Download PDF
ads:
CRISTIANE ALVES DA SILVA
SEGUIMENTO NEUROPSICOMOTOR DE LACTENTES COM
HISTÓRICO DE PREMATURIDADE
FLORIANÓPOLIS/SC
2009
ads:
Livros Grátis
http://www.livrosgratis.com.br
Milhares de livros grátis para download.
UNIVERSIDADE DO ESTADO DE SANTA CATARINA - UDESC
CENTRO DE CIÊNCIAS DA SAÚDE E DO ESPORTE - CEFID
PROGRAMA DE PÓS-GRADUAÇÃO “STRICTO-SENSU” EM
CIÊNCIAS DO MOVIMENTO HUMANO
CRISTIANE ALVES DA SILVA
SEGUIMENTO NEUROPSICOMOTOR DE LACTENTES COM
HISTÓRICO DE PREMATURIDADE
Dissertação apresentada como requisito parcial
para obtenção do grau de Mestre em Ciências
do Movimento Humano, do Centro de
Educação Física, Fisioterapia e Desportos
CEFID, da Universidade do Estado de Santa
Catarina UDESC. Área de concentração:
Estudos Biocomportamentais do Movimento
Humano. Linha de pesquisa: Desenvolvimento
e Aprendizagem Motora.
Orientador: Dr. Francisco Rosa Neto
FLORIANÓPOLIS/SC
2009
ads:
UNIVERSIDADE DO ESTADO DE SANTA CATARINA - UDESC
CENTRO DE CIENCIAS DA SAÚDE E DO ESPORTE - CEFID
PROGRAMA DE PÓS-GRADUAÇÃO “STRICTO-SENSU” EM CIÊNCIAS DO
MOVIMENTO HUMANO
A comissão examinadora, abaixo-assinada, aprova a Dissertação intitulada
SEGUIMENTO NEUROPSICOMOTOR DE CRIANÇAS COM
HISTÓRICO DE PREMATURIDADE
.” elaborada por CRISTIANE ALVES DA
SILVA, como requisito parcial à obtenção do título de Mestre em Ciências do
Movimento Humano.
COMISSÃO EXAMINADORA:
___________________________________
Prof. Dr. Francisco Rosa Neto (UDESC)
Orientador / Presidente
_____________________________
Prof. Dr. Clarice Bissani (UFSC)
Membro
_____________________________
Prof. Dr. Sebastião Iberes Lopes (UDESC)
Membro
__________________________
Profª. Dr. Tatiana Nakano (PUC-CAMPINAS)
Membro
FLORIANÓPOLIS, 2009
AGRADECIMENTOS
Agradeço primeiramente a Deus, razão de toda existência, que me
possibilitou o dom supremo da vida, e me acompanha diariamente nesta caminhada.
Aos meus pais, Ana Cristina e Sérgio, pela oportunidade de viver e de chegar
até aqui, pela força e pelo incentivo, em todas as horas. Por me ensinarem que os
estudos são a porta de um novo horizonte. Simplesmente por serem maravilhosos.
Amo vocês.
Ao meu esposo, Emanuel, pela compreensão nos momentos de ausência,
pela paciência no início de nossa caminhada à dois, pelo carinho dedicado e pelo
ombro amigo sempre presente. Obrigado, meu amor.
Ao meu irmão, Silas, por me agüentar o tempo todo, por ser amigo em todas
as horas, por compreender os momentos de ausência e pela força nos serviços de
computação. Valeu mano.
À minha “manamiga”, Fabi, por compreender meus momentos de ausência.
Por saber que mesmo longe, sempre estive ao seu lado. Pelas palavras de
conselho, pela cumplicidade, pelo companheirismo, pela amizade. Obrigada Amiga.
Aos meus familiares e amigos, obrigado por entenderem, que tudo tem um
tempo, e que neste tempo não pude estar tão perto como gostaria, mas meu
coração estava sempre junto de vocês.
À minha querida amiga Giane, Orientadora, Mestre, exemplo de dedicação,
que me incentivou a dar o primeiro passo, e não me deixou desistir no caminho.
Ao meu orientador, Dr. Francisco Rosa Neto, pela oportunidade e confiança,
pela paciência e por tudo que me ensinou.
Aos membros da banca de avaliação deste trabalho, Drª. Clarice, Drª.
Tatiana, Dr. Sebastião, pelo aceite e pelas sugestões.
Aos colegas do LADEHU, obrigado por comporem esta família tão especial.
Estarei sempre pronta a ajudar.
À querida, Professora Silvia, presente desde a primeira fase da graduação.
Sou feliz em poder aprender a cada dia um pouco mais com você. Você faz parte
desta conquista.
À equipe do NAINPI Núcleo de avaliação e intervenção neuropsicomotora
na primeira infância, vocês sem dúvida, são parte desta história. Obrigada pela mão.
As colegas de mestrado, Karla e Miriam, obrigada, porque sendo tão
diferentes, aprendemos umas com as outras.
Aos mestrandos que passaram, Dani, Caetano, Lisi, Jairo, Gê e Roberto, aos
mestrandos que chegaram, Arthur, Kassandra, Regina e Shei, vamos juntos nesta
caminhada, superando as dificuldades, alcançando nossos objetivos, chegando
longe, não desistindo jamais.
À equipe do Hospital Universitário, pela disponibilidade e eficiência em auxiliar
neste trabalho, em especial Dr. Clarice Bissani, Dr. Anelise S. Souto, Enfermeira
Raquel, Funcionários do ambulatório de Pediatria e à equipe de Residentes.
Aos pais e responsáveis, enfim, a toda a família das crianças que fizeram
parte deste estudo. Por terem contribuído para o desenvolvimento da ciência, e
oportunizado que no futuro, outros bebês, tenham melhores condições de se
desenvolverem devido a este trabalho.
Enfim, a todos que direta o indiretamente, contribuíram para a conclusão
deste trabalho, os meus sinceros agradecimentos.
RESUMO
Buscando conhecer, qual o perfil neuroevolutivo na primeira infância de
crianças com histórico de prematuridade, o objetivo deste trabalho foi avaliar o
seguimento neuropsicomotor de lactentes de 4 a 24 meses, com critérios de risco
neurológico, com base no histórico de prematuridade, junto ao Ambulatório de Alto
Risco em Neonatologia da Divisão de Pediatria do Hospital Universitário (HU/
UFSC). A pesquisa caracteriza-se como descritiva, de desenvolvimento longitudinal.
A população foi constituída por crianças prematuras e de extrema prematuridade,
acompanhadas nos Projetos “Seguimento Maturativo de Crianças de Alto Risco
Biológico” e “Avaliação e Intervenção neuropsicomotora em crianças com histórico
de prematuridade”, realizado no Ambulatório de Alto Risco em Neonatologia do HU/
UFSC, na cidade de Florianópolis/SC, no período de julho de 2005 a julho de 2008.
As crianças foram avaliadas através um formulário padronizado para aquisição de
dados biopsicossociais, respondido pela consulta ao prontuário hospitalar e
entrevista com pais ou responsáveis e da Escala de Desenvolvimento Psicomotor da
Primeira Infância de Brunet-Lèzine. A amostra foi composta por 89 lactentes, e
durante todo o seguimento foram realizadas 250 avaliações, que duraram em média
30 minutos, sendo realizadas em um consultório, na presença dos pais ou
responsáveis. A idade gestacional (IG) média foi de 216,15 dias (mediana=216,
desvio-padrão=17,2), e o pesodio ao nascer foi de 1271,9g com grande variação
entre 515g e 3150g. Quanto ao gênero, 57% foram lactentes do sexo masculino e
43% lactentes do sexo feminino. Quanto à permanência diária da criança,
84,3%(N=75) dos casos apresentaram a mãe como principal cuidadora, fortalecendo
o vinculo mãe-criança, favorecendo a prevenção de distúrbios de
desenvolvimento.Quanto as intercorrências pré-natais, estas estiveram presentes
em 68,3% das gestações, e destas a principal foi a Pré Eclampsia (25,3% N=23),
seguida das infecções, presentes em 12,1% (N=11) das gestantes. Quanto à
classificação do recém nascido evidenciou que 27,6% foram classificados PIG, 51%
tinham Muito baixo peso ao nascer, e 27% apresentavam Extremo baixo peso ao
nascer, aumentando a predisposição ao risco de seqüelas no desenvolvimento.
Houveram intercorrências neonatais em 85% dos casos, das mais diversas, que
podem estar influenciando negativamente o desenvolvimento neuropsicomotor dos
lactentes, especialmente aqueles eu apresentaram associações de intercorrências
(59,3%). Na primeira avaliação do Desenvolvimento Neuropsicomotor, tivemos uma
freqüência de 89 lactentes, porém, apenas 65 lactentes caracterizaram o
seguimento, perfazendo 73% com duas avaliações, 57,3% (N=51) com três, 33,7%
(N=30) com uma quarta avaliação, e 16,8% (N=15) que chegaram a ter cinco
avaliações em um período de até dois anos. Com a avaliação do desenvolvimento,
observou-se QDG (N=47) classificado em Normalidade Média (NM), na sua maioria
(52,8%), porém, chama-nos a atenção os 28,5% abaixo da normalidade. O QDC foi
NM, para 38,2%, porém 43,8% ficaram abaixo do esperado. Sendo esta a área que
apresentou pior classificação, seguida pela área da linguagem. Após a quinta
avaliação, em um seguimento médio de 12 meses, pode-se observar que o QDP foi
classificado acima da Normalidade, para 73,3% dos casos, com apenas 1 caso
(6,6%) de Inferioridade. Para o QDC, a classificação em NM esteve presente em
66,6%, diminuindo expressivamente para 6,6%, a classificação abaixo do normal.
Sendo assim, a área que apresentou maior evolução no desenvolvimento
neuropsicomotor. A área da linguagem também apresentou expressiva evolução,
com 60% dos lactentes acima da média, e 20% de casos em NM. o QDS não
apresentou casos de inferioridade na quinta avaliação, apresentando 53,3%
classificados em NM, e 6,6,% em zona limite (n=1). Assim sendo a Classificação do
desenvolvimento Global dos lactentes que chegaram a quinta avaliação evidenciou
60% dos lactentes dentro da média, com classificação NM e 40% acima da Média,
não evidenciando casos de atraso no desenvolvimento. Os Quocientes de
Desenvolvimentos foram analisados aos pares, através do Teste t pareado, e não
foram encontradas diferenças estatisticamente significativas. pode-se observar, que
todas as avaliações apresentaram a mesma linearidade, sendo sempre a área da
Coordenação óculomotriz, a de menores escores, seguida pela área da Linguagem.
Ao correlacionar os quocientes de desenvolvimento, verificamos na sua maioria,
correlações moderadas, estatisticamente significativa, através da Correlação linear
de Pearson.
Palavras-chave: Prematuridade. Risco neurológico. Desenvolvimento
neuropsicomotor. Escala de Brunet-Lèzine.
ABSTRACT
Seeking know what neuroevolutivo profile in early childhood of children with a
history of prematurity, the objective of this study was to evaluate the follow
neuropsychomotor of children 4 to 24 months, with risk of neurological criteria, based
on a history of prematurity, with the High Risk Clinic at the Division of Pediatric
Neonatology at University Hospital (HU/ UFSC). The research is characterized as
descriptive, and longitudinal development. The population was composed of
extremely premature children and of prematurity, with the Project "Maturity follow of
Children with High Biological Risk" and "Assessment and Intervention
neuropsychomotor in children with a history of prematurity, held in the High Risk
Clinic at the Neonatology of the HU / UFSC, in the city of Florianópolis / SC, from
July 2005 to July 2008. The children were assessed by a standardized form for
acquisition of biopshychosocial data, answered by the consultation to the hospitalar
handbook and an interview with parents or guardians, and the Psychomotor
Development Scale of the Early Childhood (Brunet-Lèzine). The sample comprised
89 infants, and throughout the following assessments were 250 evaluations, which
lasted on average 30 minutes and is performed in an office in the presence of parent.
The gestational age mean was 216,15 days (MED = 216, standard deviation = 17,2),
and birth weight was 1271.9 g with great variation between 515g and 3150g.
Regarding gender, 57% were male infants and 43% in female infants. The child's
daily permanence have, 84.3% (N = 75) of cases showed the mother as primary
caregiver, strengthening the parent-child bond, promoting the prevention of disorders
of development. As the pre-natal complications, they were present in 68.3% of
pregnancies, and the main one was Pre Eclampsia (25,3% N = 23), followed by
infections, present in 12,1% (N = 11) of pregnant women. The newborn classification
showed that 27,6% were classified PIG, 51% had very low birth weight and 27%
were Extremely low birth weight, increasing the willingness to risk the development of
sequelae. There were complications in 85% of neonatal cases, several of which may
be negatively influencing the neuropsychomotor development of infants, especially
those I had associations of complications (59,3%). In the first evaluation of
neuropsychomotor development, had a frequency of 89 infants, however, only 65
infants characterized the follow-up evaluations with 73%, 57.3% (N = 51) with three,
33.7% (N = 30 ) with a fourth assessment, and 16.8% who came to have five
evaluations over a period of two years. With the assessment of development, there
was QDG (N = 47) classified as normal average (NA), the majority (52.8%), however,
draws us to the attention of 28.5% below average. The QDC was NM, to 38.2%, but
43.8% were below expectations. Being the area that showed worse rating, followed
by the area of language. After the fifth assessment in an average follow up of 12
months, you can see that the QDP was rated above the norm for 73.3% of cases,
with only 1 case (6.6%) of inferiority. For the QDC, the classification in NA was
present in 66.6%, decreasing significantly to 6.6%, the classification below normal.
Thus, the area that showed greater progress in developing neuropsychomotor. The
area of language also made significant progress, with 60% of infants above average,
and 20% of cases in NA. QDS has not had cases of inferiority in the fifth assessment,
presenting 53.3% classified as NA, and 6.6% in zone limit (n = 1). Thus the
development of Global Classification of infants who reached the fifth assessment
showed 60% of infants in the middle, NM with rating and 40% above the average,
showing no cases of delayed development. The ratio of expansions were analyzed in
pairs by paired t test, and differences were not statistically significant. you can see
that all the assessments showed the same linearity and is always the area of
coordination óculomotriz, the scores of children, followed by the area of language. To
correlate the ratios of development, found in most, moderate correlations, statistically
significant by Pearson's linear correlation.
Key-words: Prematurity. Neurologic risk. Pshychomotor development. Brunet-Lèzine
Scale.
LISTA DE ABREVIATURAS
RN – Recém nascido.
RNPT – Recém nascido pré-termo.
IG – Idade Gestacional.
IP – Índice de prematuridade.
DNPM – Desenvolvimento Neuropsicomotor.
GIG – Grande para a idade gestacional.
PIG – Pequeno para a idade gestacional.
AIG – Adequado para a idade gestacional.
IC – Idade cronológica.
ICC – Idade cronológica corrigida.
EBP - Extremo Baixo Peso.
IDP e QDP Idade de Desenvolvimento Postural e Quociente de Desenvolvimento
Postural.
IDC e QDC - Idade de Desenvolvimento da Coordenação óculomotriz e Quociente
de Desenvolvimento da Coordenação óculomotriz.
IDL e QDL - Idade de Desenvolvimento de Linguagem e Quociente de
Desenvolvimento de Linguagem.
IDS e QDS Idade de Desenvolvimento Social e Quociente de Desenvolvimento
Social.
IDG e QDG - Idade de Desenvolvimento Global e Quociente de Desenvolvimento
Global.
LISTA DE FIGURAS
Figura 1
Imagem do Kit de avaliação do Desenvolvimento da Escala de
Brunet- Lèzine..............................................................................
66
Figura 2 Ilustração regional do Estado, em relação a demanda atendida.
74
LISTA DE QUADROS
Quadro 1
Escala de Classificação do Desenvolvimento ...........................
67
LISTA DE GRÁFICOS
Gráfico 1 – Porcentagem dos grupos de prematuros ..................................... 71
Gráfico 2
Principais cuidadores até o 2° ano de vida .................................. 72
Gráfico 3
Classificação do peso ao nascer ..................................................
77
Gráfico 4
Idades de desenvolvimento média na primeira avaliação.............
83
Gráfico 5
Classificação do Quociente de desenvolvimento na primeira
avaliação........................................................................................
84
Gráfico 6
Idades médias de desenvolvimento na primeira e segunda
avaliação........................................................................................
85
Gráfico 7
Classificação dos Quocientes de Desenvolvimento da Segunda
avaliação........................................................................................
86
Gráfico 8
Idades médias de desenvolvimento nas três primeiras
avaliações......................................................................................
87
Gráfico 9 Classificação dos Quocientes de De
senvolvimento da Terceira
avaliação........................................................................................
88
Gráfico 10
Médias de Idades de desenvolvimento nas quatro primeiras
avaliações.
..............................................................................................................................
90
Gráfico 11
avaliação .......................................................................................
91
Gráfico 12
avaliações
...............................................................................................................................
92
Gráfico 13
Cla
ssificação dos Quocientes de Desenvolvimento da quinta
avaliação .......................................................................................
94
Gráfico 14
Evolução do Desenvolvimento Neuropsicomotor por áreas..........
98
Gráfico 15
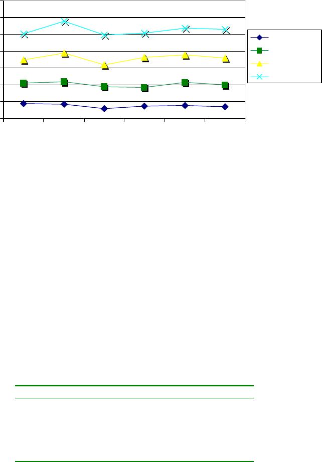
Médias dos QDs durante o seguimento neuropsicomotor............ 100
Gráfico 16
Quocientes de desenvolvimento aos pares da 1ª e
avaliações......................................................................................
101
Gráfico 17
Quocientes de desenvolvimento aos pares da 1ª e
avaliações......................................................................................
101
Gráfico 18
Quocientes de desenvolvimento aos pares da 1ª e
avaliações......................................................................................
102
Gráfico 19
Quocientes de desenvolvimento aos pares da 1ª e
avaliações......................................................................................
102
LISTA DE TABELAS
Tabela 1 –
Medidas descritivas de Peso, Comprimento e Perímetro cefálico
ao nascer.......................................................................................
71
Tabela 2 Freqüência de Intercorrências neonatais...................................... 79
Tabela 3 Distribuição dos lactentes conforme o numero de avaliações do
desenvolvimento ...........................................................................
81
Tabela 4 Medidas descritivas para dados de crescimento físico na
primeira avaliação..........................................................................
82
Tabela 5 Medidas descritivas dos Quocientes de desenvolvimento da
primeira avaliação..........................................................................
83
Tabela 6 Medidas descritivas para dados de crescimento físico na
segunda avaliação.........................................................................
84
Tabela 7 Dados descritivos de QDs na segunda avaliação......................... 86
Tabela 8 Medidas descritivas para dados de crescimento físico na
terceira avaliação ..........................................................................
87
Tabela 9
Dados descritivos de QDs na terceira avaliação........................... 88
Tabela 10
Medidas descritivas para dados de crescimento físico na quarta
avaliação........................................................................................
89
Tabela 11
Dados descritivos de QDs na quarta avaliação.............................
90
Tabela 12
Medidas descritivas para dados de crescimento físico na quinta
avaliação........................................................................................
92
Tabela 13
Dados descritivos de QDs na quinta avaliação.............................
93
Tabela 14
Resultado dos pareamentos dos QDs através do Teste t
Pareado.........................................................................................
99
Tabela 15
Correlação dos Quocientes de Desenvolvimento globais............. 103
Tabela 16
Correlação entre Quocientes de Desenvolvimento Postural......... 103
Tabela 17
Correlação entre Quocientes de Desenvolvimento Óculomotriz... 104
Tabela 18
Correlação entre Quocientes de Desenvolvimento da
Linguagem.....................................................................................
105
Tabela 19
Correlação entre Quocientes de Desenvolvimento Social............ 105
Tabela 20
Correlação entre Quocientes de Desenvolvimento global e
específicos.....................................................................................
106
LISTA DE ANEXOS
ANEXO A - Formulário de verificação dos dados Biopsicossociais ......................... 57
ANEXO B - Folha de Registro da Escala de Desenvolvimento Psicomotor da
Primeira Infância de Brunet-Lèzine (1981).................................................................62
ANEXO C - Folha de Aprovação do Comitê de Ética em Pesquisa de Seres
Humanos................................................................................................................. 67
SUMÁRIO
1. INTRODUÇÃO..................................................................................................
22
1.1. PROBLEMA .................................................................................... 22
1.2. OBJETIVOS ......................................................................................
24
1.2.1. Objetivo geral ................................................................................
24
1.2.2. Objetivos específicos.....................................................................
24
1.3. HIPÓTESES......................................................................................
25
1.4. JUSTIFICATIVA................................................................................ 25
1.5. DELIMITAÇÃO..................................................................................
27
1.6. LIMITAÇÃO.......................................................................................
27
1.7. DEFINIÇÃO DAS VARIÁVEIS.......................................................... 28
1.8. DEFINIÇÃO DE TERMOS................................................................ 29
2. REVISÃO DE LITERATURA............................................................................
30
2.1. DESENVOLVIMENTO NEUROPSICOMOTOR 30
2.1.1. Conceito...........................................................................................
2.1.2. Características gerais.....................................................................
2.1.3. Fatores intervenientes....................................................................
2.1.4. Marcos neuropsicomotores .........................................................
30
31
32
33
2.1.4.1. Postura........................................................................ 34
2.1.4.2. Coordenação Óculo-motriz............................................. 38
2.1.4.3. Linguagem.................................................................. 39
2.1.4.4. Social......................................................................... 41
2.2. PREMATURIDADE.....................................................................................
42
2.2.1. Etiologia...........................................................................................
2.2.2. A prematuridade como fator de risco...........................................
45
46
2.2.3. Doenças consequentes à Prematuridade ....................................
48
2.3. DESENVOLVIMENTO NEUROPSICOMOTOR DE CRIANÇAS
PREMATURAS........................................................................................
50
2.4. ACOMPANHAMENTO E INTERVENÇÃO NEUROPSICOMOTORA
SOBRE CRIANÇAS PREMATURAS..........................................................
58
3. METODOLOGIA...............................................................................................
62
3.1. CARACTERIZAÇÃO DA PESQUISA.........................................................
3.2. POPULAÇÃO E AMOSTRA.......................................................................
3.3. COLETA DE DADOS.................................................................................
62
62
64
3.3.1. Instrumentos....................................................................................
64
3.4. PROCEDIMENTOS DE COLETA DE DADOS.......................................... 67
3.5. TRATAMENTO ESTATÍSTICO DOS DADOS............................................
68
4. APRESENTAÇÃO E DISCUSSÃO DOS RESULTADOS ...............................
69
4.1. CARACTERISTICAS DO DESENVOLVIMENTO DE CRIANÇAS COM
HISTÓRICO DE PREMATURIDADE..........................................................
69
4.2. FATORES DE RISCO INCIDENTES SOBRE O DESENVOLVIMENTO
DE LACTENTES PREMATUROS...............................................................
74
4.3. AVALIAÇÃO DO DESENVOLVIMENTO NEUROPSICOMOTOR..............
81
4.4. SEGUIMENTO DO DESENVOLVIMENTO NEUROPSICOMOTOR..........
99
5. CONSIDERÕES FINAIS..............................................................................
109
6. REFERÊNCIAS BIBLIOGRÁFICAS ................................................................
111
Anexos...................................................................................................................
121
Apêndices..............................................................................................................
CAPÍTULO I
1. INTRODUÇÃO
1.1 PROBLEMA
Nas últimas décadas, especialmente após os anos 80, têm se verificado
avanços no que diz respeito às condutas obstétricas e cuidados intensivos
neonatais, os quais têm possibilitado aumento da sobrevida de crianças de alto risco
neurológico, em especial os prematuros que cada vez mais constituem população-
alvo de ambulatórios de pediatria.
A condição de alto risco engloba a presença de fatores biológicos e sociais
que, incidem no período pré, peri e/ou pós-natal, e proporcionam maior
probabilidade à criança, de manifestar déficits no seu desenvolvimento, podendo
resultar em atraso neuropsicomotor, com anormalidades na aquisição de habilidades
motoras, cognitivas e psicossociais (PÓO-ARGÜELLES, CAMPISTOL-PLANA e
IRIONDO-SANZ, 2000).
Segundo Gregório et. al. (2002), a significativa redução da mortalidade de
crianças prematuras evidenciada nas duas últimas décadas, acompanhada da
manutenção dos índices de morbidade pós-natal, tem originado o que a literatura
passa a designar como “novas morbidades”, pela maior probabilidade para desvios
de desenvolvimento e seqüelas sensório-motoras, fatores etiogênicos de ulteriores
distúrbios de aprendizagem e comportamento.
De acordo com a Organização Mundial de Saúde OMS (apud MIRANDA,
RESEGUE e FILGUEIRAS, 2003), a presença de fatores negativos intervenientes no
desenvolvimento infantil engloba pelo menos 10% das crianças de qualquer país.
23
Em referência aos fatores de alto risco, a prematuridade tem incidência variante de
10% a 43% na América Latina, com índice em torno de 11% no Brasil (BENZECRY,
OLIVEIRA e LEMGRUBER, 2000).
Dentre os bebês que sobrevivem mediante o aumento dos cuidados
neonatais, estes são divididos por alguns autores, em dois grupos: os de alto risco e
os de baixo risco. Dentre os critérios de baixo risco, definidos por Barbosa et al.
(1993), encontramos a prematuridade de bebês com mais de 32 semanas
gestacionais, e maiores de 1500 g, e dentre os critérios de alto risco, encontramos
os bebês prematuros com peso menor ou igual a 1500g ou idade gestacional inferior
ou igual a 32 semanas gestacionais, entre outros. Contudo, esta classificação não é
unânime.
Casas et al. (2003), afirmam que a idade gestacional é o fator mais
determinante no aparecimento de seqüelas, havendo maior correlação de seqüelas
com um maior grau de imaturidade do que com a ocorrência de baixo peso.
Prematuros, ao nascer, possuem as habilidades próprias de sua etapa de
amadurecimento; porém, sua exposição aos cuidados intensivos neonatais e uma
história interacional tão antecipada exigem a participação de competências ainda
não existentes, sobrecarregando seu processo de desenvolvimento integral. Equipes
encarregadas de cuidá-los após a alta hospitalar, devem estar atentas para detectar
e intervir sempre que necessário, sendo fundamental o conhecimento das principais
dificuldades e dos parâmetros neuropsicomotores de bebês prematuros, que serão
conhecidas mediante avaliações precoces do desenvolvimento neuropsicomotor
(MÉIO et al. 2004).
Para o acompanhamento da saúde de crianças que, por sua história
pregressa e/ou contemporânea, se encaixam nesse perfil, têm sido organizados
serviços de Acompanhamento, cujos reflexos o vistos desde a humanização do
atendimento em Unidades de Terapia Intensiva Neonatais (UTIN) até a detecção de
anormalidades e devido encaminhamento terapêutico durante a infância (SILVA,
1995; PÓO-ARGÜELLES, CAMPISTOL-PLANA e IRIONDO-SANZ, 2000), atuando
preventivamente em relação a déficits futuros.
que se destacar que a definição de baixo ou alto risco para o
desenvolvimento não é plenamente consensual entre os autores da área, sendo
importante à verificação da relação entre grau de prematuridade com características
24
do desenvolvimento neuropsicomotor. Isto pode permitir o estabelecimento mais
aprimorado da definição de alto e baixo risco em relação à idade gestacional.
Considerando quão vulnerável é o desenvolvimento de crianças prematuras,
o presente trabalho busca analisar a evolução do Desenvolvimento Neuropsicomotor
de infantes de 4 à 24 meses, com histórico de prematuridade, incluídos num
programa de acompanhamento ambulatorial, procurando responder ao seguinte
questionamento: Qual o perfil neuroevolutivo na primeira infância de crianças com
histórico de prematuridade acompanhadas no Ambulatório de Alto Risco em
Neonatologia da Divisão de Pediatria do Hospital Universitário da Universidade
Federal de Santa Catarina?
1.2 OBJETIVOS
1.2.1 Objetivo geral
Avaliar o seguimento neuropsicomotor de lactentes de 4 à 24 meses, com
critérios de risco neurológico, com base no histórico de prematuridade.
1.2.2. Objetivos específicos
Descrever características biopsicossociais, das crianças dos grupos de estudo;
Identificar os principais fatores de risco incidentes na população estudada;
Analisar como se comporta o desenvolvimento de lactentes com histórico de
prematuridade, ao longo de três anos;
Determinar as idades de desenvolvimento e quocientes de desenvolvimento,
nas áreas: Postural, Coordenação Óculo-motriz, de Linguagem, Social e Global, das
crianças avaliadas;
Verificar se existe diferença significativa entre os quocientes de
desenvolvimento nas áreas avaliadas, em diferentes momentos do seguimento.
25
1.3 HIPÒTESES
O perfil neuroevolutivo na primeira infância das crianças com histórico de
prematuridade é peculiar ao seu nível de maturação e difere dos das crianças a
termo, durante os primeiros meses, igualando-se a este durante os primeiros anos
de vida.
O desenvolvimento de crianças com histórico de pré-maturidade, comporta-se
de maneira variável ao longo de três anos, sofrendo maiores influências durante os
primeiros meses de vida.
1.4 JUSTIFICATIVA
A prevenção, a cada dia, vem ganhando maior espaço na área da saúde, de
forma gradual e progressiva. Embora no Brasil a assistência à saúde ainda tenha
forte embasamento na prevenção “terciária”, em que é priorizada a reabilitação se
incapacidades estiverem instaladas, os níveis “primário” e “secundário”, em que o
desenvolvimento global é oportunizado beneficiando o acompanhamento sistemático
de populações de risco, bem como a identificação precoce e o tratamento dos
fatores negativos à sua progressão, vêm tornando-se mais expressivos.
O desenvolvimento neuropsicomotor do neonato de alto risco pode não
apresentar anormalidades em decorrência da pouca expressividade de seu cérebro
imaturo; porém, à medida que seu desenvolvimento progride, os desvios podem se
fazer presentes, revelando a importância de um seguimento evolutivo prévio (PÓO-
ARGÜELLES, CAMPISTOL-PLANA E IRIONDO-SANZ, 2000).
Assim, necessidade de se conhecer os distintos parâmetros
neuropsicomotores de crianças com diferentes graus de prematuridade, orientando a
opção deste estudo pela análise de dois grupos, selecionando crianças prematuras
(baixo risco neurológico) e de extrema prematuridade (alto risco neurológico).
A avaliação do desenvolvimento Neuropsicomotor em diferentes idades, e em
diferentes grupos, vem delimitar os parâmetros de cada grupo estudado a fim de
26
prevenir ou amenizar o aparecimento de seqüelas, sejam estas motoras ou
neurológicas, que venham prejudicar o desenvolvimento da criança.
A afirmação de Olhweiler, Silva e Rotta (2002), nos diz que a avaliação
neurológica de bebês é peculiar, dado que é necessário distinguir as diferentes
etapas do desenvolvimento, que incluem o Recém Nascido Pré-termo e a Termo
(RNPT e RNT), o lactente, o menino e o adolescente, de forma a identificar
características específicas dessa população e possibilitar a intervenção precoce
quando necessária (ZANINI et al., 2002).
Considerando o impacto das aquisições motoras do primeiro ano de vida no
prognóstico do desenvolvimento global da criança (MANCINI et. al., 2002), o
acompanhamento de tais aquisições nessa faixa etária é de grande importância em
termos preventivos, assim como a intensidade do desenvolvimento lingüístico
característico do segundo ano de vida justifica o acompanhamento evolutivo nesta
faixa etária.
Partindo desse princípio a fim de aprimorar a intervenção do Desenvolvimento
Neuropsicomotor (DNPM) em programas de estimulação essencial, a
esquematização de um protocolo e condutas de avaliação, bem como o
conhecimento dos parâmetros neuropsicomotores das crianças prematuras, pode
fornecer melhores subsídios à determinação de objetivos e condutas
intervencionistas.
Conhecer os parâmetros neuropsicomotores pode também, timidamente
justificar condutas obstétricas, visto que avaliações precoces em recém nascidos
prematuros podem confirmar que existem possibilidades destas acompanharem o
desenvolvimento neuropsicomotor de crianças a termo ou de prematuridade
moderada, onde fala-se em catcht-up, ou seja uma aceleração no desenvolvimento,
ou crescimento recuperador (GARCÍA et al., 2003), que torná-las-ão capazes de,
mediante intervenção, acompanhar o desenvolvimento esperado para crianças não
prematuras. Estas evidências poderão auxiliar obstetras no momento de optarem
pelo parto prematuro, quando houver risco de morte eminente, tanto para a e
como para a própria criança, visto que dependendo do grau de prematuridade do
bebê, este poderá acompanhar o desenvolvimento a termo, salvo condições clínicas
desfavoráveis (AMIEL-TISON; GRENIER, 1988).
Tais fatos associam-se a ânsia pessoal de conhecer parâmetros
neuropsicomotores de populações específicas, neste caso prematuros, a fim de
27
proporcionar adequadas condições de tratamento a estas crianças, e aprimorar
conhecimentos sobre o desenvolvimento neuropsicomotor, principalmente em
populações especiais.
1.5 DELIMITAÇÃO
O estudo foi delimitado em avaliar os parâmetros neuropsicomotores nas
áreas, postural, óculomotriz, social, de linguagem e global, de crianças de 4 à 24
meses, com histórico de prematuridade ou extrema prematuridade, acompanhadas
no Ambulatório de Alto Risco em Neonatologia da Divisão de Pediatria do Hospital
Universitário Polydoro Ernani de São Thiago (HU), da Universidade Federal de Santa
Catarina (UFSC), no período compreendido entre Julho de 2005 e Julho de 2008.
1.6 LIMITAÇÃO
A passagem da criança por períodos de convalescença ou a presença de
patologias, pode ter comprometido a desenvoltura da criança, embora tenha sido fator
de exclusão para o estudo a observação deste item. Pouca familiarização do lactente
com o examinador e com os objetos constituintes do “Kit” de avaliação também pode
ser fator limitante, pois este não compreende o objetivo do estudo, e pode chorar
estranhando o examinador ou recusar-se a participar da atividade proposta.
A fidedignidade das respostas às questões do formulário de inquirição direta
aos pais ou responsáveis da criança (tais como, idades de aquisição de marcos
motores, hábitos maternos como fumo ou outro tipo de drogas, intercorrências
gestacionais, relacionamentos afetivos, criança planejada ou não, desejada ou não,
entre outras...) também pode ser considerada um fator de limitação à obtenção dos
resultados, pois estes são os detentores das informações verídicas, e a omissão de
algumas informações pode limitar o acesso aos dados da criança, não sendo possível
à correlação de alguns dados, avaliados com os do questionário.
28
1.7 DEFINIÇÃO DAS VARIÁVEIS
Prematuridade de acordo com a Organização Mundial da Saúde (OMS) é a
definição para toda criança nascida antes de 37 semanas de gestação
(PITREZ e PITREZ, 1998).
Extrema prematuridade caracteriza o nascimento pré-termo em que a idade
gestacional é inferior a 32 semanas, o que configura condição de alto risco
neurológico (G.A.T, 2000).
o Operacionalmente, as variáveis prematuridade e extrema
prematuridade, foram obtidas pela consulta aos dados do nascimento
constante no prontuário hospitalar da criança.
Parâmetros neuropsicomotores: agrega indicadores do Desenvolvimento
Neuropsicomotor, o qual pode ser definido como um processo contínuo
caracterizado pela maturação neurológica e funcional dos sistemas orgânicos,
envolvendo a diferenciação e a integração do sistema Sensório-Motor
(CHAZAUD, 1978).
o Operacionalmente, serão observados a partir dos escores de Idades e
Quocientes de Desenvolvimento nas áreas Postural, Óculo-Motriz,
Linguagem, Social e seu equivalente Global, determinados pela
avaliação realizada com a Escala de Desenvolvimento Psicomotor da
Primeira Infância de Brunet e Lézine (1981).
Idade de desenvolvimento Idade em que a criança testada ou observada
realiza tarefas desenvolvidas de modo similar a outras da mesma idade,
independente da sua idade cronológica (RATLIFFE, 2000);
o Operacionalmente, definida a partir de um sistema de escore de
pontos, que mensura a idade em meses e dias, segundo sistema de
conversão de pontos da Escala de Desenvolvimento, considerando as
adaptações de Souza (2003);
Quociente de desenvolvimento definido conceitualmente como a relação
entre a idade cronológica e a idade biológica do indivíduo. Obtém-se da
divisão entre a idade do desenvolvimento e a idade cronológica multiplicada
por 100 (ROSA NETO, 2002).
29
1.8 DEFINIÇÃO DE TERMOS
Lactente: criança na faixa etária de 29 dias a 24 meses de vida; período
caracterizado pela aquisição de funções neurológicas superiores (SCHLACK,
2004).
Idade Cronológica Corrigida: também designada Idade s-Concepção,
traduz o ajuste da Idade Cronológica em função do grau de prematuridade,
relacionada à Idade Gestacional (RUGOLO, 2005); é calculada a partir da
subtração do índice de prematuridade, da idade cronológica da criança na
data da avaliação.
Índice de Prematuridade: traduz o grau de prematuridade de um
nascimento, representando o tempo que faltou para a criança ficar em ventre
materno até completar 40 semanas gestacionais; é calculado descontando-se
a Idade Gestacional real de 40 semanas (RESTIFFE, 2004).
CAPÍTULO II
2. REVISÃO DE LITERATURA
Neste capítulo serão descritos tópicos referentes ao desenvolvimento
neuropsicomotor, assim como aspectos inerentes a prematuridade, abordados na
seguinte ordem: desenvolvimento neuropsicomotor (conceitos, características gerais,
fatores intervenientes e marcos neuropsicomotores); Prematuridade (etiologia e a
prematuridade como fator de risco); o Desenvolvimento Neuropsicomotor de
crianças prematuras; e o Acompanhamento e intervenção neuropsicomotora em
crianças prematuras.
2.1. DESENVOLVIMENTO NEUROPSICOMOTOR
2.1.1. Conceito
O termo Desenvolvimento é compreendido por Burns (1999) como sendo um
processo de complexas e interligadas mudanças das quais participam todos os
aspectos do crescimento e maturação dos aparelhos e sistemas, sendo um processo
contínuo caracterizado pela maturação neurológica e funcional destes, envolvendo a
diferenciação e a integração do sistema Sensório-Motor. É este processo que
permite ao homem adquirir capacidades de movimento básicas e, posteriormente
mais complexas, ausentes no nascimento. Tani (1998), afirma que essa aquisição é
fundamental para o desenvolvimento global do ser humano, considerando que o
movimento é de grande relevância biológica, psicológica, social, cultural e evolutiva,
por permitir a interação do homem com o meio ambiente. Para Tecklin (2002),
31
desenvolvimento é o processo de mudança no comportamento motor o qual está
relacionado com a idade do indivíduo.
De acordo com Roberts e Vinig (1992), normalmente o processo de
desenvolvimento se processa numa mesma seqüência e semelhança, apesar de
cada criança apresentar características próprias. Tal fato garante um bom índice de
previsibilidade e age como facilitador do acompanhamento do processo de
maturação, observando a normalidade, detectando as deficiências, e possibilitando
ações de intervenção.
O desenvolvimento segue uma seqüência ordenada e previsível baseada no
amadurecimento neurológico e nas oportunidades oferecidas ao bebê. A
organização desse processo nos domínios neuropsicomotores é atribuição
elementar da complexa rede de estruturas nervosas que, por sua vez, tem seu foco
estrutural e funcional durante a primeira infância (MANSUR, 2004).
2.1.2. Características gerais
Algumas diferenças em relação ao desenvolvimento são devidas as
características hereditárias, enquanto outras resultam de diferenças na maturação
do sistema nervoso ou na maturação fisiológica. as diferenças no desempenho,
dependem muitas vezes do nível e da eficiência dos sistemas de feedback sensitivo-
motor (Williams et al. 1983, apud BURNS, 1999).
De acordo com Lima, Junqueira e Tortori (1998), o crescimento e o
desenvolvimento iniciam na concepção e têm seu término, de forma individual, na
morte. Conceitualmente, para estes autores, crescer é sinônimo de aumentar a
superfície, enquanto desenvolvimento é o mesmo que adquirir ou aperfeiçoar
funções orgânicas, capacidade cognitiva, emocional ou social.
As principais alterações no cérebro em desenvolvimento ocorrem no período
intra-uterino, porém, mudanças continuam ocorrendo durante os primeiros 2 anos de
vida s-natal (Casey et al. 2000, apud MANSUR, 2004). O período mais rápido de
crescimento e desenvolvimento cerebral se estende desde o último trimestre de vida
fetal até os dois primeiros anos de vida (Alves, 1998, Lucas et al. 2001, Nelson et al.
2002; apud MANSUR, 2004).
Ratliffe (2000) relata que determinados padrões gerais guiam o crescimento e
o desenvolvimento, seja do feto, do lactente ou da criança. O primeiro padrão é
32
citado por Bee (1997), o qual relata que o desenvolvimento e o crescimento operam-
se com o primado da cabeça sobre as estruturas do corpo, isto é, obedece à lei
céfalo-caudal; assim, o desenvolvimento do tronco e dos membros dá-se
posteriormente ao da cabeça. Segundo Shepherd (1996), alguns autores discordam
desta afirmação, citando o exemplo de Green e Nelham (1991), os quais baseiam-se
no fato de que o controle da motilidade demonstra ser simultâneo nas diversas
partes do corpo ou de um membro. Outro padrão de desenvolvimento segue a lei
próximo–distal, o qual evidencia a primazia das estruturas axiais diante das
segmentares (PIRES, 2002). Relacionando estes dois padrões, McGraw, apud
Fonseca (1995) afirma ser a lei céfalo-caudal anterior a próximo-distal, de onde se
pode assegurar que a maturação muscular é primeiramente axial e posteriormente
apendicular, numa evolução que inicia nos músculos da cabeça e progride para os
do pescoço, do tronco, dos braços, das pernas, das mãos, dos pés, e dos dedos das
mãos e dos pés.
O terceiro padrão de crescimento é do geral para o específico, isto é, do
simples para o complexo (RATLIFFE, 2000), o que implica concluir que o
desenvolvimento processa-se por especialização de estruturas e que a diferenciação
destas é dependente de uma hierarquização, onde as estruturas mais superiores
levam mais tempo para atingir a maturação, que dependem da maturação de
estruturas funcionais que se complexificam.
Quanto à cronologia das aquisições, sabe-se que há uma seqüência básica
norteadora do desenvolvimento neuropsicomotor, embora seja preciso respeitar as
diferenças individuais no tocante à idade de alcance de cada etapa. Esta relativa
ordem cronológica depende da maturação do sistema nervoso e das práticas
comuns na infância. Para Hassano et al. (2001), as tabelas confeccionadas para
predizer as idades em que são alcançados os marcos do desenvolvimento devem
servir como guias para o reconhecimento dos desvios da normalidade.
2.1.3. Fatores intervenientes
Os fatores intervenientes são todos aqueles que possam vir a comprometer o
desenvolvimento da criança estejam estes relacionados à mãe, durante a gestação;
ligados a condições pré, peri ou pós-natais; ou ainda relacionados ao meio em que
este está inserido.
33
Segundo Marcondes (1991), um conjunto de fatores divididos em intrínsecos
e extrínsecos, em interação, origina esses processos dinâmicos. Vários aspectos
destes fatores podem tornar-se negativos, passando então a serem considerados
como de risco.
Os fatores pré-natais envolvem alterações no crescimento e no
desenvolvimento, bem como malformações podem resultar da ação de elementos
nocivos durante o desenvolvimento embrionário e fetal.Antecedentes obstétricos
deficientes, assistência pré-natal, presença de intercorrências gestacionais, sejam
clínicas ou obstétricas, também têm relação com prematuridade e baixo peso ao
nascer.
entre os fatores Perinatais, Tudehope (1999), apresenta que a fase
perinatal é responsável por 20 % das causas de atrasos no desenvolvimento. Os
fatores de risco relacionados ao parto incluem parto gemelar ou múltiplo, parturição
não espontânea, duração do primeiro estágio do parto (maior que 24 horas) e do
segundo estágio (maior que 2 horas), líquido amniótico escuro e com resquícios
meconiais e/ou sanguinolentos, e tempo maior que 6 horas para a ruptura das
membranas fetais. Levando ainda em consideração a posição uterina e a
apresentação fetal quando não em vértice, idade gestacional abaixo de 38 e acima
de 42 semanas, atividade cardíaca irregular, presença de circular, prolapso e/ou nós
no cordão umbilical, enfarte placentário extenso, início da respiração extra-uterina
não dada no primeiro minuto, e peso corporal ao nascimento menor que 2500g e
maior que 4900g. (FENICHEL, 1995).
2.1.4. Marcos neuropsicomotores
Em conformidade com a ordenação evolucionista do sistema nervoso, marcos
do desenvolvimento da postura, da coordenação óculo-motriz, social e da
linguagem, pertinentes ao lactente e que se traduzem pela correta atividade desse
sistema, serão descritos a seguir, fornecendo uma idéia das características do
comportamento em evolução, para cada área.
34
2.1.4.1. Postura
De acordo com Gallahue e Ozmun (2001), são quatro as principais fases em
que o comportamento motor, desde o nascimento, sofre modificações consideráveis:
a de movimentos reflexos, a de movimentos rudimentares, a de movimento
fundamental e, finalmente, a fase de movimento especializado.
Os movimentos reflexos são uma espécie de “prolongamento da atividade
fetal” (LE BOULCH, 1986). Para Shepherd (1996), os reflexos neonatais são uma
forma imatura de comportamento motor, tradutores de um padrão motor congênito.
Os movimentos são involuntários, controlados subcorticalmente, constituindo
manifestações primitivas de sobrevivência. Estes reflexos podem ser divididos em
arcaicos e posturais.
Os reflexos arcaicos, também chamados de adaptativos por Bee (1997),
incluem a procura por alimentação e as respostas protetoras. São característicos
dos dois aos seis primeiros meses de vida, formados por modificações tônicas
coordenadas pela medula, com a ação do páleo-cerebelo no ajuste do tônus em
função da verticalidade dada pelo sistema labiríntico. Os principais reflexos arcaicos
são: de sucção, de deglutição, dos pontos cardeais, de pestanejar, e reflexo de
Moro.
Os reflexos posturais, por sua vez, representam um teste para o
funcionamento do sistema locomotor e de equilíbrio, sendo alguns exemplos o da
preensão, o de extensão dos membros inferiores (ou marcha reflexa), o positivo de
suporte, os tônicos cervicais, assimétrico e simétrico, e outros mais. Gradativamente,
todos esses reflexos devem desaparecer, dando lugar a aquisições motoras
ontogenéticas, representadas inicialmente pelas reações posturais voluntárias, as
quais ajudam o lactente a desenvolver força e equilíbrio para atividades em posição
ereta (RATLIFFE, 2000).
Dentre os reflexos salienta-se os Reflexos de Sucção e Deglutição, Reflexo
dos Pontos Cardeais, Reflexo de Pestanejar, Reflexo de Moro, Reflexo dos Olhos de
Boneca, Reflexo de Preensão Plantar e Palmar, Reflexo de Babinski, Reflexo de
Sustentação, Reflexo da Marcha, Reflexo Labiríntico Tônico, Reflexo Tônico Cervical
Assimétrico, Reflexo Tônico Cervical Simétrico, Reflexo Postural Labiríntico, Reação
de Landau e o Reflexo de Galant.
35
Os reflexos da criança com retardo no desenvolvimento neuropsicomotor
podem aparecer tardiamente ou sua duração excede o tempo normal para permitir o
desenvolvimento sem anormalidades. Segundo Flehmig (2001), a persistência do
reflexo de Moro, por exemplo, impossibilita a criança de aprender a sentar ou falar, a
fechar a boca ao comer e a não apresentar sialorréia, visto que a saliva o é
deglutida. Da mesma forma, a apresentação exacerbada do reflexo labiríntico tônico
impede a elevação a partir da posição dorsal e, como a flexão do quadril não pode
ser feita, sentar-se com equilíbrio é impossível. A ausência do reflexo postural
labiríntico impede que a criança tenha domínio sobre os movimentos de sua cabeça
em relação à gravidade.
Os Movimentos Rudimentares representam a primeira forma de movimentos
voluntários, se dando até os dois anos de idade, a partir da inibição dos movimentos
reflexos. Os movimentos são caracterizados por uma seqüência previsível,
envolvendo a aquisição do controle da cabeça, do pescoço e dos músculos do
tronco, além dos movimentos manuais de alcançar, agarrar e soltar. Também é
adquirido o controle dos movimentos locomotores de engatinhar, arrastar-se e
caminhar (GALLAHUE; OZMUN, 2001).
Nesta fase inicia o desenvolvimento de reações posturais automáticas, as
quais acompanham a manutenção da postura contra a gravidade e proporcionam o
realinhamento da postura durante as trocas de posição (BURNS, 1999). Dentre elas,
podem ser citadas as reações: cervical e labiríntica de retificação, de equilíbrio e de
proteção.
Conforme Ratliffe (2000), as reações de equilíbrio são realizadas através da
mudança do centro de gravidade, direta ou indiretamente. Seu aparecimento ocorre
primeiramente em decúbito dorsal e ventral, aos 6 meses, na posição sentada, aos 9
meses, e em torno de 14 meses, na posição bípede. Muitas crianças, ao iniciar o
deslocamento na posição ortostática, têm receio de cair, o que pode ser devido ao
retardo no desenvolvimento dos reflexos naturais de queda; pelo medo, a criança
deambula rigidamente, muitas vezes com as pernas afastadas e arrastando os pés.
Os Movimentos Fundamentais representam um tempo em que a criança está
ativamente envolvida em explorar e experimentar as capacidades dinâmicas de seu
corpo; ela está aprendendo a responder à estímulos com controle motor e
capacidade de movimento, realizando atividades como correr e pular, arremessar e
36
pegar objetos e de manipulação, além de conseguir realizar atividades de
estabilidade, como caminhar sobre uma viga (GALLAHUE; OZMUN, 2001).
os movimentos Especializados, são para Gallahue e Ozmun (2001), um
período em que as habilidades motoras e manipulativas são progressivamente
refinadas, combinadas e elaboradas, sendo individualizadas para cada situação.
Durante o primeiro trimestre, a criança vai desenvolvendo o alinhamento da
cabeça, que é o primeiro ganho contra a ação da gravidade, seguindo o princípio de
desenvolvimento céfalo-caudal. Assim, quando em DV, a criança procura estender a
coluna, mantendo nariz e boca livres para respirar, e procura uma orientação da
cabeça na linha média, porém, no primeiro mês ela ainda não consegue alinhá-la e
oscila para cima e para baixo. Com a progressão, o bepassa para o apoio nos
antebraços e, ocasionalmente nas mãos, empurrando-se pra trás (TECKLIN, 2002).
Flehmig (2000), afirma que, em supino, o ato de erguer a cabeça é mais difícil
quando comparado à posição em prono. Nos primeiros meses de vida, sendo a
criança puxada pelos braços, a cabeça cairá para trás.
Aos 4 meses o bebê gosta que o segurem na posição sentada de maneira a
visualizar o mundo de frente. Nessa posição, pode levantar a cabeça, primeiro
componente da postura ereta. O comando da cabeça e dos olhos surge primeiro do
que o comando dos pés (GESSEL, 1989). No quinto mês consegue manter-se
sentada com um leve apoio, adquirindo a posição sentada sem apoio, próximo aos
seis meses. Em princípio, suas costas são muito arredondadas, o que dificulta a
manutenção da postura por muito tempo (HOLLE, 1979). Aos poucos, ela começará
a sustentar-se com ambas as mãos apoiadas sobre o chão ou sobre as próprias
pernas, reagindo reflexamente a desequilíbrios.
A partir do sexto mês, o lactente passa a suportar parte do seu peso, quando
mantido na posição vertical. No sétimo mês passa a manipular seus brinquedos
passando-os de uma mão a outra. Por volta dos oito meses, levanta da posição
sentada quando se exerce leve tração nos antebraços e passa a virar de costas
sozinho (BRUNET; LEZINE, 1981).
Segundo Holle (1979), por volta dos dez meses, com a inibição do reflexo
cervical tônico, os movimentos dos membros superiores e inferiores não dependem
mais dos movimentos da cabeça e do pescoço, o que habilita a criança a engatinhar
sobre os quatro membros. Para o mesmo autor, a etapa do engatinhar sobre os
quatro membros apresenta muitas vantagens do ponto de vista do desenvolvimento,
37
pois a criança pratica a manutenção vertical da cabeça, acompanha os estímulos
auditivos e visuais que lhe impressionam, desenvolve a fixação do olhar, e treina os
músculos do braço. O exercício de equilíbrio é perfeitamente efetuado na posição de
gato, sendo esta a posição mais baixa do centro de gravidade, associada á base
alargada de sustentação, proporcionada pelo apoio dos quatro membros (BURNS,
1999).
Em torno de nove e dez meses, o lactente passa a ficar em pé, levantar e
abaixar um dos pés, mantendo o apoio inicialmente e posicionando-se sozinho na
seqüência. E aos doze meses passa a caminhar, ainda com ajuda, quando se lhe dá
a mão, e passa a abaixar-se para buscar um brinquedo (BRUNET; LEZINE, 1981).
Por volta de onze meses, a criança iniciará o desenvolvimento da marcha,
começando a ficar de logo após um ano de idade. Referindo-se a uma criança
normal, Holle (1979), afirma que todo o processo de desenvolvimento da marcha
ocorre em cerca de três anos, partindo-se do dia em que o primeiro passo é dado
até a aquisição de uma marcha adequadamente equilibrada, com rotação da coluna
vertebral, boa articulação do pé e balanço natural dos braços.
Segundo Burns (1999), no início, a marcha é feita em linha reta para frente,
com membros inferiores bem separados, sem movimentos rotacionais de coluna e
quadris e pés assentados no chão. Os braços são elevados, sendo abaixados e
balançados juntamente com os movimentos do tronco à medida que o equilíbrio
melhora. Gradualmente, os extensores do quadril se fortalecem, até o ponto de
proporcionar o equilíbrio da pelve, o qual, permite que a criança salte em uma perna
só, e os tornozelos tornem-se mais estáveis e retos. Antes de um ano e dois meses,
normalmente a criança já estará apta a abaixar e levantar-se, e a andar bem.
Embora Gessel (1989) afirme que em geral, com 1 ano, a criança é capaz de se
deslocar sozinha, para a direita e para a esquerda, mas para andar precisa de apoio
unimanual e de condução.
Inicialmente, a criança pode andar ao longo da mobília ou quando segurada
por ambas as mãos. O padrão de marcha, ainda imaturo, inicia-se com passos
incertos e base alargada (GESELL, 1989; TECKLIN, 2002). tendência à flexão
lateral de tronco para avançar e, os braços são mantidos em “proteção superior”, ou
seja, abduzidos ao nível dos ombros, como meio de manter estabilidade e controle.
Ao final do primeiro ano, maior estabilidade e controle de tronco: a proteção
superior dos braços e os apoios são menos necessários (TECKLIN, 2002).
38
Em torno dos quinze meses, de acordo com Brunet e Lèzine (1981), a criança
passa a andar só, subir escadas engatinhando e na seqüência passa a chutar uma
bola, e com um ano e meio, sobe escadas de pé, segura pela mão. Com
aproximadamente vinte e quatro meses, passa a subir e descer escadas sem
ajuda e passa a chutar a bola apenas sob comando, não necessitando mais de
imitações.
Após o primeiro ano, a criança passa a diminuir sua base de sustentação para
a marcha, e os braços passam a mover-se na posição de proteção mediana e
inferior (TECKLIN, 2002). Newcombe (1999) ressalta que geralmente aos 18 meses,
a criança consegue subir e descer escadas sem ajuda e consegue puxar um
brinquedo pelo chão, e até os 24 meses passa a pegar objetos do chão sem cair,
assim como, é capaz de correr e caminhar de costas. Burns (1999) acrescenta que,
aos 18 meses a criança é capaz de sentar-se de cócoras, agachar-se e chutar bola.
2.1.4.2. Coordenação Óculo-motriz
Cunha (2000) revela que a conduta motora fina ou coordenação óculomotriz,
diz respeito às ões de ajustamento para novas atividades complexas, baseadas
em experiências prévias, avaliando em síntese a habilidade da criança e sua
destreza manual. Aqui são incluídas as adaptações sensório-motrizes mais
delicadas entre objetos e situações. As habilidades motoras mais complexas da
criança envolvem a coordenação entre sensação, percepção, elaboração,
planejamento e execução, na elaboração de respostas frente a objetos e situações.
Segundo Rosa Neto (2002), a coordenação visomanual é a atividade mais
freqüente e comum no homem, uma vez que atua em diversas atividades funcionais
específicas de nossa espécie, como escrever, desenhar, recortar, etc. Na atividade
manual guiada pela visão, intervêm concomitantemente várias regiões do corpo,
como o conjunto de músculos que estabilizam: ombro, braços, antebraços e mãos,
além dos sculos óculomotores que regulam a fixação do olhar e os movimentos
de perseguição. Esta coordenação se elabora de modo progressivo, com a evolução
motriz e aprendizado da criança.
Antes de completar um s de vida, o neonato é capaz de reagir a ruídos da
campainha e seguir momentaneamente o anel de um lado à posição média. Aos
dois meses, ele é capaz de seguir com os olhos uma pessoa que se desloca no
39
quarto, e seguir o anel horizontalmente de um lado ao outro. Aos três meses,
mantém firmemente o chocalho, e sacode-o com movimentos bruscos dos braços, e
olha também um cubo colocado na mesa. Aos quatro meses, deitado de decúbito
dorsal, começa o movimento de preensão em direção ao anel e sacudir o chocalho
colocado na sua mão, olhando-o e apalpa o bordo da mesa. A capacidade de juntar
as mãos normalmente se dá antes dos três meses, enquanto segurar um chocalho e
guiar a face por 180
0
são faculdades realizadas entre três e quatro meses (BRUNET;
LÈZINE, 1981).
O desenvolvimento da preensão constitui-se de quatro etapas. A primeira
inicia-se com o desaparecimento do reflexo de preensão, em torno domês. Nesta
etapa, a criança começa a abrir os punhos, leva as mãos à boca, agarra uma mão
com a outra, observa seus dedos, e no final deste período, segue com os olhos o
movimento de uma de suas mãos. A segunda etapa, que vai dos quatro aos seis
meses, constitui o início da coordenação óculo-manual, e entre quatro e cinco meses
a criança consegue alcançar e pegar o objeto que deseja. A terceira etapa constitui
o período de manipulação dos seis aos 10 meses, e a quarta etapa, depois dos 10
meses de idade, constitui o aperfeiçoamento das praxias (LE BOULCH, 1986).
As características mais específicas das mãos estão em evidência a partir do
décimo mês, sendo que a criança coloca o polegar e o indicador em uma delicada
oposição. Ela passa a usar o indicador para explorar a terceira dimensão, sondando
buracos e cavidades, sendo capaz de uma coordenação mais delicada nas suas
atividades de comer e brincar. Torna-se capaz de mergulhar a colher numa xícara e
largá-la, e passa a fazer um movimento inicial e voluntário de rolar a bola (GESELL,
1989).
2.1.4.3. Linguagem
A área de desenvolvimento da linguagem compreende todos os meios de
comunicação, sejam gestuais, vocalizados ou de palavras, utilizados na expressão,
imitação e compreensão de idéias ou situações (CUNHA, 2000).
Desde o nascimento, a criança é dotada de reflexos que envolvem a região
bucal; tais reflexos, que incluem os de sucção, de deglutição, nauseoso e dos
pontos cardeais, desaparecem por volta do segundo s, à exceção do reflexo
nauseoso, que persiste pela vida inteira (RATLIFFE, 2000). Segundo Shepherd
40
(1996), gradativamente, ocorre o desenvolvimento dos movimentos da língua, da
deglutição madura, da mastigação e da coordenação entre respiração e deglutição,
os quais permitem que a criança possa comer alimentos com variadas consistências
e beber sem se engasgar.
O desenvolvimento da linguagem também sofre forte influência dos estímulos
ambientais, estando centrada a sua contribuição para a evolução da capacidade
cognitiva e, conseqüentemente, considerando-se a ausência de causas físicas para
distúrbios, na aprendizagem da linguagem. Segundo Ratliffe (2000), o
desenvolvimento dos movimentos coordenados necessários à fala, ocorre
concomitantemente ao da função alimentar.
O desenvolvimento inicial da linguagem passa por pelo menos duas fases
pré-determinadas: a fase da fala ou vocalizações pré-linguísticas, e a fala lingüística
ou período lingüístico (PAPALIA; OLDS, 2000).
O período pré-linguístico corresponde aos primeiros exercícios vocais que a
criança realiza e inclui o choro, os arrulhos, balbucios e imitações, porém, aos seis
meses são capazes de diferenciar os sons sicos de sua língua (PAPALIA;
OLDS, 2000). Este período abrange aproximadamente o primeiro ano e é dividido,
segundo Fitzgerald (1984) apud Carvalho (2004), em cinco fases: choro não
diferenciado, choro diferenciado, palação, lalação e ecolalia.
Entre seis semanas e três meses, os bebês começam a fazer sons quando
estão felizes, e iniciam o balbucio entre seis e dez meses. A primeira palavra virá no
final do primeiro ano de vida, entre 10 e 14 meses. Embora compreendam muitas
palavras anteriormente, a nova palavra apresenta significado, iniciando o período
lingüístico. O repertório inicial da criança se restringe a poucas palavras, e pode
apresentar holófrases, onde expressam um pensamento completo em uma única
palavra. Logo, entre 16 e 24 meses, pode haver a explosão de nomes, aumentando
o vocabulário infantil e passando a fazer união de duas palavras (PAPALIA; OLDS,
2000).
Na seqüência passa a desenvolver a fala telegráfica, ou seja, ao repetir uma
sentença adulta, a criança omite palavras de baixa informação e incluem apenas
nomes, verbos ou outras palavras de alta informação (Fitzgerald, 1984, apud
CARVALHO, 2004).
Os pais ou cuidadores são influências muito fortes no desenvolvimento da
linguagem da criança, pois através da imitação dos sons do bebê, ajudam-no a
41
compreender a palavra falada, e também proporcionam à criança o aspecto social
da fala (PAPALIA; OLDS, 2000).
2.1.4.4. Social
A área Pessoal-Social compreende as habilidades e reações pessoais da
criança no seu meio social e cultural. Segundo Cunha (2000), estas reações e/ou
habilidades são variadas, sendo inicialmente construídas ao nível familiar e,
posteriormente, proporcionadas por um nível social mais amplo. Elas englobam
atividades de vida diária (alimentação, padrão do sono, função visual e intestinal),
atividade lúdica, senso de propriedade.
O intercâmbio entre mãe e criança se faz através do olhar, da mímica, do
sorriso e da linguagem. Desde os três meses o lactente esforça-se para encontrar os
olhos da mãe. (LE BOULCH, 1986). Este olhar mútuo apresenta importantes funções
de interação e comunicação social, sendo considerado um mecanismo regulador da
formação do esquema infantil de expressões faciais humanas, além de
desempenhar importante papel no desenvolvimento do auto-reconhecimento
(Fitzgerald, 1984, apud CARVALHO, 2004).
Entre o nascimento e o terceiro mês, os bebês apresentam-se receptivos à
estimulação, começam a mostrar interesse e curiosidade, e sorriem para as
pessoas. O segundo trimestre, é a fase do despertar social e das primeiras trocas
recíprocas entre o bebê e seu cuidador; no terceiro trimestre, demonstra, medo,
raiva, alegria e passam a fazer jogos sociais, tentando obter respostas das pessoas.
A partir dos nove meses o bebê preocupa-se muito com seu principal cuidador,
desenvolvendo o medo ou ansiedade perante os estranhos e também agindo de
modo reservado em novas situações (PAPALIA; OLDS, 2000).
Algumas crianças também podem desenvolver o medo da separação
temporária de seu cuidador. O medo da separação inicia por volta dos sete meses e
chega ao auge por volta dos 18 meses, declinando gradativamente após este
período (NEWCOMBE, 1999).
Para Papalia e Olds (2000), no segundo ano de vida, os bebês passam a
explorar o seu ambiente, tornam-se mais confiantes e mais ansiosos pela afirmação,
elaborando consciência de suas limitações pelo jogo e pela fantasia.
42
2.2. PREMATURIDADE
Nos últimos vinte anos, a taxa de sobrevivência de recém nascidos pré-
termos (RNPT) de baixo peso tem aumentado, em função dos recursos tecnológicos
e da capacitação dos profissionais envolvidos no acompanhamento de gestações de
risco e na atenção aos neonatos atendidos em unidades de terapia intensiva
neonatal (PEDROMÔNICO, AZEVEDO e KOPELMAN, 1998).
Por ano, nascem em média 3 milhões de bebês no Brasil, sendo que, destes,
cerca de 200.000 são prematuros, e ainda quase 33.000, são extremos prematuros,
com elevadas chances de apresentarem atrasos importantes no desenvolvimento,
inclusive com lesões permanentes e seqüelas futuras, principalmente o grupo que
nasce com IG menor de 22 semanas, que no Brasil chega a quase 1000
nascimentos por ano, de acordo com dados do Sistema único de Saúde, referente
ao ano de 2005. (DATASUS, 2007.).
A prematuridade é fator muito importante dentre os riscos perinatais. Segundo
o National Institute of Neurological Disorders and Atrok (NINDS, 1993), maior
chance de morbidade em bebês que nascem com menos de 37 semanas
gestacionais, devido principalmente a angústia respiratória do recém nascido, sendo
que o risco de lesão cerebral aumenta proporcionalmente à diminuição do peso ao
nascer. Consoante Souza (2003), as dificuldades de adaptação à vida extra-uterina
causada pela imaturidade dos sistemas orgânicos decorrente da prematuridade
determinam problemas ao recém nascido.
Os efeitos do ambiente no desenvolvimento, também devem ser levados em
consideração. Um estudo realizado por Escalona apud Póo-Arguelles et al. (2000),
demonstrou que os RN prematuros, são mais vulneráveis ao ambiente desfavorável
do que os RN a termos.
Caetano, Fuginaga e Scoch (2003), afirmam que para o recém nascido, a
prematuridade pode ser uma condição de risco, pois sua imaturidade
anatomofisiológica predispõe-no a uma série de dificuldades para sua adaptação e
evolução na vida pós-natal.
Historicamente, ocorreram modificações importantes na conceituação do
RNPT, dado que, outrora o critério era ponderal e classificava como prematuro todo
43
RN com peso inferior a 2.500g. Visto, pois a escassa confiabilidade diante da
prática clínica adotou-se o critério temporal, que define como prematuro todo RN
com até 37 semanas e seis dias de gestação (BARACHO, 2002).
Por definição, tem-se que: prematuro é todo o RN nascido antes de 37
semanas gestacionais completas (37 semanas e 6 dias), conforme os limites
recomendados por Lubchenco et al., e endossado pelo Centro Nacional para
estatística da saúde da Associação Americana de Pediatria. Porém, para a
Organização Mundial da Saúde (OMS), prematuro é todo aquele nascido até a 37ª
semana gestacional (SEGRE, 1995).
Uma subclassificação de prematuridade está subdividida em: Prematuridade
moderada e prematuridade extrema. Sendo que alguns autores descrevem como
pré-termo extremo todo aquele nascido de 24 à 30 semanas gestacionais completas
(SEGRE, 1995; BARACHO, 2002). em definições de critérios de alto risco
neurológico, tal classificação enquadra idade gestacional menor de 32 semanas,
com prematuridade moderada situada entre 32 e 37 semanas de gestação
(BARBOSA, 1993; G.A.T, 2000; RAMOS SANCHEZ; MÁRQUEZ LUQUE, 2000).
Quanto a relação peso/idade de nascimento, os recém nascidos pré-termo,
classificam-se em: Adequados para a idade gestacional - AIG, Pequenos para a
idade gestacional - PIG e Grandes para a idade gestacional GIG. O critério mais
comumente usado na definição da linha divisória entre as três categorias, tem se
baseado nos percentis de distribuição do peso para uma determinada idade
gestacional derivada de uma população de referência, com o percentil 10 sendo o
ponto de corte entre PIG e AIG e o percentil 90, entre o AIG e o GIG; definições
considerando desvios-padrão (z scores, <-2 para PIG e >+2 para AIG) da média da
referência, também têm sido utilizadas (Goto et al. 2004 apud CAON, 2005; LEONE
e TRONCHIN, 1996).
quanto ao peso ao nascer, os prematuros são classificados em: Baixo
peso ao nascer (BP) – abaixo de 2500g, Muito baixo peso ao nascer (MBP) – Abaixo
de 1500g, e Extremo baixo peso ao nascer (EBP) abaixo de 1000g. (LEONE e
TRONCHIN, 1996; CLOHERTY, EICHENWALD e STARK, 2005).
No Brasil, em 2005, nasceram mais de 13.000 lactentes de EBP, mais de
20.000 MBP e mais de 200.000 lactentes com BP. (DATASUS, 2007).
O bebê pré-termo, apresenta características que o difere do bebê a termo
devido à imaturidade do seu SNC (ALMEIDA, ZANINI, e HAYASHIDA, 2001). Dentre
44
estas, Pitrez e Pitrez (1998), citam o baixo peso (-de 2,500g), a instabilidade térmica,
ausência ou sucção débil, incoordenação entre a sucção e a deglutição, pele fina e
lisa, podendo apresentar equimoses e ausência da epiderme. Apresenta ainda,
cabeça maior que a face, glândulas mamárias e mamilos pequenos ou ausentes,
lanugo abundante, vernix caseoso, alem de apresentar, hipotonia, hiporreflexia e
hipomotricidade.
Contudo, Newcombe (1999) afirma que os prematuros são geralmente
saudáveis, embora estejam menos maduros, mais vulneráveis à doenças, e ganhem
peso mais devagar.
Pesquisas envolvendo coortes de crianças prematuras mostram
especificidades nessa população. Estas, entretanto, devem ser analisadas
criteriosamente para que não sejam formulados rótulos ou que se passe a entender
o nascimento prematuro como o único risco para esses bebês ao nível cognitivo ou
mesmo relacional (MEIO et al., 2004).
Os prematuros são também considerados recém nascidos de alto risco
biológico, termo que designa os neonatos que requerem atenção especial no
período neo e pós-natal por agregarem condições biológicas que sejam potenciais
fatores etiológicos de alterações neurológicas. Tal atenção requerida pode variar, de
forma temporal, de horas à meses, sendo que 9% de todos os nascimentos
precisam de terapia especial ou intensiva neonatal (NELSON et al., 2000).
Segundo Rosa Neto, Ramos Sanches e Serrano Luna (2002), baseados em
critérios estabelecidos nos programas espanhóis de acompanhamento de bebês de
risco, o recém nascido é considerado de alto risco para alterações neurológicas
quando o peso de nascimento for inferior a 1500 gramas ou idade gestacional
inferior a 32 semanas, os que apresentaram APGAR inferior à 3, no primeiro minuto
ou inferior à 7, no quinto minuto; recém nascido com ventilação mecânica mais que
24 horas, hiperbilirrubinemia superior a 20mg%, os que apresentaram meningite,
convulsão ou comportamento neurológico anormal persistente, dano cerebral
evidenciado em exames complementares, mal-formações do Sistema Nervoso
Central, cromossomopatias e outras síndromes dismórficas.
45
2.2.1. Etiologia
A etiologia da prematuridade apresenta-se de forma ampla, podendo, pois,
conter um fator de risco, ou uma associação deles. Dentre as causas do parto
prematuro, pode-se citar os fatores de risco: condições do útero; intercorrências;
durante a gravidez; descolamento prematuro da placenta ou estímulos de forte
contração antes do termo; baixo padrão sócio-econômico familiar; pré-natal
inadequado; vícios em drogas; complicações obstétricas e história materna de
reprodução ineficaz; associados a outros fatores como gravidez na adolescência,
curto tempo entre uma gravidez e outra, multiparidade (ZANINI et al., 2002).
Pitrez e Pitrez (1998) apresentam como causas fetais para a prematuridade, a
eritroblastose, gemelaridade, hidropsia fetal não-imune, anomalias congênitas,
sofrimento fetal e infecções congênitas. No entanto, as causas da prematuridade
podem estar também relacionadas a problemas com a mãe, como, placenta prévia,
útero bicórneo, incompetência cervical, pré-eclampsia, doenças crônicas, ou ainda
doenças infecciosas como a herpes e o uso abusivo de drogas.
Na concepção de Goulart (1998), a prematuridade pode ser secundária à
infecções bacterianas maternas, malformações uterinas, intercorrências obstétricas
(gemelaridade, placenta prévia, descolamento prematuro da placenta) e
malformações fetais. Segre et al. (1995) soma a tais fatores o baixo nível sócio
econômico, primiparidade, idade materna (inferior a 16 anos), nutrição materna,
história de morte fetal anterior, pequenos intervalos durante as gestações, entre
outros ligados a fatores maternos. A maior parte dos partos prematuros, no entanto,
tem etiologia desconhecida (SEGRE et al., 1995; OLIVEIRA, 2000).
As condições de risco biológico podem ser causadas por diferentes fatores.
Nelson et al. (2000), afirmam, por exemplo, que os motivos que levam à
prematuridade são muitos, e podem estar ligados a vários fatores, tais como:
sociais
- como idade da mãe inferior a 16 ou superior a 40, uso de drogas,
pobreza e estresse emocional ou físico;
Históricos de doenças pregressas - como distúrbios genéticos, diabetes
mellitus, hipertensão, bacteriúria assintomática, doenças reumatológicas ou
medicação crônica;
Problemas em gestações anteriores
- como morte fetal intra-útero, morte
neonatal, prematuridade, retardo do crescimento intra-uterino, malformação
46
congênita, incompetência do colo uterino, sensibilização por grupo
sangüíneo, icterícia neonatal, hidropisia ou erros do metabolismo;
Problemas na gestação atual
hemorragias, Doenças Sexualmente
Transmissíveis, gestações múltiplas, pré-eclampsia, amniorrexe prematura,
tempo curto entre gestações, doenças clínicas ou cirúrgicas agudas,
assistência pré-natal inadequada e estado de hipercoagubilidade familiar ou
adquirida, partos cesáreas ou com uso de fórceps, e presença de
malformação congênita.
A prematuridade e o baixo peso ao nascer, revelam imaturidade orgânica e
sistêmica da criança, podendo ser fatores geradores de seqüelas e
comprometimento, exemplificadas por Marcondes (1991), por distúrbios de conduta,
da visão e de audição, relacionados à deficiência no desenvolvimento intelectual e
neurológico.
2.2.2. A prematuridade como fator de risco
A prematuridade é um fator comumente encontrado, e está associado com
maior freqüência de seqüelas neurológicas (GOULART, 1998). Aproximadamente
15% do total de nascidos vivos, resultam em crianças nascidas em “desvantagem”,
pré-termo ou hipotrófico, que constituem o grupo de alto risco para alterações
neurológicas (OLIVEIRA, 2000). Para Benzecry et al. (2000), a prematuridade tem
incidência variante de 10% a 43% na América Latina, com índice em torno de 11%
no Brasil.
Em se tratando de prematuros de EBP (< 1.000 g), estes são privados de um
período crítico de crescimento intra-uterino acelerado (o terceiro trimestre de
gestação). Acrescido a este fato, estes pequenos prematuros apresentam elevada
morbidade neonatal, o que implica em aumento dos gastos energéticos e das
necessidades nutricionais, e ainda enfrentam sérias restrições na oferta e/ou
aproveitamento dos nutrientes, motivo pelo qual prematuros extremos internados em
UTI neonatal apresentam, nas primeiras semanas de vida, deficiência cumulativa de
proteína e de energia (Emblenton, Naomi, Cooke, apud RUGOLO, 2005) .
Helen Bee (2003) afirma que a grande maioria dos bebês acima de 1500g,
que não são pequenos para a idade gestacional, alcança os bebês normais logo nos
primeiros anos de vida. No entanto os que pesam menos de 1500g, em especial os
47
menos de 1000g, apresentam índices significativamente mais altos de problemas à
longo prazo, incluindo prejuízos neurológicos, estatura menor e prejuízos escolares.
Outro grupo de prematuros que merece atenção é o dos nascidos pequenos para a
idade gestacional, devido ao possível efeito deletério aditivo da RCIU no
crescimento pós-natal do prematuro, o que tem sido evidenciado em vários
estudos, embora os resultados não sejam uniformes. Especificamente em
prematuros de muito baixo peso com RCIU, estes efeitos não têm sido destacados,
mas, está bem documentado que prematuros pequenos para a idade
gestacional, comparados aos com pesos adequados, apresentam pior prognóstico
de crescimento a curto e longo prazo. Embora muitos apresentem catch-up, existe
um risco aumentado destas crianças, evoluírem com falha no crescimento nos
primeiros anos de vida (RUGOLO, 2005).
Porém, quando os bebês prematuros recebem apoio especial cognitivo,
emocional e social, como ensinar às mães modos mais eficientes de interagir com
seus bebês, ou um ambiente de estimulação, estes têm uma chance maior de se
desenvolver de modo normal. (BEE, 2003).
Newcombe (1999) afirma que a idade fetal de 28 semanas é chamada de
zona de viabilidade, assim, crianças nascidas prematuramente nessa idade, estão
sujeitas a um risco significativo de morte ou de sofrerem lesões permanentes da
prematuridade.
Shepherd (1996), afirma que o recém nascido pré-termo é capaz de
sobreviver a partir da idade gestacional de 25 semanas, desde que a temperatura e
a alimentação sejam adequadas; para a autora, as chances de um prematuro
sobreviver em bom estado, serão maiores, quanto mais avançado for o grau de
prematuridade, pois a maturação por sua vez se processa de maneira semelhante,
quer in útero, quer no interior da incubadora.
Bee (2003), apresenta limites de viabilidade em torno de 500 ou
600gramas, ou, cerca de 23 semanas de gestação. Porém, afirma que alguns destes
minúsculos bebês, que nascem próximos a viabilidade, terão problemas
desenvolvimentais importantes.
A postura preferida pelo lactente é freqüentemente considerada como um
indicador do grau de imaturidade da criança nascida antes do termo. O bebê
prematuro exibe caracteristicamente, uma hipotonia global, variando com o grau de
prematuridade. (TECKLIN, 2002). O prematuro costuma apresentar-se sonolento e
flácido, realizando muitas vezes movimentos trêmulos e agitados com os membros
superiores. Os membros inferiores apresentam-se em exagerada extensão e
48
abdução, durante os primeiros 12 meses de vida, caracterizando um padrão típico
da prematuridade (SHEPHERD, 1996; TECKLIN, 2002).
Os reflexos primitivos podem estar ausentes, reduzidos ou inconsistentes, e o
movimento espontâneo é mínimo. E os que permanecem em ventilação mecânica,
por longos períodos, tendem a apresentar aumento da hiperextensão do pescoço,
elevação escapular, retração de ombros e arqueamento do tronco. Porém, tão logo o
bebê prematuro se desenvolve, o tônus muscular flexor aumenta, embora não
alcance o grau completo do tônus muscular flexor, visto em bebês a termo.
(TECKLIN, 2002).
2.2.3. Doenças conseqüentes à Prematuridade
Segundo Pena-Feliz, Martinez-Sanchez e Perez-Munos (2000), a maioria das
alterações encontradas em prematuros, que estão associadas às dificuldades de
adaptação à vida extra-uterina, está relacionada com a imaturidade funcional de
seus sistemas orgânicos, associada à qualidade da assistência médica recebida e
de fatores sociais (HALPERN et al. 2002).
Doenças e complicações da prematuridade, especialmente a displasia
broncopulmonar, a enterocolite necrosante grave e a neuropatia crônica decorrente
de leucomalácia periventricular ou hemorragia peri-intraventricular grave, são fatores
responsáveis pela elevada morbidade e comprometimento da nutrição e crescimento
nos primeiros anos de vida, mas as repercussões à longo prazo o estão
estabelecidas (RUGOLO, 2005).
Segundo Caetano et al. (2003), o pré-termo apresenta limitações que
impedem a alimentação por via oral, logo após o nascimento. Estas limitações estão
ligadas à instabilidade de suas funções respiratória, circulatória, termorreguladora e,
também, aquelas ligadas ao sistema gastrintestinal, estando relacionadas à
imaturidade do reflexo de deglutição e sucção, e á imaturidade enzimática e
funcional do estomago e intestino. Pitrez e Pitrez (1998) afirmam que o prematuro
tem ausência ou sucção débil, além de incoordenação entre a sucção e a deglutição.
Quanto aos problemas respiratórios, os bebês prematuros podem apresentar
dificuldades em se adaptar ao ar ambiente. Este quadro se manifesta inicialmente na
sala de parto sob a forma de uma depressão perinatal. A Síndrome do Desconforto
Respiratório (SDR) pode desenvolver-se em decorrência de uma deficiência de
49
surfactante pulmonar, sendo que a apnéia resultaria da imaturidade dos mecanismos
de controle respiratório. (SEGRE et al., 1995). A Síndrome do desconforto
respiratório é caracterizada por sinais clínicos que incluem retrações da parede
torácica, cianose, expiração com ronco e taquipnéia, embora a apnéia, hipotensão e
edema também possam estar associadas. A SDR é mais comumente encontrada em
bebês prematuros, devido à imaturidade dos pneumocitos tipo II, na produção do
surfactante (TECKLIN, 2002).
Os bebês prematuros apresentam maior risco para o desenvolvimento de
problemas neurológicos agudos, tais como a hemorragia intracraniana e a
depressão perinatal (SEGRE et al., 1995).
Lesão encefálica mais comum em bebês com idade gestacional menor de 32
semanas, incidindo em cerca de 40% de todos os bebês prematuros (SHEAHAN,
BROCKWAY, TECKLIN; 2002), a hemorragia originada nos perímetros e interior dos
ventrículos laterais do cérebro é considerada a mais importante patologia
neurológica do período neonatal (STOPIGLIA, 1997).
Resultados neurológicos têm sido correlacionados com a gravidade da HPIV,
em termos de sua extensão e grau de dilatação ventricular (GOULART, 1998), o que
permitiu a graduação do risco para o desenvolvimento de déficits neurológicos à
longo prazo (SHEAHAN, BROCKWAY, TECKLIN; 2002). No estudo citado pelos
autores, hemorragias graus I e II promovem mínimo risco para alterações
neurológicas, enquanto graus III e IV estão associados com alta incidência de
déficits neurológicos, incluindo paralisia cerebral e retardo mental. (CAON, 2005).
A presença de HPIV é relacionada, significativamente, à presença de
seqüelas em populações que agregam outros fatores de risco, tais como, muito
baixo peso de nascimento e a própria prematuridade (FERNÁNDEZ MARTINEZ et
al. 1995; GOULART, 1998; CAON, 2005).
Em relação aos cardiovasculares, estão sujeitos a episódios de hipotensão,
secundários a hipovolemia (a perda de sangue e de líquidos é exagerada para seu
pequeno tamanho), ou à disfunção cardíaca e/ou a vasodilatação devido a sepse
(MARCONDES, 1991). Os problemas hematológicos, especialmente a anemia,
resultam de uma perda sanguínea peri ou pós-natal, ou de causas iatrogênicas, e
são freqüentemente registrados. Os bebês com hiperbilirrubinemia necessitam de
atenção especial, devido ao fato de que, mesmo baixos níveis de bilirrubina podem
ser tóxicos para o sistema nervoso de bebês muito imaturos (SEGRE et al., 1995).
50
A retinopatia da prematuridade é a principal causa de cegueira infantil e é um
processo no qual o crescimento anormal de vasos sanguíneos ocorre na parte
imatura da retina do bebê prematuro. Embora não se saiba ao certo a causa,
acredita-se que altos níveis de oxigênio têm um efeito de deterioração na vulnerável
vasculatura intra-ocular do bebê. Os prematuros de mais baixo peso estão mais
propensos a apresentar cegueira, embora muitos sobrevivam sem seqüelas.
(TECKIN, 2002).
2.3. DESENVOLVIMENTO NEUROPSICOMOTOR DE CRIANÇAS
PREMATURAS
O último trimestre da gestação é o tempo de amadurecimento dos sistemas
interativos do bebê, através dos processos de mielinização e das conexões
dentríticas neuronais. As perdas sensoriais sofridas pelo pré-termo, ocorrem nos
sistemas: vestibular (os movimentos da mãe como andar, sentar, deitar), tátil-
cinestésico (a parede uterina, os movimentos fetais no meio aquoso, o dedo na
boca) e auditivo (BARACHO, 2002).
É importante lembrarmos que, o bebê prematuro não é um bebê a termo
inadequado e sim, um organismo bem equipado e potencialmente competente de
acordo com seu estágio de desenvolvimento, mas que subitamente é transportado
para um local, ao qual, ele não está pronto para se adaptar (BARACHO, 2002).
A combinação de riscos coloca a criança em condições desfavoráveis para o
desenvolvimento, reforçando a necessidade de maiores cuidados nos primeiros anos
de vida (ZANINI et al., 2002), considerando que estes são períodos críticos do
desenvolvimento do sistema nervoso central, (SNC) e que vários fatores podem
interferir nesse processo, dentre eles a prematuridade (ALMEIDA et al., 2001).
O recém nascido pré-termo (RNPT), dependendo do seu grau de imaturidade
ao nascimento, deverá continuar no período pós-natal o desenvolvimento e a
maturação de diversos órgãos e sistemas, visando atingir sua capacitação plena
para inserção no macroambiente, em um processo dinâmico de interação e até de
defesa em relação a este (GRAZIANO; LEONE, 2005). Deve ser levado em
51
consideração que, bebês prematuros ficam em média de 20 à 80 dias
hospitalizados, atrasando o desenvolvimento normal deles (PITREZ; PITREZ, 1998).
O ambiente extra uterino, agora, oferece múltiplos aspectos aversivos e
intensos, para quem não teve tempo de desenvolver os sistemas que lhe permitiriam
melhor adaptação a um novo meio, aéreo e gravitacional. A tecnologia que permite a
manutenção de vida desses bebês é muitas vezes agressiva: tubos no nariz e na
boca, elétrodos gelados, luz forte constante durante 24h, sons amplificados pela
parede da incubadora, veias dissecadas, dores, manuseio excessivo, que não lhes
permite um sono profundo, esforço para respirar, posições que dificultam os
movimentos ativos e o aconchego situações que favorecem o estresse constante.
Dificilmente esse bebê se sentirá seguro e bem-vindo! (BARACHO, 2002).
Os recém nascidos prematuros e/ou de baixo peso ao nascer, constituem a
população de alto risco mais freqüente e, possivelmente por esse motivo, a mais
documentada em termos de impactos sobre o desenvolvimento. Contudo o
neurodesenvolvimento relaciona-se mais com a idade gestacional do que com o
peso de nascimento e é influenciado por fatores ambientais. Alguns problemas são
precoces e definitivos, outros podem surgir posteriormente e progredir, mas, a
maioria dos distúrbios desaparece ou é atenuada com o tempo (RUGOLO, 2005).
A expectativa quanto ao crescimento de recém nascidos prematuros é que
ocorra aceleração máxima entre 36 e 40 semanas de idade pós-concepção e que a
maioria apresente catch-up”, atingindo seu canal de crescimento entre os percentis
de normalidade nas curvas de referência até os 2-3 anos de idade. Geralmente, o
catch-up ocorre primeiro no perímetro cefálico, seguido pelo comprimento e depois
pelo peso (RUGOLO, 2005).
O Catch-up, também designado recuperação do crescimento ou crescimento
acelerado, caracteriza-se pela taxa de crescimento mais rápida que o esperado, ou
seja, velocidade acelerada de crescimento, que ocorre após um período de
crescimento lento ou ausente, permitindo recuperar a deficiência prévia. No caso de
prematuros que geralmente apresentam peso, comprimento e perímetro cefálico
abaixo do percentil mínimo de normalidade nas curvas de crescimento pós-natal, a
ocorrência de catch-up propicia, que estes, consigam nos primeiros anos de vida,
equiparar seu crescimento ao das crianças sadias nascidas de termo. Considera-se
que, ao completar o catch-up, o prematuro recuperou seu potencial de crescimento
(RUGOLO, 2005).
52
Devido à importância e ao impacto dos atrasos no desenvolvimento no que se
refere à morbidade infantil, é fundamental que se possa, o mais precocemente
possível, identificar as crianças de maior risco, a fim de minimizar os efeitos
negativos, daí decorrentes. Existem evidências suficientes de que, quanto mais
precoces forem o diagnóstico de atraso no desenvolvimento e a intervenção, menor
será o impacto desses problemas na vida futura da criança (HALPERN et al., 2000).
Wolke e Meyer (1999) mostraram que os prematuros apresentam déficits
cognitivos múltiplos, envolvendo principalmente a função de processamento
simultâneo e de processamento de informações complexas que requerem raciocínio
lógico e habilidades de orientação espacial. Em geral, quanto maior a imaturidade e
mais baixo peso ao nascimento, maior a probabilidade de déficit intelectual e
neurológico (NELSON et al., 2002).
É importante ressaltar que, ao lado das complicações médicas derivadas da
prematuridade, a associação com as situações sociais desfavoráveis e o tipo de
atendimento médico recebido por essas crianças, determinam o prognóstico em
relação ao desenvolvimento (Cohen; Bromet, 1992, apud HALPERN et al., 2000).
Além disso, parecem existir efeitos da prematuridade que irão aparecer mais
tardiamente, quando tais crianças entrarem na escola, o que justifica o
acompanhamento precoce desse grupo de risco (Godson, 1996 apud HALPERN et
al., 2000).
Rugolo (2005), afirma que seqüelas neurossensoriais graves, incluindo
cegueira, surdez e paralisia cerebral, são detectadas em 6-20% dos prematuros de
Extremo Baixo Peso ao nascer (EBP), sendo sua freqüência, inversamente
proporcional à idade gestacional. Assim, nos prematuros com 23-25 semanas de
idade gestacional, a incidência de seqüelas graves atinge 30% ou mais, e metade
destes microprematuros, apresenta alteração sensorial e/ou no
neurodesenvolvimento; mas, apesar disto, a maioria deles (> 80%) é capaz de andar
e alimentar-se de forma independente, no final do segundo ano de vida.
Nos primeiros anos de vida, 20-30% dos prematuros de EBP apresentam
algum grau de prejuízo em suas habilidades motoras. Deficiências neurossensoriais
ocorrem em 7-17% dos casos, com semelhante percentual de paralisia cerebral.
Mas, o problema mais freqüente nesta época, é o atraso no desenvolvimento
cognitivo, detectado em 30-40% destas crianças, pelos baixos escores nos testes de
desenvolvimento mental e psicomotor. Em prematuros com idade gestacional menor
53
ou igual a 25 semanas, a freqüência de distúrbios graves neurossensoriais e no
desenvolvimento cognitivo atinge quase 50% (Wood et al., apud RUGOLO, 2005) .
Estudos realizados por Olhweiler et al. (2002), comprovam a importância do
seguimento de recém nascidos pré-termos, até 12 meses, visto que permite a
identificação precoce de eventuais alterações e promove indicação da estimulação
neuropsicomotora e afetiva, em momento de importante plasticidade cerebral.
Acredita-se, geralmente, que as crianças nascidas prematuramente correm
riscos de apresentar atraso do desenvolvimento e distúrbios do SNC em
decorrências da imaturidade do seu sistema nervoso. Também quem questione
se o prematuro está devidamente preparado para a vida extra –uterina (Bennett et
al., 1981; Piper et al., 1985, apud SHEPHERD, 1996).
Em geral, o desenvolvimento motor obedece à seqüência normal das
capacidades de acordo com a idade, desde que se ajuste a idade da criança nascida
prematuramente, subtraindo as semanas da prematuridade (Burns et al. 1984;
Mandich et al., 1994, apud BURNS, 1999). Entretanto, foram descritas algumas
diferenças qualitativas do desempenho; a incidência de problemas motores maiores
ou menores situa-se acima da média na população de crianças muito prematuras
e/ou que permaneceram por muito tempo sob tratamento neonatal intensivo (Drillien
et al., 1988, apud BURNS, 1999).
Abordando lactentes de baixo risco (prematuros moderados) para seqüela
neurológica durante os seis primeiros meses de vida, os resultados da pesquisa de
Restiffe (2004), sugerem que o desenvolvimento da motricidade ampla dessa
população, apresenta variabilidade temporal, motora e estratégica distinta de
crianças a termo.
Embora não esteja totalmente esclarecido até quando devemos corrigir a
idade do prematuro, a maioria dos autores recomenda utilizar a idade corrigida na
avaliação do crescimento e do desenvolvimento até os 2 anos de idade, a fim de
obter a expectativa real para cada criança, sem subestimar o prematuro ao
confrontá-lo com os padrões de referência (RUGOLO, 2005). A criança nascida
prematuramente, apresenta com freqüência, variações discretas em relação ao
desenvolvimento ulterior (BURNS, 1999).
Para Lopes e Lopes (1999) e Restiffe (2004), o cálculo da idade corrigida é
feito pela subtração do número de semanas que faltou para a idade gestacional da
criança completar 40 semanas, de sua idade pós-natal. Restiffe (2004) aborda tal
54
número sob a denominação “Índice de Prematuridade” (IP), calculado pela sentença
[40 Idade Gestacional real], de onde pode ser referenciada uma fórmula facilitada
de cálculo da ICC: ICC = IC – IP, onde IC: Idade Cronológica.
Millá-Romero e Mulas (2002), e Lopes; Lopes (1999) preconizam que a idade
da criança pré-termo deve ser corrigida no acompanhamento de seu
desenvolvimento e crescimento até os 18 meses de idade, esperando-se que a partir
daí, ocorra o chamado catch up ou recuperação do desenvolvimento com
acompanhamento da respectiva idade cronológica. Restiffe (2004), demonstrou que
a correção da idade para fins de avaliação motora deva ocorrer durante o primeiro
ano de vida. Em recente revisão bibliográfica sobre o tema, Rugolo (2005) destaca
que o ajuste etário deva ocorrer até a idade de 24 meses, prolongado até os 36
meses em casos de prematuridade extrema.
Na avaliação do crescimento, este ajuste é necessário para reduzir a
variabilidade que existe devido ao rápido crescimento no último trimestre de
gestação e desaceleração do crescimento após o termo, possibilitando, então, uma
avaliação mais acurada das taxas de crescimento pós-natal e comparação entre
diferentes grupos de crianças. Para os prematuros de EBP e menores que 28
semanas, recomenda-se corrigir a idade até os 3 anos (RUGOLO, 2005).
Meio et al. (2004), afirma que o nascimento prematuro pode significar riscos
para o aprendizado escolar. Assim também, Bhutta et al. (2002), citados pela mesma
autora, demonstraram que os prematuros apresentam escores cognitivos inferiores
aos de controles a termo. Enquanto Wolke e Meyer (1999), apresentaram que os
prematuros apresentam déficit cognitivos múltiplos, envolvendo principalmente a
função de processamento simultâneo e de processamento de informações
complexas que requerem raciocínio lógico e habilidades de orientação espacial.
Os baixos escores de desenvolvimento no início da vida podem ter implicação
no desempenho da criança na idade escolar, embora seu valor em predizer o
desenvolvimento futuro seja controverso, pois o desenvolvimento cognitivo é
influenciado por múltiplos fatores, sendo especialmente importantes os fatores
ambientais, cuja influência acentua-se com o aumento da idade da criança e, na
ausência de seqüelas neurológicas graves, pode superar os efeitos dos fatores
biológicos. Neste sentido, especial atenção tem sido dada recentemente aos
distúrbios de comportamento do prematuro de EBP, que podem ser detectados
aos 2 anos de idade, pelo pior desempenho nos itens da escala de Bayley II que
55
avaliam a capacidade de orientação e desempenho da criança. Observa-se que os
prematuros são mais dispersos, menos atentos e persistentes, e isto pode
comprometer seu desenvolvimento cognitivo futuro (Sajanieme apud RUGOLO,
2005).
O desenvolvimento das crianças que apresentaram muitos problemas durante
o período neonatal, parece muitas vezes atrasado, sobretudo durante os 6 primeiros
meses pós-termo. Esse fato, freqüentemente reflete seu estado de saúde,
revelando-se passageiro. O quadro já se torna mais claro por volta dos 8 meses pós-
termo, sendo então possível identificar com maior precisão os casos de
desenvolvimento normal, atrasado ou definitivamente anormal (BURNS, 1999).
Outro aspecto que precisa ser criteriosamente avaliado nos primeiros anos de
vida é o desenvolvimento da linguagem, pois, quanto menor o peso de nascimento e
a idade gestacional, maior a probabilidade de atraso nos vários estágios de
desenvolvimento da linguagem, incluindo: atraso nos marcos pré-lingüísticos, como
reconhecer objetos e figuras, obedecer a comando verbal e executar atos simples
aos 12 meses de idade corrigida; menor vocabulário e capacidade de formar frases
e sentenças aos 2-3 anos. (RUGOLO, 2005).
O estudo de Pereira e Funayama (2004), avaliando a linguagem de 20
crianças de 2 a 15 meses de idade que nasceram pré-termo com idade gestacional
(IG) de 28 a 35 semanas, evidenciou que em relação à linguagem expressiva,
mesmo nas idades corrigidas, houve atrasos tanto no nível pré-lingüístico como no
lingüístico.
Ao se detectar atraso na linguagem, deve-se investigar sua possível
associação com deficiência auditiva, pois, neste caso, a intervenção audiológica
precoce pode melhorar o prognóstico. As dificuldades no desenvolvimento da
linguagem podem persistir até a idade escolar e comprometer o desempenho da
criança (RUGOLO, 2005).
O mesmo autor, afirma que estudo recente, envolvendo 211 prematuros de
EBP (46% com idade gestacional < 26 semanas), mostrou que, no segundo ano de
vida, 42% das crianças apresentavam desenvolvimento normal e 18% tinham
seqüelas graves. O desenvolvimento motor foi normal em 76% dos casos, e paralisia
cerebral ocorreu em 11%. Atraso na fala foi o distúrbio mais freqüente, presente em
42% dos casos. Alterações visuais ocorreram em 23%, com predomínio de
estrabismo (12%) e miopia (8%). Cegueira ocorreu em 0,5%, e 3% apresentaram
56
deficiência auditiva grave. A freqüência de alterações visuais teve relação inversa
com o peso ao nascer e a idade gestacional, mas os demais problemas não
diminuíram com o aumento do peso e/ou da idade gestacional (Tommiska apud
RUGOLO, 2005).
Um estudo realizado por Pedromônico, et al. (1998), encontrou que crianças
que permaneceram muito tempo (mais de 35 dias) internadas em unidades de
terapia intensiva após o nascimento, apresentam atraso no desenvolvimento dos
comportamentos comunicativos, quando comparadas à crianças com menor tempo
de internação hospitalar.
Em 1995, Martínez et al., publicaram um estudo sobre o desenvolvimento
neuropsicomotor de crianças de 24 meses que tiveram peso ao nascimento inferior a
1201 gramas, com história de prematuridade, utilizando a Escala de Brunet-Lèzine, o
estudo revelou incidência de anormalidade moderada em 10% e patológica em 12%
dos casos.
De maneira geral, os estudos sobre prematuros de EBP mostram que os
problemas de saúde diminuem após os primeiros anos de vida. Na idade pré-
escolar, 5-30% das crianças apresentam alguma limitação funcional em suas
atividades motoras, de comunicação ou de auto-cuidados. Na idade escolar, muitas
crianças com histórico de prematuridade conseguem ter desempenho normal,
entretanto, à medida que aumentam os desafios intelectuais na escola, podem surgir
novos problemas neuropsicológicos, comportamentais e de aprendizagem. As taxas
de deficiências neurossensoriais e cognitivas, de distúrbios psicológicos e
comportamentais são elevadas nos escolares nascidos de muito baixo peso e,
especialmente nos menores que 1.000 gramas, onde a incoordenação motora fina,
distúrbios neurológicos sutis, deficiência visual ou auditiva e alteração na percepção
visual-espacial podem colaborar para o pior desempenho escolar, prejudicar a auto-
estima e propiciar distúrbios comportamentais e sociais (RUGOLO, 2005).
Johnson (2000), redigindo sobre a questão do impacto do alto risco sobre o
desenvolvimento, afirma que estudos longitudinais promovem a percepção precoce
de riscos de morbidade.
No estudo de Olhweiler et al. (2002), com intuito de estabelecer marcos
neuropsicomotores para bebês prematuros, considerando a idade corrigida,
observou-se que das 40 crianças estudadas, 97% sustentavam a cabeça aos 3
meses, todos sentavam com apoio aos 6 meses, 76% caminhavam com apoio e
57
17% sem apoio, aos 12 meses. A percepção e sociabilidade, de 100% aos 3 meses,
permitia que percebessem sons, fixassem o olhar e seguissem objetos. Com relação
à fala, aos 3 meses 86% gorjeavam, aos 9 meses, 97% apresentavam sílabas
repetidas, e aos 12 meses já formavam palavras e frases.
Almeida et al. (2001), afirmam que apesar das controvérsias existentes
quanto ao desenvolvimento motor do prematuro, o acompanhamento sistemático
tem possibilitado essa identificação precoce e favorecido a qualidade de vida dessas
crianças e de seus familiares.
“...crianças cujos desvios do desenvolvimento são identificados
precocemente terão maior possibilidade de serem encaminhadas para uma
intervenção adequada visando a superação do desvio ou a prevenção de
deficiências mais graves, permitindo que o seu desenvolvimento transcorra
de forma mais próxima possível da normalidade.” (ALMEIDA et al. 2001,
p.461.)
Os efeitos à longo prazo, da prematuridade sobre o desenvolvimento,
dependem de quão cedo um bebê nasce (IG), de seu peso ao nascer, do tipo de
cuidado pós-natal que ele recebe e da qualidade do ambiente durante a infância
(BEE, 2003)
Nesse sentido, o diagnóstico precoce e a pronta instituição de medidas
terapêuticas adequadas são as metas essenciais, no sentido de evitar ou minimizar
tais seqüelas, revelando a importância do seguimento ao recém nascido de alto risco
neurológico.
O acompanhamento do desenvolvimento deve ser um processo contínuo e
flexível de avaliação da criança, incluindo a observação durante a consulta médica,
a valorização da opinião dos pais, o exame neurológico sistematizado, a avaliação
dos marcos de desenvolvimento neuromotor e a realização de testes de triagem. No
primeiro ano de vida, especial atenção deve ser dada à evolução motora do
prematuro, com avaliação do tônus passivo, postura, mobilidade ativa e força
muscular (RUGOLO, 2005), a fim de proporcionar aporte ao seu desenvolvimento
com qualidade de vida.
58
2.4. ACOMPANHAMENTO E INTERVENÇÃO NEUROPSICOMOTORA
SOBRE CRIANÇAS PREMATURAS
Oliveira, Lima e Gonçalves (2003) valorizam o seguimento longitudinal,
buscando a prevenção de possíveis distúrbios no desenvolvimento infantil.
Considerando o impacto das condições biológicas, verificado sobre o
desenvolvimento infantil, o número de programas de seguimento de recém nascidos
de risco, referido como Follow Up na literatura inglesa, vem aumentando. O aumento
na incidência de distúrbios motores em neonatos de alto risco tem estimulado o
surgimento de programas de acompanhamento dessas crianças (MANCINI et. al.,
2002).
Penalva (1995) comenta que a organização dos programas de Follow Up,
surgiu da necessidade de acompanhamento dos bebês de risco, oriundos das UTIs
Neonatais, que com todo avanço médico e tecnológico das últimas décadas,
proporcionam a sobrevivência de RNs com peso e idade gestacional cada vez mais
baixos.
Para Póo-Argüelles et. al. (2000), o acompanhamento no Follow-up, de
caráter "preventivo" e de longo prazo, de uma forma geral, segue duas etapas: 1)
Primeiros 24 meses de vida, procurando detectar e tratar, através de visitas
seriadas, transtornos do desenvolvimento e do crescimento físico; e 2) Finaliza ao
início da idade escolar (6-7anos), quando é possível detectar seqüelas tardias como
transtornos de conduta (hiperatividade, déficit de atenção), e dificuldades de
aprendizagem, entre outros déficits específicos.
O follow-up do desenvolvimento deve ser um processo contínuo e flexível de
avaliação da criança, incluindo a observação durante a consulta médica, a
valorização da opinião dos pais, o exame neurológico sistematizado, a avaliação dos
marcos de desenvolvimento neuromotor e a realização de testes de triagem, para
identificar distúrbios no desenvolvimento. No primeiro ano de vida, especial atenção
deve ser dada à evolução motora do prematuro, com avaliação do tônus passivo,
postura, mobilidade ativa e força muscular. (RUGOLO, 2005).
Em Gallego (1996), encontramos que os programas de seguimento têm
diversas finalidades, das quais três são fundamentais: detectar precocemente
59
deficiências, instaurar o tratamento o mais prontamente possível e promover
medidas preventivas.
Lemos et al (2004) destacam que, com o desenvolvimento dos programas de
acompanhamento neuroevolutivo, os objetivos do acompanhamento de crianças de
risco têm sido ampliados, promovendo a detecção e intervenção sobre alterações
neuropsicomotoras da criança, suporte à família e realização de pesquisas com
grupos específicos.
Dentre os objetivos assistenciais, citados por Caon (2005), que uma Unidade
de Acompanhamento deve ter, são destacados o diagnóstico precoce de sinais de
alerta do desenvolvimento neuropsicomotor nos primeiros anos de vida e o
encaminhamento imediato de crianças com suspeita de lesão cerebral a programa
de intervenção neuropsicomotora individualizada, bem como prevenção e orientação
sobre alterações de conduta e comportamento, proporcionando atenção integral à
criança e à família (RAMOS SÀNCHEZ e MÁRQUEZ LUQUE, 2000;
ETCHEPAREBORDA et al. 2003; LENKE, 2003). Ainda para Póo-Argüelles,
Campistol-Plana e Iriondo-Sanz (2000), os objetivos de um programa de
acompanhamento embasam-se fundamentalmente na detecção precoce de
transtornos do desenvolvimento.
Ao considerar as unidades de seguimento, como agentes investigativas, o
acompanhamento permite maior conhecimento do desenvolvimento neuromotor de
crianças com determinados fatores de risco, a partir da observação de mudanças
neurológicas advindas nas distintas etapas do desenvolvimento (PÓO-ARGÜELLES,
CAMPISTOL-PLANA e IRIONDO-SANZ, 2000).
Doménech et al (2002) indicam que prematuros e crianças com baixo peso de
nascimento, assim como aqueles que tiveram prolongada hospitalização neonatal,
devem ser incluídos impreterivelmente em programas de acompanhamento.
Nascimento pré-termo e de baixo peso, aliás, constituem consenso na descrição de
critérios de inclusão em programas de acompanhamento ambulatorial.
A Sociedade Brasileira de Pediatria (SBP), representada pelo Comitê de
Follow-Up do recém nascido de risco (1994, apud BRASIL, 2002), apresenta
indicadores de risco para distúrbios do desenvolvimento neuropsicomotor, os quais
devem nortear a elegibilidade de crianças ao acompanhamento. Alguns destes são
citados por Caon (2005), em seu trabalho sobre o acompanhamento de crianças de
alto risco.
60
Muitos autores enfatizam os benefícios pela intervenção precoce em bebês de
risco, no entanto, algumas controvérsias têm surgido em relação às definições da
clientela desses serviços e aos dados inconsistentes da eficácia da intervenção em
algumas pesquisas com metodologia pouco definida. O critério para o sucesso de
um programa de intervenção precoce estaria intimamente relacionado ao contexto
de quem participa e das metas estabelecidas. (FORMIGA, PEDRAZZANI E
TUDELLA, 2004).
Devido à importância e ao impacto dos atrasos no desenvolvimento no que se
refere à morbidade infantil, é fundamental que se possa, o mais precocemente
possível, identificar as crianças de maior risco, a fim de minimizar os efeitos
negativos daí decorrentes. Existem evidências suficientes de que quanto mais
precoces forem o diagnóstico de atraso no desenvolvimento e a intervenção, menor
será o impacto desses problemas na vida futura da criança (HALPERN et al., 2000).
Destaca-se na atual visão sobre o seguimento infantil, a importância da
interdisciplinaridade. O Manual de Follow Up publicado pela Sociedade de Pediatria
do Rio de Janeiro, em 1995, sublinhava a necessidade de um programa de
seguimento ser muito mais que um ambulatório de acompanhamento de prematuros,
tratando-o como um "insight" Holístico na Pediatria, partindo de uma visão da
criança como um indivíduo em todos os seus aspectos: físico, motor, psicológico,
cognitivo, afetivo e social (PENALVA, 1995).
Os profissionais que trabalham com o desenvolvimento infantil estão
reconhecendo cada vez mais a importância de considerar durante o tratamento a
interação entre aspectos biológicos (organismo), fatores de aprendizado ou
experiência (ambiente) e exigência específica da tarefa. Para melhor abordagem ao
intervir na criança, é necessária uma análise coletiva das variações do
desenvolvimento dentro de uma perspectiva "sócio-ecológica”. Assim, o atendimento
individualizado da criança possibilita a identificação de risco em particular e, a
avaliação da família possibilita a contextualização e a definição de estratégias de
intervenção que podem contribuir para o êxito dos programas de intervenção.
(FORMIGA, PEDRAZZANI E TUDELLA, 2004).
Barbosa et. al. (1993) destacavam a importância de programas de
acompanhamento no papel de promover uma melhor adaptação afetiva, familiar e
social de crianças de alto risco. que se citar as contribuições de tais programas
no favorecimento do estabelecimento do vínculo entre os pais e a criança
61
(GALLEGO, 1996; BARBOSA et al., 1993), aspecto muito frágil quando
consideradas as frustrações, sentimentos de culpa de baixo vel de conhecimento
dos pais diante da condição de seu filho.
Nesse sentido, a mãe pode passar a receber instruções sobre como cuidar do
filho, podendo inclusive, ser feitas visitas domésticas no sentido de avaliar os
recursos domésticos e aconselhar sobre quaisquer providências necessárias
(NELSON et. al., 2002).
Kleberg, Westrup e Stjernqvist (2000), ao avaliarem o efeito de um programa
denominado Cuidado Desenvolvimental Individualizado para o Recém nascido e
Programa de Intervenção (NIDCAP), constataram que as crianças do grupo de
intervenção foram mais comunicativas, apresentaram mais habilidade de linguagem
e menos problemas globais e internalizantes, e que, as mães que foram
acompanhadas apresentaram mais contato físico e visual do que as díades mãe-
criança que não passaram por intervenção. (KLEIN e LINHARES, 2006).
De qualquer forma, é imprescindível a consideração da qualidade de vida da
criança e a promoção de seu desenvolvimento global. Programas de Estimulação
Neuropsicomotora têm complementado estudos de seguimento a fim de alcançar
tais objetivos.
Além disso, parecem existir efeitos da prematuridade que irão aparecer mais
tardiamente, quando tais crianças entrarem na escola, o que justifica o
acompanhamento precoce desse grupo de risco (HALPERN et al., 2000).
CAPÍTULO III
3. METODOLOGIA
O presente capítulo apresenta os procedimentos utilizados no estudo em
questão, assim como, a forma de obtenção dos mesmos e a análise dos dados.
Assim apresenta: a caracterização da pesquisa; a População e amostra; coleta de
dados, assim como, os instrumentos, procedimentos de coleta e tratamento
estatístico dos dados.
3.1. CARACTERIZAÇÃO DA PESQUISA
Esta pesquisa caracteriza-se como descritiva, de desenvolvimento longitudinal
(CERVO; BERVIAN, 1996), e de campo, pois buscou analisar as características de
um fenômeno procurando verificar os fatores que acompanham e contribuem para a
ocorrência do evento, onde estes acontecem (MARTINS, 1994).
3.2. POPULAÇÃO E AMOSTRA
A população do presente estudo foi constituída por crianças prematuras e de
extrema prematuridade, acompanhadas nos Projetos “Seguimento Maturativo de
Crianças de Alto Risco Biológico” e “Avaliação e Intervenção neuropsicomotora em
crianças com histórico de prematuridade”, realizados no Ambulatório de Alto Risco
em Neonatologia da Unidade de Pediatria do Hospital Universitário Polydoro Ernani
63
de São Thiago, da Universidade Federal de Santa Catarina, na cidade de
Florianópolis/SC, no período de julho de 2005 a julho de 2008.
O projeto “Avaliação e Intervenção neuropsicomotora em crianças com histórico
de prematuridade”, em vigor desde agosto de 2006, surgiu da necessidade de se
acompanhar de forma específica o grupo de crianças com histórico de
prematuridade que constitui cerca de 80% do projeto “Seguimento Maturativo de
Crianças de Alto Risco Biológico”, realizado desde agosto de 2004. Ambos os
projetos surgiram numa parceria entre o serviço de Neonatologia do HU/UFSC e o
Núcleo de Avaliação e Intervenção Neuropsicomotora na Primeira Infância/NAINPI,
do Laboratório de Desenvolvimento Humano/LADEHU, do Centro de Ciências da
saúde e do Esporte /CEFID, da Universidade do Estado de Santa Catarina/UDESC.
A amostragem teve caráter intencional e conveniente, englobando as crianças
que atenderam os critérios de inclusão e de exclusão da amostra. Os critérios de
inclusão envolveram: autorização dos pais ou responsáveis pelas crianças quanto a
sua participação no estudo; freqüência assídua ao acompanhamento do
Ambulatório; e estar na faixa etária de 4 a 24 meses no período de julho de 2005 a
julho de 2008.
Fizeram parte dos critérios de exclusão, o diagnóstico fechado de distúrbios
sensoriais (visuais e auditivo), portadores de malformações ortopédicas, infecções
do SNC, paralisias cerebrais, cardiopatias graves e síndromes genéticas, os
mesmos critérios de exclusão do Projeto “Avaliação e Intervenção neuropsicomotora
em crianças com histórico de prematuridade”.
Os sujeitos do estudo foram organizados em dois grupos. O Grupo I foi
composto pelos lactentes com história de Idade Gestacional (IG) menor que 37
semanas e maior que 32, caracterizando Prematuridade. O Grupo II agregou as
crianças com histórico de Extrema Prematuridade, caracterizado pela IG menor ou
igual a 32 anos.
que se destacar que as idades cronológicas das crianças foram corrigidas,
devido à prematuridade, descontando o período que faltou para a condição a termo,
segundo o Índice de Prematuridade/IP (RESTIFFE, 2004).
64
3.3. COLETA DE DADOS
3.3.1. Instrumentos
As medidas obtidas referem-se às características biopsicossociais e ao
Desenvolvimento Neuropsicomotor dos grupos de estudo, com suas Idades e
Quocientes nas áreas Postural, Óculo-Motriz, de Linguagem, Social, e seu
equivalente global.
Para aquisição de dados biopsicossociais, foi utilizado como instrumento, um
formulário padronizado respondido pelos pais ou responsáveis, e complementado
pela consulta ao prontuário hospitalar da criança (ANEXO A). E para avaliação do
desenvolvimento foi utilizada a Escala de Desenvolvimento Psicomotor da Primeira
Infância de Brunet-Lèzine (1981), cuja Folha de Registro encontra-se no ANEXO B.
O Formulário para aquisição de dados Biopsicossociais
, desenvolvido por Caon
(2005), foi construído para seu estudo com base em revisão bibliográfica
especializada e observação dos registros disponíveis no prontuário hospitalar das
crianças, tendo como base os critérios descritos em publicação normativa da
Atenção Básica à saúde da criança na Espanha (G. A. T., 2000), concordante com a
definição da Seção de Neonatologia da Associação Espanhola de Pediatria (citados
por TRAPERO, 1992; e RAMOS SÁNCHEZ; MARQUEZ LUQUE, 1999)
O instrumento contém 10 sub-áreas envolvendo: Dados de Identificação,
Antecedentes Gestacionais, História Perinatal, Período Neonatal, Amamentação,
Marcos do Desenvolvimento Neuropsicomotor, História Familiar de Risco/Distúrbios
Neurológicos, Cuidados com a criança, Estado de Sono e Vigília, e Exame Físico,
este, subdividido em nus Muscular, Manifestações Posturais, Atitudes e
Antropometria. Cada sub-área possui pergunta(s) específicas, com registro
individualizado a ser descrito nos resultados, como resposta ao primeiro objetivo
específico.
A Escala de Desenvolvimento Psicomotor da Primeira Infância, utilizada para a
avaliação do desenvolvimento das crianças foi padronizado e validado pelas autoras
Brunet e Lèzine (1981); e adaptada para a população catarinense por Rosa Neto e
Souza (SOUZA, 2003).
Esta escala é composta por 150 itens, que dividem a avaliação em quatro
áreas: a) Postural avalia os movimentos amplos da criança, como rolar, sentar,
65
andar; b) Oculomotriz ou de conduta da adaptação ao objeto avalia coordenação
olho-mão, manipulação de objetos e solução de problemas; c) Linguagem que
avalia a recepção, percepção e expressão no uso da linguagem; e d) Social que
avalia as reações pessoais e sociais (SOUZA, 2003).
A escala esdividida em níveis que compreendem a faixa etária de 01 à 30
meses. Apresenta 10 itens de testagem para cada mês, sendo 6 destes itens
referentes à testagem propriamente dita e 4 referentes a questionamentos, que
devem ser feitos aos pais.
Segundo Souza (2003), este instrumento apresenta como índices de
confiabilidade: 0,68 de validade de critério (validade concorrente com as escalas de
Stanford-Binet, de Terman-Merril, de Cattel, de Bühler e de Gesell) e 0,85 de
fidedignidade (coeficiente de correlação de 0,85, obtido pelo método teste-reteste).
O kit de avaliação foi reproduzido com fidedignidade à descrição do original
que consta em Brunet e Lézine (1981), englobando as adaptações realizadas por
Souza (2003), a partir do estudo-piloto de sua pesquisa. A composição do kit versa
por diferentes brinquedos e materiais, sendo constituído por: 10 cubos, vermelho
vivo, de 2,5cm de aresta; uma xícara de alumínio; uma colher de alumínio; uma
campainha metálica (em forma de sino) de 12cm de altura; um chocalho pequeno;
um anel de madeira vermelho, de 13cm de diâmetro amarrado a uma fita de 25cm;
um espelho de 30cm x 25cm; um lápis vermelho, azul ou verde (14cm); um bloco de
papel de 24cm x 16 cm; um frasco de plástico de 13cm de altura, e 2cm de diâmetro
no gargalo; uma bola de cor viva, tamanho médio; um tabuleiro de encaixe pintado
de verde, de 36cm x 16cm, com 1cm de espessura, contendo buracos: circular (de
9,5cm de diâmetro), quadrangular (de 8cm de lado) e triangular (de 9cm de base).
As peças para encaixar correspondentes (redonda, quadrada e triangular) são
pintadas de preto e têm 1,5cm de espessura; Um livro de contos e imagens
atraentes, de 24cm x 23cm; Uma folha com o desenho de uma boneca, de 25cm de
altura; Jogo de imagens com fichas individuais, plastificadas, com desenhos
representativos de: um cachorro, um sapato, uma xícara, um trem, uma colher, uma
casa, um relógio, uma faca, uma boneca.
66
Figura 01 – Imagem do Kit de Avaliação da Escala de Brunet-Lézine.
A metodologia referente às formas de aplicação prática dos testes, ao sistema
de registro e de conversão das idades de desenvolvimento em pontos, aos lculos
dos quocientes de desenvolvimento e aos demais procedimentos da Escala de
Brunet-Lézine realizaram-se de acordo com as normas do manual, somadas às
modificações do sistema de anotação e da folha de perfil das respostas aos itens de
testagem e dos pontos e resultados obtidos, realizadas por Souza (2003).
Conforme Souza (2003), as modificações realizadas utilizaram a tecnologia à
disposição na atualidade, de forma a facilitar e agilizar a posterior análise e
interpretação dos dados. Dessa forma, foram elaborados: uma planilha do Excel,
com subdivisão clara dos níveis da Escala e itens do teste (ROSA NETO;
FERREIRA, 1997, apud SOUZA, 2003); e um software em cd-rom (SIMODE –
Sistema de Monitoração do Desenvolvimento Infantil) por Rosa Neto, Souza e
Thizon (2002).
A classificação quanto ao desenvolvimento foi criada por Souza e Rosa Neto
em 2003, após longo estudo, com 221 lactentes de creches de Florianópolis, onde
após encontrar médias e desvios - padrão para cada uma das áreas, padronizou-se
a escala como apresenta o quadro abaixo.
67
Quocientes de
Desenvolvimento
CLASSIFICAÇÃO
129 ou mais MUITO SUPERIOR
119 - 128 SUPERIOR
109 - 118 NORMAL ALTO
89 - 108 NORMAL MÉDIO
79 - 88 NORMAL BAIXO
69 - 78 INFERIOR
68 ou menos MUITO INFERIOR
Quadro 01 - Escala de Classificação do Desenvolvimento.
3.4. PROCEDIMENTOS DE COLETA DE DADOS
Tendo em vista que este trabalho foi previamente aprovado pelo Comitê de
Ética em pesquisa em seres humanos, da Universidade do Estado de Santa
Catarina, sob o 040/06 (ANEXO C), os procedimentos de coleta de dados
seguiram a rotina do Projeto “Avaliação e Intervenção Neuropsicomotora em
crianças com histórico de prematuridade”.
A avaliação do Desenvolvimento Neuropsicomotor das crianças com histórico
de prematuridade, deu-se em prosseguimento à consulta médica do referido
Ambulatório de Alto Risco em Neonatologia do HU/UFSC.
Porém, antecedendo a avaliação neuropsicomotora, de forma a aumentar a
interação com a criança, foi realizada a aquisição das respostas do formulário
biopsicossocial, solicitando o auxílio dos pais ou responsáveis por cada criança.
O passo seguinte envolveu a avaliação do desenvolvimento neuropsicomotor,
também contando com a presença do acompanhante da criança. A avaliação
acontece em consultório fechado, num ambiente calmo, com a presença mínima de
ruídos e estímulos visuais. São realizadas avaliações individuais, à exceção de
gemelares. E cada criança recebe uma ficha individual de anotações do
desempenho psicomotor.
O estudo piloto foi realizado com objetivo de verificar viabilidade para a
pesquisa e a interação com os instrumentos da pesquisa, verificando assim
possíveis interferências no momento da coleta propriamente dita (APÊNDICE 1).
68
3.5. TRATAMENTO ESTATÍSTICO DOS DADOS
Os dados referentes às variáveis: idade cronológica corrigida, idades de
desenvolvimento e quocientes de desenvolvimento para cada uma das áreas foram
calculados manualmente.
Para fins de análise, os dados foram tratados através da estatística descritiva,
nos casos de apresentação dos dados obtidos, e da inferencial quando relações
entre as variáveis se fizeram necessárias.
Os dados biopsicossociais identificados no grupo de estudo foram
apresentados de forma descritiva, com cálculo de média, desvio-padrão, valores
mínimo e máximo, e mediana, para variáveis quantitativas. Variáveis qualitativas
foram apresentadas descritivamente quanto à sua freqüência e proporção.
Parâmetros neuropsicomotores foram descritos de forma semelhante, com
submissão à análise inferencial.
O nível de significância fixado para a análise inferencial foi de 0,05, com
intervalos de confiança de 95%. A normalidade de dados quantitativos foi testada
através do Teste de Kolmogorov-Smirnov utilizado para verificação da normalidade
dos dados neste caso em que há mais de 50 amostras.
Na verificação da existência de diferenças significativas entre diferentes
momentos do seguimento neuropsicomotor, a comparação de medidas de
Tendência central foi realizada através do Teste t pareado, comparando a primeira
com as demais avaliações
Para verificação da correlação entre os parâmetros neuropsicomotores nas
diferentes avaliações foiutilizada a Correlação linear de Pearson.
A análise foi realizada através do EPI INFO 2000®, versão 3.2.2 (CDC, 2004).
CAPÍTULO IV
4. APRESENTAÇÃO E DISCUSSÃO DOS RESULTADOS
Este capítulo destina-se à apresentação e discussão dos resultados obtidos a
partir do tratamento dos dados relativos aos testes efetivados na presente pesquisa.
Os resultados serão apresentados de acordo com os objetivos específicos,
buscando atingir a resposta ao objetivo geral.
4.1. CARACTERÍSTICAS DO DESENVOLVIMENTO DE CRIANÇAS COM
HISTÓRICO DE PREMATURIDADE.
Atendendo o objetivo de “Descrever características biopsicossociais, das
crianças dos grupos de estudo”, apresenta-se os resultados.
Foi observado que durante o período de julho de 2005 á julho de 2008,
passaram pelo ambulatório de Alto Risco em Neonatologia, 120 lactentes, que
atenderam as exigências da pesquisa. Porém, apenas 89 (74,1%) estavam em idade
apta para avaliação na data agendada da consulta, estipulada pelo projeto em 4
meses de Idade cronológica corrigida (ICC), para que houvesse menor influência de
reflexos primitivos sobre o desenvolvimento neuropsicomotor.
As 31 crianças que não fizeram parte da amostra, não encontravam-se em
idade apta para a avaliação, sendo que a idade considerada é a corrigida. Outras
70
crianças, estiveram na primeira consulta no ambulatório, mas não retornaram para a
avaliação, caracterizando abandono do seguimento.
O ambulatório de alto risco, recebe os lactentes para o follow-up, assim que
eles tem alta hospitalar, no entanto na data da primeira consulta, muitos ainda não
encontravam-se em idade apita para a avaliação do desenvolvimento, alem dos
lactentes que vem para a primeira, mas não dão seqüência com o
acompanhamento, gerando para nos, uma perda amostral.
O presente estudo tratou-se de um seguimento, havendo necessidade de
acompanhamento sistemático, com reavaliações periódicas.
Lopes (1999) apud Caon (2005) afirma que o seguimento de crianças de
risco, especialmente durante o primeiro ano de vida, configura uma tendência atual
na maioria dos países desenvolvidos, aonde tal especialidade, vem sendo
estabelecida desde os anos 80. Já para Ramos Sanchez e Márquez Luque (1999), o
seguimento de crianças de risco deve ser realizado por meio de unidades de
maturação que ofereçam o serviço de intervenção precoce, formando o serviço de
Atenção Primária, caracterizado por um conjunto de atividades organizadas e
coordenadas no sentido de promover o máximo bem estar psicossocial e capacidade
funcional à criança.
A idade gestacional (IG) média foi de 216,15 dias (mediana=216, desvio-
padrão=17,2) de gestação correspondente a 30 semanas e 6 dias, o que
caracterizaria Extrema prematuridade. A IG variou de 168 dias à 259 dias, sendo
que para haver prematuridade, é necessária uma IG de até 259 dias ou 37 semanas.
O Índice de Prematuridade (IP), que é a correção da Idade Gestacional para 40
semanas, variou entre 21 e 112 dias, com média de 64,1 dias.
A correção da idade cronológica foi realizada de acordo com a proposta de
Babson, subtraindo-se da idade cronológica o período decorrido da idade
gestacional ao nascimento de quarenta semanas, que é a média do termo
gestacional, considerado entre 38 e 42 semanas (PEREIRA e FUNAYAMA, 2004).
A correção da idade cronológica ainda não é consenso, porém Rugolo (2005),
recomenda a utilização de ICC para avaliação do crescimento e do desenvolvimento
até os 2 anos de idade, a fim de obter a expectativa real para cada criança, sem
subestimar o prematuro ao confrontá-lo com os padrões de referência.
71
De acordo com Olhweiler e colaboradores (2002), o seguimento neurológico
durante os primeiros anos do lactente prematuro, demonstra que ao corrigir a idade
gestacional, sua evolução não difere da dos recém nascidos a termo.
A menor idade gestacional foi de 168 dias, correspondente a 24 semanas
gestacionais, com peso correspondente a 515g, observando que para este lactente
de extrema prematuridade o tempo de internação foi de 102 dias, acompanhado de
uma rie de fatores de complicações oriundas da imaturidade orgânica e
neurológica.
No estudo de Halpern e colaboradores (2000), as crianças com menor tempo
de gestação tiveram 60% mais chance de apresentar problemas, mesmo após o
ajuste; da mesma forma, as crianças com menor peso de nascimento tiveram quatro
vezes mais chance de apresentar problemas no teste do que aquelas com maior
peso.
Visto que os prematuros foram divididos em dois grupos, os de extrema
prematuridade, foram maioria com 68,5% (N= 60) dos lactentes, em relação aos
prematuros moderados.
68%
32%
Prematuros Extremos
Prematuros Moderados
Gráfico 1Porcentagem dos grupos de prematuros
Quanto ao gênero, 57% foram lactentes do sexo masculino e 43% lactentes
do sexo feminino.
Tabela 1 – Medidas descritivas de Peso, Comprimento e Perímetro cefálico ao nascer.
X Mediana Desvio-padrão
Moda
Peso ao nascer 1271,9g 1215 451,5249 1050
Comprimento 37,5cm 37 4,0619 36
Perímetro cefálico 27,0cm 27 3,2075 28
72
O peso médio ao nascer foi de 1271,9g com grande variação entre 515g e
3150g. O comprimento médio ao nascer foi de 37,5 cm, com mínimo de 27 e máximo
de 49 cm, com grande ocorrência entre 36 e 37,5 cm. E o Perímetro cefálico médio
ficou em 27cm, variando de 20 à 34,5cm. Os resultados de mediana, desvio-padrão
e moda apresentam-se na tabela abaixo.
Halpern et al. (2000) enfatizam que crianças nascidas com peso inferior a
2.000g e crianças pré-termo apresentam maior incidência de atraso no
desenvolvimento neuropsicomotor (DNPM), logo, apresentam 60% a mais de chance
de apresentar atraso no desenvolvimento. Klein e Linhares (2006), compararam
crianças nascidas pré-termo com muito baixo peso com crianças nascidas a termo e
com peso igual ou superior a 2.500g e afirmam que as primeiras são mais propensas
a apresentar: deficiências cognitivas (Bradley & cols., 1993; Dammann & cols.,
1996), problemas de desempenho escolar (Laucht, Esser & Schmidt, 1997),
dificuldades comportamentais (Linhares & cols., 2001) e problemas de crescimento
físico (Werner, 1986), citados por Klein e Linhares, 2006).
Quanto à permanência diária da criança, nosso estudo identificou a presença
da mãe como principal cuidadora, ou seja, pessoa que passa a maior parte do
tempo com a criança, em 84,3%(N=75) dos casos, e a necessidade de creches se
fez presente em apenas 10%(N=9), que apresentam idade inferior à 24 meses,
tendo ocorrência de casos, em que houve necessidade de babá, tios, avós e
vizinhos, como cuidadores.
6%
84%
10%
Pai/Mãe
Creche
Outros (Avó, Tios,
Babas, vizinhos)
Gráfico 2Principais cuidadores até o segundo ano de vida.
Os resultados do estudo de Cherkes-Julkowski e Mitlina (1999) apud Klein e
Linhares (2006), mostraram que o déficit de atenção e hiperatividade na criança
prematura na idade escolar foi predito por variáveis da interação mãe-criança aos
73
dois anos de vida, que focalizavam tanto a díade mãe/criança (irregularidade quanto
à intencionalidade e instabilidade no sistema interativo), quanto à mãe (alto nível de
restrição e intencionalidade) e a criança (pouca adaptabilidade da criança à
intencionalidade materna).
De acordo com este trabalho, o vínculo mãe-criança encontra-se fortalecido,
favorecendo a prevenção de distúrbios de desenvolvimento que poderiam aparecer
na idade escolar.
Kálmar e Boronkai (1991), apud Klein e Linhares (2006) afirmam que por
outro lado, um ambiente familiar inadequado, como, por exemplo, a condição de
pobreza, pode intensificar o risco perinatal. Porém não foram analisados, neste
estudo, dados sócio-econômicos das famílias em estudo, salienta-se apenas que o
estudo foi realizado em um Hospital público, que visa atender as necessidades da
população de baixa renda, localizado da região norte de Florianópolis, embora
receba diariamente pacientes oriundos de todo o estado de Santa Catarina.
O Hospital Universitário Polydoro Ernani de São Thiago, localiza-se no bairro
Trindade, na cidade de Florianópolis, e é considerado um hospital de referência no
estado, sendo assim, atende pacientes oriundos das mais diversas cidades,
principalmente aquelas que não possuem suporte adequado á crianças de alto risco.
Assim sendo, provenientes de todo o estado de Santa Catarina, os 89
lactentes da pesquisa, eram em sua maioria, (60,7% N=54) da região da Grande
Florianópolis (Florianópolis, São José e Biguaçú), 16,8% (N=52) provinham da
região Sul do estado (Garopaba, Imbituba, Laguna, Imarui, Araranguá, Jacinto
Machado, Turvo, Criciúma, Siderópolis, Orleans, Braço do Norte e Rio Fortuna), da
Região do Vale do Itajaí (Rio dos cedros, Indaial, Presidente Getulio, Rio do Sul,
Gaspar, Camboriu), somaram 9% num total de 8 lactentes, e da região Norte
(Papanduva, Joinville, São Francisco do Sul, São Bento do Sul, Rio negrinho,
Itaiópolis e Três Barras) foram 7 lactentes (7,7%), e ainda 2,2% (N=2) vieram da
região Oeste (Joaçaba e Tangará) e 2,2% (N=2) do Planalto serrano (Fraiburgo e
Campos Novos). Isto limitou a realização de intervenção direta sobre o lactente, pela
equipe do estudo.
74
Figura 2 – Ilustração regional do Estado, em relação a demanda atendida
4.2. FATORES DE RISCO INCIDENTES SOBRE O DESENVOLVIMENTO
DE LACTENTES PREMATUROS
Atendendo ao segundo objetivo especifico, de: “Identificar os principais
fatores de risco incidentes na população estudada”, segue-se o exposto.
Primeiramente identificando que a população de risco são aqueles que
apresentam fatores que supõe uma alta probabilidade estatística de apresentar
alguma deficiência. Entre os principais fatores de risco, para atrasos no
desenvolvimento ou presença de discapacidades, cita-se: menores de 1500g ao
nascer, ventilação mecânica por mais de 24h, Apgar menor que 4 no quinto minuto,
filhos de dependentes de drogas e álcool, retardo no crescimento intra- útero,
presença de infecções (principalmente sepse e meningite), hemorragia
intraventricular, alterações neurológicas, presença de fatores de risco em irmãos e
alterações metabólicas. As observações foram feitas através de um estudo realizado
em 22 hospitais públicos, na Espanha entre 1994 e 1998 (ARIZCUN-PINEDA, 2002).
75
Nosso estudo evidenciou que o acompanhamento pré-natal pode ser fator
preventivo de diversos fatores de risco, que possam vir a influenciar no
desenvolvimento de lactentes. Em nossa pesquisa, 92% dos casos realizaram o
acompanhamento, em postos de saúde ou hospitais próximos à sua residência,
86,7% destas realizaram três ou mais consultas, e a grande maioria (51,7% N=45)
realizou entre 5 e 6 consultas, porém, salienta-se que nos dias atuais, ainda
houveram 7 mulheres (8%) que não realizaram nenhum tipo de acompanhamento
gestacional.
De acordo com Monteiro, Benicio e Ortiz (2000), mães com menos de cinco
consultas pré-natais na cidade de São Paulo, apresentavam risco relativo de baixo
peso ao nascer de 2,47 em relação à mães com mais de 5 consultas pré natais.
Ao entrevistar as mães, ou responsáveis, mediante o formulário
biopsicossocial, pode-se verificar que o planejamento familiar, esta pouco presente
na vida da população deste estudo, visto que 67,8% das gestações não foram
planejadas, embora 92% das mães afirmaram, aceitar bem a gestação.
A idade materna mínima foi de 16 anos e a máxima de 42 anos, com média
de 26 anos, ainda assim ressalta-se que 13,6% (N=12) tinham 18 anos ou menos, e
3 delas (3,4%) apresentavam mais de 40 anos de idade ao nascimento da criança.
O tabagismo por sua vez, esteve presente em apenas 11,5% das gestantes
(N=10), diminuindo assim o risco de lesões no sistema nervoso central.
O fumo em mulheres grávidas retarda o crescimento do feto através da
limitação de oxigênio que ele recebe e baixa o peso do bebê ao nascer e sua
resistência à doenças, aumentando também as chances de abortos e nascimentos
prematuros (BEE, 2003).
Quanto às intercorrências pré-natais
, estas estiveram presentes em 68,3%
das gestações, e destas a principal foi a Pré Eclampsia (25,3% N=23), seguida das
infecções, presentes em 12,1% (N=11) das gestantes. Diabetes, RCIU e Placenta
prévia acometeram cerca de 4 mulheres cada, perfazendo 15,5% dos casos, pom
outros episódios pré-natais (Descolamento placentário, hemorragias, ruptura
precoce da bolsa, nefropatia, neoplasias materna, Choque séptico e óbito fetal)
também estiveram presentes em 6% das gestantes (N=5). Embora o estudo de
Dias et. al. (2005), não tenha encontrado correlação entre hipertensão arterial e risco
para atraso neuropsicomotor, o presente trabalho observou que 22,4% das
76
gestantes apresentaram como intercorrência pré-natal, a hipertensão arterial (pré-
eclampsia), seguidas pelo nascimento prematuro de seu filho.
Dada a quantidade de intercorrências pré-natais, compreende-se que 65,9%
dos partos foram do tipo Cesárea, sem maiores intercorrências, seguido do parto
normal em 30,7% dos nascimentos.
Um estudo com o objetivo de verificar a incidência de suspeita de atraso no
desenvolvimento motor de crianças matriculadas nas creches municipais de
Florianópolis - SC, na faixa etária de 0 à 2 anos, avaliou 65 crianças, através do
teste de Denver II, e verificou que nove apresentaram suspeita de atraso na área
motora, sendo quatro exclusivamente na área de motricidade fino-adaptativa, duas
na motricidade grosseira e três de forma global, envolvendo as duas áreas. Porém,
interessa-nos salientar que nesta amostra com suspeita de atraso motor, foram
identificados fatores de risco como: prematuridade, intercorrências gestacionais,
relação negativa entre e e feto, peso ao nascimento, idade materna acima de 30
anos ao parto, precariedade de assistência pré-natal, parto cesáreo, ocorrência de
gemelaridade, baixos peso e comprimento ao nascimento, morbidade pós-natal,
aleitamento materno inferior a seis meses, sobrepeso e baixa escolaridade materna
(CAON; RIES, 2003).
Verificou-se a ocorrência de 15 gemelares, que somam 17% dos avaliados,
destes observamos duas ocorrências de trigêmeos, embora em um dos casos, um
dos gemelares veio a óbito.
Quanto à classificação do recém nascido, evidenciou-se que 27,6% foram
classificados Pequenos para a idade gestacional - PIG, 71,3% (N=62) Adequados
para a idade gestacional - AIG e apenas 1,1% foram Grandes para a idade
gestacional – GIG.
de se considerar que mais da metade dos lactentes foram AIG. Porém,
ressalta-se os 27,6% classificados como PIG, que correspondem a 24 lactentes,
apresentando maiores chances de atrasos no desenvolvimento, por serem
pequenos demais para a idade gestacional.
Em relação ao crescimento, o estudo de Ornelas, Xavier e Colosimo (2002),
afirma que o RN PIG, quando em condições satisfatórias, pode atingir a curva de
crescimento de um RNPT AIG ou amesmo de um lactente à termo. Observa-se
ainda que meninas tendem a ter um desenvolvimento levemente mais rápido que o
de meninos.
77
quanto à classificação por peso, observamos que 20% tinham baixo peso
ao nascer (<2500g), 51% tinham Muito baixo peso ao nascer (<1500g), e 27%
apresentavam Extremo baixo peso ao nascer (<1000g), aumentando a
predisposição ao risco de seqüelas no desenvolvimento.
20%
51%
27%
2%
BPN
MBPN
EBPN
PNN
Gráfico 3 – Classificação do Peso ao nascer.
Pedersen et al. (2000) relataram que crianças pré-termo com baixo peso ao
nascer apresentaram desenvolvimento motor e função motora diferentes de crianças
a termo. Sugeriram que crianças nascidas pré-termo que possuem maior número de
fatores de risco devem ser encaminhadas a um programa de follow-up.
Em 1995, Martínez et al., publicaram um estudo sobre o desenvolvimento
neuropsicomotor de crianças de 24 meses que tiveram peso ao nascimento inferior à
1201 gramas, com história de prematuridade, utilizando a Escala de Brunet-Lèzine, o
estudo revelou incidência de anormalidade moderada em 10% e patológica em 12%
dos casos.
Cloherty, Eichenwald e Stark (2005) afirmam que embora muitos prematuros
permaneçam na faixa normal, os RN de muito baixo peso ao nascer tendem a ter
QD médios um pouco inferior aos de peso normal ao nascer. Escores inferiores à 68
(abaixo de dois desvios padrão) são relatados em 5% à 20% dos RN de MBPN, e
em 14 à 40% dos RNs de EBPN.
Assim também, a taxa de problemas de fracasso escolar é de até 50%, sendo
que problemas de compreensão, especialmente relacionados com as capacidades
visuoespaciais visuomotoras, produção na escrita e função verbal são mais
freqüentes em lactentes de baixo peso ao nascer, em comparação com RN a termo,
em estudo testado entre 8 e 11 anos.
78
Cloherty, e colaboradores (2005), ainda fortalecem que é necessário algum
tipo de auxílio educacional especial em mais de 50% de neonatos de EBPN, em
comparação com menos de 15% de controles sadios nascidos a termo.
As intercorrências peri natais
ocorreram em menor proporção, atingindo ainda
36,4% (N=32) dos casos, porém, destas, 11% tratavam-se de Sofrimento fetal, 5,5%
oligodramnio e 6,6%, de Apresentação pélvica fetal.
Klein e Linhares (2006), citando Beckwith & Rodning (1991) e Linhares,
Martins & Klein (2004), expõem que o nascimento pré-termo e a condição de muito
baixo peso do recém nascido (<1500g), comprometem o desenvolvimento normal do
lactente, porém, afirmam que as complicações perinatais moderadas ou graves
também, constituem-se em fatores de risco biológico que podem comprometer os
processos normais de desenvolvimento infantil. Esses fatores de risco biológico
freqüentemente associam-se a fatores de risco psicossociais, constituindo-se em
uma situação de múltiplo risco, em que um agrava o outro, aumentando a ameaça
ao desenvolvimento sadio e adaptativo da criança (KLEIN e LINHARES, 2006).
O RCIU e apresentação pélvica associam-se a uma maior ocorrência de
asfixia perinatal, cuja incidência é de 1 a 1,5% dos nascidos vivos e tem relação
inversa com a IG e peso ao nascer (CLOHERTY, EICHENWALD E STARK, 2005)
Históricamente, os estudos sobre desenvolvimento têm colocado as
características biológicas da população infantil como determinante principal dos
atrasos intelectuais da criança. Isso pode ser verdadeiro para crianças gravemente
comprometidas, mas não para a maioria das que apresentam um atraso moderado
ou leve no seu desenvolvimento (HALERN et al. 2000).
De fato, os bebês prematuros encontram-se numa situação de alto risco,
particularmente de desenvolver situações devastadoras, tal como displasia
broncopulmonar, hemorragia intraventricular, retinopatia da prematuridade, ou
enterocolite necrotizante - que resultam da imaturidade orgânica e podem provocar
um maior número de conseqüências e seqüelas em termos de desenvolvimento e de
qualidade de vida (Cooper e Kennedy, 1989; Bernbaum e Batshaw, 1997; Thurman,
Gottwald e Korteland, 1997; Minde, 2000 apud PEREIRA, 2004).
Houveram intercorrências neonatais em 85% dos casos (N=75), o que era
esperado, dado o quadro de prematuridade e baixo peso presente em quase todos
os lactentes. Porém, as intercorrências foram as mais diversas, que podem estar
influenciando negativamente o desenvolvimento neuropsicomotor dos lactentes em
79
estudo. Alguns lactentes (N=54; 59,3%) apresentaram mais de uma intercorrência
associada, e as mais freqüentes foram Síndrome do Desconforto respiratório (SDR)
(32,5%, n= 29) e presença de Alterações Metabólicas (25,8%, n=23). Ainda 5,5%
(n=50) chegaram a apresentar 5 intercorrências importantes, associadas. As
principais intercorrências apresentam-se na tabela 2, abaixo.
Tabela 2 - Freqüência de Intercorrências neonatais.
Variável N %
Intercorrências neonatais
Síndrome do Desconforto Respiratório 29 32,5
Alterações metabólicas 23 25,8
Hemorragia Intraventricular Grau I 25 28,0
Hemorragia Intraventricular Grau II ou III 9 10,1
Alterações cardíacas (CIA, PCA, CIV, Sopro). 13 14,6
Sepse 11 12,3
Infecção 9 10,1
Apnéia 8 8,9
Anemia 5 5,6
Pneumotórax 5 5,6
Tocotraumatismo 3 3,3
Insuficiência renal 2 2,2
Retinopatia 2 2,2
Outros 14 15,7
A Hemorragia intraventricular presente em 38% (n=95), é uma enfermidade
encontrada principalmente no pré-termo, no qual a incidência atualmente é de 15 à
20% naqueles com idade inferior a 32 semanas (CLOHERTY, EICHENWALD e
STARK, 2005)
Ao contrário do que se espera para prematuros observamos apenas 2,2% de
casos de Retinopatia da prematuridade, valor menor do que a literatura aponta, com
média de 5,2% à 27% dos casos, como sugere o estudo de Lermann, Fortes Filho e
Procianoy (2005).
O índice de APGAR que pontua os recém nascidos de 0 à 10, no e
minuto de vida, teve dia de 6,6 no minuto, sendo que 23,9% apresentaram
índice menor ou igual a 5, no entanto, ao 5º minuto a dia passou para 8,18, e
apenas 3,4% apresentaram índice menor ou igual a 5. Observou-se que ao primeiro
minuto 45,4% apresentaram bons resultados em 8 e 9 pontos, mas ao quinto minuto,
81% já estavam dentro dos parâmetros ideais de pontuação.
80
O estudo de Sobolewski et al. (1996), verificou atrasos no DNPM de 34,6%
dos lactentes prematuros, sendo que destes, 92,3% apresentaram Apgar, menor
que 7 no primeiro minuto, sendo mais significativo para os neonatos com Apgar <3
no 1º minuto. Observaram ainda que quanto maior a prematuridade, maior foi o risco
de alterações no DNPM.
Sabe-se que a ventilação mecânica (VM) atua negativamente sobre o SNC,
podendo deixar diferentes seqüelas, e esta esteve presente em 37,5% dos
prematuros, porém, quanto maior o tempo de exposição maior o risco de lesão, e
destes 37,5% (N=33), 14,2% permaneceram até no máximo três dias em VM,
todavia 10,8% foram expostos a mais de 10 dias em VM, sendo que o tempo
máximo foi de 26 dias, em 2,4%(N=2).
Halpern et. al. (2000) afirmam que prognóstico em relação ao
desenvolvimento não é só decorrente das alterações clínicas apresentadas pelo
bebê, mas também do tipo de atendimento médico recebido por essas crianças. Os
conhecimentos existentes sobre o Método mãe canguru e sua relação com o DNPM
ainda são escassos, porém, de acordo com o manual técnico do método mãe-
canguru, uma estimulação sensorial e vestibular dos bebês prematuros sujeitos a
esse método, o que viria a estimular o seu DNPM. Podemos evidenciar que 90% dos
lactentes deste estudo passaram pelos cuidados do método Mãe canguru, realizado
como procedimento padrão para as crianças nascidas no HU/UFSC, local de
realização deste estudo.
Magalhães et. al. apud Barbosa et. al. (2007) evidenciaram, ao avaliar
crianças em idade escolar, nascidas prematuras e com baixo peso, que todas
apresentaram desempenho abaixo do esperado para a idade, sugerindo que a
associação de fatores de risco torna a criança mais vulnerável a problemas do
desenvolvimento. E observaram ainda que todas as crianças que apresentaram o
desempenho abaixo da normalidade conviviam em ambiente socioeconomicamente
baixo.
81
4.3. AVALIAÇÃO DO DESENVOLVIMENTO NEUROPSICOMOTOR.
Atendendo ao objetivo especifico de “Analisar como se comporta o
desenvolvimento de lactentes com histórico de prematuridade” e ao 4º Objetivo
especifico de “Determinar as idades de desenvolvimento e quocientes de
desenvolvimento, nas áreas Postural, Coordenação Oculomotriz, Linguagem, Social
e Global, dos lactentes avaliados”.
Observamos que durante todo o período do seguimento foram realizadas um
total de 250 avaliações do desenvolvimento neuropsicomotor, que duraram em
média 30 minutos, sendo realizadas em um consultório, na presença dos pais ou
responsáveis, tendo o mínimo de interferências possíveis.
A avaliação permitiu-nos a identificação das Idades de desenvolvimento (ID),
assim como o cálculo de Quocientes de Desenvolvimento (QD), possibilitando-nos
classificar os lactentes quanto ao seu desenvolvimento, em Muito superior, Superior,
Normal Alto, Normal Médio, Normal Baixo, Inferior e Muito Inferior.
Tabela 3 – Distribuição dos lactentes conforme o numero de avaliações do desenvolvimento
Nº DE AVALIAÇÕES Freqüência
%
1 89 100
2 65 73,0
3 51 57,3
4 30 33,7
5 15 16,8
Na primeira avaliação do Desenvolvimento Neuropsicomotor, tivemos uma
freqüência de 89 lactentes, porém, apenas 65 lactentes caracterizaram o
seguimento, ou seja, passaram por mais de uma avaliação do desenvolvimento,
durante os dois primeiros anos de vida, perfazendo 73% com duas avaliações,
57,3% (N=51) com tiveram três avaliações, e ainda 33,7% (N=30) com uma quarta
avaliação, e 16,8% (N=15) que chegaram a ter cinco avaliações em um período de
até dois anos.
Cloherty, Eichenwald e Stark (2005) afirmam que para o acompanhamento de
atrasos cognitivos deve-se estimar o quociente de desenvolvimento e inteligência,
através de escalas de desenvolvimento.
82
Na primeira avaliação, a idade cronológica (IC) média foi de 8,96 meses
(mediana=7,85; desvio-padrão= 4,059; moda= 6,10) com extremos em 4,1 meses e
26,2 meses, e após a correção da idade, a ICC média foi de 6,8 meses
(mediana=5,40; desvio-padrão= 4,109; moda= 4,00) com extremos em 2,9 meses e
23,8 meses.
Salienta-se que as crianças foram incluídas na pesquisa logo que adentraram
ao Programa do follow-up, do referido laboratório sendo assim, podem estar com
idade mais avançada, quando realizam a primeira avaliação.
Quanto ao desenvolvimento físico, os dados são apresentados na tabela 4,
delineando um perfil do lactente que chega para a primeira avaliação.
Tabela 4 - Medidas descritivas para dados de crescimento físico na primeira avaliação.
X Mediana
Desvio-padrão
Moda Min/Max
Peso 6991,69g
6765,0 1739,91 6170,00
3400/12600g
Comprimento 64,1cm 63,00 7,253 63,00 41/ 83 cm,
Perímetro cefálico
42,7cm 42,00 3,523 41,00 36/ 63 cm
Com a avaliação do desenvolvimento, verificou-se que a Idade de
desenvolvimento Postural (IDP) média foi de 6,7meses (mediana= 5,3; desvio-
padrão= 4,122; moda=4,3) com extremos em 1 e 22,5 meses. A Idade de
desenvolvimento Oculomotriz (IDC) foi de 6,18 meses (mediana=5,00; desvio-
padrão= 3,714; moda= 3,5) com extremos em 1,5 meses e 22,5 meses. A Idade de
desenvolvimento da Linguagem (IDL) foi de 6,46 meses (mediana=5,00; desvio-
padrão= 3,901; moda= 4,0) com extremos em 2,0 e 24,0 meses. A Idade de
desenvolvimento Social (IDS) foi de 6,52 meses (mediana=5,5; desvio-padrão=
3,937; moda= 4,0) com extremos em 2,0 e 24,0 meses. E a Idade de
desenvolvimento Global (IDG) foi de 6,43 meses (mediana=5,1; desvio-padrão=
3,771; moda= 4,3) com extremos em 2,1 e 23,1 meses.
83
5,5
5,7
5,9
6,1
6,3
6,5
6,7
6,9
7,1
7,3
7,5
ICC IDP IDC IDL IDS IDG
Meses
Avaliação 1
Gráfico 4 - Idades de desenvolvimento média na primeira avaliação.
A Idade de desenvolvimento da Coordenação Oculomotriz foi a que
apresentou menor média, apresentando Idade Negativa de 0,4 meses, embora todas
tenham encontrado-se abaixo da ICC.
Tabela 5 – Medidas descritivas dos Quocientes de desenvolvimento da primeira avaliação
Média
Min/Max Mediana Desvio
Padrão
Moda
QDP 99,9
40,0/153,8 104,4 22,9 100
QDC 90,5
11,1/160,0 92,10 23,7 100
QDL 96,3
43,5/151,5 96,00 20,1 100
QDS 96,9
35,0/151,5 97,2 22,0 90,9
QDG 95,8
43,4/153,8 96,4 19,9 95
Mediante os valores encontrados na tabela 5, observou-se à classificação
geral dia do desenvolvimento em Normalidade Média, porém, observou-se as
significativas porcentagens de lactentes abaixo do esperado para o
desenvolvimento, mesmo quando consideramos a idade corrigida.
Observou-se Quociente de Desenvolvimento Postural (QDP), classificado em
Normalidade Média, para 43,8% (N=39), porém, com 24,7% (N=22) classificados
abaixo da normalidade média, encontrando-se com desenvolvimento abaixo do
esperado para a Idade. O Quociente de Desenvolvimento Oculomotriz (QDC), foi
classificado em Normalidade Média, para 38,2% (N=34), porém apresentou 20%
(N=18) de lactentes em situação de risco e ainda 23,8% (N=21) de lactentes com
desenvolvimento em situação de Inferioridade. Para as áreas da linguagem (QDL) e
Socialização (QDS), a classificação principal foi de Normalidade Média com 46% e
84
38,2%, respectivamente, encontrando apenas 16,8% e 15,7% de classificações
inferiores, embora haja cerca de 15% à 20% de lactentes na zona limite para a
Inferioridade, ou seja, Normalidade Baixa.
20,00%
21,30%
24
,
70
%
17,
0
0%
3
8
,2
0
%
4
6
,1
0
%
38
,
20
%
52
,
80
%
10,00%
20,00%
15,7
0
%
2
1,
3
0%
15
,
7
0%
1
5,
0
%
13,5%
31
,
40
%
43,80%
16,8%
14,
6
%
23,6%
0%
10%
20%
30%
40%
50%
60%
70%
QDP QDC QDL QDS QDG
Normalidade Alta ou Superior Normalidade Media Zona Lim ite Inferioridade
Gráfico 5 – Classificação do Quociente de desenvolvimento na primeira avaliação
No Quociente de Desenvolvimento Global (QDG), 52,8% (N=47) foram
também classificados em Normalidade Média, porém, chama nossa atenção os 15%
de lactentes prematuros, em zona limite e 13,5% em Inferioridade.
Na segunda avaliação a IC média foi de 11,3 meses (mediana=10,80; desvio-
padrão= 3,147; moda= 12,000), com extremos em 6,3 e 23,5 meses, e a ICC foi de
9,2 meses (mediana=8,70; desvio-padrão= 3,190; moda= 6,700), com extremos em
4,7 e 22,4 meses.
Os dados do desenvolvimento físico estão apresentados na tabela 6, com
respectivas médias, mediana, desvio-padrão e moda.
Tabela 6 – Medidas descritivas para dados de crescimento físico na segunda avaliação
X Mediana Desvio-
padrão
Moda Min/Max
Peso 7900,66g
7900,0 1409,71
8000,00
5100/ 11210g
Comprimento 64,1cm 68,00 5,786 69,00 58,5/ 86,5cm
Perímetro cefálico 42,7cm 44,00 3,217 44,00 40,5/64 cm.
85
A IDP média foi de 9,3 meses (mediana=8,3; desvio-padrão= 3,166; moda=
8,3) com extremos, inferior em 4,7meses e superior em 24 meses. A IDC média foi
de 8,75 meses (mediana=8,00; desvio-padrão= 2,890; moda= 7,5) com extremos em
3,5 e 20 meses. A IDL foi de 8,72 meses (mediana=8,00; desvio-padrão= 3,053;
moda= 6,10) com extremo inferior em 4,0 meses e superior 19,0 meses. A média da
IDS foi de 9,2 meses (mediana=8,5; desvio-padrão= 3,152; moda= 8,00) com
extremos em 4,3 meses e 21,0 meses, e a IDG foi de 9 meses (mediana=8,00;
desvio-padrão= 2,890; moda= 7,8) com extremos em 4,3 meses e 20,7 meses.
5
5,5
6
6,5
7
7,5
8
8,5
9
9,5
10
ICC IDP IDC IDL IDS IDG
Meses
Avaliação 1 Avaliação 2
Gráfico 6
– Idades médias de desenvolvimento na primeira e segunda
avaliação.
Embora as idades de desenvolvimento ainda permaneçam baixas, observa-se
a IDP, com idade positiva, ainda que de apenas 0,1 s e IDS equivalente a ICC.
Porém, IDC ainda permanece com os menores valores, agora acompanhada da
linguagem.
na segunda avaliação, os QDs permaneceram com classificação média,
em Normalidade Média.
86
Tabela 7 – Dados descritivos de QDs na segunda avaliação.
Média
Min/Max
Desvio Padrão
QDP
102,5
59,8/142,5 15,17
QDC
96,2
64,7/157,4 17,42
QDL
95,9
58,1/153,0 19,62
QDS
101,4
69,3/153,0 16,06
QDG
98,8
71,5/144,4 15,01
A principal classificação para Postura permaneceu em Normalidade média
(48,5%), porém, já diminuindo os casos de Inferioridade para apenas 4,5%.
30,
0%
21,
0
%
18
,
0%
21,
0
%
4
8
,
5%
4
0
,
0
%
61,
0
%
5
6,0%
15,0%
20,0%
10,0%
11,0%
1
4
,
6
%
18,5%
13,
9%
9
,
2%
12
,3%
3
2
,0%
3
3
,
8%
32,3%
0%
10%
20%
30%
40%
50%
60%
70%
QDP QDC QDL QDS QDG
Normalidade Alta ou Superior Normalidade Media Zona Limite Inferioridade
Gráfico 7 - Classificação dos Quocientes de Desenvolvimento da Segunda avaliação
Para o QDC a classificação foi a mesma, para 40%, diminuindo sutilmente
para 18,5% os casos de Inferioridade. Para o QDL, além dos 33,8% classificados em
Normalidade Média, evidenciou-se 32,3% em Normalidade baixa, caracterizando a
zona limite para Inferioridade, e ainda 13,9% em Inferioridade. Para QDS e QDG
cerca de 60% foram classificados em Normalidade média, 10% em zona limite, e 9,2
e 12,3 em Inferioridade, respectivamente.
Na terceira avaliação a média da IC foi de 14 meses (mediana=13,9; desvio-
padrão = 2,5), com extremos em 8,1 e 20,2 meses. para a ICC a média foi de 12
meses, com extremos em 6,5 e 18 meses (mediana=12; desvio-padrão=2,4).
Os dados de crescimento físico apresentam-se na Tabela 8.
87
Tabela 8 – Medidas descritivas para dados de crescimento físico na terceira avaliação
X mediana
Desvio-
padrão
Min/Max
Peso
9029,5 g 9020 1282,041
6860/12415g
Comprimento
73,23 cm
73
4,248
64,0/83,5 cm
Perímetro cefálico
45,86 cm
45,5
1,762 42,5/ 50 cm
A média da IDP foi de 12,8 meses, com extremos em 7,7 e 21 meses
(mediana=12; desvio-padrão= 3,33; moda 13,5). Para a IDC a média foi de 11,3
meses, apresentando uma idade negativa de 0,7 meses (mediana=11,1; desvio-
padrão= 2,72; moda 10,5), com extremo superior em 17,2 meses e inferior em 1,5
meses.
Quanto à IDL, a média foi à mesma da ICC, 12 meses, com extremos em 7,5
e 19,5 meses (mediana=12; desvio-padrão= 3; moda 12). A IDS teve média em 12,5
meses, apresentando uma idade positiva de 0,5 meses, com extremos em 7,5 e 19,5
meses (mediana=12; desvio-padrão= 2,96; moda 13,5). E a IDG obteve média em
12 meses (mediana=12; desvio-padrão=2,6; moda 14), com extremos em 7,7 e 18
meses.
5
6
7
8
9
10
11
12
13
14
ICC IDP IDC IDL IDS IDG
Meses
Avaliação 1 Avaliação 2 Avaliação 3
Gráfico 8 – Idades médias de desenvolvimento nas três primeiras avaliações.
Com o gráfico acima, pode-se observar a ligeira evolução do
desenvolvimento, apresentando apenas a IDC, com idade negativa. Observa-se
88
ainda a ascensão dos resultados, obtida com o seguimento e intervenção para as
crianças deste estudo.
Quando calculamos os quocientes de desenvolvimento, observamos uma
classificação geral em Normalidade Média, embora possamos encontrar valores
mínimos correspondentes a classificação de Inferioridade.
Os QDs da terceira avaliação estão apresentados na tabela 9, abaixo.
Tabela 9 – Dados descritivos de QDs na terceira avaliação.
Média
Min/Max
Desvio Padrão
QDP
107,7
59,8/140,2
17,24
QDC
98,9
68,4/130
13,5
QDL
103,3
63,8/150
18,2
QDS
106
70,8/158
17,16
QDG
103
70,8/130
13,2
A principal classificação para QDP permaneceu em Normalidade média
(41%), porém, apenas 7,8% encontram-se na zona limite para Inferioridade, e os
casos de Inferioridade somaram apenas 4%.
Para o QDC a classificação foi a mesma, para 58%, diminuindo
expressivamente para 7,8% os casos de Inferioridade, embora ainda 15,6 %
encontram-se em Zona Limite. Para o QDL, 54% foram classificados em
Normalidade Média, 17% ficaram na zona limite para Inferioridade, ou seja,
Normalidade baixa, e ainda 4% em Inferioridade.
Na área da sociabilidade, 45% foram classificados em Normalidade média,
7,8% em zona limite, e 6% em Inferioridade. E no QDG, 50% foram classificados
como Normal médio, 13,7% em Normalidade Baixa, ou seja, limite para Inferioridade,
e 4% foram Inferiores.
89
47,0%
17,6%
23,0%
39,0%
33,3%
41,0%
58,0%
54,0%
45,0%
50,0%
7,8%
15,6%
17,0%
7,8%
13,7%
4,0%
7,8%
4,0%
6,0%
4,0%
0%
10%
20%
30%
40%
50%
60%
70%
QDP QDC QDL QDS QDG
Normalidade Alta ou Superior Normalidade Media Zona Limite Inferioridade
Gráfico 9 - Classificação dos Quocientes de Desenvolvimento da Terceira avaliação
A área da coordenação Oculomotriz foi a que apresentou maior número de
casos entre Zona limite e Inferioridade, ou seja, abaixo da média (23,45%),
seguida pela área da Linguagem com 21%.
A quarta avaliação, ocorrida em média três meses após a última e 9 meses
após a primeira, evidenciou uma IC média de 17,1 meses (mediana=17,3; desvio-
padrão= 2,39; Mínimo=9,9; máximo=23,2), e uma ICC de 15,1(mediana=15,3;
desvio-padrão= 2,46; Mínimo=8,3; máximo=21,4).
Os dados do crescimento físico são descritos na tabela 10.
Tabela 10 – Medidas descritivas para dados de crescimento físico na quarta avaliação
X Mediana Desvio-
padrão
Min/Max
Peso 9618,33g
9730,0 1156,61
7695/ 11810g
Comprimento 76,1cm 76,00 3,44 67,5/ 83,0cm
Perímetro cefálico 46,3cm 46,00 1,45 44,0/49,0 cm.
As Idades de desenvolvimento foram positivas para quase todas as áreas,
exceto IDC, que teve média 14,9 meses (mediana=15,7; desvio-padrão= 2,87;
Mínimo=8,7; Máximo=21), embora tenha aproximado-se muito da ICC (15 meses). A
IDP média foi de 16,5 meses, com extremos em 9 e 22,5 meses, desvio padrão de
3,77 e mediana em 17,3. Para a IDL a média foi de 15,2 meses, com extremo inferior
em 1,5, e superior em 21 meses, desvio- padrão de 4,49 e mediana de 16,5. Para a
IDS a média foi de 16 meses, com extremos em 9,5 e 21 meses, com desvio-padrão
em 2,8 e mediana de 17 meses.
90
para a IDG, a média foi de 15,6 meses, com extremos em 9 e 20,4 meses
(mediana=16,3; desvio-padrão= 2,99).
De forma ilustrativa as idades de desenvolvimento são apresentadas no
Gráfico 10.
5
7
9
11
13
15
17
19
ICC IDP IDC IDL IDS IDG
Meses
Avaliação 1
Avaliação 2
Avaliação 3
Avaliação 4
Gráfico 10 – Médias de Idades de desenvolvimento nas quatro primeiras avaliações.
Ao analisar o gráfico acima podemos observar a evolução das idades de
desenvolvimento, com as IDP, IDL, IDS e IDG, positivas em relação a ICC, porém,
podemos verificar a IDC, aproximando-se da Idade cronológica, o que não era fato
nas avaliações anteriores.
O resultados dos QDs, calculados, pela divisão da ID/ICC, e multiplicados por
100, são apresentados, e expressam a classificação em Normalidade dia, como
na avaliação anterior. Porém, os menores valores encontrados são maiores que os
da última avaliação, tendo escores, como o valor mínimo de QDP, classificados
em normalidade baixa, e não mais em Inferioridade Extrema.
Tabela 11 – Dados descritivos de QDs na quarta avaliação.
Média
Min/Max
Desvio Padrão
QDP
108,7
81/140,6 15,06
QDC
98,9
67,3/131
14,1
QDL
103,3
67,6/139,5
17,86
QDS
104
75,1/142
13,6
QDG
103
78,5/132
12,3
91
Durante a quarta avaliação pode-se observar que o QDP foi classificado em
Normalidade Média para 33,3% dos casos, porém, apenas 16,6% encontraram-se
em Normalidade Baixa, sendo assim 50% dos lactentes encontravam-se com seu
desenvolvimento postural acima da média.
50,0%
20,0%
49,0%
32,0%
30,0%
33,3%
48,0%
26,0%
56,0%
53,0%
16,6%
26,0%
1,0%
6,0%
0,0%
6,0%
14,0%
13,0%
3,0%
6,0%
0%
10%
20%
30%
40%
50%
60%
70%
QDP QDC QDL QDS QDG
Normalidade Alta ou Superior Norm alidade Media Zona Limite Inferioridade
Gráfico 11 - Classificação dos Quocientes de Desenvolvimento da quarta avaliação
Para o QDC a classificação em Normalidade Média esteve presente em 48%,
diminuindo expressivamente para 6% os casos de Inferioridade, embora ainda haja
26% encontrando-se em Zona Limite.
A área da linguagem apresentou surpreendentemente, 49% dos lactentes
acima da média, e 26% de casos na Normalidade Média, porém, observamos 14%
classificados em Inferioridade, e apenas 1% na zona limite para Inferioridade.
O QDS evidenciou 56,6% classificados em Normalidade média, 6,6,% em
zona limite, e apenas 6,6% em Inferioridade.
Para o QDG, 30% estavam acima da média de desenvolvimento, 53,3%
foram classificados como Normal médio, 13,2% em Normalidade Baixa, ou seja,
limite para Inferioridade, e 3% foram Inferiores, resultados semelhantes aos
encontrados na avaliação anterior.
Com a exposição pode-se observar a evolução de algumas áreas, que
diminuíram drasticamente os valores de zona limite e Inferioridade, passando a
aumentar os casos de normalidade, o que acontece claramente com a área postural.
Visto que o acompanhamento foi de três anos, algumas crianças (n=15)
puderam ser acompanhadas por mais de um ano, alcançando uma quinta avaliação
do desenvolvimento.
92
Salienta-se o caso de um lactente que veio a óbito, durante a pesquisa,
devido a problemas decorrentes da imaturidade pulmonar, conseqüente á
prematuridade. Assim sendo não pode ser verificado a influencia do seguimento
sobre esta criança.
A média de IC na quinta avaliação foi de 19,8 (mediana=19,6; desvio-padrão=
1,79; Mínimo=17,3; ximo=22,7) e a ICC foi de 17,6 (mediana=17,7; desvio-
padrão= 2), com extremos em 14,5 e 20,6 meses.
As medidas descritivas de crescimento físico encontram-se na Tabela 12.
Tabela 12 – Medidas descritivas para dados de crescimento físico na quinta avaliação
X Mediana Desvio-
padrão
Min/Max
Peso 9806,3 9900,0 1248,9 7880/12640g
Comprimento 77cm 78,00 2,8 73/84 cm
Perímetro cefálico 47cm 47,00 1,8 45/51 cm.
Por fim, quanto às idades de desenvolvimento na quinta avaliação, a média
de IDP foi de 20 meses (mediana=21; desvio-padrão= 3,7), com extremos em 12 e
24 meses, apresentando Idade positiva de 2,4 meses. A IDC foi a que apresentou
menor idade de desenvolvimento, 17,8 meses, com IP de apenas 0,2 meses, no
entanto, após 12 meses de intervenção a IDC, conseguiu atingir a ICC, chegando a
apresentar idade Positiva de desenvolvimento, diferente do encontrado nas
avaliações anteriores. As idades extremas foram de 14 e 22 meses para IDC
(mediana=17; desvio-padrão=2,7).
5
7
9
11
13
15
17
19
21
ICC IDP IDC IDL IDS IDG
Meses
Avalião 1
Avalião 2
Avalião 3
Avalião 4
Avalião 5
Gráfico 12 – Evolução das Idades médias de desenvolvimento de todas as avaliações.
93
A média da IDL foi de 18 meses, apresentando IP de 0,4 meses, com
extremos em 10 e 24 meses para IDL (mediana= 20; desvio-padrão=4,3).
a IDS, permaneceu com IP de 0,9 meses, com média em 18,5 meses, e
extremos em 14 e 24 meses (mediana=20; desvio-padrão=3,1). E por fim, a IDG
média para a avaliação foi de 18,6 (IP=1 s), com extremo inferior em 14,4
meses e superior em 23,1 meses (mediana=19,2; desvio-padrão=2,96).
Percebe-se ao analisar o gráfico 10, que a área postural é a que apresenta
mais rápida recuperação de desenvolvimento, e por sua vez a área da coordenação
é a que mais lentamente demonstra sua evolução, para o grupo de prematuros,
deste estudo.
Quando calculamos os QDs, observamos uma classificação geral em
Normalidade Média, com uma das áreas (QDP) destacando-se ao apresentar
Normalidade Alta, embora possamos encontrar ainda poucos casos (n=2)
classificados em Normalidade baixa, sendo um para Sociabilidade e um para
Coordenação oculomotriz, e 3 casos de Inferioridade, na área Linguagem. Salienta-
se que em todas as áreas puderam ser encontrados valores classificados em
Normalidade Alta, e especialmente para a área postural e da sociabilidade,
encontramos lactentes classificados com desenvolvimento superior ao esperado.
Os QDs médios da quinta avaliação estão apresentados na tabela abaixo.
Tabela 13 – Dados descritivos de QDs na quinta avaliação.
Média
Min/Max
Desvio Padrão
QDP
112,1
78,9/124,1
11,88
QDC
100,8
89,3/117,9
7,98
QDL
102,7
62/118
17,67
QDS
104,6
82,8/122
10,935
QDG
105,2
90,1/116,2
7,686
Após a quinta avaliação, em um seguimento médio de 12 meses, pode-se
observar que o QDP foi classificado em Normalidade alta ou superioridade, para
73,3%, dos casos, estando acima da média, e 20% encontraram-se em Normalidade
Média, sendo assim observamos apenas 1 caso (6,6%) de Inferioridade.
94
73,3%
26,6%
60,0%
40,0% 40,0%
20,0%
66,6%
20,0%
53,3%
60,0%
0,0%
6,6%
0,0%
6,6%
0,0%
6,6%
0,0%
20,0%
0,0% 0,0%
0%
10%
20%
30%
40%
50%
60%
70%
80%
QDP QDC QDL QDS QDG
Normalidade Alta ou Superior Normalidade Media Zona Limite Inferioridade
Gráfico 13 - Classificação dos Quocientes de Desenvolvimento da quinta avaliação
Para o QDC, a classificação em Normalidade Média esteve presente em
66,6%, diminuindo expressivamente para 6,6% ou seja, 1 caso, a classificação em
Normalidade Baixa, não sendo evidenciado nenhum caso de Inferioridade. Sendo
assim, a área que apresentou maior evolução no desenvolvimento neuropsicomotor.
A área da linguagem também apresentou expressiva evolução, com 60% dos
lactentes acima da média, e 20% de casos em Normalidade Média, porém, ainda
assim observou-se 20% dos lactentes classificados em Inferioridade.
o QDS não apresentou casos de Inferioridade na quinta avaliação,
apresentando 53,3% classificados em Normalidade dia, e 6,6,% em zona limite
(n=1).
Assim sendo, a Classificação do Desenvolvimento Global dos lactentes que
chegaram a quinta avaliação, evidenciou 60% dos lactentes dentro da média, com
classificação Normal Médio e 40% acima da média, não evidenciando casos de
atraso no desenvolvimento.
Com este estudo, pode-se observar que as áreas que apresentaram maior
déficit no desenvolvimento foram às áreas de Coordenação oculomotriz e linguagem,
respectivamente, diferentemente do encontrado, no trabalho de Halpern e
colaboradores (2000), que avaliando lactentes prematuros, da cidade de Pelotas,
através do Teste de Denver II, evidenciaram diferenças importantes nas quatros
95
áreas avaliadas: a escala do desenvolvimento motor, por exemplo, mostrou o maior
percentual de suspeita (15%), seguida pela escala pessoal/social (5,5%) e, em
proporção bem menor, pelas escalas de motricidade fina (1,6%) e de linguagem
(menos de 1%).
No estudo de Martinez et al. (1995), utilizando a Escala de Brunet-Lézine, a
média do QDC foi a menor entre todas as áreas, corroborando os achados do
presente estudo. Também para Martinez et al. (1995), o valor médio do QDC foi de
88,0 (Mediana=91,0, DP=18,0), perfazendo classificação em nível Normal Baixo,
caracterizado como Sinal de Alerta.
O estudo de Rugolo (2005), mostra que alterações nas habilidades motoras
finas de crianças pré-termo podem ser evidenciadas em 40-80% dos casos, sendo
normalmente transitórias, o que corrobora com este estudo onde as alterações de
coordenação oculomotriz foram evidentes, no início das avaliações, diminuindo com
as intervenções ao longo dos dois primeiros anos de vida.
O estudo de Caon (2005), encontrou a área da coordenação oculomotriz
como sendo a de menores escores de desenvolvimento, principalmente no grupo de
crianças prematuras, observando inclusive valores decrescentes ao longo de um
seguimento de quatro avaliações, utilizando-se do mesmo instrumento.
Pereira e Funayama (2004) afirmavam que com a evolução da assistência
em unidades de terapia intensiva neonatal, a taxa de sobrevivência dos recém-
nascidos considerados de risco ao nascimento tem aumentado; por outro lado,
essas crianças estão mais propensas a apresentar alterações ou desvios em suas
aquisições e desenvolvimento da linguagem, fala, motor, auditivo e cognitivo, o que
vem despertando a atenção dos pesquisadores.
Ao avaliarem então a linguagem de 20 crianças de 2 à 15 meses de idade
que nasceram pré-termo com idade gestacional (IG) de 28 à 35 semanas, também
evidenciou que em relação à linguagem expressiva, mesmo nas idades corrigidas,
houve atrasos tanto no nível pré-lingüístico como no lingüístico (PEREIRA e
FUNAYAMA, 2004),
O trabalho de Sobolewski et. al. (1996), evidenciou que ao final de 2 anos de
seguimento neuropsicomotor, 70 % dos lactentes apresentaram evolução positiva de
desenvolvimento, com classificação normal.
Já, um estudo avaliando o desenvolvimento motor de crianças com
indicadores de dificuldade na aprendizagem escolar, foram avaliadas 289 crianças
96
quanto ao seu desenvolvimento motor, observou que 40% apresentavam histórico
de prematuridade. Constatou-se ainda que a incidência de classificação inferior e
muito inferior foi de 45% para os prematuros, contra 20% para os a termo, sugerindo
uma relação entre idade gestacional e alterações motoras (ROSA NETO, et al.,
2007).
Devido à importância e ao impacto dos atrasos no desenvolvimento no que se
refere à morbidade infantil, é fundamental que se possa, o mais precocemente
possível, identificar as crianças de maior risco, a fim de minimizar os efeitos
negativos daí decorrentes. Existem evidências suficientes de que quanto mais
precoces forem o diagnóstico de atraso no desenvolvimento e a intervenção, menor
será o impacto desses problemas na vida futura da criança (HALPERN et al., 2000).
Ao analisar o DNPM de lactentes desnutridos, observou-se atrasos nas áreas
de coordenação oculomotriz, linguagem, socialização e global, porém, o mais
importante deste, foi para a área da coordenação, com atraso de a três meses
(MANSUR e ROSA NETO, 2006).
O estudo de Olhweiler e colaboradores (2002), acompanhando 40 lactentes
prematuros HCPA, a fim de identificar marcos neuropsicomotores de prematuros,
identificou que 97% da amostra, sustentavam a cabeça aos 3 meses de idade
corrigida, aos 6 meses todos sentavam com apoio e cerca de 12% sentavam sem
apoio. Aos 12 meses 76% caminhavam, com apoio e cerca de 17% caminhavam
sem apoio. Quanto aos aspectos de percepção e sociabilidade, 100% dos casos
percebiam os sons, fixavam e seguiam os objetos aos 3 meses de idade corrigida.
Quanto à linguagem, aos 3 meses identificou-se o gorjeio em 86%, aos 9 meses a
repetição de sílabas esteve presente em 97% e as primeiras frases curtas estiveram
presentes em 97% dos prematuros de 12 meses.
Apresenta-se graficamente (Gráfico 14), o seguimento neuropsicomotor dos
lactentes avaliados, ao longo das cinco avaliações, de acordo com cada área do
desenvolvimento, em estudo.
97
0%
10%
20%
30%
40%
50%
60%
70%
80%
90%
100%
1 2 3 4 5
Avaliações
QDP GERAL
Normalidade Alta ou Superior Normalidade Media
Zona Limite Inferioridade
0%
10%
20%
30%
40%
50%
60%
70%
80%
90%
100%
1 2 3 4 5
A valiaçõ es
QDC GERAL
Normalidade Alta ou Superior Normalidade Media
Zona Limite Inferioridade
98
0%
20%
40%
60%
80%
100%
1 2 3 4 5
Avaliações
QDL GERAL
Normalidade Alta ou Superior Normalidade Media
Zona Limite Inferioridade
0%
10%
20%
30%
40%
50%
60%
70%
80%
90%
100%
1 2 3 4 5
A valiaçõ es
QDS GERAL
Normalidade Alta ou Superior Normalidade Media
Zona Limite Inferioridade
0%
10%
20%
30%
40%
50%
60%
70%
80%
90%
100%
1 2 3 4 5
Avaliações
QDG GERAL
Normalidade Alta ou Superior Normalidade Media
Zona Limite Inferioridade
Gráfico 14 - Evolução do Desenvolvimento Neuropsicomotor por áreas.
99
4.4. SEGUIMENTO DO DESENVOLVIMENTO NEUROPSICOMOTOR
Com relação ao objetivo especifico, de verificar se existe diferença
significativa entre os quocientes de desenvolvimento nas áreas avaliadas, em
diferentes momentos do seguimento, explicitamos os resultados abaixo.
Os Quocientes de Desenvolvimentos foram analisados aos pares, através do
Teste t pareado, e não foram encontradas diferenças estatisticamente significativas.
Tabela 14 – Resultado dos pareamentos dos QDs através do Teste t Pareado
Teste t Pareado
Diferença nos pares
95% Intervalo de
Confiança da
Diferença
Média Desvio
padrão
Erro
padrão
médio
Lower Upper
t df
Sig.
QDP1 - QDP2
,5923
19,5700
2,4274
-4,2569
5,4415
,244
64
,808
QDP1 - QDP3
-,00980
15,42812
2,16037
-4,34903
4,32942
-,005
50
,996
QDP1 - QDP4
,93333
14,69711
2,68331
-4,55466
6,42132
,348
29
,730
QDP1 - QDP5
-2,25333
19,35491
4,99742
-12,97173
8,46506
-,451
14
,659
QDC1 - QDC2
-2,0029
21,6741
2,6883
-7,3735
3,3676
-,745
64
,459
QDC1 - QDC3
-1,12196
18,92376
2,64986
-6,44435
4,20043
-,423
50
,674
QDC1 - QDC4
,82700
19,80170
3,61528
-6,56707
8,22107
,229
29
,821
QDC1 - QDC5
-2,00667
27,69153
7,14992
-17,34172
13,3283
-,281
14
,783
QDL1 - QDL2
1,7908
22,5751
2,8001
-3,8031
7,3846
,640
64
,525
QDL1 - QDL3
-3,86863
21,34753
2,98925
-9,87272
2,13546
-1,29
50
,202
QDL1 - QDL4
-2,64333
22,77851
4,15877
-11,14897
5,86230
-,636
29
,530
QDL1 - QDL5
1,76400
20,72890
5,35218
-9,71528
13,2432
,330
14
,747
QDS1 - QDS2
-3,0831
19,3868
2,4046
-7,8869
1,7207
-1,28
64
,204
QDS1 - QDS3
-4,00980
21,19999
2,96859
-9,97240
1,95279
-1,35
50
,183
QDS1 - QDS4
-,18600
20,76995
3,79206
-7,94163
7,56963
-,049
29
,961
QDS1 - QDS5
4,09467
20,92625
5,40313
-7,49390
15,6832
,758
14
,461
QDG1 - QDG2
-,2662
16,9061
2,0969
-4,4553
3,9230
-,127
64
,899
QDG1 - QDG3
-1,04510
13,82019
1,93521
-4,93209
2,84189
-,540
50
,592
QDG1 - QDG4
,54333
15,09886
2,75666
-5,09467
6,18134
,197
29
,845
QDG1 - QDG5
-,42000
20,20107
5,21589
-11,60698
10,7669
-,081
14
,937
100
A segunda avaliação aconteceu em média 3 meses após a primeira, em datas
previamente agendadas para a consulta médica, variando de acordo com a idade da
criança. Pois até o sexto mês a periodicidade é mensal, passando a ser bimensal até
o 12º mês, e trimestral até o 24º mês. A terceira avaliação foi realizada em media 6
meses após a primeira e a quarta avaliação foi realizada após 9 meses do inicio das
avaliações. A quinta e ultima avaliação do seguimento, foi realizada em media 12
meses após o inicio das avaliações.
70
75
80
85
90
95
100
105
110
115
QDP QDC QDL QDS QDG
Avalião 1 Avaliação 2 Avaliação 3
Avalião 4 Avaliação 5
Gráfico 15 – médias dos QDs durante o seguimento neuropsicomotor.
De forma ilustrativa, pode-se observar com o Gráfico 13, que todas as
avaliações apresentaram a mesma linearidade, sendo sempre a área da
Coordenação óculomotriz, a de menores escores, seguida pela área da Linguagem.
Ao analisar aos pares ao seguimento, observou-se que das 89 crianças do
estudo 65 retornaram apara a reavaliação, realizada 3 meses em média, após a
primeira (Gráfico 16).
101
80
85
90
95
100
105
110
115
QDP QDC QDL QDS QDG
Avaliação 1
Avaliação 2
Gráfico 16 – Quocientes de desenvolvimento aos pares, da 1ª e 2ª avaliações.
Devido a impossibilidade, de muitas crianças, retornarem ao ambulatório
semanalmente, para a intervenção, os pais foram orientados, a realizar intervenção,
nas áreas especificas de cada criança, de acordo com a necessidade.
Na 3ª avaliação, 51 lactentes permaneciam no seguimento e pode-se
observar a evolução especifica para estas que se encontravam recebendo
intervenção domiciliar, realizada pelos próprios pais, sob orientação de profissionais,
a pelo menos 6 meses. O resultado da meia dos QDs aos pares da terceira
avaliação, encontram-se no Gráfico 17.
90
95
100
105
110
115
QDP QDC QDL QDS QDG
Avaliação 1
Avaliação 3
Gráfico 17 – Quocientes de desenvolvimento aos pares, da 1ª e 3ª avaliações.
Após 9 meses de acompanhamento, 30 lactentes que iniciaram a pesquisa,
encontravam-se realizando a sua quarta avaliação, e observa-se com o Gráfico 15,
uma ligeira evolução no QD da linguagem, mantendo a média para as demais áreas
do desenvolvimento.
102
90
95
100
105
110
115
QDP QDC QDL QDS QDG
Avaliação 1
Avaliação 4
Gráfico 18 – Quocientes de desenvolvimento aos pares, da 1ª e 4ª avaliações.
Alguns lactentes chegaram a ter cinco avaliações, e pode-se então ver a
evolução do desenvolvimento, aos pares, das 15 crianças que passaram por todas
as avaliações.
90
95
100
105
110
115
QDP QDC QDL QDS QDG
Avaliação 1
Avaliação 5
Gráfico 19 – Quocientes de desenvolvimento aos pares, da 1ª e 5ª avaliações.
Ao correlacionar os quocientes de desenvolvimento, nos diferentes momentos
do seguimento, verificamos na sua maioria, correlações moderadas através da
Correlação linear de Pearson.
Na correlação dos quocientes de desenvolvimento globais, nas cinco
avaliações, verificamos correlações moderadas, variando de r=0.43 á r= 0.79, sendo
que a mais forte correlação encontrada foi entre a terceira e quarta avaliação, no
desenvolvimento global (r=0.79).
103
Tabela 15 – Correlação dos Quocientes de Desenvolvimento globais.
QDG1 QDG2 QDG3 QDG4 QDG5
QDG1
Correlação de Pearson
1
,556(*)
,600(*)
,618(*)
,532(*)
Sig. (2-tailed)
,000
,000
,000
,041
N 89
65
51
30
15
QDG2
Correlação de Pearson
,556(*)
1
,555(*)
,481(*)
,552(*)
Sig. (2-tailed) ,000
,000
,007
,033
N 65
65
51
30
15
QDG3
Correlação de Pearson
,600(*)
,555(*)
1
,785(*)
,432
Sig. (2-tailed) ,000
,000
,000
,108
N 51
51
51
30
15
QDG4
Correlação de Pearson
,618(*)
,481(*)
,785(*)
1
,584(*)
Sig. (2-tailed) ,000
,007
,000
,022
N 30
30
30
30
15
QDG5
Correlação de Pearson
,532(*)
,552(*)
,432
,584(*)
1
Sig. (2-tailed) ,041
,033
,108
,022
N 15
15
15
15
15
* Correlação é significativa ao nível 0,05 (2-tailed).
Houve significância estatística na correlação dos Quociente de
desenvolvimento global, das cinco avaliações, exceto na correlação de QDG3 e
QDG5, ou seja entre terceira e quinta avaliação.
Ao correlacionarmos a área do desenvolvimento postural, ao longo do
seguimento verificamos a correlação moderada, no decorrer de cada avaliação. As
correlações mais fracas foram entre a e avaliações , e entre a 2ª,3ª e
avaliações coma 5ª avaliação.
Tabela 16 – Correlação entre Quocientes de Desenvolvimento Postural.
QDP1 QDP2 QDP3 QDP4 QDP5
Correlação de Pearson
1
,485(*)
,612(*)
,640(*)
,514
Sig. (2-tailed)
,000
,000
,000
,050
QDP1
N 89
65
51
30
15
Correlação de Pearson
,485(*)
1
,548(*)
,180
,265
Sig. (2-tailed) ,000
,000
,342
,340
QDP2
N 65
65
51
30
15
Correlação de Pearson
,612(*)
,548(*)
1
,754(*)
,389
Sig. (2-tailed) ,000
,000
,000
,151
QDP3
N 51
51
51
30
15
Correlação de Pearson
,640(*)
,180
,754(*)
1
,317
Sig. (2-tailed) ,000
,342
,000
,249
QDP4
N 30
30
30
30
15
Correlação de Pearson
,514
,265
,389
,317
1
Sig. (2-tailed) ,050
,340
,151
,249
QDP5
N 15
15
15
15
15
* Correlação é significativa ao nível 0,05 (2-tailed).
104
Observa-se a significância estatística na correlação entre QDP1 e QDP2,
QDP1 e QDP3, QDP1 e QDP4, QDP2 e QDP3, e QDP3 e QDP4.
Quando comparamos os Quocientes de desenvolvimento da Coordenação
oculomotriz, verificamos que a correlação entre as diferentes avaliações foi
considerada moderadamente fraca, variando de r=0.44 á r=0,03. Ao compararmos a
primeira e a ultima avaliação do seguimento, verificamos que não houve correlação
entre os resultados (r=0.03).
A significância estatística, este presente em diversas correlações, como
apresenta a tabela 17.
Tabela 17 – Correlação entre Quocientes de Desenvolvimento Óculomotriz.
QDC1 QDC2 QDC3 QDC4 QDC5
Correlação de Pearson
1
,429(*)
,352(*)
,445(*)
,029
Sig. (2-tailed)
,000
,011
,014
,917
QDC1
N 89
65
51
30
15
Correlação de Pearson
,429(*)
1
,389(*)
,269
,449
Sig. (2-tailed) ,000
,005
,150
,093
QDC2
N 65
65
51
30
15
Correlação de Pearson
,352(*)
,389(*)
1
,666(*)
,138
Sig. (2-tailed) ,011
,005
,000
,624
QDC3
N 51
51
51
30
15
Correlação de Pearson
,445(*)
,269
,666(*)
1
,563(*)
Sig. (2-tailed) ,014
,150
,000
,029
QDC4
N 30
30
30
30
15
Correlação de Pearson
,029
,449
,138
,563(*)
1
Sig. (2-tailed) ,917
,093
,624
,029
QDC5
N 15
15
15
15
15
* Correlação é significativa ao nível 0,05 (2-tailed).
A menor correlação encontrada foi entre os QDs da linguagem, que variaram
entre r=0.37 e r=0.52, podendo ser considerada de moderada a fraca. A mais
expressiva correlação para a linguagem foi entre a primeira e a quinta avaliação.
A analise estatística revelou significância (p<0,05), entre várias correlações
de QDC, como apresenta a tabela abaixo (Tabela 18).
105
Tabela 18 – Correlação entre Quocientes de Desenvolvimento da Linguagem.
QDL1 QDL2 QDL3 QDL4 QDL5
Correlação de Pearson
1
,374(*)
,391(*)
,346
,524(*)
Sig. (2-tailed)
,002
,005
,061
,045
QDL1
N 89
65
51
30
15
Correlação de Pearson
,374(*)
1
,578(*)
,597(*)
,415
Sig. (2-tailed) ,002
,000
,000
,124
QDL2
N 65
65
51
30
15
Correlação de Pearson
,391(*)
,578(*)
1
,726(*)
,515(*)
Sig. (2-tailed) ,005
,000
,000
,050
QDL3
N 51
51
51
30
15
Correlação de Pearson
,346
,597(*)
,726(*)
1
,668(*)
Sig. (2-tailed) ,061
,000
,000
,007
QDL4
N 30
30
30
30
15
Correlação de Pearson
,524(*)
,415
,515(*)
,668(*)
1
Sig. (2-tailed) ,045
,124
,050
,007
QDL5
N 15
15
15
15
15
* Correlação é significativa ao nível 0,05 (2-tailed).
O Quociente de desenvolvimento Social, assim como o da linguagem,
apresentou correlação moderadamente fraca, estando a melhor correlação entre a
primeira e segunda avaliação, com r=0.52, sendo considerada uma correlação
positiva moderada. Com o passar das avaliações a correlação enfraqueceu, voltando
a melhorar na quinta e ultima avaliação do seguimento.
A correlação foi significativa entre a e 2ª, e e avaliações, entre a e
3ª, e 2ª e 4ª avaliações, e entre 3ª e 4ª avaliações, para a área social (Tabela 19).
Tabela 19 – Correlação entre Quocientes de Desenvolvimento Social.
QDS1 QDS2 QDS3 QDS4 QDS5
Correlação de Pearson
1
,526(*)
,352(*)
,361
,439
Sig. (2-tailed)
,000
,011
,050
,101
QDS1
N 89
65
51
30
15
Correlação de Pearson
,526(*)
1
,420(*)
,532(*)
,441
Sig. (2-tailed) ,000
,002
,002
,100
QDS2
N 65
65
51
30
15
Correlação de Pearson
,352(*)
,420(*)
1
,512(*)
,459
Sig. (2-tailed) ,011
,002
,004
,085
QDS3
N 51
51
51
30
15
Correlação de Pearson
,361
,532(*)
,512(*)
1
,635(*)
Sig. (2-tailed) ,050
,002
,004
,011
QDS4
N 30
30
30
30
15
Correlação de Pearson
,439
,441
,459
,635(*)
1
Sig. (2-tailed) ,101
,100
,085
,011
QDS5
N 15
15
15
15
15
* Correlação é significativa ao nível 0,05 (2-tailed).
106
Por fim, ao correlacionarmos o Quociente de Desenvolvimento Global, com os
específicos, verificamos uma correlação positiva forte, de r=0.91 para postura,
r=0.83 para coordenação oculomotriz, r=0.82 para linguagem, e r=0.86 para a área
social.
Tabela 20 – Correlação entre Quocientes de Desenvolvimento global e específicos.
QDP1
QDC1
QDL1
QDS1
QDG1
Correlação de Pearson
1
,731
,675
,728
,915
Sig. (2-tailed)
,000
,000
,000
,000
QDP1
N 89
89
89
89
89
Correlação de Pearson
,731
1
,597
,578
,830
Sig. (2-tailed) ,000
,000
,000
,000
QDC1
N 89
89
89
89
89
Correlação de Pearson
,675
,597
1
,751
,817
Sig. (2-tailed) ,000
,000
,000
,000
QDL1
N 89
89
89
89
89
Correlação de Pearson
,728
,578
,751
1
,856
Sig. (2-tailed) ,000
,000
,000
,000
QDS1
N 89
89
89
89
89
Correlação de Pearson
,915
,830
,817
,856
1
Sig. (2-tailed) ,000
,000
,000
,000
QDG1
N 89
89
89
89
89
Com os resultados encontrados, reforçamos a necessidade do seguimento
neuropsicomotor.
A necessidade do seguimento, se confirma com o estudo de Poo-Arguelles e
colaboradores (2000), onde a presença de seqüelas graves ou moderadas, podem
ser diagnosticadas, na maioria dos casos, antes dos 6 meses de idade, porém, uma
porcentagem elevada de lactentes de risco, considerados normais e com
desenvolvimento normal no primeiro ano, podem apresentar seqüelas tardias,
havendo necessidade de prolongar o seguimento até cerca de 6 7 anos de idade,
com maior freqüência durante os dois primeiros anos.
Dado que as crianças deste estudo, em sua grande maioria, vêm para a
cidade apenas para o acompanhamento, a intervenção foi feita por amostragem, ou
seja, os pais foram ensinados a trabalhar com as limitações dos lactentes logo após
a identificação das áreas com déficit. Os responsáveis foram orientados quanto à
freqüência de estímulos, e possibilidade de materiais possíveis para o tratamento,
assim como da importância e dos benefícios, que as intervenções assistidas trariam
aos seus filhos.
107
Estudos realizados com bebês de risco afirmam que os programas de
intervenção centrados apenas na criança têm demonstrado menor eficácia quando
comparados às intervenções centradas na família (family-focused intervention)
(FORMIGA, PEDRAZZANI e TUDELLA, 2004).
A estruturação de programas de estimulação precoce na população estudada,
incluindo o acompanhamento longitudinal das crianças e o treinamento de pais e
cuidadores, deve constituir objetivo de seguimento de qualquer trabalho. (CAON e
RIES, 2003)
Poucos estudos avaliaram a eficácia de programas de intervenção para
promoção do desenvolvimento de crianças nascidas pré-termo.
É sabido, que programas de intervenção neuropsicomotora oferecem
benefícios aos lactentes, também, que o acompanhamento de um profissional
qualificado é a melhor maneira de ter certeza que o tratamento está sendo feito da
maneira mais certa o possível, porém, nem sempre isto é possível. E com este
trabalho pudemos observar que o treinamento correto, seguido de acompanhamento
sistemático, pode sim promover o melhor desenvolvimento do lactente, visto que são
estes cuidadores que passam a maior parte do tempo com as crianças, podendo
ofertar maiores tempos, ou mais freqüência de intervenção, do que qualquer
programa poderia ofertar.
Os profissionais que trabalham com o desenvolvimento infantil estão
reconhecendo cada vez mais a importância de considerar durante o tratamento a
interação entre aspectos biológicos (organismo), fatores de aprendizado ou
experiência (ambiente) e exigência específica da tarefa. Para melhor abordagem ao
intervir na criança, é necessária uma análise coletiva das variações do
desenvolvimento dentro de uma perspectiva "sócio-ecológica". Assim, o atendimento
individualizado da criança possibilita a identificação de risco em particular e a
avaliação da família possibilita a contextualização e a definição de estratégias de
intervenção que podem contribuir para o êxito dos programas de intervenção.
(FORMIGA, PEDRAZZANI E TUDELLA, 2004).
Kleberg, Westrup e Stjernqvist (2000), avaliaram o efeito de um programa
denominado Cuidado Desenvolvimental Individualizado para o Recém nascido e
Programa de Intervenção (NIDCAP) e encontraram que as crianças do grupo de
intervenção foram mais comunicativas, apresentaram mais habilidade de linguagem
e menos problemas globais e internalizantes, porém, o que ressaltam com bastante
108
importância, é que as mães que foram acompanhadas apresentaram mais contato
físico e visual do que as díades mãe-criança que não passaram por intervenção.
(KLEIN e LINHARES, 2006).
O estudo de Formiga et al. (2004), também buscou avaliar o desenvolvimento
motor de lactentes pré-termo participantes de um programa de intervenção precoce
com (GE) e sem (GC) o treinamento dos pais, e os resultados demonstraram que os
bebês do GE obtiveram melhor evolução dos comportamentos avaliados em relação
ao GC. Pode-se afirmar que a participação dos pais, associada ao programa de
intervenção fisioterapêutica aplicado, beneficiou significativamente o
desenvolvimento motor dos bebês estudados (FORMIGA, PEDRAZZANI e
TUDELLA, 2004).
CAPITULO V
5. COSIDERAÇÕES FINAIS
As características biopsicossociais, das crianças dos grupos de estudo,
evidenciou predomínio de prematuridade extrema e muito baixo peso ao nascer,
aumentando a predisposição a atrasos no desenvolvimento neuropsicomotor, e
prejuízos futuros, principalmente em idade escolar.
A presença da mãe como principal cuidadora, reforçou o vínculo mãe-bebê, o
que favorece o desenvolvimento motor e a relação interpessoal do lactente e
propicia maior tempo de contato para a estimulação neuropsicomotora.
Os principais fatores de risco incidentes foram os mesmo verificados na
literatura: peso menor que 4 no 5° minuto, RCIU, presença de infecções, e
hemorragia intraventricular.
A maior ocorrência de partos cesáreos, dá-se ao alto numero de
intercorrências pré-natais. A principal intercorrência foi a Pré-Eclampsia, seguida
pelas infecções, e em menor proporção a Diabetes, o RCIU, Placenta prévia, e
outros em menor escala.
As intercorrências neonatais estiveram presentes em 85% dos casos, o que
era esperado, dado o quadro de prematuridade e baixo peso presentes em quase
todos os lactentes. Porem, as intercorrências foram as mais diversas, e podem estar
influenciando negativamente o desenvolvimento neuropsicomotor dos lactentes do
estudo.
A fim de analisar como se comporta o desenvolvimento de lactentes com
histórico de prematuridade e determinar as IDs e QDs, verificamos que de início,
110
todas as áreas do desenvolvimento apresentaram idades negativas, com cerca de
20% de lactentes em Zona limite e 20% classificados em Inferioridade.
A área da Coordenação óculomotriz foi a que apresentou menores escores,
para prematuros de todas as idades, seguida de perto, pela área da linguagem.
Mesmo após terem sido corrigidas as idades cronológicas.
Após 12 meses, em média, de acompanhamento, observou-se o QDG médio
Classificado em Normalidade para mais da metade dos lactentes, e os demais
encontravam-se acima da Média, não evidenciando casos de atraso no
desenvolvimento.
Ao longo do seguimento todas as áreas apresentaram melhoras, nos QDs, o
que não pode ser atribuído somente a intervenção, visto que o desenvolvimento
normal e sadio, trás benefícios ao desenvolvimento neuropsicomotor. Porém,
percebe-se a importância da intervenção, especialmente para os menores
prematuros, que apresentaram maior instabilidade orgânica.
Quanto a verificação de diferenças significativas entre os quocientes de
desenvolvimento nas áreas avaliadas, em diferentes momentos do seguimento, não
foram encontradas diferenças estatisticamente significativas ao analisar os QDs aos
pares.
Ao correlacionar os quocientes de desenvolvimento, nos diferentes momentos
do seguimento, verificamos na sua maioria, correlações moderadas através da
Correlação linear de Pearson, com respectiva significância estatística.
Pode-se confirmar as hipóteses do estudo afirmando que o perfil
neuroevolutivo na primeira infância das crianças com histórico de prematuridade é
peculiar ao seu nível de maturação e difere dos das crianças a termo, durante os
primeiros meses, igualando-se a este durante os primeiros anos de vida. Assim
também, o desenvolvimento de crianças com histórico de pré-maturidade,
comporta-se de maneira variável ao longo de três anos, sofrendo maiores influencias
durantes os primeiros meses de vida.
Com base nos resultados obtidos, conclui-se que a participação dos pais foi
eficaz na evolução do desenvolvimento motor dos lactentes pré-termo. Quando a
intervenção se focaliza na díade pais/criança, os resultados são mais favoráveis,
garantindo a continuidade do tratamento, pois este, será feito na própria casa.
CAPITULO VI
6. REFERÊNCIAS
ALMEIDA, A. L. J.; ZANINI, P. Q.; HAYASHIDA, M.. Acompanhamento do
desenvolvimento motor de bebês de risco. In: TOGNOLO, W; REIMÃO, R.; LISO, E.
Tópicos selecionados de neurologia.
São Paulo: Associação Paulista de
medicina, 2001.
AMIEL-TISON, C.; GRENIER, A.
Vigilância neurológica durante el primer ano de
vida.
Barcelona: Masson, 1988.
ANCHIETA, L. M.; XAVIER, C.C.; COLOSIMO, E.A.. Crescimento de recém-
nascidos pré-termo nas primeiras 12 semanas de vida.
J. Pediatr. (Rio J).
v.80, n.4,
p.267-76, 2004.
ARIZCUN-PINEDA, J. Aspectos neonatologicos y fatores de riesgo em atencion
temprana.
Revista Neurologia.
V. 34 (supl 1). P. 136-139. 2002
BARBOSA, N. M. M, et al., Follow Up”
do Bede Risco Temas em Pediatria.
Serviço de Informação Científica Nestlé, 1993.
BARBOSA, V.C.; FORMIGA, C.K.M.R.; LINHARES, M.B.M.. Avaliação das variáveis
clinicas e neurocomportamentais de recém-nascidos pré-termo.
Revista Brasileira
de Fisioterapia.
V.11, n.4, p.275-281, jul-ago. 2007.
BARACHO SOUZA, Elza Lúcia.
Fisioterapia aplicada à obstetrícia:
aspectos de
ginecologia e neonatologia. 3. ed. Rio de Janeiro: Médica e Científica, 2002.
BEE, Helen L.
A criança em desenvolvimento.
9. ed. Porto Alegre: Artmed, 2003.
BEE, Helen L.
O ciclo vital.
Porto Alegre: Artmed, 1997.
112
BENZECRY, R.; OLIVEIRA, H. C.; LEMGRUBER, I..
Tratado de Obstetrícia –
FEBRASCO.
Rio de janeiro: Revinter, 2000.
BRASIL. Secretaria de Políticas de Saúde, Área de Saúde da Criança.
Atenção
Humanizada ao recém-nascido de baixo peso
: método mãe-canguru (manual do
curso). Brasília: Ministério de saúde, 2002.
BRUNET, Odette; LEZINE, Irene.
Desenvolvimento psicológico da primeira
infância.
Porto Alegre: Artes Médicas, 1981.
BURNS, Yvonne Desenvolvimento da Motricidade desde o Nascimento ate os 2
anos de idade. In: BURNS, Yvonne R; MACDONALD, Julie.
Fisioterapia e
crescimento na infância.
1. ed. São Paulo: Santos Ed., 1999.
CAETANO, L. Ç.; FUGINAGA, C.; SCOCHI, C.S.. Sucção não nutritiva em bebês
prematuros: estudo bibliográfico.
Revista Latino-americana de enfermagem.
v.11,
n.2, p. 232-236, mar/abr 2003.
CAON, Giane.
Acompanhamento Neuropsicomotor ambulatorial de Crianças
de Alto Risco Neurológico.
2005. 228 f. Dissertação (Mestrado em Ciências do
Movimento Humano) Centro de Ciências da saúde e do esporte, Universidade do
Estado de Santa Catarina, Florianópolis, SC, 2005.
CAON, G.; RIES, L. G. K.. Triagem do Desenvolvimento motor nos dois primeiros
anos de vida.
Pediatria Moderna.
v. 39, n. 7, jul, 2003.
CARVALHO, Ana Tereza S.
Desenvolvimento neuropsicomotor de lactentes de
Risco Social em Um Programa de Estimulação Precoce.
Monografia (Graduação
em Fisioterapia) Centro de Ciências da saúde e do esporte, Universidade do Estado
de Santa Catarina, Florianópolis, 2004.
CASAS, A. A. et al. Seguimiento neurológico de recien nacidos menores de 1500
gramos a los dos anos de edad.
An Pediatr,
Barcelona, v. 59, n. 5, p. 456-61, 2003
CERVO, Amado Luiz; BERVIAN, Pedro Alcino.
Metodologia científica.
4. ed. São
Paulo: Makron Books, 1996.
CHAZAUD, Jacques.
Introdução a psicomotricidade:
síntese dos enfoques e dos
métodos. São Paulo: Manole, 1978
CLOHERTY, John P.; EICHENWALD, Eric C.; STARK, Ann R.
Manual de
neonatologia.
5. ed. Rio de Janeiro: Guanabara Koogan, 2005.
113
CUNHA, H. L.
Desenvolvimento de crianças atendidas no Hospital de Pediatria
da Universidade Federal do Rio Grande do Norte no Primeiro ano de Vida:
Aplicação do Teste de Denver II em ambulatório. Dissertação de Mestrado. Escola
Paulista de Medicina, Universidade Federal de São Paulo. São Paulo, 2000.
DATASUS, Sistema de Informações sobre nascidos vivos SINASC, Ano 2005.
Disponível em: http://www.datasus.gov.br/catalogo/sinasc.htm. Acesso em
28/11/2007.
DIAS, Briana R.;PIOVESANA, Ana Maria S.G.; MONTENEGRO, Maria Augusta;
GUERREIRO, Marilisa M.. Desenvolvimento neuropsicomotor de lactentes filhos de
mães que apresentaram Hipertensão Arterial na gestação.
Arq Neuropsiquiatr,
v.
63, n. 3-A, p. 632-636, 2005.
DOMENECH, J.; GARCIA-AYMERICH, V.; JUSTE, J.; ORTIZ, A. Rehabilitacion
Motora.
Revista Neurologia,
v. 34, n. 1, p.148-50, 2002
ETCHEPAREBORDA, M.C.; ABAD-MAS, L.; PINA, J. Estimulación multisensorial.
Rev. Neurol.
, v. 36, s. 1, p. 122-128, 2003.
FENICHEL, Gerald M.
Neurologia pediátrica:
sinais e sintomas. 2. ed. Porto
Alegre: Artes Médicas, 1995.
FLEHMIG, Inge.
Texto e atlas do desenvolvimento normal e seus desvios no
lactente:
diagnóstico e tratamento do nascimento até o 18º mês. São Paulo:
Atheneu, 2004.
FONSECA, Vitor da.
Manual de observação psicomotora:
significação
psiconeurologica dos fatores psicomotores. Porto Alegre: Artes Médicas, 1995
FORMIGA, C. K. M. R.; PEDRAZZANI, E. S.; TUDELLA, E. Desenvolvimento motor
de lactentes Pré-termo participantes de um programa de intervenção fisioterapeutica
precoce.
Revista Brasileira de Fisioterapia,
v. 8, n. 3, p. 239-245, 2004.
FRAGA, D. A.; LINHARES, M. B. M.; CARVALHO, A. E. V.; MARTINEZ, F. E.
Desenvolvimento de bebês prematuros relacionado a variáveis neonatais e
maternas.
Psicologia em estudo,
v. 13, n. 2, p. 335-44, abr/jun, 2008.
G.A.T. Grupo de Atencion Temprana.
Libro Blanco de la Atencion Temprana.
Madri: Real Patronato de Prevencion y de Atencion a Personas com minusvalia,
2000.
GALLAHUE, David L.; OZMUN, John C.
Compreendendo o desenvolvimento
motor:
bebês, crianças, adolescentes e adultos. São Paulo: Phorte, 2001.
114
GALLEGO, R. G.
Riesgo de Deficiência em la infância:
estúdio epidemiológico,
prospectivo y plan de seguimiento basado em targeta óptica. Madri. 1996. 465 f.
Tese. Universidade Complutense de Madri, 1996.
GARCIA, J. R. et al. Estúdio longitudinal de crecimiento de recien nascidos
preterminos.
An Pediatr.
V. 58, n. 3, p. 241-51, 2003.
GESELL, Arnold.
A criança dos 0 aos 5 anos.
2. ed. São Paulo: Martins Fontes,
1989.
GOULART, A. L. Intercorrências perinatais como causas de seqüelas neurológicas.
Temas sobre Desenvolvimento,
v. 7, n. 37, p. 5-13, 1998.
GRAZIANO, R. M.; LEONE, C. R. Problemas oftalmológicos mais freqüentes e
desenvolvimento visual do pré-termo extremo.
J. Pediatr.
, v. 81, n. s.1, p. 95-100,
2005.
GREEN, E. M.; NELHAM, R. L. Development of sitting ability, assessment of children
with a motor handicap and prescription of appropriate seating systems.
Prosthetics
and Orthotics International,
v. 15. p. 203-216. 1991.
GREGORIO, C. S. B.; PINHEIRO, E. C. T.; CAMPOS, D. E. O.; ALFARO, E. J.
Evolução neuromotora de um recém-nascido pré-termo e a correlação com os
fatores perinatais.
Fisioterapia Brasil,
v. 3, n. 4, p. 250-57, 2002.
HACK, M.; FANAROFF, A. A. Outcomes of children of extremely low birthweight and
gestational age in the 1990s.
Semin Neonatol,
v. 5, p. 89-106, 2000.
HALPERN, Ricardo; GIUGLIANI, Elsa R. J.; VICTORA, César G.; BARROS,
Fernando C.; HORTA, Bernardo L. Fatores de risco para suspeita de atraso no
desenvolvimento neuropsicomotor aos 12 meses de vida.
J. Pediatr.,
Rio de
Janeiro, v. 76, p. 421-8, 2000.
HALPERN, R.; GIUGLIANI, E. R. J.; VICTORA, C. G.; BARROS, F. C.; HORTA, B. L.
Fatores de risco para suspeita de atraso no desenvolvimento neuropsicomotor aos
12 meses de vida.
Rev. Chil. Pediatr,
v. 73, n. 5, p. 529-539, 2002.
HASSANO, A. Y. S.; OLIVEIRA, M. C. B.; PENALVA, O.; STEINBERG, V.
Desenvolvimento Motor nos Dois Primeiros Anos de Vida
. Disponível em
<http://www.fisioterapiajaque.hpg.ig.com.br/html/desenvolvimento_criança> Acesso
em: 15 de agosto de 2001.
HOLLE, B.
Desenvolvimento Motor na Criança Normal e Retardada
. São Paulo:
Manole, 1979.
115
JOHNSON, A. Long term follow up of neonates. Editorial.
Semin Neonatol
v. 5, p.
87-88, 2000.
KLEIN, Vivian Caroline; LINHARES, Maria Beatriz Martins. Prematuridade e
interação mãe-criança: revisão sistemática da literatura.
Psicologia em Estudo,
Maringá, v. 11, n. 2, p. 277-284, mai./ago, 2006
LE BOULCH, J. O Desenvolvimento Psicomotor: do nascimento aos 6 anos. 4. ed.
Porto Alegre: Artes Médicas, 1986.
LENKE, M. C. Motor outcomes in premature infants.
Newb. Infant Nurs. Rev.,
v. 3,
n. 3, p. 104-109, 2003.
LEMOS, M. L.; VEIGA, S. H.; MARINHO, R. C.; DIAS, R. C.; MACRI, F. R.
Seguimento do Recém-Nascido de risco. In: MARGOTTO, P. R.
Assistência ao
Recém-nascido de Risco.
2ª ed. Brasília: Porfiro, 2004.
LEONE,CR; TRONCHIN, DMR.
Assistência integrada ao recém-nascido.
São
Paulo: Atheneu, 1996.
LERMANN, Viviane Levy; FORTES FILHO, João Borges; PROCIANOY, Renato S.
The prevalence of retinopathy of prematurity in very low birth weight newborn infants
.
J. Pediatr.,
Rio de Janeiro, v. 82, n. 1, p. 27-32, 2005.
LIMA, A. J.; JUNQUEIRA, J. C.; TORTORI, C. J. A. Crescimento e Desenvolvimento.
In: LIMA, A. J.
Pediatria Essencial
. 5. ed. São Paulo: Atheneu, 1998.
LOPES, S. M. B.; LOPES, J. M. A.
Follow Up do Recém-nascido de Alto Risco.
Rio de Janeiro: Medsi, 1999.
MANCINI, M. C.; TEIXEIRA, S.; ARAÚJO, L.G.; PAIXÃO, M. L.; MAGALHÃES, L. C.;
COELHO, Z. A. C; GONTIJO, A. P. B.; FURTADO, S. R. C.; SAMPAIO, R. F. Estudo
do Desenvolvimento da Função Motora aos 8 e 12 meses de idade em crianças
nascidas pré-termo e a termo.
Arq. Neuropsiquiatr.,
v. 60, n. 4, p. 974-980, 2002.
MANSUR, Samira Schultz.
Desenvolvimento Neuropsicomotor de Lactentes
Desnutridos
. 2004. Dissertação (Mestrado em Ciências do Movimento Humano).
Centro de Educação Física, Fisioterapia e Desportos, Universidade do Estado de
Santa Catarina, 2004.
MANSUR, Samira Schultz; ROSA NETO, Francisco. Desenvolvimento
Neuropsicomotor de Lactentes Desnutridos.
Revista Brasileira de Fisioterapia,
v.
10, n. 2, p. 187-93, 2006.
116
MARCONDES, Eduardo.
Pediatria básica.
8. ed. São Paulo: Sarvier, 1991.
MARTINEZ, M. D. F. et al. Desarrollo psicomotor a los 2 años de edad em niños com
peso inferior a 1.202g al nascimento.
Act. Pediatr. Esp.
, v. 53, n. 9, p. 565-568,
1995.
MARTINS, Gilberto de Andrade.
Manual para elaboração de monografias e
dissertações.
2. ed. São Paulo: Atlas, 1994.
MARTINS, D. C.; MELLO, D. F.; SCOCHI, C. G. S. Crianças prematuras e de baixo
peso ao nascer em famílias de baixo nível socioeconômico: uma revisão da
literatura.
Pediatria Moderna
, v. 37, n. 9, p. 452-459, 2001.
MÉIO, Maria D. B. B.; LOPES, Claudia S.; MORSCH, Denise S.; MONTEIRO, Ana P.
G. Pre-school cognitive development of very low birth weight preterm children.
Jornal of Pediatric
, v. 80, n. 6, 2004.
MILLÁ-ROMERO, M. G.; MULAS. F. Diagnóstico interdisciplinar em atención
temprana.
Rev. Neurol.
, v. 34, s.1, p. 139-143, 2002.
MIRANDA, L. P.; RESEGUE, Rosa. FIGUEIRAS, Amira C. de Melo.
A criança com
problemas do desenvolvimento.
Jornal de Pediatria,
v.79, s.1, 2003.
MONTEIRO, C. A.; BENICIO, M. H. A.; ORTIZ, L. P. Tendência secular do peso ao
nascer na cidade de São Paulo.
Revista Saúde Pública,
v. 34, s. 6, p. 26-40, 2000.
NELSON, Waldo E.; BEHRMAN, Richard E.; KLIEGMAN, Robert; JENSON, Hal B.
Nelson tratado de pediatria,
Rio de Janeiro: Guanabara Koogan, 2002.
NEWCOMBE, Nora.
Desenvolvimento infantil:
abordagem de Mussen. Porto
Alegre: Artes Médicas, 1999.
NINDS (National institute of Neurological Disorders and Strok).
Cerebral Palsy.
NHI
Publication. September, 1993. p. 93-159.
OLHWEILER, L.; SILVA, A. R.; ROTTA, N. T. Estudio del desarrolo psicomotor em
pacientes prematuros durante el primer ano de vida.
Rev Neurol
., v. 35, n. 8, p.
727-30, 2002.
OLIVEIRA, J. D.
Avaliação, seguimento e Intervenção em Bebês de Alto Risco
Neurológico.
2000. 68 f. Monografia (Especialização em Educação Especial).
Universidade do Estado de Santa Catarina, Florianópolis, 2000.
117
OLIVEIRA, L. N.; LIMA, M. C. M. P.; GONÇALVES, V. M. G. Acompanhamento de
lactentes com Baixo peso: aquisição de linguagem.
Arquivo de neuropsiquiatria,
v. 61, p. 802-07, 2003.
ORNELAS, Sandra L.; XAVIER, César C.; COLOSIMO, Enrico A. Crescimento de
recém-nascidos pré-termo pequenos para a idade gestacional.
Jornal de Pediatria,
v. 78, n. 3, 2002
PAPALIA, Diane E; OLDS, Sally Wendkos.
Desenvolvimento humano.
7. ed. Porto
Alegre: Artmed, 2000.
PEDROMÔNICO; Márcia R. M.; AZEVEDO, Marisa F. de; KOPELMAN, Benjamin I.
Recém-nascidos pré-termo internados em unidade de terapia intensiva:
desenvolvimento da conduta interativa no primeiro ano de vida.
Jornal de Pediatria,
v. 74, n. 4, 1998.
PENA-FELIZ, M.; MARTINEZ-SANCHEZ, D.; PEREZ-MUNOS, M. Morbimortalidade
em prematuros del Hospital Materno Infantil San Lorenzo de Los Mina.
Rev
Méd.
Dom.,
v. 61, n. 3, p. 210-12, 2000.
PENALVA, O. Organização de um Programa de Follow Up. In:
Novo Manual de
Follow up do recém-nascido de alto-risco.
Rio de Janeiro: Sociedade de Pediatria
do Estado do Rio de Janeiro – SOPERJ, 1995.
PENALVA, O.; SCHWARTZMAN, J. S. Estudo descritivo do perfil clínico-nutricional e
do seguimento ambulatorial de recém-nascidos prematuros atendidos no Programa
Método Mãe-Canguru.
J. Pediatr.,
Rio de Janeiro, v. 82, n. 1, p. 33-9, 2006.
PEREIRA, Ana P.
Prematuridade: implicações e desafios da intervenção
precoce.
29.09.2004 Disponivel em http://www.educare.pt/NEDESP/N_artigosnees.
asp? fich=NED_20040929_2639 , acesso em 18/08/2008.
PEREIRA, Mara Rita; FUNAYAMA, Carolina Araújo Rodrigues. Avaliação de alguns
aspectos da aquisição e desenvolvimento da linguagem de crianças nascidas pré-
termo.
Arq. Neuro-Psiquiatr
., São Paulo, v. 62, n. 3, Set., 2004.
PIRES, M. M. S.
Maturação Psicomotora do Primeiro Ano de Vida da Criança.
Disponível em <www.acm.org.br/scp/bibliotecaonline/artigos/maturaçao_psicomotora
.html> Acesso em 04 de fevereiro de 2002.
PITREZ, José Luiz B.; PITREZ, Paulo rcio Condessa.
Pediatria:
consulta rápida.
2. ed. Porto Alegre: Artes Médicas, 1998.
118
PÓO-ARGUELLES, P.; CAMPISTOL-PLANA, J.; IRIONDO-SANZ, M. Recén nacido
de riesgo neurológico em el año 2000: recomendaciones para el seguimiento
incorporación de nuevos instrumentos.
Rev. Neurol
., v. 74, n. 4, p. 284-290, 1998.
RAMOS SÁNCHEZ, I.; MÁRQUEZ LUQUE, A. Recién nacido de riesgo.
Vox
Paediatr
, v. 8, n. 8, p. 5-10, 2000.
RATLIFFE, Katherine T. A típica Criança em desenvolvimento. In:
Fisioterapia na
clínica pediátrica:
guia para a equipe de fisioterapeutas. São Paulo: Santos Ed.,
2000.
RESTIFFE, A. P.
O desenvolvimento motor dos recém-nascidos pré-termos nos
primeiros seis meses de idade corrigida segundo Alberta Infant Motor Scale:
um estudo de coorte. 2004. 274 p. Dissertação (Mestrado em Pediatria) Faculdade
de Medicina, Universidade de São Paulo, São Paulo, 2004.
ROBERTS, K. B.; VINING, E. P. G. Desenvolvimento e Retardo Psicomotor. In:
Problemas Clínicos em Pediatria com Referências Comentadas
. Rio de Janeiro:
Revinter, 1992.
ROSA NETO, Francisco.
Manual de Avaliação Motora.
Porto Alegre: Artmed, 2002.
ROSA NETO, Francisco; CAON, Giane; BISSANI, Clarice; SILVA, Cristiane Alves
da; SOUZA, Melissa; SILVA, Elirez. Características neuropsicomotoras de crianças
de alto risco neurológico atendidas em um programa de follow-up.
Pediatria
Moderna
. v. XLIV, Mar/abr, 2008.
ROSA NETO, F.; ALMEIDA, G.M.; CAON, G.; RIBEIRO, J.; CARAM, J. A.; PIUCCO,
E.C. Desenvolvimento motor de crianças com indicadores de dificuldade na
aprendizagem escolar.
Revista Brasileira Ciência e Movimento,
v. 15, n. 1. p. 45-
51, 2007.
ROSA NETO, F.; RAMOS SANCHES, I.; SERRANO LUNA, J. L.
Desenvolvimento
motor e rendimento escolar em crianças de alto risco neurológico.
Resumo. VII
Congresso de Psiquiatria Clinica, São Paulo, 2002.
RUGOLO, L. M. S. S. Crescimento e desenvolvimento do prematuro extremo.
J.
Pediatr.
v. 81, n. 2, p. 101-110, 2005.
SAIGAL, S. Follow up of very low birthweight babies to adolescence.
Semin
Neonatol.,
v. 5, p. 107-118, 2000.
119
SBP-SOCIEDADE BRASILEIRA DE PEDIATRIA.
Resgate do Pediatra Geral.
Consenso do Departamento Científico de Pediatria Ambulatorial da Sociedade
Brasileira de Pediatria. Rio de Janeiro: SBP, 2004.
SCHLACK, L. Desarrollo neurológico infantile. In: GUIRALDES, E.; VENTURA
JUNCÁ, P. (eds.)
Manual de Pediatria da Pontificia Universidade Católica do
Chile.
Santiago: Pontifícia Universidad Católica de Chile, 2002. Disponível em
<http://escuela.med.puc.cl/paginas/publicaciones/ManualPed/DessNeurolInf .html>
Acesso em 16 de fevereiro de 2004
SEGRE, Conceição A. de Mattos; ARMELLINI, Pedro Antonio; MARINO, Wanda
Tobias.
RN.
4. ed. São Paulo: Sarvier, 1995.
SHEAHAN, M. S.; BROCKWAY, N. F.; TECKLIN, J. S. A Criança de Alto Risco. In:
TECKLIN, Jan Stephen.
Fisioterapia pediátrica.
3. ed. Porto Alegre: Artmed, 2002.
SHEPHERD, Roberta B.
Fisioterapia em pediatria.
3. ed. São Paulo: Santos Ed.,
1996.
SILVA, O. P. V. (coord.)
Novo Manual de Follow up do recém-nascido de alto-
risco
. Sociedade de Pediatria do Estado do Rio de Janeiro – SOPERJ, 1995.
SOBOLEWSKI, M. et al. Análise do desenvolvimento neuropsicomotor em recém-
nascidos de baixo peso.
Pediatria,
São Paulo, v. 18, n. 4, p. 180-184, 1996.
SOUZA, J. M.
Avaliação do Desenvolvimento Neuropsicomotor de 6 à 24 meses
matriculadas em creches municipais de Florianópolis/SC
. 2003. Dissertação
(Mestrado em Ciências do Movimento Humano). Centro de Educação Física,
Fisioterapia e Desportos, Universidade do Estado de Santa Catarina, Florianópolis,
2003.
STOPIGLIA, M. C. S.
Avaliação neurológica de recém-nascidos Pré-termo
acometidos por hemorragia periventricular-intraventricular.
1997. 157p.
Dissertação (Mestrado em Neurosciencias) Faculdade de Ciências Medicas,
Universidade Estadual de Campinas, Campinas, SP, 1997.
RAMOS SÁNCHEZ, I.; MÁRQUEZ LUQUE, A. Recién nacido de riesgo.
Vox
Paediatr
, v. 8, n. 8, p. 5-10, 2000.
TANI, G. Liberdade e Restrição do Movimento no Desenvolvimento da Criança. In:
KREBS, R. J.; COPETTI, F.; BELTRAME, T. (Org).
Discutindo o Desenvolvimento
Infantil.
Santa Maria: Palotti,1998.
TECKLIN, Jan Stephen.
Fisioterapia pediátrica.
3. ed. Porto Alegre: Artmed, 2002.
120
TRAPERO, M. V.
Intervencion Precoz en Niños De Alto Riesgo Biologico
. Tese
de Doutorado.
Universidad Complutense de Madrid.Facultad de Filosofía y
Ciencias de la Educación, Departamento de Didáctica y Organización Escolar.
Madrid, 1992.
TUDEHOPE, D. Anomalias do Desenvolvimento. In: BURNS, Y; McDONALD, J.
Fisioterapia e Crescimento na Infância.
São Paulo: Santos, 1999.
WOLKE, D; MEYER R. Congnitive status, language attainment, and prereading skill
of 6-year-old very preterm children and their peers: the Bavarian Longitudinal Study.
Dev. Med. Child. Neurol
, v. 91, p. 94-109, 1999.
ZANINI, P.Q., et al. Analise da aquisição do sentar, engatinhar e andar em um grupo
de crianças pré-termo.
Rev. Fisioter. Univ.,
São Paulo, v. 9, n. 2, p. 57-62, jul./dez.,
2002.
ANEXOS
132
ANEXO A - Formulário de verificação dos dados Biopsicossociais
FORMULÁRIO DE DADOS BIOPSICOSSOCIAIS
Data 1ª avaliação: _________________
Registro / HU
1 DADOS DE
IDENTIFICAÇÃO
NOME DA CRIANÇA
DATA DE NASCIMENTO
CLASSIF.
RNT AIG PIG GIG
RNPT MBPN BPN
NMI
GENERO
Ordem de nascimento
TELEFONE
Nº pessoas residentes na
mesma casa que a
criança
NOME DA MÃE
PROCEDENCIA
2 ANTECEDENTES
GESTACIONAIS
IDADE GESTACIONAL
( ) < 32 semanas
( ) 37 sem, 6 dias a 32 sem
( ) 38 a 42 sem
INTERCORRÊNCIAS
( ) Hipertensão
( ) Infecções
( ) Diabetes
( ) Outra __________
( ) Hemorragia
( ) Ameaça de aborto
( ) Pré-Eclâmpsia
( ) Outra___________
PLANEJAMENTO DA GRAVIDEZ
( ) Sim ( ) Não
CRIANÇA DESEJADA
( ) Sim ( ) Não
USO DE DROGA/FUMO PELA MÃE
( ) Sim ___ maços/ dia
( ) Não
IDADE DA MÃE NO PARTO
( ) < 20 anos
( ) 20 a 29 anos
( ) 30 a 39 anos
( ) 40 a 49 anos
( ) > 49 anos
ACOMPANHAMENTO PRÉ-NATAL
( ) Não realizou ( ) 1 a 5 consultas
( )6 ou mais consultas
3 HISTÓRIA PERINATAL
LOCAL DO PARTO
( ) Hospital ( ) Domicílio
TIPO DE PARTO
( ) Normal Horizontal
( )Normal Assistido (fórceps)
( ) De cócoras
( ) Na água
( ) Cesáreo
Motivo: _______________
______________________
Amniorrexe
( ) Espontânea ( ) Provocada
PARTO GEMELAR
( ) Sim ( ) Não
INTERCORRÊNCIAS
( ) Circular de cordão
( ) Asfixia
( ) Liberação de Mecônio
( ) Outra _____________
OBS. _______________________________________________________________
4 PERÍODO NEONATAL
MASSA AO NASCER ______g ( ) < 1500g
( ) 1500 a 2500g
( ) 2501 a 3500g
( ) > 3500g
COMPRIMENTO AO NASCER _____cm ( ) </= 45cm
( ) 46 a 51cm
( ) > 51cm
PERÍMETRO CEFÁLICO AO NASCER _________ (em cm)
INDICE DE APGAR No 1º min ______ No 5º min ______
NECESSIDADE DE
REANIMAÇÃO
( ) Sim
( ) Ventilação Mecânica / Tempo: ___
( ) Não
INTERNAÇÃO EM UTI
NEONATAL
( ) Sim Tempo:__________
Motivo:________________________
( ) Não
INTERCORRÊNCIAS
( ) Convulsões
( ) Hemorragia Peri-intra
ventricular. GRAU:____
( ) Infecções Congênitas
( ) Sífilis
( ) Toxoplasmose
( ) Rubéola
( ) CMV
( ) Hiperbilirrubinemia
( ) Sepse
( ) Infecções no Sistema
Nervoso
(meningites,encefalites)
( ) Alterações Metabólicas
Quais___________________
________________________
________________________
________________________
( ) Outras_____________
Transfusão sangüínea
( ) Sim ( ) Não
MÃE CANGURU
( ) Sim ( ) Não
TEMPO TOTAL DE
INTERNAÇÃO HOSPITALAR
( ) Até 3 dias
( ) 4 dias ou mais
Motivo ______________
INTERVENÇÕES CIRÚRGICAS_______________________________________
5 AMAMENTAÇÃO
Em meses
DURAÇÃO DO ALEITAMENTO MATERNO EXCLUSIVO
____________________
6 MARCOS DO DNPM
Em meses
CONTROLE CEFÁLICO
SENTAR SEM APOIO
ENGATINHAR
PASSAR PARA EM PÉ COM APOIO
MARCHA SEM APOIO
PRIMEIRAS PALAVRAS
OBS. ______________________________________________________________
7 HISTÓRIA FAMILIAR DE RISCO/DISTÚRBIOS NEUROLÓGICOS
8 CUIDADOS
COM A CRIANÇA*
* Quem permanece mais tempo diariamente cuidando da criança
(Pessoa(s))
Data
Pessoa (s)
9 ESTADO DE
SONO e VIGÍLIA
(PRECTHL, 1960)
1.1. Olhos fechados, respiração regular, sem movimentos, (sono quieto); 2.Olhos
fechados, respiração irregular, sem movimentos grosseiros, (sono ativo);
3.Olhos abertos sem movimentos grosseiros, (despertar quieto); 4.Olhos
abertos com movimentos grosseiros e sem choro,(despertar ativo); 5. Olhos
abertos ou fechados e chorando; 6. Outros estados, ex. coma.
Data
Classificação
10 EXAME FÍSICO
10.1 TÔNUS
MUSCULAR
1. Eutonia; 2. Hipotonia generalizada; 3. Hipotonia localizada;
4.Hipertonia generalizada; 5. Hipertonia localizada; 6. Flutuação
Data
Classificação
Data
10.2 MANIFESTÕES
POSTURAIS E
ATITUDES
CARACTERÍSTICAS
P = Presente / A = Ausente
Decúbito dorsal, atitude em semiflexão
generalizada
Mãos geralmente fechadas e cabeça
lateralizada
Fragmentos de RTCA (MMSS)
Atitude Assimétrica
Movimentos bruscos de pedalagem (MMII)
Cabeça na posição mediana
Cabeça lateralizada (às vezes)
Não há fragmentos de RTCA
Atitude Simétrica
Mãos semi-abertas
Atitude em decúbito dorsal, espontânea e ativa
Movimentos mais coordenados, menos
bruscos e arrítmicos
Tendência a mudar de decúbito
Atitude Deitada
Espontânea
Tendência a lateralizar-se ou sentar-se
Sustento nítido da cabeça
Senta-se com ou sem apoio
Mudança da posição deitada para a sentada
Atitude Ativa
Espontânea
Atitude ativa e de pé
10.3 ANTROPOMETRIA
Data
Peso (em gramas)
Comprimento (em cm)
Perímetro Cefálico (em
cm)
Classificação do estado
nutricional (GOMEZ,
1956)
132
ANEXO B - Folha de Registro da Escala de Desenvolvimento Psicomotor da Primeira
Infância de Brunet-Lèzine (1981).
Escala de Desenvolvimento Infantil – Brunet-Lézine
Data de nascimento: ___/___/_____
IG: ___________ Peso ao nascer: _________
Nome:
Contato: (____)
Data Av.
IC(C): 1ª
IC: 1ª
5ª
ord
1 MÊS
1 P1
Levanta a cabeça de tempo em tempo, na posição sentada
2 P2
Deitado em DV levanta a cabeça de vez em quando, vacilando.
3 P3
Deitado em Dv, faz movimentos de reptação
4 C4
Reage ao barulho da campainha
5 C5
Segue espontaneamente com o olhar o anel num angulo de 90º.
6 S6
Fixa o olhar no rosto do examinador
QUESTÕES
7 P7
Aperta fortemente o dedo que se lhe introduz na mão.
8 L8
Emite sons guturais.
9 S9
Para de chorar quando se lhe aproxima ou quando se lhe fala.
10 S10
Começa uma reação de sucção antecipada no momento da mamada.
ord
2 MESES
11 P1
Sentado, mantém a cabeça erguida durante um momento.
12 P2
Deitado em DV levanta a cabeça e os ombros.
13 P3
Deitado em DD mantém a cabeça enquanto é levado à posição sentada, por tração
dos antebraços
14 C4
Segue com o olhar uma pessoa que se desloca no quarto
15 C5
Segue com o olhar o anel num ângulo de 180º.
16 S6
Reage com uma mímica quando se aproxima o rosto do examinador
QUESTÕES
17 P7
Vira-se de lado sobre as costas.
18 L8
Emite algumas vocalizações.
19 S9
Imobiliza-se ou fica quieto quando se he fala.
20 S10
Sorri aos rostos familiares.
3 MESES
21 P1
Mantém a cabeça bem firme em posição sentada
22 P2
Deitado em DV, apóia-se sobre os antebraços
23 C3
Olha um cubo colocado sobre a mesa
24 C4
Mantém firmemente o chocalho, sacode-o com um movimento brusco, involuntário
25 C5
Vira a cabeça para seguir com o olhar um objeto que desaparece lentamente
26 S6
Sorri, respondendo ao sorriso do examinador
QUESTÕES
27 P7
Agarra seu lençol, leva-o em direção a si.
28 L8
Tagarela: vocalização prolongada
29 S9
Anima-se à vista da mamadeira ou aos preparativos da mamada
30 S10
Brinca com as mãos, examina-as
4 MESES
31 P1
Deitado em Dv, mantém suas pernas em extensão.
32 P2
Deitado em DD, levanta a cabeça e os ombros quando se exerce uma leve tração dos
antebraços
33 C3
Sentado na frente de uma mesa apalpa a borda da mesa
34 C4
Olha uma moeda colocada em cima da mesa
35 C5
Deitado em DD, começa o movimento de preensão em direção ao anel
36 C6
Deitado em DD sacode o chocalho colocado em sua mão, olhando-o
QUESTÕES
37 P7
Cobre o seu rosto com o lençol
38 L8
Vocaliza quando se lhe fala
39 S9
Ri à gargalhadas
40 S10
Vira a cabeça imediatamente para olhar a pessoa que o chama
5 MESES
41 P1
Mantém-se sentado com um leve apoio.
42 P2
Deitado em DD, faz mvtos no sentido de livrar-se do pano colocado sobre sua cabeça
43 C3
Agarra um cubo ao contato
44 C4
Mantém o primeiro cubo na mão e olha o segundo apresentado
45 C5
Estende a mão para um objeto que lhe oferece
46 S6
Sorri no espelho
QUESTÕES
47 P7
Apanha o chocalho caído ao alcance de sua mão
48 L8
Dá gritos de alegria
49 S9
Destapa-se com movimentos de pedalar, agarra sua coxa ou seu joelho.
50 S10
Ri e vocaliza, manipulando seus brinquedos
6 MESES
51 P1
Mantido verticalmente suporta uma parte de seu corpo
52 P2
Deitado em DD, desfaz-se do pano colocado em sua cabeça
53 C3
Levanta o cubo colocado na mesa
54 C4
Mantém dois cubos um em cada mão e olha o terceiro
55 C5
Sentado, pega com uma mão o anel que se movimenta diante dele
56 C6
Bate sobre a mesa ou a esfrega com a colher
QUESTÕES
57 P7
Pode ficar sentado com apoio durante um longo período
58 L8
Faz sons vocálicos - engroladas
59 S9
Pega os pés com as mãos
60 S10
Faz distinção entre rostos familiares e estranhos
7 MESES
61 P1
Mantém-se sentado sem apoio durante um período curto
62 P2
Sentado com apoio, tira o pano colocado na sua cabeça
63 C3
Agarra dois cubos, um em cada mão
64 C4
Agarra a pastilha com movimento de rastilho
65 C5
Levanta a xícara virada usando a asa.
66 S6
Frente ao espelho, estende a mão e acaricia a sua imagem
QUESTÕES
67 P7
Passa seus brinquedos de uma mão a outra.
68 L8
Vocaliza várias sílabas bem definidas.
69 S9
Leva os pés a boca
70 S10
Pode comer uma papinha com a colher
8 MESES
71 P1
Levanta até a posição sentada, quando se exerce uma leve tração dos antebraços.
72 P2
Deitado em DV, desfaz-se do pano colocado na sua cabeça
73 C3
Aceita um terceiro cubo, deixando um dos que já tinha.
74 C4
Agarra a pastilha com a participação do polegar
75 C5
Busca a colher caída
76 C6
Examina a campainha com interesse
QUESTÕES
77 P7
Vira de costas (estando em DV, vira para a posição dorsal).
78 L8
Participa da brincadeira de esconde-esconde (cadê o nenê)
79 S9
Brinca de atirar brinquedos no chão
80 S10
Fica contente quando bate dois objetos um contra o outro.
9 MESES
81 P1
Mantém-se de pé com apoio.
82 P2
Sentado, sem apoio, desfaz-se do pano colocado em sua cabeça
83 C3
Levanta a xícara virada e pega o cubo escondido
84 C4
Pega a pastilha entre o polegar e o indicador
85 C5
Atrai o anel em sua direção, usando a fita.
86 C6
Faz soar a campainha
QUESTÕES
87 P7
Mantido sobre os braços faz movimentos de marcha
88 L8
Verbaliza uma palavra de duas sílabas
89 S9
Reage a certas palavras familiares
90 S10
Faz gestos com significação: dá ordens.
10 MESES
91 P1
Levanta e abaixo um pé, estando de pé com apoio.
92 C2
Encontra um brinquedo embaixo de um pano
93 C3 Coloca um cubo na xícara sem soltá-lo, depois da demonstração (ou retira o cubo da xícara)
94 C4
Busca a pastilha com o dedo, através do frasco.
95 C5
Retira a forma redonda do tabuleiro
96 C6
Busca o chocalho da campainha
QUESTÕES
97 P7
Coloca-se de pé sozinho
98 L8
Repete um som ouvido
99 S9
Compreende uma proibição, detém um ato sob ordem.
100
S10
Bebê na xícara.
12 MESES
101
P1
Caminha com ajuda quando se lhe dá a mão.
102
C2
Pega o terceiro cubo, mantendo os dois que já tinha
103
C3
Solta um cubo dentro da xícara
104
C4
Imita o barulho da colher na xícara
105
C5
Recoloca a forma redonda no buraco do tabuleiro
106
C6
Faz um rabisco débil depois da demonstração.
QUESTÕES
107
P7
Parado, abaixa-se para pegar um brinquedo
108
L8
Fala três palavras
109
S9
Entrega objeto sob ordem ou gesto
110
S10
Repete atos que provocaram risos
15 MESES
111
P1
Caminha só.
112
C2
Constroi uma torre de dois cubos.
113
C3
Enche a xícara com cubos
114
C4
Introsuz a pastilha no frasco
115
C5
Coloca sob comando a forma redonda no buraco do tabuleiro.
116
C6
Faz um rabisco sob comando
QUESTÕES
117
P7
Sobe uma escada de quatro (de gatinhas)
118
L8
Fala cinco palavras
119
S9
Aponta com o dedo o que deseja, pedindo-o.
120
S10
Bebê sozinho com eficiência
18 MESES
121
P1
Chuta com o pé uma bola.
112
C2
Constrói uma torre de três cubos.
113
C3
Vira as páginas de um livro
114
C4
Retira imediatamente a pastilha de um frasco
115
C5
Adapta-se ao giro da prancha para o bloco redondo.
116
L6
Nomeia uma imagem ou mostra duas imagens.
QUESTÕES
117
P7
Sobe a escada de pé, seguro pela mão
118
L8
Fala pelo menos oito palavras.
119
S9
Serve-se com a colher.
120
S10
Pede seu penico, pode conter-se
21 MESES
121
P1
Chuta uma bola, sob demonstração
122
C2
Constrói uma torre de 5 cubos.
123
C3
Alinha os cubos para imitar o trem
124
S4
Coloca sob comando os cubos em 3 lugares diferentes
125
C5
Coloca a forma quadrada no buraco correspondente do tabuleiro
126
L6
Mostra 5 partes do corpo na imagem da boneca.
QUESTÕES
127
P7
Desce a escada, seguro pela mão
128
L8
Associa duas palavras
129
L9
Pede p/ bebêr e p/ comer
130
S10
Imita ações simples do adulto
24 MESES
131
P1
Chuta a bola sob comando
132
C2
Constrói uma torre de 6 cubos, no mínimo
133
C3
Tenta dobrar uma vez uma folha de papel.
134
C4
Imita um traço
135
C5
Coloca as 3 formas no tabuleiro
136
L6
Nomeia 2 ou mostra 4 imagens.
QUESTÕES
137
P7
Sobe e desce escada sem ajuda
138
L8
Forma frases de várias palavras.
139
L9
Nomeia-se a si mesmo pelo prenome
140
S10
Ajuda a arrumar suas coisas
30 MESES
141
P1
Trata de ficar sobre um pé só
142
C2
Constrói uma torre de 8 cubos
143
C3
Constrói uma ponte, a partir de um modelo, com três cubos.
144
C4
Imita um traço vertical e horizontal
145
C5
Adapta-se ao giro do tabuleiro para as 3 formas
146
L6
Nomeia 5 ou mostra 7 imagens
QUESTÕES
147
P7
Pode levar um copo cheio de água sem derrubá-lo.
148
L8
Emprega o pronome "eu"
149
S9
Coloca seus sapatos
150
S10
Permanece seco durante a noite
132
ANEXO C - Folhas de Aprovação do Comitê de Ética em Pesquisa de Seres
Humanos
APENDICE
132
ESTUDO PILOTO
O estudo piloto foi realizado no mesmo Ambulatório de Alto risco em
Neonatologia do HU-UFSC, de setembro de 2004 a julho de 2005.
Para aquisição de dados biopsicossociais, foi utilizado como instrumento, um
formulário padronizado respondido pelos pais ou responsáveis, e complementado
pela consulta ao prontuário hospitalar da criança (Anexo A). Para verificação do
risco neurocomportamental, foi utilizada a Planilha operacionalizada do Neonatal
Medical Index (Anexo B); e para avaliação do desenvolvimento foi utilizada a Escala
de Desenvolvimento Psicomotor da Primeira Infância de Brunet-Lèzine (1981), na
versão adaptada por Souza (2003), cuja Folha de Registro encontra-se no Anexo C.
A avaliação do Desenvolvimento Neuropsicomotor das crianças com histórico
de prematuridade, deu-se em prosseguimento à consulta médica do referido
Ambulatório de Alto Risco em Neonatologia do HU/UFSC, contando com a presença
do acompanhante da criança. Porém antecedendo a avaliação neuropsicomotora, de
forma a aumentar a interação com a criança, o primeiro passo é a aquisição das
respostas do formulário biopsicossocial, solicitando o auxilio dos pais ou
responsáveis por cada criança.
Durante este período passaram pelo ambulatório 22 crianças, havendo ligeira
prevalência do sexo masculino (n=12, 54,5%) em relação ao feminino (n=10,
45,5%).
A média geral de Idade Cronológica (IC) foi de 9,9 meses (DP.=4,2m,
med=8,3m), com variação de 5,6m a 19,7 meses. Considerando a Idade Cronológica
Corrigida (ICC), a média geral de IC ficou em 8,0 meses (DP.=4,2m, med=6,3m),
com mínimo em 4m e máximo em 17m.
A Idade Gestacional teve média geral de 221,3 dias (DP=20,6dias,
med=223,5dias), o equivalente a 31 semanas e 5 dias, com extremos em 24
semanas e 5 dias e 36 semanas e 4 dias.
Quanto ao peso de nascimento, a média geral situou-se em 1.305,9 gramas
(DP=426,5g, med=1315g), variando de 640g a 2.895g. 86,4% (n=19) das crianças
tiveram peso ao nascer abaixo de 1.500g, o que as classifica como de alto risco
neurológico, segundo este critério (GAT, 2000).
Considerando os objetivos do presente trabalho, em relação à análise de
dados, tendo como referencial a classificação da prematuridade, os sujeitos do
133
estudo foram organizados em dois grupos, conforme descrito na Metodologia.
Rememorando, o que será referido como Grupo I é composto pelos lactentes com
história de Idade Gestacional (IG) menor que 37 semanas e maior que 32,
caracterizando Prematuridade. O Grupo II agrega as crianças com histórico de
Extrema Prematuridade, caracterizado pela IG menor ou igual a 32 semanas.
Tabela 1. Medidas descritivas de Idade Cronológica (IC) e Idade Cronológica Corrigida (ICC), em
meses, dos grupos de estudo.
Variável
Prematuros (n=11) Extremo-Prematuros
(n=11)
X Med DP
Mín.
Máx.
X Med DP Mín. Máx.
Idade Cronológica (IC), em
meses
10,3
9,1
4,7
5,6
19,0
9,6
7,9
3,9
6,6
19,7
Idade Cronológica Corrigida
(ICC), em meses
8,8
7,3
4,6
4,0
17,0
7,1
6,0
3,7
4,2
17,0
Tabela 2. Medidas descritivas de Peso de Nascimento, em gramas, dos grupos de estudo.
Prematuros (n=11) Extremo-Prematuros (n=11)
X Med DP Mín. Máx.
X Med DP Mín. Máx.
1.463,2
1.425
507,1
940
2.895
1.148,6
1.130
265,4
640
1.540
Tabela 3. Histórico Pré -Natal das crianças dos grupos de estudo.
Prematuros Extremo-
Prematuros
Classe n (%) n (%)
Período Pré-natal
Intercorrências
Sim
Não
8 (72,7)
3 (27,3)
7 (63,6)
4 (36,4)
Tipo de
Intercorrência
Hipertensão
Pré-Eclâmpsia
Sofrimento Fetal Crônico, com RCIU*
Neoplasia materna
Hipotireoidismo materno
Diabetes gestacional
Ameaça de aborto espontâneo
2 (25)
4 (50)
1 (12,5)
-
1(12,5)
-
-
1 (14,3)
2 (28,55)
-
1 (14,3)
-
1 (14,3)
2 (28,55)
Fumo Materno
Sim
Não
2 (18,2)
9 (81,8)
2 (20)
8 (80)
Planejamento da
Gravidez
Sim
Não
4 (36,4)
7 (63,6)
3 (30)
7 (70)
Criança desejada
Sim
Não
9 (81,8)
2 (18,2)
8 (80)
2 (20)
Assistência Pré-
Natal
Não realizou
Até 5 consultas
6 ou mais consultas
-
7 (63,6)
4 (36,4)
1 (10)
7 (70)
2 (20)
Idade Materna < 20 anos
20-30 anos
> 30 anos
2 (18,2)
7 (63,6)
2 (18,2)
1 (10)
7 (70)
2 (20)
Tabela 4. Histórico Peri -Natal das crianças dos grupos de estudo.
134
Prematuros Extremo-
Prematuros
Classe n (%) n (%)
Período Peri-Natal
Tipo de parto
Normal Horizontal
Normal de Cócoras
Cesáreo
3 (27,3)
-
8 (72,7)
5 (45,45)
1 (9,1)
5 (45,45)
Intercorrências Sim
Não
5 (45,5)
6 (54,5)
2 (18,2)
9 (81,8)
Tipo de Intercorrências Asfixia
Circular de cordão, SF
Eclampsia
Oligodrâmnio
Infecção
2 (40)
1(20)
1 (20)
1 (20)
-
1 (9,1)
-
-
-
1 (9,1)
< 3 a 1 min 1 (9,1) 1 (9,1) Índice de Apgar
< 7 a 5 min 1 (9,1) -
Necessidade de Ventilação
Mecânica
Sim
Não
2 (18,2)
9 (81,8)
5 (45,5)
6 (54,5)
Tabela 5. Histórico Pós -Natal das crianças dos grupos de estudo.
Prematuros Extremo-
Prematuros
Classe n (%) n (%)
Período Neonatal
Intercorrências Sim
Não
9 (81,8)
2 (18,2)
9 (81,8)
2(18,2)
Tipo de Intercorrências Sepse, meningite
SDR**
HPIV,I***
Apnéias
1 (11,1)
1(11,1)
6 (66,7)
1(11,1)
-
3 (33,3)
6 (66,7)
-
Amamentação Não
Até 3 meses
De 3 a 6 meses
Mais de 6 meses
2 (18,2)
2 (18,2)
5 (45,5)
2 (18,2)
3 (37,5)
-
4 (50)
1(12,5)
Cuidador principal Mãe
Avó
Outro
7 (63,6)
3 (27,3)
1 (9,1)
7 (63,6)
3 (27,3)
1 (9,1)
* RCIU: Retardo do Crescimento Intra-Uterino.
** SDR: Síndrome do Desconforto Respiratório.
*** Hemorragia Peri-Intra Ventricular, grau I.
3
8
3
8
0
1
2
3
4
5
6
7
8
Grupo I Grupo II
PIG
AIG
FIGURA 1 - Distribuição dos Grupos de Estudo quanto a relação entre Peso de Nascimento e Idade
Gestacional.
135
Em relação ao risco de alterações neurocomportamentais com base na
história neonatal das crianças, a Tabela 7 apresenta distribuição dos grupos de
estudo quanto ao escore do índice médico neonatal (Neonatal Medical Index - NMI)
associado à respectiva categoria.
Tabela 7. Distribuição dos grupos de estudos em referência ao risco neurocomportamental.
Variável Prematuros
(n=11)
Extremo-
Prematuros (n=11)
NMI / Categoria
n % n %
I / Baixo risco 2 18,2
1 9,1
II / Risco baixo-intermediário 2 18,2
2 18,2
III / Risco Intermediário 6 54,5
5 45,5
IV / Alto risco 0 0 2 18,2
V / Altíssimo risco 1 9,1 1 9,1
Total 11 100 11 100
Na Tabela abaixo são apresentados dados descritivos dos parâmetros
neuropsicomotores das crianças dos grupos de estudo.
Tabela 8. Análise descritiva e comparativa de Idades de Desenvolvimento (em meses) e Quocientes
de Desenvolvimento dos grupos de estudo.
Prematuros
N=11
Extremo Prematuros
n=11
Teste
Comparativo*
Medidas
X Med. d.p. Min. Max. X Med. d.p. Min. Max.
ICC
8,8 7,3 4,6 4,0 17,0 7,1 6,0 3,7 4,2 17,0 p=0,511
IDP
10,1 7,3 6,2 4,3 22,5 6,9 6,3 3,3 3,6 15,0 p=0,278
IDC
8,6 7,6 4,4 3,7 16,5 6,1 5,7 2,7 3,2 12,2 p=0,200
IDL
9,3 8,0 5,5 4,0 20,0 6,3 6,0 2,4 4,0 12,0 p=0,302
IDS
9,0 7,0 5,2 3,5 18,0 6,6 6,3 2,7 4,0 13,5 p=0,530
IDG
9,1 7,1 5,1 4,0 18,9 6,4 6,3 2,6 3,6 12,6 p=0,308
QDP
110,9
113,2
12,8
86,2
131,1
98,7
102,0
11,2
80,0
119,0
p=0,038**
QDC
97,9 98,1 8,8 84,0
115,5
88,2
89,5 12,8
71,1
111,7
p=0,061
QDL
102,7
106,5
13,8
68,9
116,5
93,2
90,0 19,0
70,5
142,8
p=0,045**
QDS
98,5 102,7
13,1
68,9
118,9
96,0
94,8 13,8
78,8
119,0
p=0,45
QDG
101,3
101,7
8,8 82,7
113,3
93,5
94,8 12,6
73,9
114,3
p=0,071
* Teste U de Mann-Whitney
136
Na figura abaixo, são apresentados gráficos por áreas do desenvolvimento
em relação à distribuição dos sujeitos do estudo quanto a sua classificação,
considerando-se o grau de prematuridade (Grupo I e II).
0
2
4
6
8
10
Freqüência
Grupo I Grupo II
Desenvolvimento Global
Muito Superior Superior Normal Alto
Normal Médio Normal Baixo Inferior
Muito Inferior
FIGURA 2 - Distribuição da Classificação do Perfil de Desenvolvimento nas áreas específicas, em
relação aos Grupos I e II (freqüências).
A Tabela 9 expõe a freqüência de crianças com diferentes categorizações no
NMI e a classificação do desenvolvimento global.
0
2
4
6
Freqüência
Grupo I Grupo II
Área Postural
Muito Superior Superior Normal Alto
Normal Médio Normal Baixo Inferior
Muito Inferior
0
2
4
6
Freqüência
Grupo I Grupo II
Área da Linguagem
Muito Superior Superior Normal Alto
Normal Médio Normal Baixo Inferior
Muito Inferior
0
2
4
6
8
Freqüência
Grupo I Grupo II
Área da Coordenação Óculo-Motriz
Muito Superior Superior Normal Alto
Normal Médio Normal Baixo Inferior
Muito Inferior
0
2
4
6
8
Freqüência
Grupo I Grupo II
Área Social
Muito Superior Superior Normal Alto
Normal Médio Normal Baixo Inferior
Muito Inferior
137
Tabela 9. Relação entre Classificação do Desenvolvimento Global e risco neurocomportamental
Escala de Desenvolvimento Global
NMI
Muito
Inferior
Inferior
Normal
Baixo
Normal
Médio
Normal
Alto
Superior Muito
Superior
I (n=3,
13,6%)
- - 1 2 - - -
II (n=4,
18,2%)
- - - 4 - -
III (n=11,
50%)
- - 2 7 1 1 -
IV (n=2,
9,1%)
- 1 - 1 - - -
V (n=2,
9,1%)
- 1 - 1 - - -
As considerações metodológicas durante este estudo piloto, incluiram:
A aceitação da equipe medica e de profissionais do ambulatório, auxiliando
nas coletas de dados em prontuários, e abrindo discussões para apresentar os
casos das crianças especificas.
A disponibilidade da instituição, em ceder uma sala, para a avaliação das
crianças.
O cumprimento de horários para que não houvesse atrasos nas consultas
medicas e rotinas do ambulatório.
Nenhuma criança recusou-se a participar da avaliação, apenas uma chorou
logo ao primeiro contato, sendo acalmada e avaliada na seqüência.
Livros Grátis
( http://www.livrosgratis.com.br )
Milhares de Livros para Download:
Baixar livros de Administração
Baixar livros de Agronomia
Baixar livros de Arquitetura
Baixar livros de Artes
Baixar livros de Astronomia
Baixar livros de Biologia Geral
Baixar livros de Ciência da Computação
Baixar livros de Ciência da Informação
Baixar livros de Ciência Política
Baixar livros de Ciências da Saúde
Baixar livros de Comunicação
Baixar livros do Conselho Nacional de Educação - CNE
Baixar livros de Defesa civil
Baixar livros de Direito
Baixar livros de Direitos humanos
Baixar livros de Economia
Baixar livros de Economia Doméstica
Baixar livros de Educação
Baixar livros de Educação - Trânsito
Baixar livros de Educação Física
Baixar livros de Engenharia Aeroespacial
Baixar livros de Farmácia
Baixar livros de Filosofia
Baixar livros de Física
Baixar livros de Geociências
Baixar livros de Geografia
Baixar livros de História
Baixar livros de Línguas
Baixar livros de Literatura
Baixar livros de Literatura de Cordel
Baixar livros de Literatura Infantil
Baixar livros de Matemática
Baixar livros de Medicina
Baixar livros de Medicina Veterinária
Baixar livros de Meio Ambiente
Baixar livros de Meteorologia
Baixar Monografias e TCC
Baixar livros Multidisciplinar
Baixar livros de Música
Baixar livros de Psicologia
Baixar livros de Química
Baixar livros de Saúde Coletiva
Baixar livros de Serviço Social
Baixar livros de Sociologia
Baixar livros de Teologia
Baixar livros de Trabalho
Baixar livros de Turismo