 g/g (BARBOSA et al.; 1988).
O presente estudo demonstrou que todas a leveduras testadas foram capazes de
produzerem quantidades variadas de xilitol no meio de cultura UPX. Isto indica que a
produção de xilitol é uma característica comum entre as leveduras que utilizam D-xilose,
tal como sugerido por outros trabalhos. (GONG et al., 1983).
Meyral et al., 1991, avaliaram a fermentação em C. guillermondii com
concentrações de D-xilose variando de 10 g L
-1
a 300 g L
-1
. O aumento na concentração
inicial de D-xilose resultou no aumento correspondente na produção de xilitol, sendo que
os melhores resultados obtidos foram com 300 g L
-1
. Bons resultados foram obtidos em
triagem realizada por Ikeuchi et al (1999). Candida sp 559-9 destacou-se com produção
de 204 g L
-1
de xilitol a partir de 250 g L
-1
de D-xilose após 5 dias de incubação, com
uma eficiência de conversão igual a 92,7% (considerando o valor teórico de produção de
xilitol a partir de D-xilose, pelo balanço das equações do metabolismo, igual a 0,912).
Silva e Roberto (1999) demonstraram que aumentos na concentração de D-xilose de 60
para 120 g L
-1
reduziram drasticamente a produção de xilitol em C. guillermondii. Tal
52
redução foi atribuída a efeitos osmofilicos, repressão das enzimas que metabolizam D-
xilose e a presença de substancias inibitórias no hidrolisado hemicelulósico. A pressão
osmótica exercida por concentrações de D-xilose acima de 300 g L
-1
pode interferir com
a produção de xilitol (SILVA; FELIPE; MANCILHA, 1998).
Um rendimento (Yp/s) de 0,62 g g
-1
na produção de xilitol foi registrado para
Candida mogii ATCC 18364 e, segundo Sirisansaneeyakul et al. (1995), esta levedura
foi considerada como boa produtora de xilitol. Candia tropícalis ASM III (NRRL-Y
27290), isolada de silagem de milho demosntrou ser uma promissora linhagem para a
produção de xilitol com um rendimento (Yp/s) de 0.88 g g
-1
(ALTAMIRANO, 2000).
Experimentos conduzidos por Chun-Han Ko et al., (2008) apresentou Candida tropicalis
com o maior rendimento (Yp/s) de 0.79 g g-1 em 48 horas de fermentação.
Fermentações adicionais com Candida tropicalis alcançaram valores (Yp/s) de 0,60 e
0,39 g g
-1
após 96 e 72 horas, usando uréia e farelo de soja como fontes de nitrogênio,
respectivamente. Uma cultura de Candida guilliermondii cultivada em meio com 300g L
-1
de xilose acumulou 221 g de xilitol em 406 horas de fermentação, a uma taxa (Qp) de
0,54 g L h
-1
e um rendimento (Yp/s) de 0,73 g g -1 (MEYRIAL et al., 1991). Esta parece
ser a maior concentração de xilitol alcançada em meio sintético e o maior crescimento
relativo (ZAGUSTINA et al 2001). A maior taxa de produção de xilitol foi conseguida com
a utilização de Candida tropicalis: 94 g L
-1
após 32 horas, em uma concentração de
xilose de 150 g L
-1
em fermentador de 3 litros, a xima produção de xilitol por Candida
peltala NRRL-Y 6888 foi observada em 50 g L
-1
de D-xilose, pH 6,0 e 2C (SAHA;
BOTHAST, 1999). A produção de xilitol por Candida parapsilosis foi investigada em
regime de batelada alimentada, usando substratos açucarados de composição simples
(xilose) e apresentou um rendimento (Yp/s) de 0,23 g g L
-1
(FURLAN; CASTRO, 2001).
Espécies de leveduras Candida foram examinadas por West (2009) quanto a sua
capacidade de produção de xilitol a partir de um meio contendo hidrolisado de capim.
Das espécies selecionadas, C. tropicalis ATCC 750 e C. guilliermondii ATCC 20216
apresentaram as maiores taxas de produção de xilitol após 120 horas de fermentação.
Em seus estudos Barbosa et al. (1988) avaliaram 44 linhagens de cinco gêneros
diferentes para a produção de xilitol, em meio de cultura YNB acrescido de 30 g L
-1
de
D-xilose, a 30
o
C e agitação de 150 rpm durante 48 horas de fermentação. Dentre essas
53
as leveduras Candida guilliermondii FTI 20037 apresentou uma produção 16 g L
-1
de
xilitol, 10 g L
-1
de biomassa, com um consumo de 100% da D-xilose, Candida tropicalis
IZ 1824 apresentou uma produção 15 g L
-1
de xilitol, 11 g L
-1
de biomassa, com um
consumo de 100% da D-xilose e Kluyveromyces marxianus IZ 1339 não foi determinda a
produção de xilitol, com um consumo de 91% da D-xilose e 11 g L
-1
de biomassa.
Neste trabalho a levedura Candida guilliermondii FTI 20037 apresentou uma
produção 28.86 g L
-1
de xilitol, 4,39 g L
-1
de biomassa, com um consumo de 94% da D-
xilose. Candida tropicalis IZ 1824 apresentou uma produção 6.18 g L
-1
de xilitol, 3.71 g L
-
1
de biomassa, com um consumo de 56% da D-xilose. Kluyveromyces marxianus IZ
1339 apresentou uma produção 6.50 g L
-1
de xilitol, 3.77 g L
-1
de biomassa, com um
consumo de 37% da D-xilose no período de 48 horas de fermentação.
Apesar de várias triagens realizadas, não podemos comparar os resultados
obtidos ao considerar que os meios e as condições do cultivo são diferentes para cada
trabalho. Nesta primeira etapa do trabalho, o rendimento de xilitol obtido na triagem foi
alto e justifica-se a utilização das leveduras isoladas do ambiente industrial de produção
de etanol (torta de filtro) na produção de xilitol em maior escala. Entretanto, é possível
melhorar este processo, definindo e otimizando as condições reguladoras da
bioconversão.
Os resumos cinéticos das fermentações estão apresentados nas tabelas 11; 12;
13. As cinéticas demonstram que as leveduras Candida tropicalis MVP 03 e Candida
guillermondii FTI 20037 possuem as mesmas características fermentativas confirmando
a reclassificação de Candida guillermondii FTI 20037 como sendo uma Candida
tropicalis proposta por Lima et al. (2003).
54
Tabela 11 - Tempo estimado em horas para o consumo total de D-xilose UPX (uréia 2,3 g L
-1
, peptona 6,6
g L
-1
e xilose 50 g L
-1
) a 120 rpm e 30°C
LEVEDURAS HORAS
Kluyveromyces marxianus IZ 1339
153
Candida tropicalis IZ 1824
107
Candida guilliermondii FTI 20037
51
Candida tropicalis MVP 03
51
Candida tropicalis MVP 40
58
Candida tropicalis MVP 16
61
Candida rugosa MVP 17
114
Candida rugosa MVP 21
260
Tabela 12 - Tempo estimado em horas para a máxima produção de xilitol em meio UPX (uréia 2,3 g L
-1
,
peptona 6,6 g L
-1
e xilose 50 g L
-1
) a 120 rpm e 30°C
LEVEDURAS HORAS
Kluyveromyces marxianus IZ 1339
24
Candida tropicalis IZ 1824
43
Candida guilliermondii FTI 20037
46
Candida tropicalis MVP 03
46
Candida tropicalis MVP 40
47
Candida tropicalis MVP 16
52
Candida rugosa MVP 17
NÃP POSSUI
Candida rugosa MVP 21
NÃO POSSUI
55
Tabela 13 - Tempo estimado em horas para estabilização da produção de biomassa em meio UPX (uréia
2,3 g L
-1
, peptona 6,6 g L
-1
e xilose 50 g L
-1
) a 120 rpm e 30°C
LEVEDURAS HORAS
Kluyveromyces marxianus IZ 1339
26
Candida tropicalis IZ 1824
56
Candida guilliermondii FTI 20037
47
Candida tropicalis MVP 03
47
Candida tropicalis MVP 40
55
Candida tropicalis MVP 16
73
Candida rugosa MVP 17
47
Candida rugosa MVP 21
49
56
57
3 CONCLUSÃO
- O isolamento de leveduras de resíduos agroindustriais (torta de filtro)
apresentou grande potencial na obtenção de leveduras adaptadas para bioconversão
de D-xilose em xilitol.
- As leveduras isoladas C. tropicalis MVP 03, C. tropicalis MVP 16 e C. tropicalis
MVP 40, diante dos resultados obtidos se apresentam como excelentes produtoras de
xilitol a partir de D-xilose.
- Apesar do potencial das linhagens isoladas, a produção de xilitol, somente será
economicamente viável, diante de um processo de hidrólise de materiais
lignocelulósicos eficiente e baixo custo, tanto para a hidrolise como para a aquisição da
matéria prima.
58
59
REFERÊNCIAS
AGUIAR, W.B.; ANDRADE, C.M.M.C.; ANTUNES, J.G.; ARAÚJO, O.Q.F.; BRITO,
F.H.X.; DAMACO, M.C.T.; FARIA, L.F.; FONSECA, M.C.C.; GIMENES, M.A.P.;
GUERRANTE, M.F.; LEAL, M.L.M.; LEMOS, J.L.S.; MOTTA; R.P.A.; NÓBREGA, R.; SÁ,
M.C.A; SILVA, M.L.A.; PEREIRA, N. BIOTECNOLOGIA DE HEMICELULOSE.In:
SEMINÁRIO BRASILEIRO DE TECNOLOGIA ENZIMÁTICA, 4, Rio de Janeiro. 1999
p.71- 76.
AKINTERINWA, O., KHANKAL, R., CIRINO, P.C. Metabolic engineering for biproduction
of sugar alcochols Current Opinion in Biotechnology, Philadelphia, v. 19 n.5, pp. 461-
467, 2008.
ALTAMIRANO, F.; VÁZQUEZ , L.I.C. Isolation and Identification of Xylitol-Producing
Yeasts from Agricultural Residues Folia Microbiology, Prague, v. 45 n. 3, pp. 255 258,
2000.
ALVES, L. A.; FELIPE, M. G. A.; SILVA, J. B. A. E.; PRATA, A. M. R. Pretratament of
sugarcane bagasse hemicellulose hydrolysate for xilitol production by Candida
guilliermondii. Applied Biochemistry and Biotechnology, Clifton, v.70-72, p.89-97,
1998.
AMARAL-COLLAÇO, M. T., GIRIO, F. M. ; PEITO, M. A. In: COUGHLAN ,M. P.
Enzyme systems for lignocellulosic degradation. London : Elsevier, 989. p. 221-230.
ANDREWS J. H.; HIRANO S. S. Microbial ecology of leaves. New York: Elsevier,
1991. (Springer Series in Contemporary Bioscience)
ARISTIDOU, A.; PENTTILÄ, M. Metabolic engineering applications to renewable
resource utilization. Current Opinion in Biotechnology, Philadelphia
,
v. 11, p. 187-198,
2000.
AZUMA M., IKEUCHI T., KIRITANI R., KATO J., OOSHIMA H. Increase in xylitol
production by Candida tropicalis upon addition of salt. Biomass and Bioenergy, New
York v. 19 p.129-135, 2000.
BANDONI, R. J. Taxonomic overview of the Tremellales. Studies in Mycology ,Utrecht,
V. 30, p. 87-110, 1987
BAR, A. Xylitol. In:. NABORS, L. O. ;GELARDI, R. C. 2 ed th. Alternative sweetener,
New York., Marcel Dekker 1991.p. 349-379.
BARBOSA, M.F.S., M.B. DE MEDEIROS; I.M. DE MANCILHA; H. SCHNEIDER; H. LEE.
Screening of yeasts for production of xylitol from D-xylose and some factors which affect
60
xylitol yield in Candida guilliermondii. Journal of Industrial Microbiology, San Diego, v
3 p.241-251, 1988.
BARNETT, J.; PAYNE, R.; YARROW, D.. Yeasts: characteristics and iIdentification. 4ed
th . Cambridge: Cambridge University Press. 2003.
BEUTLER, H.O. Xylitol. In: BERGMEYER H.U. Methods of enzymatic analysis. 3rd
ed. Weinheim: Verlag Chemie, 1984 v.6, p.484-490.
BIELY, P. Microbial xylanolytic systems. Trends in Biotechnology, Cambridge, v.3,
n.11,p.286-289, 1985.
BJORLING, T.; B. LINDMAN.. Evaluation of xylose fermenting yeasts for ethanol
production from spent sulfite liquor. Enzyme and Microbiology Technology, Oxford,
V.11 p. 240-246. 1989.
BRUINENBERG, P., DE BOT, P. H. M.; VAN DIJKEN, J. P.; SCHEFFERS, W. A.
NADH-linked aldose reductase: the key to anaerobic alcoholic fermentation of xylose by
yeasts Applied Microbiology and Biotechnology, Berlin, v.19, n.04, p.256-260, 1984.
CACCHIO, P.; ERCOLE, C.; VEGLIO, F.; LEPIDI, A. Cellulose enzymatic hydrolysis of
wheat straw after solid-state pre-treatment by Trametes trogii a factorial study. Annals of
Microbiology, Milan, v. 51, p. 215-224, 2001.
CAYLE, T.., ROLAND,J., MEHNERT, D., DINWOODIE, R., LARSON,R., MATHERS, J.,
RAINES, M., ALM, W., MAAYEH, S., KIANG, S., SAUNDERS, R., production of L-
ascorbic acid from whey, In: HARLANDE,S.K.; LABUZA , T.P. Biotechnology in food
processing. New Jersey: Noyes Pubication, 1986. p.157-169.
CHUN-HAN KO , PEI-CHUN CHIU , CHIN-LIN YANG , KENG-HAO CHANG - Xylitol
conversion by fermentation using five yeast strains and polyelectrolyte-assisted
ultrafiltration. Biotechnology Letters,Heideuberg, v. 30 p. 81–86, 2008.
CLAMP, M.; CUFF, J.; SEARLE, S.M.; BARTON, G.J. The jalview java alignment editor.
Bioinformatics, Oxford, v. 20, n. 3, p. 426-427, Fev. 2004.
CONVERTI, A.; PEREGO, P.; DOMINGUEZ, J. M. Xylitol production from hardwood
hemicellulose hydrolysates by Pachysolen tannophilus, Debaryomyces hansenii and
Candida guilliermondii. Applied Biochemistry and Biotechnology, Clifton v. 82, p.141-
151, 1999.
CRAFT D.L., MADDRURI, K.M., ESHOO, M., WILSON, C.R., identification and
characterization of the CYP52 family of candida tropicalis ATCC20336, important for
61
conversion of fatty acids and alkanes to alpha, omega-dicarboxilic acids Applied And
Environmental Microbiology, Washington
,
v.63 p. 5883-5891, 2003.
CRUZ, J. M.; DOMÍNGUEZ, J. M.; DOMÍNGUEZ, H.; PARAJÓ, J. C. Xylitol production
from barley bran hydrolysates by continuous fermentation with Debaryomyces hansenii.
Biotechnology Letters, Heideuberg, n.22, p.1895-1898, 2000.
CUNHA, LSC. Uso do xilitol como agente anticariogênico. Bauru: Faculdade de
Ododontologia de Bauru/Universidade de São Paulo. 2003.
DAHIYA J.S. Xylitol production by Petromyces albertensis grown on medium containing
D-xylose. Canadian Journal Microbiology, Saskatoon, v.37, p.14-18, 1991.
DITZELMULLER, G., KUBICEK, C. P., WOHRER, W. & ROHR, M. Xylitol
dehydrogenase from Pachysolen tannophilus. FEMS Microbiology Letters, Malden, v.
25, p.195-198, 1984.
DOMINGUEZ, J. M.; CRUZ, J. M.; ROCA, E.; DOMINGUEZ, H.; PARAJÓ, J. C. Xylitol
production from wood hydrolysates by entrapped Debaryomyces hansenii and Candida
guilliermondii cells. Applied Biochemistry and Biotechnology, Clifton, v.81, p.119-130,
1999.
DOMINGUEZ, J.M., N.J. CAO, C.S. GONG, AND G.T. TSAO.. Pretreatment of sugar
cane bagasse hemicellulose hydrolysate for xylitol production by yeast. Applied
Biochemistry and Biotechnology, Clifton v. 57/8 p. 49-56, 1996.
DU PREEZ, J.C., M. BOSCH, AND B.A. PRIOR.. The fermentation of hexose and
pentose sugars by Candida shehatae and Pichia stiptis. Applied Microbiology and
Biotechnology, Clifton, v. 23 p. 228-233, 1986.
DU TOIT, P.J.; OLIVIER, S.P.; VAN BILJON, P.L. Sugar cane bagasse as a possible
source of fermentable carbohydrates. l. Characterization of bagasse with regard to
monosaccharide. Hemicellulose and amino acid composition. Biotechnology and
Bioengineering, Berkeley, v.26, p.1071-1078, 1984.
DU TOIT, P.J.; OLIVIER, S.P.; VAN BILJON, P.L. Sugar cane bagasse as a possible
source of fermentable carbohydrates. l. Characterization of bagasse with regard to
monosaccharide. Hemicellulose and amino acid composition. Biotechnology and
Bioengineering, Berkeley, v.26, p.1071-1078, 1984.
ELIASSON, A., BOLES, E., JOHANSSON, B., OSTERBERG, M.,B THEVELEIN, J.M.,
SPENCER-MARTINS, I., JUHNKE, H., AND HAHN-HAGERDAL, B., Xylulose
fermentation by mutant and wild-type strains of Zygosaccharomycesand Saccharomyces
cerevisiae. Applied Microbiology and Biotechnology, Clifton, v. 53, no. 4, pp. 376–
382, 2000.
62
ERIKSSON, O. E., WINKA, K.. Supraordinal taxa of Ascomycota. Myconet, Chicago v.1
p. 1-16, 1997.
FARIA L.F., GIMENES M.A., NOBREGA R. AND PEREIRA N.J.. In- fluence of oxygen
availability on cell growth and xylitol production by Candida guilliermondii. Applied
Biochemistry and Biotechnology, Berlin, v. 98 p. 449–458, 2002.
FELL, J. W., BOEKHOUT, T., FONSECA, Á., SCORZETTI, G., STATZELL-TALLMAN,
A.. Biodiversity and systematics of basidiomycetous yeasts as determined by large-
subunit rDNA D1/D2 domain sequence analysis. International Journal of Systematic
and Evolutionary Microbiology,Giessen, v. 50 p. 1351-1371, 2000.
FELL, J. W. Polyphasic taxonomy of the basidiomycetous yeast genus Rhodosporidium:
Rhodosporidium kratochvilovae and related anamorphic species. International Journal
of Systematic and Evololutionary Microbiology, Giessen v. 51 p. 687-697, 2001.
FOGARTY, W. M.; KELLY, C. T. Glucoses isomerases. Microbial Enzymes and
Biotechnology, ed.2, p.199-220, 1990
FRAZER, F. R.; MCCASKEY, T. A. Wood hydrolyzate treatments for improved
fermentation of wood sugars to 2,3-butanediol. Biomass and Bioenergy, Oxford p.31-
42, 1989.
FURLAN S. A.;. CASTRO H.F Xylitol Production by Candida parapsilosis under Fed-
Batch Culture. Brazilian Archives Of Biology And Technology, Curitiba, V. 44, n. 2 ,
pp. 125 – 128, 2001.
GHANEM K.M., SABRY S.A., GAMATI S.Y. Physiological study on riboflavin production
by hydrocarbon utilizing candida guillermondii. International Journal of Medical
Microbiology, Berlin, V.147 n.3-4 pp. 283-287 1992.
GILFILLAN G.D. SULIVAN D.J. HAYNES K. PARKINSON T. COLEMAN D.C. GOW
N.A.R.. 1998. Candida dubliniensis phylogeny and putative virulence factors.
Microbiology, Dublin , v.144 p. 829-838
GIMENES MA, CARLOS LC, FARIA LF, PEREIRA N JR,. oxygem uptake rate in
production of xylitol by candida guillermodii with different aeration rates and inicial xilose
concentration .Applied Biochemistry And Biotechnology, Berlin v.98-100 p.1049-
1059, 2002.
GIRIO, F. M., PEITO, M. A.; AMARAL-COLLAÇO, M. T. Biomass for Energy and
Industry, In GRASSI, G., GOSSE, G. DOS SANTOS, G (ed) New York. Elsevier
Applied Science. 1990 v. 2.
GIRIO, F. M.; PEITO, M. A.; AMARAL-COLLAÇO, M. T. Enzymatic and physiological
study of d-xylose metabolism by Candida shehatae Applied Microbiology and
Biotechnology, Berlin v.32, n.2, p.199-204 1989.
63
GONG C.S., CHEM L.F., TSAO G.T. Quantitative production of xylitol from d-xylose by a
high xylitol producing yeast mutast Cândida tropicalis, HXP 2. Biotechnology Letters,
Heideuberg, v. 3 p.130–135, 1983.
GONG, C.S., CLAYPOOL, T.A., McCRACKEM, L.D., MAUN, C.M., VENG, P.P., TSAO,
G.T. Conversion of pentoses by yeasts.
Biotechnology and Bioengineering
,
Berkeley, v.15 p. 85-102 1983.
GRANSTROM T.B., IZUMORI K.; LEISOLA M. A rare sugar xylitol. Part II.
Biotechnological production and future applications of xylitol. Applied Microbiology and
Biotechnology, Berlin v. 74 p. 273–276 2007.
GUÉHO, E., KURTZMAN, C. P., PETERSON, S. W. Evolutionary affinities of
heterobasidiomycetous yeasts estimated from 18S and 25S RNA sequence divergence.
Systematic and Applied Microbiology, Freising, v.12, p. 230-236, 1989.
GURGEL, P. V.; FURLAN, S. A.; MARTINEZ, S. E. R.; MANCILHA, I. M. Evaluation of
sugarcane bagasse acid hydrolyzate treataments for xilitol production. Brazilian Journal
of Chemical Engineering, São Paulo v.15, n.3, p. 309-312, 1998.
HAHN-HAGERDAL, B. H.; JEPPSON, K.; SKOOG, B.; A. PRIOR. Biochemistry and
physiology of xylose fermentation by yeast. Enzyme Microbiology and Technology
Atlanta, v.16 p.933-943, 1994
HESPELL, R. B., Q'BRYAN, P. J. ; MONIRUZZAMAN, M.; BOTHAST. R. J. Hydrolysis
by commercial enzyme mixtures of AFEX-treated corn fiber and isolated xylans. Applied
Biochemistry and Biotechnology, Totowa, v. 62,,p. 87-96, 1997.
HOLTZAPPLE, M.T., J.-H. JUN, G. ASHOK, S.L. PATIBANDLA, B.E. DALE.. The
ammonia freeze explosion (AFEX) process. A practical lignocellulose pretreatment.
Applied Biochemistry and Biotechnology, Totowa, v. 28/29 p. 59-74, 1991.
HYVÖNEM, L.; KOIVISTONEN, P.; VOIROL, F. Food technological evaluation of xylitol.
Advances In Food Research, San Diego, v.28, p.373-403, 1982.
HYVÖNEM, L.; KOIVISTONEN, P.; VOIROL, F. Food technological evaluation of xylitol.
Advances In Food Research, San Diego, v.28, p.373-403, 1982.
IKEUCHI , T.; AZUMA, M.; KATO, J.; OOSHIMA, H. Screning of microrganisms for xylitol
production and fermentations behaviour in hight concentration of xylose. Biomass and
Bioenergy, Oxford, v. 16, p. 333-336, 1999.
INÁCIO, J., PEREIRA, P., DE CARVALHO, M., FONSECA, Á., AMARAL-COLLAÇO, M.
T., SPENCER-MARTINS, I. Estimation and diversity of phylloplane mycobiota on
selected plants in a Mediterranean-type ecosystem in Portugal. Microbiol Ecology, New
York , v. 44, p. 344-353, 2002.
64
IZUMORI, K. AND K. TUZAKI. Production of xylitol from D-xylose by Mycobacterium
smegmatis. Journal of Fermentation Technology, New York, v..66,p. 33-36, 1988.
IZUMORI, K. AND K. TUZAKI.. Production of xylitol from D-xylose by Mycobacterium
smegmatis. Journal of Fermentation Technology, New York. v.66 p. 33-36, 1988.
JEFFRIES, T.W.. Utilization of xylose by bacteria, yeast and fungi. Advances in
Biochemistry and Biotechnology, New York, v.27 p.2-27, 1983.
KADAM K.L, CHIN CY, BROWN LW: Flexible biorefinery for producing fermentation
sugars, lignin and pulp from corn stover. Journal of Industrial Microbiology and
Biotechnology, Hampshire, v. 35 p.331-341, 2008.
KADAM, K.L.; FORREST, L.H.; JACOBSON, W.A. Rice straw as a lignocellulosic
resource: collection, processing, transportation, and environmental aspects. Biomass
and Bioenergy, Oxford, v. 18, p. 369-89, 2000
KERN, M.; HALTRICH, D.; NIDETZKY, B.; KULBE, K. D. Induction of aldose reductase
and xylitol dehydrogenase activities in Candida tenuis CBS 4435. FEMS Microbiology
Letters, Malden v.149, p.31-37, 1997.
KIM S.Y., OH D.K., JUNG S.R. Fermentation process for preparing xylitol using
candida tropicalis. US N. 5.998.181, 1999..
KINTERINWA, O.; KHANKAL R. CIRINO P. C. Metabolic engineering for bioproduction
of sugar alcohols. Current Opinion in Biotechnology, London, v.19 p. 461–467, 2008
KITPREECHSVANICH, V., M. HAYASHI, N. NISHIO. AND S. NAGAI.. Conversion of D-
xylose into xylitol by xylose reductase from Candida pelliculosa coupled with oxido-
reductase system of methanogen strain. Biotechnology Letters Dordrecht v. 6 p. 651-
656, 1984 .
KO C.H., CHIU P.C., YANG C.L., CHANG K.H. Xylitol conversion by fermentation using
five yeast strains and polyelectrolyteassisted ultrafiltration. Biotechnology Letters,
Dordrecht,v.30 p.81-86, 2008.
KREEGEN – VAN RIJ. The yeast: a taxonomy study. Amsterdan: 1982.1082p.
KRISHNA, S.H.; REDDY, T.J.; CHOWDARY, G.V. Simultaneous saccharification and
fermentation of lignocellulosic wastes to ethanol using thermotolerant yeast.
Bioresource Technology, Oxford, v. 77, p. 193-6, 2001.
65
KRUSE, B.; SCHIIGERL, K. Investigation of ethanol formation by Pachysolen
tannophilus from xylose and glucose/xylose co-substrates Process Biochemistry,
London. v. 31, p. 389-407, 1996.
KURTZMAN, C. P. Molecular taxonomy of the yeasts. Yeast, New York, v.10 pp. 1727-
1740 1994.
KURTZMAN, C. P., FELL, J. W.. The yeasts : a taxonomic study. 4th ed. New York::
John Wiley & Sons,1998.
KURTZMAN, C. P., PHAFF, H. J. Molecular taxonomy. In: ROSE,H.; HARRISON, J. S.
(Ed.), The yeasts. 2nd ed. London: Academic Press, 1987. v.1, p. 63-94.
KURTZMAN, C. P., ROBNETT, C. J. Identification and phylogeny of ascomycetous
yeasts from analysis of nuclear large subunit (26S) ribosomal DNA partial sequences.
Antonie van Leeuwenhoek, Delf v. 73 p. 331-371, 1998.
LACAZ C.S.; PORTO, E.; HEINS-VACARRI,E.M.; MELO, N.T. Guia para a
identificação de fungos actinomicetos algas de interesse medico São Paulo:
Sarvier , 1998. 445 p.
LATIF F.; RAJOKA M.I. Production of ethanol and xylitol from corn cobs by yeasts.
Bioresource Technology, Oxford, V. 77 pp. 57–63, 2001.
LEE, H.. The structures and function of yeast xylose (aldose) reductase. Yeast, New
york, v.14 p. 977-984, 1998.
LIMA L.H.A., FELIPE M.G.A., TORRES F.A.G. reclassification of cândida guilermondii
FTI 200-37 as cândida tropicalis base don molecular phylogenetic analisys. Brazilian
Journal Of Microbiology, São Paulo, v. 34, n.1 p. 96-98, 2003..
London.
LOPANDIC, K.; ZELGER, S.; NSZKY, L. K.; ELISKASES-LECHNER, F.;
PRILLINGER, H. Identification of yeasts associated with milk products using traditional
and molecular techniques. Food Microbiology, London, v. 23 p. 341-350, 2006.
LÓPEZ F., DELGADO O. D., MARTÍNEZ M. A., SPENCER J. F.T. FIGUEROA L. I.C..
Characterization of a new xylitol-producer Candida tropicalis strain. Antonie van
Leeuwenhoek, Delf, v. 85, p.281–286, 2004
MAGGE, R.J.; KOSARIC, N. Bioconversion of hemicellulosics. Advances in
Biochemical Engineering and Biotechnology, Baltemore, v. 32, p. 60-63, 1985.
MAKINEN KK. Can the pentitol-hexitol theory explain the clinical observations made with
xylitol? Medical Hypotheses, Edindurhg, v. 54 p. 603-13, 2000.
66
MARCHAL, R.; ROPARS, M.; VANDECASTELLE, J. P. Conversion in acetone and
butanol of lignocellulosic substrates pretreated by steam explosion. Biotechnology
Letters, Ghent, v.8, n.5, p.365-370, 1986.
MEYERIAL, C., DELEGENES J.P., MOLETTA R., NAVARRO J.M. Xylitol production
from D-xylose by Candida guilliermondii: Fermentation behavior. Biotechnology.
Letters, Ghent, v.13 p. 281-286, 1991.
MOREIRA D., LÓPEZ-GARCIA P.. The molecular ecology of microbial eukaryotes
unveils a hidden world. Trends in Microbiology, London, v. 10 p. 31-38, 2002.
MUSSATTO S. I., SILVA C. J. S. M.,. ROBERTO I. C. Fermentation performance of
Candida guilliermondii for xylitol production on single and mixed substrate media
Applied Microbiology and Biotechnology, Prague, v. 72 p. 681–686, 2006
NAGAHAMA, T., HAMAMOTO, M., NAKASE, T., TAKAMI, H., HORIKOSHI, K.
Distribution and identification of red yeasts in deep-sea environments around the
northwest Pacific Ocean. Antonie van Leeuwenhoek, Delf, v.80 p. 101–110, 2001..
NIGAM P AND SINGH D, Processes for fermentative production of xylitol a sugar
substitute. Process Biochemistry, Oxford, v. 30 p. 117–124; 1995.
NISHIO N, SUGAWA K, HAYASE N, NAGAI S. Conversion of d-xylose into xylitol by
immobilized cells of Candida pelliculosa and Methanobacterium sp. HV. Journal of
Fermentation and Bioengineer, London, v. 67 p.356–60, 1989.
NITU SOODA AND BANWARI LAL. Isolation of a novel yeast strain Candida digboiensis
TERI ASN6 capable of degrading petroleum hydrocarbons in acidic conditions. Journal
of Environmental Management, London, V. 90, n. 5, p. 1728-1736, 2009.
NOLLEAN V, PREZIOSI-BELLOY L, NAVARRO J. The reduction of Xylose to Xylitol by
Candida guilliermondii and Candida parapsilosis incidence of oxygen, pH.
Biotechnology Letters, Ghent, v. 51, p. 780–785, 1995
O’DONNELL K. Fusarium and its near relatives. REYNOLDS, D.R.; TAYLOR The
fungal holomorph: mitotic, meiotic and pleomorphic speciation in fungal systematics
.Wallingford, CAB International 1993.;p. 225–233.
OBERWINKLER, F.. Heterobasidiomycetes with ontogenic yeast-stages. Systematic and
phylogenetic aspects. Studies in Mycology, Utrecht,. v. 30 p. 61-74, 1987.
OKI T, FUKISAWA-SHI, NISHIMURA,Y. YASHIROSHI,SAYAMA,Y, TAKEMI H..
process for production L- glutamic acid by fermentation. US. N. 3563857, 1971.
ONISHI, H., T. SUZUKI.. The production of xylitol, L-arabinose and ribitol by yeasts.
Agricultural and Biological Chemistry, Tokyo, v 30 p.1139-1144, 1966.
67
PARAJÓ J.C., DOMINGUEZ H.; DOMINGUEZ J.M.. Improved xylitol production with
Debaryomyces hansenii Y-7426 from raw or detoxified wood hydrolysates. Enzyme and
Microbial Technology, Oxford, v.21 p.18–24, 1997.
PARAJO, J.C., DOMINGUEZ H.; DOMINGUEZ. J.M. . Biotechnological production of
xylitol. Part 3: Operation in culture media made with lignocellulose hydrolyzates.
Bioresource Technology, Oxford, v. 66 p. 25-40 1998.
PAREKH, S.R., R.S. PAREKH, AND M.WAYMAN,. Fermentation of wood-derived acid
hydrolyzates in a batch bioreactor and in continuous dynamic immobilized cell bioreactor
by Pichia stipitis R. Process Biochemistry, Oxford, v. 22: p. 85-91, 1987.
PAZOUKI M., FELSE P.A., SINHA, J., PANDA, T.,. comparative studies on citric acid
production by aspergillus niger and candida lipolytica using molasses and glucose.
Bioprocess engineering, New York, v. 22, n.4, p. 353-361, 2000.
PEPPER, T., P.M. OLINGER,. Xylitol in sugar-free confections. Food Technology,
Chicago, v. 10 p. 98-106, 1988.
PETERSON, S. W., KURTZMAN, C. P.. Ribosomal RNA sequence divergence among
sibling species of yeasts. Systematic and Applied Microbiology, Jena, v.14 p. 124-
129, 1991.
PHAFF, H. J., MILLER, M. W., MRAK, E. M. The Life of Yeasts. 2nd edition, Harvard
University Press, Cambridge London, 1978.
PICATAGGIO S., DEANDA K., MIELENZ J., determination of candida tropicalis acyl
coenzyme a oxidase isozyme function by sequential gene disruption. Molecular And
Cellular Biochemistry, Dordrecht, v.11 n.9, p. 4333-4339, 1991.
PREZIOSI-BELLOY, L.; NOLLEAU, V.; NAVARRO, J.M. Fermentation of hemicellulosic
sugars and sugar mixtures to xylitol by Candida parapsilosis. Enzyme and Microbial
Technology, New York, n.21, p. 124-129, 1997.
PRIOR, B. A.; KILIAN, S. G. ; DU PREEZ, J. C. Fermentation of D-xylose by the yeasts
Candida shehatae and Pichia stipitis. Process Biochemistry, Oxford, v. 89, p. 21-32,
1989.
RAMOS, R. M. Tratamento de hidrolisado hemicelulósico de bagaço de cana-de-
açúcar com sais de alumínio para obtenção de xilitol por via fermentativa. 1999.
116 p. Dissertação (Mestrado em Ciência e Tecnologia de Alimentos) - Universidade
Federal de Viçosa, Viçosa , 1999.
ROBERTO IC, MANCIHO IM, DE SATO S. Influence of KLa on bioconversion of rice
straw and hemicellulose hydrolysate hydrolyrate to xylitol. Bioprocess Engineering
Ammam, v. 21 p. 505–508, 1999..
68
ROBERTO, I. C.; MANCILHA, I. M.; FELIPE, M. G. A.; SOUZA, C. A.; SATO, S.;
CASTRO, H. F. Evaluation of rice straw hemicelulose hydrolysate in the production of
xylitol by Candida guilliermondii. Biotechnology Letters, Ghent, v.16, n.11, p.1211-
1216, 1994.
ROBERTO, I.C.; SATO, S.; MANCILHA I..M.D. Effect of inoculum level on xylitol
production from rice straw hemicellulose hydrolyzates by Candida guilliermondii. Journal
of Industrial Microbiology, Hampshire,. v. 16 p. 348-350, 1996.
ROSEIRO J.C., PEITO M.A., GIRIO F.M. AND AMARAL-COLLAÇO M.T.. The effects of
the oxygen transfer coefficient and substrate concentration on the xylose fermentation by
Debaryomyces hansenii. Archives of Microbiology, Santa Cruz,. v.156 p. 484–490,
1991.
SAHA B. C.; BOTHAST R. J., Microbial production of xylitol. New York.: Springer
Verlag, 1997 p. 307–319. (ACS Symposium Series ).
______.Production of xylitol by Candida pellata. Applied Microbiology and
Biotechnology, Prague, V. 22 p. 633-636,1999.
______.Pretreatment and enzymatic saccharification of corn fiber. Applied
Biochemistry and Biotechnology, Beijing, v. 76 p. 65-77, 1999.
______. Production of L-arabitol from L-arabinose by Candida entomaea and Pichia
guilliermondii. Applied Microbiology and Biotechnology, Prague, V. 45 p. 299-306,
1996.
SAMBROOK J.; FRITSCH E.F.;MANIATIS T.. Gel electrophoresis of DNA. In: FORD N.,
NOLAN ,C.; FERGUSON ,M. (Ed.), Molecular cloning; a laboratory manual .2nd ed. .,
New York: Cold Spring Harbor Laboratory Press 1989.
SAMPAIO F.C., SILVEIRA W.B., CHAVES-ALVES, V.M., PASSOS, F.M.L., COELHO
J.L.C. Screening of filamentous fungi for production of xilitol from D-xilose. Brazilian
Journal of Microbiology, São Paulo, v. 34 p. 235-238, 2003.
SAROTE , MICHAEL STANISZEWSKI, AND MANFRED RIZZIZ.Screening of Yeasts for
Production of Xylitol from D-Xylose Journal of
Fermentation And Bioengineering
,
Osaka, v.. 80, n.6, p. 565-570, 1995.
SCHIWECK H, BA¨ R A, VOGEL R, SCHWARZ E, KUNZ M: Sugar alcohols. edn 6.
Ullmann’s Encyclopedia of Industrial Chemistry Wiley– VCH; 2003 p. 487–513.
SHEU D., DUAN K., JOU S., CHEN Y. , CHEN C. W.Production of xylitol from Candida
tropicalis by using na oxidation-reduction potential-stat controlled fermentation.
Biotechnology Letters, Ghent, v.25 p. 2065–2069, 2003.
69
SIDRIM J.J.C. ; ROCHA M.F.G. Micologia médica a luz de autores contemporâneos.
2. ed. Rio de Janeiro Guanabara koogam , 2004..p. 338.
SILVA C.J.S.M.; ROBERTO I.C.. Improvement of xylitol production by Candida
guilliermondii FTI20037 previously adapted to rice straw hemicellulosic hydrolysates.
Letters in Applied Microbiology, Budapest, V. 32 p. 248–252, 2001.
SILVA S.S., FELIPE M.G., MANCILHA I.M.: Factors that affect the biosynthesis of xylitol
by xylose-fermenting yeasts. A review. Applied Biochemistry and Biotechnology,
Totowa, v. 170-72 p. 331-339 1998,
SILVA, C.J.S.M.; ROBERTO, I.C. statisdtical screning method for selection of important
variables in xilitol biosynthesis from rice straw hydrolyzate by candida guillermondii FTI
20037. Biotechnology techniques, Dordrecht, v 13, p. 743-747, 1999.
SILVA, S. S.; VITOLO, M.; MANCILHA, I. M.; ROBERTO, I. C.; FELIPE, M. G. A. Xilitol:
Um adoçante alternativo para a indústria de alimentos. Alimentos e Nutrição,
Araraquara, v.5, p.109-117, 1994.
SILVA, S.S.; FELIPE, M.G.A.; MANCILA, I.M.; factors that afect the biosynthesis of xilitol
by xilose-fermenting yeast. Applied Biochemistry and Biotechnology,Totowa, v.70-
72, p. 331-342, 1998
SILVEIRA M M; JONAS R. The biotechnological production of sorbitol. Applied
Microbiology and Biotechnology, Prague, v. 59, p. 400-408, 2002.
SIRISANSANEEYAKUL, S., STANISZEWSKI, M.; M. RIZZI. Screening of Yeasts for
Production of Xylitol from D-Xylose. Journal of Fermentation and Bioengineering,
Osaka, V. 80 p. 565-570, 1995.
SKOOG, K., B.HAHN-HAGERDAL.. Xylose fermentation. Enzyme and Microbiology
and Technology, New York, New York, v.10 p. 66-80, 1988.
SWANN, E. C., TAYLOR, J. W.. Toward a phylogenetic systematics of the
basidiomycota: Integrating yeasts and filamentous basidiomycetes using 18S RRNA
gene sequences. Studies in Mycology, Utrecht, v. 38 p. 147-161, 1995.
TAPIAINEN T; RENKO M; KONTIOKARI T; UHARI M; LUOTONEN L. Xylitol
administered only during respiratory infections failed to prevent acute otitis media.
Pediatrics, Grove Village v. 19, p. 109, 2002
TAPIAINEN T; RENKO M; KONTIOKARI T; UHARI M. Xylitol concentration in the saliva
of children after chewing xylitol gum or consuming a xylitol mixture. European Journal
of Clinical Microbiology Infection Diseases. Berlin, v. 21 p. 53-55, 2002b .
70
TAYLOR, K. B., BECK, M. J., HUANG, D. H. & SAKAI, T. T. The fermentation of xylose:
studies by carbon-13 nuclear magnetic resonance spectroscopy. Journal of lndusrial
Microbiology, Berlin v.6, p.29-41. 1990.
TENGERDY, R.P.; SZAKACS. Bioconversion of lignocellulose in solid substrate
fermentation. Biochemical Engineering Journal, Lausanne, v. 13, p. 169-179, 2003.
TRINDADE C.P. Efeito do uso de goma de mascar contendo xilitol sobre os niveis
salivares de estreptococos do grupo mutans, sobre os genótipos de S. mutans e
sobre a presença de amostras xilitol-tolerantes na saliva. 2005. 111p. Tese
(Doutorado em Odontologia) Faculdade de odontologia de Bauru , Universidade de
São Paulo, Bauru, 2005.
UENG, P. P., HUNTER, C. A., GONG, C. S. & TSAO, G. T. D-xylulose fermentation in
yeasts. Biotechnology Letters, Ghent, v.3, n.6 , p. 315-320 1981.
VAN DE PEER, Y., ROBBRECHT, E., DE HOOG, S., CAERS, A., DE RIJK, P., DE
WACHTER, P. Database on the structure of small subunit ribosomal RNA. Nucleic
Acids Research, Oxford, v.27 p. 179-183, 1999.
VAN DIJKEN J.P, SCHEFERS W.A.S. Redox balances in the metabolism of sugars by
yeasts
.
FEMS Microbiology Reviews, Malden, v. 32 p. 199– 224, 1986.
VANDESKA E, AMARTEY S, KUZMANOVA S, JETTRIES TW. Fed batch culture for
xylitol production by Candida biodinii. Process Biochemistry, Quebec, v.31 p. 265–270
1996.
VANDESKA E., AMARTEY S., KUZMANOVA S. JEFFRIES T.. Effects of environmental
conditions on production of xylitol by Candida boidinii. World Journal of Microbiology
and Biotechnology. Seoul, v.11 p. 213–218, 1995.
VANDESKA, E., KUZMANOVA, S. JEFFRIES, T. W. Xylitol formation and key enzyme
activities in Candida boidinii under different oxygen transfer rates. Journal of
Fermentation and Bioengineering, Osaka, v. 80, p. 513-516, 1995.
VONGSUVANLERT. V.,:. TANI. Xylitol production by a methanol yeast, Candida boidinii
(Kloeckera sp.). Journal Fermentation and Bioengineering, Osaka, v. 67 p. 35-39,
1989.
WALKER, G. M. Introduction to yeasts. Yeast physiology and biotechnology.
Chicester: John Wiley & Sons, 1998.p 1-10.
WALTHER T, HANSIRISAK P, AGBLEVOR FA. The influence of aeration and
hemicellulosic sugar on xylitol production by Candida tropicalis. Bioresearch
Technology, Fayetteville, v.76 p. 213–220, 2001.
71
WATSON, N. E., B. A. PRIOR, AND P.M. LATEGAN.Oxygen requirements for D-xylose
fermentation to ethanol and polyols by Pachysolen tannophilus. Enzyme Microbiology
Technology. Atlanta, v. 6 p. 447-450, 1984.
WEST T. P. Xylitol production by Candida species grown on a grass Hydrolysate World
Journal of Microbiology and Biotechnology, Seoul, v. 25, n. 5, p. 913-916, 2009.
WINKELHAUSAN E, KUZMANOVA S. Redox balances in the metabolism of sugars by
yeasts. Microbial conversion of d-xylose to xylitol. Journal of Fermentation and
Bioengineering, Osaka, v. 86 p. 1–14, 1998.
WINKELHAUSEN. E S. KUZMANOVA. Microbial conversion of D-xylose to xylitol.
Journal of Fermentation and Bioengineering, Osaka, V. 86 n.1, p. 1-14, 1998..
YAHASHI Y, HORITSU H, KAWAI K, SUZUKI, T., TAKAMIZAWA K.. Production of xylitol
from d-xylose by candida tropicalis: the effect of d-glucose feeding. Journal of
Fermentation and Bioengineering, Osaka, v. 81 p. 142-148, 1996.
______. Production of xylitol from D-xylose by Candida tropicalis: the effect of D-xylose
feeding. Journal of Fermentation Technology, New York, v.81 p. 148-152, 1996.
YOSHITAKE, J.; ISHIZAKI, H.; SHIMAMURA, M.; IMAI T.. Xylitol production by an
Enterobacter species. Agricultural and Biological Chemistry, Tokyo, v. 37 p. 2261-
2267, 1973.
YOSHITAKE, J., H. O.; SHIMAMURA M. Production of polyalcohol by a
Corynebacterium sp. Part I. Production of pentol from aldopentose. Agricultural and
Biological Chemistry, Osaka, v. 35 p. 905-911, 1971.
ZAGUSTINA, N. A.; RODIONOVA, N. M.; MESTECHKINA, V. D.; SHCHERBUKHIN, A.
M. Xylitol production by a culture of Candida guilliermondii 2581. Applied Biochemistry
and Microbiology, New york, v. 37, n. 5, p. 489–492, 2001.
72
73
ANEXOS
74
75
Anexo A - Produção de biomassa de levedura em meio UPX em diferentes tempos a
30°C a 120 rpm
Tempo Biomassa de leveduras (g/L)
(horas) IZ 1339
1
IZ 1824
2
FTI 200-
37
3
MVP 03
1
MVP 40
1
MVP 16
1
MVP 17
4
MVP 21
4
Média
0
0.16
Ca
0.21
C a
0.22
Ca
0.18
Ca
0.14
Ca
0.15
Da
0.08
Da
0.11
Da
0.16
D
24
2.83
Ba
1.76
Bbc
2.76
Bab
2.61
Bab
2.84
Ba
2.93
Ca
1.52
Cc
2.
20
Cabc
2.43
C
48
3.77
ABab
3.71
Ab
4.39
Aab
4.47
Aab
4.73
Aa
4.53
Bab
2.70
Bc
3.86
Bab
4.02
B
72
4.13
Abc
4.15
Abc
4.93
Ab
4.56
Ab
4.39
Ab
6.00
Aa
3.29
ABc
4.88
Ab
4.61
A
96
4.47
Abcd
4.20
Acd
4.96
Abc
4.39
Abcd
4.90
Abc
6.47
Aa
3.72
Ad
5.20
Aab
4.72
A
Média
3.07
bc
2.81
c
3.45
b
3.24
b
3.40
b
4.02
a
2.26
d
3.25
b
1
Kluyveromyces marxianus;
2
Candida tropicalis;
3
Candida guilhermondii;
4
Candida rugosa. Médias
diferem estatisticamente pelo teste de Tukey (5%) minúsculas para linhas e maiúsculas para coluna.
Anexo B - Concentração de xilose consumida em meio UPX em diferentes tempos a
30°C a 120 rpm
Tempo Concentração de xilose (g/L)
(horas) IZ 1339
1
IZ 1824
2
FTI 200-37
3
MVP 03
1
MVP 40
1
MVP 16
1
MVP 17
4
MVP 21
4
Média
0
51.03
Aa
51.03
Aa
51.03
Aa
51.03
Aa
51.03
Aa
49.58
Aa
49.46
Aa
49.46
Aa
50.44
A
24
38.79
Bb
33.98
Bc
26.22
Be
27.08
Be
30.56
Bd
32.53
Bc
46.25
Ba
45.81
Ba
35.53
B
48
32.39
Cb
22.67
Cc
3.63
Ce
3.06
Ce
8.92
Cd
5.96
Cd
39.92
Ca
40.16
Ca
19.94
C
72
26.09
Db
14.24
Dc
0.41
Dd
0.00
Dd
0.00
Dd
0.04
Dd
37.70
Da
35.88
Da
14.30
D
96
19.07
Eb
10.12
Ec
0.00
Dd
0.00
Dd
0.00
Dd
0.00
Dd
33.20
Ea
31.45
Ea
11.73
E
Média
33.47
b
26.41
c
16.26
e
16.23
e
18.10
d
18.77
d
41.31
a
40.55
a
1
Kluyveromyces marxianus;
2
Candida tropicalis;
3
Candida guilhermondii;
4
Candida rugosa. Médias
diferem estatisticamente pelo teste de Tukey (5%) minúsculas para linhas e maiúsculas para coluna.
76
Anexo C - Concentração de xilitol produzido em meio UPX em diferentes tempos a 30°C
a 120 rpm
Tempo Concentração de xilitol (g/L)
(horas) IZ 1339
1
IZ 1824
2
FTI 200-37
3
MVP 03
1
MVP 40
1
MVP 16
1
MVP 17
4
MVP 21
4
Média
0
0.00
Ca
0.00
Ba
0.00
Ea
0.00
Da
0.00
Da
0.00
Da
0.00
Aa
0.00
Aa
0.00
D
24
5.52
Bc
4.38
Ac
15.04
Da
16.41
Ca
13.75
Ca
10.60
Cb
0.17
Ad
0.13
Ad
8.25
C
48
6.50
ABc
6.18
Ac
28.86
Aa
29.15
ABa
25.49
Bb
28.62
Ba
0.53
Ad
0.69
Ad
15.75
B
72
7.18
ABd
5.14
Ad
23.59
Cc
28.23
Bb
29.77
Aab
30.90
ABa
0.72
Ae
1.17
Ae
16.02
B
96
8.44
Ac
5.76
Ac
26.18
Bb
31.31
Aa
30.78
Aa
32.36
Aa
1.01
Ad
1.55
Ad
16.99
A
Média
5.53
c
4.29
d
18.73
b
21.02
a
19.95
a
20.49
a
0.49
e
0.71
e
1
Kluyveromyces marxianus;
2
Candida tropicalis;
3
Candida guilhermondii;
4
Candida rugosa. Médias diferem estatisticamente pelo teste de Tukey (5%) minúsculas para linhas e
maiúsculas para coluna.
Livros Grátis
( http://www.livrosgratis.com.br )
Milhares de Livros para Download:
Baixar livros de Administração
Baixar livros de Agronomia
Baixar livros de Arquitetura
Baixar livros de Artes
Baixar livros de Astronomia
Baixar livros de Biologia Geral
Baixar livros de Ciência da Computação
Baixar livros de Ciência da Informação
Baixar livros de Ciência Política
Baixar livros de Ciências da Saúde
Baixar livros de Comunicação
Baixar livros do Conselho Nacional de Educação - CNE
Baixar livros de Defesa civil
Baixar livros de Direito
Baixar livros de Direitos humanos
Baixar livros de Economia
Baixar livros de Economia Doméstica
Baixar livros de Educação
Baixar livros de Educação - Trânsito
Baixar livros de Educação Física
Baixar livros de Engenharia Aeroespacial
Baixar livros de Farmácia
Baixar livros de Filosofia
Baixar livros de Física
Baixar livros de Geociências
Baixar livros de Geografia
Baixar livros de História
Baixar livros de Línguas
Baixar livros de Literatura
Baixar livros de Literatura de Cordel
Baixar livros de Literatura Infantil
Baixar livros de Matemática
Baixar livros de Medicina
Baixar livros de Medicina Veterinária
Baixar livros de Meio Ambiente
Baixar livros de Meteorologia
Baixar Monografias e TCC
Baixar livros Multidisciplinar
Baixar livros de Música
Baixar livros de Psicologia
Baixar livros de Química
Baixar livros de Saúde Coletiva
Baixar livros de Serviço Social
Baixar livros de Sociologia
Baixar livros de Teologia
Baixar livros de Trabalho
Baixar livros de Turismo