Download PDF
ads:
PONTIFÍCIA UNIVERSIDADE CATÓLICA DO RIO GRANDE DO SUL
FACULDADE DE INFORMÁTICA
PROGRAMA DE PÓS-GRADUAÇÃO EM CIÊNCIA DA COMPUTAÇÃO
ROTEAMENTO UTILIZANDO POTENCIAL DE ENTREGA
EM REDES TOLERANTES A ATRASOS
CRISTINA MOREIRA NUNES
Tese apresentada como requisito parcial à ob-
tenção do grau de Doutor em Ciência da Com-
putação na Pontifícia Universidade Católica do
Rio Grande do Sul.
Orientador: Prof. Dr. Fernando Luís Dotti
Porto Alegre
2010
ads:
Livros Grátis
http://www.livrosgratis.com.br
Milhares de livros grátis para download.
ads:
Dados Internacionais de Catalogação na Publicação (CIP)
N972r Nunes, Cristina Moreira
Roteamento utilizando potencial de entrega em redes
tolerantes a atrasos / Cristina Moreira Nunes. – Porto Alegre,
2010.
149 f.
Tese (Doutorado) – Fac. de Informática, PUCRS.
Orientador: Prof. Dr. Fernando Luís Dotti.
1. Informática. 2. Redes Tolerantes a Atrasos.
3. Roteamento – Redes de Computadores. 4. Protocolos de
Aplicação sem Fio (Protocolos de Rede de Computadores).
I. Dotti, Fernando Luís. II. Título.
CDD 004.62
Ficha Catalográfica elaborada pelo
Setor de Tratamento da Informação da BC-PUCRS
AGRADECIMENTOS
Em primeiro lugar gostaria de agradecer à Deus pela vida maravilhosa que tem me proporcionado.
Agradeço aos meus pais e minhas irmãs pelo amor, carinho, compreensão e incentivo em todos
os momentos. Vocês são muito importantes na minha vida e tenho a agradecer pelo que fizeram
e fazem por mim.
Agradeço, de modo especial, ao Sandro, meu companheiro nesses últimos três anos de doutorado.
Agradeço pelo seu amor, paciência, companheirismo e apoio nos momentos mais difíceis. Sem dúvida
seu incentivo constante me deu força e coragem para continuar.
Agradeço a minha afilhada Laís pelo seu carinho e pela alegria que a minha vida. A toda a
minha família pelo carinho e apoio, não durante a realização deste trabalho, mas na vida inteira.
Agradeço ao meu orientador, Prof. Fernando Luís Dotti, pelos seus ensinamentos e pela sua
orientação durante esses longos anos de doutorado. Obrigada por acreditar no meu trabalho.
Agradeço a todos os meus amigos e colegas de trabalho, tanto da PUC quanto do Unilasalle,
que sempre me ajudaram e proporcionaram uma excelente convivência ao longo desses anos. Em
esp ecial a minha amiga Ana Paula, pelo seu carinho e pelo exemplo de vida que a todo s.
Agradeço ao Prof. Paulo Fernandes, pelo seu incentivo e pela sua orientação entre os anos de
2008 e 2009. Agradeço, também, ao Prof. João Batista, pelo seu conhecimento, apoio e pelas
contribuições para a melhoria deste trabalho.
A todos os meus amigos, não vou listar todos para não esquecer de ninguém, ag radeço pela
compreensão por minha ausência ao longo desse período.
Por fim, agradeço à PUCRS, em especial à Faculdade de Informática, e ao Unilasalle pelo apoio
e confiança a mim depo sitados.
ROTEAMENTO UTILIZANDO POTENCIAL DE ENTREGA
EM REDES TOLERANTES A ATRASOS
RESUMO
Redes Tolerantes a Atrasos (Delay Tolerant Network - DTN) são redes sujeitas a interrupções
frequentes, altos atrasos e elevadas taxa s de erro. Nessas redes os nodos são móveis e fazem o
papel de roteadores, armazenando e fazendo o repasse das mensagens que precisam ser entregues.
O foco deste trabalho está nas redes DTN estocásticas, nas quais as mudanças topológicas não
são conhecidas e surgem técnicas para tentar aumentar a probabilidade de sucesso no roteamento,
utilizando conhecimento histórico do comp ortamento da rede na tomada da decisão. As redes
DTN possuem algumas semelhanças com as redes ad hoc, mas devido às constantes disrup ções
que ocorrem nas redes DTN, o problema do roteamento é tratado de forma diferente. Em cenários
esparsos, devido à falta de conectividade dos nodos, as redes DTN apresentam maior percentual de
mensagens entregues, a custo de maiores atrasos. Um estudo comparando esses dois tipos de redes
é realizado por este trabalho, comprovando esse aspecto.
Este trabalho propõe três variações de um protocolo de roteamento para redes DTN estocásti-
cas que utiliza uma métrica chamada de “potencial de entrega” usada na decisão do repasse das
mensagens. O potencial de entrega é uma medida histórica que indica o número de encontros em
que os nodos estão envolvidos em um período de tempo. No intuito de aumentar a probabilidade
de encontrar o destinatário, a estratégia prioriza o roteamento a nodos que tenham um número
alto de encontros. O protocolo inicial é chamado de APRP (Adaptive Potential Ro uting Protocol)
e, em comparação com outros protocolo s para o mesmo tipo de rede, apresenta um percentual de
mensagens entregues equivalente a esses protocolos, com um overhead bastante reduzido, especial-
mente para redes esparsas (importantes em DTN). Uma variação do APRP utiliza um mecanismo de
confirmação de mensagens entregues com o intuito de liberar espaço em buffer para mensagens
novas. Tal variação é chamada de APRP-Ack e apresenta desempenho superior ao APRP, ao custo
de um aumento no atraso médio na entrega das mensagens. Por fim, é proposto o APRP-Group,
com o o bjetivo de reduzir o atraso gerado pelo APRP e APRP-Ack. O APRP-Group busca identi-
ficar grupos de nodos com potenciais de entrega similares e decidir sobre o repasse das mensagens
com base em tais grupos. Este protocolo apresenta uma redução significativa no atraso de entrega,
se comparado ao APRP e APRP-Ack, mantendo baixos os custos de comunicação e mantendo ou
melhorando níveis de entrega. Os diferentes protocolos foram simulados em um ambiente específico
para DTN e comparados com protocolos da literatura, especialmente com o Spray and Wait devido
ao seu alto desempenho reportado na literatura.
Palavras-chave: Redes Tolerantes a Atrasos; Protocolos de Roteamento.
ROUTING USING DELIVERY POTENTIAL
IN DELAY TOLERANT NETWORKS
ABSTRACT
Delay Tolerant Network (DTN) are networks in which frequent interruptions, high delay, and high
error rates may occur. In these networks the nodes are mobile and play the role of routers, storing
and transferring messages that need to be delivered. This thesis consider the stochastic DTN,
where the topological changes are not known in advance and techniques are proposed that try to
increase the probability of success in the routing, using, for instance, historical knowledge of network
behavior in the routing decision. DT N has some similarities to ad hoc networks, but due to frequent
disruptions that occur in DTN, the routing problem is handled differently. In sparse scenarios, due
to lack of connectivity of nodes, DTN has higher percentage of delivered messages, at the price of
higher delays. A study comparing these two kinds o f networks is carried out by this thesis, providing
quantitative information about this aspect.
This work proposes three variations of a routing protocol for stochastic DTN based on a metric
called “delivery potential”, which is used while deciding how messages are forwarded. The delivery
potential is a historical measure that indicates the number of meetings in which the nodes are
involved in a period of time. In order to increase the probability to find the destination, the strategy
gives priority to routing nodes that have a high number o f meetings. The initial protocol is called
ARPR (Adaptive Potential Routing Protocol) and, in comparison with other protocols for the same
type of network, presents a percentage of delivered messages equiva lent to these protocols, with a
very low o verhead, especially for sparse networks (important in DTN). An APRP variation uses an
acknowledgement mechanism for messages already delivered in order to release space in buffer for
new messages. This variation is called APRP-Ack and has better performance than ARPR, despite
causing an increase in the a verage delay in the delivery of messages. Finally, the APRP-Group is
proposed, in order to reduce the delay generated by APRP-Ack. The APRP-Group seeks to identify
groups of nodes with similar delivery potential and decide on the forwarding of messages based
on these groups. This protocol provides a significant reduction in the delivery delay, compared
to APRP and APRP-Ack, maintaining low costs of communication and maintaining or improving
levels of delivery. The above mentioned proposed protocols where evaluated using a DTN specific
simulation environment specific and compared to analo gous protocols from the literature, specially
with the Spray and Wait due to its high performance reported in the literature.
Keywords: Delay Tolerant Network; Routing Protocol.
LISTA DE FIGURAS
Figura 1.1 Repasse de uma mensagem feita pelo mecanismo store-carry-forward [Lin03b]. 30
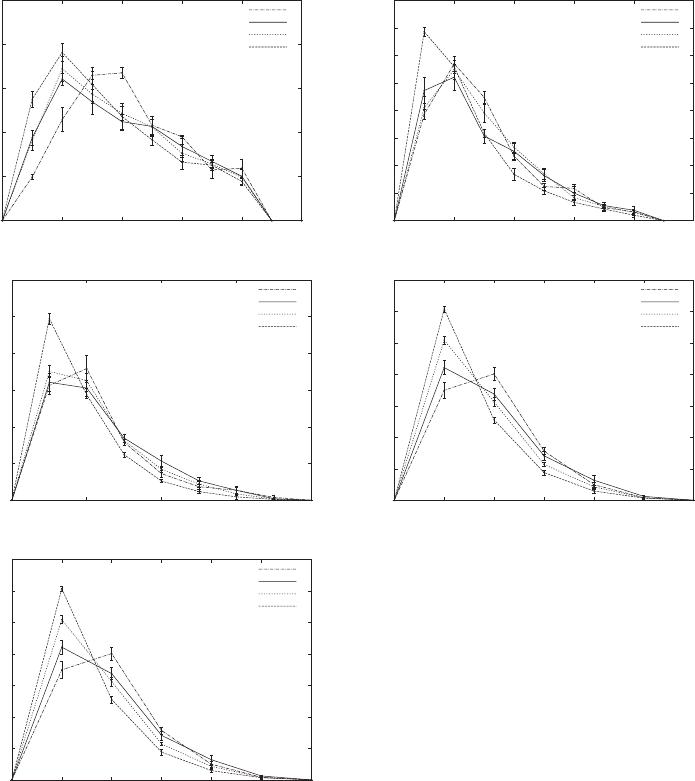
Figura 3.1 Atraso na entrega das mensagens para redes DTN. O eixo vertical representa
a quantidade de mensagens entregues e o horizontal representa o atraso em
segundos. . . . . . . . . . . . . . . . . . . . . . . . . . . . . . . . . . . . . 62
Figura 3.2 Atraso na entrega das mensagens para redes ad hoc. O eixo vertical re-
presenta a quantidade de mensagens entregues e o horizontal representa o
atraso em segundos. . . . . . . . . . . . . . . . . . . . . . . . . . . . . . . 63
Figura 3.3 Percentual de mensagens entregues cumulativo para redes DTN. O eixo verti-
cal representa o percentual de mensagens entregues e o horizontal representa
o atraso em segundos. . . . . . . . . . . . . . . . . . . . . . . . . . . . . . 64
Figura 3.4 Percentual de mensagens entregues cumulativo para redes ad hoc. O eixo
vertical representa o percentual de mensagens entregues e o horizontal re-
presenta o atraso em segundos. . . . . . . . . . . . . . . . . . . . . . . . . 65
Figura 3.5 Percentual de mensagens entregues cumulativo para redes DTN em 10000
segundos. O eixo vertical representa o percentual de mensagens entregues e
o horizontal representa o atraso em segundos. . . . . . . . . . . . . . . . . 66
Figura 4.1 Percentual de mensagens entregues com Random Waypoint. O eixo vertical
representa o percentual de mensagens entregues e o horizontal representa
a quantidade de nodos. A Tabela 4.4 apresenta os valores numéricos dessa
figura. Os valores correspondentes ao APRP estão representados como APRP
delta 0 ,2. . . . . . . . . . . . . . . . . . . . . . . . . . . . . . . . . . . . 76
Figura 4.2 Percentual de mensagens entregues com Shortest Path Map Based Move-
ment. O eixo vertical representa o percentual de mensagens entregues e
o horizontal representa a quantidade de nodos. A Tabela 4.5 apresenta os
valores numéricos dessa figura. Os valores correspondentes ao APRP estão
representados como APRP delta 0,2. . . . . . . . . . . . . . . . . . . . . . 77
Figura 4.3 Percentual de mensagens entregues com Map Based Movement. O eixo
vertical representa o percentual de mensagens entregues e o horizontal repre-
senta a quantidade de nodos. A Tabela 4.6 apresenta os valores numéricos
dessa figura. Os valores correspondentes ao APRP estão representados como
APRP delta 0,2. . . . . . . . . . . . . . . . . . . . . . . . . . . . . . . . 77
Figura 4.4 Overhead gerado na rede com Random Waypoint. O eixo vertical representa
o número de cópias e o horizontal representa a a quantidade de nodos. A
Tabela 4.7 apresenta os valores numéricos dessa fig ura . Os valores corres-
pondentes ao APRP estão representados como APRP delta 0,2. . . . . . . . 78
Figura 4.5 Overhead gerado na rede com Shortest Path Map Based Movement. O
eixo vertical representa o número de cópias e o horizontal representa a a
quantidade de nodos. A Tabela 4.8 apresenta os valores numéricos dessa
figura. Os valores correspondentes ao APRP estão representados como APRP
delta 0 ,2. . . . . . . . . . . . . . . . . . . . . . . . . . . . . . . . . . . . . 78
Figura 4.6 Overhead gerado na rede com Map Based Movement. O eixo vertical re-
presenta o número de cópias e o horizontal representa a a quantidade de
nodos. A Tabela 4.9 apresenta os valores numéricos dessa figura. Os valores
correspondentes ao APRP estão representados como APRP delta 0,2. . . . . 79
Figura 4.7 Overhead dos protocolo s APRP e Spray and Wait com Random Waypoint.
O eixo v ertical representa o número de cópias e o horizontal representa a
a quantidade de nodos. A Tabela 4.7 apresenta os valores numéricos dessa
figura. Os valores correspondentes ao APRP estão representados como APRP
delta 0 ,2. . . . . . . . . . . . . . . . . . . . . . . . . . . . . . . . . . . . . 80
Figura 4.8 Overhead dos protocolos APRP e Spray and Wait com Shortest Path Map
Based Mo vement. O eixo vertical representa o número de cópias e o ho-
rizontal representa a a quantidade de nodos. A Tabela 4.8 apresenta os
valores numéricos dessa figura. Os valores correspondentes ao APRP estão
representados como APRP delta 0,2. . . . . . . . . . . . . . . . . . . . . . 80
Figura 4.9 Overhead dos protocolos APRP e Spray and Wait com Map Based Move-
ment. O eixo vertical representa o número de cópias e o horizontal representa
a a quantidade de nodos. A Tabela 4.9 apresenta os valores numéricos dessa
figura. Os valores correspondentes ao APRP estão representados como APRP
delta 0 ,2. . . . . . . . . . . . . . . . . . . . . . . . . . . . . . . . . . . . . 80
Figura 4.10 Atraso na entrega das mensagens com Random Waypoint. O eixo vertical
representa o tempo em segundos e o horizontal representa a a quantidade
de nodos. A Tabela 4.10 apresenta os valores numéricos dessa figura. O s
valores correspondentes a o APRP estão representados como APRP delta 0,2. 81
Figura 4.11 Atraso na entrega das mensagens com Shortest Path Map Based Movement.
O eixo vertical representa o tempo em segundos e o horizontal representa a
a quantidade de nodos. A Tabela 4.11 apresenta os valores numéricos dessa
figura. Os valores correspondentes ao APRP estão representados como APRP
delta 0 ,2. . . . . . . . . . . . . . . . . . . . . . . . . . . . . . . . . . . . . 81
Figura 4.12 Atraso na entrega das mensagens com Map Based Movement. O eixo vertical
representa o tempo em segundos e o horizontal representa a a quantidade
de nodos. A Tabela 4.12 apresenta os valores numéricos dessa figura. O s
valores correspondentes a o APRP estão representados como APRP delta 0,2. 81
Figura 4.13 Percentual de mensagens entregues. O eixo vertical representa o percentual
de mensagens entregues e o horizontal representa a quantidade de nodos. A
Tabela 4.6 apresenta os valores numéricos dessa figura. . . . . . . . . . . . 82
Figura 4.14 Overhead gerado na rede. O eixo vertical representa o número de cópias e
o horizontal representa a a quantidade de nodos. A Tabela 4 .9 apresenta os
valores numéricos dessa figura. . . . . . . . . . . . . . . . . . . . . . . . . 83
Figura 4.15 Atraso na entrega das mensagens. O eixo vertical representa o tempo em
segundos e o horizontal representa a a quantidade de nodos. A Tabela 4.12
apresenta os valores numéricos dessa fig ura . . . . . . . . . . . . . . . . . . 83
Figura 4.16 Mensagens recebidas por grupos de nodos com delta de 0,2. A Tabela 4.13
apresenta os valores numéricos dessa fig ura . . . . . . . . . . . . . . . . . . 84
Figura 4.17 Mensagens recebidas por grupos de nodos com delta de 0,5. A Tabela 4.13
apresenta os valores numéricos dessa fig ura . . . . . . . . . . . . . . . . . . 84
Figura 5.1 Percentual de mensagens entregues para 5000 mensagens. O eixo vertical
representa o percentual de mensagens entregues e o horizontal representa a
quantidade de nodos. A Tabela 5.1 apresenta os valores numéricos dessa
figura. . . . . . . . . . . . . . . . . . . . . . . . . . . . . . . . . . . . . . 94
Figura 5.2 Percentual de mensagens entregues para 10000 mensagens. O eixo vertical
representa o percentual de mensagens entregues e o horizontal representa a
quantidade de nodos. A Tabela 5.2 apresenta os valores numéricos dessa
figura. . . . . . . . . . . . . . . . . . . . . . . . . . . . . . . . . . . . . . 94
Figura 5.3 Overhead gerado na rede para 5000 mensagens. O eixo vertical representa
o número de cópias e o horizontal representa a a quantidade de nodos. A
Tabela 5.3 apresenta os valores numéricos dessa figura. . . . . . . . . . . . 95
Figura 5.4 Overhead gerado na rede para 10000 mensagens. O eixo vertical representa
o número de cópias e o horizontal representa a a quantidade de nodos. A
Tabela 5.4 apresenta os valores numéricos dessa figura. . . . . . . . . . . . 95
Figura 5.5 Atraso na entrega das mensagens para 500 0 mensagens. O eixo vertical
representa o tempo em segundos e o horizontal representa a a quantidade de
nodos. A Tabela 5.5 apresenta os va l ores numéricos dessa figura. . . . . . . 96
Figura 5.6 Atraso na entrega das mensagens para 10000 mensagens. O eixo vertical
representa o tempo em segundos e o horizontal representa a a quantidade de
nodos. A Tabela 5.6 apresenta os va l ores numéricos dessa figura. . . . . . . 96
Figura 5.7 Ocupação de buffer para 5000 mensagens. O eixo vertical representa o
número de mensagens e o horizontal representa a a quantidade de nodos. A
Tabela 5.7 apresenta os valores numéricos dessa figura. . . . . . . . . . . . 96
Figura 5.8 Ocupação de buffer para 10000 mensagens. O eixo vertical representa o
número de mensagens e o horizontal representa a a quantidade de nodos. A
Tabela 5.8 apresenta os valores numéricos dessa figura. . . . . . . . . . . . 97
Figura 5.9 Mensagens descartadas devido a buffer overflow para 500 0 mensagens. O
eixo vertical representa o número de mensagens e o horizontal representa a
a quantidade de nodos. A Tabela 5.9 apresenta os valores numéricos dessa
figura. . . . . . . . . . . . . . . . . . . . . . . . . . . . . . . . . . . . . . 97
Figura 5.10 Mensagens descartadas devido a buffer o verflow para 10000 mensagens. O
eixo vertical representa o número de mensagens e o horizontal representa a
a quantidade de nodos. A Tabela 5.10 apresenta os valores numéricos dessa
figura. . . . . . . . . . . . . . . . . . . . . . . . . . . . . . . . . . . . . . 97
Figura 5.11 Entregas redundantes para 5000 mensagens. O eixo vertical representa o
número de cópias das mensagens e o horizontal representa a a quantidade
de nodos. A Tabela 5.11 apresenta os valores numéricos dessa figura. . . . . 98
Figura 5.12 Entregas redundantes para 10000 mensagens. O eixo vertical representa o
número de cópias das mensagens e o horizontal representa a a quantidade
de nodos. A Tabela 5.12 apresenta os valores numéricos dessa figura. . . . . 98
Figura 5.13 Tempo de vida da s mensagens para 5000 mensagens. O eixo vertical re-
presenta o tempo em segundos e o horizontal representa a a quantidade de
nodos. A Tabela 5.13 apresenta os valores numéricos dessa figura. . . . . . . 99
Figura 5.14 Tempo de vida das mensagens para 10000 mensagens. O eixo vertical re-
presenta o tempo em segundos e o horizontal representa a a quantidade de
nodos. A Tabela 5.14 apresenta os valores numéricos dessa figura. . . . . . . 99
Figura 6.1 Distribuição de potenciais para dois tipos de nodos. a) Resultado da simu-
lação com intervalo de velocidades aproximado. b) Resultado da simulação
com maior diferença no intervalo de velocidades. . . . . . . . . . . . . . . . 107
Figura 6.2 Distribuição hipotética de potenciais. . . . . . . . . . . . . . . . . . . . . . 109
Figura 6.3 Valores dos desvios padrão se f or efetuada a divisão em k = 1,2,3,4 e 5 grupo s.111
Figura 6.4 Atraso na entrega da s mensagens para 2 grupos. O eixo vertical representa
o tempo em segundos e o horizontal representa a a quantidade de nodos. A
Tabela 6.2 apresenta os valores numéricos dessa figura. . . . . . . . . . . . 117
Figura 6.5 Atraso na entrega da s mensagens para 3 grupos. O eixo vertical representa
o tempo em segundos e o horizontal representa a a quantidade de nodos. A
Tabela 6.3 apresenta os valores numéricos dessa figura. . . . . . . . . . . . 118
Figura 6.6 Percentual de mensagens entregues para 2 grupos. O eixo vertical representa
o percentual de mensagens entregues e o horizontal representa a quantidade
de nodos. A Tabela 6.4 apresenta o s valores numéricos dessa figura. . . . . . 118
Figura 6.7 Percentual de mensagens entregues para 3 grupos. O eixo vertical representa
o percentual de mensagens entregues e o horizontal representa a quantidade
de nodos. A Tabela 6.5 apresenta o s valores numéricos dessa figura. . . . . . 118
Figura 6.8 Overhead gerado na rede para 2 grupos. O eixo vertical representa o número
de cópias e o horizontal representa a a quantidade de nodos. A Tabela 6.6
apresenta os valores numéricos dessa fig ura . . . . . . . . . . . . . . . . . . 119
Figura 6.9 Overhead gerado na rede para 3 grupos. O eixo vertical representa o número
de cópias e o horizontal representa a a quantidade de nodos. A Tabela 6.7
apresenta os valores numéricos dessa fig ura . . . . . . . . . . . . . . . . . . 120
Figura 6.10 Ocupação de buffer para 2 grupos. O eixo vertical representa o número de
mensagens e o horizontal representa a a quantidade de nodos. A Tabela 6.8
apresenta os valores numéricos dessa fig ura . . . . . . . . . . . . . . . . . . 120
Figura 6.11 Ocupação de buffer para 3 grupos. O eixo vertical representa o número de
mensagens e o horizontal representa a a quantidade de nodos. A Tabela 6.9
apresenta os valores numéricos dessa fig ura . . . . . . . . . . . . . . . . . . 120
Figura 6.12 Mensagens descartadas devido a buffer overflow para 2 grupos. O eixo ver-
tical representa o número de mensagens e o horizontal representa a a qua n-
tidade de nodos. A Tabela 6.10 apresenta os valores numéricos dessa figura. 1 21
Figura 6.13 Mensagens descartadas devido a buffer overflow para 3 grupos. O eixo ver-
tical representa o número de mensagens e o horizontal representa a a qua n-
tidade de nodos. A Tabela 6.11 apresenta os valores numéricos dessa figura. 1 21
Figura 6.14 Entregas redundantes para 2 grupos. O eixo vertical representa o número de
cópias da s mensagens e o horizontal representa a a quantidade de nodos. A
Tabela 6.12 apresenta os valores numéricos dessa figura. . . . . . . . . . . . 1 22
Figura 6.15 Entregas redundantes para 3 grupos. O eixo vertical representa o número de
cópias da s mensagens e o horizontal representa a a quantidade de nodos. A
Tabela 6.13 apresenta os valores numéricos dessa figura. . . . . . . . . . . . 1 22
Figura 6.16 Tempo de vida das mensagens para 2 grupos. O eixo v ertical representa o
tempo em segundos e o horizontal representa a a quantidade de nodos. A
Tabela 6.14 apresenta os valores numéricos dessa figura. . . . . . . . . . . . 1 22
Figura 6.17 Tempo de vida das mensagens para 3 grupos. O eixo v ertical representa o
tempo em segundos e o horizontal representa a a quantidade de nodos. A
Tabela 6.15 apresenta os valores numéricos dessa figura. . . . . . . . . . . . 1 23
Figura A.1 Modelo SAN do Random Waypoint em uma dimensão. . . . . . . . . . . . 144
Figura A.2 Distribuição de probabilidade do nodo com variação do tempo de pausa. . . 145
Figura A.3 Modelo SAN do Random Waypoint em duas dimensões. . . . . . . . . . . . 145
Figura A.4 Distribuição espacial do nodo com variação do tempo de pausa e velocidade
de 32 m/s. . . . . . . . . . . . . . . . . . . . . . . . . . . . . . . . . . . . 146
Figura A.5 Distribuição espacial do nodo em três dimensões. . . . . . . . . . . . . . . . 147
Figura A.6 Random Waypoint na superfície regular e irregular - distribuição espacial do
nodo. . . . . . . . . . . . . . . . . . . . . . . . . . . . . . . . . . . . . . . 147
Figura A.7 Corte feito na metade do eixo y da superfície do triângulo - variando a pausa. 148
LISTA DE TABELAS
Tabela 2.1 Resumo e comparação entre os protocolos de roteamento. . . . . . . . . . . 56
Tabela 4.1 Valor médio do potencial para raio de 10 m. . . . . . . . . . . . . . . . . . 70
Tabela 4.2 Valor médio do potencial para raio de 30 m. . . . . . . . . . . . . . . . . . 70
Tabela 4.3 Valor médio do potencial para raio de 80 m. . . . . . . . . . . . . . . . . . 70
Tabela 4.4 Valores do percentual de mensagens entregues com Random Waypoint. . . . 85
Tabela 4.5 Valores do percentual de mensagens entregues com Shortest Path Map Based
Movement. . . . . . . . . . . . . . . . . . . . . . . . . . . . . . . . . . . . 85
Tabela 4.6 Valores do percentual de mensagens entregues com Ma p Based Movement. . 86
Tabela 4.7 Overhead gerado na rede com Random Waypoint. . . . . . . . . . . . . . . 86
Tabela 4.8 Overhead gerado na rede com Shortest Path Map Ba sed Movement. . . . . 87
Tabela 4.9 Overhead gerado na rede com Map Based Movement. . . . . . . . . . . . . 87
Tabela 4.10 Atraso na entrega das mensagens com Random Waypoint. . . . . . . . . . . 88
Tabela 4.11 Atraso na entrega das mensagens com Shortest Path Map Based Movement. 88
Tabela 4.12 Atraso na entrega das mensagens com M ap Based Movement. . . . . . . . . 89
Tabela 4.13 Número médio de mensagens recebidas por grupos de nodo s. . . . . . . . . 89
Tabela 5.1 Valores do percentual de mensagens entregues para 5000 mensagens. . . . . 99
Tabela 5.2 Valores do percentual de mensagens entregues para 10000 mensagens. . . . 100
Tabela 5.3 Overhead gerado na rede para 5000 mensagens. . . . . . . . . . . . . . . . 100
Tabela 5.4 Overhead gerado na rede para 10000 mensagens. . . . . . . . . . . . . . . . 101
Tabela 5.5 Atraso na entrega da s mensagens para 5000 mensagens. . . . . . . . . . . . 101
Tabela 5.6 Atraso na entrega da s mensagens para 10000 mensagens. . . . . . . . . . . 102
Tabela 5.7 Ocupação de buffer para 5 000 mensagens. . . . . . . . . . . . . . . . . . . 102
Tabela 5.8 Ocupação de buffer para 1 0000 mensagens. . . . . . . . . . . . . . . . . . 10 3
Tabela 5.9 Mensagens descartadas devido a buffer overflow para 5000 mensagens. . . . 103
Tabela 5.10 Mensagens descartadas devido a buffer overflow para 10000 mensagens. . . 104
Tabela 5.11 Entregas redundantes para 5000 mensagens. . . . . . . . . . . . . . . . . . 104
Tabela 5.12 Entregas redundantes para 10000 mensagens. . . . . . . . . . . . . . . . . . 105
Tabela 5.13 Tempo de vida das mensagens para 5000 mensagens. . . . . . . . . . . . . 105
Tabela 5.14 Tempo de vida das mensagens para 10000 mensagens. . . . . . . . . . . . . 106
Tabela 6.1 Exemplo de break_list para k igua l a 5. . . . . . . . . . . . . . . . . . . . 110
Tabela 6.2 Atraso na entrega da s mensagens para 2 grupos. . . . . . . . . . . . . . . . 123
Tabela 6.3 Atraso na entrega da s mensagens para 3 grupos. . . . . . . . . . . . . . . . 124
Tabela 6.4 Percentual de mensagens entregues para 2 grupos. . . . . . . . . . . . . . . 124
Tabela 6.5 Percentual de mensagens entregues para 3 grupos. . . . . . . . . . . . . . . 125
Tabela 6.6 Overhead gerado na rede para 2 g rupos. . . . . . . . . . . . . . . . . . . . 125
Tabela 6.7 Overhead gerado na rede para 3 g rupos. . . . . . . . . . . . . . . . . . . . 126
Tabela 6.8 Ocupação de buffer para 2 grupos. . . . . . . . . . . . . . . . . . . . . . . 126
Tabela 6.9 Ocupação de buffer para 3 grupos. . . . . . . . . . . . . . . . . . . . . . . 127
Tabela 6.10 Mensagens descartadas devido a buffer overflow para 2 grupos. . . . . . . . 127
Tabela 6.11 Mensagens descartadas devido a buffer overflow para 3 grupos. . . . . . . . 128
Tabela 6.12 Entregas redundantes para 2 grupos. . . . . . . . . . . . . . . . . . . . . . 128
Tabela 6.13 Entregas redundantes para 3 grupos. . . . . . . . . . . . . . . . . . . . . . 129
Tabela 6.14 Tempo de vida das mensagens para 2 grupos. . . . . . . . . . . . . . . . . . 129
Tabela 6.15 Tempo de vida das mensagens para 3 grupos. . . . . . . . . . . . . . . . . . 130
LISTA DE ALGORITMOS
Algoritmo 4.1 Mecanismo de roteamento do APRP. . . . . . . . . . . . . . . . . . . . . . 73
Algoritmo 5.1 Mecanismo de roteamento do APRP-Ack. . . . . . . . . . . . . . . . . . . 92
Algoritmo 6.1 Algoritmo utilizado no agrupamento dos potenciais, baseado em [Ski97]. . . 109
Algoritmo 6.2 Mecanismo de roteamento do APRP-Group. . . . . . . . . . . . . . . . . . 114
Algoritmo 6.3 Mecanismo de roteamento do APRP-Group - descrição dos procedimentos. . 115
LISTA DE SIGLAS
ADSL Asymmetric Digital Subscriber Line
AODV Ad hoc On-demand Distance Vector
APRP Adaptive Potential Routing Protocol
CAR Context-aware Adaptive Routing
CBR Constant Bit Rate
CHANTS CHAllenged NeTworkS
CONDOR Command and Control On-the-move Network Digital Over-the-horizon
Relay
DA-SW Density-Aware Spray-and-Wait
DSDV Destination-Sequenced Distance Vector
DSL Digital Subscriber Line
DSR Dynamic Source Routing Protocol
DTMNs Delay Tolerant Mobile Networks
DTN Delay Tolerant Network
DTNRG Delay Tolerant Networking Research Group
ED Earliest Delivery
EPL Effective Path Length
FIFO First In First Out
GPS Global Positioning System
HYMAD Hybrid DTN-MANET Routing for Dense and Highly Dynamic Wireless
Networks
IETF Internet Engineering Task Force
IP Internet Protocol
IPN Interplanetary Internet
IRTF Internet Research Task Fo r ce
MAC Medium Access Control
MED Minimum Expected Delay
MEED Minimum Estimated Expected Delay
MV Meeting Visit
NECTAR Neighborhood Contact History
NS Network Simulator
O-SW Oracle-based Spray-and-Wait
PDA Personal Digital Assistant
PRoPHET Probabilistic Routing Protocol using History of Encounters and
Transitivity
RAPID Resource Allocation Protocol fo r Intentional DTN
SAN Stochastic Automata Networks
SEPR Shortest Expected Path Routing
SMM Statistical Mobility Model
TCP Transmission Control Protocol
TIER Technology and Infrastructure for Emerging Regions
TTL Time to Live
UDP User Datagram Protocol
SUMÁRIO
1. Introdução 29
2. Redes Tolerantes a Atrasos 35
2.1 Aplicações das Redes Tolerantes a Atrasos . . . . . . . . . . . . . . . . . . . . . . 36
2.2 Ti pos de Contatos . . . . . . . . . . . . . . . . . . . . . . . . . . . . . . . . . . . 38
2.3 Modelos de Mobilidade . . . . . . . . . . . . . . . . . . . . . . . . . . . . . . . . 39
2.4 Roteamento em Redes Tolerantes a Atrasos . . . . . . . . . . . . . . . . . . . . . . 43
2.4.1 Tra nsmissão Direta . . . . . . . . . . . . . . . . . . . . . . . . . . . . . . 44
2.4.2 Epidêmico . . . . . . . . . . . . . . . . . . . . . . . . . . . . . . . . . . . 44
2.4.3 Spray and Wait . . . . . . . . . . . . . . . . . . . . . . . . . . . . . . . . 4 5
2.4.4 Density-Aware Spray-and-Wait . . . . . . . . . . . . . . . . . . . . . . . . 47
2.4.5 Shortest Expected Path Routing - SEPR . . . . . . . . . . . . . . . . . . . 4 7
2.4.6 Probabilistic Routing Protocol using History of Encounters and Transitivity -
PRoPHET . . . . . . . . . . . . . . . . . . . . . . . . . . . . . . . . . . . 48
2.4.7 Meeting Visit - MV . . . . . . . . . . . . . . . . . . . . . . . . . . . . . . 49
2.4.8 Context-aware Adaptive Ro uting - CAR . . . . . . . . . . . . . . . . . . . . 49
2.4.9 Minimum Estimated Ex pected Delay - MEED . . . . . . . . . . . . . . . . . 50
2.4.10 MaxProp . . . . . . . . . . . . . . . . . . . . . . . . . . . . . . . . . . . . 51
2.4.11 Neighborhood Contact History - NECTAR . . . . . . . . . . . . . . . . . . 51
2.4.12 Core-aided . . . . . . . . . . . . . . . . . . . . . . . . . . . . . . . . . . . 53
2.4.13 Resource Allocation Protocol for Intentional DTN - RAPID . . . . . . . . . 53
2.4.14 Hybrid DTN-M ANET Routing for Dense and Highly Dynamic Wireless Networks
- HYMAD . . . . . . . . . . . . . . . . . . . . . . . . . . . . . . . . . . . 54
2.4.15 Comparação entre o s Protocolo s de Roteamento . . . . . . . . . . . . . . . 54
2.5 Métricas de Avaliação para Redes Tolerantes a Atrasos . . . . . . . . . . . . . . . . 58
3. Comportamento de Entrega e Atraso em Redes DTN e Ad Hoc 59
3.1 Parametrização dos Experimentos . . . . . . . . . . . . . . . . . . . . . . . . . . . 6 0
3.2 Avaliação Experimental . . . . . . . . . . . . . . . . . . . . . . . . . . . . . . . . 61
3.3 Considerações Finais . . . . . . . . . . . . . . . . . . . . . . . . . . . . . . . . . . 67
4. O Protocolo APRP 69
4.1 Cálculo do Potencial de Entrega de um Nodo . . . . . . . . . . . . . . . . . . . . . 69
4.2 Roteamento no APRP . . . . . . . . . . . . . . . . . . . . . . . . . . . . . . . . . 71
4.3 Algoritmo . . . . . . . . . . . . . . . . . . . . . . . . . . . . . . . . . . . . . . . 72
4.4 Avaliação Experimental . . . . . . . . . . . . . . . . . . . . . . . . . . . . . . . . 74
4.4.1 Parâmetros da Simulação . . . . . . . . . . . . . . . . . . . . . . . . . . . 74
4.4.2 Percentual de Mensagens Entregues . . . . . . . . . . . . . . . . . . . . . . 76
4.4.3 Overhead . . . . . . . . . . . . . . . . . . . . . . . . . . . . . . . . . . . . 78
4.4.4 Atraso na Entrega das Mensagens . . . . . . . . . . . . . . . . . . . . . . . 80
4.4.5 Análise do Delta . . . . . . . . . . . . . . . . . . . . . . . . . . . . . . . . 82
4.4.6 Avaliação da Sobrecarga nos Nodos . . . . . . . . . . . . . . . . . . . . . . 83
4.4.7 Tabelas com Valores dos Gráficos . . . . . . . . . . . . . . . . . . . . . . . 84
4.5 Considerações Finais . . . . . . . . . . . . . . . . . . . . . . . . . . . . . . . . . . 90
5. O Protocolo APRP-ACK 91
5.1 Algoritmo . . . . . . . . . . . . . . . . . . . . . . . . . . . . . . . . . . . . . . . 91
5.2 Avaliação Experimental . . . . . . . . . . . . . . . . . . . . . . . . . . . . . . . . 93
5.2.1 Percentual de Mensagens Entregues . . . . . . . . . . . . . . . . . . . . . . 93
5.2.2 Overhead . . . . . . . . . . . . . . . . . . . . . . . . . . . . . . . . . . . . 94
5.2.3 Atraso na Entrega das Mensagens . . . . . . . . . . . . . . . . . . . . . . . 95
5.2.4 Ocupação de Buffer . . . . . . . . . . . . . . . . . . . . . . . . . . . . . . 96
5.2.5 Mensagens Descartadas Devido a Buffer Overflow . . . . . . . . . . . . . . 97
5.2.6 Entregas Redundantes . . . . . . . . . . . . . . . . . . . . . . . . . . . . . 98
5.2.7 Tempo de Vida das Mensagens . . . . . . . . . . . . . . . . . . . . . . . . 98
5.2.8 Tabelas com Valores dos Gráficos . . . . . . . . . . . . . . . . . . . . . . . 99
5.3 Considerações Finais . . . . . . . . . . . . . . . . . . . . . . . . . . . . . . . . . . 106
6. O Protocolo APRP-Group 107
6.1 Caracterização e Agrupamento de Potenciais . . . . . . . . . . . . . . . . . . . . . 107
6.2 Roteamento no APRP-Group . . . . . . . . . . . . . . . . . . . . . . . . . . . . . 111
6.3 Algoritmo . . . . . . . . . . . . . . . . . . . . . . . . . . . . . . . . . . . . . . . 112
6.4 Avaliação Experimental . . . . . . . . . . . . . . . . . . . . . . . . . . . . . . . . 116
6.4.1 Atraso na Entrega das Mensagens . . . . . . . . . . . . . . . . . . . . . . . 117
6.4.2 Percentual de Mensagens Entregues . . . . . . . . . . . . . . . . . . . . . . 118
6.4.3 Overhead . . . . . . . . . . . . . . . . . . . . . . . . . . . . . . . . . . . . 119
6.4.4 Ocupação de Buffer . . . . . . . . . . . . . . . . . . . . . . . . . . . . . . 120
6.4.5 Mensagens Descartadas devido a Buffer Overflow . . . . . . . . . . . . . . . 121
6.4.6 Entregas Redundantes . . . . . . . . . . . . . . . . . . . . . . . . . . . . . 12 1
6.4.7 Tempo de Vida das Mensagens . . . . . . . . . . . . . . . . . . . . . . . . 122
6.4.8 Tabelas com Valores dos Gráficos . . . . . . . . . . . . . . . . . . . . . . . 123
6.5 Considerações Finais . . . . . . . . . . . . . . . . . . . . . . . . . . . . . . . . . . 130
7. Conclusão 131
Bibliografia 135
A. Modelagem do Random Waypoint 143
A.1 M odelagem de Superfícies Quadradas em SAN . . . . . . . . . . . . . . . . . . . . 144
A.2 M odelagem de Superfícies Irregulares em SAN . . . . . . . . . . . . . . . . . . . . 147
29
1. Introdução
Redes Tolerantes a Atrasos (Delay Tolerant Network - DTN) são redes sem fio conectadas
ocasionalmente que podem sofrer de particionamentos frequentes e podem compreender uma ou
mais famílias de protocolos [Cer07]. Assim como as redes ad hoc, as redes DTN são formadas
por múltiplos nodos que se comunicam sem a necessidade de estações base ou de uma rede com
infra-estrutura fixa pré-existente. Contudo, segundo [Jai0 4], as desconexões nas redes DTN são
frequentes, muitas vezes não existindo um caminho entre uma origem e um destino que desejem se
comunicar. As principais razões mencionadas na literatura para as desconexões são a mobilidade
dos nodos e a operação em ambientes hostis [Zha0 6].
Em redes onde movimentação dos nodos, a comunicação direta entre um par de nodos em
um determinado instante somente é possível quando a distância entre eles é menor do que o alcance
da transmissão. Isso significa que, mesmo que as mensagens sejam roteadas através de nodos que
fazem o papel de roteadores, não garantia de que se encontre um caminho de comunicação viável
até o destino. em ambientes hostis, a s desconexões acontecem devido à interferência no sinal,
impossibilitando a comunicação [Zha06].
A f alta de conectividade entre os nodos também é considerada em redes ad hoc, entretanto a
abordagem utilizada é diferente. Para resolver o roteamento em redes ad hoc, supõe-se a possi-
bilidade de um caminho contemporâneo válido entre origem e destino. Diversos protocolos foram
esp ecificados para tais redes, como: AODV (Ad hoc On-demand Distance Vector), DSR (Dynamic
Source Routing Protocol) e DSDV (Destination-Sequenced Distance Vector) [Liu05]. Tais proto-
colos são variações de protocolos de roteamento para redes tradicionais e utilizam o mecanismo
store-and-forward no repasse das mensagens. Por outro lado, nas redes DTN esse mecanismo não
funciona adequadamente, dada a inexistência de caminhos contemporâneos de comunicação entre
os nodos.
Para trabalhar com conectividade intermitente, uma a bordagem utilizada é estender o roteamento
store-and-forward para o ro teamento store-carry-forward [Zha06]. Neste mecanismo, um nodo pode
armazenar uma mensagem até encontrar outro nodo propício para o roteamento em direção ao
destinatário. A decisão de para qua l( is) nodo(s) repassar uma mensagem, de forma a aumentar
sua probabilidade de alcançar o destino, é uma das principais questões no projeto de um protocolo
de roteamento para redes DTN. Esse repasse também pode ser feito para um único ou para vários
nodos. Segundo [Abd07], a abordagem de única cópia tenta reduzir o uso de buffer e o número
de mensagens transferidas, mas sofre de grandes atrasos e baixa taxa de entrega. Esquemas de
múltiplas cópias, por outro lado, alcançam atrasos mais baixos e maior taxa de entrega.
A Figura 1.1 mostra como a mobilidade dos nodos pode ser usada para eventualmente entregar
uma mensagem para seu destino. A figura representa uma sequência de instantes do tempo, bem
como a localização dos nodos móveis. Nesta figura, o nodo A tem uma mensagem para ser entregue
ao nodo D, mas não um caminho entre esses dois nodos. Como mostra a Figura 1.1a-d, a
30
mobilidade dos nodos permite que a mensagem primeiro seja passada para o nodo B, então para o
C e finalmente C se move para próximo de D e pode entregar a mensagem para seu destino final.
d)
C
D
A
B
C
D
A
D
A
B
C
A
B
B
C
D
a) b)
c)
Figura 1.1: Repasse de uma mensagem feita pelo mecanismo store-carry-forward [Lin03b].
Segundo [Z ha06], as redes DTN podem ser divididas em determinísticas e estocásticas e diferen-
tes protocolos de roteamento são necessários. Quando as mudanças que ocorrem na topologia da
rede são determinísticas e conhecidas, ou ao menos previsíveis, o repasse das mensagens pode ser
escalonado, podendo-se calcular as jornadas das mensagens a priori [BX03]. quando as mudan-
ças topológicas não são conhecidas, um repasse aleatório pode ser utilizado. Nesse sentido, surgem
técnicas para tentar aumentar a probabilidade de sucesso no roteamento, utilizando conhecimento
histórico do comportamento da rede para tomar a decisão.
Essa segunda classe é a tra tiva pois rias aplicações podem utilizar esse tipo de rede, vide
Seção 2.1, sendo necessário que se tenham protocolos de roteamento eficientes para trabalhar nessas
redes. Além disso, os protocolos de roteamento para redes DTN estocásticas devem assumir que os
nodos não possuam nenhuma informação sobre a rede, bem como sobre os outros nodos da rede.
Além disso, as decisões de para qual ou quais nodos deve-se repassar as mensagens nas redes DTN
estocásticas não são simples e a literatura apresenta diversos trabalhos que propõem mecanismos
de roteamento para essas redes. Uma estratégia que pode ser empregada é a utilização de flooding,
distribuindo cópias duplicadas das mensagens para todos os nodos da rede, como em [Vah00], ou
para uma parte deles, como em [Bur06], [Bal07] e [Spy08]. Contudo, a maioria dos protocolos
propostos baseia a decisão do repasse das mensagens a partir de informações históricas a cerca
do comportamento dos nodos. Uma métrica bastante utilizada é a probabilidade de entrega das
mensagens para o destino, sendo que o repasse ocorre somente para nodo s que tenham uma maior
probabilidade de encontrar o destino no futuro. Essa métrica foi proposta em [Lin03b], mas v ários
protocolos também se baseiam nessa medida, como em [Mus05] e [Bur06]. A frequência de encontro
31
entre pares de nodo s e suas vi sitas em certas regiões geográficas é uma o utra métrica utilizada,
conforme definido em [Bur05]. Em [Jon05] a métrica utilizada diz respeito ao tempo em que
ocorreram os encontros entre os nodos, sendo que o repasse ocorre para nodos que se encontraram
mais recentemente. [Oli09d] utiliza em conjunto a probabilidade de entrega e o tempo dos
contatos. Além disso, em [Abd07 ] o repasse ocorre para os nodos que possuem mais recursos na
rede.
Como pode-se observar, rias métricas diferentes são propostas pelos protocolos apresentados
na literatura. A partir dessa observação, pode-se categorizar os protocolos de roteamento de acordo
com as informações que são utilizadas no repasse da s mensagens. rios protocolos de roteamento,
como [Lin03b], [Mus05], [Bur06], fazem o repasse das mensagens considerando da dos históricos e
informações como probabilidades de entrega por nodo ou por mensagem. Apesar desses protocolos
atingirem uma razoável probabilidade de entrega das mensagens, vide Seção 4.4, essas informações
ficam armazenadas nos nodos, podendo acarretar problemas de espaço em memória devido à quanti-
dade de informações armazenadas. Além disso, uma grande quantidade de informações de controle
pode ser repassada na rede à medida que o tamanho da mesma aumenta. Por outro lado, a l guns
protocolos de roteamento, como [Vah00], [Spy08], [Tou09], não consideram informações sobre a rede
no repasse das mensagens, repassando mensagens aleatoriamente para qualquer nodo encontrado.
Normalmente essas técnicas são restrições do flooding , e acredita-se que, apesar do bom percentual
de mensagens entregues, vide Seção 4.4, esse percentual poderia ser melhorado caso inf ormações a
respeito da rede fossem consideradas no repasse das mensagens.
Identifica-se, desta forma, um nicho de investigação no sentido de elaborar um mecanismo
de decisão de repasse baseado em observações mínimas da rede. Tal mecanismo tem um custo
de ma nutenção independente do número de nodos e visa aumentar a probabilidade de entrega,
principalmente se comparado a técnica de repasse aleatório, como a proposta em [Spy08].
Neste contexto, este trabalho propõe o uso de uma medida chamada “potencial de entrega” para
nortear as decisões de repasse. O potencial de entrega identifica o número de encontros em que os
nodos estão envolv i dos em um período de tempo e foi proposto em [Nun09a ]. Parte-se da hipótese
que a conectividade dos nodos influi no sucesso do repasse, ou seja, nodos que historicamente têm
mais contato com outros nodos devem ter mais chance de encaminhar a mensagem com sucesso
ao destino. Essa medida é importante pois os nodos nã o precisam ter informações sobre os demais
nodos da rede, o que torna a estratégia simples e não sobrecarrega a rede com informações de
controle, mesmo com o aumento de sua densidade. Além disso, o protocolo proposto considera que
a localização geográfica dos nodos não é conhecida e não conhecimento da presença do destino
na rede. A partir dessa medida, ou observação da rede, três protocolos são apresentados e av aliados
neste trabalho, em ordem crescente de complexidade.
O protocolo inicialmente proposto é chamado de APRP (Adaptive Potential Routing Protocol)
[Nun09a] e prioriza o roteamento a nodos que participem de um maior número de encontros no
intuito de aumentar a probabilidade de encontrar o destinatário. A técnica proposta se mostra de
simples implementação e com bom po tencial de escalabilidade, que os nodo s mantêm um conjunto
32
bastante reduzido de informações sobre a rede, a lém de explorar o movimento dos nodos e o contato
com seus vizinhos.
Três protocolos de roteamento foram escolhidos na realização de experimentos e comparação
de desempenho com o APRP, sendo eles Epidêmico [Vah00], Probabilistic Routing Protocol using
History of Encounters a nd Transitivity (PRoPHET) [Lin03b] e Spray and Wait [Spy08]. Tais proto-
colos são bastante referenciados na literatura e apresentam bons níveis de desempenho. Contudo, as
comparações são especialmente realizadas com o protocolo Spray and Wait, po is o APRP utiliza o
mecanismo de controle do número de cópias das mensagens proposto por esse protocolo. De acordo
com os experimentos realizados, vide Seção 4.4, observa-se que os resultados obtidos do APRP em
comparação com esses protocolos variam de acordo com o cenário utilizado, mas em linhas gerais
o APRP gerou uma considerável diminuição de overhead
1
, principalmente quando comparado aos
protocolos PRoPHET e Epidêmico, mantendo níveis de entrega compatíveis com o Spray and Wait.
Esse comportamento é especialmente observado em redes esparsas, de maior importância no caso de
redes DTN, vide Seção 3.2. Como exemplo, considerando as nove configurações mais significantes
2
para o padrão de mobilidade Map Based Movement [Ekm08], o APRP apresentou, quando compa-
rado ao Spray and Wait, redução no percentual de mensagens entregues em média de 1,2 %, redução
no overhead em média de 43,2% e aumento no a traso em média de 31,8%. em uma configuração
esp ecífica, com raio de alcance de 80 m, 50 nodos na área e com 500 0 mensagens sendo criadas, o
protocolo APRP reduziu o overhead em 27,8%, aumentou a probabilide de mensagens entregues em
2,0% e gerou um aumento no atraso médio na entrega das mensagens em 5 4,9%. Esses resultados
foram obtidos em comparação ao proto colo Spray and Wait, com padrão de mobilidade Map Based
Movement.
Como extensão ao APRP, propõe-se o APRP-Ack [Nun09b]. Esse protocolo mantém os objetivos
definidos para o APRP e usa mensagens de confirmação para liberar espaço de armazenamento em
nodos intermediários. O APRP- Ack utiliza a mesma estratégia de repasse proposta para o APRP.
Conforme experimentos realizados, vide Seção 5.2, o APRP-Ack, tem em geral, melhores índices
de desempenho que o APRP (aumentando o percentual de mensagens entregues e diminuindo o
overhead). Quando comparado a outros protocolos referenciados na literatura, como o Spray and
Wait, o APRP-Ack tem um ma ior percentual de mensagens entregues, gerando menos cópias de
mensagens na rede. Considerando a média das dezoito configurações mais significantes
3
, conforme
apresentado anteriormente, o APRP apresentou, quando comparado ao Spray and Wait, aumento
no percentual de mensagens entregues em média de 3,0%, redução no o verhead em média de 51,5%
e a umento no atraso em média de 45,4%.
O terceiro protocolo proposto neste trabalho é chamado de APRP-Group [Nun10], o qual estende
ambos protocolos, APRP e APRP-Ack. A partir dos resultados apresentados observou-se que o
1
Considera-se overhead ne s te trabalho como sendo o número de cópi a s geradas na rede para cada mensagem
criada.
2
Com base nos estudos realizados no Capítul o 3, consid e rou-se apresentar apenas os resultados dos cenários com
menor dens idade, pois considera-se que esses são os cenários propícios para o uso de redes DTN.
3
Nesse caso foram realizados experimentos c om 5000 e 10000 mensage ns no intuito de testar a eficiência do Ack.
33
atraso médio na entrega das mensagens de ambos APRP e APRP-Ack foi um pouco maior que nos
demais protocolos. I sso é devido ao repasse não acontecer imediatamente no próximo encontro com
outro nodo, mas depender do nodo encontrado ter um valor de potencial de entrega que justifique
o repasse realizado. O APRP-Group visa reduzir esse atraso médio gerado pelos protocolos APRP
e APRP-Ack, sem prejudicar a taxa de entrega das mensagens. Conforme discutido na Seção 6.1,
observa-se que dependendo do padrão de movimentação, existem nodos com valores de potenciais
de entrega agrupados. O APRP-Group se utiliza dessa característica, agrupando logicamente nodos
com potenciais de entrega semelhantes e definindo uma nova estratégia de repasse baseada nos
potenciais desses grupos. Desta forma, ao invés de utilizar o valor de potencial individual de cada
nodo para decidir sobre o repasse de uma mensagem, utilizam-se os valores de potenciais dos grupos
para realizar o repasse. Contudo, para nodos do grupo de maior potencial, é permitida a troca
de mensagens dentro do mesmo grupo. Assim, evita-se que mensagens fiquem retidas durante
muito tempo em nodo s com alto potencial de entrega. Além disso, com o objetivo de aumentar a
disseminação de mensagens na rede, foi definido um novo mecanismo para administração de cópias
de uma mensagem. Através desse mecanismo, dedica-se parte das cópias para repasse com baixo
atraso, independente do potencial, e outra parte segundo a estratégia do potencial.
Contudo, devido aos mecanismos utilizados pelo APRP para reduzir o atraso na entrega das
mensagens, os objetivos definidos para o APRP e APRP-ACK não são totalmente mantidos. O
APRP-Group se torna mais complexo que seus predecessores, devido à técnica de agrupamento
utilizada. Além disso, ele armazena e troca informações sobre os demais nodos da rede, sobre-
carregando mais os nodos com informações de controle. Apesar dessas características, de acordo
com experimentos realizados, o APRP-Group apresenta parâmetros como atraso e percentual de
mensagens entregues superiores ao APRP- Ack. em comparação com o protocolo Spray and
Wait, o APRP-Group desempenha de forma análoga em redes densas e melhor em redes esparsas,
características de redes DTN, vide Seção 3.2. Como exemplo, considerando a média das dezoito
configurações mais significantes
4
, conforme apresentado anteriormente, o APRP-Group apresentou,
quando comparado ao Spray and Wait, aumento no percentual de mensagens entregues em média
de 2,3%, redução no overhead em média de 13,8% e aumento no atraso em média de 9,3%. Em
um cenário específico, onde dois tipos de grupos foram simulados com o mesmo padrão de mobili-
dade, com raio de alcance de 30 m, com 50 nodos na área e com 5000 mensagens sendo criada s, o
protocolo APRP-Group apresentou redução no overhead em até 20,7%, aumento na probabilide de
mensagens entregues em até 9,3% e aumento no atraso médio na entrega das mensagens em até
22,3%. Esses resultados foram obtidos em comparação ao protocolo Spray and Wait.
A estrutura deste trabalho é apresentada a seguir. O Capítulo 2 apresenta uma descrição mais
detalhada sobre redes DTN, discutindo aspectos que interferem no desempenho dessas redes, como
modelos de mobilidade por exemplo. Além disso, são apresentados protocolos de roteamento pro-
postos para redes DTN estocásticas, bem como métricas utilizadas para medir o desempenho desses
4
Nesse caso foram realizados experimentos com diferentes tipos de grupos no intu ito de testar a eficiência da
técnica de agrupamento propo s t a .
34
protocolos. O Capítulo 3 apresenta um estudo do impacto da densidade da rede em relação a per-
centual de mensagens entregues e atraso, utilizando técnicas ad hoc e DTN. Esse estudo também
serve para identificar que densidade da rede deve-se investig ar técnicas DTN. O Capítulo 4 descreve
o protocolo APRP, o seu funcionamento e apresenta resultados obtidos a partir dos experimentos
realizados. O Capítulo 5 apresenta o APRP-Ack e discute sobre os resultados obtidos da comparação
entre APRP, APRP-Ack e Spray and Wait. O Capítulo 6 descreve o APRP-Group, apresentando
o mecanismo utilizado para agrupar nodos de acordo com o potencial de entrega, bem como a
estratégia de repasse utilizada. Além disso, esse capítulo discute os resultados obtidos a partir de
experimentos usando dois e três tipos de nodos. O Capítulo 7 apresenta as conclusões do trabalho.
Por fim, o Ap êndice A mostra a modelagem de um padrã o de mobilidade, bastante empregado em
análises de redes sem fio em g eral, usando Stochastic Automata Networks (SAN) [Fer98].
35
2. Redes Tolerantes a Atrasos
As redes DTN fornecem comunicação em ambientes altamente desafiadores, com conectividade
intermitente, longos e variados atrasos e com alta taxa de erros [Sco07]. Isso contrasta com as redes
tradicionais baseadas no protocolo IP (Internet Protocol), que possuem características como: conec-
tividade contínua, baixa perda de pacotes e atraso razoavelmente pequeno [Zha06]. Apesar do termo
DTN (Delay Tolerant Network) ser o mais utilizado na literatura, também podem ser encontradas
outras terminologias, tais como: Redes Desafiadoras (CHAllenged NeTworkS (CHANTS)) [War03],
Redes To lerantes a Desconees (Disruption Tolerant Networks (DTN)) [Bal07], Redes veis To-
lerantes a Atrasos (Delay To lerant Mobile Networks (DTM Ns)) [Har05], Redes Móveis Esparsas
Desconectadas (Disconnected Sparse Mobile Networks) [Har09], entre outras.
Segundo [Cer07] e [Spy08], como exemplos de redes DTN, tem-se: redes interplanetárias, redes
de sensores, redes sem fio terrestres em áreas remotas, redes de satélites, redes a cústicas embaixo
d’água, redes terrestres móveis, redes ad hoc militares, redes ad hoc veiculares, entre outras. Nesses
cenários, o atraso fim- a-fim é ba stante alto, podendo ser de rios segundos ou mesmo horas, sendo
muito maior do que o atraso suportado por protocolos, como TCP (Transmission Control Protocol).
Além disso, caminhos fim-a-fim completamente conectados entre duas entidades que desejam se
conectar são raros ou nunca existirão.
Nesse sentido, dentro do Internet Research Task Force (IRTF)
1
foi criado um grupo de pesquisa
para redes tolerantes a atrasos, o Delay Tolerant Networking Research Group (DTNRG)
2
, com
o objetivo de desenvolver uma arquitetura e tecnologias de suporte para esse tipo de rede. A
arquitetura, descrita em [Cer07], é uma evolução da proposta do Projeto da Internet Interplanetária
(Interplanetary Internet (IPN)) [Bur03] e descreve como um conjunto de nodos se organiza para
armazenar e encaminhar mensagens cooperativamente.
Segundo [Fal03], a arquitetura DTN inclui o s conceitos de região e gateways. Uma região
corresponde a um agrupamento de nodos (fixos ou mó veis) com características relativamente ho mo -
gêneas, na qual sua formação e o número de nodos participantes variam de acordo com a natureza
do sistema [Oli09a]. Um gateway pode ser identificado como qualquer nodo móv el que participe de
pelo menos duas regiões. Eles são utilizados como pontos de ligação entre as regiões e servem para
traduzir protocolos, bem como para aplicar políticas e controles [Fal03].
Os gateways traba l ham em uma camada de agregação definida pela arquitetura da DTN, cha-
mada de Bundle Layer [Cer07]. Esta camada é uma sobre camada (overlay) utilizada para tornar
a rede DTN totalmente independente das diversas redes regionais, permitindo que as a plicações se
comuniquem através de múltiplas regiões. Essa camada está localizada acima do nível de transporte
e abaixo do nível de aplicação , e emprega o armazenamento persistente para ajudar a diminuir o
impacto das interrupções que ocorrem na rede. Dessa forma, ao invés dos gateways implemen-
1
http://www.irtf.org/
2
http://www.dtnrg.org/
36
tarem uma estratégia de store-and-forward como ocorre nas redes convencionais, uma estratégia
chamada de store-carry-forward é utilizada [Zha06]. De acordo com [Lin09], nesse tipo de rotea-
mento as mensagens podem ficar armazenadas nos nodos intermediários por um tempo maior do
que ocorre nas filas do s roteadores tradicionais. Assim, através da mobilidade dos nodos é possível
que eventualmente a mensagem seja entregue ao destino.
Um dos grandes desafios das redes DT N está relacionado ao roteamento das mensagens. Devido
à mobilidade dos nodos e a fatores ambientais, pode o haver um caminho contemporâneo válido
entre os nodo s que desejem se comunicar. Dessa forma, os proto colos de roteamento utilizados em
redes tradicionais não funcionam adequadamente nesse tipo de rede e novos protocolos e algoritmos
precisam ser desenvolvidos para diferentes cenários.
Este trabalho considera um subconjunto das redes cobertas pela arquitetura DTN, tratando
apenas do roteamento entre regiões. Dessa forma, os gateways são chamados de nodos da rede
DTN.
A seguir estão descritos exemplos de utilização de redes DTN , bem como características que
influenciam no funcionamento das mesmas. Além disso, é apresentada uma revisão de protocolo s de
roteamento para redes DTN estocásticas, bem como métricas utilizadas para avaliar o desempenho
desses protocolos.
2.1 Aplicações das Redes Tolerantes a Atrasos
As redes DTN podem ser encontradas em vários tipos de ambientes e para várias aplicações
diferentes. A seguir estão descritos alguns projetos que implementam tais redes:
CONDOR (Command and Control On-the-move Network Dig ital Over-the-horizon Relay)
[CON09] [Sco05]: é um projeto da MITRE Corporation para prover comunicação, através de
veículos táticos, entre as tropas que estão em campos de batalha e seu quartel general. Três
tipos diferentes de veículos foram projetados: Gateways, Pontos de Presença e Comando e
Controle. Os Gateways são equipados com rádios para permitir a cobertura de comunicação
em locais de difícil visão. Os Pontos de Presença p ermitem que unidades individuais se
conectem à rede de dados. O Comando e Controle funciona como um posto de comando
móvel onde as comunicações de dados ocorrem. O projeto inclui roteadores, equipamento
de criptografia, rádio e modem por satélite. Apesar dos veículos realizarem comunicação por
satélite, desconexões podem ocorrer. Para aumentar a confiabilidade, uma DTN foi projetada.
Desta forma, as mensagens enviadas têm uma maior chance de serem recebidas, po is mesmo
que a comunicação com o satélite seja perdida, os dados ficam armazenados e podem ser
enviados no momento de um novo estabelecimento da conexão com o mesmo.
DakNet [Pen04]: é um projeto liderado pela First Mile Solutions [Fir09] com o objetivo de
levar comunicação digital de baixo custo a aldeias e vilas remotas. DakNet é uma rede sem fio
que fornece conectividade digital de forma assíncrona. Veículos como ônibus e motocicletas
37
são utilizados como pontos de acesso, levando comunicação a áreas rurais à medida que se
movimentam. Ao entrar no raio de alcance de uma vila, os pontos de acesso automaticamente
recebem e transmitem os dado s armazenados de locais chamados quiosques. Ao se mover
para um centro maior com a cesso à Internet, os pontos de acesso transmitem as informações
coletadas e armazenam outras inf ormações recebidas da Internet para posteriormente repassá-
las aos quiosques. Esse projeto foi implementado com sucesso em partes remotas da Índia,
Camboja, Ruanda e Costa Rica com um custo muito menor que as soluções tradiciona i s de
rede fixa.
DieselNet [Die09]: é um projeto da Universidade de Massashusetts Amherst. O projeto con-
siste em uma rede com 40 ônibus cobrindo uma área de aproximadamente 240 km
2
ao redor
de Amherst, MA. Os ônibus ligam-se uns a os outros de forma intermitente e cada ônibus
transporta rádios 802.1 1b e um computador com recursos limitados. O acesso à rede é for-
necido a passageiros e transeuntes. Um dispositivo GPS (Global Positioning System) registra
o horário e as localizações dos ô nibus. Para aumentar a conectividade entre o s nodos móveis
da DieselNet, foram projetados throwboxes que funcionam como roteadores estacionários, ar-
mazenando e enviando dados entre os ônibus. Os throwboxes são colocados em prédios ao
longo da s rotas dos ônibus e utilizam baterias ou energia solar para funcionar.
Drive-thru Internet [Ott06]: este projeto fornece serviços da Internet em ambientes com co-
nectividade intermitente, mais especificamente para veículos em movimento. A ideia é fornecer
pontos de acesso (chamados de Drive-thru proxy) ao longo de uma estrada, dentro de uma
cidade, ou até mesmo em estradas de alta velocidade, tais como rodovias. Tais pontos de
acesso precisam ser colocados de forma que um veículo em movimento possa obter acesso
à rede por algum período de tempo (relativamente curto). Caso o ponto de acesso esteja
localizado em áreas de descanso, o motorista pode sair do carro, passar devagar ou mesmo
parar para prolongar o período de conectividade. Um ou mais pontos de acesso localmente
interligados formam uma ilha de conectividade que pode fornecer serviços locais, bem como
acesso à Internet. rias dessas ilhas de conectividade ao longo de uma estrada ou na mesma
área geográfica podem estar interligadas e cooperar para fornecer acesso à rede com conec-
tividade intermitente para uma área maior. O Drive-Thru proxy atua como um p onto fixo:
ele busca e armazena conteúdo da Internet em nome do nodo móvel e repassa esses dados
quando tal nodo móvel está alcançável. Em ta l rede, a tecnologia IEEE 802.11 é utilizada.
Projeto N4C (Networking for Communications Challenged Communities: Architecture, Test
Beds and Innovative Alliances) [N4C09]: este projeto visa dar acesso de comunicação via
banda larga a áreas onde não cobertura via ADSL (Asymmetric Digital Subscriber Line),
satélites ou 3G. O projeto N4C visa o desenvolvimento de uma DTN para tais áreas através de
dois test beds. Um deles estará localizado no norte da Suécia, e o outro na zona das monta nhas
da Eslovênia. Alguns dos objetivos do projeto são: fazer o monitoramento de renas, monitorar
pessoas que caminham nas colinas e obter dados meteorológicos e ambientais.
38
Seaweb [Ric05]: é um projeto da Nava l Postgraduate School de Monterey, Califórnia, que tem
o objetivo de conectar nodos fixos e móveis através de uma ampla área (100 a 10000 km
2
)
no ambiente subaquático. Os dispositivos se comunicam através de comunicação acústica,
sendo equipados com modems de telesonar. Através dessa rede é possível a localização de
sensores e a navegação de nodos móveis, como submarinos e veículos submarinos autônomos.
Diversos gateways de comunicação servem de interface dos nodos distribuídos com os centros
de comando.
TIER (Technology and Infrastructure for Emerging Regions) [TIE09]: é um projeto da Univer-
sidade da Califórnia em Berkeley que investiga a aplicação de novas tecnologias para regiões
em desenvolvimento. Esse projeto foca na aplicação de uma infra-estrutura de hardware e
software projetada para a realidade física, política e econômica de áreas em desenvolvimento.
TIER definiu um sistema de arquivos, chamado de TierStore, que esconde a complexidade da
conectividade intermitente e simplifica a implantação de ap li cações como e-mail, Web, entre
outros.
TurtleNet [Tur09]: é um projeto da Universidade de Massashusetts Amherst que visa monitorar
o comportamento e o habitat de um tipo de tartaruga que vive em algumas regiões nos
Estados Unidos e no Canadá. Pesquisadores têm um interesse particular nessas tartarugas
pois seus números estão em rápido declínio devido à destruição de seu habitat, sendo que o
monitoramento até então era feito de forma manual. Em agosto de 2008, foram implantados
dispositivos com GPS em 13 tartarugas no sul do Mississipi.
Zebranet [Jua02]: é um projeto da Universidade de Princeton e consiste em examinar o com-
portamento das zebras em seu habitat. Cada animal carrega uma coleira de rastreamento.
As coleiras possuem GPS, memória flash, transceptores sem fio e um processador pequeno.
Periodicamente a localização das zebras é captada pelo GPS e suas coordenadas são arma-
zenadas na memória flash. Como não serviço de telefonia celular ou de transmissão de
comunicação abrangendo a região o nde os animais são estudados, as coleiras funcionam como
uma rede ponto a ponto, repassando os dados até que os mesmos sejam recebidos pela esta-
ção base. Contudo, como a estação base que recebe os dados das coleiras é móvel (pode ser
um pesquisador se locomovendo por terra ou pelo ar), pode ocorrer de algumas coleiras não
conseguirem enviar seus da dos para a estação base.
2.2 Tipos de Contatos
Em redes DTN, não se assume que todos os nodos sejam alcançáveis, podendo ser contatados
a qualquer instante, por isso, um conceito importante que é considerado na arquitetura da DTN é o
tipo de contato. Este conceito está diretamente ligado à transferência das mensagens, pois quando
dois nodos se encontram, uma transferência de mensagens pode ocorrer. De acordo com [Cer07], a
39
arquitetura DTN classifica os contatos em: persistentes, sob demanda, programados, previsíveis e
oportunistas. A descrição de cada um deles está apresentada a seguir.
Contato Persistente: é aquele tipo de contato que está sempre disponível, onde nenhuma
inicialização é necessária. Um exemplo desse tipo de contat o seria uma conexão via DSL
(Digital Subscriber Line) ou cable modem.
Contato sob Demanda: precisa ser instanciado e posteriormente f unciona como um contato
persistente a té ser encerrado. Como exemplos desse tipo de contato tem-se uma conexão
discada (dial-up) ou redes de sensores que requerem o envio de uma mensagem específica
para “acordar” os sensores que estão “dormindo” [Oli09b].
Contato Programado: presume que a troca de informações possa ser programada previamente
com o horário e duração do contato. Um exemplo desse tipo de contato poderia ser a
comunicação da Terra com um satélite de baixa órbita. O satélite gira em torno da Terra e pode
ser “visto” de um determinado ponto na mesma em períodos definidos. Outro exemplo seria
em uma rede de sensores onde determinados nós “acordam” em horários pré-estabelecidos,
voltando a “dormir”, para poupar energia, fora dos horários programados [Oli09b]. Este tipo
de contato pode ser considerado como um contato intermitente.
Contato Previsível: os nodos fazem previsões sobre o horário e a duração dos contatos com
base em dados históricos. Esse tipo de contato possui um certo grau de incerteza, pois os
contatos são estimados. Dado um nível de segurança suficiente, as rotas podem ser escolhidas
com base nas informações de experiências passadas [Oli09b]. Este tipo de contato também
pode ser considerado como um contato intermitente.
Contato Oportunista: ocorre através de encontros não programados entre os nodos. É possível
tirar proveito de um contato feito por acaso para realizar uma transferência de dados. Um
exemplo pode ser um avião sobrevoando uma área e anunciando sua disponibilidade em receber
ou transmitir dados. outro exemplo poderia ser a comunicação de um enlace B luetooth ou
infra-vermelho de um PDA (Personal Digital Assistant) com um quiosque no saguão de um
aeroporto. À medida que o PDA se aproxima do quiosque a comunicação pode ocorrer e seu
término acontece quando o enlace é perdido ou desligado.
2.3 Modelos de Mobilidade
Um das características de uma rede DTN é a possibilidade de movimentação dos nodos. Devido
a essa mov imentação, ocorre uma mudança constante na topologia da rede, influenciando a troca
de mensagens realizadas pelos nodos e dificultando a sua análise [San02]. A troca da topologia
ocasiona alguns problemas como, por exemplo, desconexões frequentes, grandes atrasos e altas
taxas de erro [Lin03 a]. Portanto, é de extrema importância a forma como os nodos se movimentam
na rede. Pesquisas anteriores, como em [Cam02] e [Jar03], mostraram que os padrões de mobilidade
40
podem influenciar no desempenho dos protocolos usados, alterando a taxa de entrega dos pacotes,
por exemplo, como pode ser visto na Seção 4.4.
A análise do movimento dos nodos das redes DTN, assim como das redes sem fio em geral,
normalmente é realizada através de estudos analíticos - vide Apêndice A e [Del06] - ou de simulação.
Ao se realizar a análise de uma rede, é necessário representar o comportamento móvel dos nodos
na mesma. Para esse fim, foram desenvolvidos pa drões de mobilidade que tentam reproduzir o
comportamento dos nodos de uma rede real.
Vários padrões de mobilidade foram desenvolvidos para tentar capturar características do mo-
vimento e representá-los de uma maneira mais “realística”, ou seja, agregando mais detalhes da
realidade modelada. Contudo, ainda o existe um consenso na forma de classificação desses pa-
drões e a literatura apresenta várias propostas diferentes. Em [Cam02] os padrões de mobilidade
são classificados em dois tipos: indiv iduais e de grupo. Os padrões de mobilidade individuais re-
presentam o comportamento independente do movimento do nodo móvel, enquanto o s padrões de
mobilidade de grupo são usados quando um grupo de nodos possui um comportamento comum na
escolha de seus movimentos.
Uma outra representação é apresentada em [Bet01]. Essa representação possui os seguintes
componentes: (i) - nível de aleatoriedade (determinística, híbrida ou aleatória); (ii) - nível de de-
talhamento (micro mobilidade, macro mobilidade (movimentação individual ou em grupo)); (iii) -
representação por simulação ou por modelagem a nalítica; (iv) - quantidade de dimensões da repre-
sentação (1D, 2D ou 3D); e (v) - regras de borda quando uma abordagem aleatória é utilizada. A
representação apresentada pode ser aplicada tanto em redes sem infra-estrutura, como DTN, quanto
em redes infra-estruturadas (redes locais sem fio e de telefonia celular).
Outra classificação para os padrões de mobilidade é apresentada em [Sar07]. Essa classificação
propõe quatro modelos: randômicos (o mov imento dos nodos é randômico e sem restrições), com
dependência temporal (o movimento dos nodos é afetado por seus movimentos passados), com
dependência espacial (movimentos correlacionados, equivalente a mobilidade de grupo proposta
em [Cam02]) e com dependência geográ fica (o mov imento dos nodos é limitado por ruas, auto-
estradas, obstáculos, entre outros).
Mais recentemente, [Leg0 6] classifica os padrões de mobilidade em macroscópicos e micros-
cópicos. Os padrões macroscópicos consideram o deslocamen to da s entidades móveis (pedestres,
veículos, a nima is) no contexto de grandes áreas geográficas. Por outro lado, os padrões microscó-
picos são projetados para descrever o movimento exato dos nodos em pequenas regiões.
Além disso, autores como [Mus07] e [Yoo 06] classificam os padrões de mobilidade em dois tipos:
sintéticos e realísticos. Os padrões considerados sintéticos são aqueles onde a simulação ocorre
em uma área aberta, sem obstáculos, e cada nodo pode escolher parâmetros de movimentação de
forma randômica. Segundo [Ven06], os padrões de mobilidade sintéticos são bastante utilizados
nas pesquisas de redes sem fio em geral, como em [Bet03, Bet04, Bro98, Haa01, Lin04, Mus05,
Nil04,Spy08]. Contudo, apesar de serem bastante utilizados, esses pa drões geralmente não refletem
situações do mundo real a respeito da mobilidade dos nodos móveis [Ven06]. Na prática, os nodos
41
móveis, localizados em qualquer posição geográfica, não se movem de maneira randômica como
descrito pelos padrões sintéticos, mas selecionam um destino específico e seguem um caminho para
chegar a esse destino.
Como exemplos de padrões sintéticos, pode-se citar o Random Walk [Bet01] [Cam02], a versão
probabilística do Random Walk [Cam02] [Chi98], o Rando m Waypoint [Bet03] [Cam02], o Random
Direction [Gue87] [Nai05], o Gauss-Markov [Cam02] e o Boundless Simulation Area [Cam02].
No Random Walk o nodo móvel se move de uma localização para outra através de um processo
randômico de escolha de direção, medida em graus e escolha de velocidade [Bet01] [Cam02]. O
nodo se move na direção e na velocidade selecionada por um período de tempo específico ou por
uma distância e então repete o processo. Se o nodo chega no limite da região representada, ele
troca o ângulo do movimento e continua pelo novo caminho.
A versão probabilística do Random Walk usa uma cadeia de Markov para modelar o movimento
do nodo, a qual inclui memória no comportamento do movimento [Cam02]. Nesse modelo duas
cadeias de Markov são usada s, uma para modelar o movimento no eixo x e outra para modelar o
movimento no eixo y. Este modelo é considerado adequado para representar pessoas e carros em
movimento.
No Random Waypoi nt, os nodos móv eis escolhem um destino e movem-se até esse destino com
uma velocidade constante [Bet03]. Quando o destino é alcançado, o nodo móvel faz uma pausa
por um tempo, então escolhe aleatoriamente um novo destino e começa todo o processo novamente
com as mesmas regras.
No padrão de mobilidade Random Direction a escolha do destino é feita através de uma no va
direção, uma velocidade e um tempo de duração para a viagem [Gue87 ] [Nai05]. Um aspecto
importante desse padrão de mobilidade é o comportamento do nodo quando o mesmo alcança a
borda, o que é chamado de comportamento de borda. Em [Bet01], são apresentadas três regras de
borda diferentes: Bounce, Delete and Replace and Wrap Around. Essas regras de borda garantem
que o número de nodos se mantém constante durante toda a análise realizada.
No padrão de mo bilidade Gauss-Markov a mudança dos movimentos ocorre via um parâmetro
no tempo [Cam02]. Inicialmente cada nodo assume uma velocidade e uma direção. Em intervalos
fixos de tempo, n, o nodo se movimenta e ocorre a atualização de sua velocidade e direção. A cada
intervalo de tempo a pxima localização é calculada baseada na sua localização atual, velocidade
e direção do movimento.
O padrã o de mobilidade Bo undless Simulation Area se diferencia dos outros padrões citados
anteriormente em função da forma de manipulação da borda da área simulada. Nesse padrão, os
nodos móveis que atingirem a borda da área continuam sua trajetória e reaparecem no lado oposto
da mesma [Cam02]. Sendo assim, é criada uma área permitindo que o s nodos a percorram sem
quaisquer obstruções. Além disso, existe um relacionamento entre a direção prévia e velocidade do
nodo móvel com sua direção e velocidade atual. A cada t períodos de tempo ocorre a atualização
da velocidade e direção.
42
os padrões considerados realísticos consideram mais detalhes da realidade para obter os
parâmetros necessários para o movimento dos nodos. Um exemplo é a inserção de obstáculos no
modelo, para simular uma cidade com prédios, ruas, casas e vegetação. Na maioria dos casos,
a seleção do caminho é influenciada por vias, calçadas e obstáculos, como por exemplo, em um
Campus de uma universidade, onde pedestres tendem a utilizar caminhos que interconectam os
prédios. Enquanto certos pedestres podem desviar-se desses caminhos (por gramados, por exemplo),
a maioria dos indivíduos se move ao longo dos caminhos existentes. Além disso, normalmente,
os destinos não são randômicos, mas prédios, restaurantes, estacionamentos e outras localizações
esp ecíficas, selecionadas conforme a atividade a ser executada pelos pedestres [Sri05]. Portanto, uma
série de aspectos deve ser obtida da realidade para fornecer padrões de mobilidade mais realísticos.
Contudo, a obtenção desses aspectos pode ser feita de várias formas e variam conforme o trabalho
realizado. De acordo com [Paz07], os padrões de mobilidade publicados recentemente são um passo
significativo na direção de modelos mais representativos, pois eles consideram um conjunto maior
de características do mundo real em suas abordagens, se comparados aos modelos sintéticos.
Como exemplos de padrões realísticos, pode-se citar o Shortest Path Map Based Movement
[Ekm08] e o M ap Based Movement [Ekm08], sendo que em ambos os nodos se movimentam le-
vando em consideração informações que são importadas de um mapa de uma cidade (assim como
ocorre com um padrão de mobilidade definido em [Ste05]). Essas informações podem restringir o
movimento dos nodos em ruas e estradas. Além disso, diferentes grupos de nodo s podem ser confi-
gurados para usar apenas algumas partes do mapa, permitindo assim a distinção entre automóveis
e pedestres por exemplo, e fazendo com que o mo vimento dos automóveis não ocorra em calçadas
ou dentro de prédios. O padrão de mobilidade Shortest Path Map Based Movement é derivado do
Random Wayp oint e usa o algoritmo de Dijkstra para encontrar o caminho mais curto que precisa
ser viajado a partir da localização corrente do nodo até um destino escolhido ra ndomicamente. Uma
vez o nodo alcança seu destino, ele faz uma pausa e um novo destino é também escolhido randomi-
camente. Nesse modelo, o mapa também pode conter pontos de interesse, ao invés de selecionar
posições randômicas para o próximo destino. Pontos de interesse podem ser usados para modelar
lojas, restaurantes e atrações turísticas. o outro padrão de mobilidade, Map Based M ovement,
é baseado no Random Walk e utiliza caminhos pré-definidos dentro do mapa, sendo que diferentes
tipos de caminhos podem ser definidos. O destino também é escolhido de forma ra ndô mica, mas
ao inv és de utilizar o caminho mais curto para alcançá-lo, um caminho pré-definido é utilizado.
A utilização de caminhos pré-definidos também é apresentada em [Jar03] e [Mae05], sendo que
ambos incluem obstáculos no modelo para tornar mais realístico o movimento dos nodos. Esses
obstáculos podem modelar cenários como prédios, cidades, rodovias, etc. Segundo [Jar03], quando
o nodo transmite, os obstáculos podem bloquear a propaga ção da transmissão naquela área, sendo
que a transmissão pode ser bloqueada completamente pelo obstáculo. Uma extensão ao padrão
apresentado em [Mae05 ] é definido em [Jar05].
Outro estudo que modela obstáculos é apresentado em [Ven06]. Neste estudo, os o bstáculos
podem representar prédios, árvores, etc, e bloqueiam o movimento dos nodos, bem como a transmis-
43
são do sinal. Além disso, o nodo móvel seleciona um destino específico e se move até esse destino.
Seguindo uma abordagem baseada em redes sociais, o processo de seleção apresentado em [Ven06]
é devido à interação social e demanda da comunidade, e é diferente em diferentes localizações e
tempos. Além disso, um tempo de pausa quando o nodo chega no destino, porém esse tempo
não é randômico, ele segue uma distribuição específica do usuário em diferentes localizações. A
velocidade do nodo é associada com o g rupo no qual o nodo pertence, e ela pode ser alterada se o
nodo trocar de grupo. Se um nodo encontra um o bstáculo no seu caminho, ele passa ao redor do
obstáculo e continua seu movimento até o destino.
Em [Yoo06] é apresentado um M odelo de Mobilidade Estatístico (SMM - Statistical Mo bility
Model), que gera um padrão de mobilidade sintético com dados extraídos de traces de pontos de
acesso, ou seja, os dados dependem de uma rede cabeada pré-existente. O sistema produz duas
saídas: um conjunto de probabilidades de transição e densidades do usuário. A densidade do usuário
é usada pelo modelo para gerar as posições iniciais dos usuários móveis, bem como seus destinos.
Quando o usuário chega no destino, ele faz uma pausa e seleciona um outro destino a partir da
densidade do usuário, e o processo se repete. As probabilidades de transição são usadas para gerar
o movimento individual de um usuário. Essa probabilidade é usada em conjunto com algumas rotas,
que indicam o caminho mais curto, calculadas pelo modelo e que foram ma is acessadas. A velocidade
dos nodos é adicionada como um componente externo, independente dos traces de dados, gerando
uma velocidade não realística. Os traces incluem informações sobre os logs do sistema, tal como
placas de redes sem fio que se associaram, autenticaram, re-associaram, desassociaram, etc. Os
traces filtrados produzem trajetórias com origem, destino e possíveis localizações intermediárias.
2.4 Roteamento em Redes Tolerantes a Atrasos
Os protocolos de roteamento projetados para redes DTN podem ser definidos de acordo com
o grau da informação disponível sobre a to pologia da rede. Nesse sentido, segundo [Zha06 ], as
redes DTN podem ser divididas em determinísticas e estocásticas. Nas redes determinísticas, o
movimento dos nodos é conhecido a priori, ou seja, é possível prever qua ndo os contatos entre
os nodos ocorrem e consequentemente sobre as mudanças da topologia em qualquer instante de
tempo. Dessa forma, os protocolos de roteamento projetados para redes DTN determinísticas
podem escalonar o repasse das mensagens, de forma que as jornadas possam ser determinadas
antecipadamente [BX03]. nas redes DTN estocásticas, o movimento dos nodos não é conhecido
ou previsto. Neste caso, como não existe conhecimento prévio sobre as mudanças to pológicas da
rede, diferentes estratégias podem ser utilizadas no repasse das mensagens, sendo que esquemas
de única e múltiplas cópias podem ser empregados. A distribuição das mensagens para um grande
número de nodos irá aumentar a probabilidade de entrega da mesma ao destino, apesar de mais
recursos do sistema serem consumidos [Abd07].
Diversos trabalhos que propõem formas de roteamento para redes DTN estocásticas são apresen-
tados na literatura, entretanto o problema do roteamento para essas redes ainda não está resolvido.
44
A estratégia de repasse mais simples é a da transmissão direta [Abd07 ], sendo que não ocorre
repasses para nodos intermediários, neste caso. Uma outra estratégia de repasse para redes DTN
estocásticas que pode ser empregada é a baseada em flooding. Nesse caso, haverá a distribuição
de cópias das mensagens para todos os nodos encontrados, semelhante ao que ocorre em [Vah00].
Segundo [Spy08], embora o flooding possa ser bastante rápido em alguns cenários, o overhead
envolvido em termos de largura de banda, espaço em buffer e consumo de energia é frequentemente
proibitivo para dispositivos pequenos, como sensores, por exemplo.
Como limitação do flooding, existem técnicas que fazem um controle do número de cópias das
mensagens na rede. Esse controle ocorre no momento do repasse, sendo que somente uma quanti-
dade determinada de cópias das mensagens pode ser repassada, como ocorre em [Spy08] e [Tou09],
por exemplo. Existem também estratégias, como [Bur05], [Bur06], [Jon05], [Lin03b], [Mus05],
[Oli09c] e [Tan03] que decidem o repasse com base em informações históricas sobre o comporta-
mento dos nodos, tentando aumentar a probabilidade de entrega. Além disso, características da rede
ou dos nodos podem ser consideradas no repasse, como em [Abd07] e [Bal07], sendo que estratégias
híbridas também são utilizadas [Whi09].
Algumas dessas estratégias podem utilizar informações topológicas da rede [Zha06]. Normal-
mente, nessas estratégias o custo de manutenção das informações topológi cas em termos de comu-
nicação e armazenamento é bastante grande, uma vez que os mesmos acumulam informações sobre
os nodos da rede e rotas para alcançá-los.
A seguir estão descritas diversas estratégias de roteamento encontradas na literatura.
2.4.1 Transmissão Direta
A transmissão direta é o esquema de roteamento mais simples e de única cópia: depois de gerar
uma mensagem, a origem espera até que ela entre em contato com o destino [Abd07]. Como a
entrega da mensagem depende de um contato direto entre origem e destino, o atraso na entrega se
torna ilimitado. Contudo, sua principal v antagem é a quantidade mínima de transferências para que
a mensagem seja entregue.
2.4.2 Epidêmico
Em termos de overhead de mensagens, a abordagem oposta à transferência direta é o floo-
ding. Nessa abordagem, todos o s nodos que recebem uma mensagem repassam-a para todo s os
seus vizinhos. Contudo, em redes conectadas intermitentemente, simplesmente fazer o repasse das
mensagens em broadcast não garante que as mesmas cheguem ao destino.
Em [Vah00] f oi definido um tipo de roteamento chamado “Epidêmico”, com o objetivo de rotear
mensagens em redes DTN maximizando a ta xa de entrega, minimizando a latência e a quantidade
de recursos consumidos na entrega das mensagens. O funcionamento desse protocolo é semelhante
a uma doença epidêmica, enquanto houver espaço em buffer mensagens vão sendo espalhadas pela
rede como se fosse uma epidemia.
45
Nesse tipo de protocolo, um flooding é feito na rede na tentativa de enviar a mensagem ao
destino. Cada nodo possui um buffer consistindo de mensagens que o mesmo originou bem como
mensagens recebidas de outros nodos, sendo que o tamanho do buffer é considerado infinito. Para
aumentar sua eficiência, uma tabela hash indexa essa lista de mensagens, onde cada mensagem
possui um identificador único. Cada nodo armazena um vetor de bits, chamado de summary vector,
que é uma versão compacta de todas as mensagens armazenadas por um nodo.
Quando dois nodos estão no mesmo alcance de transmissão, aquele com menor identificador
inicia uma sessão com o outro, com identificador maior. Para evitar conexões redundantes, cada
nodo mantém uma lista dos nodos com quem se conectou recentemente. Assim, a sessão não é
reinicializada com aqueles nodos remotos que foram contatados dentro de um determinado período
de tempo.
Durante a sessão, os dois nodos trocam seus summary vectors para determinar quais mensagens
armazenadas remotamente ainda não foram enviadas pelo nodo local, então cada nodo requisita
cópias das mensagens que ele ainda não p ossui. Esse nodo possui autonomia total em decidir
quando ele aceitará uma mensagem, como por exemplo, ele pode determinar que o carrega
mensagens maiores do que um determinado tamanho ou destinadas para certos nodos [Vah00].
De acordo com [Vah00], o projeto do protocolo Epidêmico associa um único identificador, um
contador de hop e um ACK opcional para cada mensagem. O identificador é um número único inteiro
de 32 bits. Esse identificador é uma concatenação da identificação do nodo e uma identificação
da mensagem gerada localmente (de 16 bits). O contador de hop determina o número máximo de
trocas epidêmicas que uma mensagem pode fazer. Valores grandes de contador de hop distribuirão
uma mensagem por uma extensão maior da rede, o que pode reduzir o tempo médio de entrega e
aumentar o consumo de recursos totais na entrega da mensagem.
De acordo com [Spy08], o roteamento de muitas cópias em paralelo pode ter efeitos desastrosos
no desempenho da rede. Em relação ao grande número de transmissões, esquemas baseados em
flooding começam a sofrer contençõ es conforme o tráfego aumenta, e seu atraso cresce rapidamente.
Embora o roteamento epidêmico possa ter uma alta taxa de entrega e baixo atraso, ele requer
que os nodos tenham um espaço em buffer suficientemente gra nde e pode ocorrer um overhead
muito grande de mensagens transferidas. Portanto, existem abordagens alternativas para controlar
esse flooding.
2.4.3 Spray and Wait
Em [Spy08], foi proposta uma família de protocolos de múltiplas cópias chamada de Spray. Seu
objetivo é gerar um pequeno número de cópias a fim de assegurar que o número de transmissões
seja pequeno e controlado. Então, um algoritmo de única cópia é usado para rotear as cópias
independentemente.
46
Um dos protocolos propostos em [Spy08] é chamado de Spray and Wait e consiste de duas fases:
fase spray: para cada mensagem que se origina em um nodo origem, C cópias são repassadas
para C relays distintos;
fase wait: se o destino não for encontrado na fase spray, cada um dos C nodos que carregam
uma cópia da mensagem fa zem uma transmissão direta para o destino.
A ideia do protocolo Spray and Wait é repassar um número suficiente de cópias das mensagens
de forma que garanta que, no mínimo, uma delas alcance o destino com alta probabilidade.
Segundo [Spy08], o roteamento Spray and Wait não tem um bom desempenho para cenários
onde a mobilidade é pequena e localizada. Portanto, foi proposto um esquema onde um número
fixo de cópias é espalhado inicialmente, mas cada cópia é roteada independentemente de acordo
com um esquema baseado no tempo do último encontro com o destino e com transitividade. Cada
nodo armazena o tempo que ocorreu o contato com os outros nodos da rede, sendo que esse tempo
é difundido de forma transitiva na rede. Esse esquema é chamado de Spray and Focus e consiste
de duas partes:
fase spray: para cada mensagem que se origina em um nodo origem, C cópias são repassadas
para C relays distintos;
fase focus: cada relay pode repassar sua cópia usando um esquema de única cópia baseado
no tempo do último encontro com o destino.
Uma definição importante a ser feita tanto para o Spray and Wait quanto para o Spray and Focus
é a quantidade de cópias que precisa ser repassada. Um esquema adotado por [Spy08] é o spraying
binário. Nesse esquema, o nodo origem da mensagem inicialmente começa com C cópias. Qua lquer
nodo que possui C > 1 cópias da mensagem e encontra o utro nodo sem cópias dessa mensagem,
repassa C/2 de suas cópias e mantém C/2, até que haja somente uma cópia. Então ele troca
para o roteamento de transmissão direta ou para o esquema de repasse que considera o tempo de
encontro, dep endendo do tipo de roteamento spray usado (wait ou focus).
De acordo com [Spy08], durante a fase de spray as mensagens são repassadas de acordo com as
seguintes regras:
cada nodo mantém um summary vector com a identificação de todas as mensagens que
ele armazena; quando dois nodos se encontram, eles trocam seus vetores e verificam quais
mensagens têm em comum (como o ro teamento Epidêmico);
se um nodo (origem ou relay) carrega uma cópia da mensagem e tem C > 1 cópias da
mensagem para repassar, ele a repassa C/2 de suas cópia s para o segundo nodo;
quando um nodo tem apenas uma cópia da mensagem para repassar, então ele pode somente
repassá-la com a regra wait ou focus.
47
Segundo [Spy08], foram realizado s experimentos com os seguintes protocolos: Epidêmico, Ran-
domized flooding, Utility-based flooding, Spray and Wait binário, Spray and Focus e Spray and
Focus utilizando única cópia. Os resultados mostraram que o protocolo Spray and Wait a presentou,
com baixo tráfego (200 mensagens em até 10000 unidades de tempo de simulação), uma probabili-
dade de entrega superior aos outros protocolos, com um atraso semelhante ao protocolo Epidêmico
e com um menor número de cópias das mensagens na rede. com alto tráfego (1000 mensagens
em até 2000 unidades de tempo de simulação), o protocolo se mostrou com níveis de desempenho
superiores aos demais protocolos analisados.
2.4.4 Density-Aware Spray-and-Wait
O Density-Aware Spray-and-Wait (DA-SW) [Tou09] é uma variação do Spray and Wait e tenta
de forma dinâmica e baseada em informações locais definir o número de cópias das mensagens que
podem ser repassadas na rede para alcançar um atraso médio constante.
O DA-SW é uma versão distribuída do Oracle-based Spray-and-Wait (O-SW). A ideia por trás
da estratégia é explorar a variação da densidade da rede. Um número maior de cópias de uma
mensagem é repassado qua ndo a topologia da rede é esparsa e um número menor de cópias é
repassado quando a topologia se torna mais densa. O controle da densidade é feito de acordo com
o nível de conectividade atual do nodo.
Uma comparação do O-SW com o Spray and Wait foi apresentada em [Tou09]. Os resultados
mostraram que o O -SW conseguiu controlar o atraso médio e reduzir o overhead [Tou09]. Além
disso, foi apresentada uma comparação do O-SW com o DA-SW. Essa comparação mostrou que o
atraso gerado pelo DA-SW não foi tão constante quanto o gerado pelo O-SW, devido ao tempo que
o DA-SW leva para obter as informações sobre a s mudanças topológicas da rede. Contudo, mesmo
havendo uma variação no atraso, o overhead gerado por ambas estratégias se mostrou bastante
pximo.
2.4.5 Shortest Expected Path Routing - SEPR
O Shortest Expected Path Routing (SEPR) foi proposto por [Tan03] e estima a probabilidade
do repasse com base em dados históricos. Cada nodo mantém um mapa da topologia da rede e
os nodos recalculam a probabilidade de encontrar outros nodos quando eles estão conectados. A
probabilidade é calculada usando o tempo que dois nodos estão conectados dividido pela janela de
tempo de amostras [Tan03].
Cada nodo mantém uma tabela de probabilidade de contato com os demais nodos conhecidos
da rede. A cada encontro, essa tabela é trocada e as probabilidades de contato são alteradas. As
entradas dessa tabela possuem números de sequência para indicar a “idade” das mesmas. Atra-
vés desses processos de troca, as entradas da tabela com números de sequências maiores (mais
novas) atualizam aquelas com números menores (mais antigas). Dessa forma, as atualizações das
probabilidades de contatos são propagadas para todos os nodos.
48
Durante a recepção de mensagens de atualização da probabilidade do contato, um nodo atualiza
sua ta bela local e usa o algoritmo de Dijkstra para calcular o tamanho do caminho.
Para cada mensagem armazenada em um nodo é assumido um tamanho de caminho efetivo
(EPL - Effective Path Length), que é configurado como infinito quando a mensagem é armazenada
pela primeira vez. Sempre que uma mensagem é propagada para outro nodo, o EPL é atualizado
se o tamanho do caminho desse nodo até o destino for menor do que o seu valor; sendo menor, a
mensagem é propagada e um novo valor de EPL é assumido.
O EPL rastreia a história de entrega de uma mensagem [Tan03]. Qua nto menor seu valor, maior
será a probabilidade de entrega da mensagem ao destino. Além disso, seu valor também é usado
para determinar para quais nodos a mensagem deve ser repassada. SEPR utiliza um tamanho de
buffer fixo e em caso de overflow as mensagens com menor EPL são descartadas primeiro.
Segundo [Tan03], o SEPR foi comparado com o protocolo Epidêmico e suas variações, e resul-
tados de experimentos apresentaram uma melhora na taxa de entrega, bem como uma redução no
número de mensagens na rede.
2.4.6 Probabilistic Routing Protocol using History of Encounters and Transitivity - PRoPHET
Uma outra abordagem de repasse de mensagens é chamada de Probabilistic Routing Protocol
using History of Encounters and Transitivity (PRoPHET) [Lin09]. Essa abordagem usa uma métrica
probabilística que indica se um nodo será capaz de entregar uma mensagem para o outro nodo, sendo
chamada de “previsibilidade de entrega”.
Assim como no roteamento epidêmico, os nodos possuem um summary vector que indica, de
forma compacta, todas as mensagens armazenadas por eles. Quando dois nodos se encontram, eles
trocam o summary vector e também um vetor de previsibilidade de entrega, contendo a informação
de previsibilidade de entrega para os destinos conhecidos pelos nodos. Essa informação é usada para
decidir se o repasse de uma mensagem para um certo nodo deve ser f eito ou não. Caso nenhum
valor esteja armazenado para um da do destino, a previsibilidade de entrega para esse destino é
considerada zero [Lin09].
O cálculo da previsibilidade de entrega possui três passos [Lin09]: quando dois nodos se encon-
tram, o primeiro pa sso é atualizar a previsibilidade de entrega para o outro nodo, então os nodos que
se encontram com frequência possuem uma alta previsibilidade de entrega. Como segundo passo,
se um par de nodos não se encontra durante um intervalo de tempo, ele possui uma probabilidade
baixa de repassar mensagens entre eles. Nesse caso, a previsibilidade de entrega deve envelhecer,
sendo reduzida. O terceiro passo do cálculo da previsibilidade de entrega diz respeito à propriedade
de transitividade, que é baseada na observação de que se um nodo A encontra com frequência um
nodo B, e esse nodo B encontra com frequência um nodo C, então provavelmente o nodo C é um
bom nodo para repassar mensagens destinadas ao nodo A.
Segundo [Lin09], quando um vizinho é detectado, uma mensagem de HELLO é enviada para o
mesmo. Apó s, é enviado o summary vector e é atualizada a previsibilidade de entrega. Feito isso, o
nodo verifica quais mensagens devem ser enviadas para o vizinho detectado e quais ele irá armazenar
49
para repasse futuro. O nodo envia as mensagens para o vizinho se esse possuir maior previsibilidade
de entrega [Lin03b]. As mensagens repassadas não são removidas do nodo, mas ficam armazenadas
em buffer (desde que haja espaço disp onível), pois o nodo que as repassou pode encontrar outro
melhor ou o próprio destino final no futuro. Caso os buffers estejam cheios quando uma nova
mensagem for recebida, a mensagem mais antiga deve ser retirada de acordo com o sistema de
gerenciamento de fila usado. Nesse trabalho, o sistema usado foi o FIFO (First In First Out).
Uma característica dessa estratégia é que os nodos acabam tendo informações sobre os outros
nodos da rede a partir da troca do vetor de previsibilidade de entrega.
Em [Lin09] é apresentada uma comparação do PRoPHET com o protocolo Epidêmico, sendo
que os resultados apresentaram uma melhora de taxa de entrega, com uma menor quantidade de
mensagens sendo repassadas e um maior atraso em alguns cenários simulados.
2.4.7 Meeting Visit - MV
O objetivo do protocolo de roteamento MV (Meeting Visit) [Bur05] é aprender a frequência de
encontro entre pares de nodos e suas visitas em certas regiões geográficas. As frequências passadas
são usadas para classificar cada mensagem de acordo com sua probabilidade de entrega através
de um caminho específico. É assumido que a probabilidade de visitar uma região no futuro está
fortemente relacionada com a história de visitas do nodo naquela regiã o.
O a lgoritmo de repasse do protocolo MV funciona da seguinte f orma: quando dois nodos se
encontram, trocam entre si uma lista das mensagens que eles carregam, com seus destinos e com a
probabilidade do nodo entregar a mensagem ao destino. Os nodos selecionam na lista as mensagens
que eles não possuem e retiram aquelas cuja probabilidade de entrega seja mais alto no outro nodo.
Como restrições, em [Bur05 ] é assumido um tamanho de buffer infinito para as mensagens que
são originadas pelo próprio nodo e um buffer com tamanho limitado para armazenar as mensagens
recebidas de outros nodos. Além disso, a largura de banda é considerada como infinita, as mensagens
são entregues para destinos localizados em pontos fixos e o número de hops é limitado.
Segundo [Bur05], experimentos para a valiar o uso dos buffers foram realizados, sendo que a
estratégia foi comparada com três algoritmos: sem buffer, buffer ilimitado e FIFO. Os resultados
mostraram que o protocolo MV possui uma taxa de entrega superior aos demais alg oritmos, no
entanto nã o foram realizados experimentos com outros protocolos de roteamento para redes DTN.
2.4.8 Context-aware Adaptive Routing - CAR
Semelhante ao PRoPHET, no protocolo Context-aware Adaptive Routing (CAR) [Mus05] o
nodo que carrega a mensagem possui uma probabilidade mais alta de entregar mensagens para um
destino do que outros nodos. Contudo, uma das diferenças está no fato que ele integra mecanismos
síncronos e assíncronos para a entrega das mensagens. Nesse contexto, na entrega síncrona, quando
uma mensagem chega, o caminho para o destino existe e a mensagem pode ser repassada usando
um protocolo de roteamento pró-ativo existente (o DSDV [Per94], neste caso). na entrega
50
assíncrona, quando chegam as mensagens, um caminho para o destino não pode ser encontrado e as
mensagens devem ser armazenadas para um repasse po sterior ou serem enviadas para aqueles nodos
que possuírem a maior probabilidade de entrega ao destino. Esses nodos atuarão como carregadores
de mensagens.
Nesse protocolo a informação de contexto é definida como um conjunto de atributos que des-
crevem o s aspectos do sistema que podem ser usados para melhorar o processo de entrega [Mus05].
Cada nodo usa uma predição local para calcular a probabilidade de entrega. O processo de predição
é usado durante desconexões temporárias e utiliza informações de contexto a partir da técnica de
filtros de Kalman [Mus05].
Apesar da descrição do protocolo informar que as mensagens podem ser repassadas para vários
carregadores que possuírem as probabilidades mais altas, os experimentos realizados em [Mus05]
consideram um cenário onde os nodo s podem repassar as mensagens para somente um carregador.
Caso o carregador se mova e encontre um outro nodo com probabilidade de entrega mais a lta, a
mensagem é transferida para esse nodo.
Segundo [Mus05], o proto colo CAR foi comparado, através de experimentos, com o protocolo
Epidêmico e com a estratégia de flooding. Os resultados dos experimentos mostraram que o pro-
tocolo CAR teve uma taxa de entrega entre o flooding e o Epidêmico, com um número menor de
cópias da s mensagens na rede em alguns cenários.
2.4.9 Minimum Estimated Expected Delay - MEED
Em [Jon05] foi proposto um protocolo chamado de Minimum Estimated Expected Delay (MEED).
Esse protocolo utiliza como métrica o menor atraso fim-a-fim. Tal métrica é calculada utilizando
históricos dos contatos observados pelos nodos da rede, que registram o tempo das conexões e
desconexões de acordo com uma j anela de históricos. O tamanho dessa ja nela pode ser ajustado
em cada nodo.
O protocolo é baseado no algoritmo Dijkstra usado em redes tradicionais, mas com adaptações
para ser utilizado em redes DTN. Os nodos tem informações sobre a to pologia da rede através de
pacotes de estado de enlace que são enviados para todos os nodos da rede pelo protocolo Epidêmico,
sendo que rotas são recalculadas sempre que conexões são estabelecidas.
Quando dois nodos se encontram, eles trocam summary vectors com informações relativas a
todas as tabelas de estado de enlace que receberam [Jon05]. Cada tabela po ssui um número de
sequência, que ajuda a determinar quais são a s mais recentes. Após a troca dessas informações, os
nodos devem possuir o mesmo estado da topologia, podendo recalcular suas tabelas de roteamento,
para então repassar as mensagens armazenadas. Segundo [Jon05], mensagens são repassadas ime-
diatamente quando a métrica configurada nos enlaces for igual a zero, a qual indica que o contato
está disponível e o atra so é pequeno.
A desvantagem desta estratégia é o uso de recursos e processamento nos nodos, principalmente
em redes grandes, devido à troca de informações sobre a topologia da rede e a manutenção das
tabelas de roteamento nos nodos.
51
MEED considera o uso de buffers de tamanho fixo e utiliza a técnica de drop tail no descarte
das mensagens.
Segundo [Jon05], a avaliação do MEED foi realizada com a s seguintes estratégias: Epidêmico,
Earliest Delivery (ED), Minimum Expected Delay (MED) e uma variante do MED. Em um cenário
com limitação de buffer, o MEED obteve uma taxa de entrega superior a o Epidêmico, contudo
ficou abai xo das demais estratégias analisadas. em relaçã o ao atraso, no mesmo cenário, seu
desempenho foi pior que o Epidêmico, ED e a variante do MED, ficando similar ao MED. Além
disso, o MEED não mostrou um bom desempenho quando houve variação na largura de banda,
ficando abaixo dos protocolos analisados.
2.4.10 MaxProp
O MaxProp [Bur06] utiliza um mecanismo de repasse baseado em flooding, contudo, quando
um contato é descoberto, nem todas as mensagens armazenadas pelo nodo serão repassadas.
A decisão de quais mensagens devem ser entregues é feita por uma estimativa da probabilidade
de entrega. O Maxprop mantém uma fila ordenada com base no destino de cada mensagem e na
probabilidade estimada do caminho até o destino. Para obter essa probabilidade, cada nodo mantém
um vetor de tamanho n 1 (onde n é o número de nodos na rede) consistindo da probabilidade do
nodo encontrar cada um dos outros nodos na rede. Quando dois nodos se encontram, a probabilidade
de entrega para o nodo encontrado é atualizada e os vetores de probabilidade são trocados. Dessa
forma, cada nodo terá o vetor atualizado do outro nodo [Bur06].
A partir de todos os vetores recebidos, o nodo calcula o caminho de menor custo até cada um
dos destinos das mensagens que o mesmo armazena. O cálculo desse custo leva em consideração as
probabilidades de entrega armazenadas nos vetores. O MaxProp envia primeiro as mensagens com
o maior número de hops percorrido. Além disso, ele considera um buffer ilimitado para mensagens
originadas pelo próprio nodo e um buffer com tamanho fixo para mensagens recebidas de outros
nodos. As mensagens com menor probabilidade de entrega são descartadas primeiro em caso de
overflow.
Uma outra característica do Max Pro p é a notificação, por uma mensagem de confirmação, a
toda a mensagem entregue ao destino, sendo replicada a todos os nodos da rede. A mensagem de
confirmação consiste da criptografia do conteúdo, origem e destino de cada mensagem através do
mecanismo de hash [Bur06]. Tal mensagem é utilizada para remover dados antigos do s buffers.
O MaxProp foi comparado, segundo [Bur06], com o utras três estratégias usadas em roteamento:
Oracle-based Dijkstra, Drop-Least Encountered e roteamento randômico. Os resultados mostraram
que o MaxProp, em g eral, entrega mais mensagens e mantém um menor atraso.
2.4.11 Neighborhood Contact History - NECTAR
O protocolo NECTAR (Neighborhood Contact History) proposto em [Oli09d] e melhorado em
[Oli09c] baseia-se no histórico de contatos entre vizinhos para decidir sobre o repasse das mensagens,
52
definindo uma métrica denominada de Neighborhood Index. Nesse protocolo, as informações sobre
os contatos são trocadas pelos nodos. Tal protocolo fundamenta-se na heurística que nodos em
cenários estocásticos mov imentam-se de forma que existe uma certa probabilidade que vizinhos
possam ser reencontrados [Oli09c].
Com o o bjetivo de evitar o consumo desnecessário dos recursos da rede, cada nodo mantém, em
cache, uma relação de vizinhos que se conectaram recentemente. Durante o período de contato, os
nodos efetuam, inicialmente, a transmissão de mensagens cu jo destino seja o nodo que estabeleceu
o contato. Em seguida, ocorre a troca de informações sobre a vizinhança (Neighborhood Index) e,
eventualmente, o encaminhamento das demais mensagens armazenadas.
O Neighborhood Index é calculado de acordo com os contatos que ocorrem entre os nodos,
sendo que seu valor é maior para contatos mais duradouros e frequentes. Quando ocorre o primeiro
contato entre dois nodos, seu valor é inicializado com “1” e, à medida que os nodos permanecem em
contato, esse valor vai aumentando linearmente [Oli09c]. Além disso, Neighborhood I ndex considera
duas métricas distintas em seu cálculo, uma métrica de envelhecimento e outra de distância. A
métrica de envelhecimento reduz o valor de Neighborhood Index quando os nodos param de se
encontrar. a de distância representa a quantidade de saltos entre dois nodos. Dessa forma,
a fórmula do Neighborhood Index favorece o encaminhamento de mensagens para vizinhos que
encontrem-se pximos ao destino e que estejam ou tenham estado recentemente em contato com
o mesmo [Oli09c]. As mensagens entregues ao destino são eliminada s dos buffers, mas uma cópia
do cabeçalho é mantida por um tempo, evitando, assim, o recebimento de cópias de mensagens j á
entregues.
Além disso, segundo [Oli09c], o protocolo NECTAR possui uma fase de operação em que men-
sagens podem ser replicadas na rede, semelhante ao protocol o Epidêmico. Contudo, para que isso
ocorra, uma expressão que leva em consideração certos níveis precisa ser válida e os nodos so-
mente armazenarão mensagens transmitidas de forma epidêmica se a ta xa de ocupação da área de
armazenamento estiver abaix o de um determinado limiar.
Como política de descarte de mensagens, o NECTAR mantém as mensagens mais recentes
e aquelas que foram encaminhadas para poucos nodos. Para tanto, é realizado um controle da
quantidade de cópias repassadas, b em como da quantidade de tempo decorrida desde a recepção
da mensagem.
Segundo [Oli09c], os protocolos Epidêmico, PRoPHET e NECTAR foram avaliados em diferentes
cenários, sendo que o NECTAR obteve uma maior taxa de entrega. Quanto à transmissão de
mensagens na rede, o NECTAR obteve um melhor desempenho, exceto quando comparado com
o PR oPHET em cenários com maior capacidade de armazenamento. Além disso, as mensagens
foram entregues com uma menor quantidade de saltos e em menor tempo que os demais protocolos
avaliados.
53
2.4.12 Core-aided
O protocolo chamado de Core-aided [Abd07] foi criado para cenários específicos onde dois
tipos de nodos na rede: os que possuem recursos limitados e aq ueles que nã o possuem limitação
de recursos. Essa estratégia usa os nodos que não possuem recursos limitados como core nodes.
Tais nodos, quando entram em contato com aqueles com recursos limitados, recebem algumas ou
todas as mensagens deles. Em [Abd07] foram propostas duas estratégias possíveis copy-to-core ou
dump-to-core. Na primeira estratégia, os nodos apenas fazem uma cópia de suas mensagens para o
core. Isso aumenta o número de mensagens carregadas na rede, reduzindo o atraso e aumentando
a taxa de entrega. Se mais do que um nodo core no sistema, eles podem trocar suas mensagens
semelhante ao roteamento Epidêmico, que os mesmos não são limitados em termos de recursos.
Na segunda estratégia, os nodos removem a mensagem entregue ao core. Isso pode ser útil em
ambientes onde o tamanho do buffer na maioria dos nodos é bastante restrito. Um inconveniente
dessa estratégia é um possível aumento do atraso na entrega das mensagens. Isso pode ocorrer
porque somente o nodo core carrega a s mensagens, o que diminui a chance de contato com o nodo
destino em um tempo curto.
A avaliação de desempenho do Core-aided foi realizada em [Abd07] comparando os resultados
teóricos com resultados obtidos através de simulação. Os resultados mostraram que para três
métricas analisadas, taxa de entrega, atraso na entrega e ocupação de buffer, os resultados foram
equivalentes. Contudo, experimentos o foram realizados comparando o desemp enho do Core-aided
com o utros protocolo s de roteamento para redes DTN.
2.4.13 Resource Allocation Protocol for Intentional DTN - RAPID
O protocolo RAPID (Resource Allocation Protocol for Intentional DTN) [Bal07] utiliza infor-
mações locais para decidir sobre o repasse das mensagens. Esse protocolo determina, a cada opor-
tunidade de transferência, se a replicação da mensagem justifica o uso dos recursos. O protocolo
é baseado na premissa que os algoritmos de roteamento para DTN afetam o desempenho das mé-
tricas e tenta intencionalmente otimizar uma determinada métrica, como por exemplo, atraso na
entrega ou quantidade de pacotes entregues em um determinado tempo. Para tanto, o RAPID
define uma função utilidade (semelhante a uma prioridade), que determina se as mensagens devem
ser replicadas. Essa função assume um valor para cada mensagem baseado na métrica sendo otimi-
zada. O RAPID replica primeiro as mensagens que localmente resultam em uma melhora na métrica
escolhida.
Assim como o MaxProp, o protocolo RAPID é baseado em flooding e tentará replicar todos os
pacotes armazenados desde que permitido pela função utilidade. Diferente do MaxProp, o RAPID
não propaga mensagens de confirmações através da rede para cada entrega realizada. Ao invés,
uma lista de mensagens entregues é trocada quando ocorre contato entre os nodos. Além disso,
cada nodo mantém um summary vector com as mensagens que o mesmo armazena. Quando dois
nodos se encontram o summary vector é trocado entre os nodos e somente mensagens novas são
54
repassadas. Esse protocolo utiliza um tamanho de buffer fixo e retira primeiro mensagens com mais
baixa utilidade no caso de overflow.
Experimentos foram realizados em [Bal07] comparando o RAPID com os protocolos MaxProp,
Spray and Wait, PRoPHET, Random e Optimal. Para cada experimento realizado, o RAPID foi
configurado para tentar otimizar a métrica sendo avaliada, sendo que seu desempenho se mostrou
superior aos demais protocolos. Algumas métricas que foram configuradas em [Bal07] para serem
otimizadas no RAPID foram: minimização do atraso médio, minimização do atraso máximo e
maximização do número de pacotes entregues.
2.4.14 Hybrid DTN-MANET Routing for Dense a nd Highly Dynamic Wireless Networks - HYMAD
O HYMAD (Hybrid DTN-MANET Routing for Dense and Highly Dynamic Wireless Networks)
[Whi09] é um protocolo de roteamento para DTN que usa a ideia de grupos de nodos fisicamente
pximos. HYMAD combina técnicas de ro teamento ad hoc tradicional com a abordagem para redes
DTN.
De acordo com [Whi09], HYMAD periodicamente procura mudanças na topologia da rede e cons-
trói grupos disjuntos temporários de nodos conectados. HYMAD é completamente descentralizado
e somente faz uso das trocas de informações topológicas entre os nodos.
No HYMAD, o roteamento dentro dos grupos é realizado por um algoritmo de vetor de distância
simples. Os nodos são dinamicamente agrupados por um algoritmo de particionamento de redes
distribuído. Os grupos aceitam novos membros enquanto seu diâmetro for menor do que um parâ-
metro de diâmetro máximo. Se o diâmetro de um grupo se expande devido a uma falha interna de
contato, alguns membros são excluídos para satisfazer a restrição do diâmetro.
No roteamento entre grupos, um nodo de borda cuida da distribuição das mensagens. Esse nodo
utiliza um protocolo de broadcast periódico para ter informações sobre a composição dos grupos
adjacentes, bem como das mensagens que eles armazenam. Quando um nodo de borda aprende
que um grupo tem cópias de uma mensagem que um grupo vizinho não possui, ele pode requisitar
a custódia de parte das cópias para então repassá-las ao grupo vizinho, semelhante à estratégia
utilizada pelo protocolo Spray and Wait. Se o destino da mensagem está no grupo vizinho, o nodo
de borda requisita a mensagem e repassa-a para o mesmo [Whi09].
Segundo [Whi0 9], experimentos foram realizados comparando o HYMAD, usando diâmetro má-
ximo igual a “2”, com os protocolos Epidêmico e Spray and Wait. Os resultados mostraram que o
desempenho do HYMAD ficou entre o Epidêmico e o Spray and Wait, qua ndo a probabilidade de
entrega das mensagens foi ana li sada para cinco e vinte cópias.
2.4.15 Comparação entre os Protocolos de Roteamento
A Tabela 2.1 apresenta um resumo comparativo de alguns protocolos de roteamento para DTN
apresentados anteriormente. A comparação realizada utilizou as seguintes métricas:
55
gerenciamento de buffers (escalonamento): indica a técnica de gerenciamento de buffer utili-
zada no envio das mensagens quando dois nodos se encontram. Todos os protocolos analisados
priorizam entrega direta para depois enviar as mensagens restantes caso o tempo de contato
permita. Especificidades são colocadas na tabela;
gerenciamento de buffers (descarte): indica a técnica de gerenciamento de buffer utilizada
no descarte das mensagens quando ocorre buffer overflow. Quando este aspecto apresentar
valor ”infinito“ na tabela, indica que os experimentos disponíveis na literatura são hipotéticos,
supondo buffers ilimitados e assim o descarte de mensagens o existe;
informações que um nodo armazena: indica as informações que os nodos armazenam quando
recebem mensagens de outros nodos ou que descobrem quando dois nodos se encontram. Em
todos os protocolos os nodos utilizam buffers para armazenar as mensagens que precisam ser
entregues;
uso de recursos da rede: indica as informações de controle que são enviadas na rede quando
dois nodos se encontram;
limite do número de cópias: indica se o protocolo controla o número de cópias das mensagens;
repasse controlado: indica se o protocolo restringe o repasse das mensagens ou se faz um
repasse aleatório.
56
Tabela 2.1: Resumo e comparação entre os protocolos de roteamento.
Protocolo Gerenciamento
de buffers (es-
calonamento)
Gerenciamento
de buffers
(descarte)
Informações
que um nodo
armazena
Uso de recursos
da rede
Limite do
número
de cópias
Repasse
contro-
lado
Observações
Epidêmico [Vah00] Não i nformado. Infinito Lista com nod os
que se conectou
recentemente.
Summary vector Não Não
Spray and Wait [Spy08] Não i nformado. Infinito Nenhuma Summary vector Sim Não
DA-SW [Tou09] Não i nformado. Infinito Nenhuma Summary vector Sim Não Número de pias di n âmico
SEPR [Tan03] Não i nformado. Tamanho de
buffer fixo. Re-
tira mensagens
com menor EPL
(Effective Path
Length).
Tabela com
probabilidade
de contato com
todos os nodos
da rede.
Tabela com
probabilidade de
contato com os
nodos.
Não Sim
PRoPHET [Lin09] Não i nformado. Tamanho de buf-
fer fixo, uso de
FIFO.
Vetor d e previ-
sibilidade de en-
trega para todos
os nodos da rede.
Summary vector.
Vetor de previ-
sibilidade de en-
trega para os no-
dos.
Não Sim Trabalha com transitividade.
MV [Bur05] Envia primeiro
mensagens co m
maior probabil i-
dade de entreg a.
Buffer infinito
para mensagens
originadas pelo
próprio nodo.
Buffer fixo
para mensagens
recebidas de
outros nodos.
Retira mensa-
gens com me n or
probabilidade de
entrega.
Lista de mensa-
gens com proba-
bilidade de en-
trega para cada
mensagem.
Summary vector
com probabilida-
des de entrega
vinculadas nas
mensagens.
Não Sim Limita o número de hops das
mensagens.
CAR [Mus05] Não i nformado. Tamanho de buf-
fer fixo. Não in-
forma a técn ica
usado p ara des-
carte.
Tabela com pro-
babilidade de en-
trega para todos
os nodos da rede.
Tabela com pro-
babilidade de en-
trega.
Cópia
única.
Sim Integrado com DSDV. Cálculo
da probabilidade de entrega
leva em consideração a conec-
tividade dos nod os e o nível de
energia.
Continua na próxima página.
57
Tabela 2.1 Resu mo e comparação entre os proto colos de roteamento. Continu ação da página anterior.
Protocolo Gerenciamento
de buffers (es-
calonamento)
Gerenciamento
de buffers
(descarte)
Informações
que um nodo
armazena
Uso de recursos
da rede
Limite do
número
de cópias
Repasse
contro-
lado
Observações
MEED [Jon05] Não i nformado. Tamanho de buf-
fer fi xo, uso de
drop tail.
Tabela com o
tempo do último
contato com to-
dos os destin os.
Summary vector.
Informações so-
bre a topologia
da rede.
Não Sim Calculam o atraso mínimo es-
p e rado. Deriva a topologia da
rede.
MaxProp [Bur06 ] Envia primeiro
mensagens co m
maior número de
hops percorrido.
Buffer infinito
para mensagens
originadas pelo
próprio nodo.
Buffer fixo
para mensagens
recebidas de
outros nodos.
Retira mensa-
gens com me n or
probabilidade de
entrega.
Tabela com
probabilidade
de contato com
todos os nodos
da rede.
Tabela com
probabilidade de
contato.
Não Sim Calculam o custo para um de -
terminado destino. Limita o
número de hops das mensa-
gens. Utili za ACK.
NECTAR [Oli 09d] Envia primeiro as
mensagens cujo
campo NextHop
aponte para o
nodo de contato.
Tamanho de buf-
fer fixo. Retira
mensagens mais
antigas e encami-
nhadas para mais
nodos da rede.
Tabela com
Neighborhood
Index (infor-
mação sobre
contatos du-
radouros e
frequentes).
Tabela com
Neighborhood
Index
Não Sim Mensagens recebem TTL após
a entrega (Passive Ack). Uti-
liza métrica de dis tância e mé-
trica de envelhecimento.
Core-Aided [Abd07] Não i nformado. Infinito Não Não comenta no
artigo.
Depende
da forma
de repasse
empre-
gada
Sim (para
os cores)
Para cenários com 2 tipos de
nodos (com e sem recursos li-
mitados).
RAPID [Bal07] Envia primeiro
mensagens co m
mais alta "utili -
dade"(prioridade).
Tamanho de
buffer fixo.
Retira primeiro
mensagens com
mais baixa "utili-
dade"(prioridade).
Depende da mé-
trica sendo oti-
mizada.
Summary vector. Não Sim Utiliza u ma função "utilidade",
semelhante a um prioridade. É
dependente da métrica sendo
otimizada. Utiliza ACK.
58
2.5 Métricas de Avaliação para Redes Tolerantes a Atrasos
Dadas as características das redes DTN, é importante considerar formas significativas para avaliar
o comportamento dos protocolos de roteamento para essas redes. Em muitos casos, métricas
tradicionais usadas na avali ação de protocolos de roteamento são portadas para ambientes DTN.
As métricas mais comuns encontradas na literatura são [Lin09], [Spy08], [Bal07]:
Percentual de Mensagens Entregues: mede a qua ntidade de mensagens que foram correta-
mente entregues a todos os destinos;
Overhead : pode se referir a quantidade de mensagens de controle trocadas entre os nodos da rede,
bem como ao número médio de cópias de cada mensagem gerado na rede, como em [Mus05]
e [Nun09a]. Como as redes DTN possuem poucos recursos, os protocolo s de roteamento
deveriam ser otimizados para alcançar um baixo o verhead. Este trabalho considera overhead
como a segunda definição;
Atraso na Entrega das Mensagens: mede o tempo médio desde a criação de uma mensagem
até que a mesma seja entregue ao destino. Normalmente essa medida considera somente as
mensagens entregues ao destino.
Em adição a esse conjunto de métricas, é possível fazer uso de métricas mais específicas que
ajudam a compreender o comportamento da s métricas citadas anteriormente ou a fornecer razões
para comportamentos i nesperados. Como métricas mais específicas pode-se citar [Nun09b]:
Ocupação de Buffer : mede o número médio de mensagens armazenadas por um nodo, normal-
mente obtido computando-se a média para todos os nodos;
Mensagens Descartadas devido a Buffer Overflow: mede o número de mensagens descarta-
das por buffer cheio, normalmente considerando uma média de todo s os nodos. Essa métrica
se correlaciona com a métrica anterior e quantifica a s consequências de uma alta ocupação
do buffer;
Entregas Redundantes: fornece o número médio de cópias extras entregues ao destino, depois
que a primeira mensagem foi entregue. É uma medida de redundância na entrega da
mensagem e pode identificar o uso desnecessário de recursos. Ela é computada somente para
mensagens entregues;
Tempo de Vida das Mensagens: mostra o tempo médio que uma mensagem permanece ativa
na rede, isto é, o tempo desde sua criação até que a última cópia restante seja descartada de
um nodo. Ao se analisar esta métrica junto com o atraso na entrega das mensagens, pode-se
verificar se as mensagens estão por muito tempo utilizando os recursos dos nodos.
59
3. Comportamento de Entrega e Atraso em Redes DTN e Ad Hoc
As redes DTN possuem rias características em comum com as redes ad hoc, como por exemplo,
a mobilidade dos nodos, o roteamento com múltiplos saltos e a independência de infra-estrutura
inexistente previamente. A diferenciação entre ambas acontece principalmente por características
como inexistência de um caminho fim-a-fim entre origem e destino, longo s e variados atrasos e altas
taxas de erro que ocorrem nas redes DTN. Em especial, os nodos das redes DTN estocásticas, foco
deste trabalho, não possuem inf ormações sobre as características de mobilidade dos outros nodos
da rede, sendo ainda mais difícil definir como o repasse das mensagens deve ser feito.
As disrupções que ocorrem estão diretamente relacionadas com a mobilidade e a baixa densidade
da rede. A densidade da rede é influenciada pela quantidade de nodos na mesma, bem como pelo
raio de alcance utilizado nas transmissões. Em redes mais densas, mesmo havendo a mobilidade dos
nodos, é mais provável que haja um caminho até o destino do que em redes mais esparsas. Contudo,
não foram encontrados estudos quantitativos que consideram a densidade da rede na comparação
entre redes DTN e ad hoc. Somente tra balhos que analisam em separado os dois tipos de redes,
como em [Bro98], [Che07], [Sha08], [Tsu03] e [Zha07].
Este Capítulo apresenta um estudo que ajuda a compreender como a variação da densidade de
uma rede influencia no comportamento de entrega e atraso em redes DTN e ad hoc, tentando
identificar as potencialidades das dif erentes tecnologias. Esse estudo é importante, pois ajuda a
caracterizar o tipo de rede em estudo para a utilização de diferentes estratégias de roteamento.
Nesse sentido, um estudo experimental foi conduzido comparando o desempenho de um proto-
colo de roteamento para redes DTN com um protocolo usado em redes ad hoc. O protocolo de
roteamento para redes DTN utilizado nos experimentos é proposto neste trabalho e é chamado de
APRP-Group - vide Capítulo 6. Tal protocolo foi utilizado devido às características de desempenho
que o mesmo apresenta em comparação com outros protocolo s presentes na literatura. O APRP-
Group foi projetado para trabalhar com tipos de nodos diferentes (com diferentes parâmetros de
mobilidade), mas também apresenta um bom desempenho quando a rede possui apenas um tipo de
nodo. Já o protocolo de roteamento para redes a d hoc utilizado foi o AODV (Ad hoc On-demand
Distance Vector) [Per03]. Esse protocolo foi escolhido por ser um protocolo padronizado pelo IETF
(Internet Engineering Task Force) [Per03], além de ser um dos mais difundidos e estudados na litera-
tura [Bro98,Chl03,Liu05]. O AODV é considerado um protocolo reativo, ou seja, o estabelecimento
de rotas ocorrerá sob demanda.
A seguir encontram-se descritos os parâmetros utilizados no experimentos, bem com os resultados
encontrados.
60
3.1 Parametrização dos Experimentos
Os experimentos foram realizados com dois simuladores, o ns-2 (Network Simulator) [Fal09],
bastante utilizado em análises de redes ad hoc [Bro9 8], [Sha08], [Tsu03], e o ONE (Opportunistic
Network Environment) [Ker07], específico para DTN e em crescente utilização pela comunidade
acadêmica [Fer09], [Hua09], [Lee09], [Pol09], [San08].
Os dois simuladores foram configurados com os mesmos parâmetros para gerar comparações
coerentes. O movimento dos nodos, bem como a carga de trabalho usada no simulador ONE foram
convertidos para serem utilizados no simulador ns-2. A conversão do movimento dos nodos foi
realizada por uma ferramenta própria do ONE, que g era um arquivo no padrã o usado pelo ns-2.
A carga de trabalho usada no ONE é gerada a partir de outra ferramenta que vem com o próprio
simulador. Essa recebe como parâmetro o intervalo de tempo em que as mensagens devem ser
criadas, o número de mensagens, o tamanho e o intervalo dos nodos que serão origem e destino
das mensagens. Como saída, a ferramenta gera uma lista com informações sobre cada mensagem,
como por exemplo, o instante de tempo de sua criação, o nodo que deve criar a mensagem, o
nodo que deve recebê-la e o tamanho da mesma. Essa lista foi convertida para o ns-2 com uma
ferramenta própria, assumindo que cada mensagem DTN equivale a uma mensagem UDP (User
Datagram Protocol) de mesmo tamanho, com mesma origem, destino e tempo de criação, tendo
CBR (Constant Bit Rate) como aplicação.
Um número de 1000 mensagens de 64 bytes foi criado em um intervalo entre 1000 e 100 00 segun-
dos em tempo de simulação, sendo que qualquer nodo presente na simulação poderia a leatoriamente
ser origem ou destino das mensagens.
A área simulada foi configurada com um tamanho de 4500 m x 3400 m. Este é o tamanho da
área central da cidade de Helsinki, na Finlândia, sendo que um mapa dessa área, que vem com o
simulador ONE, será utilizado em experimentos realizado s nos Capítulos 4, 5 e 6. O número de
nodos variou entre 30, 50 , 100 e 300 nodos, sendo usados como forma de variar a densidade da
rede.
Os nodos se mo vimentaram de acordo com o padrão de mobilidade R andom Waypoint (descrito
na Seção 2.3), com velocidade de 1,0 m/s e com tempo de pausa de 60 segundos, indicando pouca
mobilidade dos nodo s na rede. A transmissão da s mensagens ocorreu com uma velocidade de 2Mbps
e os nodos foram configurados com um tamanho de buffer de 64Kbytes no ONE e 1000 pacotes no
ns-2. O TTL (Time to Live) das mensagens foi considerado infinito. Além disso, o raio de alcance
utilizado variou em 20 m, 40 m, 6 0 m, 80 m e 250 m, sendo esta outra forma de variar a densidade
da rede.
O ns-2 utiliza um raio padrão , de acordo com o tipo de interface de rede sem fio configurada .
O tipo de interface configurada foi o “WirelessPhy”
1
, que tem um raio de 250 m como padrão.
Para alterar o valor do raio, foi necessário utilizar uma ferramenta para essa função. Tal ferramenta
vem com o ns-2 e, ao executá-la, é necessário passar como parâmetro o raio de alcance que se
1
Atua como uma interface de hardware através da qual o nodo ac essa o canal [Fal09].
61
deseja utilizar, bem como o modelo de propagação utilizado. Como saída é retornado um val or que
indica a sensibilidade da antena, dado em dB, o qual deve ser c onfigurado no script do ns-2. O
modelo de propaga ção utilizado nos experimentos foi o “TwoRayGround”
2
. Além disso, como tipo
de canal, utilizou-se o “WirelessChannel”
3
, como tipo de antena foi configurado o “ OmniAntenna”
4
e como tipo de MAC (Medium Access Control) utilizou-se o “802 _11”
5
. Esses parâmetros não são
necessários na configuração do ONE.
Além dessas configurações, o protocolo APRP- Gro up também precisa ser configurado. Os pa-
râmetros e va lores necessários na sua configuração estão descritos no Capítulo 6.
Os experimentos para a rede ad hoc rodaram até 1100 segundos em tempo de simulação, 100
segundos a mais depois da última mensagem ser criada . Enquanto para a rede DTN, os experimentos
rodaram até 110000 segundos em tempo de simulação. Esses tempos f oram configurados com valores
diferentes porque pretende-se a nalisar o tempo de entrega da quase totalidade das mensagens. Nas
redes ad hoc, no momento em que uma mensagem é criada, o nodo tenta estabelecer uma rota
até o destino. Caso a rota não possa ser estabelecida, a mensagem é descartada do buffer do nodo
que a criou. Portanto, a adição de 100 segundos depois da última mensagem criada é suficiente
para que a mesma seja entregue caso ha ja uma rota, de acordo com observações realizadas. nas
redes DTN, o mecanismo store-carry-forward é utilizado, fazendo com que os nodos armazenem
a mensagem em buffer até que o repasse da mesma ocorra. Dessa forma, um tempo maior de
simulação foi configurado de maneira que a maioria das mensagens pudesse ser recebida pelos
nodos, como ocorre em uma rede real.
Para cada cenário simulado, foram realizadas sete rodadas de simulação. Os resultados apresen-
tados nesta seção foram o btidos pela média de todas as rodadas. Para cada valor apresentado, as
barras verticais associadas representam um intervalo de confiança de 95%. Contudo, algumas vezes
o intervalo de confiança está bastante pximo do valor plotado, sendo difícil sua visualização nas
figuras.
A partir dos experimentos realizados, as seguintes métricas serão discutidas: atraso médio na
entrega das mensagens e percentual de mensagens entregues.
3.2 Avaliação Experimental
As Figuras 3.1 e 3.2 apresentam o atraso médio na entrega das mensagens na rede DTN e na
rede ad hoc, respectivamente.
Observa-se que, o atraso ocorrido na entrega das mensagens na rede DTN é muito mais elevado
do que o ocorrido na rede ad hoc, sendo que essa diferenciação ocorre tanto em redes esparsas,
quanto em redes densas. Ao verificar-se os valores de atraso apresentados com raio de 20 m
(Figura 3.1a e Figura 3.2a), por exemplo, a maioria das mensagens é entregue em até 80000
2
Modelo de propagação sem obstácul os [Fal09].
3
Define q u e será utilizado um canal s e m fio na comunicação entre o s nodos [Fal09].
4
Define u ma antena omni-direcional para ser utilizada pelos nodos [Fal09].
5
Implementação do protocolo IEEE 802.11 [Fal09].
62
segundos na rede DTN, enquanto que na rede ad hoc, as mensagens são entregues em até 13
segundos. com ra io de 250 m, tem-se um atraso de até 10000 segundos na entrega da maioria
das mensagens nas redes DTN (Figura 3.1e), contra um atraso de até 1 segundo nas redes ad hoc
(Figura 3.2e).
0
50
100
150
200
250
0 20000 40000 60000 80000 100000
30 nodos
50 nodos
100 nodos
300 nodos
0
50
100
150
200
250
300
350
400
0 20000 40000 60000 80000 100000
30 nodos
50 nodos
100 nodos
300 nodos
a) Raio 20 m b) Raio 40 m
0
100
200
300
400
500
600
0 20000 40000 60000 80000
30 nodos
50 nodos
100 nodos
300 nodos
0
100
200
300
400
500
600
700
0 10000 20000 30000 40000 50000 60000
30 nodos
50 nodos
100 nodos
300 nodos
a) Raio 60 m b) Raio 80 m
0
100
200
300
400
500
600
700
0 10000 20000 30000 40000 50000 60000
30 nodos
50 nodos
100 nodos
300 nodos
d) Raio 250 m
Figura 3.1: Atraso na entrega das mensagens para redes DTN. O eixo vertical representa a quanti-
dade de mensagens entregues e o horizontal representa o atraso em segundos.
Além da diferenciação do atraso entre os dois tipos de redes, observa-se também, que na mesma
rede uma diferenciação do atraso influenciada pela densidade. Ao observar-se os valores de atraso
da Figura 3.1a-e, nota- se que o atraso gerado em redes esparsas é mais elevado que o gerado em
redes densas. Enquanto na Figura 3.1a as mensagens são entregues em até 80000 segundos, na
63
Figura 3.1c o atraso é de até 70000 segundos e na Figura 3.1e tem-se a maioria das mensagens
sendo entregues em até 10000 segundos. Observando-se os valores de atraso da Figura 3.2a -e,
também percebe-se as variações de atraso de acordo com a densidade.
0
1
2
3
4
5
6
7
0 1 2 3 4 5 6 7 8 9 10 11 12 13 14
30 nodos
50 nodos
100 nodos
300 nodos
0
5
10
15
20
25
30
35
0 1 2 3 4 5 6 7 8 9 10 11 12 13 14
30 nodos
50 nodos
100 nodos
300 nodos
a) Raio 20 m b) Raio 40 m
0
50
100
150
200
250
300
350
400
0 1 2 3 4 5 6 7 8 9 10 11 12 13 14
30 nodos
50 nodos
100 nodos
300 nodos
0
100
200
300
400
500
600
0 1 2 3 4 5 6 7 8 9 10 11 12 13 14
30 nodos
50 nodos
100 nodos
300 nodos
a) Raio 60 m b) Raio 80 m
0
100
200
300
400
500
600
700
800
900
1000
0 1 2 3 4 5 6 7 8 9 10 11 12 13 14
30 nodos
50 nodos
100 nodos
300 nodos
d) Raio 250 m
Figura 3.2: Atraso na entrega das mensagens para redes ad hoc. O eixo vertical representa a
quantidade de mensagens entregues e o horizontal representa o atraso em segundos.
As Figuras 3.3 e 3 .4 apresentam o percentual de mensagens entregues à medida que o atraso
cresce para redes DTN e ad hoc, respectivamente. Essas figuras apresentam a mesma informação
das Figuras 3.1 e 3 .2, no entanto sua apresentação cumulativa fav orece a análise do compromisso
entre atraso e entrega.
64
0
10
20
30
40
50
60
70
80
90
100
0 20000 40000 60000 80000 100000
30 nodos
50 nodos
100 nodos
300 nodos
0
20
40
60
80
100
0 20000 40000 60000 80000 100000
30 nodos
50 nodos
100 nodos
300 nodos
a) Raio 20 m b) Raio 40 m
0
20
40
60
80
100
0 20000 40000 60000 80000 100000
30 nodos
50 nodos
100 nodos
300 nodos
0
20
40
60
80
100
0 20000 40000 60000 80000 100000
30 nodos
50 nodos
100 nodos
300 nodos
a) Raio 60 m b) Raio 80 m
0
20
40
60
80
100
0 20000 40000 60000 80000 100000
30 nodos
50 nodos
100 nodos
300 nodos
d) Raio 250 m
Figura 3.3: Percentual de mensagens entregues cumulativo para redes DTN. O eixo vertical repre-
senta o percentual de mensagens entregues e o horizontal representa o atraso em segundos.
Como esperado, em redes mais esparsas um número menor de mensagens é entregue, contudo
esse número vai aumentando à medida que a densidade aumenta. Considerando redes de mesmo
tipo, como DTN, tem-se, com raio de 20 m, a té 94% da s mensagens sendo entregues com um
atraso de 100000 segundos (Figura 3.3a), enquanto que com raio de 250 m o percentual chega a
100% em 30000 segundos (Figura 3.3e).
A partir das Figuras 3.3 e 3.4, observa-se que, em redes esparsas, técnicas DTN podem trazer
benefícios quando altos atra sos podem ser suportados. Enquanto a rede DTN com raio de alcance
de 20 m e com 30 nodos entregou 91% das mensagens em 100000 segundos (Figura 3.3a), a rede
65
ad hoc entregou 0,3% em 11 segundos (Figura 3.4a). No entanto, a diferenciação em relação à
entrega vai caindo à medida que a densidade da rede aumenta. Na rede com ra io de alcance de 80 m
e com 300 nodos, o percentual de mensagens entregues começa a se tornar equivalente nos dois
tipos de rede, sendo que a rede ad hoc tem vantagem em relação à DTN devido ao baixo atraso.
Essa característica pode ser observada na Figura 3.4d que apresenta um percentual de entrega de
84% com 6 segundos de a traso, enquanto a Figura 3 .3d apresenta o mesmo percentual com um
atraso de 100 00 segundos.
0
1
2
3
0 1 2 3 4 5 6 7 8 9 10 11 12 13 14
30 nodos
50 nodos
100 nodos
300 nodos
0
1
2
3
4
5
6
0 1 2 3 4 5 6 7 8 9 10 11 12 13 14
30 nodos
50 nodos
100 nodos
300 nodos
a) Raio 20 m b) Raio 40 m
0
10
20
30
40
50
60
0 1 2 3 4 5 6 7 8 9 10 11 12 13 14
30 nodos
50 nodos
100 nodos
300 nodos
0
10
20
30
40
50
60
70
80
90
0 1 2 3 4 5 6 7 8 9 10 11 12 13 14
30 nodos
50 nodos
100 nodos
300 nodos
a) Raio 60 m b) Raio 80 m
0
10
20
30
40
50
60
70
80
90
100
0 1 2 3 4 5 6 7 8 9 10 11 12 13 14
30 nodos
50 nodos
100 nodos
300 nodos
d) Raio 250 m
Figura 3.4: Percentual de mensagens entregues cumulativo para redes ad hoc. O eixo vertical
representa o percentual de mensagens entregues e o horizontal representa o atraso em segundos.
66
Na Figura 3.5 são apresentados os dados de entrega em função do atraso, assim como na
Figura 3.3, mas detalhando o percentual de mensagens entregues em até 10000 segundos. Esse
detalhamento serve para melhorar a diferenciação do impacto da densidade para redes DTN e
também para permitir uma comparação mais detalhada de atraso e entrega entre redes DTN e ad
hoc.
0
2
4
6
8
10
12
14
16
0 2000 4000 6000 8000 10000
30 nodos
50 nodos
100 nodos
300 nodos
0
5
10
15
20
25
30
35
40
0 2000 4000 6000 8000 10000
30 nodos
50 nodos
100 nodos
300 nodos
a) Raio 20 m b) Raio 40 m
0
10
20
30
40
50
60
0 2000 4000 6000 8000 10000
30 nodos
50 nodos
100 nodos
300 nodos
0
10
20
30
40
50
60
70
0 2000 4000 6000 8000 10000
30 nodos
50 nodos
100 nodos
300 nodos
a) Raio 60 m b) Raio 80 m
0
10
20
30
40
50
60
70
80
90
100
0 2000 4000 6000 8000 10000
30 nodos
50 nodos
100 nodos
300 nodos
d) Raio 250 m
Figura 3 .5: Percentual de mensagens entregues cumulativo para redes DTN em 10000 segundos. O
eixo vertical representa o percentual de mensagens entregues e o horizontal representa o atraso em
segundos.
Ao analisar os gráficos da Figura 3.5 para um mesmo raio, percebe-se que uma diferenciação
de atraso e entrega na alteração da densidade da rede. Essa alteração é mais perceptível ao analisar
67
os resultados de 30 e 300 nodos. Como exemplo, na rede com raio de 2 0 m (Figura 3.5a), em
10000 segundos a rede com 30 nodos entregou 5% das mensagens, enquanto a rede com 300 nodos
entregou 14%. com raio de 250 m, nos mesmos 10000 segundos, a rede com 30 nodos entregou
82% e a com 300 nodos entregou 94%.
Em relação ao atraso entre as redes DTN (Figura 3.5) e ad hoc (Figura 3.4), observa-se que em
nenhum momento a rede DTN possui um atraso inferior ao gerado na rede ad hoc, considerando
um percentual de entrega compatível. Enquanto a rede ad hoc com raio de 20 m e 30 nodos
(Figura 3.4a) entrega 0,3% das mensagens em 11 segundos, a rede DTN entrega esse mesmo
percentual em 800 segundos (Figura 3.5a). na rede ad hoc com raio de 40 m e 300 nodos
(Figura 3.4b) em um tempo de 6 segundos foram entregues 3,5% das mensagens, sendo que a rede
DTN leva 1880 segundos para entregar esse mesmo percentual.
3.3 Considerações Finais
Os experimentos conduzidos neste Capítulo mostram um indicativo de parâmetros para o estudo
de redes DTN. Qua ndo uma rede possui densidade compatível com as configurações da Figura 3.4e,
por exemplo, a utilização de estratégias de roteamento para redes DTN é questionável, pois é possível
obter alto percentual de mensagens entregues e baixo atraso com estratégias para redes ad hoc.
com redes de menor densidade, como a maior parte das configu rações das Figuras 3.4c e 3.4d
e todas configurações da s Figuras 3.4a e 3.4b, a utilização de DTN é importante ou obrigatória
devido aos baixos percentuais de entrega das redes ad hoc (0 a 7%). Isto indica que nessa faixa
deve-se investir esforço de inv estigação.
Caso a aplicação suporte altos atrasos, as redes DT N podem ser empregadas, de forma a aumen-
tar o percentual de mensagens entregues. Neste sentido, os gráficos da Figura 3.3 indicam quanto
pode-se conseguir de entrega, utilizando tais técnicas, à medida que aumenta o atraso suportado.
68
69
4. O Protocolo APRP
Em redes DTN nodos estabelecem e perdem vizinhança com outros nodos continuamente du-
rante a sua operação. A vizinhança é estabelecida ou perdida quando os nodos conseguem, ou
respectivamente não conseguem, trocar mensagens diretamente utilizando o enlace sem fio. Como
discutido, esta variação da conectividade tem vários causas como mobilidade dos nodos, fatores
ambientais, ou f atores relacionados aos nodos em questão, como por exemplo, baixos níveis de
energia.
Assim, considerando que nodos carregam mensagens que devem ser roteadas com o intuito
de chegarem ao seu destino, a principal decisão em um protocolo de roteamento para DTN é
se uma mensagem deve ou não ser roteada de um nodo para outro quando estes estabelecem
vizinhança. Essa decisão deve maximizar a taxa de entrega e minimizar o consumo de recursos
de comunicação, de armazenamento, além do atraso fim-a-fim. Além disso, o desempenho de um
protocolo é dependente de configurações da rede como: tipo de mobilidade dos nodos, raio de alcance
considerado para as transmissões e número de nodos na área considerada, ambos impactando na
densidade da rede. Neste contexto, diferentes protocolos ado tam diferentes políticas para determinar
se o repasse deve acontecer ou não, tal como discutido na Seção 2.4.
O protocolo APRP (Adaptive Potential Routing Protocol), proposto neste trabalho, visa aumen-
tar o percentual de mensagens entregues e diminuir o número de cópias geradas na rede, reduzindo
custos de comunicação, armazenamento e os impactos advindos destes. Para tanto, consideram-se
redes estocásticas, assim como os protocolos citados na Seção 2.4. O APRP usa, como principal
métrica para decisão de repasse das mensagens, o número de encontros em que um nodo está en-
volvido em um intervalo de tempo. Tal métrica é chamada de “potencial de entrega”. A estratégia
de repasse assume que o comportamento de encontros de um nodo está relacionado com a história
recente do mesmo. Além disso, é assumido que nodos com potencial de entrega mais alto tem uma
probabilidade maior de encontrar o destino em um futuro pximo.
4.1 Cálculo do Potencial de Entrega de um Nodo
No protocolo APRP cada nodo de uma rede DTN monitora o número de encontros com outros
nodos em um período de tempo, que é chamado de potencial de entrega. O potencial de entrega
dos nodos altera seu v alor, aumentando ou diminuindo, à medida que o número de encontros de
um nodo em um período de tempo respectivamente aumenta ou diminui. A cada nov o encontro de
um nodo o seu po tencial é recalculado registrando o novo encontro e seu momento de ocorrência,
conforme o relógio local do nodo, e retirando encontros antigos da janela de tempo considerada.
Assim, o potencial de entrega é uma medida histórica que considera os encontros do nodo no passado
recente do mesmo.
70
Para o ajuste do tamanho da janela de tempo, vários experimentos foram realizados variando
densidade da rede, padrão de mobilidade e tamanho da janela de tempo. A partir desses experimentos
observou-se que uma janela de tempo de 4 minutos é suficiente para caracterizar diferentes níveis
de potencial dos nodos da rede. Esse valor foi adotado nos experimentos realizados neste Capítulo.
As Tabelas 4.1, 4.2 e 4.3 apresentam valores médios de potenciais de entrega, obtidos por
simulação, para a janela de tempo de 4 minutos, em uma área de 4500 m x 3400 m, com 30,
50, 100 e 300 nodos e para três cenários diferentes, considerando raios de 10 m, 30 m e 80
m, respectivamente. Além disso, foi utilizado o padrão de mobilidade Shortest Path Map Based
Movement, descrito na Seção 2.3, e dois tipos de nodos foram simulados: pessoas e automóveis.
Os demais parâmetros utilizados nas simulações estão descritos na Seção 4.4.
Tabela 4.1: Valor médio do potencial para raio de 10 m.
30 nodos 50 nodo s 100 nodos 300 nodos
Pessoas 1,8 2,3 3,6 8,4
Automóveis 2,3 3,1 5,1 13,11
Tabela 4.2: Valor médio do potencial para raio de 30 m.
30 nodos 50 nodo s 100 nodos 300 nodos
Pessoas 1,9 2,4 3,9 9,6
Automóveis 2,4 3,4 5,8 15,34
Tabela 4.3: Valor médio do potencial para raio de 80 m.
30 nodos 50 nodo s 100 nodos 300 nodos
Pessoas 2,1 2,8 4,7 11,9
Automóveis 2,9 4,2 7,4 20,34
Analisando os resultados das Tabelas 4 .1, 4.2 e 4.3 percebe-se que os nodos com ma ior ve-
locidade, os automó veis nesse caso, possuem um potencial mais elevado que aqueles com menor
velocidade, como as pessoas. Um outro parâmetro que altera o potencial é a densidade da rede,
impactada pelo raio de alcance e a quantidade de nodos na área simulada. Os nodos das redes mais
densas têm potencias mai s elevados, enquanto os nodos das redes mais esparsas ou com raio menor
têm potenciais mais baixos. Os resultados indicam que o potencial dos nodos está representando
uma medida coerente dos encontros ocorridos com eles, podendo ser utilizado de forma comparativa.
Conforme experimentos realizados com outros padrões de mobilidade, como o Random Waypoint e
o Map Based Movement, descritos na Seção 2.3, observa-se que o comportamento do potencial se
repete para as mesmas configurações descritas anteriormente.
71
4.2 Roteamento no APRP
A decisão de roteamento em uma rede DTN acontece a cada encontro de dois nodos. Cada
nodo do par formado no encontro pode tanto enviar como receber mensagens do outro nodo. A
descrição a seguir se em somente um sentido do par formado, po i s o comportamento é simétrico.
Um nodo busca nodos que tenham uma diferença de potencial, com relação ao seu, que justifique
o repasse de uma mensagem a ele, pois o repasse gasta recursos de comunicação e armazenamento,
além de uma cópia da mensagem. A diferença de potencial que justifica o repasse é relativa ao maior
valor de potencial conhecido. Devido à natureza da rede em discussão, essa estimativa é local, e
não global, e dependente dos encontros ocorridos por um nodo. De maneira mais detalhada, o valor
de maior potencial é identificado por cada nodo, a cada encontro. Assim, cada nodo dispõe do seu
valor de potencial e de um valor má ximo de potencial conhecido por ele.
A decisão de repasse depende da existência de mensagens para repasse e dos valores de potencial
e potencial máximo conhecido de cada nodo. Assim, o repasse de uma mensagem de um nodo origem
o para um nodo encontrado n ocorre se:
P
n
> P
o
+ δ(P
maxo
P
o
) (4.1)
Onde P
o
é o potencial de entrega do nodo origem; P
n
é o potencial de entrega do nodo
encontrado n; P
maxo
é o potencial má ximo conhecido por o; e δ é um valor de ajuste para o
diferencial de potencial desejado. Exp erimentos
1
com variados valores de δ foram realizados para
identificar o limite que forneça uma boa relação entre taxa de entrega, atraso e overhead gerado na
rede. Os v alores de δ testados variaram de 0,2 a 0,6. Identificou-se que à medida que o valor de δ
diminui ambos overhead e a taxa de entrega aumentam, sendo que o atraso é reduzido. O valor de
δ utilizado nos experimentos está apresentado na Seção 4 .4 , bem como resultados que mostram o
comportamento das métricas para dois v alores de δ.
Complementarmente, o APRP limita o número de cópia s de uma mensagem. A estratégia usada
é semelhante a do protocolo Spray and Wait [Spy08] com spraying binário, ou seja, a cada encontro
um nodo pode repassar créditos de mensagens ao nodo encontrado. Tanto o nodo originador como o
encontrado mantém cópias da mensagem para futura tentativa de repasse ou entrega direta. Assim,
a origem de uma mensagem inicia com um crédito de C cópias; quando o repasse de uma mensagem
é feito, ela delega C/2 dos créditos para o outro nodo e mantém C/2 para si; desde que hajam
C > 1 cópias da mensagem, caso contrário a transmissão direta é utilizada. Caso não haja espaço
em buffer para armazenar a mensagem, a estratégia FIFO é utilizada para descarte.
Assim como em outros protocolos de ro teamento, como Epidêmico, PRoPHET e Spray and Wait
por exemplo, os nodos possuem um summary vector com a identificação de todas as mensagens
armazenadas por eles. Quando dois nodos se encontram, eles trocam o summary vector e verificam
quais mensagens são novas e precisam ser repassadas. Dessa forma, evita-se utilizar recursos da
rede com o repasse de mensagens armazenadas pelos nodos.
1
Os experimentos utili zaram a configuração descrita na Seção 4.4.
72
4.3 Algoritmo
O Algoritmo 4.1 apresenta o mecanismo de roteamento usado no APRP. Ta l protocolo possui
os seguintes parâmetros que devem ser configurados:
δ: valor de ajuste para o diferencial de potencial desejado;
C: número de créditos que uma mensagem possui;
W
p
: tamanho da janela de tempo usada na atualização da contact_list_p.
O nodo que origina uma mensagem ou que possui mensagens a serem repassadas possui as
seguintes estruturas e variáveis:
o: identificação do próprio nodo;
P
o
: potencial de entrega do próprio nodo;
n: identificação do nodo encontrado. Essa informação é obtida do nodo encontrado no
momento do contato entre o s nodos;
P
n
: potencial de entrega do nodo encontrado. Essa informação é obtida do nodo encontrado
no momento do contato entre os nodos;
P
maxo
: potencial máximo conhecido pelo nodo origem. Calculado pelo nodo assim que o
potencial de entrega do nodo encontrado é obtido;
time: tempo em que houv e o contato com o nodo encontrado;
contact_list: lista de contatos que informa quem são os vizinhos do próprio nodo, no formato
< n,P
n
,time >. Essa li sta é utilizada no cálculo do potencial de entrega dos nodos. Cada
entrada da lista fica válida por um tempo, a que a janela de tempo (W
p
) expire. Um vizinho
é definido como um outro nodo que está em alcance direto no raio de alcance da rede sem
fio usada;
m: identificação da mensagem a ser repassada ou entregue ao destino final. Todas as mensa-
gens possuem uma identificação, necessária para diferenciar mensagens antigas de mensagens
novas, mensagens duplicadas e mensagens que devem ser retiradas do buffer;
summary_vector_o: lista com a identificação das mensagens e o número de créditos que
estão sendo armazenados pelo próprio nodo, no formato < m,C >;
summary_vector_n: lista com a identificação das mensagens que estão sendo armazenadas
pelo nodo encontrado.
73
Algoritmo 4.1: Mecanismo de roteamento do APRP.
proc edure nodeMeetingNeighbor()
obtain(n,P
n
,summary_vector_n, time )
updateContactList(contact_list,n,P
n
,time,W
p
)
if (P
n
> P
maxo
) then
P
maxo
= P
n
end if
calculateP
o
(contact_list,P
o
)
if (nodeHasMessage(summary_vector_o)) then
dire c tDelivery(summary_vector_o, n, summary_v ector_n)
if (P
n
>= (P
o
+ δ (P
maxo
P
o
))) then
sendMessageT oNeighbor(summary_vector_o,n,summary_ vector_n)
end if
end if
proc edure dire c tDelivery(summary_vector_o, n, summa ry_v ector_n )
for all m in summary_v ector_o do
if ((destination(m) = n)and(!neighborHasMessage(m,sum m ary_vector_n))) th en
sendDirectMessage(m,n)
removeMessageList(summary_ve c tor_o,m)
end if
end for
proc edure sendMessageT oNeighbor(summary_vector_o,n, summ a ry_v ector_n)
for all < m,C > in summary_vector_o do
if ((C > 1)and(!neighborHasM ess age(m,summary_vector_n))) then
sendMessage(n,m, C/2)
C = C/2
updateM sgList(summary_vector_o,m,C)
end if
end for
proc edure calculateP
o
(contact_li s t, P
o
) {Calcula o potencial do nodo origem.}
proc edure createNewMessage(m, summa ry_vector_o,C) {Inclui a identific ação da n ova mensagem no
summary vector do nodo e config ura o número de créditos para a mensa gem criada.}
proc edure neighborHasM e s s age(m,summary_vector_n) {Verifica se a men sagem m está presente no
summary vector do nodo encontrado. Caso esteja retorna true, caso contrário retorna false.}
proc edure nodeHasMessage(summary_vector_o) {Verifica se mensa gens para serem entregues no
summary vector no próprio nodo, retornando true ou false.}
proc edure obtain(n,P
n
,summary_vector_n,time) {Retorna a identificação, o potencial e o summary vector
do nodo encontrado, bem como o tempo do encontro.}
proc edure removeMessageList(summary_ve c t or_o,m) {Remove mensagem da l ista de mensagens.}
proc edure sendMessage(n,m, C) {Repassa mensagem para o nodo.}
proc edure sendDirectMessage(m,n) {Envia mensa gem para o destino.}
proc edure updateContac tList(contact_list, n, P
n
,time,W
p
) {Inclui a identific ação do nodo encontrado na
lista de contatos e remove contatos antigos de acordo com a janela de tempo.}
proc edure updateM sgList(summary_vector_o, m, C) {Atualiza a lista de men sagens d ando o novo crédito
para a mensagem repassada.}
74
Quando uma mensagem é criada, o procedimento createNewMessage(m,summary_vector_o,
C) é executado. Ta l procedimento inclui a identificação da mensagem criada no summary vector
do nodo e configura o número de créditos com o valor recebido por parâmetro.
Ao encontrar um nodo n, o procedimento nodeMeetingNeighbor() é executado. A identifica-
ção, o potencial e a lista com a identificação das mensagens mantidas pelo nodo encontrado, bem
como o tempo do encontro são obtidos pelo procedimento obtain(n,P
n
,su mmary_vector_n). O
nodo encontrado é a dicionado na lista de contatos e os contatos antigos são removidos da mesma de
acordo com a janela de tempo W
p
. O potencial máximo conhecido pelo nodo é atua liza do e o pro-
cedimento calculateP
o
(contact_list,P
o
) calcula o novo potencial de entrega do nodo origem. Caso
hajam mensagens para serem repassadas, o procedimento directDelivery(summary_vector_o,n,
summary_ vector_n) identifica se o nodo encontrado é destino de alguma mensagem presente em
sua lista para que seja feita a entrega direta e a remoção da mesma. A entrega direta somente será re-
alizada caso o nodo encontrado ainda não possua a mensagem a ser entregue. O repasse das demais
mensagens é realizado se o potencial do nodo encontrado for maior ou igual ao valor que justifica o
repasse (descrito na Seção 4.2). O envio da mensagem e o ajuste dos créditos é realizado pelo proce-
dimento sendMessageT oNeighbor(summary_vector_o,n,summary_vector_n), o qual trans-
mite C/2 dos créditos para o nodo encontrado e atualiza os créditos locais da mensagem em
C/2. O repasse somente será realizado caso o nodo encontrado ainda não possua a mensagem a
ser entregue.
4.4 Avaliação Experimental
4.4.1 Parâmetros da Simulação
A avaliação do APRP foi realizada através de implementação utilizando o simulador ONE (Oppor-
tunistic Network Environment) [Ker07], um ambiente de simulação de eventos discretos específico
para DTN.
Protocolos Comparados
Através da implementação do protocolo APRP foi possível comparar o seu comportamento com
os resultados obtidos de estratégias de roteamento existentes na literatura. A comparação foi
realizada com os protocolos Epidêmico, Spray and Wait e PRoPHET, os quais vêm implementados
no simulador ONE. Os dois primeiros foram selecionados pois a mbos são restrições da estratégia
de flooding, assim como o APRP, sendo que o Spray and Wait é utilizado como base do protocolo
proposto. o PRoPHET utiliza informações históricas acerca do comportamento dos nodos para
a tomada de decisão sobre o repasse das mensagens, sendo o mais referenciado na literatura com
essa característica. Além disso, tal protocolo está em fase de padronização pelo IETF [Lin09]. Para
este último protocolo foi necessário configurar o parâmetro de transitividade, o qual foi configurado
com 0 ,25 (sugerido em [Lin03b]).
75
Parametrização do APRP
O protocolo APRP precisa ter configurados três parâmetros: o tamanho da j anela de tempo
onde os encontros são válidos para o cálculo do potencial de entrega (W
p
), o δ da Equação 4.1 e o
limite (máximo) no número de vezes que uma mensagem pode ser co piada na rede (C) . A seguir
estão indicados os valores que foram armazenados em cada um dos parâmetros.
Janela de Tempo (W
p
): conforme comentado na Seção 4.1, foram realizados rios experi-
mentos variando o tamanho da janela de 2 a 16 minutos e foi observado que uma janela de
tempo de 4 minutos é suficiente para caracterizar diferentes níveis de potencial nos nodos da
rede;
δ: ig ualmente, experimentos com valores de δ entre 0,2 e 0,6 foram realizados. Os resultados
apresentados nesta Seção foram realizados com δ de 0,2, pois observou-se uma melhor relação
entre percentual de mensagens entregues, atraso e overhead- vide Seção 4.4.5;
C: este é um parâmetro utilizado ta nto no APRP qua nto no Spray and Wait e foi configurado
em 6 em ambos protocolo s (sugerido em [Ker07]). Esse valor permite comparação com
resultados da literatura como em [Spy08].
Cenários de Simulação
Área Simulada: a área simulada tem um tamanho de 4500 m x 3400 m e utiliza um mapa
que faz parte da área central da cidade de Helsinki, na Finlândia. Este mapa vem com o
simulador, sendo utilizado pelos padrões de mobilidade Shortest Path Map Based Movement
e Map Based Movement [Ker07];
Número de Nodos: o número de nodos varia entre 30, 50, 100 e 300 nodos;
Tipos de Nodos: considerando o número de nodos, metade representa pessoas que carregam
dispositivos móveis e a o utra metade representa automóveis;
Velocidade dos Nodos: os automóveis diferem das pessoas basicamente em velocidade. As
pessoas assumem velocidades que variam entre [0,5, 1,0] m/ s e os automóveis a ssumem
velocidades entre [2,7, 13,9] m/s;
Movimento dos Nodos - padrão de mobilidade: os nodos se movem de acordo com os pa-
drões de mobilidade Random Waypoint, Shortest Path Map Based Movement e Map Based
Movement, descritos na Seção 2.3;
Recursos dos Nodos: os automóveis possuem um tamanho de buffer de 4 0 Mbytes, enquanto
os dispositivos carregados pelas pessoas possuem um tamanho de buffer de 20 Mbytes;
Raio de Transmissão dos Nodo s: a distância alcançada pelo sinal dos nodos varia em 10 m,
30 m e 80 m. Esta é uma outra forma de alterar a densidade da rede;
76
Taxa de Transmissão: as mensagens são transmitidas a uma velocidade de 2 Mbps;
Número de Mensagens: 5000 mensagens são criadas de origens randômicas para pontos destino
randômicos na rede. O TTL (Time to Live) das mensagens é considerado infinito;
Tamanho das Mensagens: o tamanho das mensagens varia de 100 Kbytes a 2 Mbytes;
Tempo de Simulação: os experimentos rodam por aproximadamente 55 horas simuladas.
Este valor f oi definido através de um estudo para tornar o resultado da simulação o mais
exato possível. Conf orme observado no Anexo A, através de métodos analíticos pode-se
modelar padrões de mobilidade para obter a distribuição espacial de nodos (distribuição da
probabilidade de um nodo estar em uma posição da área analisada). Portanto, foi ajustado
o tempo de simulação para atingir a distribuição espacial do nodo compatível com a obtida
através de método analítico para o padrão de mobilidade Random Waypoint.
Para cada cenário simulado, foram realizadas sete rodadas de simulação. Os resultados apresen-
tados nesta seção foram o btidos pela média de todas as rodadas. Para cada valor apresentado, as
barras verticais associadas representam um intervalo de confiança de 95%. Contudo, algumas vezes
o intervalo de confiança está bastante pximo do valor plotado, sendo difícil sua visualização nas
figuras.
A seguir estão apresentados os resultados para três métricas descritas na Seção 2.5: percentual
de mensagens entregues, overhead e atraso médio na entrega das mensagens. As tabelas presentes
na Seção 4.4.7 apresentam os valores numéricos de todas as fig ura s expostas a seguir.
4.4.2 Percentual de Mensagens Entregues
As Figuras 4.1, 4.2 e 4.3 apresentam o percentual de mensagens entregues para o cenário descrito
anteriormente, onde os nodos se movimentam de acordo com os padrões de mo bilidade Random
Waypoint, Shortest Path Map Based Movement e Map Based Movement, respectivamente.
0
20
40
60
80
100
30 60 90 120 150 180 210 240 270 300
APRP
Epidêmico
PRoPHET
Spray and Wait
0
20
40
60
80
100
30 60 90 120 150 180 210 240 270 300
APRP
Epidêmico
PRoPHET
Spray and Wait
0
20
40
60
80
100
30 60 90 120 150 180 210 240 270 300
APRP
Epidêmico
PRoPHET
Spray and Wait
a) Raio 10 m b) Raio 30 m c) Raio 80 m
Figura 4.1: Percentual de mensagens entregues com Random Waypoint. O eixo vertical repre-
senta o percentual de mensagens entregues e o horizontal representa a quantidade de nodos. A
Tabela 4.4 apresenta os v alores numéricos dessa figura. Os valores correspondentes ao APRP estão
representados como APRP delta 0,2.
77
0
20
40
60
80
100
30 60 90 120 150 180 210 240 270 300
APRP
Epidêmico
PRoPHET
Spray and Wait
0
20
40
60
80
100
30 60 90 120 150 180 210 240 270 300
APRP
Epidêmico
PRoPHET
Spray and Wait
0
20
40
60
80
100
30 60 90 120 150 180 210 240 270 300
APRP
Epidêmico
PRoPHET
Spray and Wait
a) Raio 10 m b) Raio 30 m c) Raio 80 m
Figura 4.2: Percentual de mensagens entregues com Shortest Path Map Based Movement. O eixo
vertical representa o percentual de mensagens entregues e o horizontal representa a quantidade de
nodos. A Ta bela 4.5 apresenta os valores numéricos dessa figura. Os valores correspo ndentes ao
APRP estão representados como APRP delta 0,2.
0
20
40
60
80
100
30 60 90 120 150 180 210 240 270 300
APRP
Epidêmico
PRoPHET
Spray and Wait
0
20
40
60
80
100
30 60 90 120 150 180 210 240 270 300
APRP
Epidêmico
PRoPHET
Spray and Wait
0
20
40
60
80
100
30 60 90 120 150 180 210 240 270 300
APRP
Epidêmico
PRoPHET
Spray and Wait
a) Raio 10 m b) Raio 30 m c) Raio 80 m
Figura 4.3: Percentual de mensagens entregues com Map Based Movement. O eixo vertical repre-
senta o percentual de mensagens entregues e o horizontal representa a quantidade de nodos. A
Tabela 4.6 apresenta os v alores numéricos dessa figura. Os valores correspondentes ao APRP estão
representados como APRP delta 0,2.
Ao observar os valores apresentados nas Figuras 4.1, 4.2 e 4.3 percebe-se que o percentual de
mensagens entregues para os protocolos Epidêmico e PRoPHET é próximo em todos os cenários
simulados e vai diminuindo conforme a quantidade de nodos na rede aumenta, com exceção do
experimento com Raio de a lcance de 10 m e padrão de mobilidade Random Waypoint, onde houve
um pequeno aumento. A diminuição ocorre porque uma maior quantidade de mensagens recebidas
pelos nodos, que faz com que os buffers fiquem cheios e ocorra uma maior perda de mensagens.
Uma análise semelhante foi realizada em [Lin09], onde foram observados valores bastante pximos
entre os percentuais de mensagens entregues desses do is protocolos.
o percentual de mensagens entregues do protocolo APRP é superior aos percentuais dos
protocolos Epidêmico e PRoPHET na maioria dos casos. Como APRP tem a característica de
limitar o número de cópias das mensagens, não irá ocorrer sobrecarga nos buffers da forma como
ocorre com os protocolos Epidêmico e PRoPHET, mesmo quando a densidade da rede aumenta.
Essa característica também ocorre com o protocolo Spray and Wait, o que torna os percentuais de
mensagens entregues dos dois protocolos, APRP e Spray and Wait, bastante próximos. Como um
exemplo, para os resultados apresentados na Figura 4.3b, a diferença entre percentual de mensagens
entregues dos protocolos APRP e Spray and Wait ficou em média em 0 ,3%.
78
Uma outra característica que pode-se observar é a proximidade dos valores do percentual de
mensagens entregues para os quatro protocolos quando a rede é muito esparsa, com 30 nodos, por
exemplo. Nesses casos, os nodos encontram poucos nodos, o que acarreta em uma entrega direta
das mensagens por todos os protocolo s.
Além disso, observa-se que o padrão de mobilidade tem influência no percentual de mensagens
entregues, como observado em [Cam02] e [Jar03], sendo que o percentual é maior com o padrão de
mobilidade Shortest Path Map Based Movement, considerando os mesmos cenários.
4.4.3 Overhead
As Figuras 4.4, 4 .5 e 4.6 apresentam o overhead gerado pelos protocolos à medida que a
quantidade de nodo s na rede aumenta. Os dados apresentados nessas fig ura s são relativos aos
três padrões de mobilidade Random Waypo int, Shortest Path Map Based Movement e Map Based
Movement.
0
10
20
30
40
50
60
70
80
90
100
30 60 90 120 150 180 210 240 270 300
APRP
Epidêmico
PRoPHET
Spray and Wait
0
100
200
300
400
500
600
700
800
30 60 90 120 150 180 210 240 270 300
APRP
Epidêmico
PRoPHET
Spray and Wait
0
500
1000
1500
2000
2500
3000
3500
4000
30 60 90 120 150 180 210 240 270 300
APRP
Epidêmico
PRoPHET
Spray and Wait
a) Raio 10 m b) Raio 30 m c) Raio 80 m
Figura 4.4: Overhead gerado na rede com Random Waypoint. O eixo vertical representa o número
de cópias e o horizontal representa a a quantidade de nodos. A Tabela 4.7 apresenta os valores
numéricos dessa figura. Os v alores correspondentes ao APRP estão representados como APRP delta
0,2.
0
200
400
600
800
1000
1200
1400
1600
1800
2000
30 60 90 120 150 180 210 240 270 300
APRP
Epidêmico
PRoPHET
Spray and Wait
0
500
1000
1500
2000
2500
3000
3500
4000
30 60 90 120 150 180 210 240 270 300
APRP
Epidêmico
PRoPHET
Spray and Wait
0
1000
2000
3000
4000
5000
6000
7000
30 60 90 120 150 180 210 240 270 300
APRP
Epidêmico
PRoPHET
Spray and Wait
a) Raio 10 m b) Raio 30 m c) Raio 80 m
Figura 4.5: Overhead gerado na rede com Shortest Path Map Based Movement. O eixo vertical
representa o número de cópias e o horizontal representa a a quantidade de nodos. A Tabela 4.8 apre-
senta os valores numéricos dessa figura. Os valores correspondentes ao APRP estão representados
como APRP delta 0,2.
Em todos os experimentos realizados o overhead do protocolo APRP ficou inferior principalmente
em relação aos protocolos Epidêmico e PRoPHET. Esse é um resultado muito importante pois indica
79
0
50
100
150
200
250
300
350
30 60 90 120 150 180 210 240 270 300
APRP
Epidêmico
PRoPHET
Spray and Wait
0
200
400
600
800
1000
1200
30 60 90 120 150 180 210 240 270 300
APRP
Epidêmico
PRoPHET
Spray and Wait
0
500
1000
1500
2000
2500
3000
3500
30 60 90 120 150 180 210 240 270 300
APRP
Epidêmico
PRoPHET
Spray and Wait
a) Raio 10 m b) Raio 30 m c) Raio 80 m
Figura 4.6 : Overhead gerado na rede com Map Based Movement. O eixo vertical representa o
número de cópias e o horizontal representa a a quantidade de nodos. A Tabela 4.9 apresenta os
valores numéricos dessa figura. Os valores correspondentes ao APRP estão representados como
APRP delta 0,2.
que menos recursos dos nodos estão sendo usados. Além disso, observou-se que, ao se a umentar a
quantidade de nodos na rede e o raio, o overhead gerado pelos protocolos também aumenta. Esse
aumento é maior nos protocolos Epidêmico e PRo PHET, pois ambos não impõem um limite superior
no número de cópias para as mensagens. Como um exemplo, para os resultados apresentados na
Figura 4.6b, o APRP reduziu o overhead em média 85,64% e 81,94%, em comparação aos protocolos
Epidêmico e PRoPHET, respectivamente.
Ressalta-se que os valores de overhead para os protocolo s APRP e Spray and Wait são baixos
e, devido à escala usada nas Figuras 4.4, 4.5 e 4.6, os mesmos estão pouco visíveis. Portanto, as
Figuras 4.7, 4.8 e 4.9 apresentam a diferença do overhead entre as duas estratégias para os padrões
de mobilidade Random Waypo int, Shortest Path Map Based Mo vement e Map Based Movement,
respectivamente. Observa-se que com o aumento da quantidade de nodos, um maior número de
encontros ocorre, o que ocasiona um maior encaminhamento de cópias das mensagens. Contudo,
o overhead gerado pelo APRP se mostrou inf erior ao Spray and Wait em todos os experimentos
realizados. Como um exemplo, para os resultados apresentados na Figura 4.9b, o APRP reduziu o
overhead em média 30,5 1% em comparação ao Spray and Wait.
Além disso, observa-se que os v alores do overhead gerado pelos protocolos não é o mesmo para
os três padrões de mobilidade. Contudo, a diferença entre eles não é tão grande quanto a diferença
que ocorre no percentual de mensagens entregues. Dessa forma, verifica-se que essa métrica não é
tão influenciada pelo padrão de mobilidade utilizado.
80
0
1
2
3
4
5
6
7
8
9
30 60 90 120 150 180 210 240 270 300
APRP
Spray and Wait
0
1
2
3
4
5
6
30 60 90 120 150 180 210 240 270 300
APRP
Spray and Wait
0
1
2
3
4
5
6
30 60 90 120 150 180 210 240 270 300
APRP
Spray and Wait
a) Raio 10 m b) Raio 30 m c) Raio 80 m
Figura 4.7 : Overhead dos protocolos APRP e Spray and Wait com Random Waypoint. O eixo
vertical representa o número de cópias e o horizontal representa a a quantidade de nodos. A
Tabela 4.7 apresenta os v alores numéricos dessa figura. Os valores correspondentes ao APRP estão
representados como APRP delta 0,2.
0
1
2
3
4
5
6
30 60 90 120 150 180 210 240 270 300
APRP
Spray and Wait
0
1
2
3
4
5
6
30 60 90 120 150 180 210 240 270 300
APRP
Spray and Wait
0
1
2
3
4
5
6
30 60 90 120 150 180 210 240 270 300
APRP
Spray and Wait
a) Raio 10 m b) Raio 30 m c) Raio 80 m
Figura 4.8: Overhead dos protocolos APRP e Spray and Wait com Shortest Path Map Based
Movement. O eixo v ertical representa o número de cópias e o horizontal representa a a quantidade
de nodos. A Tabela 4.8 apresenta os v alores numéricos dessa figura. Os valores correspondentes ao
APRP estão representados como APRP delta 0,2.
0
1
2
3
4
5
6
30 60 90 120 150 180 210 240 270 300
APRP
Spray and Wait
0
1
2
3
4
5
6
30 60 90 120 150 180 210 240 270 300
APRP
Spray and Wait
0
1
2
3
4
5
6
30 60 90 120 150 180 210 240 270 300
APRP
Spray and Wait
a) Raio 10 m b) Raio 30 m c) Raio 80 m
Figura 4.9: Overhead dos protocolos APRP e Spray and Wait com Map Ba sed Movement. O
eixo vertical representa o número de cópias e o horizontal representa a a quantidade de nodos. A
Tabela 4.9 apresenta os v alores numéricos dessa figura. Os valores correspondentes ao APRP estão
representados como APRP delta 0,2.
4.4.4 Atraso na Entrega das Mensagens
Outro parâmetro investigado f oi o atraso médio na entrega das mensagens. As Figuras 4.10, 4.11
e 4.12 apresentam os valores obtidos dos experimentos realizados para os três padrões de mobilidade
Random Waypoint, Shortest Path Map Based Movement e Map Based Movement, respectivamente.
81
0
5000
10000
15000
20000
25000
30000
35000
40000
45000
50000
30 60 90 120 150 180 210 240 270 300
APRP
Epidêmico
PRoPHET
Spray and Wait
0
5000
10000
15000
20000
25000
30 60 90 120 150 180 210 240 270 300
APRP
Epidêmico
PRoPHET
Spray and Wait
0
1000
2000
3000
4000
5000
6000
7000
30 60 90 120 150 180 210 240 270 300
APRP
Epidêmico
PRoPHET
Spray and Wait
a) Raio 10 m b) Raio 30 m c) Raio 80 m
Figura 4.10 : Atraso na entrega da s mensagens com Random Waypoint. O eixo vertical representa
o tempo em segundos e o horizontal representa a a qua ntidade de nodos. A Tabela 4.10 apresenta
os valores numéricos dessa figura. Os valores correspondentes ao APRP estão representados como
APRP delta 0,2.
0
2000
4000
6000
8000
10000
12000
14000
16000
18000
20000
30 60 90 120 150 180 210 240 270 300
APRP
Epidêmico
PRoPHET
Spray and Wait
0
1000
2000
3000
4000
5000
6000
7000
8000
30 60 90 120 150 180 210 240 270 300
APRP
Epidêmico
PRoPHET
Spray and Wait
0
500
1000
1500
2000
2500
3000
30 60 90 120 150 180 210 240 270 300
APRP
Epidêmico
PRoPHET
Spray and Wait
a) Raio 10 m b) Raio 30 m c) Raio 80 m
Figura 4.11: Atraso na entrega das mensagens com Shortest Path Map Based Mo vement. O eixo
vertical representa o tempo em segundos e o horizontal representa a a quantidade de nodos. A
Tabela 4.11 apresenta os valores numéricos dessa figura. Os valores correspondentes ao APRP
estão representados como APRP delta 0,2.
0
5000
10000
15000
20000
25000
30000
30 60 90 120 150 180 210 240 270 300
APRP
Epidêmico
PRoPHET
Spray and Wait
0
2000
4000
6000
8000
10000
12000
14000
16000
30 60 90 120 150 180 210 240 270 300
APRP
Epidêmico
PRoPHET
Spray and Wait
0
1000
2000
3000
4000
5000
6000
7000
8000
30 60 90 120 150 180 210 240 270 300
APRP
Epidêmico
PRoPHET
Spray and Wait
a) Raio 10 m b) Raio 30 m c) Raio 80 m
Figura 4.1 2: Atraso na entrega das mensagens com Map Based Movement. O eixo vertical representa
o tempo em segundos e o horizontal representa a a qua ntidade de nodos. A Tabela 4.12 apresenta
os valores numéricos dessa figura. Os valores correspondentes ao APRP estão representados como
APRP delta 0,2.
Observa-se que o atraso no protocolo APRP é mais elevado que nos demais protocolos. Contudo,
geralmente essa diferença vai diminuindo à medida que a quantidade de nodos na rede aumenta,
assim como o raio. Essa característica ocorre pois no protocolo APRP uma quantidade menor
de nodos possui cópia das mensagens (como observado anteriormente), uma vez que o repasse é
82
realizado para nodos de po tencial mais elevado , ocasionando um atraso maior para encontrar o
destinatário. Como um exemplo, para os resultados apresentados na Figura 4.1 2b, o APRP g erou
um aumento no atraso em média de 3 4,57%, 64,58% e 28,15%, em comparação aos protocolos
Epidêmico, PRoPHET e Spray and Wait, respectivamente.
Além disso, observa-se que em cenários bastante esparsos, com 30 nodos e raio de alcance
de 10 m por exemplo, os valores de atraso são bastante pximos, pois uma quantidade pequena
de encontros ocorre, sendo realizada a entrega direta das mensagens, conforme comentado na
Seção 4.4.2.
4.4.5 Análise do Delta
O δ (delta) é um parâmetro que influencia na decisão de repasse realizada pelo protocolo APRP.
Experimentos com valores de δ entre 0,2 e 0,6 foram realizados para identificar o valor que traria
um melhor desempenho ao protocolo proposto. As Figuras 4.13, 4.14 e 4.15 apresentam as mé-
tricas de percentual de mensagens entregues, overhead e atraso médio na entrega das mensagens,
respectivamente, para δ configurado com 0,2 e 0,5 e para o padrão de mobilida de Map Based Mo-
vement. Como o comportamento das métricas para os demais padrões de mobilidade apresentou-se
semelhante com a variação do δ, resolveu-se apresentar ap enas um dos padrões para realizar a
análise.
A partir dos resultados plotados observa-se que o valor do δ tem influência nas métricas de
desempenho. À medida que o valor de δ diminui, o atraso médio na entrega da s mensagens também
diminui, sendo que overhead e o percentual de mensagens entregues aumentam. Devido aos mais
baixos valores de atraso, o δ com 0,2 fo i utilizado nos experimentos realizados neste Capítulo.
0
20
40
60
80
100
30 60 90 120 150 180 210 240 270 300
APRP delta 0,2
APRP delta 0,5
0
20
40
60
80
100
30 60 90 120 150 180 210 240 270 300
APRP delta 0,2
APRP delta 0,5
0
20
40
60
80
100
30 60 90 120 150 180 210 240 270 300
APRP delta 0,2
APRP delta 0,5
a) Raio 10 m b) Raio 30 m c) Raio 80 m
Figura 4 .13: Percentual de mensagens entregues. O eixo vertical representa o percentual de mensa-
gens entregues e o horizontal representa a quantidade de nodos. A Tabela 4.6 apresenta os valores
numéricos dessa figura.
83
0
1
2
3
4
5
30 60 90 120 150 180 210 240 270 300
APRP delta 0,2
APRP delta 0,5
0
1
2
3
4
5
30 60 90 120 150 180 210 240 270 300
APRP delta 0,2
APRP delta 0,5
0
1
2
3
4
5
30 60 90 120 150 180 210 240 270 300
APRP delta 0,2
APRP delta 0,5
a) Raio 10 m b) Raio 30 m c) Raio 80 m
Figura 4.14: Overhead gerado na rede. O eixo vertical representa o número de cópias e o horizontal
representa a a quantidade de nodos. A Tabela 4 .9 apresenta os va lores numéricos dessa figura.
0
5000
10000
15000
20000
25000
30000
35000
40000
30 60 90 120 150 180 210 240 270 300
APRP delta 0,2
APRP delta 0,5
0
2000
4000
6000
8000
10000
12000
14000
16000
18000
20000
30 60 90 120 150 180 210 240 270 300
APRP delta 0,2
APRP delta 0,5
0
2000
4000
6000
8000
10000
12000
14000
30 60 90 120 150 180 210 240 270 300
APRP delta 0,2
APRP delta 0,5
a) Raio 10 m b) Raio 30 m c) Raio 80 m
Figura 4.15: Atraso na entrega das mensagens. O eixo vertical representa o tempo em segundos
e o horizontal representa a a quantidade de nodos. A Tabela 4.12 apresenta os valores numéricos
dessa figura.
4.4.6 Avaliação da Sobrecarga nos Nodos
Uma análise importante a ser feita é o impacto da estratégia propo sta para os nodos de maior
potencial, uma vez que estes tendem a receber mais mensagens. A análise foi realizada considerando
as mensagens recebidas pelos dois grupos de nodos utilizados nos experimentos: automóveis e
pessoas. Conforme apresentado na seção 4.1, os a utomó veis possuirão um valor de potencial maior,
então pretende-se avaliar a sobrecarga nesse grupo.
Para tanto, calculou-se a média das mensagens recebidas pelos do is grupos, bem como para os
dois valores de δ (0,2 e 0,5) apresentados anteriormente. Os resultados obtidos foram comparados
com os resultados do protocolo Spray and Wait. As Figuras 4.16 e 4.17 mo stram os valores da média
das mensagens recebidas pelos do is grupos para o padrão de mobilidade Map Based Movement. Na
Figura 4.16 está sendo feita a comparação do APRP com δ configurado em 0,2 e na Figura 4.17 em
0,5. Os gráficos das figuras estão considerando todas as mensagens recebidas pelos nodos, inclusive
aquelas que foram descartadas por falta de espaço em buffer.
O APRP com δ em 0,2 sobrecarrega mais os nodos da rede do que com δ em 0,5 e, consequen-
temente, possui um maior overhead.
Analisando os resultados apresentados na Figura 4.16, percebe-se que ambos protocolos (APRP
e Spray and Wait) possuem características semelhantes pois um número maior de mensagens são
repassadas para os automóveis. Além disso, observa-se que o protocolo Spray and Wait sobrecarrega
84
0
50
100
150
200
250
300
30 60 90 120 150 180 210 240 270 300
APRP delta 0,2 (autom.)
Spray and Wait (autom.)
APRP delta 0,2 (pessoas)
Spray and Wait (pessoas)
0
100
200
300
400
500
600
700
30 60 90 120 150 180 210 240 270 300
APRP delta 0,2 (autom.)
Spray and Wait (autom.)
APRP delta 0,2 (pessoas)
Spray and Wait (pessoas)
0
200
400
600
800
1000
1200
30 60 90 120 150 180 210 240 270 300
APRP delta 0,2 (autom.)
Spray and Wait (autom.)
APRP delta 0,2 (pessoas)
Spray and Wait (pessoas)
a) Raio 10 m b) Raio 30 m c) Raio 80 m
Figura 4.16: M ensagens recebidas por grupos de nodos com delta de 0,2. A Tabela 4.13 apresenta
os valores numéricos dessa figura.
0
50
100
150
200
250
300
30 60 90 120 150 180 210 240 270 300
APRP delta 0,5 (autom.)
Spray and Wait (autom.)
APRP delta 0,5 (pessoas)
Spray and Wait (pessoas)
0
100
200
300
400
500
600
700
30 60 90 120 150 180 210 240 270 300
APRP delta 0,5 (autom.)
Spray and Wait (autom.)
APRP delta 0,5 (pessoas)
Spray and Wait (pessoas)
0
200
400
600
800
1000
1200
30 60 90 120 150 180 210 240 270 300
APRP delta 0,5 (autom.)
Spray and Wait (autom.)
APRP delta 0,5 (pessoas)
Spray and Wait (pessoas)
a) Raio 10 m b) Raio 30 m c) Raio 80 m
Figura 4.17: M ensagens recebidas por grupos de nodos com delta de 0,5. A Tabela 4.13 apresenta
os valores numéricos dessa figura.
mais pessoas e automóveis nos cenários com poucos nodos se comparado a o APRP.
Ao considerar-se a razão das mensagens recebidas entre automóveis e pessoas para os dois
protocolos na Figura 4.16 , observa-se que a diferença é maior para o protocolo APRP. Isso indica
que, no APRP com δ em 0,2, os nodos de maior potencial estão recebendo um percentual maior
das cópias das mensagens comparativamente ao Spray and Wait. Contudo, apesar dessa sobrecarga,
considerando o total de mensagens recebidas pelos dois protocolos, observa- se que o APRP gera
um menor número de cópias das mensagens, conforme apresentado na Seção 4.4.3.
Quando se analisa os resultados da Figura 4.1 7, nota-se que o APRP com δ em 0,5 também
sobrecarrega mais os automóveis do que as pessoas. No entanto, essa sobrecarga é menor do que
o APRP com δ em 0,2 e do que o Spray and Wait, principalmente em redes esparsas com raio de
alcance de 10 m. Dessa forma, tem-se uma opção de configuração do APRP caso haja necessidade
de uma menor sobrecarga nos nodos de maior potencial.
4.4.7 Tabelas com Valores dos Gráficos
Percentual de Mensagens Entregues As Ta belas 4.4, 4.5 e 4.6 apresentam os valores numéricos
para o percentual de mensagens entregues para os três padrões de mobilidade Random Waypo i nt,
Shortest Path M ap Based Movement e Map Ba sed Movement, respectivamente.
85
Tabela 4.4: Valores do percentual de mensagens entregues com Random Waypoint.
Raio: 10 m
30 nodo s 50 nodos 100 nodos 300 nodos
APRP delta 0 ,2 4,97 10,01 19,01 38,70
APRP delta 0 ,5 5,17 10,10 18,39 38,96
Epidêmico 5,22 10,72 22,47 31,33
PRoPHET 5,28 10,74 22,39 31,55
Spray and Wait 5,10 10,73 23,06 47,98
Raio: 30 m
30 nodo s 50 nodos 100 nodos 300 nodos
APRP delta 0 ,2 36,45 57,40 85,60 99,33
APRP delta 0 ,5 35,74 56,46 76,78 99,62
Epidêmico 37,26 53,92 53,72 37,75
PRoPHET 38,02 56,17 55,02 38,64
Spray and Wait 38,21 60,28 87,13 99,30
Raio: 80 m
30 nodo s 50 nodos 100 nodos 300 nodos
APRP delta 0 ,2 82,93 96,80 99,74 99,88
APRP delta 0 ,5 81,02 92,88 98,84 99,87
Epidêmico 61,10 59,03 50,05 35,60
PRoPHET 69,48 62,87 50,39 34,87
Spray and Wait 85,33 98,31 99,76 99,87
Tabela 4.5: Valores do percentual de mensagens entregues com Shortest Path Map Based Move-
ment.
Raio: 10 m
30 nodo s 50 nodos 100 nodos 300 nodos
APRP delta 0 ,2 45,62 64,56 87,71 99,01
APRP delta 0 ,5 44,36 63,62 80,92 90,71
Epidêmico 46,75 60,62 54,70 34,01
PRoPHET 46,72 63,06 62,81 36,94
Spray and Wait 47,45 67,65 89,41 98,93
Raio: 30 m
30 nodo s 50 nodos 100 nodos 300 nodos
APRP delta 0 ,2 87,03 98,24 99,81 99,88
APRP delta 0 ,5 84,08 94,27 98,97 99,62
Epidêmico 72,64 68,82 56,99 38,25
PRoPHET 78,69 74,00 58,02 36,13
Spray and Wait 88,12 99,53 99,86 99,91
Raio: 80 m
30 nodo s 50 nodos 100 nodos 300 nodos
APRP delta 0 ,2 98,96 99,76 99,89 99,94
APRP delta 0 ,5 95,78 99,16 99,74 99,83
Epidêmico 67,30 61,33 51,35 37,29
PRoPHET 73,27 63,82 50,65 32,86
Spray and Wait 99,82 99,85 99,90 99,92
86
Tabela 4.6: Valores do percentual de mensagens entregues com Map Based Mo vement.
Raio: 10 m
30 nodo s 50 nodos 100 nodos 300 nodos
APRP delta 0 ,2 21,77 35,90 57,75 90,27
APRP delta 0 ,5 21,68 36,08 55,18 73,12
Epidêmico 20,49 33,09 49,50 47,00
PRoPHET 20,50 32,91 49,30 51,00
Spray and Wait 23,26 41,12 64,19 91,22
Raio: 30 m
30 nodo s 50 nodos 100 nodos 300 nodos
APRP delta 0 ,2 52,65 73,07 94,92 99,51
APRP delta 0 ,5 52,99 71,57 90,78 98,97
Epidêmico 49,88 59,44 57,41 43,41
PRoPHET 51,4 59,60 54,19 37,29
Spray and Wait 53,68 73,91 94,16 99,97
Raio: 80 m
30 nodo s 50 nodos 100 nodos 300 nodos
APRP delta 0 ,2 71,22 88,46 98,64 99,64
APRP delta 0 ,5 71,97 87,30 97,35 99,51
Epidêmico 50,90 51,67 47,86 38,77
PRoPHET 54,98 51,72 44,38 30,91
Spray and Wait 69,72 86,42 98,82 99,99
Overhead As Tabelas 4.7, 4.8 e 4.9 apresentam o s va lores numéricos para o overhead gerado na
rede para os três padrões de mobilidade Random Waypoint, Shortest Path Map Based Movement e
Map B ased Movement, respectivamente.
Tabela 4.7: Overhead gerado na rede com Random Waypoint.
Raio: 10 m
30 nodo s 50 nodos 100 nodos 300 nodos
APRP delta 0 ,2 0,32 0,38 1,09 4,75
APRP delta 0 ,5 0,32 0,27 0,43 1,26
Epidêmico 0,78 1,45 5,06 89,35
PRoPHET 0,73 1,38 4,76 72,83
Spray and Wait 0,75 1,35 3,13 8,65
Raio: 30 m
30 nodo s 50 nodos 100 nodos 300 nodos
APRP delta 0 ,2 0,46 1,29 3,45 4,75
APRP delta 0 ,5 0,24 0,39 0,89 2,32
Epidêmico 1,71 5,23 42,03 745,0 0
PRoPHET 1,54 4,67 33,70 515,5 6
Spray and Wait 1,50 2,91 5,35 5,00
Raio: 80 m
30 nodo s 50 nodos 100 nodos 300 nodos
APRP delta 0 ,2 2,34 3,48 4,40 4,77
APRP delta 0 ,5 0,65 1,06 1,87 3,36
Epidêmico 12,81 47,12 293,06 3626,93
PRoPHET 9,92 36,35 199,37 2329,26
Spray and Wait 4,19 4,79 4,87 4,96
87
Tabela 4.8: Ov erhead gerado na rede com Shortest Path Map Based Movement.
Raio: 10 m
30 nodo s 50 nodos 100 nodos 300 nodos
APRP delta 0 ,2 0,45 0,80 2,23 4,49
APRP delta 0 ,5 0,06 0,09 0,31 1,12
Epidêmico 1,71 8,90 101,23 1749,48
PRoPHET 1,46 5,64 69,71 1191,36
Spray and Wait 1,35 2,78 5,14 5,01
Raio: 30 m
30 nodo s 50 nodos 100 nodos 300 nodos
APRP delta 0 ,2 1,25 2,57 4,20 4,75
APRP delta 0 ,5 0,19 0,40 1,17 2,49
Epidêmico 10,33 47,86 296,77 3521,15
PRoPHET 8,07 34,70 211,80 2425,20
Spray and Wait 3,34 4,63 4,87 4,96
Raio: 80 m
30 nodo s 50 nodos 100 nodos 300 nodos
APRP delta 0 ,2 2,80 3,77 4,42 4,73
APRP delta 0 ,5 0,54 0,93 1,81 2,94
Epidêmico 37,66 138,14 728,58 6112,80
PRoPHET 27,69 93,92 471,26 3878,23
Spray and Wait 4,51 4,74 4,87 4,95
Tabela 4.9: Overhead gerado na rede com Map Based Movement.
Raio: 10 m
30 nodo s 50 nodos 100 nodos 300 nodos
APRP delta 0 ,2 0,41 1,00 2,14 4,75
APRP delta 0 ,5 0,22 0,33 0,63 1,79
Epidêmico 1,65 4,34 20,75 324,3 8
PRoPHET 1,37 3,45 14,32 173,5 4
Spray and Wait 1,35 2,59 5,27 5,42
Raio: 30 m
30 nodo s 50 nodos 100 nodos 300 nodos
APRP delta 0 ,2 1,41 2,93 4,12 4,79
APRP delta 0 ,5 0,64 1,05 1,79 3,51
Epidêmico 4,51 14,13 80,99 1111,94
PRoPHET 3,70 11,11 57,05 719,81
Spray and Wait 3,09 5,22 5,15 4,96
Raio: 80 m
30 nodo s 50 nodos 100 nodos 300 nodos
APRP delta 0 ,2 3,28 3,94 4,49 4,78
APRP delta 0 ,5 1,38 1,76 2,68 3,94
Epidêmico 22,27 68,61 329,21 3187,88
PRoPHET 15,37 47,61 222,07 2211,82
Spray and Wait 5,82 5,45 4,92 4,95
88
Atraso na Entrega das Mensagens As Tabelas 4.10, 4.11 e 4.12 apresentam os valores numéricos
para o atraso na entrega das mensagens para os três padrões de mo bilidade Ra ndo m Waypoint,
Shortest Path M ap Based Movement e Map Ba sed Movement, respectivamente.
Tabela 4.10: Atraso na entrega das mensagens com Random Waypoint.
Raio: 10 m
30 nodo s 50 nodos 100 nodos 300 nodos
APRP delta 0 ,2 19684,18 27350,26 42178,13 46941,84
APRP delta 0 ,5 19505,69 26972,63 43515,31 52188,50
Epidêmico 20597,38 28371,95 42569,84 33989,12
PRoPHET 21291,07 286 17,97 4 2580,5 0 34585,82
Spray and Wait 20509,51 28460 ,54 432 91,33 36123,43
Raio: 30 m
APRP delta 0 ,2 18158,94 20534,52 15858,27 9012,12
APRP delta 0 ,5 18227,79 24344,68 27302,32 22249,33
Epidêmico 17771,47 17298,37 11661,58 6148,76
PRoPHET 17601,28 173 29,44 1 1736,1 4 5929,26
Spray and Wait 17833,50 17133 ,20 9162,00 8722,28
Raio: 80 m
APRP delta 0 ,2 650 5,62 4957,73 3229,81 2363,8 7
APRP delta 0 ,5 10030,75 10309,86 8359,22 4703,43
Epidêmico 4950,94 3879,19 2860,00 1882,61
PRoPHET 5309,38 4151,71 2900,31 1823,04
Spray and Wait 4290 ,19 3054,21 2745,22 2511,35
Tabela 4.11: Atraso na entrega das mensagens com Shortest Path Map Based Movement.
Raio: 10 m
30 nodo s 50 nodos 100 nodos 300 nodos
APRP delta 0 ,2 14581,46 17715,46 17710,66 9845,18
APRP delta 0 ,5 14860,04 19786,73 24226,63 23378,73
Epidêmico 13956,73 13364,30 7625,60 3185,96
PRoPHET 13951,96 144 07,15 9418,26 3497,73
Spray and Wait 14000,61 14067 ,62 8474,89 7944,95
Raio: 30 m
30 nodo s 50 nodos 100 nodos 300 nodos
APRP delta 0 ,2 712 3,87 4781,76 2516,44 1797,2 5
APRP delta 0 ,5 937 1,37 10 167,94 8115,54 4745,76
Epidêmico 4890,60 3554,25 2470,80 1637,77
PRoPHET 5319,41 3719,08 2412,64 1453,91
Spray and Wait 4424 ,73 2598,53 2003,49 1838,19
Raio: 80 m
30 nodo s 50 nodos 100 nodos 300 nodos
APRP delta 0 ,2 271 6,32 1866,96 1373,74 1101,7 0
APRP delta 0 ,5 582 5,82 5395,94 3560,51 2368,8 8
Epidêmico 2087,94 1678,23 1373,90 1153,58
PRoPHET 2173,51 1714,44 1342,02 932,70
Spray and Wait 1652 ,33 1384,07 1238,45 1261,74
89
Tabela 4.12: Atraso na entrega das mensagens com Map Based Movement.
Raio: 10 m
30 nodo s 50 nodos 100 nodos 300 nodos
APRP delta 0 ,2 18049,33 23171,72 26840,71 21874,91
APRP delta 0 ,5 17852,52 25149,32 33215,34 36130,77
Epidêmico 13198,94 14281,44 14047,81 9054,93
PRoPHET 12967,04 140 43,67 1 3861,1 7 9909,92
Spray and Wait 18905,78 22637 ,64 186 25,91 17153,60
Raio: 30 m
30 nodo s 50 nodos 100 nodos 300 nodos
APRP delta 0 ,2 13739,56 12009,96 9427,79 6263,52
APRP delta 0 ,5 15617,60 18020,64 18581,18 11297,52
Epidêmico 10551,49 9608,99 7008,16 4215,8 0
PRoPHET 10084,49 880 9,57 5873,23 2780,61
Spray and Wait 10927,17 7765,53 6593,73 7016,94
Raio: 80 m
30 nodo s 50 nodos 100 nodos 300 nodos
APRP delta 0 ,2 717 2,07 6775,37 5367,61 4288,5 1
APRP delta 0 ,5 11071,27 12135,87 10210,66 6329,44
Epidêmico 5589,82 4995,22 3977,58 2985,96
PRoPHET 5410,67 4418,60 3078,18 1631,47
Spray and Wait 4385,104 4371,57 5209,64 5231,30
Sobrecarga nos Nodos A Tabela 4.13 apresenta número médio de mensagens recebidas por grupos
de nodos para o padrão de mobilidade Map Ba sed Movement.
Tabela 4.13: Número médio de mensagens recebidas por grupos de nodos.
Raio: 10 m
30 nodos 50 nodos 100 nodos 300 nodos
APRP delta 0 ,2 (autom) 64,05 92,41 125,84 138,08
APRP delta 0 ,2 (pessoas) 37,69 49,47 52,86 28,23
APRP delta 0 ,5 (autom) 55,79 62,27 63,75 56,56
APRP delta 0 ,5 (pessoas) 32,78 33,82 26,38 11,50
Spray and Wait (autom) 99,92 164,5 4 22 9,01 119 ,50
Spray and Wait (pessoas) 81,90 131,46 173,42 75,68
Raio: 30 m
APRP delta 0 ,2 (autom) 288,68 409,78 372,21 164,81
APRP delta 0 ,2 (pessoas) 137,73 157,66 91,45 22,53
APRP delta 0 ,5 (autom) 192,39 214,82 203,39 132,28
APRP delta 0 ,5 (pessoas) 98,10 80,07 50,54 16,79
Spray and Wait (autom) 432,69 572,13 379,32 130,45
Spray and Wait (pessoas) 302,14 350,20 199,80 68,25
Raio: 80 m
APRP delta 0 ,2 (autom) 746,07 658,10 428,88 168,05
APRP delta 0 ,2 (pessoas) 266,53 184,61 88,40 20,26
APRP delta 0 ,5 (autom) 423,78 382,62 306,19 147,46
APRP delta 0 ,5 (pessoas) 149,23 100,70 52,03 16,64
Spray and Wait (autom) 982,67 720,60 373,76 122,02
Spray and Wait (pessoas) 603,61 395,79 212,00 76,64
90
4.5 Considerações Finais
O protocolo APRP, apresentado neste Capítulo, usa como principal métrica para decidir sobre o
repasse das mensagens o potencial de entrega dos nodos, sendo que o potencial modifica seu valor
à medida que muda a conectividade do nodo. Tal protocolo prioriza o repasse a nodos que tenham
uma diferença de potencial, com relação ao seu, que justifique o repasse de uma mensagem. Além
disso, ele realiza o controle do número de cópias das mensagens repassadas na rede.
Através de simulação foi mostrado que o protocolo APRP possui, na maioria dos casos, per-
centuais de mensagens entregues superiores ao s dos protocolos Epidêmico e PRoPHET, mantendo
níveis de entrega compatíveis com o protocolo Spray and Wait, utilizado como base do protocolo
proposto.
Além de aumentar ou manter os níveis de entrega, o APRP gera uma considerável economia
em relação a quantidade de cópias das mensagens. Essa economia ocorre em relação aos três
protocolos utilizados nas simulações, Epidêmico, PRoPHET e Spray and Wait. Essa característica é
muito importante para redes DTN, dada a limitação de recursos que ta nto a rede quanto os nodo s
possuem. Além disso, mostrou-se experimentalmente que o protocolo APRP sobrecarrega o grupo
de nodos que po ssui valores de po tencial de entrega elevados, sendo que essa característica também
ocorre de forma natural no protocolo Spray and Wait. A sobrecarga ocorre principalmente qua ndo
se utiliza um δ em 0,2, usado nos experimentos realizados por apresentar melhores níveis de atraso.
Dessa forma, o protocolo APRP é a dequado para situações que se necessite economia de ar-
mazenamento e simplicidade de implementação, podendo suportar maior atraso na entrega das
mensagens.
A seguir uma extensão ao protocolo APRP é proposta com o intuito de diminuir a sobrecarga
nos nodos, principalmente de maior potencial, e melhorar o percentual de mensagens entregues.
91
5. O Protocolo APRP-ACK
O armazenamento em buffers das mensagens que precisam ser repassadas ocorre tanto em redes
convencionais como em redes DT N. Quando os nodo s de uma rede se tornam sobrecarregados e
não possuem espaço em buffer para armazenar novas mensagens que chegam, políticas de descarte
são usadas para liberar espaço para as novas mensagens. Um mecanismo utilizado para evitar o
descarte é o envio de mensagens de acknowledgment. De acordo com [Lin09], o uso de acknowledg-
ments permite que mensagens já entregues sejam removidas da rede, liberando recursos para outras
mensagens, em um esforço de aumentar a probabilidade de entrega das mesmas. Nesse sentido, na
tentativa de melhorar a eficiência do APRP, foi criado o APRP-Ack, o qual utiliza mensagens de ack-
nowledgment para liberar espaço em buffer dos nodos. O objetivo é fazer com que principalmente
os nodos mais sobrecarregados, de mais alto potencial, evitem o descarte de mensagens importantes,
melhorando, assim, a probabilidade de entrega das mensagens e diminuindo a sobrecarga.
Nos protocolos de roteamento convencionais que utilizam tal mecanismo, cada vez que uma
mensagem é entregue ao destino, uma mensagem de acknowledgment é emitida p ela rede, sendo
repassada por todos os nodos a a origem da mensagem entregue. Nesses protocolos, um caminho
fim-a-fim existe e a mensagem de acknowledgment é transmitida através desse caminho. em
redes DTN, como não um caminho fim-a-fim entre origem e destino, uma estratégia diferente
deve ser empregada. Uma forma seria a utilização do mecanismo de flooding para a transmissão
dessa mensagem. Contudo, esse mecanismo acaba sobrecarregando os recursos da rede. Assim,
para evi tar essa sobrecarga, cada vez que um nodo entrega uma mensagem para seu destino final,
o protocolo adiciona um acknowledgment na sua lista de mensagens. Dessa forma, os nodos não
necessitam criar uma mensagem especial de acknowledgment. Quando dois nodo s se encontram
eles sincronizam suas listas de mensagens e verificam as mensagens confirmadas um do o utro. O
protocolo APRP-Ack utiliza esse mecanismo.
5.1 Algoritmo
A base do alg oritmo do APRP-Ack continua sendo a mesma no APRP. Contudo, para o seu
correto funcionamento é necessário a inclusão do acknowledgment para a s mensagens entregues
ao destino. O APRP-Ack inclui essa informação juntamente com a identificação e o número de
créditos das mensagens mantidas pelo nodo, ou seja, essa informação é incluída no summary vector
do nodo quando a mensagem for criada, no formato < m,C, ST AT US >. O ST AT US indica se
a mensagem foi entregue (ACK) ou se ainda está em buffer (BUF ). Portanto, inicialmente
as mensagens são configuradas com BUF .
O Algoritmo 5.1 apresenta o mecanismo de roteamento usado no APRP-Ack. Como sua base é
igual ao protocolo APRP, estão destacadas (em negrito) no algoritmo as modificações necessárias
para o seu correto funcionamento.
92
Algoritmo 5.1: Mecanismo de roteamento do APRP-Ack.
proc edure nodeMeetingNeighbor()
obtain(n,P
n
,summary_vector_n, time )
updateContactList(contact_list_p,n,P
n
,time,W
p
)
updateListAckedIds(summary_vector_n, summary_vector_o)
if (P
n
> P
maxO
) then
P
maxO
= P
n
end if
calculateP
o
(contact_list_p,P
o
)
if (nodeHasMessage(summary_vector_o)) then
dire c tDelivery(summary_vector_o, n, summary_v ector_n)
if (P
n
>= (P
o
+ δ (P
maxO
P
o
))) th en
sendMessageT oNeighbor(summary_vector_o,n,summary_vector_n)
end if
end if
proc edure dire c tDelivery(summary_vector_o, n, summa ry_v ector_n )
for all m in summary_v ector_o do
if ((destination(m) = n)and(!neighborHasMessage(m,sum m ary_vector_n))) th en
sendDirectMessage(m,n)
removeMessageAndUpdateList(summary_vector_o, m, ACK”)
end if
end for
proc edure sendMessageT oNeighbor(summary_vector_o,n, summ a ry_v ector_n)
for all < m,C > in summary_vector_o do
if ((C > 1)and(!neighborHasM ess age(m,summary_vector_n))) then
sendMessage(n,m, C/2)
C = C/2
updateM sgList(summary_vector_o,m,C)
end if
end for
proc edure calculateP
o
(contact_li s t_p, P
o
) {Calcula o potencial do nodo origem.}
proc edure createNewMessage(m, summa ry_vector_o,C) {Inclui a identific ação da n ova mensagem na lista
de mensagens, co n figura o número de créditos da mensagem, bem como seu ST AT US.}
proc edure neighborHasM e s s age(m,summary_vector_n) {Verifica se a men sagem m está presente no
summary vector do nodo encontrado. Caso esteja retorna true, caso contrário retorna false.}
proc edure nodeHasMessage(summary_vector_o) {Verifica se mensa gens para serem entregues no
summary vector no próprio nodo, retornando true ou false.}
proc edure obtain(n,P
n
,summary_vector_n,time) {Retorna a identificação, o potencial e o summary vector
do nodo encontrado, bem como o tempo do encontro.}
proc edure removeMessageAndUpdateList(summary_vector_o, m, ACK”) {Remo ve do buffer
a mensagem entregue ao destino e altera o ST AT U S dessa mensagem para ACK no summary vector do
próprio nodo.}
proc edure sendMessage(n,m, C) {Repassa mensagem para o nodo.}
proc edure sendDirectMessage(m,n) {Envia mensa gem para o destino.}
proc edure updateContac tList(contact_list_p,n,P
n
,time,W
p
) {Inclui a identificação do nodo encontrado na
lista de contatos e remove contatos antigos de acordo com a janela de tempo.}
proc edure updateListAckedIds(summary_vector_n, summary_vector_o) { Atualiza o summary
vector do próprio nodo com as mensagens confirmadas que estão no su mmary vector do nodo encon t rado, além
de remover do buffer as mensagen s confirmadas que foram atualizada s.}
proc edure updateM sgList(summary_vector_o, m, C) {Atualiza a lista de men sagens d ando o novo crédito
para a mensagem repassada.}
93
Nesse al goritmo foram incluídos dois procedimentos: updateListAckedIds(summary_vector_n,
summary_vector_o) e removeMessageAndUpdateList(summar y_vector_o,m, ACK”).
O updateListAckedIds(summary_vector_n,summary_vector_o) é responsável por fazer a sin-
cronização e remoção das mensagens com o ST AT US ig ual a ACK do buffer do nodo.
o removeMessageAndUpdateList(summar y_vector_o,m,ACK”) é responsável por fazer
a remoção da mensagem entregue ao destino final, bem como a alteração de seu ST AT US no
summary vector do nodo.
5.2 Avaliação Experimental
A avalia ção do APRP-Ack também foi realizada através do simulador ONE, sendo utilizados os
mesmos parâmetros descritos na Seção 4.4. Os experimentos foram conduzidos com 50 00 e 10000
mensagens no mesmo tempo de simulação. Realizou-se experimentos com 10000 mensagens para
verificar o desempenho dos protocolos com uma carga maior de mensagens.
Devido aos resultados comentados na Seção 4.4 sobre o desempenho do APRP, em comparação
com os protocolos Epidêmico, PRoPHET e Spray and Wait, observou-se que ambos APRP e Spray
and Wait apresentam um melhor percentual de mensagens entregues, bem como overhead mais
baixo. Portanto, nesta Seção o APRP-Ack será comparado apenas a esses dois protocolos.
Além disso, apesar de experimentos com os padrões de mobilidade Random Wayp oint, Shortest
Path Map Based Movement e Map Based Movement serem realizados, apenas resultados com
o padrão de mobilidade Map Based Movement serão apresentados, pois os outros não trazem
informações adicionais para o entendimento do comportamento do protocolo proposto.
A seguir estão apresentados os resultados com o conjunto básico de métricas usado para avaliar
o desempenho dos protocolos de roteamento para redes DTN: percentual de mensagens entregues,
overhead e atraso médio na entrega das mensagens. Por outro lado, estão apresentados os resultados
com o conjunto adicional de métricas apresentado na Seção 2.5: ocupação de buffer, buffer overflow,
entregas redundantes e tempo de vida das mensagens. Esse conjunto de métricas adicional fo i
utilizado para compreender o impacto da estratégia de acknowledgment no uso dos buffers, bem
como entender melhor o comportamento do conjunto básico de métricas.
5.2.1 Percentual de Mensagens Entregues
As Figuras 5.1 e 5.2 apresentam o percentual de mensagens entregues para o s experimentos
realizados com 5000 e 10000 mensagens, resp ectivamente. Observa-se que o percentual de mensa-
gens entregues é semelhante em todos os protocolos. A diferença é mais visível quando é realizada
a simulação com 10000 mensagens, como pode ser visto na Figura 5.2b e c. Na Figura 5.2c, o
APRP-Ack supera em média os protocolos APRP e Spray and Wait em 4,49% e 6,07%, respecti-
vamente. Como mais mensagens estão na rede, usando recursos dos nodos, os acknowledgments
ajudarão a liberar espaço em buffer, evitarão que mensagens sejam descartadas por buffer overflow,
94
e aumentarão o percentual de mensagens entregues. Isso pode ser melhor observado na análise
realizada com as métricas adicionais.
Uma característica comum que ocorre nos três protocolos analisados, independente do número
de mensagens enviadas, é o aumento no percentual de mensagens entregues à medida que a rede se
torna mais densa, seja por um maior número de nodo s ou devido a um maior raio de comunicação.
0
20
40
60
80
100
30 60 90 120 150 180 210 240 270 300
APRP-ACK
APRP
Spray and Wait
0
20
40
60
80
100
30 60 90 120 150 180 210 240 270 300
APRP-ACK
APRP
Spray and Wait
0
20
40
60
80
100
30 60 90 120 150 180 210 240 270 300
APRP-ACK
APRP
Spray and Wait
a) Raio 10 m b) Raio 30 m c) Raio 80 m
Figura 5.1: Percentual de mensagens entregues para 5000 mensagens. O eixo vertical representa o
percentual de mensagens entregues e o horizontal representa a quantidade de nodos. A Tabela 5.1
apresenta os valores numéricos dessa fig ura .
0
20
40
60
80
100
30 60 90 120 150 180 210 240 270 300
APRP-ACK
APRP
Spray and Wait
0
20
40
60
80
100
30 60 90 120 150 180 210 240 270 300
APRP-ACK
APRP
Spray and Wait
0
20
40
60
80
100
30 60 90 120 150 180 210 240 270 300
APRP-ACK
APRP
Spray and Wait
a) Raio 10 m b) Raio 30 m c) Raio 80 m
Figura 5.2: Percentual de mensagens entregues para 10000 mensagens. O eixo vertical representa o
percentual de mensagens entregues e o horizontal representa a quantidade de nodos. A Tabela 5.2
apresenta os valores numéricos dessa fig ura .
5.2.2 Overhead
As Figuras 5.3 e 5 .4 apresentam o overhead para 5000 e 1 0000 mensagens, respectivamente,
sendo que o overhead do APRP-Ack é menor do que nos demais.
Observa-se que, com a utilização de acknowledgments, o overhead que já era baixo no APRP se
torna mais baixo ainda no APRP-Ack. Isso ocorre pois aquelas mensagens que foram confirmadas
não são repassadas para outros nodos, reduzindo o número de cópias das mensagens na rede. Como
um exemplo, para os resultados apresentados na Figura 5.4b, o APRP-Ack reduziu o overhead em
média 8 ,43% e 42,56% em comparação ao APRP e Spray and Wait, rep ectivamente.
95
0
1
2
3
4
5
6
30 60 90 120 150 180 210 240 270 300
APRP−ACK
APRP
Spray and Wait
0
1
2
3
4
5
6
30 60 90 120 150 180 210 240 270 300
APRP−ACK
APRP
Spray and Wait
0
1
2
3
4
5
6
30 60 90 120 150 180 210 240 270 300
APRP−ACK
APRP
Spray and Wait
a) Raio 10 m b) Raio 30 m c) Raio 80 m
Figura 5.3: Overhead gerado na rede para 5000 mensagens. O eixo vertical representa o número
de cópias e o horizontal representa a a quantidade de nodos. A Tabela 5.3 apresenta os valores
numéricos dessa figura.
0
1
2
3
4
5
6
7
30 60 90 120 150 180 210 240 270 300
APRP−ACK
APRP
Spray and Wait
0
1
2
3
4
5
6
7
30 60 90 120 150 180 210 240 270 300
APRP−ACK
APRP
Spray and Wait
0
1
2
3
4
5
6
7
8
30 60 90 120 150 180 210 240 270 300
APRP−ACK
APRP
Spray and Wait
a) Raio 10 m b) Raio 30 m c) Raio 80 m
Figura 5.4: Overhead g erado na rede para 10000 mensagens. O eixo vertical representa o número
de cópias e o horizontal representa a a quantidade de nodos. A Tabela 5.4 apresenta os valores
numéricos dessa figura.
5.2.3 Atraso na Entrega das Mensagens
Os valores obtidos em relação ao atraso médio na entrega das mensagens estão apresentados
nas Figuras 5.5 e 5.6 para 5000 e 10000 mensagens, respectivamente.
Observa-se que em geral o APRP-Ack apresenta um maior atraso. Como um exemplo, para os
resultados apresentados na Figura 5.6b, o APRP-Ack gerou um aumento no atraso em média de
8,94% e 45,67%, em comparação aos protocolos APRP e Spray and Wait, respectivamente. Uma
razão provável é o menor número de cópias (overhead) e o mecanismo de acknowledgment, uma
vez que os buffers são menos usados e as mensagens podem ser armazenadas por mais temp o - a
que o destino seja alcançado. Isto está de acordo com o fato do atraso ser computado somente
sobre mensagens entregues. Além disso, o repasse ocorre apenas quando o nodo encontrado possui
um potencial de entrega que justifique o repasse, não ocorrendo para qualquer nodo encontrado.
Quando a rede é muito esparsa, com raio de a lcance de 10 m e poucos nodos, o atraso dos três
protocolos é praticamente o mesmo, como ocorre na Seção 4.4.4. em redes mais densas, com
300 nodos e raio de alcance de 3 0 m e 80 m, o atraso se torna menor que o Spray and Wait e
equivalente ao APRP.
96
0
5000
10000
15000
20000
25000
30000
30 60 90 120 150 180 210 240 270 300
APRP-ACK
APRP
Spray and Wait
0
2000
4000
6000
8000
10000
12000
14000
16000
30 60 90 120 150 180 210 240 270 300
APRP-ACK
APRP
Spray and Wait
0
1000
2000
3000
4000
5000
6000
7000
8000
9000
30 60 90 120 150 180 210 240 270 300
APRP-ACK
APRP
Spray and Wait
a) Raio 10 m b) Raio 30 m c) Raio 80 m
Figura 5.5: Atraso na entrega das mensagens para 5000 mensagens. O eixo vertical representa o
tempo em segundos e o horizontal representa a a quantidade de nodos. A Tabela 5.5 apresenta os
valores numéricos dessa figura.
0
5000
10000
15000
20000
25000
30 60 90 120 150 180 210 240 270 300
APRP-ACK
APRP
Spray and Wait
0
2000
4000
6000
8000
10000
12000
30 60 90 120 150 180 210 240 270 300
APRP-ACK
APRP
Spray and Wait
0
1000
2000
3000
4000
5000
6000
7000
30 60 90 120 150 180 210 240 270 300
APRP-ACK
APRP
Spray and Wait
a) Raio 10 m b) Raio 30 m c) Raio 80 m
Figura 5.6: Atraso na entrega das mensagens para 100 00 mensagens. O eixo v ertical representa o
tempo em segundos e o horizontal representa a a quantidade de nodos. A Tabela 5.6 apresenta os
valores numéricos dessa figura.
5.2.4 Ocupação de Buffer
As Figuras 5.7 e 5.8 apresentam a ocupação média dos buffers dos nodos da rede para 5000 e
10000 mensagens, respectivamente.
Observa-se que, geralmente, os nodos que usam APRP-Ack tem um número de mensagens no
buffer muito semelhante ao APRP. Contudo, quando se analisa o percentual de mensagens entregues,
verifica-se que o APRP-Ack entrega mais do que o APRP. Isso acontece porque o mecanismo de
acknowledgment ajuda a liberar os buffers e permite que mensagens ainda não entregues o utilizem.
0
50
100
150
200
250
30 60 90 120 150 180 210 240 270 300
APRP-ACK
APRP
Spray and Wait
0
50
100
150
200
250
300
350
400
450
500
30 60 90 120 150 180 210 240 270 300
APRP-ACK
APRP
Spray and Wait
0
100
200
300
400
500
600
700
800
30 60 90 120 150 180 210 240 270 300
APRP-ACK
APRP
Spray and Wait
a) Raio 10 m b) Raio 30 m c) Raio 80 m
Figura 5.7: Ocupação de buffer para 5000 mensagens. O eixo vertical representa o número de
mensagens e o horizontal representa a a quantidade de nodos. A Tabela 5.7 apresenta os valores
numéricos dessa figura.
97
0
50
100
150
200
250
300
30 60 90 120 150 180 210 240 270 300
APRP-ACK
APRP
Spray and Wait
0
100
200
300
400
500
600
30 60 90 120 150 180 210 240 270 300
APRP-ACK
APRP
Spray and Wait
0
200
400
600
800
1000
1200
30 60 90 120 150 180 210 240 270 300
APRP-ACK
APRP
Spray and Wait
a) Raio 10 m b) Raio 30 m c) Raio 80 m
Figura 5.8: Ocupação de buffer para 10000 mensagens. O eixo vertical representa o número de
mensagens e o horizontal representa a a quantidade de nodos. A Tabela 5.8 apresenta os valores
numéricos dessa figura.
5.2.5 Mensagens Descartadas Devido a Buffer Overflow
As Figuras 5.9 e 5.10 a presentam a quantidade de mensagens descartadas devido a buffer cheio,
tanto para 500 0 quanto para 10000 mensagens, respectivamente.
O overflow gerado pelo APRP-Ack é menor que o gerado pelo APRP e pelo Spray and Wait.
Essa característica ocorre pela utilização de mensagens de acknowledgment, que libera espaço das
mensagens já entregues e a juda a não sobrecarga do s buffers.
0
20
40
60
80
100
120
140
160
30 60 90 120 150 180 210 240 270 300
APRP-ACK
APRP
Spray and Wait
0
50
100
150
200
250
300
350
30 60 90 120 150 180 210 240 270 300
APRP-ACK
APRP
Spray and Wait
0
100
200
300
400
500
600
700
30 60 90 120 150 180 210 240 270 300
APRP-ACK
APRP
Spray and Wait
a) Raio 10 m b) Raio 30 m c) Raio 80 m
Figura 5.9: Mensagens descartadas devido a buffer overflow para 50 00 mensagens. O eixo vertical
representa o número de mensagens e o horizontal representa a a quantidade de nodo s. A Tabela 5.9
apresenta os valores numéricos dessa fig ura .
0
50
100
150
200
250
300
350
30 60 90 120 150 180 210 240 270 300
APRP-ACK
APRP
Spray and Wait
0
100
200
300
400
500
600
30 60 90 120 150 180 210 240 270 300
APRP-ACK
APRP
Spray and Wait
0
200
400
600
800
1000
1200
30 60 90 120 150 180 210 240 270 300
APRP-ACK
APRP
Spray and Wait
a) Raio 10 m b) Raio 30 m c) Raio 80 m
Figura 5.10: Mensagens descartadas devido a buffer o verflow para 10000 mensagens. O eixo vertical
representa o número de mensagens e o horizontal representa a a quantidade de nodos. A Tabela 5.10
apresenta os valores numéricos dessa fig ura .
98
5.2.6 Entregas Redundantes
De acordo com o que f oi comentado na Seção 2 .5 , essa é uma métrica que mede a redundância
na entrega das mensagens. As Figuras 5.11 e 5.12 apresentam essa redundância para 5000 e 10000
mensagens, respectivamente. Pode-se vi sualizar através das figuras que o APRP-Ack repassa menos
mensagens depois da primeira entrega quando comparado com os protocolos APRP e o Spray and
Wait. Como exemplo, pode-se observar na Figura 5.12b que em média 10% das entregas do APRP-
Ack são redundantes, quando a rede tem 1 00 nodos, enquanto o Spray and Wait tem 20% e o
APRP tem 30 %.
0
0.05
0.1
0.15
0.2
0.25
0.3
0.35
0.4
30 60 90 120 150 180 210 240 270 300
APRP−ACK
APRP
Spray and Wait
0
0.05
0.1
0.15
0.2
0.25
0.3
0.35
0.4
0.45
0.5
30 60 90 120 150 180 210 240 270 300
APRP−ACK
APRP
Spray and Wait
0
0.05
0.1
0.15
0.2
0.25
0.3
0.35
0.4
0.45
0.5
30 60 90 120 150 180 210 240 270 300
APRP−ACK
APRP
Spray and Wait
a) Raio 10 m b) Raio 30 m c) Raio 80 m
Figura 5.11: Entregas redundantes para 5000 mensagens. O eixo vertical representa o número de
cópias das mensagens e o horizontal representa a a quantidade de nodos. A Tabela 5.11 apresenta
os valores numéricos dessa figura.
0
0.05
0.1
0.15
0.2
0.25
0.3
30 60 90 120 150 180 210 240 270 300
APRP−ACK
APRP
Spray and Wait
0
0.05
0.1
0.15
0.2
0.25
0.3
0.35
30 60 90 120 150 180 210 240 270 300
APRP−ACK
APRP
Spray and Wait
0
0.05
0.1
0.15
0.2
0.25
0.3
0.35
0.4
0.45
30 60 90 120 150 180 210 240 270 300
APRP−ACK
APRP
Spray and Wait
a) Raio 10 m b) Raio 30 m c) Raio 80 m
Figura 5.12: Entregas redundantes para 1000 0 mensagens. O eixo vertical representa o número de
cópias das mensagens e o horizontal representa a a quantidade de nodos. A Tabela 5.12 apresenta
os valores numéricos dessa figura.
5.2.7 Tempo de Vida das Mensagens
As Figuras 5.13 e 5.14 apresentam o tempo de vida para 5000 e 10000 mensagens, respectiva-
mente. Os resultados mostram que o tempo de vida das mensagens com o protocolo APRP-Ack é
consideravelmente menor que o temp o registrado pelos protocolos APRP e Spray and Wait. Po de-
se observar uma maior diferença quando a densidade da rede e o tráfego são maiores, como 100 e
300 nodos e para raios de alcance de 30 m e 80 m. Isso é um impacto direto das mensagens de
acknowledgment usadas pelo protocolo APRP-Ack e mostram o seu benefício.
99
0
10000
20000
30000
40000
50000
60000
70000
30 60 90 120 150 180 210 240 270 300
APRP-ACK
APRP
Spray and Wait
0
10000
20000
30000
40000
50000
60000
30 60 90 120 150 180 210 240 270 300
APRP-ACK
APRP
Spray and Wait
0
5000
10000
15000
20000
25000
30000
35000
40000
45000
30 60 90 120 150 180 210 240 270 300
APRP-ACK
APRP
Spray and Wait
a) Raio 10 m b) Raio 30 m c) Raio 80 m
Figura 5.13: Tempo de vida das mensagens para 5000 mensagens. O eixo vertical representa o
tempo em segundos e o horizontal representa a a quantidade de nodos. A Tabela 5.13 apresenta os
valores numéricos dessa figura.
0
5000
10000
15000
20000
25000
30000
35000
40000
45000
30 60 90 120 150 180 210 240 270 300
APRP-ACK
APRP
Spray and Wait
0
5000
10000
15000
20000
25000
30000
35000
40000
30 60 90 120 150 180 210 240 270 300
APRP-ACK
APRP
Spray and Wait
0
5000
10000
15000
20000
25000
30000
35000
30 60 90 120 150 180 210 240 270 300
APRP-ACK
APRP
Spray and Wait
a) Raio 10 m b) Raio 30 m c) Raio 80 m
Figura 5.14: Tempo de vida das mensagens para 10000 mensagens. O eixo vertical representa o
tempo em segundos e o horizontal representa a a quantidade de nodos. A Tabela 5.14 apresenta os
valores numéricos dessa figura.
5.2.8 Tabelas com Valores dos Gráficos
Percentual de Mensagens Entregues As Tabelas 5.1 e 5.2 apresentam os valores numéricos para o
percentual de mensagens entregues para 5000 e 1 000 mensagens, respectivamente.
Tabela 5.1: Valores do percentual de mensagens entregues para 5000 mensagens.
Raio: 10 m
30 nodos 50 nodos 100 nodos 300 nodos
APRP-Ack 21,95 36,48 60,43 92,93
APRP 21,77 35,90 57,75 90,27
Spray and Wait 23,26 41,12 64,19 91,22
Raio: 30 m
30 nodos 50 nodos 100 nodos 300 nodos
APRP-Ack 55,83 80,06 98,77 99,51
APRP 52,65 73,07 94,92 99,51
Spray and Wait 53,68 73,91 94,16 99,97
Raio: 80 m
30 nodos 50 nodos 100 nodos 300 nodos
APRP-Ack 77,67 95,26 99,60 99,64
APRP 71,22 88,46 98,64 99,64
Spray and Wait 69,72 86,42 98,82 99,99
100
Tabela 5.2: Valores do percentual de mensagens entregues para 10000 mensagens.
Raio: 10 m
30 nodos 50 nodos 100 nodos 300 nodos
APRP-Ack 12,77 23,02 41,67 81,41
APRP 12,74 22,68 40,30 75,43
Spray and Wait 13,29 25,10 46,09 74,87
Raio: 30 m
30 nodos 50 nodos 100 nodos 300 nodos
APRP-Ack 34,27 53,41 85,80 99,99
APRP 33,18 49,24 76,18 99,00
Spray and Wait 33,47 49,83 73,63 99,16
Raio: 80 m
30 nodos 50 nodos 100 nodos 300 nodos
APRP-Ack 50,79 71,58 96,89 100,00
APRP 47,85 65,25 88,25 99,93
Spray and Wait 46,02 61,98 87,04 99,92
Overhead As Tabelas 5.3 e 5.4 apresentam os valores numéricos para o overhead gerado na rede
para 5000 e 1000 mensagens, respectivamente.
Tabela 5.3: Overhead gerado na rede para 500 0 mensagens.
Raio: 10 m
30 nodos 50 nodos 100 nodos 300 nodos
APRP-Ack 0,38 0,95 1,98 4,37
APRP 0 ,41 1,00 2,14 4,75
Spray and Wait 1,35 2,5 9 5,27 5,42
Raio: 30 m
30 nodos 50 nodos 100 nodos 300 nodos
APRP-Ack 1,28 2,57 3,71 4,66
APRP 1 ,41 2,93 4,12 4,79
Spray and Wait 3,09 5,2 2 5,15 4,96
Raio: 80 m
30 nodos 50 nodos 100 nodos 300 nodos
APRP-Ack 2,90 3,43 4,20 4,67
APRP 3 ,28 3,94 4,49 4,78
Spray and Wait 5,82 5,4 5 4,92 4,95
101
Tabela 5.4: Overhead gerado na rede para 100 00 mensagens.
Raio: 10 m
30 nodos 50 nodos 100 nodos 300 nodos
APRP-Ack 0,34 0,83 1,61 3,98
APRP 0 ,35 0,87 1,72 4,46
Spray and Wait 1,11 2,1 9 4,61 6,59
Raio: 30 m
30 nodos 50 nodos 100 nodos 300 nodos
APRP-Ack 1,05 2,21 3,31 4,58
APRP 1 ,10 2,47 3,86 4,78
Spray and Wait 2,56 4,7 7 6,51 5,00
Raio: 80 m
30 nodos 50 nodos 100 nodos 300 nodos
APRP-Ack 2,93 3,61 4,14 4,64
APRP 3 ,18 4,08 4,77 4,76
Spray and Wait 6,51 7,2 9 5,60 4,96
Atraso na Entrega das Mensagens As Tabelas 5.5 e 5.6 apresentam os valores numéricos para o
atraso na entrega das mensagens para 5000 e 1000 mensagens, respectivamente.
Tabela 5.5: Atraso na entrega das mensagens para 5000 mensagens.
Raio: 10 m
30 nodos 50 nodos 100 nodos 300 nodos
APRP-Ack 18224,24 24035,80 28882,78 23076,55
APRP 18049,33 23171,72 26840 ,71 21874,91
Spray and Wait 18905,78 22637,64 18625,91 17153,60
Raio: 30 m
30 nodos 50 nodos 100 nodos 300 nodos
APRP-Ack 15251,17 13787,35 9864,25 6273,39
APRP 13739,56 12009,96 9427,79 6263,52
Spray and Wait 10927,17 7765,53 6593,73 7016,94
Raio: 80 m
30 nodos 50 nodos 100 nodos 300 nodos
APRP-Ack 7991,94 7637,38 5380,02 4292,35
APRP 7172,07 6775,37 5367,61 4288,51
Spray and Wait 4385,104 4371,57 5209,64 5231,30
102
Tabela 5.6: Atraso na entrega das mensagens para 10000 mensagens.
Raio: 10 m
30 nodos 50 nodos 100 nodos 300 nodos
APRP-Ack 11832,33 15848,47 21173,57 23016,37
APRP 11805,87 15454,31 20001 ,24 20324,07
Spray and Wait 12557,23 16178,12 16444,06 11421,08
Raio: 30 m
30 nodos 50 nodos 100 nodos 300 nodos
APRP-Ack 10298,90 10773,79 10467,38 6479,34
APRP 9722,25 9536,42 8919,06 6511,92
Spray and Wait 8213,47 7382,18 4816,54 6890,32
Raio: 80 m
30 nodos 50 nodos 100 nodos 300 nodos
APRP-Ack 5612,24 6225,86 6004 ,91 43 32,40
APRP 5223,46 5566,07 4932,66 4367,27
Spray and Wait 3492,41 3047,96 3761,48 5291,62
Ocupação de Buffer As Tabelas 5.7 e 5.8 apresentam os valores numéricos para a ocupação de
buffer para 5000 e 1000 mensagens, respectivamente.
Tabela 5.7: Ocupação de buffer para 5000 mensagens.
Raio: 10 m
30 nodos 50 nodos 100 nodos 300 nodos
APRP-Ack 50,64 71,12 89,87 83,12
APRP 51,25 71,80 90,00 86,50
Spray and Wait 9 1,06 147,79 201,33 97 ,66
Raio: 30 m
30 nodos 50 nodos 100 nodos 300 nodos
APRP-Ack 212,01 285,50 232,43 30,49
APRP 211,95 285,71 242,65 96,01
Spray and Wait 366,81 460,36 289,55 99,36
Raio: 80 m
30 nodos 50 nodos 100 nodos 300 nodos
APRP-Ack 505,21 421,95 258,94 94,14
APRP 509,76 436,08 270,53 95,99
Spray and Wait 792,24 558,08 292,95 99,29
103
Tabela 5.8: Ocupação de buffer para 10000 mensagens.
Raio: 10 m
30 nodos 50 nodos 100 nodos 300 nodos
APRP-Ack 60,67 85,32 106,35 135,11
APRP 60,80 84,84 107,22 136,90
Spray and Wait 9 1,77 156,14 259,08 1 89,31
Raio: 30 m
30 nodos 50 nodos 100 nodos 300 nodos
APRP-Ack 235,47 346,90 376,28 186 ,28
APRP 233,60 345,12 375,80 190,41
Spray and Wait 398,40 564,50 552,52 198,18
Raio: 80 m
30 nodos 50 nodos 100 nodos 300 nodos
APRP-Ack 645,03 670,64 493,90 188 ,66
APRP 645,17 674,46 505,01 192,16
Spray and Wait 1138,83 1026,38 574,11 198,47
Mensagens Descartadas devido a Buffer Ov erflow As Tabelas 5.9 e 5.10 apresentam os valores
numéricos para as mensagens descartadas devido a buffer overflow para 5000 e 1000 mensagens,
respectivamente.
Tabela 5.9: Mensagens descartadas devido a buffer overflow para 5000 mensagens.
Raio: 10 m
30 nodos 50 nodos 100 nodos 300 nodos
APRP-Ack 122,01 62,70 22,39 1,49
APRP 126,22 70,76 36,2 2 13,48
Spray and Wait 153,67 121,73 126,72 25,06
Raio: 30 m
30 nodos 50 nodos 100 nodos 300 nodos
APRP-Ack 113,97 64,13 4,50 0,67
APRP 149,92 155,80 91,10 1,70
Spray and Wait 293,30 327,78 135,78 9,28
Raio: 80 m
30 nodos 50 nodos 100 nodos 300 nodos
APRP-Ack 198,05 54,74 0,70 0,00
APRP 334,14 224,26 73,39 0,29
Spray and Wait 606,02 341,25 96,28 8,62
104
Tabela 5.10: Mensagens descartadas devido a buffer o verflow para 10000 mensagens.
Raio: 10 m
30 nodos 50 nodos 100 nodos 300 nodos
APRP-Ack 284,09 160,68 72,84 23,33
APRP 288,39 169,65 90,10 58,35
Spray and Wait 314,51 223,89 208,82 108,36
Raio: 30 m
30 nodos 50 nodos 100 nodos 300 nodos
APRP-Ack 281,04 198,30 83,34 0,15
APRP 307,56 278,09 228,11 51,96
Spray and Wait 464,42 511,28 409,35 56,18
Raio: 80 m
30 nodos 50 nodos 100 nodos 300 nodos
APRP-Ack 491,24 313,22 71,02 0,01
APRP 598,19 494,45 294,27 26,70
Spray and Wait 1083,10 849,84 346,46 40,56
Entregas Redundantes As Tabelas 5.11 e 5.12 apresentam os valores numéricos para as mensagens
que foram entregues de forma redundante para 5000 e 1000 mensagens, respectivamente.
Tabela 5.11: Entregas redundantes para 5000 mensagens.
Raio: 10 m
30 nodos 50 nodos 100 nodos 300 nodos
APRP-Ack 0,00 0,01 0,02 0,05
APRP 0 ,00 0,02 0,11 0,36
Spray and Wait 0,01 0,0 8 0,27 0,06
Raio: 30 m
30 nodos 50 nodos 100 nodos 300 nodos
APRP-Ack 0,02 0,08 0,13 0,10
APRP 0 ,07 0,26 0,48 0,24
Spray and Wait 0,15 0,3 3 0,16 0,05
Raio: 80 m
30 nodos 50 nodos 100 nodos 300 nodos
APRP-Ack 0,10 0,16 0,16 0,10
APRP 0 ,28 0,47 0,42 0,22
Spray and Wait 0,34 0,2 8 0,13 0,04
105
Tabela 5.12: Entregas redundantes para 1000 0 mensagens.
Raio: 10 m
30 nodos 50 nodos 100 nodos 300 nodos
APRP-Ack 0,00 0,00 0,01 0,04
APRP 0 ,00 0,01 0,04 0,27
Spray and Wait 0,00 0,0 2 0,16 0,07
Raio: 30 m
30 nodos 50 nodos 100 nodos 300 nodos
APRP-Ack 0,01 0,04 0,09 0,10
APRP 0 ,02 0,10 0,31 0,27
Spray and Wait 0,05 0,1 7 0,18 0,05
Raio: 80 m
30 nodos 50 nodos 100 nodos 300 nodos
APRP-Ack 0,05 0,09 0,15 0,10
APRP 0 ,12 0,25 0,40 0,22
Spray and Wait 0,18 0,2 4 0,13 0,04
Tempo de Vida das Mensagens As Tabelas 5.13 e 5.14 apresentam os valores do tempo de vida
das mensagens para 5000 e 1000 mensagens, respectivamente.
Tabela 5.13: Tempo de vida das mensagens para 5000 mensagens.
Raio: 10 m
30 nodos 50 nodos 100 nodos 300 nodos
APRP-Ack 21614,36 30746,04 35788,81 24178,70
APRP 21779,90 31742,67 43266 ,19 58757,89
Spray and Wait 21470,12 29652,47 36180,19 55932,97
Raio: 30 m
30 nodos 50 nodos 100 nodos 300 nodos
APRP-Ack 17370,73 16996,67 11785,11 7292,27
APRP 17954,09 21838,23 31349 ,42 49224,14
Spray and Wait 15861,42 16491,45 23783,33 52357,51
Raio: 80 m
30 nodos 50 nodos 100 nodos 300 nodos
APRP-Ack 10865,00 10145,74 6902,89 5078,32
APRP 13167,17 18092,73 29095 ,96 39996,45
Spray and Wait 9852,22 127 62,45 246 96,79 43822,21
106
Tabela 5.14: Tempo de vida das mensagens para 10000 mensagens.
Raio: 10 m
30 nodos 50 nodos 100 nodos 300 nodos
APRP-Ack 11710,21 17964,36 26957,68 27923,70
APRP 11745,83 18098,99 28466 ,25 43658,84
Spray and Wait 11707,98 17878,11 25318,29 32316,18
Raio: 30 m
30 nodos 50 nodos 100 nodos 300 nodos
APRP-Ack 10824,16 12914,40 13439,71 7521,80
APRP 10716,47 13511,26 18941 ,30 37487,10
Spray and Wait 9801,75 116 33,69 121 23,70 35015,30
Raio: 80 m
30 nodos 50 nodos 100 nodos 300 nodos
APRP-Ack 7536,18 8918,09 7951 ,23 51 12,67
APRP 8035,64 10636,05 165 11,95 34193,50
Spray and Wait 6300,53 7127,85 12026,24 32865,12
5.3 Considerações Finais
Neste Capítulo o protocolo APRP-Ack foi apresentado. Tal protocolo é uma extensão do pro-
tocolo APRP e usa mensagens de acknowledgment com o intuito de liberar espaço em buffer de
mensagens entregues, principalmente dos nodo s de alto po tencial, para aumentar os níveis de
entrega.
De a cordo com resultados de simulação, observa-se que o APRP-Ack, na maioria das configu-
rações, possui um maior percentual de mensagens entregues se comparado aos protocolos APRP
e Spray and Wait, e gera uma menor carga de cópias das mensagens na rede. Dessa forma, ele
se mostra com desempenho superior ao APRP e Spray and Wait nesses quesitos, principalmente
quando um maior número de mensagens está presente na rede.
Contudo, o atraso médio na entrega das mensagens é mais elevado , que o repasse não acontece
imediatamente no próximo encontro com outro nodo, mas depende também do nodo encontrado
ter um potencial de entrega que justifique o repasse. Além disso, o mecanismo de acknowledgment
faz com que as mensagens não sejam descartadas por buffer overflow, permanecendo mais tempo
em buffer até que possam ser entregues.
A seguir é definida um variação para o APRP-Ack, com o intuito de reduzir o a traso médio na
entrega das mensagens, sem prejudicar o percentual de mensagens entregues.
107
6. O Protocolo APRP-G roup
Dada a avaliação dos protocolo s APRP e APRP- Ack, em especial o elevado atraso gerado por
esses protocolos (conforme Capítulos 4 e 5), foi criado o APRP-Group. O objetivo deste protocolo
é diminuir o atraso médio na entrega, sem prejudicar a ta xa de entrega das mensagens. Para tanto,
o APRP- Gro up se utiliza de uma característica observada a partir dos potencias de entrega dos
nodos. Observou-se que os valores de potenciais de entrega tendem a estar agrupados, dependendo
do padrão de movimentação dos nodos. Dessa forma, o APRP-Group agrupa esses va lores, sendo
que o repasse das mensagens ocorre considerando os po tenciais dos grupos, ao invés de considerar o
potencial individual do nodo. Além disso, com o objetivo de aumentar a disseminação de mensagens
na rede, foi definido um novo mecanismo para administração de cópias de uma mensagem.
6.1 Caracterização e Agrupamento de Potenciais
O conceito de grup os de potenciais é baseado na observação de que, em muitas situações, os
nodos da rede podem ser agrupados de acordo com o seu potencial de entrega. Conforme discutido
na Seção 4.1, observou-se que grupo s de nodos com padrão de mobilidade semelhante tendem a
valores de potenciais médios aproximados. Os nodos que têm maior mobilidade possuem, em geral,
um valor de potencial mais elevado, pois seu contato com outros nodos é maior. os nodos que
se movimentam menos possuem esse valor reduzido. A distribuição de potenciais para dois tipos de
nodos pode ser visualizada na Figura 6.1.
0
5
10
15
20
25
30
0 5 10 15 20 25 30 35
Número de Nodos
Potencial de Entrega
0
2
4
6
8
10
0 10 20 30 40 50 60 70 80
Número de Nodos
Potencial de Entrega
a) b)
Figura 6.1: Distribuição de potenciais para dois tipos de nodos. a) Resultado da simulação com
intervalo de velocidades aproximado. b) Resultado da simulação com maior diferença no intervalo
de v elocidades.
A Figura 6 .1a apresenta os resultados de potencial para dois tipos de nodos quando seus intervalos
de velocidade são aproximados. Nesse caso, um tipo v aria a velocidade entre [0.5, 1.0] m/s, enquanto
o outro varia entre [2.0, 5.0] m/ s. a Figura 6.1b apresenta os potenciais quando uma maior
diferença no intervalo das velocidades, com intervalos entre [0.5, 1.0] m/s e [20.0, 22.0] m/s.
108
Observa-se que quanto maior é a diferença entre os intervalos de velocidades dos tipos de nodos,
melhor é o reconhecimento de grupos.
A identificação de grupos é um processo distribuído, que deve rodar em cada nodo da rede.
A cada encontro, os nodos trocam seus valores de potenciais, colecionando amostras de <nodo,
potencial>. Com o tempo, um nodo coleciona valores de potenciais de o utros nodos (chamada
de lista de contatos) e com, essa coleção, os grupos podem ser identificados. A identificação de
grupos pode utilizar técnicas estatísticas, reconhecimento de padrões e mineração de dados [Ber02].
Muitas dessas técnicas são utilizadas para se agrupar uma quantidade bastante grande de dados,
como milhões de dados [Xu05]. Esse não é o caso dos dados de pot enciais coletados pelos nodos,
então o protocolo proposto utiliza uma abordagem com programação dinâmica, adaptada de [Oli08]
e [Ski97]. Tal abordagem minimiza tanto os desvios padrão de cada grupo como a diferença entre
esses desvios. Para tanto, são analisadas as divisões em todos os pontos de corte possíveis para k
grupos, como descrito abaixo.
Assume-se um conjunto de valores de potenciais e um valor inteiro k de número de grupos a
serem formados. Para otimizar o processo, o s va lores dos desvios calculados vão sendo armazenados
em uma matriz M, de forma que esses valores não precisem ser calculados novamente. Cada
elemento M
n,k
representa o menor valor de um conjunto. Cada elemento desse conjunto é o maior
desvio padrão de um grupo para uma dada divisão de n valores em k grupos. Esse conjunto cobre
todos os possíveis divisores de n valores em k grupos.
O a lgoritmo utilizado para essa função está descrito a seguir (Algoritmo 6.1). Ta l algoritmo
utiliza as seguintes estruturas e variáveis:
frequency_list: armazena a distribuição de frequência dos potenciais que estão na lista de
contato do nodo;
k: número de grupos a serem divididos;
M: matriz auxiliar que armazena os desvios padrão para um determinado valor de k;
break_list: matriz que armazena as posições de corte para um determinado k, bem como
para valores de k inferiores.
Para que ocorra o processo de divisão em grupos, deve-se calcular a distribuição de frequência
dos valores de potencial armazenados na lista de contato do nodo. Tal distribuição de frequência
(frequency_list) é passada como parâmetro para o procedimento cluster(frequency_list,k,break_
list), assim como o número k de grupos que deseja-se dividir. O procedimento retorna a ma triz
break_list com as posições ótimas de corte para k grupos.
Inicialmente, tal procedimento inicializa a primeira linha e coluna da matriz M. A primeira
coluna recebe os valores dos desvios padrão supondo -se que haj a somente um grupo, ou seja, k = 1.
O procedimento deviation(begin,end,frequency_list), é utilizado para calcular o desvio padrão
para os valores de potencial que estão na frequency_list, a partir de uma posição inicial (begin)
109
Algoritmo 6.1: Algoritmo utilizado no agrupamento dos potenciais, baseado em [Ski97].
proc edure cluster(frequency_list,k,break_list)
for i = 1 to n do
M[i][1] = deviation(1,i,frequen c y_list)
end for
for i = 1 to k do
M[1][i] = 0
end for
for i = 2 to n do
for j = 2 to k do
M[i][j] =
for x = 1 to (i 1) do
s = max(M[x][j 1],deviation((x + 1),i, f requency_list))
if (M[i][j] > s) then
M[i][j] = s
break_list[i][j] = x
end if
end for
end for
end for
até uma posição final (end). na primeira linha supõe-se que haja somente um valor de potencial
na frequency_list, então o valor zero é armazenado em cada posição.
O restante do algoritmo preenche a matriz M com os valores dos desvios padrão que vão sendo
calculados para cada partição, sendo que o valor da partição anterior é analisado no preenchimento
das posições. Além disso, para cada partição, a posição ótima de corte é armazenada na break_list.
Como um exemplo, dada a amostra com uma distribuição hipotética de potenciais apresentada
na Figura 6.2, ao executar o procedimento cluster(frequency_list,k,break_list) com k = 5, a
break_list apresentada na Tabela 6.1 será retornada.
k=1
k=2
k=3
k=4
k=5
Número
de Nodos
4
2
1
3
1 2 3 4 5 6 7 8 9 10 11 12 13 14 15 16 17 18
Potencial
Figura 6.2: Distribuição hipotética de potenciais.
A partir de um processo de “trás para frente” na break_list, obtém-se o s valores de corte para
o k especificado. Para tanto, obtém-se, primeiramente, a posição do último corte (o mais à direita).
Este valor é obtido a partir da última posição da break_list, ou seja, break_list[18, 5], cujo valor
é 14. A seguir, obtém-se o valor que está na posição break_list[14, 4], ou seja, o valor do corte
também indica a linha onde está o corte anterior (k - 1). A partir da posição break_list[14,4]
110
Tabela 6.1: Exemplo de break_list para k igual a 5.
n k
1 2 3 4 5
1 0 0 0 0 0
2 0 1 1 1 1
3 0 1 2 2 2
4 0 2 2 3 3
5 0 2 3 4 4
6 0 3 4 4 5
7 0 3 5 5 5
8 0 4 6 6 6
9 0 5 6 7 7
10 0 6 7 7 8
11 0 6 7 8 8
12 0 6 8 9 9
13 0 7 8 10 11
14 0 7 10 11 12
15 0 8 11 12 12
16 0 9 11 12 13
17 0 9 12 12 13
18 0 9 12 13 14
obtém-se a posição de corte 11. Na posição break_l ist[11,3], o btém-se o valor 7, indicando outra
posição de corte. Por fim, na posição break_list[7,2] está armazenado o v alor 3, que indica a
posição do primeiro corte. Dessa forma, as posições de corte para cinco grupos na distribuição de
potenciais da Figura 6.2 são: 3, 7, 11 e 14.
Além das posições de corte para o k = 5, a Tabela 6.1 também armazena as posições de corte
para um número menor de grupos. Para uma divisão em três grupos, por exemplo, tem-se as
seguintes posições de cortes obtidos a partir da break_l ist da Tabela 6.1: 6 e 12. Mais detalhes
sobre o algoritmo podem ser encontrados em [Oli08] e [Ski97].
A partir da break_list obtém-se as posições de corte considerando-se divisões de 1 a k grupos.
Para o algoritmo utilizado no APRP-Group é passado um valor máximo de k que corresponde à
metade dos valores de potenciais que o nodo armazena, de forma que grupos pequenos, com menos
de dois valores de potenciais, não sejam formados.
A escolha do melhor número de grupos é realizada da seguinte forma: realiza-se o somatório
dos desvios padrão de cada grupo, para k 1, k e k + 1. Divide-se a soma dos desvios padrã o dos
k 1 grupos pela soma dos desvios padrão dos k grupos, bem como a soma dos desvios padrão
dos k grupos pela soma dos desvios padrão dos k + 1 grupos. Enquanto o resultado da segunda
divisão f or maior que a primeira, continua-se o processo, passando para k + 1. Isso significa que a
diminuição dos desvios padrão dos grupos é significativa a cada passo. O processo termina quando,
em um dado passo, o resultado da segunda divisão for menor que a primeira, indicando uma perda
na diminuição do s desvios padrão dos grupos, naquele passo. Observa-se que esse mecanismo o
escolhe a divisão em apenas um grupo, pois deseja-se que no mínimo dois grupos sejam formados.
Dada a amostra com a distribuição hipotética de potenciais apresentada na Figura 6.2, observa-
se que os dados separam-se naturalmente em 3 grupos, ou seja, o k ideal deveria ser 3. O cálculo
111
usado na escolha de k está apresentado na Figura 6 .3. A tabela à esquerda apresenta os valores
dos desvios padrã o da distribuição hipotética para a separação em até cinco grupos, bem como o
valor calculado como critério de parada. à direita da mesma figura está apresentado o gráfico
com esses últimos valores, onde seleciona-se o valor mais alto. Nesse caso, a escolha seria o valor
correspondente ao k = 3, indicando uma divisão em três grupos.
k=1 σ
1
= 5.28
k=2 σ
2a
= 2.30
σ
1
σ
2a
+σ
2b
= 1.041
σ
2b
= 2.77
k=3 σ
3a
= 1.47
σ
2a
+σ
2b
σ
3a
+σ
3b
+σ
3c
= 1.156
σ
3b
= 1.49
σ
3c
= 1.42
k=4 σ
4a
= 1.05
σ
3a
+σ
3b
+σ
3c
σ
4a
+σ
4b
+σ
4c
+σ
4d
= 0.934
σ
4b
= 1.15
σ
4c
= 1.33
σ
4d
= 1.15
k=5 σ
5a
= 0.81
σ
4a
+σ
4b
+σ
4c
+σ
4d
σ
5a
+σ
5b
+σ
5c
+σ
5d
+σ
5e
= 0.962
σ
5b
= 1.05
σ
5c
= 1.03
σ
5d
= 1.00
σ
5e
= 0.97
0.9
0.95
1
1.05
1.1
1.15
1.2
2 3 4 5
k
Figura 6.3: Valores dos desvios padrão se for efetuada a divi são em k = 1,2, 3,4 e 5 grupos.
6.2 Roteamento no APRP-Group
Conforme indicado nas Seções 4.4 e 5.2 , os protocolos APRP e APRP-Ack geram um atraso
médio na entrega das mensagens superior a outros protocolos referenciados na literatura. duas
hipóteses para esse atraso ocorrer:
i. em qualquer nodo, as mensagens ficam retidas até que se encontre um nodo com dif erença
de potencial, com relação ao seu, que justifique o repasse de uma mensagem;
ii. em decorrência de (i), à medida que o potencial cresce, decresce a probabilidade de um nodo
encontrar outro nodo com a diferença de potencial desejável, aumentando o atraso.
Para contornar a primeira hipótese, sugere-se realizar uma divisão nos créditos das mensagens,
ou seja, dedicar parte dos créditos para repasse com baixo atraso, independente do potencial, e outra
parte segundo a estratégia do potencial. para contornar a segunda hipótese, sugere-se utilizar a
técnica de repasse baseada em grupos.
Grupos de Potenciais Na estratégia baseada em grupos, ao invés do repasse ser feito considerando o
valor de potencial individual de cada nodo, como ocorre no APRP e APRP-Ack, o valor de po tencial
do grupo é utilizado. O repasse de uma mensagem ocorre quando ela sair do grupo atual e atingir
algum grupo de po tencial superior. Para nodos do grupo de maior potencial, é p ermitida a troca
de mensagens dentro do mesmo grupo, já que segundo a percepção do nodo não existe um grupo
112
superior para repassar a mensagem. Essa estratégia evita que as mensagens fiquem retidas durante
muito tempo em nodo s com alto potencial de entrega. Os resultados obtidos com a utilização dessa
estratégia estão apresentados na Seção 6.4, com a identificação APRP- Gro up1.
Créditos das Mensagens Os créditos das mensagens são divididos em tipos diferentes para a lcançar
uma maior redução no atraso médio na entrega das mesmas, sem que haja redução no percentual de
mensagens entregues. Quando uma mensagem é criada, um número C de créditos é configurado , o
qual é dividido em do is tipo s - CP (créditos de potencial) e CA (créditos de atraso). Os créditos de
entrega são configurados com C/2 e os de atraso são configurados com C/2 + 1. Os créditos
de atraso possuem um crédito a mais porque, ao se repassar uma mensagem, os dois tipos de crédito
devem ter valores maiores que 1, caso contrário somente poderá ser feita a entrega direta. Dessa
forma, garante-se que o número C de créditos foi repassado.
Ao repassar uma mensagem, C/2 dos créditos ficam com o nodo que a recebe e C/2 ficam
com o nodo que está transmitindo a mensagem, semelhante ao APRP e APRP-Ack. Contudo, o
tipo do crédito é transmitido juntamente com a mensagem e somente os créditos do tipo repassado
serão decrementados. Os créditos do outro tipo poderão ser utilizados somente para o repasse direto
ao nodo destino da mensagem.
6.3 Algoritmo
A estratégia de roteamento definida pelo APRP-Group se utiliza dos dois mecanismos descritos
anteriormente. O Algoritmo 6.2 apresenta essa estratégia.
Assim como o APRP e APRP-Ack, alguns parâmetros precisam ser configurado s, sendo eles:
C: número de créditos que uma mensagem possui;
W
p
: tamanho da janela de tempo usada na atualização da lista de contatos que informa quem
são os vizinhos do próprio nodo (contact_list_p) ;
W
g
: tamanho da janela de tempo usada na atualização da lista de contatos para ag rupamento
(contact_list_g).
O nodo que origina uma mensagem ou que possui mensagens a serem repassadas possui as
seguintes estruturas e variáveis:
o: identificação do próprio nodo;
P
o
: potencial de entrega do próprio nodo;
P
go
: potencial de grupo do próprio nodo;
n: identificação do nodo encontrado. Essa informação é obtida do nodo encontrado no
momento do contato entre o s nodos;
113
P
n
: potencial de entrega do nodo encontrado. Essa informação é obtida do nodo encontrado
no momento do contato entre os nodos;
P
gn
: potencial de grupo do nodo encontrado;
P : potencial de entrega de um nodo;
P
g
: potencial de grupo de um nodo;
k: número ideal de grupos;
break_list: matriz com as posições de corte dos grupos;
time: tempo em que houv e o contato com o nodo encontrado;
contact_list_g: lista de contatos para agrupamento, no formato < n,P
n
,time >. Essa lista
é utilizada na identificação dos grupos de potenciais e armazena os v izinhos do próprio nodo e
os vizinhos que são obtidos de outros nodos. Cada entrada na lista fica válida por um tempo,
até que a janela de tempo (W
g
) expire;
contact_list_p: lista de contatos que informa quem são os vizinhos do próprio nodo, no
formato < n,P
n
,time >. Essa lista é utilizada no cálculo do potencial de entrega dos nodos.
Cada entrada na lista fica válida por um tempo, até que a janela de temp o (W
p
) expire;
contact_list_n: lista de contatos do nodo encontrado, no formato < n,P
n
,time >;
m: identificação da mensagem a ser repassada ou entregue ao destino final. Todas as mensa-
gens possuem uma identificação, necessária para diferenciar mensagens antigas de mensagens
novas, mensagens duplicadas e mensagens que devem ser retiradas do buffer;
summary_vector_o: lista com a identificação das mensagens e o número de créditos que
estão sendo armazenadas pelo próprio nodo, no formato < m,C >;
summary_vector_n: lista com a identificação das mensagens que estão sendo armazenadas
pelo nodo encontrado;
CP : créditos de entrega;
CA: créditos de atraso;
ST AT US: indica se a mensagem foi entregue (ACK) ou se ainda está em buffer (BUF );
type: tipo de crédito.
114
Algoritmo 6.2: Mecanismo de roteamento do APRP-Group.
proc edure nodeMeetingNeighbor()
obtain(n,P
n
,summary_vector_n, contact_list_n,time)
updateContactList(contact_list_p,contact_list_g,contact_lis t_n,n,P
n
,time,W
p
,W
g
)
updateListAckedIds(summary_vector_n,summary_vector_o)
clusterKGroups(contact_list_g,k,break_list)
computeP
o
(contact_li s t_p, P
o
)
computeGroup(P
o
,P
go
,k,b reak_list)
if (nodeHasMessage(summary_vector_o)) then
dire c tDelivery(summary_vector_o, n, summary_v ector_n)
computeGroup(P
n
,P
gn
,k,b reak_list)
if ((P
gn
> P
go
)||((P
gn
== P
go
)&&(isGreater Group(P
go
,k)))) then
for all < m,CP,CA > in summary_vector _o do
if ((CP > 1)and(!neighborHasM essage(m,summary_vector_n))) then
sendMessageT oNeighbor(summary_vector_o,n,m,CP,CP ”)
else
if (CA > 1) then
sendMessageT oNeighbor(summary_vector_o,n,m,CA,CA”)
end if
end if
end for
else
for all < m,CP,CA > in summary_vector _o do
if ((CA > 1)and(!neighborHasM essage(m,summary_vector_n))) th en
sendMessageT oNeighbor(summary_vector_o,n,m,CA,CA”)
end if
end for
end if
end if
proc edure dire c tDelivery(summary_vector_o, n, summa ry_v ector_n )
for all m in summary_v ector_o do
if ((destination(m) = n)and(!neighborHasMessage(m,sum m ary_vector_n))) th en
sendDirectMessage(m,n)
removeMessageAndUp dateList(summary_vector_o,m,ACK”)
end if
end for
proc edure sendMessageT oNeighbor(summary_vector_o,n, m, Cx, type)
sendMessage(n,m, Cx/2,type)
updateM sgList(summary_vector_o,m,Cx/2)
proc edure receiveM ess a ge(m,C,type)
makeRoomF orNewM essage(m)
if (type = CP ”) then
storeInBuf f er(summary_vector_o,m,C,1,BUF ”)
else
if (type = CA”) then
storeInBuf f er(summary_vector_o,m,1,C,BUF ”)
end if
end if
115
Algoritmo 6.3: Mecanismo de roteamento do APRP-Group - descrição dos procedimentos.
proc edure computeGroup(P,P
g
,k,b reak_list) {Calcula o potencial d o grupo do nodo passado por parâmetro.}
proc edure computeP
o
(contact_list_p,P
o
) {Calcula o potenci al do nodo origem.}
proc edure clusterKGroups(contact_list_g,k,break_list) {Gera a distribuição de frequência dos potenci ais,
chama o procedimento descrito no Alg oritmo 6.1 e retorna o número d e grupos ideal e a lista com as posições
das divisões dos grupos.}
proc edure createNewMessage(m, summa ry_vector_o,C) {Inclui a identific ação de nova mensagem na lista
de mensagens, co n figura os tipos de créditos da mensagem (CP = C/2 e CA = C/2 + 1), bem como seu
ST AT US.}
proc edure isGreaterGroup(P
go
,k) {Verifica se poten c ial do grupo pertence ao maior grupo encontrado.}
proc edure neighborHasM e s s age(m,summary_vector_n) {Verifica se a men sagem m está presente no
summary vector do nodo encontrado. Caso esteja retorna true, caso contrário retorna false.}
proc edure nodeHasMessage(summary_vector_o) {Verifica se mensa gens na lista, retornando true ou
false.}
proc edure obtain(n,P
n
,summary_vector_n,contact_list_n,time) {Retorna a identificação, o potencial e o
summary vector do nodo encontrado, bem como o te mpo do encontro.}
proc edure re m oveMessageAndUpdateList(summary_vector_o,m,ACK”) {Remove do buffer a mensage m
entregue ao destino e altera o ST AT US dessa mensagem para ACK no s u mm ary vector do próprio nodo.}
proc edure sendDirectMessage(m,n) {Envia mensa gem para o destino.}
proc edure sendMessage(n,m, C,type) {Repassa mensagem para o nodo.}
proc edure storeInBuf f er(summary_vector_o,m,CP,CA,ST AT U S) {Armazena mensagem recebida na
lista de mensagen s .}
proc edure updateContac tList(contact_list_p,contact_list_g,conta c t_list_n, n, P
n
,time,W
p
,W
g
) {Inclui a
identificação do nodo encontrado, potencial d o nodo e tempo de contato em contact_list_p e contac t_list_g.
Remove contatos antigos de acordo com as janelas de tempo (W
p
e W
g
). Adiciona em contact_list_g os
contados do nodo encontrado, válidos na janela d e tempo.}
proc edure updateListAckedIds(summary_vector_n , summary_vector _o) {Atualiza o summary vector do
próprio nodo com as mensagens confirmadas que es tão no summary vector do nodo encontrado, além de remover
do buffer as mensagens confirmadas que foram atualizadas.}
proc edure updateM sgList(summary_vector_o, m, C) {Atualiza a lista de men sagens d ando o novo crédito
para a mensagem repassada.}
Sempre que uma mensagem é criada, createNewMessage(m,summary_vector_o,C) é exe-
cutado. Nesse procedimento, os créditos de entrega (CP ) são configurado s com C/2 e os de
atraso (CA) são configurados com C/2 + 1. Além disso, o ST AT US é configurado com BUF ,
indicando que a mensagens está armazenada no buffer para ser entregue. As informações resumi-
das das mensagens criadas pelos nodos são mantidas no summary vector no seguinte formato:
< m,CP,CA, ST AT US >.
Ao encontrar um nodo n, nodeMeetingNeighbor () é executado. A identificação, o potencial, o
summary vector e a lista de contatos do nodo encontrado são obtidos por obtain(n,P
n
,su mmary_
vector_n,contact_list_n,time). O nodo encontrado é adicionado em contact_list_p e em
contact_list_g e os contatos a ntig os são removidos de acordo com a respectiva j anela de tempo.
Além disso, adiciona-se na contact_list_g do nodo os contatos da contact_list_n que sejam váli-
dos na janela. Assim a contact_list_g armazena os vizinhos do próprio nodo e os vizinhos que são
obtidos de outros nodo s. A troca das listas de contatos entre os nodos ocorre para que haja uma
convergência mai s rá pida no processo de identificação de grupos. A contact_list_g será utilizada
posteriormente na identificação dos grupos.
116
A sincronização da lista de mensagens entregues ao destino final, bem como a remoção das
mesmas do buffer do nodo é realizado por u pdateListAckedIds(summary_vector_n,summary_
vector_o). As mensagens entregues possuem o ST AT US com ACK no summary vector.
O agrupamento é realizado por clusterKGroups(contact_list_g,k,break_list), que retorna o
número de grupos ideal e a matriz com as posições de corte dos grupos. O potencial de entrega do
nodo origem é calculado por computeP
o
(contact_list_p, P
o
) e o potencial de seu grupo é calculado
por computeGroup(P,P
g
,k,break_list).
Caso hajam mensagens para serem entregues, o procedimento directDelivery(summary_
vector_o,n, summary_vector_n) identifica se o nodo encontrado é destino de alguma mensagem
presente em sua lista para que seja feita a entrega direta, a remoção da mesma e a alteração de seu
ST AT US no summary vector do nodo. A entrega somente será realizada caso o nodo encontrado
ainda não possua a mensagem a ser entregue. Além disso, calcula-se o potencial do grupo do nodo
encontrado. Se esse potencial for maior que o do grupo do nodo origem ou ambos forem i guais e
estiverem no grupo de maior potencial, é possível repassar as mensagens usando um dos dois tipos
de créditos configurados. Caso contrário, somente os créditos de atraso são usados. O repasse
somente será realizado caso o nodo encontrado ainda não possua a mensagem a ser entregue. Ao
se repassar uma mensagem em sendMessageT oNeighbor(summary_vector_o,n,m,Cx,type),
C/2 dos créditos fica com o nodo que recebe a mensagem e C/2 fica com o nodo que está
transmitindo a mensagem, semelhante ao APRP e APRP-Ack. O tipo do crédito é transmitido
juntamente com a mensagem e somente os créditos do tipo repassado são decrementados.
O procedimento receiveMessage(m,C, type) é executado sempre que uma mensagem for re-
cebida. Se houver espaço em buffer, o nodo armazena a mensagem e inclui a identificação, os
créditos, bem como o ST AT US da mensagem no summary vector do nodo. Sempre que o crédito
de um tipo for recebido, o crédito de outro tipo pode ser utilizado apenas para entrega direta da
mensagem.
6.4 Avaliação Experimental
A avaliação do APRP-Group fo i realizada no mesmo simulador utilizado para avaliar o APRP e o
APRP-Ack, sendo que os mesmos parâmetros foram utilizados. Experimentos com 5000 mensagens
e com o padrão de mobilidade Map Based Movement f oram conduzidos.
Devido aos resultados comentados na Seção 5.2 sobre o desempenho do APRP-Ack, esta Seção
apresenta a comparação do APRP-Group com APRP-Ack e Spray a nd Wait. Os resultados apre-
sentados do APRP-Group estão dividido s em duas partes. A primeira, chamada de APRP-Group1,
utiliza apenas a estratégia de repasses usando grupos. A segunda, chamada de APRP-Group2, uti-
liza a estratégia completa descrita na Seção 6.2, ou seja, a estratégia de repasses usando grupos e
os créditos das mensagens.
Para o correto funcionamento do APRP-Group é necesria a configuração do parâmetro a dicio-
nal W
g
, que representa a janela de tempo para atualização da lista de contatos usada no mecanismo
117
de agrupamento. Este parâmetro foi configurado experimentalmente com 4 × W
p
(tamanho da ja-
nela de tempo usada na atualização da contact_list_p) , pois, conforme experimentos realizados,
com esse tempo obtém-se convergência na identificação distribuída dos grupos (em cada nodo).
Foram realizados experimentos com dois e três tipos de nodos. Nos experimentos com dois
tipos de nodos, utilizaram-se os mesmos valores para velocidade e tamanho de buffer descritos
na Seção 4.4. Dessa forma, utilizaram-se valores de velocidade entre [0,5, 1,0] m/s e [2,7, 13,9]
m/s. Além disso, para o tamanho dos buffers utilizaram-se 40 Mbytes e 20 Mbytes. nos
experimentos com três tipos de nodos, além dos dois tipos mencionados foi incluído um terceiro
tipo com velocidades entre [18, 25] m/s e com capacidade de armazenamento de até 50 Mbytes.
Esse terceiro tipo foi incluído de forma a analisar o desempenho da proposta baseada em grupos.
A seguir estão apresentados os resultados com os dois conjuntos de métricas, como apresentado
na Seção 5.2.
6.4.1 Atraso na Entrega das Mensagens
As Figuras 6.4 e 6.5 a presentam o atraso médio na entrega das mensagens para dois e três tipo s
de nodos, respectivamente. A partir dessas figuras pode-se observar que o APRP-Group1 reduz
o atraso em relação ao APRP-Ack, contudo uma redução mais significativa ocorre com o APRP-
Group2 que se aproxima do Spray and Wait. Essa redução ocorre tanto para o cenário com dois
tipos de nodos (Figura 6.4) quanto para o cenário com três tipos de nodos (Figura 6 .5), ficando
mais evidenciada nos cenários esparsos. Isso confirma as hipóteses de atraso tal como colocadas
no início deste Capítulo. Como um exemplo, para os resultados apresentados na Figura 6.4b, o
APRP-Group2 g erou uma redução no atraso em média de 18,17% em comparação ao APRP-Ack,
e um aumento em média de 9,56% em comparação ao Spray and Wait.
0
5000
10000
15000
20000
25000
30000
30 60 90 120 150 180 210 240 270 300
APRP-Group1
APRP-Group2
APRP-Ack
Spray and Wait
0
2000
4000
6000
8000
10000
12000
14000
16000
30 60 90 120 150 180 210 240 270 300
APRP-Group1
APRP-Group2
APRP-Ack
Spray and Wait
0
1000
2000
3000
4000
5000
6000
7000
8000
9000
30 60 90 120 150 180 210 240 270 300
APRP-Group1
APRP-Group2
APRP-Ack
Spray and Wait
a) Raio 10 m b) Raio 30 m c) Raio 80 m
Figura 6.4: Atraso na entrega das mensagens para 2 grupos. O eixo vertical representa o tempo
em segundos e o horizontal representa a a quantidade de nodos. A Tabela 6.2 apresenta o s valores
numéricos dessa figura.
118
0
5000
10000
15000
20000
25000
30000
35000
30 60 90 120 150 180 210 240 270 300
APRP-Group1
APRP-Group2
APRP-Ack
Spray and Wait
0
2000
4000
6000
8000
10000
12000
14000
16000
30 60 90 120 150 180 210 240 270 300
APRP-Group1
APRP-Group2
APRP-Ack
Spray and Wait
0
1000
2000
3000
4000
5000
6000
30 60 90 120 150 180 210 240 270 300
APRP-Group1
APRP-Group2
APRP-Ack
Spray and Wait
a) Raio 10 m b) Raio 30 m c) Raio 80 m
Figura 6.5: Atraso na entrega das mensagens para 3 grupos. O eixo vertical representa o tempo
em segundos e o horizontal representa a a quantidade de nodos. A Tabela 6.3 apresenta o s valores
numéricos dessa figura.
6.4.2 Percentual de Mensagens Entregues
As Figuras 6.6 e 6 .7 apresentam o percentual de mensagens entregues para dois e três tipos de
nodos, respectivamente. Observa-se que o percentual de entrega, tanto do APRP-Group1 quanto
do APRP-Group2, se mantém similar ou ligeiramente superior ao APRP-Ack na maioria dos casos,
sendo que o APRP-Group2 é melhor em cenários esparsos.
10
20
30
40
50
60
70
80
90
100
30 60 90 120 150 180 210 240 270 300
APRP-Group1
APRP-Group2
APRP-Ack
Spray and Wait
50
60
70
80
90
100
30 60 90 120 150 180 210 240 270 300
APRP-Group1
APRP-Group2
APRP-Ack
Spray and Wait
65
70
75
80
85
90
95
100
30 60 90 120 150 180 210 240 270 300
APRP-Group1
APRP-Group2
APRP-Ack
Spray and Wait
a) Raio 10 m b) Raio 30 m c) Raio 80 m
Figura 6.6: Percentual de mensagens entregues para 2 grupos. O eixo vertical representa o percentual
de mensagens entregues e o horizontal representa a quantidade de nodos. A Tabela 6.4 apresenta
os valores numéricos dessa figura.
10
20
30
40
50
60
70
80
90
100
30 60 90 120 150 180 210 240 270 300
APRP-Group1
APRP-Group2
APRP-Ack
Spray and Wait
50
60
70
80
90
100
30 60 90 120 150 180 210 240 270 300
APRP-Group1
APRP-Group2
APRP-Ack
Spray and Wait
90
92
94
96
98
100
30 60 90 120 150 180 210 240 270 300
APRP-Group1
APRP-Group2
APRP-Ack
Spray and Wait
a) Raio 10 m b) Raio 30 m c) Raio 80 m
Figura 6.7: Percentual de mensagens entregues para 3 grupos. O eixo vertical representa o percentual
de mensagens entregues e o horizontal representa a quantidade de nodos. A Tabela 6.5 apresenta
os valores numéricos dessa figura.
119
Esse comportamento é devido ao APRP-Group1 e APRP-Group2 possibilitar uma maior disse-
minação de mensagens na rede, conforme Figura 6.8 e ainda realizar o repasse a nodos de potencial
crescente. Contudo, conforme a rede se torna mais densa, seja por um número maior de nodos ou
devido a um maior raio de alcance na comunicação, a probabilidade de encontrar o destino é mais
alta e isso faz com que haja um maior percentual de entrega em todos os proto colos. Como um
exemplo, para o s resultados apresentados na Figura 6.6 b, o APRP-Group2 gerou um aumento no
percentual de mensagens entregues em média de 0,88% e 3,99 % em comparação ao s protocolos
APRP-Ack e Spray and Wait, respectivamente.
6.4.3 Overhead
O overhead gerado na rede está apresentado nas Figuras 6.8 e 6.9. Apesar do overhead gerado
tanto pelo APRP-Group1 quanto pelo APRP-Group2 ter aumentado em relação ao APRP-Ack, o
mesmo continua menor que no Spray and Wait. O aumento do número de cópias acontece no APRP-
Group1 pois os nodos de maior po tencial têm a possibilidade de repassar as mensagens para nodos
de mesmo grupo, não tendo que ficar à espera de um nodo com po tencial próximo ao seu ou superior
como no APRP-Ack. no APRP-Group2, uma partilha das mensagens pode ainda ser repassada
a nodos de menor potencial. Apesar disso, o overhead se mantém muito baixo, não ocasionando
sobrecarga nos recursos da rede e dos nodos. Como um exemplo, para os resultados apresentados na
Figura 6.7b, o APRP-Group aumentou o overhead em média 44,92% em comparação ao APRP-Ack,
e o reduziu em média 10,04% em comparação ao Spray and Wait.
0
1
2
3
4
5
6
30 60 90 120 150 180 210 240 270 300
APRP−Group1
APRP−Group2
APRP−Ack
Spray and Wait
0
1
2
3
4
5
6
30 60 90 120 150 180 210 240 270 300
APRP−Group1
APRP−Group2
APRP−Ack
Spray and Wait
0
1
2
3
4
5
6
30 60 90 120 150 180 210 240 270 300
APRP−Group1
APRP−Group2
APRP−Ack
Spray and Wait
a) Raio 10 m b) Raio 30 m c) Raio 80 m
Figura 6.8: Overhead gerado na rede para 2 grupos. O eixo vertical representa o número de cópias
e o horizontal representa a a quantidade de nodos. A Tabela 6.6 apresenta os valores numéricos
dessa figura.
120
0
1
2
3
4
5
6
30 60 90 120 150 180 210 240 270 300
APRP−Group1
APRP−Group2
APRP−Ack
Spray and Wait
0
1
2
3
4
5
6
30 60 90 120 150 180 210 240 270 300
APRP−Group1
APRP−Group2
APRP−Ack
Spray and Wait
0
1
2
3
4
5
6
30 60 90 120 150 180 210 240 270 300
APRP−Group1
APRP−Group2
APRP−Ack
Spray and Wait
a) Raio 10 m b) Raio 30 m c) Raio 80 m
Figura 6.9: Overhead gerado na rede para 3 grupos. O eixo vertical representa o número de cópias
e o horizontal representa a a quantidade de nodos. A Tabela 6.7 apresenta os valores numéricos
dessa figura.
6.4.4 Ocupação de Buffer
As Figuras 6.10 e 6.11 apresentam a ocupação média dos buffers dos nodos da rede para dois e
três tipos de nodos, respectivamente. Observa- se que o APRP-Ack possui uma ocupação de buffer
menor que os demais protocolos, sendo que o APRP-Group1 se aproxima no APRP-Ack e o APRP-
Group2 se aproxima do Spray and Wait. Esse a umento é devido a um maior número de cópias das
mensagens na rede, como foi observado anteriormente.
0
50
100
150
200
250
30 60 90 120 150 180 210 240 270 300
APRP-Group1
APRP-Group2
APRP-Ack
Spray and Wait
0
50
100
150
200
250
300
350
400
450
500
30 60 90 120 150 180 210 240 270 300
APRP-Group1
APRP-Group2
APRP-Ack
Spray and Wait
0
100
200
300
400
500
600
700
800
30 60 90 120 150 180 210 240 270 300
APRP-Group1
APRP-Group2
APRP-Ack
Spray and Wait
a) Raio 10 m b) Raio 30 m c) Raio 80 m
Figura 6.10: Ocupação de buffer para 2 grupos. O eixo vertical representa o número de mensagens
e o horizontal representa a a quantidade de nodos. A Tabela 6.8 apresenta os valores numéricos
dessa figura.
0
50
100
150
200
250
30 60 90 120 150 180 210 240 270 300
APRP-Group1
APRP-Group2
APRP-Ack
Spray and Wait
0
100
200
300
400
500
600
30 60 90 120 150 180 210 240 270 300
APRP-Group1
APRP-Group2
APRP-Ack
Spray and Wait
0
100
200
300
400
500
600
700
800
900
30 60 90 120 150 180 210 240 270 300
APRP-Group1
APRP-Group2
APRP-Ack
Spray and Wait
a) Raio 10 m b) Raio 30 m c) Raio 80 m
Figura 6.11: Ocupação de buffer para 3 grupos. O eixo vertical representa o número de mensagens
e o horizontal representa a a quantidade de nodos. A Tabela 6.9 apresenta os valores numéricos
dessa figura.
121
6.4.5 Mensagens Descartadas devido a Buffer Overflow
A quantidade de mensagens descartadas devido a buffer cheio, para dois e três tipos de nodos,
está apresentada nas Figuras 6.12 e 6.13, respectivamente.
0
20
40
60
80
100
120
140
160
30 60 90 120 150 180 210 240 270 300
APRP-Group1
APRP-Group2
APRP-Ack
Spray and Wait
0
50
100
150
200
250
300
350
30 60 90 120 150 180 210 240 270 300
APRP-Group1
APRP-Group2
APRP-Ack
Spray and Wait
0
100
200
300
400
500
600
700
30 60 90 120 150 180 210 240 270 300
APRP-Group1
APRP-Group2
APRP-Ack
Spray and Wait
a) Raio 10 m b) Raio 30 m c) Raio 80 m
Figura 6.12: Mensagens descartadas devido a buffer ov erflow para 2 grupos. O eixo vertical repre-
senta o número de mensagens e o horizontal representa a a quantidade de nodos. A Tabela 6.10
apresenta os valores numéricos dessa fig ura .
0
20
40
60
80
100
120
140
30 60 90 120 150 180 210 240 270 300
APRP-Group1
APRP-Group2
APRP-Ack
Spray and Wait
0
50
100
150
200
250
30 60 90 120 150 180 210 240 270 300
APRP-Group1
APRP-Group2
APRP-Ack
Spray and Wait
0
50
100
150
200
250
300
350
400
30 60 90 120 150 180 210 240 270 300
APRP-Group1
APRP-Group2
APRP-Ack
Spray and Wait
a) Raio 10 m b) Raio 30 m c) Raio 80 m
Figura 6.13: Mensagens descartadas devido a buffer ov erflow para 3 grupos. O eixo vertical repre-
senta o número de mensagens e o horizontal representa a a quantidade de nodos. A Tabela 6.11
apresenta os valores numéricos dessa fig ura .
Como pode-se verificar nas figuras, o overflow gerado pelos protocolos propostos é menor do
que o gerado pelo Spray and Wait. Observa-se que mesmo aumentando o número de cópias das
mensagens, o overflow gerado pelo APRP-Group2 continua baixo . Essa característica ocorre devido
a utilização das mensagens de acknowledgment, que removem dos buffers as mensagens entregues.
6.4.6 Entregas Redundantes
O percentual de mensagens redundantes entregues está a presentado nas Figuras 6.14 e 6.15
para dois e três tipos de nodos, respectivamente. Através das figuras observa-se que assim como o
ARP-Ack, tanto o APRP-Group1 quanto o APRP-Group2 entregam poucas mensagens depois da
primeira entrega, quando comparados com o Spray and Wait. Verifica-se, assim, que mesmo com
um aumento no número de cópias das mensagens - vide Seção 6.4.3, as entregas redundantes se
mantém baixas nos protocolos propostos.
122
0
0.05
0.1
0.15
0.2
0.25
0.3
30 60 90 120 150 180 210 240 270 300
APRP−Group1
APRP−Group2
APRP−Ack
Spray and Wait
0
0.05
0.1
0.15
0.2
0.25
0.3
0.35
30 60 90 120 150 180 210 240 270 300
APRP−Group1
APRP−Group2
APRP−Ack
Spray and Wait
0
0.05
0.1
0.15
0.2
0.25
0.3
0.35
0.4
30 60 90 120 150 180 210 240 270 300
APRP−Group1
APRP−Group2
APRP−Ack
Spray and Wait
a) Raio 10 m b) Raio 30 m c) Raio 80 m
Figura 6.14: Entregas redundantes para 2 grupos. O eixo vertical representa o número de cópias das
mensagens e o horizontal representa a a quantidade de nodos. A Tabela 6.12 a presenta os valores
numéricos dessa figura.
0
0.05
0.1
0.15
0.2
0.25
0.3
0.35
30 60 90 120 150 180 210 240 270 300
APRP−Group1
APRP−Group2
APRP−Ack
Spray and Wait
0
0.05
0.1
0.15
0.2
0.25
0.3
0.35
0.4
0.45
30 60 90 120 150 180 210 240 270 300
APRP−Group1
APRP−Group2
APRP−Ack
Spray and Wait
0
0.05
0.1
0.15
0.2
0.25
0.3
0.35
0.4
0.45
0.5
30 60 90 120 150 180 210 240 270 300
APRP−Group1
APRP−Group2
APRP−Ack
Spray and Wait
a) Raio 10 m b) Raio 30 m c) Raio 80 m
Figura 6.15: Entregas redundantes para 3 grupos. O eixo vertical representa o número de cópias das
mensagens e o horizontal representa a a quantidade de nodos. A Tabela 6.13 a presenta os valores
numéricos dessa figura.
6.4.7 Tempo de Vida das Mensagens
As Figuras 6.16 e 6.17 apresentam o tempo de vida das mensagens na rede para dois e três
tipos de no dos, respectivamente. Os resultados mostram que o temp o de vida das mensagens
com o protocolo APRP-Group2 é geralmente menor que o tempo utilizado pelos demais protocolos.
Isso ocorre pois o APRP-Group2 gera um menor atraso, se comparado ao APRP-Group1 e APRP-
Ack, fazendo com que as mensagens fiquem menos tempo na rede. Além disso, a utilização de
acknowledgments também ajuda na redução desse valor.
0
10000
20000
30000
40000
50000
60000
30 60 90 120 150 180 210 240 270 300
APRP-Group1
APRP-Group2
APRP-Ack
Spray and Wait
0
10000
20000
30000
40000
50000
60000
30 60 90 120 150 180 210 240 270 300
APRP-Group1
APRP-Group2
APRP-Ack
Spray and Wait
0
5000
10000
15000
20000
25000
30000
35000
40000
45000
30 60 90 120 150 180 210 240 270 300
APRP-Group1
APRP-Group2
APRP-Ack
Spray and Wait
a) Raio 10 m b) Raio 30 m c) Raio 80 m
Figura 6.16: Tempo de vida das mensagens para 2 grupos. O eixo vertical representa o tempo em
segundos e o horizontal representa a a quantidade de nodos. A Tabela 6.14 apresenta os valores
numéricos dessa figura.
123
0
5000
10000
15000
20000
25000
30000
35000
40000
45000
50000
30 60 90 120 150 180 210 240 270 300
APRP-Group1
APRP-Group2
APRP-Ack
Spray and Wait
0
5000
10000
15000
20000
25000
30000
35000
40000
30 60 90 120 150 180 210 240 270 300
APRP-Group1
APRP-Group2
APRP-Ack
Spray and Wait
0
5000
10000
15000
20000
25000
30000
35000
30 60 90 120 150 180 210 240 270 300
APRP-Group1
APRP-Group2
APRP-Ack
Spray and Wait
a) Raio 10 m b) Raio 30 m c) Raio 80 m
Figura 6.17: Tempo de vida das mensagens para 3 grupos. O eixo vertical representa o tempo em
segundos e o horizontal representa a a quantidade de nodos. A Tabela 6.15 apresenta os valores
numéricos dessa figura.
6.4.8 Tabelas com Valores dos Gráficos
Atraso na Entrega das Mensagens As Tabelas 6.2 e 6.3 apresentam os valores numéricos para o
atraso na entrega das mensagens para 2 e 3 grupos, respectivamente.
Tabela 6.2: Atraso na entrega das mensagens para 2 grupos.
Raio: 10 m
30 nodos 50 nodos 100 nodos 300 nodos
APRP-Group1 18238,46 24136,54 26389,64 20842,20
APRP-Group2 18053,90 22280,15 20642,29 19017,64
APRP-Ack 18224,24 24035,80 28882,78 23076,55
Spray and Wait 18905,78 22637,64 18625,91 17153,60
Raio: 30 m
30 nodos 50 nodos 100 nodos 300 nodos
APRP-Group1 14185,67 13243,09 8614,84 6235,56
APRP-Group2 11475,69 9499,44 7723,28 6579,24
APRP-Ack 15251,17 13787,35 9864,25 6273,39
Spray and Wait 10927,17 7765,53 6593,73 7016,94
Raio: 80 m
30 nodos 50 nodos 100 nodos 300 nodos
APRP-Group1 7 041,59 6449,12 5139,41 4397,35
APRP-Group2 5 191,95 5684,89 5073,61 4553,30
APRP-Ack 7991,94 7637,38 5380 ,02 42 92,35
Spray and Wait 4385,104 4371,57 5209,64 5231,30
124
Tabela 6.3: Atraso na entrega das mensagens para 3 grupos.
Raio: 10 m
30 nodos 50 nodos 100 nodos 300 nodos
APRP-Group1 18922,18 24086,38 27227,96 21212,74
APRP-Group2 18714,63 22766,77 21890,09 19518,76
APRP-Ack 18854,88 24908,06 29594,50 22860,64
Spray and Wait 19089,97 22968,38 19148,88 18224,61
Raio: 30 m
30 nodos 50 nodos 100 nodos 300 nodos
APRP-Group1 13551,98 10767,51 6907,04 5629,70
APRP-Group2 10971,14 8478,63 5989,63 5279,31
APRP-Ack 13808,41 12702,73 8206,60 6056,65
Spray and Wait 10023,82 6345,31 5687,80 5245,44
Raio: 80 m
30 nodos 50 nodos 100 nodos 300 nodos
APRP-Group1 4 328,57 2844,92 2268,76 1942,53
APRP-Group2 3 610,86 2627,31 2285,04 2082,04
APRP-Ack 5177,25 3120,57 2306 ,11 18 77,61
Spray and Wait 3142,85 2608,80 2373,22 2388,24
Percentual de Mensagens Entregues As Tabelas 6.4 e 6.5 apresentam os valores numéricos para o
percentual de mensagens entregues para 2 e 3 grupos, respectivamente.
Tabela 6.4: Percentual de mensagens entregues para 2 grupos.
Raio: 10 m
30 nodos 50 nodos 100 nodos 300 nodos
APRP-Group1 22,26 36,73 60,54 93,88
APRP-Group2 22,53 37,22 64,82 93,95
APRP-Ack 21,95 36,48 60,43 92,93
Spray and Wait 2 3,26 41,12 64,19 91,22
Raio: 30 m
30 nodos 50 nodos 100 nodos 300 nodos
APRP-Group1 54,84 79,91 99,34 99,60
APRP-Group2 55,45 83,27 99,43 99,53
APRP-Ack 55,83 80,06 98,77 99,51
Spray and Wait 5 3,68 73,91 94,16 99,97
Raio: 80 m
30 nodos 50 nodos 100 nodos 300 nodos
APRP-Group1 76,73 96,10 99,63 99,71
APRP-Group2 77,01 97,08 99,63 100,00
APRP-Ack 77,67 95,26 99,60 99,64
Spray and Wait 6 9,72 86,42 98,82 99,99
125
Tabela 6.5: Percentual de mensagens entregues para 3 grupos.
Raio: 10 m
30 nodos 50 nodos 100 nodos 300 nodos
APRP-Group1 25,53 40,93 64,37 92,91
APRP-Group2 25,95 41,75 68,05 93,74
APRP-Ack 25,81 41,16 62,14 90,55
Spray and Wait 2 6,91 44,37 67,31 91,23
Raio: 30 m
30 nodos 50 nodos 100 nodos 300 nodos
APRP-Group1 67,83 89,43 99,35 99,43
APRP-Group2 68,31 93,53 99,48 99,59
APRP-Ack 67,71 87,49 99,03 99,33
Spray and Wait 6 6,88 87,37 98,68 99,60
Raio: 80 m
30 nodos 50 nodos 100 nodos 300 nodos
APRP-Group1 98,32 99,68 99,84 99,86
APRP-Group2 99,63 99,73 99,83 99,84
APRP-Ack 97,56 99,67 99,86 99,87
Spray and Wait 9 5,52 99,67 99,83 99,84
Overhead As Tabelas 6.6 e 6.7 apresentam os valores numéricos para o overhead gerado na rede
para 2 e 3 grupos, respectivamente.
Tabela 6.6: Overhead gerado na rede para 2 grupos.
Raio: 10 m
30 nodos 50 nodos 100 nodos 300 nodos
APRP-Group1 0,66 1,07 2,74 4,80
APRP-Group2 1,14 2,07 4,37 5,14
APRP-Ack 0,38 0,95 1,98 4,37
Spray and Wait 1,35 2,5 9 5,27 5,42
Raio: 30 m
30 nodos 50 nodos 100 nodos 300 nodos
APRP-Group1 1,66 2,81 4,26 4,78
APRP-Group2 2,75 4,14 4,68 4,95
APRP-Ack 1,28 2,57 3,71 4,66
Spray and Wait 3,09 5,2 2 5,15 4,96
Raio: 80 m
30 nodos 50 nodos 100 nodos 300 nodos
APRP-Group1 3,53 4,15 4,50 4,78
APRP-Group2 4,74 4,64 4,82 5,35
APRP-Ack 2,90 3,43 4,20 4,67
Spray and Wait 5,82 5,4 5 4,92 4,95
126
Tabela 6.7: Overhead gerado na rede para 3 grupos.
Raio: 10 m
30 nodos 50 nodos 100 nodos 300 nodos
APRP-Group1 0,58 1,13 2,98 4,89
APRP-Group2 0,94 1,83 4,21 5,15
APRP-Ack 0,49 0,83 2,22 4,61
Spray and Wait 1,16 2,3 3 5,15 5,42
Raio: 30 m
30 nodos 50 nodos 100 nodos 300 nodos
APRP-Group1 1,41 2,85 4,24 4,78
APRP-Group2 2,23 3,76 4,64 4,93
APRP-Ack 1,26 2,17 3,76 4,64
Spray and Wait 2,64 4,6 1 4,91 4,98
Raio: 80 m
30 nodos 50 nodos 100 nodos 300 nodos
APRP-Group1 3,18 4,02 4,47 4,76
APRP-Group2 3,89 4,47 4,79 5,30
APRP-Ack 2,51 3,50 4,20 4,60
Spray and Wait 4,52 4,7 4 4,88 4,97
Ocupação de Buffer As Tabelas 6.8 e 6.9 apresentam os valores numéricos para a ocupação de
buffer para 2 e 3 grupos, respectivamente.
Tabela 6.8: Ocupação de buffer para 2 grupos.
Raio: 10 m
30 nodos 50 nodos 100 nodos 300 nodos
APRP-Group1 61,74 75,88 113,08 90,74
APRP-Group2 80,21 114,47 174,16 96,10
APRP-Ack 50,64 71,12 89,87 83,12
Spray and Wait 9 1,06 147,79 201,33 97 ,66
Raio: 30 m
30 nodos 50 nodos 100 nodos 300 nodos
APRP-Group1 243,37 304,17 261,03 95,88
APRP-Group2 346,47 428,32 282,49 98,69
APRP-Ack 212,01 285,50 232,43 30,49
Spray and Wait 366,81 460,36 289,55 99,36
Raio: 80 m
30 nodos 50 nodos 100 nodos 300 nodos
APRP-Group1 578,63 495,11 274,04 96,04
APRP-Group2 736,72 547,13 290,03 105,97
APRP-Ack 505,21 421,95 258,94 94,14
Spray and Wait 792,24 558,08 292,95 99,29
127
Tabela 6.9: Ocupação de buffer para 3 grupos.
Raio: 10 m
30 nodos 50 nodos 100 nodos 300 nodos
APRP-Group1 67,26 87,01 128,15 91,20
APRP-Group2 84,07 118,05 177,10 96,06
APRP-Ack 63,96 75,13 100,06 84,56
Spray and Wait 9 6,99 147,41 204,73 97 ,80
Raio: 30 m
30 nodos 50 nodos 100 nodos 300 nodos
APRP-Group1 272,01 344,58 260,29 95,82
APRP-Group2 367,41 445,55 280,66 98,49
APRP-Ack 255,55 277,08 235,49 93,38
Spray and Wait 405,49 490,29 291,42 99,20
Raio: 80 m
30 nodos 50 nodos 100 nodos 300 nodos
APRP-Group1 684,40 500,15 273,01 95,82
APRP-Group2 812,57 545,85 289,19 104,98
APRP-Ack 570,09 448,83 259,40 93,18
Spray and Wait 878,77 571,94 293,73 99,27
Mensagens Descartadas Devido a Buffer Overflow As Tabelas 6.10 e 6.11 apresentam os valores
numéricos para as mensagens descartadas devido a buffer ov erflow para 2 e 3 grupos, respectiva-
mente.
Tabela 6.10: Mensagens descartadas devido a buffer overflow para 2 grupos.
Raio: 10 m
30 nodos 50 nodos 100 nodos 300 nodos
APRP-Group1 128,13 65,23 3 5,22 1,90
APRP-Group2 140,73 89,97 6 9,37 3,34
APRP-Ack 122,01 62,70 22,39 1,49
Spray and Wait 153,67 121,73 126,72 25,06
Raio: 30 m
30 nodos 50 nodos 100 nodos 300 nodos
APRP-Group1 134,43 74,74 4,06 0,00
APRP-Group2 208,80 138,23 4,88 0,00
APRP-Ack 113,97 64,13 4,50 0,67
Spray and Wait 293,30 327,78 135,78 9,28
Raio: 80 m
30 nodos 50 nodos 100 nodos 300 nodos
APRP-Group1 245,93 69,61 0,30 0,00
APRP-Group2 349,43 71,35 0,72 0,00
APRP-Ack 198,05 54,74 0,70 0,00
Spray and Wait 606,02 341,25 96,28 8,62
128
Tabela 6.11: Mensagens descartadas devido a buffer overflow para 3 grupos.
Raio: 10 m
30 nodos 50 nodos 100 nodos 300 nodos
APRP-Group1 116,84 59,00 3 4,17 1,34
APRP-Group2 126,19 75,65 5 5,08 1,73
APRP-Ack 113,47 51,84 23,79 4,11
Spray and Wait 136,64 95,48 92,06 11,25
Raio: 30 m
30 nodos 50 nodos 100 nodos 300 nodos
APRP-Group1 83,18 33,19 0,31 0,00
APRP-Group2 121,03 43,44 0,39 0,00
APRP-Ack 79,12 25,26 1,15 0 ,00
Spray and Wait 225,25 206,44 45,54 1,41
Raio: 80 m
30 nodos 50 nodos 100 nodos 300 nodos
APRP-Group1 24,89 0,18 0,00 0,00
APRP-Group2 36,00 0,48 0,00 0,00
APRP-Ack 21,39 0,10 0,00 0,00
Spray and Wait 384,16 119,23 24,89 1,57
Entregas Redundantes As Tabelas 6.12 e 6.13 apresentam os valores numéricos para as mensagens
que foram entregues de forma redundante para 2 e 3 grupos, respectivamente.
Tabela 6.12: Entregas redundantes para 2 grupos.
Raio: 10 m
30 nodos 50 nodos 100 nodos 300 nodos
APRP-Group1 0,00 0,01 0,03 0,05
APRP-Group2 0,00 0,01 0,04 0,04
APRP-Ack 0,00 0,01 0,02 0,05
Spray and Wait 0,01 0,0 8 0,27 0,06
Raio: 30 m
30 nodos 50 nodos 100 nodos 300 nodos
APRP-Group1 0,03 0,09 0,15 0,09
APRP-Group2 0,05 0,13 0,12 0,05
APRP-Ack 0,02 0,08 0,13 0,10
Spray and Wait 0,15 0,3 3 0,16 0,05
Raio: 80 m
30 nodos 50 nodos 100 nodos 300 nodos
APRP-Group1 0,13 0,19 0,14 0,08
APRP-Group2 0,17 0,19 0,11 0,06
APRP-Ack 0,10 0,16 0,16 0,10
Spray and Wait 0,34 0,2 8 0,13 0,04
129
Tabela 6.13: Entregas redundantes para 3 grupos.
Raio: 10 m
30 nodos 50 nodos 100 nodos 300 nodos
APRP-Group1 0,00 0,00 0,02 0,04
APRP-Group2 0,00 0,01 0,03 0,03
APRP-Ack 0,00 0,00 0,01 0,03
Spray and Wait 0,01 0,1 0 0,30 0,06
Raio: 30 m
30 nodos 50 nodos 100 nodos 300 nodos
APRP-Group1 0,02 0,08 0,12 0,07
APRP-Group2 0,05 0,12 0,10 0,05
APRP-Ack 0,02 0,06 0,11 0,08
Spray and Wait 0,25 0,4 1 0,18 0,05
Raio: 80 m
30 nodos 50 nodos 100 nodos 300 nodos
APRP-Group1 0,18 0,19 0,14 0,08
APRP-Group2 0,21 0,17 0,11 0,05
APRP-Ack 0,13 0,19 0,16 0,10
Spray and Wait 0,47 0,2 8 0,13 0,04
Tempo de Vida das Mensagens As Tabelas 6.14 e 6.15 apresentam os valores do tempo de vida
das mensagens para 2 e 3 grupos, respectivamente.
Tabela 6.14: Tempo de v i da das mensagens para 2 grupos.
Raio: 10 m
30 nodos 50 nodos 100 nodos 300 nodos
APRP-Group1 21218,49 30166,12 33103,59 22028,00
APRP-Group2 20881,14 27680,43 28044,82 20386,43
APRP-Ack 21614,36 30746,04 35788,81 24178,70
Spray and Wait 21470,12 29652,47 36180,19 55932,97
Raio: 30 m
30 nodos 50 nodos 100 nodos 300 nodos
APRP-Group1 16205,31 16323,05 10662,75 7290,87
APRP-Group2 14456,28 13747,61 9893,48 7656,43
APRP-Ack 17370,73 16996,67 11785,11 7292,27
Spray and Wait 15861,42 16491,45 23783,33 52357,51
Raio: 80 m
30 nodos 50 nodos 100 nodos 300 nodos
APRP-Group1 10140,16 9305,33 6726,65 5161,26
APRP-Group2 8 811,21 8532,02 6704,37 5389,93
APRP-Ack 10865,00 10145,74 6902,89 5078,32
Spray and Wait 9852,22 127 62,45 246 96,79 43822,21
130
Tabela 6.15: Tempo de v i da das mensagens para 3 grupos.
Raio: 10 m
30 nodos 50 nodos 100 nodos 300 nodos
APRP-Group1 24240,49 32938,23 33944,20 21702,84
APRP-Group2 23830,22 30784,67 29113,84 20067,35
APRP-Ack 24445,19 34034,68 36269,86 23736,15
Spray and Wait 24731,40 34085,85 38659,64 47137,90
Raio: 30 m
30 nodos 50 nodos 100 nodos 300 nodos
APRP-Group1 16173,55 12938,51 7793,72 6095,73
APRP-Group2 13957,32 10674,47 6937,70 5755,75
APRP-Ack 16375,20 14863,54 9039,45 6506,48
Spray and Wait 17342,90 18513,83 26858,14 36291,16
Raio: 80 m
30 nodos 50 nodos 100 nodos 300 nodos
APRP-Group1 5 758,32 3896,91 2949,43 2283,42
APRP-Group2 5 197,99 3763,35 2998,12 2444,99
APRP-Ack 6459,90 4091,74 2963 ,22 22 15,50
Spray and Wait 10485,53 15699,13 22564,06 30017,05
6.5 Considerações Finais
Neste Capítulo f oi proposta uma variação ao APRP e APRP-Ack que ag rupa logicamente nodos
com potenciais de entrega semelhantes e utiliza o potencial dos grupos na decisão do repasse
das mensagens. Além disso, foram definidos dois tipos de créditos para ajudar na disseminação
de mensagens na rede. Dessa forma, o protocolo proposto evita que mensagens fiquem retidas
por muito temp o nos nodos intermediários, principalmente de potencial mais elevado, antes de
encontrem o destino.
Experimentos foram realizados com tipos de grupos diferentes de nodos e observou-se, em relação
ao APRP-Ack uma melhora significativa no atraso, a ma nutenção ou aumento no percentual de
mensagens entregues, com um aumento no overhead. Desta forma, os objetivos do APRP-Group
foram atingidos. Além disso, o APRP-Group apresenta um a traso bastante próximo ou inferior ao
Spray and Wait, com redução no overhead e aumento no percentual de entrega, podendo assim ser
considerado melhor que o Spray and Wait nos cenários analisados.
131
7. Conclusão
Este trabalho abordou o problema do roteamento em redes DTN estocásticas. Neste tipo de
rede, as mudanças topológicas não são conhecidas a priori e nem sempre dois nodos conseguem
se comunicar diretamente devido à falta de um caminho contemporâneo válido entre os nodos.
Contudo, a comunicação entre eles é possível utilizando o mecanismo de store-carry-forward. Se-
gundo [Cer07] e [Spy08], tais redes podem ser aplicadas em vários cenários, tais como: campos
de bata lha, monitoramento da vida selvagem, redes ad hoc veiculares, redes para fornecer acesso à
Internet de baixo custo a comunidades remotas.
Devido à semelhança existente no emprego de redes DTN e redes ad hoc, este trabalho apre-
sentou um estudo que ajudou a compreender como a variação da densidade da rede influencia no
comportamento de entrega e atraso. Observou- se que as redes DTN são indicadas para cenários
com baixa densidade, como a maior parte das configurações realizadas com a 60 nodo s para raios
de 20 m, 40 m, 60 m e 80 m. A utilização de DTN nesses cenários é importante devido aos altos
percentuais de entrega, chegando a 100%, enquanto as redes ad hoc atingem até 7%, a custo de
maiores atrasos.
Na tentativa de melhorar o roteamento nas redes DTN estocásticas, este traba l ho propôs três
variações de um protocolo de roteamento que possui como principal contribuição uma métrica
chamada de “ potencial de entrega”. Essa métrica mede o nível de contato entre os nodos em um
intervalo de tempo e é utilizada na decisão de repasse das mensagens.
O protocolo inicialmente apresentado, o APRP, prioriza o repasse das mensagens a nodos que
tenham um potencial de entrega que justifique o repasse da mesma . Os nodos com potencial de
entrega mais elevado possuem um maior contato com outros nodos na rede e, portanto, têm uma
probabilidade maior de encontrar o destino em um futuro pximo. Além disso, o APRP limita o
número de cópias de uma mensagem. A estratégia usada é semelhante a do protocolo Spray and
Wait com spraying binário. Experimentos comparando o protocolo propo sto com outros protocolos
apresentados na literatura foram realizados, sendo que os resultados revelaram uma considerável
diminuição no o verhead, e níveis de entrega compatíveis, principalmente, com o protocolo Spray
and Wait. Como um exemplo, pode-se citar um cenário que utilizou o padrão de mobilidade Map
Based Movement, com raio de alcance de 80 m, 50 nodos na área e com 5000 mensagens sendo
criadas. Nesse cenário, em comparação ao protocolo Spray and Wait, o protocolo APRP reduziu o
overhead em 27,8%, aumentou a probabilide de mensagens entregues em 2,0% e gerou um aumento
no atraso médio na entrega das mensagens em 54,9%. Ao considerar as nove configurações mais
esparsas apresentadas na Seção 4.4, o APRP apresentou, quando comparado ao Spray and Wait,
redução no percentual de mensagens entregues em média de 1,2%, redução no overhead em média
de 43,2% e aumento no atraso em média de 31,8%.
Devido à estratégia de repasse usada no APRP, pode ocorrer uma maior sobrecarga nos nodos
de maior potencial, conforme apresentado na Seção 4.4.6. Com o objetivo desses nodos evitarem
132
o descarte de mensagens importantes e melhorarem a probabilidade de entrega das mensagens, f oi
proposto o APRP-Ack. Esse protocolo utiliza mensagens de a cknowledgment para remover as men-
sagens entregues do buffer dos nodos intermediários, liberando espaço para que novas mensagens
sejam armazenadas. O APRP-Ack utiliza a mesma estratégia de repasse do APRP e também li-
mita o número de cópias das mensagens. A partir dos experimentos realizados, mostrou-se que o
desempenho do APRP-Ack foi superior ao APRP e Spray and Wait, tanto no percentual de men-
sagens entregues quanto no overhead. Contudo, devido às características da estratégia de repasse
e ao mecanismo de acknowledgment, que fez com que as mensagens não fossem descartadas por
buffer overflow, as mesmas permaneceram mais tempo em buffer até serem entregues, aumentando
o atraso na entrega. Como um exemplo, considerando a média das dezoito configurações ma i s
esparsas apresentados na Seção 5.2, o APRP apresentou, quando comparado a o Spray and Wait,
aumento no percentual de mensagens entregues em média de 3,0%, redução no overhead em média
de 51,5% e aumento no atraso em média de 45,4%.
A variação proposta para solucionar esse problema foi agrupar nodos com potenciais de entrega
pximos, além de definir um novo mecanismo para administração de cópias para as mensagens.
Esse mecanismo dedica parte das cópias para repasse com baixo atraso, independente do potencial,
e outra parte segundo o potencial dos grupo s. Tal variação foi chamada de APRP-Group e, de
acordo com ex perimentos realizados, o protocolo proposto apresentou uma melhora significativa
no atraso. Comparado com o APRP-Ack, o APRP-Group apresentou, diminuição no atraso em
média de 1 9,0%, aumento no percentual de mensagens entregues em média de 2,2% e aumento
no overhead em média de 71,3%. Esses resultados foram obtidos a partir da média das dezoito
configurações mais esparsas apresentadas na Seção 6.4, com variação da quantidade de nodo s, raio
e tipos de nodos presentes na área, para o padrão de mobilidade Map Based Movement. Apesar
de ter havido um aumento no overhead, este não chega a prejudicar os recursos da rede pois seu
valor continua inferior a outros protocolos a presentados na literatura. Considerando a média das
mesmas dezoito configurações mais esparsas, o APRP-Group apresentou, comparado ao Spray and
Wait, aumento no percentual de mensagens entregues em média de 2,3%, redução no overhead em
média de 13,8% e aumento no atraso em média de 9,3%.
Por fim, conclui-se que tanto o proto colo APRP, quanto suas variações, podem ser muito bem
utilizados no roteamento de redes DTN estocásticas. Os protocolo s APRP e APRP-Ack têm a
vantagem de serem simples e poderem ser aplicados a situações que se necessite de economia
de armazenamento, dado o baix o número de cópias das mensagens repassado entre os nodos da
rede. Além disso, tanto o APRP-Ack quanto o APRP-Group possuem um percentual de mensagens
entregues geralmente superior ao Spray and Wait e aos demais protocolos analisados. o APRP-
Group, é o que se mostra com o menor a traso, ficando bastante pximo ou inferior ao Spray and
Wait, sendo a propriado para situações que não possam suportar atrasos tão elevados quanto os
gerados pelo APRP e APR-Ack.
Estudos em rias áreas são importantes de serem realizados no sentido de melhorar o funcio-
namento e o uso das redes DTN. Acredita-se ser importante investigar questões sobre o suporte a
133
aplicações. Como suporte cita-se a integração entre o roteamento e as aplicações e questões como
garantia de qualidade de serviço para aplicações prioritárias. Além disso, aplicações para outros ce-
rios que não foram descritos nesta tese ta mbém precisam ser criadas. Por fim, seria interessante
realizar experimentos reais, de forma que tanto protocolos de roteamento, quanto outros aspectos
pudessem ser analisados.
134
135
Bibliog rafia
[Abd07] Abdulla, M.; Simon, R. “The Impact of the Mobility Model on Delay Tolerant Networking
Performance Analysis”. In: 40th Annual Simulation Symposium, 2007, pp. 177–184.
[Bal07] Balasubramanian, A.; Levine, B.; Venkataramani, A. “DTN Routing as a Resource Allo-
cation Problem”. SIGCOMM Computer Communication Review, vol . 37-4, Outubro 2007,
pp. 373–384.
[Ber02] Berkhin, P. “Survey Of Clustering Data Mining Techniques”, Relatório T écnico, Accrue
Software, San Jose, CA, 2002, 5 6p.
[Bet01] Bettstetter, C. “Mobility Modeling in Wireless Networks: Categorization, Smooth Mo-
vement, and Border Effects”. Mobile Computing and Communications Review, vol. 5-3,
Julho 2001, pp. 55–66.
[Bet03] Bettstetter, C.; Resta, G.; Santi, P. “T he Node Distribution of the Random Waypoint
Mobility Model for Wireless Ad Hoc Networks”. IEEE Transactions on Mobile Computing,
vol. 2-3, Jul–Set 2003, pp. 257–2 69.
[Bet04] Bettstetter, C.; Hartenstein, H.; Perez-Cost, X. “Stochastic Properties of the Ra ndo m
Waypoint Mo bility Model”. Wireless Networks, vol. 10-5, Outubro 2004, pp. 555–567.
[Bre05] Brenner, L.; Fernandes, P.; Sales, A. “The Need for and the Advantages of Generali-
zed Tensor Algebra for Kronecker Structured Representations”. International Journal of
Simulation: Systems, Science & Technology, vol. 6-( 3–4), Fevereiro 2005, pp. 52–60.
[Bro98] Broch, J.; Maltz, D. A.; Johnson, D. B.; Hu, Y.; Jetcheva, J. “A Performance Comparison
of Multi-Hop Wireless Ad Hoc Network Routing Protocols”. In: The Fourth Annual
ACM/IEEE International Conference on Mobile Computing and Networking, 1998, pp.
85–97.
[Bur03] Burleigh, S.; Hoo ke, A.; Torgerson, L.; Fall, K.; Cerf, V.; Durst, B.; Scott, K.; H.Weiss.
“Delay-Tolerant Networking: An Approach to Interplanetary Internet”. IEEE Communi-
cations M agazine, vol. 41-6, Junho 2003, pp. 128– 136.
[Bur05] Burns, B.; Brock, O.; Levine, B. N. “MV Routing and Capacity Building in Disruption
Tolerant Networks”. In: IEEE Infocom, 2005, pp. 398–408.
[Bur06] Burgess, J.; Ga llagher, B.; Jensen, D.; Levine, B . N. “MaxProp: Routing for Vehicle-
Based Disruption-Tolerant Networks”. In: IEEE Infocom, 2006, pp. 1–11.
136
[BX03] Bui-Xuan, B.; Ferreira, A.; Jarry, A. “Computing Shortest, Fastest, and Foremost Jour-
neys in Dynamic Networks”. International Journal of Foundations of Computer Science,
vol. 14-2, Abril 2003, pp. 267– 285.
[Cam02] Camp, T.; B oleng, J.; Davies, V. “A Survey of Mobility Models for Ad Hoc Network
Research”. Wireless Communication & Mobile Computing (WCMC): Special issue on
Mobile Ad Hoc Networking: Research, Trends and Applications, v ol. 2-5, Agosto 2 002,
pp. 483–502.
[Cer07] Cerf, V.; Burleigh, S.; Hoo ke, A.; Torgerson, L.; Durst, R.; Scott, K.; Fall, K.; Weiss, H.
“Delay-Tolerant Networking Architecture”. Request for Comments: 4838, 2007, 35p.
[Che07] Chen, C.; Chen, Z. “Evaluating Contacts for Routing in Highly Partitioned Mobile
Networks”. In: The First International Workshop on Mobile Opportunistic Networking,
2007, pp. 17–24.
[Chi98] Chiang, C.-C. “Wireless Network Multicasting”, Tese de Doutorado, University of Cali-
fornia, L os Angeles, 1998, 167p.
[Chl03] Chlamtac, I.; Conti, M.; Liu, J. J.-N. “Mobile Ad hoc Networking: Imperatives and
Challenges”. Ad Hoc Networks, vol. 1-1, Julho 2003, pp. 13–64.
[CON09] “United States M arine Corps - Command and Control On-the-move Network Digital Over-
the-horizon Relay (CONDOR)”, Capturado em: http://www.cengen.com/DEFENSE/
condor.htm, Outubro 2009.
[Del06] Delamare, F.; Dotti, F. L.; Fernandes, P.; Nunes, C. M.; Ost, L. C. “Analytical Modeling
of Random Waypoint Mobility Patterns”. I n: Third ACM International Workshop on
Performance Evaluation of Wireless Ad Hoc, Sensor, and Ubiquitous Networks, 2006, pp.
106–113.
[Die09] “UMass DieselNet”, Capturado em: http://prisms.cs.umass.edu/dome/
umassdieselnet, Outubro 2009.
[Ekm08] Ekman, F.; Keränen, A.; Karvo, J.; Ott, J. “Working Day Movement Model”. In: First
ACM SIGMOBILE International Workshop on Mobility Models for Networking Research,
2008, pp. 33–40.
[Fal03] Fall, K. “A Delay-Tolerant Network Architecture for Challenged Internets”. In: ACM
SIGCOMM, 2 003, pp. 27–34.
[Fal09] Fall, K.; Varadhan, K. “The ns Manual”, Capturado em: http://www.isi.edu/nsnam/
ns/doc, Janeiro 2009.
137
[Fer98] Fernandes, P.; Plateau, B.; Stewart, W. J . “Efficient Descriptor - Vector Multiplication in
Stochastic Automata Networks”. Journal of the ACM, vol. 45-3, Maio 1998, pp. 381–414.
[Fer09] Fernandes, R. M. S. “Proposta de um Mecanismo de Segurança Baseado em Troca de
Chaves Assimétricas para Redes Tolerantes a Atrasos e Desconexões”, Dissertação de
Mestrado, Universidade Federal do Rio de Janeiro/COPPE, Rio de Janeiro, Brasil, Março
2009, 138p.
[Fir09] “First Mile Solutions”, Capturado em: http://www.firstmilesolutions.com/, No-
vembro 2009.
[Gue87] Guerin, R. A. “Channel Occupancy Time Distribution in a Cellular Radio System”. IEEE
Transactions on Vehicular Technology, vol. 36-3, Agosto 1987, pp. 8 9–99.
[Haa01] Haas, Z. J.; Pearlman, M. R. “The Performance of Query Control Schemes for the Zone
Routing Protocol”. I EEE/ACM Tra nsactions o n Networking, vol. 9-4, Agosto 2001, pp.
427–438.
[Har05] Harras, K. A.; Almeroth, K. C.; Belding-Royer, E. M. “Delay Tolerant Mobile Networks
(DTMNs): Controlled Floodingin Sparse Mobile Networks”. In: Networking, 2005, pp.
1180–119 2.
[Har09] Harras, K. A.; Almeroth, K. C. “Controlled Flooding in Disconnected Sparse Mobile
Networks”. Wireless Communications and Mobile Computing, vol. 9-1, Janeiro 2 009, pp.
21–33.
[Hua09] Huang, J.-H.; Chen, Y.-Y.; Chen, Y.-C.; Mishra, S.; Chen, L.-J. “Improving Opportunistic
Data Dissemination via Selective Forwarding”. In: The 2nd IEEE International Workshop
on Opportunistic Networking (WON-09 ) , 2009, pp. 1–6.
[Hyy06] Hyytiä, E.; Lassila, P.; Virtamo, J. “Spatial Node Distribution of the Random Waypoint
Mobility Model with Applications”. IEEE Transactions on Mobile Computing, vol. 5-6,
Junho 2006, pp. 680–694.
[Jai04] Jain, S.; Fall, K.; Patra, R. “Routing in a Delay Tolerant Network”. In: ACM SIGCOMM,
2004, pp. 145–158 .
[Jar03] Jardosh, A.; Belding-Royer, E. M.; Almeroth, K. C.; Suri, S. “Towards Realistic Mobility
Models f or Mobile Ad hoc Networks”. In: Ninth Annual International Conference on
Mobile Computing and Networking, 2003, pp. 217–229.
[Jar05] Jardosh, A.; Belding-Royer, E. M.; Almeroth, K. C.; Suri, S. “Real–world Environment
Models for Mobile Ad hoc Networks”. IEEE Jo urnal on Special Areas in Communications
- Special Issue on Wireless Ad hoc Networks, vol. 23-3, Março 2005, pp. 1–21 .
138
[Jon05] Jones, E. P. C.; Li, L.; Ward, P. A. S. “Practical Routing in Delay-Tolerant Networks”.
In: ACM SIGCOMM 2005 - Workshop on delay tolerant networking and related topics
(WDTN-05), 2005, pp. 237–243.
[Jua02] J uang, P.; Oki, H.; Wang, Y.; Martonosi, M.; Peh, L. S.; Rubenstein, D. “Energy-efficient
Computing for Wildlife Tracking: Design Tradeoffs and Early Experiences with ZebraNet”.
In: 10th Annual Conference on Architectural Support for Programming Languages and
Operating Systems, 2002, pp. 96–107.
[Ker07] Keränen, A.; Ott, J. “Increasing Reality for DTN Protocol Simulations”, Relatório Téc-
nico, Helsinki University of Technology, 2007, 9p.
[Lee09] Lee, C.; Chang, D.; Shim, Y.; Choi, N.; Kwon, T.; Choi, Y. “Regional Token Based
Routing for DTNs”. In: The International Conference on Inf ormation Networkin, 2009,
pp. 1–5.
[Leg06] Legendre, F.; Borrel, V.; de Amorim, M. D.; Fdida, S. “Reconsidering Microscopic
Mobility Modeling for Self-Organizing Networks”. IEEE Network, vol. 20-6, Nov-Dez
2006, pp. 4–12.
[Lin03a] Lindgren, A.; Almquist, A.; Schelén, O. “Quality of Service Schemes for IEEE 802.11
Wireless LANs: An Eva luation”. Mobile Networking and Applications, vol. 8-3, J unho
2003, pp. 223–235 .
[Lin03b] Lindgren, A.; Doria, A.; Schelén, O. “Probabilistic Routing in Intermittently Connected
Networks”. SIGMOBILE Mobile Computing and Communications R eview, vol. 7-3, Julho
2003, pp. 19–20.
[Lin04] Lin, G.; oubir, G.; Rajaraman, R. “Mobility models for ad hoc network simulation”. I n:
IEEE Infocom, 2004 , pp. 454–463.
[Lin09] Lindgren, A.; Doria, A.; Davies, E.; Grasic, S. “Probabilistic Routing Protocol for Inter-
mittently Connected Networks”. I nternet-Draft: draft-irtf-dtnrg-prophet-04, 2009, 66p.
[Liu05] Liu, C.; Kaiser, J. “A Survey of Mobile Ad Hoc Network Routing Protocols”, R elatório
Técnico, University of Magdeburg, 2005, 36p.
[Mae05] Maeda, K.; Sato, K.; Konishi, K.; Yamasaki, A.; Uchiyama, A.; Yamaguchi, H.; Yasumoto,
K.; Higashino, T. “Getting Urban Pedestrian Flow fro m Simple Observation: Realistic
Mobility Generation in Wireless Network Simulation”. In: International Workshop on
Modeling Analysis and Simulation of Wireless and Mobile Systems, 2 005, pp. 151–158.
[Mus05] Musolesi, M.; Hailes, S.; Mascolo, C. “Adaptive Routing for Intermittently Connected
Mobile Ad Hoc Networks”. In: IEEE International Symposium on a World of Wireless,
Mobile and Multimedia Networks, 20 05, pp. 183–189.
139
[Mus07] Musolesi, M.; Mascolo, C. “Designing Mobility Models Based on Social Networks Theory”.
ACM SIGMOBILE Mobile Computing and Communications Review, vol. 11- 3, Julho 2007,
pp. 59–70.
[N4C09] “EU-project on Delay Tolerant Network (DTN) Technology and Test Beds Approved by
European Commission”, Capturado em: http://www.ltu.se/press/d2958/1.38034?
l=en, Setembro 2009.
[Nai05] Nain, P.; Towsley, D.; Liu, B.; Liu, Z. “Properties of Random Direction Models”. IEEE
Infocom, 200 5, pp. 1897–19 07.
[Nil04] Nilsson, A. “Performance Analy sis of Traffic Load and Node Density in Ad hoc Networks”.
The Fifth European Wireless Conference, 2004, pp. 1–7.
[Nun09a] Nunes, C. M.; Dotti, F. L. “Uma Nova Estratégia de Roteamento para Redes Toleran-
tes a Atrasos”. In: XXVII Simpósio Brasileiro de Redes de Computadores e Sistemas
Distribuídos, 2009, pp. 757–770.
[Nun09b] Nunes, C. M.; Link, E.; Dotti, F. L. “Evaluating the Impact of an Acknowledgment
Strategy for APRP”. In: 5th International Latin American Networking Conference, 2009,
pp. 77–86.
[Nun10] Nunes, C. M.; Dotti, F. L.; Oliveira, J. B. S. de. “APRP-Group: Roteamento para Redes
DTN com Repasse baseado em Agrupamento de Nodos por Potencial de Entrega”. In:
XXVI II Simpósio Brasileiro de Redes de Computadores e Sistemas Distribuídos, 2010, pp.
451–464.
[Oli08] Oliveira, J. B. S. de. “Two Algorithms for Automatic Document Page Layout”. In: ACM
Symposium on Document Engineering, 200 8, pp. 141–149.
[Oli09a] Oliveira, C. T. de; Duarte, O. C. M. B. “Uma Análise da Probabilidade de Entrega de
Mensagens em Redes Tolerantes a Atrasos e Desconexões”. In: XXV Simpósio Brasileiro
de Redes de Computadores e Sistemas Distribuídos, 2009, pp. 2 93–305.
[Oli09b] Oliveira, C. T. de; Moreira, M. D. D.; Rubinstein, M. G.; Costa, L. H. M. K.; Duarte, O.
C. M. B. “Redes Tolerantes a Atrasos e Desconees”. In: Minicursos do XXV Simpósio
Brasileiro de Redes de Computadores e Sistemas Distribuídos, 2009, pp. 203–2 56.
[Oli09c] Oliveira, E. C. R. de; Albuquerque, C. V. N. “Análise do Protocolo NECTAR em Cenários
com Mobilidade e Frequentes Interrupções”. In: XXVII Simpósio Brasileiro de Redes de
Computadores e Sistemas Distribuídos, 200 9, pp. 7 71–784.
[Oli09d] Oliveira, E. C. R. de; Albuquerque, C. V. N. “NECTAR: A DTN Routing Protocol
based on Neighborhood Contact History”. In: 24th Annual ACM Symposium on Applied
Computing, 2009, pp. 40–46.
140
[Ott06] Ott, J.; Kutscher, D. “A Modular Access Gateway for Managing Intermittent Connectivity
in Vehicular Communications”. European Transactions on Telecommunications, vol. 17-2,
Junho 2006, pp. 159–174.
[Paz07] Pazand, B.; McDonald, C. “A Critique of Mobility Models for Wireless Network Simula-
tion”. In: 6th Annual IEEE/ACIS International Conference on Computer and Information
Science, 200 7, pp. 141–146.
[Pen04] Pentland, A. S.; Fletcher, R.; Hasson, A. “DakNet: Rethinking Connectivity in Developing
Nations”. Computer, vol. 37-1, Janeiro 2004, pp. 78– 83.
[Per94] Perkins, C. E.; Bhagwat, P. “Highly Dynamic Destination-Sequenced Distance-Vector
routing (DSDV) for Mobile Computers”. In: ACM SIGCOMM, 1994, pp. 234–244.
[Per03] Perkins, C. E.; Belding-R oyer, E.; Das, S. R. “Ad hoc On-Demand Distance Vector
(AODV) Routing”. Request for Comments: 3561 , 2003, 37p.
[Pol09] Polat, B. K.; Khan, M.; Tuli, N.; Kailay, P. “ZBMF: Zone Based Message Ferrying
for Disruption Tolerant Networks”. Communications and Networking in China, vol. 26 ,
Fevereiro 20 09, pp. 48–59.
[Res02] Resta, G.; Sa nti, P. “An Analysis of the Node Spatial Distribution of the Ra ndo m Way-
point Mobility Model for Ad Hoc Networks”. In: Workshop On Principles o f Mobile
Computing, 2002, pp. 44–50.
[Ric05] Rice, J. “SeaWeb Acoustic Communication and Navigation Network”. In: Underwater
Acoustic Measurements: Technologies and Results., 2005, pp. 1–7.
[San02] Santi, P.; Blough, D. M. “An Evaluation of Connectivity in M obile Wireless Ad Hoc
Networks”. In: T he I nternational Conference on Dependable Systems and Networks,
2002, pp. 89–102.
[San08] Sandulescu, G.; Nadjm-Tehrani, S. “Opportunistic DTN Routing with Window-aware
Ada ptiv e Replication”. In: 4th Asian Conference on Internet Engineering, 2008, pp. 103–
112.
[Sar07] Sarkar, S. K.; B asavaraju, T. G.; Puttamadappa, C. “Ad Hoc Mobile Wireless Networks:
Principles, Protocols and Applications”. Boston, MA, USA: Auerbach Publications, 2007,
336p.
[Sco05] Scott, K. “Disruption Tolerant Networking Proxies for On-the-Mov e Tactical Networks”.
In: Military Communication Conference, 2005, pp. 3226–3231.
[Sco07] Scott, K.; Burleigh, S. “B undle Protocol Specification”. Request for Comments: 5050,
2007, 50p.
141
[Sha08] Shah, S. “Performance Evaluation of Ad Hoc Routing Protocols Using NS2 Simulation”.
In: Mobile and Pervasive Computing, 2008, pp. 18–26.
[Ski97] Skiena, S. S. “The Algorithm Design Manual”. New York, NY: Springer-Verlag New York,
Inc., 1997, 504p.
[Spy08] Spyropoulos, T.; Psounis, K.; R aghavendra, C. “Efficient Routing in Intermittently Con-
nected Mobile Networks: the Multiple-copy Case”. IEEE/ACM Transactions on Networ-
king, vol. 16-1, Fevereiro 2008, pp. 7 7–90.
[Sri05] Sridhara, V.; Kim, J.; Bohacek, S. “Performance of Urban Mesh Networks”. In: Interna-
tional Workshop on Modeling Analysis and Simulation of Wireless a nd M obile Systems,
2005, pp. 269–277 .
[Ste94] Stewart, W. J. “Introduction to the Numerical Solution of Markov Chains”. Princeton
University Press, 1994, 529p.
[Ste05] Stepanov, I.; Marron, P. J.; Rothermel, K. “Mobility Modeling of Outdoor Scenarios for
MANETs”. In: Annual Simulation Symposium, 200 5, pp. 312–322.
[Tan03] Tan, K.; Zhang, Q.; Zhu, W. “Shortest Path Routing in Partially Connected Ad hoc
Networks”. In: Global Telecommunications Conference, 2003, pp. 1038 1042.
[TIE09] “TIER - Technology and Infrastructure for Emerging Regions”, Capturado em: http:
//tier.cs.berkeley.edu/wiki/Home, Setembro 2009.
[Tou09] Tournoux, P. U.; Leguay, J.; Benbadis, F.; Conan, V.; de Amorim, M. D.; Whitbeck, J.
“The Accordion Phenomenon: Analysis, Characterization, and Impact on DTN Routing”.
In: IEEE Infocom, 2009, pp. 1116–1124.
[Tsu03] Tsumochi, J.; Masayma, K.; Uehara, H.; Yokoymat, M. “Impact of Mobility Metric on
Routing Protocols for Mobile Ad Hoc Networks”. In: Communications, Computers and
Signal Processing, 2003, pp. 3 22–325.
[Tur09] “TurtleNet”, Capturado em: http://prisms.cs.umass.edu/dome/turtlenet, Outu-
bro 2009.
[Vah0 0] Vahdat, A.; Becker, D. “Epidemic Routing for Partially-Connected Ad Hoc Networks”,
Relatório Técnico, Duke University, 2000, 14p.
[Ven06] Venkateswaran, P.; Ghosh, R.; Das, A.; Sanyal, S.; Nandi, R. “An Obstacle Based
Realistic Ad-Hoc Mobility Model for Social Networks”. Journal o f Networks, vol. 1-2,
June 2006, pp. 37–44.
142
[War03] Warthman, F. “Delay-Tolerant Networks (DTNs): A Tutorial v1.1”, Capturado em:
http://www.dtnrg.org/docs/tutorials/warthman-1.1.pdf, March 2003.
[Whi09] Whitbeck, J.; Conan, V. “HYMAD: Hybrid DTN-MANET Routing for Dense and Highly
Dynamic Wireless Networks”. In: Third International IEEE WoWMoM Workshop on
Autononomic and Opportunistic Communications, 2009, pp. 1–7.
[Xu05] Xu, R.; II, D. W. “Survey of Clustering Algorithms. IEEE Transactions on Neural
Networks, vol. 16-3, Maio 2005, pp. 645–678.
[Yoo06] Yoon, J.; Noble, B. D.; L iu, M.; Kim, M. “Building Realistic Mobility Models from Coarse-
grained Traces”. In: The International Conference on Mobile Systems, Applications, and
Services, 20 06, pp. 177–190.
[Zha06] Zhang, Z. “Routing in Intermittently Connected M obile Ad hoc Networks and Delay
Tolerant Networks: Overview and Challenges”. IEEE Communications Surveys & Tutorials,
vol. 8-1, First Quarter 20 06, pp. 24–37.
[Zha07] Zhang, X.; Kurose, J.; Levine, B. N.; Towsley, D.; Zhang, H. “Study of a Bus-based
Disruption-Tolerant Network: M obility Modeling and Impact on Routing”. In: Tha Annual
International Conference on Mobile Computing and Networking, 200 7, pp. 195–206.
143
A. Modelagem do Random Waypoint
Este Apêndice apresenta um estudo, publicado em [Del06], no qual o padrão de mobilidade
Random Waypoint foi modelado, através de um método analítico. Essa modelagem tem o obj etivo
de derivar a distribuição espacial do nodo, ou seja, a distribuição da probabilidade de um nodo
estar em uma posição da área analisada. Como alguns experimentos apresentados no Capítulo 4
utilizaram o padrão de mobilidade Random Way point para definir o movimento dos nodos na rede,
com esse estudo foi possível ajustar o tempo dos experimentos para atingir a distribuição espacial
do nodo compatível com a obtida através do método analítico.
A modelagem dos padrões de mobilidade encontrada na literatura propõe o uso de simulação
ou de modelos analíticos para a sua representação. Enquanto os modelos anal íticos podem fornecer
índices mais confiáveis do que os modelos de simulação, a representação de a lguns aspectos de
determinado sistema pode se tornar bastante complexa ou levar a modelos o tratáveis. Uma
alternativa para suportar tal complexidade é o uso de formalismos Markovianos estruturados, como
SAN (Stochastic Automata Networks) [Fer98] (utilizado neste trabalho). Esses formalismos são
usados para modelar sistemas complexos e com paralelismo intrínseco. Contudo, o uso de tais
formalismos obriga a consideração de um espaço de estado discreto, apesar da representação da
mobilidade física de um nodo ser intuitivamente descrita como um modelo de espaço de estado
contínuo.
No formalismo SAN, a ideia bá sica é representar um sistema como uma coleção de subsistemas
com um comportamento indep endente (transições locais) e interdependências ocasionais (taxas
funcionais e eventos sincronizantes). Cada subsistema é descrito como um autônomo estocástico, ou
seja, um autômato no qual as transições são rotuladas com informações probabilísticas e de tempo.
Um modelo SAN tem sempre um modelo de uma cadeia de Markov equivalente [Bre05] [Ste94].
Além disso, dois tipos de eventos que trocam o estado de um modelo SAN: eventos locais e
eventos sincronizantes. Eventos locais trocam o estado local de somente um autômato, enquanto
eventos sincronizantes trocam o estado local de rios autômatos simultaneamente.
Uma das vantagens da utilização de SAN na modelagem de padrões de mobilidade se pelo
fato de com SAN ser possível entender alguns aspectos a respeito do padrão modelado , como
por exemplo, tempo de pausa, velocidade, estratégias de roteamento usadas, entre outras. Além
disso, como SAN é um formalismo modular, torna-se fácil expandir o modelo inicial para modelos
mais detalhados e com mais características, como por exemplo, o número de dimensões da área
e o formato da área modelada, em um modelo relativamente pequeno se comparado com a sua
cadeia de Markov equivalente. Este Apêndice analisa a distribuição espacial do nodo no padrão de
mobilidade Random Waypo i nt usando SAN em uma rede considerando tanto uma superfície regular
quanto irregular.
144
A.1 Modelagem de Superfícies Quadradas em SAN
Esta seção apresenta a modelagem do padrão de mobilidade Random Waypoint em SAN. O
modelo com uma dimensão está apresentado na Figura A.1, o qual é composto por dois autômatos:
Dest_MN e Loc_MN. O autôma to Dest_MN representa o destino escolhido randomicamente,
o autômato Loc_MN representa a localização do nodo na área. Ambos autômatos possuem N
estados e cada estado representa uma região de M/N m. A região de M m é modelada como uma
linha, o nde um nodo pode se mover para leste ou oeste. Para modelar tal realidade usando um
formalismo de espaço discreto é necessário assumir o espaço com N slots.
N 1
f
1
= rtSpeed (stDest_MN < stLoc_MN)
f
2
= rtSpeed (stDest_MN > stLoc_MN)
π = 1/N
Tipo
Evento Taxa
loc moveW f
1
loc
moveE f
2
loc
chooseD f
3
...
Dest
chooseD(π)
chooseD(π)
chooseD(π)
chooseD(π)
chooseD(π)
chooseD(π)
...
...
...
chooseD(π)
chooseD(π)
...
...
...
...
chooseD(π)
...
moveW moveW
moveE moveE
moveW moveW
moveE moveE
moveW
moveE
0 3
Loc
1 2
10
N 1
f
3
= (1/P ause ((stDest_MN ) == (stLoc_M N))
Figura A.1: Modelo SAN do Ra ndo m Waypoint em uma dimensão.
Nesse modelo, a escolha do pximo destino é realizada pelo evento chooseD e a movimentação
do nodo para leste e oeste é feita pelos eventos moveE e moveW , respectivamente. Uma descrição
mais detalhada deste modelo está apresentada em [Del06].
Para validar o modelo apresentado na Figura A.1, comparou-se os resultados alcançados com os
apresentados em [Bet03] e [Res02], e verificou-se um erro muito pequeno, chegando a 10e-5 .
A Figura A.2 apresenta a distribuição de probabilidade de 20 slots para uma região de 1000 m,
analisando a mobilidade do nodo com uma velocidade de 32 m/s e tempos de pausa de 0,001, 4,
64 e 256 segundos. Nessa figura pode-se o bservar que conforme o tempo de pausa aumenta o nodo
se espalha mais na região, isto é, o resultado tende à distribuição uniforme. Isso é esperado pois
quando o tempo de pausa aumenta, o tempo gasto no caminho se torna menos importante do que o
tempo de pausa no cálculo da distribuição de probabilidade do nodo. Além disso, conforme o tempo
de pausa aumenta, a probabilidade tende a ser distribuída uniformemente, uma vez que o destino é
escolhido equiprovavelmente.
Uma outra abordagem analisada é a distribuição do nodo com diferentes valores de velocidade.
De acordo com [Bet03] e [Res02], a velocidade não afeta a distribuição considerando um tempo de
pausa igual a zero. Embora se possa verificar esse comportamento, o bservou-se também que para
um tempo de pausa significante (pausa de 60 segundos) a distribuição de probabilidade foi diferente
para diferentes velocidades (1 m/s, 4 m/s, 16 m/s e 64 m/s). De fato, quanto mais relevante for o
tempo de pausa em comparação com a velocidade do nodo, mais próximos os resultados estarão de
145
0
0.02
0.04
0.06
0.08
0.1
0 2 4 6 8 10 12 14 16 18
ocorrência
slot
Velocidade=32 Pausa=0.001
Velocidade=32 Pausa=4
Velocidade=32 Pausa=64
Velocidade=32 Pausa=256
Figura A.2: Distribuição de probabilidade do nodo com variação do temp o de pausa.
uma distribuição equiprovável. Esses resultados foram consistentes com as conclusões apresentadas
em [Res02].
o modelo SAN proposto para duas dimensões representa a região modelada em um espaço
bi-dimensional, no qual o nodo pode se mover para norte, sul, leste e oeste. O modelo usado para
representar esse mo vimento está apresentado na Figura A.3. Esse modelo foi obtido através de uma
extensão natural do modelo de uma dimensão. A mesma estrutura do modelo de uma dimensão foi
replicada, obtendo-se quatro autômatos para representar a SAN correspondente a esse novo modelo.
Tipo Evento Taxa
loc moveW f
W
loc moveE f
E
loc
move N f
N
loc
move S f
S
syn chooseD f
D
f
S
= rtSpeed ((stDestY ) > (stLocY ))
f
D
= (1/P ause) (((stDestX) == (stLocX))&&((stDestY ) == (stLocY )))
f
W
= rtSpeed ((stDestX) < (stLocX))
f
E
= rtSpeed ((stDestX) > (stLocX))
π = 1/N
chooseD(π)
DestX
chooseD(π)
chooseD(π)
chooseD(π)
chooseD(π)
chooseD(π)
...
...
... ...
chooseD(π)
chooseD(π)
... ...
...
...
...
...
...
chooseD(π)
chooseD(π)
chooseD(π)
chooseD(π)
chooseD(π)
chooseD(π)
chooseD(π)
DestY
......
......
chooseD(π)
...
...
moveW moveW
moveE moveE
moveW moveW
moveE moveE
moveW
moveE
LocX
moveS moveS moveS moveS moveS
...
moveN moveN moveN moveN moveN
LocY
0 1 2 3
0 1 2 3
0 1 N 1
0 1 N 1
N 1
N 1
...
chooseD(π)
...
chooseD(π)
f
N
= rtSpeed ((stDestY ) < (stLocY ))
Figura A.3: Modelo SAN do Random Waypo i nt em duas dimensões.
Nesse modelo dois autômatos para descrever a posição destino do nodo (DestX e DestY ) e
dois autômatos para descrever a localização corrente do mesmo (LocX e LocY ). Nos autômatos,
um ponto é obtido por uma coordenada x e y, isto é, a superfície é dividida em N slots × N slots.
A escolha do próximo destino (evento chooseD) é representada por um evento sincronizante. A
146
troca do destino pode trocar ambas coordenadas x e y, representando a ocorrência de transições
nos autômatos DestX e DestY .
Além disso, o movimento é representado por quatro eventos locais que descrevem movimentos
nas direções norte, sul, leste e oeste (respectivamente moveN, moveS, moveW , e moveE). Con-
tudo, como o nodo se move em um espaço discreto, uma estratégia de roteamento fo i necessária
para que o nodo saísse de um ponto e chegasse a outro. A estratégia que melhor se aproximou
do comportamento do movimento contínuo foi a chamada de “glutão”. Essa estratégia permite um
nodo se mover somente se esse movimento é na direção mais distante em relação ao destino. Uma
descrição ma i s detalhada desse modelo encontra-se em [Del06].
O uso de uma área de duas dimensões apresenta resultados semelhantes aos encontrados nos
modelos com uma dimensão. A Figura A.4 apresenta a distribuição espacial do nodo para uma
superfície de 1.000 m × 1.000 m que foi dividida em 20 slots × 20 slots, com alteração do tempo
de pausa e com a velocidade fixa em 32 m/ s.
0
2
4
6
8
10
12
14
16
18
0
2
4
6
8
10
12
14
16
18
0
0.001
0.002
0.003
0.004
0.005
0.006
0
2
4
6
8
10
12
14
16
18
0
2
4
6
8
10
12
14
16
18
0
0.001
0.002
0.003
0.004
0.005
0.006
0
2
4
6
8
10
12
14
16
18
0
2
4
6
8
10
12
14
16
18
0
0.001
0.002
0.003
0.004
0.005
0.006
0
2
4
6
8
10
12
14
16
18
0
2
4
6
8
10
12
14
16
18
0
0.001
0.002
0.003
0.004
0.005
0.006
a) 0,001 segundos b) 4 segundos c) 6 4 segundos d) 256 segundos
Figura A.4: Distribuição espacial do nodo com variação do tempo de pausa e velocidade de 32 m/s.
Os resultados encontrados, quando não se tem pausa, foram compatíveis com estudos existentes
em [Bet03] e [Res02], que consideram um espaço de estados contínuos. Observou-se que a velocidade
do nodo não altera sua distribuição espacial quando não se tem tempo de pa usa. Além disso,
constatou-se que essa distribuição espacial não é uniforme, sendo que os nodos se concentram mais
no centro da área do que nas bordas. Esse mesmo resultado foi obtido quando o tempo de pausa foi
fixado em 60 segundos e a velocidade do nodo variou em 1 m/s, 4 m/s, 16 m/s e 64 m/s [Del06].
Estudos mostraram que embora a posição inicial do nodo venha de uma distribuição uniforme,
o padrão de mobilidade altera essa distribuição durante o movimento. Esse efeito ocorre porque os
nodos tendem a atravessar o centro da região modelada com uma frequência relativamente maior
e, sem um tempo de pausa, o padrão é independente da escolha da velocidade do nodo. Contudo,
à medida que o tempo de pausa aumenta, a distribuição se aproxima da distribuição uniforme.
Além da extensão do modelo de uma dimensão em duas dimensões, pode-se estendê-lo nova-
mente para modelar áreas com três dimensões. Essa extensão é possível adicionando mais autômatos
e também mais complexidade nas funções. Uma modelagem experimental de três dimensões com o
Random Waypoint foi realizada, sendo incluídos mais dois autômatos no modelo de duas dimensões.
Esse experimento considerou 8 slots × 8 slots × 8 slots descrevendo um espaço de 1 km
3
, um
tempo de pausa de 0,001 segundos e velocidade de 10 m/s. A Figura A.5 representa a distribuição
espacial do nodo para algumas fatias no eixo z. Conforme esperado, uma alta probabilidade do
nodo estar no centro da região.
147
0
1
2
3
4
5
6
7
0
1
2
3
4
5
6
7
0
0.001
0.002
0.003
0.004
0.005
0
1
2
3
4
5
6
7
0
1
2
3
4
5
6
7
0
0.001
0.002
0.003
0.004
0.005
0
1
2
3
4
5
6
7
0
1
2
3
4
5
6
7
0
0.001
0.002
0.003
0.004
0.005
0
1
2
3
4
5
6
7
0
1
2
3
4
5
6
7
0
0.001
0.002
0.003
0.004
0.005
a) z=0 ou 7 b) z=1 ou 6 c) z=2 ou 5 d) z=3 ou 4
Figura A.5: Distribuição espacial do nodo em três dimensões.
0
2
4
6
8
10
12
14
16
18
20
0
2
4
6
8
10
12
14
16
18
0
0.005
0.01
0.015
0.02
0
4
8
12
16
20
24
28
32
36
40
0
4
8
12
16
20
24
28
32
36
0
0.001
0.002
0.003
0.004
0
2
4
6
8
10
12
14
16
18
0
2
4
6
8
10
12
14
16
18
0
0.005
0.01
0.015
0.02
a) Triângulo b) Hexágono c) Trapézio
Figura A.6: Random Waypoint na superfície regular e irregular - distribuição espacial do nodo.
Além disso, como traba lho futuro, é possível estender o mode lo para áreas estruturadas, como
prédios com obstáculos, por exemplo. Os obstáculos podem ser modelados em SAN atrav és de
taxas funcionais assumidas para as transições e através de funções de alcançabilidade que limitam
os estados alcançáveis.
A.2 Modelagem de Superfícies Irregulares em SAN
Uma importante característica de SAN é a construção modular que ajuda o reuso e a atualização
de partes do modelo. Esta seção apresenta uma extensão realizada no modelo de duas dimensões
apresentado na seção anterior para modelar áreas convexas, tais como triângulos, hexágonos (como
em [Hyy06]) e polígonos irregulares. Os resultados obtidos de todos os modelos com superfícies
irregulares mostraram consistência com aqueles obtidos previamente para superfícies quadradas.
Para modelar áreas irregulares, foi considerado o modelo utilizado nas superfícies quadradas e
foram adicionados obstáculos nas bordas, para o movimento não ocorrer nessas regiões. Nas Figu-
ras A.6a, A.6b e A.6c essas regiões estão representadas em preto, enquanto as regiões alcançáveis
estão em bra nco. Devido à discretização da superfície, os slots alcançáveis são uma aproximação
do polígono esperado.
A estratégia de roteamento usada é uma variação do algoritmo glutão , sendo feita uma pequena
mudança para prevenir o bloqueamento que pode a contecer, em alguns casos, perto de uma borda
irregular.
148
As regiões modeladas estão apresentadas na parte de cima da Fig ura A.6 e suas correspondentes
distribuições espaciais estão na parte de ba i xo da mesma figura.
Para representar um triângulo, foram assumidos 22 slots como base e lados, e 19 slots como
altura. Os resultados da distribuição espacial do nodo dessa área f oram obtidos considerando cada
slot com 50 m, como na área quadrada, com velocidade de 32 m/s e tempo de pausa de 0,001
segundos.
Alguns experimentos foram feitos para a superfície triangular, fixando a velocidade do nodo em
32 m/s e variando o tempo de pausa em 0,001, 4, 64 e 256 segundos. A Figura A.7 mostra a
distribuição de probabilidade de uma seção feita na metade do eixo y do triângulo. Experimentos
semelhantes foram feitos para o tempo de pausa fixo em 60 segundos e a velocidade variando em 1
m/s, 4 m/s, 16 m/s e 64 m/ s. Os resultados concluíram que a proporção entre os valores de pausa
e v elocidade parecem não serem importantes.
0
0.002
0.004
0.006
0.008
0.01
0 2 4 6 8 10 12 14 16 18
ocorrência
slot
Velocidade=32 Pausa=0.001
Velocidade=32 Pausa=4
Velocidade=32 Pausa=64
Velocidade=32 Pausa=256
Figura A.7: Corte feito na metade do eixo y da superfície do triângulo - variando a pausa.
Adicionalmente, como validação das modelagens, pode-se observar que a curva representando a
distribuição do nodo para a metade da seção do eixo y com velocidade de 32 m/s e tempo de pausa
de 0,001 segundos apresenta um comportamento muito parecido com os resultados apresentados
em [Hyy06].
Na área hexagonal, foram consideradas as dimensões do triângulo para cada uma das seis partes
que compõem o hexágono. Então a área hexago nal foi descrita dentro de um retângulo de 44 slots
× 38 slots. O resultado da distribuição espacial do nodo apresentado na Figura A.6b fo i obtido com
velocidade de 32 m/s e tempo de pausa de 0,001 segundos.
Esses mesmos valores de velocidade e pausa foram considerados no s resultados do trapézio
(Figura A.6c), que foram descritos com tama nho de 19 slots × 20 slots. Esse último exemplo
pretende mostrar que superfícies irregulares também podem ser modeladas em SAN.
Além disso, é importante observar que a modelagem de outras áreas se torna elegante e natural,
precisando principalmente especializar a definição das transições do movimento e escolha do destino,
mas mantendo genérico as partes principais do modelo de duas dimensões. Portanto, fica clara a
149
possibilidade de modelar áreas mais realistas para fazer predições sobre a distribuição espacial do
nodo dessas áreas.
De fato, mesmo políg onos o convexos poderiam ser modelados, mas para esses casos é neces-
ria uma definição mais cuidadosa das funções da estratégia de roteamento.
Analogamente, essa mesma análise pode ser realizada para outros padrões de mobilidade, como
o Random Direction, por exemplo.
Livros Grátis
( http://www.livrosgratis.com.br )
Milhares de Livros para Download:
Baixar livros de Administração
Baixar livros de Agronomia
Baixar livros de Arquitetura
Baixar livros de Artes
Baixar livros de Astronomia
Baixar livros de Biologia Geral
Baixar livros de Ciência da Computação
Baixar livros de Ciência da Informação
Baixar livros de Ciência Política
Baixar livros de Ciências da Saúde
Baixar livros de Comunicação
Baixar livros do Conselho Nacional de Educação - CNE
Baixar livros de Defesa civil
Baixar livros de Direito
Baixar livros de Direitos humanos
Baixar livros de Economia
Baixar livros de Economia Doméstica
Baixar livros de Educação
Baixar livros de Educação - Trânsito
Baixar livros de Educação Física
Baixar livros de Engenharia Aeroespacial
Baixar livros de Farmácia
Baixar livros de Filosofia
Baixar livros de Física
Baixar livros de Geociências
Baixar livros de Geografia
Baixar livros de História
Baixar livros de Línguas
Baixar livros de Literatura
Baixar livros de Literatura de Cordel
Baixar livros de Literatura Infantil
Baixar livros de Matemática
Baixar livros de Medicina
Baixar livros de Medicina Veterinária
Baixar livros de Meio Ambiente
Baixar livros de Meteorologia
Baixar Monografias e TCC
Baixar livros Multidisciplinar
Baixar livros de Música
Baixar livros de Psicologia
Baixar livros de Química
Baixar livros de Saúde Coletiva
Baixar livros de Serviço Social
Baixar livros de Sociologia
Baixar livros de Teologia
Baixar livros de Trabalho
Baixar livros de Turismo