Download PDF
ads:
Bernardo Kulnig Pagnoncelli
Sample average approximation for chance
constrained programming
TESE DE DOUTORADO
Thesis presented to the Postgraduate Program in Mathemtics of
the Departamento de Matem´atica, PUC-Rio as partial fulfillment
of the requirements for the degree of Doutor em Matem´atica
Adviser : Prof. Carlos Tomei
Co–Adviser: Prof. Shabbir Ahmed
Co–Adviser: Prof. Alexander Shapiro
Co–Adviser: Prof. Humberto Jos´e Bortolossi
Rio de Janeiro
February 2009
PUC-Rio - Certificação Digital Nº 0510535/CA
ads:
Livros Grátis
http://www.livrosgratis.com.br
Milhares de livros grátis para download.
Bernardo Kulnig Pagnoncelli
Sample average approximation for chance
constrained programming
Thesis presented to the Postgraduate Program in Mathema-
tics, of the Departamento de Matem´atica do Centro T´ecnico
Cient´ıfico da PUC-Rio, as partial fulfillment of the requirements
for the degree of Doutor.
Prof. Carlos Tomei
Adviser
Departamento de Matem´atica PUC-Rio
Prof. Shabbir Ahmed
Co–Adviser
H. Milton Stewart School of Industrial & Systems Engineering
Georgia Institute of Technology
Prof. Alexander Shapiro
Co–Adviser
H. Milton Stewart School of Industrial & Systems Engineering
Georgia Institute of Technology
Prof. Humberto Jos´e Bortolossi
Co–Adviser
Instituto de Matem´atica UFF
Prof. H´elio ortes Vieira Lopes
Departamento de Matem´atica PUC-Rio
Prof. Cristiano Fernandes
Departamento de Engenharia El´etrica PUC-Rio
Prof. Alexandre Street
Departamento de Engenharia El´etrica PUC-Rio
Prof. H´elio dos Santos Migon
Instituto de Matem´atica UFRJ
Prof. Beatriz Vaz de Melo Mendes
Instituto de Matem´atica UFRJ
Prof. Roberto Imbuzeiro
IMPA
Prof. Jos´e Eugenio Leal
Coordenador Setorial do Centro T´ecnico Cient´ıfico PUC–Rio
Rio de Janeiro February 3, 2009
PUC-Rio - Certificação Digital Nº 0510535/CA
ads:
All rights reserved.
Bernardo Kulnig Pagnoncelli
Bernardo Kulnig Pagnoncelli obtained his B.Sc. diploma in
pure mathematics from PUC-Rio in 2002 a nd his M.Sc. title
in applied mathematics in 2004, with the dissertation “Ap-
plications of the tensor product in numerical analysis”, under
the supervision of Carlos Tomei. He joined the Ph.D. program
at PUC-Rio in March 2005 and was invited to spend 2007 at
H. Milton Stewart School of Industrial Systems & Engineering
Department at the Georgia Institute of Technology (Atlanta,
U.S.A.) by Professor Shabbir Ahmed, one of his co-advisers.
Bibliographic data
Pagnoncelli, Bernardo K.
Sample average approximation for chance constrained
programming / Bernardo Kulnig Pagnoncelli; adviser: Carlos
Tomei; co–adviser: Shabbir Ahmed et.al. 2009.
53 f: il. ; 30 cm
Tese (Doutorado em Matem´atica) Pontif´ıcia Universi-
dade Cat´olica do Rio de Janeiro, Rio de Janeiro, 2009.
Inclui bibliografia.
1. Matem´atica Teses. 2. Stochastic Programming. 3.
Chance Constraints. 4. Sampling Methods. 5. Provisioning
problem. I. Tomei, Carlos. II. Ahmed, S.. III. Pontif´ıcia
Universidade Cat´olica do Rio de Janeiro. Departamento de
Matem´atica. IV. T´ıtulo.
CDD: 510
PUC-Rio - Certificação Digital Nº 0510535/CA
`
A minha mulher Daniela e aos meus pais Dante e Zuza
PUC-Rio - Certificação Digital Nº 0510535/CA
Acknowledgments
To my Adviser Carlos Tomei for the constant help and friendship during
those four years and for always challenging me to do my best. Thank you for
placing your bets on a different project and for believing in my potential.
To Shabbir Ahmed for the invitation to spend one year at Georgia
Tech under his supervision. Thank you for showing me how to do research
in sto chastic programming and for all the support during my stay in Atlanta.
To Alexander Shapiro for participating so lively in my research project
and for always being available to answer my questions with infinite patience.
To Humberto Bortolossi for inviting me to join a series of weekly seminars
during my PhD, which were my very first contact with stochastic programming.
Thank you for all the collaboration we had during those four years and I hope
we will continue to work to gether for a long time.
To the members o f my committee for the careful reading of the manus-
cript and for the the suggestions that certainly made the text clearer.
To Helder Inacio for helping me with computational issues on the thesis
that made my life a lot easier. Many thanks for listening carefully to me while
I spoke about my work a nd for the suggestions of improvement of the text.
Thank you for the friendship during my stay at Georgia Tech and for t he
uncountable soccer matches.
To Ricardo, Marta and Felipe Fukasawa for everything they did for me
and for my wife during our stay in Atlanta. Your help, advice and friendship
were very imp ortant to us and without them our life a t Georgia Tech would
have been harder and less funny.
To Felipe Pina and Marcos Lage for the help and suggestions that
contributed directly to the improvement of the thesis.
To all t he g reat friends I made in Atlanta: Yao-Hsuan Chen, Claudio
Santiago, Daniel Faissol, Eliana & Jim, Luiz & Diana, Roberto & Mariana,
Luciano & Denise, Danny & Johnny, Daniel & L´ıvia and Lili.
To all my friends at PUC for the support a nd friendship, in particular
Miguel Schnoor, Aldo Ferreira da Silva, Renato Zanforlin (in memoriam),
Eduardo Teles, G uilherme Frederico Lima, R egina Fukuda, Jo˜ao Romanelli,
Jos´e Cal Neto, Yuri Ki, Jessica Kubrusly, Juliana Val´erio, Kennedy Pedroso,
Renato Adelino, Andr´e Carneiro, Marina Dias, D´ebora Mondaini, Carlos
Pe˜nafiel, Inˆes de Oliveira, abio de Souza, Jo˜ao Domingos, Lhaylla Crissaff,
Luiz Felipe Fran¸ca.
To all the Professors of the Mathematics Department at PUC-Rio for the
inestimable contribution to my education, specially Fred Palmeira.
PUC-Rio - Certificação Digital Nº 0510535/CA
To my friends Diogo Haddad, Diogo Montes, Paula Abreu, Leandro
& Tatiana, Fl´avia Cordeiro, Beatriz Malajovich, Tania Vasconcelos, S´ergio
Almaraz, Lucas Sigaud and Priscila Almeida.
To my grandmother Deliza Pagnoncelli and to my brother Eduardo
Pagnoncelli for always thinking I was doing something important.
To N´eia for tolerating me all those years and for providing me my every
day food.
To my family and my wife’s family for the constant support.
To the staff of the Mathematics Department at PUC-Rio atia, Creuza,
Ana, Orlando and Ot´avio for always being so nice to me.
To PUC-Rio, FUNENSEG and CAPES for the financial support.
PUC-Rio - Certificação Digital Nº 0510535/CA
Abstract
Pagnoncelli, Bernardo K.; Tomei, Carlos; Ahmed, S.; Shapiro,
A.; Bortolossi, Humberto Jos´e. Sample average approximation
for chance constrained programming. Rio de Janeiro, 2009.
53p. TESE DE DOUTORADO Department of Mathematics,
Pontif´ıcia Universidade Cat´olica do R io de Janeiro.
We study sample approximations of chance constrained problems through
the sample average approximation (SAA) approach and prove the related
convergence properties. We discuss how to use the SAA method to obtain
good candidate solutions and bounds for the optimal value of t he original
problem. In o r der to tune the parameters of SAA, we apply the method
to two chance constrained problems. The first is a linear portfolio selection
problem with returns following a multivariate lognormal distribution. The
second is a joint chance constrained version of a simple blending problem.
We conclude with a more demanding application of SAA methodology to
the determination of the minimum provision an economic agent must have
in order to meet a series of future payment o bligations with sufficiently high
probability.
Keywords
Stochastic Programming. Chance Constraints. Sampling Methods.
Provisioning problem.
PUC-Rio - Certificação Digital Nº 0510535/CA
Resumo
Pagnoncelli, Bernardo K.; Tomei, Carlos; Ahmed, S.; Shapiro, A.;
Bortolossi, Humberto Jos´e. M´etodo da aproxima¸c˜ao amostral
para restri¸oes probabil´ısticas. Rio de Janeiro, 2009. 53p.
Tese de Doutorado Departa mento de Matem´atica, Pontif´ıcia
Universidade Cat´olica do Rio de Janeiro.
Estudamos aproximoes amostrais de problemas com restri¸oes proba-
bil´ısticas atrav´es da aproxima¸ao pela edia amostral (SAA) e demons-
tramos as propriedades de convergˆencia relacionadas. Utilizamos SAA para
obter bons candidatos `a solu¸ao e cotas estat´ısticas para o valor ´otimo
do problema original. Para ajustar corretamente parˆametros, aplicamos o
m´etodo a dois problemas com restri¸oes probabil´ısticas. O primeiro ´e um
problema de sele¸ao de po r tfolio linear com retornos seguindo uma distri-
bui¸ao lognormal multivariada. O segundo ´e uma vers˜ao com restri¸oes pro-
babil´ısticas conjuntas de um problema da mistura simplificado. Conclu´ımos
com uma aplica¸ao mais exigente ao problema de se determinar a proviao
m´ınima que um agente econˆomico deve ter de forma a satisfazer uma s´erie
de obriga¸oes futuras com probabilidade suficientemente alta.
Palavras–chave
Otimiza¸ao Estoastica. Restri¸oes Probabil´ısticas. M´etodos Amos-
trais. Problema de Reserva.
PUC-Rio - Certificação Digital Nº 0510535/CA
Contents
1 Introduction 11
2 Chance constrained programming 15
2.1 An example 15
2.2 Single and joint constraints 16
2.3 Some properties and special cases 18
3 Sample Average Approximation 21
3.1 Theoretical background for SAA 21
4 Two applications of SAA 27
4.1 Portfolio problem 27
4.2 A blending problem 35
5 From separated to j oint variables: the hurdle-race problem 39
5.1 The hurdle-race problem and comonotonicity 40
5.2 The joint hurdle-race problem 41
5.3 Stochastic hurdles 44
6 Conclusion 47
PUC-Rio - Certificação Digital Nº 0510535/CA
Ah! Doutor! Doutor!... Era m ´agico o t´ıtulo,
tinha poderes e alcances ultiplos, arios, po-
lif´ormicos... Era um palli um, era alguma coisa
como clˆamide sagrada, tecida com um fio
tˆenue e quase imponder´avel, mas a cujo en-
contro os ele mentos, os maus olhare s , os exor-
cismos se quebravam. De posse dela, as go-
tas de chuva af astar-se-iam transidas do meu
corpo, ao se animariam a tocar-me nas rou-
pas, no calado sequer. O invisvel distribui-
dor dos raios solares escolheria o s mais me i -
gos para me aquecer, e gastaria os fortes, os
inexor´aveis, com o comum dos homens que
ao ´e doutor. Oh! Ser formad o, de anel no
dedo, sobrecasaca e cartola, inflado e grosso,
como um sapo antes de ferir a martelada `a
beira do brejo; andar assim pelas ruas, pelas
prcas, pelas estradas, pelas sala s, recebendo
cumprimentos: Doutor, como passou? Como
est´a, doutor? Era sobre-humano!...
Lima Barreto, Recorda¸oes do Escriv˜ao Isa´ıas Caminha.
PUC-Rio - Certificação Digital Nº 0510535/CA
1
Introduction
The field of stochastic programming is mainly concerned with t he deve-
lopment of models a nd algorithms for optimization pro blems with uncertainty.
More often than not the constants of an optimization problem are only ap-
proximations of measured quantities that could hardly be known to high ac-
curacy. For instance in [BN], the authors analyze the set of problems of the
well-known NETLIB library and perform their sensitivity analysis. Using robust
optimization techniques, they show that feasibility of the usual optimal solu-
tion of linear programs can indeed be heavily affected by small perturbations
in problem data.
The first publications in the field of stochastic programming appeared
in the 1950’s [BEA], [DAN], [CCS]. The subject received moderate attention
until the early nineties, when an explosion in the numb er of publications took
place. Stochastic programming is a powerful tool to deal with uncertainty and,
unlike other approaches such as ro bust optimization, models the coefficients
as random variables with known joint distribution. From the point of view
of applications, such assumption may be quite demanding, specially if t here
is not enough data to correctly approximate the distribution of parameters.
However, in some cases one does not need to have a complete knowledge
of the distribution o f the parameters. It is enough, instead, to have an
algorithm which generates samples from the random variables in the problem.
Furthermore, we believe that in most situations even a subjective choice of the
joint distribution serves the decision maker well.
There are two main approaches to stochastic programming: two-stage
problems with recourse and chance constrained progr amming. In two-stage
models, the decision maker chooses an action in the present without knowing
the outcome of future events. After the uncertainty is revealed, he then
takes the best possible recourse action to (possibly) correct the unwanted
consequences of his first decision. Deviations fro m the goals are penalized
by the objective function. Such framework has applications in several fields
such as finance [AHM], electricity generation [LS],[PP], hospital budgeting
[KQ], production planning [PBK], etc. We refer the reader to [SR] for a
PUC-Rio - Certificação Digital Nº 0510535/CA
detailed discussion of the theoretical properties and more examples of two-
stage problems. Among the efficient algorithms which deal with two-stage
problems, one of t he most popular is t he L-shap ed method, which is essentially
Benders decompositions applied to the so-called extensive form of a two-stage
problem (see [HV], [BP]). O t her important methods based on sampling are
the Stochastic Decomposition ([HS]) and the sample average approximation
for two-stage problems ([LSW]).
The second approach, which is the focus of this thesis, is chance cons-
trained programming, sometimes referred to as probabilistic programming. The
subject was introduced by Charnes, Cooper and Symmonds [CCS] and have
been extensively studied since. For a theoretical background we may refer to
Pr´ekopa [PREb] where an extensive list of references can be found. Applica-
tions include, e.g., water management [DGKS], soil management [ZTSK] and
optimization of chemical processes [HLMS],[HM].
In chance constrained programming, the decision maker is interested in
satisfying his goal “most of the time”, that is, he admits constraint violation
for some realizations of the r andom events. While two-stage problems penalize
deviations from goals, chance constrained programming considers only the
possibility of infeasibility, regardless of the amount by which the constraints
are violated. In other words, the former approach measures risk quantitatively
while the latter does it qualitatively. We consider problems of the fo r m
Min
xX
f(x)
s.t. Prob
G(x, ξ) 0
1 ε,
(1-1)
where X R
n
, ξ is a random vector
1
with probability distribution P supported
on a set Ξ R
d
, constraints are expressed through G : R
n
× Ξ R
m
,
f : R
n
R is the objective function and ε (0, 1) is the reliability level.
Although chance constraints were introduced almost 50 years ago, little
progress was made until recently. Even for simple functions G (·, ξ), e.g., linear,
problem (1-1) may be extremely difficult to solve numerically. One of the
reasons is that for a given x X the quantity Prob {G(x, ξ) 0} requires
a multi-dimensional integration. Thus, it may happen t ha t the only way t o
check feasibility of a point x X is by Monte-Carlo simulation. Moreover,
convexity of X and of G(·, ξ) does not imply the convexity of the feasible set
of problem (1-1).
That led to two somewhat different directions of research. One consists of
discretizing the probability distribution P a nd solving the related combinato-
1
We use the same notation ξ to denote a random vector and its particular realization.
Which of these two meanings will be used will be clear from the context.
PUC-Rio - Certificação Digital Nº 0510535/CA
rial problem (see, e.g., [DPR], [LAN]). Another approach is to employ convex
approximations of chance constraints ([NS]). As active members in this lines
of research, A. Shapiro and S. Ahmed have been working recently in the the-
ory of sampling and simulation applied to chance constrained programming.
The sample average approximation (SAA) studied in this thesis is a sampling
method for joint chance constrained problems or problems with a single chance
constraint. The approach is natural, and, as will be seen, it is a flexible tool
which can alleviate several difficulties such as non-convexity and the intracta-
bility of the probabilistic constraint.
In the third year of my doctorate in Atlanta, Ahmed and Shapiro
introduced me to some theoretical aspects of SAA, and we proceeded to clarify
foundations in order to advance to interesting applications. Ahmed’s previous
sup ervision of J. Luedtke [LA] gave rise to convergence results o f SAA on
specific scenarios, which were then used on probabilistic versions of the set
covering and transpo r t ation problems. In this text we continue this path with
the fo llowing contributions: first, the theoretical results vindicate t he numerical
approximations; then we provide further empirical evidence on how t o choose
the parameters involved in SAA and how to use it to solve chance constrained
problems. Part of this material may be found in [PAS].
Chapter 2 contains some basic results about chance constrained pro-
blems, with emphasis on hypotheses leading to the convexity of the feasible
set. In Chapter 3 we provide theoretical background and present the main re-
sults about sample approximations of (1-1). We state and prove convergence
results and describe how to construct bounds for the optimal value of chance
constrained programs.
In Chapter 4, we apply SAA to two rather simple problems, which
allow for verification of our methods. The first is a linear portfolio selection
problem with 10 assets, in the spirit of Markowitz ([MAR]). We consider two
very distinct situations: the distribution of the returns of the assets is either
multivariate normal or lognormal. In the first case, the explicit solution is well
known: we use it as a benchmark to our numerics. The second problem is a
simple blending pro blem modeled as a joint chance constrained problem, for
which, again, the explicit solution is known.
In Chapter 5 we turn our attention to a more realistic problem arising
from actuarial sciences, the hurdle-race problem, proposed in [VDGK]. It
consists of a decision maker who needs to determine the current capital
(provision) required to meet future obligations. Furthermore, for each period
separately he needs to keep his capital above given thresholds, the hurdles,
with high probability. In [VDGK], the a uthor s make use of comonotonicity
PUC-Rio - Certificação Digital Nº 0510535/CA
([DDGa], [DDGb]) to obtain candidate solutions to the problem.
I contacted S. Vanduffel, the corr esponding author of [VDGK], and
proposed a variant of the hurdle-race problem, the joint hurdle-race problem.
Instead of separate hurdles, the decision maker has to pass the whole collection
of hurdles with high probability. This phrasing is clearly more adequate from
an actuarial point of view. Comonotonicity cannot be easily applied to the joint
version, but SAA yields good candidate solutions t o the problem. Both models
are compared in the original hurdle-race format, and numerical evidence of the
robustness of the joint formulation is provided in Section 5.2.1.
In addition, we extend the formulation to include stochastic hurdles, so
that the hurdles itself are not known at (known) future times and depend on
discounted values of futures obligations at the risk free rate. Although the
model becomes more involved, SAA handles the extension by essentially the
same computational cost.
Chapter 6 concludes the thesis with a summary of the results and future
directions of research.
We use the following notation throughout the text. The integer part of
number a R is denoted by a. By Φ(z) we denote the cumulative distribution
function (cdf) of standard normal random variable and by z
ε
the corresponding
εquantile, i.e., Φ(z
ε
) = 1ε, for ε (0, 1). The cdf B(k; p, N) of the binomial
distribution is
B(k; p, N ) :=
k
i=0
N
i
p
i
(1 p )
N i
, k = 0, ..., N.
(1-2)
For sets A, B R
n
we denote by
D(A, B) := sup
xA
dist(x, B)
(1-3)
the deviation of set A from set B.
PUC-Rio - Certificação Digital Nº 0510535/CA
2
Chance constrained programming
In this Chapter we give a brief introduction to chance constrained
programming. The goals are to motivate the subject and to give the reader an
idea of the r elated difficulties. All proofs are omitted: we indicate references
where rigorous deductions can be found.
2.1
An example
At t he risk of being repetitive, we start giving an example f rom [HV] of a
simple chance constraint that illustrates one of the difficulties associated with
this formulation. The simplicity of the example makes it essentially unique.
For x
1
, x
2
R, ε [0, 1], let
p(x) = Prob{ξx
1
+ x
2
7} 1 ε
be a chance constraint, where ξ is uniformly distributed in [0, 1], with cumu-
lative distribution
F (t) =
0, if t (−∞, 0),
t, if t [0, 1],
1 otherwise.
In the general framework defined in (1-1), we have
G(x, ξ) = ξx
1
x
2
+ 7. (2-1)
We are interested in a n explicit representation of the set
C(ε) = {(x
1
, x
2
) R
2
: p(x) 1 ε}. (2-2)
If x
1
= 0, we clearly need to have x
2
7. If x
1
> 0,
p(x) = P (ωx
1
+ x
2
7) = P
ω
7 x
2
x
1
= 1 F
7 x
2
x
1
. (2-3)
Thus,
p(x) 1 ε F
1
(ε)x
1
+ x
2
7.
PUC-Rio - Certificação Digital Nº 0510535/CA
0
10
-10
α = 0.3
10
14
5
Figure 2.1: The set C(0.3).
Figure 2.2: The set C(0.7).
Proceeding in an a na logous way fo r the case x
1
< 0, we end up with
C(ε) = C
+
(ε)
C
0
(ε)
C
(ε), where
C
+
(ε) =
x R
2
| x
1
> 0 , F
1
(ε)x
1
+ x
2
7
,
C
0
(ε) =
(0, x
2
) R
2
| x
2
7
,
C
(ε) =
x R
2
| x
1
< 0 , x
1
F
1
(1 ε) + x
2
7
.
Figures 2.1 and 2.2 show the sets C(0.3) and C(0.7).
Clearly, from Figure 2.2, one cannot expect to have convex feasible sets
for chance constrained programs even for linear functions G . Convexity is
restored by requiring additional hypothesis, as shown below.
2.2
Single and joint constraints
There are essentially two ways of writing a chance constrained model. We
can have several separated constraints, each one representing one goal. Formu-
lation (1-1) represent the situation of a single separated chance constraint,
which is amenable to the SAA approach we discuss later. A general separated
chance constrained problem can be written as follows.
min
xX
f(x)
s.t. p
i
(x) := Prob
G
i
(x, ξ) 0
1 ε
i
, i = 1, . . . , m,
(2-4)
where ε
i
[0, 1 ]. A point x is feasible to problem (2-4) if it belongs to the set
C(ε
1
, ε
2
, . . . , ε
m
) =
m
i=1
C
i
(ε
i
),
where
C
i
(ε
i
) =
x R
n
| p
i
(x) 1 ε
i
.
PUC-Rio - Certificação Digital Nº 0510535/CA
Another possibility is having a number of constraints modeled as a single
one as follows.
Min
xX
f(x)
s.t. p(x) := Prob
G
1
(x, ξ) 0, G
2
(x, ξ) 0, . . . , G
m
(x, ξ) 0
1 ε,
(2-5)
with ε [0, 1]. Formulation (2-5) is refereed to as a joint chance constrained
problem since all the constraints G
i
(x, ξ) 0 are taken jointly. A point x is
feasible to problem (2-5) if it belongs to the set
C(ε) =
x R
n
| p(x) 1 ε
.
Fr om a modeling point of view, sometimes it makes sense to model all the
constraints jointly if they together describe o ne g oal. In [HEN], the author
presents a cash matching problem using both separated and joint chance
constraints. He compares the robustness of both formulations in the financial
context and performs experiments showing the difference between the two
approaches. We will have the opportunity to compare both formulations when
we discuss the joint hurdle- race problem in Chapter 5.
Joint chance constrained problems are usually hard to solve because
the joint expression in (2-5) requires a multidimensional integration to be
computed. Even checking feasibility for a given candidate solution cannot be
done easily and Monte-Carlo is required. There are some algorithms available
for those problems such as Sz´antai’s method ([HV]) or the solvers PCSPIOR,
PROCON and PROBALL [KM], but they are restricted to multivariate normal
distributions. Furthermore, they only deal with linear chance constraints with
constant technology matrix [HV]. Other examples of algorithms are the SUMT
and the supporting hyperplane method, described in detail in Chapter 5 of
[PREa].
There is an interesting result linking the two formulations.
Theorem 1 Let (2-5) be a joint chance constrained problem with reliability
level ε. If w e c hoose reliability levels ε
i
= 1 (1 ε)/m, i = 1 , . . . , m for the
separated problem (2 - 4), then
m
i=1
C
i
1
1 ε
m
C(ε),
that is, any feasible solution to the separated pro blem is feasible fo r the joint
problem for a suitable choice of reliability levels ε
i
.
Proof. The result follows directly from Bonferroni inequality [HV].
PUC-Rio - Certificação Digital Nº 0510535/CA
We can convert any joint chance constrained problem such as (2-5) into
the form (1-1) by using the max-function as follows.
Min
xX
f(x)
s.t. Prob
max
i=1...,n
G
i
(x, ξ)
0
1 ε.
(2-6)
It is straightforward to check t ha t problems (2-6) and (2-5) are equivalent.
Of course in some cases desired properties of the considered functions may b e
destroyed, but convexity is preserved and if the functions G
i
(·, ξ) are linear we
still can write (2-6) as a linear program. We will see an explicit example of
such operation when we discuss the blending problem.
2.3
Some properties and special cases
The following result gives basic properties of feasible sets of chance
constrained problems.
Theorem 2 a) Let p(x) be defi ned as in (2-5). We have that p(x) is upper
semicontinuous, that is
p(x) lim sup
y x
p(y), x R
n
,
and thus the set C(ε) is a closed set for all ε [0, 1].
b) The set C(ε) is nondecreasing: if 0 ε
1
< ε
2
1, then C(ε
1
) C(ε
2
).
In addition, C(1) = R
n
and C(ε) = for all ε [0, 1] if and only if the
set C(0) is non em pty.
Part b) is trivial. A proof of part a) can be found in [HV].
As shown in Section 2.1, the feasible set of a chance constrained problem
in general is not convex. However, there are results establishing convexity under
certain hypothesis on the function G and on the density function of the random
vector ξ. The most important is due to Pr´ekopa and Borell ([PREa]) and is
stated without proof.
Theorem 3 Assume the random vector ξ has a continuous probability distri-
bution with density function f. The followi ng statements hold:
a) If log f is concave (with log 0 = −∞), or
b) If f
1/m
is conve x (with 0
1/m
= ),
then the cumulative d i stribution function F is quasi-concave and hence C(ε)
is a convex set for all ε [0, 1].
PUC-Rio - Certificação Digital Nº 0510535/CA
Fortunately, there are several important distributions that satisfy the hypothe-
sis of Theorem 3. We give two examples:
Uniform distribution. Let D be a convex subset of R
n
with finite measure
|D|. The probability density function is given by
f(x) =
1
|D|
if x D,
0 if x / D.
Normal distribution. The probability density function is defined by
f(x) =
1
|Σ|(2π)
n
2
exp
1
2
(xµ)
T
Σ
1
(xµ)
, x R
n
,
where µ is the expectation vector, Σ the covariance matrix of the
distribution and |Σ| is the determinant of Σ.
Other examples are the (multivariate) Beta and Gamma distributions. More
examples can be found in [PREa].
In the case the random variable ξ is discretely distributed, we can
formulate problem (1-1) as a mixed-integer linear program. Let us assume
Prob{ξ = ξ
k
} = p
k
, k = 1, . . . , K. Problem (1-1) becomes
Min
xX
f(x)
s.t.
K
k=1
p
k
1l
(−∞,0)
(G(x, ξ
k
)) 1 ε,
(2-7)
or, equivalently,
Min
xX
f(x)
s.t.
K
k=1
p
k
1l
(0,)
(G(x, ξ
k
)) ε,
(2-8)
Consider the following mixed-integer program.
Min
xX
f(x)
s.t. G(x, ξ
k
) Mz
k
0, k = 1, . . . , K ,
K
k=1
p
k
z
k
ε,
z {0, 1}
K
,
(2-9)
where M is a sufficiently large constant. We claim that (2-8) and (2-9) are
equivalent. Indeed, let (x, z
1
, . . . , z
k
) be a solution of problem (2-9). The
first constraint of (2-9) tells us that z
k
1l
(0,)
(G(x, ξ
k
)). From the second
constraint of (2-9) we have
ε
K
k=1
p
k
z
k
K
k=1
p
k
1l
(0,)
(G(x, ξ
k
)),
PUC-Rio - Certificação Digital Nº 0510535/CA
which implies that x is feasible for (2-8), with same objective value. Conversely,
let x be feasible for problem (2-8) and define z
k
:= 1l
(0,)
(G(x, ξ
k
)). We have
that (x, z
1
, . . . , z
k
) is feasible for (2-9) with same objective value, and thus both
problems are equivalent.
We conclude with a convexity result for discrete distributions. A proo f
can be found in [KW].
Proposition 4 Consider problem (2-5) with discrete distribution, that is, let
p
k
= Prob{ξ = ξ
k
}, k = 1, . . . , K. Then for
ε < min
k=1...,K
{p
k
}
the feasible set C(ε) is convex.
PUC-Rio - Certificação Digital Nº 0510535/CA
3
Sample Average Approximation
We have seen in Chapter 2 that chance constrained problems are usually
hard to solve and explicit solutions are only available in very pa rt icular cases.
The main idea of SAA is to replace the original problem by an approximate
problem obta ined via sampling from the distribution of the original problem.
We claim that good candidate solutions and bo unds on the true optimal
value can be obtained by solving such approximations. We start with the
theoretical background for the method, stating and proving consistency results.
The discussion follows [PAS].
3.1
Theoretical background for SAA
As stated in Chapter 1, we consider chance constrained problems
Min
xX
f(x)
s.t. Prob
G(x, ξ) 0
1 ε.
(3-1)
In order t o simplify the presentation we assume in this section that the
constraint function G : R
n
× Ξ R is real valued. Of course, a number
of constraints G
i
(x, ξ) 0, i = 1, . . . , m, can be equivalently replaced by one
constraint with the max-function as discussed in (2-6). We assume that the
set X is closed, the function f(x) is continuous and the function G(x, ξ) is a
Carath´eodory function, i.e., G(x, ·) is measurable for every x R
n
and G(·, ξ)
continuous for a.e. ξ Ξ.
Problem (3-1) can be written in the following equivalent form
Min
xX
f(x) s.t. p(x) ε, (3-2)
where
p(x) := P {G(x, ξ) > 0}.
Now let ξ
1
, . . . , ξ
N
be an independent identically distributed (iid) sample of N
realizations o f random vector ξ and P
N
:= N
1
N
j=1
∆(ξ
j
) be the respective
empirical measure. Here ∆(ξ) denotes measure of mass one at point ξ, and
hence P
N
is a discrete measure assigning probability 1/N t o each point ξ
j
,
PUC-Rio - Certificação Digital Nº 0510535/CA
j = 1, . . . , N. The sample average approximation ˆp
N
(x) of function p(x) is
obtained by replacing the ‘true’ distribution P by the empirical measure P
N
.
That is, ˆp
N
(x) := P
N
{G(x, ξ) > 0 }. Let 1l
(0,)
: R R be the indicator
function of (0, ), i.e.,
1l
(0,)
(t) :=
1, if t > 0,
0, if t 0.
Then we can write that p(x) = E
P
[1l
(0,)
(G(x, ξ))] and
ˆp
N
(x) = E
P
N
[1l
(0,)
(G(x, ξ))] =
1
N
N
j=1
1l
(0,)
G(x, ξ
j
)
.
That is, ˆp
N
(x) is equal t o the proportion of times that G(x, ξ
j
) > 0. The
problem, associated with the generated sample ξ
1
, . . . , ξ
N
, is
Min
xX
f(x) s.t. ˆp
N
(x) γ. (3-3)
We refer to problems (3-2) and (3-3) as the true and SAA problems, respec-
tively, at the respective significance levels ε and γ. Note that, fo llowing [LA]
and [PAS], we allow t he significance level γ 0 of the approximate problem to
be different from the significance level ε of the true problem. Next we discuss
the convergence of a solution of the SAA problem (3-3 ) to that of the true
problem (3-2 ) with respect to the sample size N and the significance level γ. A
convergence analysis of problem (3-3) has been given in [LA]. Here we present
complementary results under slightly different assumptions.
Recall that a sequence f
k
(x) of extended real valued functions is said to
epiconverge to a function f(x), written f
k
e
f, if f or any point x the following
two conditions hold: (i) for any sequence x
k
converging to x one has
lim inf
k→∞
f
k
(x
k
) f(x), (3-4)
(ii) there exists a sequence x
k
converging to x such that
lim sup
k→∞
f
k
(x
k
) f(x). (3-5)
Note that by the (strong) Law of Large Numbers (LLN) we have that for a ny
x, ˆp
N
(x) converges w.p.1 to p(x).
Proposition 5 Let G(x, ξ) be a Carath´eodory function. Then the functions
p(x) and ˆp
N
(x) are lower semicontinuous, and ˆp
N
e
p w . p.1. Moreover,
suppose that for every ¯x X the set {ξ Ξ : G(¯x, ξ) = 0} has P -m easure zero,
i.e., G(¯x, ξ) = 0 w.p.1. Then the function p(x) is continuous at every x X
and ˆp
N
(x) converges to p(x) w.p.1 uniformly on any compact set C X, i.e . ,
PUC-Rio - Certificação Digital Nº 0510535/CA
sup
xC
|ˆp
N
(x) p(x)| 0 w.p.1 as N . (3-6)
Proof. Consider function ψ(x, ξ) := 1l
(0,)
G(x, ξ)
. Recall that p(x) =
E
P
[ψ(x, ξ)] and ˆp
N
(x) = E
P
N
[ψ(x, ξ)]. Since the function 1l
(0,)
(·) is lower
semicontinuous and G(·, ξ) is a Carath´eodory function, it follows that the
function ψ(x, ξ) is random lower semicontinuous
1
(see, e.g., [RW, Proposition
14.45]). Then by Fatou’s lemma we have for any ¯x R
n
,
lim inf
x¯x
p(x) = lim inf
x¯x
Ξ
ψ(x, ξ)dP (ξ)
Ξ
lim inf
x¯x
ψ(x, ξ)dP (ξ)
Ξ
ψ(¯x, ξ)dP (ξ) = p(¯x).
This shows lower semicontinuity o f p(x). Lower semicontinuity o f ˆp
N
(x) can
be shown in the same way.
The epiconvergence ˆp
N
e
p w.p.1 is a direct implication of Artstein and
Wets [AW, Theorem 2.3]. Note that , of course, |ψ(x, ξ)| is dominated by an
integrable function since |ψ(x, ξ)| 1.
Suppose, further, that for every ¯x X, G(¯x, ξ) = 0 w.p.1, which
implies that ψ(·, ξ) is continuous at ¯x w.p.1. Then by the Lebesgue Dominated
Convergence Theorem we have for any ¯x X,
lim
x¯x
p(x) = lim
x¯x
Ξ
ψ(x, ξ)dP (ξ)
=
Ξ
lim
x¯x
ψ(x, ξ)dP (ξ) =
Ξ
ψ(¯x, ξ)dP (ξ) = p(¯x).
This shows that p(x) is continuous at x = ¯x. Finally, the uniform convergence
(3-6) follows by a version of the uniform Law of Large Numbers (see, e.g.,
[SHA, Proposition 7, p.363]).
By lower semicontinuity o f p(x) and ˆp
N
(x) we have that the feasible
sets of the ‘true’ problem (3-2) and its SAA counterpart (3-3) ar e closed sets.
Therefore, if the set X is bounded (i.e., compact), then problems (3-2) and (3-
3) have nonempty sets of optimal solutions denoted, respectively, as S and
ˆ
S
N
,
provided that these problems have nonempty feasible sets. We also denote by
ϑ
and
ˆ
ϑ
N
the optimal values of the true and the SAA problems, r espectively.
The following result shows that for γ = ε, under mild regularity conditions,
ˆ
ϑ
N
and
ˆ
S
N
converge w.p.1 to their counterparts of the true problem.
We make the following assumption.
(A) There is an optimal solution ¯x of the true problem (3-2) such that fo r
any ε > 0 there is x X with x ¯x ε and p(x) < ε.
1
Random lower semicontinuous functions are called normal integrands in [RW].
PUC-Rio - Certificação Digital Nº 0510535/CA
In other words the above condition (A) assumes existence of a sequence
{x
k
} X converging to an optimal solution ¯x S such that p(x
k
) < ε
for all k, i.e., ¯x is an accumulatio n point of the set {x X : p(x) < ε}.
Proposition 6 Suppose that the significance levels of the true and SAA
problems are the sa me, i.e . , γ = ε, the set X is com pact, the function f (x) is
continuous, G(x, ξ) is a Carath´eodory function, an d condition (A) holds. Then
ˆ
ϑ
N
ϑ
and D(
ˆ
S
N
, S) 0 w.p.1 as N .
Proof. By the condition (A), the set S is nonempty and there is x X
such that p(x) < ε. We have that ˆp
N
(x) converges to p(x) w.p.1. Consequently
ˆp
N
(x) < ε, and hence the SAA problem has a feasible solution, w.p.1 for N
large enough. Since ˆp
N
(·) is lower semicontinuous, the feasible set of the SAA
problem is compact, and hence
ˆ
S
N
is nonempty w.p.1 for N large enough. Of
course, if x is a feasible solution of an SAA pro blem, then f(x)
ˆ
ϑ
N
. Since
we can ta ke such point x arbitrary close to ¯x and f(·) is continuous, we obtain
that
lim sup
N
ˆ
ϑ
N
f(¯x) = ϑ
w.p.1. (3-7)
Now let ˆx
N
ˆ
S
N
, i.e., ˆx
N
X, ˆp
N
(ˆx
N
) ε and
ˆ
ϑ
N
= f(ˆx
N
). Since the
set X is compact, we can assume by passing to a subsequence if necessary that
ˆx
N
converges to a point ¯x X w.p.1. Also we have that ˆp
N
e
p w.p.1, and
hence
lim inf
N
ˆp
N
(ˆx
N
) p(¯x) w.p.1.
It fo llows that p(¯x) ε and hence ¯x is a feasible point of the true problem,
and thus f(¯x) ϑ
. Also f(ˆx
N
) f(¯x) w.p.1, and hence
lim inf
N
ˆ
ϑ
N
ϑ
w.p.1. (3-8)
It follows from (3-7) and (3-8) that
ˆ
ϑ
N
ϑ
w.p.1. It also follows that the
point ¯x is an optimal solution of the true problem and consequently we obtain
that D(
ˆ
S
N
, S) 0 w.p.1.
Condition (A) is essential for the consistency of
ˆ
ϑ
N
and
ˆ
S
N
. Think, for
example, about a situation where the constraint p(x) ε defines just one
feasible point ¯x such that p(¯x) = ε. Then arbitrary small changes in the
constraint ˆp
N
(x) ε may result in that t he feasible set of the corresponding
SAA problem becomes empty. Note also that condition (A) was not used in
the proof of inequality (3-8). Verification of condition (A) can be done by ad
hoc methods.
Suppose now that γ > ε. Then by Proposition 6 we may expect that with
increase of the sample size N, an optimal solution of the SAA problem will
PUC-Rio - Certificação Digital Nº 0510535/CA
approach an o ptimal solution of the true problem with the significance level
γ rather than ε. Of course, increasing the significance level leads to enlarging
the feasible set o f the true problem, which in turn may result in decreasing
of the optimal value of the true problem. For a point ¯x X we have that
ˆp
N
(¯x) γ, i.e., ¯x is a feasible point of the SAA problem, iff no more than γN
times the event G(¯x, ξ
j
) > 0” happens in N trials. Since probability of the
event G(¯x, ξ
j
) > 0” is p(¯x), it follows that
Prob
ˆp
N
(¯x) γ
= B
γN; p(¯x), N
. (3-9)
Recall that by Chernoff inequality [CHE], for k > Np,
B(k; p, N) 1 exp
N(k/N p)
2
/(2p)
.
It follows that if p(¯x) ε and γ > ε, then 1 Prob
ˆp
N
(¯x) γ
approaches
zero at a rate of exp(κN), where κ := (γ ε)
2
/(2ε). Of course, if ¯x is an
optimal solution of the true problem a nd ¯x is a feasible po int of t he SAA
problem, then
ˆ
ϑ
N
ϑ
. That is, if γ > ε, then the probability o f the event
ˆ
ϑ
N
ϑ
approaches one exponentially fast. By similar a na lysis we have
that if p(¯x) = ε and γ < ε, then probability t ha t ¯x is a feasible point of the
corresponding SAA problem approaches zero exponentially fast (cf., [LA]).
The above is a qualitative analysis. For a given candidate point ¯x X,
say obtained as a solution of a SAA problem, we would like to validate its
quality as a solution of the true problem. This involves two questions, namely
whether ¯x is a feasible po int of the true problem, and if so, then what is the
optimality ga p f(¯x) ϑ
. Of course, if ¯x is a feasible point of the true problem,
then f (¯x) ϑ
is nonnegative and is zero iff ¯x is a n optimal solution of the
true problem.
Let us start with verification of feasibility of ¯x. For that we need to
estimate the probability p(¯x). We proceed by employing again the Monte Carlo
sampling techniques. Generate an iid sample ξ
1
, ..., ξ
N
and estimate p(¯x) by
ˆp
N
(¯x). Note that this random sample should be generated independently of
a random procedure which produced the candidate solution ¯x, and that we
can use a very large sample since we do not need to solve any optimization
problem here. The estimator ˆp
N
(¯x) of p(¯x) is unbiased and for large N and
not “too small” p(¯x) its distribution can be approximated reasonably well by
the no r mal distribution with mean p(¯x) and variance p(¯x)(1 p(¯x))/N. This
leads to the following approximate (1 β)-confidence upper bound on p(¯x):
U
β,N
(¯x) := ˆp
N
(¯x) + z
β
ˆp
N
(¯x)(1 ˆp
N
(¯x))/N. (3-10)
PUC-Rio - Certificação Digital Nº 0510535/CA
A more accurate (1 β)-confidence upper bound is given by (cf., [NS]):
U
β,N
(¯x) := sup
ρ[0,1]
{ρ : B(k; ρ, N) β} , (3-11)
where k := N ˆp
N
(¯x) =
N
j=1
1l
(0,)
(G(¯x, ξ
j
)).
In order to get a lower bound for the optimal va lue ϑ
we proceed as
follows. Let us choose two positive integers M and N, and let
θ
N
:= B
γN; ε, N
and L be the largest integer such that
B(L 1; θ
N
, M) β. (3-12)
Next generate M independent samples ξ
1,m
, . . . , ξ
N,m
, m = 1, . . . , M, each of
size N, of random vector ξ. For each sample solve the associated optimization
problem
Min
xX
f(x)
s.t.
N
j=1
1l
(0,)
(G(x, ξ
j,m
)) γN,
(3-13)
and hence calculate its optimal value
ˆ
ϑ
m
N
, m = 1, . . . , M. That is, solve M times
the corresponding SAA problem at the significance level γ. It may happen
that problem (3-13) is either infeasible or unbounded from below, in which
case we assign its optimal value as + or −∞, respectively. We can view
ˆ
ϑ
m
N
, m = 1, . . . , M, a s an iid sample of the random variable
ˆ
ϑ
N
, where
ˆ
ϑ
N
is the optimal value of the respective SAA problem at significance level γ.
Next we rearrange the calculated optimal values in the nondecreasing order as
follows
ˆ
ϑ
(1)
N
· · ·
ˆ
ϑ
(M)
N
, i.e.,
ˆ
ϑ
(1)
N
is the smallest,
ˆ
ϑ
(2)
N
is the second smallest
etc, among the values
ˆ
ϑ
m
N
, m = 1, . . . , M. We use the random quantity
ˆ
ϑ
(L)
N
as a lower bound of the true optimal value ϑ
. It is possible to show that
with probability at least 1 β, the random quantity
ˆ
ϑ
(L)
N
is below the true
optimal value ϑ
, i.e.,
ˆ
ϑ
(L)
N
is indeed a lower b ound of the true optimal value
with confidence at least 1 β (see
2
[NS]). We will discuss later how to choose
the constants M, N and γ based on numerical experiments.
2
In [NS] this lower bound was derived for γ = 0. It is straightforward to extend the
derivations to the case of γ > 0.
PUC-Rio - Certificação Digital Nº 0510535/CA
4
Two applications of SAA
In this Chapter we apply SAA to a portfolio problem and to a blending
problem. In the first the decision maker must choose the composition of a
portfolio of assets such that the expected return is maximized. Due to the
chance constraint, the total gain has to be greater than a pre-specified return
level v with high proba bility. When returns follow a multivariate normal
distribution, we compute the solution explicitly and compare it with the
results of SAA. When returns are lognormally distributed, we have to rely
on approximations.
The second problem is a joint version of a two dimensional blending
problem. We show that SAA can be readily applied to this situation at no
extra cost. D ue to the independence assumption, we compute explicit answers
for this problem and use them as benchmarks to tune the parameters of SAA.
4.1
Portfolio problem
Consider the following maximization problem subj ect to a single chance
constraint:
Max
xX
E
r
T
x
s.t. Prob
r
T
x v
1 ε.
(4-1)
Here x R
n
is vector of decision variables, r R
n
is a random vector
with known probability distribution, v R, ε (0, 1), e is a vector whose
components are all equal to 1 and
X := {x R
n
: e
T
x = 1, x 0}.
Note that, of course, E
r
T
x
= µ
T
x, where µ := E[r] is the corresponding
mean vector. That is, the objective function of problem (4-1) is linear and
deterministic.
The motivation to study ( 4-1) is the portfolio selection problem going
back to Markowitz [MAR]. The vector x represents the percentage of a total
wealth of one do lla r invested in each of n available assets, r is the vector of
random returns of these assets and the decision agent wants to maximize the
PUC-Rio - Certificação Digital Nº 0510535/CA
mean return subject to having a return greater or equal to a desired level v,
with proba bility at least 1 ε. In terms of risk measures, this requirement is
equivalent to a Value-at-Risk constraint. We note that problem (4-1) is not
realistic because it do es not incorporate crucial features of real markets such
as cost of transactions, short sales, lower and upper bounds on the holdings,
etc. However, it will serve to our purposes as an example of an application
of the SAA method. For a more realistic model we can refer the reader, e.g.,
to [WCZ], where the authors include market f rictions and discuss the best
distribution function for asset returns.
A very similar version of problem (4-1) was analyzed in [ZTSK], where the
authors obtained important information about the different policies available
in soil management as well as the trade o between net returns and soil loss.
We consider two different situations, namely when the vector o f ra ndom
returns r follows multivar iate normal and multivaria t e lognor mal distributions.
The two cases are very distinct; on the for mer one can solve explicitly the
chance constraint, while in the la t t er no explicit formula is known. Under
normality, we can compare the quality of the approximations with the true
optimal value, while in the lognormal case we have to rely on approximations.
4.1.1
SAA of the portfolio problem
First assume that r follows a multivariate normal distribution with
mean vector µ and covariance matrix Σ, written r N (µ, Σ). In that case
r
T
x N
µ
T
x, x
T
Σ x
, and hence (as it is well known) the chance constraint
in (4-1) can be written as a convex second order conic constraint (SOCC) as
follows.
Prob
r
T
x v
1 ε
Prob
r
T
x µ
T
x
x
T
Σx
v µ
T
x
x
T
Σx
1 ε
1 Prob
r
T
x µ
T
x
x
T
Σx
v µ
T
x
x
T
Σx
1 ε
1 Φ
v µ
T
x
x
T
Σx
1 ε
v µ
T
x
x
T
Σx
z
1ε
v µ
T
x + z
1ε
x
T
Σx 0. (4-2)
Using the explicit fo r m (4-2) of the chance constraint, one can efficiently solve
the convex problem (4-1) for different values of ε. An efficient frontier of
PUC-Rio - Certificação Digital Nº 0510535/CA
portfolios can be constructed in an objective function value versus confidence
level plot, that is, for every confidence level ε we associate the optimal value
of problem (4-1). The efficient frontier dates back to Markowitz [MAR]. A
discussion of the subject can be found, e.g., in [CM].
If r follows a multivar ia t e lognormal distribution, then no closed form
solution for the chance constrained problem (4-1 ) is available. The related
SAA problem (4-1) can be written as
Max
xX
µ
T
x
s.t. ˆp
N
(x) γ,
(4-3)
where ˆp
N
(x) := N
1
N
i=1
1l
(0,)
(v r
T
i
x) and γ [0, 1). The reason we use γ
instead of ε is t o suggest that for a fixed ε, a different choice of the parameter
γ in (4-3) might be suitable. For instance, if γ = 0, then the SAA problem
(4-3) becomes the linear program
Max
xX
µ
T
x
s.t. r
T
i
x v, i = 1, . . . , N.
(4-4)
A recent paper by Campi and Garatti [CG], building on the work of Calafiore
and Campi [CC], provides an expression for the probability of an optimal
solution ˆx
N
of the SAA problem (3-3), with γ = 0, to be infeasible for the true
problem (3-2) . That is, under the assumptions that the set X and functions
f(·) and G(·, ξ), ξ Ξ, are convex a nd that w.p.1 the SAA problem attains
unique optimal solution, we have that for N n,
Prob {p(ˆx
N
) > ε} B(n 1; ε, N), (4-5)
and the above bound is tight. We apply this bound to the considered portfolio
selection problem to conclude that for a confidence parameter β (0, 1) and
a sample size N
such that
B(n 1; ε, N
) β, (4-6)
the optimal solution of problem (4-4) is feasible for the corresponding true
problem (4-1) with probability at least 1 β.
For γ > 0, problem (4-3 ) can be written as the mixed-integer linear
program
Max
x,z
µ
T
x
s.t. r
T
i
x + vz
i
v,
N
i=1
z
i
Nγ,
x X, z {0, 1}
N
,
(4-7)
The equivalence of problems (4-3) and (4-7) was already proved when we
PUC-Rio - Certificação Digital Nº 0510535/CA
showed the equivalence of problems (2-8) and (2-9) in Chapter 2 , Section 2.3.
Given a fixed ε in (4-1), it is not clear what are the best choices of γ and
N for approximation (4-7). We believe it is problem dependent and numerical
investigations will be perfor med with different values for both parameters. We
know from Proposition 6 that, for γ = ε the larger the N the closer we are to
the original problem (4-1). However, the number of samples N must be chosen
carefully because problem (4-7) is a binary problem. Even moderate values of
N can generate instances that are very hard to solve.
4.1.2
Obtaining candidate solutions
First we perform numerical experiments applying SAA to the portfo lio
problem (4-1) assuming that r N(µ, Σ). We considered 10 assets (n = 10)
and the da t a for the estimation of the parameters was taken from historical
monthly returns adjusted for dividends from 1997 to 2007 of 10 US major
companies
1
. The sample was generated by the Triangular Factorization Method
[BS]. We wrote the codes in GAMS and solved the linear and binary problems
using CPLEX 9.0. The computer was a PC with an Intel Core 2 processor and
2GB of RAM.
Let us fix ε = 0.10 and β = 0.01. For these values, t he sample size
suggested by (4-6) is N
= 183. We ran 10 independent replications of (4-4)
for each of the sample sizes N = 30, 40, . . . , 200 and for N
= 183. We also
build an efficient frontier plot of optimal portfolios with an objective value
versus Prob{r
T
x
ε
v} axes, where x
ε
is the optimal solution of problem (4-
1) f or a given ε. We show in the same plot (Figure 4.1) the corresponding
objective function va lues and Prob{r
T
ˆx
N
v} for each optimal solution ˆx
N
found for the problem (4-4). To identify each point with a sample size, we
used a gray scale that attributes light tones of gray to smaller sample sizes
and darker ones to larger samples. The efficient frontier curve is calculated for
ε = 0.8, 0.81, . . . , 0.99 and then connected by lines. The vertical and horizontal
lines are for reference only: they represent the optimal value for problem (4-1)
with ε = 0.10 and the 90% reliability level, respectively.
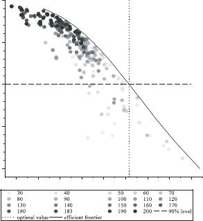
Figure 4.1 shows interesting f eatures of the SAA problem (4-4). Although
larger sample sizes always generate feasible points, the value of the objective
function, in general, is quite small if compared with the optimal value 1.004311
of problem (4-1) with ε = 0.10. We also observe the absence of a convergence
property: if we increase the sample size, the feasible region of problem (4-4)
1
JP Morgan, Oracle, Intel, Exxon, Wal-Mart, Apple, Sun Microsystems, Microsoft, Yahoo
and Procter & Gamble
PUC-Rio - Certificação Digital Nº 0510535/CA
0.80
0.85
0.90
0.95
1.00
0.998
1.004
1.010
Figure 4.1: Normal returns for γ = 0.
gets smaller and the approximation becomes more and more conservative and
therefore suboptimal. The reason is that fo r increasingly large samples the
condition r
T
i
x v for all i approaches the condition Prob{r
T
x v} = 1.
In order to find better candidate solutions for problem (4-1), we need to
solve the SAA problem with γ > 0, (problem (4-7)), which is a combinatorial
problem. Since o ur port f olio problem is a linear one, we can solve problem
(4-3) efficiently for a moderate number (e.g., 200 constraints) of instances. We
performed tests for problem (4-3) fixing γ = 0.05 and 0.10 and changing N as
in the sample approximation case. The results are in Figures 4.2 and 4.3.
The best candidate solutions to problem (4-1) were obtained by choosing
γ = 0 .0 5. We considered different sample sizes from 30 to 200. Although several
points are infeasible to the original problem (4-1), we observe in Fig ure 4.2 that
whenever a point is feasible it is close to the upper bound. For γ = 0.10, Figure
4.3 shows us that almost every generated point is infeasible. To further justify
this claim, note that among the feasible po ints in Figure 4.2, more than 70%
of them are within 0.2% of the true optimal value 1.004311 of problem (4-1)
with ε = 0.10. If we r elax the tolerance to 0.3%, then more than 93% of the
points are no more than 0.3% away from the optimal value.
PUC-Rio - Certificação Digital Nº 0510535/CA
0.80
0.85
0.90
0.95
1.00
1.000
1.005
1.010
0.995
Figure 4.2: Normal with γ = 0.05.
0.80
0.85
0.90
0.95
1.00
1.000
1.010
1.005
0.995
Figure 4.3: Normal with γ = 0.10.
To investigate the possible choices of γ and N in problem (4- 7), we
created a three dimensional representation which we call γN-plot. The domain
is a discretization of values of γ and N, forming a grid with pairs (γ, N). For
each pair we solve an instance of problem (4 -7) with these parameters and
stored the optimal value and the approximate probability of being feasible to
the original problem (4-1 ) . The z-axis represents the optimal value associated
to each point in the domain in the grid. Finally, we created a surface of triangles
based on this grid as follows. Let i be the index for the values of γ and j for the
values of N. If candidate points associated with grid members (i, j), (i + 1, j)
and (i, j + 1) or (i + 1, j + 1), (i + 1, j) and (i, j + 1) are feasible to problem
(4-1) (with pro bability greater than or equal t o (1 ε)), then we draw a dark
gray triangle connecting the three points in the space. Otherwise, we draw a
light gray triangle.
We created a γN-plot for problem (4-1) with normal returns. The result
can be seen in Figure 4.4, where we a lso included the plane corresponding
to the optimal solution with ε = 0.10. The values for par ameter γ were
0, 0.01, . . . , 0.10 and for N = 30, 40, . . . , 200. From Figure 4.4 we see that
for any fixed γ small sample sizes tend to generate infeasible solutions and
large samples feasible ones. As predicted by the results of Campi and Garatti,
when γ = 0, large sample sizes generate feasible solutions, although they can
be seen to be of poor quality judging by the low peaks observed in this region.
The concentration of high peaks corresponds to γ values around ε/2 = 0.05 for
almost all sample sizes, including small ones (varying from 50 until 120). We
generated different instances of Figure 4.4 and the output followed the pattern
described here.
PUC-Rio - Certificação Digital Nº 0510535/CA
1.005
1.0
0.995
30
80
130
180
0.0
0.025
0.05
0.075
0.1
1.01
g
N
Figure 4.4: γN-plot for the portfolio problem with normal returns.
Even thoug h there are peaks in other regions, Figure 4.4 suggests a
strategy to obtain good candidates for chance constrained problems: choose
γ close to ε/2, solve instances of SAA problems with small sizes of N (e.g. one
third of the Campi-Garatt i estimate (4-6)) and keep the best solution. This
is f ortunate because SAA problems with γ > 0 are binary problems that can
be hard to solve. Our experience with the p ortfolio problem and with others
suggest this strategy works better than trying to solve SAA problems with
large sample sizes. The choice γ = ε/2 came from our empirical experience.
We believe in general the choice of γ is problem dependent.
4.1.3
Upper bounds
A method to compute lower bounds o f chance constrained problems of
the form (3-1) was suggested in [NS]. We summarized their procedure at the
end of Section 3.1, leaving the question of how to choose the constants L, M
and N. Given β, M and N, it is straightforward to specify L: it is the largest
integer that satisfies (3-12). For a given N, the lar ger M the better because we
are approximating the L-th order statistic of the random variable
ˆ
ϑ
N
. However,
note that M represents the number of problems to be solved and this value is
often constrained by computational limitations.
In [NS] an indication of how N should be chosen is not given. It is possible
to gain some insight on the magnitude of N by doing some algebra in inequality
(3-12). With γ = 0, the first t erm (i = 0) of the sum (3-12) is
1 (1 ε)
N
M
1 e
Nε
M
. (4-8)
PUC-Rio - Certificação Digital Nº 0510535/CA
Approximation (4-8) suggests that for small values of ε we should take N of
order O(ε
1
). If N is much bigger than 1 then we would have to choose a very
large M in order to honor inequality (3-12). For instance if ε = 0.10, β = 0.01
and N = 100 instead of N = 1/ ε = 10 or N = 2/ ε = 20, we need M to be
greater than 100 000 in order to satisfy (3-12), which can be computationally
intractable for some problems. If N = 200 then M has to be grater then 10
9
,
which is impractical for most applications.
In [LA], the a uthor s applied the same technique to generate bounds on
probabilistic versions of the set cover problem and the transportation problem.
To construct the bounds they varied N and used M = 10 and L = 1. For many
instances they obtained lower bounds slightly smaller (less than 2%) or even
equal to the best o ptimal values g enerated by SAA. In the portfolio problem,
the choice L = 1 generated poor bounds as we will see.
We performed experiments for the portfolio problem with returns now
following a lognormal distribution. Figure 4.5 shows the sample points obtained
by SAA with γ = 0 and with the corresponding proba bility estimated by
Monte-Carlo. The reader is referred to [LK] for detailed instructions of how
to generate samples from a multivariate lognormal distribution. Since in the
lognormal case one cannot compute the efficient frontier, we also included in
Figure 4.5 upper bo unds
2
for ε = 0.02, . . . , 0.20, calculated according to (3-
12). We fixed β = 0.01 for all cases and chose three different values for the
constants L, M and N.
First we fixed L = 1 and N = 1 (solid line in Figure 4.5, upper bound
A). The constant M was chosen to satisfy the inequality (3-12). The results
were not satisfactory, mainly because M ended up being too small. Since the
constant M defines the number of samples from ˆv
N
and since our problem is
a linear one, we decided to fix M = 1 000 . Then we chose N = 1 (dashed
line in Figure 4.5, upp er bo und B) and defined L to be the largest integer such
that ( 3-12) is satisfied. Finally, we generated an upper bound with M = 1 000
and N = 2 (dotted line in Figure 4.5, upper bound C).
It is harder to construct upper bounds with γ > 0. The difficulty lies
in solving integer problems and it is hard to find an appropriate choice of
the parameters M or N in order to keep the problem size manageable. Based
on experiments, a g ood choice for this problem is M = 500, N = 50 and
γ = ε/2 = 0.05, which originated the dotted upper bound in Figure 4.5.
Although it is slightly b etter than the bounds obtained with γ = 0, in many
situations one often wants an upper bound without much computational effort.
If that is the case, it might be appropriate to use equation (3-12) for γ = 0
2
The portfolio problem (4-1) is a maximization problem.
PUC-Rio - Certificação Digital Nº 0510535/CA
0.80
0.85
0.90
0.95
1.00
1.02
1.01
1.00
Figure 4.5: Lognormal with γ = 0 .
since the corresp onding problems are easier to solve.
0.80
0.85
0.90
0.95
1.00
1.010 1.0301.020
Figure 4.6: Lognormal with γ =
0.05.
0.80
0.85
0.90
0.95
1.00
1.010 1.020
1.030
Figure 4.7: Lognormal with γ =
0.10.
Following the normal case, we performed similar experiments with γ =
ε/2 and γ = ε. The results are in Figures 4.6 and 4.7 respectively, where we
only included the dashed upper bound. The experiments for the lognormal
case confirmed the tendency observed in the nor mal case: γ = ε generated
infeasible points, γ = 0 generated feasible points of poor quality if measured
by the distance to the upper bound curves and γ = ε/2 yielded t he best
candidate solutions.
4.2
A blending problem
Let us consider a second example of a chance constrained problem.
Suppose a farmer has some crop and wants to use fertilizers to increase the
PUC-Rio - Certificação Digital Nº 0510535/CA
production. He hires an agronomy engineer who recommends 7 g of nutrient
A and 4 g of nutrient B. He has two kinds of fertilizers available: the first has
ω
1
g of nutrient A and ω
2
g of nutrient B per kilogram. The second has 1 g of
each nutrient per kilogram. The quantities ω
1
and ω
2
are uncertain: we assume
they are (independent) continuous uniform random variables with support in
the intervals [1, 4] and [1/3, 1] respectively. Furthermore, each fertilizer has a
unitary cost per kilogram.
There are several ways to model this blending problem. A detailed
discussion can be found in [HV], where the authors use this problem to motivate
the field of stochastic prog r amming. We consider a joint chance constrained
formulation as follows:
Min
x
1
,x
2
x
1
+ x
2
s.t. Prob{ω
1
x
1
+ x
2
7, ω
2
x
1
+ x
2
4} 1 ε,
x
1
, x
2
0,
(4-9)
where x
i
represents the quantity of f ertilizer i purchased, i = 1, 2, and ε [0, 1 ]
is the reliability level. The independence assumption allows us to convert the
joint probability in (4-9) into a product of probabilities. After some tedious
calculations, one can explicitly solve (4-9) for all values of ε. For ε [1/2, 1]
the solution (x
1
, x
2
) and the optimal value v
= x
1
+ x
2
are
x
1
=
18
9 + 8(1 ε)
, x
2
=
2(9 + 28(1 ε))
9 + 8(1 ε)
, v
=
4(9 + 14(1 ε))
9 + 8(1 ε)
.
For ε [0, 1/2], v
is
v
=
2(25 18(1 ε))
11 9(1 ε)
. (4-10)
Our goal is to exemplify the use o f SAA to joint chance constrained
problems. In addition, we use problem (4-9) as a benchmark to gain more
understanding of tuning of the underlying parameters of the SAA approach
since an explicit solution is available in this case. As mentioned in Section
2.3 of Chapter 2, we can convert a joint chance constrained problem into a
problem of the form (3- 1) using the min (or max) operators. Problem (4-9)
becomes
Min
x
1
,x
2
x
1
+ x
2
s.t. Prob {min{ω
1
x
1
+ x
2
7, ω
2
x
1
+ x
2
4} 0} 1 ε,
x
1
, x
2
0.
(4-11)
Introducing one auxiliary variable z
i
per scenario, it is possible to formulate the
SAA method to problem (4-11) as a mixed integer linear program as follows.
PUC-Rio - Certificação Digital Nº 0510535/CA
0.90
0.95
1.00
6.0
5.5
7.0
6.5
7.5
Figure 4.8: SAA for the blending problem with γ = 0.025.
Min
x
1
,x
2
x
1
+ x
2
s.t. ω
i
1
x
1
+ x
2
7 + Kz
i
0, i = 1, . . . , N,
ω
i
2
x
1
+ x
2
4 + Kz
i
0, i = 1, . . . , N,
N
i=1
z
i
Nγ,
z {0, 1}
N
,
x
1
, x
2
0,
(4-12)
where N is the number of samples, ω
i
1
and ω
i
2
are samples from the random
variables ω
1
and ω
2
, γ (0, 1) and K is a po sitive constant greater or equal
than 7.
4.2.1
Numerical experiments
We performed experiments similar to the ones for the po rt folio problem
so we present the results without details. In Figure 4.8 we generated appro-
ximations for problem (4- 9) with ε = 0.05 using SAA. The sample points
were obta ined by solving a SAA problem with γ = 0.025 and sample sizes
N = 60, 70, . . . , 150. The Campi-Ga r atti inequality (4-6) suggested value is
N
= 130. In addition, we included the efficient frontier for problem (4-9). We
will no t show the corresponding F igures for other values of γ, but the pattern
observed in the portfolio pro blem repeated: with γ = 0 almost every point
was feasible but far from the optimal, with γ = ε = 0.05 almost every point
was infeasible. Again, the parameter choice that generated the best candidate
solutions was γ = ε/2 = 0.025.
We also show the γN-plot for SAA applied to problem (4-9). We tested γ
values in the range 0, 0.005, 0.01, . . . , 0.05 and N = 60, 70, . . . , 150. We included
PUC-Rio - Certificação Digital Nº 0510535/CA
6.95
5.45
6.45
5.95
0.025
0.05
0.075
0.1
120
100
60
140
80
N
g
Figure 4.9: γN-plot for the blending problem.
a plane representing the o ptimal value of problem (4-9) for ε = 0.05, which is
readily obtained by applying formula (4 -10).
In accordance with Figure 4.4, we note that in Figure 4.9 the best
candidate solutions are the ones with γ around 0.025. Even for very small
sample sizes we have feasible solutions (dark gray triangles) relatively close to
the optimal plane. On the other hand, this experiment gives more evidence that
SAA with γ = 0 is excellent to generate feasible solutions (dark gray triangles)
but the quality of the solutions is poor. As shown in Figure 4.9, t he high peaks
associated with γ = 0 persist for any sample size, generating points far form
the optimal plane. In agreement with Figure 4.4, the candidates obta ined for
γ close to ε were mostly infeasible.
PUC-Rio - Certificação Digital Nº 0510535/CA
5
From separated to joint variables: the hurdle-race problem
We consider a general pro v isioning problem, where an economic agent
aims to determine an initial amount that would be needed in order t o meet
a series of future payment obligations with a sufficiently large probability. We
assume a “hold-to-maturity” (actuarial) approach: the initial provision is such
that upon investing it in a p ortfolio one is always able in the future to pay-
off the cash flows. In contrast, the “available-for-sales” (financial) framework
admits t he possible fall in the arbitrage-free price of the series of cash flows
over a given time period and use it as means of assessing risk and establishing
buffers. Although the latter a pproach is at the core of the latest r egulatory
documents such as Basel II and Solvency II, it can induce crashes when they
would not otherwise occur. Furthermore, we believe better risk measures a r e
available, such as the so-called coherent ri s k measures [ADEH]. This does not
mean that the financial approach is wrong but the a ctuarial framework is at
least a complementing alternative. For a detailed criticism of those regulatory
documents we refer the reader to [D EGK].
In [VDGK], the authors study the provisioning problem and impose
minimum requirements of available capital at each period, called hurdles. In
their framework, hurdles are modeled as separated chance constraints with
given reliability levels, one for each period of time. They coined the term hurdle-
race problem to describe the provisioning problem with hurdles. We start by
summarizing the approach proposed in [VDGK] and stating their main result.
Then we propose an alternative chance constrained model which requires that
all the obligations should be met jointly with a given reliability level. To this
end we make use of a joint chance constraint and refer to the problem as
the joint hurdle-race problem. We pro pose to solve the corresponding problem
using SAA and to compare the results with [VDGK]. In addition, we consider
another generalization in which the hurdles are not determined by the model
builder but are defined as discounted values of f uture obligations by stochastic
risk-free rates.
PUC-Rio - Certificação Digital Nº 0510535/CA
5.1
The hurdle-race problem and comonotonicity
An insurer wants to determine the initial provision R
0
required to meet
n future obligations, of costs α
1
, . . . , α
n
at fixed, prescribed times t
1
, . . . , t
n
, for
t [0, t
n
]. Among obligations, t he insurer may invest his capital, with random
returns. More precisely, the stochastic return process (Y
1
, . . . , Y
n
) such that 1
unit at time 0 grows to exp(Y
1
+ · · · + Y
j
) at time t
j
determines the evolution
of capital R
j
in time,
R
j
= R
j1
exp(Y
j
) α
j
, j = 1, . . . , n. (5-1)
In [VDGK], t he authors impose probabilistic constraints (the hurdles) tha t
have to be met every time t
j
, that is, provision R
j
has to be larger than a
deterministic value V
j
with high probability 1 ε
j
. They formulate the hurdle-
race problem as follows:
R
0
= Min
R
0
V
0
R
0
(5-2)
Prob{R
j
V
j
| R
0
} 1 ε
j
, j = 1, . . . , n
for given hurdles V
0
, V
1
, . . . , V
n
and given tolerances ε
1
, ε
2
, . . . , ε
n
[0, 1 ].
To determine the optimal provision
R
0
in (5-2) set
S
[0,j]
=
j1
i=1
α
i
exp(Y
1
· · · Y
i
) + (V
j
+ α
j
) exp(Y
1
· · · Y
j
), (5-3)
the stochastically discounted value of the future obligations in the restricted
time period [0, j]. Theorem 1 in [VDG K], below, gives the optimal solution of
problem (5-2) in terms of the quantiles of the distributions of S
[0,j]
.
Theorem 7 The optimal initial provision
R
0
defined in (5-2) is given by
R
0
= Max{V
0
, F
1
S
[0,1]
(1 ε
1
), F
1
S
[0,2]
(1 ε
2
), . . . , F
1
S
[0,n]
(1 ε
n
)},
where F
S
[0,j]
is the cumulative distribution function of S
[0,j]
, j = 1, . . . , n.
A basic ingredient in the proo f is the simple fact that
Prob {R
j
V
j
| R
0
} = Prob
S
[0,j]
R
0
, j = 1, . . . , n.
Thus, in order to determine the optimal
R
0
we are led to compute the quan-
tiles of the random variables S
[0,j]
, which is very hard in most relevant cases.
For instance, if the random return process (Y
1
, . . . , Y
n
) follows a multivariate
normal distribution, we have that S
[0,j]
is a sum of lognormal distributions, a
PUC-Rio - Certificação Digital Nº 0510535/CA
random variable with no known distribution. The approach in [VDGK] repla-
ces the random variables S
[0,j]
by simpler random variables using comonotonic
approximations, whose quantiles can be calculated explicitly. Such approxima-
tions assume the random vector is strongly correlated, with all the components
depending on the same univa r iate random variable. A detailed description of
the t heory of comonotonicity can be found in [DDGa]. For examples and ap-
plications we refer the reader to [DDG b].
In [VDGK], numerical experiments are performed for the case in which
the random variables (5-3) are sums of lognormals, and hence the return
process (Y
1
, . . . , Y
n
) follows a multivariate normal distribution. They compare
their results with the va lues obtained f r om the empirical distribution of S
[0,j]
.
In the next section, in the more general joint hurdle -race problem, we apply
SAA to obtain good candidate solutions. We compare the results for the joint
hurdle-race to the ones obtained in [VDGK]. From now on we refer to this
model (5-2) as the separated hurdl e -race problem.
5.2
The joint hurdle-race problem
The definition of
R
0
in (5-2) does not reflect the proper safety requi-
rements: for each fixed time t
j
the probability of not satisfying a hurdle is
small, but the probability of having missed one of the hurdles may remain
high. Indeed, there is no guarantee that the optimal provision keeps the joint
probability of missing at least one hurdle low. In [HEN], the author exempli-
fies the contrast between both models in a cash matching problem somewhat
similar to the separated hurdle race problem (5-2).
We then consider the joi nt hurdle - race problem,
R
0
= Min
R
0
V
0
R
0
(5-4)
Prob{R
j
V
j
, j = 1, . . . , n | R
0
} 1 ε (5-5)
for ε [0, 1]. As opposed to problem (5-2), the optimal provision
R
0
in problem
(5-4) is the smallest value such that with high probability no hurdle is violated.
Although we have a single constraint in (5-4) opposed to n constraints
in (5-2), problem (5- 4) is harder to solve: the joint probability calculation in
(5-4) involves the computation of a quantile of the cumulative distribution
of the random vector (S
[0,1]
, S
[0,2]
, . . . , S
[0,n]
), an extremely difficult task. Even
checking feasibility for a given candidate R
0
is usually hard.
We use SAA to obtain good candidate solutions of (5-4) and lower bounds
for the optimal value. Indeed, (5-4) is a joint chance constrained problem so
PUC-Rio - Certificação Digital Nº 0510535/CA
the techniques of the previous Chapters apply.
The jo int hurdle-race problem is not explicitly written in format (1-1),
but it can be easily converted by employing the max-function
Prob {R
1
V
1
, . . . , R
n
V
n
| R
0
} = Prob
S
[0,1]
R
0
, . . . , S
[0,n]
R
0
= Prob
max
j=1,...,n
{S
[0,j]
} R
0
= Prob
max
j=1,...,n
{S
[0,j]
} R
0
0
. (5-6)
Using (5-6) we have that problem (5-4) is a particular case of (1-1):
Min
R
0
V
0
R
0
s.t. Prob
max
j=1,...,n
{S
[0,j]
} R
0
0
1 ε.
(5-7)
But how do we solve (5-7) with SAA? Given a sample size N and a reliability
level γ, the SAA formulation becomes a MILP as follows.
Min
R
0
V
0
R
0
s.t. (V
1
+ α
1
) exp(Y
s
1
) R
0
Kz
s
0, s = 1, . . . , N,
.
.
.
j
i=1
α
i(j)
exp(Y
s
1
· · · Y
s
i
) R
0
Kz
s
0, s = 1, . . . , N,
.
.
.
n
i=1
α
i(n)
exp(Y
s
1
· · · Y
s
n
) R
0
Kz
s
0, s = 1, . . . , N,
N
s=1
z
s
Nγ,
z
s
{0, 1}
N
,
(5-8)
where K is a sufficiently large positive constant, Y
s
i
are samples f r om the return
process (Y
1
, . . . , Y
n
) and
α
i(j)
=
α
i
, i = j,
V
j
+ α
j
, i = j.
The feasibility check cannot be performed exactly and uses Monte-Carlo
methods.
5.2.1
Numerical experiments
We compare separated and the joint hurdle-race problems. Following
[VDGK], we performed experiments with n = 40 periods of investment and
with normal iid returns Y
i
with mean µ = log 1.10 and standard deviation
σ = 0.10. The hurdles and t he liabilities are equal to 10 and 0.8 respectively for
all time periods. Fo r the separated hurdles we choose ε
j
= 0 .05 for all periods
PUC-Rio - Certificação Digital Nº 0510535/CA
and for the joint case we take ε = 0.05. Our numerical exp eriments showed tha t
the stochastic lower bound approximation in [VDGK] is extremely accurate
for the separated hurdle-race problem, and we obtained
R
0
= 13.56411337.
An (sto chastic) upper bound, obtained by the comonotonic approximation, is
14.4812509 9.
For the joint hurdle-race problem, we first choose values of γ a nd N.
Following the empirical findings for the portfo lio problem and the blending
problem of the previous Chapter, we set γ = ε/2 = 0.025. We then compute
the value of N for which the optimal solution of the SAA problem is f easible
for the original problem with probability greater than 99% (see [CG]), which
in this case is N = 90. This estimate is usually t oo conservative and should
be regarded as an upper bound for the actual value of N to be used in the
experiments. The best result was obtained f or N = 50 and t he smallest initial
provision was
R
0
= 15.81238194. A Monte-Carlo experiment with 100 000
samples estimated the true probability o f this candidate as 0.9527 and it is
thus feasible for the original problem.
We compute statistical lower bounds for the optimal value of the joint
hurdle-race problem following section 4.1.3. Fixing M = 1 000 and L according
to (3-12), the 99%-confidence lower bound for the optimal value is 15.302594.
Obviously, the candidate solution obtained by SAA can be regarded as an
upper bound for the true optimal value (if feasible).
Similar experiments were performed with ε
j
= 0.01. The techniques in
[VDGK] g ive 16.34858684 for the solution of the separated problem, with
comonotonic upper bound
1
equal to 18.37208466. It is not clear how these
methods should be extended to the joint hurdle problem. In this case, applying
SAA with N = 150 and γ = ε/2 = 0.005, the new method obtained
18.2164034 5. The true probability was estimated by Monte-Carlo and was
equal to exactly 1, with 100 000 samples. The 99%-confident lower bound
obtained was 17.515987.
It is interesting to compare the solution for the joint case (5-4) with the
one for the separate case (5-2). The best provisions obtained for the latter were
less than those for the former in both experiments. One might be tempted to
adopt the separated version as the best model since smaller provisions are
usually preferred. However, the solution of the joint problem is obviously more
robust. We proceed to substantiate this claim with some simulations.
The separated case was treated as in [VDGK], whereas we used SAA
for the joint problem. For illustration, we first present small size simulation
1
The comonotonic upper bound is constructed using conditional expectations of como-
notonic random variables.
PUC-Rio - Certificação Digital Nº 0510535/CA
experiments that show the differences between the two approaches. Figures
5.1 and 5.2 show the estimated probability of violating each hurdle for the
separated problem. The values in the y-axis are close to 0.0 5 and 0.01
respectively, in accordance with the chosen reliability levels. Figures 5.3 and
5.4 show 100 sample paths for each choice of ε in the separated case. In Figure
5.3, 12 paths violated one of the hurdles at least once, g iving a violation
probability of 0.12, significantly higher than the original 0.05 confidence level.
In Figure 5.4, the probability of violation was 0.06, also higher tha n the original
significance level 0.01. In the joint case, Figures 5.5 and 5.6 indicate that at
least one constraint was violated only 3% and 1% of the time, in accordance
with the joint reliability levels ε = 0.05 and ε = 0.01, a much more robust
situation.
In order improve numerical accuracy, we ran the same experiments for
10 000 paths. For ε
j
= ε = 0.05, the estimated probability of violation of
at least one hurdle for the separated hurdle-race problem was 0.1173, much
higher than the corresponding value 0.0328 for the j oint version with the same
reliability level. For ε
j
= ε = 0.01, the estimated values were 0.024 7 for the
separated for mulation and 0.009 4 for the joint counterpart. In both cases the
separated hurdle-race problem misses the joint reliability level by roughly twice
the pre-determined reliability level, substantially underestimating the more
robust provision given by SAA for the joint case.
0 5 10 15 20 25 30 35 40 45
0
0.01
0.02
0.03
0.04
0.05
0.06
0.07
0.08
Figure 5.1: ε = 0.05.
0 5 10 15 20 25 30 35 40 45
0
0.005
0.01
0.015
0.02
0.025
0.03
0.035
0.04
Figure 5.2: ε = 0.01.
5.3
Stochastic hurdles
We now consider a joint hurdle-race model with the possibility of mo-
deling stochastic hurdles. Now we define the hurdles as the market consistent
value of future liabilities when evaluating the portfolio at period j, i.e., the
PUC-Rio - Certificação Digital Nº 0510535/CA
0 5 10 15 20 25 30 35 40 45
−200
0
200
400
600
800
1000
1200
Figure 5.3: Sample paths for ε =
0.05, SHR.
0 5 10 15 20 25 30 35 40 45
0
500
1000
1500
2000
2500
3000
Figure 5.4: Sample paths for ε =
0.01, SHR.
0 5 10 15 20 25 30 35 40 45
0
500
1000
1500
2000
2500
Figure 5.5: Sample paths for ε =
0.05, JHR.
0 5 10 15 20 25 30 35 40 45
0
200
400
600
800
1000
1200
1400
1600
1800
Figure 5.6: Sample paths for ε =
0.01, JHR.
hurdles will be the discounted cash flows at the stochastic risk-free rate. In
particular, the hurdles V
j
are not known at period j.
In addition to the stochastic return process (Y
1
, . . . , Y
n
), the model will
have a risk-free rate process (r
1
, . . . , r
n
) that will determine the (stochastic)
hurdles as follows.
V
0
= α
1
exp(r
1
) + α
2
exp(r
1
r
2
) + · · · + α
n
exp(r
1
· · · r
n
),
V
1
= α
1
+ α
2
exp(r
2
) + · · · + α
n
exp(r
2
· · · r
n
),
.
.
. (5-9)
V
n
= α
n
.
SAA obtains candidate solutions with no additional computational effort.
In the numerics, the risk-free rate process was composed of iid normal random
variables with mean µ
r
= 0.04 and standard deviation σ
r
= 0.05. The
stochastic return process is the same as described in section (5.2.1). For
PUC-Rio - Certificação Digital Nº 0510535/CA
ε = 0.05, the best solution was 21.68791898, with N = 60 and γ = ε/2 = 0.025.
The estimated probability was 0.9527 5, using 20 000 samples. For ε = 0.01,
the best solution was 25.179 16015, with N = 120 and γ = ε/2 = 0.005. The
estimated probability was exactly 1, with 20 000 samples.
PUC-Rio - Certificação Digital Nº 0510535/CA
6
Conclusion
We believe that t he SAA method is a valuable tool to obtain good
candidate solutions for chance constrained problems. An important advantage
of the method is the fairly general assumption on the underlying distribution
of the random variables of the problem: SAA only requires the ability to
sample from the given distribution. The related numerical analysis is tra ctable
and stable, allowing for practical implementations. The thesis bridges the
gap between theory and application, by presenting theoretical foundations,
techniques for parameter calibration and a collection of applications, which
exemplify as benchmarks and as new amenable problems.
SAA was used in a portfolio chance constrained problem with random
returns. In the normal case, the efficient f rontier can be computed explicitly
and we used it as a benchmark solution. Fixing the parameters ε = 0.10 and
γ = 0 in the method, we concluded that the sample size suggested by Campi-
Garatti inequality (4-6 ) was t oo conservative for our problem: a much smaller
sample gave rise to better feasible solutions. Similar results were obtained
for the log no r mal case, where upper bounds were computed using a method
developed in [NS].
As another illustration of the SAA method, we modeled a two dimen-
sional blending problem as a joint chance constrained problem. Due to the
independence assumption, o ne can again solve the problem explicitly and find
the optimal solution for any given reliability level. This served as a benchmark
for SAA on the class of approximate joint chance constrained problems.
In both examples, the choice γ = ε/2 obtains very good candidate
solutions. Even though it generated more infeasible points if compared t o the
choice γ = 0, the feasible ones were of better quality. Using the γN-plot
(Figures (4.4) and (4.9)) we were able to confirm these empirical findings for
our two t est problems. Relatively small sample sizes (e.g., if compared to (4-6)
estimates) can yield good candidate solutions, which is crucial since for γ > 0
the SAA problem is an integer program. Upper bounds were constructed for
the portfolio pro blem with γ = 0 and continuous linear programs were solved
to obtain the estimates. According to approximation (4-8), the number of
PUC-Rio - Certificação Digital Nº 0510535/CA
samples N should be of order 1. Since no closed solution is available for
the por t f olio problem with lognormal returns, having an upper bo und is an
important information abo ut the variability of the solution.
Finally we described the hurdle-race problem, proposed in [VDGK]. We
proposed a more adequate formulation in which the hurdles were taken jointly.
We obtained good candidate solutions and lower bounds for the true optimal
value using SAA. An additional extension, assuming stochastic hurdles instead
of deterministic ones, is handled by SAA at almost no extra cost.
Future work will include writing a SAA solver. For this goal, the empirical
findings in this text are crucial. Together with H. Bortolo ssi, we started to write
a program in C++ using Osi, a uniform API for interacting with callable solver
libraries. At present, we handle SAA problems with SYMPHONY, an open-
source generic MILP developed by T.K. Ralphs. Both Osi and SYMPHONY
can be freely downloaded at www.coin-or.org. The idea is to make our solver
freely available f or use with SLP-IOR
1
, a user-friendly interface for sto chastic
programs developed by P. Kall and J. Mayer. As of yet, problems such as
the portfolio problem of Chapter 4, where the uncertainty is multiplying the
decision var ia bles, cannot be solved by any solver available at SLP-IOR.
The first Chapters of the thesis, in a condensed fo rm, are the content
to [PAS]. A text with S. Vanduffel about the hurdle-race problem is in prepa-
ration. We plan to extend the results described here by assuming stochastic
liabilities of the type
α
i
= a
i
+ f
i
(E
i
), i = 1, . . . , n,
where a
i
are constants, (E
1
, . . . , E
n
) is a multivariate normal vector and f
i
are given functions. Such a setting may be appropriate in the context of life
insurance activities. The a
i
would be t he total amount of fixed guaranteed
benefits to be paid t o the policy holders. The insurance company may also
provide a profit sharing mechanism linked to some return process (E
1
, . . . , E
n
)
of an external benchmark (e.g a stock index).
1
www.ior.uzh.ch/Pages/English/Research/StochOpt/index
en.php
PUC-Rio - Certificação Digital Nº 0510535/CA
Bibliography
[AHM] AHMED, S. Convexity and decomposition of mean-risk sto-
chastic programs. Mathematical Proga mming, v. 106, p. 433–446,
2006.
[AW] ARTSTEIN, Z.; WETS, R .J.-B. Consistency of minimizers and
the slln for stochastic programs. Journal of Convex Analysis,
v. 2, p. 1–17, 1996.
[ADEH] ARTZNER, P.; DELBAEN, F.; EBER, J-.M.; HEATH, D. Cohe-
rent measures of risk. Mathematical Finance, v. 9, p. 203–228,
1999.
[BS] BARR, D.R.; SLEZAK, N.L. A comparison of multivariate
normal generators. Communications of the ACM, v. 15, p. 1048–
1049, 1972.
[BEA] BEALE, E.M.L. On minimizing a convex function subject to
linear inequalities. Journal of the Royal statistical Society, Series
B, v. 17, p. 173–184, 1955.
[BN] BEN-TAL, A.; NEMIROVSKI, A. Robust optmization
methodology and applications. Mathematical Programming, v.
93, p. 453–480 , 2002.
[BP] BORTOLOSSI, H.J.; PAGNONCELLI, B. Uma
introdu¸ao `a otimiza¸ao sob incerteza. III
Bienal da SBM, Goiˆa nia, Brazil. Available at
http://www.mat.puc-rio.br/hjbortol/seminarios
/2006.1/soe/arquivos/iii-bienal-sbm-texto.pdf, 2006.
[CC] CALAFIORE, G.; CAMPI, M.C. The scenario approach to
robust control design. IEEE Transactions on Automatic Control,
v. 51, p. 742–753 , 2006.
[CCS] CHARNES, A.; COOPER, W. W.; SYMMONDS, G.H. Cost ho-
rizons and c ertainty equivalents: an approach to stochastic
PUC-Rio - Certificação Digital Nº 0510535/CA
programming of heating oil. Management Science, v. 4, p. 235–
263, 1958.
[CG] CAMPI, M.C.; GARATTI, S. The exact feasibility of rando-
mized solutions of robust convex programs. Available a t Op-
timization online (www.optimization-online.org), 2007.
[CHE] CHERNOFF, H. A measure of asymptotic efficiency for tests
of a hypothesis based on the sum observations. Annals of
Mathematical Statistics, v. 23, p. 493–507, 1952.
[CM] CONSTANTINIDES, G.; MALLIARIS, A.G. Portfolio theory. In
R.A. Jarrow, V. Maksimovic, and W.T. Ziemba, editors, Finance, v.
9 of Handbooks in OR & MS, North- Holland Publishing Company,
p. 1–30, 1995.
[DEGK] DAN
´
IELSSON, J. et al. An academic response to Basel II.
LSE Financial Markets Group, Special Paper Series, number 130,
2001.
[DAN] DANTZIG, G.B. Linear programming under uncertainty.
Management science, vol. 1, 197–206, 1955.
[DPR] DENTCHEVA, D.; PR
´
EKOPA, A.; RUSZCZY
´
NSKI, A. Conca-
vity and efficient points of discrete distributions in pro-
babilistic programming. Mathematical Programming, v. 89, p.
55–77, 2000.
[DDGa] DHAENE, J. et al. The concept of comonotonicity in actu-
arial science and finance: theory. Insurance: Mathematics and
Economics, v. 31, p. 3–33 , 2002.
[DDGb] DHAENE, J. et al. The concept of comonotonicity in actua-
rial science and finance: applications. Insurance: Mathematics
and Economics, v. 31, p. 133–16 1, 2002.
[DGKS] DUPA
ˇ
COV
´
A, J.; GAIVORONSKI, A.; KOS, Z.; SZ
´
ANTAI, T. Sto-
chastic programming in water management: a case study
and a comparison of solution techniques. Europ ean Journal
of Operational Research, v. 52, p. 28–44, 1991.
[HV] KLEIN HANEVELD, W.K.; VAN DER VLERK, M.H. Stochastic
Programming (lecture notes). 20 07.
PUC-Rio - Certificação Digital Nº 0510535/CA
[HEN] HENRION, R. Introduction to chance constrained program-
ming. Available at http://www.stoprog.org/.
[HM] HENRION, R.; M
¨
OLLER, A. Optimization of a continuous
distillation pro cess under random inflow rate. Computers &
Mathematics with Applications, v. 45, p. 247–262, 2003.
[HLMS] HENRION, R. et al. Stochastic optimization for opera-
ting chemical processes under uncertainty. In Grtschel, M.,
Krunke, S., Rambau, J., (editors), Online optimization o f large scale
systems, Springer, p. 457–478, 2001.
[HS] HIGLE, J.; SEN, S. Stochastic Decomposition: A Statistical
Method for Large Scale Stochastic Linear Programming.
Springer, Berlin, 1996.
[KM] KALL, P.; MAYER, J. Stochastic Linear P rogramming. Sprin-
ger, 2005.
[KW] KALL, P.; WALLACE, S. Stochastic P rogramming. Wiley John
& Sons, 1995. Freely available at http://www.stoprog.org/.
[KQ] KAO, E.P.C.; QUEYRANNE, M. Budgeting cost of nursing in
a hospital. Management Science, v. 31, p. 608–621, 1985.
[LSW] LINDEROTH, J.; SHAPIRO, A.; WRIGHT, S. The empirical
behavior of sampling methods for stochastic programming,
Annals of Operations Research, v. 1 42, p. 215–241, 2006.
[LS] LOUVEAUX, F.V.; SMEERS, Y. Optimal investments for elec-
tricity generation: a st ochastic model and a test problem.
In Yu. Ermoliev and R.J.-B. Wets, editors, Numerical techniques for
stochastci optimization, chapter 24, Springer-Verlag, Berlin, 1988.
[LA] LUEDTKE, J.; AHMED, S. A sample approximation approach
for optimization with probabilistic constraints SIAM Journal of
Optimization, v. 19, p. 674–699 , 2008.
[LAN] LUEDTKE, J.; AHMED, S.; NEMHAUSER, G.L. An integer
programming approach for linear programs with proba-
bilistic constraints. To appear in Mathematical Programming,
2007.
PUC-Rio - Certificação Digital Nº 0510535/CA
[LK] LAW, A.; KELTON, W.D. Simulation Modeling and Analysis.
Industrial Engineering and Management Science Series. McGraw-
Hill Science/Engineering/Math, 1999.
[MAR] MARKOWITZ, H. Portfolio selection. Journal of Finance, v. 7,
p. 77–97, 1952.
[NS] NEMIROVSKI, A.; SHAPIRO, A.: Convex approximations of
chance constrained programs. SIAM Journal on Optimization,
v. 17, 969–996, 2006.
[PAS] PAGNONCELLI, B.K.; AHMED, S.; SHAPIRO, A. The Sample
Average Approximation method for chance constrained
programming: theory and applications. To appear in Journal
of Optimization Theory and Appplications, 2009 .
[PP] PEREIRA, M.V.F.; PINTO, L.M.V.G. Multi-stage stochastic
optimization applied to energy planning. Mathematical Pro-
gramming, v. 52, p. 359–3 75, 1991.
[PBK] PETERS, R.J.; BOSKMA, K.; KUPPER, H.A.E. Stochastic pro-
gramming in production planning: a case with non-simple
recourse. Statistica Neerlandica, v. 31, p. 113– 126, 1977.
[PREa] PR
´
EKOPA, A. Probabilistic programming. In A. Ruszczy´nski
and A. Shapiro, editors, Stochastic Programming, volume 10 of
Handbooks in OR & MS, North-Holland Publishing Company, p.
267-351, 2003.
[PREb] PR
´
EKOPA, A. Stochastic Programming. Kluwer Acad. Publ.,
Dordrecht, Boston, 1995 .
[RW] ROCKAFELLAR, R.T.; WETS,R.J.-B. Variational Analysis.
Springer, Berlin, 1998.
[SHA] SHAPIRO, A. Monte carlo sampling methods. In
A. Ruszczy´nski and A. Shapiro, editors, Stochastic Program-
ming, volume 1 0 of Handbooks in OR & MS, North-Holland
Publishing Company, p. 3 53–425, 2003.
[SR] SHAPIRO, A.; RUSZCZY
´
NSKI, A. Lectu-
res on stochastic progr amming. Available at
http://www2.isye.gatech.edu/~ashapiro/publications.html,
2008.
PUC-Rio - Certificação Digital Nº 0510535/CA
[VAN] VANDUFFEL, S. Comonotonicity: from risk measurement to
risk management. PhD thesis, University of Amsterdam, 2005.
[VDGK] VANDUFFEL, S., DHAENE, J., GOOVAERTS, M., KASS, R. The
hurdle-race problem. Insurance: Mathematics and Economics, v.
33, p. 405–413 , 2003.
[WCZ] WANG, Y.; CHEN, Z.; ZHANG, K. A chance-constrained port-
folio selection problem under t-distrbution. Asia Pacific Jour-
nal of Operational Research, v. 24, p. 53 5–556, 2007.
[ZTSK] ZHU, M.; TAYLOR , D.B.; S. C. SARIN, S.C.; KRAMER, R.A.
Chance constr ained programming models for risk-based
economic and policy analysis of soil conservation. Agricul-
tural and Resource Economics Review, v. 23, p. 58–65, 1994.
PUC-Rio - Certificação Digital Nº 0510535/CA
Livros Grátis
( http://www.livrosgratis.com.br )
Milhares de Livros para Download:
Baixar livros de Administração
Baixar livros de Agronomia
Baixar livros de Arquitetura
Baixar livros de Artes
Baixar livros de Astronomia
Baixar livros de Biologia Geral
Baixar livros de Ciência da Computação
Baixar livros de Ciência da Informação
Baixar livros de Ciência Política
Baixar livros de Ciências da Saúde
Baixar livros de Comunicação
Baixar livros do Conselho Nacional de Educação - CNE
Baixar livros de Defesa civil
Baixar livros de Direito
Baixar livros de Direitos humanos
Baixar livros de Economia
Baixar livros de Economia Doméstica
Baixar livros de Educação
Baixar livros de Educação - Trânsito
Baixar livros de Educação Física
Baixar livros de Engenharia Aeroespacial
Baixar livros de Farmácia
Baixar livros de Filosofia
Baixar livros de Física
Baixar livros de Geociências
Baixar livros de Geografia
Baixar livros de História
Baixar livros de Línguas
Baixar livros de Literatura
Baixar livros de Literatura de Cordel
Baixar livros de Literatura Infantil
Baixar livros de Matemática
Baixar livros de Medicina
Baixar livros de Medicina Veterinária
Baixar livros de Meio Ambiente
Baixar livros de Meteorologia
Baixar Monografias e TCC
Baixar livros Multidisciplinar
Baixar livros de Música
Baixar livros de Psicologia
Baixar livros de Química
Baixar livros de Saúde Coletiva
Baixar livros de Serviço Social
Baixar livros de Sociologia
Baixar livros de Teologia
Baixar livros de Trabalho
Baixar livros de Turismo