Download PDF
ads:
UNIVERSIDADE FEDERAL DE CAMPINA GRANDE
PRÓ-REITORIA DE PÓS-GRADUAÇÃO E PESQUISA
CENTRO DE TECNOLOGIA E RECURSOS NATURAIS
COORDENAÇÃO DE PÓS-GRADUAÇÃO EM ENGENHARIA AGRÍCOLA
DISSERTAÇÃO
ÁREA DE CONCENTRAÇÃO EM ARMAZENAMENTO E
PROCESSAMENTO DE PRODUTOS AGRÍCOLAS
SECAGEM E ARMAZENAMENTO DE POLPA DE MANGABA
JOZAN MEDEIROS
Campina Grande, Paraíba
FEVEREIRO, 2007
ads:
Livros Grátis
http://www.livrosgratis.com.br
Milhares de livros grátis para download.
SECAGEM E ARMAZENAMENTO DE POLPA DE MANGABA
JOZAN MEDEIROS
ÁREA DE CONCENTRAÇÃO: Armazenamento e Processamento de Produtos
Agrícola
ORIENTADORES: Profª. Drª. Rossana Maria Feitosa de Figueirêdo
Prof. Dr. Alexandre José de Melo Queiroz
Campina Grande, Paraíba
FEVEREIRO, 2007
Dissertação apresentada ao Curso de Pós-
Graduação em Engenharia A
g
rícola da
Universidade Federal de Campina
Grande, como parte dos requisitos
necessários para obtenção do título de
Mestre em Engenharia Agrícola
ads:
FICHA CATALOGRÁFICA ELABORADA PELA BIBLIOTECA CENTRAL DA UFCG
M488s
2007 Medeiros, Jozan
Secagem de polpa de mangaba em camada de espuma / Jozan
Medeiros. Campina Grande, 2007.
165f.: il.
Dissertação (Mestrado em Engenharia Agrícola) Universidade
Federal de Campina Grande, Centro de Tecnologia e Recursos Naturais.
Referências
Orientador: Rossana Maria Feitosa de Figueiredo e Alexandre José
de Melo Queiroz.
1. Mangaba - Secagem 2. Mangaba – Camada de Espuma - Secagem
3. Polpa de Mangaba – Camada de Espuma 4.Fruta - Secagem I. Título.
CDU – 634:66.047
Dedico este trabalho a minha esposa, Edna, por
compreender a minha ausência o que, muitas vezes,
nos privou de momentos inesquecíveis; seu apoio foi
de fundamental importância para o desenvolvimento
deste trabalho, razão pela qual registro, aqui, o
quanto sou grato por todo o seu carinho, afeto e,
sobretudo por acreditar nos meus ideais, em prol de
minha família.
Agradecimentos
A Deus, que me deu forças e me amparou ao longo deste trabalho, o meu muito
obrigado pois, sem Sua ajuda eu não seria quem sou e não estaria aonde cheguei. Sou-Lhe
grato, Pai Eterno!
A meu pai, Crisaldo Emidio de Medeiros (in memoriam), cuja filosofia de vida
sempre foi baseada no princípio de justiça, amor e fraternidade; a minha mãe, Luzia
Gomes de Medeiros que, em sua simplicidade, sempre valorizou a educação.
A meus irmãos, em especial Aparecida, Ana, Jorge, Luzia e Maria Inês pelo apoio
e orações nos momentos mais difíceis durante a realização do me sonho.
Aos meus sobrinhos, sobretudo a Danilo, pela companhia durante as incansáveis
noites de trabalho, no laboratório.
A minha sogra Zélia, que valorizou meus estudos, demonstrando apoio desde os
primeiros momentos.
A minhas tias, por sempre acreditarem na execução desta pesquisa.
Aos eternos amigos João Carlos, Regilane e Wolia, pela valiosa cooperação
durante os momentos em que senti mais dificuldades.
Ao grande amigo Luisinho, por sua verdadeira amizade, e Hermeval por sua
constante companhia durante a elaboração deste trabalho.
À Capes, que possibilitou financeiramente a concretização deste sonho.
À Empresa Emcasa, pela doação das embalagens.
Aos Professores Rossana Maria Feitosa de Figueirêdo e Alexandre José de Melo
Queiroz, que me orientaram, pela competência, dedicação, paciente orientação, apoio;
tudo isto foi base forte para meu crescimento como aprendiz de pesquisador, sem os quais
este trabalho não seria possível; meu especial agradecimento.
Às Professoras Dr
a
. Josivanda Palmeira Gomes e Dr
a
Kátia Cristina de Oliveira
Gurjão, pela participação no trabalho, como examinadoras, contribuindo para o seu
melhoramento.
Aos Professores do mestrado que, de forma direta ou indireta, colaboraram na
concretização deste trabalho.
À secretária do Departamento de Engenharia Agrícola, Rivanilda, pelo carinho
com trata todos os mestrandos.
Aos funcionários do Laboratório de Armazenamento e Processamento de Produtos
Agrícolas, em especial a Julio César e Luciene, pela amizade e colaboração.
Aos amigos do mestrado, pelo incentivo e colaboração, em especial Adriano
Santana e Anny Kelly.
Enfim, a todos aqueles que direta ou indiretamente, contribuíram para a realização
deste trabalho.
“Tudo é possível a quem crê”
Jesus Cristo
i
SUMÁRIO
LISTA DE TABELAS ............................................................................................. iii
LISTA DE FIGURAS .............................................................................................. vi
RESUMO .................................................................................................................. vii
ABSTRACT ............................................................................................................. viii
1. INTRODUÇÃO ................................................................................................... 1
1.1. Objetivo geral .................................................................................................. 2
1.2. Objetivos específicos ...................................................................................... 2
2. REVISÃO BIBLIOGRÁFICA ........................................................................... 4
2.1. Mangaba .......................................................................................................... 4
2.2. Caracterização físico-química ......................................................................... 5
2.2.1. Umidade e sólidos totais ....................................................................... 6
2.2.2. pH .......................................................................................................... 7
2.2.3. Sólidos solúveis totais (
o
Brix) ............................................................... 7
2.2.4. Cinzas .................................................................................................... 8
2.2.5. Ácido ascórbico .................................................................................... 8
2.2.6. Acidez total titulável ............................................................................. 10
2.2.7. Açúcares ................................................................................................ 11
2.2.8. Cor ......................................................................................................... 12
2.3. Secagem .......................................................................................................... 13
2.3.1. Secagem em camada de espuma ........................................................... 15
2.3.2. Curvas de secagem ................................................................................ 17
2.4. Aditivos ........................................................................................................... 19
2.4.1. Emulsificante ........................................................................................ 19
2.4.2. Espessante ............................................................................................. 20
2.4.3. Estabilizantes ........................................................................................ 21
2.5. Isotermas de adsorção de umidade ................................................................. 21
2.6. Embalagem ……............................................................................................. 24
3. MATERIAL E MÉTODOS ................................................................................ 26
3.1. Matéria-prima .................................................................................................. 26
3.2. Características químicas, físico-químicas e físicas ......................................... 26
3.2.1. Umidade/Sólidos totais ......................................................................... 26
ii
3.2.2. Ácido ascórbico .................................................................................... 26
3.2.3. pH .......................................................................................................... 27
3.2.4. Acidez total titulável ............................................................................. 27
3.2.5. Açúcares redutores ................................................................................ 27
3.2.6. Resíduo mineral fixo (cinzas) ............................................................... 27
3.2.7. Sólidos solúveis totais (ºBrix) ............................................................... 27
3.2.8. Densidade .............................................................................................. 27
3.2.9. Cor ......................................................................................................... 28
3.3. Secagem em camada de espuma ..................................................................... 28
3.4. Cinética de secagem ........................................................................................ 29
3.5. Armazenamento .............................................................................................. 31
3.6. Análise Estatística ........................................................................................... 31
3.7. Isotermas de adsorção de umidade .................................................................. 32
4. RESULTADOS E DISCUSSÃO ........................................................................ 35
4.1. Caracterização da matéria-prima e da polpa formulada .................................. 35
4.2. Cinética de secagem ........................................................................................ 38
4.3. Isotermas de adsorção de umidade das formulações em pó ............................ 43
4.4. Caracterização da mangaba em pó .................................................................. 52
4.5. Armazenamento das formulações em pó ........................................................ 55
4.5.1. Umidade ................................................................................................ 55
4.5.2. pH .......................................................................................................... 62
4.5.3. Ácido ascórbico .................................................................................... 67
4.5.4. Acidez total titulável ............................................................................. 72
4.5.5. Açúcares redutores ................................................................................ 76
4.5.6. Cinzas .................................................................................................... 80
4.5.7. Luminosidade (L
*
) ................................................................................ 83
4.5.8. Intensidade de vermelho (+a
*
) .............................................................. 85
4.5.9. Intensidade de amarelo (b
*
) .................................................................. 86
5. CONCLUSÕES .................................................................................................... 88
6. REFERÊNCIAS BIBLIOGRÁFICAS .............................................................. 89
7. APÊNDICE .......................................................................................................... 110
iii
LISTA DE TABELAS
Tabela 2.1. Características físico-químicas dos frutos de mangabeira (Hancornia
speciosa) da região do Conde, BA ....................................................... 5
Tabela 4.1. Valores médios dos parâmetros químicos e físico-químicos da polpa
de mangaba integral e da polpa de mangaba formulada com
aditivos .................................................................................................. 35
Tabela 4.2. Parâmetros dos modelos ajustados às curvas da cinética de secagem
da polpa de mangaba formulada e seus respectivos coeficientes de
determinação (R
2
) e desvios quadráticos médios (DQM) ..................... 40
Tabela 4.3. Valores experimentais da umidade de equilíbrio (U
e
) da mangaba em
pó obtida a 50 °C ................................................................................... 43
Tabela 4.4. Valores experimentais da umidade de equilíbrio (U
e
) da mangaba em
pó obtida a 60 ºC ................................................................................... 44
Tabela 4.5. Valores experimentais da umidade de equilíbrio (U
e
) da mangaba em
pó obtida a 70 °C ................................................................................... 44
Tabela 4.6. Parâmetros dos modelos ajustados às isotermas de adsorção de
umidade da mangaba em pó desidratada a 50 ºC ................................ 47
Tabela 4.7. Parâmetros dos modelos ajustados às isotermas de adsorção da
mangaba em pó desidratada a 60 ºC ................................................... 48
Tabela 4.8. Parâmetros dos modelos ajustados às isotermas de adsorção da
mangaba em pó desidratada a 70 °C ................................................... 49
Tabela 4.9. Caracterização físico-química das amostras de mangaba em pó ........... 53
Tabela 4.10. Valores médios de umidade (%) da mangaba em pó seca a 50 °C,
armazenada em dois tipos de embalagem ........................................... 57
Tabela 4.11. Valores médios de umidade (%) da mangaba em pó seca a 60 °C e
armazenada em dois tipos de embalagem ......................................... 58
Tabela 4.12. Valores médios da umidade (%) da mangaba em pó, seca a 70 °C,
armazenada em dois tipos de embalagem ..........................................
60
Tabela 4.13. Equações de regressão propostas para o cálculo da umidade da
mangaba em pó, obtida a 50, 60 e 70 °C, em função do tempo de
armazenamento .................................................................................. 61
Tabela 4.14. Valores médios do pH da mangaba em pó seca a 50 °C, armazenada
em dois tipos de embalagem ............................................................... 63
iv
Tabela 4.15. Valores médios do pH da polpa da mangaba em pó seca a 60 °C,
armazenada em dois tipos de embalagem ........................................... 64
Tabela 4.16. Valores médios do pH da polpa da mangaba em pó seca a 70 °C,
armazenada em dois tipos de embalagem ........................................... 66
Tabela 4.17. Equações de regressão propostas para o cálculo do pH da mangaba
em pó obtida a 50, 60 e 70 °C, armazenada em dois tipos de
embalagem ..........................................................................................
67
Tabela 4.18. Valores médios do ácido ascórbico (mg/100g) da mangaba em pó
seca a 50 °C, armazenada em dois tipos de embalagem .................... 68
Tabela 4.19. Valores médios do ácido ascórbico (mg/100g) da mangaba em pó
seca a 60 °C, armazenada em dois tipos de embalagens ................... 69
Tabela 4.20. Valores médios do ácido ascórbico (mg/100g) a da mangaba em
seca a 70 °C, armazenada em dois tipos de embalagem .................... 70
Tabela 4.21. Equações de regressão propostas para a predição do teor de ácido
ascórbico (mg/100g) da mangaba em pó em função do tempo de
armazenamento ................................................................................... 71
Tabela 4.22. Valores médios da acidez total titulável (% ácido cítrico) da
mangaba em pó seca a 50 °C, armazenada em dois tipos de
embalagem ........................................................................................ 73
Tabela 4.23. Valores médios da acidez total titulável (% ácido cítrico) da
mangaba em pó seca a 60 °C, armazenada em dois tipos de
embalagem.......................................................................................... 74
Tabela 4.24. Valores médios da acidez total titulável (% ácido cítrico) da
mangaba em pó seca a 70 °C, armazenada em dois tipos de
embalagem ........................................................................................ 75
Tabela 4.25. Equações de regressão propostas para a predição da acidez total
titulável (% acido cítrico) da mangaba em pó, ao longo do
armazenamento ................................................................................... 76
Tabela 4.26. Valores médios dos açúcares redutores (% de glicose) da mangaba
em pó a 50 °C, armazenada em dois tipos de embalagem ................. 77
Tabela 4.27. Valores médios dos açucares redutores (% de glicose) da polpa da
mangaba em pó a 60 °C, armazenada em dois tipos de
embalagem .......................................................................................... 78
v
Tabela 4.28. Valores médios dos açúcares redutores (% de glicose) da polpa da
mangaba em pó a 70 °C, armazenada em dois tipos de embalagem 79
Tabela 4.29. Equações de regressão propostas para a predição do teor de açúcares
redutores (% glicose) da polpa da mangaba em pó, ao longo do
armazenamento ................................................................................... 80
Tabela 4.30. Valores médios das cinzas da mangaba em pó a 50 °C armazenada
em dois tipos de embalagem ..............................................................
81
Tabela 4.31. Valores médios das cinzas da polpa da mangaba em pó a 60 °C
armazenada em dois tipos de embalagem .......................................... 82
Tabela 4.32. Valores médios das cinzas da polpa da mangaba em pó a 70°C
armazenada em dois tipos de embalagem .......................................... 83
Tabela 4.33. Valores médios da luminosidade (L*) da mangaba em pó desidratada
a 50, 60 e 70 ºC, durante o armazenamento nas diferentes
embalagens ........................................................................................... 85
Tabela 4.34. Valores médios da intensidade de vermelho (+a*) da mangaba em
pó desidratada a 50, 60 e 70 ºC, durante o armazenamento nas
diferentes embalagens ........................................................................ 86
Tabela 4.35. Valores médios da intensidade de amarelo (+b*) da mangaba em pó
desidratada a 50, 60 e 70 ºC, durante o armazenamento nas
diferentes embalagens ......................................................................... 87
vi
LISTA DE FIGURAS
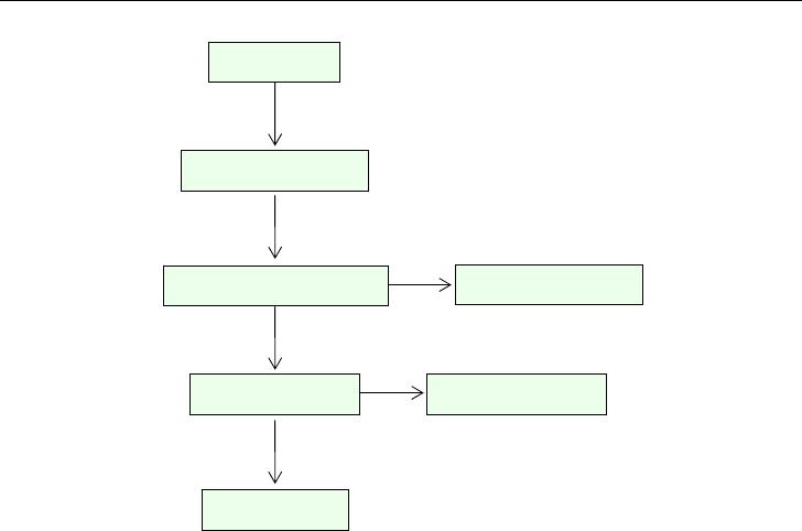
Figura 3.1. Fluxograma das etapas para a secagem em camada de espuma da
polpa de mangaba ................................................................................. 29
Figura 3.2. Embalagem Laminada 1 e 2 .................................................................. 31
Figura 4.1. Curvas de secagem da polpa de mangaba formulada nas temperaturas
de 50, 60 e 70
o
C ...................................................................................
39
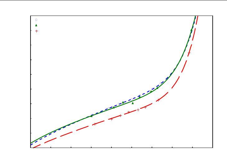
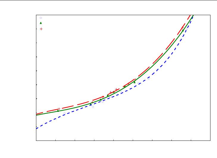
Figura 4.2. Curvas de secagem da formulação com aditivos para temperatura de
50
o
C, com ajuste pelos modelos de Cavalcanti Mata, Henderson &
Pabis e Page .......................................................................................... 41
Figura 4.3. Curvas de secagem da formulação com aditivos para temperatura de
60
o
C, com ajuste pelos modelos de Cavalcanti Mata, Henderson &
Pabis e Page .......................................................................................... 42
Figura 4.4. Curvas de secagem da formulação com aditivos para temperatura de
70
o
C, com ajuste pelos modelos de Cavalcanti Mata, Henderson &
Pabis e Page ........................................................................................... 42
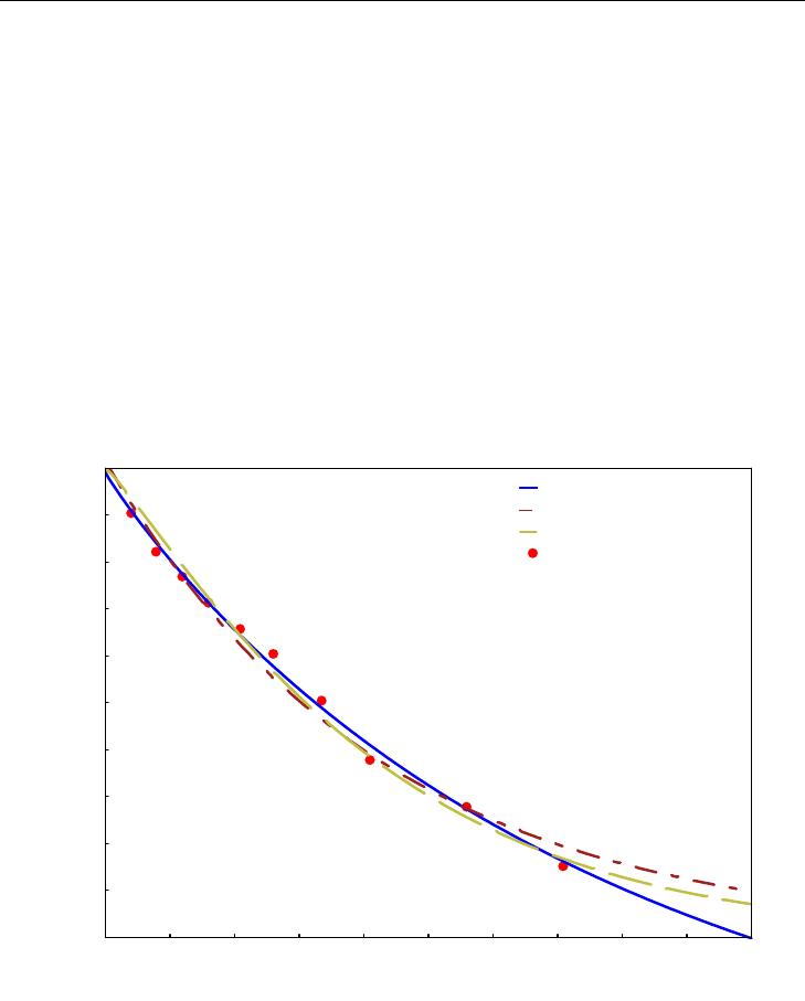
Figura 4.5. Isotermas de adsorção de umidade da mangaba em pó, desidratada a
50 ºC, ajustadas pelo modelo de Peleg .................................................. 50
Figura 4.6. Isotermas de adsorção de umidade da mangaba em pó, desidratada a
60 ºC, ajustadas pelo modelo de Peleg ................................................. 51
Figura 4.7. Isotermas de adsorção de umidade da mangaba em pó, desidratada a
70 ºC, ajustadas pelo modelo de Peleg .................................................. 52
UNIVERSIDADE FEDERAL DE CAMPINA GRANDE
PRÓ-REITORIA DE PÓS-GRADUAÇÃO E PESQUISA
CENTRO DE TECNOLOGIA E RECURSOS NATURAIS
PÓS-GRADUAÇÃO EM ENGENHARIA AGRÍCOLA
vii
Dissertação de Mestrado: Secagem e armazenamento de polpa de mangaba
Autor: Jozan Medeiros
Orientadores: Profª. Rossana Maria Feitosa de Figueirêdo
Prof. Alexandre José de Melo Queiroz
RESUMO
Este trabalho foi desenvolvido com o objetivo de se produzir mangaba em pó pelo
método de secagem em camada de espuma, utilizando-se diferentes temperaturas, e avaliar
sua estabilidade durante o armazenamento a temperatura ambiente, acondicionada em dois
tipos de embalagem laminada. As espumas, produzidas a partir da polpa de mangada
integral com adição de um emulsificante e um estabilizante, foram desidratadas em estufa
com circulação de ar nas temperaturas de 50, 60 e 70
o
C, sendo os modelos de secagem de
Cavalcanti Mata, Henderson & Pabis e Page ajustados aos dados experimentais da
secagem. O material seco foi triturado para obtenção das amostras em pó. A polpa de
mangaba integral e a polpa formulada foram caracterizadas quanto a umidade, sólidos
totais, pH, sólidos solúveis totais (
o
Brix), cinzas, ácido ascórbico, acidez total titulável,
açúcares redutores, cor e densidade. Determinaram-se as isotermas de adsorção de
umidade da mangaba em pó, nas temperaturas de 20, 25 e 30 ºC e ajustou-se os modelos de
GAB, Peleg e Oswin, aos dados experimentais. A mangaba em pó foi armazenada durante
180 dias e avaliada a cada 30 dias, quanto à evolução da umidade, pH, cinzas, ácido
ascórbico, acidez total titulável, açúcares redutores e cor. A incorporação de aditivos à
polpa integral resultou em acréscimo no teor de sólidos solúveis totais, redução nos teores
de sólidos totais, cinzas, ácido ascórbico, acidez total titulável e açúcares redutores e
manutenção do pH. Dos modelos utilizados para o ajuste da cinética de secagem da polpa
formulada, o de Cavalcanti Mata mostrou os maiores coeficientes de determinação (R
2
),
representando melhor os dados observados. Obtiveram-se os melhores ajustes aos dados
das isotermas de adsorção de umidade da mangaba em pó utilizando-se o modelo de Peleg.
Durante o armazenamento da mangaba em pó constatou-se, nas duas embalagens,
tendência de aumento com o tempo de estocagem da umidade e do pH; o ácido ascórbico,
acidez total titulável, açúcares redutores, luminosidade e intensidade de amarelo, sofreram
reduções com o tempo e a fração de cinzas se manteve estável.
Palavras-chave: Hancornia speciosa, secagem em camada de espuma, isotermas.
Capítulo1 Introdução
1
1. INTRODUÇÃO
O desenvolvimento econômico e a demanda dos mercados reforçam, hoje, o
interesse dos países latino-americanos para as frutas em geral e as frutas nativas, em
particular; essas frutas apresentam sabores sui generis, elevados teores de açúcares,
proteínas, vitaminas e sais minerais e podem ser consumidas in natura e processadas
(AVIDOS & FERREIRA, 2000).
A mangabeira (Hancornia speciosa, Gomez) apresenta uma variabilidade
apreciável devido à diversidade de ambientes que ocupa. Grande variabilidade tem sido
observada na altura da planta, conformação da copa, época de floração e, sobretudo, no
tamanho dos frutos, provenientes de diferentes regiões; além disso, é enorme a variação
quanto ao número de sementes (LEDERMAN et al., 2000). A mangaba, também
denominada manguaba, tembiú e tembiucatu, geralmente frutifica nos meses de abril e
maio porém, pelo fato de apresentar florescimentos temporões, é comum se observar a
ocorrência de frutos na planta, praticamente durante todo o ano (FERREIRA, 1973).
Esta frutífera vem apresentando grande potencial para exploração no segmento de
frutas tropicais; no Brasil, está distribuída nas regiões Centro Oeste, Sudeste, Norte e
Nordeste, com maior abundância nas áreas de tabuleiros e baixadas litorâneas do Nordeste
em razão das suas características edafoclimáticas propícias ao cultivo dessa cultura, onde
se encontra quase a totalidade da produção nacional. Seus frutos são bastante apreciados,
tendo boa digestibilidade e valor nutritivo, com teor de proteínas (1,3 a 3,0%) superior ao
da maioria das frutíferas (ESPÍNDOLA, 1999). Na Paraíba, encontra-se
predominantemente na zona da Mata Paraibana, com maior freqüência nas áreas
compreendidas pelas mesorregiões de João Pessoa e dos Litorais Norte e Sul (AGUIAR
FILHO et al., 1998).
De acordo com FERREIRA (1973), a mangabeira produz látex de boa qualidade
podendo ser utilizado na fabricação de borracha e, ainda, na farmacologia; seu fruto é o
principal produto que, além do consumo in natura, é utilizado na produção de doces,
xaropes, compotas, vinho, vinagre, licor, geléia e, principalmente suco e sorvete (AGUIAR
FILHO et al., 1998; ALMEIDA et al., 1998; NAVES, 1999; VIEIRA NETO, 1994).
Em temperatura ambiente, o fruto maduro é muito perecível durando, no máximo, 3
a 4 dias, mesmo quando colhido em estádio de maturação meio-maduro. De acordo com
MAIA et al. (1998) é comum se verificar, durante a safra, perda de parte da produção em
Capítulo1 Introdução
2
razão do excesso de maturação e pela ausência de infra-estrutura para conservação
adequada.
A qualidade pós-colheita dos frutos está relacionada com a minimização da taxa de
deterioração; com isto, métodos de conservação vêm sendo aliados ao uso de aditivos,
adicionados intencionalmente aos produtos alimentícios, os quais melhoram ou realçam
características tais como aparência, odor, cor, sabor, textura, umidade e também a
segurança, evitando que bactérias ou reações enzimáticas deteriorem o alimento
rapidamente ou possam vir a causar dano à saúde do consumidor (CALIL & AGUIAR,
1999).
Em razão da importância de prolongar a vida útil com maior manutenção de sua
qualidade e do tempo de armazenagem de polpas de frutas, emprega-se a secagem com o
objetivo principal de diminuir a quantidade de água existente na polpa impedindo,
conseqüentemente, a deterioração e perdas do valor comercial do produto (GALDINO et
al., 2003); no entanto, dentre os métodos de secagem utilizados para a conservação de
polpa de frutas, o processo de secagem em camada de espuma tem sido utilizado com
sucesso; este processo é dividido em três etapas: produção do suco ou polpa em forma de
espuma estável, utilizando-se aditivos; secagem do produto em camada fina até
desidratação final e desintegração da massa seca em escamas e, finalmente, em pó
(TRAVAGLINI, 2001; UBOLDI, 1971).
1.1. Objetivo geral
Este trabalho foi realizado com o objetivo de se produzir mangaba em pó pelo
método de secagem em camada de espuma utilizando-se diferentes temperaturas e
armazenar o produto obtido.
1.1.1. Objetivos específicos
Caracterizar, química e físico-quimicamente, a polpa de mangaba integral,
formulada e em pó.
Secar a polpa de mangaba formulada nas temperaturas de 50, 60 e 70
o
C,
determinando suas curvas de secagem.
Capítulo1 Introdução
3
Determinar as isotermas de adsorção de umidade da mangaba em pó nas
temperaturas de 20, 25 e 30
o
C.
Armazenar a mangaba em pó em dois tipos de embalagem laminada, durante
180 dias, a temperatura ambiente, analisando a evolução de suas características.
Capítulo2 Revisão Bibliográfica
4
2. REVISÃO BIBLIOGRÁFICA
2.1. Mangaba
As frutas mais importantes do ponto de vista econômico têm participação muito
significativa no cenário agrícola do Nordeste, dentre as quais se pode ressaltar a mangaba,
o abacaxi, o caju, a banana, a manga, a goiaba, o coco, o mamão, a graviola, o cajá e o
maracujá. A mangaba é muito apreciada na região Nordeste em virtude de apresentar ótimo
aroma e sabor, boa digestibilidade e alto valor nutritivo, com teor de proteínas superior ao
de grande parte das frutíferas (PARENTE et al., 1985). Apesar desse crescente interesse, a
mangaba continua a ser uma cultura essencialmente extrativista e, salvo algumas raras
exceções, não existem, ainda, pomares organizados ou implantados com a finalidade de
exploração racional para a produção de frutos. A mangaba, juntamente com o cajá, o
umbu, a ciriguela, a jaca, o bacuri, o açaí, a pupunha e outras, constitui um grupo de frutas
que, apesar de toda a sua potencialidade, são apenas conhecidas e disseminadas em seus
centros de diversidade e áreas de ocorrência espontânea (LEDERMAN & BEZERRA,
2003).
Pertencente à família Apocinaceae, gênero Hancornia e espécie speciosa, a
mangaba é muito consumida no Brasil, de onde é originária, ocorrendo em diversos
ecossistemas, como Amazônico, Mata Atlântica e Cerrado. A mangabeira apresenta maior
diversidade, especialmente, nas áreas dos Tabuleiros Costeiros, Baixadas Litorâneas e
áreas de Cerrado.
No Brasil, a mangabeira é uma planta que tem uma importância social e econômica
considerável, seja como frutífera, melífera, alimentícia, madeireira, produtora de látex e
para aplicação medicinal; esta espécie ocorre espontaneamente em quase todas as regiões,
tendo como provável centro de dispersão o Nordeste (ÁVIDOS & FERREIRA, 2000;
FRANCO et al., 2003; SOUZA et al., 2001). Típica da faixa litorânea Nordestina, sua
população vem sendo drasticamente reduzida, juntamente com o restante da vegetação
nativa devido à especulação imobiliária e ao desmatamento para o cultivo de
monoculturas, principalmente coqueiro, cana-de-açúcar e pastagens (VIEIRA, 1998).
A mangabeira é uma árvore perene, latescente, de porte médio variando entre 2 e 10
m de altura; possui raiz pivotante profunda, circundada de raízes secundárias bem
desenvolvidas, dispostas obliquamente em relação à principal, e sua amplitude varia
segundo as condições físicas do solo; o caule se desenvolve de forma ereta, com casca
Capítulo2 Revisão Bibliográfica
5
ligeiramente escura, de aparência fissurada ou íntegra; possui folhas simples, oposta, oval
ou lanceolada, peciolada, glabra, de consistência cioriácea; a flor é hermafrodita gêmea ou
trigêmea no ápice dos râmulos, branca, campanulada e aromática; androceu dotado de
cinco estames e epipétalos, anteras lanceoladas de filetes curtos e deiscência rimosa;
gineceu com ovário pequeno, unicarpelar, dotado de muitos óvulos, estilete longo com
estigma em carretel; o fruto é uma baga elipsoidal, carnosa, com número de semente
variável, coloração amarela ou esverdeada, com pigmentação avermelhada; a semente é
discóide, achatada, com 7-8 mm de diâmetro, cor castanho-claro, rugosa, com hilo central
(AGUIAR FILHO et al., 1998).
A mangaba apresenta alto rendimento de polpa, na ordem
de 93,7%, favorecendo seu processamento (VIEIRA NETO, 2001).
De acordo com VIEIRA NETO (1994), inúmeras famílias têm, na colheita e
comercialização da mangaba, uma importante ocupação e fonte de renda. As feiras livres
podem ser consideradas os principais locais de comercialização da mangaba in natura,
onde é vendida pelos agricultores ou por intermediários (AROLA, 1982).
Estão expostos, na Tabela 2.1, valores das características físico-químicas dos frutos
da mangabeira.
Tabela 2.1. Características físico-químicas dos frutos de mangabeira (Hancornia speciosa)
da região do Conde, BA
Parâmetro Valor
pH 3,6
Acidez total (%) 1,48
Sólidos solúveis totais (°Brix) 13,8
Açúcares totais (%) 9,3
Açúcares redutores (%) 7,4
Ácido ascórbico (mg/100g) 103,5
Fonte: CARVALHO et al. (2006)
2.2. Caracterização físico-química
Nos últimos anos tem crescido bastante o interesse do consumidor em alimentos
específicos que tenham seu papel na manutenção da saúde (LOBO & SILVA, 2003).
A qualidade interna das polpas, em geral, e suas características, são conferidas por
um conjunto de constituintes físico-químicos e químicos, responsáveis pelo sabor e aroma
Capítulo2 Revisão Bibliográfica
6
próprios, importantes na sua aceitação final. A determinação desses constituintes, além de
caracterizar a matéria-prima também é utilizada no controle de qualidade do produto final
(BRASIL, 2000). Sabe-se que as condições climáticas, estádio de maturação, variedade e
nutrição mineral das plantas, exercem influência na composição química dos frutos (THÉ
et al., 2001).
2.2.1. Umidade e sólidos totais
A determinação da umidade é o ponto de partida da análise de alimentos, sendo de
grande importância uma vez que a preservação do alimento depende da sua quantidade de
água e, além disso, quando se compara o valor nutritivo de dois ou mais alimentos, tem-se
que levar em consideração os respectivos teores de umidade (MORETTO et al., 2002).
Para OLIVEIRA et al. (1999) a umidade de um alimento está relacionada com sua
estabilidade, qualidade e composição e pode afetar a sua vida útil, o tipo de embalagem e o
processamento; por sua vez, os sólidos totais são obtidos pela diferença entre a massa total
da amostra e o conteúdo de umidade.
Todos os alimentos, qualquer que seja o método de industrialização a que tenham
sido submetidos, contêm água em maior ou menor proporção; geralmente, a umidade
representa a água contida no alimento. A umidade corresponde à perda em peso, sofrida
pelo produto quando aquecido em condições nas quais a água é removida. Na realidade,
não é somente a água a ser removida, mas outras substâncias que se volatilizam nessas
condições. O resíduo obtido no aquecimento direto é chamado resíduo seco (BRASIL,
2005).
A umidade de um alimento é de grande significância por razões diversas, porém,
sua determinação precisa é muito difícil, uma vez que a água ocorre nos alimentos de três
diferentes maneiras: água ligada, água disponível e água livre. A técnica gravimétrica com
o emprego de calor é a mais utilizada e se baseia na determinação da perda de peso do
alimento que se decompõe e só então iniciam transformações a temperatura de 105 ºC
(ALDRIGUE et al., 2002).
Capítulo2 Revisão Bibliográfica
7
2.2.2. pH
De acordo com LEITÃO (1980) o pH é uma característica intrínseca do alimento,
de fundamental importância na limitação dos tipos de microrganismos, capazes de se
desenvolver e na maior ou menor facilidade de conservação.
Vários fatores tornam importante, a determinação do pH de um alimento, tais como
influência na palatabilidade, desenvolvimento de microrganismos, escolha da temperatura
de esterilização, escolha da embalagem que será utilizada para o alimento, escolha do tipo
de material de limpeza e desinfecção, escolha do equipamento com o qual se vai trabalhar
na indústria, escolha de aditivos e vários outros (CHAVES, 1993).
Conforme CHITARRA & CHITARRA (1990) a capacidade reguladora de alguns
sucos pode levar a grande variação na acidez total titulável sem que isto afete muito
grandemente o pH; esses pesquisadores relataram, ainda, que uma pequena variação nos
valores do pH é facilmente detectável em testes sensoriais.
2.2.3. Sólidos solúveis totais (
o
Brix)
Os sólidos solúveis totais (ºBrix) são usados como índice de maturidade para
alguns frutos e indicam a quantidade de substâncias que se encontram dissolvidas no suco
sendo constituído, na sua maioria, de açúcares e, em menor quantidade, por sais, proteínas,
ácidos etc. (ALVES, 1996; MORAES, 2007).
A determinação dos sólidos solúveis totais (°Brix) pode ser feita com instrumentos
de leitura direta (refratômetro) ou indireta (densímetro de °Brix). Quando se utiliza o
refratômetro, a determinação do °Brix consiste em colocar uma a duas gotas do material
entre os prismas do refratômetro fazendo-se, a seguir, a leitura direta em °Brix
(CARVALHO et al., 1990).
O ºBrix é utilizado na agroindústria para intensificar o controle da qualidade do
produto final, controle de processos, ingredientes e outros, tais como doces, sucos, néctar,
polpas, leite condensado, álcool, açúcar, sorvetes, licores e bebidas em geral, entre outros
(CHAVES et al., 2004).
Capítulo2 Revisão Bibliográfica
8
2.2.4. Cinzas
Conforme BRASIL (2005), resíduo por incineração ou cinzas é o nome dado ao
resíduo obtido por aquecimento de um produto em temperatura próxima a 550-570 °C;
nem sempre este resíduo representa toda a substância inorgânica presente na amostra, pois
alguns sais podem sofrer redução ou volatilização nesse aquecimento. Uma análise global
da composição das cinzas nos diferentes tipos de alimentos, além de trabalhosa, não é de
interesse igual ao da determinação de certos componentes, conforme a natureza do
produto.
As cinzas (resíduo mineral fixo) em alimentos, se referem ao resíduo inorgânico
que resta da queima da matéria orgânica, sendo transformados em CO
2
, H
2
O e NO
3
(NORONHA, 2002).
A determinação de cinzas é considerada medida geral de qualidade, além de ser
utilizada freqüentemente como critério na identificação de alimentos (OLIVEIRA et al.,
1999). Fornece apenas uma indicação da riqueza da amostra em elementos minerais
(cátions: cálcio, potássio, magnésio, ferro, cobre, cobalto, alumínio; e ânions: sulfato,
cloreto, silicato, fosfato etc.); assim sendo, a cinza de material, tanto de origem vegetal
como animal, é o ponto de partida para a análise de minerais específicos (MORETTO et
al., 2002).
As cinzas não podem conter pontos de carvão e são geralmente brancas ou
acinzentadas. A fração de cinzas segue o princípio do método gravimétrico, baseado na
determinação da perda de peso do material submetido ao aquecimento (ALDRIGUE et al.,
2002).
2.2.5. Ácido ascórbico
As frutas e vegetais são responsáveis por 95% das fontes de ácido ascórbico da
alimentação humana, sendo este ácido um dos mais importantes nutrientes encontrados
nesses alimentos (HENSHALL, 1981).
De acordo com ALDRIGUE et al. (2002), o ácido ascórbico (vitamina C) tem
função imprescindível devido à sua ação fortemente redutora; é largamente empregado
como agente antioxidante para estabilizar a cor e o aroma dos alimentos; além do emprego
como conservante, o ácido ascórbico é utilizado para enriquecimento de alimentos ou
restauração, a níveis normais, do valor nutricional perdido durante o processamento.
Capítulo2 Revisão Bibliográfica
9
O ácido ascórbico é encontrado em concentrações razoáveis em todas as plantas
superiores. Os vegetais verdes frescos e as frutas cítricas, são considerados fontes
extremamente ricas de vitamina C; a principal causa da sua degradação reside nas
oxidações aeróbicas ou anaeróbicas em que ambas levam à formação de furaldeídos,
compostos que polimerizam facilmente, com formação de pigmentos escuros; é também
rapidamente destruída pela ação da luz (BOBBIO & BOBBIO, 1985).
Segundo LEE & KADER (2000) a vitamina C é definida como um termo genérico
para todos os compostos, apresentando atividade biológica do ácido ascórbico (AA). Esses
autores ainda relatam que o ácido ascórbico é a principal forma biologicamente ativa;
contudo, o ácido deidro-ascórbico (ADHA), que é um produto oxidado, também demonstra
atividade biológica, em que esse produto oxidado pode ser facilmente revertido para AA
no corpo humano.
Dentre as vitaminas, a vitamina C (ácido ascórbico) é a que mais se altera no
armazenamento a temperatura ambiente, pois o tempo e a temperatura ambiente
influenciam na sua degradação, ocorrendo oxidação na presença do oxigênio do ar
(LEDERER, 1991).
Segundo RIGHETTO (2003), o processo de degradação do ácido ascórbico pode se
dar tanto no processo aeróbico quanto por um anaeróbico. BLASCO et al. (2004) ao
estudarem a cinética de degradação térmica do ácido ascórbico em cogumelos observaram
que a degradação do ácido ascórbico foi quatro vezes maior para o estágio aeróbico em
relação ao anaeróbico.
O ácido ascórbico é uma vitamina que, durante os processos térmicos, tende a
decrescer, especialmente durante o processo de secagem. ERENTURK et al. (2005)
relataram que o aumento de temperatura, a redução do pH, a oxidação catalisada pelo
oxigênio e/ou íons metálicos (ferro e cobre) e o conteúdo de umidade inicial, como sendo
os principais fatores responsáveis pela degradação da vitamina C.
Segundo BRASIL & GUIMARÃES (1998), a maior perda de vitamina C se dá com
o aquecimento dos alimentos; de modo geral, sua estabilidade é aumentada com o
abaixamento da temperatura, procedimento que não evita as possíveis perdas no
congelamento ou armazenamento a baixas temperaturas
.
Capítulo2 Revisão Bibliográfica
10
2.2.6. Acidez total titulável
Segundo CARVALHO et al. (1990) a acidez total (fixa e volátil) em alimentos é
resultante dos ácidos orgânicos do próprio alimento, dos adicionados intencionalmente
durante o processamento e daqueles resultantes de alterações químicas do produto;
portanto, a determinação da acidez total pode fornecer dados valiosos na apreciação do
processamento e do estado de conservação do alimento.
Em produtos hortícolas a acidez é atribuída sobretudo aos ácidos orgânicos que se
encontraram dissolvidos nos vacúolos das células, tanto na forma livre como combinada
com sais, ésteres, glicosídeos etc. Em alguns produtos, os ácidos orgânicos não só
contribuem para a acidez como, também para o aroma característico, visto que alguns
elementos são voláteis (CHITARRA & CHITARRA, 2000).
Conforme CIABOTTI et al. (2000) através da determinação da acidez total de um
alimento é possível se obter informações dos ácidos orgânicos existentes no alimento, dos
adicionados propositadamente e também daqueles provenientes das alterações químicas
dos mesmos.
A determinação desse parâmetro pode fornecer um dado valioso na apreciação do
estado de conservação de um produto alimentício. Um processo de decomposição seja por
hidrólise, oxidação ou fermentação, quase sempre altera a concentração dos íons de
hidrogênio. Os métodos de determinação da acidez podem ser os que avaliam a acidez
titulável ou fornecem a concentração de íons de hidrogênio livres, por meio do pH. Os
métodos que avaliam a acidez titulável se resumem em titular com soluções de álcali
padrão a acidez do produto ou de soluções aquosas ou alcoólicas do produto (BRASIL,
2005).
No geral, os teores de acidez não excedem 1,5 a 2,0%, com raras exceções, como o
limão, que pode conter teor acima de 3%, mas alguns frutos podem apresentar acidez
muito baixa. Nos frutos cítricos o teor de acidez na casca é inferior ao da polpa. A acidez é
usualmente calculada com base no principal ácido presente, expressando o resultado como
porcentagem de acidez titulável e nunca total, devido aos componentes ácidos voláteis que
não são detectados (FRANCO, 1998).
Capítulo2 Revisão Bibliográfica
11
2.2.7. Açúcares
Açúcares são geralmente sólidos cristalinos, incolores e têm sabor doce; são os
compostos naturais com sabor doce mais conhecido e, entre eles, a sacarose é um dos
adoçantes mais antigos uma vez que os primeiros documentos escritos encontrados já
fazem referência a este composto (BOBBIO & BOBBIO, 1985).
GOMES et al. (2002) relataram que os açúcares solúveis presentes nos frutos na
forma combinada são responsáveis pela doçura, sabor e cor atrativos como derivados das
antocianinas e pela textura, quando combinados adequadamente polissacarídeos
estruturais.
Os frutos carnosos têm, como característica comum, riqueza em açúcares e acidez
relativamente elevada; as pentoses e mais concretamente as riboses são açúcares redutores
mais reativos; já as hexoses (glicose, frutose) são um pouco menos reativas e os
dissacarídeos redutores (lactose, maltose) menos ainda (OLIVEIRA et al., 1999).
FERREIRA et al. (2000) mencionaram que entre os carboidratos se encontram em
primeiro lugar os açúcares que podem ser considerados as principais substâncias das frutas.
Os diversos grupos de frutas contêm a seguinte quantidade de açúcares: frutas com
sementes de 8 a 15%; frutas com caroço de 6 a 12%; uvas de 13 a 20% e as diversas
espécies de laranja, de 3 a 13%.
Segundo CHITARRA (1998) os principais açúcares encontrados nos frutos são a
glicose (açúcar total), a frutose (açúcar redutor) e a sacarose (açúcar não-redutor), nos
quais as concentrações variam dependendo da espécie e da cultivar. A determinação
individual do teor desses açúcares é importante quando se deseja quantificar o grau de
doçura do produto uma vez que o poder adoçante desses açúcares é variável; geralmente, o
teor dos açúcares aumenta com a maturação dos frutos; sabe-se, ainda, que os açúcares
solúveis presentes nos frutos, na forma livre ou combinada, são responsáveis pela doçura,
pelo sabor, através do balanço com os ácidos; pela cor atrativa, como derivados das
antocianidinas e pela textura, quando combinados adequadamente com os polissacarídeos
estruturais.
AWAD (1993) relatou que os frutos são uma fonte de energia e a concentração de
açúcares na polpa da maioria deles é próximo a 10%, com vários tipos de fruta
apresentando valores bem superiores (banana, manga, caqui e uva).
Capítulo2 Revisão Bibliográfica
12
2.2.8. Cor
A qualidade de um alimento é um conjunto de características que determinam o seu
grau de aceitabilidade; tal qualidade é resultante da soma de certos atributos, tais como cor,
sabor, odor e textura (MONTE et al., 2002). Na agricultura, são vários os produtos em que
a cor está estritamente associada à qualidade, constituindo freqüentemente um critério de
apreciação da qualidade desses produtos (VIEIRA et al., 2001).
A aparência de um alimento concorre muito para a sua aceitabilidade, razão pela
qual a cor, talvez, seja a propriedade mais importante dos alimentos, tanto dos naturais
como dos processados. A cor em alimentos resulta da presença de compostos coloridos já
existentes no produto natural (pigmentos naturais) ou da adição de corantes sintéticos
(BOBBIO & BOBBIO, 1992).
Conforme CARDOSO et al. (1997) a cor é uma percepção visual resultante da
detecção da luz após interação com um objeto. O impacto visual gerado pela cor muitas
vezes se sobrepõe ao causado por outros atributos de aparência e odor.
A coloração nas frutas e nos vegetais é atribuída principalmente aos pigmentos de
clorofilas, carotenóides e antocianinas, as quais são responsáveis pela coloração verde,
vermelho-amarelado e vermelho e azul-púrpura, respectivamente (ARTÉS et al., 2002).
Sabe-se que a cor dos frutos e os vegetais frescos ou recém-processados sofrem
diversas mudanças indesejáveis durante o armazenamento, que são muito prejudiciais para
a qualidade do alimento e, portanto, para sua aceitabilidade; essas mudanças se manifestam
de forma mais acentuada a temperatura e umidade relativa elevadas. De vários fatores
estudados o controle da temperatura de armazenamento é o que incrementa, de forma mais
significativa a estabilidade da cor (ALONSO, 2003).
OLIVEIRA et al. (2003) relataram que, apesar da importância da avaliação da cor,
muitas vezes este parâmetro não é devidamente estudado devido à necessidade de
equipamentos específicos e de preço elevado; além disso, no caso de produtos que
apresentem superfícies pouco uniformes, medidas pontuais como as realizadas por
colorímetros podem exigir um grande número de determinações e/ou não representar, de
forma adequada as características do produto.
De acordo com CHAVES (2004), a coloração dos alimentos é estudada pela
colorimetria, que é a ciência que estuda e quantifica como o sistema humano percebe a cor,
na tentativa de especificá-la numericamente.
Capítulo2 Revisão Bibliográfica
13
A cor é a resposta do olho humano à luz refletida por qualquer substância;
fisicamente, a cor é uma característica da luz, mensurável em termos de intensidade
(energia radiante) e comprimento de onda; surge da presença de luz, sendo em maior
intensidade em alguns comprimentos de onda que em outros; ocasionalmente, a inspeção
visual dos alimentos tem oferecido resultados errôneos em virtude da fonte de luz não
emitir energia radiante suficiente, dentro dos valores críticos de comprimento de onda
(CHAVES, 1994).
A cor é uma percepção visual resultante da detecção da luz após interação com um
objeto; no sistema CIELAB é descrita por um diagrama tridimensional em que onde o
espaço é definido pelas coordenadas retangulares, luminosidade (L*), componente
vermelho-verde (a*) e componente amarelo-azul (b*), e pelas coordenadas cilíndricas do
mesmo espaço, croma (C*) e tonalidade cromática (H*) (LAWLESS & HEYMANN,
1998).
2.3. Secagem
A secagem é uma operação de fundamental importância na produção agrícola e,
quando executada corretamente, possibilita a manutenção da qualidade dos produtos e cria
condições para que se conserve por longos períodos; isto é possível porque, com a redução
do teor de água, a atividade metabólica do produto é reduzida e, conseqüentemente, as
condições se tornam menos favoráveis ao desenvolvimento dos microrganismos (ROSSI &
ROA, 1980); em geral, este processo envolve, simultaneamente, transferência de calor e
massa e a taxa de remoção de água é determinada pela taxa na qual o calor e a massa
possam ser transferidos (BROOKER et al., 1992).
LIMA et al. (2000) relataram que a remoção de umidade previne o crescimento e a
reprodução de microrganismos que causam deterioração e minimizam reações oriundas de
umidades elevadas; aliada a isto está a redução de peso e volume que, por sua vez,
diminuem a embalagem, o volume de armazenagem e o custo de transporte do produto,
temperatura ambiente.
A desidratação, secagem ou dessecação, é definida como a extração deliberada da
água que os alimentos contêm sob condições de temperatura, umidade e corrente de ar
cuidadosamente controladas (CRUESS, 1973; PEREDA, 2005); já de acordo com KEEY
(1972) a secagem é reconhecida como a remoção de uma substância volátil (comumente,
mas não exclusivamente, água) de um produto sólido, isto é, a operação na qual a atividade
Capítulo2 Revisão Bibliográfica
14
de água de um alimento é diminuída pela remoção de água através da sua vaporização. A
água presente no sólido é chamada umidade; portanto, a secagem é caracterizada pela
evaporação da água do material biológico.
A secagem é um dos processos disponíveis para a aplicação na indústria de polpas
de fruta, a qual concentra os princípios da matéria-prima e habilita o produto para o
armazenamento em condições ambientais, por longos períodos (GOMES et al., 2004).
De acordo com PARK et al. (2002) percebe-se um fortalecimento da secagem de
produtos agropecuários devido à retomada da discussão da recuperação da qualidade de
vida, que insere a importância de preparo de refeições saudáveis mas com limitações do
tempo imposto pela vida moderna; outro fator é a crescente demanda das indústrias que
produzem alimentos chamados instantâneos (prontos e semiprontos) que utilizam
alimentos secos como matéria-prima. A facilidade de manuseio e de armazenagem dos
produtos secos também é um importante fator no atual mundo globalizado; além disso, os
alimentos secos retomam seu mercado devido ao preço compatível com os alimentos
processados, denominados “pratos-prontos”.
Dentre as diversas técnicas de secagem que podem ser usadas na desidratação de
alimentos, a escolha é orientada pela natureza do material a ser desidratado, pela forma que
se deseja dar ao produto processado, pelo fator econômico e pelas condições de operação
(EVANGELISTA, 1994).
Dos inúmeros métodos destinados à desidratação de alimentos, existem desde os
mais avançados direcionados à produção em grande escala aos mais simples direcionados,
ao pequeno produtor, como desidratação solar, sala de secagem, forno doméstico e estufa
(CRUZ, 1990).
A desidratação, além de ser utilizada como um método de conservação, impedindo
a deterioração e perda do valor comercial, objetiva também o refinamento do alimento,
tendo como conseqüência a instalação de um novo produto no mercado o que, usualmente,
vem motivando os investimentos de produção e beneficiamento agrícola, face aos
benefícios monetários que derivam da transformação do produto (UNIFEM, 1989).
Segundo EVANGELISTA (1992) produtos submetidos secagem necessitam, nas
fases de transporte e armazenamento, de embalagem adequada a qual mantenha as
características do produto obtidas na secagem.
Capítulo2 Revisão Bibliográfica
15
2.3.1. Secagem em camada de espuma
O processo de secagem em camada de espuma (foam-mat drying) foi desenvolvido
a primeira vez em 1959, por Artur Morgan Jr. e colaboradores, na “Western Utilization
research and development division” do “U.S. Department of Agriculture”, em Albânia,
Califórnia. Verificou-se que este processo podia ser aplicado com vantagem na produção
de distintos materiais desidratados já que remove umidade de materiais sensíveis sob
condições suaves (SILVA, 1971).
Este processo de secagem consiste, fundamentalmente, das seguintes etapas:
produção de espuma estável, utilizando-se aditivos; secagem da espuma em camada fina;
desintegração da massa seca em escamas e sua trituração, transformando o produto em pó.
De acordo com UBOLDI (1971) a formação de espumas leves e estáveis contendo
sólidos pode ser facilitada pelo aumento da quantidade de sólidos solúveis, adição de
aditivos ou por aumento de consistência, mantendo uma estrutura porosa aberta. A
secagem em camada de espuma pode ser executada em diversos tipos de equipamentos
simples e a espuma deve suportar todas as operações mecânicas necessárias ao processo,
além de manter o seu volume e uma estrutura porosa durante a secagem, sendo desidratada
a temperaturas relativamente baixas.
SPOTO (2006) utiliza neste processo, como aditivo, um estabilizante e a aeração
(formação da espuma) é feita com ar ou nitrogênio agitando-se a formulação em batedeira
elétrica. A espuma pode ser espalhada sobre uma esteira perfurada em uma camada de 2 a
3 mm secando rapidamente em dois estágios por correntes de ar, paralela e contracorrente;
trata-se de um processo três vezes mais rápido que a desidratação de um líquido de mesma
viscosidade. O pó produzido é de fluxo fácil e com boas propriedades de reidratação.
O ponto crítico do processo é a formação de espuma estável e de densidade
adequada; normalmente, a densidade necessária para a espuma formada está na ordem de
0,6 g/mL, ou seja, consiste em uma dispersão de bolhas gasosas esféricas em uma fase
líquida contínua, diferente da espuma formada por sabão, que é bem mais leve. Para que a
estabilidade da espuma seja constante durante todo o processo de secagem é
imprescindível que o líquido a ser desidratado contenha duas características essenciais:
consistência e habilidade de formar filme (TRAVAGLINI et al., 2001).
A espuma produzida por esse tipo de secagem mantém seu volume resultando em
uma massa porosa que pode ser facilmente quebrada passível, assim, de ser moída e
transformada em pó fino, resultando em pós desidratados de alta qualidade e boa
Capítulo2 Revisão Bibliográfica
16
estabilidade de armazenamento, que não requerem condições de refrigeração para o uso
normal (UBOLDI, 1971).
Este processo mantém alta qualidade dos produtos, oferecendo grandes
possibilidades comerciais, sendo aplicado em: café, suco de laranja, grapefruit, uva,
carambola, abacaxi, umbu-cajá, coco, batata, alimento para crianças, leite, purês, ameixa,
maçã, sopas, cremes, ovos, tomate e outros produtos instantâneos (UBOLBI, 1971,
SOARES et al., 2001, VERNON-CARTER et al., 2001, SILVA et al., 2005).
Nesta técnica de secagem, segundo APENBURG (1971), uma das principais
vantagens é a de permitir a obtenção de produtos de qualidade comparáveis aos obtidos
pela secagem a vácuo ou pela liofilização, a custos industriais inferiores.
SEGURA et al. (1990) estudaram a secagem de suco de laranja, abacaxi, amora e
maracujá pelo processo de secagem em camada de espuma empregando albumina de ovo
como agente espumante e metil celulose como estabilizante. Cada um dos sucos mostrou
comportamento diferente na secagem, de acordo com sua composição química. As frutas
com alto teor de pectina, como a amora, formam purês de alta viscosidade que permitem a
retenção do ar incorporado durante a agitação, sendo a espuma formada altamente estável.
Os aditivos como albumina e metilcelulose gelificam por ação térmica e contribuem para a
estabilização da espuma formada, sendo que a combinação de aditivos e a concentração de
cada um depende da fruta em estudo.
SANKAT & CASTAIGNE (2004) desidrataram, em secador de cabine com fluxo
cruzado, polpa de banana por este método de secagem em uma faixa de temperatura mais
ampla variando de 45 a 90
o
C usando, como emulsificante e espessante: monoesterato de
glicerol, proteína isolada de soja, gelatina e dois preparados comerciais (1- açúcar, amido
de milho, monoesterato de propileno glicol; 2- hidroxipropil metilcelulose). Verificou-se
que a polpa de banana pode ser seca com sucesso usando-se a proteína de soja, podendo o
pó obtido ser usado em muitos alimentos, como ingrediente.
BASTOS et al. (2005) ao realizarem testes preliminares com os agentes
estabilizantes de espuma carboxi-metil celulose, monoestearato de sorbitana (Tween 60),
goma xantana e clara de ovo na secagem da polpa de manga em camada de espuma,
verificaram que o Tween 60 forneceu uma espuma com as características mais adequadas
quanto à estabilidade; posteriormente esses pesquisadores desidrataram a polpa de manga
com adição de 0,02% de Na
2
S
2
O
5
e 0,5% de Tween 60 (estabilizante de espuma) nas
temperaturas de 70 e 85
o
C em estufa com circulação de ar, e verificaram que a polpa seca a
70
o
C apresentou melhor aceitabilidade.
Capítulo2 Revisão Bibliográfica
17
2.3.2. Curvas de secagem
A exigência dos consumidores tem aumentado e, produtos que preservam ao
máximo suas características originais estão sendo preferidos; em nível industrial isto
significa o desenvolvimento de operações que minimizem os efeitos adversos do
processamento. Vários estudos sobre curvas de secagem e atividade de água têm sido
realizados devido à sua influência na qualidade do produto desidratado. O conteúdo de
umidade de um produto pode ser expresso em termos de massa total, base úmida ou massa
seca. Ao entrar em contato com o ar quente ocorre transferência de calor do ar para o
produto, devido ao gradiente de temperatura existente entre ambos. Simultaneamente, a
diferença da pressão parcial do vapor de água existente entre o ar de secagem e a superfície
do produto determina a transferência de massa do produto para o ar em forma de vapor de
água (NOGUEIRA, 1991).
De acordo com CANO-CHAUCA et al. (2004), as curvas de secagem permitem
predizer o momento do processo em que se atinge o teor da umidade desejado e desta
forma se obtém um produto de boa qualidade.
Existem inúmeros modelos utilizados para se estimar as curvas de secagem de
produtos agrícolas, dentre eles se tem os modelos de Page (Eq. 2.1), Cavalcanti Mata (Eq.
2.2) e Henderson & Pabis (Eq. 2.3).
Page
O modelo de Page (DIAMANTE & MUNRO, 1993) é uma modificação do modelo
exponencial com a introdução de um expoente “n” incorporado ao termo tempo (Eq. 2.1);
este modelo tem sido usado por muitos pesquisadores na estimativa das curvas de secagem
de produtos agrícolas; ele já havia sido usado com sucesso na predição das curvas de
cinética de secagem de umbu nas temperaturas de 70, 80 e 90
o
C com R
2
> 0,99 (SOUSA
et al., 2000); de kiwi em cubos desidratados em temperaturas variando entre 30 e 90
o
C
com R
2
> 0,99 (SIMAL et al., 2005) e de fatias de cajá desidratado em secador de bandejas
nas temperaturas de 50, 60 e 70
o
C com R
2
> 0,99 (SILVA et al., 2004).
)ktexp(Ru
n
= (2.1)
em que:
Ru – razão de umidade
Capítulo2 Revisão Bibliográfica
18
k – constante da equação (1/h)
n – constante da equação
t – tempo (min)
Cavalcanti Mata
MATA (2005) propôs este modelo baseando-se na equação de Page e relatou que,
de maneira geral, as curvas de secagem em camada fina não apresentam uma só curvatura;
daí, a equação 2.2 permite que exista um ajuste melhor da curva aos dados experimentais.
5
a
3
a
1
a)btexp(.a)]bt[exp(aRu
42
++= (2.2)
em que:
Ru – razão de umidade
a
1,
a
2
, a
3,
a
4,
a
5
e b – parâmetros da equação
t – tempo (min)
Henderson & Pabis
O modelo de Henderson & Pabis (HENDERSON & PABIS, 1961) foi usado com
sucesso na estimativa das curvas de secagem da polpa de pitanga formulada com
emulsificante, estabilizante e espessante desidratada em estufa com circulação forçada de
ar nas temperaturas de 50, 60 e 70
o
C com R
2
> 0,96 (ALEXANDRE et al., 2006); ele
também foi usado por MENGES & ERTEKIN (2006) na predição das curvas de secagem
de fatias de maçã nas temperaturas de 60, 70 e 80
o
C.
)ktexp(aRu = (2.3)
em que:
Ru – razão de umidade
a – constante adimensional da equação
k – constante da equação (1/h)
t – tempo (min)
Capítulo2 Revisão Bibliográfica
19
2.4. Aditivos
De acordo com BRASIL (2005) com o desenvolvimento tecnológico é grande e
variado o número de substâncias químicas empregadas no decorrer de todo o processo de
produção de alimentos; dentre essas substâncias se destacam os aditivos, que podem
apresentar grandes vantagens para melhorar os alimentos do ponto de vista tecnológico,
desde que seu uso seja seguro. No Brasil são permitidos, atualmente, mais de 300 aditivos,
nos quais são agrupadas em listas, as substâncias cujo uso é permitido, os alimentos em
que podem ser usados e os limites no produto final.
Os aditivos, segundo a legislação brasileira (BRASIL, 1998), são “substâncias
intencionalmente adicionadas aos alimentos com o objetivo de conservar, intensificar ou
modificar suas propriedades, desde que não prejudiquem seu valor nutritivo”. Esta mesma
legislação obriga os produtores a mencionarem, nas embalagens de alimentos e bebidas, os
aditivos utilizados e também proíbe que os aditivos substituam a matéria-prima básica,
alterem o valor nutritivo, sejam tóxicos ou mascarem falhas de fabricação. Muitos aditivos
utilizados em alimentos e bebidas apresentam propriedades toxicológicas. Portanto, é dever
dos órgãos competentes fiscalizar a qualidade dos alimentos industrializados para preservar
a saúde dos consumidores.
O emprego de aditivos químicos em alimentos é motivo de muita polêmica,
gerando controvérsias que envolvem consumidores, indústria, pesquisadores e governo
(PRADO, 2004).
Os aditivos são substâncias capazes de conservar e melhorar a qualidade dos
alimentos; antigamente, os aditivos utilizados eram o sal, para preservar carnes e peixes,
ervas e temperos, para melhorar o sabor dos alimentos, açúcar para preservar frutas e
vinagre para conservar pepinos e outros vegetais; entretanto, com o advento da vida
moderna mais aditivos têm sido empregados a cada ano, melhorando a qualidade dos
produtos industrializados. Na desidratação pelo método de secagem em camada de
espuma, geralmente se utilizam espessantes e estabilizantes na formulação das amostras
(SILVA, 2003).
2.4.1. Emulsificante
A crescente demanda do consumidor por produtos naturais e saudáveis tem
contribuído para aumentar o interesse pelo estudo dos ingredientes utilizados na fabricação
Capítulo2 Revisão Bibliográfica
20
de alimentos, tais como os agentes emulsificantes (DUARTE et al., 1998). Emulsificantes
são substâncias que propiciam a formação ou manutenção de uma mistura uniforme de
duas ou mais fases imiscíveis no alimento (BRASIL, 2005).
Uma emulsão é um sistema heterogêneo constituído de pelo menos um líquido
imiscível inteiramente dispersado em outro na forma de gotículas cujos diâmetros em geral
excedem 0,1
; tais sistemas possuem uma estabilidade mínima que pode ser acentuada
mediante adição de aditivos usados como agentes de superfície, sólidos finamente
divididos etc. A adição de emulsificante na matéria-prima se baseia em uma área maior de
secagem, submetendo-a rapidamente à ação do calor. A secagem, nessas condições, pela
maior taxa de água evaporada, ocorre em menor tempo e com maior facilidade uma vez
que a umidade se movimenta por capilaridade através de uma camada líquida que separa as
bolhas de espuma formadas podendo, desta forma, ser submetida a menor temperatura e
menos danos são causados ao material, no que diz respeito aos constituintes (APENBURG,
1971).
Há vários tipos de emulsificantes mas todos eles apresentam uma estrutura
molecular bastante peculiar, responsável pelas suas propriedades. Os emulsificantes são
substâncias que apresentam, na mesma molécula, uma porção hidrofílica, ou seja, que tem
afinidade por água, e uma porção lipofílica, cuja afinidade é por óleo ou outras substâncias
apolares; esta característica é que faz com que os emulsificantes possam exibir a
capacidade de formar emulsões, tornando miscíveis substâncias normalmente imiscíveis,
como água e óleo (PAVANELLI, 1998).
Os emulsificantes mono e diglicerídeos – derivados de óleos e de gorduras – os
polissorbatos e os estearatos de sorbitana, sintéticos, são os mais utilizados
(BARUFFALDI & OLIVEIRA, 1998).
2.4.2. Espessante
Espessantes são substâncias capazes de aumentar a viscosidade de soluções,
emulsões e suspensões (DZIEZAK, 1991). São usados para controlar a consistência de
alimentos líquidos e semilíquidos (BRASIL, 2005).
De acordo com BARUFFALDI & OLIVEIRA (1998), um espessante é uma
substância capaz de aumentar, nos alimentos, a viscosidade de soluções, de emulsões e de
suspensões, mantendo suas características físicas; são de grande utilidade no emprego e na
melhoria da textura e da consistência de produtos como sorvetes, pudins, cobertura para
Capítulo2 Revisão Bibliográfica
21
saladas e sopas; podem, ainda, controlar a cristalização de gelo em sorvetes e demais
alimentos formulados. A textura e a consistência adequadas podem ser conseguidas
mediante o uso de matéria-prima de melhor qualidade e através de técnicas de
processamento controladas. A grande maioria dos espessantes é proveniente de
carboidratos naturais (carragena, goma guar e goma arábica) ou modificados quimicamente
de carboximetilcelulose.
2.4.3. Estabilizantes
De acordo com CALIL & AGUIAR (1999) estabilizantes são substâncias que
favorecem e mantêm as características físicas das emulsões e suspensões. A atuação de
agentes estabilizantes encontra utilidade na estabilização de suspensões, emulsões e
espumas com dispersão de sólidos, de líquidos e de gases, respectivamente
(BARUFFALDI & OLIVEIRA, 1998).
O aditivo carboximetilcelulose e seu sal sódico (CMC) é considerado um
estabilizante e têm função de modificador de textura, controlador de migração em misturas,
agente gelificante, agente volumoso não nutritivo. A goma guar também é considerada um
estabilizante, espessante, emulsificante, agente de suspensão e tem como função aumentar
o volume (CALIL & AGUIAR, 1999).
2.5. Isotermas de adsorção de umidade
Segundo FERREIRA & PENA (2003) a umidade de um alimento é expressa pelo
valor obtido na determinação da água total contida no mesmo; entretanto, este valor não
fornece indicações de como a água está distribuída nem permite saber se toda ela está
ligada da mesma maneira; desta forma, o conhecimento da distribuição da água no
alimento é mais importante que simplesmente o conhecimento da umidade.
Segundo FIOREZE & MADRUGA (2003) colocando-se um produto biológico em
um ambiente com temperatura e umidade constantes, por um tempo suficientemente longo,
este produto atingirá um ponto de equilíbrio onde não haverá perda nem ganho de umidade
pelo produto referido teor de umidade do produto é o teor de umidade de equilíbrio, mas
não significa que a umidade do produto e a do ar sejam iguais mas, sim, que as pressões de
vapor na superfície do produto e do ar são iguais, mas sim que as pressões de vapor na
Capítulo2 Revisão Bibliográfica
22
superfície do produto e do ar também são iguais. A umidade relativa do ar em equilíbrio
higroscópico com o produto também é conhecida como atividade de água.
A atividade de água (a
w
) é uma medida da quantidade de moléculas de água livres
ou ativas, geralmente obtida em relação à pressão de vapor da água pura e varia de 0 a 1;
esta medida é de fundamental importância visto que, por meio dela, pode-se prever reações
químicas e enzimáticas e o desenvolvimento de microrganismos. A partir do conhecimento
da a
w
pode-se, também, propor sistemas adequados de embalagem para um produto
(CARVALHO, 1994; TEIXEIRA NETO et al., 1976).
PEREDA (2005) relatou que a diminuição da atividade de água freia o crescimento
de microrganismos (nesta ordem: bactérias, leveduras e mofos), de tal forma que se detém
totalmente a valores de 0,6 ou inferiores; igualmente, a velocidade das reações químicas
que ocorrem em um alimento, tanto enzimáticas como não enzimáticas, depende da
quantidade de água disponível. A medida em que a atividade de água diminui a velocidade
da reação vai se tornando mais lenta.
Isotermas de adsorção de umidade descrevem a quantidade de água adsorvida por
um produto, em dada temperatura, em função da a
w
ou da umidade relativa. Através das
isotermas pode-se determinar a umidade na monocamada a qual, além de estar relacionada
com o início de uma série de reações químicas de deterioração dos alimentos, representa o
ponto de maior gasto de energia em um processo de secagem (KAREL, 1975;
LANDROCK & PROCTOR, 1951; PRIOR, 1979; ROCKLAND, 1957).
Em materiais higroscópicos é de suma importância a determinação das isotermas de
sorção (adsorção ou dessorção) de umidade as quais têm aplicação na predição do tempo
de secagem, da vida de prateleira em determinada embalagem e dos requisitos básicos
necessários para que se possa embalar um produto e, ainda, na caracterização de um
produto quando o mesmo é constituído de componentes de atividade de água diferentes
(PENA et al., 2000).
Conhecendo-se a curva de umidade de equilíbrio - isoterma de sorção - de um
alimento, é possível gerenciar os processos de desidratação, embalagem e armazenagem,
de modo a se obter os níveis de atividade de água que minimizem as alterações
indesejáveis durante a armazenagem (LABUZA, 1980; MOSSEL, 1975).
As isotermas de sorção permitem estimar o tempo máximo de armazenamento do
produto em embalagem, com uma permeabilidade ao vapor de água conhecida em função
da quantidade de água absorvida; igualmente, pode-se estabelecer o comportamento de um
alimento em diferentes condições de armazenamento (PEREDA, 2005).
Capítulo2 Revisão Bibliográfica
23
Muitos modelos matemáticos foram propostos para a descrição do comportamento
das isotermas de sorção, sendo esses classificados em três categorias (AL-MUHTASED et
al., 2004): modelos teóricos, modelos semi-empíricos e modelos empíricos.
GAB
O modelo de GAB (Eq. 2.4) é considerado um dos mais versáteis para a
representação do comportamento das isotermas de sorção (AL-MUHTASED et al., 2004).
www
wm
e
CKaKa)(Ka(
CKaX
U
+
=
11
(2.4)
em que:
U
e
- umidade de equilíbrio
a
w
- atividade de água
X
m
- umidade na monocamada molecular
C e K - parâmetros que dependem da temperatura e natureza do produto
Oswin
O modelo de Oswin (Eq. 2.5) é uma série matemática expandida para curvas com
formato S, em que este modelo não considera o efeito da temperatura (YAZDAMI et al.,
2006).
()
b
w
w
e
a
a
aU
=
1
(2.5)
em que:
U
e
- umidade de equilíbrio
a
w
- atividade de água
a e b - parâmetros de ajuste do modelo
Peleg
O modelo de Peleg é empregado para ajustes de dados experimentais pelo fato
deste modo representar isotermas de sorção sigmoidais e não sigmoidais (PELEG, 1993).
Capítulo2 Revisão Bibliográfica
24
21
21
n
w
n
we
akakU += (2.6)
em que:
U
e -
umidade de equilíbrio
a
w
- atividade de água
k
1
e k
2
- constantes da equação
n
1
e n
2
- constantes da equação
2.6. Embalagem
De acordo com BRASIL (2005) a qualidade dos produtos alimentícios depende
diretamente de fatores de natureza química, física e biológica, que atuam sobre o alimento
durante o período de tempo entre sua produção e seu consumo, denominado vida-de-
prateleira do alimento. Neste contexto, a embalagem é de importância fundamental. Ainda
segundo BRASIL (2005) uma das principais funções da embalagem é entregar ao
consumidor um alimento com o mesmo nível de qualidade dos produtos frescos ou recém-
preparados, devido à sua capacidade de protegê-los contra agentes deteriorantes,
infectantes e sujidades; atua como barreira física de proteção para o produto contra o
contato direto com o meio ambiente, evitando contaminações, manuseio inadequado, falta
de higiene e perda das características próprias do produto.
As embalagens devem evitar as alterações das características sensoriais do produto
além de satisfazer as necessidades de marketing, custo e disponibilidade, entre outras; além
desses requisitos a boa hermeticidade do sistema de fechamento assegura a manutenção
das características do material de embalagem e evita a recontaminação microbiológica do
produto (JAIME et al., 1998).
Todo alimento deve ser protegido por uma embalagem que, além da função
protetora, pode ter funções de propaganda e facilitar seu manuseio no processamento,
armazenamento e uso pelo consumidor (BOBBIO & BOBBIO, 1992a).
De acordo com ALVES (2001) a vida-de-prateleira depende, fundamentalmente, da
proteção oferecida pela embalagem contra a absorção de umidade presente no ambiente de
estocagem.
Segundo EVANGELISTA (1994), para que a embalagem possa cumprir todas as
funções que lhe competem, é imprescindível que sua escolha se faça por rígido
Capítulo2 Revisão Bibliográfica
25
planejamento do qual constem o estudo da embalagem, em todos os seus aspectos, e a
viabilidade de sua utilização.
De acordo com BOBBIO & BOBBIO (1992b), os laminados são embalagens
compostas em que são sobrepostos filmes plásticos, de alumínio, de papel ou de papelão e
outro filme plástico. Essas embalagens ganham espaço no mercado por serem leves e,
como principal vantagem, permitem o aquecimento do alimento diretamente na
embalagem, facilitando o uso rápido de alimentos congelados ou pré-cozidos.
Capítulo 3 Material e Métodos
26
3. MATERIAL MÉTODOS
Este trabalho foi realizado no Laboratório de Armazenamento e Processamento de
Produtos Agrícolas (LAPPA) da Unidade Acadêmica de Engenharia Agrícola, em conjunto
com o Laboratório de Transferência em Meios Porosos e Sistemas Particulados do
Departamento de Engenharia Química, ambos da Universidade Federal de Campina
Grande, PB.
3.1. Matéria-prima
A polpa de mangaba (Hancornia speciosa Gomez) foi adquirida na Estação
Experimental de Mangabeira pertencente à EMEPA (Empresa Estadual de Pesquisa
Agropecuária da Paraíba S.A) em João Pessoa, PB.
3.2. Características químicas, físico-químicas e físicas
Características químicas, físico-químicas e físicas foram determinadas na polpa da
mangaba integral, na polpa de mangaba formulada e na mangaba em pó, produzidas pelo
método de secagem em camada de espuma.
3.2.1. Umidade/Sólidos totais
A umidade e os sólidos totais foram determinados de acordo com as normas
analíticas do Instituto Adolfo Lutz (BRASIL, 2005).
3.2.2. Ácido ascórbico
Segundo a metodologia da AOAC (1997) modificada por BENASSI & ANTUNES
(1988) que utiliza como solução extratora o ácido oxálico; este método se baseia na
titulação da amostra, empregando-se o 2,6 diclorofenolindofenol sódio que dá cor azul em
solução alcalina e cor rósea em solução ácida. Os resultados obtidos foram expressos em
miligrama de ácido ascórbico por cem gramas da amostra.
Capítulo 3 Material e Métodos
27
3.2.3. pH
O pH foi realizado através do método potenciométrico calibrando-se o
potenciômetro com soluções tampão (pH 4,0 e 7,0), a 20 ºC, imergindo-se em seguida o
elétrodo em béquer contendo a amostra e se lendo o valor no visor do aparelho com os
resultados expressos em unidades de pH.
3.2.4. Acidez total titulável
Utilizou-se, na determinação da acidez total titulável, o método acidimétrico da
AOAC (1997), através da solução padronizada de NaOH 0,1N.
3.2.5. Açúcares redutores
Os açúcares redutores foram determinados utilizando-se o método de redução
alcalina (AOAC, 1997) baseado na redução dos sais cúpricos e óxidos cuprosos presentes
na solução de Fehling. Os resultados foram expressos em porcentagem de glicose.
3.2.6. Resíduo mineral fixo (cinzas)
O teor de cinzas foi determinado de conformidade com o método da AOAC (1997)
e os resultados foram expressos em porcentagem.
3.2.7. Sólidos solúveis totais (°Brix)
Determinou-se o teor de sólidos solúveis totais (°Brix) por leitura direta em
refratômetro, com correção de temperatura, com base na tabela contida no manual do
Instituto Adolfo Lutz (BRASIL, 2005).
3.2.8. Densidade
A densidade foi determinada através da relação entre a massa e o volume da
amostra.
Capítulo 3 Material e Métodos
28
3.2.9. Cor
Realizou-se a análise da cor das amostras utilizando-se o colorímetro construído
por MOTTA (2005), que fornece os valores dos parâmetros luminosidade (L*), que varia
do branco (100) ao preto (0); a* definido como a transição da cor verde (-a*) para a cor
vermelha (+a*) e b* que representa a transição da cor azul (-b*) para a cor amarela (+b*).
3.3. Secagem em camada de espuma
Obteve-se a mangaba em pó mediante o processo de secagem em camada de
espuma (foam-mat), seguindo-se as etapas do fluxograma da Figura 3.1; para tal, elaborou-
se uma formulação composta de polpa de mangaba, um emulsificante (produto à base de
monoglicerídeos destilados, monoestearato de sorbitana e polisorbato 60) e um espessante
(produto à base de sacarose e dos espessantes, carboximetil-celulose e goma guar). A
formulação foi homogeneizada em batedeira doméstica até formar uma espuma com
características adequadas à secagem, o que foi alcançado em um tempo de 6 minutos de
“batimento”, resultando em uma densidade variando entre 0,4 a 0,5 g/cm
3
.
A espuma foi espalhada sobre bandejas de aço inoxidável em uma camada de 0,3
cm a qual, por sua vez, foi levada para desidratação em estufa com circulação forçada de
ar, nas temperaturas de 50, 60 e 70°C. O produto desidratado foi retirado das bandejas e
triturado em multiprocessador doméstico, para obtenção do produto finamente pulverizado.
Capítulo 3 Material e Métodos
29
Figura 3.1. Fluxograma das etapas para a secagem em camada de espuma da polpa de
mangaba
3.4. Cinética de secagem
As curvas de secagem da amostra formulada foram feitas em estufa com circulação
forçada de ar, nas temperaturas de 50, 60 e 70
o
C, pesando-se as bandejas até peso
constante em intervalos regulares.
Realizaram-se a análise do processo de secagem e a representação dos dados
experimentais de secagem utilizando-se os modelos semi-teóricos de Cavalcanti Mata (Eq.
3.1), Henderson & Pabis (Eq. 3.2) e Page (Eq. 3.3).
Cavalcanti Mata
5
a
3
a
1
a)btexp(.a)]bt[exp(aRu
42
++= (3.1)
em que:
Ru – razão de umidade
a
1,
a
2
, a
3,
a
4,
a
5
e b – parâmetros da equação
t – tempo (min)
POLPA
PESAGEM
FORMULAÇÃO
AGITAÇÃO
SECAGEM
BATEDEIRA
ADITIVOS
Capítulo 3 Material e Métodos
30
Henderson & Pabis
)ktexp(aRu = (3.2)
em que:
Ru – razão de umidade
a – constante adimensional da equação
k – constante da equação (1/h)
t – tempo (min)
Page
)ktexp(Ru
n
= (3.3)
em que:
Ru – razão de umidade
k – constante da equação (1/h)
n – constante da equação
t – tempo (min)
Os modelos foram aplicados aos dados experimentais de secagem por regressões
não-lineares utilizando-se o programa computacional STATISTICA, versão 5.0.
Como critério de avaliação da representatividade dos modelos adotaram-se o
coeficiente de determinação (R
2
) e o desvio quadrático médio (DQM). Quanto menor o
valor de DQM e maior o valor de R
2
, melhor o ajuste da equação.
(
)
n
RURU
DQM
exppred
2
Σ
=
(3.4)
em que:
DQM – desvio quadrático médio
RU
pred
– razão de umidade predito pelo modelo
RU
exp
– razão de umidade experimental
n – número de observações
Capítulo 3 Material e Métodos
31
3.5. Armazenamento
As amostras da mangaba em pó obtidas pelo processo de secagem em camada de
espuma, nas três temperaturas, foram acondicionadas em dois tipos de embalagem
laminada: Laminada 1 e Laminada 2 (Figura 3. 2). A embalagem Laminada 1 era composta
de uma camada com espessura de 20 µm de BOPP Metal (polipropileno biorientado com
metalização de alumínio) e uma camada com espessura de 90 µm de PEBD Cristal
(polietileno de baixa densidade). A embalagem Laminada 2 era formada de uma camada
com espessura de 25 µm de BOPP pérola (polipropileno biorientado) e outra com
espessura de 12 µm de poliéster.
Figura 3.2. Embalagem Laminada 1 e 2
O tamanho das embalagens era de aproximadamente 9 cm de comprimento por 9
cm de largura, contendo mais ou menos 30 g da amostra.
As amostras embaladas foram armazenadas durante seis meses, em local seco e
arejado, a temperatura ambiente e avaliadas quanto às características ácido ascórbico,
umidade, pH, acidez total titulável, açúcares redutores, cinzas e cor. A partir do tempo
inicial foram retiradas a cada trinta dias, amostras para essas determinações, de acordo com
as metodologias descritas no item 3.2.
3.6. Análise estatística
A análise estatística dos dados experimentais obtidos ao longo do armazenamento
foi executada através do programa computacional ASSISTAT 7.2 (SILVA & AZEVEDO,
2002); aplicaram-se o delineamento inteiramente casualizado consistindo de 7 tempos de
armazenamento x 3 repetições e a comparação entre médias pelo teste de Tukey. Para
Laminada 1
Laminada 2
Capítulo 3 Material e Métodos
32
alguns parâmetros também se aplicou a regressão na análise de variância sugerindo
equações polinomiais de estimativa das características com o tempo de armazenamento.
3.7. Isotermas de adsorção de umidade
As isotermas de adsorção de umidade das amostras de mangaba em pó foram
determinadas em diferentes temperaturas (20, 25 e 30
o
C), utilizando-se o método estático-
indireto, baseado no estudo efetuado por CAPRISTE & ROTSTEIN (1982).
As medidas das atividades de água a temperatura controlada das amostras de
mangaba em pó foram determinadas no higrômetro Termoconstanter Novasina (TH200);
pesou-se aproximadamente 1 g da formulação em pó dentro da célula que acompanha o
aparelho; em seguida, a célula foi levada ao equipamento para a leitura da atividade de
água; quando a massa da amostra entrou em equilíbrio fez-se a leitura da atividade de água
e a pesagem da massa da amostra; após a pesagem a amostra foi transferida para um
ambiente saturado (dessecador com água destilada) para o produto absorver umidade;
decorridos 30 minutos, a amostra retornava ao equipamento para a realização de uma nova
leitura; posterior à determinação desses pontos, as amostras foram levadas a uma estufa
para a determinação da massa seca e, conseqüentemente, da umidade de equilíbrio.
A umidade de equilíbrio (Equação 3.5) em base seca foi determinada pela relação
entre a massa da água no equilíbrio e a massa seca.
100
s
água
e
m
m
U =
(3.5)
em que:
U
e
- umidade de equilíbrio (%base seca)
m
água -
massa de água adsorvida pela amostra (g)
m
s
- massa seca da amostra (g)
Os modelos de GAB, Oswin e Peleg foram ajustados às isotermas de adsorção de
umidade das amostras em pó.
Capítulo 3 Material e Métodos
33
GAB
www
wm
e
CKaKa)(Ka(
CKaX
U
+
=
11
(3.6)
em que:
U
e
- umidade de equilíbrio
a
w
- atividade de água
X
m
- umidade na monocamada molecular
C e K - parâmetros que dependem da temperatura e natureza do produto
Oswin
()
b
w
w
e
a
a
aU
=
1
(3.7)
em que:
U
e
- umidade de equilíbrio
a
w
- atividade de água
a e b - parâmetros de ajuste do modelo
Peleg
21
21
n
w
n
we
akakU += (3.8)
em que:
U
e -
umidade de equilíbrio
a
w
- atividade de água
k
1
e k
2
- constantes da equação
n
1
e n
2
- constantes da equação
Os critérios usados para determinação do melhor ajuste dos modelos aos dados
experimentais, foram: o coeficiente de determinação (R
2
), o erro relativo (ε), calculado
pela Equação 3.9, e o desvio percentual médio (P), calculado pela Equação 3.10.
Capítulo 3 Material e Métodos
34
(exp)
)((exp)
e
teor
ee
U
UU
=
ε
(3.9)
()
=
=
n
i
(exp)
e
)teor(
e
(exp)
e
U
UU
.
n
P
1
100
(3.10)
em que:
ε - erro relativo
U
e (exp)
– umidade de equilíbrio experimental (% base seca)
U
e (teor)
- umidade de equilíbrio predito pelo modelo (% base seca)
P - desvio percentual médio (%)
n - número de dados experimentais
Capítulo 4 Resultados e Discussão
35
4. RESULTADOS E DISCUSSÃO
4.1. Caracterização da matéria-prima e da polpa formulada
Estão apresentados na Tabela 4.1, os resultados médios da caracterização físico-
química da polpa de mangaba integral e da polpa de mangaba formulada com as médias
gerais, desvios mínimos significativos (DMS) e coeficientes de variação (CV).
Tabela 4.1. Valores médios dos parâmetros químicos e físico-químicos da polpa de
mangaba integral e da polpa de mangaba formulada com aditivos
Parâmetro
Polpa de
mangaba
integral
Polpa de
mangaba
formulada
Média
Geral
DMS
CV
(%)
Umidade (%) 84,24a 82,97b 83,60 0,04 0,03
Sólidos totais (%) 15,76b 17,03a 16,40 0,04 0,13
pH 3,15a 3,14a 3,15 0,012 0,16
Sólidos solúveis totais (
o
Brix) 15,06b 17,81a 16,43 0,01 0,03
Cinzas (%) 0,46a 0,41b 0,43 0,04 0,61
Ácido ascórbico (mg/100g) 122,69a 99,50b 111,10 0,12 0,06
Acidez total titulável (% ac. cítrico) 1,65a 1,55b 1,60 0,04 1,31
Açúcares redutores (%glicose) 7,69a 7,01b 7,35 0,14 1,11
Luminosidade (L
*
) 65,01b 79,89a 72,45 0,01 0,01
Intensidade de vermelho (+a
*
) 16,48a 9,71b 13,10 0,01 0,04
Intensidade de amarelo (+b
*
) 27,46a 17,23b 22,35 0,01 0,02
Densidade (g/cm
3
) 1,066a 0,49b 0,78 0,02 1,18
DMS: Desvio mínimo significativo; CV: Coeficiente de variação
Obs: As médias seguidas da mesma letra nas linhas não diferem estatisticamente pelo teste de Tukey, a 5% de
probabilidade
Observa-se que os coeficientes de variação de todos os parâmetros avaliados foram
inferiores a 1,5%; portanto, considerados baixos (< 5%), segundo classificação de
SANTOS et al. (2003), significando que não existem grandes diferenças entre as
propriedades da polpa integral e da polpa formulada.
Capítulo 4 Resultados e Discussão
36
Constata-se que os valores médios da umidade da polpa de mangaba integral e
formulada diferiram estatisticamente pelo teste de Tukey a 5% de probabilidade. A
umidade da polpa integral foi próxima à determinada por FERREIRA & NARAIN (2003),
para a mangaba madura, que foi de 83,14%. O valor médio encontrado para a umidade da
polpa formulada foi 1,51% inferior ao determinado para a polpa integral, comportamento
este esperado em razão da incorporação de aditivos reduzir com o teor de água livre da
amostra.
Os valores médios dos sólidos totais para a polpa de mangaba integral e formulada
também diferiram estatisticamente pelo teste de Tukey a 5% de probabilidade, sendo o
valor da polpa integral próximo ao determinado por FERREIRA & NARAIN (2003). Com
a adição dos aditivos à polpa o teor de sólidos totais da polpa de mangaba formulada
aumentou significativamente como previsto.
O pH da polpa de mangaba integral e da polpa formulada não difere
estatisticamente. O valor médio do pH da polpa integral é próximo ao obtido por
FONSECA et al. (2003) que foi de 3,17, e inferior ao avaliado por MATTIETTO et al.
(2003), isto é, de 3,42 unidades de pH. Constata-se que a incorporação dos aditivos à polpa
integral não influenciou no pH da polpa formulada.
Os sólidos solúveis totais (°Brix) e a fração de cinzas da polpa de mangaba integral
e da polpa formulada são estatisticamente diferentes. Os sólidos solúveis totais da polpa
integral estão na mesma faixa de valores determinada por SOUZA et al. (2003) que foi de
15,20°Brix, e inferior ao encontrado por ALVES et al. (2003) de 16,72°Brix, para frutos de
mangaba maduros. Como os aditivos utilizados são sólidos solúveis a polpa formulada
ficou com °Brix maior que a polpa integral.
O teor de cinzas da polpa de mangaba integral foi superior ao encontrado por
MACÊDO et al. (2003) de 0,29%; as cinzas da polpa formulada foram inferiores às da
polpa integral, em razão dos aditivos não conterem, em sua formulação, minerais.
O ácido ascórbico da polpa de mangaba integral e da polpa formulada é
estatisticamente diferente; o teor médio de ácido ascórbico da polpa integral foi superior ao
avaliado por FONSECA et al. (2003) e CARVALHO et al. (2003), cujos valores foram
101,91 e 103,50 mg/100g, respectivamente. Para HARRIS (1977) a composição química
de frutas e hortaliças pode ser afetada por diversos fatores, a exemplo do grau de
maturação, condições climáticas, e cultivares, dentre outros, explicando assim a variação
encontrada entre os valores de ácido ascórbico relatados pelos autores anteriormente
citados e o obtido no presente estudo. Essas variações do conteúdo de ácido ascórbico
Capítulo 4 Resultados e Discussão
37
entre os mesmos tipos de alimento ocorrem entre diferentes espécimes e dependem, ou
estão relacionados com a origem do produto, manuseio na colheita, transporte e
armazenamento (ALDRIGUE, 2003). O valor médio do teor de ácido ascórbico da polpa
de mangaba formulada foi 18,90% menor que o determinado para a polpa integral, fato
também em razão dos aditivos não conterem, em sua formulação, ácido ascórbico.
A acidez total titulável das polpas de mangaba integral e formulada apresentou
diferenças significativas. O valor médio da acidez total titulável da polpa integral foi
semelhante ao determinado por MACÊDO et al. (2003) que foi, em média, de 1,67% de
ácido cítrico e pouco superior ao relatado por CARVALHO et al. (2003), de 1,48% de
ácido cítrico. Para a polpa formulada o valor médio da acidez total titulável foi 6,06%
inferior ao determinado na polpa integral; desta forma, os aditivos não contribuíram com o
aumento da acidez da amostra.
Os valores médios dos açúcares redutores para as polpas de mangaba integral e
formulada diferiram estatisticamente pelo teste de Tukey a 5% de probabilidade; o teor de
açúcares redutores da polpa de mangaba integral é próximo ao valor experimental obtido
por ALVES et al. (2003) para a polpa de mangaba madura, que foi 7,72% de glicose. O
teor de açúcares redutores da polpa formulada foi 8,84% menor que o da polpa integral.
Através dos parâmetros da cor, representados pela luminosidade (L*= 65,01),
intensidade de vermelho (a*=+16,48) e intensidade de amarelo (b*=+27,46), nota-se
predominância da cor amarela na polpa de mangaba integral estudada. Observados os
parâmetros da cor da polpa formulada em estudo, verifica-se que houve um aumento
significativo da luminosidade (L*) com relação à da polpa integral mas a intensidade de
vermelho e de amarelo, diminuiu significativamente com relação ao observado para a
polpa integral, representando que a amostra perdeu um pouco da cor tornando-se menos
amarela e menos vermelha. OLIVEIRA et al. (2006) também verificaram reduções nos
parâmetros +a* e +b* na polpa de pitanga formulada com adição de 15% de maltodextrina,
em relação aos valores na polpa integral. O aumento de L* significa que houve um
clareamento da amostra, comportamento que se deve, provavelmente, à incorporação dos
aditivos à polpa deixando a polpa formulada mais clara.
Os valores médios da densidade para as polpas de mangaba integral e formulada
diferiram estatisticamente pelo teste de Tukey a 5% de probabilidade. A densidade da
polpa de mangaba integral foi superior ao valor obtido por DUARTE at al. (2003) de 1,030
g/cm
3
para a polpa de mangaba e dentro da faixa determinada por LIMA et al. (1994) que
foi de 1,048 g/cm
3
para polpa de mangaba com 11,3
o
Brix e de 1,075 g/cm
3
para a polpa
Capítulo 4 Resultados e Discussão
38
com 19,5
o
Brix; já para a polpa de mangaba formulada, nota-se uma diminuição acentuada
da densidade, de aproximadamente 50%, atingindo o objetivo com a adição dos aditivos à
polpa integral, que era de reduzir a densidade para valores próximos a 0,5 g/cm
3
, com a
finalidade de facilitar o processo de secagem.
4.2. Cinética de secagem
Na Tabela A.1 (Apêndice A) tem-se os dados experimentais da razão de umidade
da polpa de mangaba formulada em função do tempo de armazenamento durante a
secagem nas temperaturas de 50, 60 e 70
o
C.
Na Figura 4.1 se acham as curvas experimentais de secagem da polpa de mangaba
formulada nas temperaturas de 50, 60 e 70
o
C, na forma do adimensional de umidade
(razão de umidade) em função do tempo. Verifica-se redução da razão de umidade em
função do tempo e que o menor tempo de secagem ocorreu na temperatura de 70 ºC.
Percebe-se também que no início do processo de secagem a perda de umidade foi maior.
Os tempos de secagem foram de 3 horas e 30 minutos para temperatura de 50 ºC, de 3
horas para temperatura de 60 ºC e 2 horas para temperatura de 70 ºC verificando-se, desta
forma, que as curvas de secagem foram influenciadas pela temperatura com a redução nos
tempos sob o efeito da utilização de temperaturas mais elevadas do ar de secagem.
GOUVEIA et al. (2003) constataram este efeito significativo da temperatura no processo
de secagem de frutos de cajá; comportamento também foi observado por ALEXANDRE et
al. (2006), ao secarem polpa de pitanga pelo processo de secagem em camada de espuma;
entretanto, esses pesquisadores verificaram tempos de secagem superiores nessas mesmas
temperaturas; já SOARES et al. (2001) ao produzirem acerola em pó pelo processo de
secagem em camada de espuma a 70
o
C, conseguiram realizar os experimentos em um
tempo menor (90 min).
Diante dos resultados concorda-se com a afirmação de KROKIDA et al. (2003)
que, ao secarem vários tipos de vegetais, relataram que a temperatura é considerada
variável mais importante no processo de secagem.
Capítulo 4 Resultados e Discussão
39
0 20 40 60 80 100 120 140 160 180 200 220
Tempo (min)
0,0
0,2
0,4
0,6
0,8
1,0
(U-Ue)/(Ui-Ue)
50º C
60º C
70º C
Figura 4.1. Curvas de secagem da polpa de mangaba formulada nas temperaturas de 50,
60 e 70
o
C
Estão apresentados na Tabela 4.2 os valores dos parâmetros dos modelos de
Cavalcanti Mata, Henderson & Pabis e Page ajustados às curvas de secagem da polpa de
mangaba formulada nas temperaturas de 50, 60 e 70
o
C, os coeficientes de determinação
(R
2
) e os desvios quadráticos médios.
Nota-se que os modelos utilizados se ajustaram bem aos dados experimentais das
secagens apresentando coeficientes de determinação acima de 0,99 e desvios quadráticos
médios variando entre 0,0103 e 0,1024. Constata-se que o modelo de Cavalcanti Mata
apresentou os maiores valores de R
2
porém os modelos de Henderson & Pabis e Page
apresentaram também R
2
acima de 0,99, podendo ser usado qualquer um dos três modelos
na estimativa das curvas de secagem da polpa de mangaba formulada. ALEXANDRE et al.
(2006) ao ajustarem os modelos de Henderson & Pabis e Page as curvas de secagem da
polpa de pitanga formulada, desidratada nas mesmas temperaturas estudadas, pelo método
de secagem em camada de espuma, encontraram R
2
acima de 0,96.
Observa-se que ao se ajustar o modelo de Cavalcanti Mata com seis parâmetros às
curvas de secagem da polpa de mangaba formulada nas temperaturas de 50, 60 e 70 ºC, os
valores de a
1
e a
3
foram inferiores a 1, indicando redução com o aumento da temperatura e
os parâmetros a
2
e a
4
com valores variando entre 0,9 e 1,3, aumentaram com o aumento da
temperatura. Notam-se oscilações nos valores com o aumento da temperatura para os
parâmetros b e a
5
.
Capítulo 4 Resultados e Discussão
40
Aumento nos valores com o acréscimo da temperatura foi observado também em
relação aos parâmetros A e K do modelo de Henderson & Pabis. Para GUEDES &
FARIAS (2000) o parâmetro K do modelo de Henderson & Pabis é influenciado pela
temperatura; referidos pesquisadores relataram ainda que esta constante pode ser descrita
por uma equação do tipo Arrhenius, como uma função da temperatura do ar de secagem.
Comportamento semelhante a este, também foi observado por ALEXANDRE et al. (2006)
ao ajustarem o modelo de Henderson & Pabis às curvas de secagem da polpa de pitanga,
nas temperaturas 50, 60 e 70 ºC.
A constante K do modelo de Page mostrou acréscimo com o aumento da
temperatura, estando de acordo com o comportamento verificado por LOUREIRO (2006) e
SIMAL et al. (2005) ao ajustarem este modelo às curvas de secagem da polpa de buriti e
kiwi, respectivamente.
Tabela 4.2. Parâmetros dos modelos ajustados às curvas da cinética de secagem da polpa
de mangaba formulada e seus respectivos coeficientes de determinação (R
2
) e
desvios quadráticos médios (DQM)
Parâmetro
Modelo
Temp.
(°C)
a
1
b a
2
a
3
a
4
a
5
R
2
DQM
50
0,69176 0,00853 0,94361 0,69186 0,94299 -0,39318 0,9988 0,0418
60
0,51488 0,00822 1,15985 0,51488 1,15985 -0,0042 0,9989 0,0103
Cavalcanti
Mata
70
0,51112 0,01008 1,21559 0,51112 1,21559 -0,03174 0,9994 0,0881
Parâmetro
Modelo
Temp.
(°C)
A K
R
2
DQM
50
1,0115 0,0117 0,9917 0,0474
60
1,0335 0,0118 0,9950 0,0992
Henderson
&
Pabis
70
1,0444 0,0255 0,9943 0,0581
Parâmetro
Modelo
Temp.
(°C)
K N
R
2
DQM
50
0,0061 1,1458 0,9945 0,0347
60
0,0079 1,1951 0,9982 0,1024
Page
70
0,0095 1,2522 0,9989 0,0451
Capítulo 4 Resultados e Discussão
41
Nas Figuras 4.2 a 4.4 apresentadam às curvas de secagens da polpa de mangaba
formulada, nas temperaturas de 50, 60 e 70 ºC, com ajustes pelos modelos de Cavalcanti
Mata, Henderson & Pabis e Page. Verifica-se, dentre os modelos testados, que a curva
gerada com base No modelo de Cavalcanti Mata a partir do tempo de 80 min, se aproxima
mais dos pontos experimentais, seguida da curva gerada a partir do modelo de Page. Com
o tempo de 80 min, o modelo de Henderson & Pabis se ajustou com menor precisão aos
dados experimentais que os demais modelos.
Observa-se, nessas figuras, que os tempos de secagem foram muito superiores aos
da polpa de manga seca a 60 ºC contendo, em sua formulação, albumina do ovo e metil
celulose, que foi de apenas 35 min e umidade final de 5,56% (RAJKUMAR et al., 2007).
0 20 40 60 80 100 120 140 160 180 200
Tempo (min)
0,0
0,1
0,2
0,3
0,4
0,5
0,6
0,7
0,8
0,9
1,0
(U-U
e
)/(U
i
-U
e
)
Cavalcanti Mata
Henderson & Pabis
Page
Dados experimentais
Figura 4.2. Curvas de secagem da formulação com aditivos para temperatura de 50
o
C,
com ajuste pelos modelos de Cavalcanti Mata, Henderson & Pabis e Page
Capítulo 4 Resultados e Discussão
42
0 20 40 60 80 100 120 140 160 180 200
Tempo (min)
0,0
0,1
0,2
0,3
0,4
0,5
0,6
0,7
0,8
0,9
1,0
(U-U
e
)/(U
i
-U
e
)
Cavalcanti Mata
Henderson & Pabis
Page
Dados experimentais
Figura 4.3. Curvas de secagem da formulação com aditivos para temperatura de 60
o
C,
com ajuste pelos modelos de Cavalcanti Mata, Henderson & Pabis e Page
0 40 80 120 160 200
Tempo (min)
0,0
0,2
0,4
0,6
0,8
1,0
(U-U
e
)/(U
i
-U
e
)
Cavalcanti Mata
Henderson & Pabis
Page
Dados experimentais
Figura 4.4. Curvas de secagem da formulação com aditivos para temperatura de 70
o
C,
com ajuste pelos modelos de Cavalcanti Mata, Henderson & Pabis e Page
Capítulo 4 Resultados e Discussão
43
4.3. Isotermas de adsorção de umidade das formulações em pó
As Tabelas 4.3 a 4.5 relacionam os valores experimentais da umidade de equilíbrio
(U
e
) com atividade de água (a
w
), nas temperaturas de 20, 25 e 30 °C, para a mangaba em
pó desidratada a 50, 60 e 70 ºC. Observa-se que a umidade de equilíbrio (U
e
) aumenta com
o aumento da atividade de água para uma mesma temperatura. Nas amostras de mangaba
em pó a 50 ºC, os valores da umidade de equilíbrio variaram entre as atividades de água
mínima e máxima em 176,4, 186,2 e 185,1% nas temperaturas de 20, 25 e 30 ºC,
respectivamente. Para a mangaba em pó obtida a 60 ºC os valores da umidade de equilíbrio
sofreram um acréscimo entre a atividade de água mínima e máxima de 198,0, 152,3 e
162,0% nas temperaturas de 20, 25 e 30 °C, respectivamente. Quanto às amostras
desidratadas a 70 ºC verifica-se um aumento da umidade de equilíbrio entre as atividades
de água mínima e máxima de 206,6, 184,6 e 177,2%, nas respectivas temperaturas de 20,
25 e 30 ºC.
Tabela 4.3. Valores experimentais da umidade de equilíbrio (U
e
) da mangaba em pó obtida
a 50 °C
Temperatura (ºC)
20 25 30
a
w
U
e
(% B.S.) a
w
U
e
(% B.S.) a
w
U
e
(% B.S.)
0,407 32,45 0,401 31,54 0,417 26,18
0,486 36,70 0,511 37,34 0,499 29,73
0,538 39,87 0,558 40,88 0,543 32,06
0,600 43,03 0,607 40,17 0,584 34,33
0,642 45,64 0,641 44,50 0,632 36,01
0,703 50,11 0,697 48,15 0,666 37,61
0,745 53,81 0,727 50,66 0,732 42,75
0,897 89,68 0,896 90,26 0,883 74,65
Capítulo 4 Resultados e Discussão
44
Tabela 4.4. Valores experimentais da umidade de equilíbrio (U
e
) da mangaba em pó
obtida a 60 ºC
Temperatura (ºC)
20 25 30
a
w
U
e
(% B.S.) a
w
U
e
(% B.S.) a
w
U
e
(% B.S.)
0,418 32,43 0,422 33,58 0,416 34,22
0,502 37,34 0,503 38,04 0,483 37,91
0,545 40,29 0,551 41,20 0,523 40,81
0,606 43,08 0,572 43,69 0,578 43,83
0,651 44,78 0,630 45,78 0,615 45,93
0,710 50,22 0,673 48,79 0,674 49,89
0,750 53,98 0,704 51,38 0,718 53,67
0,910 96,63 0,869 84,71 0,871 89,65
Tabela 4.5. Valores experimentais da umidade de equilíbrio (U
e
) da mangaba em pó obtida
a 70 °C
Temperatura (ºC)
20 25 30
a
w
U
e
(%B.S.) a
w
U
e
(%B.S.) a
w
U
e
(%B.S.)
0,247 29,37 0,213 31,27 0,218 32,84
0,395 34,17 0,383 35,62 0,390 37,74
0,445 37,84 0,435 39,27 0,444 41,29
0,485 41,39 0,472 42,27 0,484 44,67
0,536 45,39 0,501 44,74 0,513 46,98
0,631 50,90 0,561 48,66 0,575 50,63
0,683 54,47 0,610 51,74 0,613 53,82
0,880 90,05 0,859 88,99 0,855 91,02
Capítulo 4 Resultados e Discussão
45
Tem-se, nas Tabela B.1 a B.28 (Apêndice B) os valores teóricos da umidade de
equilíbrio da mangaba em pó, os resíduos e os erros relativos dos modelos testados.
Nas Tabelas 4.6, 4.7 e 4.8 se encontram os valores dos parâmetros dos modelos de
GAB, Peleg e Oswin, ajustados às isotermas de adsorção de umidade da mangaba em pó,
os coeficientes de determinação (R
2
) e os desvios percentuais médios (P), nas temperaturas
de 20, 25 e 30 °C. Observa-se que os modelos testados apresentaram valores de R
2
acima
de 0,99 e valores de P < 5 em todas as temperaturas estudadas, significando que se pode
utilizar qualquer um desses modelos na estimativa das isotermas de adsorção de umidade
da mangaba em pó; entretanto, o modelo que melhor se ajustou aos dados experimentais
foi o de Peleg, apresentando os maiores valores de R
2
e os menores valores de P, exceto na
amostra desidratada a 70
o
C (Tabela 4.8) para a isoterma a 20
o
C em que o melhor modelo
foi o de GAB; esse comportamento era previsto em razão do modelo de Peleg apresentar
quatro parâmetros, estando de acordo com KIRANNOUDIS et al. (1993) ao afirmarem que
quanto maior o número de parâmetros do modelo, na maioria dos casos corresponde aos
melhores ajustes. Segundo MOREIRA et al. (2005) o modelo de Peleg se ajusta bem, tanto
às isotermas sigmóides quanto às não sigmóides. O modelo de Peleg também foi
considerado o modelo que melhor se ajustou aos dados experimentais, por LOUREIRO
(2006) e GURJÃO (2006) ao determinarem as isotermas de adsorção de umidade do buriti
em pó e do tamarindo em pó, respectivamente.
Observando-se os valores da umidade na monocamada molecular (X
m
) do modelo
de GAB, verifica-se que variaram entre 16 e 27% b.s. ALEXANDRE et al. (2007) também
verificaram valores de X
m
entre 16 e 26% b.s. ao determinarem, nas temperaturas entre 10
e 40
o
C, as isotermas de adsorção de umidade da pitanga em pó desidratada pelo método de
secagem em camada de espuma.
Para a mangaba em pó desidratada a 50 ºC (Tabela 4.6), verifica-se que X
m
diminuiu com o aumento da temperatura; este mesmo comportamento foi observado por
FIGUEIRÊDO & MARTUCCI (1998) ao determinarem as isotermas de adsorção de
umidade, nas temperaturas de 15, 25 e 35
o
C, da acerola em pó desidratada em secador por
aspersão. Segundo KECHAOU & MAALEJ (2000) a temperatura tem efeito relativo de
significado particular sobre a umidade na monocamada, a qual indica a quantidade de água
fortemente absorvida sobre os sítios primários, e é geralmente considerada a umidade na
qual o alimento é mais estável. Ainda de acordo com esses pesquisadores, a redução da
higroscopicidade da amostra com o aumento da temperatura depende das propriedades
físico-químicas do alimento.
Capítulo 4 Resultados e Discussão
46
Para a mangaba em pó, desidratada a 60 ºC (Tabela 4.7), vê-se que X
m
aumentou
com o aumento da temperatura, comportamento inverso ao ocorrido da mangaba em
desidratada a 50 ºC (Tabela 4.6); já para a mangaba em pó, desidratada a 70 ºC (Tabela
4.8), verifica-se também que X
m
aumentou com o acréscimo da temperatura,
comportamento observado ainda por FERREIRA & PENA (2003) na determinação das
isotermas de adsorção de umidade da farinha de pupunha entre as temperaturas de 15 e 35
°C.
Verifica-se, para o modelo de GAB, que todas as amostras em pó apresentaram
valores de C > 10 (constante de Guggenheim), significando, de acordo com MEDEIROS et
al. (2006) que as isotermas da mangaba em pó são do tipo II.
Nas isotermas de adsorção de umidade da mangaba em pó desidratada a 50, 60 e 70
°C, ajustadas pelo modelo de GAB, os valores do parâmetro K, foram inferiores a um (1),
variando entre 0,8 e 0,9, indicando tendência de aumento deste parâmetro com o aumento
da temperatura para as amostras secas a 50 (Tabela 4.6) e 60
o
C (Tabela 4.7); já para a
amostra seca a 70
o
C (Tabela 4.8) os valores de K diminuíram com o aumento da
temperatura. Valores semelhantes foram encontrados por TELIS & SOBRAL (2001) e
SILVA et al. (2006) ao avaliarem as isotermas de adsorção de umidade a 25
o
C do abacaxi
liofilizado em pó (K=0,815) e do camu-camu liofilizado em pó (K=0,924),
respectivamente, que também encontraram valores de K inferiores a um. Comportamento
idêntico ao de K com o aumento da temperatura foi mostrado por TALLA et al. (2005) ao
determinarem as isotermas de adsorção de umidade da banana na faixa de temperatura
entre 25 e 60
o
C.
O modelo de Peleg é um modelo empírico de quatro parâmetros de dupla potência
que pode ser utilizado em isotermas com forma sigmóide e não sigmóide. Observando-se
os parâmetros do modelo de Peleg das isotermas nas temperaturas de 20 e 30
o
C das
amostras desidratadas a 50 e 60
o
C e para a isoterma na temperatura de 30
o
C da amostra
desidratada a 70
o
C apresentaram valores de n
1
< 1 e n
2
> 1 de acordo, portanto com as
condições indicadas pelo modelo (PELEG, 1993). Nas demais amostras os valores
encontrados seguiram comportamento inverso, n
1
> 1 e n
2
< 1, casos, em que é ainda
segundo este pesquisador, os valores preditos por este modelo não podem ser usados para
calcular a umidade na monocamada. Comportamento semelhante foi constatado por
GOULA et al. (2008) ao ajustarem o modelo de Peleg às isotermas de adsorção de
umidade, determinadas nas temperaturas entre 20 e 60
o
C, do tomate em pó seco em
secador por aspersão, tendo-se constatado valores de n
1
> 1 e n
2
< 1.
Capítulo 4 Resultados e Discussão
47
No presente estudo o modelo de Oswin (bi-paramétrico) apresentou valores do
coeficiente de determinação (R
2
) e do desvio percentual médio próximos aos determinados
por PENA (2003) para o guaraná em pó, podendo este modelo ser mais uma alternativa a
ser usada na predição das isotermas de adsorção de umidade da mangaba em pó.
Tabela 4.6. Parâmetros dos modelos ajustados às isotermas de adsorção de umidade da
mangaba em pó desidratada a 50 ºC
Temperatura (ºC)
Modelo Parâmetro
20 25 30
X
m
20,9022 19,8639 16,1312
C
99,9996 99,9997 100,0000
K
0,8556 0,8686 0,8858
R
2
0,9953 0,9936 0,9949
GAB
P (%)
3,00 3,98 3,39
k
1
61,8888 116,8161 50,2937
n
1
0,7195 10,4523 0,7469
k
2
113,9532 57,0824 135,3123
n
2
11,5569 0,6418 12,4266
R
2
1,0000 0,9988 0,9999
Peleg
P (%)
0,21 1,33 0,52
a
36,3177 34,8922 28,6006
b
0,4108 0,4340 0,4659
R
2
0,9963 0,9935 0,9938
Oswin
P (%)
2,70 4,24 3,94
Capítulo 4 Resultados e Discussão
48
Tabela 4.7. Parâmetros dos modelos ajustados às isotermas de adsorção da mangaba em
pó desidratada a 60 ºC
Temperatura (ºC)
Modelo Parâmetro
20 25 30
X
m
20,1702 21,4709 21,5365
C
99,9999 99,9999 99,9991
K
0,8672 0,8672 0,8698
R
2
0,9945 0,9956 0,9947
GAB
P (%)
3,99 2,36 3,03
k
1
60,5315 226,3157 66,5613
n
1
0,7048 15,6487 0,7433
k
2
115,0659 66,3914 189,0352
n
2
11,2525 0,7927 13,2105
R
2
0,9997 0,9996 1,0000
Peleg
P (%)
0,72 0,72 0,27
a
35,5587 37,1213 37,7262
b
0,4253 0,4280 0,4431
R
2
0,9958 0,9953 0,9936
Oswin
P (%)
3,55 2,81 3,12
Capítulo 4 Resultados e Discussão
49
Tabela 4.8. Parâmetros dos modelos ajustados às isotermas de adsorção da mangaba em
pó desidratada a 70 °C
Temperatura (ºC)
Modelo Parâmetro
20 25 30
X
m
24,4613 26,1202 27,1231
C
99,9999 99,9985 90,2913
K
0,8283 0,8237 0,8221
R
2
0,9981 0,9987 0,9989
GAB
P (%)
2,27 2,91 1,24
k
1
77,0235 85,5648 39,5101
n
1
5,6464 3,0122 0,1368
k
2
55,8771 35,2288 87,2388
n
2
0,4815 0,0985 3,2765
R
2
0,9980 0,9990 0,9992
Peleg
P (%)
2,35 1,44 1,19
a
41,8375 44,5533 46,0890
b
0,3813 0,3773 0,3765
R
2
0,9978 0,9951 0,9945
Oswin
P (%)
2,59 3,08 3,12
No Apêndice C (Figuras C.1 a C.6) tem-se as isotermas de adsorção de umidade da
mangaba em pó com ajustes pelo modelo de GAB e Oswin E, nas Figuras 4.5 a 4.7, se
encontram as isotermas de adsorção de umidade das amostras de mangaba em pó com
ajuste pelo modelo de Peleg. Observa-se, nessas figuras, que as curvas apresentam, em sua
maioria, forma sigmoidal.
Tem-se na Figura 4.5, as isotermas de adsorção de umidade das amostras de
mangaba em pó, desidratada a 50 ºC, com ajuste pelo modelo de Peleg. Observa-se grande
proximidade entre as curvas nas temperaturas de 20 e 25
o
C, não se identificando o efeito
da temperatura, mas apenas a curva a 30
o
C se apresenta um pouco distanciada das demais.
GABAS et al. (2007) também notaram uma proximidade das curvas ao avaliarem as
isotermas de adsorção de umidade, nas temperaturas de 20, 30, 40 e 50 ºC, do abacaxi em
pó desidratado em estufa a vácuo a 60
o
C.
Capítulo 4 Resultados e Discussão
50
0,1 0,2 0,3 0,4 0,5 0,6 0,7 0,8 0,9 1,0
Atividade de água (a
w
)
10
20
30
40
50
60
70
80
90
100
Umidade de equilíbrio (%b.s)
20º C
25º C
30º C
Figura 4.5. Isotermas de adsorção de umidade da mangaba em pó, desidratada a 50 ºC,
ajustadas pelo modelo de Peleg
Tem-se na Figura 4.6, as isotermas de adsorção de umidade das amostras de
mangaba em pó, desidratada a 60 ºC, com ajuste pelo modelo de Peleg. Constata-se uma
proximidade muito grande das curvas, não se identificando, porém grande efeito da
temperatura. Comportamento semelhante observaram PENA et al. (2000) ao avaliarem as
isotermas de adsorção de umidade do guaraná em pó, tendo sido constatada proximidade
entre as curvas nas temperaturas de 15, 25 e 35 ºC.
Capítulo 4 Resultados e Discussão
51
0,1 0,2 0,3 0,4 0,5 0,6 0,7 0,8 0,9 1,0
Atividade de água (a
w
)
10
20
30
40
50
60
70
80
90
100
Umidade de equilíbrio (%b.s)
20º C
25º C
30º C
Figura 4.6. Isotermas de adsorção de umidade da mangaba em pó, desidratada a 60 ºC,
ajustadas pelo modelo de Peleg
Na Figura 4.7 tem-se as isotermas de adsorção de umidade das amostras de
mangaba em pó, desidratada a 70 ºC, com ajuste pelo modelo de Peleg, além de uma
aproximação das curvas a 25 e 30
o
C e a curva a 20
o
C um pouco distanciada das demais e
em posição inferior; tal comportamento não é suficiente para identificar o efeito da
temperatura nas isotermas de adsorção de umidade da amostra de mangaba em pó
desidratada a 70 ºC. ANSELMO et al. (2006), também observaram uma proximidade
bastante acentuada entre as isotermas de sorção de umidade do cajá em pó determinadas
nas temperaturas entre 10 e 50 ºC, apresentando pontos que não obedecem ao
comportamento esperado em que as curvas deveriam estar na parte superior quanto menor
fosse a temperatura.
Capítulo 4 Resultados e Discussão
52
0,1 0,2 0,3 0,4 0,5 0,6 0,7 0,8 0,9 1,0
Atividade de água (a
w
)
10
20
30
40
50
60
70
80
90
100
Umidade de equilíbrio (%b.s)
20º C
25º C
30º C
Figura 4.7. Isotermas de adsorção de umidade da mangaba em pó, desidratada a 70 ºC,
ajustadas pelo modelo de Peleg
4.4. Caracterização da mangaba em pó
Na Tabela 4.9, se encontram os resultados médios da caracterização físico-química
da mangaba em pó desidratada pelo método de secagem em camada de espuma, nas
temperaturas de 50, 60 e 70 ºC.
Os valores médios da umidade da mangaba em pó desidratada nas temperaturas de
50, 60 e 70 ºC, são estatisticamente iguais, com média geral de 22,39%. Valor próximo foi
relatado por ALEXANDRE (2005) para a pitanga em pó seca pelo processo de secagem
em camada de espuma a 70
o
C, que foi de 20,40 ± 2,14%. Umidades muito inferiores (
3%) foram obtidas na secagem em camada de espuma de polpas de laranja, maracujá,
abacaxi e amora (SEGURA et al., 1990). Comparando-se o valor da umidade da polpa de
mangaba formulada (Tabela 4.1) com a umidade média da mangaba em pó verifica-se que
houve uma redução aproximada de 73%.
Observa-se, na Tabela 4.9, que as médias do pH da mangaba em pó obtidas através
da secagem nas temperaturas de 50, 60 e 70 ºC, são estatisticamente iguais, e ainda, que o
pH da polpa de mangaba formulada era em média de 3,14 (Tabela 4.1) e, após a
Capítulo 4 Resultados e Discussão
53
desidratação e transformação em pó, passou para um valor médio de 3,03, constatando-se
um decréscimo de 3,50%. Fato semelhante foi verificado por RAJKUMAR (2005) ao
comparar em os resultados médios do pH da polpa de manga antes e após a secagem pelo
processo em camada de espuma (foam-mat), tendo-severificado uma pequena redução em
torno de 0,007%. FELLOWS (1994) descreveu que, a medida em que o processo de
desidratação avança, algumas substâncias antes solúveis no alimento, alcançam a saturação
e precipitam. É provável que uma desnaturação baseada neste princípio tenha ocorrido
durante a desidratação da polpa e, após a reconstituição em água, algumas substâncias
desnaturadas podem não ter voltado a se dissolverem, o que pode ter refletido no pH das
polpas reconstituídas.
Tabela 4.9. Caracterização físico-química das amostras de mangaba em pó
Temperatura de secagem (ºC)
Parâmetro
50 60 70
Umidade (%) 22,44a 22,45a 22,28a
pH 3,03a 3,03a 3,03a
Cinzas (%) 2,18b 2,65a 2,66a
Ácido ascórbico (mg/100g) 122,03a 119,29b 79,54c
Acidez total titulável (% ácido cítrico) 6,65a 6,58b 6,48c
Açúcares redutores (% glicose) 53,90a 52,41b 51,03c
Luminosidade (L
*
) 86,99a 65,76b 57,03c
Intensidade de vermelho (+a
*
) 13,20c 31,59b 31,87a
Intensidade de amarelo (+b
*
) 34,68a 33,34b 32,95c
Obs: As médias seguidas da mesma letra nas linhas não diferem estatisticamente pelo teste
de Tukey, a 5% de probabilidade
Analisando-se os resultados das frações de cinzas obtidas para a mangaba em pó
seca a 50, 60 e 70 ºC observa-se, na Tabela 4.9 que os valores médios das cinzas são
estatisticamente iguais entre as amostras secas a 60 e 70 ºC; dito comportamento era
esperado visto que, como as umidades, neste caso, também são estatisticamente iguais, o
conteúdo de minerais entre as amostras não poderia ser diferente. O teor de cinzas da
amostra seca a 50 ºC foi estatisticamente diferente das demais amostras devendo-se,
provavelmente, às diferenças naturais encontradas entre as amostras. MAZZUCO et al.
Capítulo 4 Resultados e Discussão
54
(2002) também verificaram que o teor de cinzas do milho seco nas temperaturas de 40, 70
e 100
o
C, foi semelhante, para as amostras colhidas com 35% de umidade.
Comparando-se a fração de cinzas da polpa de mangaba formulada (Tabela 4.1)
com a fração de cinzas do pó, constata-se uma concentração no teor de cinzas da mangaba
em pó, devido à redução da umidade. PEREIRA et al. (2007) estudando a secagem a 70
o
C
da polpa de graviola integral e com aditivo, também constataram a concentração das cinzas
nas amostras secas.
Nota-se na Tabela 4.9, que os valores médios do ácido ascórbico da mangaba em pó
desidratada a 50, 60 e 70 ºC, são estatisticamente diferentes, além de que há uma influência
da temperatura do ar de secagem, apresentando redução do teor de ácido ascórbico com o
aumento da temperatura; Este comportamento era previsto, em razão de ocorrer redução
dos nutrientes, inclusive do ácido ascórbico, nas temperaturas mais elevadas de secagem,
fato concordante com GABAS et al. (2003) que relataram que no processo de desidratação
a perda de ácido ascórbico é afetada principalmente pela aplicação de altas temperaturas.
Os valores médios da acidez total titulável encontrados para a mangaba em pó seca
a 50, 60 e 70 ºC, são estatisticamente diferentes. Verifica-se, como ocorrido para o ácido
ascórbico, que a temperatura do ar de secagem também influenciou nos valores da acidez,
com diminuição com o aumento da temperatura. BASTOS et al. (2005) apesar de não
terem detectado diferenças significativas entre os valores da acidez total das polpas de
manga desidratadas a 70 e 85
o
C, verificaram tendência de diminuição da acidez em função
do aumento da temperatura de secagem. Constata-se, ainda, que houve um acréscimo
médio de aproximadamente 324% da acidez da mangaba em pó em relação à acidez da
polpa de mangaba formulada (Tabela 4.1); uma possível justificativa para este aumento da
acidez, está ligada ao fato da redução da umidade e, consequentemente, a concentração da
acidez é aumentada.
Analisando-se os resultados dos açúcares redutores da mangaba em pó seca a 50, 60
e 70 ºC, verifica-se que as médias são estatisticamente diferentes e que houve uma
influência da temperatura do ar de secagem, apresentando uma redução dos açúcares
redutores com o aumento da temperatura. Contrariamente, BASTOS et al. (2005) não
encontraram diferenças significativas entre o conteúdo de açúcares redutores das polpas de
manga (Tommy Atkins) desidratadas a 70 e 85
o
C pelo processo de secagem em camada de
espuma.
Comparando-se o valor médio dos açúcares redutores da polpa de mangaba
formulada (Tabela 4.1) com os valores determinados para a mangaba em pó, tem-se um
Capítulo 4 Resultados e Discussão
55
aumento médio dos açúcares redutores nas amostras em pó de 7,5 vezes, indicando
também que houve uma concentração dos açúcares redutores com a redução no teor
umidade.
A temperatura do ar de secagem também influenciou os parâmetros da cor da
mangaba em pó, os valores da luminosidade (L*) e da intensidade de amarelo (+b*)
diminuíram significativamente com o aumento da temperatura, enquanto a intensidade de
vermelho (+a*) aumentou significativamente com o aumento da temperatura. Com o
aumento da temperatura, a redução de L* significa que a amostra escureceu e de +b* a
amostra se tornou menos amarela; já o aumento de +a* indica que a amostra se torna mais
vermelha. Analisando a cor em função dos três parâmetros, conclui-se que ocorreu um
escurecimento da amostra com o aumento da temperatura.
Comparando-se os parâmetros de cor das amostras secas com a polpa formulada
(Tabela 4.1) verifica-se redução da luminosidade (L*) nas amostras secas a 60 e 70 ºC com
relação à polpa formulada, sinal de que essas temperaturas provocaram escurecimento
dessas amostras. MARTIN (2006) também verificou redução da luminosidade na manga
desidratada osmoticamente quando comparada com a polpa integral. Para a mangaba em
pó seca a 50 ºC constata-se comportamento inverso e houve aumento desse parâmetro em
relação à polpa formulada. MATSUURA (1994) justificou que o aumento da luminosidade
pode ser causado pela destruição dos carotenóides dando uma cor mais pálida à amostra.
Quanto aos valores avaliados da intensidade de vermelho (+a*) e da intensidade de
amarelo (+b*) nas amostras em pó, verifica-se que houve um aumento deste valor quando
comparado com a polpa formulada (Tabela 4.1); constata-se, ainda, que o menor efeito da
temperatura sobre a cor das amostras em pó ocorreu na amostra obtida na temperatura de
50 ºC.
4.5. Armazenamento das formulações em pó
4.5.1. Umidade
No Apêndice D, Tabelas D.1 e D.2, tem-se a análise de variância dos valores
médios da umidade (%) da mangaba em pó, produzida por secagem a 50 ºC, armazenada
nas embalagens Laminada 1 e Laminada 2, observando-se efeito significativo a 1% de
probabilidade pelo teste F.
Capítulo 4 Resultados e Discussão
56
Na Tabela 4.10 se encontram os valores médios de umidade das amostras
produzidas a 50 ºC submetidas ao armazenamento em temperatura ambiente por um
período de 180 dias.
Na embalagem Laminada 1 tem-se aumento da umidade da mangaba em pó com o
tempo de armazenamento. Observa-se que houve um ganho de umidade progressivo até os
90 dias; a partir deste tempo, a umidade das amostras nesta embalagem entrou em
equilíbrio com o ambiente permanecendo até os 180 dias com o mesmo nível, comprovada
pela igualdade estatística entre os valores médios dos tempos 90, 120, 150 e 180 dias.
Na embalagem Laminada 2 também ocorreu aumento da umidade da mangaba em
pó com o tempo de armazenamento. Nota-se, nos primeiros 30 dias de armazenamento,
que a umidade da mangaba em pó apresentou um aumento significativo, mantendo-se
estatisticamente estável, após os 30 dias de armazenamento, significando que o ganho de
umidade nesta embalagem foi mais lento que na embalagem Laminada 1.
Em ambas as embalagens houve uma tendência de aumento da umidade das
amostras com o tempo, atingindo um percentual de ganho de 16,22 e 11,54% ao final do
armazenamento (180 dias) em relação ao início, para as embalagens Laminada 1 e
Laminada 2, respectivamente, indicando que a embalagem Laminada 2 apresentou, nesta
amostra, melhores resultados na manutenção da umidade do produto; tal comportamento
não era esperado em razão da embalagem Laminada 1 (110 µm) ter o filme com maior
espessura que a embalagem Laminada 2 (37 µm) e, na sua composição, uma camada de
polipropileno biorientado com metalização de alumínio que proporciona menor
permeabilidade ao vapor d’água. Uma provável justificativa para este fato pode ser
atribuído a uma soldagem não muito eficiente da embalagem Laminada 1 deixando passar
umidade nos pontos de solda, fato este observado por ALVES & ITO (2005) ao avaliarem
a influência da barreira à umidade e a integridade do fechamento de embalagens para
refresco em pó, tendo-se verificado falha de integridade nas termossoldagens entre 41-45%
das embalagens, apresentando este defeito uma influência maior na perda de qualidade de
produtos sensíveis à umidade que a própria característica de barreira à umidade oferecida
pelo material da embalagem. Percentual de aumento no teor de umidade superior foi
verificado aos 6 meses por CAMPOS et al. (1998) ao armazenarem leite em pó integral em
embalagem metalizada flexível com uma gramatura total de 65,6 g/m
2
, sendo este ganho
de umidade da ordem de 57,2% justificado, por esses autores, como decorrente da
permeabilidade da embalagem ao vapor d’água.
Capítulo 4 Resultados e Discussão
57
Tabela 4.10. Valores médios de umidade (%) da mangaba em pó seca a 50 °C, armazenada
em dois tipos de embalagem
Embalagem
Tempo de armazenamento
(dia)
Laminada 1 Laminada 2
0 22,44 d 22,44 c
30 24,25 c 21,74 b
60 25,41b 24,39 ab
90 25,62 ab 24,53 a
120 25,83 ab 24,57 a
150 25,95 ab 24,91 a
180 26,08 a 25,03 a
Média geral
25,08 24,23
Desvio mínimo significativo
0,56 0,71
Coeficiente de variação (%)
0,97 1,28
Obs.: As médias seguidas da mesma letra minúscula nas colunas não diferem estatisticamente pelo teste de
Tukey, a 5% de probabilidade
No Apêndice D, Tabelas D.3 e D.4, tem-se a análise de variância dos valores
médios da umidade (%) da mangaba em pó, produzida por secagem a 60 ºC, armazenada
nas embalagens Laminada 1 e Laminada 2, nas quais se observam diferenças significativas
a 1% de probabilidade, enquanto na Tabela 4.11 se encontram os valores médios de
umidade das amostras produzidas a 60 ºC submetidas ao armazenamento em temperatura
ambiente por um período de 180 dias.
A umidade inicial da mangaba em pó de 22,45% (tempo zero) é muito superior à
obtida por RAJKUMAR et al. (2007) ao desidratarem polpa de manga pelo processo de
secagem em camada de espuma, que foi de 5,56%. Estas diferenças se devem
principalmente às características que se deseja no produto final; como a mangaba é uma
fruta que possui látex e cor clara, a redução para níveis de umidade muito baixos poderia
provocar alteração de cor muito intensa e aumento da pegajosidade do pó.
Analisando-se o comportamento da umidade da mangaba em pó na embalagem
Laminada 1, verifica-se aumento da umidade com o tempo de armazenamento, podendo-se
constar que existe diferença significativa entre os períodos de 0 a 60 dias e entre 90 e 120
Capítulo 4 Resultados e Discussão
58
dias mas, entre os tempos de armazenamento 60 e 90 dias, e entre 120, 150 e 180 dias, não
existem diferenças significativas.
Na embalagem Laminada 2 também ocorreu aumento da umidade da mangaba em
pó com o tempo de armazenamento. Analisando-se os primeiros 60 dias de armazenamento
verifica-se que a umidade da mangaba em pó apresentou aumento significativo, mantendo-
se estatisticamente estável entre os períodos de 60 a 120 dias e entre 150 a 180 dias.
Observa-se, durante o armazenamento, que a umidade da mangaba em pó aumentou
com o tempo em ambas as embalagens atingindo um ganho percentual, entre o início e o
final do armazenamento, de 11,89 e 14,74%, para as embalagens Laminada 1 e Laminada
2, respectivamente; com isto um desempenho melhor da embalagem Laminada 1 fica
demonstrado confirmando que a maior espessura do filme laminado e os materiais das
camadas desta embalagem proporcionam maior proteção contra a permeabilidade do vapor
d’água. O aumento da umidade no final do armazenamento na embalagem Laminada 1 na
amostra seca a 60
o
C foi menor que na amostra seca a 50
o
C; daí a hipótese de que houve,
para a amostra seca a 50
o
C, uma possível falha na solda dos sacos é bem razoável.
Tabela 4.11. Valores médios de umidade (%) da mangaba em pó seca a 60 °C e
armazenada em dois tipos de embalagem
Embalagem
Tempo de armazenamento
(dia)
Laminada 1 Laminada 2
0 22,45 d 22,45 d
30 23,34 c 24,54 c
60 24,29 b 24,93 b
90 24,37 b 24,93 b
120 24,82 a 25,15 b
150 25,06 a 25,67 a
180 25,12 a 25,76 a
Média geral
24,21 24,78
Desvio mínimo significativo
0,38 0,23
Coeficiente de variação (%)
0,69 0,39
Obs.: As médias seguidas da mesma letra minúscula nas colunas não diferem estatisticamente pelo teste de
Tukey, a 5% de probabilidade
Capítulo 4 Resultados e Discussão
59
No Apêndice D, Tabelas D.5 e D.6, tem-se a análise de variância dos valores
médios da umidade (%) da mangaba em pó, produzida por secagem a 70 ºC, armazenada
nas embalagens Laminada 1 e Laminada 2, observando-se efeito significativo a 1% de
probabilidade; já na tabela 4.12 se encontram os valores médios da umidade das amostras
produzidas a 70 ºC submetidas ao armazenamento em temperatura ambiente, pelo tempo
de 180 dias.
Verifica-se, na embalagem Laminada 1, aumento da umidade da mangaba em
com o tempo de armazenamento em que, durante os 30 primeiros dias, a amostra se
manteve estável; a partir dos 30 dias até os 90 dias deu-se um aumento progressivo da
umidade, entre 90 e 120 dias a amostra permaneceu no mesmo nível de umidade, entre 120
e 150 dias a amostra voltou a absorver umidade e entre 150 e 180 dias o nível de umidade
ficou no mesmo patamar.
Com relação à embalagem Laminada 2 também ocorreu aumento da umidade da
mangaba em pó com o tempo de armazenamento. Verifica-se, nos primeiros 90 dias de
armazenamento que a umidade da mangaba em pó apresentou aumento significativo, com
tendência de estabilidade após os 90 dias representada pela igualdade estatística entre as
médias nos tempos de 90, 120 e 150 dias e entre as médias 120, 150 e 180 dias.
Conforme verificado, houve aumento da umidade das amostras secas a 70 ºC, nas
duas embalagens com o tempo de armazenamento; entre os tempos inicial e final na
embalagem Laminada 1 as amostras sofreram aumento de 11,17% no teor de umidade;
enquantonas amostras armazenadas na embalagem Laminada 2 o aumento da umidade foi
de 13,50%, repetindo o melhor desempenho da embalagem Laminada 1 observada nas
amostras secas em temperatura de 60 ºC.
Na análise geral das amostras secas nas três temperaturas, a embalagem Laminada
1 evita uma absorção maior de umidade, por parte das amostras, em relação às
acondicionadas na embalagem Laminada 2; tal comportamento pode ser atribuído
principalmente à maior espessura e à metalização de alumínio na camada de poliprolileno
bi-orientado (BOPP metal), visto que esta última proporciona menor permeabilidade ao
vapor d’água, da embalagem Laminada 1 (110 µm) em relação à embalagem Laminada 2
(37 µm). Segundo FIGUEIRÊDO (1998) acréscimos no teor de umidade durante o
armazenamento são previsíveis quando a embalagem utilizada não é impermeável ao vapor
d'água e a amostra apresenta comportamento higroscópico.
OLIVEIRA (2006) também constatou tendência de acréscimo da umidade das
amostras de pitanga em pó, desidratadas em secador por aspersão e acondicionadas em
Capítulo 4 Resultados e Discussão
60
embalagem laminada, com o tempo de armazenamento registrando um aumento de 12,60%
após 120 dias de estocagem. No presente trabalho o aumento da umidade da mangaba em
pó aos 120 dias de armazenamento foi de 6,77 e 12,07% nas embalagens Laminada 1 e
Laminada 2, respectivamente.
Tabela 4.12. Valores médios da umidade (%) da mangaba em pó, seca a 70 °C,
armazenada em dois tipos de embalagem
Embalagem
Tempo de armazenamento
(dia)
Laminada 1 Laminada 2
0
22,29 d
22,29 e
30 22,53 d 23,51 d
60 23,26 c 24,08 c
90 23,63 b 24,89 b
120 23,80 b 24,98 ab
150 24,67 a 25,19 ab
180 24,78 a 25,30 a
Média geral
23,57 24,32
Desvio mínimo significativo
0,36 0,34
Coeficiente de variação (%)
0,67 0,61
Obs: As médias seguidas da mesma letra minúscula nas colunas não diferem estatisticamente pelo teste de
Tukey, a 5% de probabilidade
Tem-se, na Tabela 4.13, equações de regressão ajustadas aos dados experimentais
da umidade da mangaba em pó, secas nas temperaturas de 50, 60 e 70 ºC, em função do
tempo de armazenamento, para as diferentes embalagens. As análises de variância das
regressões se encontram nas Tabelas E.1 a E.6 (Apêndice E).
Para as amostras secas a 50 ºC acondicionadas nas embalagens Laminadas 1 e 2, a
equação do tipo linear apresentou coeficientes de determinação de 0,7449 e 0,7920,
respectivamente, considerados, portanto, relativamente baixos; para a embalagem
Laminada 1 as equações de graus 2 e 3 também foram significativas, com bom ajuste para
a equação de grau 3, cujo R
2
superou 0,990.
Para as amostras secas a 60 ºC, as equações lineares também resultaram em
ajustes com R
2
abaixo de 0,9 mas com alguma melhora para a embalagem Laminada 1,
Capítulo 4 Resultados e Discussão
61
cujo comportamento foi bem representado por uma equação de grau 2; para a embalagem
Laminada 2 a equação de grau 4 se ajustou aos dados com R
2
praticamente igual a 1.
Para as amostras secas a 70 ºC a equação do tipo linear se ajustou melhor aos
dados para ambas as embalagens, sobretudo para a embalagem Laminada 1; os melhores
ajustes, no entanto, foram obtidos para as equações de grau 5 e 3, para as embalagens
Laminadas 1 e 2, respectivamente.
Apesar das equações lineares terem resultado em coeficientes de determinação
mais baixos, é preciso considerar que nesse tipo de ajuste é mais fácil visualizar a
tendência de elevação da umidade com o tempo de armazenamento. Durante o
armazenamento da polpa de acerola em pó a temperatura ambiente, GOMES et al. (2004)
sugeriram uma equação linear para representar o comportamento da umidade com o tempo
de armazenamento obtendo coeficiente de determinação (R
2
) superior a 0,99.
Tabela 4.13. Equações de regressão propostas para o cálculo da umidade da mangaba em
pó, obtida a 50, 60 e 70 °C, em função do tempo de armazenamento
Amostra Embal. Equações R
2
0,018t23,49U += **
0,7449
2
0,0002t0,05t22,67U += **
0,9591
Laminada
1
32
0,000002t0,0006t0,079t22,42U ++= **
0,9969
50 ºC
Laminada
2
U 23,23 0,018t=+ **
0,6644
U 22,92 0,014t=+ **
0,8832
Laminada
1
2
0,00009t0,03t22,51U += **
0,9814
U 23,45 0,014t=+ **
0,7403
60 ºC
Laminada
2
2384
U 22,45 0,12t 0,002t 0,00001t 3.10 t
=+ + **
0,9999
0,015t22,24U +=
**
0,9728
Laminada
1
5104732
t5.10t2.100,00004t0,003t0,039t22,29U
++=
**
0,9985
t0,01622,89U += **
0,8634
70 ºC
Laminada
2
372
t4.100,0003t0,045t22,30U
++= *
0,9928
U – Umidade (%); t – tempo (dia); (**) significativo a 1% de probabilidade (p – valor < 0,01); (*)
significativo a 5% de probabilidade (p – valor < 0,05)
Capítulo 4 Resultados e Discussão
62
4.5.2. pH
No Apêndice D, Tabelas D.7 e D.8, tem-se a análise de variância dos valores de pH
da mangaba em pó produzida por secagem a 50 ºC, armazenada nas embalagens Laminada
1 e Laminada 2, observando-se efeito significativo do tempo de armazenamento a 1% de
probabilidade, enquanto na Tabela 4.14 se encontram os valores médios do pH das
amostras submetidas ao armazenamento em temperatura ambiente, pelo período de 180
dias.
Verifica-se que o pH inicial (tempo zero) da mangaba em pó seca a 50
o
C, foi de
3,03, inferior à faixa entre 3,26 e 3,90 unidades de pH determinada por NARAIN &
FERREIRA (2003) para mangabas em três estádios de maturação.
Nota-se que, na embalagem Laminada 1, ocorreu manutenção do pH da mangaba
em pó até os 60 dias de armazenamento; a partir deste período, o pH aumentou
significativamente até os 180 dias resultando, entre os tempos inicial e final, um aumento
de 11,88%.
Na embalagem Laminada 2, nos primeiros 30 dias de armazenamento não houve,
alteração do pH da mangaba em pó, iniciando-se um processo de alteração a partir de 30
dias até atingir aumento percentual de 14,19% no final do armazenamento; tal
comportamento de aumento do pH pode ser explicado pela oxidação do ácido ascórbico
provocado principalmente pela temperatura de armazenamento. Comparando-se as
embalagens verifica-se, para a embalagem Laminada 1, melhor manutenção do pH mas
com vantagem pouco expressiva.
Os valores do pH no final do armazenamento nas duas embalagens ainda foram
inferiores ao do pH da polpa de graviola (pH=4,7), determinado logo após a liofilização
por MATA et al. (2005), significando que, a mangaba em pó no final do armazenamento,
ainda apresentava um nível de pH aceitável.
Capítulo 4 Resultados e Discussão
63
Tabela 4.14. Valores médios do pH da mangaba em pó seca a 50 °C, armazenada em dois
tipos de embalagem
Embalagem
Tempo de armazenamento
(dia)
Laminada 1 Laminada 2
0
3,03 e 3,03 e
30
3,02 e 3,02 e
60
3,02 e 3,09 d
90
3,21 d 3,11 d
120
3,30 c 3,32 c
150
3,35 b 3,40 b
180
3,39 a 3,46 a
Média geral
3,19 3,20
Desvio mínimo significativo
0,02 0,02
Coeficiente de variação (%)
0,26 0,24
Obs: As médias seguidas da mesma letra minúsculas nas colunas não diferem estatisticamente pelo teste de
Tukey, a 5% de probabilidade
No Apêndice D, Tabelas D.9 e D.10, tem-se a análise de variância dos valores
médios de pH da mangaba em pó, produzida por secagem a 60 ºC, armazenada nas
embalagens Laminada 1 e Laminada 2, observando-se efeito significativo do tempo de
armazenamento a 1% de probabilidade.
Na Tabela 4.15 se encontram os valores médios de pH das amostras submetidas a
armazenamento em temperatura ambiente, por um período de 180 dias. Verifica-se que o
pH inicial (tempo zero) da mangaba em pó seca a 60
o
C, é inferior ao pH de 3,46
determinado por MATTIETTO et al. (2003) para a mangaba proveniente de Belém, PA; e
entretanto, os valores no final do armazenamento são próximos ao avaliado por esses
pesquisadores indicando que, apesar das alterações, o pH ainda estava na faixa de valores
encontrados na literatura.
Na embalagem Laminada 1 nota-se que houve tendência estatística de aumento do
pH durante os 180 dias de armazenamento, aumento correspondente a 12,54% em relação
ao valor inicial.
Capítulo 4 Resultados e Discussão
64
Na embalagem Laminada 2, o pH permaneceu estável nos primeiros 30 dias de
armazenamento aumentando posteriormente até os 180 dias de armazenamento, atingindo
um percentual de 13,86% entre zero e 180 dias.
A embalagem 1 apresentou variação menor do pH ao final do armazenamento em
relação à embalagem 2; comportamento que se deve à maior proteção que a embalagem 1
proporciona à amostra, em razão de conter, na sua composição, maior barreira contra a luz
e umidade. SOUSA et al. (2003) ao armazenarem bananas desidratadas em recipientes
retangulares de polietileno tereftalato (PET) transparente com tampa a temperatura
ambiente (23-24
o
C) durante 120 dias, também verificaram aumento no valor do pH de
aproximadamente 5,5%, aumento este atribuído à dissociação do ácido cítrico.
Tabela 4.15. Valores médios do pH da polpa da mangaba em pó seca a 60 °C, armazenada
em dois tipos de embalagem
Embalagem
Tempo de armazenamento
(dia)
Laminada 1 Laminada 2
0
3,03 g 3,03 f
30
3,06 f 3,02 f
60
3,12 e 3,10 e
90
3,17 d 3,15 d
120
3,30 c 3,32 c
150
3,37 b 3,40 b
180
3,41 a 3,45 a
Média geral
3,21 3,21
Desvio mínimo significativo
0,02 0,02
Coeficiente de variação (%)
0,22 0,27
Obs: As médias seguidas da mesma letra minúsculas nas colunas não diferem estatisticamente pelo teste de
Tukey, a 5% de probabilidade
No Apêndice D, Tabelas D.11 e D.12, se encontra as análises de variância dos
valores médios de pH da mangaba em pó, produzida por secagem a 70 ºC, armazenada nas
embalagens Laminada 1 e Laminada 2, nas quais se observam diferenças significativas a
1% de probabilidade.
Capítulo 4 Resultados e Discussão
65
Na Tabela 4.16 encontram-se os valores médios do pH das amostras submetidas ao
armazenamento em temperatura ambiente, pelo período de 180 dias.
O pH inicial (tempo zero) da mangaba em pó, seca a 70
o
C, se manteve no mesmo
nível do valor inicial observado para as amostras secas a 50 e 60 ºC; esses valores são
inferiores ao pH de 3,30 avaliado para a polpa de mangaba de frutos completamente
maduros colhidos na região de Camaçari, BA (FONSECA et al., 2003).
Na embalagem Laminada 1 nota-se tendência estatística de aumento do pH das
amostras com o tempo de armazenamento; tal tendência de aumento resultou em uma
variação percentual de 13,20% entre os tempos inicial e final.
No material acondicionado na embalagem Laminada 2 deu-se um aumento
significativo do pH com o tempo de armazenamento entre cada um dos tempos
subseqüentes registrando-se, do início ao final do armazenamento, um aumento de 14,52%.
Semelhantemente às amostras secas a 50 e 60
o
C, as amostras secas a 70
o
C,
acondicionadas na embalagem Laminada 1, apresentaram uma manutenção do pH
ligeiramente melhor durante o armazenamento que nas amostras na embalagem Laminada
2; cujo comportamento é devido, à maior proteção proporcionada por esta embalagem às
amostras.
No geral e se analisando os valores médios obtidos para o pH da mangaba em pó
armazenada na embalagem Laminada 1 e Laminada 2, apresentados nas Tabelas 4.15 a
4.17, constata-se aumento significativo do pH ao longo dos 180 dias de armazenamento.
Nos estudos realizados na polpa de umbu em pó armazenado em embalagem laminada
durante 60 dias, GALDINO (2003) verificou que o pH se manteve estatisticamente igual
nos tempos inicial e final de armazenamento; já GOMES (2004) estudando o
armazenamento da acerola em pó, constatou oscilações entre os valores do pH durante 60
dias.
Nota-se que todas as amostras da mangaba em pó durante o período avaliado
apresentaram valores de pH acima de 2,80 que, de acordo com a legislação em vigor
(BRASIL, 2000) é considerado valor mínimo que a polpa de mangaba deve ter.
Capítulo 4 Resultados e Discussão
66
Tabela 4.16. Valores médios do pH da polpa da mangaba em pó seca a 70 °C, armazenada
em dois tipos de embalagem
Embalagem
Tempo de armazenamento
(dia)
Laminada 1 Laminada 2
0
3,03 f 3,03 g
30
3,11 e 3,11 f
60
3,12 e 3,16 e
90
3,21 d 3,22 d
120
3,30 c 3,33 c
150
3,37 b 3,39 b
180
3,43 a 3,47 a
Média geral
3,22 3,25
Desvio mínimo significativo
0,02 0,02
Coeficiente de variação (%)
0,24 0,32
Obs: As médias seguidas da mesma letra minúsculas nas colunas não diferem estatisticamente pelo teste de
Tukey, a 5% de probabilidade
Tem-se na Tabela 4.17, as equações de regressão ajustadas aos dados
experimentais do pH em função do tempo de armazenamento, propostas para o cálculo do
pH da mangaba em pó obtida nas temperaturas de 50, 60 e 70 ºC e armazenada em dois
tipos de embalagem (Laminada 1 e Laminada 2). As análises de variância das regressões se
encontram nas Tabelas E.7 a E.12 (Apêndice E).
Para as três temperaturas foi possível obter equações lineares relativamente bem
ajustadas aos resultados experimentais, com coeficientes de determinação variando entre
mínimos de 0,95 até o valor máximo de 0,99. Os dois melhores ajustes foram obtidos para
as amostras a 70 ºC. VASCONCELOS et al. (2003) representaram o comportamento do pH
de frutos da mangabeira revestidos com biofilme de fécula de mandioca durante o
armazenamento (10 dias), a temperatura ambiente, por uma equação quadrática, tendo sido
obtido um R
2
= 0,85.
Capítulo 4 Resultados e Discussão
67
Tabela 4.17. Equações de regressão propostas para o cálculo do pH da mangaba em pó
obtida a 50, 60 e 70 °C, armazenada em dois tipos de embalagem
Amostra Embalagem
Equação**
R
2
Laminada 1
2,40t2,97pH
+
=
0,9550
50 °C
Laminada 2
t2,732,96pH
+
=
0,9587
Laminada 1
2,32t3,00pH
+
=
0,9715
60 °C
Laminada 2
2,67t2,97pH
+
=
0,9462
Laminada 1
2,26t3,02pH
+
=
0,9809
70 °C
Laminada 2
2,46t3,02pH
+
=
0,9910
t – tempo (dia); (**) significativo a 1% de probabilidade (p – valor < 0,01)
4.5.3. Ácido ascórbico
No Apêndice D, Tabelas D.13 e D.14, tem-se a análise de variância dos valores
médios do ácido ascórbico (mg/100g) da mangaba em pó, produzida por secagem a 50 ºC,
armazenada nas embalagens Laminada 1 e Laminada 2, observando-se efeito significativo
a 1% de probabilidade.
Na Tabela 4.18 se encontram os valores médios do ácido ascórbico da mangaba em
pó seca a 50 °C, armazenada em dois tipos de embalagem em temperatura ambiente,
durante 180 dias. Constata-se que o teor de ácido ascórbico inicial da mangaba em pó é
muito superior ao da ameixa liofilizada, que foi de 31,2 mg/100 g, determinada por
GABAS et al. (2003).
Observa-se que, durante todo o período de armazenamento, o ácido ascórbico
apresentou redução significativa nos dois tipos de embalagem, do início ao final do
armazenamento, com decréscimos de 60,89 e 75,22% em relação ao valor inicial para as
embalagens Laminada 1 e Laminada 2, respectivamente. Constata-se que a embalagem
Laminada 1 apresentou melhor manutenção do teor de ácido ascórbico ao longo do
armazenamento, comportamento esperado, em razão desta embalagem possuir maior
espessura e maior proteção contra a luz proporcionada pela camada metalizada (BOPP
metal). Perdas de ácido ascórbico muito pequenas (2-3%) foram constatadas por
Capítulo 4 Resultados e Discussão
68
FIGUEIRÊDO et al. (2001) ao armazenarem acerola em pó durante um ano em embalagem
laminada a temperatura ambiente devido, provavelmente, à incorporação de maltodextrina
e goma arábica utilizadas na formulação desidratada em secador por aspersão, que podem
ter protegido a acerola tal como uma microcápsula.
Tabela 4.18. Valores médios do ácido ascórbico (mg/100g) da mangaba em pó seca a
50 °C, armazenada em dois tipos de embalagem
Embalagem
Tempo de armazenamento
(dia)
Laminada 1 Laminada 2
0
122,03 a 122,03 a
30
100,22 b 105,65 b
60
75,90 c 76,79 c
90
64,60 d 58,45 d
120
54,71 e 39,13 e
150
51,17 f 34,75 f
180
47,73 g 30,24g
Média geral
73,77 66,51
Desvio mínimo significativo
2,83 2,02
Coeficiente de variação (%)
1,67 1,32
Obs: As médias seguidas da mesma letra minúsculas nas colunas não diferem estatisticamente pelo teste de
Tukey, a 5% de probabilidade
No Apêndice D, Tabelas D.15 e D.16, tem-se a análise de variância dos valores
médios do ácido ascórbico (mg/100g) da mangaba em pó, produzida por secagem a 60 ºC,
armazenada nas embalagens Laminada 1 e Laminada 2, notando-se efeito significativo a
1% de probabilidade.
Na Tabela 4.19 se encontram os valores médios do ácido ascórbico das amostras
submetidas a armazenamento em temperatura ambiente, pelo período de 180 dias.
Observa-se degradação significativa contínua no ácido ascórbico das amostras
durante o armazenamento, assim como ocorrido com as amostras produzidas a 50 ºC; entre
o início e o final do armazenamento ocorreram reduções no ácido ascórbico para as
amostras nas embalagens Laminada 1 e Laminada 2, de 59,69 e 67,47%, respectivamente.
Perdas inferiores de ácido ascórbico, de aproximadamente 18%, foram observadas por
Capítulo 4 Resultados e Discussão
69
PRAGATI et al. (2003) ao armazenarem, por 90 dias amla (Emblica officinalis) cv.
Chaikaiya em pó desidratada em estufa. No presente estudo as perdas de ácido ascórbico
da mangaba em pó aos 90 dias de armazenamento foram de 36,19 e 51,69% nas
embalagens Laminada 1 e Laminada 2, respectivamente.
Tal como as amostras produzidas a 50 ºC, a embalagem Laminada 1 apresentou
melhor manutenção do ácido ascórbico durante o armazenamento.
Tabela 4.19. Valores médios do ácido ascórbico (mg/100g) da mangaba em pó seca a
60 °C, armazenada em dois tipos de embalagens
Embalagem
Tempo de armazenamento
(dia)
Laminada 1 Laminada 2
0
119,29 a 119,29 a
30
104,83 b 106,30 b
60
88,27 c 86,81 c
90
76,12 d 57,63 d
120
61,72 e 48,22 e
150
52,28 f 42,33 f
180
48,09 g 38,80 g
Média geral
78,66 71,36
Desvio mínimo significativo
1,94 1,95
Coeficiente de variação (%)
1,07 1,19
Obs: As médias seguidas da mesma letra minúsculas nas colunas não diferem estatisticamente pelo teste de
Tukey, a 5% de probabilidade
No Apêndice D, Tabelas D.17 e D.18, tem-se a análise de variância dos valores do
ácido ascórbico (mg/100g) da mangaba em pó, produzida por secagem a 70 ºC,
armazenada nas embalagens Laminada 1 e Laminada 2, constatando-se efeito significativo
do tempo de armazenamento a 1% de probabilidade.
Na Tabela 4.20 se encontram os valores médios do ácido ascórbico das amostras
submetidas a armazenamento em temperatura ambiente, durante 180 dias.
Da mesma forma como ocorreu com as amostras produzidas a 50 e 60 ºC, constata-
se também uma acentuada redução do ácido ascórbico durante o armazenamento; ao final
do qual, se constata uma redução do ácido ascórbico, de 63,38 e 64,84%, em relação ao
Capítulo 4 Resultados e Discussão
70
valor inicial, respectivamente nas embalagens Laminada 1 e Laminada 2. A embalagem
Laminada 1 manteve melhor o teor de ácido ascórbico durante o armazenamento das
amostras, repetindo o desempenho verificado nas amostras produzidas a 50 e 60 ºC.
MESQUITA et al. (2003) ao armazenarem a temperatura ambiente pedúnculos de caju
processados por métodos combinados, relataram que a perda da vitamina C durante 120
dias foi devida sobretudo aos fenômenos difusionais e degradação química, que são
favorecidos pela presença de luz, oxigênio, degradação dos sulfitos e condições de
armazenamento.
Nota-se que todas as amostras da mangaba em pó, produzidas nas diferentes
temperaturas apresentam, ao final dos 180 dias de armazenamento, valores de ácido
ascórbico superiores a 26,00 mg/100 g, caracterizando este produto como uma boa fonte de
vitamina C, em razão de que, no Brasil, a ingestão diária recomendada (IDR) de vitamina
C para adultos é de 45 mg (BRASIL, 2005). Este índice representa a quantidade de
proteínas, vitaminas e minerais que deve ser consumida diariamente para atender às
necessidades nutricionais da maior parte dos indivíduos de uma população sadia (BRASIL,
2005).
Tabela 4.20. Valores médios do ácido ascórbico (mg/100g) a da mangaba em pó seca a
70 °C, armazenada em dois tipos de embalagem
Embalagem
Tempo de armazenamento
(dia)
Laminada 1 Laminada 2
0
79,54 a 79,54 a
30
67,36 b 63,55 b
60
58,93 c 57,88 c
90
42,55 d 43,54 d
120
34,59 e 34,67 e
150
31,25 f 31,61 f
180
29,13 g 27,97 g
Média geral
49,05 48,39
Desvio mínimo significativo
2,03 1,81
Coeficiente de variação (%)
1,80 1,62
Obs: As médias seguidas da mesma letra minúsculas nas colunas não diferem estatisticamente pelo teste de
Tukey, a 5% de probabilidade
Capítulo 4 Resultados e Discussão
71
Estão expostas na Tabela 4.21 as equações de regressão ajustadas aos dados
experimentais do ácido ascórbico (mg/100g) da mangaba em pó, obtida nas temperaturas
de 50, 60 e 70 ºC, em função do tempo de armazenamento em dois tipos de embalagem
(Laminada 1 e Laminada 2). As análises de variância dessas regressões se encontram nas
Tabelas E.13 a E.18 (Apêndice E).
Constata-se que os maiores coeficientes de determinação foram obtidos com as
equações quadráticas (R
2
> 0,97), sendo considerados de boa qualidade; entretanto as
equações lineares resultaram também em ajustes razoáveis com R
2
> 0,89; e, desta forma,
pode-se utilizar qualquer um dos dois tipos de equações para estimar o teor de ácido
ascórbico da mangaba em pó, em função do tempo de armazenamento. ANTUNES et al.
(2003) também representaram o comportamento da vitamina C durante o armazenamento
de frutos de amoreira-preta por equação linear e quadrática com R
2
acima de 0,95.
Tabela 4.21. Equações de regressão propostas para a predição do teor de ácido ascórbico
(mg/100g) da mangaba em pó em função do tempo de armazenamento
Amostra Equação R
2
0,41t110,43AA
=
(**)
0,8956
Laminada 1
2
0,003t0,88t122,25AA = (**)
0,9961
0,53t114,76AA
=
(**)
0,9412
50 °C
Laminada 2
2
0,002t0,95t125,03AA += (**)
0,9872
0,41t115,65AA
=
(**)
0,9782
Laminada 1
2
0,001t0,61t120,56AA = (**)
0,9968
0,49t115,10AA
=
(**)
0,9313
60 °C
Laminada 2
2
0,002t0,85t124,35AA = (**)
0,9762
0,30t75,60AA
=
(**)
0,9421
Laminada 1
2
0,001t0,52t81,11AA += (**)
0,9860
0,29t74,30AA
=
(**)
0,9489
70 °C
Laminada 2
2
0,001t0,49t79,40AA += (**)
0,9889
AA – ácido ascórbico (mg/100 g); t – tempo (dia); (**) significativo a 1% de probabilidade (p – valor < 0,01)
Capítulo 4 Resultados e Discussão
72
4.5.4. Acidez total titulável
No Apêndice D, Tabelas D.19 e D.20, tem-se a análise de variância dos valores
médios da acidez total titulável (% ácido cítrico) da mangaba em pó, produzida por
secagem a 50 ºC, armazenada nas embalagens Laminada 1 e Laminada 2, notando-se
diferenças significativas a 1% de probabilidade.
Na Tabela 4.22 se encontram os valores médios da acidez total titulável das
amostras submetidas a armazenamento em temperatura ambiente, por um período de 180
dias.
A acidez total titulável da mangaba em pó com a eliminação de parte do conteúdo
de água da polpa com o processo de secagem, ficou concentrada; daí, seu teor ter ficado
muito acima da acidez de mangabas analisadas por SOUZA et al. (2003) oriundas de
plantas do Jardim Clonal da Estação Experimental de Mangabeira da Empresa Estadual de
Pesquisa Agropecuária (EMEPA) em João Pessoa, PB, que variou entre 1,52 e 2,07%.
Na embalagem Laminada 1 a acidez total titulável das amostras apresentou
diferenças significativas durante todo o período de armazenamento, atingindo uma redução
de 26,17% no final dos 180 dias. Esta redução da acidez durante o armazenamento pode ter
sido ocasionada pela degradação oxidativa do ácido ascórbico que depende, dentre alguns
fatores, da temperatura de armazenamento e do tipo de embalagem.
Também se observa, na embalagem Laminada 2, comportamento semelhante
ocorrendo, nesta embalagem, uma diminuição da acidez entre os tempos inicial e final de
25,41%, valor semelhante ao determinado para a embalagem Laminada 1.
Capítulo 4 Resultados e Discussão
73
Tabela 4.22. Valores médios da acidez total titulável (% ácido cítrico) da mangaba em
seca a 50 °C, armazenada em dois tipos de embalagem
Embalagem
Tempo de armazenamento
(dia)
Laminada 1 Laminada 2
0
6,65 a 6,65 a
30
5,97 b 6,21 b
60
5,36 c 5,54 c
90
5,15 d 5,38 d
120
5,03 e 5,22 e
150
4,97 f 5,05 f
180
4,91 g 4,96 g
Média geral
5,44 5,57
Desvio mínimo significativo
0,05 0,07
Coeficiente de variação (%)
0,38 0,52
Obs: As médias seguidas da mesma letra minúsculas nas colunas não diferem estatisticamente pelo teste de
Tukey, a 5% de probabilidade
No Apêndice D, Tabelas D.21 e D.22, encontra-se a análise de variância dos
valores médios da acidez total titulável (% ácido cítrico) da mangaba em pó, produzida por
secagem a 60 ºC, armazenada nas embalagens Laminada 1 e Laminada 2; constatam-se
diferenças significativas a 1% de probabilidade.
Na Tabela 4.23 se acham os valores médios da acidez total titulável das amostras
submetidas a armazenamento em temperatura ambiente, pelo período de 180 dias.
Em ambas as embalagens a acidez total titulável das amostras apresentou reduções
gradativas com o tempo, resultando em valores 25,23 e 23,25% menores entre o início e o
final do armazenamento, para as embalagens 1 e 2, respectivamente; a acidez nas duas
embalagens apresentou valores semelhantes nos três últimos tempos de armazenamento.
Capítulo 4 Resultados e Discussão
74
Tabela 4.23. Valores médios da acidez total titulável (% ácido cítrico) da mangaba em
seca a 60 °C, armazenada em dois tipos de embalagem
Embalagem
Tempo de armazenamento
(dia)
Laminada 1 Laminada 2
0
6,58 a 6,58 a
30
6,14 b 6,05 b
60
5,48 c 5,39 c
90
5,35 d 5,26 d
120
5,13 e 5,15 e
150
5,06 f 5,09 f
180
4,92 g 5,05 g
Média geral
5,52 5,51
Desvio mínimo significativo
0,06 0,04
Coeficiente de variação (%)
0,50 0,35
Obs: As médias seguidas da mesma letra minúsculas nas colunas não diferem estatisticamente pelo teste de
Tukey, a 5% de probabilidade
No Apêndice D, Tabelas D.23 e D.24, tem-se as análises de variância dos valores
médios da acidez total titulável (% ácido cítrico) da mangaba em pó, produzida por
secagem a 70 ºC, armazenada nas embalagens Laminada 1 e Laminada 2, observando-se
diferenças significativas a 1% de probabilidade.
Na Tabela 4.24 se encontram os valores médios da acidez total titulável das
amostras submetidas a armazenamento em temperatura ambiente, por um período de 180
dias.
Como nas amostras desidratadas a 50 e 60 ºC, observam reduções na acidez total
titulável das amostras nas duas embalagens, ao longo do tempo. O decréscimo da acidez
total titulável entre o início e final do armazenamento, foi de 23,61% para a embalagem 1;
para a embalagem Laminada 2 a redução foi, no mesmo período de 21,45%.
Analisando-se, no geral, o comportamento da acidez total titulável das amostras,
constatou-se uma redução significativa da mangaba em pó seca a 50, 60 e 70 ºC durante o
armazenamento, comportamento que também foi observado por SOARES et al. (2001),
estudando o armazenamento da acerola em pó, durante 90 dias, a temperatura ambiente em
embalagem laminada; para esses pesquisadores, a justificativa para esta redução
Capítulo 4 Resultados e Discussão
75
significativa se deu em decorrência do fato de que a acidez engloba todos os ácidos
presentes no alimento, inclusive o ácido ascórbico, razão por que se admite que qualquer
perda verificada em algum dos ácidos constituintes venha interferir neste resultado,
justificando o decréscimo observado, uma vez que o produto contém um nível bastante
elevado de ácido ascórbico, constatado como um nutriente ácido de grande sensibilidade à
degradação.
Tabela 4.24. Valores médios da acidez total titulável (% ácido cítrico) da mangaba em
seca a 70 °C, armazenada em dois tipos de embalagem
Embalagem
Tempo de armazenamento
(dia)
Laminada 1 Laminada 2
0
6,48 a 6,48 a
30
6,16 a 6,14 b
60
5,50 b 5,48 c
90
5,40 b 5,38 d
120
5,10 bc 5,28 e
150
5,25 bc 5,16 f
180
4,95 c 5,09 g
Média geral
5,55 5,57
Desvio mínimo significativo
0,41 0,04
Coeficiente de variação (%)
3,23 0,29
Obs: As médias seguidas da mesma letra minúsculas nas colunas não diferem estatisticamente pelo teste de
Tukey, a 5% de probabilidade
Apresentam-se, na Tabela 4.25, as equações de regressão ajustadas aos dados
experimentais da acidez total titulável (% ácido cítrico) em função do tempo de
armazenamento, propostas para o cálculo da acidez total titulável da mangaba em pó obtida
nas temperaturas de 50, 60 e 70 ºC e armazenada em dois tipos de embalagem (Laminada 1
e Laminada 2). As análises de variância dessas regressões se encontram nas Tabelas E.19 a
E.24 (Apêndice E). Observa-se que em todas as amostras as regressões lineares foram
significativas a 1% de probabilidade apresentando coeficientes de determinação acima de
0,80.
Capítulo 4 Resultados e Discussão
76
Tabela 4.25. Equações de regressão propostas para a predição da acidez total titulável
(% acido cítrico) da mangaba em pó, ao longo do armazenamento
Amostra Equação R
2
Laminado 1
0,0091t6,24ATT
=
(**)
0,8051
50° C
Laminado 2
0,009t6,40ATT
=
(**)
0,8931
Laminado 1
0,009t6,32ATT
=
(**)
0,8883
60° C
Laminado 2
0,008t6,23ATT
=
(**)
0,8083
Laminado 1
0,008t6,27ATT
=
(**)
0,8631
70° C
Laminado 2
0,008t6,25ATT
=
(**)
0,8491
ATT – acidez total titulável (% acido cítrico); t – tempo (dia); (**) significativo a 1% de probabilidade (p –
valor < 0,01)
4.5.5. Açúcares redutores
No Apêndice D, Tabelas D.25 e D.26, tem-se a análise de variância dos valores
médios dos açúcares redutores (% de glicose) da mangaba em pó, produzida por secagem a
50 ºC, armazenada nas embalagens Laminada 1 e Laminada 2, notando-se efeito
significativo a 1% de probabilidade.
Na Tabela 4.26 se encontram os valores médios dos açúcares redutores das
amostras submetidas a armazenamento em temperatura ambiente, pelo período de 180 dias.
Constata-se tendência de redução ao longo do tempo nos valores médios dos
açúcares redutores das amostras, em ambas as embalagens totalizando, entre o início e o
final do armazenamento, 25,27% na embalagem Laminada 1 e 32,30% na embalagem
Laminada 2.
Os açúcares redutores da mangaba em pó no início e durante todo o
armazenamento, são quantitativamente altos, sendo superiores ao do bagaço de abacaxi em
pó, desidratado em estufa a vácuo a 65
o
C e triturado em processador doméstico, que foi de
32,94 ± 0,63% de glicose (COSTA et al., 2007).
Capítulo 4 Resultados e Discussão
77
Tabela 4.26. Valores médios dos açúcares redutores (% de glicose) da mangaba em pó a
50 °C, armazenada em dois tipos de embalagem
Embalagem
Tempo de armazenamento
(dia)
Laminada 1 Laminada 2
0
53,90 a 53,90 a
30
50,87 b 50,06 b
60
48,56 c 44,80 c
90
47,04 d 42,30 d
120
44,43 e 40,34 e
150
41,86 f 39,06 e
180
40,28 g 36,49 f
Média geral
46,71 43,86
Desvio mínimo significativo
1,47 1,40
Coeficiente de variação (%)
1,37 1,39
Obs: As médias seguidas da mesma letra minúsculas nas colunas não diferem estatisticamente pelo teste de
Tukey, a 5% de probabilidade
No Apêndice D, Tabelas D.27 e D.28, tem-se a análise de variância dos valores
médios dos açúcares redutores (% de glicose) da mangaba em pó, produzida por secagem a
60 ºC, armazenada nas embalagens Laminada 1 e Laminada 2, constatando-se efeito
significativo a 1% de probabilidade.
Na Tabela 4.27 se encontram os valores médios dos açúcares redutores das
amostras submetidas a armazenamento em temperatura ambiente, por um período de 180
dias.
Nota-se uma tendência de redução ao longo do tempo entre os valores médios dos
açúcares redutores totalizando, ao final do armazenamento, 22,78% na embalagem
Laminada 1 e 33,45% na embalagem Laminada 2. As amostras mantiveram o mesmo
comportamento observado no material produzido na temperatura de 50 ºC.
Capítulo 4 Resultados e Discussão
78
Tabela 4.27. Valores médios dos açucares redutores (% de glicose) da polpa da mangaba
em pó a 60 °C, armazenada em dois tipos de embalagem
Embalagem
Tempo de armazenamento
(dia)
Laminado 1 Laminado 2
0
52,41 a 52,41 a
30
50,11 b 49,94 b
60
47,77 c 44,87 c
90
45,85 d 41,72 d
120
43,73 e 38,71 e
150
41,96 f 36,52 f
180
40,47 g 34,88 g
Média geral
46,04 42,72
Desvio mínimo significativo
0,94 0,79
Coeficiente de variação (%)
0,89 0,80
Obs: As médias seguidas da mesma letra minúsculas nas colunas não diferem estatisticamente pelo teste de
Tukey, a 5% de probabilidade
No Apêndice D, Tabelas D.29 e D.30, tem-se a análise de variância dos valores
médios dos açúcares redutores (% de glicose) da mangaba em pó, produzida por secagem a
70 ºC, armazenada nas embalagens Laminada 1 e Laminada 2; observa-se efeito
significativo da fonte de variação a 1% de probabilidade.
Na Tabela 4.28 se encontram os valores médios dos açúcares redutores das
amostras submetidas a armazenamento em temperatura ambiente, durante 180 dias.
Confirma-se a tendência de redução nos valores médios dos açúcares redutores ao
longo do tempo, já constatada nas amostras produzidas a 50 e 60 ºC totalizando, ao final do
armazenamento, 19,52% na embalagem Laminada 1 e 30,14% na embalagem Laminada 2;
nota-se que a embalagem Laminada 1 manteve melhor os teores iniciais desse constituinte
para as amostras das três temperaturas.
De acordo com os resultados obtidos, nota-se elevada concentração dos açúcares
redutores da mangaba em pó seca a 50, 60 e 70 ºC, quando comparada com o teor da polpa
de mangaba
in natura que possui em torno de 7,69% de glicose (Tabela 4.1). Este aumento
nos açúcares redutores é decorrente da eliminação de parte da água do produto no processo
Capítulo 4 Resultados e Discussão
79
de secagem, conduzindo a uma concentração nesses teores, que também foi verificada por
ALEXANDRE (2005) em trabalho com desidratação de pitanga.
No geral e se analisando o comportamento dos açúcares redutores durante o
armazenamento da mangaba em pó seca a 50, 60 e 70 ºC, constata-se redução significativa;
este mesmo comportamento foi observado por LOUREIRO (2006), estudando o
armazenamento do butiti em pó, seco a 50, 60 e 70 ºC; o referido pesquisador justificou
que ditos decréscimos nos açúcares redutores, estão relacionados, provavelmente ao
aumento da umidade, que provoca a diluição dos constituintes dos alimentos, por se tratar
de um produto desidratado, não se percebendo qualquer outro tipo de reação, tal como
fermentação, que é responsável pelo consumo dos açúcares redutores.
Tabela 4.28. Valores médios dos açúcares redutores (% de glicose) da polpa da mangaba
em pó a 70 °C, armazenada em dois tipos de embalagem
Embalagem
Tempo de armazenamento
(dia)
Laminada 1 Laminada 2
0
51,03 a 51,03 a
30
48,00 b 46,66 b
60
45,69 c 44,31 c
90
43,55 d 42,60 d
120
43,25 d 38,87 e
150
42,74 d 37,27 f
180
41,07 e 35,65 g
Média geral
45,04 42,34
Desvio mínimo significativo
0,83 0,79
Coeficiente de variação (%)
0,80 0,82
Obs: As médias seguidas da mesma letra minúsculas nas colunas não diferem estatisticamente pelo teste de
Tukey, a 5% de probabilidade
Apresentam-se na Tabela 4.29, as equações de regressão ajustadas aos dados de
açúcares redutores (% glicose) em função do tempo de armazenamento, propostas para o
cálculo de açúcares redutores da mangaba em pó, obtida nas temperaturas de 50, 60 e 70
ºC e armazenada em dois tipos de embalagem (Laminada 1 e Laminada 2). As análises de
variância dessas regressões se encontram nas Tabelas E.25 a E.30 (Apêndice E).
Capítulo 4 Resultados e Discussão
80
Tabela 4.29. Equações de regressão propostas para a predição do teor de açúcares
redutores (% glicose) da polpa da mangaba em pó, ao longo do
armazenamento
Amostra Equações R
2
Laminado 1
0,075t53,46AR
=
(**)
0,9943
50° C
Laminado 2
0,094t52,29AR
=
(**)
0,9523
Laminado 1
0,067t52,05AR
=
(**)
0,9952
60° C
Laminado 2
0,102t51,89AR
=
(**)
0,9776
Laminado 1
0,051t49,63AR
=
(**)
0,9161
70° C
Laminado 2
0,084t49,88AR
=
(**)
0,9789
AR – açúcares redutores (% glicose); t – tempo (dia); (**) significativo a 1% de probabilidade (p – valor <
0,01).
4.5.6. Cinzas
No Apêndice D, Tabelas D.31 e D.32, tem-se as análises de variância dos valores
médios das cinzas da mangaba em pó, produzida por secagem a 50 ºC, armazenada nas
embalagens Laminada 1 e Laminada 2; observa-se efeito significativo a 1% de
probabilidade.
Tem-se na Tabela 4.30, encontram-se os valores médios das cinzas da mangaba em
pó, produzida por secagem a 50 ºC, submetida a armazenamento em temperatura ambiente
por um período de 180 dias, em dois tipos de embalagem. Observa-se, na embalagem
Laminada 1 que, de forma geral, não houve variação das cinzas durante o armazenamento,
apresentando casos isolados de médias com diferenças significativas, não significando,
porém, que houve alterações das cinzas com o tempo de armazenamento, o que se deve as
variações naturais entre as amostras. Na embalagem Laminada 2 as médias das cinzas
durante o armazenamento foram estatisticamente iguais.
O teor de cinzas da mangaba em pó seca a 50
o
C durante todo o período de
armazenamento nas duas embalagens é semelhante ao da casca do abacaxi em
determinado por COSTA et al. (2007), ou seja, de 2,03 ± 0,32%.
Capítulo 4 Resultados e Discussão
81
Tabela 4.30. Valores médios das cinzas da mangaba em pó a 50 °C armazenada em dois
tipos de embalagem
Embalagem
Tempo de armazenamento
(dia)
Laminada 1 Laminada 2
0
2,18 ab 2,18 a
30
2,15 b 2,17 a
60
2,23 ab 2,19 a
90
2,25 a 2,21 a
120
2,24 a 2,20 a
150
2,19 ab 2,18 a
180
2,21 ab 2,17 a
Média geral
2,21 2,18
Desvio mínimo significativo
0,08 0,08
Coeficiente de variação (%)
1,67 1,59
Obs: As médias seguidas da mesma letra minúsculas nas colunas não diferem estatisticamente pelo teste de
Tukey, a 5% de probabilidade
Nas Tabelas D.33 e D.34, do Apêndice D, tem-se as análises de variância dos
valores médios das cinzas da mangaba em pó produzida por secagem a 60 ºC, armazenada
nas embalagens Laminada 1 e Laminada 2, observando-se efeito significativo a 1% de
probabilidade.
Na Tabela 4.31 se encontram os valores médios das cinzas da mangaba em
produzida por secagem a 60 ºC, submetida ao armazenamento em temperatura ambiente
por um período de 180 dias, em dois tipos de embalagem. Constatam-se, nas duas
embalagens, oscilações nos valores médios das cinzas durante o armazenamento,
entretanto entre o valor inicial e o final não existem diferenças significativas; diante esses
valores observados, pode-se considerar que não houve alteração das cinzas com o tempo de
armazenamento, as diferenças significativas existentes são em razão das diferenças
encontradas entre as partículas da amostra que pode apresentar, em alguns casos,
concentração de determinado componente da formulação ocorrida durante a secagem.
Constata-se que o teor de cinzas da mangaba em pó seca a 60 °C durante o período
de armazenamento, é próximo ao valor de 2,70% determinado por VIZEU et al. (2005)
para multimistura à base de farelo de trigo, fubá de milho, folhas de mandioca e couve e
Capítulo 4 Resultados e Discussão
82
sementes de abóbora, significando que a mangaba em pó é um produto com alto teor de
minerais.
Tabela 4.31. Valores médios das cinzas da polpa da mangaba em pó a 60 °C armazenada
em dois tipos de embalagem
Embalagem
Tempo de armazenamento
(dia)
Laminada 1 Laminada 2
0
2,65d 2,65bc
30
2,68cd 2,64bc
60
2,73b 2,68ab
90
2,80a 2,73a
120
2,76ab 2,69ab
150
2,72bc 2,63bc
180
2,67cd 2,59c
Média geral
2,71 2,66
Desvio mínimo significativo
0,05 0,07
Coeficiente de variação (%)
0,83 1,08
Obs: As médias seguidas da mesma letra minúsculas nas colunas não diferem estatisticamente pelo teste de
Tukey, a 5% de probabilidade
Tem-se no Apêndice E, Tabelas D.35 e D.36, as análises de variância dos valores
médios das cinzas da mangaba em pó, produzida por secagem a 70 ºC, armazenada nas
embalagens Laminada 1 e Laminada 2, observando-se efeito significativo a 1% de
probabilidade.
Tem-se na Tabela 4.32, os valores médios das cinzas da mangaba em pó produzida
por secagem a 70 ºC, submetida a armazenamento em temperatura ambiente, por um
período de 180 dias, em dois tipos de embalagem. Verifica-se, na embalagem Laminada 1,
que os dois primeiros valores são estatisticamente iguais ao último valor, o coeficiente de
variação foi abaixo de 2%, o desvio mínimo significativo muito pequeno e as médias
variaram apenas entre 2,65 e 2,84%; verifica-se, com esses valores, que as cinzas da
mangaba em pó não se alteraram com o tempo de armazenamento, as diferenças
significativas entre as médias podem ser em virtude da produção do pó ter ocorrido em
Capítulo 4 Resultados e Discussão
83
vários lotes. Para as amostras armazenadas na embalagem Laminada 2 também se deve
considerar que não houve alteração do teor de cinzas com o tempo de armazenamento.
Tabela 4.32. Valores médios das cinzas da polpa da mangaba em pó a 70°C armazenada
em dois tipos de embalagem
Embalagem
Tempo de armazenamento
(dia)
Laminada 1 Laminada 2
0
2,66cd 2,66ab
30
2,65d 2,55d
60
2,83ab 2,68ab
90
2,84 a 2,70 a
120
2,81ab 2,70 a
150
2,74bc 2,64bc
180
2,70cd 2,60c
Média geral
2,75 2,65
Desvio mínimo significativo
0,09 0,05
Coeficiente de variação (%)
1,41 0,79
Obs: As médias seguidas da mesma letra minúsculas nas colunas não diferem estatisticamente pelo teste de
Tukey, a 5% de probabilidade
4.5.7. Luminosidade
No Apêndice D, Tabelas D.37 a D.42, tem-se as análises de variância dos valores
médios do parâmetro luminosidade (L*) das amostras da mangaba em pó submetidas a
armazenamento em temperatura ambiente, por um período de 180 dias; nas embalagens
laminadas constata-se que os resultados apresentaram efeito significativo da fonte de
variação a 1% de probabilidade pelo teste F.
Na Tabela 4.33, estão os valores médios do parâmetro luminosidade das amostras
da mangaba em pó acondicionadas nas embalagens laminadas durante o armazenamento.
Os valores da luminosidade no tempo zero diminuíram com o aumento da temperatura de
secagem, fato também observado por KARIM & WAI (1999) ao avaliarem a cor da
carambola em pó desidratada pelo processo de secagem em camada de espuma.
Capítulo 4 Resultados e Discussão
84
A luminosidade apresentou tendência de diminuição com o tempo de
armazenamento. Como a escala da luminosidade varia de 0 (preto) a 100 (branco) e
ocorreram reduções com o tempo, isto significa que houve escurecimento das amostras
provocado, provavelmente pela oxidação do ácido ascórbico, aeróbica ou anaeróbica,
ambas levando à formação de furaldeídos, compostos que polimerizam facilmente com
formação de pigmentos escuros (BOBBIO & BOBBIO, 1995). Outro fator causador pode
ter sido o escurecimento não enzimático decorrente do alto conteúdo de açúcares redutores.
SOUSA et al. (2003) também levantaram a hipótese do escurecimento da banana
desidratada durante o armazenamento ser causada pela grande quantidade de açúcares
presentes e pela ausência de aditivos para preservação da cor.
Verifica-se, em todas as amostras, que existe diferença significativa entre o valor no
início (tempo zero) e o valor no final (180 dias) do armazenamento, resultando em
reduções na luminosidade no final do armazenamento, maiores na embalagem Laminada 2;
este comportamento era esperado em razão da embalagem Laminada 2 ter menor proteção
em relação à passagem da luz e a permeabilidade ao ar e ao oxigênio contribuindo para a
maior degradação da amostra. As reduções da luminosidade no final do armazenamento na
embalagem Laminada 1 foram de 42,30; 14,22 e 16,61%, para as amostras secas a 50, 60 e
70
o
C, respectivamente, e na embalagem Laminada 2 de 53,33; 22,13 e 17,64%, para as
amostras secas a 50, 60 e 70
o
C, respectivamente. ALEXANDRE (2005) encontrou
também redução no valor da luminosidade de 10,7%, ao armazenar, em temperatura
ambiente, pitanga em pó em embalagem laminada após 60 dias de estocagem.
Percentualmente, essas diminuições da luminosidade no final do armazenamento
não foram maiores nas temperaturas de secagem mais altas, em razão de que, durante o
processo de secagem, referidas amostras nas temperaturas mais altas já tinham passado por
um intenso processo de escurecimento. De acordo com KARIM & WAI (1999) o
escurecimento das amostras da carambola em pó desidratadas por secagem em camada de
espuma, pode ser atribuído ao escurecimento não enzimático ou caramelização dos
açúcares, que ocorre durante o processo de secagem.
Capítulo 4 Resultados e Discussão
85
Tabela 4.33. Valores médios da luminosidade (L*) da mangaba em pó desidratada a 50, 60
e 70 ºC, durante o armazenamento nas diferentes embalagens
Laminada 1 Laminada 2 Tempo de
armazenamento
(dia)
50 ºC 60 ºC 70 ºC 50 ºC 60 ºC 70 ºC
0
86,99a 65,76b 57,03a 86,99a 65,76a 57,03a
30
65,16b 66,70a 54,64b 65,47b 65,66b 56,57b
60
63,72b 62,72c 54,44c 61,64c 63,24c 56,24c
90
60,15c 60,33d 54,06d 62,44c 57,87d 56,13d
120
58,05cd 58,43e 51,96e 56,49d 56,67e 49,05e
150
55,75d 57,79e 48,70f 47,01e 51,76f 47,11f
180
50,19e 56,41f 47,56g 46,39e 51,21g 46,97g
MG
62,86 61,16 52,63 60,92 58,89 52,73
DMS
2,88 0,64 0,01 1,57 0,03 0,01
CV (%)
1,65 0,38 0,004 0,92 0,02 0,004
DMS: Desvio mínimo significativo; MG: Média geral; CV: Coeficiente de variação
Obs: As médias seguidas da mesma letra minúsculas nas colunas não diferem estatisticamente pelo teste de
Tukey, a 5% de probabilidade
4.5.8. Intensidade de vermelho
No Apêndice D, Tabelas D.43 a D.48, tem-se as análises de variância dos valores
médios do parâmetro intensidade de vermelho (+a*) das diferentes amostras da mangaba
em pó submetidas a armazenamento em temperatura ambiente, por um período de 180
dias; nas duas embalagens laminadas verifica-se que os resultados apresentam efeito
significativo a 1% de probabilidade.
Na Tabela 4.34 tem-se os resultados dos valores médios do parâmetro intensidade
de vermelho (+a*) durante o armazenamento das diferentes amostras da mangaba em
acondicionadas nas duas embalagens laminadas; para a amostra desidratada a 50
o
C,
verifica-se comportamento diferenciado das demais amostras com os valores médios da
intensidade de vermelho aumentando com o tempo de armazenamento; para as amostras
desidratadas a 60 e 70
o
C, tem-se que os valores médios da intensidade de vermelho
diminuíram com o tempo de armazenamento; a redução dos valores de +a* significa que as
amostras se tornaram menos vermelhas e o seu aumento representa que a amostra se tornou
Capítulo 4 Resultados e Discussão
86
mais vermelha. PEREIRA et al. (2006) também mostraram uma diminuição acentuada na
intensidade de vermelho do tomate em pó entre o tempo inicial (tempo zero) e o tempo
final (60 dias) de armazenamento.
Tabela 4.34. Valores médios da intensidade de vermelho (+a*) da mangaba em pó
desidratada a 50, 60 e 70 ºC, durante o armazenamento nas diferentes
embalagens
Laminada 1 Laminada 2 Tempo de
armazenamento
(dia)
50 ºC 60 ºC 70 ºC 50 ºC 60 ºC 70 ºC
0
13,20g 31,59a 31,87a 13,20g 31,59a 31,87a
30
16,96f 31,43b 31,43b 17,45f 28,44b 27,25b
60
23,10e 30,08c 29,41c 23,76e 28,05c 27,00c
90
24,34d 28,85d 28,21d 23,79d 25,76d 26,72d
120
27,71b 28,80e 27,56e 23,83c 24,23e 25,15e
150
24,89c 28,05f 26,90f 26,74b 9,25f 24,33f
180
32,29a 27,57g 23,42g 29,19a 7,03g 23,68g
MG
22,93 29,48 28,40 22,57 22,05 26,57
DMS
0,03 0,01 0,01 0,01 0,01 0,01
CV (%)
0,05 0,01 0,01 0,01 0,01 0,01
DMS: Desvio mínimo significativo; MG: Média geral; CV: Coeficiente de variação
Obs: As médias seguidas da mesma letra minúsculas nas colunas não diferem estatisticamente pelo teste de
Tukey, a 5% de probabilidade
4.6.9. Intensidade de amarelo
No Apêndice D, Tabelas D.49 a D.54, tem-se as análises de variância dos valores
médios do parâmetro intensidade de amarelo (+b*) das amostras de mangaba em pó
submetidas a armazenamento em temperatura ambiente, por um período de 180 dias,
acondicionadas nos dois tipos de embalagem laminada; verifica-se que os resultados
apresentam efeito significativo da fonte de variação a 1% de probabilidade pelo teste F.
Os valores médios do parâmetro intensidade de amarelo (+b*) das amostras de
mangaba em pó se encontram na Tabela 4.35; analisando-se o comportamento de (+b*),
constata-se diminuição da intensidade de amarelo com o tempo de armazenamento, em
Capítulo 4 Resultados e Discussão
87
todas as amostras nas diferentes embalagens, significando que as amostras se tornaram
menos amarelas, confirmando o escurecimento com o tempo de estocagem;
comportamento que também foi observado por GALDINO (2003) ao armazenar o umbu
em pó em embalagem de polietileno, durante 60 dias.
Tabela 4.35. Valores médios da intensidade de amarelo (+b*) da mangaba em pó
desidratada a 50, 60 e 70 ºC, durante o armazenamento nas diferentes
embalagens
Laminada 1 Laminada 2 Tempo de
armazenamento
(dia)
50 ºC 60 ºC 70 ºC 50 ºC 60 ºC 70 ºC
0
34,68a 33,34a 32,95a 34,68a 33,34a 32,95a
30
34,01b 29,42b 32,22b 29,48b 33,31b 29,85b
60
29,57c 28,87c 28,44c 29,10c 31,86c 29,37c
90
29,02d 28,68e 27,96d 28,24d 31,73d 28,70d
120
28,78e 28,71d 27,66e 26,12e 29,86e 27,83e
150
27,74f 28,31f 26,34f 24,28f 28,67f 27,13f
180
22,03g 27,74g 26,12g 22,07g 27,86g 26,03g
MG
29,40 29,30 28,81 27,71 30,95 28,84
DMS
0,01 0,01 0,01 0,01 0,01 0,01
CV (%)
0,01 0,01 0,01 0,01 0,01 0,01
DMS: Desvio mínimo significativo; MG: Média geral; CV: Coeficiente de variação
Obs: As médias seguidas da mesma letra minúsculas nas colunas não diferem estatisticamente pelo teste de
Tukey, a 5% de probabilidade
Capítulo 5 Conclusões
88
5. CONCLUSÕES
- A adição de aditivos à polpa integral, resultou em acréscimo no teor de sólidos
solúveis totais, redução nos teores de sólidos totais, cinzas, ácido ascórbico, acidez total
titulável e açúcares redutores e manutenção do pH.
- O aumento da temperatura de secagem de 50 para 70 ºC. provocou redução de
40% no tempo de secagem.
- Os modelos de Cavalcanti Mata, Henderson & Pabis e Page se mostraram
adequados para a predição das curvas de secagem em camada de espuma da polpa de
mangaba, com melhor desempenho do modelo de Cavalcanti Mata
- As isotermas foram classificadas como do Tipo II e os modelos de GAB, Peleg e
Oswin se mostraram adequados para a estimativa das isotermas de adsorção de umidade da
mangaba em pó, com os melhores ajustes pelo modelo de Peleg.
- O emprego das temperaturas de secagem de 50, 60 e 70 ºC na produção da
mangaba em pó influenciou significativamente o teor de ácido ascórbico, acidez total
titulável, açúcares redutores e cor.
- De maneira geral, durante o armazenamento da mangaba em pó acondicionada em
dois tipos de embalagens laminadas houve tendência de aumento da umidade e do pH com
o tempo de estocagem; para o teor de ácido ascórbico, acidez total titulável, açúcares
redutores, luminosidade e intensidade de amarelo, ocorreu tendência de redução com o
tempo de armazenamento, enquanto para as cinzas a tendência foi de estabilidade com o
tempo de armazenamento.
- De modo geral, as embalagens utilizadas para armazenar a mangaba em pó não
forneceram proteção satisfatória visto que permitiram a troca de umidade do produto com a
atmosfera ambiente não impedindo, portanto, o escurecimento das amostras.
Capítulo 6 Referências Bibliográficas
89
6. REFERÊNCIAS BIBLIOGRÁFICAS
AGUIAR FILHO, S. P.; BOSCO, J.; ARAÚJO, I. A. A mangabeira (Hancornia
speciosa): domesticação e técnicas de cultivo. João Pessoa: EMEPA, 1998. 26 p.
ALDRIGUE, M. L.; MADRUGA, M. S.; FIOREZE, R.; LIMA, A. W. O.; SOUSA, C. P.
Aspecto da ciência e tecnologia de alimentos. João Pessoa: UFPB, 2002. v.1, 198 p.
ALEXANDRE, H. V. Secagem da polpa de pitanga e armazenamento do pó. 2005. 108
f. Dissertação (Mestrado em Engenharia Agrícola)- Centro de Ciências e Tecnologia,
Universidade Federal de Campina Grande, Campina Grande.
AL-MUHTASED, A. H.; MCMINN, W. A. M.; MAGEE, T. R. A. Water sorption
isotherms of starch powders – Part 1. mathematical description of experimental data.
Journal of Food Engineering, Oxford, v. 61, n. 3, p. 297-307, 2004.
ALEXANDRE, H. V.; FIGUEIRÊDO, R. M. F.; QUEIROZ, A. J. M.; MELO, K. S.
Cinética de secagem da polpa de pitanga formulada. In: CONGRESSO BRASILEIRO DE
ENGENHARIA AGRÍCOLA (CONBEA), 35., 2006, João Pessoa.. Anais... João Pessoa:
SBEA, 2006. CD Rom.
ALEXANDRE, H. V.; FIGUEIRÊDO, R. M. F.; QUEIROZ, A. J. M. Isotermas de
adsorção de umidade da pitanga em pó. Revista de Biologia e Ciências da Terra,
Campina Grande, v. 7, n. 1, p. 11-20, 2007.
ALONSO, G. M. Influencia de la temperatura, el envase y la atmósfera en la
conservación de uvas pasas y de albaricoques deshidratados. 2003. 310 f. Tese
(Doutorado em Engenharia Química), Universitat de Valencia.
ALDRIGUE, M. L. Vitamina C. In: ALDRIGUE, M. L.; MADRUGA, M. S.; FIOREZE,
R.; SOARES, J. Aspectos da ciência e tecnologia de alimentos. João Pessoa: Editora
Universitária/UFPB/Idéia, 2003. v. 2, cap. 6, p. 261-285.
Capítulo 6 Referências Bibliográficas
90
ALMEIDA, S. P.; PROENÇA, C. E. B.; SANO, S. M.; RIBEIRO, J. F. Cerrado: espécies
vegetais úteis. Planaltina: EMBRAPA-CPAC, 1998. 464 p.
ALVES, R. M. V.; ITO, D. Embalagens para refresco em pó: influência da barreira à
umidade e integridade do fechamento. In: SIMPÓSIO LATINO AMERICANO DE
CIÊNCIA DE ALIMENTOS (SLACA), 6., 2005, Campinas. Resumos... Campinas:
SBCTA, 2005. CD Rom.
ALVES, R. M. V. Embalagem para frutas e hortaliças desidratadas e frutas secas.
Campinas : CETEA/ITAL, 2001.12p.
ALVES, R. M. V.; BORDIM, M. R.; GARCIA, E. E. C. Aplicação de um modelo
matemático na estimativa da vida-de-prateleira de biscoitos “cream craker”. Coletânea do
ITAL, Campinas, v. 26, n. 1, p. 89-101, 1996.
ALVES, R. E.; CARNELOSSI, M. A. G.; SILVA, S. de M.; FIGUEIREDO, R. W de.;
Colheita e pós-colheita de mangaba. In.: SIMPÓSIO BRASILEIRO SOBRE A CULTURA
DA MANGABA, 1., 2003, Aracaju. Anais... Aracaju: EMBRAPA, 2003. CD Rom.
ANSELMO, G. C. S.; MATA, M. E. R. C.; ARRUDA, P. C.; SOUSA, M. C.
Determinação da higroscopicidade do cajá em pó por meio da secagem por atomização.
Revista de Biologia e Ciências da Terra, Campina Grande, v. 6, n. 2, p. 58-65, 2006.
ANTUNES, L. E. C.; DUARTE FILHO, J.; SOUZA, C. M. Conservação pós-colheita de
frutos de amoreira-preta. Pesquisa Agropecuária Brasileira, Brasília, v. 38, n. 3, p. 413-
419, 2003.
APENBURG, O. R. O. Desidratação do côco pelo processo “foam-mat” (côco em pó).
1971. 37 f. Dissertação (Mestrado em Ciências dos Alimentos) – Faculdade de Ciências
dos Alimentos, Universidade Estadual de Campinas, Campinas.
AROLA, F. M. Isolamento e caracterização da goma da mangaba. 1982. 118f.
Dissertação (Mestrado em Ciência e Tecnologia de Alimentos) – Universidade Federal da
Paraíba, João Pessoa.
Capítulo 6 Referências Bibliográficas
91
ARTÉS, I.; MINGUÉZ, M. I.; HORNERO, D. Analysing changes in fruit pigments. In:
MACDOUGALL, D. B. Color in food. Cambridge: Woodhead Publishing Limited, 2002.
379p.
ASSOCIATION OF OFFICIAL ANALYTICAL CHEMISTS. Official methods of
analysis of AOAC international. 16. ed. Gaitherburg: Patricia Cunniff, 1997. v. 2, 1141p.
ÁVIDOS, M. F. D.; FERREIRA, L. T. Frutos dos Cerrados: preservação gera muitos
frutos. Revista Biotecnologia Ciência e Desenvolvimento, Brasília, v. 3, n. 15, p. 36-41,
2000.
AWAD, M. Fisiologia pós-colheita de frutos. São Paulo: Nobel, 1993. 114 p.
BARUFFALDI, R.; OLIVEIRA, M. N de. Fundamentos de tecnologia de alimentos. São
Paulo: Atheneu, 1998. 316p.
BASTOS, D. S.; SOARES, D. M. B. G.; ARAÚJO, K. G. L.; VERRUMA-BERNARDI,
M. R. Desidratação da polpa de manga “Tommy Atkins” utilizando a técnica de foam mat
drying: avaliações químicas, físico-químicas e sensoriais. Brazilian Journal of Food
Technology, v. 8, n. 4, p. 283-290, 2005.
BENASSI, M. T.; ANTUNES, A. J. A comparison of meta-phosphoric and oxalic acids as
extractant solutions for the determination of vitamin C in selected vegetables. Arquivos de
Biologia e Tecnologia, Curitiba, v. 31, n. 4, p. 507-513, 1998.
BOBBIO, F. O.; BOBBIO, P. A. Química do processamento de alimentos. Campinas:
Fundação Cargil, 1985. 306 p.
BOBBIO, F. O.; BOBBIO, P. A. Introdução à química de alimentos. 2. ed. São Paulo:
Varela, 1992a. 223 p.
BOBBIO, P. A.; BOBBIO, P. A. Química do Processamento de alimentos. 2. ed. São
Paulo: Varela, 1992b. 145 p.
Capítulo 6 Referências Bibliográficas
92
BLASCO, R.; ESTEVE, M. J.; FRÍGOLA, A.; RODRIGO, M. Ascorbic acid degradation
kinetics in mushrooms in hith-temperature short-time process controlled by a
thermoresistometer. Lebensmittel Wissenschaft Und Technologie. London, v. 37, n. 2, p.
171-175, 2004.
BRASIL. Ministério da Agricultura e do Abastecimento. Portaria n.º 544, de 16 de
novembro de 1998. Aprova os “Regulamentos Técnicos para Fixação dos Padrões de
Identidade e Qualidade, para refresco, refrigerante, preparado ou concentrado líquido para
refresco ou refrigerante, preparado sólido para refresco, xarope e chá pronto para o
consumo. Diário Oficial [da] República Federativa do Brasil, Poder Executivo, Brasília,
DF, 17 de nov. 1998. Seção 1.
BRASIL, I. M.; GUIMARAES, A. C. L. Curso de tecnologia de processamento de sucos
e polpas tropicais: química e bioquímica de processamento. Brasília: ABEAS, 1998. v.5,
109p.
BRASIL. Ministério da Saúde. Agência Nacional de Vigilância Sanitária. Métodos físico-
químicos para analise de alimentos. Brasília: Ministério da Saúde, 2005. 1017 p.
BRASIL. Ministério da Saúde. Resolução RDC n.º 269, de 22 de setembro de 2005.
Aprova o “Regulamento Técnico Sobre a Ingestão Diária Recomendada (IDR) de Proteína,
Vitaminas e Minerais.
BROOKER, D. B.; BAKKER-ARKEMA, F. W. B.; HALL, C. W. Drying and storage of
grains and oilseed. Westport: The AVI Publishing Company, 1992. 450 p.
CALIL, R. M.; AGUIAR, J. Aditivos nos alimentos. São Paulo: ed. R M. Calil, 1999.
139p.
CAMPOS, L. R.; TREPTOW, R. O.; SOARES, G. J. D. Influência da inertização com
nitrogênio na vida de prateleira de leite em pó integral acondicionado em embalagens
metalizadas flexíveis. Revista Brasileira de Agrociência, v. 4, n. 2, p. 130-137, 1998.
Capítulo 6 Referências Bibliográficas
93
CANO-CHAUCA, M.; RAMOS, A. M.; STRINGHETA, P. C.; MARQUES, J. A.;
SILVA, P. I. Curvas de secagem e avaliação da atividade de água da banana passa. B.
Cepa, Curitiba, v. 22, n. 1, p. 121–132, 2004.
CARVALHO, MANTOVAN, D. M. B; CARVALHO, P. R. N.; MORAES, R. M. de.
Análises químicas de alimentos. Campinas: Instituto de Tecnologia de Alimentos, 1990.
121p.
CARVALHO, S. M. L. Determinação de isotermas de adsorção da farinha d'água
obtida de mandioca (Manihot esculenta). 1994. Especialização (Especialização em
Tecnologia de Alimentos) - Departamento de Engenharia Química, Universidade Federal
do Pará, Belém.
CARVALHO, M. O.; FONSECA, A. A. O.; SANTOS JUNIOR, A. B. S.; HANSEN, D.
S.; RIBEIRO, T. A. D. Caracterização física, organolépticas, química e físico-quimica dos
frutos de mangabeiras (Hancornia speciosa Gomes) da região do Conde – BA. In.:
SIMPÓSIO BRASILEIRO SOBRE A CULTURA DA MANGABA, 1., 2003, Aracaju.
Anais... Aracaju: Embrapa Tabuleiros Costeiros, 2003. CD Rom.
CARVALHO, M. O.; FONSECA, A. A. O.; SANTOS JÚNIOR, A. B.; HANSEN, D. S.;
RIBEIRO, T. A. D. Caracterização física, organolépticas, química e físico-química dos
frutos de mangabeiras (Hancornia speciosa Gomes) da região do Conde-BA.
Disponível em:<http://dados\fruta\mangaba\890.htm>. Acesso em: 29 jul 2006.
CARDOSO, R. L.; FERREIRA, V. L.; MONTGOMERY, M. W.; YOTSUYANAGI, K.
Efeito do tempo, luz e temperatura na cor da geléia de jambo vermelho (Eugenia
malaccensis L.). Ciência e Tecnologia de Alimentos, Campinas, v. 17, n. 1, p. 28-31,
1997.
CAURIE, M. The derivation of the GAB adsorption equation from the BDDT adsorption
theory. International Journal of Food Science and technology, Oxford, v. 41, n. 2, p.
173-179, 2006.
Capítulo 6 Referências Bibliográficas
94
CAPRISTE, G. H.; ROTSTEIN, E. Prediction of sorption equilibrium data for starch-
containing foodstuffs. Journal of Food Science, Chicago, v. 47, p. 1501-107, 1982.
CHAVES, M. da C. V.; GOUVEIA, J. P. G.; ALMEIDA, F. A. C.; LEITE, J. C. A.
Caracterização físico-química do suco da acerola. Revista de Biologia e Ciências da
Terra, v. 4, n. 2, 2004.
CHAVES, J. B. P. Controle de qualidade para indústria de alimentos. Viçosa:
Universidade Federal de Viçosa, 1994. 31 p.
CHAVES, J. B. P. Noções de microbiologia e conservação de alimentos. Viçosa: UFV,
1993. 113 p.
CHITARRA, M. I.; CHITARRA, A. D. Pós-colheita de frutos e hortaliças: fisiologia e
manuseio. Lavras: ESAL/FAEPE, 1990. 293p.
CHITARRA, M. I.; CHITARRA, A. B. Pós-colheita de frutos e hortaliças: fisiologia e
manuseio. 2 ed. Lavras: UFLA, 2000. 785p.
CHITARRA, M. I. F. Colheita e qualidade de produtos vegetais. Poços de Caldas:
UFLA/SBEA, 1998. 58 p.
CIABOTTI, E. D.; BRAGA, M. E. D.; CAVALCANTI-MATA, M. E. R. M. Alterações
das características físico-químicas da polpa de maracujá amarelo submetido a diferentes
técnicas de congelamento inicial. Revista Brasileira de Produtos Agroindustriais.
Campina Grande, v. 2, n. 1, p. 51-60, 2000.
COSTA, J. M. C.; FELIPE, E. M. F.; MAIA, G. A.; BRASIL, I. M.; HERNANDEZ, F. H.
Comparação dos parâmetros físico-químicos e químicos de pós alimentícios obtidos de
resíduos de abacaxi. Revista Ciência Agronômica, Fortaleza, v. 38, n.2, p. 228,232, 2007.
CRUESS, W. V. Produtos industriais de frutas e hortaliças. São Paulo: Edgard Blücher,
1973. 959p.
Capítulo 6 Referências Bibliográficas
95
CRUZ, G. A. Desidratação de alimentos. São Paulo: Globo, 1990. 270p.
DIAMANTE, L. M.; MUNRO, P. A. Mathematical modelling of the thin layer solar drying
of sweet potato slices. Solar Energy, v. 51, n. 4, p. 271–276, 1993.
DUARTE, A. J.; CARREIRA, R. L.; JUNQUEIRA, R. G.; COELHO, J. V.; SILVESTRE,
M. P. C. Propriedades emulsionantes e solubilidade da caseína bovina: 2. efeito da
adição de NaCl. 1998. Ciência e Tecnologia de Alimentos, Campinas, v. 18, n. 3, p. 303-
308, 1998.
DUARTE, M. E. M.; MATA, M. E. R. M. C.; PAIVA, B. R. de. Propriedade termofísicas
da polpa de mangaba a baixas e ultra-baixas temperaturas: densidade e calor especifico.
Revista Brasileira de Produtos Agroindustriais, Campina Grande, Especial, n.1, p.19-
29, 2003.
DZIEZAK, J. D. A focus on gums. Food Technology, Chicago, v. 45, n. 3, p. 117-132,
1991.
ERENTURK, S.; GULABOGLU, M. S.; GULTEKIN, S. The effects of cutting and drying
medium on the vitamin C content of rosehip during drying. Journal of Food
Enguneering, Oxford, v. 68, n. 4, p. 513-518, 2005.
ESPÍNDOLA, A. C. M. Aspectos da nutrição mineral da mangabeira (Hancornia
speciosa Gomez). 1999. 88 f. Tese (Doutorado em Botânica) - Universidade Federal Rural
de Pernambuco, Recife.
EVANGELISTA, J. Tecnologia de alimentos. São Paulo: Atheneu, 1992, 652p.
EVANGELISTA, J. Tecnologia dos alimentos. 2 ed. São Paulo: Atheneu, 1994. 270p.
FELLOWS, P. Tecnología del procesado de los alimentos: principios y prácticas.
Zaragoza: Acribia, 1994. 549p.
Capítulo 6 Referências Bibliográficas
96
FERREIRA, M. B. Frutos comestíveis do Distrito Federal: III - Piqui, mangaba, marola e
mamãozinho. Cerrado, Brasília, v. 3, n. 20, p. 22-25, 1973.
FERREIRA, D.; NARIAN, N. Caracterização química da mangaba (hancornia speciosa
gomes) do tipo “rio tinto” em três estádios de maturação. In.: SIMPÓSIO BRASILEIRO
SOBRE A CULTURA DA MANGABA, 1, 2003, Aracaju. Anais... Aracaju: Embrapa
Tabuleiros Costeiros, 2003. CD Rom.
FERREIRA, C. D.; PENA, R. S. Comportamento higroscópico da farinha de pupunha
(Bactris gasipaes). Ciência e Tecnologia dos Alimentos, Campinas, v. 23, n. 2, p. 251-
255, 2003.
FERREIRA, J. C.; CAVALCANTI-MATA, M. E. R. M.; BRAGA, M. E. D. Cinética de
congelamento de polpa de umbu a duas temperaturas criogênicas In: CONGRESO
LATINOAMERICANA Y DEL CARIBE DE INGENIERIA AGRÍCOLA, 2000, Irapuato.
Anais... Irapuato, 2000.
FIGUEIRÊDO, R. M. F. Caracterização físico-química do suco e pó de acerola
(Malpighia punicifolia, L.). 1998. 184 f. Tese (Doutorado em Engenharia de Alimentos) –
Faculdade de Engenharia de Alimentos, Universidade Estadual de Campinas, Campinas.
FIGUEIRÊDO, R. M. F.; MARTUCCI, E. Moisture adsorption isotherms of
microencapsulated west indian cherry juice. In: INTERNATIONAL SYMPOSIUM ON
WATER MANAGEMENT IN THE DESIGN AND DISTRIBUTION OF QUALITY
FOODS (ISOPOW), 7., 1998. Proceedings… Helsinki: ROOS, Y. H., 1998. p.165-169.
FIGUEIRÊDO, R. M. F.; GRANDIN, A.; MARTUCCI, E. T. Armazenamento do suco de
acerola microencapsulado. Revista Brasileira de Produtos Agroindustriais, Campina
Grande, v.3, n.1, p.1-6, 2001.
FONSECA, A. A. O.; HANSEN, D, de S.; SILVA, S. A.; HANSEN, O. A. de S.;
SANTOS, S. B dos.; Caracterização de frutos nativos da mangabeira (hancornia speciosa)
em Andarai-Ba. In.: SIMPÓSIO BRASILEIRO SOBRE A CULTURA DA MANGABA,
1., 2003, Aracaju. Anais... Aracaju: Embrapa Tabuleiros Costeiros, 2003. CD Rom.
Capítulo 6 Referências Bibliográficas
97
FONSECA, A. A. O.; FOLEGATTI, M. I. S.; HANSEN, D. S.; SANTOS, S. B.; SILVA,
S. A. Otimização da formulação de néctar de mangaba. In.: SIMPÓSIO BRASILEIRO
SOBRE A CULTURA DA MANGABA, 1., 2003, Aracaju. Anais... Aracaju: Embrapa
Tabuleiros Costeiros, 2003. CD Rom. p. 1-6.
FRANCO, G. Tabela de composição química de alimentos. 9. ed. São Paulo: Atheneu,
1998. 307p.
FRANCO, C. F. O.; CAZÉ FILHO, J.; BARREIRO NETO, M.; ARAÚJO, I. A. de.;
MATIAS, E. C.; MENINO, I. B.; LIMA, I. X. de.; MARINHO, S. J. O.; FONTINÉLLI, I.
S. C. Mangabeira (Hancornia speciosa Gomez). João Pessoa: EMEPA, 2003.
GABAS, A. L.; TELIS-ROMERO, J.; MENEGALLI, F. C. Cinética de degradação do
ácido ascórbico em ameixas liofilizadas. Ciência e Tecnologia de Alimentos, Campinas,
v. 23, n. supl., p. 66-70, 2003.
GABAS, A. L.; TELIS, V. R. N.; SOBRAL, P. J. A.; TELIS-ROMERO, J. Effect of
maltodextrin and arabic gum in water vapor sorption thermodynamic properties of vacuum
dried pineapple pulp powder. Journal of Food Engineering, v. 82, p. 246-252, 2007.
GALDINO, P. O.; QUEIROZ, A. J de. M.; FIGUEIRÊDO, R. M. F de.; SILVA, R. N. G
da. Avaliação da estabilidade da polpa de umbu em pó. Revista Brasileira de Produtos
Agroindustriais, Campina Grande, v.5, n.1, p. 73-80, 2003.
GALDINO, P. O. Desidratação de polpa de umbu. 2003. 92 f. Dissertação (Mestrado em
Engenharia Agrícola) - Centro de Ciências e Tecnologia, Universidade Federal de
Campina Grande, Campina Grande.
GOUVEIA, J. P. G.; ALMEIDA, F. A. C.; FARIAS, E. S.; SILVA, M. M.; CHAVES, M.
C. V.; REGIS, L. S. Determinação das curvas de secagem em frutos de cajá. Revista
Brasileira de Engenharia Agrícola e Ambiental, Campina Grande, v. 5, n. 1,p. 65-68,
2003.
Capítulo 6 Referências Bibliográficas
98
GOULA, A. M.; KARAPANTSIOS, T. D.; ACHILIAS, D. S.; ADAMOPOULOS, K. G.
Water sorption isotherms and glass transition temperature of spray dried tomato pulp.
Journal of Food Engineering, v. 85, n. 1, p. 73-83, 2008.
GOMES, P. M. A.; FIGUEIRÊDO, R. M. F.; QUEIROZ, A. J. M. Armazenamento da
polpa de acerola em pó a temperatura ambiente. Ciência e Tecnologia de Alimentos,
Campinas, v. 24. n. 3, p. 384-389, 2004.
GOMES, P. M. A.; FIGUEIRÊDO, R. M. F.; QUEIROZ, A. J. M. Caracterização e
isotermas de adsorção de umidade da polpa de acerola em pó. Revista Brasileira de
Produtos Agroindustriais, Campina Grande, v. 4, n. 2, p. 157-165, 2002.
GUEDES, A. M. M.; FARIA, L. J. G. Determinação da constante de secagem de urucum
(Bixa orellana L.) em secador convectivo de leito fixo. Revista Brasileira de Produtos
Agroindustriais, Campina Grande, v. 2, n. 1, p. 73-86, 2000.
GURJÃO, C. O. Desenvolvimento, armazenamento e secagem de tamarindo
(Tamarindus indica L.). 2006. 142 f. Tese (Doutorado em Agronomia) – Centro de
ciências agrárias, Universidade Federal da Paraíba, Areia.
HARRIS, R. S. Effects of agricultural practices on foods of plant origin. In: HARRIS, R.
S.; KARMAS, E. Nutritional evaluation of food processing. Connecticut: AVI
Publishing, 1977. cap. 6, p. 33-57
HENDERSON, S. M.; PABIS, S. Grain drying theory: I. Temperature effect on drying
coeficient. Journal of Agricultural Engineering Research, v. 6, n. 3, p. 169–174, 1961.
HENSHALL, J. D. Ascorbic acid in fruit juices and beverages. In: COUNSELL, J. N.;
HORNING, D. H. Vitamin C (ascorbic acid). London: Applied Science, 1981.
JAIME, S. B. M.; ALVES, R. M. V.; SEGANTINI, E. Estabilidade do molho de tomate
em diferentes embalagens de consumo. Ciência e Tecnologia de Alimentos, Campinas, v.
18, n. 2, p. 193-199. 1998.
Capítulo 6 Referências Bibliográficas
99
KAREL, M. Water activity and food preservation. In: FENNEMA, O. R. Principles of
food science: physical principles of food preservation. New York, Marcel Dekker, 1975. v.
4, p. 237-265.
KARIM, A. A.; WAI, C. C. Foam-mat drying of starfruit (Averrhoa carambola L.) purée:
stability and air drying characteristics. Food Chemistry, v. 64, p. 337-343, 1999.
KECHAOU, N.; MAALEJ, M. Desorption isotherms of Tunisia deglet nour dates
application of the GAB theory. Brazilian Journal of Food Technology, Campinas, v. 3,
n. 37, p. 73-77, 2000.
KIRANOUDIS, C. T.; MAROULIS, Z. B.; TSAMI, E.; MARINOS-KOURIS, D.
Equilibrium moisture content and heat of desorption of some vegetables. Journal of Food
Engineering, Essex, v. 20, n. 1, p. 55-74, 1993.
KEEY, R. B. Drying principles and practice. Oxford: Pergamon Press, 1972. 358 p.
KROKIDA, M. K.; KARATHAMOS, V. T.; MAROULIS, Z. B.; MARINOS-KOURIS, D.
Drying kinetics of some vegetables. Journal of Food Engineering, Essex, v. 59, n. 4, p
391-403, 2003.
LABUZA, T. P. The effect of water activity on reaction kinetics of food deterioration.
Food Technology, Chicago, v. 36, n. 4, p. 92-97, 1980.
LANDROCK, A. H.; PROCTOR, B. E. A new graphical interpolation method for
obtaining humidity equation data, with special reference to its role in food packaging
studies. Food Technology, Chicago, v. 5, n. 8, p. 332-337, 1951.
LAWLESS, H. T.; HEYMANN, H. Sensory evaluation of food. New York: Chapman &
Hall, 1998. 819 p.
LEE, S. K.; KADER, A. A. Preharvest and postharvest factors influencing vitamin C
content of horticultural crops. Postharvest Biology and Technology, Oxford, v. 20, n. 3,
p. 207-220, 2000.
Capítulo 6 Referências Bibliográficas
100
LEITÃO, M. F. F. Microbiologia de frutas tropicais e seus produtos. In: Alguns aspectos
técnologicos das frutas tropicais e seus produtos. São Paulo: ITAL, 1980. p. 83-126.
(Série Frutas Tropicais, 10).
LEDERER, J. Enciclopédia moderna de higiene alimentar. São Paulo: Manole Dois,
1991. v. 3, 121 p.
LENDERMAN, I. E.; SILVA JÚNIOR, J. F.; BEZERRA, J. E. F.; ESPÍNDOLA, A. C. M.
Mangaba (Hancornia speciosa Gomes). Jaboticabal: FUNEP, 2000. 35p. (Série Frutas
Nativas, 2).
LEDERMAN, I. E.; BEZERRA, J. E. F. Situação atual e perspectiva da cultura da
mangaba no Brasil. In.: SIMPÓSIO BRASILEIRO SOBRE A CULTURA DA
MANGABA, 1., 2003, Aracaju. Anais... Aracaju: Embrapa Tabuleiros Costeiros, 2003.
CD Rom.
LIMA, M. F. M.; SANTOS, E. M. B. D.; GASPARETTO, O. C. P.; COSTA, F. A.;
ROLEMBERG, M. P. Propriedades fluidodinâmicas de polpas de frutas tropicais. In:
ENCONTRO SOBRE ESCOAMENTO EM MEIOS POROSOS (ENEMP), 22., 1994,
Florianópolis. Anais... Florianópolis: UFSC, 1994. v. 2, p. 528-535.
LIMA, A. G. B.; NEBRA, S. A.; QUEIROZ, M R. Aspectos científico e tecnológico da
banana. Revista Brasileira de Produtos Agroindustriais, Campina Grande, v. 2, n. 1, p.
87-101, 2000.
LOBO, A. R.; SILVA, G. M. L. Amido resistente e suas propriedades físico-químicos.
Revista de Nutrição, Campinas, v. 16, n. 2, p. 219-226, 2003.
LOUREIRO, M.N. Desidratação da polpa de buriti e armazenamento do produto seco.
2006. 150f. Dissertação (Mestrado em Engenharia Agrícola) - Centro de Ciências e
Recursos Naturais, Universidade Federal de Campina Grande, Campina Grande.
MACEDO, L. S; ARAUJO, I. A.; FRANCO, C. F. O. Caracterização físico-química de
frutos da mangabeira nativa e naturalizada da mata paraibana. In.: SIMPÓSIO
Capítulo 6 Referências Bibliográficas
101
BRASILEIRO SOBRE A CULTURA DA MANGABA, 1., 2003, Aracaju. Anais...
Aracaju: Embrapa Tabuleiros Costeiros, 2003. CD Rom.
MAIA, G. A.; OLIVEIRA, G. S. F. O.; FIGUEIREDO, R. W. Tecnologia de
processamento de sucos e polpa tropicais: matérias-primas. 1998. 224 f. Especialização
(Especialização em tecnologia de processamento de sucos e polpa tropicais: matérias-
primas) ABEAS, Brasília.
MARTIN, N. S. P. Estudo das características de processamento da manga (mangifera
indica l.) variedade tommy atkins desidratada. 2006. 78f. Dissertação (Mestrado em
Tecnologia de Alimentos) - Centro de Tecnologia, Universidade Federal do Paraná,
Curitiba.
MATSUURA, F. C. A. Processamento e caracterização de suco integral e concentrado
de acerola. 1994. 141 f. Dissertação (Mestre em Tecnologia de Alimentos) - Faculdade de
Engenharia de Alimentos, Universidade Estadual de Campinas, Campinas.
MATTIETTO, R. A.; SOARES, M. S.; RIBEIRO, C. C. Caracterização física e físico-
química do fruto de mangaba (Harcornia speciosa Gomes) proveniente de Belém – PA.
Tecnologia de alimentos aplicada à mangaba. In: SIMPÓSIO BRASILEIRO SOBRE A
CULTURA DA MANGABA, 1. 2003, Aracaju. Anais... Aracaju: UFSE. CD Rom. p.1-17.
MAZZUCO, H.; LORINI, I.; BRUM, P. A. R.; ZANOTTO, D. L.; BARIONI JUNIOR,
W.; AVILA, V. S. Composição química e energética do milho com diversos níveis de
umidade na colheita e diferentes temperaturas de secagem para frangos de corte. Revista
Brasileira de Zootecnia, v. 31, n. 6, p. 2216-2220, 2002.
MATA, M. E. R. M. C.; DUARTE, M. E. M.; ALSEMO, G. C. S.; RODRIGUES, E.;
GUEDES, M. A.; CAVALCANTI, A. S. R. R. M.; OLIVEIRA, C. C. A. Obtenção de
graviola em pó pelo processo de liofilização. Revista Brasileira de Produtos
Agroindustriais, Campina Grande, v. 7, n. 2, p. 165-172, 2005.
Capítulo 6 Referências Bibliográficas
102
MEDEIROS, M. L.; AYROSA, A. M. I. B.; PITOMBO, R. N. M.; LANNES, S. C. S.
Sorption isotherms of cocoa and cupuassu products. Journal of Food Engineering, Essex,
v. 73, n. 4, p. 402–406, 2006.
MENGES, H. O.; ERTEKIN, C. Mathematical modeling of thin layer drying of Golden
apples. Journal of Food Engineering, Essex, v. 77, n. 1, p. 119–125, 2006.
MESQUITA, P. C.; MAIA, G. A.; SOUZA FILHO, M. S. M.; NASSU, R. T. Estabilidade
microbiológica, físico-química e sensorial de pedúnculos de caju (Anacardium occidentale
L.) processados por métodos combinados. Ciência e Tecnologia de Alimentos, Campinas,
v. 23, n. 3, p. 366-369, 2003.
MONTE, A. L. S.; FAÇANHA, S. H. F.; FERREIRA, N. D. L.; LOPES, J. C.; SOUSA,
M. A. F.; SOUSA, M. A. Qualidade sanitária de polpa de frutas congeladas e
comercializadas na cidade de Sobral, Ceará. In: CONGRESSO BRASILEIRO DE
CIENCIA E TECNOLOGIA DE ALIMENTOS, 18., 2002, Porto Alegre. Anais... Porto
Alegre: CBCTA, 2002. CD-ROM.
MOREIRA, R.; CHENLO, F.; VÁZQUEZ, M. J.; CAMEÁN, P. Sorption isotherms of
turnip top leaves and stems in the temperatures range from 298 to 328 K. Journal of Food
Engineering, Amsterdam, v. 71, n. 2, p. 193-199, 2005.
MORETTO, E.; FETT, R.; GONZAGA, L, V.; KUSKOSKI, E, M. Introdução à ciência
de alimentos. Florianópolis: Ed. da UFSC, 2002. 256p.
MOSSEL, D. A. A. Water and micro-organisms in foods: a synthesis. In: DUCKWORTH,
R. B. Water relations of foods. London: Academic Press, 1975. p.347-361.
MOTTA, J. D. Construção e avaliação de um colorímetro para produtos agrícolas.
2005. 91 f. Dissertação (Mestrado em Engenharia Agrícola) – Universidade Federal de
Campina Grande, Campina Grande.
MORAES, R. R. Refratometria. Disponível em: <http://www.fapepi.pi.gov.br/ciencia/
documentos/REFRAT%D4METRO.PDF>. Acesso em: 27 Mar 2007.
Capítulo 6 Referências Bibliográficas
103
NARAIN, N.; FERREIRA, D. S. Tecnologia de alimentos aplicada à mangaba. In.:
SIMPÓSIO BRASILEIRO SOBRE A CULTURA DA MANGABA, 1., 2003, Aracaju.
Anais... Aracaju: Embrapa Tabuleiros Costeiros, 2003. CD Rom. p.1-17.
NAVES, R. V. Espécies frutíferas nativas dos cerrados de Goiás: caracterização e
influências do clima e dos solos. 1999. 206 f. Tese (Doutorado em Agronomia) - Escola
de Agronomia, Universidade Federal de Goiás, Goiânia.
NOGUEIRA, R. I. Estudos dos fenômenos de secagem da banana: parâmetros ótimos
na obtenção de banana passa. 1991. 158f. Dissertação (Mestrado em Engenharia
Agrícola), Universidade Estadual de Campinas. Campinas.
NORONHA, M. A. de S. Armazenamento do abacaxi (Ananás comosus L) cv. Smooth
cayene minimamente processado. 2002, 107f. Dissertação (Mestrado em Engenharia
Agrícola) Universidade Federal de Campina Grande, Campina Grande.
OLIVEIRA, M. E. B.; BASTOS, M. S. R.; FEITOSA, T. Avaliação de parâmetros de
qualidade físico-químicos das polpas congeladas de acerola, cajá e caju. Ciência e
Tecnologia de Alimentos, Campinas, v. 19, n. 3, p. 326-332, 1999.
OLIVEIRA, A. P. V; FRASSON, K.; YAMASHITA, F. BENASSI, M. T. Medida
instrumental de cor em sobremesas lácteas de chocolates: uma técnica de baixo custo e
versátil utilizando câmara digital. Brazilian Journal of Food Technology, Campinas, v. 6,
n. 2, p. 191-196, 2003.
OLIVEIRA, F. M. N.; FIGUEIRÊDO, R. M. F.; QUEIROZ, A. J. M. Análise comparativa
de polpas de pitanga integral, formulada e em pó. Revista Brasileira de Produtos
Agroindustriais, Campina Grande, v. 8, n. 1, p.25-33, 2006.
OLIVEIRA, F. M. N. Secagem e armazenamento da polpa de pitanga. 2006. 197 f.
Dissertação (Mestrado em Engenharia Agrícola) - Centro de Ciências e Recursos Naturais,
Universidade Federal de Campina Grande, Campina Grande.
Capítulo 6 Referências Bibliográficas
104
PAGE, G. E. Factors influencing the maximum rates of air drying shelled corn in
thin-layer. 1949. Dissertation (M.Sc.) - Purdue University, Indiana, USA.
PARENTE, T.V., BORGO, L.A ., MACHADO, J.W.B. Características químicas de frutos
de mangaba (Hancornia speciosa Gomes) do Cerrado da região geoeconômica do Distrito
Federal. Ciência e Cultura, São Paulo. v. 37, n. 1, p. 96-98,1985.
PAVANELLI, A. P. Aditivos para panificação: conceitos e funcionalidade. São Paulo:
1998. ABIAM - Associação Brasileira da Indústria de Aditivos e Melhoradores para
Alimentos e Bebidas.
PARK, R. J.; YODA, A.; BROD, F. P. R. Estudo da secagem de pêra Barlett (Pyrus sp.)
em fatias. Ciência e Tecnologia de Alimentos, Campinas, v. 21, n. 3, p. 288-292, 2002.
PARK, K. J.; BIN, A.; BROD, F. P. R. Obtenção das isotermas de sorção e modelagem
matemática para a pêra Bartlett (Pyrus sp.) com e sem desidratação osmótica. Ciência e
Tecnologia de Alimentos, Campinas, v. 21,n. 3, p. 73-77, 2001.
PELEG, M. Assessment of a semi-empirical four parameter general model for sigmoid
moisture sorption isotherms. Journal of Food Process Engineering, Westport, v. 16, n. 1,
p. 21-37, 1993.
PENA, R. S.; RIBEIRO, C. C.; GRANDI, J. G. Aplicação de modelos matemático bi e tri-
parametricos na predição de isotermas de adsorção de umidade do guaraná (Paullinia
cupuna) em pó. Ciência e Tecnologia de Alimentos, Campinas, v. 20, n. 1, p. 8-11, 2000.
PEREIRA, I. E.; QUEIROZ, A. J. M; FIGUEIRÊDO, R. M. F. Características físico-
químicas do tomate em pó durante o armazenamento . Revista de Biologia e Ciências da
Terra, Campina Grande, v. 6, n. 1, p. 86-90, 2006.
PEREIRA, T. B. B.; FIGUEIRÊDO, R. M. F.; QUEIROZ, A. J. M. Secagem de polpa de
graviola. In: CONGRESSO BRASILEIRO DE ENGENHARIA AGRÍCOLA, 36., 2007,
Bonito. Anais… Bonito: SBEA, 2007. CD Rom.
Capítulo 6 Referências Bibliográficas
105
PEREDA, J. A. O. Tecnologia de alimentos. Porto Alegre: Artmed, 2005. 294p.
PRADO, M. A; GODOY, H. T. Determinação de corantes artificiais por cromatografia
líquida de alta eficiência (Clae) em pó para gelatina. Química Nova, v. 27, n. 1, p 22-26,
2004.
PRAGATI, S. D.; DHAWAN, S. S. Effect of drying methods on nutricional composition
of dehydrated aonla fruit (Emblica officinalis Garten) during storage. Plant Foods for
Human Nutrition, Netherlands, v. 58, p. 1-9, 2003.
PRIOR, B. A. J. Measurement of water activity in food: a review. Journal of Food
Protection, v. 42, n. 8, p. 668-674, 1979.
RAJKUMAR, P.; KAILAPPAN, R.; VISWANATHAN, R.; RAGHAVAN, G. S. V.
Drying characteristics of foamed alphonso mango pulp in a continuous type foam mat
dryer. Journal of Food Engineering, v. 79, n. 4, p. 1452-1459, 2007.
RIGHETTO, A. M. Caracterização físico-química e estabilidade de suco de acerola
verde microencapsulado por atomização e liofilização. 2003. 178 f. Tese (Doutorado em
Engenharia de Alimentos) UNICAMP, Campinas.
ROCKLAND, L. B. A new treatment of hygroscopic equilibria: application to walnuts
(Juglans regia) and other foods. Food Research, v. 22, p. 604-628, 1957.
ROSSI, S. J.; ROA, G. Secagem e armazenamento de produtos agropecuários com o
uso de energia solar e ar natural. São Paulo: ACIESP, 1980. 295p.
SANKAT, C. K.; CASTAIGNE, F. Foaming and drying behavior of ripe bananas.
Lebensm.-Wiss. u.-Technol., v. 37, p. 517-525, 2004.
SANTOS, F. S. A.; FIGUEIRÊDO, R. M. F.; QUEIROZ, A. J. M. Isotermas de adsorção
de umidade de farinhas de mandioca temperadas. Revista Brasileira de Produtos
Agroindustriais, Campina Grande, v. 6, n. 2, p. 149-155, 2004.
Capítulo 6 Referências Bibliográficas
106
SANTOS, J. W.; ALMEIDA, F. A. C.; BELTRÃO, N. E. M.; SILVA, A. S. Estatística
experimental aplicada: tópicos de engenharia agrícola e agronômica. Campina Grande:
Marcone, 2003. 213 p.
SEGURA, E.; MONROY, L. A.; MANRIQUE, G. Aplicación de la tecnología de
deshidratación por el método de secado de espumas (foam-mat) en jugos de frutas
tropicales: II (naranja, piña, mora y maracuyá). Revista Colombiana de Ciencias
Químico-Farmaceuticas, n. 18, p. 47-52, 1990.
SILVA, A. C. B. P. Suco de abacaxi desidratado: aplicação do processo foam-mat
drying. 1971. 83 f. Dissertação (Mestrado em Ciências de Alimentos) – Faculdade de
Engenharia de Alimentos, Universidade Estadual de Campinas, Campinas.
SILVA, F. A. S.; AZEVEDO, C. A. V. Versão do programa computacional Assistat para o
sistema operacional Windows. Revista Brasileira de Produtos Agroindustriais. Campina
Grande, v.4, n.1, p.71-78, 2002.
SILVA, R. N. G da. Produção e armazenamento da polpa de umbu-cajá em pó. 2003.
90 f. Dissertação (Mestrado em Engenharia Agrícola)- Centro de Ciências e Tecnologia,
Universidade Federal de Campina Grande, Campina Grande.
SILVA, P. L.; GIRALDO-ZUNIGA, A.; SILVA, A. P.; ARÉVALO-PINEDO, A. Estudo
da cinética de secagem e da atividade de água do cajá (Spondias lútea) em fatias. In:
CONGRESSO BRASILEIRO DE CIÊNCIA E TECNOLOGIA DE ALIMENTOS
(CBCTA), 19., 2004, Recife. Anais... Recife: SBCTA, 2004. CD Rom.
SILVA, M. A.; SOBRAL, P. J. A.; KIECKBUSCH, T. G. State diagrams of freeze-dried
camu-camu (Myrciaria dubia (HBK) Mc Vaugh) pulp with and without maltodextrin
addition. Journal of Food Engineering, v. 77, n. 3, p. 426-432, 2006.
SIMAL, S.; FEMENIA, A.; GARAU, M. C.; ROSSELLÓO, C. Use of exponential, Page’s
and diffusional models to simulate the drying kinetics of kiwi fruit. Journal of Food
Engineering, v. 66, n. 3, p. 323-328, 2005.
Capítulo 6 Referências Bibliográficas
107
SOARES, E. C.; OLIVEIRA, G. S. F. de.; MAIA, G. A.; MONTEIRO, J. C. S.; SILVA Jr,
A.; S. FILHO, M. S. Desidratação da polpa de acerola (Malpighia emarginata D.C.) pelo
processo "foam-mat". Ciência e Tecnologia dos Alimentos, Campinas, v. 21, n. 2, p. 164
-170, 2001.
SOUSA, S.; MATA, M. E. R. M.; BRAGA, M. E. D.; MONTEIRO FILHO, A. F. Drying
curves of umbu fruits with osmotic pre-drying. Revista Brasileira de Produtos
Agroindustriais, Campina Grande, v. 2, n. 2, p. 33-38, 2000.
SOUZA, V. A. B. de.; ARAÚJO, E. C. E.; VASCONCELOS, L. F. L. Perspectivas do
melhoramento de espécies nativas do Nordeste Brasileiro. In.: CONGRESSO
BRASILEIRO DE MELHORAMENTO DE PLANTAS, 1, 2001, Goiânia. Anais...
Goiânia: Embrapa Arroz e Feijão, 2001.
SOUZA, D. C. L.; OLIVEIRA, M. do S. A de. CARNELOSSI, M. A. G.; LIRA, M. de
LIMA.; SILVA, G. F da.; JALALI, V. R. R.; Caracterização físico-química dos frutos de
mangaba (hancornia speciosa gomes) “de caída” e “de vez”. In.: SIMPÓSIO
BRASILEIRO SOBRE A CULTURA DA MANGABA, 1., 2003, Aracaju. Anais...
Aracaju: Embrapa Tabuleiros Costeiros, 2003. CD Rom.
SOUSA, P. H. M.; MAIA, G. A.; SOUZA FILHO, M. S. M.; FIGUEIREDO, R. W.;
NASSU, R. T.; BORGES, M. F. Avaliação de produtos obtidos pela desidratação osmótica
de banana seguida de secagem. Boletim CEPPA, Curitiba, v. 21, n. 1, p. 109-120, 2003.
SOUZA, F. G.; FIGUEIREDO, R. W.; ALVES, R. E.; SILVA, S. M.; ARAÚJO, I. A.;
FERREIRA, E. G. Qualidade pós-colheita de mangabas (Harcornia speciosa Gomes)
oriundas do jardim clonal da Emepa-PB. In.: SIMPÓSIO BRASILEIRO SOBRE A
CULTURA DA MANGABA, 1., 2003, Aracaju. Anais... Aracaju: Embrapa Tabuleiros
Costeiros, 2003. CD Rom. p.1-5.
SPOTO, M. H. F. Desidratação de frutas e hortaliças. In: OETTERER, M.; REGITANO-
d’ARCE, M. A. B.; SPOTO, M. H. F. Fundamentos de ciência e tecnologia de
alimentos. Barueri: Manole, 2006. cap. 12, p. 565-604.
Capítulo 6 Referências Bibliográficas
108
TALLA, A.; JANNOT, Y.; NKENG, G. E.; PUIGGALI, J. R. Experimental determination
and modeling of sorption isotherms of tropical fruits: banana, mango, and pineapple.
Drying Technology, v. 23, n.7, p. 1477-1498, 2005.
TEIXEIRA NETO, R. O.; DENIZO, N.; QUAST, D. G. Atividade de água em alguns
alimentos de teor intermediário de umidade. Coletânea do Instituto de Tecnologia de
Alimentos, v.7, p.191-207, 1976.
TELIS, V. R. N.; SOBRAL, P. J. A. Glass transitions and state diagram for freeze-dried
pineapple. Lebensm.-Wiss. u.-Technol., v. 34, p. 199-205, 2001.
THÉ, P. M. P.; CARVALHO, V. D.; ABREU, C. M. P.; NUNES, R. P.; PINTO, N. A. V.
D. Efeito da temperatura de armazenamento e do estádio de maturação sobre a composição
química do abacaxi cv. Smooth cayenn L. Ciênc. Agrotec., Lavras, v. 25, n. 2, p. 356-363,
2001.
TRAVAGLINI, D. A.; AGUIRRE, J. M.; SIQUEIRA, E. T. F. Desidratação de frutas.
Campinas: CETEA/ITAL, 2001. 40p.
UBOLDI, M. Desidratação por camada de espuma (“foam mat”). 1971. 32f.
Dissertação (Mestrado em Ciência de Alimentos) - Universidade Estadual de Campinas,
Campinas.
UNIFEM. Manual de tecnologia do ciclo alimentar: processamento de frutas e
legumes. 1989. 72p.
VAN SOEST, P. J.; GOERING, H. K. Forage fibre analysis. US, agriculture research
Service. Dept. Agriculture, 375p, 1970.
VASCONCELOS, E. G.; SILVA, A. C.; MADALENA, J. A.; LIMA, C. L. C.;
SANTIAGO, A. D. Uso de biofilmes de fécula de mandioca na conservação pós-colheita
de frutos da mangaba (Harconia speciosa Gomes) armazenados sob temperatura ambiente.
In.: SIMPÓSIO BRASILEIRO SOBRE A CULTURA DA MANGABA, 1., 2003, Aracaju.
Anais... Aracaju: Embrapa Tabuleiros Costeiros, 2003. CD Rom. p.1-5.
Capítulo 6 Referências Bibliográficas
109
VERNON-CARTER, E. J.; ESPINOSA-PAREDES, G.; BERISTAIN, C. I.;
ROMEROTEHUITZIL, H. R. Effect of foaming agents on the stability, rheological
properties, dryng kinetics and flavour retention of tamarind foam-mats. Food Research
International, v. 34, n. 1, p. 587-598, 2001.
VIEIRA NETO, R. D. Cultura da mangabeira. Aracaju: EMBRAPA-CPATC, 1994. 16p.
(Circular Técnica, 2).
VIEIRA NETO, R. D. Recomendações técnicas para o cultivo da mangabeira. Aracaju:
EMBRAPA -Tabuleiros Costeiros, 2001, 26p. (Circular Técnica, 20)
VIEIRA, D. Efeito de diferentes substratos na formação de mudas de mangabeira
(Hancornia speciosa Gomes). Revista Brasileira de Fruticultura, Cruz das Almas, v. 20,
n. 3, p. 265-271, 1998.
VIEIRA, G.; SILVA, J. N.; VILELA, E. R.; SILVA, J. S. Avaliação da qualidade de café
beneficiado armazenado em silo e com aeração e em sacos de juta. Revista Brasileira de
Produtos Agroindustriais, Campina Grande, v. 3, n. 1, p. 75-90, 2001.
VIZEU, V. E.; FEIJÓ, M. B.; CAMPOS, R. C. Determinação da composição mineral de
diferentes formulações de multimistura. Ciência e Tecnologia de Alimentos, v. 25, n. 2, p.
254-258, 2005.
YAZDAMI, M.; SAZANDEHCHI, P; AZIZI, M.; GHOBADI, P. Moisture sorption
isotherms and isosteric heat for pistachio. European Food Research Technology, v. 223,
n. 5, p. 577-584, 2006.
110
APÊNDICE A
Apêndice A
111
Tabela A.1 - Dados experimentais da razão de umidade da polpa de mangaba formulada
durante a secagem nas temperaturas de 50, 60 e 70
o
C
Tempo
(min)
Ru
(50 ºC)
Ru
(60 ºC)
Ru
(70 ºC)
0 1,000 1,000 1,000
8 0,902 0,891 0,857
16 0,821 0,788 0,722
24 0,767 0,690 0,598
32 0,713 0,606 0,503
42 0,655 0,515 0,368
52 0,602 0,439 0,279
67 0,502 0,332 0,148
82 0,377 0,201 0,077
112 0,277 0,094 0,004
142 0,150 0,016 0,000
202 0,000 0,000 -
112
APÊNDICE B
Apêndice B
113
Tabela B.1 - Valores experimentais e teóricos da umidade de equilíbrio da mangaba em
pó, desidratada a 50 ºC, resíduo e erro relativo, calculados para o modelo de
GAB a 20
o
C
Umidade de equilíbrio (% b.s.)
a
w
Experimental Teórico
Resíduo Erro relativo
0,407 32,4446 31,4039 1,0407 0,0321
0,486 36,6985 35,1935 1,5050 0,0410
0,538 39,8725 38,1431 1,7294 0,0434
0,600 43,0293 42,3630 0,6663 0,0155
0,642 45,6365 45,7703 -0,1338 -0,0029
0,703 50,1056 51,8634 -1,7578 -0,0351
0,745 53,8141 56,9663 -3,1522 -0,0586
0,897 89,6794 88,5843 1,0952 0,0122
Tabela B.2 - Valores experimentais e teóricos da umidade de equilíbrio da mangaba em
pó, desidratada a 50 ºC, resíduo e erro relativo, calculados para o modelo de
GAB a 25
o
C
Umidade de equilíbrio (% b.s.)
a
w
Experimental Teórico
Resíduo Erro relativo
0,401 31,5365 29,9348 1,6017 0,0508
0,511 37,3433 35,2940 2,0493 0,0549
0,558 40,8837 38,1412 2,7425 0,0671
0,607 40,1716 41,6176 -1,4460 -0,0360
0,641 44,4947 44,4921 0,0026 0,0026
0,697 48,1535 49,9781 -1,8246 -0,0379
0,727 50,6569 53,5880 -2,9310 -0,0579
0,896 90,2636 89,3295 0,9341 0,0103
Apêndice B
114
Tabela B.3 - Valores experimentais e teóricos da umidade de equilíbrio da mangaba em
pó, desidratada a 50 ºC, resíduo e erro relativo, calculados para o modelo de
GAB a 30
o
C
Umidade de equilíbrio (% b.s.)
a
w
Experimental Teórico
Resíduo Erro relativo
0,417 26,1760 25,1631 1,0129 0,0387
0,499 29,7344 28,5653 1,1691 0,0393
0,543 32,0584 30,7674 1,2911 0,0403
0,584 34,3287 33,1316 1,1971 0,0349
0,632 36,0056 36,3377 -0,3321 0,0026
0,666 37,6114 39,0401 -1,4288 -0,0380
0,732 42,7510 45,5959 -2,8450 -0,0666
0,883 74,6542 73,8513 0,8029 0,0108
Tabela B.4 - Valores experimentais e teóricos da umidade de equilíbrio da mangaba em
pó, desidratada a 60 ºC resíduo e erro relativo, calculados para o modelo de
GAB a 20
o
C
Umidade de equilíbrio (% b.s.)
a
w
Experimental Teórico
Resíduo Erro relativo
0,418 32,4288 31,0930 1,3357 0,0412
0,502 37,3377 35,2645 2,0732 0,0555
0,545 40,2887 37,8046 2,4841 0,0617
0,606 43,0827 42,1582 0,9245 0,0215
0,651 44,7830 45,9991 -1,2161 -0,0272
0,710 50,2201 52,1653 -1,9452 -0,0387
0,750 53,9819 57,3434 -3,3615 -0,0623
0,910 96,6282 95,5541 1,0742 0,0111
Apêndice B
115
Tabela B.5 - Valores experimentais e teóricos da umidade de equilíbrio da mangaba em
pó, desidratada a 60 ºC, resíduo e erro relativo, calculados para o modelo de
GAB a 25
o
C
Umidade de equilíbrio (% b.s.)
a
w
Experimental Teórico
Resíduo Erro relativo
0,422 33,5761 33,0386 0,5375 0,0160
0,503 38,0358 37,2317 0,8041 0,0211
0,551 41,2042 40,2129 0,9914 0,0241
0,572 43,6892 41,7118 1,9774 0,0453
0,630 45,7750 46,2789 -0,5039 0,0026
0,673 48,7919 50,3685 -1,5766 -0,0323
0,704 51,3788 53,8229 -2,4441 -0,0476
0,869 84,7113 83,9472 0,7641 0,0090
Tabela B.6 - Valores experimentais e teóricos da umidade de equilíbrio da mangaba em
pó, desidratada a 60 ºC, resíduo e erro relativo, calculados para o modelo de
GAB a 30
o
C
Umidade de equilíbrio (% b.s.)
a
w
Experimental Teórico
Resíduo Erro relativo
0,416 34,2197 33,1632 1,0564 0,0309
0,483 37,9072 36,6531 1,2541 0,0331
0,523 40,8104 39,0427 1,7677 0,0433
0,578 43,8253 42,8877 0,9376 0,0214
0,615 45,9265 45,9391 -0,0127 0,0026
0,674 49,8898 51,7252 -1,8354 -0,0368
0,718 53,6700 57,0164 -3,3464 -0,0624
0,871 89,6543 88,5695 1,0848 0,0121
Apêndice B
116
Tabela B.7 - Valores experimentais e teóricos da umidade de equilíbrio da mangaba em
pó, desidratada a 70 ºC resíduo e erro relativo, calculados para o modelo de
GAB a 20
o
C
Umidade de equilíbrio (% b.s.)
a
w
Experimental Teórico
Resíduo Erro relativo
0,247 29,3637 29,6149 -0,2513 -0,0086
0,395 34,1680 35,6094 -1,4414 -0,0422
0,445 37,8407 38,0726 -0,2319 -0,0061
0,485 41,3936 40,2882 1,1054 0,0267
0,536 45,3921 43,4286 1,9635 0,0433
0,631 50,9019 50,7547 0,1472 0,0029
0,683 54,4731 55,9389 -1,4658 -0,0269
0,880 90,0491 89,9122 0,1369 0,0015
Tabela B.8 - Valores experimentais e teóricos da umidade de equilíbrio da mangaba em
pó, desidratada a 70 ºC, resíduo e erro relativo, calculados para o modelo de
GAB a 25
o
C
Umidade de equilíbrio (% b.s.)
a
w
Experimental Teórico
Resíduo Erro relativo
0,218 31,2648 30,2684 0,9963 0,0319
0,390 35,6231 37,3312 -1,7081 -0,0480
0,444 39,2741 39,9882 -0,7141 -0,0182
0,484 42,2730 42,0725 0,2005 0,0047
0,513 44,7369 43,8690 0,8680 0,0026
0,575 48,6564 47,9737 0,6827 0,0140
0,613 51,7434 52,0108 -0,2675 -0,0052
0,855 88,9901 89,0259 -0,0358 -0,0004
Apêndice B
117
Tabela B.9 - Valores experimentais e teóricos da umidade de equilíbrio da mangaba em
pó, desidratada a 70 ºC, resíduo e erro relativo, calculados para o modelo de
GAB a 30
o
C
Umidade de equilíbrio (% b.s.)
a
w
Experimental Teórico
Resíduo Erro relativo
32,8421 32,8422 31,4500 1,3922 0,0424
37,7388 37,7388 39,0242 -1,2854 -0,0341
41,2891 41,2891 41,9254 -0,6362 -0,0154
44,6679 44,6679 44,3250 0,3430 0,0077
46,9777 46,9777 46,2246 0,7530 0,0026
50,6336 50,6336 50,8095 -0,1759 -0,0035
53,8145 53,8145 54,0868 -0,2723 -0,0051
91,0208 91,0208 90,9449 0,0759 0,0008
Tabela B.10 - Valores experimentais e teóricos da umidade de equilíbrio da mangaba em
pó, desidratada a 50 ºC, resíduo e erro relativo, calculado para o modelo de
Peleg a 20
o
C
Umidade de equilíbrio (% b.s.)
a
w
Experimental Teórico
Resíduo Erro relativo
0,407 32,4446 32,3968 0,0478 0,0014
0,486 36,6985 36,8523 -0,1538 -0,0042
0,538 39,8725 39,6892 0,1833 0,0046
0,600 43,0293 43,1458 -0,1164 -0,0027
0,642 45,6365 45,6506 -0,0141 -0,0003
0,703 50,1056 49,9960 0,1096 0,0022
0,745 53,8141 53,8710 -0,0569 -0,0011
0,897 89,6794 89,6783 0,0011 0,00001
Apêndice B
118
Tabela B.11 - Valores experimentais e teóricos da umidade de equilíbrio da mangaba em
pó, desidratada a 50 ºC, resíduo e erro relativo, calculados para o modelo
de Peleg a 25
o
C
Umidade de equilíbrio (% b.s.)
a
w
Experimental Teórico
Resíduo Erro relativo
0,401 31,5365 31,7797 -0,2432 -0,0077
0,511 37,3433 37,2205 0,1228 0,0033
0,558 40,8837 39,5175 1,3662 0,0334
0,607 40,1716 42,0484 -1,8768 -0,0467
0,641 44,4947 44,0479 0,4468 0,1000
0,697 48,1535 47,9360 0,2175 0,0045
0,727 50,6569 50,6905 -0,0336 -0,0006
0,896 90,2636 90,2672 -0,0036 -0,00004
Tabela B.12 - Valores experimentais e teóricos da umidade de equilíbrio da mangaba em
pó, desidratada a 50 ºC, resíduo e erro relativo, calculados para o modelo
de Peleg a 30
o
C
Umidade de equilíbrio (% b.s.)
a
w
Experimental Teórico
Resíduo Erro relativo
0,417 26,176 26,187 -0,011 -0,0004
0,499 29,734 29,963 -0,228 -0,0077
0,543 32,058 31,957 0,102 0,0032
0,584 34,329 33,839 0,490 0,0143
0,632 36,006 36,134 -0,129 -0,0036
0,666 37,611 37,971 -0,360 -0,0096
0,732 42,751 42,613 0,138 0,0032
0,883 74,654 74,658 -0,004 -0,00005
Apêndice B
119
Tabela B.13 - Valores experimentais e teóricos da umidade de equilíbrio da mangaba em
pó, desidratada a 60 ºC, resíduo e erro relativo, calculados para o modelo
de Peleg a 20
o
C
Umidade de equilíbrio (% b.s.)
a
w
Experimental Teórico
Resíduo Erro relativo
0,418 32,4288 32,7398 -0,3111
-0,0096
0,502 37,3377 37,2922 0,0455
0,0012
0,545 40,2887 39,5703 0,7185
0,0178
0,606 43,0827 42,9571 0,1256
0,0029
0,651 44,7830 45,6701 -0,8871
-0,0198
0,710 50,2201 49,9891 0,2309
0,0046
0,750 53,9819 53,9040 0,0779
0,0014
0,910 96,6282 96,6341 -0,0059
-0,0001
Tabela B.14 - Valores experimentais e teóricos da umidade de equilíbrio da mangaba em
pó, desidratada a 60 ºC, resíduo e erro relativo, calculados para o modelo
de Peleg a 25
o
C
Umidade de equilíbrio (% b.s.)
a
w
Experimental Teórico
Resíduo Erro relativo
0,422 33,5761 33,4840 0,0921 0,0027
0,503 38,0358 38,4926 -0,4568 -0,0120
0,551 41,2042 41,3933 -0,1890 -0,0046
0,572 43,6892 42,6950 0,9942 0,0228
0,630 45,7750 46,1953 -0,4203 -0,0092
0,673 48,7919 48,9653 -0,1734 -0,0036
0,704 51,3788 51,2251 0,1536 0,0030
0,869 84,7113 84,7123 -0,0010 0,0000
Apêndice B
120
Tabela B.15 - Valores experimentais e teóricos da umidade de equilíbrio da mangaba em
pó, desidratada a 60 ºC, resíduo e erro relativo, calculados para o modelo
de Peleg a 30
o
C
Umidade de equilíbrio (% b.s.)
a
w
Experimental Teórico
Resíduo Erro relativo
0,416 34,2197 34,1634 0,0562
0,0016
0,483 37,9072 38,2040 -0,2969
-0,0078
0,523 40,8104 40,5333 0,2771
0,0068
0,578 43,8253 43,7569 0,0684
0,0016
0,615 45,9265 46,0082 -0,0817
-0,0018
0,674 49,8898 49,9542 -0,0643
-0,0013
0,718 53,6700 53,6283 0,0417
0,0008
0,871 89,6543 89,6550 -0,0007
0,00001
Tabela B.16 - Valores experimentais e teóricos da umidade de equilíbrio da mangaba em
pó, desidratada a 70 ºC, resíduo e erro relativo, calculados para o modelo
de Peleg a 20
o
C
Umidade de equilíbrio (% b.s.)
a
w
Experimental Teórico
Resíduo Erro relativo
0,247 29,3637 28,5449 0,8187
0,0279
0,395 34,1680 36,1162 -1,9482
-0,0570
0,445 37,8407 38,6161 -0,7754
-0,0205
0,485 41,3936 40,7326 0,6610
0,0160
0,536 45,3921 43,6398 1,7524
0,0386
0,631 50,9019 50,4587 0,4432
0,0087
0,683 54,4731 55,4886 -1,0155
-0,0186
0,880 90,0491 89,9655 0,0836
0,0009
Apêndice B
121
Tabela B.17 - Valores experimentais e teóricos da umidade de equilíbrio da mangaba em
pó, desidratada a 70 ºC, resíduo e erro relativo, calculados para o modelo
de Peleg a 25
o
C
Umidade de equilíbrio (% b.s.)
a
w
Experimental Teórico
Resíduo Erro relativo
0,213 31,2648 31,0694 0,1954
0,0062
0,383 35,6231 36,7858 -1,1628
-0,0326
0,435 39,2741 39,4263 -0,1522
-0,0039
0,472 42,2730 41,6319 0,6411
0,0152
0,501 44,7369 43,6023 1,1346
0,0254
0,561 48,6564 48,2503 0,4062
0,0083
0,610 51,7434 52,8922 -1,1488
-0,0222
0,859 88,9901 88,9034 0,0867
0,0010
Tabela B.18 - Valores experimentais e teóricos da umidade de equilíbrio da mangaba em
pó, desidratada a 70 ºC, resíduo e erro relativo, calculados para o modelo
de Peleg a 30
o
C
Umidade de equilíbrio (% b.s.)
a
w
Experimental Teórico
Resíduo Erro relativo
0,218 32,8422 32,6726 0,1696
0,0052
0,390 37,7388 38,7399 -1,0011
-0,0265
0,444 41,2891 41,4766 -0,1875
-0,0045
0,484 44,6679 43,8918 0,7762
0,0174
0,513 46,9777 45,8801 1,0976
0,0234
0,575 50,6336 50,8622 -0,2286
-0,0045
0,613 53,8145 54,5043 -0,6899
-0,0128
0,855 91,0208 90,9569 0,0640
0,0007
Apêndice B
122
Tabela B.19 - Valores experimentais e teóricos da umidade de equilíbrio da mangaba em
pó, desidratada a 50 ºC, resíduo e erro relativo, calculados para o modelo
de Oswin a 20
o
C
Umidade de equilíbrio (% b.s.)
a
w
Experimental Teórico
Resíduo Erro relativo
0,407 32,4446 31,0976 1,3470
0,0415
0,486 36,6985 35,4916 1,2070
0,0329
0,538 39,8725 38,6409 1,2316
0,0309
0,600 43,0293 42,8749 0,1544
0,0036
0,642 45,6365 46,1373 -0,5008
-0,0110
0,703 50,1056 51,7741 -1,6685
-0,0333
0,745 53,8141 56,4130 -2,5989
-0,0483
0,897 89,6794 88,3534 1,3261
0,0148
Tabela B.21 - Valores experimentais e teóricos da umidade de equilíbrio da mangaba em
pó, desidratada a 50 ºC, resíduo e erro relativo, calculados para o modelo
de Oswin a 25
o
C
Umidade de equilíbrio (% b.s.)
a
w
Experimental Teórico
Resíduo Erro relativo
0,401 31,5365 29,3322 2,2043
0,0699
0,511 37,3433 35,5857 1,7577
0,0471
0,558 40,8837 38,6063 2,2774
0,0557
0,607 40,1716 42,1123 -1,9407
-0,0483
0,641 44,4947 44,9030 -0,4083
-0,0092
0,697 48,1535 50,0565 -1,9030
-0,0395
0,727 50,6569 53,3770 -2,7201
-0,0537
0,896 90,2636 88,8525 1,4111
0,0156
Apêndice B
123
Tabela B.22 - Valores experimentais e teóricos da umidade de equilíbrio da mangaba em
pó, desidratada a 50 ºC, resíduo e erro relativo, calculados para o modelo
de Oswin a 30
o
C
Umidade de equilíbrio (% b.s.)
a
w
Experimental Teórico
Resíduo Erro relativo
0,417 26,1760 24,4822 1,6938
0,0647
0,499 29,7344 28,5650 1,1694
0,0393
0,543 32,0584 31,0122 1,0462
0,0326
0,584 34,3287 33,5186 0,8102
0,0236
0,632 36,0056 36,7710 -0,7654
-0,0213
0,666 37,6114 39,4193 -1,8079
-0,0481
0,732 42,7510 45,6384 -2,8874
-0,0675
0,883 74,6542 73,3353 1,3189
0,0177
Tabela B.23 - Valores experimentais e teóricos da umidade de equilíbrio da mangaba em
pó, desidratada a 60 ºC, resíduo e erro relativo, calculados para o modelo
de Oswin a 20
o
C
Umidade de equilíbrio (% b.s.)
a
w
Experimental Teórico
Resíduo Erro relativo
0,418 32,4288 30,8894 1,5394
0,0475
0,502 37,3377 35,6799 1,6578
0,0444
0,545 40,2887 38,3739 1,9148
0,0475
0,606 43,0827 42,7294 0,3533
0,0082
0,651 44,7830 46,3844 -1,6014
-0,0358
0,710 50,2201 52,0394 -1,8193
-0,0362
0,750 53,9819 56,6946 -2,7127
-0,0503
0,910 96,6282 95,2904 1,3378
0,0138
Apêndice B
124
Tabela B.24 - Valores experimentais e teóricos da umidade de equilíbrio da mangaba em
pó, desidratada a 60 ºC, resíduo e erro relativo, calculados para o modelo
de Oswin a 25
o
C
Umidade de equilíbrio (% b.s.)
a
w
Experimental Teórico
Resíduo Erro relativo
0,422 33,5761 32,4261 1,1500
0,0343
0,503 38,0358 37,2912 0,7446
0,0196
0,551 41,2042 40,4974 0,7068
0,0172
0,572 43,6892 42,0521 1,6370
0,0375
0,630 45,7750 46,6184 -0,8435
-0,0184
0,673 48,7919 50,5588 -1,7668
-0,0362
0,704 51,3788 53,8245 -2,4457
-0,0476
0,869 84,7113 83,5410 1,1703
0,0138
Tabela B.25 - Valores experimentais e teóricos da umidade de equilíbrio da mangaba em
pó, desidratada a 60 ºC, resíduo e erro relativo, calculados para o modelo
de Oswin a 30
o
C
Umidade de equilíbrio (% b.s.)
a
w
Experimental Teórico
Resíduo Erro relativo
0,416 34,2197 32,4609 1,7588
0,0514
0,483 37,9072 36,6276 1,2796
0,0338
0,523 40,8104 39,2972 1,5132
0,0371
0,578 43,8253 43,3693 0,4560
0,0104
0,615 45,9265 46,4574 -0,5309
-0,0116
0,674 49,8898 52,0858 -2,1960
-0,0440
0,718 53,6700 57,0823 -3,4123
-0,0636
0,871 89,6543 87,9415 1,7128
0,0191
Apêndice B
125
Tabela B.26 - Valores experimentais e teóricos da umidade de equilíbrio da mangaba em
pó, desidratada a 70 ºC, resíduo e erro relativo, calculados para o modelo
de Oswin a 20
o
C
Umidade de equilíbrio (% b.s.)
a
w
Experimental Teórico
Resíduo Erro relativo
0,247 29,3637 27,3700 1,9936
0,0679
0,395 34,1680 35,5414 -1,3734
-0,0402
0,445 37,8407 38,4382 -0,5975
-0,0158
0,485 41,3936 40,8910 0,5027
0,0121
0,536 45,3921 44,1806 1,2116
0,0267
0,631 50,9019 51,3066 -0,4047
-0,0080
0,683 54,4731 56,0961 -1,6229
-0,0298
0,880 90,0491 89,4349 0,6143
0,0068
Tabela B.27 - Valores experimentais e teóricos da umidade de equilíbrio da mangaba em
pó, desidratada a 70 ºC, resíduo e erro relativo, calculados para o modelo
de Oswin a 25
o
C
Umidade de equilíbrio (% b.s.)
a
w
Experimental Teórico
Resíduo Erro relativo
0,213 31,2648 27,2314 4,0333
0,1290
0,383 35,6231 37,1982 -1,5752
-0,0442
0,435 39,2741 40,3681 -1,0940
-0,0279
0,472 42,2730 42,7081 -0,4351
-0,0103
0,501 44,7369 44,6431 0,0939
0,0021
0,561 48,6564 48,8469 -0,1905
-0,0039
0,610 51,7434 52,7715 -1,0282
-0,0199
0,859 88,9901 88,1864 0,8037
0,0090
Apêndice B
126
Tabela B.28 - Valores experimentais e teóricos da umidade de equilíbrio da mangaba em
pó, desidratada a 70 ºC, resíduo e erro relativo, calculados para o modelo
de Oswin a 30
o
C
Umidade de equilíbrio (% b.s.)
a
w
Experimental Teórico
Resíduo Erro relativo
0,218 32,8422 28,4938 4,3483
0,1324
0,390 37,7388 38,9665 -1,2277
-0,0325
0,444 41,2891 42,3682 -1,0790
-0,0261
0,484 44,6679 45,0140 -0,3461
-0,0077
0,513 46,9777 47,0239 -0,0463
-0,0010
0,575 50,6336 51,6439 -1,0103
-0,0200
0,613 53,8145 54,8020 -0,9875
-0,0184
0,855 91,0208 89,9795 1,0414
0,0114
127
APÊNDICE C
Apêndice C
128
0,1 0,2 0,3 0,4 0,5 0,6 0,7 0,8 0,9 1,0
Atividade de água (a
w
)
10
20
30
40
50
60
70
80
90
100
Umidade de equilíbrio (%b.s)
20° C
25° C
30° C
Figura C.1 - Isoterma de adsorção de umidade da mangaba em pó, desidratada a 50 ºC,
ajustadas pelo modelo de GAB
0,10,20,30,40,50,60,70,80,91,0
Atividade de água (a
w
)
10
20
30
40
50
60
70
80
90
100
Umidade de equilíbrio (%b.s)
20° C
25° C
30° C
Figura C.2 - Isoterma de adsorção de umidade da mangaba em pó, desidratada a 60 ºC,
ajustadas pelo modelo de GAB
Apêndice C
129
0,1 0,2 0,3 0,4 0,5 0,6 0,7 0,8 0,9 1,0
Atividade de água (a
w
)
10
20
30
40
50
60
70
80
90
100
Umidade de equilíbrio (%b.s)
20° C
25° C
30° C
Figura C.3 - Isoterma de adsorção de umidade da mangaba em pó, desidratada a 70 ºC,
ajustadas pelo modelo de GAB
0,1 0,2 0,3 0,4 0,5 0,6 0,7 0,8 0,9 1,0
Atividade de água (a
w
)
10
20
30
40
50
60
70
80
90
100
Umidade de equilíbrio (%b.s)
20 º C
25 º C
30 º C
Figura C.4 - Isoterma de adsorção de umidade da mangaba em pó, desidratada a 50 ºC,
ajustadas pelo modelo de Oswin
Apêndice C
130
0,1 0,2 0,3 0,4 0,5 0,6 0,7 0,8 0,9 1,0
Atividade de água (a
w
)
10
20
30
40
50
60
70
80
90
100
Umidade de equibrio (%b.s)
20º C
25º C
30º C
Figura C.5 - Isoterma de adsorção de umidade da mangaba em pó, desidratada a 60 ºC,
ajustadas pelo modelo de Oswin
0,1 0,2 0,3 0,4 0,5 0,6 0,7 0,8 0,9 1,0
Atividdade de água (a
w
)
10
20
30
40
50
60
70
80
90
100
Umidade de equilíbrio (%b.s)
20º C
25º C
30º C
Figura C.6 - Isoterma de adsorção de umidade da mangaba em pó, desidratada a 70 ºC,
ajustadas pelo modelo de Oswin
131
APÊNDICE D
Apêndice D
132
Tabela D.1 - Análise de variância da umidade (%) da mangaba em pó, seca a 50 °C,
armazenada na embalagem Laminada 1
Fonte de variação G. L. S. Q. Q. M. F
Tratamentos
Resíduo
6
21
42,08916
1,24165
7,01486
0,05913
118,6423
**
-
Total 27 43,33081 - -
**
Significativo a 1% de probabilidade
G. L. – Grau de liberdade; S. Q. – Soma dos quadrados; Q. M. – Quadrados médios dos desvios; F – Variável
do teste F
Tabela D.2 - Análise de variância da umidade (%) da mangaba em pó, seca a 50 °C,
armazenada na embalagem Laminada 2
Fonte de variação G. L. S. Q. Q. M. F
Tratamentos
Resíduo
6
21
50,26563
77,15312
8,37760
3,67396
2,2803
**
-
Total 27 127,41875 - -
**
Significativo a 1% de probabilidade
G. L. – Grau de liberdade; S. Q. – Soma dos quadrados; Q. M. – Quadrados médios dos desvios; F – Variável
do teste F
Tabela D.3 - Análise de variância da umidade (%) da mangaba em pó, seca a 60 °C,
armazenada na embalagem Laminada 1
Fonte de variação G. L. S. Q. Q. M. F
Tratamentos
Resíduo
6
21
23,28074
0,58551
3,88012
0,02788
139,1645**
-
Total 27 23,86625 - -
**
Significativo a 1% de probabilidade
G. L. – Grau de liberdade; S. Q. – Soma dos quadrados; Q. M. – Quadrados médios dos desvios; F – Variável
do teste F
Apêndice D
133
Tabela D.4 - Análise de variância da umidade (%) da mangaba em pó, seca a 60 °C,
armazenada na embalagem Laminada 2
Fonte de variação G. L. S. Q. Q. M. F
Tratamentos
Resíduo
6
21
29,62548
0,19317
4,93758
0,00920
536,7783 **
-
Total 27 29,81865 - -
**
Significativo a 1% de probabilidade
G. L. – Grau de liberdade; S. Q. – Soma dos quadrados; Q. M. – Quadrados médios dos desvios; F – Variável
do teste F
Tabela D.5 - Análise de variância da umidade (%) da mangaba em pó, seca a 70 °C,
armazenada na embalagem Laminada 1
Fonte de variação G. L. S. Q. Q. M. F
Tratamentos
Resíduo
6
21
22,21325
0,51553
3,700221
0,002455
150,8085
**
-
Total 27 24,92957 - -
**
Significativo a 1% de probabilidade
G. L. – Grau de liberdade; S. Q. – Soma dos quadrados; Q. M. – Quadrados médios dos desvios; F – Variável
do teste F
Tabela D.6 - Análise de variância da umidade (%) da mangaba em pó, seca a 70 °C,
armazenada na embalagem Laminada 2
Fonte de variação G. L. S. Q. Q. M. F
Tratamentos
Resíduo
6
21
29,26209
0,45864
4,87701
0,02184
223,3078
**
-
Total 27 29,72072 - -
**
Significativo a 1% de probabilidade
G. L. – Grau de liberdade; S. Q. – Soma dos quadrados; Q. M. – Quadrados médios dos desvios; F – Variável
Apêndice D
134
Tabela D.7 - Análise de variância do pH da mangaba em pó, seca a 50 °C, armazenada na
embalagem Laminada 1
Fonte de variação G. L. S. Q. Q. M. F
Tratamentos
Resíduo
6
21
0,63754
0,00147
0,10626
0,00007
1512,7966
**
-
Total 27 0,63901 - -
**
Significativo a 1% de probabilidade
G. L. – Grau de liberdade; S. Q. – Soma dos quadrados; Q. M. – Quadrados médios dos desvios; F – Variável
Tabela D.8 - Análise de variância do pH da mangaba em pó, seca a 50 °C, armazenada na
embalagem Laminada 2
Fonte de variação G. L. S. Q. Q. M. F
Tratamentos
Resíduo
6
21
0,81819
0,00128
0,13637
0,00006
2246,0196
**
-
Total 27 0,81947 - -
**
Significativo a 1% de probabilidade
G. L. – Grau de liberdade; S. Q. – Soma dos quadrados; Q. M. – Quadrados médios dos desvios; F – Variável
Tabela D.9 - Análise de variância do pH da mangaba em pó, seca a 60 °C, armazenada na
embalagem Laminada 1
Fonte de variação G. L. S. Q. Q. M. F
Tratamentos
Resíduo
6
21
0,56202
0,00105
0,09367
0,00005
1873,4048
**
-
Total 27 0,56307 - -
**
Significativo a 1% de probabilidade
G. L. – Grau de liberdade; S. Q. – Soma dos quadrados; Q. M. – Quadrados médios dos desvios; F – Variável
Apêndice D
135
Tabela D.10 - Análise de variância do pH da mangaba em pó, seca a 60 °C, armazenada na
embalagem Laminada 2
Fonte de variação G. L. S. Q. Q. M. F
Tratamentos
Resíduo
6
21
0,76094
0,00160
0,12682
0,00008
16,64,5625
**
-
Total 27 0,81947 - -
**
Significativo a 1% de probabilidade
G. L. – Grau de liberdade; S. Q. – Soma dos quadrados; Q. M. – Quadrados médios dos desvios; F – Variável
Tabela D.11 - Análise de variância do pH da mangaba em pó, seca a 70 °C, armazenada na
embalagem Laminada 1
Fonte de variação G. L. S. Q. Q. M. F
Tratamentos
Resíduo
6
21
0,52299
0,00128
0,08717
0,00006
1435,6667
**
-
Total 27 0,52427 - -
**
Significativo a 1% de probabilidade
G. L. – Grau de liberdade; S. Q. – Soma dos quadrados; Q. M. – Quadrados médios dos desvios; F – Variável
Tabela D.12 - Análise de variância do pH da mangaba em pó, seca a 70 °C, armazenada na
embalagem Laminada 2
Fonte de variação G. L. S. Q. Q. M. F
Tratamentos
Resíduo
6
21
0,31322
0,00228
0,10220
0,00011
943,4176
**
-
Total 27 0,61550 - -
**
Significativo a 1% de probabilidade
G. L. – Grau de liberdade; S. Q. – Soma dos quadrados; Q. M. – Quadrados médios dos desvios; F – Variável
Apêndice D
136
Tabela D.13 - Análise de variância do ácido ascórbico (mg/100g) da mangaba em pó, seca
a 50 °C, armazenada na embalagem Laminada 1
Fonte de variação G. L. S. Q. Q. M. F
Tratamentos
Resíduo
6
21
18674,83073
31,72562
3112,47179
1,51074
2060,2248**
-
Total 27 18706,55635 - -
**
Significativo a 1% de probabilidade
G. L. – Grau de liberdade; S. Q. – Soma dos quadrados; Q. M. – Quadrados médios dos desvios; F – Variável
Tabela D.14 - Análise de variância do ácido ascórbico (mg/100g) da mangaba em pó, seca
a 50 °C, armazenada na embalagem Laminada 2
Fonte de variação G. L. S. Q. Q. M. F
Tratamentos
Resíduo
6
21
30787,90795
16,24757
5131,31799
0,77369
6632,2316**
-
Total 27 30804,15552 - -
**
Significativo a 1% de probabilidade
G. L. – Grau de liberdade; S. Q. – Soma dos quadrados; Q. M. – Quadrados médios dos desvios; F – Variável
Tabela D.15 - Análise de variância do ácido ascórbico (mg/100g) da mangaba em pó, seca
a 60 °C, armazenada na embalagem Laminada 1
Fonte de variação G. L. S. Q. Q. M. F
Tratamentos
Resíduo
6
21
17409,12340
14,99687
2901,52057
0,71414
4062,9762**
-
Total 27 17424,12027 - -
**
Significativo a 1% de probabilidade
G. L. – Grau de liberdade; S. Q. – Soma dos quadrados; Q. M. – Quadrados médios dos desvios; F – Variável
Apêndice D
137
Tabela D.16 - Análise de variância do ácido ascórbico (mg/100g) da mangaba em pó, seca
a 60 °C, armazenada na embalagem Laminada 2
Fonte de variação G. L. S. Q. Q. M. F
Tratamentos
Resíduo
6
21
25574,50436
15,05648
4262,41739
0,71698
5944,9978**
-
Total 27 25589,56085 - -
**
Significativo a 1% de probabilidade
G. L. – Grau de liberdade; S. Q. – Soma dos quadrados; Q. M. – Quadrados médios dos desvios; F – Variável
Tabela D.17 - Análise de variância do ácido ascórbico (mg/100g) da mangaba em pó, seca
a 70 °C, armazenada na embalagem Laminada 1
Fonte de variação G. L. S. Q. Q. M. F
Tratamentos
Resíduo
6
21
17409,12340
14,99687
2901,52057
0,71414
4062,9762**
-
Total 27 17424,12027 - -
**
Significativo a 1% de probabilidade
G. L. – Grau de liberdade; S. Q. – Soma dos quadrados; Q. M. – Quadrados médios dos desvios; F – Variável
Tabela D.18 - Análise de variância do ácido ascórbico (mg/100g) da mangaba em pó, seca
a 70 °C, armazenada na embalagem Laminada 2
Fonte de variação G. L. S. Q. Q. M. F
Tratamentos
Resíduo
6
21
8803,50412
12,95854
1467,25069
0,61707
2377,7568**
-
Total 27 8816,46266 - -
**
Significativo a 1% de probabilidade
G. L. – Grau de liberdade; S. Q. – Soma dos quadrados; Q. M. – Quadrados médios dos desvios; F – Variável
Apêndice D
138
Tabela D.19 - Análise de variância da acidez total titulável (% ácido cítrico) da mangaba
em pó, seca a 50 °C, armazenada na embalagem Laminada 1
Fonte de variação G. L. S. Q. Q. M. F
Tratamentos
Resíduo
6
21
570,50949
8,55483
95,08492
0,40737
233,4100**
-
Total 27 579,06432 - -
**
Significativo a 1% de probabilidade
G. L. – Grau de liberdade; S. Q. – Soma dos quadrados; Q. M. – Quadrados médios dos desvios; F – Variável
Tabela D.20 - Análise de variância da acidez total titulável (% ácido cítrico) da mangaba
em pó, seca a 50 °C, armazenada na embalagem Laminada 2
Fonte de variação G. L. S. Q. Q. M. F
Tratamentos
Resíduo
6
21
929,02416
7,82338
154,83736
0,37254
415,6240**
-
Total 27 936,84754 - -
**
Significativo a 1% de probabilidade
G. L. – Grau de liberdade; S. Q. – Soma dos quadrados; Q. M. – Quadrados médios dos desvios; F – Variável
Tabela D.21 - Análise de variância da acidez total titulável (% ácido cítrico) da mangaba
em pó, seca a 60 °C, armazenada na embalagem Laminada 1
Fonte de variação G. L. S. Q. Q. M. F
Tratamentos
Resíduo
6
21
452,23145
3,48291
75,37191
0,16585
454,45000**
-
Total 27 455,71436 - -
**
Significativo a 1% de probabilidade
G. L. – Grau de liberdade; S. Q. – Soma dos quadrados; Q. M. – Quadrados médios dos desvios; F – Variável
Apêndice D
139
Tabela D.22 - Análise de variância da acidez total titulável (% ácido cítrico) da mangaba
em pó, seca a 60 °C, armazenada na embalagem Laminada 2
Fonte de variação G. L. S. Q. Q. M. F
Tratamentos
Resíduo
6
21
1069,61985
2,46944
178,26998
0,11759
1515,9969**
-
Total 27 1072,08930 - -
**
Significativo a 1% de probabilidade
G. L. – Grau de liberdade; S. Q. – Soma dos quadrados; Q. M. – Quadrados médios dos desvios; F – Variável
Tabela D.23 - Análise de variância da acidez total titulável (% ácido cítrico) da mangaba
em pó, seca a 70 °C, armazenada na embalagem Laminada 1
Fonte de variação G. L. S. Q. Q. M. F
Tratamentos
Resíduo
6
21
286,33319
2,73169
47,72220
0,13008
366,8669**
-
Total 27 289,06488 - -
**
Significativo a 1% de probabilidade
G. L. – Grau de liberdade; S. Q. – Soma dos quadrados; Q. M. – Quadrados médios dos desvios; F – Variável
Tabela D.24 - Análise de variância da acidez total titulável (% ácido cítrico) da mangaba
em pó, seca a 70 °C, armazenada na embalagem Laminada 2
Fonte de variação G. L. S. Q. Q. M. F
Tratamentos
Resíduo
6
21
722,6998
2,50141
120,44866
0,11911
1011,1997**
-
Total 27 725,19339 - -
**
Significativo a 1% de probabilidade
G. L. – Grau de liberdade; S. Q. – Soma dos quadrados; Q. M. – Quadrados médios dos desvios; F – Variável
Apêndice D
140
Tabela D.25 - Análise de variância dos açucares redutores (%glicose) da mangaba em pó,
seca a 50 °C, armazenada na embalagem Laminada 1
Fonte de variação G. L. S. Q. Q. M. F
Tratamentos
Resíduo
6
21
570,50949
8,55483
95,08492
0,40737
233,4100**
-
Total 27 579,06432 - -
**
Significativo a 1% de probabilidade
G. L. – Grau de liberdade; S. Q. – Soma dos quadrados; Q. M. – Quadrados médios dos desvios; F – Variável
Tabela D.26 - Análise de variância dos açucares redutores (%glicose) da mangaba em pó,
seca a 50 °C, armazenada na embalagem Laminada 2
Fonte de variação G. L. S. Q. Q. M. F
Tratamentos
Resíduo
6
21
929,02416
7,82338
154,83736
0,37254
415,6240**
-
Total 27 936,84754 - -
**
Significativo a 1% de probabilidade
G. L. – Grau de liberdade; S. Q. – Soma dos quadrados; Q. M. – Quadrados médios dos desvios; F – Variável
Tabela D.27 - Análise de variância dos açucares redutores (%glicose) da mangaba em pó,
seca a 60 °C, armazenada na embalagem Laminada 1
Fonte de variação G. L. S. Q. Q. M. F
Tratamentos
Resíduo
6
21
452,23145
3,48291
75,37191
0,16585
454,45000**
-
Total 27 455,71436 - -
**
Significativo a 1% de probabilidade
G. L. – Grau de liberdade; S. Q. – Soma dos quadrados; Q. M. – Quadrados médios dos desvios; F – Variável
Apêndice D
141
Tabela D.28 - Análise de variância dos açucares redutores (%glicose) da mangaba em pó,
seca a 60 °C, armazenada na embalagem Laminada 2
Fonte de variação G. L. S. Q. Q. M. F
Tratamentos
Resíduo
6
21
1069,61985
2,46944
178,26998
0,11759
1515,9969**
-
Total 27 1072,08930 - -
**
Significativo a 1% de probabilidade
G. L. – Grau de liberdade; S. Q. – Soma dos quadrados; Q. M. – Quadrados médios dos desvios; F – Variável
Tabela D.29 - Análise de variância dos açucares redutores (%glicose) da mangaba em pó,
seca a 70 °C, armazenada na embalagem Laminada 1
Fonte de variação G. L. S. Q. Q. M. F
Tratamentos
Resíduo
6
21
286,33319
2,73169
47,72220
0,13008
366,8669**
-
Total 27 289,06488 - -
**
Significativo a 1% de probabilidade
G. L. – Grau de liberdade; S. Q. – Soma dos quadrados; Q. M. – Quadrados médios dos desvios; F – Variável
Tabela D.30 - Análise de variância dos açucares redutores (%glicose) da mangaba em pó,
seca a 70 °C, armazenada na embalagem Laminada 2
Fonte de variação G. L. S. Q. Q. M. F
Tratamentos
Resíduo
6
18
722,6998
2,50141
120,44866
0,11911
1011,1997**
-
Total 24 725,19339 - -
**
Significativo a 1% de probabilidade
G. L. – Grau de liberdade; S. Q. – Soma dos quadrados; Q. M. – Quadrados médios dos desvios; F
Variável
Apêndice D
142
Tabela D.31 - Análise de variância das cinzas (%) da mangaba em pó, seca a 50 °C,
armazenada na embalagem Laminada 1
Fonte de variação G. L. S. Q. Q. M. F
Tratamentos
Resíduo
6
21
0,02971
0,02851
0,00495
0,00136
3,6474**
Total 27 0,05822 - -
**
Significativo a 1% de probabilidade
G. L. – Grau de liberdade; S. Q. – Soma dos quadrados; Q. M. – Quadrados médios dos desvios; F – Variável
Tabela D.32 - Análise de variância das cinzas (%) da mangaba em pó, seca a 50 °C,
armazenada na embalagem Laminada 2
Fonte de variação G. L. S. Q. Q. M. F
Tratamentos
Resíduo
6
21
0,00606
0,02519
0,00101
0,00120
0,8415**
-
Total 27 0,03125 - -
**
Significativo a 1% de probabilidade
G. L. – Grau de liberdade; S. Q. – Soma dos quadrados; Q. M. – Quadrados médios dos desvios; F – Variável
Tabela D.33 - Análise de variância das cinzas (%) da mangaba em pó, seca a 60 °C,
armazenada na embalagem Laminada 1
Fonte de variação G. L. S. Q. Q. M. F
Tratamentos
Resíduo
6
21
0,06674
0,01064
0,01112
0,00051
21,9491**
-
Total 27 0,07738 - -
**
Significativo a 1% de probabilidade
G. L. – Grau de liberdade; S. Q. – Soma dos quadrados; Q. M. – Quadrados médios dos desvios; F – Variável
Apêndice D
143
Tabela D.34 - Análise de variância das cinzas (%) da mangaba em pó, seca a 60 °C,
armazenada na embalagem Laminada 2
Fonte de variação G. L. S. Q. Q. M. F
Tratamentos
Resíduo
6
21
0,04880
0,01722
0,00813
0,00082
9,9179**
-
Total 27 0,06602 - -
**
Significativo a 1% de probabilidade
G. L. – Grau de liberdade; S. Q. – Soma dos quadrados; Q. M. – Quadrados médios dos desvios; F – Variável
Tabela D.35 - Análise de variância das cinzas (%) da mangaba em pó, seca a 70 °C,
armazenada na embalagem Laminada 1
Fonte de variação G. L. S. Q. Q. M. F
Tratamentos
Resíduo
6
18
0,015101
0,03167
0,02517
0,00151
16,6881**
-
Total 24 0,18268 - -
**
Significativo a 1% de probabilidade
G. L. – Grau de liberdade; S. Q. – Soma dos quadrados; Q. M. – Quadrados médios dos desvios; F – Variável
Tabela D.36 - Análise de variância das cinzas (%) da mangaba em pó, seca a 70 °C,
armazenada na embalagem Laminada 2
Fonte de variação G. L. S. Q. Q. M. F
Tratamentos
Resíduo
6
21
0,08593
0,00913
0,01432
0,00043
32,9576**
-
Total 27 0,09505 - -
**
Significativo a 1% de probabilidade
G. L. – Grau de liberdade; S. Q. – Soma dos quadrados; Q. M. – Quadrados médios dos desvios; F – Variável
Apêndice D
144
Tabela D.37 - Análise de variância da luminosidade (L*) da mangaba em pó, seca a 50 °C,
armazenada na embalagem Laminada 1
Fonte de variação G. L. S. Q. Q. M. F
Tratamentos
Resíduo
6
14
739,57792
0,00160
123,26299
0,00011
1078551,14 **
Total 20 739,57952 - -
**
Significativo a 1% de probabilidade
G. L. – Grau de liberdade; S. Q. – Soma dos quadrados; Q. M. – Quadrados médios dos desvios; F – Variável
Tabela D.38 - Análise de variância da luminosidade (L*) da mangaba em pó, seca a 50 °C,
armazenada na embalagem Laminada 2
Fonte de variação G. L. S. Q. Q. M. F
Tratamentos
Resíduo
6
14
535.44096
0.00413
89.24016
0.00030
302265.06 **
-
Total 20 535.44510 - -
**
Significativo a 1% de probabilidade
G. L. – Grau de liberdade; S. Q. – Soma dos quadrados; Q. M. – Quadrados médios dos desvios; F – Variável
Tabela D.39 - Análise de variância da luminosidade (L*) da mangaba em pó, seca a 60 °C,
armazenada na embalagem Laminada 1
Fonte de variação G. L. S. Q. Q. M. F
Tratamentos
Resíduo
6
14
45.50500
0.00447
7.58417
0.00032
23771.2687 **
-
Total 20 45.50947 - -
**
Significativo a 1% de probabilidade
G. L. – Grau de liberdade; S. Q. – Soma dos quadrados; Q. M. – Quadrados médios dos desvios; F – Variável
Apêndice D
145
Tabela D.40 - Análise de variância da luminosidade (L*) da mangaba em pó, seca a 60 °C,
armazenada na embalagem Laminada 2
Fonte de variação G. L. S. Q. Q. M. F
Tratamentos
Resíduo
6
14
1717,81319
0,00433
286,30220
0,00031
924976,33 **
-
Total 20 1717,81752 - -
**
Significativo a 1% de probabilidade
G. L. – Grau de liberdade; S. Q. – Soma dos quadrados; Q. M. – Quadrados médios dos desvios; F – Variável
Tabela D.41 - Análise de variância da luminosidade (L*) da mangaba em pó, seca a 70 °C,
armazenada na embalagem Laminada 1
Fonte de variação G. L. S. Q. Q. M. F
Tratamentos
Resíduo
6
14
211,0606
0,000007
35,17677
0,00000
7387119,31 **
-
Total 20 211,06067 - -
**
Significativo a 1% de probabilidade
G. L. – Grau de liberdade; S. Q. – Soma dos quadrados; Q. M. – Quadrados médios dos desvios; F – Variável
Tabela D.42 - Análise de variância da luminosidade (L*) da mangaba em pó, seca a 70 °C,
armazenada na embalagem Laminada 2
Fonte de variação G. L. S. Q. Q. M. F
Tratamentos
Resíduo
6
14
406,37546
0,000007
67,72924
0,000000
14223142 **
-
Total 20 406,37552 - -
**
Significativo a 1% de probabilidade
G. L. – Grau de liberdade; S. Q. – Soma dos quadrados; Q. M. – Quadrados médios dos desvios; F – Variável
Apêndice D
146
Tabela D.43 - Análise de variância da intensidade de vermelho (+a*) da mangaba em pó,
seca a 50 °C, armazenada na embalagem Laminada 1
Fonte de variação G. L. S. Q. Q. M. F
Tratamentos
Resíduo
6
14
739,57792
0,00160
123,26299
0,00011
1078551,14 **
Total 20 739,57952 - -
**
Significativo a 1% de probabilidade
G. L. – Grau de liberdade; S. Q. – Soma dos quadrados; Q. M. – Quadrados médios dos desvios; F – Variável
Tabela D.44 - Análise de variância da intensidade de vermelho (+a*) da mangaba em pó,
seca a 50 °C, armazenada na embalagem Laminada 2
Fonte de variação G. L. S. Q. Q. M. F
Tratamentos
Resíduo
6
14
539,01726
0,00007
89,83621
0,00000
18865604**
-
Total 20 539,01732 - -
**
Significativo a 1% de probabilidade
G. L. – Grau de liberdade; S. Q. – Soma dos quadrados; Q. M. – Quadrados médios dos desvios; F – Variável
Tabela D.45 - Análise de variância da intensidade de vermelho (+a*) da mangaba em pó,
seca a 60 °C, armazenada na embalagem Laminada 1
Fonte de variação G. L. S. Q. Q. M. F
Tratamentos
Resíduo
6
14
45,50500
0,00447
7,58417
0,00032
23771,2687 **
-
Total 20 45,50947 - -
**
Significativo a 1% de probabilidade
G. L. – Grau de liberdade; S. Q. – Soma dos quadrados; Q. M. – Quadrados médios dos desvios; F – Variável
Apêndice D
147
Tabela D.46 - Análise de variância da intensidade de vermelho (+a*) da mangaba em pó,
seca a 60 °C, armazenada na embalagem Laminada 2
Fonte de variação G. L. S. Q. Q. M. F
Tratamentos
Resíduo
6
14
1727,70223
0,00007
287,95037
0000000
60469581 **
-
Total 20 1727,70230 - -
**
Significativo a 1% de probabilidade
G. L. – Grau de liberdade; S. Q. – Soma dos quadrados; Q. M. – Quadrados médios dos desvios; F – Variável
Tabela D.47 - Análise de variância da intensidade de vermelho (+a*) da mangaba em pó,
seca a 70 °C, armazenada na embalagem Laminada 1
Fonte de variação G. L. S. Q. Q. M. F
Tratamentos
Resíduo
6
14
150,29979
0,00533
25,04997
0,00038
65756,1583 **
-
Total 20 150,30512 - -
**
Significativo a 1% de probabilidade
G. L. – Grau de liberdade; S. Q. – Soma dos quadrados; Q. M. – Quadrados médios dos desvios; F – Variável
Tabela D.48 - Análise de variância da intensidade de vermelho (+a*) da mangaba em pó,
seca a 70 °C, armazenada na embalagem Laminada 2
Fonte de variação G. L. S. Q. Q. M. F
Tratamentos
Resíduo
6
14
132,49551
0,00027
22,08259
0,00002
1159335,78 **
-
Total 20 132,49578 - -
**
Significativo a 1% de probabilidade
G. L. – Grau de liberdade; S. Q. – Soma dos quadrados; Q. M. – Quadrados médios dos desvios; F – Variável
Apêndice D
148
Tabela D.49 - Análise de variância da intensidade de amarelo (+b*) da mangaba em pó,
seca a 50 °C, armazenada na embalagem Laminada 1
Fonte de variação G. L. S. Q. Q. M. F
Tratamentos
Resíduo
6
14
320,31159
0,00273
53,38527
0,00020
273436,72 **
-
Total 20 320,31432 - -
**
Significativo a 1% de probabilidade
G. L. – Grau de liberdade; S. Q. – Soma dos quadrados; Q. M. – Quadrados médios dos desvios; F – Variável
Tabela D.50 - Análise de variância da intensidade de amarelo (+b*) da mangaba em pó,
seca a 50 °C, armazenada na embalagem Laminada 2
Fonte de variação G. L. S. Q. Q. M. F
Tratamentos
Resíduo
6
14
299,98605
0,00013
49,99767
0,00001
5249755,63 **
-
Total 20 299,98618 - -
**
Significativo a 1% de probabilidade
G. L. – Grau de liberdade; S. Q. – Soma dos quadrados; Q. M. – Quadrados médios dos desvios; F – Variável
Tabela D.51 - Análise de variância da intensidade de amarelo (+b*) da mangaba em pó,
seca a 60 °C, armazenada na embalagem Laminada 1
Fonte de variação G. L. S. Q. Q. M. F
Tratamentos
Resíduo
6
14
62,07799
0,00253
10,34633
0,00018
57177,0964 **
-
Total 20 62,08052 - -
**
Significativo a 1% de probabilidade
G. L. – Grau de liberdade; S. Q. – Soma dos quadrados; Q. M. – Quadrados médios dos desvios; F – Variável
Apêndice D
149
Tabela D.52 - Análise de variância da intensidade de amarelo (+b*) da mangaba em pó,
seca a 60 °C, armazenada na embalagem Laminada 2
Fonte de variação G. L. S. Q. Q. M. F
Tratamentos
Resíduo
6
14
85,94210
0,00013
14,32368
0,00001
1503986,69 **
-
Total 20 85,94223 - -
**
Significativo a 1% de probabilidade
G. L. – Grau de liberdade; S. Q. – Soma dos quadrados; Q. M. – Quadrados médios dos desvios; F – Variável
Tabela D.53 - Análise de variância da intensidade de amarelo (+b*) da mangaba em pó,
seca a 70 °C, armazenada na embalagem Laminada 1
Fonte de variação G. L. S. Q. Q. M. F
Tratamentos
Resíduo
6
14
132.92536
0.69653
22.15423
0.04975
445.2898 **
-
Total 20 133.62190 - -
**
Significativo a 1% de probabilidade
G. L. – Grau de liberdade; S. Q. – Soma dos quadrados; Q. M. – Quadrados médios dos desvios; F – Variável
Tabela D.54 - Análise de variância da intensidade de amarelo (+b*) da mangaba em pó,
seca a 70 °C, armazenada na embalagem Laminada 2
Fonte de variação G. L. S. Q. Q. M. F
Tratamentos
Resíduo
6
14
90,19490
0,00013
15,03248
0,00001
1578410,65 **
-
Total 20 90,19503 - -
**
Significativo a 1% de probabilidade
G. L. – Grau de liberdade; S. Q. – Soma dos quadrados; Q. M. – Quadrados médios dos desvios; F – Variável
150
APÊNDICE E
Apêndice E
151
Tabela E.1 - Regressão na análise de variância da umidade da mangaba em pó, seca a 50
°C, em função do tempo de armazenamento na embalagem Laminada 1
Fonte de variação G.L. S.Q. Q.M. F
Reg. linear 1 31,35309 31,35309 530,2747 **
Reg. quadrática 1 9,01447 9,01447 152,4617 **
Reg. cúbica 1 1,59202 1,59202 26,9258 **
Reg. 4º grau 1 0,02236 0,02236 0,3782 ns
Reg. 5º grau 1 0,05349 0,05349 0,9047 ns
Desvios 1 0,05373 0,05373 0,9087
Tratamentos 6 42,08916 7,01486 118,6423 **
Resíduo 21 1,24165 0,05913 -
Total 27 43,3308 - -
** - significativo a 1% de probabilidade (p-valor < 0,01); ns - não significativo (p-valor 0,05)
Média geral = 25,0802; Coeficiente de variação (%) = 0,9695
Tabela E.2 - Regressão na análise de variância da umidade da mangaba em pó, seca a 60
°C, em função do tempo de armazenamento na embalagem Laminada 1
Fonte de variação G.L. S.Q. Q.M. F
Reg. linear 1 20,56226 20,56226 737,4862 **
Reg. quadrática 1 2,28431 2,28431 81,9291 **
Reg. cúbica 1 0,11848 0,11848 4,2495 ns
Reg. 4º grau 1 0,01670 0,01670 0,5990 ns
Reg. 5º grau 1 0,11706 0,11706 4,1984 ns
Desvios 1 0,18193 0,18193 6,5250
Tratamentos 6 23,28074 3,88012 139,1645 **
Resíduo 21 0,58551 0,02788 -
Total 27 23,86625 - -
** - significativo a 1% de probabilidade (p-valor < 0,01); ns - não significativo (p-valor 0,05)
Média geral = 24,20802; Coeficiente de variação (%) = 0,6898
Apêndice E
152
Tabela E.3 - Regressão na análise de variância da umidade da mangaba em pó, seca a 70
°C, em função do tempo de armazenamento na embalagem Laminada 1
Fonte de variação G.L. S.Q. Q.M. F
Reg. linear 1 21,60873 21,60873 880,2263 **
Reg. quadrática 1 0,00600 0,00600 0,2442 ns
Reg. cúbica 1 0,02383 0,02383 0,9706 ns
Reg. 4º grau 1 0,00440 0,00440 0,1794 ns
Reg. 5º grau 1 0,53587 0,53587 21,8283 **
Desvios 1 0,03443 0,03443 1,4024
Tratamentos 6 22,21325 3,70221 150,8085 *
Resíduo 21 0,51553 0,02455 -
Total 27 22,72878 - -
** - significativo a 1% de probabilidade (p-valor < 0,01); ns - não significativo (p-valor 0,05)
Média geral = 23,5663; Coeficiente de variação (%) =0,66485
Tabela E.4. Regressão na análise de variância da umidade da mangaba em pó, seca a 50
°C, em função do tempo de armazenamento na embalagem Laminada 2
Fonte de variação G.L. S.Q. Q.M. F
Reg. linear 1 15,12645 15,12645 156,9349 **
Reg. quadrática 1 2,77536 2,77536 28,7940 **
Reg. cúbica 1 1,02593 1,02593 10,6439 **
Reg. 4º grau 1 0,10652 0,10652 1,1052 ns
Reg. 5º grau 1 0,06327 0,06327 0,6564 ns
Desvios 1 0,00181 0,00181 0,0188
Tratamentos 6 19,09934 3,18322 33,0255 **
Resíduo 21 2,02412 0,09639 -
Total 27 21,12346 - -
** - significativo a 1% de probabilidade (p-valor < 0,01); ns - não significativo (p-valor 0,05)
Média geral = 24,22994; Coeficiente de variação (%) = 1,28132
Apêndice E
153
Tabela E.5 - Regressão na análise de variância da umidade da mangaba em pó, seca a 60
°C, em função do tempo de armazenamento na embalagem Laminada 2
Fonte de variação G.L. S.Q. Q.M. F
Reg. linear 1 21,93260 21,93260 2384,3555 **
Reg. quadrática 1 3,79542 3,79542 412,6109 **
Reg. cúbica 1 2,53689 2,53689 275,7920 **
Reg. 4º grau 1 1,35824 1,35824 147,6576 **
Reg. 5º grau 1 0,00111 0,00111 0,1204 ns
Desvios 1 0,00123 0,00123 0,1335
Tratamentos 6 29,62548 4,93758 536,7783 **
Resíduo 21 0,19317 0,00920 -
Total 27 29,81865 - -
** - significativo a 1% de probabilidade (p-valor < 0,01); ns - não significativo (p-valor 0,05)
Média geral = 24,77386; Coeficiente de variação (%) = 0,38714
Tabela E.6 - Regressão na análise de variância da umidade da mangaba em pó, seca a 70
°C, em função do tempo de armazenamento na embalagem Laminada 2
Fonte de variação G.L. S.Q. Q.M. F
Reg. linear 1 25,26544 25,26544 1156,8494 **
Reg. quadrática 1 3,65981 3,65981 167,5745 **
Reg. cúbica 1 0,12556 0,12556 5,7489 *
Reg. 4º grau 1 0,00156 0,00156 0,0713 ns
Reg. 5º grau 1 0,02631 0,02631 1,2048 ns
Desvios 1 0,18341 0,18341 8,3981
Tratamentos 6 29,26209 4,87701 223,3078 ns
Resíduo 21 0,45864 0,02184 -
Total 27 29,72072 - -
** - significativo a 1% de probabilidade (p-valor < 0,01); * significativo a 5% de probabilidade (0,01 p <
0,05); ns - não significativo (p-valor 0,05)
Média geral = 24,31800; Coeficiente de variação (%) =0,60771
Apêndice E
154
Tabela E.7 - Regressão na análise de variância do pH da mangaba em pó, seca a 50 °C, em
função do tempo de armazenamento na embalagem Laminada 1
Fonte de variação G.L. S.Q. Q.M. F
Reg. linear 1 0,58147 0,58147 8278,5890 **
Reg. quadrática 1 0,00341 0,00341 48,5127 **
Reg. cúbica 1 0,03920 0,03920 558,1610 **
Reg. 4º grau 1 0,00147 0,00147 20,8590 **
Reg. 5º grau 1 0,00609 0,00609 86,6483 **
Desvios 1 0,00590 0,00590 84,0096
Tratamentos 6 0,63754 0,10626 1512,7966 **
Resíduo 21 0,00147 0,00007 -
Total 27 0,63901 - -
** - significativo a 1% de probabilidade (p-valor < 0,01); ns - não significativo (p-valor 0,05)
Média geral = 3,18821; Coeficiente de variação (%) = 0,26287
Tabela E.8 - Regressão na análise de variância do pH da mangaba em pó, seca a 60 °C, em
função do tempo de armazenamento na embalagem Laminada 1
Fonte de variação G.L. S.Q. Q.M. F
Reg. linear 1 0,54600 0,54600 10920,0714 **
Reg. quadrática 1 0,00347 0,00347 69,4286 **
Reg. cúbica 1 0,00770 0,00770 154,0833 **
Reg. 4º grau 1 0,00159 0,00159 31,8214 **
Reg. 5º grau 1 0,00030 0,00030 6,0952 *
Desvios 1 0,00295 0,00295 58,9286
Tratamentos 6 0,56202 0,09367 1873,4048 **
Resíduo 21 0,00105 0,00005 -
Total 27 0,56307 - -
** - significativo a 1% de probabilidade (p-valor < 0,01); * significativo a 5% de probabilidade (0,01 p <
0,05); ns - não significativo (p-valor 0,05)
Média geral = 3,20786; Coeficiente de variação (%) = 0,22043
Apêndice E
155
Tabela E.9 - Regressão na análise de variância do pH da mangaba em pó, seca a 70 °C, em
função do tempo de armazenamento na embalagem Laminada 1
Fonte de variação G.L. S.Q. Q.M. F
Reg. linear 1 0,51300 0,51300 8449,4706 **
Reg. quadrática 1 0,00130 0,00130 21,3529 **
Reg. cúbica 1 0,00135 0,00135 22,2353 **
Reg. 4º grau 1 0,00356 0,00356 58,5668 **
Reg. 5º grau 1 0,00347 0,00347 57,1765 **
Desvios 1 0,00032 0,00032 5,1979
Tratamentos 6 0,52299 0,08717 1435,6667 **
Resíduo 21 0,00128 0,00006 -
Total 27 0,52427 - -
** - significativo a 1% de probabilidade (p-valor < 0,01); * significativo a 5% de probabilidade (0,01 p <
0,05); ns - não significativo (p-valor 0,05)
Média geral = 3,22393; Coeficiente de variação (%) =0,24169
Tabela E.10 - Regressão na análise de variância do pH da mangaba em pó, seca a 50 °C,
em função do tempo de armazenamento na embalagem Laminada 2
Fonte de variação G.L. S.Q. Q.M. F
Reg. linear 1 0,74916 0,74916 12339,0588 **
Reg. quadrática 1 0,02787 0,02787 459,0000 **
Reg. cúbica 1 0,01984 0,01984 326,7353 **
Reg. 4º grau 1 0,00305 0,00305 50,1845 **
Reg. 5º grau 1 0,00027 0,00027 4,4118 *
Desvios 1 0,01802 0,01802 296,7273
Tratamentos 6 0,81819 0,13637 2246,0196 **
Resíduo 21 0,00128 0,00006 -
Total 27 0,81947 - -
** - significativo a 1% de probabilidade (p-valor < 0,01); * significativo a 5% de probabilidade (0,01 p <
0,05); ns - não significativo (p-valor 0,05)
Média geral = 3,20393; Coeficiente de variação (%) = 0,24320
Apêndice E
156
Tabela E.11 - Regressão na análise de variância do pH da mangaba em pó, seca a 60 °C,
em função do tempo de armazenamento na embalagem Laminada 2
Fonte de variação G.L. S.Q. Q.M. F
Reg. linear 1 0,72000 0,72000 9450,0469 **
Reg. quadrática 1 0,01467 0,01467 192,5156 **
Reg. cúbica 1 0,01927 0,01927 252,8750 **
Reg. 4º grau 1 0,00058 0,00058 7,6705 *
Reg. 5º grau 1 0,00003 0,00003 0,3906 ns
Desvios 1 0,00639 0,00639 83,8764
Tratamentos 6 0,76094 0,12682 1664,5625 **
Resíduo 21 0,00160 0,00008 -
Total 27 0,76254 - -
** - significativo a 1% de probabilidade (p-valor < 0,01); * significativo a 5% de probabilidade (0,01 p <
0,05); ns - não significativo (p-valor 0,05)
Média geral = 3,20857; Coeficiente de variação (%) = 0,27204
Tabela E.12 - Regressão na análise de variância do pH da mangaba em pó, seca a 70 °C,
em função do tempo de armazenamento na embalagem Laminada 2
Fonte de variação G.L. S.Q. Q.M. F
Reg. linear 1 0,60770 0,60770 5609,5467 **
Reg. quadrática 1 0,00126 0,00126 11,6071 **
Reg. cúbica 1 0,00000 0,00000 0,0385 ns
Reg. 4º grau 1 0,00166 0,00166 15,2862 **
Reg. 5º grau 1 0,00126 0,00126 11,6071 **
Desvios 1 0,00135 0,00135 12,4198
Tratamentos 6 0,61322 0,10220 943,4176 **
Resíduo 21 0,00228 0,00011 -
Total 27 0,61550 - -
** - significativo a 1% de probabilidade (p-valor < 0,01); * significativo a 5% de probabilidade (0,01 p <
0,05); ns - não significativo (p-valor 0,05)
Média geral = 3,24464; Coeficiente de variação (%) =0,32079
Apêndice E
157
Tabela E.13 - Regressão na análise de variância do ácido ascórbico da mangaba em pó,
seca a 50 °C, em função do tempo de armazenamento na embalagem
Laminada 1
Fonte de variação G.L. S.Q. Q.M. F
Reg. linear 1 16725,03009 16725,03009 11070,7258 **
Reg. quadrática 1 1877,67036 1877,67036 1242,8781 **
Reg. cúbica 1 10,98907 10,98907 7,2739 *
Reg. 4º grau 1 27,02374 27,02374 17,8877 **
Reg. 5º grau 1 12,04705 12,04705 7,9743 *
Desvios 1 22,07042 22,07042 14,6090
Tratamentos 6 18674,83073 3112,47179 2060,2248 **
Resíduo 21 31, 72562 1,51074 -
Total 27 18706,55635 - -
** - significativo a 1% de probabilidade (p-valor < 0,01); * significativo a 5% de probabilidade (0,01 p <
0,05); ns - não significativo (p-valor 0,05)
Média geral = 73,76487; Coeficiente de variação (%) = 1,66627
Tabela E.14 - Regressão na análise de variância do ácido ascórbico da mangaba em pó,
seca a 60 °C, em função do tempo de armazenamento na embalagem
Laminada 1
Fonte de variação G.L. S.Q. Q.M. F
Reg. linear 1 17029,46860 17029,46860 23846,2296 **
Reg. quadrática 1 323,98046 323,98046 453,6673 **
Reg. cúbica 1 41,69546 41,69546 58,3858 **
Reg. 4º grau 1 2,15520 2,15520 3,0179 ns
Reg. 5º grau 1 1,87821 1,87821 2,6300 ns
Desvios 1 9,94546 9,94546 13,9266
Tratamentos 6 17409,12340 2901,52057 4062,9762 **
Resíduo 21 14,99687 0,71414 -
Total 27 17424,12027 - -
** - significativo a 1% de probabilidade (p-valor < 0,01); * significativo a 5% de probabilidade (0,01 p <
0,05); ns - não significativo (p-valor 0,05)
Média geral = 78,65801; Coeficiente de variação (%) = 1,07435
Apêndice E
158
Tabela E.15 - Regressão na análise de variância do ácido ascórbico da mangaba em pó,
seca a 70 °C, em função do tempo de armazenamento na embalagem
Laminada 1
Fonte de variação G.L. S.Q. Q.M. F
Reg. linear 1 8770,43681 8770,43681 11229,0448 **
Reg. quadrática 1 408,34373 408,34373 522,8143 **
Reg. cúbica 1 67,23521 67,23521 86,0832 **
Reg. 4º grau 1 6,22851 6,22851 7,9745 *
Reg. 5º grau 1 36,56948 36,56948 46,8210 **
Desvios 1 20,53583 20,53583 26,2926
Tratamentos 6 9309,34957 1551,55826 1986,5051 **
Resíduo 21 16,40203 0,78105 -
Total 27 9325,75160 - -
** - significativo a 1% de probabilidade (p-valor < 0,01); * significativo a 5% de probabilidade (0,01 p <
0,05); ns - não significativo (p-valor 0,05)
Média geral = 49,04860; Coeficiente de variação (%) =1,80183
Tabela E.16 - Regressão na análise de variância do ácido ascórbico da mangaba em pó,
seca a 50 °C, em função do tempo de armazenamento na embalagem
Laminada 2
Fonte de variação G.L. S.Q. Q.M. F
Reg. linear 1 28978,70384 28978,70384 37454,9922 **
Reg. quadrática 1 1416,37620 1416,37620 1830,6671 **
Reg. cúbica 1 221,58322 221,58322 286,3964 **
Reg. 4º grau 1 105,66143 105,66143 136,5675 **
Reg. 5º grau 1 1,19582 1,19582 1,5456 ns
Desvios 1 64,38744 64,38744 83,2208
Tratamentos 6 30787,90795 5131,31799 6632,2316 **
Resíduo 21 16,24757 0,77369 -
Total 27 30804,15552 - -
** - significativo a 1% de probabilidade (p-valor < 0,01); * significativo a 5% de probabilidade (0,01 p <
0,05); ns - não significativo (p-valor 0,05)
Média geral = 66.511040; Coeficiente de variação (%) = 1,32250
Apêndice E
159
Tabela E.17 - Regressão na análise de variância do ácido ascórbico da mangaba em pó,
seca a 60 °C, em função do tempo de armazenamento na embalagem
Laminada 2
Fonte de variação G.L. S.Q. Q.M. F
Reg. linear 1 23817,02853 23817,02853 33218,7512 **
Reg. quadrática 1 1149,16353 1149,16353 1602,7934 **
Reg. cúbica 1 321,53100 321,53100 448,4547 **
Reg. 4º grau 1 187,96913 187,96913 262,1695 **
Reg. 5º grau 1 14,82142 14,82142 20,6721 **
Desvios 1 83,99075 83,99075 117,1459
Tratamentos 6 25574,50436 4262,41739 5944,9978 **
Resíduo 21 15,05648 0,71698 -
Total 27 25589,56085 - -
** - significativo a 1% de probabilidade (p-valor < 0,01); * significativo a 5% de probabilidade (0,01 p <
0,05); ns - não significativo (p-valor 0,05)
Média geral = 71,35498; Coeficiente de variação (%) = 1,18666
Tabela E.18 - Regressão na análise de variância do ácido ascórbico da mangaba em pó,
seca a 70 °C, em função do tempo de armazenamento na embalagem
Laminada 2
Fonte de variação G.L. S.Q. Q.M. F
Reg. linear 1 8353,93272 8353,93272 13537,9866 **
Reg. quadrática 1 349,88067 349,88067 567,0000 **
Reg. cúbica 1 8,60739 8,60739 13,9487 **
Reg. 4º grau 1 2,71488 2,71488 4,3996 *
Reg. 5º grau 1 75,78426 75,78426 122,8124 **
Desvios 1 12,58419 12,58419 20,3933
Tratamentos 6 8803,50412 1467,25069 2377,7568 **
Resíduo 21 12,95854 0,61707 -
Total 27 8816,46266 - -
** - significativo a 1% de probabilidade (p-valor < 0,01); * significativo a 5% de probabilidade (0,01 p <
0,05); ns - não significativo (p-valor 0,05)
Média geral = 48,39190; Coeficiente de variação (%) =1,62329
Apêndice E
160
Tabela E.19 - Regressão na análise de variância da acidez total titulável da mangaba em
pó, seca a 50 °C, em função do tempo de armazenamento na embalagem
Laminada 1
Fonte de variação G.L. S.Q. Q.M. F
Reg. linear 1 8,10771 8,10771 18755,7778 **
Reg. quadrática 1 1,79091 1,79091 4142,9546 **
Reg. cúbica 1 0,12609 0,12609 291,6918 **
Reg. 4º grau 1 0,00894 0,00894 20,6863 **
Reg. 5º grau 1 0,02585 0,02585 59,8062 **
Desvios 1 0,01095 0,01095 25,3325
Tratamentos 6 10,07046 1,67841 3882,7082 **
Resíduo 21 0,00908 0,00043 -
Total 27 10,07954 - -
** - significativo a 1% de probabilidade (p-valor < 0,01); * significativo a 5% de probabilidade (0,01 p <
0,05); ns - não significativo (p-valor 0,05)
Média geral = 5,43044; Coeficiente de variação (%) = 0,38287
Tabela E.20 - Regressão na análise de variância da acidez total titulável da mangaba em
pó, seca a 60 °C, em função do tempo de armazenamento na embalagem
Laminada 1
Fonte de variação G.L. S.Q. Q.M. F
Reg. linear 1 7,93931 7,93931 10639,5626 **
Reg. quadrática 1 0,83384 0,83384 1117,4407 **
Reg. cúbica 1 0,03298 0,03298 44,1995 **
Reg. 4º grau 1 0,03984 0,03984 53,3937 **
Reg. 5º grau 1 0,04108 0,04108 55,0541 **
Desvios 1 0,05073 0,05073 67,9810
Tratamentos 6 8,93778 1,48963 1996,2719 **
Resíduo 21 0,01567 0,00075 -
Total 27 8,95345 - -
** - significativo a 1% de probabilidade (p-valor < 0,01); * significativo a 5% de probabilidade (0,01 p <
0,05); ns - não significativo (p-valor 0,05)
Média geral = 5,51943; Coeficiente de variação (%) = 0,49492
Apêndice E
161
Tabela E.21 - Regressão na análise de variância da acidez total titulável da mangaba em
pó, seca a 70 °C, em função do tempo de armazenamento na embalagem
Laminada 1
Fonte de variação G.L. S.Q. Q.M. F
Reg. linear 1 6,57486 6,57486 204,9646 **
Reg. quadrática 1 0,66932 0,66932 20,8654 **
Reg. cúbica 1 0,03212 0,03212 1,0013 ns
Reg. 4º grau 1 0,18054 0,18054 5,6280 *
Reg. 5º grau 1 0,00099 0,00099 0,0308 ns
Desvios 1 0,15963 0,15963 4,9763
Tratamentos 6 7,61745 1,26958 39,5777 **
Resíduo 21 0,67364 0,03208 -
Total 27 8,29109 - -
** - significativo a 1% de probabilidade (p-valor < 0,01); * significativo a 5% de probabilidade (0,01 p <
0,05); ns - não significativo (p-valor 0,05)
Média geral = 5,54841; Coeficiente de variação (%) =3,22801
Tabela E.22 - Regressão na análise de variância da acidez total titulável da mangaba em
pó, seca a 50 °C, em função do tempo de armazenamento na embalagem
Laminada 2
Fonte de variação G.L. S.Q. Q.M. F
Reg. linear 1 8,55502 8,55502 10094,649 **
Reg. quadrática 1 0,86328 0,86328 1018,6413 **
Reg. cúbica 1 0,03335 0,03335 39,3475 **
Reg. 4º grau 1 0,02261 0,02261 26,6792 **
Reg. 5º grau 1 0,08702 0,08702 102,6776 **
Desvios 1 0,01811 0,01811 21,3653
Tratamentos 6 9,57938 1,59656 1883,8932 **
Resíduo 21 0,01780 0,00085 -
Total 27 9,59718 - -
** - significativo a 1% de probabilidade (p-valor < 0,01); * significativo a 5% de probabilidade (0,01 p <
0,05); ns - não significativo (p-valor 0,05)
Média geral = 5,56984; Coeficiente de variação (%) = 0,52266
Apêndice E
162
Tabela E.23 - Regressão na análise de variância da acidez total titulável da mangaba em
pó, seca a 60 °C, em função do tempo de armazenamento na embalagem
Laminada 2
Fonte de variação G.L. S.Q. Q.M. F
Reg. linear 1 6.56164 6.56164 17913.7633 **
Reg. quadrática 1 1,37207 1,37207 3745,8645 **
Reg. cúbica 1 0,07817 0,07817 213,4098 **
Reg. 4º grau 1 0,02614 0,02614 71,3621 **
Reg. 5º grau 1 0,05707 0,05707 155,7993 **
Desvios 1 0,02309 0,02309 63,0443
Tratamentos 6 8,11818 1,35303 3693,8739 **
Resíduo 21 0,00769 0,00037 -
Total 27 8,12587 - -
** - significativo a 1% de probabilidade (p-valor < 0,01); * significativo a 5% de probabilidade (0,01 p <
0,05); ns - não significativo (p-valor 0,05)
Média geral = 5,50718; Coeficiente de variação (%) = 0,34752
Tabela E.24 - Regressão na análise de variância da acidez total titulável da mangaba em
pó, seca a 70 °C, em função do tempo de armazenamento na embalagem
Laminada 2
Fonte de variação G.L. S.Q. Q.M. F
Reg. linear 1 5,66667 5,66667 22400,7425 **
Reg. quadrática 1 0,79533 0,79533 3143,9956 **
Reg. cúbica 1 0,02796 0,02796 110,5358 **
Reg. 4º grau 1 0,04876 0,04876 192,7710 **
Reg. 5º grau 1 0,10853 0,10853 429,0387 **
Desvios 1 0,02631 0,02631 103,9942
Tratamentos 6 6,67357 1,11226 4396,8463 **
Resíduo 21 0,00531 0,00025 -
Total 27 6,67888 - -
** - significativo a 1% de probabilidade (p-valor < 0,01); * significativo a 5% de probabilidade (0,01 p <
0,05); ns - não significativo (p-valor 0,05)
Média geral = 5,57051; Coeficiente de variação (%) =0,28552
Apêndice E
163
Tabela E.25 - Regressão na análise de variância dos açúcares redutores da mangaba em
pó, seca a 50 °C, em função do tempo de armazenamento na embalagem
Laminada 1
Fonte de variação G.L. S.Q. Q.M. F
Reg. linear 1 567,26958 567, 26958 1392,5071 **
Reg. quadrática 1 0,68611 0,68611 1,6842 ns
Reg. cúbica 1 0,15362 0,15362 0,3771 ns
Reg. 4º grau 1 1,95772 1,95772 4,8057 *
Reg. 5º grau 1 0,15598 0,15598 0,3829 ns
Desvios 1 0,28648 0,28648 0,7032
Tratamentos 6 570,50949 95,08492 233,4100 **
Resíduo 21 8,55483 0,40737 -
Total 27 579,06432 - -
** - significativo a 1% de probabilidade (p-valor < 0,01); * significativo a 5% de probabilidade (0,01 p <
0,05); ns - não significativo (p-valor 0,05)
Média geral = 46,70760; Coeficiente de variação (%) = 1,36650
Tabela E.26 - Regressão na análise de variância dos açúcares redutores da mangaba em
pó, seca a 60 °C, em função do tempo de armazenamento na embalagem
Laminada 1
Fonte de variação G.L. S.Q. Q.M. F
Reg. linear 1 450,04753 450,04753 2713,5321 **
Reg. quadrática 1 2,04892 2,04892 12,3538 **
Reg. cúbica 1 0,03686 0,03686 0,2223 ns
Reg. 4º grau 1 0,01327 0,01327 0,0800 ns
Reg. 5º grau 1 0,01181 0,01181 0,0712 ns
Desvios 1 0,07305 0,07305 0,4404
Tratamentos 6 452,23145 75,37191 454,4500 **
Resíduo 21 3,48291 0,16585 -
Total 27 455,71436 - -
** - significativo a 1% de probabilidade (p-valor < 0,01); * significativo a 5% de probabilidade (0,01 p <
0,05); ns - não significativo (p-valor 0,05)
Média geral = 46,03830; Coeficiente de variação (%) = 0,88459
Apêndice E
164
Tabela E.27 - Regressão na análise de variância dos açúcares redutores da mangaba em
pó, seca a 70 °C, em função do tempo de armazenamento na embalagem
Laminada 1
Fonte de variação G.L. S.Q. Q.M. F
Reg. linear 1 262,30689 262,30689 2016,4980 **
Reg. quadrática 1 18,21781 18,21781 140,0504 **
Reg. cúbica 1 3,30190 3,30190 25,3835 **
Reg. 4º grau 1 1,96286 1,96286 15,0896 **
Reg. 5º grau 1 0,07142 0,07142 0,5491 ns
Desvios 1 0,47231 0,47231 3,6309
Tratamentos 6 286,33319 47,72220 366,8669 **
Resíduo 21 2,73169 0,13008 -
Total 27 289,06488 - -
** - significativo a 1% de probabilidade (p-valor < 0,01); * significativo a 5% de probabilidade (0,01 p <
0,05); ns - não significativo (p-valor 0,05)
Média geral = 45,04284; Coeficiente de variação (%) =0,80072
Tabela E.28 - Regressão na análise de variância dos açúcares redutores da mangaba em
pó, seca a 50 °C, em função do tempo de armazenamento na embalagem
Laminada 2
Fonte de variação G.L. S.Q. Q.M. F
Reg. linear 1 884,67401 884,67401 2374,6968 **
Reg. quadrática 1 35,32321 35,32321 94,8168 **
Reg. cúbica 1 2,55721 2,55721 6,8642 *
Reg. 4º grau 1 4,74484 4,74484 12,7364 **
Reg. 5º grau 1 0,88389 0,88389 2,3726 ns
Desvios 1 0,84100 0,84100 2,2575
Tratamentos 6 929,02416 154,83736 415,6240 **
Resíduo 21 7,82338 0,37254 -
Total 27 936,84754 - -
** - significativo a 1% de probabilidade (p-valor < 0,01); * significativo a 5% de probabilidade (0,01 p <
0,05); ns - não significativo (p-valor 0,05)
Média geral = 43,85451; Coeficiente de variação (%) = 1,39179
Apêndice E
165
Tabela E.29 - Regressão na análise de variância dos açúcares redutores da mangaba em
pó, seca a 60 °C, em função do tempo de armazenamento na embalagem
Laminada 2
Fonte de variação G.L. S.Q. Q.M. F
Reg. linear 1 1045,61471 1045,61471 8891,8431 **
Reg. quadrática 1 16,88535 16,88535 143,5920 **
Reg. cúbica 1 2,76333 2,76333 23,4992 **
Reg. 4º grau 1 2,34762 2,34762 19,9640 **
Reg. 5º grau 1 1,36720 1,36720 11,6265 **
Desvios 1 0,64164 0,64164 5,4565
Tratamentos 6 1069,61985 178,26998 1515,9969 **
Resíduo 21 2,46944 0,11759 -
Total 27 1072,08930 - -
** - significativo a 1% de probabilidade (p-valor < 0,01); * significativo a 5% de probabilidade (0,01 p <
0,05); ns - não significativo (p-valor 0,05)
Média geral = 42,72103; Coeficiente de variação (%) = 0,80269
Tabela E.30 - Regressão na análise de variância dos açúcares redutores da mangaba em
pó, seca a 70 °C, em função do tempo de armazenamento na embalagem
Laminada 2
Fonte de variação G.L. S.Q. Q.M. F
Reg. linear 1 707,46882 707,46882 5939,3957 **
Reg. quadrática 1 8,59239 8,59239 72,1355 **
Reg. cúbica 1 0,19496 0,19496 1,6367 ns
Reg. 4º grau 1 3,29399 3,29399 27,6539 **
Reg. 5º grau 1 1,21527 1,21527 10,2025 **
Desvios 1 1,92656 1,92656 16,1740
Tratamentos 6 722,69198 120,44866 1011,1997 **
Resíduo 21 2,50141 0,11911 -
Total 27 725,19339 - -
** - significativo a 1% de probabilidade (p-valor < 0,01); * significativo a 5% de probabilidade (0,01 p <
0,05); ns - não significativo (p-valor 0,05)
Média geral = 42,33936; Coeficiente de variação (%) =0,81515
Livros Grátis
( http://www.livrosgratis.com.br )
Milhares de Livros para Download:
Baixar livros de Administração
Baixar livros de Agronomia
Baixar livros de Arquitetura
Baixar livros de Artes
Baixar livros de Astronomia
Baixar livros de Biologia Geral
Baixar livros de Ciência da Computação
Baixar livros de Ciência da Informação
Baixar livros de Ciência Política
Baixar livros de Ciências da Saúde
Baixar livros de Comunicação
Baixar livros do Conselho Nacional de Educação - CNE
Baixar livros de Defesa civil
Baixar livros de Direito
Baixar livros de Direitos humanos
Baixar livros de Economia
Baixar livros de Economia Doméstica
Baixar livros de Educação
Baixar livros de Educação - Trânsito
Baixar livros de Educação Física
Baixar livros de Engenharia Aeroespacial
Baixar livros de Farmácia
Baixar livros de Filosofia
Baixar livros de Física
Baixar livros de Geociências
Baixar livros de Geografia
Baixar livros de História
Baixar livros de Línguas
Baixar livros de Literatura
Baixar livros de Literatura de Cordel
Baixar livros de Literatura Infantil
Baixar livros de Matemática
Baixar livros de Medicina
Baixar livros de Medicina Veterinária
Baixar livros de Meio Ambiente
Baixar livros de Meteorologia
Baixar Monografias e TCC
Baixar livros Multidisciplinar
Baixar livros de Música
Baixar livros de Psicologia
Baixar livros de Química
Baixar livros de Saúde Coletiva
Baixar livros de Serviço Social
Baixar livros de Sociologia
Baixar livros de Teologia
Baixar livros de Trabalho
Baixar livros de Turismo