Download PDF
ads:
UNIVERSIDADE FEDERAL DO RIO GRANDE DO SUL
FACULDADE DE CIÊNCIAS ECONÔMICAS
PROGRAMA DE PÓS-GRADUAÇÃO EM ECONOMIA
ROSANGELA SILVA DE SOUZA
SANEAMENTO BÁSICO NO ESTADO DE RORAIMA:
SITUAÇÃO ATUAL E PERSPECTIVAS
Porto Alegre
2009
ads:
Livros Grátis
http://www.livrosgratis.com.br
Milhares de livros grátis para download.
ROSANGELA SILVA DE SOUZA
SANEAMENTO BÁSICO NO ESTADO DE RORAIMA:
SITUAÇÃO ATUAL E PERSPECTIVAS
Dissertação submetida ao Programa de Pós-
Graduação em Economia da Faculdade de Ciências
Econômicas da UFRGS, como quesito parcial para
obtenção do grau de Mestre em Economia,
modalidade Profissionalizante, do curso de Mestrado
Interinstitucional UFRGS/Universidade Federal de
Roraima.
Orientador: Prof. Dr. Nali de Jesus de Souza.
Porto Alegre
2009
ads:
DADOS INTERNACIONAIS DE CATALOGAÇÃO NA PUBLICAÇÃO (CIP)
Responsável: Biblioteca Gládis W. do Amaral, Faculdade de Ciências Econômicas da UFRGS
S729s Souza, Rosangela Silva de
Saneamento básico no Estado de Roraima : situação atual e perspectivas /
Rosangela Silva de Souza. Porto Alegre, 2009.
64 f. : il.
Orientador: Nali de Jesus de Souza.
Ênfase em Desenvolvimento e Integração Econômica.
Dissertação (Mestrado Profissional em Economia) - Universidade Federal do
Rio Grande do Sul, Faculdade de Ciências Econômicas, Programa de Pós-Graduação
em Economia, Porto Alegre, 2009.
1. Saneamento Básico : Roraima. I. Souza, Nali de Jesus de. II. Universidade
Federal do Rio Grande do Sul. Faculdade de Ciências Econômicas. Programa de Pós-
Graduação em Economia. III. Título.
CDU 332.145(811.4)
ROSANGELA SILVA DE SOUZA
SANEAMENTO BÁSICO NO ESTADO DE RORAIMA:
SITUAÇÃO ATUAL E PERSPECTIVAS
Dissertação submetida ao Programa de Pós-
Graduação em Economia da Faculdade de Ciências
Econômicas da UFRGS, como quesito parcial para
obtenção do grau de Mestre em Economia,
modalidade Profissionalizante, do curso de Mestrado
Interinstitucional UFRGS/Universidade Federal de
Roraima.
Orientador: Prof. Dr. Nali de Jesus de Souza.
Aprovada em 16 de Dezembro de 2009.
_______________________________________________
Prof. Dr. Stefano Florissi
UFRGS
_______________________________________________
Prof. Dr. Paulo Renato Lessa Pinto
FURG
_______________________________________________
Prof. Dr. Alberto Martin Martinez Castañeda
UFRR
Porto Alegre
2009
Aos meus pais Antonio e Eva, ao meu esposo Hudson e a
nossa filha Ana Vitória pelo carinho e compreensão.
AGRADECIMENTOS
Agradeço a DEUS pela oportunidade que me proporcionou de concluir este mestrado.
Ao meu orientador Prof. Dr. Nali de Jesus de Souza, pela orientação, sabedoria e
paciência, meus sinceros agradecimentos.
Aos membros da Banca Prof. Dr. Stefano Florissi, Prof. Júlio César de Oliveira e o
Prof. Dr. Alberto Martinez Castañeda, pelos comentários, críticas e sugestões que
contribuíram para este estudo.
Aos meus pais, Antonio e Eva, pelo apoio e encorajamento diário às minhas
conquistas, além dos meus irmãos: Rosana, Luciana e Márcio, e da minha sobrinha Ana
Beatriz.
Ao meu esposo Hudson pelo incentivo e paciência, especialmente a nossa filhinha Ana
Vitória, que em muitos momentos não foi possível dar-lhes a atenção merecida.
Aos professores deste Mestrado em Economia, pelos ensinamentos e contribuições à
minha formação.
À equipe do Programa de Pós-Graduação em Economia e a Universidade Federal do
Rio Grande do Sul pela oportunidade.
À Universidade Federal de Roraima, especialmente a coordenação e a equipe do
Núcleo de Estudos Comparados da Amazônia/NECAR.
À Superintendência da Zona Franca de Manaus/SUFRAMA e ao Governo do Estado
de Roraima, pela disponibilização dos recursos financeiros necessários à realização deste
mestrado.
Ao Tribunal de Contas do Estado de Roraima, especialmente ao seu Presidente
Conselheiro Manoel Dantas, pelo apoio incondicional.
À Faculdade Atual da Amazônia, especialmente a direção, aos coordenadores dos
Cursos de Administração de Empresas e Ciências Contábeis, e aos professores: Elaine Assis
Melo de Almeida e Raimundo Keller que muito me ajudaram nos momentos em que estive
ausente.
Às instituições locais, em especial a Companhia de Águas e Esgotos de
Roraima/CAER e a Secretaria Estadual do Planejamento e Desenvolvimento SEPLAN/RR,
pela disponibilização de material relacionado ao tema.
Às minhas amigas Elane Vitorino Lima, Perla do Nascimento Gomes, Cristiana
Menezes Leão, Romina Batista de Lucena de Souza e Elizangela Ferreira de Oliveira, que
sempre me incentivaram.
Aos meus colegas de trabalho: Cosme Oliveira da Silva, Pedro Marcos de O. Fortes,
Fátima Bringel e Elizabeth Lomas dos Santos, pelo apoio e incentivo.
Aos colegas do curso de mestrado pela troca de experiências, pelo apoio e
companheirismo, em especial aos amigos: Adriano R. Remor, Emerson C. Arantes, Ingrid C.
Caldas, Luciana S. de Souza, Pedro de J. Cerino, Luciano M. do Amaral, Alcides G. dos
Santos, Carlos E. V. Lopes, Antonio de O. Marques, Romanul de S. Bispo e Salma S. R.
Mendonza.
A todos, carinho e gratidão.
A educação exige os maiores cuidados, porque influi sobre
toda vida.
Séneca.
RESUMO
O objetivo desta dissertação foi mostrar o cenário atual e as perspectivas para o setor de
saneamento básico do Estado de Roraima. Destacou-se o perfil dos serviços de abastecimento
de água, coleta de esgotos e coleta de lixo. Foram utilizadas diversas publicações,
especialmente as do Instituto Brasileiro de Geografia e Estatística/IBGE, com destaque para a
Pesquisa Nacional por Amostra de Domicílios/PNAD e o Censo Demográfico 2000, que
forneceram dados da população urbana do Estado atendida e não atendida pelos serviços de
saneamento básico. Dessa forma, foi realizada a comparação dos resultados obtidos para o
Estado com algumas cidades brasileiras, regiões do país, além de outros países. Sob esse
aspecto, os resultados apurados apontaram que 96,9% dos domicílios urbanos do Estado, são
atendidos pelos serviços de abastecimento de água, superando a realidade nacional. Quanto à
coleta de esgotos, os resultados são preocupantes, uma vez que apenas 17,3% dos domicílios
urbanos do Estado são atendidos por este serviço. Já a coleta de lixo 97,1% dos domicílios
urbanos do Estado possui acesso a esse serviço. Constatou-se, ainda, que a maior parte do lixo
coletado no Estado de Roraima é depositada a céu aberto, sem nenhum tratamento quanto às
questões ambientais. Concluiu-se que a população urbana do Estado de Roraima apresenta
ótimos resultados quanto ao acesso aos serviços de abastecimento de água e coleta de lixo.
Contudo, a mesma situação não é observada quanto ao acesso aos serviços de coleta de
esgotos, onde uma pequena parcela da população urbana é atendida. Nesse sentido, existem
recursos disponíveis para a universalização dos serviços de abastecimento de água e
ampliação do sistema de esgoto sanitário. Entretanto, os recursos destinados a ampliação do
sistema de esgotos ainda não é suficiente para atender a toda a população.
Palavras-chave: Saneamento sico. Abastecimento de água. Coleta de esgotos. Coleta
de lixo.
ABSTRACT
The objective of this thesis was to show the current scenario and prospects for the basic
sanitation sector in the State of Roraima, showing the profile of the following services: water
supply, waste sewage disposal and garbage collection. To obtain the data, various publications
were used , especially the Brazilian Institute of Geography and Statistics (IBGE), highlighting
the National Survey of Home Sampling (PNAD) and the year 2000 Census which
provided data on the urban population of the state with and without sanitation services. Thus,
the results for the state were compared with other Brazilian cities, regions of the country and
other countries. The findings indicate that 96.9% of urban households in the state are served
by the water supply, surpassing the national reality, while the sewage disposal results are
worrisome as only 17.3% of urban households in the state are served. As for garbage
collection, 97.1% of urban households of the state have access to this service. It was further
observed that most of the garbage collected in the state of Roraima is deposited in the open,
without any form of treatment for environmental concerns. It was concluded that the urban
population of the state of Roraima in great part have access to services of water supply and
garbage collection. However, the same was not observed for sewage disposal services, where
only a small portion of the urban population is served. There are resources available for
expanding the water supply to service more households and the expansion of the sewerage
system. However, the resources allocated for the expansion of sewerage system is not
sufficient to meet the demands of the entire state population, and so, the need for a larger
volume of investment.
Keywords: Drainage. Water supply. Waste sewage. Garbage collection.
LISTA DE FIGURAS
Figura 1: Localização da área de estudo - Vista aérea da cidade de Boa Vista, RR..........
37
LISTA DE QUADROS
Quadro 1: Principais doenças relacionadas à água contaminada.......................................
24
Quadro 2: Doenças relacionadas com a ausência de rede de esgotos................................
25
LISTA DE GRÁFICOS
Gráfico 1: População urbana com saneamento sico adequado, Brasil urbano e grandes
regiões (%) 2007.............................................................................................................
Gráfico 2: Percentual de moradores em domicílios particulares permanentes urbanos com
acesso à água canalizada de rede geral, segundo regiões geográficas 2007.......................
Gráfico 3: Percentual de pessoas em domicílios particulares permanentes urbanos com
esgotamento por rede coletora ou fossa séptica, segundo regiões geográficas 2007..........
Gráfico 4: Percentual de pessoas em domicílios particulares permanentes urbanos com
coleta direta ou indireta do lixo, segundo regiões geográficas 2007..................................
Gráfico 5: Composição da população de Boa Vista 1970 2007.........................................
Gráfico 6: Percentual de domicílios com os serviços de abastecimento de água, Brasil,
Região Norte e UF, 2007.......................................................................................................
Gráfico 7: Percentual de domicílios sem os serviços de abastecimento de água, Brasil,
Região Norte e UF, 2007.......................................................................................................
Gráfico 8: Percentual de domicílios particulares permanentes urbanos atendidos com os
serviços de abastecimento de água, Regiões, Brasil e Roraima, 2007...................................
Gráfico 9: Percentual da população urbana com acesso aos serviços de abastecimento de
água por Países, grupo de Países e do Estado de Roraima em 2007......................................
Gráfico 10: Percentual de domicílios particulares permanentes urbanos com os serviços
de coleta de esgotos, Brasil, Região Norte e UF, 2007..........................................................
Gráfico 11: Percentual de domicílios particulares permanentes urbanos sem os serviços
de coleta de esgoto por rede geral, Brasil, Região Norte e UF, 2007....................................
Gráfico 12: Percentual de domicílios particulares permanentes urbanos com os serviços
de coleta de esgoto por região, Brasil e Roraima em 2007....................................................
Gráfico 13: Percentual da população urbana com acesso aos serviços de coleta de esgoto
por Países, grupo de Países e do Estado de Roraima em 2007..............................................
Gráfico 14: Distribuição percentual dos domicílios por existência de coleta direta de lixo,
Brasil, região e UF, 2007.......................................................................................................
Gráfico 15: Distribuição percentual dos domicílios por existência de coleta indireta de
lixo, Brasil, região Norte e UF, 2007.....................................................................................
Gráfico 16: Distribuição percentual dos domicílios por inexistência de coleta de lixo,
Brasil, região Norte e UF, 2007............................................................................................
Gráfico 17: Distribuição percentual dos domicílios por existência de coleta direta de lixo,
Brasil e região, 2007..............................................................................................................
Gráfico 18: Distribuição percentual dos domicílios por existência de coleta indireta de
lixo, Brasil e região, 2007......................................................................................................
Gráfico 19: Distribuição percentual dos domicílios por inexistência de coleta de lixo,
Brasil e região 2007...............................................................................................................
Gráfico 20: Evolução do percentual dos domicílios particulares permanentes urbanos com
acesso aos serviços de abastecimento de água no Estado de Roraima, período
2000/2007...............................................................................................................................
Gráfico 21: Evolução do percentual dos domicílios particulares permanentes urbanos com
acesso aos serviços de esgotamento sanitário no Estado de Roraima, período
2000/2007...............................................................................................................................
LISTA DE TABELAS
Tabela 1: Domicílios particulares permanentes urbanos, total e respectiva distribuição
percentual por existência de serviço de abastecimento de água por rede geral dos estados
da região Norte e Brasil 2007...............................................................................................
41
Tabela 2: Domicílios particulares permanentes urbanos, total e respectiva distribuição
percentual por existência de serviço de abastecimento de água por rede geral das regiões,
Brasil e Roraima em 2007....................................................................................................
43
Tabela 3: Percentual da população urbana com acesso aos serviços de água e esgoto de
Países, grupo de Países e do Estado de Roraima em 2007...................................................
44
Tabela 4: Domicílios particulares permanentes urbanos, total e respectiva distribuição
percentual por existência dos serviços de coleta de esgotos por rede geral, dos estados da
região Norte e Brasil 2007....................................................................................................
46
Tabela 5: Domicílios particulares permanentes urbanos, total e respectiva distribuição
percentual por existência dos serviços de coleta de esgotos por rede geral, das regiões,
Brasil e Roraima em 2007 ...................................................................................................
48
Tabela 6: Domicílios particulares permanentes urbanos, total e respectiva distribuição
percentual por existência de serviço de coleta de lixo dos estados da região Norte 2007...
50
Tabela 7: Domicílios particulares permanentes urbanos, total e respectiva distribuição
percentual por existência de serviço de coleta de lixo das regiões do Brasil em 2007........
52
LISTA DE ABREVIATURAS E SIGLAS
ATRICON Associação dos Membros dos Tribunais de Contas do Brasil
BNH Banco Nacional da Habitação
CAER Companhia de Águas e Esgotos de Roraima
CESB´s Companhias Estaduais de Saneamento
CONSAD Conselho Nacional de Secretários de Administração
EIA Estudos de Impactos Ambientais
FGTS Fundo de Garantia por Tempo de Serviço
FPE Fundo de Participação dos Estados
FUNASA Fundação Nacional de Saúde
IBGE Instituto Brasileiro de Geografia e Estatística
IDH Índice de Desenvolvimento Humano
IDH M Índice Municipal de Desenvolvimento Humano
ODMs Objetivos de Desenvolvimento do Milênio
OECD Organização para a Cooperação e Desenvolvimento Econômico
OMS Organização Mundial de Saúde
ONU Organização das Nações Unidas
PAC Programa de Aceleração do Crescimento
PEA População Economicamente Ativa
PIB Produto Interno Bruto
PLANASA Plano Nacional de Saneamento
PLANSAB Plano Nacional de Saneamento BÁSICO
PNAD Pesquisa Nacional por Amostra de Domicílios
PNS Política Nacional de Saneamento Básico
SEPLAN Secretaria Estadual do Planejamento e Desenvolvimento
FUNDEB Fundo de Manutenção e Desenvolvimento da Educação Básica e de
Valorização dos Profissionais da Educação
ZEE Zoneamento Ecológico Econômico
UNIRENDA Cooperativa dos Amigos, Catadores e Recicladores de Resíduos Sólidos
SUMÁRIO
1 INTRODUÇÃO.........................................................................................
14
1.1 DEFINIÇÃO DO PROBLEMA....................................................................................
15
1.2 OBJETIVOS DO ESTUDO..........................................................................................
15
1.2.1 Objetivos específicos................................................................................................
16
1.3 JUSTIFICATIVA.........................................................................................................
16
1.4 ESTRUTURA DO TRABALHO..............................................................................
17
1.5 METODOLOGIA.......................................................................................................
17
2 REVISÃO DA LITERATURA................................................................
19
2.1CONCEITOS DE DESENVOLVIMENTO ECONÔMICO E
DESENVOLVIMENTO SUSTENTÁVEL........................................................................
19
2.2 A IMPORTÂNCIA DO SANEAMENTO BÁSICO....................................................
22
2.3 DOENÇAS DERIVADAS PELA FALTA DE SANEAMENTO BÁSICO................
23
2.4 SANEAMENTO BÁSICO NO BRASIL......................................................................
26
2.4.1 Breve histórico.........................................................................................................
26
2.4.2 Regulação do setor...................................................................................................
28
2.4.3 Cenário atual do saneamento básico no Brasil......................................................
29
3 SANEAMENTO BÁSICO NO ESTADO DE RORAIMA.....................
33
3.1 CARACTERIZAÇÃO SOCIOECONÔMICA DO ESTADO DE RORAIMA...........
33
3.1.1 Dinâmica Econômica................................................................................................
33
3.1.2 Caracterização socioeconômica do município de Boa Vista.................................
37
3.2 CONTEXTO ATUAL DO SANEAMENTO BÁSICO NO ESTADO DE
RORAIMA.......................................................................................................................
40
3.2.1 Abastecimento de água............................................................................................
41
3.2.2 Coleta de Esgotos......................................................................................................
45
3.2.3 Coleta de lixo ou resíduos sólidos............................................................................
50
3.3 O ESTADO DE RORAIMA E OS OBJETIVOS DE DESENVOLVIMENTO DO
MILÊNIO............................................................................................................................
54
3.3.1 Meta 7C: Reduzir pela metade, até 2015, a proporção da população sem
acesso permanente e sustentável a água potável segura e esgotamento sanitário.......
55
3.4 PERSPECTIVAS PARA O SANEAMENTO BÁSICO NO ESTADO DE
RORAIMA..........................................................................................................................
57
4 CONCLUSÃO............................................................................................
59
REFERÊNCIAS............................................................................................
62
14
1 INTRODUÇÃO
Nas últimas décadas muitas foram as discussões acerca dos conceitos de crescimento e
desenvolvimento econômico. Nessa evolução, verificou se que o crescimento econômico não
poderia mais ser encarado como solução para problemas como pobreza humana, ou seja, o
crescimento por si não é condição suficiente para a promoção do bem-estar humano. Sob
esse aspecto, o desenvolvimento econômico passou a incluir de forma interligada questões
sociais, ambientais, culturais e político-institucionais.
Além disso, ao incluir as questões ambientais surgiu um novo conceito de
desenvolvimento, o chamado desenvolvimento sustentável, que ganhou grande impulso a
nível mundial por conta das preocupações crescentes quanto ao meio ambiente, decorrente do
uso indiscriminado dos recursos naturais indispensável aos diversos processos produtivos.
Desta forma, o mundo se deparou com o seguinte dilema: precisamos crescer e
promover a qualidade de vida da população, porém, em harmonia com a eficiência
econômica, a equidade social e a preservação ambiental.
Nesse processo, o saneamento básico ganhou grande destaque, que busca promover
a qualidade de vida da população, bem como a qualidade ambiental e o próprio
desenvolvimento sustentável.
Sob esse aspecto, vale frisar que a oferta dos serviços de saneamento básico ainda é
precária, o que contribui para a degradação ambiental, por conta da disposição inadequada dos
resíduos sólidos (lixo) e líquidos (esgotos), que além de contaminar o meio ambiente, expõem
a população a diversas doenças.
De modo geral, os investimentos realizados por meio de políticas públicas
direcionadas ao saneamento básico não são suficientes para remediar em quantidade e em
qualidade as demandas necessárias para a redução dos problemas, não apenas os ambientais,
como também os referentes à saúde pública.
Por essas e por outras razões, as questões ligadas ao desenvolvimento humano
ganharam destaque com a Declaração do Milênio, promovida pela Organização das Nações
Unidas (ONU) em setembro de 2000; na oportunidade, 191 países firmaram um compromisso
de promoção da paz, erradicação da pobreza, promoção do desenvolvimento, proteção ao
meio ambiente, direitos humanos e democracia. Surgiu assim os Objetivos de
15
Desenvolvimento do Milênio (ODMs), que definem um conjunto de metas a serem alcançadas
num espaço de tempo determinado.
Entre as metas que compõem os Objetivos de Desenvolvimento do Milênio, merecem
destaque para o presente estudo, as relacionadas aos indicadores que compõe a maior parcela
do saneamento básico: “acesso a água tratada” e “acesso a melhores condições de
saneamento”.
A proposta do presente trabalho consiste em traçar o perfil atual do Estado de Roraima
em relação ao saneamento básico (abastecimento de água, coleta de esgotos e coleta de lixo),
além de destacar as perspectivas para o setor, procurar-se-á, também, apontar a existência ou
não de avanços quanto as metas que compõe os Objetivos de Desenvolvimento do Milênio.
1.1 DEFINIÇÃO DO PROBLEMA
A cada dia, são cada vez mais crescentes as preocupações com os temas relacionados
ao meio ambiente, visto que, atualmente não se discutem apenas as implicações relativas ao
uso dos recursos naturais no curto prazo, com também as conseqüências, no longo prazo,
referentes a forma com que esses recursos finitos são utilizados.
Nesse contexto, inseri se também as preocupações com o saneamento básico e suas
implicações relativas ao meio ambiente, à promoção do bem-estar humano, qualidade
ambiental e Desenvolvimento Sustentável. Visto que, o saneamento tem como objetivo, o
controle e a prevenção de doenças, visando a melhoria da qualidade de vida da população,
bem como, o desenvolvimento da atividade econômica.
Contudo, o saneamento básico em muitos lugares pode ser considerado como artigo de
luxo, já que não possuem acesso a coleta adequada de resíduos sólidos e líquidos, que
contaminam o meio ambiente e expõem as populações a diversas doenças.
Desta forma, este trabalho analisará se as políticas públicas, relativas ao saneamento
básico, praticadas no Estado de Roraima estão contribuindo para melhorar a qualidade de vida
da população e alcançar as metas ligadas ao saneamento básico, estabelecidas nos Objetivos
de Desenvolvimento do Milênio.
1.2 OBJETIVOS DO ESTUDO
Identificar o percentual da população urbana do Estado de Roraima atendida e não
atendida por saneamento básico, com ênfase no sistema de esgoto sanitário.
16
1.2.1 Objetivos específicos
Levantar dados e analisar os resultados para os indicadores relacionados ao
saneamento básico nas áreas de: abastecimento de água potável, sistema de esgotos e coleta
de lixo, comparando com outras cidades brasileiras.
1.3 JUSTIFICATIVA
Tradicionalmente, as ações visando o desenvolvimento econômico têm se centrado
sobre os problemas relativos à pobreza, fome, ensino básico universal, mortalidade infantil e
saúde pública de modo geral. Assim, surgiram programas de saúde materna, combate ao
HIV/AIDS, malária e outras doenças. Também têm sido feitas parcerias em nível mundial
para a promoção da igualdade de gênero e autonomia das mulheres.
Destacam se ainda, as questões relativas à Sustentabilidade Ambiental, que também
são objeto de discussões e debates a nível mundial. Desta forma, estes são os pontos
estabelecidos pela Declaração do Milênio, os chamados Objetivos de Desenvolvimento do
Milênio, que tratam de um esforço mundial para o desenvolvimento humano e sustentável.
Sob esse aspecto, merece destaque a Sustentabilidade Ambiental, que busca a
promoção da integração entre economia e ambiente, visando a melhoria da qualidade de vida
das pessoas. Nesse contexto, destacam se o acesso a melhores condições de saneamento
básico, visto que, o acesso aos serviços de abastecimento de água, coleta de esgotos e coleta
de resíduos sólidos são fatores indispensáveis para a promoção do bem-estar humano de uma
população.
Por estas razões, torna-se claro e evidente a relevância do presente estudo, que visa
apresentar a situação atual do saneamento básico no Estado de Roraima, além das
perspectivas para o setor. Cabe frisar, que o saneamento básico não representa apenas
questões de cunho ambiental, como também destina se a promoção e a melhoria da qualidade
de vida da população.
Antes de iniciar este estudo, a nossa expectativa é a de que o serviço de esgoto
sanitário atenda a um percentual muito baixo da população urbana do Estado de Roraima,
envolvendo basicamente a área central da capital, Boa Vista. Além disso, esperamos que a
maioria da população urbana do Estado de Roraima seja atendida pelos serviços de
abastecimento de água potável e coleta de lixo, com exceção da coleta seletiva que ainda não
é adotada.
17
1.4 ESTRUTURA DO TRABALHO
O presente trabalho está estruturado em quatro capítulos, sendo o primeiro deles essa
introdução. No segundo capítulo apresentam-se os conceitos de desenvolvimento econômico e
desenvolvimento sustentável. Aborda se ainda, a importância do saneamento básico para o
bem-estar humano de uma sociedade, bem como, as principais doenças derivadas pela falta de
saneamento básico.
O segundo capítulo trás ainda, o saneamento básico no Brasil, com um breve histórico,
destacando se, a regulação do setor, além do cenário atual do saneamento básico no país. Em
linhas gerais, esses tópicos compõem a base teórica que deu origem a realização deste estudo.
Já o terceiro capítulo trata do saneamento básico no Estado de Roraima, e
inicialmente, expõe uma caracterização socioeconômica do Estado, com destaque para a
capital, Boa Vista. Em seguida, aborda se o contexto atual do saneamento básico no Estado de
Roraima, com a apresentação dos resultados referentes aos serviços de: abastecimento de
água, coleta de esgotos e coleta de lixo.
O terceiro capítulo aborda ainda, o Estado de Roraima quanto aos Objetivos de
Desenvolvimento do Milênio, com ênfase no saneamento básico. Ao fim do capítulo,
apresentam se as perspectivas para o Saneamento Básico no Estado de Roraima. Por fim, no
quarto capítulo, são apresentadas às conclusões do estudo.
1.5 METODOLOGIA
O tipo de pesquisa a ser utilizado neste estudo, será o levantamento de dados, cujo
objetivo é a verificação da situação atual e das perspectivas para o Saneamento Básico no
Estado de Roraima, bem como a evolução do setor. Nesse caso, será necessária uma análise
dos serviços existentes: abastecimento de água, coleta de esgotos e coleta de lixo.
Quanto aos objetivos, a presente pesquisa é classificada como descritiva, que busca
expor a situação dos serviços ligados ao saneamento básico no Estado de Roraima, de forma a
identificar o percentual da população que possui acesso a estes serviços, bem como o
percentual da população sem acesso aos serviços de saneamento básico. Além disso, busca se
identificar os avanços do setor quanto aos Objetivos de Desenvolvimento do Milênio, bem
como as perspectivas para o alcance das metas do milênio relativas ao saneamento básico.
Para tanto vamos usar a Pesquisa Nacional por Amostra de Domicílios PNAD, que
faz parte do sistema de pesquisas domiciliares, que foi implantado no Brasil a partir de 1967,
18
cuja finalidade é a produção de informações básicas para o estudo do desenvolvimento
socioeconômico do Brasil.
A PNAD refere se a um sistema de pesquisa por amostra de domicílios, que possui
inúmeros propósitos, como a investigação de diversas características socioeconômicas, tanto
de caráter permanente nas pesquisas (como as características gerais da população, de
educação, trabalho, rendimento e habitação), como também outras de periodicidade variável
(como as características sobre imigração, fecundidade, nupcialidade, saúde, nutrição), além de
outros temas que são incluídos no sistema de acordo com as necessidades de informação do
País.
Sob esse aspecto, o presente trabalho utilizou a Pesquisa Nacional por Amostra de
Domicílio nos anos de 2001 a 2007, especialmente o último ano, como parâmetro para retratar
a situação atual das variáveis analisadas, utilizando se como amostra a população urbana do
Estado de Roraima. Vale destacar, que o Censo Demográfico 2000 também foi utilizado, com
o objetivo de traçar a evolução do setor, quanto as metas do milênio, através da elaboração de
uma série histórica compreendida entre os anos de 2000, ano da Declaração do Milênio, e
2007, último ano de análise.
Além disso, a coleta de dados secundários ocorreu por meio de pesquisa documental,
através de trabalhos científicos, arquivos públicos, particulares, fontes estatísticas, bem como
publicações realizadas pela Secretaria Estadual de Planejamento e Desenvolvimento
SEPLAN.
19
2 REVISÃO DA LITERATURA
Este capítulo tem por objetivo fazer uma revisão geral da literatura, acerca dos
conceitos de desenvolvimento econômico e desenvolvimento sustentável; discorrer sobre a
importância do saneamento básico na vida das pessoas; mostrar as doenças derivadas pela
falta de saneamento, além de comentar sobre a situação do saneamento básico no Brasil.
2.1 CONCEITOS DE DESENVOLVIMENTO ECONÔMICO E
DESENVOLVIMENTO SUSTENTÁVEL
O processo de construção e evolução do conceito de desenvolvimento passou por
várias correntes, desde economistas de inspiração mais teórica, como: Meade, Solow, Harrod,
Domar e Kaldor, que defendiam que o crescimento é o mesmo que desenvolvimento, até
economistas de inspiração mais ortodoxa, como: Lewis (1969), Hirschman (1974), Myrdal
(1968) e Nurkse (1957), que entendiam que o crescimento não é uma condição suficiente,
porém, indispensável para o desenvolvimento (SOUZA, 2005, p. 5). Assim:
Para os economistas que associam crescimento com desenvolvimento, um país é subdesenvolvido
porque cresce menos do que os desenvolvidos, embora apresente recursos ociosos, como terra e
mão-de-obra. Ele não utiliza integralmente os fatores de produção de que dispõe e, portanto, a
economia expande-se abaixo de suas possibilidades (Souza, 2005, p. 7).
Porém, cabe destacar que, quando crescimento econômico, definido por
variações quantitativas nos níveis de produção de uma nação, esse crescimento por si não
gera desenvolvimento econômico.
Em outras palavras, se a riqueza gerada por esse crescimento econômico não for bem
distribuída entre a população; não havendo a distribuição homogênea dessa riqueza através de
mudanças qualitativas na vida da população não ocorrerá desenvolvimento econômico.
Desta forma, apesar de não haver um consenso universal sobre o conceito de
desenvolvimento econômico, este pode ser definido como: um processo contínuo de
crescimento econômico acompanhado de mudanças qualitativas nos níveis de bem-estar de
uma população.
Em linhas gerais, pode-se afirmar que uma economia pode crescer sem se desenvolver,
20
o que torna o crescimento econômico uma condição indispensável para o desenvolvimento
econômico, porém, não suficiente. Em outras palavras Souza (2005, p. 7) assim define:
Desenvolvimento econômico define-se, portanto, pela existência de crescimento econômico
contínuo (g), em ritmo superior ao crescimento demográfico (g*), envolvendo mudanças de
estruturas e melhoria de indicadores econômicos, sociais e ambientais. Ele compreende um
fenômeno de longo prazo, implicando o fortalecimento da economia nacional, a ampliação da
economia de mercado, a preservação do meio ambiente.
Com o tempo, a preocupação com o meio ambiente tomou grandes dimensões, isso
decorrente do uso muitas vezes indiscriminado dos recursos naturais escassos, necessários aos
diversos processos produtivos e indispensáveis ao processo de crescimento econômico.
De outra forma, o crescimento econômico proporciona melhores condições de vida
para a população que por conta disso passa a consumir maiores quantidades de bens e serviços
necessários à satisfação de suas necessidades, que a cada dia se renovam; de outro lado, tem-
se como conseqüência sérios problemas ambientais como desmatamento de florestas,
ocupação desordenada do solo, exaustão de reservas minerais, extinção de certas espécies de
peixes e danos causados à saúde humana decorrente dos poluentes no ar, água e solos.
Apropriadamente, Souza (2005, p. 7) acrescenta:
Uma definição mais completa de desenvolvimento envolve, além da melhoria de indicadores
econômicos e sociais, a questão do meio ambiente. Com o tempo, o crescimento econômico tende
a esgotar os recursos produtivos escassos, através de sua utilização indiscriminada.
As preocupações com o meio ambiente proporcionaram, assim, a construção de um
novo conceito de desenvolvimento: o desenvolvimento sustentável. Com o tempo, o conceito
de desenvolvimento econômico começou a sofrer transformações com a Conferência de
Estocolmo sobre Ambiente Humano, em 1972, além de outras reuniões que introduziram
temas como pobreza humana e degradação ambiental.
Mais tarde, em 1987, foi apresentado o conceito de desenvolvimento sustentável,
através do Relatório Nosso futuro comum, da Comissão Mundial do Meio Ambiente, como
aquele que atende às necessidades do presente sem comprometer a possibilidade de as
gerações futuras atenderem suas próprias necessidades”.
A abrangência do conceito de desenvolvimento sustentável está além do atendimento
das necessidades das gerações do presente e das gerações futuras, segundo Panayotou (1994),
é uma questão de custo e eficiência em vez de taxa e de velocidade de crescimento”, isto é, a
avaliação dos custos e benefícios do desenvolvimento.
O que ocorre é que o crescimento por si só não garante a sustentabilidade, que deve vir
21
acompanhado da diminuição da pobreza, redução da fertilidade, além de uma procura
coerente por qualidade ambiental e os recursos disponíveis. Para Ximenes (1997, p. 3),
desenvolvimento sustentável traduz se num processo sócio-econômico, ecologicamente
sustentável e socialmente justo.
Em linhas gerais, essas discussões refletem os desencontros e dificuldades a respeito
da construção desse conceito. Segundo Benchimol (2001) trata-se de um pleonasmo, visto que
o crescimento econômico refere-se à expansão da produção econômica, no sentido de ficar
maior em termos quantitativos; por outro lado, desenvolvimento necessita de mais qualidade;
isto é, trata-se de produção maior, porém incorporando valores extra-econômicos como
sociais, políticos, biológicos, físicos e éticos.
De qualquer forma, é evidente a preocupação com questões ambientais, visto que um
dos poucos problemas tão comuns a todas as nações, independente da situação econômica, diz
respeito à degradação ambiental.
Na realidade, conciliar expansão econômica e preservação ambiental representa um
dos grandes desafios econômicos do mundo atual, uma vez que os recursos naturais são
fatores de produção, que são transformados, gerando bem-estar, através do consumo de bens e
serviços pelos agentes econômicos.
A questão é que esse consumo, tanto pelos consumidores, quanto pelos produtores,
gera poluição e prejuízos à natureza. Um exemplo disso são as liberações de gases produzidos
pelas grandes indústrias que geram poluição atmosférica, contribuindo para o aquecimento
global. O fato da poluição gerada pelas indústrias prejudicar a saúde e o bem-estar das
pessoas constitui exemplo claro de externalidade negativa.
Políticas públicas que incorporem os princípios de sustentabilidade e contenham a degradação
ambiental podem contribuir para a erradicação da pobreza e da fome, pois a geração e a
distribuição de riquezas requerem uma base de recursos naturais suficientes e sustentável (UNB,
2004, p. 14).
Observa-se que a sustentabilidade ambiental contribui para atingir objetivos como a
erradicação da fome e da pobreza e melhorar a educação e a saúde, uma vez que se baseia se
em dimensões como o acesso à água potável, saneamento básico e moradias decentes. Por
essas e por outras razões é evidente que os princípios do desenvolvimento sustentável devem
ser incorporados nas políticas públicas, visando a reverter a perda de recursos naturais e
melhorar a qualidade de vida das pessoas.
22
2.2 A IMPORTÂNCIA DO SANEAMENTO BÁSICO
O desenvolvimento sustentável depende do tratamento do lixo e do esgoto urbano. Da
mesma forma, o desenvolvimento como um todo depende da melhoria das condições de saúde
e de bem estar da população que pode proporcionar o saneamento básico.
Ao longo do tempo o saneamento básico ganhou destaque mundial devido a sua
relevância quanto à promoção do bem-estar humano, qualidade ambiental e Desenvolvimento
Sustentável.
Segundo Oliveira et al (2003, p. 14) o saneamento básico possui como objetivo o
controle dos fatores que afetam o ambiente físico, trazem prejuízos à saúde e reduzem a
marcha de desenvolvimento da comunidade. Os autores ainda destacam que para tanto o
saneamento básico deve:
garantir o abastecimento de água potável suficiente e adequada ao consumo;
promover a drenagem e a disposição de águas residuais;
o esgotos sanitários;
o resíduos líquidos industriais;
o águas pluviais;
promover acondicionamento, coleta, transporte, tratamento e/ou destino do lixo e
limpeza urbana;
combater a poluição das águas, do ar e do solo;
controlar a qualidade dos alimentos;
garantir o saneamento de locais de trabalho, escolas, hospitais, habitações, clubes,
restaurantes, etc.;
sanear os meios de transporte;
cuidar do saneamento e do planejamento territoriais;
garantir o saneamento nas situações de emergência: enchentes, terremotos, etc.;
controlar vetores (roedores e artrópodes) causadores de zoonoses;
controlar a poluição sonora.
A água por si representa um recurso natural de grande importância para a nossa
sobrevivência. A cada dia cresce a preocupação com a forma com que esse recurso finito é
administrado; e sem dúvida alguma, o acesso à água tratada e segura representa um
importante indicador de qualidade de vida.
23
Além disso, para a promoção e a proteção das condições de saúde, através do controle
para a redução de doenças provenientes de águas contaminadas, o acesso a um sistema de
saneamento básico eficiente se projeta como fator primordial para a promoção do bem-estar
humano de uma sociedade.
Cabe destacar que, nos anos mais recentes, o mundo tem se voltado para questões
ligadas à Sustentabilidade Ambiental, e para tanto se faz necessário promover a integração
entre economia e ambiente, de maneira a melhorar a qualidade de vida das pessoas, através do
envolvimento de toda sociedade. Sob este aspecto, o ponto de start são as questões ligadas à
melhoria da qualidade de vida da população, como acesso a melhores condições de
saneamento básico.
Em outras palavras, observou-se que as atividades de saneamento objetivam o controle
e a prevenção de doenças, que proporcionam a melhoria da qualidade de vida da população, o
aumento da produtividade dos indivíduos e o desenvolvimento da atividade econômica.
Em suma, o saneamento básico está voltado especificamente para os serviços de:
abastecimento de água;
disposição de esgotos sanitários;
acondicionamento, coleta, transporte e destinação do lixo.
2.3 DOENÇAS DERIVADAS PELA FALTA DE SANEAMENTO BÁSICO
Apesar da incontestável importância de um sistema de saneamento básico eficiente,
este em muitos lugares pode ser considerado um artigo de luxo, que muitos não possuem
acesso a coleta adequada de resíduos sólidos e líquidos, que contaminam o meio ambiente e
expõem as populações a diversas doenças.
A água destinada ao consumo humano necessita de tratamento adequado, visando
obedecer a padrões de potabilidade; é a chamada água potável. Desta forma, a água é
considerada poluída quando ela possui substâncias que modificam os padrões de potabilidade;
essas substâncias geralmente indicam poluição através de matérias orgânicas, como
compostos nitrogenados, oxigênio consumido e cloretos.
Cabe destacar que ainda não é possível tratar água de esgoto com o intuito de torná-la
potável, por que todos os métodos disponíveis possuem limitações. Esses métodos vão desde
uma simples fervura, chegando até a correção de dureza e corrosão. Além disso, as estações
de tratamento de água se valem de diversas fases de decantação e filtração, bem como de
cloração.
24
No que tange ao esgoto, os dejetos são constituídos de materiais rejeitados ou mesmo
eliminados decorrentes da atividade normal de uma comunidade. O sistema de esgotos possui
como objetivo afastar a possibilidade de contato de despejos, esgotos e dejetos humanos com
a população, as águas de abastecimento, os vetores de doenças e os alimentos.
Em outras palavras, o sistema de esgotos ajuda a reduzir as despesas com o tratamento
da água destinada ao abastecimento da população. Reduz também as despesas com as doenças
ocasionadas pelo contato humano com os dejetos, como também com o controle da poluição
das praias.
Vale destacar que a diferença entre a água e o esgoto é a quantidade de
microorganismos, que no caso do esgoto é infinitamente maior. O quadro a seguir expõe as
principais doenças relacionadas à água contaminada:
GRUPO DE
DOENÇAS
FORMAS DE
TRANSMISSÃO
PRINCIPAIS
DOENÇAS
FORMAS DE
PREVENÇÃO
Transmitidas pela via
feco-oral (alimentos
contaminados por
fezes).
O organismo patogênico
(agente causador da doença)
é ingerido.
- Diarréias e disenterias,
como a lera e a
giardíase;
- Leptospirose;
- Amebíase;
- Hepatite infecciosa
- Proteger e tratar as
águas de abastecimento e
evitar o uso de fontes
contaminadas;
- Fornecer água em
quantidade adequada e
promover a higiene
pessoal, doméstica e dos
alimentos.
Controladas pela
limpeza com água.
A falta de água e a higiene
pessoal insuficiente criam
condições favoráveis para
sua disseminação.
Infecções na pele e nos
olhos, como o tracoma e o
tifo relacionado com
piolhos, e a escabiose.
Fornecer água em
quantidade adequada e
promover a higiene
pessoal e doméstica.
Associadas à água
(uma parte do ciclo de
vida do agente
infeccioso ocorre em
um animal
aquático).
O patogênico penetra pela
pele ou é ingerido.
Esquistossomose
- Adotar medidas
adequadas para a
disposição de esgotos;
- Evitar o contato de
pessoas com águas
infectadas;
- Proteger mananciais;
-Combater o hospedeiro
intermediário.
Transmitidas por
vetores que se
relacionam com a
água.
As doenças são propagadas
por insetos que nascem na
água ou picam perto dela.
- Malária;
- Febre amarela;
- Dengue;
- Elefantíase.
- Eliminar condições que
possam favorecer
criadouros;
- Combater os insetos
transmissores;
- Evitar o contato com
criadouros;
- Utilizar meios de
proteção individual.
Quadro 1: Principais doenças relacionadas à água contaminada.
Fonte: Manual de Saneamento e Proteção Ambiental para os Municípios, vol. II. Fundação Estadual de Meio
Ambiente do Estado de Minas Gerais, 1995. Extraído de:
http://www.esgotoevida.org.br/download/dossie_saneamento.pdf. Acesso em: 10 out. 2008.
25
Outro ponto importante refere-se ao lixo, que contribui para a poluição ambiental, seja
através da proliferação de moscas, baratas, ratos e outros vetores que se alimentam do lixo,
aumentando a incidência de zoonoses; ou ainda, através da contaminação do solo, da água,
dos animais, dos alimentos e dos manipuladores do lixo que proporcionam a disseminação de
doenças.
Por essas razões, o acondicionamento, a coleta, o transporte e o destino final do lixo
são imprescindíveis para a redução dos problemas relacionados à saúde pública. O quadro a
seguir expõe as principais doenças relacionadas com a ausência de Rede de Esgotos:
GRUPO DE
DOENÇAS
FORMAS DE
TRANSMISSÃO
PRINCIPAIS
DOENÇAS
FORMAS DE PREVENÇÃO
Feco-orais
(não bacterianas).
Contato de pessoa para
pessoa, quando não se
tem higiene pessoal e
doméstica adequada.
- Poliomielite;
- Hepatite tipo A;
- Giardíase;
- Disenteria amebiana;
- Diarréia por vírus.
- Melhorar as moradias e as
instalações sanitárias;
- Implantar sistema de
abastecimento de água;
- Promover a educação sanitária.
Feco-orais
(bacterianas).
Contato de pessoa para
pessoa, ingestão e
contato com alimentos
contaminados e contato
com fontes de águas
contaminadas pelas
fezes.
- Febre tifóide;
- Febre paratifóide;
- Diarréias e disenterias
bacterianas, como a
cólera.
- Implantar sistema adequado de
disposição de esgotos;
- Melhorar as moradias e as
instalações sanitárias;
- Implantar sistema de
abastecimento de água;
- Promover a educação sanitária.
Helmintos
transmitidos pelo
solo.
Ingestão de alimentos
contaminados e contato
da pele com o solo.
- Ascaridíase (lombriga);
- Tricuríase;
- Ancilostomíase
(amarelão).
- Construir e manter limpas as
instalações sanitárias;
- Tratar os esgotos antes da
disposição no solo;
- Evitar contato direto da pele
com o solo (usar calçado).
Tênias (solitárias)
na carne de boi e de
porco.
Ingestão de carne mal
cozida de animais
infectados.
- Teníase;
- Cisticercose.
- Construir instalações sanitárias
adequadas;
- Tratar os esgotos antes da
disposição no solo;
- Inspecionar a carne e ter
cuidados na sua preparação.
Helmintos
associados à água.
Contato da pele com
água contaminada.
Esquistossomose
- Construir instalações sanitárias
adequadas;
- Tratar os esgotos antes do
lançamento em curso d´água;
- Controlar os caramujos;
- Evitar o contato com água
contaminada.
Insetos vetores
relacionados com as
fezes.
Procriação de insetos
em locais
contaminados pelas
fezes.
Filariose (elefantíase)
- Combater os insetos
transmissores;
- Eliminar condições que possam
favorecer criadouros;
- Evitar o contato com criadouros
e utilizar meios de proteção
individual.
Quadro 2: Doenças relacionadas com a ausência de rede de esgotos.
Fonte: Manual de Saneamento e Proteção Ambiental para os Municípios, vol. II. Fundação Estadual de Meio
Ambiente do Estado de Minas Gerais, 1995. Extraído de:
http://www.esgotoevida.org.br/download/dossie_saneamento.pdf. Acessado em : 10 out. 2008.
26
Em suma, todas as atividades de saneamento básico, seja o abastecimento de água
potável, o sistema de esgotos ou a coleta de lixo, buscam o controle e a prevenção de doenças,
objetivando a melhoria da qualidade de vida e o bem-estar da população.
2.4 SANEAMENTO BÁSICO NO BRASIL
Nesta seção, será apresentado um breve histórico do saneamento básico, além de
comentar sobre a regulamentação do setor, bem como do cenário atual que este se encontra.
2.4.1 Breve histórico
Essencialmente, o saneamento básico no Brasil ganha infra-estrutura e importância no
início do século XVIII, especialmente a partir da chegada da família real portuguesa,
restringindo se a coleta de águas pluviais. Nesse período tornou se evidente a necessidade de
uma infra-estrutura adequada às novas necessidades da população urbana que crescia a passos
largos, por conta da ascensão de várias localidades a categoria de províncias. Surgindo assim,
as bicas d’água, buracos na terra onde jorrava água, que era coletada e revendida à população
por algumas pessoas conhecidas como pipeiros. Destaca-se ainda, um avanço tecnológico no
setor, com a construção de chafarizes com torneiras.
Contudo, em meados do século XIX, com o começo do processo de industrialização,
além da crescente urbanização das cidades, houve grande dificuldade no abastecimento de
água, bem como a piora na sua qualidade, por conta da falta de planejamento urbano
adequado, resultando assim, na aceleração do processo de degradação ambiental, refletindo na
qualidade de vida da população, situação esta, agravada pela ausência de políticas públicas e
inexistência de investimentos para o setor.
Segundo CAVALCANTI (1987) citado por BIANCHI (2007, p. 20):
A problemática dos investimentos em serviços de saneamento básico no Brasil está intimamente
ligada ao início da industrialização brasileira, a partir da metade do século XIX, quando o
desenvolvimento da construção civil nacional foi mais intenso, com os surgimentos das primeiras
estradas de ferro, estradas de rodagem, do desenvolvimento da construção naval, aeroportos,
iluminação pública, transportes urbanos etc.
No período compreendido entre o fim do Império e início da República os serviços de
utilidade pública, bem como o comércio passam a ser subordinados ao capital estrangeiro,
especialmente inglês, com concessões à iniciativa privada. Nesse contexto, o Rio de Janeiro
27
foi a quinta cidade no mundo a adotar um sistema de coleta de esgoto moderno, concluído em
1864.
Cabe frisar, que as redes para abastecimento de água e de esgoto sanitário cobriam
apenas o perímetro urbano, além disso, atendiam uma pequena parcela da população, e que tal
situação se prolongou até as primeiras décadas do século XX.
O declínio da influência do capital estrangeiro no campo das concessões dos serviços
públicos ocorre após a Guerra Mundial, gerado principalmente pela insatisfação
generalizada pela falta de investimentos necessários a ampliação das redes públicas de
saneamento, bem como pelo descontentamento com o atendimento prestado à população.
Cabe destacar, que o início do saneamento no Brasil ocorre por volta de 1930, a partir
do surgimento das primeiras companhias de saneamento básico, formadas essencialmente por
associações entre governos locais e engenheiros, onde todas as capitais possuíam sistemas
de distribuição de água e coleta de esgotos.
Com o surgimento de novos municípios nos anos 30 e 40 do século XX, há a
ampliação e estabilização das instituições públicas responsáveis pelo saneamento. E em 1933,
há a aprovação pelo Congresso Nacional, do primeiro código nacional da água.
na década de 1950, o país passa pelo agravamento de conflitos sociais, o aumento
da pobreza, a deterioração da qualidade de vida e grande concentração populacional, além
disso, o quadro se agrava ainda mais pela exaustão contínua dos recursos naturais. Nesse
contexto, a necessidade de sistemas adequados de saneamento básico se projeta como ponto
relevante para impulsionar o desenvolvimento nacional, em outras palavras, um
desenvolvimento com infra-estrutura.
Em 1967 o saneamento básico passou a ser tratado em grande escala, pelo Banco
Nacional da Habitação BNH, o qual direcionava os recursos do Fundo de Garantia por
Tempo de Serviço FGTS para a habitação e o saneamento, através do Plano Nacional de
Saneamento - PLANASA, o qual é considerado um marco importante da história do
saneamento básico no Brasil. No mesmo período surgem as Companhias Estaduais de
Saneamento (CESB´s), que começam a prestar serviços aos municípios.
O PLANASA tinha como principal objetivo a promoção da auto-sustentação
financeira do sistema, bem como a eliminação do déficit no setor de saneamento básico,
porém, não ocorreu como o esperado, que vários municípios não aderiam ao plano, e
optaram por manter seus sistemas autônomos. Entretanto, o PLANASA é ainda hoje
considerado a política mais atuante aplicada no país, e que ainda define o modelo institucional
predominante do setor.
28
2.4.2 Regulação do setor
Até bem pouco tempo o Brasil não possuía em sua estrutura institucional uma
preocupação com o saneamento ambiental de forma mais ampla.
Esse cenário vem sofrendo alterações desde a aprovação da Lei de Diretrizes de
Saneamento Básico Lei nº. 11.445/2007, cujo principal enfoque está nas diretrizes, que
devem ser observadas por todos os prestadores, reguladores e usuários. Aliada a Lei de
Diretrizes de Saneamento Básico, está a Política Nacional de Saneamento Básico PNS, que
vincula somente a Administração Pública Federal aos seus preceitos.
A Lei 11.445/07 em seu artigo define saneamento básico como o conjunto dos
serviços, infra-estruturas e instalações operacionais de abastecimento de água potável;
esgotamento sanitário; limpeza urbana e manejo de resíduos sólidos; drenagem e manejo de
águas pluviais.
Essencialmente, tanto a Lei de Diretrizes de Saneamento Básico, como a Política
Nacional de Saneamento estabelecem fundamentos de como Município, Estado e a
Administração Federal devem agir e delegar poderes, isto é, buscam harmonizar as ões
municipais, estaduais e federais quanto ao saneamento ambiental, tornando possível a
colaboração, a cooperação, bem como a solidariedade entre os entes federados, visando a
solução de vários problemas atuais, em especial os que envolvem estados e municípios de
regiões metropolitanas.
A estatização do setor de saneamento básico não é imposta através das diretrizes, estas
apenas criam um ambiente de regulação, em que devem se subordinar todos os prestadores de
serviços sejam eles estaduais, municipais, privados ou de economia mista. O foco da
regulação é o planejamento, que deve orientar os investimentos e as ações dos prestadores dos
serviços, e os planos precisam ser elaborados de forma pública, transparente e com a
participação da sociedade popular, através de audiências e de consultas públicas.
Em conjunto com o planejamento, a Lei de Diretrizes prevê ainda, que cada titular
deve editar legislação sobre os serviços, de forma a definir os direitos e obrigações dos
usuários e dos prestadores, além de um sistema de regulação de natureza técnica, contudo,
mas aberto ao controle social.
Além da Lei de Diretrizes merece destaque a aprovação da Lei 11.107/05 Lei
Nacional de Consórcios Públicos, que trata da gestão associada dos serviços, e que induz a
novos formatos associativos entre municípios ou entre estes e os estados, buscando o
29
planejamento, implementação e manutenção das infraestruturas dos sistemas de saneamento,
visando maior sustentabilidade aos investimentos necessários para o setor.
Outro ponto relevante para a regulação do setor de saneamento refere se ao projeto de
lei sobre os resíduos sólidos, que trata da Política Nacional de Resíduos Sólidos, que quando
for aprovado, completará a lei de saneamento, que contempla diretrizes específicas para o
campo dos resíduos urbanos, com destaque nos chamados “3Rs” (reduzir, reutilizar e
reciclar).
Nesse contexto, cabe destacar a criação do Ministério das Cidades, o que representa
um grande avanço para o desenvolvimento do setor de saneamento básico. Cabe ao Ministério
das Cidades tratar da política de desenvolvimento urbano e das políticas setoriais de
habitação, saneamento ambiental, transporte urbano e trânsito, isto é, articular as políticas
públicas da União para os nossos municípios. As atribuições do Ministério das Cidades são
reforçadas pelo artigo 52 da Lei 11.445/07, o qual atribui ao Governo Federal, sob a
coordenação do Ministério das Cidades, a elaboração do Plano Nacional de Saneamento
Básico.
2.4.3 Cenário atual do saneamento básico no Brasil
Segundo a Síntese dos Indicadores Sociais 2008: uma análise das condições de vida da
população brasileira, divulgada pelo Instituto Brasileiro de Geografia e Estatística IBGE, o
saneamento adequado ou completo pode ser entendido como aquele que compreende de
forma simultânea, o abastecimento de água por rede geral com canalização interna, ligado à
rede geral de esgotamento sanitário e/ou rede pluvial, e o serviço de coleta de lixo diretamente
no domicílio.
Dessa forma, os dados da última Pesquisa Nacional por Amostra de Domicílios
PNAD, edição 2007, apontam que quase 76% da população urbana do país possui acesso
simultâneo aos serviços de água canalizada de rede geral, esgoto por rede geral ou fossa
séptica e coleta direta ou indireta de lixo, o que em outras palavras significa que
aproximadamente 24% da população urbana do país não dispõe de tais serviços.
Tomadas uma a uma, os valores observados para as diferentes regiões revelam grandes
distorções, como por exemplo, a região Sudeste, uma região densamente povoada e com
maior grau de desenvolvimento, apresenta cerca de 91% de sua população com cobertura dos
serviços de saneamento básico, ao passo que na região Norte apenas 43,3% de sua população
possui acesso a esses serviços. Assim, vejamos o Gráfico 1:
30
Gráfico 1: População urbana com saneamento básico adequado, Brasil urbano e grandes
regiões (%) 2007.
Fonte: IPEA PNAD 2007: Primeiras Análises.
Quando analisado o acesso aos serviços de forma separada, é possível observar que o
Brasil apresenta 75% da população urbana com acesso à água canalizada de rede geral, além
disso, as desigualdades regionais ainda persistem, como pode ser notado nas regiões Sul e
Sudeste, que apresentam valores acima dos 95% da população urbana com cobertura de água,
em compensação a região Norte apresenta apenas 63,2% de cobertura, o que representa uma
diferença de mais de 30 pontos percentuais. Quanto às demais regiões, vejamos o Gráfico 2:
Gráfico 2: Percentual de moradores em domicílios particulares permanentes urbanos com
acesso à água canalizada de rede geral, segundo regiões geográficas 2007.
Fonte: IPEA PNAD 2007: Primeiras Análises.
Cabe destacar que com base nos dados da PNAD 2007, quanto ao acesso de água
potável nas áreas urbanas, que o Brasil alcançou a meta 10 dos Objetivos de
Desenvolvimento do Milênio (reduzir à metade, até 2015, a proporção da população sem
31
acesso a água potável e esgotamento sanitário), já que 91,3% dos moradores em cidades
dispõem de água canalizada de rede geral no interior do domicílio, porém ainda um déficit
absoluto de 13,8 milhões de pessoas nas áreas urbanas sem acesso à água canalizada de rede
geral.
Quanto ao acesso ao esgotamento sanitário, este vem apresentando melhora em seus
indicadores, por conta do aumento substancial do volume de recursos do Programa de
Aceleração do Crescimento PAC, destinados ao saneamento básico; disso resultou no
aumento de 3 pontos percentuais na proporção da população urbana do país com acesso à rede
coletora de esgoto em relação ao ano anterior, o que representa 57,4% da população urbana
atendida. Entretanto, apesar dos avanços o Brasil ainda apresenta um déficit absoluto desses
serviços nas áreas urbanas de mais de 30 milhões de pessoas.
Contudo, a exemplo do que ocorre no acesso água, as desigualdades regionais urbanas
também estão presentes no quesito esgoto. Segundo dados da PNAD 2007, quanto ao acesso
ao esgotamento sanitário do tipo rede geral de esgoto por fossa séptica, a região Centro-Oeste
com 52,3% da população urbana atendida, é a região com o pior desempenho, comparado a
cobertura das regiões Norte e Nordeste que apresentam 63,8% e 68,4%, respectivamente.
Nesse contexto, o Brasil apresenta 81% de sua população urbana com cobertura de coleta de
esgoto por fossa séptica e as regiões Sul e Sudeste passam dos 85% de cobertura, como pode
ser observado no Gráfico 3:
Gráfico 3: Percentual de pessoas em domicílios particulares permanentes urbanos com
esgotamento por rede coletora ou fossa séptica, segundo regiões geográficas 2007.
Fonte: IPEA PNAD 2007: Primeiras Análises.
Quanto aos serviços de coleta direta e indireta dos resíduos sólidos, o Brasil apresenta
uma cobertura de 97,6% da população urbana, destes 90% de forma direta e 7,6% de forma
indireta. Esses serviços estão disponíveis para menos de 27% da população da zona rural,
32
onde a maior parte dos resíduos sólidos é queimada ou enterrada, ou mesmo jogada em
terrenos baldios ou logradouros. Vale frisar que o déficit absoluto na coleta de lixo em 2007,
era de 3,7 milhões de pessoas.
As desigualdades regionais são bem menos acentuadas no caso da coleta dos resíduos
sólidos, entretanto as regiões Sul e Sudeste apresentam os maiores níveis de coleta, como
pode ser observado no gráfico 4:
Gráfico 4: Percentual de pessoas em domicílios particulares permanentes urbanos com coleta
direta ou indireta do lixo, segundo regiões geográficas 2007.
Fonte: IPEA PNAD 2007: Primeiras Análises.
Essencialmente, o Brasil apresenta níveis de desigualdades regionais consideráveis
quanto a cobertura dos serviços de acesso à água potável, coleta de esgotos e coleta de lixo, e
os déficits desses serviços são significativos, especialmente quanto aos serviços de coleta de
esgotos, o que requer que o poder público atue de forma a minimizar tais distorções.
Nesse contexto, torna se evidente o papel do Governo Federal na elaboração do Plano
Nacional de Saneamento - PLANSAB, conforme dispõe o artigo 52 da Lei nº 11.445/07 Lei
de Diretrizes de Saneamento Básico, que atualmente dispõe de grupos de trabalho
empenhados na sua elaboração. Além disso, vale frisar o compromisso do Brasil com os
Objetivos de Desenvolvimento do Milênio das Nações Unidas, nesse sentido, o país deve se
mobilizar para o alcance da meta ligada ao saneamento que é de até 2015 de reduzir pela
metade a proporção de pessoas que não possuem acesso aos serviços de saneamento.
Quanto aos investimentos para o setor, merece destaque o Programa de Aceleração do
Crescimento PAC, onde a previsão da disponibilização de recursos superiores a R$ 40
bilhões no período compreendido entre 2007 e 2010, o que sem dúvida alguma será capaz de
alterar de forma significativa o cenário atual do saneamento básico no país.
33
3 SANEAMENTO BÁSICO NO ESTADO DE RORAIMA
Neste capítulo será feito a caracterização socioeconômica do Estado de Roraima, mostrando
sua dinamização econômica, bem como a caracterização socioeconômica do município de Boa Vista.
Abordaremos o contexto atual do saneamento básico no Estado de Roraima, relativos ao
abastecimento de água, coleta de esgotos e coleta de lixo e resíduos sólidos. E finalmente,
analisaremos os objetivos de desenvolvimento do milênio e as perspectivas para o saneamento básico
no Estado de Roraima.
3.1 CARACTERIZAÇÃO SOCIOECONÔMICA DO ESTADO DE RORAIMA
O Estado de Roraima, cuja capital é Boa Vista, localiza-se no extremo setentrional do
Brasil, entre 15’ de latitude norte e 10º 30’ de latitude sul entre o 59º e 65º de longitude
oeste. Limita-se com a República Cooperativa da Guiana e com a Venezuela, em 1.922
quilômetros de fronteiras internacionais, e com os Estados do Amazonas e Pará. Possuí
superfície de 225.116,1 k(14º do país em área) com 395.725 habitantes
1
, sendo 63,14% da
população residente na capital.
Sua divisão político-administrativa está disposta em 15 municípios, sendo os mais
populosos: Boa Vista, Rorainópolis, Alto Alegre e Caracaraí. O Estado está situado entre o
Pólo Eletrônico da Zona Franca de Manaus Brasil e o Pólo Minero-Metalúrgico de Ciudad
Guayana Venezuela. Dispondo de excelentes reservas minerais e grande potencial
agropecuário.
3.1.1 Dinâmica econômica
A dinâmica econômica do Estado de Roraima será avaliada a partir dos indicadores de
emprego, Produto Interno Bruto PIB, Produto Interno Bruto per capita, finanças públicas e
comércio exterior.
a) Emprego e desemprego
Para contextualização desta temática faz-se uso do parâmetro da População
1
População recenseada e estimada segundo o Censo Populacional 2007-IBGE.
34
Economicamente Ativa PEA, como se encontra distribuída nos diversos setores e nível de
ocupação.
Segundo estimativas da PNAD IBGE, o Estado de Roraima possuía em 2007 uma
PEA de 213.000 no qual 57,75% são homens e 42,25% são mulheres. Com relação ao
rendimento médio das pessoas de 10 anos ou mais de idade, economicamente ativas na
semana de referência, observa-se que as mulheres possuem 77,59% do rendimento dos
homens. Na zona rural esta disparidade acentua-se, haja vista que as mulheres percebem
65,1% do rendimento masculino.
No grupamento de trabalho de pessoas de 10 anos ou mais de idade ocupadas na
semana de referência por posição na ocupação no trabalho principal de um total de 193.301
pessoas em Roraima, observa-se que 22,74% tem como grupamento de atividade principal a
agricultura, seguido pelo comércio e reparação; 18,11%; administração pública; educação,
saúde e serviços sociais com 10,49%.
Segundo o Ministério do Trabalho e Emprego, em 2007 o número de empregos
formais no Estado de Roraima totalizou 45.742, sendo que 25.231 empregos são do sexo
masculino e 20.511 são do sexo feminino. Neste mesmo ano, a atividade extrativa mineral
detém 42 empregos; indústria de transformação 1.845; os serviços industriais de utilidade
pública detêm 1.270; construção civil 3.937; comércio 9.115; serviços 11.633; administração
pública 16.822 e a agropecuária 1.078 empregos.
Os salários médios de admissão para estas atividades são: R$ 561,53 para extrativa
mineral; R$ 573,46 para a indústria de transformação; R$ 777,15 para serviços industriais de
utilidade pública; R$ 681,14 para a construção civil; R$ 502,99 para o comércio; R$ 595,06
para o setor de serviços; R$ 1.378,14 para a administração pública e R$ 673,67 para a
agropecuária.
b) Produto Interno Bruto PIB
O Produto Interno Bruto do Estado de Roraima 2006/2005 atingiu o valor de R$ 3.660
milhões a preços de mercado corrente, o que representa variação nominal de 15,1%, maior
que a variação média da Região Norte de 12,7% e obtendo uma participação de 0,15% no PIB
nacional.
O crescimento real anual referente ao período de 2006/2005 ficou em 6,3%, atrás
somente dos estados do Ceará (8,0%), Espírito Santo (7,7%), Pará (7,1%) e Paraíba (6,7%),
sendo que nesse ano, o Brasil cresceu 4,0% e a Região Norte 4,8%. Com esse resultado,
35
Roraima obteve a segunda maior taxa de crescimento da Região Norte. Em relação a 2005, o
setor de Serviços cresceu 7,0%, participando assim, em 81,5% da economia estadual.
A atividade econômica de maior crescimento nesse setor foi o comércio, manutenção e
reparação com 22,7%, com destaque para o comércio varejista de equipamentos de
informática; esse ramo foi incentivado pela redução dos preços dos produtos de informática e
de comunicação, pela facilidade de acesso ao crédito e pelo aumento da desses produtos pelas
famílias.
Nesse ano, também houve crescimento dos serviços de manutenção e reparação,
notadamente de veículos automotivos. A segundo atividade de maior crescimento foi a
“Saúde e Educação Mercantil” com 14,9%, devido ao aumento de matrículas realizadas nas
faculdades do setor privado.
Em seguida, vem as instituições financeiras, seguros e previdência complementar com
12,3%, impulsionada pela oferta de empréstimos e financiamentos, principalmente o
empréstimo consignado.
Os serviços prestados às famílias cresceram 7,1%, principalmente as atividades
relacionadas com serviços de cabeleireiros e outros serviços de beleza, cuja participação na
atividade chega, em média, a 47,0%.
O setor secundário, com a participação de 10,9% no valor adicionado do Estado,
cresceu 3,5%, impulsionado pela Construção Civil que obteve um crescimento de 7,1% em
relação ao ano anterior. A Indústria de Transformação teve uma queda de -2,4% em relação a
2005.
A Agropecuária que representa 7,7% do valor adicionado estadual apresentou uma
queda de 6,8% em relação ao ano anterior, causada pela diminuição de 6,8% da produção
de arroz e 15,4% da produção de soja. A Administração Pública tem 48,0% de participação
no valor adicionado total do Estado.
c) PIB per capita
O Produto Interno Bruto per capita indica a renda média da população em um
território e sua variação é uma medida do ritmo do crescimento econômico daquela região. As
variáveis utilizadas para a construção deste indicador são o Produto Interno Bruto - PIB, a
preços constantes, e a população residente estimada. O indicador expressa a razão entre o PIB
e a população residente.
36
Para a SEPLAN (2008), em 2006, o Produto Interno Bruto per capita do Estado de
Roraima foi de R$ 9.074,52, subindo uma posição com relação a 2005, ficando atrás do
Estado do Amazonas apenas. Também no ranking nacional, Roraima subiu uma posição,
saindo da 14º posição e subindo para a 13º posição, ficando 28,5% abaixo da média nacional e
13,4% acima da média regional. A variação nominal do PIB per capita de 2006 com relação a
2005, foi de 11,7%, enquanto a população estimada foi de 403.344 habitantes, apresentando
uma variação de 3,1%, em relação ao ano anterior.
d) As receitas e despesas estaduais
Analisando as receitas e despesas do Estado de Roraima no período 2002/2007
constata-se que as receitas correntes crescem em face aos aumentos verificados nas receitas
tributárias (ICMS e taxas); de serviços e transferências correntes (quota parte do FPE). As
receitas de capital apresentam-se no período bastante volátil, representando 1,72% das
receitas arrecadadas pelo Estado já com a dedução do FUNDEB.
Para todo o período no grupo das receitas correntes, as transferências correntes somam
maior valor seguido da receita tributária. No Grupo das receitas de capital, as operações de
crédito aparecem inicialmente como principal fonte de recursos e em seguida as alienações de
bens, mas a partir do exercício financeiro de 2004 as transferências de capital se destacam
como a fonte de maior valor da categoria econômica.
Comparando todas as fontes de receitas e o montante de recursos arrecadados pelo o
Estado de Roraima as transferências correntes se destacam relativamente com maior parcela,
em todos os anos listados. A receita total arrecadada evoluiu da seguinte forma: 2002 para
2003, diminuiu 4,23%; de 2003 a 2004 evoluiu 12,79%; de 2004 para 2005 cresceu 30,89%;
de 2006 em relação a 2005 cresceu 15,25% e de 2006 para 2007 cresceu 11,71%.
e) Exportação e Importação
A madeira até 2001 era o principal produto exportado pelo Estado de Roraima; a partir
de 2002, o couro passou também a ter uma presença expressiva nas exportações, obtendo uma
participação média de 25 % do seu total.
Em 2006, a madeira representou 48,2 % das exportações efetuadas por Roraima,
seguido por grãos de soja 27,65%, bagaços e outros resíduos 20,29% e o couro representando
apenas 3,46%.
37
Em relação ao ano de 2007, a madeira perde a posição de principal produto exportado
pelo Estado, com 42,5% do total das exportações, enquanto a soja passa a ser o principal
produto, com a participação de 56,4%.
A pauta de produtos importados por Roraima em 2007 mudou consideravelmente, já
que o item “ferro e derivados’’ aparece com 55,28% dos principais produtos importados,
seguido pelas folhas de vidro com 20,69%. Cabe ressaltar que neste ano a Balança comercial
não registrou nenhuma importação de adubos ou fertilizantes no Estado.
Em 2008, houve queda nas exportações do Estado influenciada, principalmente, pela
queda de 39% nas exportações da soja em relação à 2007. Por conseguinte, as importações
mais que dobraram no período, houve importações de ferro e derivados, chapas de vidro,
energia elétrica e cimento.
3.1.2 Caracterização socioeconômica do município de Boa Vista
O município de Boa Vista, criado em 1890 como desmembramento do Estado do
Amazonas. No ano de 1943 torna-se capital do Território Federal de Roraima, no entanto, em
1988 mediante a promulgação da constituição federal torna-se capital do recém criado Estado
de Roraima. Sua área total perfaz 5.687,064 km², totalmente localizado no hemisfério Norte e
na mesorregião Norte do Estado (ver Figura 1).
FIGURA 1: Localização da área de estudo. Vista aérea da cidade de Boa Vista, RR.
Fonte: SEPLAN
38
Possui períodos climáticos bem definidos com uma estação seca (verão de outubro a
abril) e uma estação de chuvas (inverno - de março a setembro); a temperatura média é de 28º
C e sua altitude é de 85 metros acima do nível do mar.
Apresenta clima tropical do tipo “A”- quente e úmido, com estação chuvosa no verão.
A temperatura média anual é de 27,4º C, oscilando entre a mínima de 21º C (julho) e a
máxima de 36,6º C (março e dezembro). A precipitação média é de 1.750 milímetros anuais.
O mês mais seco apresenta precipitação inferior a 60 milímetros.
O rio Branco é o principal componente do sistema hidrográfico de Boa Vista, tendo o
rio Cauamé seu principal afluente à margem direita. O rio Branco é o afluente mais
importante da margem esquerda do rio Negro, no Amazonas. Seu curso segue a direção geral
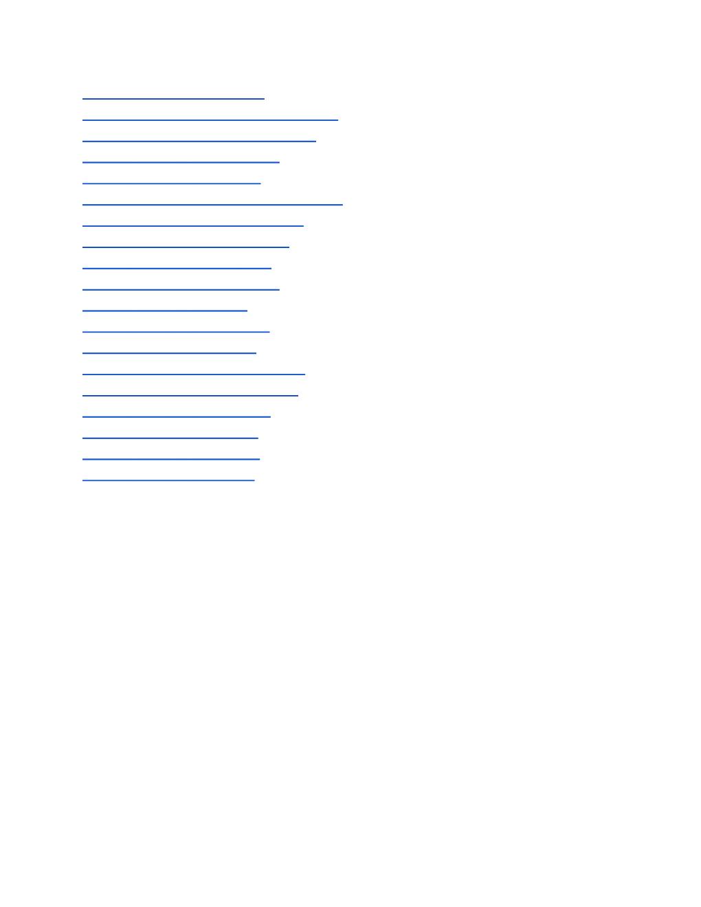
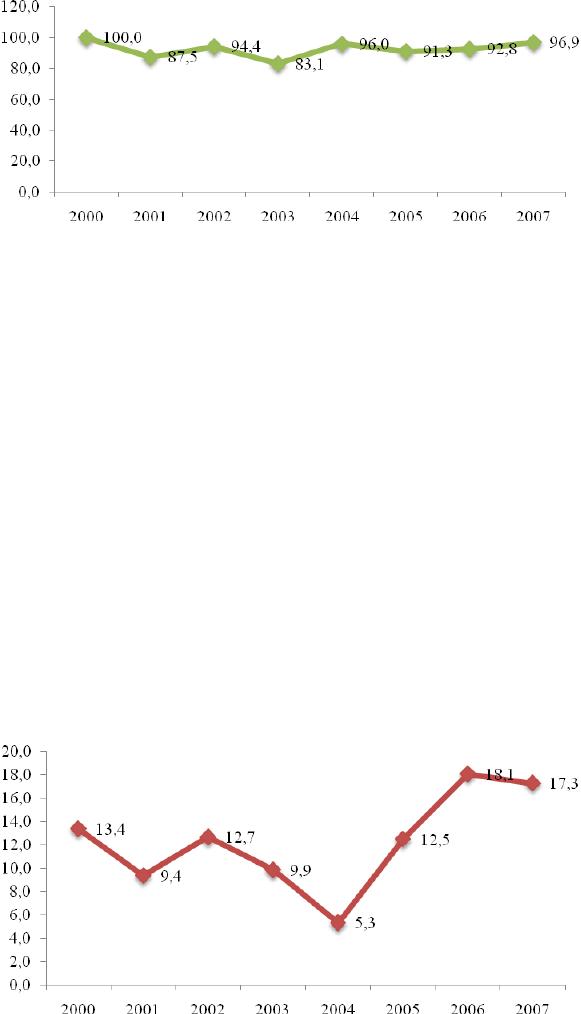
nordeste-sudeste, desde sua foz até a confluência dos rios Uraricoera e Tacutu, podendo ser
dividido em três partes: baixo, da foz até Caracaraí (338 km); médio, trecho das cachoeiras
(24 km) e, alto, a partir das corredeiras (172 km).
O regime hidrográfico da bacia do rio Branco é divido por um período de cheia, nos
meses de março a setembro, sendo a maior enchente em junho. No período seco, as águas
baixam consideravelmente, impossibilitando, inclusive, a navegação no baixo rio Branco. Em
termos topográficos, predomina a superfície plana (90%), ocorrendo ainda o relevo
suavemente ondulado (10%) nas áreas de planície inundável.
A cobertura vegetal de Boa Vista é formada pelos Campos de Roraima, que se
caracterizam por vegetação rasteira e descontínua (denominada Lavrado), pela ocorrência de
espécies arbóreas, predominando o caimbé nas partes mais altas e, nas mais baixas (várzeas
de Lavrado), ao longo dos igarapés, registram-se a ocorrência de buritizais (ZEE, 2002).
Segundo o IBGE (2007), o município conta com uma população de 249.853
habitantes, equivalente a 62% da população do Estado que passou pela elevada taxa de
urbanização nas décadas de 1970 a 1990 decorrentes do fluxo migratório atraída pela
exploração garimpeira e de políticas de ocupação que distribuíam lotes urbanos e rurais, bens
de consumo duráveis.
A partir de 2003, com a institucionalização do setor público Estadual e municipal
houve um fluxo migratório mais qualificado para preencher os cargos da administração
pública mediante concursos públicos, conforme o gráfico 5:
39
Gráfico 5: Composição da população de Boa Vista 1970 2007.
Fonte: IBGE.
Para o Ministério da Defesa (2002), Boa Vista é uma área dinâmica do ponto de vista
econômico e com bons índices sociais. Concentrando grande parcela da população e do
Produto interno Bruto do Estado e com bons índices de desenvolvimento.
Economicamente, tem participação de 71,03% na riqueza gerada em Roraima em que
se destaca o setor terciário composto pelas sub-atividades do comércio, serviços de
transportes, informação, intermediação financeira, atividade imobiliária, serviços prestados às
empresas e famílias; administração pública, educação e saúde mercantis e demais serviços
prestados às famílias.
Com relação ao setor secundário, segundo a SEPLAN (2009), Boa Vista detém 81%
do valor adicionado da indústria roraimense onde se concentra as principais unidades
madeireiras, moveleiras e alimentícias localizadas no distrito industrial. Em seu entorno
encontra-se unidades rurais responsáveis pelo plantio de culturas como a canadeaçúcar,
soja em grão e horticultura; criação de bovinos, suínos e aves; silvicultura e exploração
vegetal e a pesca. O PIB per capita, em 2006, da ordem de R$ 10.413,61 é o segundo do
Estado e dentre as capitais brasileiras situa-se em 14ª posição.
Os indicadores sociais de Boa Vista têm apresentado bom desenvolvimento nos
últimos anos. O IDH M, neste caso, passou de 0, 731 em 1991 para 0, 779 em 2000. O que
contribuiu para este resultado na média foi o crescimento do IDH M educação que passou
de 0,828 em 1991 para 0, 910 em 2000. Segundo o IBGE (2000), a taxa de analfabetismo é de
8,7%. A esperança de vida ao nascer era de 67,1 anos.
40
3.2 CONTEXTO ATUAL DO SANEAMENTO BÁSICO NO ESTADO DE
RORAIMA
Quanto ao abastecimento de água e coleta de esgotos no Estado de Roraima a
Companhia de Águas e Esgotos de Roraima CAER é a responsável por tais serviços, onde
atua 40 anos. Atualmente a companhia (CAER, 2009) atende mais de 350 mil pessoas em
todo o Estado, estando presente nos 15 municípios, além disso, atua ainda em mais de 62
localidades. Contudo vale frisar, que quanto aos serviços de coleta de esgotos, a CAER atende
apenas a capital do Estado, Boa Vista, e 100% de todo o esgoto coletado é tratado.
No que se refere ao tratamento da água, ligada à rede geral, esta é tratada de três
formas: convencional, não convencional e simples desinfecção (cloração). Dessa forma, a
água tratada é analisada mensalmente, quanto às condições bacteriológicas, físico-
organoléptica e a presença de substâncias químicas. Além disso, a captação da água que
abastece os domicílios do Estado ocorre de três formas: superficial, existindo sete fontes de
abastecimento, cento e cinco poços tubulares rasos e 14 poços tubulares profundos.
Quanto à coleta de lixo no Estado de Roraima, esta apresenta características distintas,
em virtude do volume produzido por cada município. Contudo, a coleta de lixo urbano, em
sua totalidade, é formal, cabendo às prefeituras a responsabilidade pela mesma. Além disso,
apenas os municípios de Cantá, Caroebe e Mucajaí possuem aterro sanitário, enquanto que
nos demais o lixo é depositado a céu aberto, sem qualquer cuidado quanto aos aspectos
ambientais.
Nesse contexto, vale ressaltar que não existem projetos de reciclagem de lixo, como
também não se registra Estudos de Impactos Ambientais EIA nas áreas destinadas ao
depósito dos resíduos sólidos.
Entretanto, a existência na capital do Estado, Boa Vista da Cooperativa dos Amigos
Catadores e Recicladores de Resíduos Sólidos UNIRENDA, que reciclam uma pequena
parte do lixo produzido no Estado, dentre os materiais reciclados destacam se o papelão com
85% de participação, seguido pelo plástico com 13,67% e pelo alumínio com apenas 0,14%
de participação.
Dessa forma, praticamente todo o material reciclado é fruto da coleta feita por
catadores, autônomos ou associados, já que a coleta seletiva corresponde a uma pequena parte
do lixo produzido. Cabe destacar ainda, a atuação no Estado, da Fundação Nacional de Saúde
FUNASA, que presta serviços de saneamento em áreas especiais, como as áreas indígenas.
41
Desta forma, a FUNASA é a responsável pela implantação de ações voltadas a saúde
indígena, ao saneamento básico e ambiental.
3.2.1 Abastecimento de água
Os dados da última Pesquisa Nacional por Amostra de Domicílios PNAD, edição
2007, apontam que o Estado de Roraima se destaca quanto ao acesso aos serviços de
abastecimento de água, quando comparado a média nacional, média da região Norte e os
estados que a compõe. Vejamos então a Tabela 1:
Tabela 1: Domicílios particulares permanentes urbanos, total e respectiva distribuição
percentual por existência de serviço de abastecimento de água por rede geral dos estados da
região Norte e Brasil 2007.
BRASIL, REGIÃO
NORTE E UNIDADES
DA FEDERAÇÃO
TOTAL (1000
DOMICÍLIOS)
COM SERVIÇO
SEM
SERVIÇO %
COM
CANALIZAÇÃO
INTERNA %
SEM
CANALIZAÇÃO
INTERNA %
Brasil
47.856
91,9
1,2
6,8
Região Norte
3.002
62,8
4,3
32,7
Rondônia
312
51,4
0,5
47,5
Acre
122
55,1
11,2
33,2
Amazonas
622
77,4
2,7
19,7
Roraima
91
90,1
6,8
3,0
Pará
1.433
52,6
5,2
41,9
Amapá
142
64,8
1,1
33,9
Tocantins
280
63,2
2,8
34,0
Fonte: IBGE, Pesquisa Nacional por Amostra de Domicílios 2007.
Como pode ser observado na Tabela 1 mais de 90% dos domicílios particulares
permanentes
2
urbanos pesquisados do Estado de Roraima são atendidos com serviços de
abastecimento de água, sejam eles com canalização interna
3
, 90,1%, ou sem canalização
interna
4
, 6,8%. Vale destacar que, quanto ao acesso aos serviços de abastecimento de água
(com e sem canalização interna), o Estado de Roraima apresenta valores superiores a média
nacional, a média da região Norte e seus estados, como pode ser observado no Gráfico 6.
2
Segundo o IBGE domicilio permanente refere se ao domicílio localizado em casa, apartamento ou modo e
destinado à moradia.
3
Com canalização interna: para o domicílio que tivesse água canalizada para, pelo menos, um cômodo.
4
Sem canalização interna: para o domicílio que não tivesse água canalizada para nenhum cômodo.
42
Gráfico 6: Percentual de domicílios com os serviços de abastecimento de água, Brasil, Região
Norte e UF, 2007.
Fonte: PNAD 2007.
Ao observarmos os resultados do Gráfico 6, notamos que 96,9% dos domicílios
particulares permanentes urbanos pesquisados do Estado de Roraima são atendidos com
serviços de abastecimento de água, superando a média nacional onde 93,1% dos domicílios
urbanos são atendidos, e superando o valor observado para a região Norte em quase 30%.
Quando comparado aos demais estados da região Norte, Roraima também se destaca,
que supera os estados do Amazonas em mais 15%, e o de Rondônia em 45%, que são os
estados que estão em segundo e em último lugar na região, respectivamente.
Gráfico 7: Percentual de domicílios sem os serviços de abastecimento de água, Brasil, Região
Norte e UF, 2007.
Fonte: PNAD 2007.
43
Quanto ao percentual de domicílios particulares permanentes urbanos sem acesso aos
serviços de abastecimento de água, o Estado de Roraima apresenta apenas 3% dos seus
domicílios sem acesso aos serviços, contra 6,8% dos domicílios do país, e muito abaixo da
média da região Norte, onde mais de 30% de seus domicílios não possuem acesso aos
serviços de abastecimento de água (Gráfico 7). Dessa forma, Roraima se destaca como o
Estado da região Norte que apresenta o menor percentual de domicílios sem acesso aos
serviços de abastecimento de água.
A Tabela 2 compara o Estado de Roraima com as demais regiões do país, desta forma,
quanto aos domicílios particulares permanentes urbanos com canalização interna Roraima
supera apenas as regiões Norte e Nordeste, ficando atrás das demais regiões que apresentam
percentuais mais altos. Quanto aos domicílios particulares permanentes urbanos sem acesso
aos serviços de abastecimento de água o Estado de Roraima apresenta o melhor resultado,
mesmo quando comparado as demais regiões do país, que apenas 3% de seus domicílios
não são atendidos.
Tabela 2: Domicílios particulares permanentes urbanos, total e respectiva distribuição
percentual por existência de serviço de abastecimento de água por rede geral das regiões,
Brasil e Roraima em 2007.
BRASIL E
REGIÕES
TOTAL (1000
DOMICÍLIOS)
COM SERVIÇO
SEM
SERVIÇO %
COM CANALIZAÇÃO
INTERNA %
SEM CANALIZAÇÃO
INTERNA %
Brasil
47.856
91,9
1,2
6,8
Norte
3.002
62,8
4,3
32,7
Roraima
91
90,1
6,8
3,0
Nordeste
10.500
88,5
3,2
8,2
Sudeste
23.310
96,4
0,3
3,1
Sul
7.442
94,9
0,4
4,7
Centro-
Oeste
3.602
90,2
0,6
9,1
Fonte: IBGE, Pesquisa Nacional por Amostra de Domicílios, 2007.
O Gráfico 8 mostra o percentual de domicílios particulares permanentes urbanos
atendidos pelos serviços de abastecimento de água, ou seja, a soma dos serviços com
canalização interna e dos sem canalização interna, para as regiões, Brasil e o Estado de
Roraima, notadamente, observa se que Roraima apresenta o maior percentual de domicílios
particulares permanentes urbanos atendidos pelos serviços de abastecimento de água, 96,9%,
44
enquanto o país apresenta 93,3%, e a região Norte aparece com o pior desempenho, onde
apenas 67,1% de seus domicílios são atendidos.
Gráfico 8: Percentual de domicílios particulares permanentes urbanos atendidos com os
serviços de abastecimento de água, Regiões, Brasil e Roraima, 2007.
Fonte: PNAD 2007.
A Tabela 3 mostra um comparativo do Estado de Roraima com outros países e grupo
de países no ano de 2007, quanto ao percentual da população urbana com acesso aos serviços
de abastecimento de água e coleta de esgoto sanitário.
Tabela 3: Percentual da população urbana com acesso aos serviços de água e esgoto de Países,
grupo de Países e do Estado de Roraima em 2007
PAÍSES, GRUPO DE PAÍSES E
RORAIMA
ACESSO AO SERVIÇO DE
ÁGUA %
ACESSO AO SERVIÇO DE
ESGOTO
5
%
América Latina e Caribe
91
78
Alta renda OECD
100
100
Brasil
91
77
Mundo
86
60
Roraima
91
14
Fonte: Indicadores de Desenvolvimento Mundial, Pesquisa Nacional por Amostra de Domicílio/2007.
Neste contexto, quanto ao percentual da população urbana com acesso aos serviços de
abastecimento de água no ano de 2007, podemos observar o Gráfico 9, que mostra o Estado
de Roraima comparado a outros países e grupo de países. Sob esse aspecto, observa se que o
5
Ver Gráfico 13 no subitem seguinte.
45
Estado de Roraima não está distante da realidade de outros países, que no referido ano,
91% de sua população urbana possui acesso aos serviços de abastecimento de água, o mesmo
percentual para o Brasil e América Latina e Caribe. Além disso, o Estado supera o percentual
da população urbana mundial com acesso a esse serviço.
Gráfico 9: Percentual da população urbana com acesso aos serviços de abastecimento de água
por Países, grupo de Países e do Estado de Roraima em 2007.
Fonte: Indicadores de Desenvolvimento Mundial, Pesquisa Nacional por Amostra de Domicílio 2007.
Contudo, merece destaque os países de alta renda, especialmente os países que
compõem a OECD
6
Organização para a Cooperação e Desenvolvimento Econômico,
composta por trinta países, que apresentam 100% de sua população urbana com acesso ao
serviço de abastecimento de água.
3.2.2 Coleta de Esgotos
Quanto ao acesso aos serviços de coleta de esgotos, os resultados da Pesquisa
Nacional por Amostra de Domicílio/2007 apontam que tanto o Estado de Roraima, quanto a
região Norte como um todo, apresentam situação preocupante quando comparados aos
resultados nacionais, como pode ser observado na Tabela 4:
6
OECD / Organização para a Cooperação e Desenvolvimento Econômico - são países membros: Alemanha,
Austrália, Áustria, Bélgica, Canadá, Coréia do Sul, Dinamarca, Eslováquia, Espanha, Estados Unidos, Finlândia,
França, Grécia, Hungria, Irlanda, Islândia, Itália, Japão, Luxemburgo, México, Noruega, Nova Zelândia, Países
Baixos, Polônia, Portugal, Reino Unido, República Checa, Suécia, Suíça e Turquia.
46
Tabela 4: Domicílios particulares permanentes urbanos, total e respectiva distribuição
percentual por existência dos serviços de coleta de esgotos por rede geral, dos estados da
região Norte e Brasil 2007.
BRASIL, REGIÃO
NORTE E UNIDADES
DA FEDERAÇÃO
TOTAL (1000
DOMICÍLIOS)
COM SERVIÇO
SEM SERVIÇO
COM SERVIÇO DE
REDE COLETORA
7
DE
ESGOTAMENTO
SANITÁRIO %
FOSSA
PTICA
8
%
OUTRAS
FORMAS
9
%
Brasil
47.856
68,7
26,8
4,5
Região Norte
3.002
18,4
73,5
8,2
Rondônia
312
6,6
89,8
3,7
Acre
122
40,9
39,2
19,9
Amazonas
622
38,9
50,7
10,4
Roraima
91
17,3
79,1
3,6
Pará
1.433
11,9
80,4
7,7
Amapá
142
3,9
82,6
13,5
Tocantins
280
16,7
79,1
4,2
Fonte: IBGE, Pesquisa Nacional por Amostra de Domicílios, 2007.
Gráfico 10: Percentual de domicílios particulares permanentes urbanos com os serviços de
coleta de esgotos, Brasil, Região Norte e UF, 2007.
Fonte: PNAD 2007.
7
Rede Geral ou Coletora: quando a canalização das águas servidas e dos dejetos estivesse ligada a um sistema de
coleta que os conduzisse para um desaguadouro geral da área, região ou município, mesmo que o sistema não
dispusesse de estação de tratamento da matéria esgotada.
8
Fossa séptica: quando as águas servidas e os dejetos fossem esgotados para uma fossa, onde passavam por um
processo de tratamento ou decantação, sendo a parte líquida absorvida no próprio terreno ou canalizada para um
desaguadouro geral da área, região ou município.
9
Outra forma: quando os dejetos fossem esgotados para uma fossa rudimentar (fossa negra, poço, buraco, etc.),
diretamente para uma vala, rio, lago ou mar, ou quando o escoadouro não se enquadrasse em quaisquer dos tipos
descritos anteriormente.
47
O gráfico 10 apresenta o percentual de domicílios particulares permanentes urbanos
com os serviços de coleta de esgotos por rede geral no Brasil e na Região Norte em 2007. Ao
observamos o gráfico, notamos que os percentuais de domicílios atendidos pelos serviços de
coleta de esgotos por rede geral na região Norte e em todos os seus estados estão muito abaixo
do valor observado para o país, que apresenta 68,7% dos domicílios atendidos por esse
serviço.
Nesse contexto, a região Norte apresenta apenas 18,4% de seus domicílios atendidos, e
o Estado de Roraima aparece com 17,3% de seus domicílios atendidos, além disso, somente
os estados do Amazonas e do Acre, estão acima do valor observado para a região, com 38,9%
e 40,9% de domicílios atendidos, respectivamente.
Já o gráfico 11 apresenta o percentual de domicílios particulares permanentes urbanos
que não possuem os serviços de coleta de esgotos no Brasil e na Região Norte em 2007,
notadamente observa se que tanto a região Norte, como todos os seus estados, apresentam
mais de 50% de seus domicílios sem os serviços de coleta de esgotos, estando todos acima do
valor observado para o país, onde apenas 31,3% de seus domicílios não são atendidos. Vale
destacar, que os estados do Amapá e de Rondônia apresentam os piores resultados, com
96,1% e 93,5%, respectivamente, e que o Estado de Roraima aparece com 82,7% de seus
domicílios sem atendimento.
Gráfico 11: Percentual de domicílios particulares permanentes urbanos sem os serviços de
coleta de esgoto por rede geral, Brasil, Região Norte e UF, 2007.
Fonte: PNAD 2007.
48
A Tabela 5 compara o Estado de Roraima com as regiões do país quanto aos
domicílios particulares permanentes urbanos por existência dos serviços de coleta de esgotos
por rede geral, no ano de 2007. Nesse sentido, observa se que quanto aos domicílios sem os
serviços de coleta de esgotos, que o Estado de Roraima e as regiões Norte e Nordeste
apresentam os maiores percentuais, estando muito acima valor observado para o país. Sob
esse aspecto, merece destaque a região Sudeste, que apresenta os menores percentuais de
domicílios sem atendimento.
Tabela 5: Domicílios particulares permanentes urbanos, total e respectiva distribuição
percentual por existência dos serviços de coleta de esgotos por rede geral, das regiões, Brasil e
Roraima em 2007.
Brasil e
regiões
Total
(1000
domicílios)
Com serviço
Sem serviço
Com serviço de rede coletora de
esgotamento sanitário %
Fossa Séptica %
Outras formas
%
Brasil
47.856
68,7
26,8
4,5
Norte
3.002
18,4
73,5
8,2
Roraima
91
17,3
79,1
3,6
Nordeste
10.500
44,6
47,5
7,9
Sudeste
23.310
90,3
6,2
3,5
Sul
7.442
67,6
29,2
3,2
Centro-Oeste
3.602
42,8
55,8
1,4
Fonte: IBGE, Pesquisa Nacional por Amostra de Domicílios 2007.
Já o Gráfico 12 mostra a relação dos domicílios particulares permanentes urbanos que
são atendidos pelos serviços de coleta de esgotos por rede geral, no ano de 2007, para o
Estado de Roraima e todas as regiões do país, desta forma, verifica se que o Estado de
Roraima, bem como as regiões Norte, Nordeste, Sul e Centro-Oeste estão abaixo do valor
observado para o Brasil, que corresponde a 68,7% de seus domicílios atendidos.
Cabe destacar, que a região Norte apresenta o pior resultado, com apenas 18,4% de
seus domicílios atendidos com coleta de esgotos por rede geral, que encontra se muito
distante da realidade nacional, além disso, somente a região Sudeste supera e muito esse
percentual nacional, com 90,3% de seus domicílios atendidos.
49
Gráfico 12: Percentual de domicílios particulares permanentes urbanos com os serviços de
coleta de esgoto por região, Brasil e Roraima em 2007.
Fonte: PNAD 2007.
Em 2007 apenas 14% da população urbana do Estado de Roraima possui acesso aos
serviços de coleta de esgoto, muito abaixo do percentual para o Brasil, 77% de sua população
urbana com acesso.
O Estado ainda está bastante distante da realidade de outros países, como os países que
compõem a América Latina e Caribe, 78%, ou ainda, os países de alta renda, como os países
que compõem a Organização para a Cooperação e Desenvolvimento Econômico/OECD, que
apresentam 100% de sua população urbana com acesso aos serviços de coleta de esgoto, ou
mesmo quando comparado ao percentual mundial, 60% da população urbana mundial possui
acesso a esses serviços.
Gráfico 13: Percentual da população urbana com acesso aos serviços de coleta de esgoto por
Países, grupo de Países e do Estado de Roraima em 2007.
Fonte: Indicadores de Desenvolvimento Mundial, Pesquisa Nacional por Amostra de Domicílio 2007.
50
Quando comparado a outros países, o Estado de Roraima apresenta a pior situação
quanto ao acesso aos serviços de coleta de esgoto no ano de 2007, como pode ser observado
no Gráfico 13.
3.2.3 Coleta de lixo ou resíduos sólidos
No caso da coleta de lixo, a Tabela 6 aponta a situação dos domicílios particulares
permanentes urbanos dos estados da região Norte e do país, no ano de 2007, segundo a
Pesquisa Nacional por Amostra de Domicílios/PNAD.
Quanto à coleta direta
10
de lixo, o Gráfico 14 expõe a situação dos domicílios
particulares permanentes urbanos para os estados da região Norte e o Brasil, no ano de 2007.
Notadamente observa se que o Estado de Roraima apresenta maior percentual de domicílios
atendidos por coleta direta de lixo, com 96,8%, superando assim, todos os demais estados da
região Norte, superando em mais de cinco pontos percentuais o valor observado para o país.
Tabela 6: Domicílios particulares permanentes urbanos, total e respectiva distribuição
percentual por existência de serviço de coleta de lixo dos estados da região Norte 2007.
BRASIL, REGIÃO
NORTE E UNIDADES
DA FEDERAÇÃO
TOTAL (1000
DOMICÍLIOS)
COM SERVIÇO
SEM
SERVIÇO
%
COLETADO
DIRETAMENTE
%
COLETADO
INDIRETAMENTE
%
Brasil
47.856
90,2
7,7
1,3
Região Norte
3.002
88,9
6,4
3,8
Rondônia
312
86,4
6,6
6,4
Acre
122
87,3
8,6
1,5
Amazonas
622
85,4
8,8
4,6
Roraima
91
96,8
0,4
2,9
Pará
1.433
89,6
5,7
3,8
Amapá
142
90,2
6,8
2,1
Tocantins
280
93,2
4,5
1,8
Fonte: IBGE, Pesquisa Nacional por Amostra de Domicílios 2007.
10
Coletado diretamente - Quando o lixo fosse coletado diretamente por serviço ou empresa de limpeza, pública
ou privada, que atendia ao logradouro em que se situava o domicílio.
51
Gráfico 14: Distribuição percentual dos domicílios por existência de coleta direta de lixo,
Brasil, região e UF, 2007.
Fonte: PNAD 2007.
Quanto a coleta indireta
11
de lixo, Roraima apresenta apenas 0,4% de seus domicílios
particulares permanentes urbanos atendidos por este tipo de coleta, que a maioria dos
domicílios atendidos por coleta de lixo, são pela coleta direta. Quando comparado aos demais
estados da região Norte e o Brasil, Roraima é o Estado com o menor percentual de domicílios
atendidos por coleta indireta de lixo, conforme pode ser observado no Gráfico 15.
Gráfico 15: Distribuição percentual dos domicílios por existência de coleta indireta de lixo,
Brasil, região Norte e UF, 2007.
Fonte: PNAD 2007.
11
Coletado indiretamente - Quando o lixo fosse depositado em caçamba, tanque ou depósito de serviço ou
empresa de limpeza, pública ou privada, que posteriormente o recolhia.
52
No que se refere a ausência de serviços de coleta de lixo, todos os estados da região
Norte estão abaixo do valor observado para o país, onde apenas 1,3% de seus domicílios
particulares permanentes urbanos não dispõem dos serviços de coleta de lixo. Cabe destacar,
que os estados da região com os maiores percentuais de domicílios sem atendimento, são os
Estados de Rondônia e Amazonas, com 6,4% e 4,6%, respectivamente. Quanto ao Estado de
Roraima, este apresenta 2,9% de seus domicílios sem os serviços de coleta de lixo, conforme
pode ser observado no Gráfico 16.
Gráfico 16: Distribuição percentual dos domicílios por inexistência de coleta de lixo, Brasil,
região Norte e UF, 2007.
Fonte: PNAD 2007.
Tabela 7: Domicílios particulares permanentes urbanos, total e respectiva distribuição
percentual por existência de serviço de coleta de lixo das regiões do Brasil em 2007.
BRASIL E
REGIÕES
TOTAL (1000
DOMICÍLIOS)
COM SERVIÇO
SEM
SERVIÇO
%
COLETADO
DIRETAMENTE %
COLETADO
INDIRETAMENTE %
Brasil
47.856
90,2
7,7
1,3
Norte
3.002
88,9
6,4
3,8
Roraima
91
96,8
0,4
2,9
Nordeste
10.500
81,5
12,8
3,1
Sudeste
23.310
93,2
6,1
0,5
Sul
7.442
94,6
4,9
0,5
Centro-Oeste
3.602
88,9
9,7
1,1
Fonte: IBGE, Pesquisa Nacional por Amostra de Domicílios 2007.
53
A Tabela 7 compara o Estado de Roraima com as regiões do país quanto aos
domicílios particulares permanentes urbanos por existência dos serviços de coleta de lixo no
ano de 2007, conforme a Pesquisa Nacional por Amostra de Domicílios/PNAD.
Quando comparado com as demais regiões do país, o Estado de Roraima se destaca
quanto ao percentual de domicílios particulares permanentes urbanos atendidos pela coleta
direta de lixo, 96,8%, superando inclusive o valor observado para o país, 90,2%. Vale frisar,
que as regiões Norte, Nordeste e Centro-Oeste estão abaixo do percentual nacional, conforme
exposto no Gráfico 17.
Gráfico 17: Distribuição percentual dos domicílios por existência de coleta direta de lixo,
Brasil e região, 2007.
Fonte: PNAD 2007.
Gráfico 18: Distribuição percentual dos domicílios por existência de coleta indireta de lixo,
Brasil e região, 2007.
Fonte: PNAD 2007.
54
na coleta indireta de lixo, Roraima apresenta o menor percentual de domicílios
particulares permanentes urbanos atendidos por esse serviço, quando comparado as demais
regiões do país, com 0,4%. Nesse contexto, o Brasil apresenta 7,7% de seus domicílios
particulares permanentes urbanos atendidos pela coleta indireta de lixo, além disso, apenas as
regiões Nordeste e Centro-Oeste superam esse valor, conforme pode ser observado no gráfico
18.
No que se refere a ausência de serviços de coleta de lixo, as regiões Norte e Nordeste
apresentam os maiores percentuais de domicílios particulares permanentes urbanos não
atendidos por este serviço, 3,8% e 3,1%, respectivamente, sob esse aspecto, o Estado de
Roraima apresenta 2,9% de seus domicílios sem os serviços. Quanto às demais regiões, todas
estão abaixo do valor observado para o país, que apresenta 1,3% de seus domicílios
particulares permanentes urbanos sem os serviços de coleta de lixo, conforme pode ser
constatado no Gráfico 19.
Gráfico 19: Distribuição percentual dos domicílios por inexistência de coleta de lixo, Brasil e
região 2007.
Fonte: PNAD 2007.
3.3 O ESTADO DE RORAIMA E OS OBJETIVOS DE DESENVOLVIMENTO DO
MILÊNIO
Os Objetivos de Desenvolvimento do Milênio surgiram com a Declaração do Milênio
das Nações Unidas, em setembro de 2000, onde 191 nações firmaram um compromisso para
acelerar o desenvolvimento humano, colocando o bem-estar humano e a redução da pobreza
55
no centro dos propósitos do desenvolvimento mundial.
Desta forma, os Objetivos do Desenvolvimento do Milênio tratam de um esforço
mundial para a promoção do bem-estar humano, através da redução da pobreza, da
erradicação da fome, contemplando áreas como educação, saúde, igualdade e sustentabilidade
ambiental. Em outras palavras, esses objetivos estão inter-relacionados e incorporam
instrumentos internacionais de proteção dos direitos humanos, e as autoridades
governamentais, a sociedade civil e o setor privado são peças-chave para o alcance dos
mesmos.
Os Objetivos de Desenvolvimento do Milênio o os seguintes: ODM1 - Erradicar a
pobreza extrema e a fome, ODM2 - Atingir o ensino básico universal, ODM3 - Promover a
igualdade de gênero e a autonomia das mulheres, ODM4 - Reduzir a mortalidade infantil,
ODM5 - Melhorar a saúde materna, ODM6 - Combater o HIV/AIDS, a malária e outras
doenças, ODM7 Garantir a sustentabilidade ambiental e ODM8 - Estabelecer uma parceria
mundial para o desenvolvimento
12
.
Vale ressaltar, que em 2005, foi assinada a Carta de Salvador, um compromisso
firmado entre o Fórum Nacional de Secretários Estaduais de Planejamento, o Conselho
Nacional de Secretários de Administração CONSAD e a Associação dos Membros dos
Tribunais de Contas do Brasil ATRICON, visando o comprometimento para o alcance dos
Objetivos de Desenvolvimento do Milênio. Nesse contexto, o saneamento básico está
contemplado dentro do Objetivo de Desenvolvimento do Milênio Garantir a
Sustentabilidade Ambiental.
3.3.1 Meta 7C: Reduzir pela metade, até 2015, a proporção da população sem
acesso permanente e sustentável a água potável segura e esgotamento sanitário
Para a avaliação da presente meta do milênio os indicadores escolhidos são: o
percentual de domicílios particulares permanentes urbanos com acesso aos serviços de
abastecimento de água e o percentual de domicílios particulares permanentes urbanos com
acesso aos serviços de esgoto sanitário.
Quanto ao acesso aos serviços de abastecimento de água, o Gráfico 20 traz a evolução
deste indicador desde o ano 2000, ano da Declaração do Milênio, até o ano de 2007, para o
Estado de Roraima.
12
Website: www.pnud.org.br
56
Gráfico 20: Evolução do percentual dos domicílios particulares permanentes urbanos com
acesso aos serviços de abastecimento de água no Estado de Roraima, período 2000/2007.
Fonte: Censo Demográfico 2000 e PNAD 2001/2007.
Notadamente, observamos que no ano 2000, 100% dos domicílios particulares
permanentes urbanos do Estado de Roraima eram atendidos com os serviços de abastecimento
de água, logo a meta quanto ao acesso à água potável estava atendida no ano em questão.
Todavia, ao longo do tempo esse percentual sofreu pequenas variações, contudo, no último
ano analisado, 2007, 96,9% dos domicílios particulares permanentes urbanos possuem acesso
aos serviços de abastecimento de água.
Sob esse aspecto, dados os valores observados nessa série histórica apenas 3,1% dos
domicílios particulares permanentes urbanos do Estado de Roraima não são atendidos pelos
serviços de abastecimento de água, um percentual relativamente pequeno e que
provavelmente será sanado ao longo dos próximos anos, já que o atendimento desta meta é até
o ano de 2015.
Gráfico 21: Evolução do percentual dos domicílios particulares permanentes urbanos com
acesso aos serviços de esgotamento sanitário no Estado de Roraima, período 2000/2007.
Fonte: Censo Demográfico 2000 e PNAD 2001/2007.
57
o Gráfico 21 mostra o percentual de domicílios particulares permanentes urbanos
atendidos pelos serviços de coleta de esgoto sanitário, para o período 2000/2007 no Estado de
Roraima. Enquanto o acesso ao abastecimento de água potável o Estado de Roraima apresenta
excelentes percentuais de atendimento, caminhando para o cumprimento da meta do milênio,
o mesmo não se pode dizer quanto ao acesso aos serviços de coleta de esgoto sanitário, onde o
Estado apresenta uma situação preocupante neste quesito.
Como pode ser observado no Gráfico 21, no ano 2000 apenas 13,4% dos domicílios
particulares permanentes urbanos apresentavam acesso aos serviços de coleta de esgoto
sanitário, e nos anos seguintes esse percentual sofreu pequenas alterações, sendo que em
2004, o percentual de domicílios atendidos chegou a ser apenas 5,3%, e posteriormente em
2006, 18,1% dos domicílios particulares permanentes urbanos do Estado possuíam acesso aos
serviços de coleta de esgoto sanitário. Contudo, esse percentual voltou a cair no ano seguinte,
2007, com 17,3% dos domicílios com atendidos.
Cabe frisar, que apesar das variações observadas nesta série histórica, esses são
valores oficiais, retirados do Censo 2000 e da Pesquisa Nacional por Amostra de Domicílio
dos anos de 2001 a 2007.
Nesse contexto, conclui se que dadas as variações ocorridas ao longo do tempo, que o
Estado de Roraima encontra se longe de cumprir a meta do milênio, quanto ao acesso aos
serviços de coleta de esgoto sanitário, uma vez que, no último ano em análise apenas 17,3%
de seus domicílios particulares permanentes urbanos apresentam acesso a tais serviços, o que
corresponde a 3,9% a mais de domicílios atendidos em relação ao ano 2000, ano da
Declaração do Milênio. Desta forma, para que o Estado alcance a meta estipulada serão
necessários investimentos altíssimos no setor, visando a redução desse ficit no acesso aos
serviços de coleta de esgoto sanitário.
3.4 PERSPECTIVAS PARA O SANEAMENTO BÁSICO NO ESTADO DE
RORAIMA
De acordo com estudos do Ministério das Cidades, serão necessários cerca de R$ 178
bilhões de investimentos para universalização dos serviços de água e esgoto no país até o ano
de 2020(BRASIL, 2003). Apenas cinco Estados brasileiros possuem políticas estaduais de
saneamento: São Paulo, Minas Gerais, Rio Grande do Sul, Rio Grande do Norte e Goiás.
Estes Estados possuem relativamente bons indicadores de cobertura de abastecimento de água
e serviço de esgotamento sanitário.
58
O desafio posto na implementação da universalização do acesso ao saneamento
ambiental adequado está relacionado, sobretudo, ao equacionamento dos recursos para
investimentos e operação e manutenção dos serviços que são bastante elevados e as três
esferas de governo tem sido incapazes de provê-los.
O Estado de Roraima como um novo ente Federativo, ainda não possui um marco
regulatório nem uma política Estadual de Saneamento ambiental. Reconhece-se a importância
do investimento em esgotamento sanitário, haja vista que objetiva-se alcançar no Estado
avanços no Índice de Desenvolvimento Humano IDH. Para tanto, precisa-se avançar nas
políticas de saúde e educação públicas para obtenção de um melhor índice em que pese os
investimentos em infra-estrutura social.
Para a Organização Mundial de Saúde, para cada 1 dólar investido em saneamento
básico, economizam-se 5 dólares na saúde, nos 10 anos seguintes em médicos e em
atendimento nos postos de saúde e em hospitais. Os resultados desse investimento a médio e
longo prazos são aparentemente fáceis de constatar e medir: em países onde se investe
adequadamente em saneamento os índices de mortalidade infantil despencam, as doenças
como a cólera e a leptospirose deixam de existir (SANEAR, 2009).
Neste aspecto no Plano Plurianual Roraimense de 2008-2011 definiram-se algumas
diretrizes básicas operativas para o investimento no setor em que a Companhia de Águas e
Esgotos de Roraima/CAER foi designada para fazer os investimentos no setor. O volume de
recursos previstos para investimentos no setor nos quatro anos do Programa Estadual são da
ordem de R$ 44 milhões o que permitirá à Companhia efetuar 16.542 novas ligações de
esgotamento sanitário e 15.380 novas ligações de água tratada.
Recentemente, no ano de 2008 o Estado firmou convênio com o Ministério das
Cidades mediante o Programa de Aceleração do Crescimento PAC para um investimento
total de R$ 243 milhões em saneamento, que consiste em R$ 60 milhões para a
universalização dos serviços de abastecimento de água em Boa Vista e R$ 120 milhões para a
ampliação do sistema de esgotamento sanitário.
As obras compreendem a implantação de 55 km de rede de distribuição, 17.350
ligações residenciais, aumento do volume de captação do Rio Branco e a construção de um
centro de controle (CCO) totalmente informatizado, além de reformas e adequações
necessárias dos centros de reservação e distribuição de águas dos bairros (SANEAR, 2009).
Estes novos investimentos permitirão que ao final do Programa o Estado alcance 100% da
população atendida com o serviço de abastecimento de água e aproximadamente 56% com o
serviço de esgotamento sanitário, passando também, por 100% de tratamento.
59
4 CONCLUSÃO
Este trabalho teve como objetivo traçar o perfil atual do Estado de Roraima em relação
ao saneamento básico, mostrando a situação atual, além de traçar as perspectivas para o setor
de saneamento básico no Estado. Em outras palavras, será traçado o perfil dos serviços de
abastecimento de água, coleta de esgotos e coleta de lixo.
O referencial teórico expõe o processo de construção e evolução do conceito de
desenvolvimento, que passou por várias correntes, desde economistas de inspiração teórica,
até os de inspiração mais ortodoxa. Contudo, o que fica claro, é que nesse processo de
transformação, o conceito de desenvolvimento econômico continua em evolução, que não
há consenso universal sobre o mesmo.
Nesse contexto, um conceito mais amplo ganhou muito destaque nos últimos anos, em
virtude das crescentes preocupações com o meio ambiente, o de desenvolvimento sustentável,
que é fruto de um dos grandes desafios econômicos do mundo atual: conciliar a expansão
econômica com a preservação ambiental. Sob esse aspecto, observa-se que os princípios de
sustentabilidade devem ser incorporados às políticas públicas, objetivando reverter a perda de
recursos naturais e melhorar a qualidade de vida das pessoas. A qualidade de vida de uma
população pode ser mensurada através de várias dimensões, entre elas destaca-se o
saneamento básico, cujas atividades estão voltadas para o controle e a prevenção de doenças,
visando à promoção do bem-estar humano. Dessa forma, o acesso a um sistema de
saneamento básico eficiente se projeta como fator indispensável e de suma importância para a
melhoria da qualidade de vida da população, uma vez que essa população deixaria de estar
exposta a inúmeras doenças provenientes, por exemplo, de águas contaminadas.
No Brasil, o saneamento básico ganhou importância e infra-estrutura a partir do início
do século XVIII, com a vinda da família real portuguesa para o país. Desde então, muita coisa
mudou; contudo, o país ainda enfrenta grandes problemas no setor, como significativos
déficits nos serviços voltados ao saneamento: abastecimento de água, coleta de esgotos e
coleta de lixo, especialmente, os serviços de coleta de esgotos, que apresentam os piores
resultados. Além disso, o país apresenta grandes distorções a nível regional, quanto ao acesso
a tais serviços, com destaque para as Regiões Norte, Nordeste e Centro-Oeste. Estas regiões
possuem os piores índices de acesso ao saneamento básico, que inclui os serviços de
abastecimento de água, coleta de esgotos e coleta de lixo.
60
Vale frisar que o setor vem passando por um processo de transformação, visando a sua
regulação, que teve como ponto de partida a aprovação da Lei de Diretrizes de Saneamento
Básico (Lei nº. 11.445/2007). Esta lei visa em linhas gerais harmonizar as ações municipais,
estaduais e federais quanto ao saneamento ambiental. Merece destaque também a Lei
Nacional de Consórcios Públicos (Lei nº. 11.107/95), que trata da gestão associada dos
serviços, e o Projeto de Lei sobre os Resíduos Sólidos, que versa sobre a Política Nacional de
Resíduos Sólidos, que, quando da sua aprovação completará a Lei nº. 11.445/2007.
No que concerne ao tema apresentado, os dados que foram levantados e analisados,
foram suficientes e refletiu a realidade do setor de Saneamento Básico no Estado de Roraima,
permitindo assim, que fosse traçado o perfil do setor, o que resultou no alcance dos objetivos,
tanto gerais, quanto específicos. Quanto ao acesso aos serviços de abastecimento de água, o
Estado de Roraima apresenta excelentes resultados, com 96,9% de seus domicílios
particulares permanentes urbanos com acesso a este serviço, e estando inclusive acima do
resultado nacional, onde o país apresenta 93,1% de seus domicílios com acesso. Além disso,
esse resultado supera todos os Estados que compõem a Região Norte, além das demais
Regiões brasileiras.
Quando comparado a nível internacional, o Estado de Roraima não deixa a desejar no
quesito acesso a água, estando próximo dos resultados observados para países de alta renda, e
superando a média mundial. Dessa forma, dados os resultados levantados, observa se que
apenas 3% dos domicílios urbanos do Estado não possuem acesso aos serviços de
abastecimento de água.
No que se refere aos serviços de coleta de esgotos, o Estado de Roraima apresenta
resultados preocupantes, uma vez que, apenas 17,3% de seus domicílios particulares
permanentes urbanos possuem acesso a esse serviço. Vale destacar que o elevado déficit no
acesso a esse serviço é uma característica dos Estados que compõem a Região Norte, que
possui apenas 18,4% de seus domicílios com acesso. Sob esse aspecto, todas as demais
regiões brasileiras superam tanto o Estado de Roraima, quanto a Região Norte.
Nesse quesito Roraima esta distante não apenas da realidade nacional, onde o Brasil
apresenta 68,7% de seus domicílios urbanos com acesso aos serviços de coleta de esgotos,
como também muito abaixo dos resultados observados a nível mundial, que apresenta os
piores resultados. Assim, dados os resultados encontrados, observa se que 82,7% dos
domicílios urbanos do Estado de Roraima não possuem acesso aos serviços de coleta de
esgotos, o que representa um déficit muito significativo.
na coleta de lixo, observou-se que o Estado de Roraima apresenta ótimos
61
resultados: 97,2% de seus domicílios urbanos possuem acesso a este serviço, seja através da
coleta direta ou indireta, superando todos os Estados da Região Norte, bem como as demais
Regiões brasileiras, sendo que o país apresenta 97,9% de seus domicílios com acesso.
Portanto, apenas 2,8% dos domicílios particulares permanentes urbanos do Estado de Roraima
não possuem acesso aos serviços de coleta de lixo.
Em suma, as expectativas iniciais levantadas nesta dissertação foram confirmadas,
através dos resultados analisados para os três serviços que compõem o saneamento básico:
abastecimento de água, coleta de esgotos e coleta de lixo. Quanto às metas que compõem os
Objetivos de Desenvolvimento do Milênio, ligadas ao saneamento básico, vale destacar que
os dados mostraram que o Estado de Roraima praticamente cumpriu a meta quanto ao acesso
aos serviços de abastecimento de água, já que apenas 3,1% de seus domicílios urbanos ainda
não possuem acesso a este serviço, o que deverá ser sanado nos próximos anos.
O mesmo não pode ser dito a respeito da meta do milênio referente ao acesso aos
serviços de coleta esgoto, uma vez que esse serviço é o que apresenta os piores resultados:
apenas 17,3% dos domicílios urbanos do Estado de Roraima possuem acesso a esse serviço.
Dessa forma, para que o Estado de Roraima alcance a meta do milênio referente ao serviço de
coleta de esgoto até o ano de 2015, serão necessários altos investimentos visando a redução
desse déficit.
As perspectivas para o setor são promissoras, em virtude dos investimentos
disponíveis, como por exemplo, o Plano Plurianual Roraimense 2008/2011, onde estão
previstos R$ 44 milhões, que serão destinados para 16.542 novas ligações de esgoto sanitário
e 15.380 novas ligações de água tratada. Além disso, o Estado de Roraima firmou convênio
com o Ministério das Cidades, onde estão previstos um volume total de R$ 243 milhões
provenientes do Programa de Aceleração do Crescimento/PAC, que serão destinados para a
universalização dos serviços de abastecimento de água e para a ampliação do sistema de
esgoto sanitário.
A expectativa é a de que ao final desses investimentos o Estado possua 100% de sua
população com acesso aos serviços de abastecimento de água, além de 56% de sua população
atendida com os serviços de coleta de esgoto sanitário, sendo que todo o esgoto coletado será
tratado. E finalmente, observou-se ainda que necessidade de se realizar um trabalho de
conscientização da população do Estado, quanto à importância e os benefícios da coleta
seletiva, de modo que num futuro próximo esse sistema seja finalmente adotado. Além disso,
cabe ressaltar que se tornam indispensáveis os investimentos e a implantação de projetos
voltados a reciclagem de resíduos sólidos, por conta das questões ambientais envolvidas.
62
REFERÊNCIAS
BENCHIMOL, Samuel. Zênite ecológico e nadir econômico-social análise e propostas
para o desenvolvimento sustentável da Amazônia. Manaus: Editora Valer, 2001.
BIANCHI, J. R. Programas Federais para Saneamento Básico com Recursos do
Orçamento Geral da União: Estudo sobre os Investimentos Realizados pelos Municípios da
Bacia Hidrográfica Turvo/Grande (UGRHI 15) 1996 a 2004. Dissertação (Mestrado).
Programa de Mestrado em Desenvolvimento Regional e Meio Ambiente do Centro
Universitário de Araraquara UNIARA, 2001, 106 p.
BRASIL. MINISTÉRIO DAS CIDADES. 2003. Disponível em <http://www.cidades.gov.br>.
Acesso em: jun 2009.
BRASIL. MINISTÉRIO DO TRABALHO E EMPREGO. Cadastro Geral de empregados e
desempregados 2007. Disponível em: <http://www.mte.gov.br/caged >Acesso em: jun 2009
COMPANHIA DE ÁGUAS E ESGOTOS DE RORAIMA. <http://www.caer.com.br>.
Acesso em: mai 2009.
CUNHA JUNIOR. Nelson Peralta. Percepção pública como subsídio aos problemas de
saneamento básico. 2007. 248 f. Tese (Doutorado em Ciências da Engenharia Ambiental)
Escola de Engenharia de São Carlos, Universidade de São Paulo. São Carlos. 2007.
FUNDAÇÃO NACIONAL DE SAÚDE. Disponível em: < http://www.funasa.gov.br>.
Acesso em: jun 2009.
GIL, A.C. Métodos de pesquisa social. 5. ed.São Paulo: Atlas, 1999. 206 p.
GIL, A. C. Técnicas de Pesquisa em Economia e Elaboração de Monografias. ed. São
Paulo: Atlas, 2000.
IBAM. Revista de Administração Municipal. 2008, nº 265, janeiro/fevereiro/março. Ano 53.
IBGE. Censo Demográfico 2000. Disponível em: <http://www.ibge.gov.br>. Acesso em: mar
2009.
63
IBGE. Contagem populacional 2007. Disponível em: <http://www.ibge.gov.br.> Acesso em:
mar 2009.
IBGE. Disponível em: <http://www.ibge.gov.br.> Acesso em: mar 2009.
IBGE. Pesquisa Nacional por Amostra de Domicílios 2001-2007. Disponível em:
<http://www.ibge.gov.br.> Acesso em: mar 2009.
IPEA. Comunicado da Presidência 13, Pnad-2007: Primeiras Análises. Volume 5 -
saneamento básico e habitação, 2008.
MOREIRA, J.N.M. Custos e Preços como Estratégia Gerencial em uma Empresa de
Saneamento. Dissertação (Mestrado). Programa de Pós-Graduação em Engenharia de
Produção - UFSC, 1998.
OLIVEIRA, Mariá Vendramini Castrignano de; CARVALHO, Anésio Rodrigues de.
Princípios básicos do saneamento do meio. São Paulo: SENAC São Paulo, 9ª Ed. 2003.
PANAYOTOU, Theodore. Mercados verdes: a economia do desenvolvimento alternativo.
Rio de Janeiro: Ed. Nórdica Ltda, 1994.
PASSETO, Wilson. Dossiê do saneamento: esgoto é vida: pela incorporação da coleta,
tratamento e disposição do esgoto sanitário na agenda de prioridades dos municípios
brasileiros. 4. ed. [São Paulo]: CEDIPLAC, 2006. 68 p. Disponível em:
http://www.esgotoevida.org.br/download/dossie_saneamento.pdf. Acesso em: 10 out. 2008.
PNUD Programa das Nações Unidas para o Desenvolvimento: www.pnud.org.br. Acesso
em: 03 out. 2008.
PNUD, IDHS/PUC Minas, UFPA. Região Norte. - Belo Horizonte: PUC Minas Virtual,
2007. Disponível em: www.pnud.org.br. Acesso em: 10 set. 2008.
QUEIROZ, Fernanda Bier. A economia do saneamento básico no desenvolvimento
sustentável. 2007. 46 f. Monografia (Graduação em Ciências Econômicas) Faculdade de
Ciências Econômicas, Universidade Federal do Rio Grande do Sul. Porto Alegre. 2007.
Saneamento Básico. Economia Net. Disponível em: www.economiabr.net. Acesso em: 10
set. 2008.
SANEAR. A revista do Saneamento. 2008, n°3. Ano II, Agosto/2008. ISSN 1983-7461.
64
SANEAR. A revista do Saneamento. 2009, n°5. Abril/2009. ISSN 1983-7461.
SANEAR. A revista do Saneamento. 2009, n°6. Maio/2009. ISSN 1983-7461.
SECRETARIA DE ESTADO DE PLANEJAMENTO E DESENVOLVIMENTO
SEPLAN/RR. Disponível em: < http://www.seplan.rr.gov.br>. Acesso em: jul 2009.
SECRETARIA DO PLANEJAMENTO E DESENVOLVIMENTO DE RORAIMA. Produto
Interno Bruto Estadual e Municipal. Boa Vista: 2008.
______________________________________________________________. Plano
Plurianual 2008-2011. Boa Vista: 2008.
_________________________________________________________________.Zoneamento
Ecológico Econômico da Região Central do Estado de Roraima. Tomo I. Boa Vista, 2002.
SOUZA, Nali de Jesus de. Desenvolvimento econômico. São Paulo: Atlas, 2005.
UNB - Sustentabilidade ambiental: objetivo 7. [organização] UnB, PUC Minas, PNUD.
Belo Horizonte: PUC Minas/IDHS, 2004.
XIMENES, T (Org.). Perspectivas do desenvolvimento sustentável (uma contribuição
para a Amazônia 21). Belém: Universidade Federal do Pará. Núcleo de Altos Estudos
Amazônicos; Associação de Universidades Amazônicas, 1997.
Livros Grátis
( http://www.livrosgratis.com.br )
Milhares de Livros para Download:
Baixar livros de Administração
Baixar livros de Agronomia
Baixar livros de Arquitetura
Baixar livros de Artes
Baixar livros de Astronomia
Baixar livros de Biologia Geral
Baixar livros de Ciência da Computação
Baixar livros de Ciência da Informação
Baixar livros de Ciência Política
Baixar livros de Ciências da Saúde
Baixar livros de Comunicação
Baixar livros do Conselho Nacional de Educação - CNE
Baixar livros de Defesa civil
Baixar livros de Direito
Baixar livros de Direitos humanos
Baixar livros de Economia
Baixar livros de Economia Doméstica
Baixar livros de Educação
Baixar livros de Educação - Trânsito
Baixar livros de Educação Física
Baixar livros de Engenharia Aeroespacial
Baixar livros de Farmácia
Baixar livros de Filosofia
Baixar livros de Física
Baixar livros de Geociências
Baixar livros de Geografia
Baixar livros de História
Baixar livros de Línguas
Baixar livros de Literatura
Baixar livros de Literatura de Cordel
Baixar livros de Literatura Infantil
Baixar livros de Matemática
Baixar livros de Medicina
Baixar livros de Medicina Veterinária
Baixar livros de Meio Ambiente
Baixar livros de Meteorologia
Baixar Monografias e TCC
Baixar livros Multidisciplinar
Baixar livros de Música
Baixar livros de Psicologia
Baixar livros de Química
Baixar livros de Saúde Coletiva
Baixar livros de Serviço Social
Baixar livros de Sociologia
Baixar livros de Teologia
Baixar livros de Trabalho
Baixar livros de Turismo