
69
Com referência às hexoses, os ensaios que resultaram em maior concentração
foram 3º, 4º e 8º. No 4º ensaio a temperatura utilizada foi 38,3°C e a concentração de
ácido 1,04%.
Verificou-se que o 3º ensaio (29,8°C/1,04%) resultou em uma maior
concentração de açúcares totais (11,6860 g/L), seguido do 8º ensaio (34°C/1,2%) com
concentração de 9,8165 g/L.
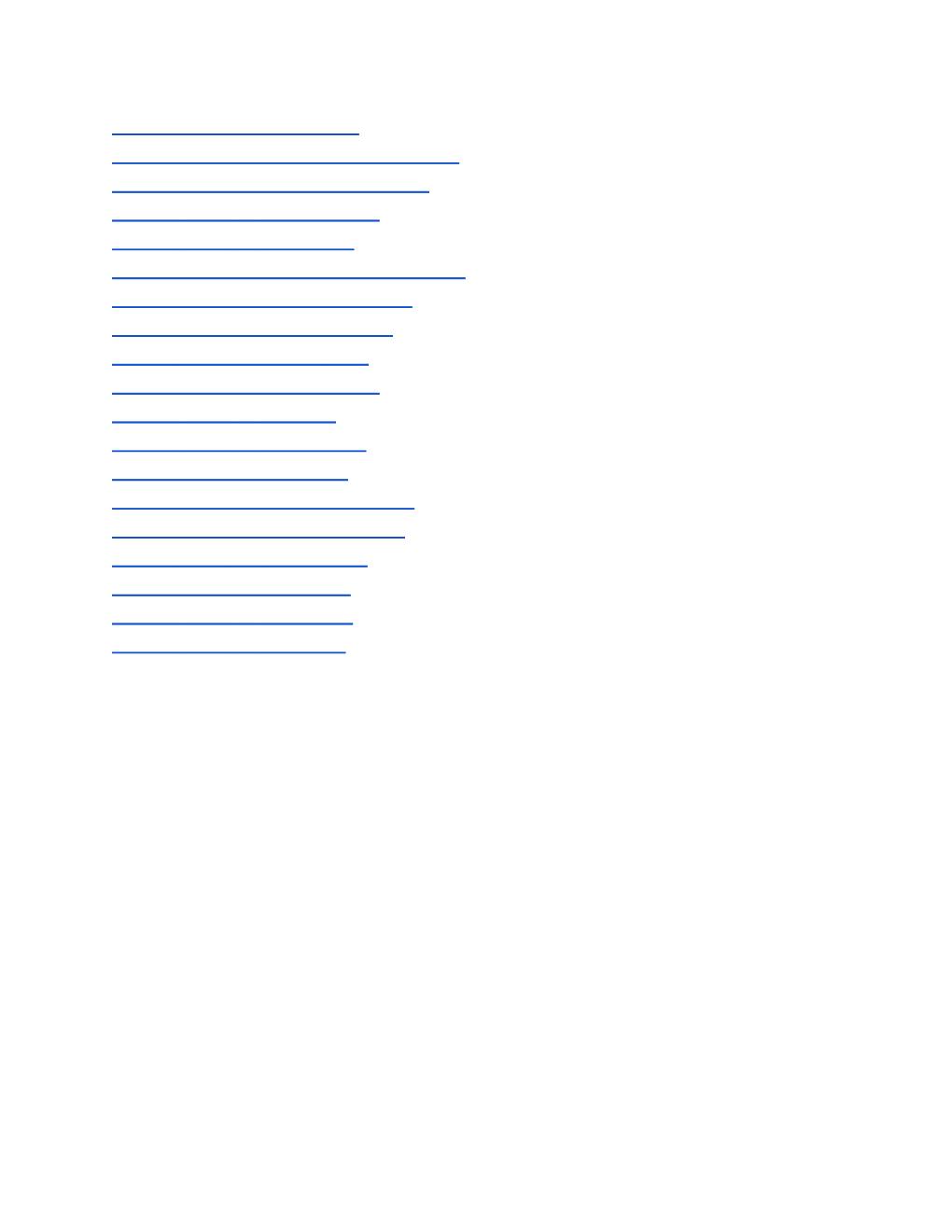
Tabela 18- Concentração de açúcares fucose, arabinose, galactose, glicose, xilose, pentoses (C5),
hexoses (C6) e açúcares totais em bagaço moído pré-tratado hidrolisado
por T. reesei em
tratamento fatorial 2²
Ensaio
(°C/[H
2
SO
4
])
Fucose
g/L
Arabinose
g/L
Galactose
g/L
Glicose
g/L
Xilose
g/L
Pentoses
g/L
Hexoses
g/L
Açúcares
Totais g/L
1º(29,8/0,26) 0,0089 1,0953 0,0909 0,0332 1,6589 2,7542 0,1330 2,8871
2º(38,3/0,26) 0,0063 1,0906 0,1073 0,0371 2,3706 3,4611 0,1507 3,6119
3º(29,8/1,04) 0,0152 1,5811 0,2855 0,3782 9,4259 11,0070 0,6790 11,6860
4º(38,3/1,04) 0,0104 1,0129 0,2694 0,5297 7,9378 8,9508 0,8096 9,7603
5º(28,0/0,65) 0,0074 0,7551 0,1503 0,1127 6,0442 6,7993 0,2704 7,0697
6º(40,0/0,65) 0,0099 1,0795 0,1575 0,0946 5,8479 6,9274 0,2620 7,1894
7º (34,0/0,1) 0,0062 1,0964 0,0575 0,0196 0,4174 1,5137 0,0832 1,5969
8º (34,0/1,2) 0,0115 1,3187 0,2415 0,3659 7,8789 9,1976 0,6189 9,8165
9º(34,0/0,65) 0,0078 0,8857 0,1646 0,1251 5,9320 6,8176 0,2975 7,1151
10º(34,0/0,65) 0,0093 1,2888 0,2050 0,1654 7,0121 8,3008 0,3797 8,6805
11º(34,0/0,65) 0,0092 0,8934 0,1737 0,1389 7,2439 8,1373 0,3218 8,4591
12º(34,0/0,65) nd 0,4858 0,1048 0,0905 5,0602 5,5460 0,1953 5,7412
Nos resultados obtidos por P. chrysosporium (Tabela 19) na hidrólise do bagaço
moído observou-se que as condições do 3º (29,8°C/1,04%) e 4º ensaios
(38,3°C/1,04%) contribuíram para as maiores concentrações de pentoses, 10,1501 e