Download PDF
ads:
Maur
´
ıcio Pamplona Segundo
SEGMENTAC¸
˜
AO FACIAL E DETECC¸
˜
AO DE CARACTER
´
ISTICAS
FACIAIS EM IMAGENS DE PROFUNDIDADE
Curitiba - PR, Brasil
17 de novembro de 2007
ads:
Livros Grátis
http://www.livrosgratis.com.br
Milhares de livros grátis para download.
Maur
´
ıcio Pamplona Segundo
SEGMENTAC¸
˜
AO FACIAL E DETECC¸
˜
AO DE CARACTER
´
ISTICAS
FACIAIS EM IMAGENS DE PROFUNDIDADE
Dissertac¸
˜
ao apresentada para obtenc¸
˜
ao do Mestre em
Inform
´
atica pela Universidade Federal do Paran
´
a.
Orientador: Luciano Silva, Olga Bellon
Curitiba - PR, Brasil
17 de novembro de 2007
ads:
Agradecimentos
O autor gostaria de agradecer ao CNPq,
`
a FINEP e
`
a CAPES pelo suporte financeiro;
ao Dr. Jonathon Phillips e ao Dr. Patrick Flynn por permitirem o uso das bases FRGC v1.0
e v2.0; ao Dr. Lijum Yin e The Research Foundation of State University of New York por
permitirem o uso da base BU-3DFE; e
`
a Grazielle Vernize e ao Paulo Ferreira pela marcac¸
˜
ao
manual das caracter
´
ısticas faciais nas imagens das bases FRGC v1.0 e v2.0.
i
Sum
´
ario
Lista de Figuras . . . . ............. . . . . . . . . .. . . . . . . . . . .. . . . . . . . . . .. . . . . . . . . . .. . . p.iii
Lista de Tabelas .. . .. . . . . . . . . . .. . . . . . . . . .. . . . . . . . . . .. . . . . . . . . . .. . . . . . . . . .. . . . . p.vi
Resumo .. . . . . . . . . .. . . . . . . . . . .. . . . . . . . . .. . . . . . . . . . .. . . . . . . . . . .. . . . . . . . . .. . . . . . p.vii
Abstract .. . . . . . . . . . .. . . . . . . . . .. . . . . . . . . . .. . . . . . . . . . .. . . . . . . . . . .. . . . . . . . . .. . . . p.viii
1 Introduc¸
˜
ao.. . . . . . . . . . .. . . . . . . . . .. . . . . . . . . . .. . . . . . . . . . .. . . . . . . . . .. . . . . . . . . . p.7
2 Segmentac¸
˜
ao facial em imagens de profundidade .. . . . . . . . . .. . . . . . . . . .. . . . . . p.10
2.1 Localizac¸
˜
ao de regi
˜
oes homog
ˆ
eneas . . . . . . . . . . . . . . . . . . . . . . . . . . . . . . . . . . . . . . . p.11
2.2 Identificac¸
˜
ao de regi
˜
oes da face . . . . . . . . . . . . . . . . . . . . . . . . . . . . . . . . . . . . . . . . . . . p.13
3 Detecc¸
˜
ao de caracter
´
ısticas faciais . . .. . . . . . . . . .. . . . . . . . . . .. . . . . . . . . . .. . . . . . p.17
3.1 Classificac¸
˜
ao de curvatura de superf
´
ıcies . . . . . . . . . . . . . . . . . . . . . . . . . . . . . . . . . . . p.18
3.2 Detecc¸
˜
ao de caracter
´
ısticas . . . . . . . . . . . . . . . . . . . . . . . . . . . . . . . . . . . . . . . . . . . . . . . p.19
4 Resultados experimentais. .. . . . . . . . . . .. . . . . . . . . .. . . . . . . . . . .. . . . . . . . . . .. . . . . p.23
4.1 Resultados da segmentac¸
˜
ao . . . . . . . . . . . . . . . . . . . . . . . . . . . . . . . . . . . . . . . . . . . . . . p. 24
4.2 Resultados da detecc¸
˜
ao de caracter
´
ıstica. . . . . . . . . . . . . . . . . . . . . . . . . . . . . . . . . . . . p. 27
4.3 Normalizac¸
˜
ao facial. . . . . . . . . . . . . . . . . . . . . . . . . . . . . . . . . . . . . . . . . . . . . . . . . . . . . p.34
5 Conclus
˜
ao . . . . . .. . . . . . . . . . .. . . . . . . . . .. . . . . . . . . . .. . . . . . . . . . .. . . . . . . . . .. . . . . p.36
Refer
ˆ
encias Bibliogr
´
aficas .. . . . . . . . . .. . . . . . . . . . .. . . . . . . . . .. . . . . . . . . . .. . . . . . . . . p.38
ii
Lista de Figuras
Figura 2.1 Diagrama da nossa abordagem de segmentac¸
˜
ao. . . . . . . . . . . . . . . . . . . . . . . . . . 10
Figura 2.2 (a) Histograma de gradiente de todas as imagens da base FRGC v2.0. O ponto
de inflex
˜
ao representa o limiar global de gradiente; (b)-(c) histograma de valo-
res de resoluc¸
˜
ao de todas as imagens da base FRGC v2.0 utilizando o eixo y e
o eixo x, respectivamente. . . . . . . . . . . . . . . . . . . . . . . . . . . . . . . . . . . . . . . . . . . . . . 12
Figura 2.3 (a) Regi
˜
oes homog
ˆ
eneas ap
´
os a rotulac¸
˜
ao; (b)-(d) mapas de dist
ˆ
ancia destas
regi
˜
oes. . . . . . . . . . . . . . . . . . . . . . . . . . . . . . . . . . . . . . . . . . . . . . . . . . . . . . . . . . . . . . 14
Figura 2.4 Detecc¸
˜
ao de elipse atrav
´
es da combinac¸
˜
ao de regi
˜
oes homog
ˆ
eneas. . . . . . . . . 14
Figura 2.5 (a)-(c) Regi
˜
oes inclu
´
ıdas na elipse detectada utilizadas para localizar a face; e
(d) um exemplo de face dividida por causa do bigode. .. . . . . . . . . . . . . . . . . . . 16
Figura 3.1 Diagrama da nossa abordagem de detecc¸
˜
ao de caracter
´
ısticas faciais. . . . . . . 17
Figura 3.2 Exemplo da classificac¸
˜
ao de superf
´
ıcies aplicada em imagens de uma mesma
pessoa apresentando diferentes express
˜
oes: (a), (b) e (c) s
˜
ao os resultados da
segmentac¸
˜
ao; (d), (e) e (f) mostram a classificac¸
˜
ao de superf
´
ıcies das imagens
(a), (b) e (c), respectivamente. Regi
˜
oes em vermelho mostram picos na su-
perf
´
ıcie e regi
˜
oes em amarelo mostram poc¸os. .. . . . . . . . . . . . . . . . . . . . . . . . . . 18
Figura 3.3 Exemplo de detecc¸
˜
ao da coordenada y da ponta do nariz. .. . . . . . . . . . . . . . . . 20
Figura 3.4 Exemplo da detecc¸
˜
ao da coordenada y dos olhos, base do nariz e boca. . . . . . 20
iii
Figura 3.5 Exemplo da detecc¸
˜
ao da coordenada x da ponta do nariz. .. . . . . . . . . . . . . . . . 21
Figura 3.6 Exemplo da detecc¸
˜
ao dos cantos do nariz. . . . . . . . . . . . . . . . . . . . . . . . . . . . . . . . 22
Figura 3.7 Exemplo da detecc¸
˜
ao dos cantos dos olhos. . . . . . . . . . . . . . . . . . . . . . . . . . . . . . . 22
Figura 4.1 Segmentac¸
˜
oes incorretas causadas por (a)-(e) regi
˜
oes irrelevantes selecionadas
como face e (f) partes da face n
˜
ao selecionadas. . . . . . . . . . . . . . . . . . . . . . . . . . 24
Figura 4.2 Exemplos da segmentac¸
˜
ao facial utilizando a abordagem proposta em imagens
com diferentes dificuldades: (a)-(c) cabelo; (d)-(e) barba e bigode; e (f) ex-
press
˜
ao facial. . . . . . . . . . . . . . . . . . . . . . . . . . . . . . . . . . . . . . . . . . . . . . . . . . . . . . . . 25
Figura 4.3 Exemplo da segmentac¸
˜
ao facial atrav
´
es de uma t
´
ecnica padr
˜
ao [1]: (a) imagem
de intensidade, (b) mapa de profundidade, (c) imagem de intensidade ap
´
os
remoc¸
˜
ao do fundo, e (d) resultado da extrac¸
˜
ao facial. . . . . . . . . . . . . . . . . . . . . 26
Figura 4.4 Exemplos da segmentac¸
˜
ao facial obtidas pela t
´
ecnica padr
˜
ao de segmentac¸
˜
ao. 26
Figura 4.5 (a) Ilustrac¸
˜
ao da abordagem proposta por Mian (imagem retirada de [2]), e
(b)-(d) resultados obtidos por esta abordagem. . . . . . . . . . . . . . . . . . . . . . . . . . . 27
Figura 4.6 Comparac¸
˜
ao entre abordagens de segmentac¸
˜
ao utilizando (a) ICP+MSAC e (b)
SA+SIM. .. . . . . . . . . . . . . . . . . . . . . . . . . . . . . . . . . . . . . . . . . . . . . . . . . . . . . . . . . . . 28
Figura 4.7 Avaliac¸
˜
ao da detecc¸
˜
ao de caracter
´
ısticas: LDH para (a) ponta do nariz, (b)
cantos internos dos olhos e (c) cantos do nariz. . . . . . . . . . . . . . . . . . . . . . . . . . . 31
Figura 4.8 Resultados da nossa abordagem de detecc¸
˜
ao de caracter
´
ısticas faciais. . . . . . 32
iv
Figura 4.9 Exemplo das t
´
ecnicas para aprimorar o reconhecimento baseadas em carac-
ter
´
ısticas (imagens retiradas de [3]): (a)
´
area circular em torno do nariz, (b)
´
area el
´
ıptica em torno do nariz, (c) parte superior da face, e (d) abordagem
com setores priorizados. .. . . . . . . . . . . . . . . . . . . . . . . . . . . . . . . . . . . . . . . . . . . . . 32
Figura 4.10 Exemplo da aplicac¸
˜
ao da normalizac¸
˜
ao facial: (a) imagem original, (b) curva
de perfil identificada atrav
´
es do processo de normalizac¸
˜
ao, e (c) imagem nor-
malizada. .. . . . . . . . . . . . . . . . . . . . . . . . . . . . . . . . . . . . . . . . . . . . . . . . . . . . . . . . . . . 34
Figura 4.11 Taxas de verificac¸
˜
ao obtidas para as imagens antes e depois da normalizac¸
˜
ao. 35
v
Lista de Tabelas
Tabela 3.1 Classificac¸
˜
ao dos tipos de superf
´
ıcies baseada nos valores de curvatura Gaus-
siana e curvatura m
´
edia [4]. . . . . . . . . . . . . . . . . . . . . . . . . . . . . . . . . . . . . . . . . . . 19
Tabela 4.1 Resultados para a base FRGC v1.0: erro m
´
edio e desvio padr
˜
ao para a nossa
abordagem e tamb
´
em para [5, 6]; taxas de detecc¸
˜
ao com limiar de 10mm
(T10) para a nossa abordagem e para [6]; e taxas de detecc¸
˜
ao com limiar
de 15mm (T15) para a nossa abordagem. PN=ponta do nariz; OE=olho es-
querdo; OD=olho direito; NE=canto esquerdo do nariz; ND=canto direito
do nariz. . . . . . . . . . . . . . . . . . . . . . . . . . . . . . . . . . . . . . . . . . . . . . . . . . . . . . . . . . . . . 29
Tabela 4.2 Resultados para a base FRGC v2.0: erro m
´
edio e desvio padr
˜
ao para a nossa
abordagem; taxas de detecc¸
˜
ao com limiar de 10mm (T10) para a nossa abor-
dagem; e taxas de detecc¸
˜
ao com limiar de 15mm (T15) para a nossa abor-
dagem e para [7]. . . . . . . . . . . . . . . . . . . . . . . . . . . . . . . . . . . . . . . . . . . . . . . . . . . . . 29
Tabela 4.3 Resultados para a base BU-3DFE: erro m
´
edio, desvio padr
˜
ao, taxas de detecc¸
˜
ao
com limiar de 10mm (T10) e de 15mm (T15) para a nossa abordagem. . . . . 30
Tabela 4.4 Taxas de verificac¸
˜
ao sob variac¸
˜
ao de express
˜
oes faciais para a face inteira (F),
a
´
area circular em torno do nariz (C), a
´
area el
´
ıptica em torno do nariz (E), a
parte superior da face (U), e a combinac¸
˜
ao das regi
˜
oes r
´
ıgidas (C+E+U). . . 33
Tabela 4.5 Taxas de verificac¸
˜
ao sob variac¸
˜
oes de express
˜
oes faciais para as mesmas regi
˜
oes
F, C, E e U da Tabela 4.4, para a abordagem que prioriza os setores r
´
ıgidos (S)
e a combinac¸
˜
ao das t
´
ecnicas caseadas em caracter
´
ısticas faciais (C+E+U+S). 33
vi
Resumo
Neste trabalho apresentamos uma abordagem para segmentac¸
˜
ao facial e detecc¸
˜
ao de
caracter
´
ısticas faciais em imagens de profundidade. O nosso objetivo foi o desenvolvimento
de um processo autom
´
atico para ser inclu
´
ıdo em um sistema de reconhecimento facial uti-
lizando somente a informac¸
˜
ao de profundidade como entrada. Para isto, a nossa abordagem
de segmentac¸
˜
ao combina detecc¸
˜
ao de borda, agrupamento de regi
˜
oes e an
´
alise de forma para
extrair a regi
˜
ao da face; e a nossa abordagem para detecc¸
˜
ao de caracter
´
ısticas faciais combina
classificac¸
˜
ao de curvatura de superf
´
ıcies e curvas de relevo para encontrar pontos caracter
´
ısticos
no nariz e nos olhos. Os experimentos foram realizados utilizando as duas vers
˜
oes dispon
´
ıveis
da base Face Recognition Grand Challenge e a base BU-3DFE, buscando validar as nossas
abordagens e as suas vantagens para o reconhecimento facial. Apresentamos uma an
´
alise da
precis
˜
ao das abordagens propostas para a segmentac¸
˜
ao e detecc¸
˜
ao de caracter
´
ısticas, e com-
paramos os nossos resultados com outros trabalhos do estado-da-arte, publicados na literatura.
Al
´
em disso, realizamos uma avaliac¸
˜
ao da influ
ˆ
encia da segmentac¸
˜
ao no reconhecimento facial
e tamb
´
em da melhoria obtida quando as caracter
´
ısticas detectadas s
˜
ao aplicadas para auxiliar o
reconhecimento facial em imagens contendo express
˜
oes faciais.
Palavras-chave: Reconhecimento facial 3D, segmentac¸
˜
ao facial, detecc¸
˜
ao de caracter
´
ısticas
faciais, imagens de profundidade.
vii
Abstract
We present a methodology for face segmentation and facial landmark detection in
range images. Our goal was to develop an automatic process to be embedded in a face recog-
nition system using only depth information as input. To this end, our segmentation approach
combines edge detection, region clustering and shape analysis to extract the face region; and
our landmark detection approach combines surface curvature information and relief curves to
find the nose and eyes landmarks. The experiments were performed using the two available
versions of the Face Recognition Grand Challenge database and the BU-3DFE database, in or-
der to validate our proposed methodology and its advantages for 3D face recognition purposes.
We present an analysis regarding the accuracy of our segmentation and landmark detection ap-
proaches. Our results were better compared to state-of-the-art works published in the literature.
We also performed an evaluation regarding the influence of the segmentation process in our
3D face recognition system and analysed the improvements obtained when applying landmark-
based techniques to deal with facial expressions.
Keywords: 3D face recognition, face segmentation, facial landmark detection, range images.
viii
7
1 Introduc¸
˜
ao
Com o desenvolvimento das t
´
ecnicas de reconhecimento facial 3D, a segmentac¸
˜
ao fa-
cial e detecc¸
˜
ao de caracter
´
ısticas faciais se tornaram etapas de pr
´
e-processamento fundamen-
tais para o desenvolvimento de sistemas de reconhecimento completamente autom
´
aticos. Essa
necessidade foi observada j
´
a nos primeiros trabalhos focados no reconhecimento facial 3D,
baseados em diferentes estrat
´
egias (e.g. registro de imagens [8,9]; reconhecimento baseado em
apar
ˆ
encia [10–12]; e curvas de perfil [13,14]). Em todos estes trabalhos, a face foi considerada
um objeto r
´
ıgido, e a mesma dificuldade foi observada: reconhecer faces contendo variac¸
˜
oes de
forma. At
´
e mesmo pequenas variac¸
˜
oes entre duas imagens de uma mesma pessoa contendo a
express
˜
ao neutra causavam a diminuic¸
˜
ao das taxas de verificac¸
˜
ao. A detecc¸
˜
ao de caracter
´
ısticas
foi aplicada com sucesso em trabalhos mais recentes para lidar com este problema.
Chang et al. [15] prop
ˆ
os o uso de tr
ˆ
es diferentes regi
˜
oes em torno do nariz durante a
etapa de reconhecimento. Lu e Jain [16] propuseram a criac¸
˜
ao de modelos das deformac¸
˜
oes da
face causadas por express
˜
oes faciais. Bronstein et al. [17] prop
ˆ
os uma forma de representar a
face de forma invariante
`
a express
˜
oes facial. Outros trabalhos utilizaram ideias semelhantes para
aprimorar o reconhecimento facial [3,18,19]. Todas estas abordagens mencionadas utilizaram
caracter
´
ısticas faciais para atingir seus objetivos.
A classificac¸
˜
ao de curvatura de superf
´
ıcies [20] tem sido aplicada com sucesso para a
detecc¸
˜
ao de caracter
´
ısticas faciais [15,21,22]. Colbry et al. [23] aplicou esta t
´
ecnica combinada
com algumas heur
´
ısticas para localizar caracter
´
ısticas faciais em imagens de face contendo
diferentes poses. Entretanto, esta abordagem requer uma toler
ˆ
ancia alta a falta de precis
˜
ao para
obter boas taxas de localizac¸
˜
ao. Recentemente, Faltemier et al. [24] utilizou curvas de perfil de
diferentes vistas de uma imagem de entrada para encontrar a ponta do nariz em imagens n
˜
ao
frontais de faces. Esta abordagem apresentou taxas de localizac¸
˜
ao elevadas e tamb
´
em resultados
mais precisos que a abordagem anterior. Apesar disso, esta t
´
ecnica
´
e limitada
`
a detecc¸
˜
ao de uma
´
unica caracter
´
ıstica facial.
Para imagens frontais, Lu e Jain [5, 25] obtiveram bons resultados considerando pre-
8
cis
˜
ao e taxas de localizac¸
˜
ao atrav
´
es da combinac¸
˜
ao de classificac¸
˜
ao de curvatura de superf
´
ıcies,
curvas de relevo, modelos estat
´
ısticos da localizac¸
˜
ao das caracter
´
ısticas faciais e detecc¸
˜
ao de
cantos em imagens de intensidade. Nesta abordagem, foram necess
´
arios o uso de imagens
de intensidade e um est
´
agio de treino para a gerac¸
˜
ao do modelo estat
´
ıstico. Apesar da ima-
gem de intensidade ser facilmente adquirida, o seu uso envolve diversos problemas, entre eles
variac¸
˜
oes de iluminac¸
˜
ao, pose, escala, e a possibilidade de haverum alinhamento incorreto entre
as informac¸
˜
oes de profundidade e de intensidade [2].
Para realizar a detecc¸
˜
ao de caracter
´
ısticas faciais, cada imagem de profundidade pre-
cisa ser previamente segmentada buscando isolar a regi
˜
ao da face das outras partes da ima-
gem (i.e. cabelo, pescoc¸o, orelhas e roupas). Para imagens contendo apenas uma face, v
´
arias
t
´
ecnicas foram adotadas para a segmentac¸
˜
ao, por exemplo agrupamento de regi
˜
oes [12], mo-
delo de cor de pele [15], histograma de valores de profundidade [17], e at
´
e mesmo segmentac¸
˜
ao
manual [22]. Alguns destes m
´
etodos [12,15] utilizam a informac¸
˜
ao de intensidade para realizar
a segmentac¸
˜
ao, e est
˜
ao sujeitos aos mesmos problemas causdados pelas variac¸
˜
oes na imagem
de intensidade ou pelo desalinhamento entre as informac¸
˜
oes de profundidade e de intensidade
mencionados anteriormente [2].
Outros trabalhos podem detectar mais de uma face por imagem atrav
´
es da utilizac¸
˜
ao
de t
´
ecnicas de reconhecimento baseado em apar
ˆ
encia em projec¸
˜
oes 2D da imagem 3D [21] ou
na informac¸
˜
ao de intensidade dispon
´
ıvel [5]. Entretanto, estes m
´
etodos n
˜
ao extraem completa-
mente a regi
˜
ao da face. Em [21] somente a regi
˜
ao em torno do nariz e dos olhos
´
e extra
´
ıda, e
em [5] a segmentac¸
˜
ao exclui partes da testa e do queixo.
Neste trabalho apresentamos uma abordagem para segmentac¸
˜
ao facial e detecc¸
˜
ao de
caracter
´
ısticas faciais em imagens de profundidade. O nosso objetivo foi o desenvolvimento de
um processo autom
´
atico para ser inclu
´
ıdo em um sistema de reconhecimento facial utilizando
somente a informac¸
˜
ao de profundidade como entrada. Nossa primeira contribuic¸
˜
ao
´
e uma abor-
dagem de segmentac¸
˜
ao capaz de localizar e extrair faces frontais sem a necessidade de um
est
´
agio de treino. Para isto, a nossa abordagem combina detecc¸
˜
ao de borda, agrupamento de
regi
˜
oes e an
´
alise de forma. Esta abordagem foi mais precisa quando comparada com outras duas
abordagens de segmentac¸
˜
ao [2,5], considerando os resultados de verificac¸
˜
ao obtidos por uma
t
´
ecnica padr
˜
ao de reconhecimento facial [26] a pelo nosso pr
´
oprio sistema de reconhecimento
facial 3D. Nossa segunda contribuic¸
˜
ao
´
e uma abordagem para detecc¸
˜
ao de caracter
´
ısticas faci-
ais que combina classificac¸
˜
ao de curvatura de superf
´
ıcies e curvas de relevo. Esta abordagem
apresenta resultados equivalentes ou melhores quanto comparada com outros tr
ˆ
es trabalhos do
estado-da-arte, presentes na literatura [5–7, 25]. Os resultados da detecc¸
˜
ao de caracter
´
ısticas
9
foram aplicados com sucesso para aprimorar o desempenho do nosso sistema de reconheci-
mento facial 3D sob variac¸
˜
oes de express
˜
ao [3].
Em nossos experimentos foram utilizadas as duas vers
˜
oes da base Face Recognition
Grand Challenge
1
(FRGC) e a base BU-3DFE [27], totalizando 7450 imagens de faces frontais,
contendo um
´
unico indiv
´
ıduo por imagem. Estas bases foram utilizadas em nossos experimentos
por serem extensivamente utilizadas em pesquisas abordando an
´
alise facial 3D [2,3,15,19,28–
34].
O restante deste trabalho
´
e organizado da seguinte maneira: na Sec¸
˜
ao 2, introduzi-
mos nossa abordagem de segmentac¸
˜
ao facial; o m
´
etodo de detecc¸
˜
ao de caracter
´
ısticas faciais
´
e apresentado na Sec¸
˜
ao 3; resultados experimentais s
˜
ao discutidos na Sec¸
˜
ao 4, seguidos pelas
considerac¸
˜
oes finais na Sec¸
˜
ao 5.
1
Available at http://www.bee-biometrics.org
10
2 Segmentac¸
˜
ao facial em imagens de profundidade
Desenvolvemos uma abordagem de segmentac¸
˜
ao para extrair completamente a regi
˜
ao
da face de uma imagem de profundidade de entrada que obedec¸a as seguintes restric¸
˜
oes: (1)
a imagem n
˜
ao pode conter mais de uma face; (2) a face precisa estar entre as regi
˜
oes mais
pr
´
oximas do dispositivo de aquisic¸
˜
ao; (3) a face deve estar posicionada frontalmente; e (4)
oclus
˜
ao s
´
o
´
e permitida caso seja causada por partes do cabelo. Embora exista algumas restric¸
˜
oes
na imagem de entrada, diversas situac¸
˜
oes podem interferir no processo de segmentac¸
˜
ao, como
diferentes cortes de cabelo, ou a presenc¸a de acess
´
orios de vestu
´
ario e partes do corpo.
Figura 2.1: Diagrama da nossa abordagem de segmentac¸
˜
ao.
Para resolver este problema, n
´
os desenvolvemos um algoritmo que combina detecc¸
˜
ao
de bordas [35], agrupamento de regi
˜
oes [36] e an
´
alise de forma. O algoritmo de segmentac¸
˜
ao
possui duas etapas principais: (A) a localizac¸
˜
ao de regi
˜
oes homog
ˆ
eneas na imagem; e (B)
a identificac¸
˜
ao das regi
˜
oes homog
ˆ
eneas que pertencem
`
a face. Um diagrama da abordagem
proposta
´
e apresentado na Fig. 2.1. Detalhes de cada est
´
agio do processo de segmentac¸
˜
ao s
˜
ao
fornecidos nas subsec¸
˜
oes seguintes.
11
2.1 Localizac¸
˜
ao de regi
˜
oes homog
ˆ
eneas
Para localizar partes homog
ˆ
eneas, agrupamento de regi
˜
oes e detecc¸
˜
ao de bordas foram
aplicados na informac¸
˜
ao de profundidade da imagem de entrada. Considerando as bases de
dados utilizadas em nossos experimentos, observamos que as imagens raramente apresentam
informac¸
˜
ao de profundidade no fundo da imagem, e tamb
´
em que a face
´
e uma das regi
˜
oes mais
pr
´
oximas do dispositivo de aquisic¸
˜
ao.
Primeiro, o filtro da mediana 5×5
´
e aplicado duas vezes na imagem de entrada para re-
duzir o ru
´
ıdo. Em seguida, o algoritmo de agrupamento K-Means [37]
´
e aplicado na informac¸
˜
ao
de profundidade para divid
´
ı-la em duas regi
˜
oes (i.e. K = 2, mostradas em branco e cinza na
Fig. 2.1, sendo a regi
˜
ao em preto a
´
area sem informac¸
˜
ao de profundidade da imagem de en-
trada): a regi
˜
ao de interesse (ROI, Region Of Interest), composta de regi
˜
oes pr
´
oximas ao dis-
positivo de aquisic¸
˜
ao; e as demais regi
˜
oes que est
˜
ao muito afastadas do mesmo dispositivo e
eventualmente parte do fundo da imagem. Considerando que a face sempre est
´
a inclu
´
ıda na
regi
˜
ao com menor profundidade (i.e. ROI), a
´
area de busca pode ser reduzida, como mostrado
na Fig. 2.1.
Entretanto, o agrupamento de regi
˜
oes n
˜
ao
´
e suficiente para isolar corretamente a face
de outras regi
˜
oes como cabelo, pescoc¸o, roupas e acess
´
orios. A detecc¸
˜
ao de bordas
´
e ent
˜
ao
empregada para separar estas partes da regi
˜
ao da face ap
´
os a aplicac¸
˜
ao do K-Means.
Uma operac¸
˜
ao de limiarizac¸
˜
ao foi empregada para a detecc¸
˜
ao de bordas em uma ima-
gem de gradiente, que
´
e obtida atrav
´
es da aplicac¸
˜
ao do operador de Sobel [38] na informac¸
˜
ao de
profundidade de entrada. Um limiar global T
G
foi definido baseado no ponto de inflex
˜
ao do tre-
cho decrescente do histograma de gradiente obtido utilizando todas as imagens da base FRGC
v2.0 (i.e. o ponto de inflex
˜
ao representa uma mudanc¸a significativa na curva do histograma
de gradiente, e esta mudanc¸a foi considerada a mudanc¸a entre valores de gradiente de regi
˜
oes
homog
ˆ
eneas e n
˜
ao homog
ˆ
eneas). A Fig. 2.2(a) mostra o histograma de gradiente da base FRGC
v2.0. O ponto de inflex
˜
ao pode ser encontrado como um pico negativo na primeira derivada da
curva do histograma (ver Fig. 2.2(a)), como mostrado na seguinte equac¸
˜
ao:
T
G
= u if h
(u) < h
(v) v = u (2.1)
onde h
(x)
´
e a primeira derivada da curva do histograma (i.e. neste trabalho, T
G
= 7).
Imagens com alta resoluc¸
˜
ao apresentam valores de gradiente menores que imagens
com resoluc¸
˜
oes menores, e por este motivo o valor de T
G
precisa ser normalizado de acordo
12
(a)
(b) (c)
Figura 2.2: (a) Histograma de gradiente de todas as imagens da base FRGC v2.0. O ponto de
inflex
˜
ao representa o limiar global de gradiente; (b)-(c) histograma de valores de resoluc¸
˜
ao de
todas as imagens da base FRGC v2.0 utilizando o eixo y e o eixo x, respectivamente.
com a resoluc¸
˜
ao da imagem. O valor de resoluc¸
˜
ao r
F
para uma imagem F
´
e calculado como a
dist
ˆ
ancia m
´
edia no eixo y entre pontos vizinhos em uma mesma coluna da imagem (i.e. somente
o eixo y
´
e utilizado porque ambos os eixos x e y apresentam valores similares para uma mesma
imagem, como mostrado nas Figs. 2.2(b)-2.2(c)). Um valor de resoluc¸
˜
ao global r
G
´
e calculado
como a m
´
edia dos valores de resoluc¸
˜
ao de todas as imagens da base FRGC v2.0 (ver Fig. 2.2(b),
13
neste trabalho, r
G
= 0.6), e um limiar autom
´
atico T
F
´
e obtido para a imagem F atrav
´
es da
Eq. 2.2.
T
F
=
r
F
r
G
T
G
(2.2)
Um processo de fechamento [39] (i.e. duas dilatac¸
˜
oes 3× 3 seguidas de uma eros
˜
ao
3 × 3)
´
e executado para conectar algumas linhas desconectadas resultantes do processo de
limiarizac¸
˜
ao e o mapa de bordas final
´
e obtido. Ap
´
os isto, o mapa de bordas
´
e utilizado para
dividir a regi
˜
ao resultante da aplicac¸
˜
ao do K-Means combinando as duas imagens atrav
´
es de um
E l
´
ogico, como mostrado na Fig. 2.1. A imagem resultante cont
´
em as regi
˜
oes homog
ˆ
eneas da
imagem de entrada.
2.2 Identificac¸
˜
ao de regi
˜
oes da face
Neste est
´
agio, precisamos identificar quais regi
˜
oes homog
ˆ
eneas pertencem
`
a face. Es-
tas regi
˜
oes s
˜
ao ent
˜
ao submetidas a um processo de rotulac¸
˜
ao, e todas as regi
˜
oes com tamanho
inferior
`
a 0.5% do tamanho da imagem s
˜
ao descartadas. Este limiar, que foi definido empirica-
mente, deve ser grande o suficiente para eliminar regi
˜
oes indesej
´
aveis (e.g. partes do cabelo),
e pequeno o suficiente para nunca descartar uma regi
˜
ao relevante. A Fig. 2.3(a) mostra um
exemplo das regi
˜
oes homog
ˆ
eneas ap
´
os a rotulac¸
˜
ao.
Regi
˜
oes pertencentes
`
a face s
˜
ao encontradas na imagem rotulada atrav
´
es da busca por
uma elipse, por ser considerada a forma geom
´
etrica que mais se assemelha
`
a forma da face. Esta
busca
´
e realizada atrav
´
es da aplicac¸
˜
ao transformada de dist
ˆ
ancia [40] nas bordas das regi
˜
oes
rotuladas, mostradas na Fig. 2.3, seguida da selec¸
˜
ao da combinac¸
˜
ao de regi
˜
oes que apresenta a
forma mais parecida com uma elipse. Para avaliar a similaridade entre um conjunto de regi
˜
oes
e uma elipse n
´
os utilizamos o Alg. 1, onde a dist
ˆ
ancia entre as bordas, preenchimento da elipse
e vazamento da elipse s
˜
ao considerados, e elipses maiores s
˜
ao priorizadas. A Fig. 2.4 mostra
todas as combinac¸
˜
oes entre as regi
˜
oes da Fig. 2.3(a). A melhor elipse, de acordo com o Alg. 1,
foi encontrada na Fig. 2.4(g).
Ap
´
os a detecc¸
˜
ao de elipse segue a selec¸
˜
ao das regi
˜
oes rotuladas que pertencem
`
a face,
de acordo com o Alg. 2. No passo 2 do Alg. 2, regi
˜
oes pr
´
oximas ao centro da elipse s
˜
ao sele-
cionadas, evitando a selec¸
˜
ao de regi
˜
oes do pescoc¸o e do cabelo, que eventualmente aparecem
nas bordas da elipse. Entretanto, algumas vezes a face
´
e dividida em pequenas regi
˜
oes, e o
passo 2 n
˜
ao
´
e suficiente para selecionar todas estas partes. Os passos 4-7 foram desenvolvidos
14
(a) (b)
(c) (d)
Figura 2.3: (a) Regi
˜
oes homog
ˆ
eneas ap
´
os a rotulac¸
˜
ao; (b)-(d) mapas de dist
ˆ
ancia destas regi
˜
oes.
(a) (b) (c)
(d) (e) (f) (g)
Figura 2.4: Detecc¸
˜
ao de elipse atrav
´
es da combinac¸
˜
ao de regi
˜
oes homog
ˆ
eneas.
para selecionar as regi
˜
oes da face neste caso. O passo 7
´
e aplicado para selecionar a regi
˜
ao da
testa e tamb
´
em evitar a selec¸
˜
ao de partes do cabelo ou acess
´
orios que podem estar inclu
´
ıdas na
elipse.
15
Algorithm 1 Pseudo c
´
odigo para medir a similaridade entre regi
˜
oes homog
ˆ
eneas e elipses.
Entrada: Um conjunto de regi
˜
oes S = {r
1
, r
2
, . . . , r
N
}
Sa
´
ıda: Um valor de similaridade V
1: Criar um mapa de dist
ˆ
ancia D combinando os mapas de dist
ˆ
ancia de cada regi
˜
ao utilizando
a seguinte equac¸
˜
ao para cada pixel i da imagem: D
i
= min{D
r
1
i
, D
r
2
i
, . . . , D
r
N
i
}
2: Obter o ret
ˆ
angulo envolvente de S, e definir uma elipse com os valores de centro, altura e
largura deste ret
ˆ
angulo.
3: Considerando P o conjunto de pixels na borda da elipse, computar a dist
ˆ
ancia d =
pP
D
p
|P|
4: Computar a frac¸
˜
ao
α
dos pixels n
˜
ao inclu
´
ıdos em nenhuma regi
˜
ao que est
˜
ao dentro da elipse
para medir o preenchimento da elipse
5: Computar a frac¸
˜
ao
β
dos pixels das regi
˜
oes de entrada dentro do ret
ˆ
angulo envolvente e
fora da elipse para medir o vazamento da elipse
6: Computar a
´
area do ret
ˆ
angulo envolvente A
7: V =
αβ
d
A
Algorithm 2 Pseudo c
´
odigo para selec¸
˜
ao de regi
˜
oes da face.
Entrada: Um conjunto de regi
˜
oes rotuladas S = {r
1
, r
2
, . . . , r
N
} e uma elipse E
Sa
´
ıda: Um conjunto de regi
˜
oes da face F
1: Definir um c
´
ırculo C no centro da elipse com di
ˆ
ametro igual a dois terc¸os da largura da
elipse (ver Fig. 2.5(a))
2: Adicionar a F todas as regi
˜
oes em S com pelo menos um pixels dentro de C
3: Dividir a elipse em quatro partes: a parte superior E
T
; a parte inferior E
B
; a parte esquerda
E
L
; e a parte direita E
R
(ver Fig. 2.5(b))
4: Adicionar a F a regi
˜
ao em S com a maior quantidade de pixels dentro de E
B
5: Adicionar a F a regi
˜
ao em S com a maior quantidade de pixels dentro de E
L
6: Adicionar a F a regi
˜
ao em S com a maior quantidade de pixels dentro de E
R
7: Considerando r
i
S a regi
˜
ao com a maior quantidade de pixels dentro de E
T
, r
i
ser
´
a sele-
cionada se esta tamb
´
em for a regi
˜
ao com a maior quantidade de pixels na parte inferior de
E
T
(ver Fig. 2.5(c)), ou se tiver mais que o dobro da quantidade de pixels da regi
˜
ao mais
comum na parte inferior de E
T
16
(a) (b)
(c) (d)
Figura 2.5: (a)-(c) Regi
˜
oes inclu
´
ıdas na elipse detectada utilizadas para localizar a face; e (d)
um exemplo de face dividida por causa do bigode.
As regi
˜
oes selecionadas como face s
˜
ao representadas por uma imagem bin
´
aria que
indica a localizac¸
˜
ao da face na imagem de entrada. Esta imagem pode conter espac¸os entre as
regi
˜
oes, que s
˜
ao preenchidos atrav
´
es da ligac¸
˜
ao de pontos desconectados em uma mesma coluna
ou em uma mesma linha da imagem. Ap
´
os isto, realizamos um E l
´
ogico entre a imagem bin
´
aria
resultante e a imagem de profundidade de entrada para obter a segmentac¸
˜
ao final da regi
˜
ao da
face.
17
3 Detecc¸
˜
ao de caracter
´
ısticas faciais
A detecc¸
˜
ao de caracter
´
ısticas faciais
´
e uma etapa importante para otimizar algumas
tarefas relacionadas ao reconhecimento; por exemplo registro de faces, estimativa de pose, e
localizac¸
˜
ao de regi
˜
oes r
´
ıgidas da face [15].
Estamos interessados em um pequeno conjunto de caracter
´
ısticas faciais: ponta do
nariz e cantos do nariz e dos olhos. Estas caracter
´
ısticas foram escolhidas porque elas permitem
uma extrac¸
˜
ao precisa das regi
˜
oes r
´
ıgidas da face, como o nariz e a testa. Para localiz
´
a-las, n
´
os
combinamos curvas de relevo [24, 41] obtidas da informac¸
˜
ao de profundidade e tamb
´
em da
imagem resultante da classificac¸
˜
ao de curvatura de superf
´
ıcies [4,15]. Curvas de relevo [24,41]
s
˜
ao curvas extra
´
ıdas de imagens para representar alguma propriedade espec
´
ıfica da imagem (e.g.
o valor m
´
aximo de profundidade cada linha da imagem da face representa a linha de perfil da
face). Um diagrama da abordagem de detecc¸
˜
ao de caracter
´
ısticas
´
e apresentado na Fig. 3.1.
Figura 3.1: Diagrama da nossa abordagem de detecc¸
˜
ao de caracter
´
ısticas faciais.
18
3.1 Classificac¸
˜
ao de curvatura de superf
´
ıcies
Como mostrado por Chang et al. [42], atrav
´
es da an
´
alise da informac¸
˜
ao de curvatura de
superf
´
ıcies podemos observar que algumas regi
˜
oes da face (e.g. ponta do nariz e cantos internos
dos olhos) apresentam o mesmo tipo de curvatura em imagens de diferentes pessoas, e n
˜
ao s
˜
ao
afetadas por express
˜
oes faciais, como mostrado na Fig. 3.2.
(a) (b) (c)
(d) (e) (f)
Figura 3.2: Exemplo da classificac¸
˜
ao de superf
´
ıcies aplicada em imagens de uma mesma pessoa
apresentando diferentes express
˜
oes: (a), (b) e (c) s
˜
ao os resultados da segmentac¸
˜
ao; (d), (e) e
(f) mostram a classificac¸
˜
ao de superf
´
ıcies das imagens (a), (b) e (c), respectivamente. Regi
˜
oes
em vermelho mostram picos na superf
´
ıcie e regi
˜
oes em amarelo mostram poc¸os.
Para calcular o tipo de curvatura para cada ponto de uma imagem de face, uma su-
perf
´
ıcie local
´
e definida atrav
´
es de uma vizinhanc¸a N × N, assim como em [43] (i.e. N = 11).
Ent
˜
ao n
´
os aplicamos uma t
´
ecnica de m
´
ınimos quadrados para calcular os coeficientes de uma
aproximac¸
˜
ao biquadr
´
atica da superf
´
ıcie, e estimamos os valores de curvatura Gaussiana (K)
19
e de curvatura m
´
edia (H) utilizando as derivadas parciais da aproximac¸
˜
ao [4]. Uma vez que
os valores K e H tenham sido obtidos, podemos classificar a superf
´
ıcie local de acordo com a
Tabela 3.1 [4].
Tabela 3.1: Classificac¸
˜
ao dos tipos de superf
´
ıcies baseada nos valores de curvatura Gaussiana e
curvatura m
´
edia [4].
H < 0 H = 0 H > 0
K < 0 pico - poc¸o
K = 0 cume plano vale
K > 0 sela em cume m
´
ınimo sela em vale
Depois de classificar todos os pontos de uma imagem de entrada, dois tipos de su-
perf
´
ıcies s
˜
ao utilizados em nossa abordagem de localizac¸
˜
ao de caracter
´
ısticas faciais: picos e
poc¸os. Os cantos dos olhos apresentam superf
´
ıcies em forma de poc¸o, e a ponta do nariz apre-
senta superf
´
ıcies em forma de pico, como mostrado na Fig. 3.2. Os cantos do nariz podem
apresentar diferentes classificac¸
˜
oes sob diferentes express
˜
oes faciais, ent
˜
ao outras informac¸
˜
oes
extra
´
ıdas da face foram empregada para encontr
´
a-los.
3.2 Detecc¸
˜
ao de caracter
´
ısticas
A detecc¸
˜
ao de caracter
´
ısticas possui dois est
´
agios: primeiro n
´
os encontramos a coor-
denada y da ponta do nariz o dos olhos, a depois encontramos a coordenada x da ponta e cantos
do nariz e dos cantos internos dos olhos.
Para encontrar a coordenada y do nariz, duas projec¸
˜
oes da informac¸
˜
ao de profundidade
no eixo y [41] s
˜
ao geradas, chamadas curva de perfil e curva mediana. Para gerar estas curvas,
determinamos o valor de profundidade m
´
aximo (i.e. curva de perfil) e o valor mediano (i.e.
curva mediana) de cada conjunto de pontos na imagem de entrada com a mesma cordenada y.
Calculamos ent
˜
ao a diferenc¸a entre estas curvas e procuramos pela coordenada y com o maior
valor de diferenc¸a. Ent
˜
ao, assumimos que o pico local na curva de perfil mais pr
´
oximo desta
coordenada y corresponde
`
a localizac¸
˜
ao do nariz. A Fig. 3.3 mostra um exemplo de curva de
perfil e seus picos locais, de curva mediana e da diferenc¸a entre as curva de perfil e mediana.
A coordenada y com o valor m
´
aximo de diferenc¸a e pico local escolhido como ponta do nariz
tamb
´
em s
˜
ao mostrados na Fig. 3.3.
Em seguida, outra projec¸
˜
ao no eixo y
´
e gerada utilizando a imagem de curvatura para
localizar a coordenada y dos olhos. Para isto, calculamos a porcentagem de pontos classifica-
dos como pico em cada conjunto de pontos com a mesma coordenada y. Para uma face, esta
20
Figura 3.3: Exemplo de detecc¸
˜
ao da coordenada y da ponta do nariz.
projec¸
˜
ao apresenta tr
ˆ
es picos, representando os olhos, a base do nariz e a boca. Como a coor-
denada y da ponta do nariz j
´
a
´
e conhecida, podemos considerar o pico mais pr
´
oximo
`
a ponta
do nariz como sendo a coordenada y base do nariz, o pico superior como sendo a coordenada y
dos olhos, e o pico inferior a coordenada y da boca (ver Fig. 3.4).
Figura 3.4: Exemplo da detecc¸
˜
ao da coordenada y dos olhos, base do nariz e boca.
Uma vez que as coordenadas y da ponta do nariz e dos olhos sejam conhecidas, com-
21
putamos projec¸
˜
oes no eixo x para localizar as coordenadas x da ponta e cantos do nariz, e dos
cantos internos dos olhos. Para a ponta do nariz, a projec¸
˜
ao no eixo x
´
e obtida atrav
´
es do c
´
alculo
da porcentagem de pontos em uma mesma coluna considerando um conjunto de linhas vizinhas
`
a coordenada y da ponta do nariz. A coordenada x da ponta do nariz pode ser encontrada como
um pico nesta projec¸
˜
ao, como mostrado na Fig. 3.5.
Figura 3.5: Exemplo da detecc¸
˜
ao da coordenada x da ponta do nariz.
A partir da ponta do nariz, podemos encontrar os cantos do nariz como sendo os pontos
de m
´
axima variac¸
˜
ao na curva de perfil horizontal. Esta curva
´
e uma projec¸
˜
ao no eixo x que
representa um conjunto de pontos com a mesma coordenada y, neste caso, a coordenada y da
ponta do nariz. Para detectar os cantos do nariz, n
´
os calculamos a informac¸
˜
ao de gradiente desta
curva buscando identificar um pico em cada lado da ponta do nariz, como mostrado na Fig. 3.6.
Para encontrar as coordenadas x dos cantos dos olhos, n
´
os geramos uma projec¸
˜
ao da
imagem de curvatura no eixo x atrav
´
es do c
´
alculo da porcentagem de pontos classificados como
poc¸o para cada coluna de um conjunto de linhas vizinhas centralizadas na coordenada y dos
olhos. A coordenada x do canto do olho esquerdo est
´
a localizada no in
´
ıcio do primeiro pico
nesta projec¸
˜
ao, e a coordenada x do canto do olho direito est
´
a localizada no final do segundo
pico nesta mesma projec¸
˜
ao, como mostrado na Fig. 3.7.
22
Figura 3.6: Exemplo da detecc¸
˜
ao dos cantos do nariz.
Figura 3.7: Exemplo da detecc¸
˜
ao dos cantos dos olhos.
23
4 Resultados experimentais
Os experimentos apresentados nesta sec¸
˜
ao foram projetados para avaliar a precis
˜
ao das
nossas abordagens para segmentac¸
˜
ao facial e detecc¸
˜
ao de caracter
´
ısticas, a tamb
´
em para analisar
a influ
ˆ
encia das mesmas em um sistema de reconhecimento facial 3D. Tr
ˆ
es bases de dados
foram utilizadas nestes experimentos. A base FRGC vers
˜
oes 1.0 e 2.0, com um total de 4950
imagens de 557 indiv
´
ıduos, contendo variac¸
˜
oes de express
˜
oes faciais, resoluc¸
˜
ao, pose e outras
caracter
´
ısticas, como diferentes cortes de cabelo. As imagens possuem 640×480 pixels e foram
adquiridas pelo scanner laser Minolta Vivid 910; a e base BU-3DFE [27], com um total de
2500 imagens de 100 indiv
´
ıduos apresentando principalmente variac¸
˜
oes de express
˜
oes faciais.
Apenas malhas de tri
ˆ
angulos s
˜
ao disponibilizadas nos dados originais desta base, ent
˜
ao n
´
os
convertemos os modelos para imagens de profundidade frontalmente posicionadas utilizando
amostragem de pontos considerando uma resoluc¸
˜
ao de 0.6mm.
Todos os experimentos de reconhecimento foram realizados utilizando-se um m
´
etodo
padr
˜
ao de comparac¸
˜
ao baseado no algoritmo Iterative Closest Point (ICP) e tamb
´
em o nosso
sistema de reconhecimento facial 3D [3] baseado nas t
´
ecnicas Simulated Annealing (SA) e
Surface Interpenetration Measure (SIM). O ICP foi empregado em nossos experimentos porque
muitos trabalhos voltados para o reconhecimento na literatura s
˜
ao baseados nele. Em nossa
implementac¸
˜
ao, uma soluc¸
˜
ao inicial
´
e obtida atrav
´
es do alinhamento dos centros de massa das
duas imagens de face, ent
˜
ao um alinhamento grosseiro
´
e realizado com o ICP e 5% dos pontos
da imagem a ser reconhecida. A seguir, um alinhamento mais preciso
´
e obtido com o aumento
da porcentagem de pontos utilizada para 25%. O valor de similaridade final
´
e obtido atrav
´
es da
aplicac¸
˜
ao da medida robusta M-estimator Sample Consensus (MSAC) sobre o erro entre pontos
correspondentes na
´
area de sobreposic¸
˜
ao das imagens alinhadas. O limiar para o MSAC foi
definido em 3.0mm. Da mesma maneira, em nosso sistema de reconhecimento uma soluc¸
˜
ao
inicial
´
e obtida atrav
´
es do alinhamento dos centros de massa das duas imagens de face. Um
alinhamento grosseiro
´
e realizado utilizado uma busca com o SA para minimizar o MSAC, e
ent
˜
ao um alinhamento mais preciso
´
e obtido utilizando uma busca com o SA para maximizar o
valor da SIM [3].
24
4.1 Resultados da segmentac¸
˜
ao
A nossa abordagem de segmentac¸
˜
ao extraiu corretamente a regi
˜
ao da face em 99.3%
das imagens da base FRGC v1.0 (936 de 943), em 99.7% das imagens da base FRGC v2.0
(3993 de 4007) e em 96.1% das imagens da base BU-3DFE (2403 de 2500), como confirmado
por uma inspec¸
˜
ao visual dos resultados (i.e. faces contendo regi
˜
oes irrelevantes ou que n
˜
ao
foram extra
´
ıdas por completo foram consideradas segmentac¸
˜
oes incorretas). Os erros foram
causados principalmente por regi
˜
oes do pescoc¸o, cabelo ou acess
´
orios que n
˜
ao foram separados
da face pela etapa de detecc¸
˜
ao de bordas. Alguns exemplos s
˜
ao mostrados na Fig. 4.1. Nas
Figs. 4.1(a)-4.1(e), regi
˜
oes irrelevantes n
˜
ao foram separadas da face, e na Fig. 4.1(f), a regi
˜
ao
da testa n
˜
ao foi selecionada como face. O tempo m
´
edio para segmentar uma face
´
e de um
segundo em um Pentium D 3.4 GHz. A Fig. 4.2 mostra alguns exemplos da segmentac¸
˜
ao facial
utilizando a abordagem proposta.
(a) (b)
(c) (d)
(e) (f)
Figura 4.1: Segmentac¸
˜
oes incorretas causadas por (a)-(e) regi
˜
oes irrelevantes selecionadas
como face e (f) partes da face n
˜
ao selecionadas.
Para avaliar a influ
ˆ
encia dos resultados da segmentac¸
˜
ao em sistemas de reconheci-
25
(a) (b)
(c) (d)
(e) (f)
Figura 4.2: Exemplos da segmentac¸
˜
ao facial utilizando a abordagem proposta em imagens com
diferentes dificuldades: (a)-(c) cabelo; (d)-(e) barba e bigode; e (f) express
˜
ao facial.
mento facial 3D, n
´
os comparamos nossa abordagem com outras duas t
´
ecnicas de segmentac¸
˜
ao [2,
5]. A primeira
´
e uma t
´
ecnica de segmentac¸
˜
ao baseada na detecc¸
˜
ao da face atrav
´
es de um classi-
ficador em cascata desenvolvido por Viola e Jones [1], dispon
´
ıvel na biblioteca OpenCV
1
, que
usa a imagem de intensidade lozalizar a face. O fundo da imagem de intensidade foi removido
utilizando-se o mapa de profundidade, como proposto em [5], para reduzir a
´
area de busca e
o n
´
umero de detecc¸
˜
oes falsas. A regi
˜
ao da face corresponde ao conjunto de pontos localiza-
dos dentro do quadrado detectado, como mostrado na Fig. 4.3. Alguns exemplos do resultado
deste t
´
ecnica s
˜
ao mostrados na Fig. 4.4. A segunda abordagem foi proposta por Mian et al. [2],
e consiste em extrair uma regi
˜
ao esf
´
erica com um raio de 80mm em torno da ponta do nariz,
como mostrado na Fig. 4.5(a). Exemplos da segmentac¸
˜
ao final obtida por esta abordagem s
˜
ao
mostradas nas Figs. 4.5(b)-4.5(d).
Para esta comparac¸
˜
ao foram utilizadas 933 imagens da base FRGC v2.0 sem ru
´
ıdo
e com a express
˜
ao neutra, eliminando assim problemas causados por variac¸
˜
oes de express
˜
ao
1
Available at http://www.intel.com/technology/computing/opencv
26
(a) (b)
(c) (d)
Figura 4.3: Exemplo da segmentac¸
˜
ao facial atrav
´
es de uma t
´
ecnica padr
˜
ao [1]: (a) imagem de
intensidade, (b) mapa de profundidade, (c) imagem de intensidade ap
´
os remoc¸
˜
ao do fundo, e
(d) resultado da extrac¸
˜
ao facial.
Figura 4.4: Exemplos da segmentac¸
˜
ao facial obtidas pela t
´
ecnica padr
˜
ao de segmentac¸
˜
ao.
e de ru
´
ıdo. Com esta configurac¸
˜
ao, a face inteira
´
e relevante ao reconhecimento facial, e a
segmentac¸
˜
ao que maximizar a
´
area de face extra
´
ıda e minimizar a quantidade de regi
˜
oes irrele-
27
(a) (b)
(c) (d)
Figura 4.5: (a) Ilustrac¸
˜
ao da abordagem proposta por Mian (imagem retirada de [2]), e (b)-(d)
resultados obtidos por esta abordagem.
vantes apresentar
´
a as melhores taxas de verificac¸
˜
ao. Todas estas imagens neutras e sem ru
´
ıdo
foram ent
˜
ao segmentadas pelas tr
ˆ
es t
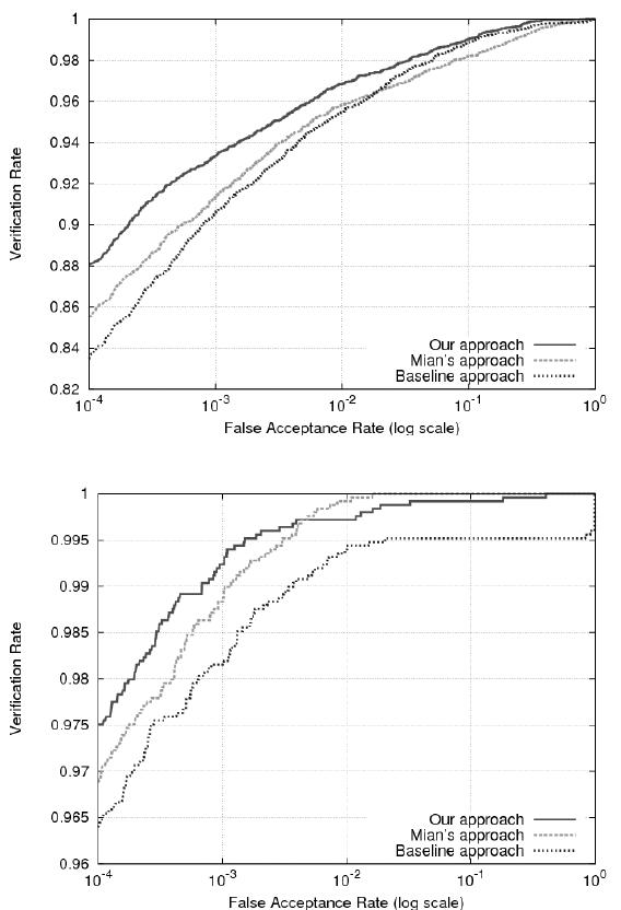
´
ecnicas consideradas. Detecc¸
˜
oes falsas na t
´
ecnica padr
˜
ao
foram eliminadas manualmente, e as posic¸
˜
oes da ponta do nariz utilizadas na abordagem de
Mian foram marcadas manualmente.
Em seguida, n
´
os calculamos o valor de similaridade para cada combinac¸
˜
ao de duas
imagens segmentadas por uma mesma abordagem (864578 combinac¸
˜
oes entre imagens de in-
div
´
ıduos diferentes e 4978 entre imagens do mesmo indiv
´
ıduo), e a Fig. 4.6 mostra as taxas de
verificac¸
˜
ao para as tr
ˆ
es abordagens. Como pode ser observado, a nossa abordagem apresentou
melhores taxas de verificac¸
˜
ao em comparac¸
˜
ao
`
as outras abordagens.
4.2 Resultados da detecc¸
˜
ao de caracter
´
ıstica
Ap
´
os a segmentac¸
˜
ao, as faces s
˜
ao submetidas
`
a nossa abordagem de detecc¸
˜
ao de car-
acter
´
ısticas sem nenhum ajuste (i.e. segmentac¸
˜
oes incorretas n
˜
ao s
˜
ao retificadas). As carac-
ter
´
ısticas faciais foram manualmente marcadas por duas pessoas diferentes para avaliar o erro
de localizac¸
˜
ao, e as posic¸
˜
oes de refer
ˆ
encia de cada caracter
´
ıstica foi definida como a m
´
edia das
28
(a)
(b)
Figura 4.6: Comparac¸
˜
ao entre abordagens de segmentac¸
˜
ao utilizando (a) ICP+MSAC e (b)
SA+SIM.
marcac¸
˜
oes manuais.
O erro de localizac¸
˜
ao foi estimado atrav
´
es da dist
ˆ
ancia Euclidiana entre a posic¸
˜
ao de
refer
ˆ
encia e a posic¸
˜
ao obtida pela nossa abordagem de detecc¸
˜
ao. Para mostrar a melhora em ter-
mos de precis
˜
ao, algumas estat
´
ısticas do erro de localizac¸
˜
ao s
˜
ao apresentadas nas Tabelas 4.1-
4.3, junto com resultados obtidos por Lu e Jain [5, 25], Romero-Huertas e Pears [7] e Yu e
Moon [6]. A base FRGC v2.0 foi utilizada nos experimentos apresentados em [7] e a base
29
FRGC v1.0 foi utilizada em [5,6]. O erro m
´
edio e o desvio padr
˜
ao foram obtidos considerando
o erro de localizac¸
˜
ao entre as posic¸
˜
oes de refer
ˆ
encia e os resultados da nossa abordagem au-
tom
´
atica de detecc¸
˜
ao. As taxas de detecc¸
˜
ao foram obtidas atrav
´
es do c
´
alculo da porcentagem
de caracter
´
ısticas detectadas com o erro de localizac¸
˜
ao menor que um limiar estipulado. Como
pode ser observado, a nossa abordagem a nossa abordagem apresenta valores baixos de erro
m
´
edio e desvio padr
˜
ao, e consequentemente a ponta do nariz e os cantos dos olhos foram de-
tectados corretamente em mais imagens que outras abordagens quando o limiar de toler
ˆ
ancia
´
e
baixo.
Tabela 4.1: Resultados para a base FRGC v1.0: erro m
´
edio e desvio padr
˜
ao para a nossa
abordagem e tamb
´
em para [5, 6]; taxas de detecc¸
˜
ao com limiar de 10mm (T10) para a nossa
abordagem e para [6]; e taxas de detecc¸
˜
ao com limiar de 15mm (T15) para a nossa abor-
dagem. PN=ponta do nariz; OE=olho esquerdo; OD=olho direito; NE=canto esquerdo do
nariz; ND=canto direito do nariz.
Caracter
´
ısticas PN OE OD NE ND
Erro m
´
edio (mm) 2.69 4.26 4.15 6.16 7.22
[5]-Erro m
´
edio (mm) 5.00 5.70 6.00 N.A. N.A.
[6]-Erro m
´
edio (mm) 2.18 5.59 4.74 N.A. N.A.
Desvio padr
˜
ao (mm) 2.14 3.51 3.13 3.09 2.76
[5]-Desvio padr
˜
ao (mm) 2.40 3.00 3.30 N.A. N.A.
[6]-Desvio padr
˜
ao (mm) 6.83 16.08 9.76 N.A. N.A.
T10 99.89 97.14 98.52 90.56 90.03
[6]-T10 99.50 98.50 98.50 N.A. N.A.
T15 99.89 99.47 99.68 99.79 99.47
Tabela 4.2: Resultados para a base FRGC v2.0: erro m
´
edio e desvio padr
˜
ao para a nossa abor-
dagem; taxas de detecc¸
˜
ao com limiar de 10mm (T10) para a nossa abordagem; e taxas de
detecc¸
˜
ao com limiar de 15mm (T15) para a nossa abordagem e para [7].
Caracter
´
ısticas PN OE OD NE ND
Erro m
´
edio (mm) 2.73 3.69 3.35 4.83 5.84
Desvio padr
˜
ao (mm) 1.39 2.26 2.33 2.03 1.73
T10 99.95 98.88 99.15 99.55 99.15
T15 99.95 99.65 99.63 99.95 99.95
[7]-T15 90.00 90.00 90.00 N.A. N.A.
Computamos o histograma de erro de localizac¸
˜
ao (LDH, Localization Displacement
Histogram) para cada caracter
´
ıstica utilizando as imagens da base FRGC v2.0. Os gr
´
aficos
de LDH para ponta do nariz, cantos internos dos olhos e cantos do nariz s
˜
ao mostrados na
Fig. 4.7. O tempo m
´
edio para localizar as caracter
´
ısticas faciais em uma face segmentada
´
e de
30
Tabela 4.3: Resultados para a base BU-3DFE: erro m
´
edio, desvio padr
˜
ao, taxas de detecc¸
˜
ao
com limiar de 10mm (T10) e de 15mm (T15) para a nossa abordagem.
Caracter
´
ısticas PN OE OD NE ND
Erro m
´
edio (mm) 1.87 6.33 6.33 6.66 6.49
Desvio padr
˜
ao (mm) 1.12 4.82 5.04 3.36 3.40
T10 99.88 84.32 82.40 83.56 83.56
T15 99.88 94.60 93.20 99.08 99.52
0.3 segundos em um Pentium D 3.4 GHz. Alguns resultados da detecc¸
˜
ao de caracter
´
ısticas s
˜
ao
mostrados na Fig. 4.8.
Ap
´
os detectadas, estas caracter
´
ısticas foram utilizadas para tornar sistemas de reco-
nhecimento facial 3D capazes de reconhecer imagens sob variac¸
˜
oes causadas por express
˜
oes
faciais. Para isto, realizamos a comparac¸
˜
ao entre todas as imagens neutras da base FRGC v2.0,
assim como todas as comparac¸
˜
oes entre imagens neutras e n
˜
ao-neutras. Este experimento repro-
duz um sistema de reconhecimento facial genu
´
ıno, onde faces n
˜
ao controladas s
˜
ao comparadas
com faces controladas (i.e. neutras e sem ru
´
ıdo) previamente adquiridas e armazenadas em uma
base.
Para aprimorar o reconhecimento, duas t
´
ecnicas diferentes baseadas em caracter
´
ısticas
faciais foram consideradas: a primeira extrai diferentes regi
˜
oes fa face que s
˜
ao menos afe-
tadas por variac¸
˜
oes causadas por express
˜
oes faciais (i.e. o nariz e a testa, mostrados nas
Figs. 4.9(a), 4.9(b) and 4.9(c)); e a segunda utiliza a face inteira, mas a face
´
e dividida em
nove setores e os setores contendo regi
˜
oes invariantes, destacadas na Fig. 4.9(d), s
˜
ao priorizadas
durante o processo de reconhecimento [3].
As faces foram comparadas utilizando diferentes regi
˜
oes: a face inteira, a regi
˜
ao do
nariz, a parte superior da face, e a face inteira com setores priorizados. Os resultados de reco-
nhecimento para o ICP e para o nosso sistema de reconhecimento s
˜
ao mostrados separadamente
nas Tabelas 4.4 e 4.5.
A Tabela 4.4 mostra as taxas de verificac¸
˜
ao para o sistema de reconhecimento baseado
em ICP, considerando uma taxa de falsa aceitac¸
˜
ao (FAR, False Acceptance Rate) de 10
3
, para
a face inteira, a
´
area circular em torno do nariz (ver Fig. 4.9(a)) [15], a
´
area el
´
ıptica em torno do
nariz(ver Fig. 4.9(b)) [15], a parte superior da face (Fig. 4.9(c)) [44], e a combinac¸
˜
ao das regi
˜
oes
r
´
ıgida pela regra da soma [45]. Para cada uma, diferentes taxas foram obtidas utilizando faces
com diferentes express
˜
oes: neutra (NEU), feliz (HAP), boca aberta (OPM), franzida (FRO),
nojo (DIS), surpresa (SUR), triste (SAD), bochechas infladas (PUF) e outras (OTH). Algumas
destas express
˜
oes possuem n
´
ıvel baixo ou alto de intensidade, denominados 1 e 2, respectiva-
31
(a)
(b) (c)
Figura 4.7: Avaliac¸
˜
ao da detecc¸
˜
ao de caracter
´
ısticas: LDH para (a) ponta do nariz, (b) cantos
internos dos olhos e (c) cantos do nariz.
mente. As taxas de verificac¸
˜
ao obtidas quando a face inteira
´
e utilizada s
˜
ao afetadas pelas ex-
press
˜
oes faciais, e as t
´
ecnicas baseadas em caracter
´
ısticas faciais apresentaram diferentes com-
portamentos de acordo com as variac¸
˜
ao apresentadas na face. As regi
˜
oes circulares e el
´
ıpticas
em torno nariz s
˜
ao afetadas por express
˜
oes que causam variac¸
˜
oes pr
´
oximas a regi
˜
ao do nariz
(e.g. nojo e bochechas infladas), e a parte superior da face apresenta problemas com express
˜
oes
que causam variac¸
˜
oes nas regi
˜
oes do nariz e da testa (e.g. franzida, nojo e triste). A combinac¸
˜
ao
das regi
˜
oes r
´
ıgidas apresentou melhores resultadas do que a utilizac¸
˜
ao de uma
´
unica regi
˜
ao em
mais da metade das express
˜
oes analisadas, e tamb
´
em uma maior estabilidade para diferentes
express
˜
oes.
32
Figura 4.8: Resultados da nossa abordagem de detecc¸
˜
ao de caracter
´
ısticas faciais.
(a) (b) (c) (d)
Figura 4.9: Exemplo das t
´
ecnicas para aprimorar o reconhecimento baseadas em caracter
´
ısticas
(imagens retiradas de [3]): (a)
´
area circular em torno do nariz, (b)
´
area el
´
ıptica em torno do
nariz, (c) parte superior da face, e (d) abordagem com setores priorizados.
A Tabela 4.5 mostra as taxas de verificac¸
˜
ao para nosso sistema de reconhecimento
facial, considerando FAR de 10
3
, para a face inteira, a
´
area circular em torno do nariz, a
´
area el
´
ıptica em torno do nariz, a parte superior da face, a abordagem que prioriza os setores
r
´
ıgidos (Fig. 4.9(d)) [3] e a combinac¸
˜
ao das t
´
ecnicas baseadas em caracter
´
ısticas faciais pela
regra da soma [45]. O nosso sistema de reconhecimento apresenta um desempenho melhor se
comparado ao sistema baseado em ICP, e a combinac¸
˜
ao das t
´
ecnicas baseadas em caracter
´
ısticas
faciais obteve as melhores taxas de verificac¸
˜
ao em quase todas as express
˜
oes analisadas.
Nossos resultados experimentais mostram um crescimento expressivo nas taxas de
verificac¸
˜
ao quando t
´
ecnicas baseadas em caracter
´
ısticas faciais s
˜
ao aplicadas no reconhecimento
facial. Comparando com os resultados obtidos para a face inteira, utilizando o ICP obtivemos
taxas at
´
e 46% maiores para express
˜
oes intensas (i.e. SUR 2), 36% maiores para express
˜
oes
moderadas (i.e. SUR 1) e 5% maior para a express
˜
ao neutra. Utilizando o nosso sistema de
33
Tabela 4.4: Taxas de verificac¸
˜
ao sob variac¸
˜
ao de express
˜
oes faciais para a face inteira (F), a
´
area
circular em torno do nariz (C), a
´
area el
´
ıptica em torno do nariz (E), a parte superior da face
(U), e a combinac¸
˜
ao das regi
˜
oes r
´
ıgidas (C+E+U).
M
´
etodo F C E U C+E+U
NEU 93.33 97.95 98.35 93.27 98.19
HAP 1 66.94 73.31 83.28 70.89 82.40
HAP 2 23.44 37.30 48.85 32.87 48.28
OPM 1 72.96 91.48 92.59 86.30 95.19
OPM 2 66.58 81.46 91.33 81.46 92.01
FRO 1 74.22 85.16 88.28 84.38 90.63
FRO 2 59.04 78.19 74.47 64.36 84.04
DIS 1 87.21 97.67 97.67 90.70 98.84
DIS 2 42.07 23.17 43.90 37.80 37.20
SUR 1 57.43 89.11 93.32 73.76 93.81
SUR 2 42.53 80.84 80.40 77.68 88.84
SAD 1 75.11 94.05 87.67 82.16 93.61
SAD 2 57.95 79.55 70.83 63.64 78.41
PUF 33.94 42.87 32.58 52.49 53.39
OTH 63.92 72.15 83.86 72.15 83.84
Tabela 4.5: Taxas de verificac¸
˜
ao sob variac¸
˜
oes de express
˜
oes faciais para as mesmas regi
˜
oes F,
C, E e U da Tabela 4.4, para a abordagem que prioriza os setores r
´
ıgidos (S) e a combinac¸
˜
ao das
t
´
ecnicas caseadas em caracter
´
ısticas faciais (C+E+U+S).
M
´
etodo F C E U S C+E+U+S
NEU 99.40 99.36 99.52 99.32 99.12 99.96
HAP 1 92.52 94.43 95.31 92.08 90.00 98.53
HAP 2 76.89 85.25 89.51 75.41 75.74 94.10
OPM 1 99.26 96.30 96.30 99.26 97.04 97.04
OPM 2 94.73 96.94 99.15 94.05 91.50 99.66
FRO 1 95.31 93.75 92.19 92.19 87.50 100.0
FRO 2 92.02 86.70 87.23 90.96 93.09 90.96
DIS 1 100.0 100.0 97.67 100.0 97.67 100.0
DIS 2 76.83 43.90 57.32 73.17 79.27 74.39
SUR 1 93.07 97.52 99.51 94.55 90.59 100.0
SUR 2 88.23 96.67 97.72 91.21 87.17 98.95
SAD 1 93.39 99.12 100.0 95.15 92.07 100.0
SAD 2 86.36 93.94 94.70 84.10 87.12 96.97
PUF 87.33 88.69 91.40 91.63 86.20 97.51
OTH 88.61 94.94 93.04 90.51 89.87 99.37
reconhecimento, obtivemos taxas at
´
e 18% maiores para express
˜
oes intensas (i.e. HAP 2) e 10%
maiores para express
˜
oes moderadas (i.e. PUF).
34
4.3 Normalizac¸
˜
ao facial
Um
´
ultimo experimento foi realizado acrescentando-se uma etapa de normalizac¸
˜
ao da
pose antes da etapa de reconhecimento para acelerar a converg
ˆ
encia dos m
´
etodos de registro.
Para isto, uma c
´
opia da imagem original invertida no eixo x
´
e criada. Depois esta c
´
opia
´
e
alinhada com sua vers
˜
ao original, e a transformac¸
˜
ao obtida pode ser utilizada para normalizar
a imagem original, uma vez que a metade da transformac¸
˜
ao encontrada (i.e. os valores de
translac¸
˜
ao e rotac¸
˜
ao encontrados s
˜
ao divididos por 2) alinha o plano de simetria da face (i.e.
plano que divide a face exatamente ao meio) com o plano yz do sistema de coordenadas, como
mostrado na Fig. 4.10. Ap
´
os o alinhamento entre as imagens original e invertida, os pontos na
imagem invertida que forem seus pr
´
oprios pontos correspondentes na imagem original formam
a linha de perfil da face, como pode ser visto na Fig. 4.10(b), e o plano formado pelos pontos
nessa linha corresponde ao plano de simetria da face. Com este procedimento, a face estar
´
a
normalizada para translac¸
˜
ao no eixo x e rotac¸
˜
ao nos eixos y e z, restando apenas encontrar
durante o registro para o reconhecimento os melhores valores para translac¸
˜
ao nos eixos y e z e
rotac¸
˜
ao no eixo x.
(a) (b) (c)
Figura 4.10: Exemplo da aplicac¸
˜
ao da normalizac¸
˜
ao facial: (a) imagem original, (b) curva de
perfil identificada atrav
´
es do processo de normalizac¸
˜
ao, e (c) imagem normalizada.
O nosso sistema de reconhecimento facial foi aplicado em um subconjunto das imagens
neutras e sem ru
´
ıdo da base FRGC v2.0 (310 imagens de 62 indiv
´
ıduos) utilizando a imagem
original e depois a sua vers
˜
ao normalizada, com o objetivo de avaliar a diferenc¸a de desempenho
obtida. Como resultado, o sistema obteve taxas de verificac¸
˜
ao ligeiramente superiores (i.e.
aumento de 0.5% considerando FAR de 10
4
e de 0.2% considerando FAR de 10
3
, como
35
mostrado na Fig. 4.11) e o tempo de execuc¸
˜
ao foi reduzido em 40% na m
´
edia, sem que nenhuma
alterac¸
˜
ao fosse realizada no sistema de reconhecimento. Isso foi poss
´
ıvel grac¸as
`
a reduc¸
˜
ao do
espac¸o de busca proporcionada pela normalizac¸
˜
ao das imagens de entrada.
Figura 4.11: Taxas de verificac¸
˜
ao obtidas para as imagens antes e depois da normalizac¸
˜
ao.
36
5 Conclus
˜
ao
N
´
os apresentamos t
´
ecnicas autom
´
aticas para a segmentac¸
˜
ao facial e a detecc¸
˜
ao de car-
acter
´
ısticas faciais em imagens de profundidade frontalmente posicionadas utilizando somente
a informac¸
˜
ao de profundidade como entrada. Nossa abordagem de segmentac¸
˜
ao extrai com-
pletamente a face combinando detecc¸
˜
ao de bordas, agrupamento de regi
˜
oes e an
´
alise de forma.
Nossa abordagem de detecc¸
˜
ao de caracter
´
ısticas utiliza classificac¸
˜
ao de curvatura de superf
´
ıcies
e curvas de relevo das faces segmentadas para detectar a ponta e os cantos do nariz e os cantos
internos dos olhos.
A face foi extra
´
ıda corretamente pela nossa abordagem em 99.3%, 99.7% e 96.1% das
imagens das bases FRGC v1.0, FRGC v2.0 e BU-3DFE, respectivamente. Houve um aumento
das taxas de verificac¸
˜
ao em um sistema de reconhecimento baseado em ICP de 2% considerando
FAR de 10
3
em comparac¸
˜
ao com duas outras abordagens de segmentac¸
˜
ao [2,5], e um aumento
das taxas de verificac¸
˜
ao de 0.4% considerando FAR de 10
3
quando o nosso sistema de reco-
nhecimento
´
e utilizado.
As caracter
´
ısticas faciais foram corretamente encontradas em 99% das imagens das
bases FRGC v1.0 e v2.0, e tamb
´
em 99% das caracter
´
ısticas do nariz e 93% dos cantos dos
olhos quando a base BU-3DFE foi utilizada. A ponta do nariz foi a caracter
´
ıstica facial mais
precisa, apresentando os menores valores de erro m
´
edio e desvio padr
˜
ao para todas as bases.
A nossa abordagem de detecc¸
˜
ao de caracter
´
ısticas obteve desempenho equivalente ou melhor
quando comparada com tr
ˆ
es outras abordagens [5–7], e mostrou-se robusta a express
˜
oes faci-
ais, como pode ser observado nos experimentos utilizando as bases FRGC v2.0 e BU-3DFE. As
caracter
´
ısticas detectadas foram empregadas para extrair tr
ˆ
es diferentes regi
˜
oes contendo partes
r
´
ıgidas da face. Estas regi
˜
oes foram empregadas em um experimento de reconhecimento facial
com o objetivo de avaliar a melhoria obtida nas taxas de verificac¸
˜
ao quando imagens com ex-
press
˜
oes faciais s
˜
ao utilizadas no reconhecimento. Taxas de verificac¸
˜
ao at
´
e 46% maiores foram
obtidas para faces com express
˜
oes intensas, 36% maiores para faces com express
˜
ao moderada
e 5% maior para faces neutras.
37
Finalmente, nossos resultados mostram os benef
´
ıcios obtidos por ambas as aborda-
gens de segmentac¸
˜
ao e detecc¸
˜
ao de caracter
´
ısticas em um sistema de reconhecimento facial,
e o quanto as taxas de verificac¸
˜
ao podem ser melhoradas. As abordagens apresentadas foram
inclu
´
ıdas em nosso sistema de reconhecimento facial 3D [3] baseado na combinac¸
˜
ao SA+SIM,
e n
´
os obtivemos uma taxa de verificac¸
˜
ao de 99.9% considerando FAR 0 para faces neutras, e
96.5% considerando FAR de 10
3
quando todas as imagens da base FRGV v2.0 s
˜
ao compara-
das duas a duas (i.e. incluindo comparac¸
˜
oes entre duas imagens n
˜
ao neutras). Estes resultados
obtidos de forma completamente autom
´
atica pelo nosso sistema de reconhecimento facial 3D
(i.e. segmentac¸
˜
ao, detecc¸
˜
ao de caracter
´
ısticas e comparac¸
˜
ao) est
˜
ao entre os melhores resul-
tados obtidos na literatura [3, 30], e mostram a import
ˆ
ancia do aprimoramento das etapas de
pr
´
e-processamento para o reconhecimento.
Como trabalho futuro, pretendemos extender o m
´
etodo para imagens de baixa quali-
dade, obtidas atrav
´
es de dispositivos de aquisic¸
˜
ao mais acess
´
ıveis (e.g. vis
˜
ao est
´
ereo, luz es-
truturada), adaptando ou substituindo as etapas que dependem de uma informac¸
˜
ao de profun-
didade de boa qualidade. O conjunto de caracter
´
ısticas a serem detectadas pode ser ampliado,
com o objetivo de utilizar estas caracter
´
ıticas para outras aplicac¸
˜
oes, como o reconhecimento
de express
˜
oes faciais. No reconhecimento, podemos avaliar a combinac¸
˜
ao das abordagens j
´
a
desenvolvidas com outras abordagens presentes na literatura, como a criac¸
˜
ao de modelos das
deformac¸
˜
oes causadas por express
˜
oes faciais ou a representac¸
˜
ao da face de uma maneira invari-
ante
`
a express
˜
oes faciais.
38
Refer
ˆ
encias Bibliogr
´
aficas
[1] P. Viola and M. J. Jones, “Robust real-time face detection,International Journal of Com-
puter Vision, vol. 57, no. 2, pp. 137–154, 2004.
[2] A. Mian, M. Bennamoun, and R. Owens, “An efficient multimodal 2d-3d hybrid approach
to automatic face recognition, IEEE Transactions on Pattern Analysis and Machine In-
telligence, vol. 29, no. 11, pp. 1927–1943, 2007.
[3] C. C. Queirolo, L. Silva, O. R. P. Bellon, and M. Pamplona Segundo, “3D face recognition
using simulated annealing and the surface interpenetration measure, IEEE Transactions
on Pattern Analysis and Machine Intelligence, vol. 32, no. 2, pp. 206–219, 2010.
[4] P. J. Besl, “Surface in range images understanding. Springer-Verlag, 1988.
[5] X. Lu and A. K. Jain, “Multimodal facial feature extraction for automatic 3d face recog-
nition,” Department of Computer Science, Michigan State University, Tech. Rep., 2005.
[6] T.-H. Yu and Y.-S. Moon, A novel genetic algorithm for 3d facial landmark localization,
in Proc. of the 2nd IEEE International Conference on Biometrics: Theory, Applications
and Systems, 2008, pp. 1–6.
[7] M. Romero-Huertas and N. Pears, “3d facial landmark localisation by matching simple
descriptors, in Proc. of the 2nd IEEE International Conference on Biometrics: Theory,
Applications and Systems, 2008, pp. 1–6.
[8] O. R. P. Bellon, L. Silva, and C. C. Queirolo, “3D face matching using the surface inter-
penetration measure, in Lecture Notes in Computer Science. Springer-Verlag, 2005, vol.
3617, pp. 1051–1058.
[9] X. Lu, A. K. Jain, and D. Colbry, “Matching 2.5D face scans to 3D models,IEEE Trans-
actions on Pattern Analysis and Machine Intelligence, vol. 28, no. 1, pp. 31–43, 2006.
[10] K. I. Chang, K. W. Bowyer, and P. J. Flynn, “Effects on facial expression in 3D face
recognition, in Proc. of the SPIE - Biometric Technology for Human Identification, vol.
5779, 2005, pp. 132–143.
[11] C. Hesher, A. Srivastava, and G. Erlebacher, “Principal component analysis of range im-
ages for facial recognition,” in Proc. of the International Conference on Imaging Science,
Systems and Technology, 2002.
[12] F. Tsalakanidou, S. Malassiotis, and M. G. Strintzis, “Face localization and authentica-
tion using color and depth images, IEEE Transactions on Pattern Analysis and Machine
Intelligence, vol. 14, no. 2, pp. 152–168, 2005.
39
[13] J. Y. Cartoux, J. T. Lapreste, and M. Richetin, “Face authentication or recognition by
profile extraction from range images, in Proc. of the IEEE Computer Society Workshop
on Interpretation of 3D Scenes, 1989, pp. 194–199.
[14] G. Pan, Y. Wu, and Z. Wu, “Investigating profile extracted from range data for 3d face
recognition,” in Proc. of the IEEE International Conference on Systems, Man and Cyber-
netics, 2003, pp. 1396–1399.
[15] K. I. Chang, K. W. Bowyer, and P. J. Flynn, “Multiple nose region matching for 3d face
recognition under varying facial expression, IEEE Transactions on Pattern Analysis and
Machine Intelligence, vol. 28, no. 10, pp. 1695–1700, 2006.
[16] X. Lu and A. K. Jain, “Deformation modeling for robust 3d face matching,” in Proc. of the
IEEE Computer Society Conference on Computer Vision and Pattern Recognition, vol. 2,
2006, pp. 1377–1383.
[17] A. M. Bronstein, M. M. Bronstein, and R. Kimmel, “Three-Dimensional face recognition,
International Journal of Computer Vision, vol. 64, no. 1, pp. 5–30, 2005.
[18] S. Berreti, A. Del Bimbo, P. Pala, and F. J. S. Mata, “Geodesic distances for 3D-3D and
2D-3D face recognition, in Proc. of the IEEE International Conference on Multimedia
and Expo, 2007, pp. 1515–1518.
[19] I. Kakadiaris, G. Passalis, G. Toderici, M. Murtuza, Y. Lu, N. Karampatziakis, and
T. Theoharis, “Three-dimensional face recognition in the presence of facial expressions:
An annotated deformable model approach, IEEE Transactions on Pattern Analysis and
Machine Intelligence, vol. 29, no. 4, pp. 640–649, 2007.
[20] P. J. Besl and R. Jain, “Segmentation through variable-order surface fitting,IEEE Trans-
actions on Pattern Analysis and Machine Intelligence, vol. 10, pp. 167–192, 1988.
[21] A. Colombo, C. Cusano, and R. Schettini, “3d face detection using curvature analysis,
Pattern Recognition, vol. 39, no. 3, pp. 444–455, 2006.
[22] A. B. Moreno, A. S
´
anchez, J. F. V
´
elez, and F. J. D
´
ıaz, “Face recognition using 3d surface-
extracted descriptor,” in Proc. of the Irish Machine Vision and Image Processing, 2003.
[23] D. Colbry, G. Stockman, and A. K. Jain, “Detection of anchor points for 3d face verica-
tion,” in Proc. of the IEEE Computer Society Conference on Computer Vision and Pattern
Recognition - Workshops, 2005, p. 118.
[24] T. Faltemier, K. W. Bowyer, and P. J. Flynn, “Rotated profile signatures for robust 3d
feature detection, in Proc. of the 8th IEEE International Conference on Automatic Face
and Gesture Recognition, 2008, pp. 1–7.
[25] X. Lu and A. K. Jain, Automatic feature extraction for multiview 3d face recognition,” in
Proceedings of the 7th International Conference on Automatic Face and Gesture Recog-
nition, 2006, pp. 585–590.
[26] P. J. Besl and H. D. Mckay, “A method for registration of 3-d shapes,IEEE Transactions
on Pattern Analysis and Machine Intelligence, vol. 14, no. 2, pp. 239–256, 1992.
40
[27] L. Yin, X. Wei, Y. Sun, J. Wang, and M. J. Rosato, A 3D facial expression database for
facial behavior research, in Proceedings of the 7th International Conferenceon Automatic
Face and Gesture Recognition, 2006, pp. 211–216.
[28] T. Faltemier, K. W. Bowyer, and P. J. Flynn, “Using a multi-instance enrollment represen-
tation to improve 3d face recognition, in Proc. of the IEEE International Conference on
Biometrics: Theory, Applications, and Systems, 2007, pp. 1–6.
[29] M. Pamplona Segundo, C. C. Queirolo, O. R. P. Bellon, and L. Silva, Automatic 3D
facial segmentation and landmark detection, Proc. of the 14th International Conference
on Image Analysis and Processing, pp. 431–436, 2007.
[30] M. Pamplona Segundo, L. Silva, O. R. P. Bellon, and C. C. Queirolo, “Autmoatic face seg-
mentation and facial landmark detection in range images, IEEE Transactions on Systems,
Man, and Cybernetics-Part B: Cybernetics (Aceito).
[31] B. G
¨
okberk, H. Dutagaci, A. Ulas, L. Akarun, and B. Sankur, “Representation plurality
and fusion for 3-D face recognition,IEEE Transactions on Systems, Man, and Cybernet-
ics, Part B, vol. 38, no. 1, pp. 155–173, 2008.
[32] I. Mpiperis, S. Malassiotis, and M. G. Strintzis, “Bilinear models for 3-D face and facial
expression recognition, IEEE Transactions on Information Forensics and Security, vol. 3,
no. 3, pp. 498–511, 2008.
[33] H. Tang and T. S. Huang, “3D facial expression recognition based on automatically se-
lected features, in IEEE Computer Society Conference on Computer Vision and Pattern
Recognition Workshops, 2008, pp. 23–28.
[34] ——, “3D facial expression recognition based on properties of line segments connect-
ing facial feature points, in 8th IEEE International Conference on Automatic Face and
Gesture Recognition, 2008, pp. 1–6.
[35] O. R. P. Bellon and L. Silva, “New improvements to range image segmentation by edge
detection,IEEE Signal Processing Letters, vol. 9, no. 2, pp. 43–45, 2002.
[36] A. K. Jain and R. C. Dubes, “Algorithms for clustering data. Prentice-Hall, 1988.
[37] J. Macqueen, “Some methods for classification and analysis of multivariate observations,
in Proc. of the 5th Berkeley Symposium on Mathematical Statistics and Probability, vol. 1,
1967, pp. 281–297.
[38] R. C. Gonzalez and R. E. Woods, “Digital image processing. Addison-Wesley, 1992.
[39] L. G. Shapiro and G. C. Stockman, “Computer vision. Prentice-Hall, 2001.
[40] P. F. Felzenszwalb and D. P. Huttenlocher, “Distance transforms of sampled functions,
Cornell Computing and Information Science, Tech. Rep., 2004.
[41] K. Sobottka and I. Pitas, “A novel method for automatic face segmentation, facial feature
extraction and tracking, Signal Processing-Image Communication, vol. 12, no. 3, pp.
263–281, 1998.
41
[42] K. I. Chang, K. W. Bowyer, and P. J. Flynn, Adaptive rigid multi-region selection for
handling expression variation in 3d face recognition, in Proc. of the IEEE Workshop
FRGC, 2005.
[43] P. F. U. Gotardo, O. R. P. Bellon, K. L. Boyer, and L. Silva, “Range image segmentation
into planar and quadric surfaces using an improved robust estimator and genetic algo-
rithm, IEEE Transactions on Systems, Man, and Cybernetics, Part B, vol. 34, no. 6, pp.
2303–2316, 2004.
[44] C. S. Chua and R. Jarvis, “Point signatures: A new representation for 3d object recogni-
tion,International Journal of Computer Vision, vol. 25, no. 1, pp. 63–85, 1997.
[45] J. Kittler, M. Hatef, R. P. W. Duin, and J. Matas, “On combining classifiers,IEEE Trans-
actions on Pattern Analysis and Machine Intelligence, vol. 20, no. 3, pp. 226–239, 1998.
Livros Grátis
( http://www.livrosgratis.com.br )
Milhares de Livros para Download:
Baixar livros de Administração
Baixar livros de Agronomia
Baixar livros de Arquitetura
Baixar livros de Artes
Baixar livros de Astronomia
Baixar livros de Biologia Geral
Baixar livros de Ciência da Computação
Baixar livros de Ciência da Informação
Baixar livros de Ciência Política
Baixar livros de Ciências da Saúde
Baixar livros de Comunicação
Baixar livros do Conselho Nacional de Educação - CNE
Baixar livros de Defesa civil
Baixar livros de Direito
Baixar livros de Direitos humanos
Baixar livros de Economia
Baixar livros de Economia Doméstica
Baixar livros de Educação
Baixar livros de Educação - Trânsito
Baixar livros de Educação Física
Baixar livros de Engenharia Aeroespacial
Baixar livros de Farmácia
Baixar livros de Filosofia
Baixar livros de Física
Baixar livros de Geociências
Baixar livros de Geografia
Baixar livros de História
Baixar livros de Línguas
Baixar livros de Literatura
Baixar livros de Literatura de Cordel
Baixar livros de Literatura Infantil
Baixar livros de Matemática
Baixar livros de Medicina
Baixar livros de Medicina Veterinária
Baixar livros de Meio Ambiente
Baixar livros de Meteorologia
Baixar Monografias e TCC
Baixar livros Multidisciplinar
Baixar livros de Música
Baixar livros de Psicologia
Baixar livros de Química
Baixar livros de Saúde Coletiva
Baixar livros de Serviço Social
Baixar livros de Sociologia
Baixar livros de Teologia
Baixar livros de Trabalho
Baixar livros de Turismo