
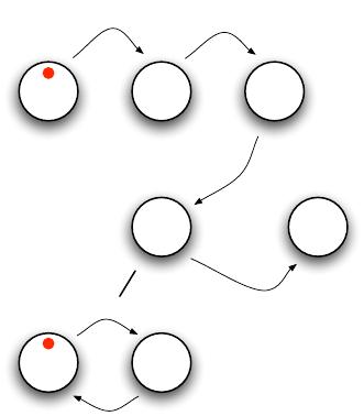
P < A is on the state q = r(A) which is linked by an edge of the tree to the automaton A. In
the case of the red dot of the root automaton, this is trivially satisfied.
This Automata Tree has a longer setup phase and all the interactive phase happens when
MET A1 is in state M1. As noticed before, there is no end state in M ET A1 so the user has to
finish the piece by turning off all the audio generated by the system and by stop playing.
Also as mentioned above, each mode of interaction (A
1
, A
2
, A
3
) has a “switch”
(MET A2, M ET A3, M ET A4 respectively) and they are active only if the “switch” is in the
right state. Their activity is independent of the others’, or in other words, they are orthogonal.
All that can be extracted from figure 7.18. About the interaction between the audio from
each mode, we shall notice the loop and the sample modes are transparent and the effect mode,
by definition, filters both of them. The long sample mode omitted in this representation is also
transparent.
Finally I shall notice that only six signs (up to P
6
) have been used but the setup phase
recorded seven phrases. P
7
is used to release the long sample sound that has been omitted in
the description or each mode. When this phrase is used in the examples I treat it apart as said
before.
In this case I skip the hypothetical example to go to the real musical experiences, but before
that I present the action and transition tables of this case study.
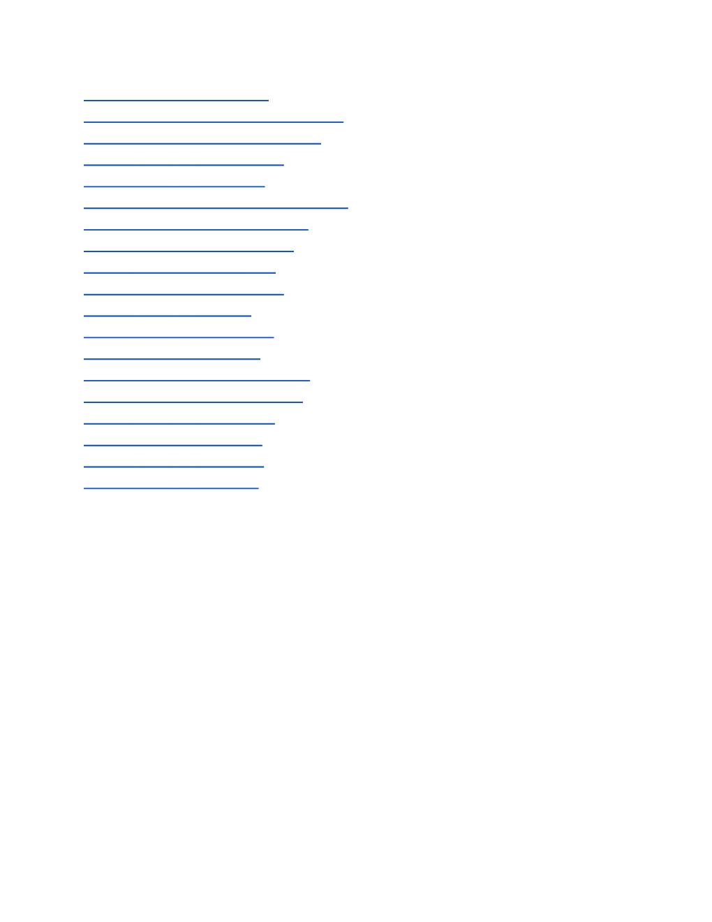
Actions
Actions of Automata Tree of the Pandeiro Funk Case Study
action sign
REP repetition of rhythmic phrase
ATT attack detection
PA ’pa’ sound detection
TUNG ’tung’ sound detection
P
n
detection of phrase n
Transitions
Transitions of Automata Tree of the Pandeiro Funk Case Study
n
o
initial state action end state
1 (Q1, R1, S1, SET (n), M 11, M21, M31) REP (Q1, R1, S1, SET (n + 1), M11, M21, M 31)
2 (Q1, R1, S1, SET 3, M 11, M21, M31) REP (Q1, R1, S1, M 1, M 11, M21, M31)
3 (q, r, s, M1, M 11, m2, m3) P
1
(q, r, s, M1, M 12, m2, m3)
4 (q, r, s, M1, M 12, m2, m3) P
1
(q, r, s, M1, M 11, m2, m3)
5 (q, r, s, M1, m1, M 21, m3) P
2
(q, r, s, M1, m1, M 22, m3)
6 (q, r, s, M1, m1, M 22, m3) P
2
(q, r, s, M1, m1, M 21, m3)
7 (q, r, s, M1, m1, m2, M31) P
3
(q, r, s, M1, m1, m2, M32)
8 (q, r, s, M1, m1, m2, M32) P
3
(q, r, s, M1, m1, m2, M31)
9 (Q(n), r, s, M1, M 12, m2, m3) P
4
(Q(n + 1mod3), r, s, M 1, M12, m2, m3)
10 (q, R(n), s, M 1, m1, M 22, m3) P
5
(q, R(n + 1mod4), s, M 1, m1, M 12, m3)
11 (q, r, S(n), M 1, m1, m2, M 32) P
6
(q, r, S(n + 1mod3), M1, m1, m2, M32)
81