Download PDF
ads:
DISSERTAÇÃO
RIZOBACTÉRIAS PROMOTORAS
DO CRESCIMENTO DE CANA-DE-AÇÚCAR
JULIA TALAZZO DE CAMPOS
Campinas, SP
2010
ads:
Livros Grátis
http://www.livrosgratis.com.br
Milhares de livros grátis para download.
INSTITUTO AGRONÔMICO
CURSO DE PÓS-GRADUAÇÃO EM AGRICULTURA
TROPICAL E SUBTROPICAL
RIZOBACTÉRIAS PROMOTORAS
DO CRESCIMENTO DE CANA-DE-AÇÚCAR
JULIA TALAZZO DE CAMPOS
Orientadora: Dra. Sueli dos Santos Freitas
Dissertação submetida como requisito parcial
para obtenção do grau de Mestre em
Agricultura Tropical e Subtropical, Área de
Concentração em Gestão de Recursos
Agroambientais.
Campinas, SP
Abril 2010
ads:
ii
Aos meus pais Maria de Lourdes e Sergio
pela dedicação, amor e presença constante
em todos os dias desta jornada,
DEDICO.
A Sueli dos Santos Freitas
pela paciência, dedicação e
amizade,
OFEREÇO.
iii
AGRADECIMENTOS
- À Dra. Sueli dos Santos Freitas pela excepcional orientação - mostrando-se uma orientadora
dedicada e paciente em toda a execução deste trabalho - e, principalmente, pela amizade e por
ter sido uma pessoa admirável durante todos esses dias de convivência.
- À Dra. Adriana Parada Dias da Silveira pelas sugestões, ajudas e também pelo bom humor e
valiosa amizade.
- À Rosana G. Gonçalves por toda a ajuda, ensinamento, paciência, amizade e bom convívio
no laboratório.
- Às Dras. Silvana Creste Souza e Raffaella Rossetto pela disponibilização de material para a
realização deste trabalho.
- Ao Dr. Giulio Cesare Stancato pela disponibilização de seu laboratório.
- Ao Dr. Cristiano Alberto de Andrade pela ajuda com a estatística.
- Ao Dr. Walter José Siqueira pelas sugestões.
- Ao pessoal do laboratório de meristemas da Usina da Pedra pela colaboração.
- Aos professores do curso de Pós-Graduação do IAC pelos conhecimentos compartilhados.
- Ao amigo Matheus Aparecido P. Cipriano pelas ajudas, convívio, ótimos momentos de
gargalhadas e valiosíssima amizade.
- Ao Dr. José Antônio de Fátima Esteves pelo convívio e amizade.
- A todos os amigos do curso de Pós-Graduação pelo agradável convívio, em especial: Ana
Flávia Mangeti Metzner, Bárbara Zini Ramos, Fernanda Castro Correia Marcos, Raquel de
Paula Freitas, Elaine Rodrigues da Silva, Valéria Marino Rodrigues Sala, Ariana Carramaschi
Francato Zancheta, Ana Carolina Cunha de Assis, Fernanda Ribeiro Marques Miguel, Geisa
Lima Mesquita e Mariana Cantoni.
- Aos meus pais, minha vózinha Walquiria, Má, Érika e João Pedro pela presença constante,
amor e compreensão, bem como, em especial, ao meu irmão Marcelo, também, por toda a
ajuda.
- Às amigas que carregarei sempre comigo e que serão sempre de extrema importância para
mim: Stela e Ana Carolina minhas primas Gabriela, Mariana, Meirielen e Raquel
minhas irmãzinhas de Rio Claro – e também Isabela e Tarine.
- Ao curso de Pós-Graduação do IAC pela oportunidade oferecida.
- À FAPESP pela bolsa e pelo auxílio concedidos.
iv
“É apenas com o coração que se pode ver
direito; o essencial é invisível aos olhos.”
(Antoine de Saint-Exupéry)
v
SUMÁRIO
LISTA DE TABELAS …………………………………………………………………. vi
LISTA DE FIGURAS ………………………………………………………………….. vii
RESUMO ………………………………………………………………………………. ix
ABSTRACT ……………………………………………………………………………. xi
1 INTRODUÇÃO ……………………………………………………………………… 01
2 REVISÃO DE LITERATURA ………………………………………………………. 02
2.1 Cana-de-açúcar ……………………………………………………………………...
02
2.2 Vinhaça e Torta-de-filtro ........................................................................................... 04
2.3 Uso de Microrganismos na Agricultura .....................................................................
05
2.3.1 Rizobactérias promotoras do crescimento de plantas e seus mecanismos de ação . 06
2.3.1.1 Sideróforos ……………………………………………………………………... 07
2.3.1.2 Ácido cianídrico – HCN ……………………………………………………….. 08
2.3.1.3 Ácido indol acético – AIA ……………………………………………………... 08
2.3.1.4 Solubilização de P ……………………………………………………………… 08
2.3.2 Bacillus spp., Pseudomonas spp. e estudos desses gêneros como RPCPs em
diversas espécies vegetais ................................................................................................ 09
2.3.3 Dificuldades no estabelecimento das RPCPs .......................................................... 12
2.4 RPCPs na micropropagação de mudas de cana-de-açúcar ………………………….
13
3 MATERIAL E MÉTODOS ………………………………………………………….. 16
3.1 Contagens e Isolamentos ………………………………………………………… 16
3.1.1 Solos com e sem vinhaça ........................................................................................ 16
3.1.2 Solos com e sem torta-de-filtro ............................................................................... 17
3.2 Contagens de Possíveis RPCPs de Cana-de-açúcar ................................................... 17
3.2.1 Contagens de Pseudomonas do grupo fluorescente ................................................ 17
3.2.2 Contagens de Bacillus spp. ..................................................................................... 18
3.3 Obtenção dos Isolados ............................................................................................... 18
3.4 Seleção de Possíveis RPCPs de Cana-de-açúcar ....................................................... 19
3.4.1 Experimento 1: Aplicação de suspensão bacteriana no substrato ...........................
20
3.4.2 Experimento 2: Aplicação de suspensão bacteriana no meio de cultura in vitro .... 23
3.5 Avaliação dos Isolados in vitro .................................................................................. 25
3.5.1 Produção de ácido cianídrico …………………………………………………….. 26
3.5.2 Produção de ácido indol acético ..............................................................................
26
3.5.3 Solubilização de fosfato ………………………………………………………….. 27
4 RESULTADOS ………………………………………………………………………. 28
4.1 Contagens …………………………………………………………………………... 28
4.1.1 Solos com e sem vinhaça ........................................................................................ 28
4.1.2 Solos com e sem torta-de-filtro ...............................................................................
31
4.2 Seleção de Possíveis RPCPs de Cana-de-açúcar ....................................................... 33
4.2.1 Experimento 1: Aplicação de suspensão bacteriana no substrato ........................... 33
4.2.2 Experimento 2: Aplicação de suspensão bacteriana no meio de cultura in vitro .... 37
4.3 Avaliação dos Isolados in vitro: Produção de Ácido Cianídrico, Ácido Indol
Acético e Solubilização de Fosfato .................................................................................. 41
5 DISCUSSÃO ………………………………………………………………………… 42
6 CONCLUSÕES ……………………………………………………………………… 52
7 REFERÊNCIAS BIBLIOGRÁFICAS ……………………………………………….. 53
vi
LISTA DE TABELAS
Tabela 1 - Origem dos isolados de Pseudomonas da coleção do IAC utilizados nos
experimentos ............................................................................................. 19
Tabela 2 - Concentração das suspensões bacterianas de Pseudomonas spp., em
unidades formadoras de colônias (ufcs mL
-1
), utilizadas para a
aplicação nas plantas no experimento em substrato .................................. 21
Tabela 3 - Concentração das suspensões bacterianas de Bacillus spp., em unidades
formadoras de colônias (ufcs mL
-1
), utilizadas para a aplicação nas
plantas no experimento em substrato ........................................................ 21
Tabela 4 - Concentração das suspensões bacterianas de Pseudomonas spp., em
unidades formadoras de colônias (ufcs mL
-1
), utilizadas para a
aplicação nas plantas no experimento em substrato .................................. 22
Tabela 5 - Concentração das suspensões bacterianas de Bacillus spp., em unidades
formadoras de colônias (ufcs mL
-1
), utilizadas para a aplicação nas
plantas no experimento em substrato ........................................................ 22
Tabela 6 - Concentrações das suspensões bacterianas de Pseudomonas spp., em
unidades formadoras de colônias (ufcs mL
-1
), utilizadas para a
aplicação nas plantas no experimento em meio de cultura in vitro ........... 24
Tabela 7 - Concentrações das suspensões bacterianas de Bacillus spp., em unidades
formadoras de colônias (ufcs mL
-1
), utilizadas para a aplicação nas
plantas no experimento em meio de cultura in vitro ................................. 24
Tabela 8 - Concentrações das suspensões bacterianas de Pseudomonas spp., em
unidades formadoras de colônias (ufcs mL
-1
), utilizadas para a
aplicação nas plantas no experimento em meio de cultura in vitro ........... 25
Tabela 9 - Concentrações das suspensões bacterianas de Bacillus spp., em unidades
formadoras de colônias (ufcs mL
-1
), utilizadas para a aplicação nas
plantas no experimento em meio de cultura in vitro ................................. 25
Tabela 10 - Produção de HCN, AIA e solubilização de fosfato pelos isolados
testados ...................................................................................................... 41
vii
LISTA DE FIGURAS
Figura 1 - Mudança de coloração no papel de filtro de amarelo para marrom-
alaranjado indica a produção de HCN pelas bactérias .............................. 26
Figura 2 - Formação de halos vermelhos na membrana indica a produção de AIA
pelas bactérias ........................................................................................... 27
Figura 3 - Formação de halo claro ao redor das colônias indica a solubização de
fosfato pelas bactérias ............................................................................... 28
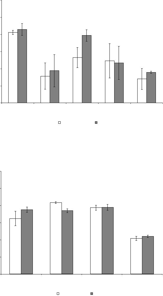
Figura 4 - Ufcs, em log x+1/g raiz, do grupo fluorescente de Pseudomonas spp. na
rizosfera de cana-de-açúcar submetida à fertirrigação com vinhaça, na
fazenda de Altinópolis, nos meses de novembro e dezembro de 2008 e
março e abril de 2009 ................................................................................
29
Figura 5 - Ufcs, em log x+1/g raiz, do grupo fluorescente de Pseudomonas spp. na
rizosfera de cana-de-açúcar submetida à fertirrigação com vinhaça, na
fazenda de Serrana, nos meses de novembro e dezembro de 2008 e
fevereiro, março e abril de 2009 ................................................................
30
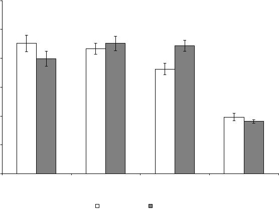
Figura 6 - Ufcs, em log x+1/g raiz, de Bacillus spp. na rizosfera de cana-de-açúcar
submetida à fertirrigação com vinhaça, na fazenda de Altinópolis, nos
meses de novembro e dezembro de 2008 e março e abril de 2009 ........... 30
Figura 7 - Ufcs, em log x+1/g raiz, de Bacillus spp. na rizosfera de cana-de-açúcar
submetida à fertirrigação com vinhaça, na fazenda de Serrana, nos
meses de novembro e dezembro de 2008 e fevereiro, março e abril de
2009 ........................................................................................................... 31
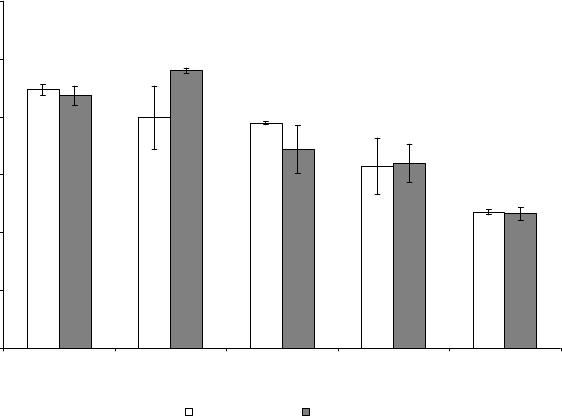
Figura 8 - Ufcs, em log x+1/g raiz, do grupo fluorescente de Pseudomonas spp. na
rizosfera de cana-de-açúcar submetida à aplicação de torta-de-filtro, nos
meses de fevereiro, abril e julho de 2009 .................................................. 32
Figura 9 - Ufcs, em log x+1/g raiz, de Bacillus spp. na rizosfera de cana-de-açúcar
submetida à aplicação de torta-de-filtro, nos meses de fevereiro, abril e
julho de 2009 ............................................................................................. 32
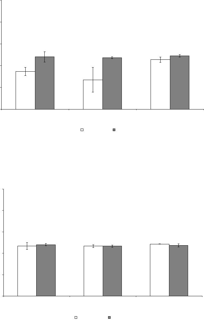
Figura 10 - Massa de matéria seca (mg) da parte aérea de plântulas de cana-de-
açúcar que receberam duas aplicações de suspensão bacteriana no
substrato. Médias de 5 repetições. Coeficiente de variação (CV%), 30,5
.................................................................................................................... 34
Figura 11 - Massa de matéria seca (mg) das raízes de plântulas de cana-de-açúcar
que receberam duas aplicações de suspensão bacteriana no substrato.
Médias de 5 repetições. Coeficiente de variação (CV%), 40 .................... 35
viii
Figura 12 - Razão entre a massa de matéria seca da raiz e da parte aérea (Rz/Pa) de
plântulas de cana-de-açúcar que receberam duas aplicações de
suspensão bacteriana no substrato. Coeficiente de variação (CV%), 38,3
.................................................................................................................... 36
Figura 13 - Massa de matéria seca (mg) da parte aérea de plântulas de cana-de-
açúcar que receberam aplicação de suspensão bacteriana no meio de
cultura in vitro e, posteriormente, no substrato. Médias de 5 repetições.
Coeficiente de variação (CV%), 37,3 ........................................................
38
Figura 14 - Massa de matéria seca (mg) das raízes de plântulas de cana-de-açúcar
que receberam aplicação de suspensão bacteriana no meio de cultura in
vitro e, posteriormente, no substrato. Médias de 5 repetições.
Coeficiente de variação (CV%), 39,2 ........................................................
39
Figura 15 - Razão entre a massa de matéria seca da raiz e da parte aérea (Rz/Pa) de
plântulas de cana-de-açúcar que receberam aplicação de suspensão
bacteriana no meio de cultura in vitro e, posteriormente, no substrato.
Coeficiente de variação (CV%), 45,1 .....................................................
40
ix
Rizobactérias promotoras do crescimento de cana-de-açúcar
RESUMO
O Brasil vive atualmente uma expansão dos canaviais, visando oferecer álcool combustível
em larga escala. Essa situação mantém o país na vanguarda da tecnologia da cana-de-açúcar.
Microrganismos presentes no solo podem influenciar a produção agrícola de diversas
maneiras, inclusive beneficiando o crescimento das plantas. Bactérias associadas com a
rizosfera, conhecidas como rizobactérias promotoras do crescimento de plantas (RPCPs),
destacam-se
por essa função, sendo que o grupo fluorescente do gênero Pseudomonas e
Bacillus spp. são RPCPs de importância reconhecida. Os objetivos deste trabalho foram:
efetuar levantamento da ocorrência desses grupos bacterianos em diferentes condições de
cultivo da cana-de-açúcar – aplicação de vinhaça ou torta-de-filtro; testar os efeitos dos
isolados obtidos como promotores do crescimento de plântulas micropropagadas in vitro e em
período de aclimatação, para a recomendação como inoculantes e; verificar in vitro se os
isolados produzem HCN, AIA ou solubilizam fosfato, características que poderiam explicar a
eventual promoção de crescimento. A partir de amostras de raízes de cana-de-açúcar
submetidas à fertirrigação com vinhaça ou à aplicação de torta-de-filtro foram feitas diluições
e plaqueamentos sucessivos para a contagem do número de unidades formadoras de colônias
(ufcs) de Pseudomonas do grupo fluorescente e de Bacillus spp. Feito isso, tais
microrganismos foram isolados e, juntamente com isolados da coleção do setor de
Microbiologia do Solo do IAC, foram testados na produção de mudas de cana-de-açúcar.
Num primeiro experimento tais isolados foram aplicados apenas no substrato onde as
plântulas se encontravam e num segundo experimento foram introduzidos, primeiramente, no
meio de cultura in vitro onde as plântulas estavam e, após a transferência para o substrato,
uma nova aplicação foi feita como no primeiro experimento. As variáveis analisadas foram
massa de matéria seca de partes aéreas e raízes, bem como a razão raiz:parte aérea (Rz/Pa),
sendo as médias comparadas pelo teste de Scott-Knott a 5% de probabilidade. Além disso, os
isolados foram testados quanto a sua capacidade em produzir AIA, HCN e solubilizar fosfato.
De maneira geral, observaram-se poucas alterações nos valores de ufcs dos grupos bacterianos
em questão devido à aplicação dos resíduos da indústria canavieira. Quanto ao primeiro
experimento foram observadas diferenças em relação à massa de matéria seca da parte aérea e
à razão Rz/Pa. No segundo experimento a massa de matéria seca das raízes diferiu
estatisticamente do controle. Concluiu-se que a vinhaça e a torta-de-filtro não estimularam de
x
maneira significativa as bactérias do grupo fluorescente de Pseudomonas spp. e nem Bacillus
spp., sendo que tais resíduos pouco influenciam na ocorrência desses grupos na rizosfera de
cana-de-açúcar. Verificou-se que seis dos doze isolados obtidos a partir das raízes de cana-de-
açúcar podem ser sugeridos como inoculantes para a produção de mudas dessa planta, bem
como se constatou que a produção de AIA e HCN e a solubilização de fosfato não foram os
fatores mais determinantes para a promoção de crescimento das plântulas nesse caso.
Palavras-chave: Bacillus, Pseudomonas, produção de mudas, RPCPs, torta-de-filtro,
vinhaça.
xi
Plant growth-promoting rhizobacteria of sugar cane
ABSTRACT
Brazil is living today an expansion of sugar cane plantations in order to offer large scale
ethanol. This situation keeps the country at the forefront of sugar cane technology. Soil
microorganisms may influence agricultural production in several ways, including promoting
plant growth. Some bacteria associated with the rhizosphere are known as plant growth-
promoting rhizobacteria (PGPR) and fluorescent Pseudomonas and Bacillus spp. are PGPR of
recognized importance. The objectives of this study were to check the occurrence of these
bacterial groups in different conditions of sugar cane cultivation application of vinasse or
filter cake, test the effects of isolates as growth promoters of micropropagated plantlets in
vitro and acclimatization period to the recommendation as inoculants; and verify in vitro if the
isolates produce HCN, IAA or solubilize phosphate, characteristics that could explain the
possible promotion of growth. Samples of sugar cane roots subjected to application of vinasse
or filter cake were diluted and plated for subsequent counting of colony forming units (cfu) of
fluorescent Pseudomonas and Bacillus spp. The obtained isolates and some others from the
IAC collection were tested in the production of sugar cane seedlings. In a first experiment, the
isolates were applied only on the substrate where the plantlets were growing and in a second
experiment they were introduced in the culture medium with the plantlets and, after transfer to
the substrate, a new application was made as in the first experiment. Shoots and roots dry
weight were evaluated, and the root:shoot ratio was estimated. The averages were compared
by Scott-Knott test at 5% probability. Moreover, the isolates were tested for their ability to
produce IAA and HCN, and solubilize phosphate. In general, there were few differences in
the values of cfu of bacterial groups due to the application of residues from the sugar cane
industry. In the first experiment differences were observed in relation to dry matter of shoots
and in the root:shoot ratio. In the second experiment roots dry weight differed from control. It
was concluded that the vinasse and filter cake did not stimulate significantly Pseudomonas
spp. of the fluorescent group neither Bacillus spp., and this residues had a little influence on
the occurrence of these groups in the sugar cane rhizosphere. It was found that six of twelve
isolates obtained from sugar cane roots may be suggested as inoculants for the production of
seedlings of this species. It was found that, in this case, IAA and HCN production and
phosphate solubilization were not the main factors in promoting growth seedlings.
Key words: Bacillus, Pseudomonas, filter cake, PGPR, seedling production, vinasse.
1
1 INTRODUÇÃO
A cana-de-açúcar é cultivada no Brasil desde a época da colonização, sendo
responsável pelo primeiro ciclo econômico brasileiro, o que a torna, historicamente, um dos
principais produtos agrícolas do país. Como essa planta é matéria-prima de grande
flexibilidade, pode ser empregada na forma de forragem para a alimentação animal e na
fabricação de
aguardente, açúcar e álcool. Seus resíduos podem ser utilizados como
fertilizantes e o bagaço possui potencial para a produção de energia. Além disso, produtos
normalmente derivados do petróleo, como polietileno e estireno, podem ser obtidos a partir da
cana-de-açúcar, com a vantagem de serem biodegradáveis e não ofensivos ao meio ambiente.
Com a Conferência Rio-92, a preocupação com a mudança no clima mundial ganhou
ênfase. Assim, o interesse no álcool combustível aumentou em diversos países. Trinta anos
depois da criação do Proálcool, o Brasil vive uma nova expansão dos canaviais, visando
oferecer, em grande escala, tal combustível. Essa situação mantém o país na vanguarda da
tecnologia da cana-de-açúcar.
Hoje, o plantio se estende além das áreas tradicionais do interior paulista e do
Nordeste. Avançou, também, para os estados de Minas Gerais, Mato Grosso do Sul, Mato
Grosso e Goiás, o que permite ao país produzir açúcar e álcool o ano todo.
As usinas de cana-de-açúcar são grandes geradoras de resíduos, como a vinhaça e a
torta-de-filtro. A utilização desses resíduos como fertilizantes é, atualmente, prática
consolidada e adotada por todas as usinas brasileiras. Qualquer material aplicado ao solo pode
influenciar sua atividade microbiana. Esses resíduos, por serem ricos em matéria orgânica e
nutrientes minerais, podem ser agentes do aumento da atividade e da comunidade microbianas
do solo.
Os microrganismos presentes no solo podem influenciar a produção agrícola de
diversas maneiras, inclusive beneficiando o crescimento das plantas. Atualmente, um
considerável grupo de espécies de bactérias, a maioria associada com a rizosfera, vem sendo
testado. Elas são chamadas de “rizobactérias promotoras do crescimento de plantas” (RPCPs)
e constituem um amplo grupo que influencia de maneira benéfica o crescimento de diversas
espécies vegetais. Dentre essas bactérias destacam-se o grupo fluorescente do gênero
Pseudomonas e Bacillus spp. Foram realizados estudos com esses microrganismos em alface
(FREITAS et al., 2003; SOTTERO et al., 2006), plantas cítricas (FREITAS & VILDOSO,
2
2004), morango (VESTBERG et al., 2004), tomate (FREITAS & PIZZINATTO, 1991;
MENA-VIOLANTE & OLALDE-PORTUGAL, 2007), framboesa (ORHAN et al., 2006),
maçã (ASLANTAS et al., 2007), dentre outras culturas. Além disso, atuam como agentes
biológicos no controle de doenças, pois induzem a resistência sistêmica em plantas, produzem
antibióticos e sideróforos que inibem o crescimento de patógenos. Também favorecem a
nutrição mineral das plantas através da solubilização de fosfatos, bem como produzem
fitormônios como o AIA. Não são incluídos nesse grupo os rizóbios fixadores de nitrogênio,
pois estes estão em relação simbiótica com as leguminosas e as RPCPs associam-se a diversas
plantas numa relação não simbiótica (FREITAS, 2007).
Portanto, para continuar garantindo a competitividade e os bons resultados da cultura
da cana-de-açúcar é preciso torná-la cada vez mais sustentável. Assim a utilização das
rizobactérias na produção de mudas de cana-de-açúcar pode ser uma opção viável e de baixo
custo para uma produção agrícola com qualidade.
Embora seja reconhecida a importância das RPCPs dos neros Pseudomonas e
Bacillus em outras culturas, pouco se conhece sobre essas bactérias na cultura de cana-de-
açúcar. Com base nessas informações, os objetivos do presente trabalho foram:
a. efetuar levantamento da ocorrência desses grupos bacterianos em diferentes
condições de cultivo da cana-de-açúcar, isto é, com aplicação de vinhaça ou
torta-de-filtro;
b. testar os efeitos dos isolados obtidos como promotores do crescimento de
plântulas micropropagadas in vitro e em período de aclimatação, para
recomendação como inoculantes e;
c. verificar in vitro se os isolados produzem HCN, AIA ou solubilizam fosfato,
características que poderiam explicar a eventual promoção de crescimento.
2 REVISÃO DE LITERATURA
2.1 Cana-de-açúcar
A cana-de-açúcar é uma gramínea. Esse termo provém de “gramina”, nome usado pela
primeira vez por Lineu, significando plantas semelhantes à grama.
Segundo os sistemas de
classificação botânica, a cana-de-açúcar pertence à divisão Angiospermae, classe
Monocotyledonea, família Poacea. Existem vários gêneros dessa planta, mas as principais
3
variedades cultivadas comercialmente pelo mundo pertencem ao gênero Saccharum, que
compreende seis espécies: Saccharum officinarum, S. robustum, S. spontaneum, S. sinense, S.
barberi e S. edule (PERIN, 2007).
Mesmo sendo uma planta rústica, hoje estão sendo feitos
altos investimentos para seu cultivo, pois as características ambientais e a competitividade
exigem produtividade, redução de custos e dos impactos no meio ambiente (EMBRAPA,
2008).
O sistema agroindustrial da cana-de-açúcar é um dos mais antigos do Brasil e está
ligado aos principais eventos históricos do país. Admite-se que as primeiras mudas de cana-
de-açúcar chegaram ao Brasil por volta de 1532 através da expedição de Martim Afonso de
Souza. Em Pernambuco a planta alcançou sucesso como cultura comercial, pois o solo fértil e
o clima quente propiciaram um bom desenvolvimento para as plantas; começava assim uma
atividade altamente rentável para Portugal.
Dessa forma, a cana-de-açúcar foi responsável pelo primeiro ciclo econômico
brasileiro, o que a torna, historicamente, um dos principais produtos agrícolas do país. Como
tal planta é matéria-prima de grande flexibilidade, pode ser empregada na forma de forragem
para a alimentação animal e na fabricação de aguardente, açúcar e álcool. Seus resíduos
podem ser utilizados como fertilizantes e o bagaço possui potencial para a produção de
energia. Além disso, produtos normalmente derivados do petróleo, como polietileno e
estireno, podem ser obtidos a partir da cana-de-açúcar, com a vantagem de serem
biodegradáveis e não ofensivos ao meio ambiente.
Nos anos 70 do século XX a economia brasileira encontrava-se em pido
crescimento, necessitando importar uma quantidade maior de petróleo e, exatamente nessa
época, acontecia a primeira crise do petróleo no Oriente Médio. Como solução o governo
lançou, em 1975, o Programa Brasileiro do Álcool Combustível (Proálcool) que expandiu a
cultura canavieira no Brasil. A ideia era produzir etanol a partir da cana-de-açúcar tendo como
objetivo aumentar a produção de álcool para substituir os combustíveis derivados de petróleo,
em especial a gasolina, sem prejuízo na fabricação de açúcar (DUARTE JR., 2006; PERIN,
2007). Esse programa cresceu rapidamente e de pra a cultura canavieira cresceu muito
no país (BODDEY et al., 2003).
O que sustentava o Proálcool eram os esforços desenvolvidos pelo Programa de
Melhoramento da Copersucar (Cooperativa de Produtores de Cana-de-açúcar, Açúcar e
Álcool do Estado de São Paulo) e pelo Governo Federal, com a criação do Programa Nacional
do Melhoramento da Cana-de-açúcar (PLANALSUCAR), criado para desenvolver processos
e métodos ligados ao cultivo da cana-de-açúcar e à produção de açúcar e álcool. Essas
4
instituições desenvolveram e substituíram as antigas variedades de cana-de-açúcar pelas
novas variedades CB (Campos, Brasil), PB (Pernambuco, Brasil) e IAC (Instituto
Agronômico de Campinas), sendo mais adaptadas ao tipo de solo, clima e sistema de corte
(manual ou mecânico), bem como apresentando resistência a pragas e maior concentração de
sacarose (PERIN, 2007).
Atualmente, o Brasil é o maior produtor de cana-de-açúcar do mundo e também o líder
mundial na utilização dessa planta como fonte de energia renovável. Essa cultura ocupa uma
área de 7,74 milhões de hectares, tendo sido produzidos em
2009 pouco mais de 629 milhões
de toneladas (CONAB, 2009). A cultura canavieira contribui grandemente para o aumento de
divisas para o país pela exportação de seus produtos, sendo de suma importância para a
economia brasileira, o que justifica o fato de essa planta ser alvo de tantas pesquisas no país.
2.2 Vinhaça e Torta-de-filtro
As usinas de cana-de-açúcar são conhecidas como grandes produtoras de resíduos e
alguns desses, como a vinhaça e a torta-de-filtro, são amplamente usados como fertilizantes.
Os processos de uso e destinação de resíduo são, atualmente, partes do processo de
produção, já que pode reduzir custos, pois substitui o uso de insumos. No entanto, essa prática
precisa ser avaliada quanto aos riscos que pode impor ao meio ambiente, pois pode
contaminar o solo e águas subterrâneas e superficiais (BARBOSA, 2007).
Até a década de 70 tinha-se como costume descartar a vinhaça em rios e ribeirões nas
proximidades das usinas; no entanto, com o aumento da produção de etanol no Brasil e
consequente maior produção de tal resíduo, veio a necessidade de maior controle do destino
da vinhaça (AGUIAR FILHO, 2008).
A vinhaça resulta do processo de fabricação do álcool, sendo produto da destilação e
fermentação da cana-de-açúcar. Em geral é rica em matéria orgânica e nutrientes minerais
como potássio e nitrogênio. Por esse motivo, atualmente, a fertirrigação com vinhaça é prática
consolidada e adotada por todas as usinas brasileiras de açúcar e álcool.
O uso agrícola da vinhaça tem sido amplamente estudado, BARBOSA (2007) diz que
nos últimos 50 anos vários estudos foram realizados sobre a aplicação de vinhaça em solos
agrícolas. Essas pesquisas concluíram, em geral, que doses de até 300 m
3
ha
-1
ocasionam
correções de acidez com aumento de pH, aumento da troca catiônica, aumento da retenção de
água, melhora da estrutura física do solo e, exatamente, por ser rico em matéria orgânica e
5
nutrientes aumenta a fertilidade e produtividade da cana-de-açúcar, bem como pode ser,
também, agente de aumento da comunidade e da atividade microbiana do solo.
A torta-de-filtro é um resíduo obtido a partir da fabricação do açúcar durante uma
etapa denominada clarificação. Também é rica em nutrientes, predominando o nitrogênio e
fósforo. Pela alta relação C/N pode resultar em imobilização de nitrogênio para as plantas,
pelo maior crescimento microbiano (FREITAS et al., 1988).
O uso da torta-de-filtro está associado a alterações nas propriedades químicas do solo,
como aumento de fósforo, CTC e diminuição do alumínio trocável (FIRME, 2005). E, assim
como ocorre com a vinhaça, por ser rica em nutrientes, também pode ser agente de aumento
da comunidade e da atividade microbiana do solo.
É importante ressaltar que qualquer material aplicado ao solo pode influenciar sua
atividade microbiológica. A vinhaça e a torta-de-filtro representam uma fonte de carbono,
bem como um reservatório de nutrientes minerais, importante para os microrganismos que
habitam o solo e as plantas.
2.3 Uso de Microrganismos na Agricultura
Segundo VESSEY (2003), o termo biofertilizante é recente e a definição exata ainda
não é certa, mas normalmente se refere ao uso de microrganismos vivos do solo que, quando
aplicados às sementes, superfícies das plantas ou solo, colonizam a rizosfera ou o interior das
plantas e promovem o crescimento por melhorar a oferta ou disponibilidade de nutrientes
primários para a planta hospedeira. Portanto, o uso de microrganismos benéficos como
biofertilizantes, ao invés do uso de insumos químicos, é conhecido por melhorar o
crescimento das plantas e ainda ajudar o meio ambiente e a produtividade do solo.
O uso de microrganismos para estimular o crescimento das plantas vem sendo
explorado tempos: Theophrastus (372 287 aC) sugeriu uma mistura de diferentes solos
como um meio de “remediar defeitos e adicionar alma ao solo” (VESSEY, 2003); tal mistura
ainda que não se soubesse então ocasionava efeitos positivos pela introdução de
microrganismos. Atualmente, muitos estudos com o uso de microrganismos na agricultura são
baseados em um grupo bacteriano conhecido como rizobactérias promotoras do crescimento
de plantas (RPCPs), devido aos vários mecanismos de ação que esse grupo possui para
beneficiar as plantas.
6
2.3.1 Rizobactérias promotoras do crescimento de plantas e seus mecanismos de ação
O crescimento das plantas influencia a atividade dos microrganismos do solo,
especialmente daqueles que estão presentes no solo adjacente à raiz das plantas conhecido
como rizosfera. Segundo PRESTON (2004), muitas plantas possuem mecanismos de
resistência contra determinadas bactérias, mostrando que elas têm capacidade de reconhecer
bactérias patogênicas e de se proteger contra elas. Ao mesmo tempo, possuem a habilidade de
se associar às bactérias benéficas como fazem, por exemplo, com rizóbios fixadores de
nitrogênio.
As raízes liberam grandes quantidades de exsudatos radiculares, que são ricos em
açúcares, ácidos dicarboxilícos e aminoácidos, bem como em grande variedade de metabólitos
secundários. Tais exsudatos são liberados pelas células da borda da raiz, tornando a rizosfera
um habitat para a sobrevivência de uma microbiota.
O conceito de rizobactérias promotoras do crescimento de plantas (RPCPs)
compreende, exatamente, as bactérias que vivem na rizosfera e que promovem de maneira
benéfica o crescimento da espécie vegetal a ela associada numa relação não simbiótica.
Organismos envolvidos de maneira simbiótica com as plantas não são, portanto, considerados
RPCPs e, sendo assim, os rizóbios fixadores de nitrogênio, quando associados às plantas
leguminosas, não fazem parte desse grupo (FREITAS, 2007).
Os estudos iniciais com RPCPs focavam-se no grupo fluorescente de Pseudomonas,
mas agora se sabe
que RPCPs incluem um amplo grupo de gêneros bacterianos (WELLER,
2007) a saber: as próprias Pseudomonas, bem como Bacillus, Azospirillum, Azotobacter,
Burkholderia, Serratia, Arthrobacter, Klebsiella, Mesorhizobium e Phyllobacterium.
As RPCPs podem ser utilizadas para tratamento de sementes, explantes e mudas
micropropagadas, incorporadas ao solo, tubérculos ou raízes, bem como pulverizadas nas
partes aéreas, incluindo folhas e frutos, e em pós-colheita (MARIANO et al., 2004).
Segundo MARIANO et al. (2004), os trabalhos de Stein em 1988 e Freitas em 1989
foram os pioneiros, no Brasil, na utilização das RPCPs. Nos trabalhos mencionados foram
testados Pseudomonas fluorescentes para aumentar o crescimento de plântulas de tomateiro e
cafeeiro em condições de casa de vegetação. A partir de então vários estudos vêm avaliando o
efeito benéfico da utilização dessas bactérias.
Já há muito tempo são feitos trabalhos sobre o potencial do uso de plantas associadas a
algumas bactérias como agentes de estímulo de crescimento ou para melhorar a saúde da
7
planta conforme atesta o trabalho de
ROVIRA (1965). Essas bactérias associam-se a várias
espécies de plantas e são comumente encontradas em diversos ambientes.
Os modos de ação das RPCPs são diversos e, portanto, o crescimento pode ser
favorecido por elas tanto de forma direta como de forma indireta. A promoção de crescimento
é direta quando os microrganismos facilitam a captação de certos nutrientes do solo,
solubilizando minerais como o fósforo e tornando-o disponível à planta (DE FREITAS et al.,
1997; ROSAS et al., 2006), ou quando produzem fitormônios como ácido indol acético – AIA
– (PATTEN & GLICK, 2002), além de outros compostos indólicos, bem como etileno
(THULER et al., 2003a, b), citoquininas e giberelinas. Já a produção de crescimento indireta
ocorre por meio do controle de fitopatógenos, ou seja, pela indução de resistência sistêmica
no hospedeiro (RAMAMOORTHY et al., 2001) ou pela produção de ácido cianídrico HCN
– (OWEN & ZDOR, 2001) e de sideróforos (DE BELLIS & ERCOLANI, 2001; ONGENA et
al., 2002).
Além disso, segundo a revisão de WELLER (2007), os estudos de Kloepper & Schroth
em 1981 mostram que RPCPs podem impedir o estabelecimento de outros microrganismos
rizosféricos, pois competem com eles por espaços favoráveis na raiz e na rizosfera. As RPCPs
podem, também, prover tolerância contra estresses abióticos, como seca, salinidade e
toxicidade por metais (DIMKPA et al., 2009).
2.3.1.1 Sideróforos
O ferro é um elemento essencial para o crescimento de todos os seres vivos. Em baixas
concentrações de ferro bactérias do grupo fluorescente do gênero Pseudomonas produzem
compostos com baixa massa molecular chamados sideróforos, que competem para adquirir
íon férrico; portanto, sideróforos são quelantes com alta afinidade pelo Fe
3+
que são
sintetizados sob condições limitantes de ferro.
A escassez de ferro nos solos e nas superfícies das plantas pode causar competição
entre os microrganismos. Com a produção de sideróforos, os microrganismos imobilizam Fe
3+
tornando-o menos disponível a outros que não produzam tal substância. Assim, a comunidade
de microrganismos competidores é reduzida.
Vale lembrar que o ferro torna-se indisponível em valores de pH maiores do que seis
e, como no Brasil a grande maioria dos solos são ácidos, a escassez de ferro não é uma
situação comumente encontrada no país.
8
2.3.1.2 Ácido cianídrico – HCN
O HCN é um produto secundário do metabolismo de diversos microrganismos e afeta
organismos sensíveis pela inibição da síntese de ATP mediada pela citocromo oxidase.
Dependendo dos organismos-“alvo”, os microrganismos produtores de HCN podem ser
considerados prejudiciais, quando eles influenciam negativamente a saúde da planta, ou
benéficos, quando sua atividade resulta em supressão de patógenos (DE BELLIS &
ERCOLANI, 2001).
A produção de HCN possui características ambíguas, pois ela pode estar associada
tanto a rizobactérias benéficas quanto às deletérias. Segundo COELHO (2006) a produção de
HCN poderia ser o mecanismo envolvido no efeito deletério de certas rizobactérias. Ao
mesmo tempo, LUZ (1996) diz que a produção de HCN aumenta o desenvolvimento de pêlos
radiculares em plantas.
2.3.1.3 Ácido indol acético – AIA
O ácido indol acético é um fitormônio do grupo das auxinas, sendo, na realidade, a
principal auxina nas plantas. O AIA controla muitos processos fisiológicos importantes, como
a divisão celular, a diferenciação dos tecidos e as respostas à luz e à gravidade. Segundo
MIRZA et al. (2001), a produção de AIA por microrganismos pode variar entre diferentes
espécies, bem como entre cepas da mesma espécie. As condições da cultura, estágio de
crescimento e o substrato também são condições que podem causar variações na produção.
Mais de 80% das rizobactérias são capazes de sintetizar AIA. Estudos mostram que a
promoção de crescimento mediado pela produção de AIA por RPCPs é relacionada, na
realidade, a baixos níveis de secreção de AIA, pois o contrário altos níveis de secreção de
AIA pode causar um efeito inibitório ao crescimento das raízes das plantas (BARAZANI &
FRIEDMAN, 1999).
2.3.1.4 Solubilização de P
O fósforo é um elemento limitante em, praticamente, todos os ecossistemas, pois as
fontes primárias são as rochas, onde esse elemento se encontra de forma insolúvel e, portanto,
indisponível para os organismos superiores.
9
A maioria dos solos tropicais é pobre em fósforo disponível, portanto, os agricultores
têm que fazer uso de fertilizantes fosfatados, que têm alto custo. Parte do fertilizante aplicado
acaba se tornando insolúvel e, portanto, indisponível para as plantas. Existem rizobactérias
capazes de converter esse fosfato inorgânico insolúvel em fosfato disponível às raízes das
plantas.
TORO et al. (1997) testaram o efeito combinado de duas diferentes rizobactérias
solubilizadoras de P pertencentes aos gêneros Bacillus e Enterobacter com fungos
micorrízicos arbusculares Glomus intraradices e verificaram que essas bactérias se
comportaram como “bactérias auxiliares
de micorriza”, pois promoveram o estabelecimento
tanto de micorrizas indígenas como das micorrizas arbusculares introduzidas pelo
experimento. Além disso, a inoculação combinada de G. intraradices e B. subitilis aumentou
significantemente a biomassa e a acumulação de N e P nos tecidos da planta. FRANCIS et al.
(2010) citam em sua revisão que bactérias Gram-positivas costumam ser mais comuns nessas
“alianças” do que as Gram-negativas, o que reforça os resultados dos experimentos de TORO
et al. (1997).
ROSAS et al. (2006) também testaram um “mix” de microrganismossolubilizadores
de P e fixadores de nitrogênio e observaram que bactérias do gênero Pseudomonas eram
capazes de fornecer fósforo às plantas quando cresciam juntamente com Bradyrhizobium
japonicum. DE FREITAS et al. (1997) verificaram que os melhores microrganismos
solubilizadores de P pertenciam ao gênero Bacillus.
2.3.2 Bacillus spp., Pseudomonas spp. e estudos desses gêneros como RPCPs em diversas
espécies vegetais
Os gêneros Bacillus e Pseudomonas têm sua importância reconhecida no crescimento
de plantas e, também, no controle de doenças (VESTBERG et al., 2004; KUMAR et al.,
2007). São, portanto, considerados agentes de biocontrole de doenças de plantas possuindo
grande potencial para utilização na agricultura.
Bactérias do gênero Bacillus são Gram-positivas e podem ser aeróbias, facultativas ou
anaeróbias. Formam endósporos característica que as coloca entre os esporulados. A
formação de esporos aumenta a resistência desses microrganismos aos fatores adversos. Tal
característica também é interessante para a formulação de inoculantes comerciais, pois esses
microrganismos podem ser armazenados por um período mais longo e podem permanecer por
10
mais tempo no solo; além disso, também produzem antibióticos que inibem fitopatógenos
(KOKALIS-BURELLE et al., 2006).
Pseudomonas spp. são bactérias Gram-negativas e aeróbias que costumam estar
presentes em, praticamente, todos os solos agrícolas e são bem adaptadas para crescer na
rizosfera. Algumas bactérias pertencentes ao grupo fluorescente do gênero
Pseudomonas
possuem várias características que as tornam agentes de biocontrole e de promoção de
crescimento. Algumas dessas características são: rápido crescimento in vitro, rápida utilização
de exsudados de sementes em germinação e raízes, colonização e multiplicação na rizosfera e
espermosfera e no interior de plantas, produção de grande variedade de metabólitos
(antibióticos, sideróforos e substâncias promotoras de crescimento) e competição contra
outros microrganismos (WELLER, 2007). Assim como Bacillus, o grupo também é relatado
como produtor de antibióticos (FREITAS, 2007). A maior desvantagem de Pseudomonas
como agente de biocontrole está no fato de esse grupo não produzir esporos, assim como
fazem Bacillus spp., o que acaba por dificultar a formulação de inóculos para o uso comercial
dessas bactérias (WELLER, 2007).
Os primeiros substratos usados como nutrientes por Pseudomonas promotoras de
crescimento, quando em contato com a rizosfera, são açúcares simples, ácidos orgânicos e
aminoácidos. Segundo PRESTON (2004) a natureza versátil e a fisiologia do grupo de
bactérias Pseudomonas dão a elas potencial para fornecer soluções biológicas para
importantes problemas ambientais, industriais e da agricultura.
As vantagens geradas por esses gêneros de RPCPs podem ser verificadas em diversas
espécies vegetais. FREITAS et al. (2003) verificaram a promoção do crescimento em alface.
SOTTERO et al. (2006) também utilizaram essa planta para tornar a seleção de isolados de
RPCPs mais eficiente; dessa forma, foram testados 64 isolados de Pseudomonas fluorescentes
e observou-se que a presença de uma névoa ao redor do colo da plântula indicava a
colonização das raízes pela bactéria, o que foi proposto como um método de seleção prévia
para a obtenção de isolados bacterianos potenciais promotores de crescimento. Além disso, as
autoras verificaram que doze isolados promoveram o crescimento das plantas, tendo quatro
deles aumentado a massa de matéria seca da raiz e nove, o número de folhas. Ainda em
alface, CIPRIANO (2009) testou isolados de Pseudomonas do grupo fluorescente no sistema
de cultivo hidropônico. Os objetivos eram verificar se tais isolados promoviam o crescimento
das plantas, bem como se possuíam potencial para serem agentes de controle biológico de
Pythium. Foi verificado que alguns dos isolados testados promoveram crescimento e que
ocorreu o controle biológico de Pythium no cultivo de alface hidropônica.
11
Em plantas cítricas, FREITAS & VILDOSO (2004) testaram dez isolados de
Pseudomonas fluorescentes, treze de Bacillus e sete de outras bactérias rizosféricas em três
diferentes porta-enxertos utilizados na citricultura (tangerineira “Cleópatra”, limoeiro “Cravo”
e limoeiro “Volcamericano”) e verificaram que, dependendo do porta-enxerto, Pseudomonas
e Bacillus beneficiaram o aumento de massa de matéria seca de raízes ou de partes aéreas,
porém sem efeito sobre a altura das plantas.
FREITAS (1989) observou em cafeeiros que isolados de Pseudomonas fluorescentes
induziam maiores massas de matéria seca
nas plantas, bem como aumento de altura e um dos
isolados aumentou o número de bactérias fluorescentes na rizosfera seis meses depois da
inoculação.
Em tomate, MENA-VIOLANTE & OLALDE-PORTUGAL (2007) constataram que
isolados de Bacillus subtilis promoveram melhoras no tamanho, massa e textura dos frutos e
também na produção por planta. Os autores atribuíram tais resultados a uma possível
produção de fitormônios por Bacillus. FREITAS & PIZZINATTO (1991) relataram que
Pseudomonas fluorescentes induziram o aumento de massa de matéria seca em tomate, o que
foi justificado pelo antagonismo da bactéria a Fusarium oxysporum f.sp. lycopersici.
ARAÚJO (2008) inoculou células de Bacillus subitilis em sementes de milho, algodão
e soja e verificou que a inoculação da bactéria proporcionou aumento da emergência de
plântulas de algodão e soja, bem como aumentou significativamente a massa de matéria seca
das partes aéreas do milho.
VISWANATHAN & SAMIYAPPAN (1999) notaram que RPCPs pertencentes ao
grupo fluorescente de Pseudomonas isoladas a partir da rizosfera de cana-de-açúcar foram
eficientes em reduzir, em plantas de cana-de-açúcar, uma doença denominada podridão
vermelha causada pelo fungo Colletotrichum falcatum. Esse fato foi explicado pela indução
de resistência sistêmica que a presença da bactéria causou na planta.
Considerando a nutrição de plantas, ORHAN et al. (2006) verificaram que dois
isolados de Bacillus estimularam o crescimento das plantas de framboesa e aumentaram a
produção, o que foi resultado da capacidade de solubilização de P pela bactéria. O
fornecimento de fósforo como nutriente foi relatado em macieiras por ASLANTAS et al.
(2007), que observaram promoção do crescimento nas árvores jovens, bem como aumento na
produção de frutas. A produção de fitormônios pelas RPCPs e também a capacidade de
solubilização de P de alguns dos isolados testados foram os responsáveis pelos resultados,
fazendo que os autores sugerissem o uso das RPCPs como forma de garantir uma produção
orgânica.
12
As RPCPs ainda não são usadas massivamente pelos agricultores, pois dificuldades
em se formular inoculantes para uso comercial. Estudos como de ARAÚJO (2008) têm sido
feitos para se tentar resolver o problema. Nesse estudo, o autor testou células de Bacillus
subtilis misturadas à farinha de ostras para se tentar chegar a um produto comercial. Dessa
forma, chegou à conclusão que tal fórmula é uma alternativa viável para a inoculação de
sementes.
2.3.3 Dificuldades no estabelecimento das RPCPs
Para que as RPCPs realmente beneficiem o crescimento das plantas é necessário que
estejam em contato íntimo com a planta hospedeira, o que pode ser feito de maneira
rizosférica ou de maneira endofítica (VESSEY, 2003). As relações endofíticas, nesse caso,
não formam nódulos nas raízes como ocorre, por exemplo, entre os rizóbios e as leguminosas.
A colonização radicular, embora fundamental, é algo complexo, isto é: para que a
bactéria influencie o crescimento vegetal precisa, é claro, colonizar a rizosfera, o que nem
sempre acontece. Essa pode ser uma das explicações para a inconstância dos resultados
fornecidos pelas RPCPs, algo muito citado pelos autores (FREITAS et al., 2003; SOTTERO
et al., 2006).
Outra explicação seria a incapacidade de locomoção dos microrganismos do
local de inoculação até a rizosfera (SOTTERO et al., 2006). Segundo BONKOWSKI et al.
(2009) os microrganismos não costumam ser muito móveis nos solos e, por isso, tem sido
sugerido que a fauna do solo em especial os nematóides desempenha um importante papel
como vetor para difundir as bactérias em torno da rizosfera.
Somado a esses fatos, há uma grande diversidade e densidade microbiológica na
rizosfera, bem como uma enorme diversidade metabólica e consequente competição nesse
local. Dessa forma, limites para a introdução de microrganismos externos na rizosfera. A
competência das rizobactérias para se estabelecer na rizosfera depende de o quão efetiva a
bactéria é para colonizar a raiz combinado com a habilidade para sobreviver e proliferar junto
às raízes das plantas em crescimento durante um tempo considerável e na presença de uma
microbiota indígena. Por esse motivo, DIMKPA et al. (2009) em sua revisão sobre RPCPs
citam o fato de muitas rizobactérias mostrarem efeitos benéficos sob condições controladas
em casa de vegetação, não sendo tais efeitos percebidos sob condições naturais. Além disso,
vários genes, também, estão envolvidos na capacidade de colonizar a rizosfera
(LUGTENBERG & DEKKERS, 1999). REINHOLD et al. (1985) estudaram a resposta
13
quimiotática de três isolados de Azospirillum e observaram que tal resposta é muito
específica, ou seja, provavelmente as bactérias se adaptam e, portanto, se estabelecem
apenas onde há condições de nutrientes exsudados por plantas hospedeiras específicas.
Além disso, quando a promoção de crescimento ocorre por controle biológico de
patógenos, os resultados somente serão percebidos se o patógeno estiver presente no solo. Por
fim, os fatores nutricionais do solo também podem ser limitantes ao estabelecimento das
RPCPs (SOTTERO et al., 2006). Por essas razões, foram desenvolvidas técnicas in vitro para
estudar a colonização radicular por rizobactérias.
Segundo WELLER (2007), um grande progresso foi feito nos últimos 30 anos para
entender o processo de colonização das raízes por Pseudomonas e para caracterizar os fatores
bióticos e abióticos, bem como os genes que influenciam essa colonização. Assim, chegaram
a três conclusões: 1) a competência para colonizar a rizosfera é comandada por muitos genes e
caminhos, sendo que para um único isolado muitas vias podem estar envolvidas no processo;
2) a competência para colonizar a rizosfera pode ser específica entre planta e bactéria; 3) a via
ou o gene são influenciados pela espécie da planta, tipo de solo e condições ambientais.
2.4 RPCPs na micropropagação de mudas de cana-de-açúcar
A partir da definição do conceito da
totipotência celular capacidade de originar um
novo organismo a partir de qualquer parte de uma planta por meio de ativação e repressão de
genes foram desenvolvidos trabalhos sobre cultura de tecidos (MANNION, 1995). Desde o
início do século XX a cultura de tecidos vegetais é um meio pelo qual células ou tecidos são
desenvolvidos sob condições assépticas e controladas. Essa técnica auxilia no melhoramento
genético, pois amplia a variabilidade genética e também pode reduzir o tempo para
lançamento de novas cultivares (CAVALCANTE et al. 2006).
A propagação vegetativa in vitro ou micropropagação é uma aplicação da cultura
de tecidos caracterizada por ser um método in vitro para a multiplicação de plantas usando
células e/ou tecidos meristemáticos ou não meristemáticos como explantes. Tem como
objetivo a propagação de plantas livres de doenças, bem como acelerar os métodos
convencionais de propagação vegetativa. A micropropagação permite, assim, multiplicar o
material selecionado por programas de melhoramento, obtendo-se mudas com certa rapidez,
com alta qualidade, com alto grau de sanidade, em larga escala e em curto período de tempo,
além de possibilitar a utilização de áreas menores para a produção das mudas (NOGUEIRA,
14
2006). As microplantas crescem, primeiramente, sob condições assépticas e depois são, então,
transferidas para substrato para o período de aclimatação.
A partir da década de 80, foi introduzida na Brasil a comercialização de plantas
micropropagadas de cana-de-açúcar (CANUTO et al., 2003). A preocupação com o excelente
grau de fitossanidade dessas plantas faz com que esse processo, além de eliminar
microrganismos patogênicos, elimine também microrganismos com potencial benéfico como
as RPCPs.
A cana-de-açúcar é uma gramínea que normalmente se propaga vegetativamente pelos
colmos, gemas dos nós e rizomas, mas a propagação por sementes também ocorre. Em escala
comercial é vegetativamente propagada pelos colmos e, por essa razão, a micropropagação
oferece um prático e rápido método para a produção de biomassa (LAKSHMANAN, 2005).
Além disso, após, em média, quatro ou cinco cortes consecutivos, a lavoura canavieira precisa
ser renovada, o que exige grandes quantidades de mudas.
No Brasil, a micropropagação da cana-de-açúcar tem sido desenvolvida,
principalmente, por laboratórios instalados dentro das usinas de açúcar e álcool visando
atender a demanda interna, mas também servindo como prestadoras de serviços.
Segundo DONATO et al. (2005), a micropropagação para a cana-de-açúcar é bastante
vantajosa. Antes de sua utilização eram requeridos de 10 a 15 anos para a seleção do material
e depois tornavam-se necessários mais alguns anos para o estabelecimento das cultivares em
plantios comerciais.
Na cana-de-açúcar, as plantas vêm sendo produzidas pela regeneração direta tanto do
meristema apical quanto do axilar e dos tecidos imaturos das folhas. Como ocorre com as
outras espécies de plantas, as plantas de cana-de-açúcar propagadas dos meristemas in vitro
são consideradas geneticamente e fenotipicamente mais estáveis do que as produzidas do calo.
Assim, consideráveis esforços estão sendo feitos para investigar a adaptabilidade da cultura
meristemática para o crescimento comercial da elite” da cana-de-açúcar (LAKSHMANAN,
2005).
Apesar de serem conhecidas como potenciais agentes de controle biológico contra
doenças e pragas e na promoção do crescimento de plantas, o uso das RPCPs na produção de
mudas micropropagadas ainda está em fase inicial. A inoculação de RPCPs durante o
processo de micropropagação pode otimizar o processo de obtenção das mudas, bem como
beneficiar o estabelecimento dessas bactérias.
Os benefícios acarretados pelas RPCPs nas mudas micropropagadas são,
principalmente, aumento de área foliar, número de folhas e matéria seca, com consequente
15
redução do tempo de aclimatização e maior sobrevivência das mudas após o transplante. No
campo, verificou-se a proteção contra doenças e aumento na produtividade (MARIANO et al.,
2004). Dessa forma, a qualidade da muda é importante, pois ela irá influenciar a porcentagem
de sobrevivência, a velocidade de crescimento e a produção final. Estudo realizado com
tomate e pimenta mostrou que, como resultado da promoção no crescimento, o tempo
requerido para o transplante - da casa de vegetação para o campo - foi reduzido e o vigor e a
sobrevivência no campo também melhoraram para ambos (KOKALIS-BURELLE, 2006).
Levando-se isso em conta, o tratamento de mudas de cana-de-açúcar micropropagadas com
RPCPs é algo que, se viável, poderá trazer resultados benéficos para uma das mais
importantes culturas do país.
Seria desejável que os substratos de crescimento usados na micropropagação tivessem
microrganismos benéficos introduzidos para tornar o crescimento das plantas mais
sustentável. No entanto, muitos fatores têm ainda de ser considerados quando se desenvolve
um substrato biologicamente benéfico (VESTBERG, 2004). Estudos ainda são necessários
para explicar o modo de ação desses microrganismos, interação entre os microrganismos no
caso de múltipla inoculação e as interações com as propriedades físicas, químicas e biológicas
do substrato original.
Atualmente tem crescido a pressão mundial para aumentar a produtividade nos
cultivos de cana-de-açúcar para que se possam sustentar usinas produtivas. As mudanças
significantes para melhorar a produtividade das culturas são resultados de estratégias
inovadoras, entre as quais a biotecnologia (LAKSHMANAN, 2005). Embora seja
reconhecida a importância das RPCPs dos gêneros Pseudomonas e Bacillus em outras
culturas, pouco se conhece sobre a influência dessas bactérias na cultura de cana-de-açúcar.
ÇAKMAKÇI et al. (2006) testou o efeito das RPCPs em sementes de beterraba e
verificou que os efeitos das rizobactérias foram mais pronunciados durante a fase inicial de
desenvolvimento das plantas. A inoculação com RPCPs influenciou positivamente a massa de
matéria das raízes e partes aéreas durante os primeiros estágios de desenvolvimento das
plantas. Dessa forma, o teste das RPCPs em mudas de cana-de-açúcar torna-se algo
interessante, pois as plantas poderão ser beneficiadas desde suas fases iniciais.
16
3 MATERIAL E MÉTODOS
3.1 Contagens e Isolamentos
3.1.1 Solos com e sem vinhaça
De acordo com a Norma Técnica P4.231 da CETESB Companhia de Tecnologia de
Saneamento Ambiental do Estado de São Paulo de janeiro de 2005, o volume de vinhaça a
ser aplicada em tratamento em solos agrícolas deve ser determinado de acordo com a equação
que leva em conta a CTC, a concentração de potássio no solo (ks) e a concentração de
potássio na vinhaça (kvi) (CETESB, 2005), conforme se segue:
m
3
de vinhaça/ha = [(0,05 x CTC – ks) x 3744 + 185] / kvi
Dessa forma, foi calculado o volume de vinhaça a ser aplicado em duas diferentes
propriedades. Uma dessas, localizada no município de Altinópolis (SP), recebeu no mês de
agosto de 2008 dose de 170 m
3
ha
-1
de vinhaça pela primeira vez, enquanto que a outra,
situada em Serrana (SP), recebeu no mês de setembro de 2008 uma dose de 141 m
3
ha
-1
, sendo
que nessa área a vinhaça vem sendo aplicada muitos anos. Em ambos lugares o resíduo foi
aplicado na soqueira. As testemunhas receberam, apenas, aplicação do mesmo volume de
água.
Nos meses de novembro e dezembro de 2008 e março e abril de 2009 na fazenda de
Altinópolis e nos meses de novembro e dezembro de 2008 e fevereiro, março e abril de 2009
na fazenda de Serrana, amostras de raízes de cana-de-açúcar da variedade SP83-2847 foram
coletadas de três pontos ao acaso, gerando amostras compostas das situações com e sem
vinhaça, com três repetições de cada tratamento.
O solo da fazenda de Altinópolis é classificado como Latossolo Vermelho Amarelo
arenoso, enquanto que o encontrado na fazenda de Serrana é Neossolo Quartzarênico
(EMBRAPA, 1999).
17
3.1.2 Solos com e sem torta-de-filtro
As amostras de raízes com aplicação ou não de torta-de-filtro são provenientes de uma
terceira propriedade agrícola, localizada em Piracicaba (SP) onde se encontra solo do tipo
Podzólico Vermelho Escuro argiloso. Nesse local, o plantio da cana e a aplicação da torta-de-
filtro, aconteceram em outubro de 2008. Foram aplicadas 30 t/ha de torta-de-filtro (72% de
umidade) e as amostras foram coletadas nos meses de fevereiro, abril e julho de 2009 da
mesma forma como feito para as amostras com vinhaça, ou seja, de três pontos ao acaso,
gerando amostras compostas das situações com e sem torta-de-filtro, sendo três repetições de
cada tratamento. Porém, neste caso, as raízes são provenientes de cana-de-açúcar da variedade
CTC5.
3.2 Contagens de Possíveis RPCPs de Cana-de-açúcar
Foram realizadas contagens de dois diferentes grupos de prováveis RPCPs de cana-de-
açúcar: o grupo fluorescente do gênero Pseudomonas e Bacillus
spp. Para tal, a partir das
amostras de raízes de cana-de-açúcar sem histórico de doenças cultivadas em presença e
ausência de vinhaça, bem como sob a aplicação ou não de torta-de-filtro, foram realizadas
diluições seriadas para que fosse possível realizar a contagem do número de unidades
formadoras de colônias (ufcs).
3.2.1 Contagens de Pseudomonas do grupo fluorescente
As raízes foram colocadas em frascos de Erlenmeyer contendo solução de
MgSO
4
.7H
2
O 0,01 mol L
-1
e agitadas em agitador por 10 minutos para o desprendimento do
solo rizosférico na solução, obtendo assim uma suspensão original. A partir dessa suspensão
original foram feitas diluições de fator 10 e plaqueamentos sucessivos, possibilitando a
contagem do número de ufcs.
Dessa forma, 0,1 mL da solução original e das diluições subsequentes (até 10
-4
) foram
espalhados em duplicata com o auxílio da alça de Drigalski em placas de Petri contendo
meio B de KING et al. (1954) – meio B – o qual possui baixa concentração de ferro,
favorecendo a produção dos sideróforos responsáveis pela fluorescência das Pseudomonas.
As placas foram mantidas a 28ºC durante 24 horas e, após esse período, foram contadas as
18
colônias que fluoresciam sob luz com comprimento de onda próximo ao ultravioleta
(FREITAS, 1994).
Os dados originais de contagem de ufcs foram transformados para log (x + 1) e a
comparação entre médias foi feita pela estimativa do erro padrão.
3.2.2 Contagens de Bacillus spp.
Para a contagem de Bacillus a mesma solução original foi mantida em banho-maria a
80ºC por 20 minutos. Feito isso, 0,1 mL da solução e das diluições subsequentes (até 10
-3
)
foram espalhadas em duplicata com o auxílio da alça de Drigalski em placas de Petri
contendo meio batata-dextrose-ágar (BDA). As placas foram mantidas a 28ºC por 24 horas e,
após esse período, as colônias foram contadas (FREITAS, 1994).
Os dados originais de contagem de ufcs foram transformados para log (x + 1) e a
comparação entre médias foi feita pela estimativa do erro padrão.
3.3 Obtenção dos Isolados
Depois das contagens, descritas nos itens anteriores, escolhia-se, aleatoriamente, uma
colônia por placa e esta era purificada em placa com meio B para Pseudomonas ou meio
BDA para Bacillus pelo método do esgotamento por estria, a fim de se obterem isolados
desses gêneros bacterianos. No caso de Pseudomonas, a colônia escolhida sempre era uma
fluorescente sob luz com comprimento próximo do ultravioleta. Para Bacillus, as colônias
escolhidas sempre eram originadas de uma suspensão que já havia passado pelo procedimento
que elimina bactérias não produtoras de endósporos.
A placa era incubada a 28ºC por 24 horas e, então, escolhia-se a colônia mais isolada
para ser transferida para um tubo de ensaio com os respectivos meios para cada grupo
bacteriano. Em seguida, foram feitos testes de Gram para todos os isolados assim obtidos;
para os isolados de Bacillus, confirmava-se também a presença de endósporos por coloração
com verde-malaquita.
Obtiveram-se dessa forma 6 isolados de Pseudomonas do grupo fluorescente (Ps) e 6
isolados de Bacillus (Bc), sendo esses denominados: Ps1J, Ps2J, Ps3J, Ps4J, Ps5J, Ps6J, Bc1J,
Bc2J, Bc3J, Bc4J, Bc5J e Bc6J. Os isolados Ps3J, Ps5J, Bc1J e Bc5J são provenientes de
amostras de raízes de cana que não foram submetidas à fertirrigação com vinhaça; já os
19
isolados Ps4J, Ps6J, Bc2J e Bc6J originam-se de amostras de raízes de cana submetidas ao
tratamento com vinhaça; os isolados Ps2J e Bc4J foram obtidos de amostras de raízes de cana
de áreas sem aplicação de torta-de-filtro e os isolados Ps1J e Bc3J, de amostras de raízes de
cana de áreas com aplicação de torta-de-filtro.
Os isolados Ps3J, Ps4J, Ps5J, Ps6J, Bc1J, Bc2J, Bc5J e Bc6J são provenientes da
variedade de cana-de-açúcar SP83-2847; os isolados Ps1J, Ps2J, Bc3J e Bc4J são
provenientes da variedade CTC5.
Para preservação, os isolados foram repicados para os respectivos meios de cultura,
em tubos de ensaio com o meio sem inclinação e guardados em geladeira a 4°C sob óleo
mineral.
3.4 Seleção de Possíveis RPCPs de Cana-de-açúcar
Para selecionar eventuais rizobactérias promotoras do crescimento de cana-de-açúcar,
os isolados obtidos, bem como outros 9 isolados de Pseudomonas provenientes da coleção do
setor de Microbiologia do Solo do Instituto Agronômico IAC (Tabela 1), foram testados
em plântulas de cana-de-açúcar, provenientes de cultura de meristemas, fornecidas pelo
Centro de Cana do IAC em Ribeirão Preto, onde se encontravam sob fotoperíodo de 16 horas
e temperatura entre 26 e 28ºC. Os isolados da coleção da Microbiologia do Solo do IAC
selecionados para esse experimento foram escolhidos, dentre tantos outros, pois já foram
testados em outros experimentos e mostraram-se eficientes em promover o crescimento de
plantas de outras espécies, que não havia sido feito, até então, nenhum experimento com
cana-de-açúcar e Pseudomonas no IAC.
Tabela 1 - Origem dos isolados de Pseudomonas da coleção do IAC utilizados nos
experimentos.
Isolado Origem Isolado Origem
LP13 Alface Ps21A Algodoeiro
LP22 Chicória Ps51A Tomateiro
LP28 Alface Ps60B Citros
LP31 Rúcula Ps92 Pimentão
MP1 Rúcula hidropônica
20
3.4.1 Experimento 1: Aplicação de suspensão bacteriana no substrato
Em um primeiro experimento, testaram-se plântulas da variedade IACSP97-6682,
ainda em frasco com meio de cultura MS (MURASHIGE & SKOOG, 1962), que estavam
enraizadas e, portanto, prontas para passarem para a fase de aclimatação em substrato. A
variedade IACSP97-6682 ainda será lançada no mercado, mas tem excelente desempenho in
vitro e também bom enraizamento. Dessa forma, as plantas principalmente as raízes - eram
lavadas em água corrente, separadas em touceiras menores e transferidas para bandejas de
isopor contendo substrato da marca Plantmax previamente autoclavado por 1 hora. Cada
isolado contava com cinco repetições dispostas de forma casualizada, sendo que cada parcela
era composta por três plântulas.
No dia seguinte à transferência para a fase de aclimatação, foi feita uma primeira
aplicação de uma suspensão bacteriana. O preparo da suspensão foi feito da seguinte forma:
os isolados eram transferidos para Erlenmeyers contendo meio B líquido ou BDA líquido para
Pseudomonas ou Bacillus, respectivamente, e depois de 24 horas sob temperatura de 28ºC
eram centrifugados a 3000 x g por 15 minutos. O sobrenadante era descartado e o restante era
ressuspenso em solução de MgSO
4
.7H
2
O a 0,01 mol L
-1
.
Para cada isolado foi feita uma estimativa do número de células bacterianas, por
diluições em série, onde alíquotas de 0,1 mL de cada diluição eram espalhadas em placas de
Petri contendo os respectivos meios para Pseudomonas ou para Bacillus. A contagem das
colônias foi feita após incubação a 28ºC por 24 horas e os resultados são apresentados em ufcs
mL
-1
(Tabelas 2 e 3).
As plântulas receberam, então, 5 mL da suspensão, sendo que o controle recebeu
apenas aplicação do mesmo volume de solução de MgSO
4
.7H
2
O a 0,01 mol L
-1
, e foram
mantidas em casa de vegetação recebendo água conforme a necessidade, sendo que o
ambiente era mantido úmido e as bandejas, sob sombrite.
21
Tabela 2 - Concentração das suspensões bacterianas de Pseudomonas spp., em unidades
formadoras de colônias (ufcs mL
-1
), utilizadas para a aplicação nas plantas no experimento
em substrato.
Isolado ufcs mL
-
1
Isolado ufcs mL
-
1
LP 13 1,03.10
7
Ps 4J 2,85.10
7
LP 22 3,56.10
7
Ps 5J 1,83.10
7
LP 28 1,78.10
7
Ps 6J 2,43.10
7
LP 31 1,78.10
7
Ps 21A 2,18.10
7
MP 1 5,36.10
7
Ps 51A 1,15.10
7
Ps 1J 5,47.10
7
Ps 60B 1,84.10
7
Ps 2J 2,38.10
7
Ps 92 9,47.10
7
Ps 3J 3,45.10
7
Tabela 3 - Concentrações das suspensões bacterianas de Bacillus spp., em unidades
formadoras de colônias (ufcs mL
-1
), utilizadas para a aplicação nas plantas no experimento
em substrato.
Isolado ufcs mL
-
1
Isolado ufcs mL
-
1
Bc 1J 0,55.10
3
Bc 4J 17.10
3
Bc 2J 61,8.10
3
Bc 5J 0,66.10
3
Bc 3J 0,55.10
3
Bc 6J 3,53.10
3
Vinte dias após a primeira aplicação, as plantas receberam uma segunda aplicação de
suspensão bacteriana (Tabelas 4 e 5) preparada da mesma forma como da primeira vez e, dez
dias após essa aplicação, as plantas foram colhidas para análise.
22
Tabela 4 - Concentração das suspensões bacterianas de Pseudomonas spp., em unidades
formadoras de colônias (ufcs mL
-1
), utilizadas para a aplicação nas plantas no experimento
em substrato.
Isolado ufcs mL
-
1
Isolado ufcs mL
-
1
LP 13 0,76.10
7
Ps 4J 6,94.10
7
LP 22 1,53.10
7
Ps 5J 1,26.10
7
LP 28 2,59.10
7
Ps 6J 1,51.10
7
LP 31 0,41.10
7
Ps 21A 2,25.10
7
MP 1 4.10
7
Ps 51A 1,49.10
7
Ps 1J 0,89.10
7
Ps 60B 0,39.10
7
Ps 2J 0,49.10
7
Ps 92 4,29.10
7
Ps 3J 3,94.10
7
Tabela 5 - Concentrações das suspensões bacterianas de Bacillus spp., em unidades
formadoras de colônias (ufcs mL
-1
), utilizadas para a aplicação nas plantas no experimento
em substrato.
Isolado ufcs mL
-
1
Isolado ufcs mL
-
1
Bc 1J 5,88.10
3
Bc 4J 139.10
3
Bc 2J 50.10
3
Bc 5J 15,2.10
3
Bc 3J 3,70.10
3
Bc 6J 0,63.10
3
Na colheita, as raízes foram lavadas para retirar o excesso de substrato e, depois disso,
as plantas foram separadas em parte aérea e raiz e colocadas em estufa a 70ºC até que
atingissem massa constante para que fosse possível realizar as avaliações de massa de matéria
seca.
As médias foram comparadas pelo teste de Scott-Knott a 5% de probabilidade.
23
3.4.2 Experimento 2: Aplicação de suspensão bacteriana no meio de cultura in vitro
Num segundo experimento, testaram-se plântulas, também em frasco com meio de
cultura MS, mas da variedade 2008, que estavam enraizadas. A variedade 2008 também
não foi lançada no mercado e, assim como a variedade IACSP97-6682, também apresenta um
excelente desempenho in vitro e bom enraizamento.
Dessa vez, essas plântulas não foram
transferidas para substrato: foram repicadas e
passadas para outro frasco, porém agora com 50 mL de meio de cultura MS com concentração
reduzida a 10% e sem adição de hormônios e vitaminas. A esse meio de cultura foi adicionado
0,1 mL de suspensão bacteriana crescida por 24 horas em meio de cultura DYGS
(RODRIGUES NETO et al., 1986) com (g L
-1
): glucose, 2; peptona, 1,5; extrato de levedura,
2; KH
2
PO
4
, 0,5; MgSO
4
.7H
2
O, 0,5; ácido glutâmico, 1,5 e pH 6,8 de acordo com metodologia
de REIS et al. (1999) e EMPRAPA (2004).
Da mesma forma que na etapa anterior, para cada isolado foi feita uma estimativa do
número de células bacterianas por diluições em série, onde alíquotas de 0,1 mL de cada
diluição eram espalhadas em placas de Petri contendo os respectivos meios para
Pseudomonas ou para Bacillus. A contagem das colônias foi feita após incubação a 28ºC por
24 horas e os resultados são apresentados em ufcs mL
-1
(Tabelas 6 e 7).
Essa fase contava com dois controles: um no qual as plântulas eram transferidas para
frascos com meio MS diluído com acréscimo de 0,1 mL de meio DYGS; e outro no qual as
plântulas eram transferidas para meio MS completo com acréscimo de 0,1 mL de meio
DYGS. O teste de cada isolado, também, constava de cinco repetições, sendo que cada
parcela era composta por três plântulas.
Uma semana após a aplicação da suspensão bacteriana em meio de cultura diluído,
essas plântulas foram transferidas para a fase de aclimatação nas mesmas condições das
plantas do primeiro experimento.
Vinte e três dias após a primeira aplicação, as plantas receberam uma segunda
aplicação de suspensão bacteriana, dessa vez preparada como no primeiro experimento
cultivo em meio de cultura líquido, centrifugadas –e, por fim, as células bacterianas foram
ressuspensas em solução de MgSO
4
.7H
2
O a 0,01 mol L
-1
(Tabelas 8 e 9). Vinte e oito dias
após essa aplicação, as plantas foram colhidas para análise. Neste, as plântulas permaneceram
no período de aclimatação por um tempo maior do que as plântulas do primeiro experimento,
pois, aqui, foram a princípio repicadas e, portanto, quando transferidas para o substrato as
24
touceiras eram menores do que as do primeiro experimento, exigindo sua permanência por um
tempo maior.
Tabela 6 - Concentração das suspensões bacterianas de Pseudomonas spp., em unidades
formadoras de colônias (ufcs mL
-1
), utilizadas para a aplicação nas plantas no experimento
em meio de cultura in vitro.
Isolado ufcs mL
-
1
Isolado ufcs mL
-
1
LP 13 1,92.10
8
Ps 4J 4,25.10
8
LP 22 0,42.10
8
Ps 5J 0,07.10
8
LP 28 1,62.10
8
Ps 6J 2,57.10
8
LP 31 4,45.10
8
Ps 21A 0,71.10
8
MP 1 0,46.10
8
Ps 51A 6,9.10
8
Ps 1J 1,72.10
8
Ps 60B 1,5.10
8
Ps 2J 2,57.10
8
Ps 92 21,5.10
8
Ps 3J 33,8.10
8
Tabela 7 - Concentrações das suspensões bacterianas de Bacillus spp., em unidades
formadoras de colônias (ufcs mL
-1
), utilizadas para a aplicação nas plantas no experimento
em meio de cultura in vitro.
Isolado ufcs mL
-
1
Isolado ufcs mL
-
1
Bc 1J 2,75.10
5
Bc 4J 24.10
5
Bc 2J 61.10
5
Bc 5J 0,71.10
5
Bc 3J 5,55.10
5
Bc 6J 0,23.10
5
As raízes foram lavadas para retirar o excesso de substrato e, depois disso, as plantas
foram separadas em parte aérea e raiz e colocadas em estufa a 70ºC até que atingissem massa
constante para que fosse possível realizar as avaliações de massa de matéria seca.
As médias foram comparadas pelo teste de Scott-Knott a 5% de probabilidade.
25
Tabela 8 - Concentração das suspensões bacterianas de Pseudomonas spp., em unidades
formadoras de colônias (ufcs mL
-1
), utilizadas para a aplicação nas plantas no experimento
em meio de cultura in vitro.
Isolado ufcs mL
-
1
Isolado ufcs mL
-
1
LP 13 35,3.10
7
Ps 4J 4,7.10
7
LP 22 158.10
7
Ps 5J 3,18.10
7
LP 28 2,31.10
7
Ps 6J 7.10
7
LP 31 32.10
7
Ps 21A 9,06.10
7
MP 1 3,9.10
7
Ps 51A 7,6.10
7
Ps 1J 5,25.10
7
Ps 60B 2,02.10
7
Ps 2J 8,35.10
7
Ps 92 5,2.10
7
Ps 3J 130.10
7
Tabela 9 - Concentrações das suspensões bacterianas de Bacillus spp., em unidades
formadoras de colônias (ufcs mL
-1
), utilizadas para a aplicação nas plantas no experimento
em meio de cultura in vitro.
Isolado ufcs mL
-
1
Isolado ufcs mL
-
1
Bc 1J 3,25.10
4
Bc 4J 4,07.10
4
Bc 2J 2,35.10
4
Bc 5J 38,8.10
4
Bc 3J 1,22.10
4
Bc 6J 1,52.10
4
3.5 Avaliação dos Isolados in vitro
Os vinte e um isolados utilizados nos experimentos descritos foram avaliados quanto à
capacidade em produzir ácido cianídrico e ácido indol acético e solubilizar fosfatos.
26
3.5.1 Produção de ácido cianídrico
Para a avaliação da capacidade de produzir ácido cianídrico utilizou-se o método
descrito por BAKKER & SCHIPPERS (1987). Para Pseudomonas spp., transferiu-se um
isolado por placa contendo meio B suplementado com 4,4 g de glicina por litro, sendo três
placas (repetições) por isolado. A glicina estimula a produção de HCN. A placa foi invertida e
colocou-se papel de filtro impregnado com solução de ácido pícrico a 0,5% (amarelo) e
Na
2
CO
3
a 2% na tampa da placa, as quais foram seladas com parafilme e mantidas a 28ºC por
24 horas. A mudança de coloração do papel de filtro de amarelo para marrom-alaranjado
indicou a produção de HCN (Figura 1). Para Bacillus spp. utilizou-se o mesmo procedimento
descrito, com a diferença de que o meio de cultura utilizado foi o tripticaseína de soja-ágar
diluído 10 vezes com o acréscimo de 15 g de ágar por litro de água destilada.
Figura 1 - Mudança de coloração no papel de filtro de amarelo para marrom-alaranjado
indica a produção de HCN pelas bactérias.
3.5.2 Produção de ácido indol acético
Para avaliar a produção de ácido indol acético (AIA), utilizou-se o método descrito por
BRIC et al. (1991), porém adaptado por CATTELAN et al. (1999). controvérsias sobre
qual a substância detectada, pois quem considere que o método utilizado neste trabalho
indica não apenas a produção de AIA, mas também de outros indóis (GLICKMANN &
27
DESSAUX, 1995). No entanto optou-se pelo procedimento indicado e descrito a seguir: as
bactérias foram transferidas para placas contendo meio tripticaseína de soja-ágar diluído 10
vezes, com acréscimo de 15 g de ágar por litro de água destilada. Esse meio foi enriquecido
com 5 mmol L
-1
de L-triptofano (1,021 g L
-1
), pois o triptofano é o precursor do AIA.
Transferiu-se um isolado colocado em três pontos distintos por placa, sendo cobertos com
membrana de nitrocelulose de 45 mm de diâmetro. As placas foram incubadas a 28ºC por 24
horas. Após esse período, a membrana foi removida, saturada com solução de Salkowski (1
mL de solução de FeCl
3
.6H
2
O 0,5mol L
-1
em 50 mL de HClO
4
35%), transferida para outra
placa esterilizada e incubada à temperatura ambiente. Os isolados que formaram halo
avermelhado na membrana, no período entre 30 minutos e 2 horas foram considerados
produtores de AIA (Figura 2).
Figura 2 Formação de halos vermelhos na membrana indica a produção de AIA pelas
bactérias.
3.5.3 Solubilização de fosfato
Para a solubilização de fosfato, foi utilizado o método proposto por KATZNELSON &
BOSE (1959), que considera a capacidade dos isolados em solubilizar fosfato inorgânico na
forma de CaHPO
4
. Utilizou-se o seguinte meio de cultura: 1% de glicose, 2% de ágar, 0,2%
de asparagina, 0,05% de MgSO
4
, 0,01% de NaCl, 0,01% de KCl e 0,05% de extrato de
levedura em água destilada. O meio foi esterilizado, retirado da autoclave e colocado em
28
banho-maria. Depois de
atingir 50ºC, adicionaram-se 50 mL de solução esterilizada de
K
2
HPO
4
a 10% e 100 mL de solução esterilizada de CaCl
2
a 10% para produzir um fino
precipitado de CaHPO
4
. A reação do meio foi então ajustada para pH 7,0 com NaOH 1 N
esterilizado e verteu-se o meio imediatamente. Transferiu-se um isolado por placa de Petri e
incubou-se a 28ºC por sete dias. As colônias que formaram halo claro ao seu redor foram
consideradas solubilizadoras de fosfatos (Figura 3).
Figura 3 Formação de halo claro ao redor das colônias indica a solubilização de fosfato
pelas bactérias.
4 RESULTADOS
4.1 Contagens
4.1.1 Solos com e sem vinhaça
Foram observados aumentos significativos na comunidade de Pseudomonas do grupo
fluorescente, no tratamento com vinhaça, apenas no mês de março de 2009 na fazenda de
Altinópolis (Figura 4) e no mês de fevereiro de 2009 na fazenda de Serrana (Figura 5). a
aplicação de vinhaça aumentou significativamente a comunidade de Bacillus apenas no mês
de dezembro de 2008 na fazenda de Serrana (Figura 7).
29
Em todos os outros meses analisados, para ambos os grupos bacterianos e em ambas
as fazendas, não foram observados aumentos significativos devido à aplicação de vinhaça
(Figuras 4, 5, 6 e 7). Houve apenas uma situação na qual a aplicação de vinhaça ocasionou
uma diminuição significativa na comunidade avaliada conforme pode ser observado na
figura 6, quando
a comunidade de Bacillus spp. decresceu significativamente no mês de
dezembro de 2008 na fazenda de Altinópolis.
0
2
4
6
8
10
12
NOVEMBRO DEZEMBRO MARÇO ABRIL
Meses
Ufcs
SEM VINHAÇA COM VINHAÇA
Figura 4 Ufcs, em log x+1/g raiz, do grupo fluorescente de Pseudomonas spp. na rizosfera
de cana-de-açúcar submetida à fertirrigação com vinhaça, na fazenda de Altinópolis, nos
meses de novembro e dezembro de 2008 e março e abril de 2009.
30
0
2
4
6
8
10
12
NOVEMBRO DEZEMBRO FEVEREIRO MARÇO ABRIL
Meses
Ufcs
SEM VINHAÇA COM VINHAÇA
Figura 5 Ufcs, em log x+1/g raiz, do grupo fluorescente de Pseudomonas spp. na rizosfera
de cana-de-açúcar submetida à fertirrigação com vinhaça, na fazenda de Serrana, nos meses
de novembro e dezembro de 2008 e fevereiro, março e abril de 2009.
0
2
4
6
8
10
12
NOVEMBRO DEZEMBRO MARÇO ABRIL
Meses
Ufcs
SEM VINHAÇA COM VINHAÇA
Figura 6 – Ufcs, em log x+1/g raiz, de Bacillus spp. na rizosfera de cana-de-açúcar submetida
à fertirrigação com vinhaça, na fazenda de Altinópolis, nos meses de novembro e dezembro
de 2008 e março e abril de 2009.
31
0
2
4
6
8
10
12
NOVEMBRO DEZEMBRO FEVEREIRO MARÇO ABRIL
Meses
Ufcs
SEM VINHAÇA COM VINHAÇA
Figura 7 – Ufcs, em log x+1/g raiz, de Bacillus spp. na rizosfera de cana-de-açúcar submetida
à fertirrigação com vinhaça, na fazenda de Serrana, nos meses de novembro e dezembro de
2008 e fevereiro, março e abril de 2009.
4.1.2 Solos com e sem torta-de-filtro
No tratamento com torta-de-filtro foram observados aumentos significativos em duas
amostragens fevereiro de 2009 e abril de 2009 na comunidade de Pseudomonas do grupo
fluorescente. Já para a última amostragem - julho de 2009 pode-se notar que a aplicação de
torta-de-filtro não ocasionou diferença (Figura 8).
Na figura 9 observa-se que a aplicação da torta-de-filtro não ocasionou aumentos
significativos na comunidade de Bacillus spp. em nenhum dos meses analisados fevereiro
de 2009, abril de 2009 e julho de 2009.
32
0
2
4
6
8
10
FEVEREIRO ABRIL JULHO
Meses
Ufcs
SEM TORTA COM TORTA
Figura 8 Ufcs, em log x+1/g raiz, do grupo fluorescente de Pseudomonas spp. na rizosfera
de cana-de-açúcar submetida à aplicação de torta-de-filtro, nos meses de fevereiro, abril e
julho de 2009.
0
2
4
6
8
10
FEVEREIRO ABRIL JULHO
Meses
Ufcs
SEM TORTA COM TORTA
Figura 9 – Ufcs, em log x+1/g raiz, de Bacillus spp. na rizosfera de cana-de-açúcar submetida
à aplicação de torta-de-filtro, nos meses de fevereiro, abril e julho de 2009.
33
4.2 Seleção de Possíveis RPCPs de Cana-de-açúcar
4.2.1 Experimento 1: Aplicação de suspensão bacteriana no substrato
A figura 10 ilustra a ocorrência de diferenças significativas entre os isolados aplicados
em relação à variável massa de matéria seca da parte aérea. Constata-se
a divisão dos isolados
em dois grupos característica do teste estatístico aplicado, o de Scott-Knott –, sendo que o
controle se encontra no grupo de menores valores. Dessa forma, treze dos 21 isolados testados
apresentaram valores de massa de matéria seca da parte aérea maiores do que o controle,
enquanto que os outros oito isolados não diferiram dele estatisticamente.
Do total de quinze isolados de Pseudomonas testados, nove apresentaram maiores
massas de matéria seca da parte aérea em relação ao controle, sendo, em média, 30,6%
maiores, enquanto que dos seis isolados de Bacillus, quatro foram mais eficientes do que o
controle – isolados Bc1J, Bc2J, Bc3J e Bc5J – sendo, em média, 38,4% maiores.
Pode-se ainda notar que, dos seis isolados de Pseudomonas obtidos a partir de raízes
de cana-de-açúcar, três ocasionaram maior massa de matéria seca da parte aérea das plântulas
quando comparadas ao controle isolados Ps3J, Ps4J e Ps6J. Grande parte dos isolados
provenientes de outras plantas (aproximadamente 66,7%) também foram eficientes para o
teste realizado e apresentaram diferença significativa em relação ao controle, são eles: LP22,
LP28, LP31, MP1, Ps21A e Ps60B.
em relação à variável massa de matéria seca das raízes não foram encontradas
diferenças significativas entre os 21 isolados testados e o controle (Figura 11). No entanto, os
isolados não diferiram estatisticamente do controle e, portanto, não foram prejudiciais às
raízes das plântulas.
Ao calcular a razão entre a massa de matéria seca das raízes e a massa de matéria seca
da parte aérea (Rz/Pa) a partir dos resultados já apresentados, notam-se diferenças entre os
isolados testados. Sete isolados não diferiram estatisticamente do controle, enquanto que os
outros 14 isolados apresentaram razões estatisticamente menores do que o controle, sendo
desses, oito isolados de Pseudomonas LP28, MP1, Ps2J, Ps3J, Ps4J, Ps6J, Ps21A e Ps60B
e os seis isolados de Bacillus (Figura 12).
34
0 50 100 150 200 250 300
Bc6J
Bc5J
Bc4J
Bc3J
Bc2J
Bc1J
Ps92
Ps60B
Ps51A
Ps21A
Ps6J
Ps5J
Ps4J
Ps3J
Ps2J
Ps1J
MP1
LP31
LP28
LP22
LP13
Controle
Isolados
Massa de matéria seca (mg)
Figura 10 Massa de matéria seca (mg) da parte aérea de plântulas de cana-de-açúcar que
receberam duas aplicações de suspensão bacteriana no substrato. Médias de 5 repetições.
Coeficiente de variação (CV%), 30,5.
*Valores seguidos pela mesma letra não diferem entre si pelo teste Scott-Knott.
b
b
b
b
b
b
b
b
b
a
a
a
a
a
a
a
a
a
a
a
a
a
*
35
0 50 100 150 200 250 300
Bc6J
Bc5J
Bc4J
Bc3J
Bc2J
Bc1J
Ps92
Ps60B
Ps51A
Ps21A
Ps6J
Ps5J
Ps4J
Ps3J
Ps2J
Ps1J
MP1
LP31
LP28
LP22
LP13
Controle
Isolados
Massa de maria seca (mg)
Figura 11 Massa de matéria seca (mg) das raízes de plântulas de cana-de-açúcar que
receberam duas aplicações de suspensão bacteriana no substrato. Médias de 5 repetições.
Coeficiente de variação (CV%), 40.
*Valores seguidos pela mesma letra não diferem entre si pelo teste Scott-Knott.
a
a
a
a
a
a
a
a
a
a
a
a
a
a
a
a
a
a
a
a
a
a
*
36
0 200 400 600 800 1000 1200 1400 1600
Bc6J
Bc5J
Bc4J
Bc3J
Bc2J
Bc1J
Ps92
Ps60B
Ps51A
Ps21A
Ps6J
Ps5J
Ps4J
Ps3J
Ps2J
Ps1J
MP1
LP31
LP28
LP22
LP13
Controle
Isolados
Massa de maria seca raiz (mg) / Massa de matéria seca parte aérea (mg)
Figura 12 Razão entre a massa de matéria seca da raiz e da parte aérea (Rz/Pa) de plântulas
de cana-de-açúcar que receberam duas aplicações de suspensão bacteriana no substrato.
Coeficiente de variação (CV%), 38,3.
*Valores seguidos pela mesma letra não diferem entre si pelo teste Scott-Knott.
a
a
a
a
a
a
a
a
b
b
b
b
b
b
b
b
b
b
b
b
b
b
*
37
4.2.2 Experimento 2: Aplicação de suspensão bacteriana no meio de cultura in vitro
Para este experimento houve dois controles – um denominado controle diluído e outro,
controle completo. O controle diluído é o indicado por REIS et al. (1999) para, justamente,
trabalhos com bactérias e plantas em meio de cultura. O controle completo foi incluído
porque é a forma como os produtores de plântulas utilizam os meios de cultura.
Diferentemente do primeiro experimento, neste não ocorreram diferenças significativas entre
os valores de massa de matéria seca da parte aérea, como mostra a figura 13. Todos os
isolados testados apresentaram valores que não diferiram estatisticamente dos controles e,
embora, não tenham resultado em maiores massas para as plântulas, também não lhes
causaram prejuízos.
Também diferentemente do experimento inicial, neste experimento diferenças foram
observadas na massa de matéria seca das raízes das plantas que receberam os vários isolados
(Figura 14). No entanto, o que se observou foram maiores valores de massa de matéria seca
de raízes sempre em comparação ao controle completo, isto é, o controle em que havia maior
concentração de nutrientes.
Dessa forma, em relação ao controle completo, dos 21 isolados testados, 14
ocasionaram maiores massas de matéria seca das raízes, sendo que oito dos 15 isolados de
Pseudomonas resultaram em maiores massas – em média 42,8% maiores - (sendo cinco
isolados de cana e três isolados da coleção) e dos seis isolados de Bacillus todos se mostraram
eficientes em aumentar a massa de matéria seca das raízes – em média 46,7% maiores.
Ainda em comparação ao controle completo, dos seis isolados de Pseudomonas
obtidos a partir de raízes de cana-de-açúcar, cinco ocasionaram maiores massas de matéria
seca das raízes. Sendo assim, apenas um dos doze isolados obtidos a partir de cana-de-açúcar,
considerando-se Pseudomonas e Bacillus, não diferiu estatisticamente do controle completo
isolado Ps3J. Dos isolados obtidos a partir de outras espécies vegetais, três se mostraram
eficientes, sendo esses: LP13, Ps51A e Ps92.
A razão entre a massa de matéria seca das raízes e a massa de matéria seca da parte
aérea (Rz/Pa) não diferiu estatisticamente dos controles neste caso (Figura 15).
38
0 50 100 150 200 250 300
Bc6J
Bc5J
Bc4J
Bc3J
Bc2J
Bc1J
Ps92
Ps60B
Ps51A
Ps21A
Ps6J
Ps5J
Ps4J
Ps3J
Ps2J
Ps1J
MP1
LP31
LP28
LP22
LP13
Ctrl diluído
Ctrl completo
Isolados
Massa de maria seca (mg)
Figura 13 Massa de matéria seca (mg) da parte aérea de plântulas de cana-de-açúcar que
receberam aplicação de suspensão bacteriana no meio de cultura in vitro e, posteriormente, no
substrato. Médias de 5 repetições. Coeficiente de variação (CV%), 37,3.
*Valores seguidos pela mesma letra não diferem entre si pelo teste Scott-Knott.
a
a
a
a
a
a
a
a
a
a
a
a
a
a
a
a
a
a
a
a
a
a
a
*
39
0 50 100 150 200 250 300
Bc6J
Bc5J
Bc4J
Bc3J
Bc2J
Bc1J
Ps92
Ps60B
Ps51A
Ps21A
Ps6J
Ps5J
Ps4J
Ps3J
Ps2J
Ps1J
MP1
LP31
LP28
LP22
LP13
Ctrl diluído
Ctrl completo
Isolados
Massa de maria seca (mg)
Figura 14 Massa de matéria seca (mg) das raízes de plântulas de cana-de-açúcar que
receberam aplicação de suspensão bacteriana no meio de cultura in vitro e, posteriormente, no
substrato. Médias de 5 repetições. Coeficiente de variação (CV%), 39,2.
*Valores seguidos pela mesma letra não diferem entre si pelo teste Scott-Knott.
b
b
b
b
b
b
b
b
a
a
a
a
a
a
a
a
a
a
a
a
a
a
a
*
40
0 200 400 600 800 1000 1200 1400 1600
Bc6J
Bc5J
Bc4J
Bc3J
Bc2J
Bc1J
Ps92
Ps60B
Ps51A
Ps21A
Ps6J
Ps5J
Ps4J
Ps3J
Ps2J
Ps1J
MP1
LP31
LP28
LP22
LP13
Ctrl diluído
Ctrl completo
Isolados
Massa de maria seca raiz (mg) / Massa de maria seca parte aérea (mg)
Figura 15 Razão entre a massa de matéria seca da raiz e da parte aérea (Rz/Pa) de plântulas
de cana-de-açúcar que receberam aplicação de suspensão bacteriana no meio de cultura in
vitro e, posteriormente, no substrato. Coeficiente de variação (CV%), 45,1.
*Valores seguidos pela mesma letra não diferem entre si pelo teste Scott-Knott.
a
a
a
a
a
a
a
a
a
a
a
a
a
a
a
a
a
a
a
a
a
a
a
*
41
4.3 Avaliação dos Isolados in vitro: Produção de Ácido Cianídrico, Ácido Indol Acético e
Solubilização de Fosfatos
Os resultados dos testes in vitro para verificar a produção de metabólitos secundários
pelas bactérias testadas nos experimentos anteriores estão representados na tabela 10. Pode-se
verificar que todos os isolados de Pseudomonas foram capazes de produzir AIA. Apenas os
isolados de Pseudomonas LP22, LP28, Ps1J, Ps2J e Ps6J foram capazes de produzir HCN,
AIA e solubilizar fosfato, as três características analisadas. Já os outros isolados de
Pseudomonas apresentaram pelo menos um resultado positivo para um ou outro teste. Em
contrapartida, os isolados de Bacillus apresentaram, em sua maioria, resultados negativos para
todos os testes realizados; a exceção foi o isolado Bc2J que se mostrou capaz de solubilizar
fosfato.
Tabela 10 – Produção de HCN, AIA e solubilização de fosfatos pelos isolados testados.
Isolados HCN AIA Solubilização de
fosfato
LP13
- * + -
LP22
+ + +
LP28
+ + +
LP31
- + +
MP1
+ + -
Ps1J
+ + +
Ps2J
+ + +
Ps3J
- + -
Ps4J
- + -
Ps5J
- + +
Ps6J
+ + +
Ps21A
- + +
Ps51A
- + +
Ps60B
- + -
Ps92
- + +
Bc1J
- - -
Bc2J
- - +
Bc3J
- - -
Bc4J
- - -
Bc5J
- - -
Bc6J
- - -
* + : presença da característica; - : ausência da característica.
42
5 DISCUSSÃO
Nos levantamentos realizados para verificar a ocorrência de variações no número de
ufcs da comunidade de Pseudomonas spp. do grupo fluorescente e de Bacillus spp. na
rizosfera de cana-de-açúcar devido à fertirrigação com vinhaça notaram-se poucas alterações
significativas conforme mostram as figuras 4, 5, 6 e 7.
BARBOSA (2007) cita que a fertirrigação com vinhaça pode ser agente de aumento da
comunidade microbiana do solo. Dessa forma, embora fosse esperado que, com a aplicação de
vinhaça, houvesse aumento no número de ufcs de Pseudomonas e de Bacillus, devido à
adição de grande quantidade de nutrientes, isso não ocorreu na maioria das amostragens
feitas. Em duas amostragens detectou-se efeito da vinhaça sobre Pseudomonas spp. e tal
efeito foi o de aumentar o número de ufcs. Com relação a Bacillus spp., observou-se tanto
uma situação em que a vinhaça aumentou o número de ufcs quanto uma em que o diminuiu.
Tal diminuição poderia ser proveniente do aumento da ocorrência de outros microrganismos,
uma vez que, assim como era esperado para Pseudomonas e Bacillus, poder-se-ia esperar,
também, aumento no número de ufcs de microrganismos competidores para esses dois
gêneros. No entanto, se ocorreu essa competição, foi apenas em uma amostragem, isto é, em
uma condição muito particular.
Ainda em relação à fertirrigação com vinhaça, chama a atenção, à primeira vista, que
os números de bactérias foram aparentemente menores em abril. No entanto, como não se
fez comparação estatística entre épocas de amostragem, não é possível afirmar nada sobre
isso. Poder-se-ia tentar explicar o fato por uma diminuição da temperatura no mês de abril,
que a aparente diminuição foi observada para os solos das duas fazendas. No entanto, a rigor,
como não houve mais amostragens depois de abril, não como saber se essa aparente
diminuição continuou pelo período do inverno e depois os números voltaram a crescer ou se
se mantiveram baixos mesmo depois.
Os gêneros Pseudomonas e Bacillus possuem uma grande variedade de ciclos
metabólicos, sendo capazes de utilizar uma extensa variedade de substratos. Pseudomonas
spp., por exemplo, utilizam uma grande variedade de compostos orgânicos; algumas cepas
utilizam mais de 100 diferentes substratos. Todas as espécies do gênero apresentam
metabolismo respiratório, nunca fermentativo, sendo que algumas podem ser ainda
quimiolitotróficas facultativas, além de produzirem sideróforos (BUCHANAN & GIBBONS,
1974). Por seu lado, Bacillus spp. podem ter metabolismo respiratório estritamente
fermentativo ou respiratório e fermentativo, utilizando vários substratos e são
43
quimiorganotróficos (BUCHANAN & GIBBONS, 1974).
Isso indica as possibilidades de
utilização de compostos de ambos os grupos bacterianos pesquisados, o que pode fazer com
que a aplicação da vinhaça, sendo um resíduo constituído basicamente por compostos de
carbono, não tenha introduzido no sistema algum composto de extrema importância para que
fossem observados aumentos drásticos no número de ufcs dos gêneros bacterianos em
questão. Portanto, pode ter ocorrido de a aplicação da vinhaça ter sido, na realidade, algo
indiferente para Pseudomonas e Bacillus, isto é: pela diversidade de substratos orgânicos
utilizados por esses grupos bacterianos, a vinhaça aplicada não representou uma verdadeira
entrada de nutrientes. Como havia plantas de cana-de-açúcar em pleno crescimento, e como
principalmente as bactérias do gênero Pseudomonas são bactérias rizosféricas, em contato
com exsudados radiculares, pode ser esse mais um motivo pelo qual a presença da vinhaça
pode ter sido não tão significativo para o aumento da atividade desses dois grupos.
Assim como dito para a fertirrigação com vinhaça, a aplicação de torta-de-filtro
também pode ser agente do aumento da comunidade microbiana do solo. Segundo Alexander
(1961), citado por FREITAS (1985), a torta-de-filtro, por ser um material orgânico, estimula o
crescimento da microbiota como um todo. FREITAS et al. (1988) observaram que a presença
de torta-de-filtro nos seus experimentos causou a imobilização do NH
4
+
, fato que foi
explicado pela estimulação dos microrganismos amonificadores, bem como de toda a
comunidade de microrganismos quimiorganotróficos do solo, pela adição da torta-de-filtro.
Realmente, para Pseudomonas do grupo fluorescente foram observados aumentos
significativos no número de ufcs em duas das três amostragens feitas, porém para Bacillus tal
aumento não foi observado em nenhum momento. Embora esses dois grupos bacterianos
sejam capazes de utilizar uma grande diversidade de compostos orgânicos, Pseudomonas e
Bacillus diferem em várias características podendo utilizar muitas vias metabólicas como
citado anteriormente e, portanto, os compostos podem ser utilizados por esses
microrganismos de maneiras distintas.
Tanto para o caso da fertirrigação com vinhaça, como para a aplicação de torta-de-
filtro, várias condições ambientais, como chuvas, temperatura, tipo de solo e pH, podem ter
contribuído para as variações observadas nas amostragens. NASEBY & LYNCH (1999), por
exemplo, observaram que variações no pH influenciaram a dinâmica da rizosfera de ervilhas.
GRAYSTON et al. (1998) verificaram, também através de plaqueamentos e contagens, que o
tipo de solo para os experimentos realizados por eles não apresentou efeito significante nas
comunidades de microrganismos observados, entre eles Pseudomonas. Na realidade, esses
autores afirmam que as diferenças encontradas foram causadas devido às diferenças entre as
44
fontes de carbono, que quatro espécies de plantas foram testadas por eles e cada uma delas
exsudava diferentes compostos. No presente experimento, pode ser possível, também, que os
fatores ambientais tenham contribuído mais para as diferenças significativas vistas nos
gráficos do que a própria presença dos resíduos da indústria canavieira; no entanto, mais
testes precisariam ter sido feitos para se afirmar esses casos.
Segundo Olsen & Bakken (1987), citados por MISAGHI (1990), os valores de
tamanho de populações (ufcs) obtidos usando-se o método de diluição e plaqueamento
costuma ser altamente variável e, portanto, necessitaria de numerosas repetições. No entanto,
avaliar
muitas repetições nem sempre é viável, especialmente em experimentos de campo.
Nesse caso, poder-se-ia considerar que poucas repetições apenas três –além do fato de
que as chuvas dificultaram várias coletas em campo o que resultou em poucas repetições e
descontinuidade entre as amostragens. Pode-se considerar, portanto, que, como não ocorreram
diminuições bruscas no número de ufcs de Pseudomonas e Bacillus, a aplicação de vinhaça ou
de torta-de-filtro não estimulou o crescimento de uma microbiota competidora para os dois
gêneros em estudo. Dessa forma, mesmo sendo observado que a vinhaça e a torta-de-filtro
ocasionaram um efeito variado sobre Pseudomonas e Bacillus, essas comunidades continuam
a ocorrer na rizosfera da cana-de-açúcar, garantindo os eventuais benefícios gerados pelas
RPCPs.
Quanto aos resultados obtidos no experimento de aplicação de suspensão bacteriana
no substrato, pode-se imaginar que a variável massa de matéria seca das raízes não apresentou
diferenças significativas em relação ao controle, pois nesse caso as raízes estavam mais
sujeitas aos fatores ambientais do que, por exemplo, as raízes do experimento de aplicação de
suspensão bacteriana no meio de cultura in vitro, que algumas dessas apresentaram
diferenças significativas em relação ao controle completo. As plântulas em meio de cultura
estavam em condições muito mais uniformes, mais controladas, que as em substrato.
No entanto, embora não tenham sido observadas diferenças para a variável raiz, foram
observadas diferenças significativas para a variável parte aérea o que indica que, ao menos,
um determinado número de bactérias se estabeleceu nas raízes de modo a que pudessem gerar
benefícios para o desenvolvimento da parte aérea das plântulas. Seis dos nove isolados
provenientes de outras plantas que não cana-de-açúcar foram eficientes nesse caso, o que
representa aproximadamente 67%. para os doze isolados obtidos a partir de raízes de cana-
de-açúcar, sete aproximadamente 58% foram eficientes em aumentar a massa de matéria
seca da parte aérea. Tais porcentagens mostram que, nesse caso, não ocorreu uma possível
especificidade entre as RPCPs e a planta hospedeira, algo citado por alguns autores como
45
PRESTON (2004). COELHO (2007) verificou que o número de Pseudomonas spp. na
rizosfera de alface foi maior do que na rizosfera das outras plantas avaliadas, sendo estas
rúcula, chicória, salsa e tiririca. Assim, a autora conclui que o desenvolvimento de
Pseudomonas spp. fluorescente é influenciado pelo tipo de planta, o que sugere certa
especificidade.
Segundo PRESTON (2004) as pesquisas sobre especificidade entre diferentes plantas
hospedeiras e RPCPs são pouco exploradas, por isso os testes realizados aqui com isolados
provenientes de variedades de cana-de-açúcar diferentes das plântulas testadas, bem como de
diferentes espécies vegetais – como tomate, algodão e pimentão – são importantes. Resultados
positivos foram encontrados em estudos que testaram um mesmo isolado em diferentes
plantas: Pseudomonas fluorescens isolada de beterraba (SHANAHAN et al., 1992) conseguiu
colonizar a rizosfera de alfafa (VILLACIEROS et al., 2003) e ervilha (NASEBY & LYNCH,
1999). COELHO (2006) verificou, por exemplo, que Bacillus megaterium apareceu em
grande quantidade nas rizosferas de diferentes plantas, como alface, salsa e chicória.
Em relação à razão Rz/Pa verificou-se que 14 isolados apresentaram valores menores
dessa razão em relação ao controle, considerando-se as plantas-controle como o padrão. Esse
resultado condiz com os valores encontrados para a variável parte aérea e a variável raiz, pois
foi a parte aérea desse experimento que apresentou maiores resultados em relação ao controle.
Sendo assim a maioria dos isolados que resultaram em maior parte aérea apresentaram menor
razão Rz/Pa, não significando, necessariamente, que essas plântulas apresentem um sistema
radicular deficiente, já que tinham um sistema reo bem desenvolvido e para tal é necessário
que haja um sistema radicular eficiente para a manutenção e crescimento da
planta. É
interessante lembrar, também, que essas raízes encontravam-se em substrato, ou seja, um
lugar de fácil acesso aos nutrientes. Segundo NASEBY & LYNCH (1999) a razão Rz/Pa pode
ser um indicativo de estresse da planta; dessa forma o maior e o menor valor de razão
indicariam as plantas que sofreram maior estresse. No entanto, ainda segundo esses autores,
as plantas podem ter respostas adaptativas positivas a essas pressões e dessa forma podem,
por exemplo, expandir seu sistema radicular para tentar serem mais eficientes na aquisição de
água.
O experimento com aplicação de suspensão bacteriana no meio de cultura in vitro,
embora tenha sido denominado dessa forma para diferenciá-lo do primeiro experimento,
contou também com aplicação de suspensão bacteriana em substrato em um segundo
momento. É importante lembrar que esse experimento contou com dois controles: o controle
completo e o controle diluído. O meio de cultura foi reduzido a 10% para receber a suspensão
46
bacteriana para evitar que as bactérias tivessem um crescimento excessivo no meio de cultura
e acabassem por matar as plântulas. Ao mesmo tempo, um meio com menor teor de nutrientes
poderia servir de estímulo para a associação entre as bactérias e as plântulas.
Observa-se (figura 14) que os dois controles diferem estatisticamente entre si no que
diz respeito à variável massa de matéria seca da raiz e, embora fosse esperado que o controle
completo fosse maior do que o controle diluído, não foi isso que ocorreu. Encontrou-se na
literatura relato de que plantas em contato com maiores teores de nutrientes, como o
nitrogênio, não apresentavam raízes mais desenvolvidas; ao contrário, as altas concentrações
de nitrogênio conduziam a um sistema radicular menos ramificado, sendo observadas poucas
raízes laterais (MANTELIN & TOURAINE, 2004). No caso deste trabalho, pode-se aventar a
hipótese de que a maior quantidade de nutrientes do controle completo não tenha estimulado o
desenvolvimento das raízes, como ocorreu no controle diluído, pois as plantas tinham alta
disponibilidade de nutrientes. Nota-se que o trabalho de REIS et al. (1999) usado como
referência para a metodologia deste experimento também fez uso de um controle completo
em seus experimentos. Tal metodologia foi, na realidade, desenvolvida para bactérias
diazotróficas, não tendo sido encontrados trabalhos semelhantes relacionando rizobactérias e
cana-de-açúcar.
Dessa forma, levando em consideração o controle completo, verificaram-se aumentos
significativos da variável massa de matéria seca das raízes. Como a primeira aplicação da
suspensão bacteriana foi feita diretamente no meio de cultura e essas plantas permaneceram
em contato direto com esse meio por uma semana antes de serem transferidas para o
substrato, acredita-se que as bactérias tiveram, assim, melhores condições de se estabelecerem
na rizosfera das plântulas.
Dos doze isolados provenientes de raízes de cana-de-açúcar, onze (aproximadamente
92%) foram eficientes em promover aumento na massa de matéria seca das raízes, enquanto
que três dos nove isolados provenientes de outras plantas (aproximadamente 33%) foram
eficientes. Nesse caso, diferentemente do que foi observado para o experimento de aplicação
de suspensão bacteriana no substrato, pode-se dizer que houve uma possível especificidade
entre RPCPs e a planta hospedeira. Pode ser que nessa fase ocorra alguma especificidade,
pois o contato inicial das plântulas com os isolados acontece sob condições mais controladas
in vitro e sem ação de fatores externos ou a presença de outros microrganismos como no
outro experimento, ou seja, durante essa fase mais controlada no desenvolvimento das
plântulas elas ainda não têm contato com muitos fatores adversos e, também, por não
existirem outros microrganismos presentes no sistema, as plântulas não teriam outra opção
47
para a associação senão as bactérias introduzidas no meio. No entanto, as bactérias
provenientes de isolados de cana-de-açúcar podem ter levado vantagem na associação, pois
afinal os exsudados radiculares podem selecionar microrganismos e as bactérias testadas
tiveram contato com exsudados de plantas de cana-de-açúcar. FREITAS (1994) diz que a
composição e a quantidade dos exsudados radiculares são características geneticamente
determinadas, o que supõe certa especificidade entre bactérias e plantas hospedeiras, ou seja,
a rizosfera de uma espécie de planta é que favorece o aparecimento de determinadas bactérias
que serão mais adaptadas a utilizar tal exsudado.
REIS et al. (1999) usaram para o período de aclimatação das plantas um substrato com
baixa quantidade de nutrientes para induzir a colonização da planta pelas bactérias
diazotróficas endofíticas. A esse respeito, ÇAKMAKÇI et al. (2006) sugerem que adições de
matéria orgânica ao substrato podem aumentar a atividade das RPCPs e que, portanto, a
resposta da planta aos efeitos das RPCPs também é dependente desse fator. Dessa forma,
embora a metodologia seguida para a aplicação das suspensões em meio de cultura in vitro
tenha se baseado no trabalho de REIS et al. (1999), para o momento de aclimatação das
plântulas foi utilizado um substrato normalmente comercializado, ou seja, com quantidade
suficiente de nutrientes para um bom desenvolvimento das plantas, uma vez que as bactérias
aqui testadas são rizobactérias e, portanto, nesse caso poderiam se comportar como os
microrganismos utilizados por ÇAKMAKÇI et al. (2006). Esses autores verificaram em seus
experimentos que a promoção de crescimento pelas RPCPs foi, na realidade, altamente
dependente do conteúdo de matéria orgânica do solo/substrato onde as plantas testadas
estavam se desenvolvendo, pois o conteúdo orgânico é utilizado como fonte de carbono e
energia pelos microrganismos. No caso dos experimentos aqui realizados, embora a rizosfera
seja um ambiente rico em exsudados orgânicos, talvez o substrato não contivesse uma
quantidade suficiente de matéria orgânica para um melhor desenvolvimento de algumas das
rizobactérias testadas uma vez que as plântulas eram ainda muito jovens e essa pode ser
uma explicação para a falta de resultados encontrados em algumas situações e com alguns dos
isolados.
Quanto à variável massa de matéria seca das partes aéreas, não foram encontradas
diferenças significativas em relação ao controle completo. Embora diferenças tenham sido
observadas na matéria seca da raiz, não necessariamente essas plântulas deveriam ter
apresentado massas de matéria seca da parte aérea maiores do que as do controle, visto que
essas plântulas eram muito jovens e, portanto, ainda teriam muito tempo de desenvolvimento.
48
Talvez o tempo estabelecido para esse experimento não tenha sido o suficiente para que as
diferenças em relação à parte aérea pudessem ser estabelecidas.
Para esse experimento a razão Rz/Pa também não diferiu estatisticamente dos
controles. FRIGERI (2007), estudando os efeitos de diferentes níveis de radiação solar sob a
relação entre a raiz e a parte aérea de diversas espécies arbóreas, testou plântulas de diferentes
espécies vegetais consideradas tolerantes ao sombreamento, bem como outras espécies
consideradas pioneiras, as quais foram cultivadas por dois meses sob 4, 18, 50 e 100% da
irradiância total e verificou que, em geral, havia redução na razão Rz/Pa das plântulas sob os
níveis mais baixos de irradiância. Dessa forma, a autora constatou que a luz foi fator decisivo
para que ocorressem alterações nas razões Rz/Pa, ou seja, a irradiância direciona as reservas
existentes nas plantas para as raízes ou para as partes aéreas, dessa forma a razão Rz/Pa de
plântulas pode ser uma variável indicativa de especialização a diferentes ambientes. Assim,
no geral, quanto mais sombreado for o ambiente, haverá maior alocação de biomassa para as
folhas e, portanto, haverá menor razão Rz/Pa. A autora frisa que apesar de esse padrão ser
geral as espécies estudadas variaram quanto à razão Rz/Pa, ou seja, a partição de biomassa
não pode ser considerada uma constante entre as espécies. Pode ser que no experimento aqui
realizado não tenham sido observadas diferenças significativas em relação à razão Rz/Pa para
o experimento de aplicação de suspensão bacteriana no meio de cultura in vitro, pois, como já
dito anteriormente, essas plântulas de cana-de-açúcar ficaram um tempo maior sob condições
controladas de laboratório do que, por exemplo, as plantas do experimento de aplicação de
suspensão bacteriana no substrato, que por serem transferidas antes para a casa de vegetação
podem ter se deparado primeiramente com variações de luminosidade, ao contrário das
plântulas do segundo experimento que estavam sob condições controladas de luminosidade.
SILVEIRA et al. (2004) dizem que é comum observar
o efeito deletério de algumas
rizobactérias. Segundo PRESTON (2004), não é fácil distinguir com clareza Pseudomonas
patogênicas daquelas que são promotoras de crescimento de plantas. Esses dois tipos de
microrganismos colonizam os mesmos habitats e possuem mecanismos similares para
colonizar as plantas. Além disso, cepas de Pseudomonas patogênicas, saprofíticas ou
promotoras de crescimento são encontradas dentro da mesma espécie. Nos experimentos aqui
conduzidos, não foram encontrados isolados com efeito deletério sobre o crescimento das
mudas de cana-de-açúcar. Conforme pôde ser observado nos resultados, os isolados testados
que não apresentaram efeito sobre a promoção de crescimento das plântulas foram, pelo
menos, iguais ao controle.
49
Quando se sobrepõem os isolados que foram eficientes no primeiro experimento com
aqueles que foram eficientes no segundo experimento verifica-se que todos os que se repetem
são provenientes de raízes de cana-de-açúcar Ps4J, Ps6J, Bc1J, Bc2J, Bc3J e Bc5J. Esses
isolados poderiam, então, ser sugeridos como RPCPs de mudas de cana-de-açúcar. O fato de
quatro desses seis isolados serem do gênero Bacillus está de acordo com o que diz a revisão
de FRANCIS et al. (2010). Nesse trabalho, os autores comentam o fato de que as interações
entre plantas e microrganismos costumam ser mais bem estudadas em relação aos
microrganismos Gram-negativos enquanto que os Gram-positivos costumam, em geral, ser
vistos como patógenos de humanos e de animais. Os autores sugerem que o lado das bactérias
Gram-positivas como promotoras de crescimento de plantas e, portanto, com potencial para o
uso na agricultura precisa ser mais explorado, que elas costumam apresentar bons
resultados significativos, o que está de acordo com os experimentos aqui realizados.
Como todos esses isolados que podem ser sugeridos como RPCPs de mudas de cana-
de-açúcar promoveram aumentos na massa de matéria seca das raízes no experimento de
inoculação da suspensão bacteriana no meio de cultura in vitro, pode-se supor outra vantagem
para a aplicação dessas bactérias no processo de produção de mudas: o de reduzir seu tempo
de preparo. A produção de mudas in vitro é constituída por diferentes etapas onde as plantas
são transferidas de uma fase a outra conforme seu desenvolvimento. Dessa forma, se a
plântula desenvolver raízes numa quantidade maior do que era esperada para determinado
momento, ela será transferida para a próxima fase, podendo acelerar o processo e
reduzindo o
tempo total de produção das mudas.
Retomando os valores de ufcs dos isolados aplicados nos experimentos (Tabelas 2 a 9)
verifica-se que os isolados sugeridos como RPCPs de mudas de cana-de-açúcar não foram,
necessariamente, aqueles com maiores valores de ufcs, isto é, aqueles com maiores
populações entre os quantificados. Portanto, o número de microrganismos não foi fator
decisivo para a competência das RPCPs em colonizar a rizosfera. Tal fato está de acordo com
a revisão de COMPANT et al. (2005), na qual os autores dizem que a competência das RPCPs
depende de suas habilidades para terem vantagens em ambientes específicos e, também, para
se adaptarem às mudanças nas suas condições iniciais. Essa competência pode ser diferente
inclusive entre cepas.
A produção de ácido cianídrico (HCN), ácido indol acético (AIA) e habilidade de
solubilizar fosfatos são importantes mecanismos das RPCPs para promover o crescimento de
plantas (COELHO, 2006). WELLER (2007) diz que Pseudomonas produtoras de HCN
costumam ser consideradas microrganismos rizosféricos deletérios, mas, ao mesmo tempo,
50
fornecem um efeito benéfico em termos de controle biológico. Desse modo, o HCN é
exemplo de um metabólito que pode influenciar de maneiras diferentes
o crescimento da
planta, dependendo da cepa produtora, do total de HCN acumulado na rizosfera, bem como da
espécie de planta em crescimento. No estudo de DE BELLIS & ERCOLANI (2001), o HCN
induziu necroses nas radículas de espinafre, porém nada causou para as plantas de pepino.
GUPTA et al. (2002) inocularam um isolado de Pseudomonas do grupo fluorescente produtor
de HCN em sementes de amendoim e verificaram que a doença denominada podridão-de-
carvão, causada pelo fungo Macrophomina phaseolina, foi reduzida em 99% das plantas
quando comparadas com o controle e, tal controle biológico, foi atribuído, dentre outros
fatores, à produção de HCN.
No teste de produção de HCN aqui realizado, verifica-se que os isolados que
produziram HCN tiveram desempenho, no mínimo, igual ao controle, o que evidencia o fato
de que nesse caso essas bactérias não podem ser consideradas deletérias para as plântulas de
cana-de-açúcar. Da mesma maneira, a eventual produção de HCN na rizosfera não foi
benéfica às plantas. É preciso que se note que o HCN deve ter sua importância mais
significativa em condições de campo, que tornariam a rizosfera um ambiente mais
competitivo, com maior diversidade microbiana, em que o HCN poderia inibir outros
microrganismos ou, dependendo da concentração, inibir a própria respiração radicular.
Segundo COMPANT et al. (2005), os elementos-traço (oligoelementos),
particularmente o zinco, e a fonte de carbono influenciam a estabilidade/instabilidade genética
das bactérias, o que pode alterar sua capacidade em produzir metabólitos secundários como o
HCN. Isso pode explicar o fato de nem todos os isolados terem sido produtores de HCN, já
que dos 15 isolados de Pseudomonas apenas seis produziram HCN, enquanto que nenhum dos
isolados de Bacillus produziu tal metabólito.
Em relação aos testes de produção de AIA, verifica-se que todos os isolados de
Pseudomonas produziram AIA, enquanto que nenhum dos isolados de Bacillus o produziu.
BARAZANI & FRIEDMAN (1999) testaram a hipótese de que RPCPs e rizobactérias
deletérias secretam diferentes concentrações de AIA. Assim, verificaram que altos níveis de
AIA suprimem o crescimento das raízes e, portanto, as RPCPs secretam AIA em baixos
níveis. Ainda segundo esse estudo, as RPCPs secretam cerca de 4,7 vezes menos AIA do que
as rizobactérias deletérias, além de sugerirem que outras substâncias, como os ácidos láctico e
succínico, podem estar envolvidas no crescimento de raízes. Dessa forma, para o presente
experimento, pode-se pensar que os isolados de Bacillus foram capazes de produzir outras
substâncias que estimularam o crescimento das plantas, que dos seis isolados testados,
51
quatro promoveram aumento na massa de matéria seca da parte aérea no experimento de
inoculação no substrato, ao mesmo tempo em que todos promoveram aumento de massa de
matéria seca de raízes no experimento de inoculação no meio de cultura in vitro.
Com base na conclusão de BARAZANI & FRIEDMAN (1999) pode-se também
considerar que os isolados de Pseudomonas não secretaram AIA em altos níveis já que
nenhum isolado se mostrou deletério para as plantas. PATTEN & GLICK (2002) dizem que,
dependendo da via pela qual a bactéria produz AIA, ela pode ser promotora de crescimento ou
não. RPCPs costumam produzir AIA pela via do ácido indolpirúvico, já as patogênicas
sintetizam, preferencialmente, pela via indolacetamina. Esses autores também verificaram que
a bactéria precisa estar associada à planta para que o AIA produzido promova seu
crescimento. Talvez, a não-associação das bactérias possa ser uma explicação para o fato de
certos isolados de Pseudomonas produtores de AIA não terem sido eficientes para a promoção
de crescimento de mudas de cana-de-açúcar.
DE FREITAS et al. (1997) avaliaram 111 rizobactérias quanto à capacidade de
solubilizar fosfatos e observaram que 32% solubilizaram CaHPO
4
pelo método qualitativo de
solubilização de fosfato em placa. Embora esses autores tenham verificado que os melhores
microrganismos solubilizadores de fosfato pertenciam ao gênero Bacillus, dos seis isolados
desse gênero aqui testados apenas o Bc2J foi capaz de solubilizar fosfato. No presente
experimento, onze dos 21 isolados testados foram capazes de solubilizar fosfato
(aproximadamente 52%). No entanto, dos seis isolados sugeridos como RPCPs de mudas de
cana-de-açúcar Ps4J, Ps6J, Bc1J, Bc2J, Bc3J e Bc5J apenas dois Ps6J e Bc2J foram
capazes de solubilizar fosfato. A solubilização de fosfato talvez não tenha sido algo
determinante para os experimentos em questão, pois num período inicial as plântulas
encontravam em meio de cultura e depois, no período de aclimatação, estavam em substrato
utilizado comercialmente. Tanto o meio de cultura quanto os substratos comerciais costumam
ser enriquecidos em termos nutricionais e, portanto, podem conter grande parte dos nutrientes
na forma disponível às plantas. Nesse caso, no meio de cultura utilizado havia 170 mg L
-1
de KH
2
PO
4
como fonte de P e no substrato da marca Plantmax o teor de fósforo era de 145
mmol.
Apenas os isolados LP22, LP28, Ps1J, Ps2J e Ps6J foram positivos para os três testes
bioquímicos realizados (Tabela 10). Dessa forma, dos seis isolados que poderiam ser
recomendados como RPCPs de mudas de cana-de-açúcar, apenas um Ps6J apresentou
resultados positivos para os três testes bioquímicos sugerindo, mais uma vez, que nos
experimentos realizados outros meios que não a produção de HCN, AIA ou a solubilização de
52
fosfato tenham sido fatores determinantes para o crescimento das plantas. Tal fato pode ser
observado, principalmente, em relação aos isolados de Bacillus, que quatro dos seis
isolados testados podem ser sugeridos como RPCPs de cana-de-açúcar ao mesmo tempo em
que apenas um isolado desses (Bc2J)
apresentou resultado positivo em apenas um dos testes
realizados - teste de solubilização de fosfato. Porém, vale lembrar, que nem sempre o que
ocorre em cultura pura acontece da mesma forma em substrato.
6 CONCLUSÕES
Os resultados obtidos permitem concluir que:
a) A vinhaça e a torta-de-filtro não estimularam de maneira significativa as bactérias do
grupo fluorescente de Pseudomonas spp. e nem Bacillus spp., sendo que as práticas de
fertirrigação com vinhaça ou aplicação de torta-de-filtro pouco influenciam a ocorrência
desses grupos bacterianos na rizosfera de cana-de-açúcar.
b) Os isolados de RPCPs denominados Ps4J, Ps6J, Bc1J, Bc2J, Bc3J e Bc5J podem ser
sugeridos como inoculantes para a produção de mudas de cana-de-açúcar, podendo acelerar o
processo.
c) A produção de AIA e de HCN e a solubilização de fosfato não explicaram a promoção
de crescimento ocasionada pelos isolados sugeridos como RPCPs de mudas de cana-de-
açúcar.
53
7 REFERÊNCIAS BIBLIOGRÁFICAS
AGUIAR FILHO, J. M. M. Análise enzimática de fungos lignocelulolíticos cultivados em
vinhaça e bagaço de cana-de-açúcar. 2008. 79p. Dissertação (Mestrado em Agronomia) -
Escola Superior de Agricultura Luiz de Queiroz, Piracicaba, SP.
ARAÚJO, F. F. Inoculação de sementes com Bacillus subtilis, formulado com farinha de
ostras e desenvolvimento de milho, soja e algodão. Ciência e Agrotecnologia., v. 32, n. 2, p.
456-462, 2008.
ASLANTAS, R.; ÇAKMAKÇI, R.; SAHIN, F. Effect of plant growth promoting
rhizobacteria on young apple tree growth and fruit yield under orchard conditions. Scientia
Horticulturae, v. 111, p. 371-377, 2007.
BAKKER, A. W.; SCHIPPERS, B. Microbial cyanide production in the rhizosphere in
relation to potato yield reduction and Pseudomonas spp-mediated plant growth-stimulation.
Soil Biology and Biochemistry, v. 19, p. 451-457, 1987.
BARAZANI, O., FRIEDMAN, J. Is IAA the major root growth factor secreted from plant-
growth-mediating bacteria? Journal of Chemical Ecology, v. 25, n.10, p. 2397-2406, 1999.
BARBOSA, V. Ciclos biogeoquímicos como subsídio para a sustentabilidade do sistema
agroindustrial da cana-de-açúcar. 2007. 117f. Dissertação (Mestrado em Agronomia)
Universidade Estadual Paulista, Faculdade de Ciências Agrárias e Veterinárias, Jaboticabal,
SP.
BODDEY, R. M.; URQUIAGA, S.; ALVES, B. J. R.; REIS, V. Endophytic nitrogen fixation
in sugarcane: present knowledge and future applications. Plant and Soil, v. 252, p. 139-149,
2003.
BONKOWSKI, M.; VILLENAVE, C.; GRIFFITHS, B. Rhizosphere fauna: the functional
and structural diversity of intimate interactions of soil fauna with plants roots. Plant and Soil,
v. 321, p. 213-233, 2009.
BRIC, J. M.; BOSTOCK, R. M.; SILVERSTONE, S. E. Rapid in situ assay for indoleacetic
acid production by bacteria immobilized on a nitrocellulose membrane. Applied and
Environmental Microbiology, v. 57, n. 2, p. 535-538, 1991.
BUCHANAN, R. E.; GIBBONS, N. E. Bergey’s manual of determinative bacteriology. 8.
ed. Baltimore: The Williams and Wilkins Company, 1974. 967p.
CANUTO, E. L.; SALLES, J. F.; OLIVEIRA, A. L. M.; PERIN, L.; REIS, V. M.;
BALDANI, J. I. Respostas de plantas micropropagadas de cana-de-açúcar à inoculação de
bactérias diazotróficas endofíticas. Agronomia, v. 37, n. 2, p. 67-72, 2003.
54
CATTELAN, A. J.; HARTEL, P. G.; FUHRMANN, J. J. Screening for plantgrowth-
promoting rhizobacteria to promote early soybean growth. Soil Science Society of America
Journal, v. 63, p. 1670-1680, 1999.
CAVALCANTE, A. K.; LONDE, L. U.; MOREIRA, R. G. Cultura de tecidos e suas
aplicações. Anais da V Jornada Científica da FAZU, 2006.
ÇAKMAKÇI, R.; DÖNMEZ, F.; AYDIN, A.; SAHIN, F. Growth promotion of plants by
plant growth-promoting rhizobacteria under greenhouse and two different field soil
conditions. Soil Biology & Biochemistry, v. 38, p. 1482-1487, 2006.
CIPRIANO, M. A. P. Potencial de Pseudomonas spp. na promoção de crescimento e no
controle de Pythium em alface cultivada em sistema hidropônico. 2009. 49f. Dissertação
(Mestrado em Agricultura Tropical e Subtropical) – Pós-Graduação – IAC.
COELHO, L. F. Interação de Pseudomonas spp. e de Bacillus spp. com diferentes rizosferas.
2006. 59f. Dissertação (Mestrado em Agricultura Tropical e Subtropical) Pós-Graduação -
IAC.
COELHO, L. F.; FREITAS, S. S.; MELO, A. M. T. de; AMBROSANO, G. M. B. Interação
de bactérias fluorescentes do gênero Pseudomonas e de Bacillus spp. com a rizosfera de
diferentes plantas. Revista Brasileira de Ciência do Solo, v.31, p. 1413-1420, 2007.
COMPANHIA DE TECNOLOGIA E SANEAMENTO AMBIENTAL DO ESTADO DE
SÃO PAULO CETESB. Vinhaça: Critérios e procedimentos para a aplicação no solo
agrícola. São Paulo: CETESB, 2005, p. 1-12. (P4.231).
COMPANHIA NACIONAL DE ABASTECIMENTO CONAB. Disponível em :
<http://www.conab.gov.br> Acesso em : 24 de novembro de 2009.
COMPANT, S.; DUFFY, B.; NOWAK, J.; CLÉMENT, C.; BARKA, E. A. Use of plant
growth-promoting bacteria for biocontrol of plant diseases: principles, mechanisms of action,
and future prospects. Applied and Environmental Microbiology, v. 71, n. 9, p. 4951-4959,
2005.
DE BELLIS, P.; ERCOLANI, G. L. Growth interactions during bacterial colonization of
seedling rootlets. Applied and Environmental Microbiology, v. 67, n. 4, p. 1945-1948,
2001.
DE FREITAS, J. R.; BANERJEE, M. R.; GERMIDA, J. J. Phosphate-solubilizing
rhizobacteria enhance the growth and yield but not phosphorus uptake of canola (Brassica
napus L.). Biology and Fertility of Soils, v. 24, p. 358-364, 1997.
DIMKPA, C.; WEINAND, T.; ASCH, F. Plant-rhizobacteria interactions alleviate abiotic
stress conditions. Plant, Cell and Environment, v. 32, p. 1682-1694, 2009.
DONATO, V. M. T. S.; ANDRADE, A. G.; TAKAKI, G. M. C.; MARIANO, R. L. R.;
MACIEL, G. A. Plantas de cana-de-açúcar cultivadas in vitro com antibióticos. Ciência e
Agrotecnologia v. 29, n. 1, p. 134- 141, 2005.
55
DUARTE Jr., J.B. Avaliação Agronômica da Cana-de-açúcar, Milho e Feijão em Sistema de
Plantio Direto em Comparação ao Convencional em Campos dos Goytacazes RJ. 2006.
303f. Tese (Doutorado em Produção Vegetal) Universidade Estadual do Norte Fluminense
Darcy Ribeiro, Campos dos Goytacazes, RJ.
EMPRESA BRASILEIRA DE PESQUISA AGROPECUÁRIA EMBRAPA. Centro
Nacional de Pesquisas de Solos. Sistema brasileiro de classificação de solos. Brasília, Rio de
Janeiro, 1999. 412p.
EMPRESA BRASILEIRA DE PESQUISA AGROPECUÁRIA - EMBRAPA. Método de
inoculação de bactérias diazotróficasem plantas de cana-de-açúcar micropropagadas.
Seropédica, RJ, abril/2004. (Comunicado Técnico nº65).
EMPRESA BRASILEIRA DE PESQUISA AGROPECUÁRIA - EMBRAPA. Disponível em:
<http://www.cana.cnpm.embrapa.br> Acesso em: 22 de fevereiro de 2008.
FIRME, L. P. Cinética de degradação microbiológica de torta-de-filtro no solo na presença de
cádmio e quel. 2005. 74p. Dissertação (Mestrado em Agronomia) Escola Superior de
Agricultura Luiz de Queiroz, Piracicaba, SP.
FRANCIS, I.; HOLSTERS, M.; VEREECKE, D. The Gram-positive side of plant-microbe
interactions. Environmental Microbiology, v. 12, n. 1, p. 1-12, 2010.
FREITAS, S. S. Mineralização e imobilização do nitrogênio em solo suplementado com torta
de filtro de usina de cana e carbonato de cálcio. 1985. 65f. Dissertação (Mestrado em
Microbiologia Agrícola) - Escola Superior de Agricultura Luiz de Queiroz, Universidade de
São Paulo, Piracicaba, SP.
FREITAS,
S.
S.;
CARDOSO,
C.
O.
N.;
CAMARGO,
O.
A.;
LOPES,
E
.S. Mineralização e
imobilização de nitrogênio em solo tratado com torta-de-filtro e carbonato de cálcio. Revista
Brasileira de Ciência do Solo, Campinas, v. 12, p. 243-248, 1988.
FREITAS, S. S. Desenvolvimento de plântulas de café pela inoculação de Pseudomonas sp.
Revista Brasileira de Ciência do Solo, v. 13, p. 31-34, 1989.
FREITAS, S. S.; PIZZINATTO, M. A. Interações de Pseudomonas sp. e Fusarium
oxysporum f. sp. lycopersici na rizosfera de tomateiro. Summa Phytopathologica, v. 17, p.
105-112, 1991.
FREITAS, S. S. Rizobactérias e Suas Interações com Plantas e Microrganismos. 1994. 112f.
Tese (Doutorado em Solos e Nutrição de Plantas) Escola Superior de Agricultura Luiz de
Queiroz, Universidade de São Paulo, Piracicaba, SP.
FREITAS, S. S.; DE MELO, A. M. T; DONZELI, V. P. Promoção do crescimento de alface
por rizobactérias. Revista Brasileira de Ciência do Solo, v. 27, n. 1, p. 61-70, 2003.
FREITAS, S. S. & VILDOSO, C. I. A. Rizobactérias e promoção do crescimento de plantas
cítricas. Revista Brasileira de Ciência do Solo, v. 28, p. 987-994, 2004.
56
FREITAS, S. S. Rizobactérias Promotoras do Crescimento de Plantas. In: SILVEIRA, A. P.
D. & FREITAS, S. S. Microbiota do Solo e Qualidade Ambiental. Campinas: Instituto
Agronômico, 312p, 2007.
FRIGERI, R. B. C. Relação entre raiz e parte aérea de plântulas de espécie arbórea tropicais
sob diferentes níveis de radiação solar. 2007. 132f. Tese (Doutorado em Biologia Vegetal)
Universidade Estadual de Campinas, SP.
GLICKMANN, E.; DESSAUX, Y. A critical examination of the specificity of the Salkowski
reagent for indolic compounds produced by phytopathogenic bacteria. Applied and
Environmental Microbiology, v. 61, n. 2, p. 793-796, 1995.
GRAYSTON, S. J.; WANG, S.; CAMPBELL, C. D.; EDWARDS, A. C. Selective influence
of plant species on microbial diversity in the rhizosphere. Soil Biology and Biochemistry, v.
30, n. 3, p. 369-379, 1998.
GUPTA, C. P.; DUBEY, R. C.; MAHESHWARI, D. K. Plant growth enhancement and
suppression of Macrophomina phaseolina causing charcoal rot of peanut by fluorescent
Pseudomonas. Biology and Fertility of Soils, v.35, p.399-405, 2002.
KATZNELSON, H.; BOSE, B. Metabolic activity and phosphate dissolving capability of
bacterial isolates from wheat roots, rhizosphere, and non rhizosphere soil. Canadian Journal
of Microbiology, Ottawa, v. 5, p. 79-85, 1959.
KING, E. O.; WARD, M. K.; RANEY, D. E. Two simple media for the demonstration of
pyocianin and fluorescin. Journal of Laboratory and Clinical Medicine, v. 44, p. 301-307,
1954.
KOKALIS-BURELLE, N.; KLOEPPER, J. W.; REDDY, M.S. Plant growth-promoting
rhizobacteria as transplant amendments and their effects on indigenous rhizosphere
microorganisms. Applied Soil Ecology, v. 31, p. 91-100, 2006.
KUMAR, B.; TRIVEDI, P.; PANDEY, A. Pseudomonas corrugata: A suitable bacterial
inoculant for maize grown under rainfed conditions of Himalayan region. Soil Biology &
Biochemistry, v. 39, p. 3093-3100, 2007.
LAKSHMANAN, P.; GEIJSKES, R.J.; AITKEN, K. S.; GROF, C. L. P.; BONNETT, G. D.;
SMITH, G. R. Invited review: sugarcane biotechnology: the challenges and opportunities. In
Vitro Cellular and Developmental Biology - Plant, v. 41, p. 345-363, 2005.
LUGTENBERG, B. J. J., DEKKERS, L. C. What makes Pseudomonas bacteria rhizosphere
competent? Environmental Microbiology, v. 1, n. 1, p. 9-13, 1999.
LUZ, W. C. Rizobactérias promotoras do crescimento de plantas e de bioproteção. Revisão
Anual de Patologia de Plantas, v. 4, p. 1-50, 1996.
MANNION, A. M. Agriculture, environment and biotechnology. Agriculture, Ecosystems
and Environment, v. 53, p. 31-45, 1995.
57
MANTELIN, S.; TOURAINE, B. Plant growth-promoting bacteria and nitrate availability:
impacts on root development and nitrate uptake. Journal of Experimental Botany, v. 55, n.
394, p. 27-34, 2004.
MARIANO, R. L. R.; SILVEIRA, E. B.; ASSIS, S. M. P.; GOMES, A. M. A.;
NASCIMENTO, A. R. P.; DONATO, V. M. T. S. Importância de bactérias promotoras de
crescimento e de biocontrole de doenças de plantas para uma agricultura sustentável. Anais
da Academia Pernambucana de Ciência Agronômica, v. 1, p. 89 – 111, 2004.
MENA-VIOLANTE, H. G.; OLALDE-PORTUGAL, V. Alteration of tomato fruit quality by
root inoculation with plant growth-promoting rhizobacteria (PGPR): Bacillus subtilis BEB-
13bs. Scientia Horticulturae, v. 113, p. 103-106, 2007.
MIRZA, M. S.; AHMAD, W.; LATIF, F.; HAURAT, J.; BALLY, R.; NORMAND, P.;
MALIK, K. A. Isolation, partial characterization, and the effect of plant growth-promoting
bacteria (PGPB) on micro-propagated sugarcane in vitro. Plant and Soil, v. 237, p. 47-54,
2001.
MISAGHI, I. J. Screening bacteria for root colonizing ability by a rapid method. Soil Biology
& Biochemistry, v. 22, n. 8, p. 1085-1088, 1990.
MURASHIGE, T.; SKOOG, F. A. Revised medium for rapid growth and bioassays with
Tabacco tissue cultures. Physiologia Plantarum, Copenhagen. v. 15, p. 473-497, 1962.
NASEBY, D. C.; LYNCH, J. M. Effects of Pseudomonas fluorescens F113 on ecological
functions in the pea rhizosphere are dependent on pH. Microbial Ecology, v. 37, p. 248-256,
1999.
NOGUEIRA, G. A. Produção de mudas de cana-de-açúcar. In: SEGATO, S. V.; PINTO, A.
S.; JENDIROBA, E.; NÓBREGA, J. C. M. Atualização em produção de cana-de-açúcar.
Piracicaba: 415p, 2006.
ONGENA, M.; JACQUES, P.; DELFOSSE, P.; THONART, P. Unusual traits of the
pyoverdin-mediated iron acquisition system in Pseudomonas putida srain BTP1. BioMetals,
v. 15, p. 1-13, 2002.
ORHAN, E.; ESITKEN, A.; ERCISLI, S.; TURAN, M.; SAHIN, F. Effects of plant growth
promoting rhizobacteria (PGPR) on yield, growth and nutrient contents in organically
growing raspberry. Scientia Horticulturae, v. 111, p. 38-43, 2006.
OWEN. A.; ZDOR, R. Effect of cyanogenic rhizobacteria on the growth of velvetleaf
(Abutilon theophrasti) and corn (Zea mays) in autoclaved soil and the influence of supplement
glycine. Soil Biology and Biochemistry, v. 33, p. 801-809, 2001.
PATTEN, C. L; GLICK, B. R. Role of Pseudomonas putida indolacetic acid in development
of the host plant root system. Applied and Enviromental Microbiology, vol. 68, n. 8, 3795-
3801, 2002.
58
PERIN, L. Estudo da Comunidade de Bactérias Diazotróficas do Gênero Burkholderia em
Associação com Cana-de-açúcar e Descrição de Burkholderia silvatlantica. 2007. 103f. Tese
(Doutorado em Ciências Ciência do Solo) Universidade Federal Rural do Rio de Janeiro,
Seropédica, RJ.
PRESTON, G. M. Plant perceptions of plant growth-promoting Pseudomonas. Philosophical
Transctions of the Royal Society. n.359, p. 907-918, 2004.
RAMAMOORTHY, V.; VISWANATHAN, R.; RAGUCHANDER, T.; PRAKASAM, V.;
SAMIYAPPAN, R. Induction of systemic resistance by plant growth promoting rhizobacteria
in crop plants against pests and diseases. Crop Protection, v. 20, p. 1-11, 2001.
REINHOLD, B.; HUREK, T.; FENDRIK. Strain-specific chemotaxis of Azospirillum spp.
Journal of Bacteriology, v. 162, n.1, p. 190-195, 1985.
REIS, V. M.; OLIVARES, F. L.; OLIVEIRA, A. L. M.; REIS JR., F. B.; BALDANI, J. I.;
DÖBEREINER, J. Technical approaches to inoculate micropropagated sugar cane plants were
Acetobacter diazotrophicus. Plant and Soil, v. 206, p. 205-211, 1999.
RODRIGUES NETO, J.; MALAVOLTA JR., V. A.; VICTOR, O. Meio simples para o
isolamento e cultivo Xanthomonas campertis pv. citri tipo B. Summa Phytopathologica, v.
12, p. 16, 1986.
ROSAS, S. B.; ANDRÉS, J. A.; ROVERA, M.; CORREA, N. S. Phosphate-solubilizing
Pseudomonas putida can influence the rhizobia-legume symbiosis. Soil Biology &
Biochemistry, v. 38, p. 3502-3505, 2006.
ROVIRA, A. D. Interactions between plant roots and soil microorganisms. Annual Review of
Microbiology, v. 19, p. 241-266, 1965.
SHANAHAN, P.; O’SULLIVAN, D.J.; SIMPSON, P.; GLENNON, J. D.; O’GARA, F.
Isolation of 2,4-diacetylphloroglucinol from a fluorescent pseudomonad and investigation of
physiological parameters influencing its production. Applied and Enviromental
Microbiology, v. 58, p. 353-358, 1992.
SILVEIRA, E. B.; GOMES, A. M. A.; MARIANO, R. L. R.; SILVA NETO, E. B.
Bacterização de sementes e desenvolvimento de mudas de pepino. Horticultura Brasileira,
v. 22, n. 2, p. 217-221, 2004.
SOTTERO, A. N.; FREITAS, S. S.; MELO, A. M. T.; TRANI, P. E. Rizobactérias e alface:
colonização rizosférica, promoção de crescimento e controle biológico. Revista Brasileira de
Ciência do Solo, v. 30, p. 225-234, 2006.
THULER, D.S.; FLOH, E.I.S.; HANDRO, W.; BARBOSA, H.R. Beijerinckia derxii releases
plant growth regulators and amino acids in synthetic media independent of nitrogenase
activity. Journal of Applied Microbiology, v. 95, p. 799-806, 2003a.
THULER, D.S.; FLOH, E.I.S.; HANDRO, W.; BARBOSA, H.R. Plant growth regulators and
amino acids released by Azospirillum sp. in chemically defined media. Letters in Applied
Microbiology, v. 37, p. 174-178, 2003b.
59
TORO, M.; AZCÓN, R.; BAREA, J. M. Improvement of arbuscular mycorrhiza development
by inoculation of soil with phosphate-solubilizing rhizobacteria to improve rock phosphate
bioavailability (
32
P) and nutrient cycling. Applied and Enviromental Microbiology, v. 63, n.
11, p. 4408-4412, 1997.
VESSEY, J. K. Plant growth promoting rhizobacteria as biofertilizers. Plant and Soil, v. 255,
p. 571-586, 2003.
VESTBERG, M.; KUKKONEN, S.; SAARI, K.; PARIKKA, P.; HUTTUNEN, J.; TAINIO,
L.; DEVOS, N.; WEEKERS, F.; KEVERS, C.; THONART, P.; LEMOINE, M-C.;
CORDIER, C.; ALABOUVETTE, C.; GIANINAZZI, S. Microbial inoculation for improving
the growth and health of micropropagated strawberry. Applied Soil Ecology, v. 27, p. 243-
258, 2004.
VILLACIEROS, M.; POWER, B.; SÁNCHEZ-CONTRERAS, M.; LLORET, J.;
ORUEZABAL, R. I.; MARTÍN, M.; FERNÁNDEZ-PIÑAS, F.; BONILLA, I.; WHELAN,
C.; DOWLING, D. N.; RIVILLA, R. Colonization behaviour of Pseudomonas fluorescens
and Sinorhizobium meliloti in the alfafa (Medicago sativa) rhizosphere. Plant and Soil, v.
251, p. 47-54, 2003.
VISWANATHAN, R.; SAMIYAPPAN, R. Induction of systemic resistance by plant growth
promoting rhizobacteria against red rot disease in sugarcane. Sugar Technology, v. 1, n. 3, p.
67-76, 1999.
WELLER, D.M. Pseudomonas biocontrol agents of soilborne pathogens: Looking back over
30 years. Phytopathology. v. 97, p. 250-256, 2007.
Livros Grátis
( http://www.livrosgratis.com.br )
Milhares de Livros para Download:
Baixar livros de Administração
Baixar livros de Agronomia
Baixar livros de Arquitetura
Baixar livros de Artes
Baixar livros de Astronomia
Baixar livros de Biologia Geral
Baixar livros de Ciência da Computação
Baixar livros de Ciência da Informação
Baixar livros de Ciência Política
Baixar livros de Ciências da Saúde
Baixar livros de Comunicação
Baixar livros do Conselho Nacional de Educação - CNE
Baixar livros de Defesa civil
Baixar livros de Direito
Baixar livros de Direitos humanos
Baixar livros de Economia
Baixar livros de Economia Doméstica
Baixar livros de Educação
Baixar livros de Educação - Trânsito
Baixar livros de Educação Física
Baixar livros de Engenharia Aeroespacial
Baixar livros de Farmácia
Baixar livros de Filosofia
Baixar livros de Física
Baixar livros de Geociências
Baixar livros de Geografia
Baixar livros de História
Baixar livros de Línguas
Baixar livros de Literatura
Baixar livros de Literatura de Cordel
Baixar livros de Literatura Infantil
Baixar livros de Matemática
Baixar livros de Medicina
Baixar livros de Medicina Veterinária
Baixar livros de Meio Ambiente
Baixar livros de Meteorologia
Baixar Monografias e TCC
Baixar livros Multidisciplinar
Baixar livros de Música
Baixar livros de Psicologia
Baixar livros de Química
Baixar livros de Saúde Coletiva
Baixar livros de Serviço Social
Baixar livros de Sociologia
Baixar livros de Teologia
Baixar livros de Trabalho
Baixar livros de Turismo