Download PDF
ads:
1
ROBUSTEZ DA AVERSÃO MÍOPE A PERDAS: UM TESTE EXPERIMENTAL
Filippo Scognamiglio Renner Araújo
Universidade Federal do Rio de Janeiro – UFRJ
Instituto COPPEAD de Administração
Mestrado em Administração
Orientador: Professor Marcos Gonçalves Avila
Rio de Janeiro
2008
ads:
Livros Grátis
http://www.livrosgratis.com.br
Milhares de livros grátis para download.
2
ROBUSTEZ DA AVERSÃO MÍOPE A PERDAS: UM TESTE EXPERIMENTAL
Filippo Scognamiglio Renner Araújo
Dissertação submetida ao corpo docente do Instituto COPPEAD de
Administração da Universidade Federal do Rio de Janeiro – UFRJ, como parte
dos requisitos necessários à obtenção do grau de Mestre.
Aprovada por:
________________________________________________
Prof. Marcos Gonçalves Ávila – Orientador
COPPEAD – UFRJ
________________________________________________
Profª. Margarida Maria G. P. Sarmiento Gutierrez
COPPEAD – UFRJ
________________________________________________
Prof. Octavio Manuel Bessada Lion
Banco Central do Brasil
Rio de Janeiro
2008
ads:
3
FICHA CATALOGRÁFICA
Renner, Filippo S.
Robustez da Aversão Míope a Perdas: Um Teste Experimental /
Filippo Scognamiglio Renner Araújo. Rio de Janeiro: UFRJ /
COPPEAD, 2008.
x, 65p.
Orientador: Marcos Gonçalves Ávila
Dissertação (Mestrado) – Universidade Federal do Rio de Janeiro
– UFRJ, COPPEAD, 2008.
1. Aversão míope a perdas. 2. Teoria dos Prospectos.
3. Decisões de investimento. I. Ávila, Marcos Gonçalves. II. Tese
(Mestr. - UFRJ/COPPEAD). III. Título.
4
A
os meus pais Maria Pia e
Roberto e ao nonno. Obrigado
pelo apoio e dedicação.
5
AGRADECIMENTOS
Ao professor Marcos Ávila, pelo suporte e pela orientação neste trabalho.
À Paula Fogacci, pela ajuda em todas as etapas de confecção desta
dissertação.
Aos participantes do experimento e dos pré-testes, pela dedicação e
colaboração para esta pesquisa.
Ao corpo docente do Coppead, pelas horas de dedicação nas matérias que
cursei durante o mestrado.
Aos amigos da turma 2007, por transformarem um conjunto de aulas e textos
numa experiência valiosíssima.
Aos funcionários e funcionárias do Coppead, por todo seu apoio aos
mestrandos.
À minha família, meus amigos e minha namorada pelo apoio durante o curso.
À CAPES, pela bolsa que me foi concedida.
6
RESUMO
RENNER, Filippo S. Robustez da Aversão Míope a Perdas: Um Teste
Experimental. Dissertação (Mestrado em Administração) – Rio de Janeiro,
UFRJ / COPPEAD, 2008.
Na literatura sobre aversão míope a perdas, é sugerido que, para evitar
este viés, bancos e fundos de investimento deveriam enviar informações sobre
rendimentos com menor freqüência para seus clientes (Gneezy et al, 2003).
Neste trabalho, utilizou-se um desenho experimental adaptado de Thaler
et al (1997) para investigar o que acontece com o perfil de investimento de
pessoas quando a freqüência de informações sobre seus rendimentos é
alterada de forma exógena.
Os resultados encontrados mostram que os participantes do
experimento não alteraram seus perfis de investimento significativamente com
a mudança na freqüência de feedback.
7
ABSTRACT
RENNER, Filippo S. Robustez da Aversão Míope a Perdas: Um Teste
Experimental. Dissertação (Mestrado em Administração) – Rio de Janeiro,
UFRJ / COPPEAD, 2008.
In the literature about myopic loss aversion, it is commonly suggested
that banks and asset managements ought to decrease the frequency in which
they send out information to their clients (Gneezy et al, 2003).
In this paper, an experiment adapted from Thaler et al (1997) was made
in order to find out what happens to the subjects’ investment profiles when the
feedback frequency is altered exogenously.
The findings show that the subjects did not significantly change their
investment profile was when the feedback frequency was altered.
8
LISTA DE ILUSTRAÇÕES
FIGURAS
Figura 1 – Prêmio de Risco Anual. 1926-2000.
Figura 2 – Prêmio de Risco – Período de 20 Anos. 1926-2000.
Figura 3 – Prêmio de Risco Médio Mensal Brasileiro. Fonte = Leal (2002)
Figura 4 – Média do Prêmio de Risco Histórico Mensal.
Figura 5 – Média Móvel de 60 Meses do Prêmio de Risco Mensal.
Figura 6 – Função Valor da Teoria dos Prospectos.
GRÁFICOS
Gráfico 1 – Respostas à Pergunta Sobre Entendimento do Experimento
Gráfico 2 – Respostas à Pergunta Sobre Motivação no Experimento
Gráfico 3 – Alocações Anuais Médias no Fundo B
Gráfico 4 – Boxplot de Alocações Médias no Fundo B – Ano 1
Gráfico 5 – Boxplot de Alocações Médias no Fundo B – Ano 2
Gráfico 6 – Boxplot de Alocações Médias no Fundo B – Ano 3
Gráfico 7 – Boxplot de Alocações Médias no Fundo B – Ano 4
Gráfico 8 – Boxplot de Alocações Médias no Fundo B – Decisão Final
Gráfico 9 – Interpretação da ANOVA
9
LISTA DE TABELAS
Tabela 1 – Retornos em Países Selecionados
Tabela 2 – Prêmio de Risco de Mercado no Brasil
Tabela 3 – Retornos dos Fundos Experimentais
Tabela 4 – Alocações Anuais Médias no Fundo B
Tabela 5 – Testes de Normalidade das Alocações no Fundo B
Tabela 6 – Teste de Homogeneidade da Variância das Alocações no Fundo B
Tabela 7 – Testes de Normalidade das Decisões Entre Anos
Tabela 8 – Teste de Homogeneidade da Variância das Decisões Entre Anos
Tabela 9 – Resultados do Teste ANOVA Entre os Grupos
Tabela 10 – Resultados do Teste Post-Hoc LSD Entre os Grupos
Tabela 11 – Resultado da ANOVA Entre Anos
10
Sumário
1 INTRODUÇÃO..................................................................................................................11
2 REFERENCIAL TEÓRICO..............................................................................................14
2.1 O Equity Premium Puzzle.......................................................................................14
2.2 Aversão Míope a Perdas.........................................................................................21
2.3 Evidências Experimentais.......................................................................................25
3 METODOLOGIA...............................................................................................................29
3.1 Amostra......................................................................................................................30
3.2 Desenho do Experimento........................................................................................30
3.3 Remuneração dos Participantes............................................................................34
3.4 Pré-testes do Experimento......................................................................................35
3.5 Hipóteses...................................................................................................................35
3.6 Tratamento dos Dados............................................................................................37
3.7 Limitações
..................................................................................................................38
4 ANÁLISE DOS RESULTADOS......................................................................................39
4.1 Motivação e Entendimento dos Participantes......................................................39
4.2 Estatísticas Descritivas............................................................................................41
4.3 Análise de Premissas..............................................................................................46
4.3 Testes de Hipótese..................................................................................................51
5 CONCLUSÕES.................................................................................................................55
6 REFERÊNCIAS BIBLIOGRÁFICAS..............................................................................58
7 ANEXOS............................................................................................................................63
7.1 Instruções do Experimento.....................................................................................63
7.2 Tela do Experimento................................................................................................65
7.3 Questionário de Encerramento do Experimento.................................................66
11
1 INTRODUÇÃO
Em 1985, Mehra e Prescott publicaram um paper seminal que lançou
dúvida em muitos acadêmicos e profissionais: O prêmio de risco (o retorno em
excesso de um ativo de risco em relação a um título relativamente livre de
risco) é maior do que pode ser racionalizado nos conceitos neoclássicos de
racionalidade de mercado (Mehra e Prescott, 2003). Este desafio ficou
conhecido com o Equity Premium Puzzle e muitos acadêmicos desde então
tentaram propor soluções para este enigma.
Segundo Oyefeso (2006), as principais linhas de pesquisa desenvolvidas
para tentar explicar o enigma são baseadas em risco, inflação, microestrutura
de mercado (inclui segmentação do mercado, viés de sobrevivência, liquidez,
entre outros) e, finalmente, explicações baseadas em preferências e
comportamento dos investidores.
Uma das explicações mais promissoras para o puzzle na linha
comportamental foi desenvolvida por Benartzi e Thaler (1995), onde os autores
combinaram dois conceitos de finanças comportamentais (aversão a perdas
(Kahneman e Tversky, 1979) e mental accounting (Kahneman e Tversky, 1984;
Thaler, 1985)) e cunharam o termo aversão míope a perdas. Segundo Benartzi
e Thaler (1995), quanto maior a freqüência que os investidores avaliam seus
portfólios, mais avessos ao risco eles se tornam. A análise dos autores conclui
que, para explicar o puzzle, os investidores deveriam avaliar seus portfólios em
média uma vez por ano.
Buscando testar os efeitos da aversão míope a perdas em um ambiente
controlado, Gnezzy e Potters (1997) e Thaler et al (1997) desenvolveram
12
experimentos comparando a média de investimentos em ativos de alto e baixo
risco (como as ações em relação aos títulos livres de risco) de indivíduos
alocados em grupos com diferentes níveis de freqüência de feedback. Os
resultados confirmaram a teoria proposta por Benartzi e Thaler (1995). Muitos
experimentos foram desenvolvidos desde então (Haigh e List (2005), Gneezy et
al (2003), Sutter (2007), Pires (2006), entre outros), mas todos eles deixaram
os participantes em seus grupos do início ao fim. A exceção é o experimento
de Fellner e Sutter (2008), onde os pesquisadores deram aos participantes a
opção de grupo durante o experimento. No entanto, apenas 21 dos 118
indivíduos (17,8%) fizeram trocas.
Gneezy et al (2003) apresentam um exemplo real de uma iniciativa feita
com o objetivo de atenuar os efeitos da aversão míope a perdas. Em fevereiro
de 1999, o Hapoalim Bank, maior administrador de fundos mútuos de Israel,
anunciou que pretendia alterar a política de envio de informações de seus
fundos para os clientes. As informações estavam disponíveis a qualquer
momento se o cliente contatasse o banco, mas este só mandaria um relatório
com os dados de fundos trimestralmente e não a cada mês como fazia
anteriormente. No entanto, esta atitude só faz sentido se os investidores que já
estão acostumados a receberem informações numa certa freqüência mudarem
seu perfil de investimento com uma alteração na mesma. Esta foi a pergunta
que este trabalho buscou responder.
O objetivo deste trabalho é testar a robustez da aversão míope a perdas
trocando 100% dos indivíduos de um grupo com alta freqüência para um grupo
de baixa freqüência (e vice-versa) e comparar o perfil de investimentos no ativo
13
mais arriscado. Se a freqüência dos resultados é modificada ao longo do
tempo, isto atenua ou amplifica os resultados da aversão míope a perdas?
Este trabalho tem relevância prática significativas. Os resultados podem
ajudar os administradores de fundos de terceiros a modificarem suas
estratégias de marketing visando o maior rendimento para seus clientes, que,
com os efeitos da aversão míope a perdas atenuado, tendem a obter maiores
rendimentos no longo prazo.
A contribuição acadêmica também é relevante, pois é um experimento
inédito que testa a robustez da aversão míope a perdas num contexto mais
próximo a realidade, já que, na prática, os investidores já estão acostumados
com uma determinada freqüência de feedback.
Neste trabalho, o resultado encontrado difere do esperado pela aversão
míope as perdas. Não foi observada nenhuma mudança significativa no perfil
de investimento dos participantes após a mudança na freqüência de feedback.
Dado que as decisões de cada grupo não diferiram estatisticamente ao longo
do experimento, a explicação mais plausível para o acontecido é que os
participantes se acostumaram com o perfil de investimento que eles
desenvolveram e sofreram do efeito do viés do status quo (Samuelson e
Zeckhauser, 1988). No entanto, só é possível concluir isto realizando um novo
experimento que busque de fato analisar esta hipótese.
O restante deste trabalho está organizado da seguinte maneira. O
capítulo 2 apresenta a fundamentação teórica que justifica este trabalho e as
hipóteses testadas. O capítulo 3 apresenta a metodologia utilizada na
pesquisa, o desenho experimental, as hipóteses de pesquisa e o tratamento
14
dos dados. O capítulo 4 mostra os resultados do experimento. O capítulo 5
conclui e o capítulo 6 apresenta a bibliografia utilizada.
2 REFERENCIAL TEÓRICO
Neste capítulo buscar-se-á apresentar ao leitor os principais conceitos
desenvolvidos na literatura sobre o Equity Premium Puzzle (no mundo e no
Brasil), o conceito de aversão míope a perdas, os experimentos desenvolvidos
no Brasil e no mundo sobre este tema e a justificativa para realização do
experimento proposto.
2.1 O Equity Premium Puzzle
Mehra e Prescott (1985) demonstraram que o prêmio de risco, ou equity
premium, (o retorno em excesso de um ativo de risco em relação a um título
relativamente livre de risco) é maior do que pode ser justificado através dos
conceitos neoclássicos como aceitável para investidores racionais (Mehra e
Prescott, 2003).
O retorno real anual médio (retorno ajustado pela inflação) do mercado
de ações dos E.U.A. de 1889 até o ano 2000 foi de 8,06%. O retorno real
médio anual de um título relativamente livre de risco neste mesmo período foi
de apenas 1,14%, o que faz com que a diferença entre os dois, o prêmio de
mercado, seja igual a 6,92% ao ano (Mehra e Prescott, 2003).
15
Mehra (2003) mostra que o puzzle do prêmio de risco não ocorre apenas
no mercado americano. A tabela 1
1
mostra os retornos médios reais de
mercado, dos ativos livres de risco e do prêmio de mercado de outros países
com mercados de capitais desenvolvidos:
Tabela 1 - Retornos em Países Selecionados
País Período Índice de Mercado Ativo Livre de Risco Prêmio de Risco
Reino Unido 1947-1998 5,7% 1,1% 4,6%
Japão 1947-1998 4,7% 1,4% 3,3%
Alemanha 1947-1998 9,8% 3,2% 6,6%
França 1947-1998 9,0% 2,7% 6,3%
Retorno Real Médio Annual
O prêmio de risco varia consideravelmente ao longo do tempo e
depende do horizonte de tempo em que é medido. As figuras 1 e 2 mostram
uma evolução do prêmio de risco no mercado americano com horizontes de um
e vinte anos, respectivamente (Mehra e Prescott, 2003).

1
Fonte:Mehra(2003).
16
Embora fique claro pelos dados apresentados que de fato existe um
prêmio de risco, até então não fica clara a razão deste prêmio se tornar um
puzzle. A grande contribuição de Mehra e Prescott (1985) foi justamente medir
o coeficiente relativo de aversão ao risco implícito nos prêmios de risco
observados no mercado financeiro americano. O resultado encontrado é da
ordem de 30, enquanto outros estudos práticos e teóricos afirmam que este
coeficiente deve ser menor do que 10 e próximo de 1. Isto significa que a
aversão ao risco implícita é uma ordem de grandeza acima do esperado pela
literatura. Como conclui Mehra (2003), o Equity Premium Puzzle é um enigma
quantitativo e não qualitativo.
Para exemplificar o tamanho do contraste entre o coeficiente de risco
encontrado por Mehra e Prescott (1985) e o esperado, Mankiw e Zeldes (1991)
ilustram este problema da seguinte forma. Imagine que um indivíduo recebe
uma proposta de participar de um jogo em que há 50% de chance de ganhar
$50.000 e 50% de chance de ganhar $100.000. Uma pessoa com um
17
coeficiente relativo de aversão ao risco de 30 seria indiferente entre este jogo e
um ganho certo de $51.209. Dificilmente alguém seria tão avesso a risco.
MaCurdy e Shoven (1992) examinam o prêmio de risco de forma
diferente. Os pesquisadores observam os dados do ponto de vista de
professores investindo em um fundo de pensão. Eles assumiram que estes
professores investem 10% de seus salários todos os anos, e buscam descobrir
como renderiam os investimentos deles se investissem em ações ou em títulos
livres de risco (títulos do tesouro americano). Os pesquisadores utilizam o
período de contribuição variando de 25 a 40 anos e os resultados mostram
que, na grande maioria dos casos, os investimentos em ações têm retornos
muito superiores aos investimentos em títulos livres de risco.
Dado que o prêmio de risco é a diferença entre o retorno das ações em
relação ao ativo livre de risco, talvez esta diferença pudesse ser explicada por
uma taxa livre de risco baixa demais. Weil (1989) sugere a existência de um
risk-free rate puzzle.
No Brasil, a existência do prêmio de risco de mercado é clara, já que as
ações rendem mais que a renda fixa, como mostram as figuras 3, 4 e 5 abaixo:
18
Figura 3 – Fonte: Leal (2002)
Figura 4 – Fonte: Leal (2002)
19
Figura 5 – Fonte: Leal (2002)
Leal (2002) analisou uma base de dados de janeiro de 1974 a dezembro
2001, com atualização posterior até dezembro de 2004. Utilizando os retornos
do Ibovespa como índice de retorno de mercado, a taxa Selic como ativo livre
de risco e o IGP-DI como índice de inflação, Leal encontra os resultados de
prêmio de risco de mercado resumidos na tabela 2
2
:

2
Fonte:Leal(2002).
20
Tabela 2 - Prêmio de Risco de Mercado no Brasil
Períodos # Anos Mensal Anual
1976-2006 30 1,5% 20,1%
1986-2006 20 1,2% 15,2%
1991-2006 15 0,6% 7,5%
2001-2006 5 0,9% 11,3%
Prêmio de Risco de Mercado
Segundo Correa (2002), um relatório do Unibanco de 2002 adota um
prêmio de 8,6% ao ano, utilizando uma base de dados de 1984 a 1999; um
estudo de 2001 da ANEEL que analisou uma base de 1980 a 2000 adota um
prêmio de 3,9% ao ano e um estudo da consultoria McKinsey realizado em
1993 adota um prêmio de 12% ao utilizar uma base de 1973 a 1993. Correa
conclui que o prêmio de mercado adequado, utilizando dados do Ibovespa,
IGP-DI, poupança e CDI, é de 9% ao ano.
No entanto, para que exista um puzzle do prêmio de risco de mercado, é
necessário que, como nos resultados encontrados por Mehra e Prescott (1985),
o coeficiente de aversão ao risco implícito seja demasiadamente alto. A
literatura desenvolvida neste tema mostra que a existência do puzzle no Brasil
não é tão clara. Sampaio (2002) utiliza o mesmo modelo de Mehra e Prescott
(1985) e não encontra uma resposta única para a existência do puzzle no
Brasil. O coeficiente de aversão ao risco implícito no mercado brasileiro
encontrado foi de 6,1, o que está dentro do intervalo considerado razoável na
literatura empírica. No entanto, o risk-free puzzle do Brasil aparece invertido,
pois os retornos dos títulos relativamente livres de risco são muito altos.
Após a publicação do paper de Mehra e Prescott (1985), muitos
acadêmicos buscaram encontrar uma solução para o puzzle, mas até a
presente data não há um consenso na literatura sobre a resolução do puzzle
21
(Oyefeso, 2006). Segundo Oyefeso (2006), as principais linhas de pesquisa
desenvolvidas para tentar explicar o enigma são baseadas em risco, inflação,
microestrutura de mercado (inclui segmentação do mercado, viés de
sobrevivência, liquidez, entre outros) e, finalmente, explicações baseadas em
preferências e comportamento dos investidores. Uma das explicações mais
promissoras para a explicação do puzzle na linha comportamental foi
desenvolvida por Benartzi e Thaler (1995), onde os autores combinaram dois
conceitos das finanças comportamentais (aversão a perdas (Kahneman e
Tversky, 1979) e mental accounting (Kahneman e Tversky, 1984; Thaler,
1985)) e cunharam o termo aversão míope a perdas
2.2 Aversão Míope a Perdas
Segundo Benartzi e Thaler (1995), a aversão míope a perdas é baseada
na combinação de dois conceitos estudados na área de finanças
comportamentais e tomada de decisões em ambientes de incerteza. O primeiro
conceito, aversão a perdas, é fundamental no desenvolvimento da teoria dos
prospectos de Kahneman e Tversky (1979). Neste modelo, a utilidade é
definida com base em ganhos e perdas relativas a um ponto de referência. A
inclinação da curva na área das perdas é maior do que na área dos ganhos e
esta diferença é o coeficiente de aversão a perdas. Estudos experimentais
mostram que este coeficiente é próximo a 2, ou seja, um indivíduo precisa
ganhar em torno de $2X para recuperar a utilidade negativa da perda de $X
(Tversky e Kahneman, 1991; Kahneman, Knetsch e Thaler, 1990). A
22
representação gráfica da curva de utilidade sob a luz da teoria dos prospectos
pode ser observada na figura 6.
Figura 6 – Função Valor da Teoria dos Prospectos
O segundo conceito utilizado é o mental accouting (Kahneman e
Tversky, 1984; Thaler, 1985), que se refere à forma e aos métodos utilizados
pelos indivíduos para avaliar resultados financeiros de investimentos, apostas,
etc. Mais especificamente, o agrupamento dinâmico de informações que é feito
pelas pessoas é a característica mais relevante para a aversão míope a
perdas. Dado que existe aversão a perdas, este agrupamento não é neutro,
como pode ser visto no exemplo abaixo.
23
Considere uma pessoa com coeficiente de aversão a perdas de 2,5.
Assumindo que x seja a mudança de riqueza deste indivíduo com relação ao
status quo, pode-se construir a seguinte função de utilidade:
x x > 0
-2,5x x < 0
Neste exemplo, vamos considerar o problema proposto por Samuelson
(1963) onde ele pergunta a um colega se ele aceitaria a seguinte aposta: uma
moeda seria lançada e se o resultado fosse cara, Samuelson pagaria $200 ao
seu colega. Se o resultado fosse coroa, seu colega deveria pagar $100 a
Samuelson. Para um lançamento, a função U(x) definida acima tem utilidade
esperada negativa:
U
1
= $200 * 0,5 - $100 * 0,5 * 2,5
U
1
= -25
De fato, seu colega rejeitou a aposta dizendo que “sentiria mais a perda
de $100 do que um ganho de $200”. No entanto, disse que aceitaria a aposta
se a mesma fosse realizada 100 vezes. Pode-se analisar que, mesmo para
dois lançamentos, utilizando a equação de U(x) definida acima, esta aposta já
gera utilidade esperada positiva:
U
2
= $400 * 0,25 + $100 * 0,5 - $200 * 0,25 * 2,5
U
2
= 100
U(x) =
24
Samuelson considera que rejeitar uma aposta a ser realizada uma única
vez, mas aceitá-la se repetida 100 vezes é irracional e formula um teorema. Diz
que, se um indivíduo não está disposto a aceitar uma única aposta a qualquer
nível de riqueza, este mesmo indivíduo deveria rejeitar uma série das mesmas
apostas
3
.
O argumento demonstrado acima tem relevância prática. Imagine agora
um investidor que deve decidir entre um ativo arriscado com retorno esperado
em 10% e desvio padrão de 30% ou um ativo livre de risco que dê um retorno
de 2%. A decisão do investidor vai depender do seu horizonte de investimento
– quanto mais longo, mais atrativo ficará o ativo arriscado, desde que o
investimento não seja avaliado freqüentemente. Então, segundo Benartzi e
Thaler (1995), há dois fatores que contribuem para aumentar a aversão ao
risco de um investidor: o horizonte de investimento e a freqüência de avaliação
dos resultados. Esta combinação é o que eles chamam de aversão míope a
perdas.
No entanto, Bernatzi e Thaler (1995) não fizeram nenhum experimento
para testar o conceito de aversão míope a perdas em laboratório. Ao invés
disto, os autores utilizaram modelo que leva em consideração parâmetros de
aversão a perdas numa base de dados históricos de mercado e tentaram
encontrar o tempo médio implícito que os investidores reavaliam seus
portfólios. Benartzi e Thaler encontram que o tempo de reavaliação de
portfólios é de aproximadamente um ano. A próxima sessão mostrará os

3
Este argumento pode ser suportado através de indução. Imagine que, na 99ª rodada Samuelson
perguntasse se ele deveria jogar a centésima moeda. O jogador não aceitaria, pois seria uma jogada
única.Omesmoaconteceda 98ªpara a99e assimpordiante,atéqueo jogarnãoaceitarianenhuma
aposta.
25
principais experimentos realizados na literatura sobre este tema e seus
principais resultados.
2.3 Evidências Experimentais
Desde o artigo seminal de Benartzi e Thaler (1995), muitos trabalhos
foram feitos para aprofundar experimentalmente o conceito de aversão míope a
perdas. Para confirmar o efeito principal num ambiente controlado, Gneezy e
Potters (1997) e Thaler et al (1997) desenharam experimentos diferentes e o
resultado foi o mesmo: a aversão míope a perdas foi verificada
experimentalmente.
Uma vez que a aversão míope a perdas foi observada em ambientes
controlados, com tomadas de decisão individuais e com amostras de
estudantes, outros pesquisadores começaram a realizar experimentos para
testar este fenômeno em condições mais próximas da realidade.
Haigh e List (2005) repetiram o experimento de Gneezy e Potters (1997)
utilizando uma amostra de traders do Chicago Board Of Trade e
concluíram que pessoas com experiência de mercado sofrem ainda mais
com o efeito da aversão míope a perdas do que estudantes
universitários.
Sutter (2007) repetiu o experimento de Gneezy e Potters (1997) para
averiguar o efeito da aversão míope a perdas na tomada de decisão em
grupo de três pessoas. Concluiu que times continuam sofrendo de
aversão míope a perdas, porém o efeito é atenuado.
26
Gneezy et al (2003) realizaram um experimento para testar a aversão
míope a perdas num contexto de mercado, onde as decisões de um
indivíduo afetavam os outros. Concluíram que a aversão míope a perdas
ainda existe num contexto que inclui a troca de ativos entre investidores.
Pires (2006) repetiu o experimento de Thaler et al (1997) e concluiu que
a aversão míope a perdas pode ser observada no contexto brasileiro.
Analisando os estudos citados acima, parece ser razoável concluir que a
aversão míope a perdas é robusta, pelo menos utilizando a metodologia
experimental. No entanto, alguns dos resultados destes experimentos chamam
atenção. Por exemplo, no trabalho de Gneezy e Potters (1997) a diferença
entre os grupos de alta e baixa freqüência de feedback já é significativa na
primeira decisão. Os trabalhos de Sutter (2007), Haigh e List (2005) e Gneezy
et al (2003) não explicitam diferenças na primeira decisão, mas mostram que já
há divergências significativas entre os grupos na média dos três primeiros
rounds (uma decisão de baixa freqüência comparada com a média três
decisões de alta freqüência). Estes resultados são intrigantes, pois se o driver
da aversão míope a perdas é a freqüência do feedback (Benartzi e Thaler,
1997), por que as pessoas já começam investindo de forma diferente, sem ter
qualquer feedback?
Buscando responder esta pergunta, alguns trabalhos foram realizados
com o objetivo de separar a freqüência de feedback da flexibilidade de
investimentos.
Langer e Weber (2003a) utilizaram um desenho experimental de ganhos
cumulativos (diferente do desenho de Gneezy e Potters (1997) onde a cada
27
round o montante a ser investido era o mesmo) e investigaram os perfis de
investimentos de indivíduos em quatro diferentes grupos (combinando alta
(baixa) freqüência e alta (baixa) flexibilidade de investimento). Os autores
encontram que somente a flexibilidade tem efeito significante e encontram
ainda um efeito de interação entre estas duas variáveis. Manipulando ambas
variáveis, aumenta-se o investimento no ativo de risco. No entanto, o efeito
conjunto é reverso (porém sem significância estatística) ou não existente. Isto
quer dizer que, com um horizonte longo de investimento, diminuir a freqüência
de feedback não influencia ou tem influência negativa para o investidor (pode
gerar ainda mais aversão ao risco).
Fellner e Sutter (2008) utilizam um desenho experimental similar a
Gneezy e Potters (1997) com três grupos (alta freqüência de feedback com alta
flexibilidade de investimento; alta freqüência de feedback com baixa
flexibilidade de investimento; baixa freqüência de feedback com baixa
flexibilidade de investimento). Os autores não encontram evidências
estatísticas para inferir que, alterando a freqüência de feedback, os
investimentos seriam diferentes. Na verdade eles encontram os mesmos
resultados que Langer e Webber (2003a): os investidores com alta freqüência
de feedback foram menos avessos ao risco do que aqueles com baixa
freqüência de feedback (no entanto, esta diferença não tem significância
estatística).
Bellemare et al (2005) realizaram um experimento muito similar ao de
Fellner e Sutter (2008), mas os resultados encontrados foram opostos.
Bellamare et al concluem que a freqüência de feedback sozinha serve para
explicar o comportamento de aversão míope a perdas.
28
Dado que os resultados encontrados na literatura não são unânimes em
relação à variável que explica mais a aversão míope a perdas, neste trabalho
foi utilizado um fator que combina estas duas variáveis. Esta pesquisa avança
um dos experimentos realizados por Fellner e Sutter (2008) que dá a opção
para que as pessoas troquem de grupos. Os autores concluíram que, se existe
a opção de troca, os participantes têm interesse em trocar para o grupo que
recebe feedbacks com maior freqüência. No entanto, o número de trocas foi
relativamente pequeno, apenas 21 dos 118 indivíduos (17,8%) fizeram trocas
entre grupos, sendo que 4 indivíduos trocaram para o grupo de menor
freqüência de feedback e 17 indivíduos trocaram para o grupo de maior
freqüência. Esta diferença é estatisticamente significante e mostra que as
pessoas têm preferência por maior freqüência de feedback. No entanto, ao
analisar o desempenho dos 17 indivíduos que trocaram do grupo de baixa para
alta freqüência, a média de investimento deles no ativo mais arriscado não
apresentou diferença estatisticamente significativa entre o período que ficaram
em cada grupo. Isto quer dizer que, mudar a freqüência de feedback no meio
do experimento não afetou em nada o perfil de investimento dos participantes.
Este trabalho busca investigar este achado mais a fundo. O objetivo é
entender como o perfil de investimento dos participantes reage a uma mudança
exógena (diferente de Fellner e Suttner (2008) onde a decisão de mudar foi
endógena) no fator que combina freqüência de feedback e flexibilidade de
investimento. Se a aversão míope a perdas for robusta é de se esperar que, no
longo prazo, a média de investimentos no ativo arriscado dos indivíduos que
foram mudados de um grupo A para um grupo B (com fator diferente) convirja
para a média observada pelos participantes que pertenciam originalmente ao
29
grupo B. O desenho experimental e as hipóteses de pesquisa serão explicados
com maiores detalhes no capítulo 3.
3 METODOLOGIA
A metodologia de pesquisa utilizada neste trabalho é a experimental.
Segundo Cooper e Schindler (2003), a principal vantagem do experimento é a
capacidade do pesquisador de manipular uma ou mais variáveis
independentes, aumentando a probabilidade de que as mudanças na variável
dependente sejam uma função desta manipulação. Outra vantagem deste
método é que se pode controlar de forma mais eficaz a ação de variáveis
estranhas. No entanto, esta metodologia também apresenta diversas
limitações, principalmente a dificuldade de generalização dos resultados
encontrados para um ambiente não-controlado (como o mercado financeiro).
Esta metodologia tem sido utilizada em diversas pesquisas em finanças
comportamentais e no tema de aversão míope a perdas (Gneezy e Potters
(1997); Thaler et al (1997); Bellemare et al (2005); Fellner e Sutter (2008), entre
outros).
Neste trabalho, primeiramente foi realizado um experimento piloto (pré-
teste) para buscar insights e obter feedback dos participantes sobre possíveis
falhas e sugestões de melhoria. Nesta fase, os participantes foram alunos de
mestrado de administração e buscou-se analisar o desenho experimental e sua
capacidade de obter dados verossímeis e bem controlados. Após a validação
da estrutura, o experimento (que será explicado em maior detalhes nas seções
30
que seguem) foi realizado com oitenta estudantes universitários de diversos
cursos.
3.1 Amostra
A amostra do experimento consiste de 80 alunos de graduação de
cursos variados da Pontifícia Universidade Católica do Rio de Janeiro (PUC-
Rio). Os participantes são alunos dos cursos de Engenharia (20), Relações
Internacionais (28), Psicologia (15), Direito (4), Arquitetura (3), Serviço Social
(3), Economia (3), Desenho Industrial (2) e Administração (2).
Os participantes foram selecionados aleatoriamente através de convites
em sala de aula e nos corredores da universidade. No entanto, a amostra foi
selecionada por conveniência e é considerada não-probabilística. Com isso,
generalizações para a população devem ser feitas com restrições.
3.2 Desenho do Experimento
O desenho experimental se baseia nos experimentos de Thaler et al
(1997) e Gneezy e Potters (1997). Analogamente ao experimento de Thaler et
al, neste trabalho os participantes participavam de uma simulação onde eles
foram avisados que eles haviam sido contratados para administrar os recursos
financeiros de uma universidade. Eles tinham a opção de investir num fundo de
baixo risco (denominado fundo A) ou num fundo de alto risco (fundo B). Tudo o
que não fosse alocado ao fundo A era alocado ao fundo B (ou seja, alocação
31
em B = 100 – alocação em A). O investimento era definido através de um
número inteiro entre 0 e 100 (que indica o percentual alocado a cada fundo).
O objetivo da simulação era maximizar a carteira global de
investimentos, que é composta pela média ponderada dos rendimentos e
alocações nos fundos A e B (Rend carteira = [Rend A * Aloc A] + [Rend B *
Aloc B]).
Os participantes não foram instruídos sobre o perfil de risco de cada
fundo. Como no experimento de Thaler et al (1997), era papel deles entender o
funcionamento de cada fundo e buscar ajustar seus investimentos para obter o
maior rendimento acumulado possível ao final da simulação.
Os parâmetros das distribuições dos retornos dos fundos são parecidos
com os utilizados por Pires (2006) e Thaler et al (1997). A distribuição
escolhida para os retornos de ambos os fundos é a normal, e a proporção entre
média e desvio padrão foi mantida. Alterou-se, no entanto, o valor das médias,
com o objetivo de fazer com que o valor esperado do rendimento do fundo B,
mais conservador, seja equivalente ao rendimento da poupança na data do
experimento (aproximadamente 0,60% ao mês
4
).
Os parâmetros utilizados foram: média 0,60% e desvio padrão 0,40%
para o fundo A (com truncamento em 0% para evitar retornos negativos) e
média de 1,35% e desvio padrão de 3,75% para o fundo B.
Realizou-se uma simulação de 100 corridas com 1.000 observações
cada para testar os efeitos truncamento da normal do fundo A e observou-se
que a média dos retornos é de 0,61% a.m. Os principais indicadores da
simulação estão resumidos na tabela 3.

4
Fonte:www.portalbrasil.net/2008/economia/poupanca_diaria.htm
32
Tabela 3 - Retornos dos Fundos Experimentais
Fundo Mensal Anual
Fundo A 0,61% 7,61%
Fundo B 1,35% 17,39%
Prêmio de Risco 0,73% 9,78%
Retornos
O prêmio de risco encontrado nesta simulação parece ser condizente
com a literatura. Segundo Correa (2002), o prêmio de risco de mercado no
Brasil, utilizando dados do Ibovespa, IGP-DI, Poupança e CDI é de 9% ao ano.
A amostra foi dividida em quatro grupos de tamanho igual (20 pessoas
em cada grupo). Os participantes foram alocados a cada um dos grupos
aleatoriamente. Os grupos e suas características são:
H. Neste grupo, cada decisão de alocação é valida por um mês. Ao final
de cada período, o resultado é mostrado aos indivíduos e estes farão
uma nova alocação, válida por mais um mês. Ao final de quatro anos de
simulação, os participantes tomam uma decisão que é válida por um
grande número de períodos futuros. Este grupo tomou 49 decisões.
L. Neste grupo, cada decisão de alocação é valida por três meses. Ao
final de cada período, o resultado agregado é mostrado aos indivíduos e
estes farão uma nova alocação, válida por mais três meses. Ao final de
quatro anos de simulação, os participantes tomam uma decisão que é
válida por um grande número de períodos futuros. Este grupo tomou 17
decisões.
HL. Durante os primeiros 24 meses, os participantes deste grupo
tomaram decisões de investimento válidas por um mês. Ao final de cada
período, o resultado foi mostrado aos indivíduos e estes fizeram uma
nova alocação, válida por mais um mês. Do mês 25 ao mês 48, os
33
participantes deste grupo tomaram decisões de investimento válidas por
três meses e só lhes foi mostrado o resultado agregado nestes três
meses. Ao final de quatro anos de simulação, os participantes tomaram
uma decisão que foi válida por um grande número de períodos futuros.
Este grupo tomou 33 decisões.
LH. Durante os primeiros 24 meses, os participantes deste grupo
tomaram decisões de investimento válidas por três meses. Ao final de
cada período, o resultado foi mostrado aos indivíduos e estes fizeram
uma nova alocação, válida por mais três meses. Do mês 25 ao mês 48,
os participantes deste grupo tomaram decisões de investimento válidas
por um mês e só lhes foi mostrado o resultado mês a mês. Ao final de
quatro anos, os participantes tomaram uma decisão que foi válida por
um grande número de períodos futuros. Este grupo tomou 33 decisões.
Como no experimento de Thaler et al (1997), antes mesmo de a
simulação começar, os participantes foram avisados que ao final do
experimento eles deveriam tomar uma decisão final que duraria por muitos
anos (mas não foi avisado o período exato).
Para os participantes dos grupos HL e LH, ao final dos primeiros 24
meses do experimento, o coordenador do experimento avisou que a partir
daquele momento a universidade alterou sua política de investimentos e agora
suas decisões iriam valer por três (um) meses e o feedback dos resultados
também mudaria de acordo com o horizonte de investimento, agregando-o
trimestralmente (no grupo HL) ou mostrando-o mensalmente (no grupo LH).
34
Os experimentos foram realizados em grupos de quatro pessoas em
salas de aula da PUC-Rio. Os participantes receberam instruções de como
completar o experimento e, ao final, preencheram um questionário com sobre a
simulação e receberam o pagamento devido. Um supervisor tomou conta do
experimento e ficou disponível para tirar eventuais dúvidas dos participantes. O
software utilizado para fazer as simulações e para armazenar as informações
dos participantes foi o Microsoft Excel. O tempo médio de participação no
experimento foi de 20 minutos.
3.3 Remuneração dos Participantes
Os participantes foram informados que seriam remunerados de acordo
com seu rendimento alcançado no experimento e a compensação variaria de
R$10 a R$25. O rendimento final dependia única e exclusivamente do
rendimento global obtido durante a simulação, através da média ponderada dos
rendimentos dos fundos nos dez anos em que as decisões foram válidas
(quatro anos de decisões mensais ou trimestrais e a alocação final que foi
válida por seis anos na simulação).
Para obter a compensação de cada participante, assumiu-se que o
montante investido no início do primeiro ano era de R$2,50 e se o montante
final após a simulação fosse menor do que R$10, o participante receberia este
valor (R$10) pela participação. Se o montante final ultrapassasse R$25 o valor
também seria truncado para o teto de R$25.
O gasto com a remuneração de participantes totalizou R$951, portanto a
remuneração média foi de R$11,89 por participante.
35
3.4 Pré-testes do Experimento
Com o intuito de minimizar dificuldades durante o experimento e testar
se o software e as instruções estão adequados, realizou-se uma série de pré-
testes com alunos de mestrado do Coppead / UFRJ. Nesta fase da pesquisa,
através de entrevistas com os participantes, obtiveram-se feedbacks
relacionados à construção do desenho experimental (o experimento está claro?
o número de períodos é adequado? A remuneração é justa considerando o
trabalho? Etc.), número de decisões, facilidade de uso da ferramenta de
simulação, entre outros.
Feitas as mudanças necessárias, o resultado pode ser considerado
satisfatório já que durante o experimento não houve manifestações de dúvidas
ou confusões com relação ao desenho experimental.
3.5 Hipóteses
Neste trabalho, buscou-se analisar o perfil de investimento medindo a
alocação dos participantes em cada fundo. As médias das alocações de cada
grupo foram denominadas pelo código do grupo e o número do mês em que a
decisão ocorreu, ou seja, para o grupo H, a primeira decisão foi denominada
H
1
, a segunda H
2
e assim por diante. A decisão final recebeu o código F,
portanto, no caso do grupo H, a média da alocação final será denominada H
F
.
36
A primeira hipótese testada busca confirmar a aversão míope a perdas,
que propõe que quanto maior a freqüência de feedback, mais avesso ao risco o
investidor se tornará. Como no experimento de Thaler et al (1997), foi testado
se há diferença significativa entre as médias das alocações finais dos grupos
de alta e baixa freqüência de feedback. Portanto:
Hipótese 1: H
F
< L
F
A segunda e a terceira hipóteses buscam investigar se há convergência
quando o horizonte de investimento e a freqüência de feedback são alterados.
Em outras palavras, queremos entender se os participantes que mudaram de
um grupo de alta (baixa) para um grupo de baixa (alta) freqüência alteraram
seus perfis de investimento e se suas alocações finais serão similares aos
participantes que fizeram a simulação inteira no grupo de baixa (alta)
freqüência. Portanto:
Hipótese 2: HL
F
= L
F
Hipótese 3: LH
F
= H
F
Para validar as hipóteses 2 e 3 no entanto, é necessário verificar se
inicialmente os grupos HL e H e os grupos LH e L tomavam decisões
semelhantes. Para isso, testou-se se, no segundo ano, as médias de alocação
dos grupos H e HL e L e LH são estatisticamente semelhantes:
37
Hipótese 4:
Hipótese 5:
Para testar a robustez das hipóteses 4 e 5, as médias das alocações nos
anos 1, 3 e 4 também foram testadas.
3.6 Tratamento dos Dados
O principal procedimento estatístico para verificar as hipóteses
propostas nesta pesquisa é a comparação de médias. Como existem quatro
grupos, não se pode compará-los dois a dois, o ideal neste caso então é utilizar
o teste ANOVA.
Segundo Hair et al (2005), os pré-requisitos para a utilização da ANOVA
são:
A variável dependente deve ser normalmente distribuída
Os grupos devem ser independentes entre si
As variâncias dos grupos devem ser homogêneas
No entanto, segundo Hair et al (2005) o teste ANOVA é robusto mesmo
quando alguns destes pré-requisitos não são obedecidos, principalmente o de
normalidade.
Obter um F significativo no teste ANOVA não significa que o trabalho
terminou, já que ele testa a hipótese nula de que todas as médias são iguais,
38
ou seja, se pelo menos uma média for diferente, obter-se-á um F significativo.
No entanto, neste estudo busca-se descobrir se cada grupo possui diferença
significativa de médias de alocação no fundo B.
Um erro comum na literatura revisada é testar a média de vários pares
dois a dois (Por exemplo, Thaler et al (1997), Gneezy e Potters (1997), Haigh e
List (2005), Gneezy et al (2003), Sutter (2007), Pires (2006), entre outros). Este
descuido estatístico leva a um aumento na probabilidade do erro Tipo I (rejeitar
uma hipótese que deveria ser aceita). Isto pode ser facilmente demonstrado.
Neste experimento, existem quatro grupos sendo testados e isto gera
uma combinação de seis possíveis pares ([H;L], [H;HL], [H;LH], [HL;LH]; [HL;L];
[LH;L]). Isto quer dizer que há seis chances de fazer um erro tipo I. Se o α
utilizado for de 0,05, a probabilidade real de erro tipo I (α*) será:
α* = 1 – (1 – α)
6
= 1 – 0,735 = 0,265
Para evitar este problema, foi utilizado o teste post-hoc LSD para
averiguar se existem diferenças estatisticamente significantes entre grupos
mantendo a probabilidade de cometer um erro tipo I sob controle.
3.7 Limitações
O método de pesquisa experimental recebe críticas quanto à sua
aplicabilidade fora do ambiente controlado do laboratório. Segundo Cooper e
Schindler (2003), a artificialidade do laboratório é a principal desvantagem do
39
método experimental. Argumenta-se que as conclusões deste tipo de estudo
nem sempre são verdadeiras em situações reais.
Esta pesquisa utilizou uma amostra de conveniência não probabilística e
é possível que a amostra selecionada não seja representativa da população
toda. Sob esta perspectiva, a generalização dos resultados para a população é
limitada.
Como será apresentado em detalhes no cap. 4, houve fuga de algumas
premissas estatísticas (normalidade e homogeneidade da variância) em alguns
momentos, portanto é necessário ressaltar que pode haver limitação da
aplicação dos testes estatísticos realizados.
4 ANÁLISE DOS RESULTADOS
4.1 Motivação e Entendimento dos Participantes
Ao final do experimento, os participantes responderam, entre outras, as
seguintes perguntas:
Quão fácil foi entender as instruções do experimento?
1 2 3 4 5 6 7
Fácil Difícil
Quão motivado você esteve para ter um bom desempenho com suas decisões?
1 2 3 4 5 6 7
Pouco Motivado Muito Motivado
40
A média das respostas da primeira e segunda pergunta foram 2,16 e
5,47 respectivamente. Analisando estes valores e os histogramas abaixo,
pode-se concluir que o experimento foi fácil de entender e os participantes se
mostraram num nível satisfatório de motivação para ter um bom desempenho.
Gráfico 1 – Respostas à Pergunta Sobre Entendimento do Experimento
41
Gráfico 2 – Respostas à Pergunta Sobre Motivação no Experimento
4.2 Estatísticas Descritivas
O software utilizado para realizar as análises estatísticas foi o SPSS.
Nos gráficos e tabelas gerados por ele, os grupos tiveram que receber nomes
numéricos, então considere:
Grupo H = 1
Grupo L = 2
Grupo HL = 12
42
Grupo LH = 21
A seguir serão apresentados os gráficos e tabelas que compilam a
análise descritiva inicial dos dados obtidos no experimento. Primeiramente,
pode-se observar pelas médias das alocações dos participantes no fundo B de
cada ano e das alocações finais, que parece que há dois perfis de
investimentos (grupo H e HL e L e LH):
Gráfico 3 – Alocações Anuais Médias no Fundo B
0,30
0,35
0,40
0,45
0,50
0,55
0,60
0,65
Ano1Ano2Ano3Ano4Final
AlocaçõesAnuais dias noFundoB
H
L
HL
LH
43
A tabela 4 mostra os valores das médias em cada ano:
Período H L HL LH
Ano 1 0,50 0,52 0,46 0,51
Ano 2 0,47 0,57 0,40 0,58
Ano 3 0,45 0,55 0,38 0,52
Ano 4 0,45 0,54 0,40 0,51
Final 0,46 0,59 0,43 0,57
Grupos
Tabela 4 - Alocações Anuais Médias no Fundo B
Estes primeiros resultados já parecem mostrar que não houve mudança
no perfil de investimento dos participantes que alteraram de grupo (grupos HL e
LH).
Continuando a análise descritiva dos dados, abaixo são apresentados os
boxplots das alocações médias anuais no fundo B:
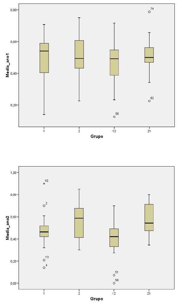
Gráfico 4 – Boxplot de Alocações Médias no Fundo B – Ano 1
44
Gráfico 5 – Boxplot de Alocações Médias no Fundo B – Ano 2
Gráfico 6 – Boxplot de Alocações Médias no Fundo B – Ano 3
45
Gráfico 7 – Boxplot de Alocações Médias no Fundo B – Ano 4
46
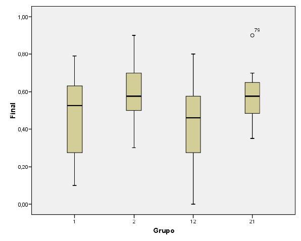
Gráfico 8 – Boxplot de Alocações Médias no Fundo B – Decisão Final
Nenhuma observação foi considerada outlier, portanto, para as análises
posteriores (testes de hipótese) nenhum dado foi retirado.
4.3 Análise de Premissas
O principal teste estatístico realizado para a análise foi a ANOVA.
Segundo Hair et al (2005), as principais premissas para a ANOVA são:
Observações independentes
Normalidade
Homogeneidade da variância
Não há teste estatístico para medir se as observações são
independentes ou não. Contudo, o desenho do experimento faz com que esta
47
situação ocorra, já que cada participante só fez parte de um grupo (H, L, HL ou
LH) e o ambiente do experimento foi similar para todos.
Para testar aderência à distribuição normal, realizaram-se os testes
Kolmogorov-Smirnov e Shapiro-Wilk. Os resultados se encontram na tabela 5:
Tabela 5 – Testes de Normalidade das Alocações no Fundo B
48
Tests of Normality
,085 ,165
,200* ,677
,200* ,963
,200* ,558
,200* ,246
,200* ,841
,200* ,596
,178 ,410
,024 ,104
,200* ,554
,200* ,207
,182 ,158
,005 ,008
,200* ,087
,106 ,246
,200* ,812
,057 ,033
,200* ,715
,200* ,784
,200* ,319
Grupo
1
2
12
21
1
2
12
21
1
2
12
21
1
2
12
21
1
2
12
21
Final
Media_ano1
Media_ano2
Media_ano3
Media_ano4
Sig. Sig.
Kolmogorov -Smirnov Shapiro-Wilk
This is a lower bound of the true significance.
*.
Como é possível notar, não foi possível encontrar evidências estatísticas
para afirmar que as alocações médias do grupo 1 (H) no ano três seguem a
distribuição normal (significância dos testes é menor que o α considerado de
5%). No ano dois este problema também ocorre para o teste de Kolmogorov-
Smirnov, mas não para o teste de Shapiro-Wilk.
Nada foi feito em relação a este problema, uma vez que, segundo Hair et
al. (2005) o teste ANOVA é robusto à pequenas fugas de normalidade.
Finalmente, foi realizado o teste de Levene para averiguar se as
variâncias das alocações eram iguais entre os grupos. Os resultados se
encontram na tabela 6:
Tabela 6 – Teste de Homogeneidade da Variância das Alocações no Fundo B
49
Test of Homogeneity of Variance
,014
,036
,795
,851
,826
,867
,126
,295
,036
,103
Based on Mean
Based on Median
Based on Mean
Based on Median
Based on Mean
Based on Median
Based on Mean
Based on Median
Based on Mean
Based on Median
Final
Media_ano1
Media_ano2
Media_ano3
Media_ano4
Sig.
Não foi possível encontrar evidências estatísticas para afirmar que as
alocações médias na decisão final têm homogeneidade de variância. O mesmo
acontece para o ano 4 quando o teste é realizado com base na média (mas
passa se for utilizada a mediana). Conclui-se isto observado a significância dos
testes nos períodos mencionados (são menores do que o α considerado de
5%). Nenhuma ação corretiva foi tomada.
Para entender se houve diferença significativa no perfil de investimento
de cada grupo com o passar dos anos, também foram analisadas as médias
anuais de alocação entre si. Ou seja, testou-se:
H
1
= H
2
= H
3
= H
4
= H
F
L
1
= L
2
= L
3
= L
4
= L
F
HL
1
= HL
2
= HL
3
= HL
4
= HL
F
LH
1
= LH
2
= LH
3
= LH
4
= LH
F
50
Novamente o procedimento utilizado foi a ANOVA. Os testes de
normalidade e homogeneidade da variância foram repetidos e estão expostos
nas tabelas abaixo:
Tabela 7 – Testes de Normalidade das Decisões Entre Anos
Tests of Normality
,200 ,246
,024 ,104
,005 ,008
,057 ,033
,085 ,165
,200 ,841
,200 ,554
,200 ,087
,200 ,715
,200 ,677
,200 ,596
,200 ,207
,106 ,246
,200 ,784
,200 ,963
,178 ,410
,182 ,158
,200 ,812
,200 ,319
,200 ,558
V1
Ano 1
Ano 2
Ano 3
Ano 4
Final
Ano 1
Ano 2
Ano 3
Ano 4
Final
Ano 1
Ano 2
Ano 3
Ano 4
Final
Ano 1
Ano 2
Ano 3
Ano 4
Final
H
L
HL
LH
Sig. Sig.
Kolmogorov-Smirnov Shapiro-Wilk
51
Tabela 8 – Teste de Homogeneidade da Variância das Decisões Entre Anos
Test of Homogeneity of Variance
,018
,072
,182
,217
,401
,393
,123
,189
Based on Mean
Based on Median
Based on Mean
Based on Median
Based on Mean
Based on Median
Based on Mean
Based on Median
H
L
HL
LH
Sig.
Novamente foram encontradas algumas fugas de premissas estatísticas
(normalidade do grupo H no ano três e homogeneidade da variância do grupo
H considerando a média). Nenhuma ação corretiva foi realizada.
4.3 Testes de Hipótese
Uma vez que as premissas foram validadas, o teste ANOVA foi rodado
para averiguar diferenças estatísticas entre as alocações médias dos grupos
em cada ano e na decisão final. A tabela 9 mostra que houve pelo menos um
grupo diferente para todos os anos exceto no primeiro:
52
Tabela 9 – Resultados do Teste ANOVA Entre os Grupos
AN O V A
,013
,583
,001
,000
,013
Final
Media_ano1
Media_ano2
Media_ano3
Media_ano4
Sig.
Foram realizados testes post-hoc para todos os anos, exceto o primeiro.
A tabela 10 mostra, considerando α = 5%, os resultados que:
Confirmam a Hipótese 1 (H
F
< L
F
)
Não confirmam as Hipóteses 2 e 3 (HL
F
=/= L
F
e H
F
=/= LH
F
). Pelo
contrário, os resultados mostram que HL
F
= H
F
e L
F
= LH
F
.
Confirmam as Hipóteses 4 e 5
53
Tabela 10 – Resultados do Teste Post-Hoc LSD Entre os Grupos
Multiple Comparisons
LSD
,030
,526
,070
,006
,707
,016
,045
,164
,022
,001
,768
,000
,012
,089
,069
,000
,476
,001
,055
,256
,196
,003
,519
,017
(J) Grupo
2
12
21
12
21
21
2
12
21
12
21
21
2
12
21
12
21
21
2
12
21
12
21
21
(I) Grupo
1
2
12
1
2
12
1
2
12
1
2
12
Dependent Variable
Final
Media_ano2
Media_ano3
Media_ano4
Sig.
Os resultados mostram que a aversão míope a perdas mais uma vez foi
encontrada, pois os participantes do grupo L investiram significantemente mais
no fundo B do que os participantes do grupo H.
É possível concluir também que, a partir do ano dois os grupos H e HL
se tornaram diferentes dos grupos L e LH, e assim eles se mantiveram até o
final do experimento. Ou seja, a troca da freqüência de feedback ao final do
54
ano dois não resultou em mudança significativa no perfil de investimento dos
participantes dos grupos HL e LH.
O gráfico 9 mostra a interpretação gráfica dos resultados produzidos
pelo teste acima, onde os valores de mesma cor são estatisticamente
semelhantes:
Gráfico 9 – Interpretação da ANOVA
H
L
HL
LH
0,30
0,35
0,40
0,45
0,50
0,55
0,60
0,65
Ano1Ano2Ano3Ano4Final
InterpretaçãodaANOVA
Finalmente, para investigar se houve diferença significativa dentro de
cada grupo durante os anos, um novo teste ANOVA foi realizado, desta vez
comparando as médias das alocações no fundo B de cada grupo no ano n com
os anos n + 1 até a decisão final:
55
Tabela 11 – Resultado da ANOVA Entre Anos
AN O V A
,861
,531
,576
,146
H
L
HL
LH
Sig.
Os resultados mostram que, para todos os grupos, não houve ao menos
um ano cuja alocação média foi estatisticamente diferente dos outros. Com isso
não há sentido em realizar testes post-hoc.
5 CONCLUSÕES
Este trabalho utilizou a metodologia experimental para investigar como o
perfil de investimento das pessoas muda quando a freqüência de feedback é
alterada (tanto para mais como para menos). Utilizando uma amostra de 80
estudantes de graduação de cursos variados, a análise dos dados mostrou
que:
A aversão míope a perdas foi constatada, já que o grupo de maior
freqüência (H) investiu menos no fundo mais volátil do que o grupo que
recebia feedback com menor freqüência (L).
Não houve mudança significativa no perfil de investimento dos
participantes dos grupos em que houve mudança na freqüência de
feedback (HL e LH).
56
O fato de não ter sido possível encontrar evidências estatísticas de uma
mudança de perfil de investimento quando a freqüência de feedback foi
alterada pode ter duas causas principais:
Não houve tempo suficiente para o aprendizado ou;
Ao final do segundo ano de decisão as pessoas já tinham um perfil de
investimento definido e não o mudaram com a chegada de informações
mais ou menos freqüentes.
A análise das decisões entre os anos de cada grupo mostrou que não
houve mudança significativa entre os anos. Ou seja, em quatro anos de
decisão, os participantes não mudaram seu perfil de investimento
significativamente. Portanto, não se acredita que tenha faltado tempo. No
entanto, é sugerido que, para pesquisas futuras, este experimento seja repetido
com um número maior de decisões.
Outra possibilidade é que não tenha havido tempo o suficiente para que
os participantes “absorvessem” a mudança na freqüência de feedback. No
contexto de mercado real a transição entre as freqüências de feedback
demoraria muito mais do que apenas alguns minutos, e com isso, é possível
que o perfil de investimento fosse alterado. Sugere-se então que, em pesquisas
futuras, o experimento dure um tempo maior.
A segunda causa parece ser mais plausível, pois pode ser explicada
pela literatura através do viés do status quo (Samuelson e Zeckhauer, 1988). É
possível que os participantes tenham definido suas preferências pelos fundos
nos primeiros dois anos e a mudança da freqüência do feedback não foi
suficiente para quebrar o status quo (o perfil de investimento que eles já
desconfiavam ser o ótimo). No entanto, para confirmar esta hipótese é
57
necessário realizar uma nova pesquisa com um desenho voltado para analisar
relação entre o efeito status quo e a aversão míope a perdas.
58
6 REFERÊNCIAS BIBLIOGRÁFICAS
An Interactive Multimedia Course of Study. Online Statistics. Disponível em:
<http://onlinestatbook.com/>. Acesso em: 15 de abril de 2008.
BELLEMARE, Charles; KRAUSE, Michaela; KRÖGER, Sabine; ZHANG,
Chendi. Myopic Loss Aversion, Information Dissemination, and the Equity
Premium Puzzle, Economic Letters 87, p. 319-324. 2005.
BENARTZI, S., THALER, R. H. Risk Aversion or Myopia ? Choices in
Repeat Gambles and Retirement Investments. Management Science, 45,
364-81, 1999.
BENARTZI, Shlomo; THALER, Richard. Myopic loss aversion and the equity
premium puzzle, Quarterly Journal of Economics, v. 110, p. 73–92, 1995.
COOPER, Donald R.; SCHINDLER, Pamela S. Métodos de Pesquisa em
Administração. 7ª edição, Porto Alegre: Bookmanm 640 p., 2003.
CORREA, Luciano Snel. Análise e avaliação do Prêmio de Risco nos
mercados acionários brasileiro e americano, Dissertação de Mestrado Rio
de Janeiro – PUC/RJ, Agosto/2002.
59
FELLNER, Gerlinde; SUTTER, Matthias, Causes, Consequences, and Cures
of Myopic Loss Aversion - An Experimental Investigation Innsbruck
Working Paper No. 2008-01, January 11, 2008.
GNEEZY, Uri; KAPTEYN, Arie; POTTERS, Jan. Evaluation periods and asset
prices in a market experiment, Journal of Finance, v. 58, p. 821–838, 2003.
GNEEZY, Uri; POTTERS, Jan. An Experiment on Risk Taking and
Evaluation Periods, The Quarterly Journal of Economics, v. 102, p. 631-645,
May 1997.
HAIGH, Michael S.; LIST, John A.. Do Professional Traders Exhibit Myopic
Loss Aversion? An Experimental Analysis, The Journal of Finance, v. 60, n.
1, p. 523, Feb 2005.
HAIR, Joseph F.; BLACK, William C.; BABIN, Barry J.; ANDERSON, Rolph E.;
THATAM, Ronald L. Multivariate Data Analysis. 6
th
edition, New Jersey:
Prentice Hall 891p., 2005.
Índices da Poupança. Portal Brasil. Disponível em:
<www.portalbrasil.net/2008/economia/poupanca_diaria.htm
>. Acesso em: 15
de abril de 2008.
KAHNEMAN, D., TVERSKY, A. Choices Values and Frames. American
Psychologist, 39, 341-50, 1984.
60
KAHNEMAN, Daniel.; KNETCH, Jack.; THALER, Richard. Experimental Tests
of the Endowment Effect and the Coase Theorem. Journal of Political
Economy, XVCIII (1990), p.1325-1348.
KAHNEMAN, Daniel; TVERSKY, Amos. Prospect theory: An analysis of
decision under risk, Econometrica, p. 47, v. 263–91, 1979.
LANGER, Thomas; WEBER, Martin. Myopic Prospect Theory vs. Myopic
Loss Aversion: how general is the phenomenon?, The Journal of Economic
Behavior & Organization; Vol. 56, p. 25-38, 2003a.
LEAL, Ricardo P. C.. Revisão de Literatura sobre estimativa do custo de
Capital aplicada no Brasil. Rio de Janeiro: Coppead/UFRJ, Março 2002.
(manuscrito não publicado).
MACURDY, Thomas, and John SHOVEN Accumulating Pension Wealth
With Stocks and Bonds, Stanford University Working Paper, January 1992.
MANKIW, N. Gregory, and S. P. ZELDES, The Consumption of Stockholders
and Nonstockholders, Journal of Financial Economics, XXIX (1991), 97-112.
MEHRA, Rajnish. The equity premium: Why Is It a Puzzle, Financial Analysts
Journal, Jan/Feb, p. 54–69, 2003.
61
MEHRA, Rajnish; PRESCOTT, Edward. The Equity Premium in Retrospect,
Working paper 9525, NBER, 2003.
MEHRA, Rajnish; PRESCOTT, Edward. The Equity Premium: a Puzzle,
Journal of Monetary Economics, v. 15, p. 145–161, 1985.
MELO, E. F L..; SILVA, A. L. C. Myopic Loss Aversion in Brazilian Open
Retirement Funds. Latin America Business Review, forthcoming.
MERTON, Robert, Lifetime Portfolio Selection Under Uncertainty: The
Continuous Time Case, Review of Economic and Statistics, LI (1969), 238-46.
OYEFESO, Oluwatobi.; Would There Ever Be Consensus Value and Source
of the Equity Risk Premium? A Review of the Extant Literature,
International Journal of Theoretical and Applied Finance, vol. 9, No. 2, p. 199-
215, 2006.
PIRES, Flávio Principe. O Efeito da Miopia e Aversão a Perdas em Decisões
de Investimento: um Estudo Experimental no Contexto Brasileiro,
Dissertação de Mestrado Rio de Janeiro – COPPEAD, 2006.
SAMPAIO, Frederico Santana . Existe Equity Premium Puzzle no Brasil?. In:
Marco Antônio César Bonomo. (Org.). Finanças Aplicadas ao Brasil. 1 ed. rio
de janeiro: Editora FGV, v. 1, p. 87-104, 2002.
62
SAMUELSON, P. A. Risk and Uncertainty: a Fallacy of Large Numbers.
Scientia, 98, 108-13, 1963.
SAMUELSON, William; ZECKHAUSER, Richard. Status Quo Bias in
Decision Making. Journal of Risk and Uncertainty, l, p. 7-59, 1988.
THALER, Richard H.; TVERSKY, Amos; KAHNEMAN, Daniel; SCHWARTZ,
Alan. The effect of myopia and loss aversion on risk taking: An
experimental test, The Quarterly Journal of Economics, v. 112, p. 647–66,
1997.
TVERSKY, A.; D. KAHNEMAN, Advances in Prospect Theory: Cumulative
Representation of Uncertainty, Journal of Risk and Uncertainty, 5, 297-323.
1992.
TVERSKY, Amos.; KAHNEMAN, Daniel. Loss Aversion and Riskless
Choice: A Reference Dependent Model. Quarterly Journal of Economics,
CVII, p.1039-106, 1991.
TVERSKY, Amos; KAHNEMAN, Daniel. Advances in Prospect Theory:
Cumulative Representation of Uncertainty, Journal of Risk and Uncertainty,
v. 5, p. 297–323, 1992.
WEIL, Philippe. The Equity Premium Puzzle and the Risk - Free Rate
Puzzle. J. Monetary Econ. 24, p. 401-421, 1989.
63
7 ANEXOS
7.1 Instruções do Experimento
Instruções
Este experimento simula uma série de decisões sobre investimentos.
Imagine que você é o administrador dos investimentos de uma
universidade particular. Você deve, a cada mês [3 meses] decidir como deseja
alocar o capital da universidade entre dois tipos de investimento, que
chamaremos de “Fundo A” e “Fundo B”. A sua tarefa no experimento será a de
atribuir a melhor proporção de investimento entre estes dois fundos para obter
a melhor rentabilidade possível para a universidade. Ao longo do experimento,
você deve aprender o perfil de risco e retorno de cada fundo e adaptar suas
decisões para obter o melhor rendimento possível.
Após cada decisão, você terá algumas informações na tela.
Especificamente:
A sua decisão anterior, isto é, o percentual alocado em cada fundo;
O desempenho no último mês [nos últimos 3 meses], de cada fundo e
do Investimento Global, isto é, da carteira montada com os dois fundos. A
carteira é uma média das rentabilidades dos dois fundos, ponderada pelo
percentual alocado a cada um.
64
Ao final do experimento, você será convidado(a) a tomar uma última
decisão de alocação de recursos entre os dois fundos, decisão esta que será
vigente por muitos anos no futuro.
Durante o experimento, os recursos da instituição serão valorizados pela
rentabilidade de sua Carteira. A rentabilidade final da universidade será o
resultado do acúmulo de todas suas decisões, inclusive a última.
Por favor, considere com cuidado cada decisão. O seu
comprometimento com as respostas é importante para o experimento. Não
anote nada durante o experimento. Se tiver alguma dúvida, faça perguntas a
qualquer momento que desejar.
Ao final do experimento, você será remunerado por sua participação no
experimento. A remuneração corresponderá a um percentual do montante
obtido pela Universidade após a série de investimentos e ficará entre R$10,00
e R$25,00.
O tempo estimado para o experimento é de 20 minutos.
65
7.2 Tela do Experimento
66
7.3 Questionário de Encerramento do Experimento
Registronº:
1.Qualseucursodegraduação?
Resposta:
2.Quecursosvocêfezqueestãorelacionadoscominvestimentoseteoriadadecisão?
Resposta:
3.Quãofácilfoientenderasinstruçõesdoexperimento?
1234567
Fácil Difícil
Resposta:
4.Quãomotivadovocêesteveparaterumbomdesempenhocomsuasdecisões?
1234567
Poucomotivado Muitomotivado
Resposta:
5.Que
estratégiasvocêutilizouparadecidirquantoalocaremcadafundo?
Resposta:
Porfavor,respondaàsperguntasabaixo.Suasrespostassãoconfidenciais.
Livros Grátis
( http://www.livrosgratis.com.br )
Milhares de Livros para Download:
Baixar livros de Administração
Baixar livros de Agronomia
Baixar livros de Arquitetura
Baixar livros de Artes
Baixar livros de Astronomia
Baixar livros de Biologia Geral
Baixar livros de Ciência da Computação
Baixar livros de Ciência da Informação
Baixar livros de Ciência Política
Baixar livros de Ciências da Saúde
Baixar livros de Comunicação
Baixar livros do Conselho Nacional de Educação - CNE
Baixar livros de Defesa civil
Baixar livros de Direito
Baixar livros de Direitos humanos
Baixar livros de Economia
Baixar livros de Economia Doméstica
Baixar livros de Educação
Baixar livros de Educação - Trânsito
Baixar livros de Educação Física
Baixar livros de Engenharia Aeroespacial
Baixar livros de Farmácia
Baixar livros de Filosofia
Baixar livros de Física
Baixar livros de Geociências
Baixar livros de Geografia
Baixar livros de História
Baixar livros de Línguas
Baixar livros de Literatura
Baixar livros de Literatura de Cordel
Baixar livros de Literatura Infantil
Baixar livros de Matemática
Baixar livros de Medicina
Baixar livros de Medicina Veterinária
Baixar livros de Meio Ambiente
Baixar livros de Meteorologia
Baixar Monografias e TCC
Baixar livros Multidisciplinar
Baixar livros de Música
Baixar livros de Psicologia
Baixar livros de Química
Baixar livros de Saúde Coletiva
Baixar livros de Serviço Social
Baixar livros de Sociologia
Baixar livros de Teologia
Baixar livros de Trabalho
Baixar livros de Turismo