Download PDF
ads:
UNIVERSIDADE FEDERAL DE SÃO PAULO
DEPARTAMENTO DE CLÍNICA MÉDICA
Programa de Pós-Graduação em Ciências
VANESSA CRISTINA RESCIA
REVs-Chi: um novo sistema particulado para encapsulação
de macromoléculas terapêuticas.
Orientadora
Profa. Dra. Maria Helena Bueno da Costa
São Paulo
30/06/2009
ads:
Livros Grátis
http://www.livrosgratis.com.br
Milhares de livros grátis para download.
VANESSA CRISTINA RESCIA
REVs-Chi: um novo sistema particulado para encapsulação
de macromoléculas terapêuticas.
Tese apresentada ao Departamento de
Clínica Médica da Universidade Federal
de São Paulo para a obtenção do Título
de Mestre em Ciências
Orientadora: Profa. Dra. Maria Helena Bueno da Costa
São Paulo
2009
ads:
Rescia, Vanessa Cristina
REVs-Chi: um novo sistema particulado para encapsulação de
macromoléculas terapêuticas.
Vanessa Cristina Rescia. -- São Paulo, 2009.
viii, 120 f.
Tese (Mestrado) Universidade Federal de São Paulo. Escola Paulista
de Medicina. Programa de Pós-graduação em Clínica Médica.
Título em inglês: REVs-Chi: A new particulate system for encapsulation
of therapeutic macromolecules.
1. Lipossoma, 2. Quitosana, 3. PVA, 4. Toxóide diftérico, 5. Vacina.
Vanessa Cristina Rescia
REVs-Chi: um novo sistema particulado para encapsulação
de macromoléculas terapêuticas.
Tese apresentada a Universidade Federal de
São Paulo Escola Paulista de Medicina
para obtenção do título de
Mestre em Ciências
Aprovado em:______________________
Banca Examinadora:
Prof. Dr. ___________________________________________________
Instituição:__________________________________________________
Assinatura:__________________________________________________
Prof. Dr.____________________________________________________
Instituição:__________________________________________________
Assinatura:__________________________________________________
Prof. Dr.____________________________________________________
Instituição:__________________________________________________
Assinatura:__________________________________________________
AGRADECIMENTOS
Agradeço a Deus pela vida, por me guiar, me proteger e me dar forças ao
longo de minha caminhada até aqui.
Agradeço aos meus pais, Lúcia e Reinaldo pelo amor e carinho
incondicionais, também pela educação e valores que puderam me passar e, além
disso, por cuidarem da Laurinha enquanto eu realizava este trabalho.
Agradeço a minhas irmãs, Alessandra e Jussara, também aos meus
cunhados Milton e Flávio, pelo carinho e cuidado que tiveram com a Laura em
minhas ausências e, também, pela amizade e convivência.
Agradeço ao meu avô José (in memorian) pelo seu amor e por cuidar de
mim, até hoje, de onde quer que ele esteja... Agradeço a minha avó Antonia e a
minha tia Martha por estarem presentes em minha vida.
Agradeço a Laura pelo seu amor, por estar ao meu lado e por
compreender minhas ausências. ―Agora, mamãe não vai mais trabalhar de
manhã, de tarde e de noite‖!
Agradeço ao Fernando, pelo apoio e incentivo iniciais para este trabalho e
por nós termos tido nossa filha Laura, amor maior de meu coração, alicerce de
minha vida e que com seu sorriso me dá forças para seguir.
Agradeço a Dona Maria, a Flávia e ao Heli, por todo amor, carinho e ajuda
ao longo deste trabalho, tanto pra mim quanto para a minha filha Laura.
Agradeço a minha querida orientadora Lelena, pelos seus ensinamentos
que levarei por toda minha vida, por me despertar amor à pesquisa e por chá,
por ampliar meus horizontes (até a Argentina, Grécia e Holanda, por hora!),
pelos ―puxões de orelha‖ e pelos abraços carinhosos quando precisei. ―Você
estará sempre em meu coração, querida‖! ―Ah, agora sei onde estão as figuras
27, 28, 29...‖!
Agradeço ao meu querido Henrique, pela sincera amizade ao longo desses
anos e por me abrir uma ―janela‖ que modificou minha vida. Você me mostrou a
ciência como forma de vida e que a amizade é uma forma de amor. ―Ah,
obrigada pelos CDs, fluorescências, por ter me dado de presente a orientadora
perfeita e por seguir ao meu lado, amigo‖!
Agradeço aos meus queridos amigos JP, Bia e Mislene, pelo apoio e pelas
horas de conversas que me ajudaram a crescer e a ver a vida de outra
perspectiva.
Agradeço ao Hebert, meu amigo, pelas figuras da dissertação e pelo
carinho.
Agradeço aos queridos colegas de laboratório, Tatiana, Tereza, Reginaldo,
Sérgio, Dona Odila, Vanessa, Jocimara, Liliam, Maria del Carmen, Adriana e
Leonardo, pela colaboração, carinho e amizade. Todos fizeram parte de minha
história de vida e estarão sempre em meu coração.
Agradeço a todos os pesquisadores, funcionários e estudantes do Centro
de Biotecnologia e de todo o Instituto Butantan por nos cederem equipamentos
e, em especial, às pessoas que me presentearam com suas amizades como a
Paty, a Erika, a Luana, a Tati, a Vivian e a Roberta; ao Prof. Dr. Osvaldo A. B. E.
Sant' Anna, pela colaboração com os ensaios biológicos; ao Prof. Dr. Paulo Lee
Ho por disponibilizar equipamentos e pessoal de seu laboratório; ao Sr. Gaspar
Ferreira de Lima (Imunohistoquímica ICB-USP) por preparar o material para o
TEM com tanto carinho que me rendeu fotos maravilhosas e, também ao pessoal
da Biologia Celular do Instituto Butantan pelo uso do TEM, em especial à Dra.
Marta Maria Antoniazzi e ao Alexsander Seixas de Souza.
Agradeço a Profa. Dra. Iolanda Midea Cucovia e a Dra. Katia R. P.
Daghastanli, do IQ-USP, por toda ajuda com os experimentos no Potencial Zeta e
ao Prof. Dr. Pedro Soares de Araujo por toda a colaboração.
Agradeço a Dra. Silvia Alonso (UNQ Argentina) e ao Dr. Jean-Marie
Ruysschaert (ULB - Bélgica) por todo o carinho e incentivo.
Agradeço a CAPES, CNPQ, FAPESP e Fundação Butantan pelo apoio
financeiro cedido ao laboratório durante a realização deste trabalho.
Agradeço a CAPES, pela minha bolsa de mestrado.
À minha filha Laura, amor
maior de meu coração.
“Toda a ciência começa como filosofia e termina em arte”.
(Will Durant)
Resumo
A quitosana (Chi), a (1-4)-amino-2-desoxi- -glicana, é a forma
desacetilada da quitina, um polissacarídeo das conchas de crustáceos. As suas
características únicas como a carga positiva, biodegradabilidade,
biocompatibilidade, atoxicidade e estrutura rígida fazem com que esta
macromolécula seja ideal para uso como sistema oral de entrega de vacinas.
Foram preparadas vesículas unilamelares grandes (REVs) envoltas por dentro e
por fora (como um sanduiche) com quitosana (Chi) e poli-vinil álcool (PVA).
Entretanto, existem alguns problemas as serem superados com relação à
estabilização da proteína durante este processo. Durante a fase de formação de
micelas reversas, no processo de nanoencapsulação da proteína, expandem-se as
interfaces hidrofóbicas que então levam às adsorções interfaciais seguidas por
desenovelamento e agregação das proteínas. Aqui, observaram-se através de
técnicas espectroscópicas e imunológicas, o uso dos sais da série de Hoffmeister
durante a fase de formação de micela reversa para estudar a conformação
estável do toxoide diftérico (Dtxd). Foi estabelecida uma correlação entre os
sais usados na fase aquosa e as variações na solubilidade e conformação de Dtxd.
Como o conteúdo em hélice- foi praticamente estável concluiu-se que a
encapsulação de Dtxd ocorreu sem agregação ou sem exposição de resíduo
hidrofóbico na proteína. A agregação de Dtxd foi evitada em 98 % quando se
usou o cosmotrópico PO
2-
4
. Este íon foi usado para se preparar uma formulação
de Dtxd em REVs-Chi-PVA estável e com identidade imunológica reconhecida na
presença de PO
2-
4
. Então, obteve-se uma solubilidade e estabilidade máxima de
Dtxd depois de seu contacto com CH
3
CO
2
C
2
H
5
para começar a sua
nanoencapsulação em condições ideais. Este foi um avanço tecnológico
importante porque uma solução simples, como é a adição de sais, evitou o uso
de proteínas heterólogas (Rescia et alii, 2009
a
). A proteína estabilizada foi
então encapsulada dentro de REVs como o descrito.
Os lipossomas têm sido descritos como adjuvantes desde 1974 (Allison e
Gregoriadis, 1974). A maior limitação de seu uso em vacinas orais é a sua
instabilidade estrutural causada pelas atividades enzimáticas do meio. O
objetivo aqui foi combinar lipossomas, que podem encapsular antígenos (Dtxd,
Diphtheria toxoid) com quitosana que protege estas partículas e promove a
mucoadesibilidade. Empregaram-se técnicas físicas para se entender o processo
pelo qual lipossomas (SPC: Cho, 3: 1) podem ser recobertos (interna e
externamente) com quitosana (Chi) e PVA (poly-vinilic-alcohol) que são
polímeros biodegradáveis e biocompatíveis. Obtiveram-se partículas de REVs-Chi
(vesículas preparadas por evaporação de fase reversa recobertas interna e
externamente com Chi) redondas e com as superfícies rugosas e estabilizadas ou
não com PVA. As eficiências de encapsulação (Dtxd foi usada como antígeno)
foram diretamente dependentes da presença de Chi e PVA na formulação. A
adsorção de Chi à superfície de REVs foi acompanhada por um aumento no
potencial . Em contraste, a adsorção de PVA à surperfície de REVs-Chi foi
acompanhada por uma diminuição do potencial . A presença de Dtxd aumentou
a eficiência de adsorção de Chi às superfícies. A afinidade de PVA pela mucina
foi 2000 vezes maior do que a observada somente com Chi e não depende se a
molécula está em solução ou se está adsorvida à superfície lipossomal. A
liberação do Dtxd foi retardada por sua encapsulação dentro de REVs-Chi-PVA.
Concluiu-se que estas novas vesículas estabilizadas foram hábeis em se
adsorverem às superfícies intestinais, resistiram às degradações e controlaram a
liberação do antígeno. Assim, as partículas de REVs-Chi-PVA podem ser usadas
como um veículo oral com capacidade adjuvante (Rescia et alii, 2009
b
).
Os lipossomas revstidos por quitosana (REVs-Chi) como veículos orais para
transporte de vacinas foram bem caraterizados neste laboratório. Estas
partículas foram desenhadas para serem capturadas pelo muco, para interagirem
com surperfícies orais e para resistirem às enzimas do trânsito gástrico. Foram
usadas três formulações diferentes contendo o Dtxd (toxoide diftérico) para
imunizar camundongos: REVs [Vesículas unilamelares obtidas por evaporação de
fase reversa produzidas com SPC: Cho (3:1)]; REVs-Chi (REVs recobertas por Chi)
e REVs-Chi-PVA (REVs recobertas por Chi e estabilizadas por PVA). Através do
teste de adesibilidade e dos experimentos com anti-toxoide diftérico observou-
se que houve uma correlação direta entre a complexidade da partícula (antígeno
livre < REVs < REVs-Chi < REVs-Chi-PVA) e a produção de anticorpos (IgA, IgG
1
and IgG
2a
) em todos os ensaios (R= 0,91766- 0,99718). O resultado mais
interessante foi a total ausência da produção de IgA nos camundongos
imunizados com o antígeno livre, provando então a excelência das partículas
engenheiradas. Além do aumento da produção dos anticorpos de mucosa, ambas
formulações com Chi ou com Chi-PVA estimularam tanto a produção de
anticorpos humorais quanto a seletividade. Demonstrou-se que é possível de se
estabelecer uma correlação entre REVs-Chi/Dtxd and REVs-Chi-PVA/Dtxd e o
aumento da imunidade de mucosa. Estas partículas podem ser usadas como
veículo geral tanto para transporte de drogas quanto de vacinas (Rescia et alli,
2009
c
).
Palavras chave: Série de Hoffmeister, Estabilidade de proteínas, Lipossoma, Quitosana,
adjuvante particulado, adjuvante, veículo de vacina, transporte de drogas.
Abstract
Chitosan, - (1-4)-amino-2-deoxy- -D-glucan) is a deacetylated form of
chitin, a polysaccharide from crustacean shells. Its unique characteristics such as
positive charge, biodegradability, biocompatibility, non-toxicity, and rigid
structure make this macromolecule ideal for oral vaccine delivery system. We
prepared reverse phase evaporation vesicles (REVs) sandwiched by chitosan (Chi)
and polyvinylic alcohol (PVA). However, in this method there are still some
problems to be circumvented related to protein stabilization. During the
inverted micelle phase of protein nanoencapsulation, hydrophobic interfaces are
expanded leading to interfacial adsorption followed by protein unfolding and
aggregation. Here, spectroscopic and immunological techniques were used to
ascertain the effects of the Hoffmeister series ions on Diphtheria toxoid (Dtxd)
stability during the inverted micelle phase. A correlation was established
between the salts used in aqueous solutions and the changes in Dtxd solubility
and conformation.
Dtxd α-helical content was quite stable what led us to conclude that
encapsulation occurred without protein aggregation or without exposition of
hydrophobic residues. Dtxd aggregation was 98 % avoided by the kosmotropic
PO
2-
4
. This ion was used to prepare a stable Dtxd and immunologically
recognized REVs-Chi-PVA formulation in the presence of 50 mM PO
4
2-
. Under
these conditions the Dtxd retained its immunological identity. Therefore, we
could obtain the maximum Dtxd solubility and stability after contact with
CH
3
CO
2
C
2
H
5
to begin its nanoencapsulation within ideal conditions. This was a
technological breakthrough because a simple solution like salt addition avoided
heterologous proteins usage (Rescia et al., 2009
a
). The stabilized protein was as
encapsulated within REVs as described.
Liposomes have been used as adjuvants since 1974 (Allison and
Gregoriadis, 1974). One major limitation for the use of liposomes in oral
vaccines is the lipid structure instability caused by enzyme activities. Our goal
was to combine liposomes which can encapsulate antigens (Dtxd, diphtheria
toxoid) with chitosan which protects the particles and promotes
mucoadhesibility. We employed physical techniques to understand the process
by which liposomes (SPC: Cho, 3:1) can be sandwiched with chitosan (Chi) and
stabilized by PVA (Poly-vinylic alcohol) which are biodegradable and
biocompatible polymers. Round and smooth surfaced particles of REVs-Chi
(Reversed phase vesicles sandwiched by Chi) stabilized by PVA were obtained.
The REVs encapsulation efficiencies (Dtxd was used as the antigen) were directly
dependent on the Chi and PVA present in the formulation. Chi adsorption on
REVs surface was accompanied by an increase of otential. In contrast, PVA
adsorption on REVs-Chi surface was accompanied by a decrease of potential.
The presence of Dtxd increased the Chi surface adsorption efficiency. The PVA
affinity by mucine was 2000 higher than that observed with Chi alone and did
not depend on the molecule being in solution or adsorbed on the liposomal
surface. The liberation of encapsulated Dtxd was retarded by encapsulation
within REVs-Chi-PVA. These results lead us to conclude that these new and
stabilized particles were to able to adsorb to intestinal surfaces, resisted
degradation and controlled the antigen release. Therefore, REVs-Chi-PVA
particles can be used as an oral delivery adjuvant (Rescia et al., 2009
b
).
Liposomes sandwiched by chitosan (REVs-Chi) as vehicles for oral vaccines
have been well characterized in our laboratory. These particles were designed to
be captured by mucus, to interact with oral surfaces and to withstand the
enzymes of the gastric transit. Three different formulations containing Dtxd
(diphtheria toxoid): REVs [reverse phase evaporation vesicles of SPC: Cho (3: 1)];
REVs-Chi (REVs sandwiched by chitosan) and REVs-Chi-PVA were used to
immunize mice. Through adhesibility assays and antibody anti-diphtheria
experiments we observed a direct correlation between particle complexity (free
antigen < REVs < REVs-Chi < REVs-Chi-PVA) and antibody production (IgA, IgG
1
and IgG
2a
) in all the assays (R= 0,91766- 0,99718). The most striking result was
the absence of IgA production in those mice immunized with the free antigen,
proving the excellence of the engineered particles. In addition to enhancement
of mucosal antibodies production, the formulations with Chi and PVA stimulated
both, humoral antibody production and selectivity. We have shown that it was
possible to establish a correlation between REVs-Chi/Dtxd and REVs-Chi-
PVA/Dtxd and the enhancement of mucosal immunity. These particles can be
used as a general vehicle for oral drug or vaccine delivery systems (Rescia et
al., 2009
c
).
Key words: Hoffmeister ions serie, protein stability, liposome, chitosan, particulate adjuvant,
vaccine vehicle, drug delivery.
LISTA DAS FIGURAS
FIGURA
PÁGINA
Figura 1
Formação de REVs.
40
Figura 2
Formação de REVs-Chi.
41
Figura 3
Efeito dos sais da série de Hoffmeister na solubilidade de Dtxd após
sonicação na presença de CH
3
CO
2
C
2
H
5
.
42
Figura 4
Efeito dos sais da série de Hoffmeister nas concentrações das
diferentes espécies moleculares de Dtxd após a sonicação.
44
Figura 5
Efeito dos sais da série de Hoffmeister sobre a identidade
imunológica de Dtxd.
45
Figura 6
Relação entre as intensidades de fluorescência a 350 e 330 nm das
amostras da fase aquosa de Dtxd após sonicação na presença de
acetato de etila e de sais.
46
Figura 7
Efeito de NaCl sobre a estrutura secundária do Dtxd durante a
sonicação em CH
3
CO
2
C
2
H
5
.
49
Figura 8
Efeito de KSCN sobre a estrutura secundária do Dtxd durante a
sonicação em CH
3
CO
2
C
2
H
5
.
50
Figura 9
Efeito de MgCl
2
sobre a estrutura secundária do Dtxd durante a
sonicação em CH
3
CO
2
C
2
H
5
.
51
Figura 10
Efeito de NaH
2
PO
4
sobre a estrutura secundária do Dtxd durante a
sonicação em CH
3
CO
2
C
2
H
5
.
52
Figura 11
Efeito da concentração dos sais da série de Hoffmeister no θ
196 nm
de
Dtxd.
53
Figura 12
Efeito da concentração dos sais da série de Hoffmeister no θ
222 nm
de
Dtxd.
53
Figura 13
Efeito da concentração dos sais da série de Hoffmeister no conteúdo
de hélice- de Dtxd.
55
Figura 14
Efeito da concentração dos sais da série de Hoffmeister no θ
260 nm
de
Dtxd.
55
Figura 15
Estrutura química geral da fosfatidilcolina (a), quitosana (b), PVA
(c).
59
Figura 16
Pontes de hidrogênio que se formam com quitosana em solução.
59
Figura 17
Pontes de hidrogênio que se formam com PVA em solução.
59
Figura 18
Estrutura química da Mucina.
61
Figura 19
Interação entre mucina e os polímeros quitosana e PVA.
62
Figura 20
Interação entre mucina e as diferentes formulações lipossomais.
63
Figura 21
Efeitos da temperatura, da concentração e do conteúdo de ácido
siálico da interação de mucina com REVs-Chi.
64
Figura 22
Efeitos da temperatura, da concentração e do conteúdo de ácido
siálico da interação de mucina com REVs-Chi.
65
Figura 23
Comparações entre as afinidades de Mu-III ou M-IS com Chi e PVA.
66
FIGURA
PÁGINA
Correlação entre mucina adsorvida e o potencial zeta das diferentes
partículas.
67
Fotografia de REVs, REVs-Chi e REVs-Chi-PVA por microscopia de
inversão de fase.
68
Fotografia de REVs-Chi-PVA por microscopia confocal.
69
Fotografias por microscopia eletrônica de transmissão das diversas
formulações.
70
Fotografia por microscopia eletrônica de REVs-Chi-PVA/Dtxd.
Fotografia da réplica obtida por criofratura (freeze-fracture) de REVs-
Chi-PVA/Dtxd.
70
Efeito da trealose na cinética de liberação de Dtxd encapsulado em
partículas de REVs-Chi-PVA.
72
Efeito da liofilização na cinética de liberação de Dtxd das partículas
de REVs-Chi-PVA/Dtxd.
73
Cinética de liberação de Dtxd das diferentes formulações.
74
Produção de IgA salivar contra Dtxd nas diferentes formulações.
77
Comparação entre as produções IgA salivar nas diferentes
formulações.
78
Correlação entre as produções de IgA salivar e a adsorções das
diferentes partículas com Mu-III.
78
Comparação entre as produções de IgA vaginal em resposta a
diferentes formulações administradas em via oral (A) e subcutânea
(B).
80
Correlação entre as produções de IgA vaginal e a adsorções das
diferentes partículas com Mu-III.
80
Títulos de IgG
1
nas diferentes formulações administradas em via oral
(A) e subcutânea (B).
82
Títulos de IgG
2a
nas diferentes formulações administradas em via oral
(A) e subcutânea (B).
83
Correlação entre a produção de IgA anti-Dtxd depois da dose de
reforço e a complexidade das formulações.
84
Correlação entre a produção de Figura IgG
1
anti-Dtxd depois da dose
de reforço e a complexidade das formulações.
85
Correlação entre a produção de IgG
2a
anti-Dtxd depois da dose de
reforço e a complexidade das formulações.
86
Distribuição de casos confirmados de difteria no Brasil entre 1997 e
2006 (Sinan/SVS/MS, 2007).
89
Efeitos de Chi e PVA no raio hidratação e na estrutura da bicamada de
REVs (SPC: Cho, 6:1).
99
LISTA DOS ESQUEMAS
ESQUEMA
PÁGINA
Esquema 1
Representação esquemática da estrutura da toxina diftérica.
48
LISTA DAS TABELAS
TABELA
PÁGINA
Tabela 1
Produtos lipossomais no Mercado.
21
Tabela 2
Produtos lipossomais em estudos clínicos.
22
Tabela 3
Efeito dos sais da série de Hoffmeister nas concentrações das
diferentes espécies moleculares de Dtxd após a sonicação.
43
Tabela 4
Tamanho dos REVs-Chi, potencial zeta e eficiência de encapsulação
de Dtxd.
56
Tabela 5
Características dos diferentes aminoácidos de Dtxd.
58
Tabela 6
Eficiência de polimerização interfacial nas diferentes formulações.
60
LISTA DE ABREVIATURAS
Chi
Quitosana ou chitosan
Cho
Colesterol
CLAE
Cromatografia líquida de alta eficiência
DMSO
Dimetilsulfóxido
DOC
Deoxicolato de sódio
Dtxd
Toxoide diftérico
FITC
Isoticianato de fluoroceína
IBu
Instituto Butantan
GUVs
Vesículas unilamelares gigantes
GOVs
Vesículas oligolamelares gigantes
HPLC
High Performance Liquid Chromatography
LUVs
Vesículas unilamelares grandes
MLVs
Vesículas multilamelares
Mu
Mucina
Mu-III
Mucina tipo III suína (1 % de ácido siálico)
Mu-IS
Mucina tipo II bovina (12 % de ácido siálico)
M
w
Massa molar media
OLVs
Vesículas oigolamelares
PVA
Álcool polivinílico
REV
Método de preparação de lipossomas por evaporação em fase reversa
REVs
Vesículas obtidas por evaporação em fase reversa
REVs-Chi
Vesículas obtidas por evaporação em fase reversa revestidas por quitosana
REVs-Chi-PVA
Vesículas obtidas por evaporação em fase reversa revestidas por quitosana e PVA
REVs/Dtxd
Vesículas obtidas por evaporação em fase reversa com Dtxd encapsulado
REVs-Chi/Dtxd
Vesículas obtidas por evaporação em fase reversa revestidas por quitosana com
Dtxd encapsulado
REVs-Chi-PVA/Dtxd
Vesículas obtidas por evaporação em fase reversa revestidas por quitosana e PVA
com Dtxd encapsulado
REVs-Chi-Tre
Vesículas obtidas por evaporação em fase reversa revestidas por quitosana com
trealose.
SC
Via subcutânea
SPC
Fofatidilcolina de soja
SUVs
Vesículas unilmelares pequenas
TEM
Microscopia de Transmissão Eletrônica
TMB
Tetrametilbenzdina
Tre
Trealose
Θ
Ângulo de medida de luz espalhada em relação ao feixe de luz incidente
W
Watts
ÍNDICE
1. INTRODUÇÃO............................................................................18
1.1. A quitosana..........................................................................22
1.2. PVA (poli álcool vinílico)...........................................................24
2. MATERIAIS E MÉTODOS................................................................26
2.1. Materiais..............................................................................26
2.2. Métodos...............................................................................27
2.2.1. Preparativos.....................................................................27
2.2.1.1. Ultraconcentração de Toxóide diftérico (Dtxd)......................27
2.2.1.2. Marcação Dtxd com isotiocianato de fluoresceína...................27
2.2.1.3. Preparo de lipossomas por Evaporação em Fase Reversa (REV)...28
2.2.1.3.1. Preparo de lipossomas unilamelares grandes (LUVs) vazios
através do método de Evaporação em Fase Reversa (REV)....28
2.2.1.3.2. Encapsulação de Dtxd em lipossomas unilamelares grandes
(LUVs) através do método de Evaporação em Fase Reversa
(REV)...................................................................28
2.2.1.3.3. Preparo de lipossomas unilamelares grandes (LUVs) vazios
revestidos com quitosana (Chi) através do método de
Evaporação em Fase Reversa (REV)...............................29
2.2.1.3.4. Encapsulação de Dtxd em lipossomas unilamelares grandes
(LUVs) revestidos com quitosana (Chi) através do método de
Evaporação em Fase Reversa (REV)...............................29
2.2.2. Analíticos .........................................................................30
2.2.2.1. Dosagem de proteínas......................................................30
a. Método de Lowry modificado.................................................30
b. CLAE..............................................................................30
2.2.2.2. Dosagem de proteína ELISA..............................................30
2.2.2.3. Dosagem de mucina.........................................................31
2.2.2.4.Dosagem de quitosana.......................................................31
2.2.2.5. Espectroscopia de fluorescência..........................................32
2.2.2.6. Espectroscopia de Dicroísmo circular....................................32
2.2.3. Caracterizações da Estabilidade de Dtxd durante as etapas de
preparação de REVs-Chi.........................................................32
2.2.3.1. Efeito dos sais da série de Hoffmeister na solubilidade de Dtxd
durante a formação de micelas reversas................................32
2.2.4.Caracterizações dos REVS-Chi (LUVs revestidas por quitosana) in
vitro.................................................................................33
2.2.4.1. Avaliação da eficiência de encapsulação de Dtxd......................33
2.2.4.2. Eficiência de polimerização interfacial de quitosana sobre REVs....33
2.2.4.3.Estudos de estabilidade das REVS-Chi em simulados de suco
strico e suco intestinal...................................................33
2.2.4.4. Tamanho dos REVs-Chi......................................................34
2.2.4.5. Potencial zeta................................................................34
2.2.4.6. Caracterização microscópica de REVs. ..................................34
2.2.4.6.1. Microscopia eletrônica de transmissão (TEM)......................34
2.2.4.6.2. Microscopia eletrônica de crio-fratura (freeze-fracture)........34
2.2.4.7. Interação mucina/quitosana...................................................35
2.2.4.8. Adsorção de REVs-Chi ou REVS-Chi-PVA à Mu- III.......................35
2.2.4.9. Efeito do conteúdo em ácido siálico de MuIII (1 %) e MuIS (12 %), da
temperatura e da concentração das mucinas na interação com
REVs-Chi ou REVs-Chi-PVA..................................................35
2.2.5. Estudos in vivo....................................................................36
2.2.5.1. Imunização....................................................................36
2.2.5.2. ELISA para quantificar anticorpo anti- Dtxd desenvolvido em
camundongo..................................................................36
3. RESULTADOS............................................................................38
3.1. Caracterizações da Estabilidade de Dtxd durante as etapas de preparação
de REVs-Chi...........................................................................38
3.1.1. Efeito da sonicação na conformação de Dtxd..............................38
3.1.2. Espectroscopia de fluorescência.............................................44
3.1.3. Espectroscopia de Dicroísmo circular.......................................46
3.2. Caracterizações dos REVS-Chi (LUVs revestidas por quitosana) in vitro...54
3.2.1. Tamanho dos REVs-Chi, potencial zeta e avaliação da eficiência de
encapsulação de Dtxd.......................................................54
3.2.2. Eficiência de polimerização interfacial de quitosana............... .57
3.2.3. Propriedade mucoadesiva das partículas...............................59
3.2.3.1. Interação mucina/quitosana e mucina/PVA........................59
3.2.3.2. Adsorção de mucina aos REVs-Chi ou REVS-Chi-PVA...............61
3.2.4. Microscopias eletrônicas das REVs.......................................66
3.2.5. Estudos de estabilidade das REVS-Chi ..................................68
3.2.5.1. Estudos de estabilidade das REVS-Chi..............................68
3.2.5.2. Estudos de estabilidade das REVS-Chi em simulados de suco
gástrico e suco intestinal.............................................72
3.3. Estudos in vivo..................................................................73
3.3.1. Ensaios Biológicos..........................................................73
4. DISCUSSÃO...........................................................................85
5. CONCLUSÕES E PERSPECTIVAS FUTURAS.....................................102
6. REFERÊNCIAS BIBLIOGRÁFICAS..................................................104
18
1. Introdução
Lipossomas são partículas coloidais formados por uma membrana
composta por fosfolipídeos que se auto-associam e encapsulam parte do sistema
aquoso no qual estão dispersos (LASIC e PAPAHADJOPOULOS, 1998). Os
fosfolipídeos contêm duas cadeias hidrocarbônicas que constituem a porção
hidrofóbica ou apolar da molécula e a porção hidrofílica ou polar da molécula,
formada pelo glicerol, grupo fosfato e a colina. Moléculas hidrofílicas podem
sem encapsuladas no compartimento aquoso do lipossoma e moléculas
hidrofóbicas podem se inserir na bicamada fosfolipídica (VRIES, MARK e
MARRINK, 2004; POLOZOVA et alii, 1999; LASIC, 1998). Podem ser classificados:
quanto ao tamanho, método de preparação ou número de lamelas (uma lamela é
constituída de uma bicamada de fosfolipídeos). Lipossomas multilamelares (MLV
- multilamelar vesicles), também chamados de oligolamelares (OLV -
oligolamelar vesicles), possuem um diâmetro médio que varia geralmente de 400
nm a alguns micrômetros. Lipossomas unilamelares são definidos em dois grupos:
grandes (LUV - large unilamelar vesicles) com diâmetros entre 80 nm e 1 µm e
pequenos (SUV - small unilamelar vesicles) com diâmetros variando entre 20 e 80
nm. Também existem os lipossomas gigantes unilamelares (GUV - giant
unilamelar vesicles) ou oligolamelares (GOV - giant oligolamelar vesicles) com
diâmetros superiores a 1 µm, podendo chegar a dezenas de micrômetros
(LASIC e
PAPAHADJOPOULOS, 1998). Outra classificação usada para os lipossomas está de
acordo com sua composição e aplicação: convencionais, de longa circulação,
19
direcionados, fusogênicos, polimerizados, elásticos, magnetolipossomas e
quitossomas (DELATTRE et alii, 1993).
A primeira proposta para uso de lipossomas como veículo de transporte de
drogas foi em 1971, por Gregoriadis
(GREGORIADIS e RYMAN, 1971). Atualmente
existem muitas técnicas de preparo de lipossomas, muitas das quais são
escalonáveis para produção em larga escala. Por causa da grande variedade de
lipossomas (tamanhos, composição, modos de preparação) e das facilidades de
manipulações existem várias propostas de formulações onde diferentes drogas
são encapsuladas. Podem ser formulados como suspensão, seco, aerossol,
creme ou loção e, praticamente, todas as vias de administração podem ser
usadas
(LASIC e PAPAHADJOPOULOS, 1998). Muitas das formulações são
licenciadas (Tabela 1) (Drugs@FDA, 10/04/2007; PATEL, PATEL e PATEL 2006;
PRESTIDGE, BARNES e ER 2005; FELNEROVA et alii, 2004; VERMA e GARG, 2001),
outras estão em estudos clínicos (Tabela 2)
(PRESTIDGE, BARNES e ER 2005;
FELNEROVA et alii, 2004) e inúmeras em fase de desenvolvimento.
O sucesso dos lipossomas como veículo de transporte de drogas no
tratamento de doenças como câncer, infecções crônicas, vacinas e doenças
autoimunes (Drugs@FDA, 10/04/2007; PATEL, PATEL e PATEL 2006; PRESTIDGE,
BARNES e ER 2005; FELNEROVA et alii, 2004; VERMA e GARG 2001, LASIC e
PAPAHADJOPOULOS, 1998) vêm do fato de que, através da encapsulação,
redução da toxicidade sistêmica em relação à droga e aumento do índex
terapêutico (com isto pode-se diminuir o número de doses para se atingir o
mesmo objetivo). Além disso, também aumento de estabilidade da própria
droga, uma vez que ela está encapsulada.
20
Tabela 1. Produtos lipossomais no Mercado.
Nome de fantasia
Princípio ativo
Doença relacionada
Companhia
Ano de
aprovação
Doxil
TM
or
Caelyx
TM
Doxorubicina
Sarcoma de Kaposi
SEQUUS, USA
1995
DaunoXome
TM
Daunorubicina
Sarcoma de Kaposi,
Câncer de mama e de
pulmão
NeXstar, USA
1996
Myocet/Evacet
Doxorubicina
Metástase de Câncer de
mama
Liposome
2000
Ambisome
TM
Amphotericina-B
Infecção por fungos,
Leishmaniaose
The liposome
Company
1997
Amphotec
TM
Amphotericina-B
Infecção por fungos,
Leishmaniaose
SEQUUS, USA
1997
Fungizone®
Amphotericina-B
Infecção por fungos,
Leishmaniose
Bristol-Squibb,
Netherland
1971
Abelcet
Amphotericina-B
Infecção por fungos,
Leishmaniose
Enzon
1995
ALEC
TM
DPPC-PG liofilizado e livre de
proteínas
Surfactante pulmonar
para prematuros
Britannia Pharm, UK
1988
Topex-Br
Sulfato de Terbutalina
Asma
Ozone, USA
2006
Depocyt
Cytarabina
Quimioterápico contra
Câncer
Skye Pharm, USA
1999
Novasome
®
Vacina contra varíola
Varíola
Novavax, USA
1999
Avian retrovirus
vaccine
Retrovirus aviário morto
Varíola
Vineland lab, USA
Epaxal
®
Berna
Vaccine
Capsídeo do Virus da
hepatite-A + hemaglutininas,
neuraminidases de influenza+
lipídeos
Hepatite A
Berna Biotecnology
1994
Inflexal
®
V
Virosomas da influenza
(hemaglutininas,
neuraminidases, lipídeos)
Influenza
Berna Biotecnology
1999
Doxil
®
Doxorubicina-HCl
Câncer refratário de
ovário
ALZA, USA
1995
Evacet
TM
Doxorubicina
Metástase de Câncer de
mama
The liposome
company, USA
2000
VincaXome
Vincristine
Tumores sólidos
NeXstar, USA
Mikasome
®
Amikacin
Infecção bacteriana
NeXstar, USA
Autragen
TM
Tretinoin
Sarcoma de Kaposi
Aronex
Pharm, USA
1993
Survanta
®
Surfactante pulmonar
Surfactante pulmonar
para prematuros
Ross Labs
1991
Nyotran
TM
Nystatin
Infecção sistêmica
causada por fungos
Aronex Pharm, USA
Os lipossomas também têm uma ação adjuvante em vacinas (RAO e
ALVING, 2000), fenômeno descrito pela primeira vez em 1974 por Allison e
Gregoriadis
(ALLISON e GREGORIADIS, 1974). No campo de vacinologia, a
integração de proteínas funcionais do envelope viral nos lipossomas levou a um
produto chamado de virosoma, um excelente veículo para co-encapsulação de
vacinas de subunidades (proteínas purificadas), com excelente imunogenicidade
21
e tolerabilidade
(FELNEROVA et alii, 2004). Entretanto, os lipossomas não
resistem à ação dos sais biliares e das enzimas do trato gastrointestinal
reduzindo, portanto, o seu uso em veiculação de vacinas orais. necessidade
do uso de lipídeos polimerizáveis ou outros polímeros que recubram a sua
superfície externa.
Neste projeto, pretende-se usar quitosana para fazer um revestimento
(interno e externo) de lipossomas de fosfolipídeos naturais.
Tabela 2. Produtos lipossomais em estudos clínicos.
Nome de fantasia
Principia ativo
Doença relacionada
Companhia
Fase do
estudo clinico
VincaXome
Vincristina (onco-TCS)
Tumores sólidos
Innex Pharmaceutical
III (2005)
Nyotran
TM
Nystatin
Infecção sistêmica
causada por fungos
Aronex Pharm, USA
III (2005)
Doxorubicina
Câncer de mama
NeoPharm/Pharmacia
III (2005)
Paclitaxel
Câncer de mama
NeoPharm/Pharmacia
II e III (2005)
Platinum
Câncer de pulmão
Aronex Pharm, USA
II (2005)
Vacina BLP 25
Câncer de pulmão
(NSCLC)
Biomira
IIb (2005)
Inibidor da topoisomerase
Câncer de pulmão
(SCLC)
OSI Pharmaceuticals
II (2005)
Ácido retinóico all-trans
Linfoma NHL
Antigenics, Inc.
II (2005)
Daunorubicina
Linfoma NHL
NeXtar
II (2005)
Inibidor da topoisomerase
Câncer de ovário
Gilead Sciences
II (2005)
Doxorubicina
Câncer de próstata
NeoPharm/Pharmacia
III (2005)
14 Endonuclease V (14NS)
Câncer de pele
AGI Dermatics
Application
submitted
Allovectin
HLA-B e DNA plasmídeo de
microglobulina- -2
Câncer de cabeça e
pescoço
Vical
II (2004)
DNA-plasmídeo de
interleucina 2
Câncer de próstata e
rim
Vical
II (2004)
Lerafon
Anti-senso toraf-1
Leucemia
NeoPharm
I (2004)
Mitoxanthrone
Outros cânceres
NeoPHarm
II (2004)
Myocet combinado com ATB
Câncer de bexiga
Liposome
III (2004)
Éter lipídico lipossomal
Câncer de bexiga
Liposome
I (2004)
TLC ELL 12
Câncer de próstata, de
cabeça e de pulmão
Élan Pharm
I (2004)
Aroplatina
Câncer de pulmão e de
pâncreas
Aroronex Pharm
I e II (2004)
22
1.1. A quitosana
Quitosana, -(1-4)-amino-2-deoxy- -D-glucan (Chi), é a forma
desacetilada da quitina, um polissacarídeo natural, presente nas carapaças de
crustáceos. Esta macromolécula é um carregador ou veiculador de drogas ideal
por causa das suas características intrínsecas tais como, carga positiva,
biodegradabilidade, biocompatibilidade, atoxicidade e uma estrutura linear
rígida
(OTAKE et alii, 2006; KO et alii, 2003; LEE et alii, 2003; HEJAZI e AMIJI,
2002; VAN DER LUBEN et alii, 2001) Além disto, tem atividade antimicrobiana, é
um produto de baixo custo e é disponível em alta escala (MARTINO, SITTINGER e
RISBUD, 2005; HUANG et alii, 2005
a
; KHOR e LIM, 2003; MADIHALLY e MATTHEW,
1999). Isto seria extremamente útil no desenvolvimento de produtos voltados à
Saúde Pública em geral. Combinando-se as características estruturais dos
lipossomas e da quitosana, pode-se obter um veículo transportador de drogas de
liberação controlada, resistente ao trato gastrointestinal. Muitos investigadores
exploraram a alta afinidade da quitosana por membranas usando derivados ou
não de quitosana como revestidores de lipossomas (WU et alii, 2004; RENGEL et
alii, 2002; TAKEUCHI, YAMAMOTO E KAWASHIMA, 2001; FILIPOVIC-GRCIC,
SKALKO-BASNET e JALSENJAK, 2001). Outras propostas de formulações usam
partículas pré-formadas de quitosana e as revestem com lipossomas obtidos
através de evaporação de fase reversa (REVs) (JAIN, SHARMA e VYAS, 2006). Na
maioria das formulações descritas a polimerização interfacial da
quitosana/lipossomas se faz através de vesículas pré-formadas, mas todos com a
mesma intenção que é a de se estabilizar a emulsão (GUZEY e McCLEMENTS,
2007; HARNSLAWAT, PONGSAWATMANIT e McCLEMENTS, 2006; AOKI, DEKER e
23
McCLEMENTS, 2005; GU, DEKER e McCLEMENTS, 2005; KLINKESORN et alii, 2005
a
;
2005
b
; OGAWA, DEKER e McCLEMENTS, 2003) além de se funcionalizar as
propriedades superficiais dos lipossomas (FENG, RUAN e LI, 2004; CASTRO et alii,
2005 e SANDOVAL et alii, 2005). Sabe-se, da literatura, que a quitosana tem
propriedades mucoadesivas, que favorece um contacto íntimo e extenso entre as
partículas e as lulas intestinais, aumentando assim a absorção, no caso de
drogas (WAWREZINIECK et alii, 2008) ou no caso de vacinas (MARÓN et alii,
2007) o tempo de residência das partículas e, portanto a estimulação de células
imuno-competentes (ZARU et alii, 2009).
Muitos dos processos usam partículas lipossomais obtidas por métodos em
que os lipossomas estão muito diluídos e, portanto, sua proposta de formulação
farmacêutica fica prejudicada. Existe um método descrito
(MERTINS et alii,
2005) em que são produzidos REVs de fosfolipídeos naturais contendo Chi nas
superfícies interna e externa. A vantagem deste método é que o soluto e a
quitosana podem ser diluídos na fase aquosa e, portanto, o processo de
encapsulação se faz em uma etapa. Recentemente, descrevemos pela
primeira vez na literatura
(MARÓN et alii, 2007), algumas características da
encapsulação de Dtxd (toxóide diftérico) em REVs recobertos por Chi (REVs-Chi)
usando-se como fosfolipídeos a fosfatidilcolina de soja (SPC). O interesse em se
obter este tipo de veículo é o de obter um adjuvante para administração oral de
vacinas.
Uma das limitações destas partículas lipossomais revestidas por quitosana,
as REVs-Chi, é que se observa agregação das partículas (MARÓN et alii, 2007).
Uma das soluções possíveis para corrigir esta agregação seria o uso de um
24
surfactante, como o poli álcool vinílico (PVA), para se estabilizar as partículas de
REVs-Chi.
1.2. PVA (poli álcool vinílico)
O poli álcool vinílico (PVA) é um polímero sintético solúvel em água,
atóxico, altamente hidrofílico, biodegradável, biocompatível (YOU et alii, 2007)
e, por isso, amplamente estudado para aplicações biomédicas.
O PVA é muito estudado em enxertos poliméricos, por causa de suas
propriedades mecânicas (LIU et alii, 2009) e, em veiculação de drogas (KURKURI
e AMINABHATI, 2004). Houve muitos esforços na literatura de polímeros para se
modificar a estrutura básica de Chi misturando-a com outros polímeros, como o
PVA, (JAVALKAR, et alii, 2007; SMITHA, SRIDAR e KHAN, 2004; SMITHA, SRIDAR e
KHAN, 2005) para melhorar as suas propriedades. Além da mistura, no sentido
exato, de Chi e PVA, os polímeros poderiam ser usados separadamente ou ainda
através dos produtos como enxertos do co-polímero como também reticulados ou
entrelaçados formados quimicamente. Existem resultados onde o PVA e a Chi se
misturam perfeitamente (KIM, PARK e KIM, 2003; SRINIVASA, et alii, 2003), mas
são contestados por outros que sugerem que não se forma uma mistura porque
Chi e PVA não são compatíveis molecularmente (CHUANG et alii, 1999; YANG et
alii, 2004). Entretanto existem muitos outros trabalhos na literatura que
concluem que a mistura é compatível, dependendo mais do método de preparo e
da composição da mistura (COSTA-JÚNIOR, PEREIRA e MANSUR, 2009).
25
Neste trabalho, o PVA será adicionado às REVs-Chi e, portanto, a
discussão se mistura ou não com Chi não é necessária neste momento. O que nos
interessa é que ele interaja e revista os REVs-Chi, impedindo as interações inter-
partículas seguidas por agregações.
O objetivo desta dissertação foi a produção e caracterização de partículas de
REVs-Chi e REVs-Chi-PVA (REVs-Chi revestidas com poliálcool vinílico), com uma
nova composição de REVs para uso em veículo de administração oral de vacinas.
As partículas foram caracterizadas através de métodos físico-químicos e
imunológicos. A proteína encapsulada foi o toxóide diftérico (Dtxd) que também
foi caracterizado estruturalmente. Foram realizados ensaios biológicos para se
acompanhar a produção de anticorpos (IgA, IgG
1
, IgG
2a
) em camundongos
imunizados com REVs-Chi e REVs-Chi-PVA.
26
2. Materiais e métodos
2.1. Materiais
O Dtxd (toxóide diftérico) e anti-soro diftérico padrão desenvolvido em
cavalo, foram gentilmente doados pela Divisão de Produção e Controle de
Qualidade do Instituto Butantan. Fosfatidilcolina de soja (SPC), desoxicolato de
sódio (DOC) foram obtidos da Avanti Polar Lipids. Sephadex G25 e Tween 80
foram obtidos da GE Healthcare. Colesterol (Cho), quitosana (Chi, 70 kDa),
álcool polivinílico (PVA, Mw 127 kDa), isotiocianato de fluoresceína (FITC) e
mucinas (tipo I-S e tipo III) foram obtidos da Sigma-Aldrich Chemical Co (USA).
Tetrametilbenzidina (TMB) foi comprada da Polysciences. Acetato de etila, ácido
periódico, fuccsina básica, metabisulfito de sódio, dimetilsulfóxido (DMSO)
foram obtidos da Merck. Conjugados anti-IgA, anti-IgG
1
,
anti-IgG
2a
ligados a
peroxidase foram obtidos da BD Pharmingen. Ósmio, uranila e óxido de propileno
foram adquiridos da EM Sciences (EUA). Membranas YM30 e DIAFLO, filtros de
policarbonato de poro 0,45 μm foram adquiridos da Millipore, coluna de filtração
em gel [QC-PAK GFC 300 (7,8 mm x 15 cm, Vt = 7,17 mL)] da Shimadzu. Todos os
outros sais e solventes utilizados foram de grau analítico. Animais: camundongos
geneticamente selecionados de alta produção de anticorpos, Linhagem H
III
foram
doados pelo Laboratório de Imunogenética do Instituto Butantan. Camundongos
BalB-C foram mantidos pelo biotério central do IBu. Os seguintes equipamentos
foram utilizados: Ultraconcentrador AMICON (modelos 8050 e 8010),
27
Espectrofotômetro UV/Visível Ultrospec 2000 - Pharmacia Biotech, Leitor de
ELISA Titerteck Multiskan MCC/ 340, Sistema CLAE Shimadzu, modelo LC- 10VP
equipado com detector de UV, modelo SCL- 10AVP, espectrofluorímetro HITACHI
F 2000, espectropolarímetro de dicroísmo circular Jasco- 810 (CD). Aparelho de
espalhamento de luz (Zeta Pals- Brookhaven), microscópio de inversão de fases
Nikon-TMS com câmera acoplada Nikon Fx35WA, sonicador de sonda Branson,
modelo 450, evaporador rotatório Tecnal, TE- 210, microscópio de transmissão
eletrônica (TEM) LEO modelo 906E e microscópio Confocal LSM 510 META,
microscópio eletrônico JEOL 100 CX, processador de criofraturas JEOL JED- 9000.
2.2. Métodos
2.2.1. Preparativos
2.2.1.1. Ultraconcentração de toxóide diftérico (Dtxd): O toxóide diftérico
foi submetido à ultraconcentração no aparelho AMICON (modelos 8050 e 8010).
Foi usado o método de Lowry para dosar a concentração de proteína.
2.2.1.2. Marcação Dtxd com isotiocianato de fluoresceína:
Resumidamente, uma solução de FITC em DMSO a 1 mg/mL (5 mL),
recentemente preparada, foi adicionada lentamente e sob agitação a uma
solução de Dtxd (10 mL) a 5 mg/mL em carbonato de sódio 100 mM, pH 9,0. Para
cada mg de proteína foram adicionados 50 μL da solução do marcador. A reação
foi deixada ao abrigo da luz por 8 horas a 4
o
C. Foram adicionados 312,5 μL de
28
NH
4
Cl (concentração final de 50 mM). A reação foi incubada por 2 horas a 4
o
C. O
corante não ligado foi separado por cromatografia em minicolunas de Sephadex
G25 (FRY, WHITE e GOLDMAN, 1978). Controle do processo: relação entre Abs
495
nm
(FITC) (PERFETTO, CHATTOPADHYAY e ROEDERER, 2004; DALY e McGRATH,
2003; McGRATH e DALY, 2003; McGRATH, ARRIBAS e DALY, 1996) e Abs
280 nm
(PETERSON, 1977).
2.2.1.3. Preparo de lipossomas por Evaporação em Fase Reversa (REV)
2.2.1.3.1. Preparo de lipossomas unilamelares grandes (LUVs) vazios
através do método de Evaporação em Fase Reversa (REV): adicionaram-se
lentamente e sob agitação constante, 200 μL de em tampão fosfato 50 mM, pH
4,5 a 10 mL de uma solução de SPC: Cho (relação de 3: 1) em acetato de etila. A
suspensão foi sonicada a uma potência virtual de 40 W, por 4 minutos. O
organogel foi formado usando-se um evaporador rotatório, sob vácuo de 15
hg/cm
2
e à temperatura de 35
o
C. As vesículas foram lavadas 3 vezes com água
desionizada através de centrifugação a 2 000 g O precipitado foi ressuspendido
em tampão fosfato 50 mM, pH 4,5 (REVs) (MARÓN et alii, 2007 e MERTINS et alii,
2005).
2.2.1.3.2. Encapsulação de Dtxd em lipossomas unilamelares grandes
(LUVs) através do método de Evaporação em Fase Reversa (REV):
adicionaram-se lentamente e sob agitação constante, 200 μL de em tampão
fosfato 50 mM, pH 4,5 e Dtxd (12 mg) a 10 mL de uma solução de SPC: Cho
(relação molar de 3: 1) em acetato de etila. A suspensão foi sonicada a uma
29
potência virtual de 40 W, por 4 minutos. O organogel foi formado usando-se um
evaporador rotatório, sob vácuo de 15 hg/cm
2
e à temperatura de 35
o
C. As
vesículas foram lavadas 3 vezes com água desionizada através de centrifugação a
2 000 g. O conteúdo de Dtxd não encapsulado foi medido por Lowry ou CLAE
(cromatografia líquida de alta eficiência). O precipitado foi ressuspendido em
tampão fosfato 50 mM, pH 4,5 (REVs/Dtxd) (MARÓN et alii, 2007).
2.2.1.3.3. Preparo de lipossomas unilamelares grandes (LUVs) vazios
revestidos com quitosana (Chi) através do método de Evaporação em Fase
Reversa (REV): adicionaram-se lentamente e sob agitação constante, 200 μl de
quitosana a 0,5 % em tampão fosfato 50 mM, pH 4,5 a 10 mL de uma solução de
SPC: Cho (relação molar de 3: 1) em acetato de etila. A suspensão foi sonicada a
uma potência virtual de 40 W, por 4 minutos. O organogel foi formado usando-se
um evaporador rotatório, sob vácuo de 15 hg/cm
2
e à temperatura de 35
o
C. A
formulação final foi a seguinte 221: 73: 1 (relação molar de SPC: Cho: Chi,
respectivamente). Os REVs-Chi foram lavados 3 vezes com água desionizada
através de centrifugação a 2 000 g. O precipitado foi ressuspendido em tampão
fosfato 50 mM, pH 4,5 (REVs-Chi) ou em PVA 1 % (REVs-Chi-PVA) em H
2
O
desionizada, pH 4,5 (MARÓN et alii, 2007, MERTINS et alii, 2005).
2.2.1.3.4. Encapsulação de Dtxd em lipossomas unilamelares grandes
(LUVs) revestidos com quitosana (Chi) através do método de Evaporação em
Fase Reversa (REV): adicionaram-se lentamente e sob agitação constante, 200
μl de quitosana a 0,5 % em tampão fosfato 50 mM, pH 4,5 e 12 mg de Dtxd a 10
mL de uma solução de SPC: Cho (relação molar de 3: 1) em acetato de etila. A
30
suspensão foi sonicada a uma potência virtual de 40 W, por 4 minutos. O
organogel foi formado usando-se um evaporador rotatório, sob vácuo de 15
hg/cm
2
e à temperatura de 35
o
C. A formulação final foi a seguinte 221: 73: 1
(relação molar de SPC: Cho: Chi, respectivamente). Os REVs-Chi foram lavados 3
vezes com água desionizada através de centrifugação a 2 000 g. O precipitado foi
ressuspendido em tampão fosfato 50 mM, pH 4,5 (REVs-Chi/Dtxd) ou em PVA 1 %
(REVs-Chi-PVA/Dtxd) em H
2
O desionizada. A quantidade de Dtxd não
encapsulada foi medida nos sobrenadantes através do método de Lowry
modificado ou por CLAE (MARÓN et alii, 2007).
2.2.2. Analíticos
2.2.2.1. Dosagem de proteínas
a. Método de Lowry modificado: as amostras foram analisadas por
adaptação do método de Lowry modificado (PETERSON, 1977).
b. CLAE: as amostras foram analisadas também por filtração em gel [coluna
QC-PAK GFC 300 (7,8 mm x 15 cm, Vt = 7,17 mL)] em sistema de CLAE da
Shimadzu (modelo LC- 10VP equipado com detector de UV, modelo SCL- 10AVP),
conforme método desenvolvido neste laboratório (CAMPANA et alii, 2004).
2.2.2.2. Dosagem de proteína ELISA: Foi adaptado de acordo com o
adaptado e modificado em nosso laboratório (NAMUR et alii, 2004). O Dtxd:
amostras do toxóide diftérico foram adicionadas às placas de ELISA e depois de 2
31
horas foram bloqueados com solução de leite desnatado a 10 %. Depois de 30
minutos, foi adicionado um anticorpo IgG específico (desenvolvido nos
camundongos) aos pocinhos. Trinta minutos após foi adicionado o conjugado
anti-camundongo-peroxidase e depois de mais 30 minutos, o substrato. Depois
de 15 minutos à temperatura ambiente, a reação foi interrompida com H
2
SO
4
1M. A absorbância foi lida automaticamente a 450 nm num leitor de ELISA
Titerteck Multiskan MCC/340.
2.2.2.3. Dosagem de mucina: As amostras contendo mucina livre foram
submetidas ao mesmo tratamento usado para se efetuar a curva padrão. Curva
padrão: Foram adicionados 2 mL de solução estoque de mucina (0,125; 0,250;
0,375; 0,5 mg/mL) a 200 μL de ácido periódico seguido por incubação a 37
o
C,
por 2 horas. Foram então adicionados 200 μL de reagente de Schiff. Depois de 30
minutos à temperatura ambiente as amostras foram lidas a 555 nm (HE, DAVIS e
ILLUM, 1998).
2.2.2.4. Dosagem de quitosana: As amostras contendo quitosana livre
foram submetidas ao mesmo tratamento usado para se efetuar a curva padrão.
Tomaram-se amostras de volumes conhecidos (15, 30, 45, 60, 80, 100, 150, 200 e
250 μL) de quitosana e completaram-se os volumes para 300 μL de solução.
Foram adicionadas então, alíquotas de 3 mL do marcador Cibacrom brilhante
vermelho 3B-A (0,075 g/L em glicina-HCl 0,1 M, pH 3,2). Controles: adicionaram-
se 300 μL de tampão a 3 mL do corante. As amostras foram lidas a 575 nm
(MUZZARELLI, 1998).
32
2.2.2.5. Espectroscopia de fluorescência: As fluorescências intrínsecas do
Dtxd foram medidas em espectrofluorímetro HITACHI F 2000. A excitação da
amostra foi a 280 nm e a emissão foi medida de 300 a 400 nm.
2.2.2.6. Espectroscopia de Dicroísmo circular (CD): Os espectros de CD
foram realizados em um espectropolarímetro JASCO J-810 sob fluxo de
nitrogênio, em uma cubeta de 1 cm de caminho óptico a 25
o
C. A percentagem
de estrutura em hélice-α foi calculada de acordo com o descrito na literatura
(GREENFIELD e FASMAN, 1969).
2.2.3. Caracterizações da Estabilidade de Dtxd durante as etapas de
preparação de REVs-Chi.
2.2.3.1. Efeito dos sais da série de Hoffmeister na solubilidade de Dtxd
durante a formação de micelas reversas: o Dtxd foi diluído a uma concentração
final de 5 mM em KSCN, NaH
2
PO
4
, NaCl ou MgCl
2
em concentrações de 0 a 150
mM de sal (0, 10, 30, 50, 70, 90, 100 e 150 mM). Adicionaram-se 2 mL de cada
solução de Dtxd 5 mM nas diferentes concentrações dos sais a 8 mL de acetato
de etila, em seguida foram sonicadas por 4 minutos a uma potência virtual de 40
W. Após a sonicação as amostras foram centrifugadas a 2 000 g por 10 minutos e
as fases aquosas foram retiradas e analisadas por absorbância a 269 nm em
sistema de CLAE (cromatografia líquida de alta eficiência), espectroscopia de
fluorescência, CD e por ELISA.
33
2.2.4.Caracterizações dos REVS-Chi (LUVs revestidas por quitosana) in
vitro.
2.2.4.1. Avaliação da eficiência de encapsulação de Dtxd: Foi medida
indiretamente através de dosagem de proteína nas águas de lavagens da
formulação (vide o método de preparo de REVs-Chi).
2.2.4.2. Eficiência de polimerização interfacial de quitosana sobre REVs:
As formulações preparadas (REVs, REVs-Chi, REVs-Chi/Dtxd e REVs-Chi-
PVA/Dtxd) foram lavadas em tampão fosfato 50 mM, pH 4,5. Tomaram-se os
sobrenadantes que foram, então, dosados quanto ao teor de Chi livre. A
dosagem de Chi foi adaptada de método descrito (MUZZARELLI, 1998). Chi
adicionada no processo de produção de REVs-Chi menos Chi medida livre é igual
à Chi adsorvida.
2.2.4.3. Estudos de estabilidade das REVS-Chi em simulados de suco
gástrico e suco intestinal: as amostras de REVs-Chi contendo ou o o toxóide
diftérico (Dtxd) foram incubadas com simulados de suco gástrico (0,2 % de NaCl
e 0,7 % de HCl, pH em 1,2) ou suco intestinal (0,68 % de KHPO
4
e 19 % de NaOH
0,2 M, pH em 7,5) sob agitação constante a 37
o
C. A intervalos regulares foram
retiradas alíquotas para análises de proteína no sobrenadante (JAIN, SHARMA e
VYAS, 2006).
34
2.2.4.4. Tamanho dos REVs-Chi: Foram medidos usando um aparelho de
espalhamento quase-elástico de luz (QELS) modelo Brookhaven Zeta Pals (JAIN,
SHARMA e VYAS, 2006 e FANG et alii, 2001).
2.2.4.5. Potencial zeta: Para a determinação do tamanho das partículas de
lipossomas, REVs, REVS-Chi e REVs-Chi-PVA foram diluídos em 3 mL de água.
Após filtração em membrana de 0,45 μm, cada amostra foi lida 5 vezes (JAIN,
SHARMA e VYAS, 2006 e HUANG et alii, 2005
b
) em aparelho Brookhaven - Zeta
Pals.
2.2.4.6. Caracterização microscópica de REVs.
2.2.4.6.1. Microscopia eletrônica de transmissão (TEM): para avaliação
da morfologia das REVs, REVs-Chi e REVs-Chi-PVA utilizou-se a Microscopia
Eletrônica de Transmissão (TEM). A amostra foi centrifugada e depois fixada com
solução de glutaraldeído 2 %, acetato de ósmio 2 % e acetato de uranila 1 %. Em
seguida, desidratou-se com álcool, adicionou-se óxido de propileno, colocou-se
em forma para inclusão e fizeram-se cortes de 400 nm (semi-fino) para prova e
de 70 nm (fino) para colocar em tela. Corou-se com acetato de chumbo e
acetato de uranila. Fotografou-se o material (aumentos de 12.000 vezes, 27.000
vezes e 60.000 vezes) em microscópio de transmissão eletrônica (TEM) LEO
modelo 906E.
2.2.4.6.2. Microscopia eletrônica de crio-fratura (freeze-fracture): Para
microscopia eletrônica de crio-fratura as amostras foram crio-fixadas em
35
propano congelado por nitrogênio líquido. O processo de fratura foi feito no
equipamento JEOL JED-9000 e depois, as amostras foram recobertas com prata e
carbono e limpas com ácido nítrico e uma mistura clorofórmio/metanol (1: 1) e
analisadas no microscópio eletrônico JEOL 100 CX.
2.2.4.7. Interações mucina/quitosana e mucina/PVA: soluções estoques (2
mg/mL) de quitosana, PVA (como controle de adsorção) e mucina (tipo III) foram
preparadas em tampão fosfato 10 mM, pH 4,5. Foram preparadas amostras em
razões diferentes de mucina: Chi (1: 3; 1: 1; 3: 1 e 9: 1) ou mucina: PVA (1: 3; 1:
1; 3: 1 e 9: 1). A seguir, foram incubadas sob agitação por 30 minutos e foram
medidas as absorbâncias a 500 nm. Controles: mediram-se as absorbâncias da
mucina e dos polímeros individualmente (HE, DAVIS e ILLUM, 1998).
2.2.4.8. Adsorção de REVs-Chi ou REVS-Chi-PVA à Mu- III: volumes iguais
de REVs-Chi ou REVs-Chi-PVA foram adicionados, sob forte agitação, a volumes
iguais de uma solução de mucina (Mu- III) a 0,5 mg/mL. A seguir, as amostras
foram incubadas por 60 minutos a temperatura ambiente. A suspensão foi
centrifugada 2 000 g, por 20 minutos. Os sobrenadantes foram usados para se
determinar o conteúdo de mucina livre (RENGEL et alii, 2002).
2.2.4.9. Efeito do conteúdo em ácido siálico de MuIII (1 %) e MuIS
(12%), da temperatura e da concentração das mucinas na interação com
REVs-Chi ou REVs-Chi-PVA: foram preparadas soluções aquosas de mucina (Mu-
III e Mu-IS) com diferentes concentrações (0,025; 0,05; 0,1; 0,2 e 0,5 mg/mL).
Adicionaram-se 5 mL de REVs-Chi e REVs-Chi-PVA a 5 mL das soluções de Mu-III
36
ou Mu-IS. Incubaram-se as amostras, sob agitação, a 25 ºC ou 37 ºC por 2 horas.
Após a incubação, as dispersões foram centrifugadas a 2 000 g por 2 minutos.
Quantificou-se mucina livre nos sobrenadantes (HE, DAVIS e ILLUM, 1998).
2.2.5. Estudos in vivo.
2.2.5.1. Imunização: foram imunizados 9 grupos (5 animais em cada) de
camundongos do tipo Balb-C de 2-3 meses de idade (18- 20 g). Eles receberam
5 μg de toxóide diftérico por via oral ou subcutânea. As amostras de sangue
foram colhidas no sistema plexo retro-orbital dos animais em intervalos pré-
determinados (10º, 28º, 38º e 56º dias depois da primeira imunização) e medidas
as produções IgG
1
e IgG
2a
mediante ensaios de ELISA. No 30º dia administraram-
se uma dose de reforço de 5 μg de Dtxd livre ou veiculada nas diferentes
formulações Semanalmente foram colhidas amostras de lavado vaginal dos
animais para a dosagem de IgA, também dosadas por ELISA. No final do
experimento, 57° dia, administrou-se pilocarpina aos animais (1 mg/ kg) e em
seguida colheu-se a saliva para dosagem de IgA. O título de anticorpo é
considerado a recíproca do fator de diluição a 20 % do ponto de saturação
(BUENO DA COSTA et alii, 1998).
2.2.5.2. ELISA para quantificar anticorpo-anti-Dtxd desenvolvido em
camundongo: 20 μg de Dtxd previamente dissolvidos em 100 µL de tampão
carbonato pH 9,6 foram adicionados em cada poço da placa de ELISA e depois de
18 horas a 4
o
C, a placa foi lavada 3 vezes com PBS e então bloqueada com 200
μl de leite em desnatado 10 %. Depois de 30 minutos a 37
o
C, a placa foi
37
lavada 3 vezes com PBSt (PBS Tween 20) e foram adicionados 100 µL dos soros ou
saliva ou ainda lavado vaginal dos camundongos imunizados, previamente
diluídos em PBSt. Após 30 minutos de incubação a 37
o
C, a placa foi lavada 3
vezes com PBSt e foram adicionados 100 µL de cada conjugado anti-mouse-
peroxidase diluído em PBSt/leite em pó a 0,1 %. Depois de 30 minutos de
incubação a 37 ºC, a placa foi lavada 3 vezes com PBSt e foram adicionados 100
µL de tetrametilbenzidina (TMB) como substrato. Depois de 15 minutos à
temperatura ambiente e ao abrigo da luz, a reação foi parada pela adição de 50
μl de H
2
SO
4
1 M. As absorbâncias foram lidas automaticamente a 450 nm em um
leitor Titerteck Multiskan MCC/340.
38
3. Resultados
A PROTEÌNA
3.1. Caracterizações da Estabilidade de Dtxd durante as etapas de
preparação de REVs-Chi
3.1.1. Efeito da sonicação na conformação de Dtxd
Sabe-se que a degradação dos componentes de uma vacina está
relacionada à perda de sua eficácia, apesar de haver algum debate na
literatura sobre até onde a estabilidade conformacional de um antígeno seja
necessária ou não para se obter a resposta imunológica desejada
(SCHWENDEMAN et alii, 1996 e ALONSO et alii, 1994).
Para se evitar ou minimizar as degradações de proteínas durante ou
após o processo de microencapsulação em lipossomas revestidos de quitosana
por REVs estratégias de melhoramentos na formulação que poderiam ser
usadas: 1. variar os componentes da formulação de forma a se obter a
estabilidade desejada ou 2. variar o processo de microencapsulação.
Nesta dissertação, optou-se por variar os componentes da formulação
através da adição de agentes estabilizadores de proteínas a serem
encapsuladas em lipossomas revestidos de quitosana. Usou-se o método de
preparação por evaporação em fase reversa (MERTINS et alii, 2005 e MARÓN
et alii, 2007) para a obtenção das partículas.
Para que se compreenda a série de experimentos que se seguiram,
resumimos o processo de nanoencapsulação de proteína em lipossomas
39
revestidos por quitosana através do método de REV que pode ser descrito
como um sistema (A
1
/O)/A
2
. Para efeito de simplificação o processo de
formação de lipossomos, REVs, está representado na Figura 1. A formação de
REVs revestidos por quitosana (REVs-Chi) está representada na Figura 2.
Figura 1. Formação de REVs. Etapa 1. Lipídeos
(SPC: Cho)
+ CH
3
CO
2
C
2
H
5
Dissolução
(O); Etapa Etapa 2. Adição de Dtxd em PBS
A
1
+O; Etapa 3. Sonicação de A
1
+ O formação
das micelas reversas (A
1
/O); Etapa 4. Evaporação do solvente orgânico com aproximação das
micelas reversas. Etapa 5. Formação de um organogel (A
1
/O) (as micelas se colabam, formam
vesículas. Etapa 6. Adição PBS (A
2
) REVs (A
1
/O) /A
2.
As desnaturações e agregações de Dtxd podem ocorrer nas etapas 2, 3
e 4, por causa do contacto com o solvente orgânico e da sonicação, que
submete a proteína a pressões altas, gradiente de temperaturas, forças de
cisalhamento, possibilidades de oxidação e à ação de radicais livres. O
cisalhamento da fase aquosa aumenta as interfaces hidrofóbicas
(desvantagem do método) o que leva à adsorção de proteína, seguida por
desenovelamento e agregação. Em outras palavras, pode haver perda de
proteína através da diminuição de sua solubilidade.
40
Figura 2. Formação de REVs-Chi. Etapa 1. Lipídeos
(SPC: Cho)
+ CH
3
CO
2
C
2
H
5
Dissolução
(O); Etapa Etapa 2. Adição de Dtxd + Chi em PBS
A
1
+O; Etapa 3. Sonicação de A
1
+ O
formação das micelas reversas (A
1
/O). Etapa 4. Evaporação do solvente orgânico com
aproximação das micelas reversas. Etapa 5. Formação de um organogel (A
1
/O) (as micelas se
colabam, formou vesículas contendo Chi externa e internamente e Etapa 6. Adição PVA 1 %
em água (A
2
) REVs (A
1
/O) /A
2.
O objetivo desta etapa experimental foi o de se determinar até
onde a sonicação (contato com a interface CH
3
CO
2
C
2
H
5
) causaria
agregação na molécula do Dtxd. Pretendeu-se usar os sais da série de
Hoffmeister no sentido de se minimizar ou mesmo evitar o desenovelamento e
esta agregação. Era importante que se determinasse a natureza desta
interação, para que se racionalizasse uma formulação estável de Dtxd em
REVs-Chi. Sabe-se que os sais da série de Hoffmeister, como o KSCN,
protegem o Dtxd de modificações confomacionais como o desenovelamento
ou a abertura da ligação S-S após sonicação na presença de CH
2
Cl
2
. Aumenta-
se a solubilidade de Dtxd em 95 %, com o uso de KSCN o que corresponde
também a uma proteína com estrutura mais próxima da nativa e reconhecida
imunologicamente (NAMUR et alii, 2009; NAMUR et alii, 2004).
Entretanto,
nesta dissertação, o solvente usado foi outro (acetato de etila) o que poderia
41
interferir na constante dielétrica e conseqüentemente na partição de Dtxd
entre as fases (NAMUR et alii, 2009; NAMUR et alii, 2004).
A solubilidade de Dtxd após a emulsificação na presença de CH
3
CO
2
C
2
H
5
e na ausência de qualquer um dos sais foi de 91 % (Figura 3). Os sais NaCl,
KSCN e MgCl
2
diminuíram ainda mais a solubilidade da Dtxd durante após a
sonicação. À medida que houve o aumento das concentrações destes sais,
menores foram às solubilidades de Dtxd. O MgCl
2
foi o sal que menos protegeu
o Dtxd da precipitação. Analisou-se mais detalhadamente, observou-se que
as solubilidades de Dtxd nas presenças de CH
3
CO
2
C
2
H
5
e de alguns dos sais
usados foram bem prejudicadas chegando a valores tão baixos quanto de 70,3
% (NaCl 70 mM), 72,6 % (KSCN a 150 mM) e 61,1 % em MgCl
2
(30 mM) (Figura
3), ou seja, entre 30 a 40 % de perda de massa.
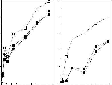
0 20 40 60 80 100 120 140 160
0
10
20
30
40
50
60
70
80
90
100
Soulubilidade de Dtxd (%)
Concentração do sal (mM)
Figura 3: Efeito dos sais da série de Hoffmeister na solubilidade de Dtxd após
sonicação na presença de CH
3
CO
2
C
2
H
5
. O conteúdo protéico dos sobrenadantes foi
analisado por dosagem de proteína a 280 nm nas presenças de (--) NaCl, (--) KSCN,
(--) MgCl
2
e (--) NaH
2
PO
4
após sonicação em acetato de etila (CH
3
CO
2
C
2
H
5
).
Controle Dtxd em H
2
O antes da sonicação.
42
na presença de NaH
2
PO
4
, a solubilidade aumentou em todas as
concentrações usadas, sendo que em 10 e 100 mM foram as melhores
condições (98 %) de solubilização da Dtxd após a sonicação (Figura 3).
As amostras da fase aquosa foram diluídas a uma mesma concentração
de 2 μM em PBS pH 7,2 e submetidas à filtração em gel através de sistema de
CLAE (CAMPANA et alii, 2004). As concentrações de dímero de Dtxd foram
maiores nas amostras que estavam na presença de NaH
2
PO
4
em relação aos
outros sais (Figura 4 e Tabela 3). Houve uma grande diminuição de
monômeros após a sonicação na presença de KSCN (Figura 4 e Tabela 3) o
que coincidiu com um aumento de FA (Fragmento A) e FB (Fragmento B) na
presença deste sal (Figura 4). A quantidade de monômeros nas amostras
sonicadas na presença de NaCl é menor do que em relação às amostras
sonicadas na presença de NaH
2
PO
4
e coincide com uma quantidade um pouco
maior de FA e FB (Figura 4).
Tabela 3. Efeito dos sais da série de Hoffmeister nas concentrações das
diferentes espécies moleculares de Dtxd após a sonicação.
Sal
Dtxd
(dímero)
(proporção
relativa)
Dtxd
(monômero)
(proporção
relativa)
FB + FA
(proporção
relativa)
NaCl
KSCN
↓↓↓↓
↑↑↑↑
MgCl
2
NaH
2
PO
4
=
43
0 50 100 150
0.0
0.2
0.4
0.6
0.8
1.0
1.2
1.4
1.6
1.8
2.0
A
Concentração Dtxd (µM)
Concentração do sal (mM)
0 50 100 150
0.0
0.2
0.4
0.6
0.8
1.0
1.2
1.4
1.6
1.8
2.0
B
0 50 100 150
0.0
0.2
0.4
0.6
0.8
1.0
1.2
1.4
1.6
1.8
2.0
C
Figura 4. Efeito dos sais da série de Hoffmeister nas concentrações das diferentes
espécies moleculares de Dtxd após a sonicação. O conteúdo das diversas espécies moleculares
de Dtxd da fase aquosa foram [após sonicação em Acetato de etila (CH
3
CO
2
C
2
H
5
) nas
presenças de (--) NaCl, (--) KSCN, (--) MgCl
2
e (--) NaH
2
PO
4
] injetados em coluna de
filtração em gel QC-PAK GFC 300 (7,8 mm x 15 cm, Vt = 7,17 mL), previamente equilibrada
com PBS pH 7,2, a um fluxo de 0,6 mL/minuto a 20 ºC. A. Concentração de dímero, B.
Concentração de monômero, C. Concentração de fragmentos A e B. Controle: Dtxd em H
2
O
sem sonicação ( ).
Não houve a formação de agregados solúveis nas presenças de
todos os sais estudados (Figura 4). As amostras que se apresentaram com
maiores quantidades de monômeros e menores quantidades de FA e FB
foram as que estavam na presença de NaH
2
PO
4
(Figura 4).
Estas mesmas amostras foram analisadas por ELISA para se verificar o
reconhecimento imunológico do Dtxd através do soro antidiftérico padrão
(desenvolvido em cavalo pelo IBu). Através dessa análise a menor identidade
imunológica foi sobre a estrutura da Dtxd também na presença de KSCN
(Figura 5). O NaCl foi o sal que preservou melhor a identidade
imunológica da Dtxd e o NaH
2
PO
4
foi o segundo melhor sal tendo a
44
concentração de 90 mM o seu melhor desempenho de preservação da
conformação imunológica (Figura 5).
0 20 40 60 80 100 120 140 160
0,00
0,02
0,04
0,06
0,08
0,10
0,12
0,14
0,16
ELISA (Abs 450 nm)
Concentração do sal (mM)
Figura 5: Efeito dos sais da série de Hoffmeister sobre a identidade imunológica de
Dtxd. As amostras de Dtxd em (--) NaCl, (--) KSCN, (--) MgCl
2
e (--) NaH
2
PO
4
foram
analisadas por ELISA após sonicação em acetato de etila (CH
3
CO
2
C
2
H
5
). Controle Dtxd em H
2
O
sem sonicação ( ).
3.1.2. Espectroscopia de fluorescência
Foram realizados espectros de fluorescência das fases aquosas de Dtxd
7,36 μM após a sonicação na presença de CH
3
CO
2
C
2
H
5
(na presença ou na
ausência dos sais) e calculou-se a razão entre as intensidades de fluorescência
a 350 nm e 330 nm (Figura 6). Sabe-se que, através desta razão entre as
intensidades de fluorescência podem-se verificar as exposições de resíduos
hidrofóbicos para um meio mais polar (SOUTO E ITO, 2000).
45
Não houve exposição de triptofano ao meio mais polar quando o
Dtxd foi sonicado na presença de acetato de etila e dos sais da série de
Hoffmeister estudados, pois não houve variação da razão F350/F330 nm
(Figura 6).
0 20 40 60 80 100 120 140 160
0,0
0,2
0,4
0,6
0,8
1,0
F 350/330 nm
Concentração do sal (mM)
Figura 6. Relação entre as intensidades de fluorescência a 350 e 330 nm das amostras
da fase aquosa de Dtxd após sonicação na presença de acetato de etila e de sais. As fases
aquosas das amostras (--) NaCl, (--) KSCN, (--) MgCl
2
e (--) NaH
2
PO
4
após sonicação em
acetato de etila (CH
3
CO
2
C
2
H
5
) foram analisadas por espectroscopia de fluorescência. A seta
indica o controle em H
2
O sem sonicação ( ).
Até aqui, concluiu-se que o Dtxd sonicado na presença de NaH
2
PO
4
manteve a maior quantidade de fração solúvel, com conformação
imunológica preservada e com menor quantidade de fragmentos A e B.
Este Dtxd correspondeu a uma conformação sem exposição de resíduos
hidrofóbicos para o meio aquoso, que se traduziu em manutenção da
estrutura terciária da proteína.
46
3.1.3. Espectroscopia de Dicroísmo circular
As possíveis variações conformacionais, relacionadas à estrutura
secundária da Dtxd, obtidos após a sonicação na presença de acetato de etila
e dos sais da série de Hoffmeister também foram observadas por CD. Todos os
espectros foram comparados com o controle, que foi realizado com Dtxd 7,36
μM em água, sem passar pelo processo de sonicação em CH
3
CO
2
C
2
H
5.
Sabe-se que um efeito Cotton positivo na região de 195-197 nm está
relacionado à estrutura de folha pregueada (TILSTRA e MATTICE, 1996) e
também que um efeito Cotton negativo nesta mesma região está associado à
estrutura desordenada ou randômica (TILSTRA e MATTICE, 1996). Na região
217-218 nm o Efeito Cotton é negativo para a estrutura de folha pregueada
(TILSTRA e MATTICE, 1996). Os cromóforos associados a esta região espectral
são as ligações peptídicas (TILSTRA e MATTICE, 1996). A conformação do
ângulo diédrico da ligação S-S (que liga o fragmento B ao A) do Dtxd também
é passível de sofrer alteração durante o processo de formação da primeira
emulsão. É importante lembrar aqui que o Dtxd tem duas pontes S-S (C
186
-
C
201
e C
461
- C
471
). Uma destas ligações S-S é inter-cadeias (FA-FB, C
186
-C
201
) e a
outra é intra-cadeia (FB C
461
- C
471
) (Esquema 1) (NAMUR et alii, 2009; NAMUR
et alii, 2004). Dentre estas duas ligações, a mais provável de sofrer mudanças
conformacionais é aquela entre C
186
- C
201
do que a C
461
- C
471
, isto por
impedimentos estéricos. (NAMUR et alii, 2009; NAMUR et alii, 2004). Sabe-se
que variações angulares 120
o
implicam em um efeito Cotton negativo e
variações 60
o
implicam em um efeito Cotton positivo (TILSTRA e MATTICE,
1996).
47
Esquema 1. Representação esquemática da estrutura da toxina diftérica (adaptado da
literatura (NAMUR e BUENO DA COSTA, 2004).
As variações observadas nos espectros de CD sobre a influência de cada
um dos sais sobre a conformação de Dtxd (Figuras 7 a 10) foram,
resumidamente, agrupadas em 4 figuras principais (Figuras 11 a 14). A
sonicação, por si só, causou uma diminuição de 14 % em θ
196 nm
(Figura
11) e 15,4 % em θ
222 nm
(Figura 12) na estrutura de Dtxd (controle).
Observou-se que nas amostras contendo NaCl houve alterações nos
valores de [θ
196 nm
], que corresponderam a uma diminuição entre 10 % (NaCl
10 mM) e 33 % (NaCl 150 mM) de folhas pregueadas (Figura 7 e 11). Os
valores de [θ
222 nm
] também se alteraram pouco dentre as concentrações de
NaCl estudadas; a quantidade de hélice- ficou em torno de 76,5 % (Figura 12
e 13). Os valores de [θ
260 nm
] foram positivos, praticamente em todas as
concentrações de NaCl estudadas. O efeito Cotton negativo, mas muito
próximo de zero, foi observado na amostra de NaCl 50 mM (Figura 14). Isto
implicou em variações 60
o
e corresponde a uma molécula que não se expôs
48
ao solvente, o que corrobora os dados observados por fluorescência (Figura
6).
200 210 220 230 240 250 260
-20
-15
-10
-5
0
5
10
15
20
A
[ ].10
-3
.grau.cm
2
.decimol
-1
200 210 220 230 240 250 260
-20
-15
-10
-5
0
5
10
15
20
B
200 210 220 230 240 250 260
-20
-15
-10
-5
0
5
10
15
20
C
200 210 220 230 240 250 260
-20
-15
-10
-5
0
5
10
15
20
D
200 210 220 230 240 250 260
-20
-15
-10
-5
0
5
10
15
20
E
200 210 220 230 240 250 260
-20
-15
-10
-5
0
5
10
15
20
F
200 210 220 230 240 250 260
-20
-15
-10
-5
0
5
10
15
20
G
Comprimento de onda (nm)
200 210 220 230 240 250 260
-20
-15
-10
-5
0
5
10
15
20
H
Figura 7. Efeito de NaCl sobre a estrutura secundária do Dtxd durante a sonicação em
CH
3
CO
2
C
2
H
5
. Utilizou-se uma cubeta de 0,1 cm de caminho óptico. Controle: A. Dtxd 7,36 μM
padrão em água, pH 7,2 sem sonicar (-) e Dtxd 7,36 μM sonicado em CH
3
CO
2
C
2
H
5
sem NaCl (-)
e na presença de (B) NaCl 10 mM, (C) NaCl 30 mM, (D) NaCl 50 mM, (E) NaCl 70 mM, (F) NaCl
90 mM, (G) NaCl 100 mM e (H) NaCl 150 mM.
Não foi possível a análise das amostras da fase solúvel de Dtxd
sonicadas na presença de acetato de etila e de KSCN na região de θ
196 nm
por
causa do espalhamento de luz intenso. O valor de θ
196 nm
de Dtxd em KSCN a
10 mM é o mesmo que o observado quando sonicação foi realizada na
presença de água (Figura 11).
Observaram-se diminuições nos efeitos Cottons negativos a [θ
222 nm
] de
Dtxd em KSCN (Figuras 8 e 12). A maior diminuição de θ
222 nm
foi em KSCN
a 150 mM (Figuras 8 e 12) quando as porcentagens de hélice- ficaram
em torno de 76,65 % (Figura 13 e Tabela 1). Praticamente não houve
49
alterações de [θ
260 nm
] na presença de KSCN. A alteração maior
observada foi causada pela própria sonicação e isto não pode ser
revertido através do uso de KSCN (Figura 14).
200 210 220 230 240 250 260
-20
-15
-10
-5
0
5
10
15
20
A
[ ].10
-3
.grau.cm
2
.decimol
-1
200 210 220 230 240 250 260
-20
-15
-10
-5
0
5
10
15
20
B
200 210 220 230 240 250 260
-20
-15
-10
-5
0
5
10
15
20
C
200 210 220 230 240 250 260
-20
-15
-10
-5
0
5
10
15
20
D
200 210 220 230 240 250 260
-20
-15
-10
-5
0
5
10
15
20
E
200 210 220 230 240 250 260
-20
-15
-10
-5
0
5
10
15
20
F
Comprimento de onda (nm)
200 210 220 230 240 250 260
-20
-15
-10
-5
0
5
10
15
20
G
200 210 220 230 240 250 260
-20
-15
-10
-5
0
5
10
15
20
H
Figura 8. Efeito de KSCN sobre a estrutura secundária do Dtxd durante a sonicação
em CH
3
CO
2
C
2
H
5
. Utilizou-se uma cubeta de 0,1 cm de caminho óptico. Controle: A. Dtxd 7,36
μM padrão em água, pH 7,2 sem sonicar (-) e Dtxd 7,36 μM sonicado em CH
3
CO
2
C
2
H
5
sem KSCN
(-) e na presença de (B) KSCN 10 mM, (C) KSCN 30 mM, (D) KSCN 50 mM, (E) KSCN 70 mM, (F)
KSCN 90 mM, (G) KSCN 100 mM e (H) KSCN 150 mM.
Nas amostras de Dtxd que continham MgCl
2
observou-se diminuição de
[θ
196 nm
], ou seja, uma diminuição da quantidade de folhas pregueadas
(Figuras 9 e 11). Os menores valores negativos de [θ
222 nm
] foram observados
na presença de MgCl
2
(Figura 12). Entretanto isto correspondeu a um teor de
hélice- em torno de 76,70 % (Figura 13), o que não diferiu muito dos outros
sais. Em [θ
260 nm
] os valores ficaram positivos (Figura 14). Observou-se uma
50
conformação de Dtxd, com o ângulo diédrico 60
o
, ou seja, houve um
“fechamento” da molécula (Figura 14) em MgCl
2
150 mM.
200 210 220 230 240 250 260
-20
-15
-10
-5
0
5
10
15
20
25
A
[ ].10
-3
.grau.cm
2
.decimol
-1
200 210 220 230 240 250 260
-20
-15
-10
-5
0
5
10
15
20
B
200 210 220 230 240 250 260
-20
-15
-10
-5
0
5
10
15
20
C
200 210 220 230 240 250 260
-20
-15
-10
-5
0
5
10
15
20
D
200 210 220 230 240 250 260
-20
-15
-10
-5
0
5
10
15
20
E
200 210 220 230 240 250 260
-20
-15
-10
-5
0
5
10
15
20
F
Comprimento de onda (nm)
200 210 220 230 240 250 260
-20
-15
-10
-5
0
5
10
15
20
G
200 210 220 230 240 250 260
-20
-15
-10
-5
0
5
10
15
20
H
Figura 9. Efeito de MgCl
2
sobre a estrutura secundária do Dtxd durante a sonicação
em CH
3
CO
2
C
2
H
5
. Utilizou-se uma cubeta de 0,1 cm de caminho óptico. Controle: A. Dtxd 7,36
μM padrão em água, pH 7,2 sem sonicar (-) e Dtxd 7,36 μM sonicado em CH
3
CO
2
C
2
H
5
sem
MgCl
2
(-) e na presença de (B) MgCl
2
10 mM, (C) MgCl
2
30 mM, (D) MgCl
2
50 mM, (E) MgCl
2
70
mM, (F) MgCl
2
90 mM, (G) MgCl
2
100 mM e (H) MgCl
2
150 mM.
As características estruturais de Dtxd a [θ
196 nm
] nas amostras sonicadas
com NaH
2
PO
4
são as que mais se aproximaram do controle de Dtxd em água
antes da sonicação (Figuras 10 e 11). Os valores de [θ
222 nm
] encontrados
em Dtxd sonicado na presença de NaH
2
PO
4
foram os mais baixos, ou seja,
os mais negativos o que significou uma indução de formação de estrutura
helicoidal na presença deste sal (Figuras 12 e 13). em [θ
260 nm
] não
ocorreu mudança na estrutura de Dtxd na presença de NaH
2
PO
4
(Figura
14). Mais uma vez, a maior mudança estrutural, em relação à ligação S-S
51
foi causada pela sonicação em si e este efeito não pode ser revertido por
nenhum dos sais.
200 210 220 230 240 250 260
-20
-15
-10
-5
0
5
10
15
20
A
[ ].10
-3
.grau.cm
2
.decimol
-1
200 210 220 230 240 250 260
-20
-15
-10
-5
0
5
10
15
20
B
200 210 220 230 240 250 260
-20
-15
-10
-5
0
5
10
15
20
C
200 210 220 230 240 250 260
-20
-15
-10
-5
0
5
10
15
20
D
200 210 220 230 240 250 260
-20
-15
-10
-5
0
5
10
15
20
E
200 210 220 230 240 250 260
-20
-15
-10
-5
0
5
10
15
20
F
200 210 220 230 240 250 260
-20
-15
-10
-5
0
5
10
15
20
G
Comprimento de onda (nm)
200 210 220 230 240 250 260
-20
-15
-10
-5
0
5
10
15
20
H
Figura 10. Efeito de NaH
2
PO
4
sobre a estrutura secundária do Dtxd durante a
sonicação em CH
3
CO
2
C
2
H
5
. Utilizou-se uma cubeta de 0,1 cm de caminho óptico. Controle: A.
Dtxd 7,36 μM padrão em água, pH 7,2 sem sonicar (-) e Dtxd 7,36 μM sonicado em CH
3
CO
2
C
2
H
5
sem NaH
2
PO
4
(-) e na presença de (B) NaH
2
PO
4
10 mM, (C) NaH
2
PO
4
30 mM, (D) NaH
2
PO
4
50 mM,
(E) NaH
2
PO
4
70 mM, (F) NaH
2
PO
4
90 mM, (G) NaH
2
PO
4
100 mM e (H) NaH
2
PO
4
150 mM.
Os efeitos dos sais da série de Hoffmeister no conteúdo em folhas
pregueadas- de Dtxd após sonicação na presença de acetato de etila estão
resumidos na Figura 11.
Os efeitos dos sais da série de Hoffmeister no conteúdo em hélice- de
Dtxd após sonicação na presença de acetato de etila estão resumidos na
Figura 12, 13.
As variações de hélice- de Dtxd durante este estudo foram analisadas
também através dos resultados das variações de
observado
(Figura 12),
52
tomando-se como 100 % aquele valor correspondente ao
observado
da molécula
antes da sonicação. Estas variações estão resumidas na Figura 13.
0 20 40 60 80 100 120 140 160
0
2
4
6
8
10
12
14
16
18
20
Variação de
196 nm
10
-3
.grau.cm
2
.decimol
-1
Concentração do sal (mM)
Figura 11: Efeito da concentração dos sais da série de Hoffmeister no θ
196 nm
de
Dtxd. As amostras do Dtxd 7,36 μM obtidas nas presenças de (--) NaCl, (--) KSCN, (--)
MgCl
2
e (--) NaH
2
PO
4
após sonicação em CH
3
CO
2
C
2
H
5
foram analisadas por CD. A seta ( )
indica o controle em H
2
O sem sonicação.
0 20 40 60 80 100 120 140 160
-20
-18
-16
-14
-12
-10
-8
-6
-4
-2
0
2
Variação de
222 nm
10
-3
.grau.cm
2
.decimol
-1
Concentração do sal (mM)
Figura 12: Efeito da concentração dos sais da série de Hoffmeister no θ
222 nm
de
Dtxd. As amostras do Dtxd 7,36 μM obtidas nas presenças de (--) NaCl, (--) KSCN, (--)
MgCl
2
e (--) NaH
2
PO
4
após sonicação em CH
3
CO
2
C
2
H
5
foram analisadas por CD. A seta ( )
indica o controle em H
2
O sem sonicação.
53
0 20 40 60 80 100 120 140 160
60
70
80
90
100
110
120
130
Conteúdo em hélice-
(%)
Concentração do sal (mM)
Figura 13: Efeito da concentração dos sais da série de Hoffmeister no conteúdo de
hélice- de Dtxd. As amostras de Dtxd 7,36 μM obtidas nas presenças de (--) NaCl, (--)
KSCN, (--) MgCl
2
e (--) NaH
2
PO
4
após sonicação em CH
3
CO
2
C
2
H
5
foram analisadas por CD. A
seta ( ) indica o controle em H
2
O sem sonicação.
O PO
2-
4
induziu a formação de hélice- (aumento de até 30 % no
observado) e o MgCl
2
foi o que mais diminuiu o observado (diminuição
de até 60 %) (Figura 13).
Os efeitos dos sais da série de Hoffmeister na conformação de S-S de
Dtxd após sonicação na presença de acetato de etila estão resumidos na
(Figura 14). Observaram-se grandes modificações no ângulo diédrico do S-S
que eram, na proteína nativa, 120º (Efeito Cotton negativo) e passaram
para 60º (Efeito Cotton positivo) (Figura 14). Isto pode ser interpretado
como um ―fechamento‖ da estrutura terciária de Dtxd o que corrobora os
dados obtidos por fluorescência (Figura 6). Por fluorescência não se observou
exposição de triptofano para um meio mais polar, ou seja, o aminoácido se
encontrava num ambiente hidrofóbico. Aqui, observou-se que o Dtxd, após
54
sonicação, ficou mais “fechado” (com o ângulo S-S menor) e nenhum dos
sais pode reverter esta situação (Figura 14).
0 20 40 60 80 100 120 140 160
-0,4
-0,2
0,0
0,2
0,4
Variação de
260 nm
10
-3
.grau.cm
2
.decimol
-1
Concentração do sal (mM)
Figura 14: Efeito da concentração dos sais da série de Hoffmeister no θ
260 nm
de
Dtxd. As amostras do Dtxd 7,36 μM obtidas nas presenças de (--) NaCl, (--) KSCN, (--)
MgCl
2
e (--) NaH
2
PO
4
após sonicação em CH
3
CO
2
C
2
H
5
foram analisadas por CD. A seta ( )
indica o controle em H
2
O sem sonicação.
AS PARTÌCULAS
3.2. Caracterizações morfológicas e funcionais dos REVS-Chi (LUVs
revestidas por quitosana) in vitro.
3.2.1. Tamanho dos REVs-Chi, potencial zeta e eficiência de
encapsulação de Dtxd.
Foram obtidas REVs (vazias) e REVs/Dtxd (contendo a proteína) com
tamanhos de 167 nm e 256 nm respectivamente. As REVs-Chi eram de 313 nm
55
de raio hidrodinâmico enquanto que as REVs-Chi/Dtxd eram de 524 nm e as
REVs-Chi-PVA/Dtxd de 367 nm (Tabela 4).
As formulações apresentaram distribuição de tamanho bimodal, exceto
a amostra de REVs/Dtxd que apresentou apenas uma única população. Os
tamanhos e as cargas superficiais das partículas obtidas foram dependentes
da complexidade da partícula (Tabela 4).
Tabela 4. Tamanho dos REVs-Chi, potencial zeta e eficiência de encapsulação de
Dtxd.
FORMULAÇÃO
TAMANHO
(nm)
CARGA
SUPERFICIAL
EFICIÊNCIA DE
ENCAPSULAÇÃO
(%)
REVs
167
-9,40
0
REVs/Dtxd
256
-3,71
58,8
REVs-Chi
313
-4,66
0
REVs-Chi/Dtxd
524
-9,94
69,2
REVs-Chi-PVA
367
-7,51
0
REVs-Chi-PVA/Dtxd
383
-12,3
75,4
As preparações de REVs, de REVs-Chi e de REVs-Chi-PVA encapsularam
58,8 %, 69,2 % e 75,4 % de Dtxd, respectivamente (Tabela 4). O Dtxd
aumentou em 53 % o tamanho das REVs e também 40,3 % das REVS-Chi
(Tabela 4). A quitosana aumentou o tamanho das partículas lipossomais em
67 % em relação às REVs. O PVA diminuiu 27 % do tamanho das partículas
(REVs-Chi-PVA/Dtxd) em relação às REVs-Chi/Dtxd (Tabela 4).
56
Para que se facilite a apresentação dos dados e a argumentação para as
conclusões, apresentam-se agora algumas considerações sobre a estrutura de
Dtxd:
Sabe-se (BENNETT, CHOE e EISENBERG, 1994) que a massa molar de
Dtxd é de 58,3 kDa e o pI calculado, a partir da seqüência primária, é 4,25
(CAMPANA et alii, 2004) (Tabela 5). A carga iônica líquida do Dtxd é -11
(CAMPANA et alii, 2004). O Dtxd foi encapsulado em tampão fosfato 50 mM,
pH 4,5, onde então estava somente a 0,25 unidade de pH acima de seu pI.
Mas, era bem provável que mesmo assim, neste pH 4,5, estivesse carregado
negativamente (vide o número de cargas negativas neste pH).
A diminuição da carga negativa líquida de REVs/Dtxd (-3,71 mV) em
relação às REVs (-9,40 mV) (lembre-se que são vazias) poderia ser
compreendida como adsorção inespecífica do toxóide diftérico à superfície
externa das REVs (Tabelas 4 e 5). O mesmo ocorreu quando se compararam
REVs-Chi (-4,66 mV) com REVs (-9, 40 mV), ou seja, houve uma diminuição da
carga negativa superficial líquida devido à adsorção da quitosana (um
policátion) à superfície externa das vesículas. Isto é uma evidência da
adsorção de quitosana à superfície das REVs (Tabela 4) o que está de acordo
com a literatura (LAYE, McCLEMENTS e WEISS, 2008). Quando se monitora a
interação de lipossomas com Chi através da medida do tamanho e da carga
superficial em suspensões de lipossomas a pH 3,0, o potencial indica que os
lipossomas puros são altamente aniônicos (-38 mV), enquanto as moléculas de
quitosana são altamente catiônicas (+ 85 mV) (LAYE, McCLEMENTS e WEISS,
2008). Se compararmos REVs-Chi/Dtxd (- 9,94 mV) e REVs-Chi-PVA/Dtxd (-
12,3 mV) observamos o mesmo fenômeno em relação às REVs, ou seja, um
57
aumento da carga negativa da partícula causada pela presença de Dtxd
(Tabela 4).
Tabela 5. Características dos diferentes aminoácidos de Dtxd.
Aminoácidos
com grupos
ionizáveis
Grupos
ionizáveis
pK
Ácidos
Básicos
Carbóxi-
terminal
E (Glu)
D (Asp)
K (Lys)
R (Arg)
N-terminal
α-COOH
γ-COOH
β-COOH
ε-NH
2
guanidino
- NH
+
3
2,34
3,86
4,25
10,53
12,48
9,6
11
36
27
36
16
1
Em resumo, o tamanho dos REVs e as eficiências de encapsulações
para o Dtxd aumentaram com a adição de Chi e de PVA. A adsorção de
quitosana à superfície de lipossomas foi acompanhada por aumento do
potencial . A adsorção de PVA à superfície de REVs-Chi foi acompanhada
por diminuição do potencial .
3.2.2. Eficiência de polimerização interfacial de quitosana
As interações entre SPC (fosfatidilcolina de soja), Dtxd e Chi, Dtxd-Chi
e PVA, Chi-Chi e PVA-PVA podem ser afetadas pelos mesmos fatores que
estabilizam as proteínas enoveladas e as associações de proteínas com outras
proteínas ou ligantes: o emparelhamento de cargas opostas, a repulsão de
cargas semelhantes, a formação de pontes de hidrogênio e o enterramento de
resíduos hidrofóbicos (Tabela 6 e Figuras 15, 16 e 17).
58
(c)
Figura 15. Estrutura química geral da fosfatidilcolina (a), quitosana (b), PVA (c). R=
ácidos graxos (MERTINS et alii, 2005).
Figura 16. Pontes de hidrogênio que se formam com quitosana em solução.
Figura 17. Pontes de hidrogênio que se formam com PVA em solução (SATOKAWA e
SHIKATA, 2008).
Estas interações foram levadas em consideração no desenvolvimento da
formulação REVs-Chi-PVA/Dtxd. A presença de Dtxd na formulação
aumentou a eficiência de adsorção de quitosana às partículas de REVs
(Tabela 6), o que pode ser explicado através das interações dos íons
59
complementares Dtxd (negativo) e Chi
(positiva). O mesmo foi observado
quando o PG (fosfatidilglicerol) está presente na composição das vesículas, ou
seja, um aumento da eficiência de polimerização de Chi sobre as vesículas
contendo esta carga negativa (ZARU et alii, 2009). Isto explica também o
aumento da carga negativa líquida da partícula se comparamos REVs-Chi/Dtxd
com REVs-Chi (Tabelas 4 e 5). Estes resultados estão de acordo com o que foi
discutido sobre o potencial (Tabelas 4 e 5). O PVA é adicionado às
partículas após as lavagens das mesmas, portanto não alterou a eficiência de
adsorção da quitosana.
Tabela 6. Eficiência de polimerização interfacial nas diferentes formulações.
FORMULAÇÃO
EFICIÊNCIA DE POLIMERIZAÇÃO (%)
REVs-Chi
87,5 ± 1,2
REVs-Chi/Dtxd
98 ± 1,5
REVs-Chi-PVA/Dtxd
98 ± 1,5
3.2.3. Propriedade mucoadesiva das partículas
3.2.3.1. Interação mucina/quitosana e mucina/PVA
A mucina foi usada aqui para simular a interação entre os polímeros Chi
e/ou PVA com a superfície intestinal, num ensaio de bioadesibilidade in vitro.
O princípio do método utilizado para análise das interações entre os
polímeros Chi e PVA com mucina (outro polímero, Figura 18) é o aumento de
60
turbidez conseqüente da agregação quando ocorre interação. Na ausência de
interação, não formação de agregados e a turbidez a 500 nm será zero
(PREGO et alii, 2005; TAKEUCHI et alii, 2005; TAKEUCHI, YAMAMOTO e
KAWASHIMA, 2001; HE, DAVIS e ILLUM, 1998).
Figura 18. Estrutura química da Mucina (CAMPOS e CARVALHO, 2008).
Em testes realizados com os polímeros e com Mu-III (1 % de ácido
siálico) em solução, observaram-se interações entre Mu e Chi somente nas
relações de 1:1 (v/v, de soluções a 2 mg/ mL) e de 3:1 (v/v de soluções a 2
mg/ mL) (Figura 19). Isto significou que nos excessos de quitosana (relação
1:3) ou de mucina (9:1) não ocorreu interação, ou melhor, não foi suficiente
para causar agregação entre os polímeros suficiente para aumentar a turbidez
a 500 nm.
Foi interessante observar que, neste estudo, a quantidade usada
de PVA em relação à quitosana foi mais de 2 000 vezes menor. Ou seja, a
afinidade de mucina pelo PVA foi 2 000 vezes maior do que pela
quitosana!
61
1:3 1:1 3:1 9:1
0,00
0,02
0,04
0,06
0,08
0,10
B
A
Turbidez (500 nm)
Razão Mucina/Chi
1:3 1:1 3:1 9:1
0,00
0,02
0,04
0,06
0,08
0,10
Turbidez (500 nm) x 10
3
Razão Mucina/PVA
Figura 19. Interação entre Mu-III e os polímeros Chi e PVA. Em A, amostras de Mu-III
(2 mg/mL) e quitosana (3 mM) foram colocadas para interagir. Após 30 minutos foi medida a
turbidez a 500 nm. Em B, amostras de mucina (2mg/mL) e PVA (7,9 µM foram colocadas para
interagir. Após 30 minutos foi medida a turbidez a 500 nm. É importante notar que a escala
da interação de Mu/PVA (B) é 1000 vezes maior do que a escala da interação de Mu/Chi (A).
3.2.3.2. Adsorção de mucina aos REVs-Chi ou REVS-Chi-PVA:
Sabe-se da literatura que a quitosana favorece a interação das
partículas com a superfície intestinal (TAKEUCHI, YAMAMOTO e KAWASHIMA,
2001). Entretanto, se por um lado as partículas de lipossomas revestidos com
Chi são mais estáveis ao trato gastrointestinal (MARÓN et alii, 2007) o mesmo
não é verdade em relação à formulação em si quanto à agregação (MARÓN et
alii, 2007; MERTINS et alii, 2005). A formulação de REVs-Chi tem tendência de
ser formada por agregados (MARÓN et alii, 2007). Para se evitar a formação
de agregados adicionou-se o PVA sobre a formulação de REVs-Chi. O objetivo
deste experimento foi também o de se estudar o efeito do PVA sobre a
adsorção das partículas, ou seja, se diminuiria a interação das partículas de
62
REVs-Chi com a mucosa intestinal. As mucinas tipos I-S e III foram usadas
nestes experimentos para simular a superfície intestinal.
A partícula revestida por PVA, REVs-Chi-PVA, foi a que mais
interagiu com a mucina. A presença de Dtxd interferiu pouco na adsorção de
partículas de REVs-Chi com Mu-III (Figura 20). O mesmo tipo de interferência
ocorreu quando se comparou REVs/Dtxd com REVs (Figura 20). Como o Dtxd
em tampão fosfato 50 mM, pH 4,5 está próximo ao seu pI (pH 4,25),
teoricamente, a carga líquida da molécula seria próxima de zero, mas ainda
negativa o suficiente para haver interação de cargas (Figura 20).
REVs
REVs/Dtxd
REVs-Chi
REVs-Chi/Dtxd
REVs-Chi-PVA/Dtxd
0
10
20
30
40
50
60
70
80
90
100
Capacidade de adsorção (%)
Figura 20. Interação entre mucina e as diferentes formulações lipossomais. A Mu-III
livre após interação com as formulações foi medida através de medida de turbidez a 500 nm.
O cálculo utilizado foi: mucina inicial mucina livre = mucina adsorvida.
Por exemplo, quando se aumenta a carga líquida da superfície de
lipossomas, com fosfatidilglicerol, mesmo que estes estejam carregados
com Chi há um aumento de interação com mucina (ZARU et alii, 2009). O
aumento da interação das partículas REVs-Chi-PVA com mucina indicou que,
63
aqui nesta dissertação, a interação ocorreu não por interações
eletrostáticas (ZARU et alii, 2009), mas também através de pontes de
hidrogênio (vide figuras 15- 17 e 20). E, adiantando, esta interação através
de pontes de hidrogênio foi, aqui, muito mais eficiente na interação com Mu
do que as interações eletrostáticas.
Os seguintes experimentos foram realizados com o objetivo de se
estudar, separadamente, a contribuição do conteúdo de ácido siálico e da
temperatura na interação da mucina com REVs-Chi (Figura 21) ou com REVs-
Chi-PVA (Figura 22). A interação de Mu-III (ácido siálico 1%) com REVs-Chi
diminuiu com o aumento da temperatura (Figura 21 A). Entretanto esta
interação não foi afetada pelo aumento da temperatura quando o conteúdo
de ácido siálico era da ordem de 12 % (Mu-IS) (Figura 21 B).
25 37
0
5
10
15
20
25
30
35
A
Turbidez . 10
2
(%)
25 37
0
5
10
15
20
25
30
35
B
Temperatura (
o
C)
Figura 21. Efeitos da temperatura, da concentração e do conteúdo de ácido siálico
das diferentes mucinas na interação com REVs-Chi. Em A observam-se as interações de Mu-III
(acido siálico de 1 %) e em B com a Mu-IS (ácido siálico de 12 %) com o REVs-Chi. Usaram-se
concentrações de mucina diferentes: () 0,025 mg/mL;() 0,05 mg/mL, () 0,1 mg/mL; ()
0,25 mg/mL; () 0,5 mg/mL com quantidades fixas de REVs-Chi. Controle: 100 % de turbidez
a 500 nm = medida da mesma preparação de emulsão de REVs-Chi usada para os
experimentos.
64
Em contraste com o tipo de interação de Mu/REVs-Chi, a interação de
mucina com REVs-Chi-PVA diminuiu com o aumento da temperatura tanto
para a Mu-III (ácido siálico 1%) quanto com a MuI-IS (Siálico 12 %) (Figura 22).
Observou-se que tanto para Mu-III quanto Mu-IS houve uma relação direta
entre aumento da concentração de Mu e aumento da interação (Figura 22).
25 37
0
5
10
15
20
25
30
35
A
Turbidez . 10
2
Temperatura (°C)
25 37
0
5
10
15
20
25
30
35
B
Figura 22. Efeitos da temperatura, da concentração e do conteúdo de ácido siálico
das diferentes mucinas na interação com REVs-Chi-PVA. Em A observam-se as interações de
Mu-III (acido siálico de 1 %) e em B com a Mu-IS (ácido siálico de 12 %) com o REVs-Chi-PVA.
Usaram-se concentrações de mucina diferentes: () 0,025 mg/mL;() 0,05 mg/mL, () 0,1
mg/mL; () 0,25 mg/mL; () 0,5 mg/mL com quantidades fixas de REVs-Chi-PVA. Controle:
100 % de turbidez a 500 nm = medida da mesma preparação de emulsão de REVs-Chi-PVA
usada para os experimentos.
É importante salientar que as afinidades tanto de Mu-III quanto de
Mu-IS pelo PVA, contido nas REVs-Chi-PVA foram superiores àquelas
apresentadas com quitosana (Figura 23).
65
37
0
5
10
15
20
25
30
35
Chi/Mu-IS
PVA/Mu-III
PVA/Mu-IS
Chi/Mu-III
37
0
5
10
15
20
25
30
35
25 37
0
5
10
15
20
25
30
35
Turbidez . 10
2
(%)
25 37
0
5
10
15
20
25
30
35
Temperatura (
o
C)
Figura 23. Comparações entre as afinidades de Mu-III ou Mu-IS com REVS-Chi e REVs-
Chi-PVA em função da concentração de Mu-III ou Mu-IS e da temperatura.
Foram realizadas comparações entre as quantidades de mucina
adsorvida e as cargas superficiais das partículas. O objetivo da análise foi o de
se estudar a importância das cargas superficiais opostas de Mu-III e as
diferentes partículas contendo ou não Chi e/ou PVA (que, por sua vez, não
tem carga, mas influencia a carga líquida da partícula) e o próprio Dtxd.
Observou-se uma correlação direta, R (coeficiente de correlação) entre
mucina adsorvida e carga superficial das partículas, ou seja, potencial
(Figura 24).
Em resumo as maiores contribuições para a adsorção das
partículas à mucina foram dadas pelo PVA (50 %), devido às pontes de
hidrogênio, seguida pela Chi (34%), devido às interações iônicas.
66
-12 -10 -8 -6 -4 -2 0
0
10
20
30
40
50
60
70
80
90
100
REVs/Dtxd
REVs-Chi/Dtxd
REVs-Chi
REVs-Chi-PVA/Dtxd
REVs
Mucina adsorvida (%)
Potencial (mV)
Figura 24. Correlação entre mucina adsorvida e o potencial zeta das diferentes
partículas.
3.2.4. Microscopias eletrônicas das REVs
As REVs foram fotografadas através de diferentes técnicas. As
partículas preparadas com PVA apresentaram um aumento de tamanho e de
definição de superfície. Estes dados corroboram aqueles obtidos por
espalhamento de luz (Tabela 4). Ou seja, as partículas de REVS-Chi/Dtxd são
maiores do que as de REVs-Chi-PVA/Dtxd (Figura 25 e Tabela 4). As
partículas de REVs-Chi-PVA são mais dispersas do que as REVs-Chi (Figura 25)
de acordo com outros dados da literatura (NAKANO, TOZUKA e TAKEUCHI,
2008; MARÓN et alii, 2007). É interessante notar como o PVA evitou a
agregação das partículas, aumento sua definição de superfície (Figura 25).
Estes resultados são superiores aqueles observados na literatura, onde as
partículas o são tão definidas (GORDON et alii, 2008; PREGO et alii, 2005;
JAIN, SHARMA e VYAS, 2006).
67
Erro! Não é possível criar objetos a partir de códigos de campo de edição.
Figura 25. Fotografia de REVs, REVs-Chi e REVs-Chi-PVA por Microscopia de inversão
de fase (- = 400 nm).
Muitos estudos com Chi são realizados com a formação de partículas
puras do polímero (LI et alii, 2008; HAAS et alii, 2005; KOKIL et alii, 2005;
PATEL et alii, 2005) e fica, portanto, difícil de comparar-se resultados da
literatura com os experimentos desta dissertação. As partículas aqui obtidas
tem um único compartimento aquoso interno (Figura 26). Na microscopia
confocal, observamos que houve a encapsulação da proteína marcada por
FITC no compartimento interno aquoso (Figura 26).
Através da microscopia eletrônica de transmissão observamos algumas
diferenças na morfologia das vesículas no que diz respeito a tamanho e
característica da borda: na amostra de REVs, observou-se uma borda formada
pela bicamada lipídica bem definida, marcada por ósmio que tem afinidade
por lipídeo (Figura 27).
Erro! Não é possível criar objetos a partir de códigos de campo de edição.
Figura 26. Fotografia de REVs-Chi-PVA por Microscopia confocal. Os verdes são Dtxd
marcado com FITC.
Erro! Não é possível criar objetos a partir de códigos de campo de edição.
Figura 27. Fotografias por Microscopia eletrônica de transmissão das diversas
formulações. REVs (A), REVs-Chi (B), REVs-Chi-PVA (C).
68
Na amostra de REVs-Chi, observou-se a bicamada lipídica bem definida
e, além disso, observou-se uma espécie de ―névoa‖ na Figura 27 (WU et alii,
2004) relativa à presença de quitosana. Como a quitosana tem facilidade em
atrair água, acaba por aumentar o raio da vesícula e, conseqüentemente, seu
tamanho. Na amostra de REVs-Chi-PVA, observou-se a bicamada lipídica bem
definida pela marcação com ósmio e uma ―névoa‖ condensada que é a
quitosana na presença do PVA.
Na microscopia de criofratura observamos REVs-Chi-PVA/Dtxd como um
lipossoma bem definido e com aspecto esponjoso. Não houve fratura nas
bicamadas, ou seja, o que se observou foi somente a superfície externa das
partículas (Figura 28). A falta de fratura pode ter sido devida ao
―endurecimento‖ das membranas e das lamelas, causado tanto pela quitosana
como pelo PVA (Figuras 16 e 17 e 27).
Erro! Não é possível criar objetos a partir de códigos de campo de edição.
Figura 28. Fotografia por Microscopia eletrônica de REVs-Chi-PVA/Dtxd. Fotografia da
réplica obtida por criofratura (freeze-fracture) de REVs-Chi-PVA/Dtxd.
3.2.5. Estudos de estabilidade das REVS-Chi
3.2.5.1. Estudos de estabilidade das REVS-Chi.
Sabe-se que os lipossomas são instáveis ao congelamento e liofilização.
A água de hidratação das cabeças polares dos fosfolipídeos é o que impede
com que, por exemplo, haja aproximação de duas partículas lipossomais numa
69
distância capaz de induzir a fusão das suas membranas. A trealose é um
açúcar que substitui a água de hidratação durante o processo de liofilização e
impede que as membranas se aproximem, durante a re-hidratação, causando
fusão (CROWE et alii, 1985; CARPENTER e CROWE, 1989; STRAUSS,
SCHURTENBERGER e HAUSER, 1986). Dentre os carboidratos estudados, sem
dúvida a trealose é a que substitui melhor a água de hidratação das cabeças
polares dos fosfolipídeos (QUINTILIO et alii, 2000). O efeito da crioproteção
da trealose na formulação de REVs-Chi-PVA/Dtxd foi estudado para que fosse
possível a preservação da formulação na forma liofilizada. Relembrando, a
trealose foi adicionada a todos os componentes aquosos da formulação a uma
concentração final de 400 mM de acordo com experiência anterior de nosso
laboratório (QUINTILIO et alii, 2000). Observou-se que a trealose retardou a
liberação de Dtxd tanto antes quanto depois da liofilização-rehidratação da
formulação (Figura 29). O efeito controlador da trealose na liberação foi mais
elevado após 240 minutos de incubação quando 79 % de Dtxd encapsulado
REVs-Chi (sem trealose) foi liberado em contraste com 19 % do REVs-Chi-Tre
que contém a trealose (Figura 29 A).
70
0 50 100 150 200 250
0
10
20
30
40
50
60
70
80
90
100
A
Liberação de Dtxd (%)
Tempo (minutos)
0 50 100 150 200 250
0
20
40
60
80
100
B
Figura 29. Efeito da trealose na cinética de liberação de Dtxd encapsulado em
partículas de REVs-Chi-PVA. A. As amostras de REVs-Chi-PVA/Dtxd foram preparadas na
ausência () e na presença () de trealose e incubadas imediatamente após sua preparação
em PBS. B. As formulações foram preparadas na ausência (□) ou na presença () de trealose
seguidas por congelamento e liofilização. Após a liofilização elas foram reidratadas e
incubadas em PBS a 37
o
C. Todas as amostras corresponderam a 100 % de atividade
imunológica, quando analisadas por ELISA.
A liofilização retardou a liberação de proteína na ausência de trealose
(Figura 30). Antes da liofilização observou-se uma liberação de 64,4 % do
Dtxd em 120 minutos e após a liofilização esse percentual cai para 35,6 %
(Figura 30-A). Com a trealose, observou-se um retardo menor na liberação
de Dtxd das partículas. Em 120 minutos, antes da liofilização, a liberação foi
de 27,8 % e após a liofilização foi de 18,6 % de Dtxd (Figura 30-B). É
importante ressaltar que todas as amostras corresponderam a 100 % de
atividade imunológica do Dtxd, quando analisadas por ELISA. Isto comprova o
efeito protetor da trealose sobre a proteína. O efeito protetor da trealose
sobre a membrana das REVs-Chi-PVA/Dtxd é deduzido indiretamente pelo fato
71
de não ter sido observada liberação total de Dtxd nos primeiros tempos da
incubação. Repetindo, se a membrana estivesse desestruturada, a maior
parte da proteína estaria nos primeiros tempos de incubação (Figuras 29 e
30). Além disto, observou-se uma partícula totalmente íntegra por
microscopia eletrônica após fratura (Figura 28).
Em resumo, a trealose protegeu ambas, proteína e partícula dos
efeitos deletérios da liofilização-rehidratação. Além disto, a trealose
exerceu um poder de retardar a liberação de do soluto das partículas de
REVs-Chi-PVA/Dtxd.
0 50 100 150 200 250
0
20
40
60
80
100
A
Libração de Dtxd (%)
Tempo (minutos)
0 50 100 150 200 250
0
20
40
60
80
100
B
Figura 30. Efeito da liofilização na cinética de liberação de Dtxd das partículas de
REVs-Chi-PVA/Dtxd. A. As amostras de REVs-Chi-PVA/Dtxd sem trealose incubadas antes () e
após a liofilização (□). B. As amostras de REVs-Chi-PVA/Dtxd com trealose incubadas antes
() e após () a liofilização. Todas as amostras corresponderam a 100 % de atividade
imunológica, quando analisadas por ELISA.
72
3.2.5.2. Estudos de estabilidade das REVS-Chi em simulados de suco
gástrico e suco intestinal
Não houve diferença significativa entre as quantidades de Dtxd
liberadas de REVs-Chi/Dtxd e REVs-Chi-PVA/Dtxd (Figura 31). Mas, observou-
se que ambos, Chi e PVA retardaram a liberação de Dtxd das formulações
REVs-Chi/Dtxd e REVs-Chi-PVA/Dtxd quando comparadas com REVs (Figura
31). Isto ocorreu tanto em simulados de suco gástrico (SG) quanto de suco
intestinal (SI) (Figura 31).
0 50 100 150 200 250
0
20
40
60
80
100
A
Liberação de Dtxd (%)
Tempo (minutos)
0 50 100 150 200 250
0
20
40
60
80
100
B
Figura 31. Cinética de liberação de Dtxd das diferentes formulações. As amostras das
diferentes formulações REVs (--), REVs-Chi (--) e REVs-Chi-PVA (--) foram incubadas em
suco gástrico (A) ou suco intestinal (B).
Todas as formulações resistiram aos extremos de pH, um dos principais
fatores ligados à degradação de destas partículas principalmente nas suas
73
características de controlar a liberação do soluto. Em resumo, deduziu-se que
as partículas estavam íntegras porque continuaram controlando a liberação de
Dtxd. Esta interpretação é baseada em análises semelhantes (COSTA-JÚNIOR,
PEREIRA e MANSUR, 2009; AHIRE et alii, 2007; VAN DER LUBBEN et alii, 2003).
Concluiu-se que as partículas revestidas por Chi e Chi-PVA resistiram
aos extremos de pH do suco gástrico e suco intestinal e portanto
continuaram a controlar a liberação do soluto.
3.3. Estudos in vivo
3.3.1. Ensaios Biológicos
Para racionalizar a apresentação destes resultados, é bom que
tenhamos alguns critérios internos para as comparações, uma vez que a
literatura a respeito é pouca ou mesmo inexistente (se considerarmos o
tipo de partícula: lipossomas revestidos por Chi). Para simplificar,
consideremos o seguinte:
a. Os lipossomas são adjuvantes de vacinas (ALLISON e GREGORIADIS,
1974). Entretanto, dada a sua instabilidade frente às fosfolipases
intestinais, são inadequados para uso oral. Como adjuvantes, não são
hábeis para imunomudulação (como transformar uma resposta Th1 em
Th2, por exemplo); podem atingir um alvo específico
(imunolipossomas); são ótimos para apresentação de antígenos; bons
74
para indução de resposta CTL e não atuam como um depósito (RAO e
ALVING, 2000; BRAYDEN, 2001).
b. Os REVs-Chi podem ser considerados lipossomas funcionalizados, ou
seja, resistem ao trato gastrointestinal por causa do revestimento
interno e externo com a Chi (HAGENAARS et alii, 2009; GORDON et alli,
2008; AMIDI et alii, 2007 e SANYOG et alii, 2006) e são capazes de
interagir com o muco presente nas mucosas por causa também da Chi
(HE, DAVIS e ILLUM, 1998; TAKEUCHI, YAMAMOTO e KAWASHIMA, 2001;
PREGO et alii, 2005; TAKEUCHI et alii, 2005; CHAYED et alii, 2007;
SVENSSON, THURESSON e ARNEBRANT, 2008).
c. Teoricamente poderiam ter uma ação de depósito adicional, em
relação aos REVs tradicionais (MARÓN et alii, 2007). Teoricamente
os REVs-Chi poderiam tem as mesmas ações que os lipossomas
convencionais com a vantagem de serem mais resistentes do que os
REVs tradicionais tanto in vitro quanto in vivo. A vantagem do uso
de PVA nos REVs-Chi-PVA, inicialmente, era o de produzir se uma
partícula dispersa, evitando a agregação (Figuras 25- 28).
Os anticorpos IgA anti-Dtxd foram analisados nas amostras de saliva e
lavados vaginais dos camundongos previamente imunizados com as diferentes
formulações. Foram produzidos IgAs em todos os animais imunizados, tanto
com a Dtxd livre quanto com a Dtxd veiculada nas diferentes formulações
(Figura 32 e 33). Indubitavelmente, as partículas REVs, REVs-Chi e REVs-Chi-
PVA atuaram com adjuvantes. A maior produção de IgA salivar foi observada
75
nos animais que foram imunizados via SC (subcutânea) com Dtxd encapsulada
em REVs-Chi-PVA (Figura 32 e 33).
Livre
REVs/Dtxd
REVsChi/Dtxd
REVsChiPVA/DtxdDtxd
--
0
1
2
3
4
5
6
7
A
IgA salivar (Log
2
título)
Livre
REVs/Dtxd
REVsChi/Dtxd
REVsChiPVA/Dtxd
--
0
1
2
3
4
5
6
7
B
Figura 32. Produção de IgA salivar contra Dtxd nas diferentes formulações. Os
camundongos foram injetados com 5 g de Dtxd Livre ou encapsulada em REVs, REVs-Chi e
REVs-Chi-PVA. Vias de administração: (A) oral e (B) subcutânea. Os tulos foram medidos no
final do experimento, ou seja, 56 dias após a imunização.
A quantidade de IgA salivar produzida por animais imunizados
oralmente com Dtxd veiculada em REVs-Chi ou REVs-Chi-PVA foi a mesma, o
que indica que o PVA não interferiu como adjuvante na formulação para
vacina oral quando comparado com REVs-Chi (Figura 32 A e 33), mas sim
na vacina subcutânea (Figuras 32 B e 33).
Houve uma correlação direta entre produção de IgA salivar tanto
animais injetados através da via oral (Figura 34 A, R = 0,91766) quanto
da via subcutânea (Figura 34 B, R = 0,99718) e a interação de Mu com
REVs ou as partículas revestidas quer seja com Chi ou com Chi-PVA
76
(Figura 34). A interação com Mu-III aqui, poderia ser um indicativo que in
vitro teria havido um efeito de depósito das partículas.
Livre REVs REVs Chi REVs-Chi-PVA
0,0
0,5
1,0
1,5
2,0
2,5
3,0
3,5
4,0
4,5
5,0
5,5
6,0
6,5
7,0
Produção relativa total de IgA salivar
Formulações
Figura 33. Comparação entre as produções IgA salivar nas diferentes formulações. Os
camundongos foram injetados com 5 g de Dtxd Livre ou encapsulada em REVs, REVs-Chi e
REVs-Chi-PVA. Vias de administração: () oral e () subcutânea. A quantidade de IgA
produzida pelos camundongos injetados com Dtxd livre foi considerada o valor unitário. As
outras produções de IgA foram tomadas em relação ao Dtxd livre.
0 20 40 60 80
-1
0
1
2
3
4
5
6
7
A
B
c
a
b
c
a
b
IgA salivar (Título)
Adsorção das partículas contendo Dtxd a Mu-III (%)
0 20 40 60 80
-1
0
1
2
3
4
5
6
7
Figura 34. Correlação entre as produções de IgA salivar e a adsorções das diferentes
partículas à Mu-III. Os camundongos foram imunizados através da via oral (A, R = 0,91766) ou
subcutânea (B, R = 0,99718) com 5 g de Dtxd encapsulados nas diferentes formulações (a)
REVs/Dtxd, (b) REVs-Chi/Dtxd ou (c) REVs-Chi-PVA/Dtxd.
77
Não houve produção de IgA anti Dtxd na secreção vaginal tanto nos
animais imunizados através da via oral quanto nos animais imunizados através
da via subcutânea quando o Dtxd foi administrado na forma livre. Em
contrapartida, houve produção de IgA anti Dtxd na secreção vaginal tanto nos
animais imunizados através da via oral quanto nos animais imunizados através
da via subcutânea em todas as formulações lipossomais.
Quando os animais foram imunizados oralmente com Dtxd encapsulado
em REVs a resposta imunológica foi a menor de todas (Figura 35 A) e não
respondeu ao reforço (Figura 35 A). Ambas as formulações REVs-Chi/Dtxd e
REVs-Chi-PVA/Dtxd produziram mais anticorpos do que REVs/Dtxd. REVs-
Chi/Dtxd retardou a resposta em relação à REVs/Dtxd. REVs-Chi-PVA/Dtxd
induziu o aumento de produção de IgA anti-Dtxd desde os primeiros dias após
imunização (Figura 35 A). A resposta ao reforço foi mais acentuada nos
animais imunizados com REVs-Chi/Dtxd, mas foi menor (em quantidade) do
que aquela produzida pelos animais imunizados com REVs-Chi-PVA/Dtxd
(Figura 35 A).
Quando os animais foram imunizados subcutaneamente com Dtxd
encapsulado em REVs a resposta imunológica foi a menor de todas (Figura 35
B), mas respondeu ao reforço embora que tardiamente (Figura 35 B). Ambas
as formulações REVs-Chi/Dtxd e REVs-Chi-PVA/Dtxd produziram mais
anticorpos do que REVs/Dtxd. A resposta ao reforço foi menos acentuada e
menor (em quantidade) nos animais imunizados com REVs-Chi/Dtxd do que
aquela produzida pelos animais imunizados com REVs-Chi-PVA/Dtxd (Figura
35 B).
78
0 10 20 30 40 50 60
-1
0
1
2
3
4
5
6
7
8
A
IgA de secreção vaginal (Log
2
título)
Tempo (dias)
0 10 20 30 40 50 60
-1
0
1
2
3
4
5
6
7
8
B
Figura 35. Comparação entre as produções de IgA vaginal em resposta a diferentes
formulações administradas em via oral (A) e subcutânea (B). O Dtxd (5 g) foi injetado nas
formas Livre (-ο-), REVs (--), REVs-Chi (--) e REVs-Chi-PVA (--). Dose de reforço: foram
usadas as mesmas quantidades de Dtxd e nas mesmas formulações ().
0 20 40 60 80
-1
0
1
2
3
4
5
6
7
8
B
b
a
c
b
a
A
c
IgA vaginal (Título)
Adsorção das partículas contendo Dtxd a Mu-III (%)
0 20 40 60 80
-1
0
1
2
3
4
5
6
7
8
Figura 36. Correlação entre as produções de IgA vaginal e a adsorções das diferentes
partículas com Mu-III. Os camundongos foram imunizados através da via oral (A, R = 0,99718)
ou subcutânea (B, R = 0,98624) com 5 g de Dtxd encapsulados nas diferentes formulações
(a) REVs/Dtxd, (b) REVs-Chi/Dtxd ou (c) REVs-Chi-PVA/Dtxd.
79
Houve uma correlação direta entre produção de IgA vaginal tanto
animais injetados através da via oral (Figura 36 A, R = 0,99718) quanto
da via subcutânea (Figura 36 B, R = 0,98624) e a interação de Mu com
REVs ou as partículas revestidas quer seja com Chi ou com Chi-PVA
(Figura 36).
Houve produção de IgG
1
em todos os animais imunizados tanto através
da via oral (Figura 37 A) quanto naqueles imunizados através da via
subcutânea (Figura 37 B) com todas as formulações lipossomais usadas e
também com Dtxd administrado na forma livre. Foram observadas produções
de IgG
1
anti-Dtxd desde os primeiros dias após a imunização, mas as respostas
foram maiores nas formulações com Chi ou Chi-PVA em comparação a REVs e
à forma livre (Figura 37 A). Este efeito foi muito mais acentuado naqueles
animais imunizados através da via subcutânea (Figura 37 B). Foram
observadas respostas à dose de reforço em todas as vias e com todas as
formulações usadas, exceto na via subcutânea para o Dtxd administrado
livremente (Figura 37 A e B).
80
0 10 20 30 40 50 60
-1
0
1
2
3
4
5
6
7
8
9
10
11
12
13
A
IgG
1
(Log
2
título)
Tempo (dias)
0 10 20 30 40 50 60
-1
0
1
2
3
4
5
6
7
8
9
10
11
12
13
B
Figura 37. Títulos de IgG
1
nas diferentes formulações administradas em via oral (A) e
subcutânea (B). O Dtxd (5 g) foi injetado nas formas Livre (-ο-), REVs (--), REVs-Chi (--) e
REVs-Chi-PVA (--). Dose de reforço: as mesmas quantidades de Dtxd e nas mesmas
formulações ().
Houve produção de IgG
2a
nos animais imunizados com as formulações
REVs-Chi/Dtxd e REVs-Chi-PVA/Dtxd através da via oral (Figura 38 A) e nos
animais imunizados com as formulações REVs-Chi/Dtxd e REVs-Chi-PVA/Dtxd e
REVs através da via subcutânea (Figura 38 B). Nitidamente observou-se aqui
que apesar das REVs terem um efeito adjuvante, este não se manifesta
nos animais imunizados oralmente por causa da destruição dos
lipossomas pelo trato gastrointestinal. O Dtxd livre também é destruído
nos animais imunizados oralmente por causa do trato gastrointestinal
(Figura 38 A) e por isto se produz IgG
2a
nos animais injetados
subcutaneamente (Figura 38 B).
Foram observadas produções de IgG
2a
anti Dtxd desde os primeiros dias
após a imunização, mas as respostas foram maiores nas formulações com Chi
81
ou Chi-PVA em comparação a REVs e à forma livre (Figura 38 A). Este efeito
foi muito mais acentuado naqueles animais imunizados através da via oral
(Figura 38 A). Foram observadas respostas à dose de reforço em todas as vias
e com todas as formulações usadas, exceto na via oral (REVs e Dtxd livre)
(Figura 38 A) e na via subcutânea para o Dtxd administrado livremente
(Figura 38 B).
0 10 20 30 40 50 60
-1
0
1
2
3
4
5
6
7
8
9
10
11
12
13
A
IgG
2a
(Log
2
título)
Tempo (dias)
0 10 20 30 40 50 60
-1
0
1
2
3
4
5
6
7
8
9
10
11
12
13
B
Figura 38. Títulos de IgG
2a
nas diferentes formulações administradas em via oral (A) e
subcutânea (B). O Dtxd (5 g) foi injetado nas formas Livre (-ο-), REVs (--), REVs-Chi (--) e
REVs-Chi-PVA (--). Dose de reforço: as mesmas quantidades de Dtxd e nas mesmas
formulações ().
Após a administração da dose de reforço, observaram-se os seguintes
fatos:
Os camundongos responderam à dose de reforço de acordo com a
complexidade das formulações. Não houve produção de IgA anti-Dtxd após a
82
dose de reforço nos animais imunizados com a formulação livre (Figura 39 A,
B, C, e D).
Houve uma correlação direta entre a complexidade da formulação
e resposta secundária quanto a produção de IgA ou seja, REVs < REVs-Chi
< REVs-Chi-PVA, tanto após 7 dias (Figura 39 A e B) quanto após 26 dias
(Figura 39 C e D) da administração da dose de reforço.
0 1 2 3 4
0
2
4
6
8
d
d
d
a
c
c
c
b
b
b
c
b
a
a
a
dC D
A
B
0 1 2 3 4
0
2
4
6
8
0 1 2 3 4
0
2
4
6
8
Log
2
título de IgA vaginal anti-Dtxd
0 1 2 3 4
0
2
4
6
8
Formulações
Figura 39. Correlação entre a produção de IgA anti-Dtxd depois da dose de reforço e
a complexidade das formulações. Foram analisadas as produções de IgA anti-Dtxd 7 dias após
a administração da dose de reforço em animais imunizados via oral (A) ou subcutânea (B).
Foram analisadas as produções de IgA anti-Dtxd 26 dias após a administração da dose de
reforço em animais imunizados via oral (C) ou subcutânea (D). Considerou-se a complexidade
das formulações de acordo com a seguinte ordem: Livre (a) < REVs (b) < REVs-Chi (c) < REVs-
Chi-PVA (d). As correlações entre produções de IgA e complexidades da formulações foram: A
= 0,98978; B = 0,9845; C = 0,97683 e D = 0,9798.
Não houve resposta secundária em relação ao IgG
1
quando o toxóide
diftérico foi administrado livre aos animais (Figura 40 B, C, e D), salvo na
administração por via oral após 7 dias da dose de reforço (Figura 40 A).
83
Houve uma correlação direta entre a complexidade da formulação
e resposta secundária quanto a produção de IgG
1,
ou seja, livre < REVs <
REVs-Chi < REVs-Chi-PVA, após 26 dias (Figura 40 C e D) da administração
da dose de reforço. Após 7 dias tanto REVs-Chi quanto REVs-Chi-PVA
apresentaram a mesma resposta secundária quanto à produção de IgG
1
(Figura 40 A e B).
0 1 2 3 4
0
2
4
6
8
10
12
d
d
d
c
c
c
b
b
b
d
c
b
a
a
a
a
C
D
A B
Log
2
título de IgG
1
anti-Dtxd
0 1 2 3 4
0
2
4
6
8
10
12
0 1 2 3 4
0
2
4
6
8
10
12
Formulações
0 1 2 3 4
0
2
4
6
8
10
12
Figura 40. Correlação entre a produção de IgG
1
anti-Dtxd depois da dose de reforço e
a complexidade das formulações. Foram analisadas as produções de IgG
1
anti-Dtxd 7 dias
após a administração da dose de reforço em animais imunizados via oral (A) ou subcutânea
(B). Foram analisadas as produções de IgG
1
anti-Dtxd 26 dias após a administração da dose de
reforço em animais imunizados via oral (C) ou subcutânea (D). Considerou-se a complexidade
das formulações de acordo com a seguinte ordem: Livre (a) < REVs (b) < REVs-Chi (c) < REVs-
Chi-PVA (d). As correlações entre produções de IgG
1
e complexidades da formulações foram:
A = 0,92338; B = 0,94728; C = 0,94868 e D = 0,96833.
Não houve resposta secundária quando o toxóide foi administrado
livre e em REVs, por via oral, aos animais (Figura 41 A e C). Na via oral,
tanto em 7 dias quanto 26 dias após a dose de reforço a resposta secundária
84
para REVs-Chi foi maior do que para REVs-Chi-PVA (Figura 41 A e C). Isto se
resume em: Livre = REVs < REVs-Chi >REVs-Chi-PVA.
Houve uma correlação direta entre a complexidade da formulação
e resposta secundária quanto à produção de IgG
2a
ou seja, livre < REVs <
REVs-Chi. Porém a resposta da produção de IgG
2a
às formulações de
REVs-Chi e REVs-Chi-PVA foram iguais, tanto após 7 dias (Figura 41 B)
quanto após 26 dias (Figura 41 D) da administração da dose de reforço
pela via subcutânea (Figura 41 B e D).
0 1 2 3 4
0
2
4
6
8
10
12
d
d
d
c
c
c
b
b
b
b
c
d
a
a
a
B
D
C
a
A
Log
2
título de IgG
2a
anti-Dtxd
0 1 2 3 4
0
2
4
6
8
10
12
0 1 2 3 4
0
2
4
6
8
10
12
Formulações
0 1 2 3 4
0
2
4
6
8
10
12
Figura 41. Correlação entre a produção de IgG
2a
anti-Dtxd depois da dose de reforço
e a complexidade das formulações. Foram analisadas as produções de IgG
1
anti-Dtxd 7 dias
após a administração da dose de reforço em animais imunizados via oral (A) ou subcutânea
(B). Foram analisadas as produções de IgG
2a
anti-Dtxd 26 dias após a administração da dose
de reforço em animais imunizados via oral (C) ou subcutânea (D). Considerou-se a
complexidade das formulações de acordo com a seguinte ordem: Livre (a) < REVs (b) < REVs-
Chi (c) < REVs-Chi-PVA (d). As correlações entre produções de IgG
2a
e complexidades da
formulações foram: A = 0,82572; B = 0,84366; C = 0,81409 e D = 0,85399.
85
4. Discussão
A difteria é uma doença cuja manifestação clinica resulta da ação de uma
toxina extracelular produzida pela bactéria Corynebacterium diphtheriae. A
imunização rotineira contra difteria foi introduzida nas décadas de 40 e 50,
levando a quase completa erradicação desta nos países desenvolvidos e na
Europa na década de 80. No entanto essa doença é endêmica em algumas partes
do mundo e desde 1980 algumas epidemias têm ocorrido na Europa. A mais
importante foi a que ocorreu na Rússia e na Ucrânia em 1994, onde a OMS
registrou 47.000 casos da doença e 1.700 mortes (WHO, 2009). As principais
razões para a epidemia na Europa m sido a baixa cobertura da vacina, a
queda da imunidade em adultos e a movimentação de refugiados. É
recomendável, segundo a WHO, o reforço na vacinação de adultos. No Brasil a
difteria encontra-se sob controle: em 2001 foram registrados 19 casos e 3 mortes
e em 2008, nenhum caso (MS, 2009) (Figura 42). A situação de controle da
difteria no Brasil é conseguida com a manutenção de altas coberturas vacinais
com a vacina DPT em menores de um ano, e a revacinação com a vacina dupla
adulto (DT) a cada 10 anos. Para diminuir ainda mais a incidência dessa doença é
feito também o aprofundamento da situação de controle, por meio do
fortalecimento da vigilância epidemiológica e da elevação e homogeneidade das
coberturas vacinais em cada município (MS, 2009). Portanto, de um modo geral
(MS, 2009; WHO, 2009) a situação só é controlável se continuarem as vacinações.
86
A doença
Difteria e tétano são doenças bacterianas agudas e muitas vezes fatais,
nas quais a manifestação clínica não é devida a uma infecção invasiva, mas
devido à liberação de toxinas potentes que por sua vez causam os danos no
paciente. Por esta razão, ambas as doenças podem ser prevenidas pela presença
de anticorpos neutralizantes, que podem ser induzidos através de imunização
com as formas não tóxicas da toxina ou por imunização passiva (soro hiper-
imune, como é aquele produzido por cavalos imunizados).
Ramon, na França em 1924 (RAMON, 1924) e Glenny e Hopkins na
Inglaterra (GLENNY e HOPKINS, 1923) descobriram um método eficaz de
destoxificação das toxinas tetânica e diftérica através do tratamento com
formaldeído, o que permitiu a erradicação destas doenças nos países
desenvolvidos (RAPPUOLI, 1997). As vacinas contra difteria (D) e tétano (T)
continuam a ser preparadas até a atualidade através do método de
destoxificação descrito por Ramon (RAPPUOLI, 1997). Apesar de estas vacinas
serem efetivas, todas são de um baixo grau de pureza e têm sido associadas com
alguns efeitos colaterais indesejáveis. Conseqüentemente é relevante o
desenvolvimento tecnológico de vacinas mais avançadas, onde se purifique mais
o antígeno ao mesmo tempo em que se proponha um adjuvante mais potente
que o tradicional hidróxido de alumínio.
As vacinas D e T são geralmente associadas à vacina celular contra
pertussis (DTP). Em alguns países se associam D e T a uma vacina acelular
contra pertussis. Entretanto têm sido observadas quedas de potência na vacina
acelular tripla (DTaP) uma vez que não se encontram aqueles componentes da
parede bacteriana de Bordetella pertussis (RAPPUOLI, 1997) que têm um efeito
87
adjuvante para D e T. Torna-se, portanto relevante que se estude também um
método de se veicular estes antígenos para se aumentar a imunogenicidade (o
veiculo pode atuar também como adjuvante) e potência destas vacinas de
segunda geração.
Figura 42. Distribuição de casos confirmados de difteria no Brasil entre 1997 e 2006
(Sinan/SVS/MS, 2007).
Os métodos de vacinação parenteral que necessitam de agulhas, são
invasivos e, além disso, são rejeitados pela maioria dos pacientes. Os altos
custos de uma campanha de vacinação envolvem a necessidade de se ter pessoal
treinado e material descartável para se evitar o risco de contaminações como
AIDS e hepatite. As vacinas administradas através da via parenteral estimulam a
uma resposta sistêmica e, conseqüentemente, os anticorpos gerados desta
88
maneira não alcançam a superfície das mucosas que, por sua vez, são a porta de
entrada para a maioria dos agentes infecciosos com é o caso da difteria. A
imunização de mucosa é a primeira defesa imunológica (produção de IgA) que
prevê o ataque dos agentes infecciosos e previnem danos maiores ao organismo
(JAIN, SHARMA e VYAS, 2006; MEDINA e GUZMAN, 2000). Portanto a imunização
oral é o meio mais seguro e conveniente na indução de imunidade de mucosa.
Portanto é atual, relevante e desejável que se busque um adjuvante de
mucosa que seja também um bom veículo para antígenos como o toxóide
diftérico. Nesta tese, o veículo com propriedades adjuvantes estudado foi o
lipossoma. As vantagens do uso de lipossomas, por exemplo, como adjuvante e
transportador de vacinas é que vários antígenos podem ser associados a uma
mesma formulação (GREGORIADIS et alii, 1993). Com isto cópias múltiplas dos
antígenos são ―entregues‖ ao sistema imunológico de uma só vez. Entretanto, os
lipossomas não resistem à ação dos sais biliares e das enzimas do trato
gastrointestinal reduzindo, portanto, o seu uso em veiculação de vacinas orais.
Mais recentemente, o desenvolvimento de uma partícula lipossomal resistente
ao sistema digestório passou pelo uso de quitosana como revestimento (MARÓN
et alii, 2007; GUZEY e McCLEMENTS, 2007; HARNSLAWAT, PONGSAWATMANIT e
McCLEMENTS, 2006; AOKI, DEKER e McCLEMENTS, 2005; GU, DEKER e
McCLEMENTS, 2005; KLINKERSON et alii, 2005
a
; 2005
b
; MERTINS et alii, 2005; WU
et alii, 2004; OGAWA, DEKER e McCLEMENTS, 2003; RENGEL et alii, 2002;
TACHEUCHI, YAMAMOTO e KAWASHIMA, 2001; FILIPOVIC-GRCIC, SKALKO-BASNET
e JALSENJAK, 2001). Parte do problema de estabilidade lipossomal, frente ao
meio biológico é resolvida (MARÓN et alii, 2007; GUZEY e McCLEMENTS, 2006;
HARNSILAWAT, PONGSAWATMANIT e McCLEMENTS, 2006; AOKI, DEKER e
89
McCLEMENTS, 2005; GU, DEKER e McCLEMENTS, 2005; KLINKERSON et alii, 2005
a
;
2005
b
; MERTINS et alii, 2005; WU et alii, 2004; OGAWA, DEKER e McCLEMENTS,
2003; RENGEL et alii, 2002; TAKEUCHI, YAMAMOTO e KAWASHIMA, 2001;
FILIPOVIC-GRCIC, SKALKO-BASNET e JALSENJAK, 2001), mas, a estabilidade da
formulação quanto à possível agregação das partículas (MARÓN et alii, 2007)
foi resolvida totalmente esclarecida e resolvida nesta dissertação, como será
discutido mais para frente. Outro obstáculo a ser vencido numa formulação
lipossomal através do método de formação de REVS (MARÓN et alii, 2007) era o
da estabilidade do toxóide diftérico frente à sonicação e ao solvente usado na
primeira fase da formação de vesículas.
A fase de formação da micela reversa (etapa 1-3, Figura 1) submete a
proteína às pressões altas; gradientes de temperaturas; forças de cisalhamento;
possibilidades de oxidação e à ação de radicais livres. Com o cisalhamento da
fase aquosa aumentam-se as interfaces hidrofóbicas (o que é uma grande
desvantagem do método, MERTINS et alii, 2005). Tudo isto pode levar à adsorção
da proteína, seguidas por desenovelamento e agregação, como o descrito para
métodos de emulsificação semelhantes (NAMUR et alii, 2009; PÉREZ-RODRIGUES
et alii, 2003; REZ, DE JÉSUS e GRIEBENOW, 2002; MEINEL et alii, 2001; DIWAN
e PARK, 2001; CASTELLANOS et alii, 2002; WEERT et alii, 2000; SAH, 1999
a
; SAH,
1999
b
; XING et alii, 1996).
Ao longo dos últimos 30 anos foram descritos vários agentes protetores de
desnaturação de proteínas durante suas microencapsulações. O que ocorre na
literatura é a adição indiscriminada de agentes (BSA, sacarose, surfactantes não
iônicos e PEG) potencialmente estabilizantes sem haver uma definição com uma
discussão detalhada sobre a estrutura da proteína estudada e o que se estaria
90
estruturalmente protegendo (NAMUR et alii, 2009). Naturalmente, que a
estrutura da proteína praticamente definiria o uso do aditivo escolhido para
protegê-la. As generalizações que são feitas ficam então prejudicadas (NAMUR et
alii, 2009).
Admitiu-se que o mais simples então, seria o uso moléculas mais simples
como os sais da série de Hoffmeister (NAMUR et alii, 2009), de longo uso na
literatura. Vale ressaltar, que uma discussão profunda do efeito destes sais em
nível molecular ainda é um campo em aberto, fugindo do escopo desta
dissertação, uma vez que existem várias teorias (ZHANG e CREMER, 2006; DÉR et
alii, 2007; BOSTRÖM, WILLIAMS e NINHAM, 2003). Geralmente sabe-se que certos
sais, chamados de caotrópicos, desestabilizam muitas proteínas quando
adicionados às suas soluções e contrariamente, os cosmotrópicos as estabilizam
(DÉR et alii, 2007). De um modo geral o efeito dos sais da série de Hoffmeister é
mais acentuado pelos anions do que pelos cátions (ZHANG e CREMER, 2006).
Ao contrário de outras investigações onde o caotrópico SCN
-
protegeu o
Dtxd de precipitação (95 % de recuperação) na agitação em presença de CH
2
Cl
2
(NAMUR et alii, 2009) aqui, nesta dissertação, houve diminuição da solubilidade
em 73 % na presença de CH
3
CO
2
C
2
H
5
. Ambos são solventes orgânicos e a proteína
é a mesma! Resumindo, a solubilidade de Dtxd passou de 95 % quando sonicado
na presença de CH
2
Cl
2
para 27 % na presença de CH
3
CO
2
C
2
H
5
, ambos contendo
SCN
-
. Além disto, houve muitas diferenças nas frações solúveis do Dtxd sonicado
na presença de CH
2
Cl
2
ou na presença de CH
3
CO
2
C
2
H
5
. Sabe-se, pela literatura
(THOMAS, BOZEMAN e LEARN, 1991) que o SCN
-
pode ser oxidado por peroxidase
em solução. Aqui, o mecanismo de oxidação seria outro. Muito provavelmente na
91
situação gerada pela sonicação houve formação de radicais
.
OH, que podem ter
reagido com o SCN
-
, formando o ácido hipotiocianoso.
Assim,
SCN
-
+
.
OH HOSCN (1)
O HOSCN é um agente oxidante fraco que reage com grupos sulfidrila,
como, por exemplo, no Dtxd. Numa forma simplista, o Dtxd poderia ser
representado como FA-S-S-FB (NAMUR e BUENO DA COSTA, 2004), poderia ter
sido convertido em derivados tiocianato-sulfenila ou disulfetos (RSSCN ou RSSR)
como foi descrito para outras moléculas (THOMAS, BOZEMAN e LEARN, 1991).
Assim, propõe-se que a reação seja a seguinte:
2 HOSCN + FA-S- S-FB FA-S-SCN + FB-S-SCN + 2
.
OH (2)
Por esta razão é que a diminuição de monômeros de Dtxd teria ocorrido in
tandem com o aumento de FA e FB (Figura 4).
O interessante foi que todos os outros íons estudados, exceto o PO
4
2-
independentemente de serem caotrópicos (SCN
-
e Mg
2+
) ou cosmotrópicos (Cl
-
)
diminuíram a solubilidade de Dtxd durante a sonicação. Portanto o íon escolhido
para a formulação de Dtxd em REVs foi o PO
4
2-
. O mecanismo de ação deste íon,
como de outros, ainda é um fenômeno em aberto. As variações da água de
hidratação pela adição de sais o explica o efeito específico dos íons (ZHANG e
CREMER, 2006; BIRESAW, McKENZIE e BUNTON, 1985). O Dtxd estava em água e
os íons foram adicionados após. Neste pH 6,5 a carga líquida de Dtxd era
negativa e estava a 2,3 unidades de pH acima de seu pI (CAMPANA et alii, 2004).
92
Portanto é razoável supor que uma interação iônica entre o Dtxd- carregado
negativamente- com o Mg
2+
desfavoreceria a solubilidade, ou seja, precipitaria a
proteína após o contacto com a interface orgânica, maximizada pela sonicação a
40 W que aumentou enormemente a área de contacto. Portanto, aqui, o
fenômeno de Hoffmeister precisa ser entendido em termos de interações entre
íons e as macromoléculas (NAMUR, et alii, 2009; ZHANG e CREMER, 2006). O íon
escolhido para ser usado na formulação foi o PO
4
2-
por ter protegido a
conformação ―nativa‖ (inicial) do Dtxd: sem desenovelamento, sem exposição de
resíduos hidrofóbicos e imunologicamente reconhecida. O Dtxd encapsulado em
REVs-Chi-PVA nestas condições foi liberado controladamente e com a
conformação imunologicamente reconhecida (Figura 29). Esta formulação de
REVs, a REVs-Chi-PVA/Dtxd, foi estabilizada graças às presenças de Chi e PVA.
A maior vantagem do uso de Chi no desenvolvimento de partículas para
veículos de uso oral é a sua alta propriedade de mucoadesão devido, segundo a
literatura, às interações iônicas entre os grupos aminos primários carregados
positivamente deste polímero e os grupos dos ácidos siálico e sulfônico,
carregados negativamente presentes no muco (CHAYED e WINNIK, 2007; ILLUM,
JABBAL-GILL e HINCHCLIFFE, 2001; HASSAN e GALLO, 1990). Nesta dissertação, a
Chi aumentou em 35 % a adesibilidade das vesículas REVs-Chi em relação às REVs
(Figura 20), o que é corroborado por outros dados da literatura (CHAYED e
WINNIK, 2007; ILLUM, JABBAL-GILL e HINCHCLIFFE, 2001; TAKEUCHI et alii,
1996; HASSAN e GALLO, 1990). Este aumento de 35 % na adesibilidade de REVs-
Chi à mucina, obtido nesta dissertação, poderia ser ainda melhorado.
Sabe-se que a propriedade de mucoadesibilidade da Chi pode ser
aumentada através da formação de derivados contendo lipídeos (SVENSSON,
93
THURESSON e ARNEBRANT, 2008) ou grupo tiol (BERNKOP-SCHNÜRCH et alii,
2006), dentre outros. Estes grupos tióis na Chi formam ligações S-S com regiões
ricas em resíduos de cisteínas no muco (BERNKOP-SCHNÜRCH, et alii, 2006;
ROLDO et alii, 2004; LEITNER et alii, 2004), o que explicaria a sua maior
adesibilidade. Entretanto, estas modificações químicas de Chi, implicam em
aumento de custo (reagente; pessoal) e, para uma ampla utilização em saúde
pública, não é desejável na formulação em estudo (MARTINO, SITTINGER e
RISBUD, 2005; HUANG et alii, 2005
a
; KHOR e LIM, 2003; MADIHALLY e MATTEW,
1999). Mas, restava uma questão em aberto: a agregação das partículas de
REVs-Chi entre si. O PVA foi usado, como em outras preparações da literatura
como um ―surfactante‖ não iônico para evitar que as partículas se colabassem e
se agregassem (BUENO DA COSTA, 2000).
Além do efeito estabilizador do PVA, o mais interessante a ser notado
nesta dissertação foi a imensa afinidade de PVA pela Mu- III (Figura 19). Houve
uma diferença de 2000 vezes da sua afinidade pela mucina quando comparado
com a afinidade da Chi pela Mu-III. Este fato foi explorado aqui, adicionando-o à
formulação de REVs-Chi, transformando-a em REVs-Chi-PVA. Sabe-se que a
afinidade grande pela Mu-III seria esperada pela Chi particulada (CUI, QIAN e
YIN, 2006; TAKEUCHI, YAMAMOTO e KAWASHIMA, 2001), mas não pelo PVA (HE,
DAVIS e ILLUM, 1998), apesar de ter sido observado aqui (Figuras 19 e 20).
Foram observadas diferentes proporções de adesão entre PVA-mucina, indo de
0,5 % (HE, DAVIS e ILLUM, 1998) até 22 % (TAKEUCHI et alii, 1996). Aqui, os
sistemas de estudo foram mais complexos: a Chi estava adsorvida às REVs de
SPC: Cho (6:1); o PVA estava adsorvido às REVs-Chi. Portanto, no sistema
particulado (REVs-Chi-PVA) tinha muito menos PVA disponível para ser adsorvido
94
à Mu- III do que em solução. Mesmo assim, as REVs-Chi-PVA se adsorveram 20 % a
mais à Mu-III do que as REVs-Chi (Figura 20). O mais interessante seria ver se
haveria correlação entre o comportamento destas partículas in vitro com suas
utilizações in vivo.
As interações entre partículas revestidas por Chi e mucina têm sido
explicadas como sendo de natureza iônica (CHAYED e WINNIK, 2007; TAKEUCHI
et alii, 2005; ILLUM, JABBAL-GILL e HINCHCLIFFE, 2001; HE, DAVIS e ILLUM,
1998; TAKEUCHI et alii, 1996; HASSAN e GALLO, 1990). Entretanto se se
consideram que os potenciais das partículas lipossomais observados nesta
dissertação (REVs; REVs-Chi; REVs-Chi-PVA foram - 9,40, -4,66 e -7,51) foram
todos negativos e que a mucina tem também carga negativa, deveria haver uma
repulsão entre as REVs e Mu e não atração como a que se observou (Figura 20).
Na melhor das hipóteses, a interação não deveria existir e isto contraria a
literatura (CHAYED e WINNIK, 2007; TAKEUCHI et alii, 2005; ILLUM, JABBAL-GILL
e HINCHCLIFFE, 2001; HE, DAVIS e ILLUM, 1998; TAKEUCHI et alii, 1996; HASSAN
e GALLO, 1990).
A melhor hipótese que se aceita é que a natureza da interação entre PVA
e Mu seja através de pontes de hidrogênio, como o que se observou nesta
dissertação. Portanto, a capacidade de formar pontes de hidrogênio com a
mucina é um requerimento sem o qual não há adesão entre os polímeros
(THOMAS e PEPPAS, 2008; PEPPAS et alii, 2000; BANSIL, STANLEY e LAMONT,
1995; STROUS e DEKKER, 1992). Têm sido muito estudadas as interações através
de pontes de hidrogênio entre polímeros mucoadesivos como o policianoacrilato
(PAA) e o muco (BURES e PEPPAS, 1999; SMART, KELLAWAY e WORTHINGTON,
1984). As pontes de hidrogênio entre PVA e Mu existem isto é um fato. A
95
existência das pontes de hidrogênio é razoável quando se pensa na estrutura da
mucina com os seus grupos carboxila das cadeias ramificadas dos açucares, o
ácido carboxílico e sulfato nos segmentos terminais das ramificações dos
carboidratos. Foram estas pontes de hidrogênio que aumentaram tanto a
afinidade de PVA por Mu (Figura 19). Entretanto, ressalta-se que a presença
de PVA não é condição necessária para que haja interação entre partículas
recobertas e células, por exemplo, (NAKANO, TOZUKA e TAKEUCHI, 2008).
Foi muito interessante observar como a presença de Chi e/ou PVA nos
REVs mudou completamente o seu tamanho e a estrutura da bicamada lipídica.
As partículas lipossomais revestidas por Chi foram maiores do que as REVs
contendo somente SPC: Cho (6: 1) (Figura 43). Sabe-se, da literatura (VOROB’EV
et alii, 2007) que a presença de um soluto na água induz às modificações na
estrutura da água e da camada de hidratação desta molécula. Em condições
fisiológicas a Chi é capaz de captar 160 % mais de água (SILVA et alii, 2004) o
que pode ser muito explorado em engenharia biomédica de tecidos (MANO,
2008). Aqui, a Chi aumentou não o grau de hidratação e, conseqüentemente,
o tamanho (167 nm 313 nm) e a morfologia dos REVs (Figura 43), como
também aumentou o tempo de residência do Dtxd no compartimento aquoso
interno do lipossoma (Figura 31). Por causa do aumento do tamanho de
lipossomas (127,1 nm 161,2 nm) após a adição de PVA-R (com âncora
hidrofóbica) admite-se que exista a associação deste polímero com a bicamada
lipídica (NAKANO, TOZUKA e TAKEUCHI, 2008) o que corrobora os resultados
obtidos nesta dissertação. Aqui, visivelmente (Figura 43) o PVA, também
aumentou tamanho de REVs-Chi (313 nm 367 nm, medido por espalhamento
96
quase elástico de luz) e modificou a morfologia da bicamada, que ficou mais
densa (Figura 43).
Alguns géis, chamados de materiais ou polímeros inteligentes (ou géis
sensíveis ao meio) são sensíveis ao meio: temperatura, campo magnético,
composição do solvente, pH ou luz (JUODKAZIS et alii, 2000; SEIDA e NAKANO,
1994) mudando de estado ou de volume, por exemplo. Destacam-se dentre eles
o NIPA (polivinil-acrilamida), PVME (poli vinil metil éter) e PVA (YAMAMOTO et
alii, 2003). O PVA expande ou se contrai (35 %), reversivelmente, de acordo com
a temperatura, o que é explicado em termos de hidratação- desidratação. O PVA
capta água através de pontes de hidrogênio em temperatura ambiente. A partir
de 37°C, o PVA descarta água (YAMAMOTO et alii, 2003). Aqui, não se observou
este fenômeno (mudança de tamanho com a temperatura) porque fugia do
escopo desta dissertação, mas, observou-se uma mudança na morfologia e na
densidade da bicamada lipídica, o que pode estar associado com os graus de
hidratações diferentes entre fosfolipídeo-Chi (REVs-Chi) e fosfolipídeo-Chi
associada à PVA (REVs-Chi-PVA) (Figura 43) mudando os seus raios
hidrodinâmicos (Tabela 2). No caso do PVA aparentemente houve exclusão de
água da camada de hidratação (Figura 43). Ambos, Chi e PVA controlaram a
velocidade de saída do soluto encapsulado (Dtxd) (Figuras 29- 31), como o
descrito na literatura (JAIN, SHARMA e VYAS, 2006) diminuindo-a em relação à
REVs. O mais interessante destes dados foi observar as correlações entre as
capacidades de adsorções diferentes nas partículas estudadas e as suas
características diferentes de induzir as formações de anticorpos contra Dtxd nos
camundongos.
97
100 nm 200 nm 200 nm
REVs
REVs-Chi
REVs-Chi-PVA
A B
C
Figura 43. Efeitos de Chi e PVA no raio hidratação e na estrutura da bicamada de REVs
(SPC: Cho, 6:1).
Existem muitas evidências experimentais demonstrando que a
nanoencapsulação modifica a captura, o tráfico e o processamento do antígeno
além do efeito adjuvante mediado pelo próprio veículo ou ainda através de outra
molécula adicionada aos lipossomas, polímeros ou outros sistemas particulados
(BRAMWELL e PERRIE, 2006). Como se discutiu anteriormente, aqui o foco foi
o desenvolvimento de um veículo para vacina oral para a produção de anticorpos
de mucosa, a saber, os IgAs.
O que se observa é que quando antígenos são veiculados em sistema
particulados de liberação controlada contendo Chi sempre um aumento na
resposta imunológica, quanto à produção de IgAs (AHIRE et alii, 2007; AMIDI et
alii, 2007; JAIN, SHARMA e VYAS, 2006; VAN DER LUBBEN et alii, 2003 e VAN DER
LUBBEN et alii, 2001). O que deve ser ressaltado aqui é a correlação entre a
complexidade de cada partícula obtida (REVs, REVs-Chi ou REVs-Chi-PVA),
contendo Dtxd, e a produção de IgAs.
Houve uma correlação direta entre produção de IgA salivar tanto
animais injetados através da via oral (R = 0,91766) quanto da via subcutânea
98
(R = 0,99718) e a interação de Mu com REVs ou as partículas revestidas quer
seja com Chi ou com Chi-PVA. Houve uma correlação direta entre produção
de IgA vaginal tanto animais injetados através da via oral (R = 0,99718)
quanto da via subcutânea (R = 0,98624) e a interação de Mu com REVs ou as
partículas revestidas quer seja com Chi ou com Chi-PVA. Não houve resposta
secundária quando o toxóide foi administrado livre aos animais. Houve uma
correlação direta entre a complexidade da formulação e resposta secundária
quanto à produção de IgA ou seja, REVs < REVs-Chi < REVs-Chi-PVA, tanto
após 7 dias quanto após 26 dias da administração da dose de reforço. Estes
dados, e este tipo de análise são os únicos na literatura. Infelizmente o que
se analisa é a simples produção de IgA, sem contudo correlacioná-la com as
propriedades das partículas (AHIRE et alii, 2007; AMIDI et alii, 2007; JAIN,
SHARMA e VYAS, 2006; VAN DER LUBBEN et alii, 2003). Mesmo quando a
intenção foi a de se produzir uma vacina oral e mesmo com imunização por
nebulização, o que se analisa é a produção de IgG, que é não é um anticorpo
produzido predominantemente em mucosa (ALPAR et alii, 2001; MIRSCHAMSY
et alii, 1996)!
Houve produção de IgG
1
em todos os animais imunizados tanto através
da oral quanto naqueles imunizados via subcutânea as formulações
lipossomais usadas e também com Dtxd foi administrado na forma livre.
Entretanto poucos (AMIDI et alii, 2007) descrevem a produção de subtipos de
IgG na literatura (HAGENAARS et alii, 2009; AHIRE et alii, 2007; VAN DER
LUBBEN et alii, 2003). Foram observadas produções de IgG
1
anti Dtxd desde os
primeiros dias após a imunização, mas as respostas foram maiores nas
formulações com Chi ou Chi-PVA em comparação a REVs e à forma livre. Este
99
efeito foi muito mais acentuado naqueles animais imunizados através da via
subcutânea. Não houve resposta secundária quanto IgG
1
quando o toxóide
diftérico foi administrado livre aos animais, salvo na administração por via
oral após 7 dias da dose de reforço (Figura 40 A). Houve uma correlação
direta entre a complexidade da formulação e resposta secundária quanto à
produção de IgG
1,
ou seja, livre < REVs < REVs-Chi < REVs-Chi-PVA, após 26
dias da administração da dose de reforço. Após 7 dias tanto REVs-Chi quanto
REVs-Chi-PVA apresentaram mesma resposta secundária quanto à produção de
IgG
1
mas, ambas, maiores do que a formulação livre ou REVs.
Como descrito (HAGENAARS et alii, 2009; AMIDI et alii, 2007), aqui
houve produção de IgG
2a
nos animais imunizados com as formulações
veiculadas em lipossomas revestidos por Chi e/ou PVA. Esta produção foi
observada tanto nos animais imunizados através da via oral quanto nos
animais imunizados através da via subcutânea (nesta REVs também ativo).
Nitidamente observou-se aqui que apesar de REVs ter um efeito
adjuvante, este não se manifesta nos animais imunizados oralmente por
causa da destruição dos lipossomas pelo trato gastrointestinal. O Dtxd
livre também é destruído nos animais imunizados oralmente por causa do
trato gastrointestinal e por isto se produz IgG
2a
nos animais injetados
subcutaneamente. Não houve resposta secundária quanto à formação de
IgG
2a
quando o toxóide foi administrado livre e em REVs, por via oral, aos
animais. Na via oral, tanto em 7 dias quanto 26 dias após a dose de reforço a
resposta secundária para REVs-Chi foi maior do que para REVs-Chi-PVA. Houve
uma correlação direta entre a complexidade da formulação e resposta
secundária quanto à produção de IgG
2a
ou seja, livre < REVs < REVs-Chi. Porém
100
a resposta da produção de IgG
2a
às formulações de REVs-Chi e REVs-Chi-PVA
foram iguais, tanto após 7 dias quanto após 26 dias da administração da dose
de reforço pela via subcutânea.
Sabe-se que os IgGs são produzidos na seguinte ordem: IgG
1
> IgG
3
> IgG
2a
.
Os anticorpos neutralizantes são devido, principalmente, ao IgG
1
(mais
abundante) mas, o IgG
2a
é mais específico e está relacionado com a maturidade
imunológica (MARÓN et alii, 2007; SILVA et alii, 2006; BUENO DA COSTA, 2006;
YADAV e KHULLER, 2001). O IgG
2a
está relacionado com a resposta do tipo Th1
(celular) e o IgG
1
com a reposta Th2 (humoral) (YADAV e KHULLER, 2001).
Aqui, as relações IgG
2a
/IgG
1
foram de 0,4; 0,09; 1,15 e 0,81 para
formulações com Dtxd livre; REVs/Dtxd; REVs-Chi/Dtxd e REVs-Chi-PVA/Dtxd
respectivamente, nos animais imunizados oralmente. As relações IgG
2a
/IgG
1
foram de 0; 1,4; 0,80 e 0,84 para formulações com Dtxd livre; REVs/Dtxd; REVs-
Chi/Dtxd e REVs-Chi-PVA/Dtxd respectivamente, nos animais imunizados através
da via subcutânea. A maturidade imunológica dos animais injetados com Dtxd
foi alcançada por aqueles animais que foram imunizados com formulações
lipossomais (REVs ou REVS-Chi). Observou-se que houve uma mudança razoável
no perfil de produção de anticorpos anti-Dtxd 10 dias depois da dose de reforço
induzidas pelas formulações REVs-Chi por camundongos imunizados pela via oral
e REVs nos animais imunizados através da via subcutânea. Ambas produziram
mais IgG
2a
do que IgG
1
ou seja, as relações IgG
2a
/IgG
1
>1.
101
Conforme queria demonstrar, as formulações desenhadas para
vacinação através da via oral, REVs-Chi/Dtxd e melhoradas quanto às
suas estabilidades (REVS-Chi-PVA/Dtxd), resultaram em sucesso absoluto,
pois induziram respostas imunológicas de mucosa e, além disto,
melhoraram as produções de anticorpos neutralizantes e memória
imunológica. Em adição, ambas as partículas também melhoraram a
resposta imunológica da vacinação através da via subcutânea.
Sabendo-se do que:
Todos os produtos usados para a confecção da formulação REVs-
Chi-PVA (SPC, Cho, Chi e PVA) são atóxicos, biodegradáveis,
biocompatíveis e de baixo custo.
A formulação pode ser executada em condições isentas de
germes.
Os resultados de sua utilização foram muito além das
expectativas.
Considerou-se que a sua aplicação em Saúde Pública é
economicamente viável. Seria necessário somente um estudo de
escalonamento do processo como um todo. Os trabalhos, em nível de
bancada, já foram dominados, conforme o que se queria demonstrar.
102
5. CONCLUSÕES E PERSPECTIVAS FUTURAS
O cosmotrópico PO
4
2-
aumentou a solubilidade (98 %) e protegeu a
estrutura de Dtxd durante a formação de micela reversa no processo de
produção de REVs. O SCN
-
não diminuiu a solubilidade inicial de Dtxd como
também induziu, na presença de
.
OH (produzido durante a sonicação), a lise das
ligações S-S da molécula. O Dtxd, sonicado na presença de PO
4
2-
, reteve a sua
conformação inicial e continuou a ser reconhecido imunologicamente.
Foram obtidas partículas redondas de REVs (256 a 524 nm), com as
superfícies esponjosas, regulares, estáveis, resistentes ao suco gástrico e
intestinal. O tamanho dos REVs e as eficiências de encapsulações para o Dtxd
aumentaram com a adição de Chi e de PVA. Houve uma correlação direta entre
mucina adsorvida e carga superficial das partículas, ou seja, potencial A
afinidade de PVA em solução por Mu foi 2000 vezes maior do que aquela
observada com a Chi. A afinidade de REVs-Chi-PVA por Mu-III foi 20 % maior do
que aquela observada com as REVs-Chi. A trealose protegeu o Dtxd de danos
durante a liofilização e durante a sua liberação das partículas. A trealose
aumentou o tempo de residência do toxóide nas REVs (em todas as diferentes
formulações). O Dtxd liberado das partículas reteve a sua atividade imunológica
(in vitro).
Houve uma correlação direta entre a complexidade da formulação e
resposta secundária quanto à produção de anticorpos. As formulações
desenhadas para vacinação através da via oral, REVs-Chi/Dtxd e melhoradas
quanto às suas estabilidades (REVS-Chi-PVA/Dtxd), resultaram em sucesso
absoluto, pois induziram respostas imunológicas de mucosa e, além disto,
103
melhoraram as produções de anticorpos neutralizantes e memória imunológica.
Em adição, ambas as partículas também melhoraram a resposta imunológica da
vacinação através da via subcutânea.
PERSPECTIVAS FUTURAS
Considerando o sucesso da formulação estudada pode-se prever para o futuro os
seguintes propósitos:
1. Estudo da viabilidade de se escalonar o processo de produção de REVs
recobertas com Chi e PVA.
2. Aplicá-lo para a encapsulação de outros antígenos de interesse para
veiculação tanto oral quanto subcutânea.
3. Aplicá-lo para o transporte de moléculas (drogas) diferentes de proteínas.
4. Fazer um estudo econômico da produção em larga escala de REVs-Chi-PVA
como veículo geral de transporte oral de drogas e/ou vacinas.
104
7. REFERÊNCIAS BIBLIOGRAFICAS
AHIRE, VJ; SAWANT, KK; DOSHI, JB e RAVETKAR, SD (2007). Chitosan
microparticles as oral delivery system for tetanus toxoid. Drug Dev. Ind.
Pharm., 33: 1112- 1124.
ALLISON, AC e GREGORIADIS, G (1974). Liposomes as immunological adjuvants.
Nature, 252: 252.
ALONSO, MJ; GUPTA, RK; MIN, C; SIBER, GR e LANGER, R (1994). Biodegradable
microspheres as controlled-release tetanus toxoid delivery systems. Vaccine, 12
(4): 299- 306.
ALPAR, HO; EYLES, JE; WILLIAMSON, ED e SOMAVARAPU, S (2001). Intranasal
vaccination against plague, tetanus and diphtheria. Adv. Drug Deliv. Rev., 51:
173 201
AMIDI, M; PELLIKAAN, HC; HIRSCHBERG, H; BOER, AH; CROMMELIN, DJA;
HENNINK, WE; KERSTEN, G e JISKOOT, W (2007). Diphtheria toxoid-containing
microparticle powder formulations for pulmonary vaccination: Preparation,
characterization and evaluation in guinea pigs. Vaccine, 25: 6818- 6829.
AOKI, T; DECKER, EA e McCLEMENTS, DJ (2005). Influence of environmental
stresses on stability of O/W emulsions containing droplets stabilized by
multilayered membranes produced by a layer-by-layer electrostatic deposition
technique. Food Hydrocoloids, 19: 209- 220.
BANSIL, R; STANLEY, E e LAMONT, JT (1995). Mucin biophysics. Annu. Rev.
Physiol., 57: 635 657.
BENNETT, MJ; CHOE, S e EISENBERG, D (1994). Domain swapping: entangling
alliances between proteins. Proc. Natl. Acad. Sci., 91: 3127 3131.
105
BERNKOP-SCHNÜRCH, A; WEITHALER, A; ALBRECH, K e GREIMEL, A (2006).
Thiomer: Preparation and in vitro evaluation of mucoadhesive nanoparticle drug
delivery system. Int. J. Pharm., 317: 76- 81.
BIRESAW, G; McKENZIE, DC e BUNTON, CA (1985). Dynamic light scattering study
of a micellar system of low fractional ionization: (CTA)
2
SO
4
+ Na
2
SO
4
. J. Phys
Chem., 89: 5144- 5146.
BOSTRÖM, M; WILLIAMS, DRM e NINHAM, BW (2003). Specific ion effects: Why the
properties of lysozyme in salt solutions follow a Hoffmeister series. Biophysical
J., 85: 686- 694.
BRAMWELL, VW e PERRIE, Y (2006). Particulate delivery systems for vaccines:
what can we expect? J. Pharm. Pharmacol., 58: 717- 728.
BRAYDEN, DJ (2001). Oral vaccination in man using antigens in particles: current
status. Eur. J. of Pharma. Sci., 14: 183- 189.
BUENO DA COSTA, MH (2006). A biotechnological approach to formulate
vaccines within liposomes, Chapter 20, pp 387-403, in: Liposome Technology 3
rd
Edition (Gregory Gregoriadis, Editor) CRC Press.
BUENO DA COSTA, MH (2000). Microencapsulação de macromoléculas em
polímeros biodegradáveis, Projeto FAPESP: 00/10490-7.
BUENO DA COSTA, MH; SANT’ANNA, AO; DE ARAUJO, OS; SATO, RA; QUINTILIO,
W; SILVA, LVN; MATOS, CRT e RAW, I (1998). Conformational stability and
antibody response to the 18kDa heat shock protein formulated into different
vehicles. Appl. Biochem. Biotechnol., 73: 19- 28.
BURES, P e PEPPAS, NA (1999). Structural and Morphological Characteristics of
Carriers Based on Poly (Acrylic Acid). Polym. Prepr., 40 (1): 345- 346.
106
CAMPANA, RA; NAMUR, JAM; TAKATA, CS; ARAUJO, PS de e BUENO DA COSTA,
MH (2004). Ionic interfaces and diphtheria toxoid interactions. Prot. Expr.
Purif., 33: 161- 165.
CAMPO, VL E CARVALHO, I. (2008). Síntese de glicoaminoácidos de interesse
biológico. Quím. Nova, 31: 5.
CARPENTER, JF e CROWE, JH (1989). An infrared spectroscopic study of the
interactions of carbohydrates with dried proteins. Biochemistry, 8: 3916 3922.
CASTELLANOS, IJ; CRUZ, G; CRESPO, RC e GRIEBENOW, K (2002). Encapsulation-
induced aggregation and loss in activity of γ-chymotryppsin and their prevention.
J. Control. Rel., 81: 307- 319.
CASTRO, C; GARGALLO, L; LEIVA, A e RADIC, D (2005). Interactions in blends
containing chitosan with functionalized polymers. J. Appl. Polym. Sci., 97:
1953- 1960.
CHAYED, S e WINNIK, FM (2007). In vitro evaluation of the mucoadhesive
properties of polysaccharide-based nanoparticulate oral drug delivery systems.
Eur. J. Pharma. Biopharma., 65: 363- 370.
CHUANG, WY; YOUNG, TH; YAO, CH e CHIU, WY (1999). Properties of the poly
(vinyl alcohol)/chitosan blend and its effect on the culture of fibroblast in vitro.
Biomaterials, 20: 1479- 1487.
COSTA-JUNIOR, ES; PEREIRA, MM e MANSUR, HS (2009). Properties and
biocompatibility of chitosan films modified by blending with PVA and chemically
cross linked. J. Mater. Sci. Med., 20: 553- 561.
CROWE, LM; CROWE, JH, RUDOLF, C; WOMERSLEY, C e APPEL, L (1985).
Preservation of freeze-dried liposomes by trehalose. Arch. Biochem. Biophys.,
242: 240 247.
107
CUI, F; QIAN, F e YIN, C (2006). Preparation and characterization of
mucoadhesive polymer-coated nanoparticles. Int. J. Pharm., 316: 154- 161.
DALY, JC e McGRATH, JC (2003). Fluorescent ligands, antibodies, and proteins
for the study of receptors. Phar. Therap., 100: 101- 118.
DELATTRE, J; COUVREUR, P; PUISIEUX, F; PHILIPPOT, JR e SHUBER, F. (1993).
Les Liposomes. Paris: INSERM.
DÉR, A; KELEMEN, L ; FÁBIÁN, L; TANEVA, SG ; FODOR, E; PÁLI, T; CUPANE, A;
CACACE, MG e RAMSDEN, JJ (2007). Interfacial water structure controls protein
conformation. J. Phys. Chem. B., 111: 5344: 5350.
DIWAN, M e PARK, TG (2001). Pegylation enhances protein stability during
encapsulation in PLGA microspheres. J. Control. Rel., 73: 233- 244.
Drugs@FDA FDA approved drug products. http://www.accessdata.fda.gov, em
10/04/2007.
FANG,N; CHAN, V; MAO, H e LEONG, KW (2001). Interactions of phospholipid
bilayer with chitosan: effect of molecular weight and pH. Biomacromol., 2:
1161- 1168.
FELNEROVA, D; VIRET, J; GLÜCK, R e MOSER, C, (2004), Liposomes and virosomes
as delivery systems for antigens, nucleic acids and drugs. Curr. Opinion in
Biotech., 15: 518- 529.
FENG, SS; RUAN, G e LI, QT (2004). Fabrication and characterizations of a novel
drug delivery device liposomes-in-microsphere (LIM) Biomaterials
25: 5181-5189
108
FILIPOVIC-GRCIC, N; SKALKO-BASNET e JALSENJAK (2001). Mucoadhesive
chitosan-coated liposomes: characteristics and stability. Microencapsul., 18: 1,
3-12.
FRY, DW; WHITE, JC e GOLDMAN, ID (1978). Rapid separation of low molecular
weight solutes from liposomes without dilution. Anal. Biochem., 90: 809- 815.
GLENNY, AT e HOPKINS, BE (1923). Diphtheria toxoid as an immunizing agent. Br.
J. Exp. Pathol., 4: 283- 288.
GORDON, S; SAUPE, A; McBURNEY,W; RADES,T e HOOK, S (2008). Comparison of
chitosan nanoparticles and chitosan hydrogels for vaccine delivery. J. Pharma.
Pharmacol., 60: 1591- 1600.
GREEENFIELD, N e FASMAN, GD (1969). Computed circular dichroism spectra for
the evaluation of protein conformation. Biochemistry, 8: 4108- 4116.
GREGORIADIS, G; WANG, Z; BARENHOLZ, Y e FRANCIS, MJ (1993). Liposome-
entrapped T-cell peptides help for a co-entrapped B-cell peptide to overcome
genetic restriction in mice and induce immunological memory. Immunology, 80:
535- 540.
GREGORIADIS, G e RYMAN, BE (1971). Liposomes as carriers of enzymes or drug:
a new approach to the treatment of storage diseases. Biochem. J., 124: 58.
GU, YS; DECKER, EA e McCLEMENTS, DJ (2005). Influence of pH and carageenan
type on properties of beta-lactoglobulin stabilized oil-in-water emulsions. Food
Hydrocoloids, 19: 83- 91.
GUZEY, D e McCLEMENTS, DJ (2007). Impact of electrostatic interactions on
formation and stability of emulsions containing oil droplets coated by beta-
lactoglobulin-pectin complexes. J. Agric. Food Chem., 55 (2): 475- 485.
109
HAAS, J; RAVI KUMAR, MNV; BORCHARD, G; BAKOWSKY, U e LEHR, CM (2005).
Preparation and characterization of chitosan and trimethyl-chitosan-modified
Poly-(e-caprolactone) nanoparticles as DNA carriers. AAPS Pharma. Sci. Tech. 6
(1): article 6 (http://www.aapspharmascitech.org).
HARNSILAWAT, T; PONGSAWATMANIT, R e McCLEMENTS, DJ (2006). Stabilization
of model beverage cloud emulsions using protein-polysaccharide electrostatic
complexes format at the oil-water interface. J. Agric. Food Chem., 54: 5540-
5547.
HASSAN, EE e GALLO, JM (1990). A simple rheological method for the in vitro
assessment of mucin-polymer bioadhesive bond strength. Pharm. Res., 7: 491-
495.
HAGENNARS, N; MASTROBATTISTA, E; VERHEUL, RJ; MOOREN, I; GLANSBEEK, HL;
HELDENS, JGM; BOSH, H e JISKOOT, W (2009). Physicochemical and
immunological characterization of N,N,N-Trimethyl chitosan-coated whole
inactivated Influenza virus vaccine for intranasal administration. Pharma. Res.,
26 (6): 1353- 1364.
HE, P; DAVIS, SS e ILLUM, L
(1998). In vitro evaluation of the mucoadhesive
properties of chitosan microspheres. Int. J. of Pharma., 166: 75- 88.
HEJAZI, R e AMIJI, M (2002). Stomach-specific anti-H. Pylori therapy. I:
preparation and characterization of tetracycline-loaded chitosan microspheres.
Int. J. Pharm., 235: 87- 94.
HUANG, Y; GAO, J; LIANG, W e NAKAGAWA, S, (2005). Preparation and
characterization of liposomes encapsulating chitosan nanoparticles. Biol.
Pharm. Bull., 28 (2): 387- 390.
HUANG, Y; ONIERY, S; SIEWE, M e MOSHFEGHIAN, SV (2005). In vitro
characterization of chitosangelatin scaffolds for tissue engineering.
Biomaterials, 26: 7616- 7627.
110
ILLUM, L; JABBAL-GILL, I e HINCHCLIFFE, M (2001). Chitosan as a novel nasal
delivery systems for vaccines. Adv. Drug Deliv. Rev., 51: 81- 96.
JAIN, S; SHARMA, RK e VYAS, SP (2006). Chitosan nanoparticles encapsulated
vesicular systems for oral immunization: preparation, in-vitro and in-vivo
characterization. Pharm. Pharmacol., 58: 303- 310.
JAWALKAR, SS; RAJU, VSN; HALLIGUDI, SB; SAIRAM, M e AMINABHAVI, TM (2007).
Molecular modeling simulations to predict compatibility of poly (vinyl alcohol)
and chitosan blends: A comparison with experiments. J. Phys. Chem. B., 111:
2431- 2439.
JUODKAZIS, S; MUKAI, N; WAKAKI, R; YAMAGUCHI, A; MATSUO, S e MISAWA, H
(2000). Reversible phase transitions in polymer gels induced by radiation forces.
Nature, 408 (6809): 178- 181.
KHOR, E e LIM, L (2003). Implantable applications of chitin and chitosan.
Biomaterials, 24: 2339- 2349.
KIM, SJ; PARK, SJ e KIM, SI (2003). Swelling behavior of interpenetrating
polymer network hydrogels composed of poly(vinyl alcohol) and chitosan. React.
Funct. Polym., 55: 53- 59.
KLINKERSON, U; SOPHANODORA, P; CHINACHOTI, P; DECKER, EA e McCLEMENTS,
DJ (2005a). Stability of spray-dried tuna oil emulsions encapsulated with two-
layered interfacial membranes. J. Agric. Food Chem., 53 (21): 8365- 8371.
KLINKERSON, U; SOPHANODORA, P; CHINACHOTI, P; DECKER, EA e McCLEMENTS,
DJ (2005
b
). Increasing oxidative stability of liquid and dried tuna oil-in-water
emulsions with electrostatic layer-by-layer deposition technology. J. Agric.
Food Chem., 53 (11): 4561- 4566.
111
KO, JA; PARK, HJ; HWANG, YS e PARK, JB, (2003). Chitosan microparticle
preparation for controlled drug release by response surface methodology. J.
Microenc., 18: 165- 173.
KOKIL, S; PATIL, P; MAHADIK, K e PARADKAR, A (2005). Studies on spray-dried
mixtures of chitosan and hydrolyzed gelatin as tablet blinder: A technical note.
AAPS Pharma. Sci. Tech., 6 (3): article 54
(http://www.aapspharmascitech.org).
KURKURI, MD e AMINABHAVI, TMJ (2004). Poly(vinyl alcohol) and poly(acrylic
acid) sequential interpenetrating network pH-sensitive microspheres for the
delivery of diclofenac sodium to the intestine. J. Control. Rel., 96: 9- 20.
LASIC, DD e PAPAHADJOPOULOS, D, (1998), General Introduction, em Medical
application of liposomes. (LASIC, DD e PAPAHADJOPOULOS, D Ed.). Elsevier Sci.,
1- 16.
LASIC, DD (1998). Novel applications of liposomes. Trends in Biotech., 16: 307-
321.
LAYE, C; McCLEMENTS, DJ e WEISS, J (2008). Formation of biopolymer-coated
liposomes by electrostatic deposition of chitosan. J. of Food Sci., 73 (5): N7-
N15.
LEE, DW; PARK, SJ; PARK, JB e PARK, HJ, (2003). Preparation and release
characteristics of polymer-coated and blended alginate microsphere. J.
Microenc., 20: 179- 192.
LEITNER, VM; GUGGI, D; KRAULAND, AH e BERNKOP-SCHNÜRCH, A (2004). Nasal
delivery of human growth hormone: in vitro and in vivo evaluation of a
thiomer/glutathione microparticulate delivery system. J. Control. Rel., 100: 87-
95.
112
LI, H; WANG, M; SONG, L e GE, X (2008). Uniform chitosan hollow microspheres
prepared with the sulfonated polystyrene particles templates. Colloid Polym.
Sci., 286: 819- 825.
LIU, Y; VRANA, NE; CAHILL, PA e McGUINNESS, GB (2009). Physically crosslinked
composite hydrogels of PVA with natural macromolecules: Structure,
mechanical properties, and endothelial cell compatibility. J. of Biomedical
Materials Research Part B: Applied Biomaterials. (14
th
January, 2009).
(http://dx.doi.org/10.1002/jbm.b.31310).
MANO, JF (2008). Viscoelastic properties of chitosan with differente hydration
degrees as studied by dynamic mechanical analysis. Macromol. Biosci., 8: 69-76.
MADIHALLY, SV e MATTHEW, HWT, (1999). Porous chitosan scaffolds for tissue
engineering. Biomaterials, 20: 1133- 1142.
MARÓN, LB; PENICHE, C; DA SILVEIRA, NP; POHLMANN, A; MERTINS, O; TATSUO,
LN; SANT'ANNA, AO; MORO, AM; TAKATA, CS; ARAUJO, PS de e BUENO DA
COSTA, MH (2007). LUVs recovered with chitosan: a new preparation for vaccine
delivery. J. Lip. Res., 15: 155- 163.
MARTINO, AD; SITTINGER, MV e RISBUD, MV (2005). Chitosan: A versatile
biopolymer for orthopedic tissue-engineering. Biomaterials, 29: 5983- 5990.
McGRATH, JC e DALY, JC (2003). Do fluorescent drugs show you more than you
wanted to know? Brit. J. Pharm., 109: 187- 189.
McGRATH, JC; ARRIBAS, S e DALY, JC (1996). Fluorescent ligands for the study of
receptors. Elsevier Sci., 17: 393.
MERTINS, O; SEBBEN, M; POHLMANN, AR e SILVEIRA, NP (2005). Production of
soybean phosphatidylcholine-chitosan nanovesicles by reverse phase
evaporation: a step by step study. Chem. Phys. Lip., 138: 29- 37.
113
MEDINA, E e GUZMAN, CA (2000). Modulation of immune responses following
antigen administration by mucosal route. FEMS Immunol. Med. Microbiol., 27:
305- 311.
MEINEL, L; ILLI, OE; ZAPF, J; MALFANTI, M; MERKLE, HP e GANDER, B (2001).
Stabilizing insulin-like growth factor-I in poly(D,L-lactide-co-glycolide)
microspheres. J. Control. Rel., 70: 193- 202.
MIRCHAMSY, H; MANHOURI, H; HAMEDI, PARVIZ AHOURAI, M; FATEH, G e
HAMZELOO, Z (1996). Stimulating role of toxoids-laden liposomes in oral
immunization against diphtheria and tetanus infections. Biologicals, 24: 343 350
MS (Ministério da Saúde), 23/06/2009: http://portal.saude.gov.br (Casos
registrados de difteria).
MUZZARELLI, RAA (1998). Colorimetric determination of chitosan. Anal.
Biochem., 260: 255- 257.
NAKANO, K; TOZUKA, Y e TAKEUCHI, H (2008). Effect of surface properties of
liposome coated with a modified polyvinyl alcohol (PVA-R) on the interaction
with macrophage cells. Int. J. Pharma., 354: 174- 179.
NAMUR, JAM; TAKATA, CS; ARAUJO, PS de e BUENO DA COSTA, MH (2009).
Hoffmeister series ions protect Diphtheria toxoid from structural damages at
solvent/water interface. Materials, 2: 765- 775.
NAMUR, JAM e BUENO DA COSTA, MH (2004). How protein is degradated by Poly
lactide-co-glycolide (PLGA) microspheres. RMZ Mat. and Geonvironment, 51
(1): 479- 483.
NAMUR, JAM; TAKATA, CS; ARAUJO, PS de e BUENO DA COSTA, MH (2004). How
Hoffmeister ions series interferes on the Dtxd (diphtheria toxoid) during
114
encapsulation in PLGA microsphere. Control. Rel. 31
th
Ann. Meet. Trans., EUA,
p. 540-541.
OGAWA, S; DECKER, EA e McCLEMENTS, DJ (2003). Influence of environmental
conditions on the stability of oil-in-water emulsions containing droplets
stabilized by lecithin-chitosan membranes. J. Agric. Food Chem., 51 (18): 5522-
5527.
OTAKE, K; SHIMOMURA, T; GOTO, T; IMURA, T; FURUYA, T; YODA, S;
TAKEBAYASHI; SAKAI, H e ABE, M (2006). One-step preparation of chitosan-
coated cationic liposome by an improved supercritical reverse-phase evaporation
method. Langmuir, 22: 4054- 4059.
PATEL, JK; PATEL, PR; AMIN, AF e PATEL, MM (2005). Formulation and
evaluation of mucoadhesive glipzide microspheres. AAPS Pharma. Sci. Tech., 6
(1): article 10 (http://www.aapspharmascitech.org).
PATEL, SS; PATEL, NM e PATEL, MR (2006). Liposome: A versatile platform for
target delivery of drug. Pharmainfo.net, 4: article 5.
(http://www.pharmainfo.net/reviews).
PEPPAS, NA; HUANG, Y; TORRES-LUGO, M; WARD, JH e ZHANG, J (2000).
Physicochemical foundations and structural design of hydrogels in medicine and
biology. Annu. Revs. Biomed. Eng., 2: 9- 29.
PÉREZ-RODRIGUEZ, C; MONTANO, N; GONZALEZ, K e GRIEBENOW K (2003).
Stabilization of chymotrypsin at the CH
2
Cl
2
/water interface and upon water-oil-
in-water encapsulation in PLGA microspheres. J. Control. Rel., 89: 71- 85.
PÉREZ, C; de JESÚS, P e GRIEBENOW, K (2002). Preservation of lysozyme
structure and function upon encapsulation and release from poly (lactic-co-
glycolic) acid microspheres preparared by the water-in-oil-water method. Int. J.
Pharm., 248: 193- 206.
115
PERFETTO, SP; CHATTOPADHYAY, PK e ROEDERER, M (2004). Seventeen-color
flow cytometry unraveling the immune system. Nature, 4: 648- 654.
PETERSON, GL (1977). A simplification of the protein assay method of Lowry et
alii which is more generally applicable. Anal. Biochem., 83: 346- 356.
POLOZOVA, A; YAMAZAKI, A; BRASH, JL e WINNIK, FM (1999). Effect of polymer
architecture on the interactions of hydrophobically-modified poly-(N-
isopropylamides) and liposomes. Coll. and Surf. A: Biointerfaces, 147- 170.
PREGO, C; GARCIA, M; TORRES, D e ALONSO, MJ (2005). Transmucosal
macromolecular drug delivery. J.of Control. Rel., 101: 151-162.
PRESTIDGE, C; BARNES, T e ER, Y (2005). Current Trends in liposomal Drug
Delivery Systems in Drug Delivery Companies. Report
Spring/Summer@Pharmaventures Ltd.
QUINTILIO, W; SATO, RA; SANT’ANNA, AO; ESTEVES, MI; SESSO, A; ARAUJO, PS
de e BUENO DA COSTA, MH (2000). Large unilamellar vesicles as trehalose-
stabilized vehicles for vaccines: storage time and in vivo studies. J. Control.
Rel., 67: 409- 413.
RAMON, G (1924). Sur la toxine et surranatoxine diphtheriques. Ann. Inst.
Pasteur, 38: 1- 7.
RAO, M e ALVING, CR (2000). Delivery. Adv. Drug Del. Rev., 41: 171 -188.
RAPPUOLI, R (1997). New and improved vaccines against diphtheria and tetanus
in: New generation vaccines (ML Levine, GC Woodrow, JB Kaper and GS Cobon,
eds), pp 417- 436, Marcel Dekker, Inc. New York, Basel.
RAPPUOLI, R. (1997). Rational design of vaccines. The recombinant pertussis
vaccine induces early and long-lasting protection. Nat. Med. 3: 374- 376
116
RENGEL, RG; BARISIC, K; PAVELIC, Z; GRUBISIC, TZ; CEPALAK, I e FILIPOVIC-
GRCIC, J (2002). High efficiency entrapment of superoxide dismutase into
mucoadhesive chitosan-coated liposomes. Eur. J. Pharm. Sci., 15: 441- 448.
ROLDO, M; HORNOF, M; CALICETI, P e BERNKOP-SCHNÜRCH, A (2004).
Mucoadhesive thiolated chitosans as platforms for oral controlled drug delivery:
synthesis and in vitro evaluation. Eur. J. Pharm. Biopharm., 57: 115- 121.
SAH, H (1999)
a
. Protein behavior at the water/methylene chloride interface . J.
Pharm. Sci., 88: 1320- 1325.
SAH, H (1999)
b
. Stabilization of proteins against methylene chloride/water
interface induced denaturation and aggregation. J. Control. Rel., 58: 143- 151.
SANDOVAL, C; CASTRO, C; GARGALLO, L; RADIC, D e FREIRE, J (2005). Specific
interactions in blends containing chitosan and functionalized polymers.
Molecular dynamics simulations. Polymer, 46: 10437- 10442.
SANYOG, J; SHARMA, RK e VYAS, SP (2006). Chitosan nanoparticles encapsulated
vesicular systems for oral immunization: preparation, in vitro and in vivo
characterization. J. Pharma. Pharmacol., 58: 303- 310.
SATOKAWA, Y E SHIKATA, T. (2008). Hydration structure and dynamic behavior
of poly(vinyl alcohols) in aqueous solution, Macromolecules, 41: 2908-13.
SCHWENDEMAN, SP; CARDAMONE, M; KLIBANOV, A e LANGER, R (1996).
Microparticulate systems for the delivery of proteins and vaccines. Eds Cohen,
S. and Bernstein, H., 1−49 (Marcel Dekker, New York).
SEIDA, Y e NAKANO, Y (1994). The physical and chemical structure of
temperature sensitive polymer gel and its surface property. Kagaku
Kogaku Ronbunshu., 20: 213 218.
117
SILVA, RM; SILVA, GA; COUTINHO, OP; MANO, JF e REIS, RL (2004). Preparation
and characterization in simulated body conditions of glutaraldehyde crosslinked
chitosan membranes. J. Mat. Sci.: Mater. in Med., 15 (10): 1105- 1112.
SILVA,AS; TAKATA, CS; SANT’ANNA, OA; LOPES, AC; SOARES, PA de e BUENO DA
COSTA, MH (2006). Enhanced Liposomal Vaccine Formulation and Performance:
Simple Physicochemical and Immunological Approaches. J. of Lip. Res., 16: 215
227.
SMART, JD; KELLAWAY, IW e WORTHINGTON, HE (1984). An in-vitro investigation
of mucosa-adhesive materials for use in controlled drug delivery. J. Pharm.
Pharmacol., 36 (5): 295- 299.
SMITHA, B; SRIDHAR, S e KHAN,AA (2005). Chitosansodium alginate polyion
complexes as fuel cell membranes. Eur. Polym. J., 41: 1859- 1866.
SMITHA, B; SRIDHAR, S e KHAN,AA (2004). Polyelectrolyte complexes of chitosan
and poly (acrylic acid) as proton exchange membrane for fuel cells.
Macromolecules, 37: 2233- 2239.
SOUTO, ALCF e ITO, AS (2000).Tryptophan fluorescence studies of melanotropins
in the amphiphile-water interface of reversed micelles. Eur. Biophys. J., 29:
38- 47
SRINIVASA, PC; RAMESH, MN; KUMAR, KR e THARANATHANA, R (2003). Properties
and sorption studies of chitosanpolyvinyl alcohol blend films. N. Carbohydrates
Polym., 53: 431- 438.
STRAUSS, G; SCHURTENBERGER, P e HAUSER, H (1986). The interaction of
saccharides with lipid bilayer vesicles: stabilization during freeze-thawing and
freeze-drying. Biochim. Byophys. Acta, 858: 169- 180.
118
STROUS, GJ e DEKKER, J (1992). Mucin-type glycoproteins. Critical Reviews in
Biochem. Mol. Biol., 27: 57 92.
SVENSSON, O; THURESSON, K e ARNEBRANT, T (2008). Interactions between
chitosan-modified particles and mucin-coated surfaces. J. Coll. Int. Sci., 325:
346- 350.
TAKEUCHI, H; THONGBORISUTE, J; MATSUI, Y; SUGIHARA, H; YAMAMOTO, H e
KAWASHIMA, Y (2005). Novel mucoadhesion tests for polymers-coated particles
to design optimal mucoadhesive drug delivery systems. Adv. Drug Del. Rev., 57:
1583- 1594.
TAKEUCHI, H; YAMAMOTO, H e KAWASHIMA, Y (2001). Mucoadhesive
nanoparticulate systems for peptide drug delivery. Adv. Drug Del. Rev., 47: 39-
54.
TAKEUCHI, H; YAMAMOTO, H; NIWA, T; HINO, T e KAWASHIMA, Y (1996). Enteral
absorption of insulin in rats from mucoadhesive chitosan-coated liposomes.
Pharm. Res., 13 (6): 896- 901.
TILSTRA, L e MATTICE, WL (1996). The -sheet coil transition of
polypeptides, as determinated by circular dichroism. In Fasman GD. Circular
dichroism and the conformational analysis of biomolecules. New York and
London: Plenum Press p. 261-269.
THOMAS, JB e PEPPAS, NA (2008). Adhesives in: Encyclopedia of Biomaterials
and Biomedical Engineering (Gary E Wnek e Gary Bowlin, ed.) Sec ed., vol. 1: 1-
8 (New York, USA).
THOMAS, EL; BOZEMAN, PM e LEARN, DB (1991). Lactoperoxidases: structure
and catalytic properties, in: Peroxidases in Chemistry and Biology (J. EVERSE,
K.E. EVERSE e M.B. GRISHAM, editors), Vol. I, CRC Press, pp 123- 143.
119
VAN DER LUBBEN, IM; KERSTEN, G; FRETZ, MM; BEUVERY, C; VERHOEF, JC e
JUNGINGER, HE (2003). Chitosan microparticles for mucosal vaccination against
diphtheria: oral and nasal efficacy studies in mice. Vaccine, 21: 1400- 1408.
VAN DER LUBBEN; IM, VERHOEF, JC; BORCHARD, G e JUNGUINGER, HE, (2001).
Chitosan for mucosal vaccination. Adv. Drug Del. Rev., 52: 139- 144.
VERMA, RK e GARG, S (2001). Current status of drug delivery technologies and
future directions. Pharmaceutical Technology On-Line, 25 (2): 1- 14.
VOROB’EV, M; CHUROCHKINA, N; KHOKHLOV, A e STEPNOVA, E (2007).
Hydration characterization of hydrophobically modified polymers by dielectric
measurements in the millimeter range. Macromol. Biosci., 7: 475- 481.
VRIES, AH; MARK, AE e MARRINK, SJ (2004). Molecular dynamics simulation of the
spontaneous formation of a small DPPC vesicle in water in atomistic detail. J. of
Am. Chem. Soc., 126: 4488- 4489.
WAWREZINIECK, A; PÉAN, JM; WÜTHRICH, P e BENOIT, JP (2008). Oral
bioavailability and drug/carrier particulate systems. Médecine/Sci., 24 (6-7):
659- 664.
WEERT, M; HOECHSTETTER, J; HENNINK, WE e CROMMELIN, DJA (2000). The
effect of water/organic solvent interface on the structural stability of lysozyme.
J. Control. Rel., 68: 351- 359.
WHO (23/06/2009)
http://www.who.int/vaccines/globalsummary/immunization/timeseries/tsincid
encedip.htm
WU, Z; PING, Q; WEI, Y e LAI, J (2004). Hypoglycemic efficacy of chitosan-
coated insulin liposomes after oral administration in mice. Acta Pharmacol. Sin.,
25 (7): 996- 972.
120
XING, DKL; CRANET, DT; BOLGIANO, B; CORBEL, MJ; JONES, C e SESARDIC, D
(1996). Physical-chemical and immunological studies on the stability of free and
microsphere-encapsulated tetanus toxoid in vitro. Vaccine, 14: 1205-1213.
YADAV, D e KHULLER, G (2001). Evaluation of the T cells and costimulatory
molecules in the protective efficacy of 30 kDa secretory protein against
experimental tuberculosis. Immunol. Cell. Biol., 79: 207- 212.
YAMAMOTO, H; HEYAMOTO, N; MATSUI, T; MURAYAMA, N e SHIBATA, J (2003).
Volumetric change and surface properties of temperature-sensitive
polyvinilalcohol (PVA) hydrogel. Int. J. Thermophys., 24: 1385- 1393.
YANG, JM; SU, WY; LEU, TL e YANG, MC (2004). Evaluation of chitosan/PVA
blended hydrogel membranes. J. Memb. Sci., 236: 39- 51.
YOU, CH; MIYAZAKI, T; ISHIDA, E; ASHIZUKA, M; OHTSUKI, C e TANIHARA, M
(2007). Fabrication of poly (vinyl alcohol)-apatite hybrids through biomimetic
process. J. Eur. Cer. Soc., 27 (2): 1585- 1588.
ZARU, M; MANCA, ML; FADDA, AM e ANTIMISIARIS, SG (2009). Chitosan-coated
liposome for delivery to lungs by nebulisation. Coll. Surf., 71: 88- 95.
ZHANG, Y e CREMER, PS (2006). Interactions between macromolecules and ions:
the Hoffmeister series. Current Opinion Chem. Biol., 10: 658: 663.
RELAÇÃO DE ANEXOS
Anexo I:
Súmula curricular
Anexo II:
Rescia, V.C., Ramos, H.R., Takata, C.S., Araujo, P.S. de and Bueno da Costa,
M.H. (2009
a
). Diphtheria toxoid conformation in the context of its
nanoencapsulation within liposomal particles sandwiched by Chitosan.
Submetido para J. Lip. Res.
Anexo III:
Rescia, V.C., Takata, C.S., Araujo, P.S. de and Bueno da Costa, M.H. (2009
b
).
Dressing liposomal particles with chitosan and poly (vinylic alcohol) for oral
vaccine delivery. Submetido para J. Lip. Res.
Anexo IV:
Rescia, V.C., Takata, C.S., Sant’anna, O.A., Araujo, P.S. de and Bueno da Costa,
M.H. (2009
c
). In vitro versus in vivo correlation assays for an oral chitosan-
liposomal diphtheria vaccine. Submetido para J. Lip. Res.
ANEXO I
SÚMULA CURRICULAR
DADOS PESSOAIS
Vanessa Cristina Rescia
Local e data de nascimento: São Paulo, 11 de Fevereiro de 1978.
FORMAÇÃO ESCOLAR E ACADÊMICA
1. Mestranda em Ciências - Departamento de Clínica Médica (2007 - 2009)
Universidade Federal de São Paulo, UNIFESP, São Paulo, SP.
Título: REVs-Chi: um novo sistema particulado para encapsulação de
macromoléculas terapêuticas.
Orientadora: Maria Helena Bueno da Costa.
2. Graduação em Farmácia e Bioquímica (2000 - 2003).
Universidade Bandeirante de São Paulo Osasco SP.
3. Técnico em Patologia Clínica (1994 - 1997).
Colégio Fernão Dias Pais Osasco SP.
OCUPAÇÃO
Aluna e bolsista de mestrado, CAPES (Coordenação de Aperfeiçoamento de
Pessoal de Nível Superior) - de Junho de 2007 à Junho de 2009.
PRODUÇÃO BIBLIOGRÁFICA
3.
RESCIA, VC e BUENO DA COSTA, MH . LARGE UNILAMELLAR VESICLES
SANDWICHED BY CHITOSAN FOR CONTROLLED DIPHTHERIA TOXOID
LIBERATION. Em: 33
rd
FEBS Congress & 11
th
IUBMB Conference, 2008,
Atenas. The FEBS Journal. Oxford : WILEY-BLACKWELL, 2008. v. 275. p.
370-370.
4.
RESCIA, VC e BUENO DA COSTA, MH . SOYBEAN PHOSPHATIDYLCHOLINE
VESICLES COVERED WITH CHITOSAN FOR A CONTROLED DIPHTHERIA TOXOID
LIBERATION. Em: XXXVII Annual Meeting of the Brazilian Biochemistry and
Molecular Biology Society (SBBq) and XI Congress of the Pan-American
Association for Biochemistry and Molecular Biology (PABMB), 2008, Águas de
Lindóia. São Paulo : By Adaltech, 2008. v. 6.
5.
RESCIA, VC e BUENO DA COSTA, MH . STRUCTURAL STUDIES OF A
FORMULATION WITH CHITOSAN-COATED LIPOSOMES FOR A DIPHTHERIA. Em:
X Reunião Científica Anual do Instituto Butantan Pesquisa Científica e
Legislação: caminhos e descaminhos e quem sabe um encontro, 2008, São
Paulo.
6.
RESCIA, VC; MOURA, SP; MONTEAGUDO, E e BUENO DA COSTA, MH . DESIGN
OF INTELLIGENT PARTICLES FOR ORAL VACCINE DELIVERY. Em: XXXVII
Reunion Anual de la Sociedad Argentina de Biofisica, 2008, La Plata, BsAs.
7.
RESCIA, VC; SIMÕES, AA e BUENO DA COSTA, MH . VACCINE VEHICLE
CONSTRUCTED BY LARGE UNILAMELLAR VESICLES SANDWICHED BY
CHITOSAN. Em: IX Reunião Científica Anual do Instituto Butantan, 2007, São
Paulo. Memórias do Instituto Butantan - 2007. São Paulo : Fundação
Butantan, 2007. v. 64. p. 92-92.
8.
RESCIA, VC; SIMÕES, AA e BUENO DA COSTA, MH . LARGE UNILAMELLAR
VESICLES SANDWICHED BY CHITOSAN AS VACCINE VEHICLE. Em: XXXVI
Reunião Anual em conjunto com a X Conferência da IUBMB, 2007, Salvador -
Bahia - Brasil. XXXVI Annual Meeting of the Brazialian Society for
Biochemistry and Molecular Biology (SBBq) and 10
th
IUBMB Conference. São
Paulo : Sociedade Brasileira de Bioquímica e Biologia Molecular, 2007. v. 1.
p. 43-43.
9.
RESCIA, VC; SIMÕES, AA; BUENO DA COSTA, MH . SOYBEAN
PHOSPHATIDYLCHOLINE NANOVESICLES COVERED BY CHITOSAN AS A
VACCINE VEHICLE FOR DIPHTHERIA TOXOID. Em: Taller de la Sociedad
Argentina de Biofisica: "Biofisica de macromoléculas: aspectos estructurales
e implicancias biológicas y biotecnológicas", 2007, Quilmes - Buenos Aires :
Sociedad Argentina de Biofisica, 2007. v. 1. p. 12-12.
10.
LIMA, AF ; PRADAL, MG ; DI DIO, R ; DI GIO, R ; BENNWART, M ; RESCIA, VC.
DETECÇÃO DA PRESENÇA DE HEMOGLOBINA ANÔMALAS NO PERFIL
CROMATOGRÁFICO DE GLICOHEMOGLOBINA-HBA
1
C. Em: 39
a
Congresso
Brasileiro de Patologia Clínica, 2005, o Paulo. Anais da Congresso
Brasileiro de Patologia Clínica, 2005.
Publicações
Rescia, V.C., Ramos, H.R., Takata, C.S., Araujo, P.S. de and Bueno da Costa,
M.H. (2009
a
). Diphtheria toxoid conformation in the context of its
nanoencapsulation within liposomal particles sandwiched by Chitosan. Submetido
para J. Lip. Res.
Rescia, V.C., Takata, C.S., Araujo, P.S. de and Bueno da Costa, M.H. (2009
b
).
Dressing liposomal particles with chitosan and poly (vinylic alcohol) for oral
vaccine delivery. Submetido para J. Lip. Res.
Rescia, V.C., Takata, C.S., Sant’anna, O.A., Araujo, P.S. de and Bueno da Costa,
M.H. (2009
c
). In vitro versus in vivo correlation assays for an oral chitosan-
liposomal diphtheria vaccine. Submetido para J. Lip. Res.
Participação em eventos
Congressos
1. XXXVIII Reunião Anual da Sociedade Brasileira de Bioquímica e Biologia
Molecular - SBBq (2009)
2. Meeting on Nanotechnology, Liposomes and Health (2009).
3.
XXXVII Reunião Anual da Sociedade Brasileira de Bioquímica e Biologia
Molecular - SBBq e XI Congresso da PABMB (2008).
4.
33
rd
FEBS Congress & 11
th
IUBMB Conference (2008).
5.
XXXVI Reunião Anual da Sociedade Brasileira de Bioquímica e Biologia
Molecular - SBBq e X Conferência da IUBMB (2007).
6.
39
a
Congresso Brasileiro de Patologia Clínica (2005).
Simpósios e encontros
1.
X Reunião Científica Anual do Instituto Butantan (2008).
2.
XXXVII Reunión Anual de la Sociedad Argentina de Biofisica (2008).
3.
Taller de la Sociedad Argentina de Biofísica. Biofísica de Macromoléculas:
Aspectos estructurales e implicancias biológicas y biotecnológicas (2007).
4.
IX Reunião Científica Anual do Instituto Butantan (2007).
5.
Encontro de Usuário de HPLC da Chromsystems (2006).
ANEXO II
Diphtheria toxoid conformation in the context of its nanoencapsulation within
liposomal particles sandwiched by Chitosan
VANESSA CRISTINA RESCIA,
1,5
HENRIQUE R. RAMOS,
2
CÉLIA S. TAKATA,
3
PEDRO S. DE ARAUJO,
4
and Maria HELENA BUENO DA COSTA
1*
1
Lab. de Microesferas e Lipossomas Centro de Biotecnologia- I. Butantan
2
Laboratório de Biotecnologia Molecular Centro de Biotecnologia- I. Butantan
3
Div. Desenvolvimento Tecnológico e Produção-I. Butantan, São Paulo, Brasil
4
Departamento de Bioquímica- IQ-Universidade de São Paulo, São Paulo, Brasil
5
Disciplina de Clínica Médica, Dep. Medicina UNIFESP, São Paulo, Brasil
Chitosan, - (1-4)-amino-2-deoxy- -D-glucan) is a deacetylated form of
chitin, a polysaccharide from crustacean shells. Its unique characteristics such as
positive charge, biodegradability, biocompatibility, non-toxicity, and rigid
structure make this macromolecule ideal for oral vaccine delivery system. We
prepared reverse phase evaporation vesicles (REVs) sandwiched by chitosan (Chi)
and polyvinylic alcohol (PVA). However, in this method there are still some
problems to be circumvented related to protein stabilization. During the
inverted micelle phase of protein nanoencapsulation, hydrophobic interfaces are
expanded leading to interfacial adsorption followed by protein unfolding and
aggregation. Here, spectroscopic and immunological techniques were used to
ascertain the effects of the Hoffmeister series ions on Diphtheria toxoid (Dtxd)
stability during the inverted micelle phase. A correlation was established
between the salts used in aqueous solutions and the changes in Dtxd solubility
and conformation.
Dtxd α-helical content was quite stable what led us to conclude that
encapsulation occurred without protein aggregation or without exposition of
hydrophobic residues. Dtxd aggregation was 98% avoided by the kosmotropic PO
2-
4
. This ion was used to prepare a stable Dtxd and immunologically recognized
REVs-Chi-PVA formulation in the presence of 50 mM PO
2-
4
. Under these
conditions the Dtxd retained its immunological identity. Therefore, we could
obtain the maximum Dtxd solubility and stability after contact with CH
3
CO
2
C
2
H
5
to begin its nanoencapsulation within ideal conditions. This was a technological
breakthrough because a simple solution like salt addition avoided heterologous
proteins usage.
Keys words: liposome-vaccine delivery; Hoffmeister serie ions, protein solubilization, protein
stabilization, interaction protein/organic solvent, protein nanoencapsulation.
Address correspondence to Maria Helena Bueno da Costa, Laboratório de Microesferas e
Lipossomas - Centro de Biotecnologia - I. Butantan, Av. Vital Brasil, 1500 (05503-900) Butantan,
São Paulo, SP, Brasil. Email: bdacos[email protected]
Introduction
Reverse phase evaporation vesicles (REVs) can be sandwiched by chitosan
(Chi) (Mertins et al., 2005) and covered by PVA (polyvinilic alcohol) to be used as
delivery vehicle for oral vaccine vehicle (Marón et al., 2007). It is known that
protein encapsulation within REVs-Chi (reverse phase evaporation method -
chitosan vesicles) vesicles is a simple and straightforward procedure, as
described by a group from our laboratory (Marón et al., 2007).
However, until today, empirical approaches for protein stabilization have
been employed during the organic phase contact on double emulsion processes
(W
1
/O/W
2
) or the inverted micelle phase on REVs methods. In the initial phase of
these methods high pressures, temperature gradients and shear forces enhance
the probability of oxidations to occur, leading to free radicals formation and
protein damages. When shear forces are considered, their net result is an
increase on the organic solvent surface area which triggers protein adsorptions,
aggregate precipitations and conformational damages (Wei, Lu and Lu, 2007;
Pérez-Rodriguez et al., 2003; Castellanos, Cruz, and Crespo 2002; Pérez et al.,
2002; Diwan and Park, 2001; Weert et al., 2000; Sah, 1999; Xing et al., 1996) .
BSA addition to Dtxd or to Tetanus toxoid (Audran et al., 1998; Johansen et al.,
1998) was proposed to avoid antigen aggregation in protein encapsulation within
PLGA microspheres. The underlying supposition is that BSA competes with the
antigen for the adsorption at the CH
2
Cl
2
/H
2
O interface. Evidently this can occur
however, it is not reasonable to add heterologous proteins to pharmaceutical
formulations intended for human usage. Here, we propose the simple addition of
salts of the Hoffmeister series to avoid Dtxd aggregation and conformational
modifications during its interfacial contact with CH
3
CO
2
C
2
H
5
, used during the
inverted micelle phase in the REVs method. We also discussed the mechanisms
by which protein conformation was maintained and damages were avoided. A
stabilized Dtxd was nanoencapsulated within REV-Chi-PVA and the protein
liberation was followed by ELISA.
Materials and methods
Dtxd (Diphtheria toxoid) and anti-diphtheric standard antiserum (developed in
horses) were a gift from Instituto Butantan Divisão de Produção. The
immunoconjugates, dimethylsufoxide (DMSO) and 3,3’, 5,5’-
tetramethylbenzidine (TMB) were from Polysciences; Chitosan (low molecular
weight, 70-85 % deacetylation); polyvinyl alcohol (PVA, MW 127 kDa) were from
Sigma. Ethyl acetate (CH
3
CO
2
C
2
H
5
) and all other reagents were of analytical
grade. The following equipments were used: ultraconcentrator 8050 and 8010
models (Amicon); F 2000 spectrofluorimeter (Hitachi), spectropolarimeter Jasco-
810; HPLC (Shimadzu) LC-10VP, equipped with UV detector (model SCL-10AVP);
ELISA plate reader (Titerteck) Multiskan MCC/340 (Labsystems), Probe sonifier
Branson, model 450; rotatory evaporator Tecnal TE-210; Zetasizer Brookhaven
Zeta Pals; spectrophotometer Pharmacia Ultraspec 100, Nikon camera FX35WA,
TMS Nikon inverted microscope.
Effects of Hoffmeister series ions on the Dtxd solubility during
emulsification with ethyl acetate.
2 mL samples containing 5 mM Dtxd in KSCN, MgCl
2
, NaCl or NaH
2
PO
4
(0, 10, 30,
50, 70, 90, 100 and 150 mM final concentrations) were added to 8 mL
CH
3
CO
2
C
2
H
5
. After 4 minutes of emulsification with a probe sonifier (40 W
nominal) the samples were centrifuged during 15 minutes at 18154 g. The
protein contents of the aqueous phases were measured by the absorbance at 269
nm (Campana et al., 2004) or by HPLC (Campana et al., 2004). The soluble
fractions were analyzed by CD (Circular dichroism), fluorescence and ELISA
(Enzyme linked immunosorbent assay).
Circular dichroism
The soluble Dtxd fractions in different salts at different concentrations (0, 10,
30, 50, 70, 90, 100 and 150 mM final concentrations) were analyzed using a 0.1
cm path length cuvette in a Jasco-810 spectropolarimeter.
Fluorescence
The soluble Dtxd fractions in different salts (0, 10, 30, 50, 70, 90, 100 and 150
mM final concentrations) were analyzed using quartz cuvettes in a Hitachi F 2000
fluorimeter. The samples were excited at 269 nm and the fluorescence emission
measured between 280 and 480 nm.
ELISA
Dtxd soluble samples were added to ELISA plates and after two hours at 37°C,
they were blocked with 10% skim milk. After 30 min, the standard anti-Dtxd
specific sera, developed in horses, was added to the wells. The conjugate (anti-
horse whole IgG conjugate with peroxidase) was added 30 min later, and, after a
further 30 min, the substrate was added. After 15 min at room temperature, the
reaction was stopped with 1 M H
2
SO
4
. The absorbance was automatically
measured at 450 nm in a Titertek Multiskan MCC/340. Antibody titters are the
reciprocal serum dilution factor giving an absorbance value of 20 % of the
saturation value.
Sandwiched Chitosan liposome recovered with PVA (REVs-Chi-PVA)
preparation by the reverse evaporation method (REVs-Chi) containing Dtxd
Dtxd in 0,5 % chitosan (Chi) (in 200 μL of 50 mM phosphate, pH 4.5 buffer) was
added to 60 mg of SPC and 10 mg Cho. After inverted micelle formation, by
sonification, the organogel was formed in a rotatory evaporator under vacuum
(15 mm Hg/cm). The organogel was resuspended in 1% PVA and lyophilized.
REVs-Chi-PVA morphology was observed by microscopy.
Encapsulation efficiency: REVs; REVs-Chi or REVs-Chi-PVA
Suspensions containing Dtxd were dispersed in water and centrifuged twice at
room temperature at 4 000 rpm, during 20 minutes. The Dtxd in the
supernatants was measured by using adapted literature method (Peterson,
1977).
REVs, REVs-Chi and REVs-Chi-PVA morphologies.
Pictures were taken with a Nikon camera FX35WA interfaced with a TMS Nikon
inverted microscope.
Diphtheria toxoid liberation from REVs-Chi-PVA
The samples were incubated in SGF (simulated gastric fluid, pH 1.2) or in SIF
(simulated intestinal fluid) both prepared according to the United States
Pharmacopoeia (USP 2002 and 2003). The dispersions of REVs (1.5 mL) or REVs-
Chi-PVA (1.5 mL) were added to the liberation media and incubated, under
gentle agitation, at 37
o
C during. After 4 minutes of centrifugation at 4 000 rpm,
aliquots were taken (4 mL) and an equal volume of the corresponding media was
added. This procedure was repeated at pre-determined time points. The samples
were analyzed for liberated Dtxd by protein analysis and ELISA.
3. Results and discussion
It was verified in this work that simple molecules like Hoffmeister salts could
be the best solution to protect the Dtxd protein from aggregation and
conformational damages during the sonification with CH
3
CO
2
C
2
H
5
.
The Dtxd solubility was affected by the sonification both in the presence
of CH
3
CO
2
C
2
H
5
and in the absence of salts (Figure 1), when 9 % of the molecule
precipitated. We have shown that Dtxd solubility decreased in the presence of
SCN
-
(Figure 1) with results in the literature (Curtis et al., 2002). It is well known
that when the organic solvent is changed (to methylene chloride, for example)
protein solubility changes. In the case of Dtxd sonified in the presence SCN
-
solubility increased to 98 % (Namur et al., 2009), in contrast diminished, for
lisozyme (Pérez and Griebenow, 2002). There are no rigid rules for protein
solubility after sonification in the presence of Hoffmeister ions series, which
implicates that the protein partition depends on several factors like dielectric
constant and pH. The kosmotropic NaH
2
PO
4
was the best salt for recovering Dtxd
in all the concentrations studied (Figure 1). One outstanding observation was
that Dtxd solubility in 10 mM or 100 mM NaH
2
PO
4
was greater than all the other
conditions studied (Figure 1). The Dtxd solubilities were inversely proportional to
salt concentrations for the kosmotropic NaCl and for the chaotropics KSCN or
MgCl
2
. 30 mM MgCl
2
provided the worst salt condition since it reduced Dtxd
solubility by 40%.
The problem approached in this work was neither simple nor trivial: a ternary
system composed by the protein Dtxd, the water and the organic solvent where
a fourth element would be added - the salt, under sonification at 40 W. It would
have been an oversimplification to opt for one of the theories (Dér et al., 2007;
Zhang and Cremer, 2006; Zhou, 2005, Boström, Williams and Niham, 2003) to
explain the Hoffmeister effect on protein solubility. It is known, from the
literature, that protein solubility changes (Zhou, 2005, Boström, Williams and
Niham, 2003) in the presence of kosmotropic salts which stabilize solutes, by
increasing the order of water or in the presence of chaotropic salts which create
weaker hydrogen bonding thus decreasing the order of water and increasing its
surface tension. Nowadays, it is known that the Hoffmeister series mechanism of
action is related to ion specific phenomena (Zhang and Cremer, 2006). But,
changes on water structure after salt additions do not explain the ion specific
phenomenon (Dér et al., 2007; Leberman, 1991). In this investigation the
chaotropics SCN
-
and Mg
2+
were used. In addition to their charge difference it is
known that SCN
-
is poorly hydrated while Mg
2+
is strongly hydrated (Dér et al.,
2007; Leberman, 1991). The Dtxd was dissolved in water containing salt at pH
6.5, 2 pH units above its pI (Campana et al., 2004) thus with a net negative
charge. Therefore, it is reasonable to assume that an ionic interaction between
the negatively charged Dtxd and Mg
2+
did not favor protein solubility. In this salt
condition the protein could precipitate after organic solvent contact, maximized
by the sonication at 40 W. Accordingly, the Hoffmeister series would be
understood as an ion specific phenomenon (Dér et al., 2007; Biresaw et al.,
1985). Once more, the kosmotropic salts, NaCl and NaH
2
PO
4
altered differently
the Dtxd aggregation caused by agitation. While NaCl diminished the Dtxd
solubility (Figure 1) the NaH
2
PO
4
, increased. Consequently, the PO
4
2-
was further
investigated to be used as a protective ion for Dtxd.
To know the nature and extent of these Dtxd losses, the soluble Dtxd
fractions after emulsification in the presence of salts were applied on a gel
filtration HPLC column. The typical Dtxd vaccine preparation contains different
molecular dimmer species, namely dimmer; monomer fragments A and B
(Campana et al., 2004). Therefore, the distribution of these molecular species
could be an indicative of the structural preservation of the protein (Table 1 and
Figure 2).
0 20 40 60 80 100 120 140 160
0
10
20
30
40
50
60
70
80
90
100
Dtxd solubility (%)
Salt concentration (mM)
Figure 1. Effects of Hoffmeister series ions on Dtxd recovery during emulsification
with CH
2
Cl
2
. The kosmotropics NaH2PO4 (--), NaCl (--) or the chaotropics KSNC (--) and
MgCl
2
(--) were added to the Dtxd water solutions and sonified (40 W) during 4 minutes
in the presence of CH
3
CO
2
C
2
H
5.
The soluble protein was measured by HPLC.
Table 1. Effect of Hoffmeister series ions on Dtxd different molecular species
after sonification.
Salt used
Dtxd
(dimmer)
(relative
proportion)
Dtxd
(monomer)
(relative
concentration)
FB + FA
(relative
concentration)
NaCl
KSCN
↓↓↓↓
↑↑↑↑
MgCl
2
NaH
2
PO
4
=
The dimer concentration decreased with all the salts used (Figure 2A).
There was a large reduction in Dtxd monomers when the emulsification was done
in the presence of SCN
-
(Figure 2B). The increase in FA and FB (Fragments A and
B) occurred in concert with the decrease of Dtxd monomers when Dtxd was
emulsified in the presence of SCN
-
, suggesting the existence of a significant Dtxd
monomer hydrolysis.
0 50 100 150
0
10
20
30
40
50
60
70
80
90
100
A
Dtxd concentration (%)
Salt concentration (mM)
0 50 100 150
0
10
20
30
40
50
60
70
80
90
100
B
0 50 100 150
0
10
20
30
40
50
60
70
80
90
100
C
Figure 2. Effect of Hoffmeister series ions in different Dtxd molecular species after
emulsification in the presence of CH
3
CO
2
C
2
H
5
. The kosmotropics NaH2PO4 (--), NaCl (--) or the
chaotropics KSNC (--) and MgCl
2
(--) were added to the Dtxd water solutions and sonified in
the presence of CH
3
CO
2
C
2
H
5
at 40 W. A. Dtxd dimmer, B. Dtxd monomer and C. Fragments A and
B. Controls: Dtxd sonified without salt and CH
3
CO
2
C
2
H
5
(arrows in the pictures). The fractions
containing soluble Dtxd molecular species were analyzed by HPLC gel filtration (QC-PACK GFC
300 column - 7.8 mm X 15 cm) previously equilibrated with PBS, at 20
o
C. Injection and elution
flows were 0.6 mL/min.
SCN
-
can be oxidized by peroxidase in solution (Thomas, Bozeman and
Learn, 1991). Since there is no peroxidase in our system SCN
-
oxidation was
performed by the
OH radical (generated during the sonification) producing the
hypothiocyanous acid.
SCN
-
+
OH HOSCN (1)
The HOSCN is a weak acid that reacts with sulfhydryl groups present in
Dtxd. Dtxd can be represented by two peptides (FA and FB) linked by a S-S bond:
FA-S-S-FB (Namur et al., 2004). The FA-S-S-FB could be converted to tiocyanate-
sulfenil or disulfates (RS-SCN or RS-SR) as described for other molecules
(Thomas, Bozeman and Learn, 1991). Accordingly, we propose that the reaction
with Dtxd would be the following:
2 HOSCN + FA-S-S-FB → FA-S-SCN + FA-S-SCN + 2
OH (2)
Thus, the decrease in Dtxd monomer would have occurred in concert with the
increase in FA and FB (in fact, FA-S-SCN + FA-S-SCN) (Figure 2C).
The PO
4
2-
and surprisingly the SCN
-
retained the Dtxd immunological
identities (Figure 3). An increase of immunological identity induced by Mg
2+
and
NaCl was observed (Figure 3). These results contrast with those already
published, when Dtxd was emulsified in the presence of methylene chloride
(Namur et al, 2009). The damages we observed on the immunologically
recognized Dtxd conformation were small (Figure 3).
0 20 40 60 80 100 120 140 160
0,00
0,02
0,04
0,06
0,08
0,10
0,12
0,14
ELISA (Abs 450 nm)
Salt concentration (mM)
Figure 3. Immunological identity of the soluble Dtxd fractions. The kosmotropics
NaH
2
PO4 (--), NaCl (--) or the chaotropics KSNC (--) and MgCl
2
(--) were added to the Dtxd
water solutions and sonified in the presence of CH
3
CO
2
C
2
H
5
at 40 W. The soluble fractions were
analyzed by ELISA. Control: untreated protein was 0,07 Absorbance units.
The extent of these small Dtxd conformational damages were analyzed by
fluorescence. There were no changes in the F350 nm/F330 nm ratio (Figure 4).
This led us to conclude that there was no tryptophan exposition to the media in
Dtxd which agrees with what was found by others (Souto and Ito, 2000). It is
interesting to note that when the emulsification is done in the presence of
CH
2
Cl
2
, enormous Trp (W) expositions occur (Namur et al., 2009). Again a simple
change on organic solvent induces not only Dtxd solubility differences but also
conformational differences (Figure 4 and Namur et al., 2009).
0 20 40 60 80 100 120 140 160
0,0
0,2
0,4
0,6
0,8
1,0
F 350/330 nm
Salt concentration (mM)
Figure 4. Effect of Hoffmeister series ions on Dtxd intrinsic fluorescence. The
kosmotropics NaH
2
PO4 (--), NaCl (--) or the chaotropics KSNC (--) and MgCl
2
(--) were added
to the Dtxd water solutions and sonified in the presence of CH
3
CO
2
C
2
H
5
at 40 W. The soluble
fractions were recorded by fluorescence spectra. The intensities F350/F330nm were measured.
Circular dichroism was used to detail changes in Dtxd secondary structures
Changes in the
196nm
(Tilstra and Matice, 1996) were observed in Dtxd fractions
soluble in salt solutions (Figure 5). Decreases on -sheet content were observed
when Dtxd was sonified, both in the presence of the kosmotropics Cl
-
or PO
4
2-
as
well as in the presence of the chaotropics Mg
2+
and SCN
-
(Figure 5). It was
concluded that an extensive protection on -sheet Dtxd content (90,4 %) was
achieved when the protein was sonified in the presence of PO
4
2-
.
0 20 40 60 80 100 120 140 160
0
2
4
6
8
10
12
14
16
18
20
Changes on
(196 nm)
10
-3
.grau.cm
2
.decimol
-1
Salt concentration (mM)
Figure 5. Effect of Hoffmeister series ions on Dtxd -sheet content. The kosmotropics
NaH
2
PO
4
(--), NaCl (--) or the chaotropics KSNC (--) and MgCl
2
(--) were added to the Dtxd
water solutions and sonified in the presence of CH
3
CO
2
C
2
H
5
at 40 W. The CD spectra of these
soluble fractions were performed using a 0.1 cm path length cuvette. The observed at 196 nm
was used to measure the extent of protein modifications.
Further conformational changes on helical content were observed at
222nm
(Figure 6) and for S-S dihedral angle conformations, at
260nm
(Figure 7).
The largest negative Cotton effect was observed with Dtxd emulsified in the
presence of MgCl
2
. The best salt condition was obtained when Dtxd was sonified
in the presence of PO
4
2-
(Figure 6 A and B). PO
4
2-
was the unique salt able to
increase Dtxd helix content when sonified in the presence of CH
3
CO
2
C
2
H
5
(Figure 6 B).
0 20 40 60 80 100 120 140 160
-20
-18
-16
-14
-12
-10
-8
-6
-4
-2
0
2
B
A
helix content (%)
222 nm
. 10
-3
.degree.cm
2
.decimol
-1
Salt concentration (mM)
0 20 40 60 80 100 120 140 160
60
70
80
90
100
110
120
130
140
Figure 6. Effect of Hoffmeister series ions on Dtxd -helix content. A. The kosmotropics
NaH
2
PO4 (--), NaCl (--) or the chaotropics KSNC (--) and MgCl
2
(--) were added to the Dtxd
water solutions and sonified in the presence of CH
3
CO
2
C
2
H
5
at 40 W. The CD spectra of these
soluble fractions were performed using a 0.1 cm path length cuvette. The observed at 222 nm
was used to measure the extent of -helix content. B. The -helix contents were compared with
the -helix content presented by the control, considered as 100 %.
Diphtheria toxin has two S-S bridges (C
186
-C
201
and C
461
-C
471
). One of them
is an inter-peptide linkage (FA-FB, C
186
-C
201
) and the other is an intra-peptide
linkage (FB, C
461
-C
471
). The Dtxd dihedral S-S angle (linkage between the FA and
FB) suffered conformational alterations during the sonification in the presence
of organic solvent (Figure 7). Probably, the observed dihedral changes are
related with the C
186
-C
201
bridge because of the steric hindrance and constraints
on the other S-S linkage (C
461
-C
471
). It is known that angular dihedral variations
120
o
are related with a negative Cotton effect. In contrast, angular dihedral
variations 60
o
induce positive Cotton effects (Pérez and Griebenow, 2002;
Tilstra and Mattice, 1996). All salts used changed the S-S conformation within
Dtxd (Figure 7). Dtxd in water presented a S-S opening of 120
o
corresponding
to negative Cotton effect value of -0,15.10
-3
.degree.cm
2
.decimol
-1
(Control,
Figure 7). After sonification this value changed to +0,10.10
-
3
.degree.cm
2
.decimol
-1
which corresponds to a positive Cotton effect related to
a S-S opening of ≤ 60
o
. This result corroborates the observation that no W
exposition was detected by fluorescence spectroscopy (Figure 4). This could
indicate that that after sonification Dtxd became more closed with its W buried
away from the environment.
0 20 40 60 80 100 120 140 160
-0,4
-0,2
0,0
0,2
0,4
Changes on
260 nm
10
-3
.grau.cm
2
.decimol
-1
Salt concentration (mM)
Figure 6. Effect of Hoffmeister series ions on Dtxd S-S dihedral angle. A. The
kosmotropics NaH
2
PO4 (--), NaCl (--) or the chaotropics KSNC (--) and MgCl
2
(--) were added
to the Dtxd water solutions and sonified in the presence of CH
3
CO
2
C
2
H
5
at 40 W. The CD spectra
of these soluble fractions were performed using a 0.1 cm path length cuvette. The observed at
260 nm was used to measure the extent of S-S dihedral opening. Control: Dtxd in water
measured before sonification.
When considering all the previous results, Dtxd microencapsulations
within REVs-Chi-PVA sonified in the presence PO
4
2-
had encapsulations
efficiencies which raised from 51 % (Marón et al, 2007) to 69,2 for REVs-Chi and
from 65 % (Marón et al., 2007) to 75,4 % for REVs-Chi-PVA. These REVs-Chi-PVA
containing Dtxd liberated all the protein content with immunological activity,
making them very good candidates for oral vaccines vehicles (Figure 8).
0 50 100 150 200 250
0
20
40
60
80
100
Liberated Dtxd (%)
Time (minutes)
Figure 8. Kinetic profile of Dtxd liberation from REVs-Chi-PVA. The REVs-Chi-PVA /Dtxd
were incubated witnin PBS. Periodically samples were taken and analysed by measuring protein
and ELISA.
Conclusion
We were able to obtain the maximum protein solubility after emulsification in
the presence of CH
3
CO
2
C
2
H
5
to begin its REVs-Chi-PVA microencapsulation within
ideal conditions. This was a technological breakthrough because a simple
solution such as salt addition avoided the usage of heterologous proteins.
Aknowledgements: FAPESP (00/10970-7), CNPq (302047/2008-5) and
Fundação Butantan. VC Rescia had a fellowship from CAPES.
References
Audran, R.; Men, Y.; Johansen, P.; Gander, B.; Corradin, G. (1998).
Enhanced immunogenicity of microencapsulated tetanus toxoid with stabilizing
agents. Pharm Res 15: 1111-1116.
Biresaw, G., McKenzie, D.C., Bunton, C.A. and Nicoli, D.F. (1985).
Dynamic light scattering study of a micellar system of low fractional ionization:
(CTA)
2
SO
4
+ Na
2
SO
4
. J Phys Chem 89: 5144-5146.
Boström, M., Williams, D.R.M. and Niham, B.W. (2003). Specific ion
effects: why the properties of lysozyme in salt solutions follow a Hoffmeister
series. Biophys J 85: 686-694.
Campana, R.A., Namur, J.A.M., Takata, C.S., Araujo, P.S. and Bueno da
Costa, M.H. (2004). Ionic interfaces and diphteria toxoid interactions. Prot
Expres Purif 33: 161-65.
Castellanos, I.J., Cruz, G., Crespo, R.C. and Griebenow, K. (2002).
Encapsulation-induced aggregation and loss in activity of γ-chymotryppsin and
their prevention. J Control Rel 81: 307-319.
Curtis, R.A., Ulrich, J., Montaser, A., Pausnitz, J.M. and Blanch, H.W.
(2002). Protein-protein interactions in concentrated electrolyte solutions. Bioeng
79:367- 380.
Dér, A., Kelemen, L., Fábián, L., Taneva, S.G., Fodor, E., Pálli, T.,
Cupane, A., Cacace, M.G. and Ramsden, J.J. (2007). Interfacial water structure
controls protein conformation. J Phys Chem B 111: 5344-5350.
Diwan, M. and Park, T.G. (2001). Pegylation enhances protein stability
during encapsulation in PLGA microspheres. J Control Rel 73: 233-244.
Johansen, P.; Men, Y., Audran, R., Corradin, G., Merkle, H.P. and Gander,
B. Improving stability and release kinetics of microencapsulated tetanus toxoid
by co-encapsulation of additives (1998). Pharm Res 15: 1103-1110.
Leberman, R. (1991). The Hoffmeister series and ionic strength. FEBS 284:
193- 294.
Marón, L.B., Peniche, C., Da Silveira, N.P., Pohlmann, A., Mertins, O.,
Tatsuo, L.N., Sant'anna, A.O., Moro, A.M., Takata, C.S., de Araujo, P.S. and
Bueno da Costa, M.H. (2007). LUVs recovered with chitosan: a new preparation
for vaccine delivery. J Lip Res 5: 155- 163.
Mertins, O., Sebben, M., Pohlmann, A.R. and Silveira, N.P. (2005).
Production of soybean phosphatidylcholine-chitosan nanovesicles by reverse
phase evaporation: a step by step study. Chem Phys Lip 138: 29- 37.
Namur, J.A.M., Takata, C.S., Araujo, P.S. de and Bueno Da Costa, M.H.
(2009). Hoffmeister series ions protect Diphtheria toxoid from structural
damages at solvent/water interface. Materials 2: 765- 775.
Namur, J.A.M., Takata, C.S., Moro, A.M., Politi, M.J., Araujo, P.S.,
Cuccovia, I.M. and Bueno da Costa, M.H. (2004). Lactic acid triggers, in vitro,
thiomersal to degrade protein in the presence of PLGA microspheres. Int J
Pharm 273: 1- 8.
Pérez C., Castellanos, I.J., Costantino, H., Al-Azzam, W. and Griebenow,
K. (2002). Recent trends in stabilizing protein structure upon encapsulation and
release from bioerodible polymers. J Phar Pharmacol 54: 301-313.
Pérez, C., and Griebenow, K. (2002). Effects of salts on lysozyme stability
at the water-oil interface and upon encapsulation in poly(lactic-co-glycolic) acid
microspheres. Biotechnol Bioeng 82: 825-832.
Pérez-Rodriguez, C., Montano, N., Gonzalez, K. and Griebenow, K. (2003).
Stabilization of chymotrypsin at the CH
2
Cl
2
/water interface and upon water-oil-
in-water encapsulation in PLGA microspheres. J Control Rel 89: 71-85.
Peterson, G.L. (1977). A simplification of the protein assay method of
Lowry et alii which is more generally applicable. Anal Biochem 83: 346- 356.
Sah, H. (1999). Protein behavior at the water/methylene chloride
interface. J Pharm Sci 88: 1320- 1325.
Souto, A.L.C.F. and Ito, A.S. (2000). Tryptophan fluorescence studies of
melanotropins in the amphiphile-water interface of reversed micelles. Eur
Biophys J 29:38- 47
Thomas, E.L., Bozeman, P.M. and Learn, D.B. (1991). Lactoperoxidases:
structure and catalytic properties, in: y, Everse, J., Everse, K.E., and Grisham,
M.B. ed. Peroxidases in Chemistry and Biology, Vol. I, CRC Press, pp 123- 143.
Tilstra, L. and Mattice, W.L. (1996). The beta sheet to coil transition of
polypeptides, as determined by circular dichroism. In Fasman, G. Circular
dichroism and the conformational analysis of biomolecules, 1
st
Ed. Plenum
Press, NY, USA, pp. 261- 269.
Weert, M., Hoechstetter, J., Hennink, W.E. and Crommelin, D.J.A. (2000).
The effect of water/organic solvent interface on the structural stability of
lysozyme. J Control Rel 68: 351-359.
Wei, G., Lu, L.F. and Lu, W.Y. (2007). Stabilization of recombinant human
grow hormone against emulsification-induced aggregation by Pluronic surfactants
during microencapsulation. Int J Pharm 338: 125-132.
Xing, D.K.L., Cranet, D.T., Bolgiano, B., Corbel, M.J., Jones, C. and
Sesardic, D. (1996). Physico-chemical and immunological studies on the stability
of free and microsphere-encapsulated tetanus toxoid in vitro. Vaccine 14: 1205-
1213.
Zhang, Y. and Cremer, P.S. (2006). Interactions between macromolecules
and ions: the Hoffmeister series. Cur Op Chem Biol 10: 658-663.
Zhou, H.X. (2005). Interactions of macromolecules with salt ions: an
electrostatic theory for the Hoffmeister effect. Proteins 61: 69-78.
ANEXO III
Dressing liposomal particles with chitosan and
poly (vinylic alcohol) for oral vaccine delivery.
VANESSA CRISTINA RESCIA,
1,4
CÉLIA S. TAKATA,
2
PEDRO S. DE ARAUJO,
3
and M. HELENA BUENO DA COSTA
1*
1
Lab. de Microesferas e Lipossomas Centro de Biotecnologia- I. Butantan
2
Div. Desenvolvimento Tecnológico e Produção-I. Butantan, São Paulo, Brasil
3
Departamento de Bioquímica- IQ-Universidade de São Paulo, São Paulo, Brasil
4
Disciplina de Clínica Médica, Dep. Medicina UNIFESP, São Paulo, Brasil
Liposomes have been used as adjuvants since 1974 (Allison and Gregoriadis, 1974). One
major limitation for the use of liposomes in oral vaccines is the lipid structure instability caused
by enzyme activities. Our goal was to combine liposomes which can encapsulate antigens (Dtxd,
diphtheria toxoid) with chitosan which protects the particles and promotes mucoadhesibility. We
employed physical techniques to understand the process by which liposomes (SPC: Cho, 3:1) can
be sandwiched with chitosan (Chi) and stabilized by PVA (Poly-vinylic alcohol) which are
biodegradable and biocompatible polymers. Round and smooth surfaced particles of REVs-Chi
(Reversed phase vesicles sandwiched by Chi) stabilized by PVA were obtained. The REVs
encapsulation efficiencies (Dtxd was used as the antigen) were directly dependent on the Chi
and PVA present in the formulation. Chi adsorption on REVs surface was accompanied by an
increase of potential. In contrast, PVA adsorption on REVs-Chi surface was accompanied by a
decrease of potential. The presence of Dtxd increased the Chi surface adsorption efficiency.
The PVA affinity by mucine was 2000 higher than that observed with Chi alone and did not
depend on the molecule being in solution or adsorbed on the liposomal surface. The liberation of
encapsulated Dtxd was retarded by encapsulation within REVs-Chi-PVA. These results lead us to
conclude that these new and stabilized particles were to able to adsorb to intestinal surfaces,
resisted degradation and controlled the antigen release. Therefore, REVs-Chi-PVA particles can
be used as an oral delivery adjuvant.
Key words: oral adjuvant, liposome stabilization, polymer interactions, chitosan-PVA interactions,
particulate adjuvante.
*Address correspondence to Maria Helena Bueno da Costa, Laboratório de Microesferas e
Lipossomas - Centro de Biotecnologia - I. Butantan, Av. Vital Brasil, 1500, 05503-900 - Butantan,
São Paulo, SP, Brasil. Email: bdacos[email protected]
Introduction
It is well accepted that the increased residence time of particulate delivery
systems at mucosal surfaces may facilitate (and increase) the uptake of such
agents. Accordingly, mucoadhesive agents provide a strategy that may increase
the antigen residence time and consequently the uptake of biodegradable
particulate drug carriers when administered by oral route. The other advantage
of oral or mucosal vaccination is the production of local antibodies at the same
sites where the pathogens enter the body. Furthermore, the obvious
disadvantages of invasive injections compared to non-invasive mucosal
vaccination are the low patient compliance and high costs due to the need of a
sterile manufacturing process and for qualified personnel to administer the
vaccine (Slutter, Hagenaars and Jiskoot, 2008; van der Lubben et al., 2003).
Since the orally administered vaccines are degraded by the stomach acidic
environment and the various enzymes in the gastrointestinal (GI) tract,
investigators have suggested different possibilities to avoid degradation of
antigens before reaching the target cells. The use of Chi (chitosan) - a
mucoadhesive polymer - was proposed for the production of an oral delivery
system, resistant to the aggressions of the digestive tract (Marón et al., 2007;
Guzey and Clements, 2007; Harnsilawat et al., 2006; Aoki et al., 2005; Gu et al.,
2005; Klinkerson et al., 2005
a
; 2005
b
; Mertins et al., 2005; Wu et al., 2004;
Ogawa et al., 2003
a
; van der Lubben et al., 2003; Rengel et al., 2002; Takeuchi
et al., 2001; Filipovic-Grcic, Skalko-Basnet and
Jalsenjak, 2001). Chi is a glucosamine and N-acetylglucosamine polymer derived
by partial depolymerization of chitin, a natural component of crustacean shells.
It is inexpensive, biodegradable, non toxic and biocompatible (Qin et al., 2006;
Martino, Sittinger and Risbud, 2005; Huang et al., 2005; Khor and Lim, 2003;
Madihally and Mattew, 1999). The liposomes sandwiched by chitosan (REVs-Chi)
used as an oral vaccine vehicle, aggregate in vitro (Marón et ali., 2007). To
avoid particle aggregation the REVs-Chi were stabilized by PVA (poly-alcohol
vynilic) (Marón et ali., 2007). Here, using physical techniques, the rational use
of PVA is discussed step by step in the preparation of REVs-Chi for oral vaccine
delivery and how the PVA can affect particle adhesibility to mucus.
Materials and methods
The antigen Dtxd (Diphtheria toxoid) was a gift from Dr Célia S. Takata ,
Instituto Butantan (Lot AnD/PAG 14/05, 1650 Lf/mL, SPC (Soy
phosphatidylcholine) was purchased from Avanti Polar Lipids (USA); Chi
(Chitosan, low molecular weight, deacetylation degree 75-85 %) and PVA (poly-
vinilic alcohol, Mw 127 kDa), Cho (cholesterol); Mu (Types1S and III mucin) were
obtained from Sigma and Aldrich, respectively. All other chemicals and solvents
used were of analytical grade. Equipments: Probe sonifier Branson, model 450;
rotatory evaporator Tecnal TE-210; Zetasizer (Brookhaven Zeta Pals);
spectrophotometer Pharmacia Ultraspec 2000, TEM, transmission electronic
microscope LEO model 906E, JEOL 100CX electronic microscope, criofracturer
JEOL JED-9000 and an ELISA automatic reader Titerteck Multiscan MCC/340
(Labsystems).
Liposome preparation by reverse evaporation method (REVs)
The buffer (200 μL) 50 mM phosphate, pH 4.5 was added to 60 mg of SPC (Soy
lecithin) and 10 mg of Cho in 10 mL of ethyl acetate. After sonication, the
organogel was formed in a rotatory evaporator under vacuum (15 mm Hg/cm).
The liposomes were resuspended in 50 mM phosphate and their morphology
observed by TEM.
Sandwiched Chitosan liposome preparation by reverse evaporation method
(REVs-Chi)
Dtxd in 0,5 % Chi (in 200 μL of 50 mM phosphate buffer pH 4,5) was added to 60
mg of SPC (Soy lecithin) and 10 mg of Cho in 10 mL of ethyl acetate. After
sonication, the organogel was formed in a rotatory evaporator under vacuum (15
mm Hg/cm). The liposomes were resuspended in 50 mM phosphate buffer and
their morphology observed by TEM.
Sandwiched Chitosan liposome preparation by reverse evaporation method
(REVs-Chi-PVA)
The procedure was the same described above except that the liposomes were
resuspended in 1 % PVA in water and their morphology observed by TEM and by
freeze fracture electronic microscopy.
Particle size
REVs, REVs-Chi or REVs-Chi-PVA suspensions empty or loaded with Dtxd were
diluted in 10 mL deionised water, then subjected to photon correlation
spectroscopy.
Encapsulation efficiency
REVs, REVs-Chi or REVs-Chi-PVA suspensions containing Dtxd were dispersed in
water and centrifuged twice at room temperature at 4 000 rpm, during 20
minutes. The Dtxd in the supernatants was measured according to Peterson,
1977.
Efficiency of Chi interfacial polymerization within the different particle
preparations.
REVs-Chi or REVs-Chi/Dtxd or REVs-Chi-PVA/Dtxd were washed with phosphate
buffer and the supernatant assayed for free Chi according to Muzzarelli, 1998.
REVs and REVs-Chi morphologies
Pictures were taken with TEM and freeze fracture. Briefly, for the TEM, the
samples were centrifuged and the supernatant fixed with 2 % glutaraldehyde, 2
% osmium tetroxide 1 % uranil acetate. After dehydration propylene oxide was
added. Lead acetate and uranil acetate were used for staining. For the electron
microscopy of criofractures, the samples were cryo-fixed in frozen
propane. The fracture was done in a JEOL JED 9000 and the samples were
covered with silver and carbon, cleaned with nitric acid and
chloroform/methanol (1:1). The analyses were done in an electronic microscope
JEOL 100 CX.
Mucin III and chitosan or PVA interactions
Stock solutions of 3 mM Chi, 7.9 mM PVA and 2 mg/mL mucin III (Mu-III) were
prepared in 50 mM phosphate buffer, pH 4.5. The samples used for the
interaction studies were 1:3; 1:1; 3:1 and 9:1 Mu-III:Chi respectively or 1:3; 1:1;
3:1 and 9:1 Mu-III:PVA respectively. Samples were incubated, under agitation,
for 30 minutes and the absorbance at 500 nm measured. Controls were
performed according to the literature (He, Davis and Illum, 1998) by reading the
absorbance of the polymers individually.
REVs-Chi or REVs-Chi-PVA interactions with Mu-III
REVs-Chi or REVs-Chi-PVA were added under strong agitation to 0.5% Mu-III (v/v)
followed by incubation at room temperature (RT) during 60 minutes. After this
time, the samples were centrifuged at 2 000 g for 20 minutes. The free Mu-III
was measured in the supernatants according to the method of Rengel et al.,
2002.
Diphtheria toxoid liberation from REVs or REVs-Chi or REVs-Chi-PVA
The samples were incubated in SGF (simulated gastric fluid, pH 1.2) or in SIF
(simulated intestinal fluid) both prepared according to the United States
Pharmacopoeia (USP 2002 and 2003). The dispersions of REVs, REVs-Chi or REVs-
Chi-PVA (1.5 mL) were added to the liberation media and incubated, under
gentle agitation, at 37
o
C. After 4 minutes of centrifugation at 2 000 g, aliquots
were taken (4 mL) and an equal volume of the corresponding media was added.
This procedure was repeated at pre-determined time points. The samples were
analyzed for liberated Dtxd.
Results and discussion
Regular, round, soft porous sponge like particles of liposomes ―dressed‖
with chitosan and PVA were obtained (Figure 1).
Figure 1. Freeze-fracture electon micrograph of REV-Chi-PVA.
Particles of REVs, REVs-Chi and REVs-Chi-PVA empty or containing Dtxd with
different sizes were obtained. In general, the particle size and the encapsulation
efficiencies were dependent on the liposome composition (particle complexity)
(Table 1). If REVs were considered the reference, the addition of Chi and Dtxd
increased particle sizes (Table 1). PVA decreased the particle size, if REVs-
Chi/Dtxd were considered the reference (Table 1). It is important to take into
account the Dtxd structure to facilitate the discussion about these particles
physical characteristics.
It is known, from the literature, that the Dtxd Mn is 58.3 kDa (Bennett,
Choe and Eisenberg, 1994) and its calculated pI is 4.25 (Campana et al., 2004).
Here, the Dtxd was nanoencapsulated into different REVs particles at a pH above
its pI therefore, with a net negative charge. The decrease of the negative liquid
charge of REVs/Dtxd (-3.71 mV) in relation to REVs (-9.40 mV) could be
understood as a protein non specific adsorption on the external particle surface
(Table 1). The same occurred after the adsorption of Chi (a polycation) on REVs,
forming the REVs-Chi. This result is in agreement with other literature data
(Laye, MacClements and Weiss, 2008), in which the empty liposomal particle has
a -potential of -38 mV and the Chi a -potential of +85 mV. If this was
compared with the -potentials for REVs-Chi/Dtxd (-9.94 mV) and REVs-Chi-
PVA/Dtxd (-12.3 mV) the same phenomena occurred, meaning that the increase
of the net negative charge was due to externally adsorbed Dtxd (Table 1). Then
(considering REVs as the initial particle) the particle sizes (Figure 2) and the
encapsulation efficiencies for Dtxd increased with the presence of Chi and PVA
(Table1). The adsorption of Chi (87.5 %) on REVs surface was accompanied by an
increase on -potential and in contrast, the adsorption of PVA with a decrease of
-potential (Table 1). The presence of Dtxd within REVs particles increased the
efficiency of Chi polymerization probably due to the interaction between Chi
(positively charged) and Dtxd (negatively charged).
It was very interesting to note that the presence of Chi and/or PVA on
REVs changed completely the thickness and the structure of the REVs bilayer
(Figure 2). It is known, from the literature, that the presence of a solute into
the media induces modifications in water and also in the hydration shell of the
molecule (Vorob’ev et al., 2007). Under physiological conditions Chi is able to
capture 160 % more water (Silva et al., 2004). This could explain why Chi
increased not only the hydration shell (Figure 2) but also the size (167 nm 313
nm) and structure of REVs (Figure 2).
Table 1. Particle sizes, surface charges and encapsulations efficiencies.
Formulations
Size
(nm)
-potential
(mV)
Encapsulation
efficiency
(%)
Efficiency of
interfacial Chi
polymerization
(%)
REVs
167
-9,40
0
-
REVs/Dtxd
256
-3,71
58,8
-
REVs-Chi
313
-4,66
0
87.5
REVs-Chi/Dtxd
524
-9,94
69,2
98
REVs-Chi-PVA
367
-7,51
0
87.5
REVs-Chi-PVA/Dtxd
383
-12,3
75,4
98
It was described (Nakano, Tozuka and Takeuchi, 2008) that a modified PVA by a
lipidic anchor (PVA-R) associates with the lipid bilayer because of an observed
increase of size. Here, PVA also increased the particle size (313 nm 367 nm),
modified the thickness of billayer (probably by modifiying the hydration shell)
and thus the association occurred (Figure 2).
100 nm 200 nm 200 nm
REVs
REVs-Chi
REVs-Chi-PVA
A B
C
Figure 2. Micrographs of different formulations by Transmission electronic microscopy.
These particles were constructed to be used for mucosal vaccine delivery. The
mucins (Mu) were used as a model to study the mucoadhesibility properties of
Chi, PVA and the particles dressed with them. The increase on turbidity, used
for the interaction assays, is based on the particle formation between Mu/Chi or
Mu/PVA (Prego, et al, 2005; Takeuchi et al., 2005; Takeuchi, Yamamoto and
Kawashima, 2001 and He, Davis and Illum, 1998). It was observed that the
interaction between Mu-III (1 % of sialic acid) and Chi occurred only in the
conditions 1:1 and 3:1 (both v/v of Mu-III at 2 mg/mL and 3 mM Chi,
respectively) (Figure 3). This suggests that in the excess of Chi (1:3, Mu-III/Chi)
or Mu-III (9:1) the interaction did not occurr or, better, it probably occurred but
was not able to increase the particle size and consequently the turbidity (Figure
3). The most interesting observation (Figure 3) was the degree of affinity
between Mu-III and PVA which was 2000 greater than that observed with Chi.
1:3 1:1 3:1 9:1
0,00
0,02
0,04
0,06
0,08
0,10
B
A
Turbidity (500 nm)
MuIII/Chi ratio
1:3 1:1 3:1 9:1
0,00
0,02
0,04
0,06
0,08
0,10
*Turbidity (500 nm) x 10
3
MuIII/PVA ratio
Figure 3. Interaction between Mu-III and Chi or PVA. (A) The Mu-III was incubated with Chi (v/v
final concentration 1mg/mL: 1.5 mM , Mu-III:Chi, respectively) . (B) The Mu-III was incubated with PVA 1:1,
v:v (final concentration 1mg/mL: 3.45 M, Mu-III: PVA, respectively). After 30 minutes, the turbidities were
read. Note that the B scale is 10
3
x greater that A scale.
According to the literature the ionic interactions between the Chi primary amino
groups and the negatively charged sialic and sulfonic groups in the mucus is
desirable to increase intestinal particle capture (Chayed and Winnik, 2007;
Illum, Jabbal-Gil and Hinchcliffe, 2001; Hassan and Gallo, 1990). Here, the
adhesibility of REVs to mucus was 35 % increased by the presence of Chi (Figure
4) which is corroborated by other authors (Chayed and Winnik, 2007; Illum,
2001; Takeuchi et al, 1996; Hassan and Gallo, 1990).
A direct correlation was observed between Mu adhesibility/Chi or Mu
adhesibility/Chi-PVA on the particle (Figure 4 and 5) and potential. Therefore,
these adhesibility factors were due not only ionic interactions (Figure 4 and 5)
but to other elements.
REVs
REVs/Dtxd
REVs-Chi
REVs-Chi/Dtxd
REVs-Chi-PVA/Dtxd
0
10
20
30
40
50
60
70
80
90
100
Adsorption capacity (%)
Figure 4. Mucin III and different liposomal formulations interactions. The type III Mucin (0,5
mg/mL) was incubated with REVs; REVs/Dtxd; REVs-Chi; REVs-Chi/Dtxd or REVs-Chi-PVA-Dtxd during 20
minutes at 37
o
C. The supernatants were read at 500 nm.
-12 -10 -8 -6 -4 -2 0
0
10
20
30
40
50
60
70
80
90
100
REVs/Dtxd
REVs-Chi/Dtxd
REVs-Chi
REVs-Chi-PVA/Dtxd
REVs
Adsorbed Mu-III (%)
potential (mV)
Figure 5. Correlation between adsorbed Mu-III and potential of different particles.
The enhancement of adhesibility induced by Chi can be increased even further
by using lipid modified Chi (Svenson, Thuresson and Arnebrant, 2008) or thiol
modified Chi (Bernkop-Schnürch et al., 2006). These thiol groups could form S-S
linkages with the cysteine rich mucus region (Bernkop-Schnürch, 2006, Roldo et
al., 2004; Leitner et al., 2004) what explains its better adhesibility.
However, these chemical modifications could increase production costs (Martino,
Sittinger and Risbud, 2005; Huang et al., 2005; Khor and Lim, 2003; Madihally
and Mattew, 1999). The decrease in costs, enhance in adhesibility and particle
stability were all obtained in this work with the use of PVA. It is known that the
increase on particle affinity by Mu-III (Figure 4) should be expected for
particulate Chi (Cui, Qian and Yin, 2006; Takeuchi, Yamamoto and Kawashima,
2001), but not for PVA (He, Davis and Illum, 1998).
The statement that the interactions between Chi and MU-III being only ionic, as
reported elsewhere (Chayed and Winnik, 2007; Takeuchi et al., 2005; Illum,
2001; He at al., 1998; Takeuchi et al., 1996; Hassan and Gallo, 1990) is not
accurate. The observed potentials for the particles studied, were all negative
(Table 1) Mu-III is also negatively charged therefore, repulsion should have
occurred and not attraction as observed (Figure 4). This observation did not
agree with published results (Chayed and Winnik, 2007; Takeuchi et al, 2005;
Illum, Jabbal-Gill and Hinchcliffe, 2001; He, Davis and Illum, 1998; Takeuchi et
al 1996; Hassan and Gallo, 1990). One plausible explanation for our results is
that the interaction between PVA and Mu involved hydrogen bonds more than
ionic interactions. It is known that the capacity of establish hydrogen bonds
between polymers is a requirement for adhesions to occur (Thomas and Peppas,
2008; Peppas et al., 2000; Bansil, Stanley and Lamont, 1995; Strous and Dekker,
1992).
This was a reasonable assumption when PVA and Mu structures were taken in
consideration. Mu is rich in carboxyl groups - from its sugar lateral chains and
has sulfate groups (Scheme 1). Mu, PVA and Chi are rich in -OH groups (Scheme
1).
Mucin
Chitosan
PVA
Scheme 1. The polymers representations.
When the particles containing Dtxd were incubated in simulated gastric or
simulated intestinal fluids it was observed that both Chi and PVA retarded the
Dtxd liberation. The liberated protein retained its immunological activity
indicating that the particles can be further studied in biological assays for
vaccine delivery.
0 50 100 150 200 250
0
20
40
60
80
100
A
Dtxd liberation (%)
Time (minutes)
0 50 100 150 200 250
0
20
40
60
80
100
B
Figure 8. Effect of the media of liberation of Dtxd from different formulations. The particles
containing Dtxd: REVs (o); REVs-Chi (●) or REVs-Chi-PVA () were incubated in A. Simulated gastric fluid or
B. Simulated intestinal fluid and incubated at 37
o
C. Liberated Dtxd were measured by Lowry HPLC or by
ELISA. All the liberated protein retained 100 % of their immunologicall activities measured by ELISA.
Conclusions
Well characterized particles of liposomes dressed with Chi and PVA were
able to adhere to Mu. These mucosal delivery systems retarded and controlled
the Dtxd liberation.
Aknowledgements
FAPESP (00/10970-7), CNPq (302047/2008-5) and Fundação Butantan. VC Rescia
had a fellowship from CAPES.
References
Allison, AC and Gregoriadis, G (1974). Liposomes as immunological adjuvants.
Nature, 252: 252.
Aoki, T., Decker, E.A. and McClements, D.J. (2005). Influence of environmental
stresses on stability of O/W emulsions containing droplets stabilized by
multilayered membranes produced by a layer-by-layer electrostatic deposition
technique. Food Hydrocol 19: 209- 220.
Bansil, R., Stanley, E. and Lamont, J.T. (1995). Mucin biophysics. Ann Rev
Physiol 57: 635 657.
Bennett, M.J., Choe, S. and Eisenberg, D. (1994). Domain swapping: entangling
alliances between proteins. Proc Natl Acad Sci 91: 3127 3131.
Bernkop-Schnürch, A., Weithaler, A., Albrech, K. and Greimel, A. (2006).
Thiomer: Preparation and in vitro evaluation of mucoadhesive nanoparticle drug
delivery system. Int J Pharm 317: 76- 81.
Campana, R.A., Namur, J.A.M., Takata, C.S., Araujo, P.S. de and Bueno da
Costa, M.H. (2004). Ionic interfaces and diphtheria toxoid interactions. Prot
Expr Purif 33: 161- 165.
Chayed, S. and Winnik, F.M. (2007). In vitro evaluation of the mucoadhesive
properties of polysaccharide-based nanoparticulate oral drug delivery systems.
Eur J Pharm Biopharm 65: 363- 370.
Cui, F., Qian, F. and Yin, C. (2006). Preparation and characterization of
mucoadhesive polymer-coated nanoparticles. Int J Pharm 316: 154- 161.
Filipovic-Grcic, J., Skalko-Basnet, N. and Jalsenjak, I. (2001). Mucoadhesive
chitosan-coated liposomes: characteristics and stability. Microencapsulation 18:
3-12.
Gu, Y.S., Decker, E.A., and McClements, D.J. (2005). Influence of pH and
carageenan type on properties of beta-lactoglobulin stabilized oil-in-water
emulsions. Food Hydrocol 19: 83- 91.
Guzey, D. and McClements, D.J. (2007). Impact of electrostatic interactions on
formation and stability of emulsions containing oil droplets coated by beta-
lactoglobulin-pectin complexes. J. Agric Food Chem 55 (2): 475- 485.
Harnsilawat, T., Pongsawatmanit, R. and McClements, D.J. (2006). Stabilization
of model beverage cloud emulsions using protein-polysaccharide electrostatic
complexes format at the oil-water interface. J. Agric Food Chem 54: 5540-5547.
Hassan, E.E. and Gallo, J.M. (1990). A simple rheological method for the in vitro
assessment of mucin-polymer bioadhesive bond strength. Pharm Res 7: 491-
495.
He, P., Davis, S.S. and Illum, L.
(1998). In vitro evaluation of the mucoadhesive properties of chitosan microspheres. Int
J Pharma 166: 75-88.
Huang, Y., Gao, J., Liang, W. and Nakagawa, S. (2005). Preparation and
characterization of liposomes encapsulating chitosan nanoparticles. Biol Pharm
Bull 28 (2): 387- 390.
Illum, L., Jabbal-Gill, I. and Hinchcliffe, M. (2001). Chitosan as a novel nasal
delivery systems for vaccines. Adv Drug Del Rev 51: 81- 96.
Khor, E. and Lim, L. (2003). Implantable applications of chitin and chitosan.
Biomaterials 24: 2339- 2349.
Klinkerson, U., Sophanodora, P., Chinachoti, P., Decker, E.A. and McClements,
D.J. (2005
a
). Stability of spray-dried tuna oil emulsions encapsulated with two-
layered interfacial membranes. J Agric Food Chem 53 (21): 8365- 8371.
Klinkerson, U., Sophanodora, P., Chinachoti, P., Decker, E.A. and McClements,
D.J. (2005
b
). Increasing oxidative stability of liquid and dried tuna oil-in-water
emulsions with electrostatic layer-by-layer deposition technology. J Agric Food
Chem 53 (11): 4561- 4566.
Leitner, V.M., Guggi, D., Krauland, A.H., and Bernkop-Schnürch, A. (2004).
Nasal delivery of human growth hormone: in vitro and in vivo evaluation of a
thiomer/glutathione microparticulate delivery system. J Control Rel 100: 87-95.
Laye, C., McClements, D.J. and Weiss, J. (2008). Formation of biopolymer-
coated liposomes by electrostatic deposition of chitosan. J Food Sci 73 (5): N7-
N15.
Madihally, S.V. and Matthew, H.W.T. (1999). Porous chitosan scaffolds for tissue engineering. Biomaterials 20: 1133-
1142.
Marón, L.B., Peniche, C., da Silveira, N.P., Pohlmann, A., Mertins, O., Tatsuo,
L.N., Sant'anna, A.O., Moro, A.M., Takata; C.S., Araujo, P.S. de and Bueno da
Costa, MH (2007). LUVs recovered with chitosan: a new preparation for vaccine
delivery. J Lip Res 15: 155- 163.
Martino, A.D., Sittinger, M.V. and Risbud, MV (2005). Chitosan: A versatile biopolymer for orthopedic tissue-engineering.
Biomaterials 29: 5983- 5990.
Mertins, O., Sebben, M., Pohlmann, A.R. and Silveira, N.P. (2005). Production of
soybean phosphatidylcholine-chitosan nanovesicles by reverse phase
evaporation: a step by step study. Chem Phys Lip 138: 29- 37.
Muzzarelli, R.A.A. (1998). Colorimetric determination of chitosan. Anal Biochem 260: 255- 257.
Nakano, K., Tozuka, Y. and Takeuchi, H. (2008). Effect of surface properties of
liposome coated with a modified polyvinyl alcohol (PVA-R) on the interaction
with macrophage cells. Int J Pharma 354: 174- 179.
Ogawa, S., Decker, E.A. and Mcclements, D.J. (2003). Influence of
environmental conditions on the stability of oil-in-water emulsions containing
droplets stabilized by lecithin-chitosan membranes. J Agric Food Chem 51 (18):
5522-5527.
Peppas, N.A., Huang, Y., Torres-Lugo, M., Ward, J.H. and Zhang, J. (2000).
Physicochemical foundations and structural design of hydrogels in medicine and
biology. Ann Rev Biomed Eng 2: 9- 29.
Peterson, G.L. (1977). A simplification of the protein assay method of Lowry et
al. which is more generally applicable. Anal Biochem 83: 346- 356.
Prego, C., Garcia, M., Torres, D. and Alonso, M.J. (2005). Transmucosal
macromolecular drug delivery. J Control Rel 101: 151-162.
Qin, C., Gao, J., Wang, L., Zeng, L. and Lyu, Y (2006). Safety evaluation of
short-term exposure to chitooligomers from enzymic preparation. Food Chem
Toxicol 44: 855- 861.
Rengel, R.G., Barisic, K., Pavelic, Z., Grubisic, T.Z., Cepalak, I. and Filipovic-
Grcic, J. (2002). High efficiency entrapment of superoxide dismutase into
mucoadhesive chitosan-coated liposomes. Eur J Pharm Sci 15: 441- 448.
Roldo, M., Hornof, M., Caliceti, P. and Bernkop-Schnürch, A. (2004).
Mucoadhesive thiolated chitosans as platforms for oral controlled drug delivery:
synthesis and in vitro evaluation. Eur J Pharm Biopharm 57: 115- 121.
Silva, R.M., Silva, G.A., Coutinho, O.P., Mano, J.F. and Reis, R.L. (2004).
Preparation and characterization in simulated body conditions of glutaraldehyde
crosslinked chitosan membranes. J Mater Sci Mater Med 15 (10): 1105- 1112.
Slutter, B., Hagenaars, N., Jiskoot, W. (2008). Rational design of nasal vaccines.
J Drug Targ 16 (1): 1-17.
Strous, G.J. and Dekker, J. (1992). Mucin-type glycoproteins. Critical Reviews in
Biochem. Mol Biol 27: 57 92.
Svensson, O., Thuresson, K. and Arnebrant, T. (2008). Interactions between
chitosan-modified particles and mucin-coated surfaces. J Col Int Sci 325: 346-
350.
Takeuchi, H., Thongborisute, J., Matsui, Y., Sugihara, H., Yamamoto, H. and
Kawashima, Y. (2005). Novel mucoadhesion tests for polymers-coated particles
to design optimal mucoadhesive drug delivery systems. Adv Drug Del Rev 57:
1583- 1594.
Takeuchi, H., Yamamoto, H. and Kawashima, Y. (2001). Mucoadhesive
nanoparticulate systems for peptide drug delivery. Adv Drug Del Rev 47: 39-
54.
Takeuchi, H., Yamamoto, H., Niwa, T., Hino, T. and Kawashima, Y. (1996).
Enteral absorption of insulin in rats from mucoadhesive chitosan-coated
liposomes. Pharm Res 13 (6): 896- 901.
Thomas, J.B. and Peppas, N.A. (2008). Adhesives in: Encyclopedia of
Biomaterials and Biomedical Engineering (Gary E W e Gary Bowlin, ed.) Sec ed.,
vol. 1: 1-8 (New York, USA).
USP, United States Pharmacopoeia and National formulary United States (2002)
and (2003). Pharmacopoeial Convention Inc., Rockeville, MD, 25
th
and 26
th
editions.
Van der Lubben, I.M., Kersten, G., Fretz, M.M., Beuvery, C., Verhoef, J.C., and
Junginger, H.E. (2003). Chitosan microparticles for mucosal vaccination against
diphtheria: oral and nasal efficacy studies in mice. Vaccine 21: 1400- 1408.
Vorob’ev, M., Churochkina, N., Khokhlov, A. and Stepnova, E. (2007). Hydration
characterization of hydrophobically modified polymers by dielectric
measurements in the millimeter range. Macromol Biosci 7: 475- 481.
Wu, Z., Ping, Q., WEI, Y. and LAI, J. (2004). Hypoglycemic efficacy of chitosan-
coated insulin liposomes after oral administration in mice. Acta Pharmacol Sin
25 (7): 996- 972.
ANEXO IV
In vitro versus in vivo correlation assays for an oral
chitosan-liposomal diphtheria vaccine.
VANESSA C RESCIA
1,5
, CÉLIA S TAKATA
2
, OSVALDO A SANT’ANNA
3
,
PEDRO SOARES DE ARAUJO
4
AND MARIA HELENA BUENO DA COSTA
1, *
1
Lab. de Microesferas e Lipossomas Centro de Biotecnologia- I. Butantan
2
Div. Desenvolvimento Tecnológico e Produção-I. Butantan, São Paulo, Brasil
3
Laboratorio de Imunogenetica-IButantan, São Paulo, Brasil
4
Departamento de Bioquímica- IQ-Universidade de São Paulo, São Paulo, Brasil
5
Disciplina de Clínica Médica, Dep. Medicina UNIFESP, São Paulo, Brasil
Liposomes sandwiched by chitosan (REVs-Chi) as vehicles for oral vaccines have been well
characterized in our laboratory. These particles were designed to be captured by mucus, to
interact with oral surfaces and to withstand the enzymes of the gastric transit. Three different
formulations containing Dtxd (diphtheria toxoid): REVs [reverse phase evaporation vesicles of
SPC: Cho (3: 1)]; REVs-Chi (REVs sandwiched by chitosan) and REVs-Chi-PVA were used to
immunize mice. Through adhesibility assays and antibody anti-diphtheria experiments we
observed a direct correlation between particle complexity (free antigen < REVs < REVs-Chi <
REVs-Chi-PVA) and antibody production (IgA, IgG
1
and IgG
2a
) in all the assays (R= 0,91766-
0,99718). The most striking result was the absence of IgA production in those mice immunized
with the free antigen, proving the excellence of the engineered particles. In addition to
enhancement of mucosal antibodies production, the formulations with Chi and PVA stimulated
both, humoral antibody production and selectivity. We have shown that it was possible to
establish a correlation between REVs-Chi/Dtxd and REVs-Chi-PVA/Dtxd and the enhancement of
mucosal immunity. These particles can be used as a general vehicle for oral drug or vaccine
delivery systems.
Key words: mucosal immunity, chitosan- liposomes, liposomes, humoral immunity, oral immunity,
particulate adjuvants, vaccine delivery, drug delivery systems.
* Address correspondence to Maria Helena Bueno da Costa, Laboratório de Microesferas e Lipossomas
Centro de Biotecnologia I. Butantan, Av. Vital Brasil, 1500, 05503-900, Butantan, São Paulo, SP, Brasil.
Introduction
Improvements in vaccine formulations that make vaccine delivery easier and
safer, decrease dependency on the cold chain or reduce the number of
immunization interventions needed, could have a significant impact on
preventive medicine. The WHO recommendations encompass the use of new
delivery systems (to improve immunogenicity and to decrease the number of
doses) and the abolishment of the needle in vaccination (Friede and Aguado,
2005). Traditional needle-based, invasive, parenteral vaccination methods
suffer from various drawbacks, like the need for trained personnel to administer
the vaccines, high expenses, patient inconvenience and associated risk of
needle-borne infections (for example AIDs, hepatitis) due to the use of
contaminated needles. Further, parenterally administered vaccines mainly
stimulate a systemic response and antibodies generated in this manner do not
always reach the mucosal surfaces, which is the predominant entry site for most
infectious pathogens (Influenza, Diphtheria, Pneumonia) (Friede and Aguado,
2005; Bramwell and Perrie, 2006). Mucosal immunization provides the first line
of immunological defense (i.e., induction of secretory IgA that prevents the
attachment of infectious pathogens to mucosae) (Bramwell and Perrie, 2006;
Medina and Guzman, 2000).
Chitosan (Chi) particles have been used as oral vehicles for vaccine
delivery (Ahire et al., 2007; Amidi et al., 2007; Jain, Sharma and Vyas, 2006;
Bramwell and Perrie, 2005; Van der Lubben et al., 2003) because of its
mucoadhesive characteristics (Chayed and Winnik, 2007; Illum, Jabbal-Gill and
Hinchcliffe, 2001; Hassan and Gallo, 1990). A well characterized system
composed by a mixture of liposomes and Chi particles have been prepared for
oral vaccination purposes (Rescia et al., 2009
a
; Rescia et al, 2009
b
; Marón et al.,
2007). This system, named REVs-Chi (reverse phase vesicles sandwiched by
chitosan) is used here as a model to encapsulate the Dtxd (Diphtheria toxoid)
antigen. The central idea of this investigation was to describe, step by step, a
model to correlate particle adhesibility in vitro with produced IgA, in vivo.
Materials and methods
The Dtxd (Diphtheria toxoid) antigen was a gift from Dr Célia S. Takata, Instituto
Butantan (Lot AnD/PAG 14/05, 1650 Lf/mL. SPC (Soy phosphatidylcholine) was
purchased from Avanti Polar Lipids (USA); Chi (Chitosan, low molecular weight,
deacetylation degree 75-85 %) and PVA (poly-vinilic alcohol, Mw 127 kDa), Cho
(cholesterol) and Mu (Types 1S and III mucin) were obtained from Sigma-Aldrich.
The immunoconjugates anti-IgG
1,
anti-IgG
2a
and anti-IgA conjugated with
peroxidase were purchased from Biosciences. All other chemicals and solvents
used were of analytical grade. Animals: Balb-C mice were maintained in the
Central Biotério of Butantan Institute. Equipments: Probe sonifier Branson,
model 450; rotatory evaporator Tecnal TE-210; Zetasizer (Brookhaven Zeta Pals);
spectrophotometer Pharmacia Ultraspec 2000, TEM (transmission electronic
microscopy) LEO model 906E, and an ELISA automatic reader Titerteck Multiscan
MCC/340 (Labsystems).
Liposome preparation by reverse evaporation method (REVs)
The buffer (200 μL) 50 mM phosphate, pH 4.5 was added to 60 mg of SPC and 10
mg of Cho in 10 mL of ethyl acetate. After sonication, the organogel was formed
in a rotatory evaporator under vacuum (15 mm Hg/cm). The liposomes were
resuspended in 50 mM phosphate and their morphology observed by TEM.
Sandwiched Chitosan liposome preparation by reverse evaporation method
(REVs-Chi)
Dtxd in 0,5 % Chi (in 200 μL of 50 mM phosphate buffer pH 4,5) was added to 60
mg of SPC and 10 mg of Cho in 10 mL of ethyl acetate. After sonication, the
organogel was formed in a rotatory evaporator under vacuum (15 mm Hg/cm).
The liposomes were resuspended in 50 mM phosphate buffer and their
morphology observed by TEM.
Sandwiched Chitosan liposome preparation by reverse evaporation method
(REVs-Chi-PVA)
The procedure was the same described except that the liposomes were
resuspended in 1 % PVA in water and their morphology observed by TEM and
freeze fractured electronic microscopy.
Encapsulation efficiency
The REVs/Dtxd, REVs-Chi/Dtxd or REVs-Chi-PVA/Dtxd suspensions were
dispersed in water and centrifuged twice at room temperature at 2000 g for 20
minutes. The Dtxd in the supernatants was measured according to Peterson,
1977. The encapsulated protein content was calculated by differences between
the Dtxd added and the free Dtxd in the supernatant.
Particle size
REVs, REVs-Chi or REVs-Chi-PVA suspensions empty or loaded with Dtxd were
diluted in 10 mL deionised water, filtered and then subjected to photon
correlation spectroscopy.
In vivo assays
Nine groups of Balb-C mice were injected with 5 g of free Dtxd (as the control)
or encapsulated in different formulations namely REVs, REVs-Chi or REVs-Chi-
PVA. The administration routes were oral (through gavage) or sub-cutaneous for
all described formulations. At determined intervals (10
o
, 28
o
, 38
o
and 56 days
after immunization) blood was collected through orbital plexus puncture and the
produced IgG
1
and IgG
2a
anti-Dtxd were measured by ELISA. After 30 days the
mice received a booster of 5 g Dtxd within the corresponding formulation.
Weekly samples of the mice vagina secretions were taken for IgA anti-Dtxd
analysis. At the end of the experiment pilocarpine was administered to mice and
their saliva was collected for IgA anti-Dtxd determination.
ELISA and antibody titters
Samples of 100 L containing 20 g of Dtxd in 100 mM carbonate/bicarbonate
buffer pH 9.6 were added to ELISA plates and after two hours at 37°C, they were
blocked with 10 % skim milk. After 30 min, the anti-Dtxd specific serum
developed in mice was added to the wells. The conjugate (anti-IgG
1
or anti-IgG
2a
conjugate with peroxidase) was added 30 min later, and after a further 30 min,
the substrate was added. The absorbance was automatically measured at 450 nm
in a Titertek Multiskan MCC/340. Antibody titters: as previously defined (Bueno
da Costa el al., 1998), titers are the reciprocal serum dilution factor giving an
absorbance value of 20% of the saturation value.
Results and discussion
Round particles of REVs (170 nm), REVs-Chi (313 nm) and REVs-Chi-PVA
(370 nm) (Figure 1) with encapsulation efficiencies for Dtxd between 59 % and 76
% were used to immunize the mice.
REVs-Chi
REVs-Chi-PVA
Figure 1. Electronic micrography of different REVs.
The different particle formulations used in this work were previously
assayed for their adhesibility capacities (Rescia et al., 2009
a
). The type III mucin
(Mu-III) was used to mimic mucus on particle adhesibility assays. The particles
adhesibility for REVs, REVs-Chi and REVs-Chi-PVA (containing Dtxd) were shown
to be 19 %, 49 % and 69 % on Mu-III, respectively (Rescia et al, 2009
b
). These
adhesibility results were correlated with their capacities to induce the anti-Dtxd
production. These comparisons were based on the premise: the better the
particle adhere the better they will induce antibody production. This was
studied for both oral as sub-cutaneous routes.
The IgA anti-Dtxd was analyzed in saliva and vaginal secretions from mice
immunized by both routes. All the studied particles acted as adjuvants (Figure
2). REVs-Chi-PVA/Dtxd induced the highest IgA production in the animals
immunized via the sub-cutaneous route (Figure 2). The amount of IgA produced
by the mice immunized orally with REVS-Chi/Dtxd or REVs-Chi-PVA/Dtxd was the
same. Therefore, it can be assumed that PVA had not an additional effect over
Chi in its adjuvanticity (Figure 2).
Free
REVs/Dtxd
REVsChi/Dtxd
REVsChiPVA/DtxdDtxd
--
0
1
2
3
4
5
6
7
A
Salivar IgA (Log
2
title)
Free
REVs/Dtxd
REVsChi/Dtxd
REVsChiPVA/Dtxd
--
0
1
2
3
4
5
6
7
B
Figure 2. Salivary IgA produced by different formulations. The mice were injected with 5
g of free Dtxd or encapsulated within REVs; REVs-Chi or REVs-Chi-PVA trough different routes
(A) oral or (B) sub-cutaneous. The saliva of each group was collected and pooled 57 days after
immunization.
There was a direct correlaction between salivary IgA anti-Dtxd produced by
those mice immunized oraly and the respective particle adhesibility. REVs-
Chi/Dtxd or REVs-Chi-PVA/Dtxd produced more IgA because they were more
adhesive than pure lipid REVs containing Dtxd (Figure 3). The best correlation
(expressed as R = correlation coefficient) observed between salivary IgA
produced and particle adhesibility was for mice immunized through the sub-
cutaneous route (Figure 3 B, R = 0,99718).
0 20 40 60 80
-1
0
1
2
3
4
5
6
7
A
B
c
a
b
c
a
b
Salivar IgA (Title)
Adsorption of particles containing Dtxd to Mu-III (%)
0 20 40 60 80
-1
0
1
2
3
4
5
6
7
Figure 3. Correlation between salivary IgA produced and particle adhesibility to mucin.
The measured anti-Dtxd IgA titters were plotted against the adhesibility to Mu-III for each
particle assayed (in %). The mice were immunized with REVs/Dtxd (a) or REVs-Chi/Dtxd (b) or
REVs-Chi-PVA/Dtxd (c) through oral (A) or sub-cutaneous (B) routes. The correlation coefficient
for oral route was 0.91766 and for sub-cutaneous route 0.99718.
In the profile for vaginal mucosa IgA production (Figure 4) the most
relevant facts were: absence of antibody (oral or sub-cutaneous routes) in those
mice injected with free Dtxd (except for the mice injected orally with
REVs/Dtxd) and increase of anti-Dtxd production for all other particulate
formulations (Figure 4).
0 10 20 30 40 50 60
-1
0
1
2
3
4
5
6
7
8
A
Vaginal secretion IgA (Log
2
title)
Time (days)
0 10 20 30 40 50 60
-1
0
1
2
3
4
5
6
7
8
B
Figure 4. Production of vaginal secretion IgA in function of different formulations. The
mice were injected with 5 g of free (-ο-) Dtxd or encapsulated within REVs (--), REVs-Chi (--)
or REVs-Chi-PVA (--) trough different routes: (A) oral or (B) sub-cutaneous. The vaginal
secretion was collected and pooled for each group weekly.
Again, the best correlation between IgA production and particle
adhesibility was observed in the mice injected with particles containing Chi or
Chi-PVA. The observed R on mice immunized through oral route (0.99718) was
higher than the one through sub-cutaneous route (0.98624) (Figure 5).
0 20 40 60 80
-1
0
1
2
3
4
5
6
7
8
B
b
a
c
b
a
A
c
Vaginal secretion IgA (Title)
Adsorption of particles containing Dtxd to Mu-III (%)
0 20 40 60 80
-1
0
1
2
3
4
5
6
7
8
Figure 5. Correlation between vaginal secretion IgA and particle adhesibility to mucin.
The measured anti-Dtxd IgA titters was plotted against the adhesibility to Mu-III for each particle
assayed (in %). The mice were immunized with REVs/Dtxd (a) or REVs-Chi/Dtxd (b) or REVs-Chi-
PVA/Dtxd (c) through oral (A) or sub-cutaneous (B) routes. The correlation coefficient for oral
route was 0.99718 and for sub-cutaneous route 0.98624.
In addition to mucosal antibody production the production of humoral
antibodies, IgG
1
(Figure 6 A and B) and IgG
2a
(Figure 6 C and D) was investigated.
The most relevant observations were: the unique important response to free
antigen corresponded to the production of IgG
2a
in the mice immunized sub-
cutaneously (Figure 6 D); the absence of IgG
2a
in the mice immunized orally with
REVs/Dtxd (Figure 6 C); the only significant response to REVs/Dtxd was obtained
in mice injected through the sub-cutaneous route (Figure 6 B and D). This led us
to conclude that the traditional free antigen formulation for Dtxd vaccine was
acceptable and that REVs acted as adjuvant as firstly demonstrated by Allison
and Gregoriadis (Alison and Gregoriadis, 1974). However, the formulations
presented here (REVs-Chi/Dtxd and REVs-Chi-PVA/Dtxd) were superior: they
produced at least 512 times more IgG
1
(oral route) and 1024 more IgG
2a
(oral
route) than the free antigen (Figure 6 A and C); they produced 4096 times more
IgG
1
(sub-cutaneous route) and 1024 more IgG
2a
(sub-cutaneous route) than the
free antigen (Figure 6 B and D).
0 10 20 30 40 50 60
0
2
4
6
8
10
12
14
C D
A
IgG
1
(Log
2
title)
0 10 20 30 40 50 60
0
2
4
6
8
10
12
14
B
0 10 20 30 40 50 60
0
2
4
6
8
10
12
14
IgG
2a
(Log
2
title)
Time (Days)
0 10 20 30 40 50 60
0
2
4
6
8
10
12
14
Figure 6. Profile of IgG
1
and IgG
2a
production as a function of different formulations. The
mice were injected with 5 g of free (-ο-) Dtxd or encapsulated within REVs (--), REVs-Chi (--)
or REVs-Chi-PVA (--) through different routes: (A) oral or (B) sub-cutaneous. The blood was
were collected weekly.
It is well known that antibodies are produced in the following order:
IgG
1
IgG
3
IgG
2a
. The neutralizing antibodies are mainly due to IgG
1
(more
abundant) but the IgG
2a
is more specific and is related to the immunological
maturation degree (Bueno da Costa, 2006; Silva et al., 2006; Marón et al., 2007;
Yadav and Khuller, 2001). It is known, from the literature, that IgG
2a
is related
to a TH
1
(cellular) response and the IgG
1
, to a TH
2
(humoral) response (Yadav
and Khuller, 2001). This can be expressed through the IgG
2a
/IgG
1
ratio. When the
IgG
2a
/IgG
1
ratio is < 1 the immunological response is predominantly humoral;
when the IgG
2a
/IgG
1
> 1 the response is cellular (Yadav and Khuller, 2001). The
ratios IgG
2a
/IgG
1
obtained were: 0.4; 0.09; 1.15 and 0.81 respectively for mice
immunized orally with the formulations free Dtxd; REVs/Dtxd; REVs-Chi/Dtxd
and REV-Chi-PVA/Dtxd. For mice immunized sub-cutaneously the IgG
2a
/IgG
1
ratios were: 0; 1.4; 0.80 and 0.84 respectively with the formulations free Dtxd;
REVs/Dtxd; REVs-Chi/Dtxd and REV-Chi-PVA/Dtxd. The maturity was achieved by
using the REVs formulations (sub-cutaneous route) and REVs-Chi (oral route).
These results represent a clear evidence for the adjuvant action of REVs only in
the sub-cutaneous route and the superior quality of REVs-Chi for the oral route.
Another way to ascertain the immunological memory is to analyze the
response after boosting the mice with the same antigen. A correlation between
the formulation complexity and the ability to best respond to the boosters was
found. A direct correlation between the formulation complexity and the vaginal
IgA secondary response was as follows: free antigen < REVs/Dtxd < REVs-
Chi/Dtxd < REVs-Chi-PVA/Dtxd (Figure 7 A and B, oral and sc, respectively) both
7 days after boosting as 26 days after boosting (Figure 7 C and D, oral and sc,
respectively).
0 1 2 3 4
0
2
4
6
8
d
d
d
a
c
c
c
b
b
b
c
b
a
a
a
dC D
A
B
0 1 2 3 4
0
2
4
6
8
0 1 2 3 4
0
2
4
6
8
Vaginal IgA (log
2
title)
0 1 2 3 4
0
2
4
6
8
Formulations
Figure 7. Correlation between vaginal secretion IgA anti-Dtxd produced after booster as
a function of the formulation complexity. The IgA was assayed 7 days after the booster (5 g) in
the mice immunized through oral route (A) or sc (B). The IgA was assayed 26 days after the
booster (5 g) in the mice immunized through oral route (C) or sub-cutaneous (D). The
formulation complexity was: free antigen (a) < REVs/Dtxd (b) < REVs-Chi/Dtxd (c) < REVs-Chi-
PVA/Dtxd (d). The observed correlations were for 0.98978 (A); 0.9845 (B); 0.97683 (C) and
0.9798 (D).
No secondary IgG
1
response was observed on the mice injected with free
Dtxd (Figure 8 B, C and D) exception made for a not significant increase 7 days
after booster through oral route (Figure 8 A). But a good correlation between
secondary response and formulation complexity was acquired on the mice
injected with particulate formulations both 7 days (oral - 0.92338 and sub-
cutaneous - 0.94728) as 26 days after booster (oral - 0.94868 and sub-cutaneous
- 0.96833). Again, analyzing the production of IgG
1
PVA practically did not
potentialize the chitosan adjuvant power 7 days after the booster on both oral
and subcutaneous routes (Figure 8 A and B). However, at the 26
th
day the
presence of PVA on the formulation induced an increase on response when
compared to formulation containing chitosan alone (Figure 8 C and D). In
addiction, the excellence of the particulated formulations was demonstrated
similarly for humoral memory responses.
0 1 2 3 4
0
2
4
6
8
10
12
d
d
d
c
c
c
b
b
b
d
c
b
a
a
a
a
C
D
A B
IgG
1
anti-Dtxd log
2
title
0 1 2 3 4
0
2
4
6
8
10
12
0 1 2 3 4
0
2
4
6
8
10
12
Formulations
0 1 2 3 4
0
2
4
6
8
10
12
Figure 8. Correlation between IgG
1
anti-Dtxd produced after booster as a function of
formulation complexity. The IgG
1
was assayed 7 days after the booster (5 g) in the mice
immunized through oral route (A) or sub-cutaneous (B). The IgG
1
was assayed 26 days after the
booster (5 g) in mice immunized through oral route (C) or sub-cutaneous (D). The formulation
complexity was: free antigen (a) < REVs/Dtxd (b) < REVs-Chi/Dtxd (c) < REVs-Chi-PVA/Dtxd (d).
The observed correlations were 0.92339 (A); 0.94728 (B); 0.94868 (C) and 0.96833 (D).
A good evidence of acquiring memory, concerning IgG
2a
, was observed
only on the mice injected with the particulate formulations (Figure 9). But here,
the correlation between formulation complexity and response to booster was not
good: 7 days after the booster, for the mice injected through oral or sub-
cutaneous routes the Rs were 0.82572 and 0.84366 and 26 days after booster the
Rs were 0.81409 (oral) and 0.85399 (sub-cutaneous). The liposomal destruction
by the oral route hindered their adjuvant property because no response to
booster was observed (Figure 9 A and B). This demonstrated our hypothesis that
Chi and PVA not only protected the liposomal membrane but also potentialize its
adjuvant characteristics.
0 1 2 3 4
0
2
4
6
8
10
12
d
d
d
c
c
c
b
b
b
b
c
d
a
a
a
B
D
C
a
A
IgG
2a
anti-Dtxd log
2
title
0 1 2 3 4
0
2
4
6
8
10
12
0 1 2 3 4
0
2
4
6
8
10
12
Formulations
0 1 2 3 4
0
2
4
6
8
10
12
Figure 9. Correlation between IgG
2a
anti-Dtxd produced after booster as a function of
formulation complexity. The IgG
2a
was assayed 7 days after the booster (5 g) in the mice
immunized through oral (A) or sub-cutaneous (B) routes. The IgG
2a
was assayed 26 days after the
booster (5 g) in the mice immunized through oral (C) or sub-cutaneous (D) routes. The
formulation complexity was: free antigen (a) < REVs/Dtxd (b) < REVs-Chi/Dtxd (c) < REVs-Chi-
PVA/Dtxd (d). The observed correlations were for 0.82572 (A); 0.84366 (B); 0.81409 (C) and
0.85399 (D).
Discussion
A good vaccine is the one that increases not only the antibody response
but the maturity and the immunological memory. The common point analyzed in
the literature is the total IgG production (Amidi et al., 2007; Ahire et al., 2007;
Jain, Sharma and Vyas, 2006; Alpar et al., 2001; Van der Lubben et al., 2001)
and a few groups analyzed the IgG sub-groups such as IgG
1
(Hagenaars et al.,
2009; Amidi et al., 2007) and IgG
2a
(Hagenaars et al., 2009; Amidi et al., 2007).
We have shown that it is important to discriminate between IgG
1
and
IgG
2a
. The
first (IgG
1
) confers mainly neutralizing ability and the second (IgG
2a
)
immunological maturity (Bueno da Costa, 2006; Silva et al., 2006; Marón et al.,
2007; Yadav and Khuller, 2001). Both the increase on neutralizing and maturity
capacities were obtained for the particulate systems used: REVs-Chi/Dtxd and
REVs-Chi-PVA/Dtxd. It was clearly demonstrated that REVs/Dtxd was not able to
act as adjuvant when used in oral route. It was interesting to observe that few
authors measured the IgA production for Chi particles (Amidi et al., 2007; Ahire
et al., 2007; Jain, Sharma and Vyas, 2006; Van der Lubben et al., 2003). In
agreement with the literature results we observed an increase in salivary and
vaginal IgA for the particles protected with Chi alone or with Chi and PVA.
A few authors investigated the immunological memory (Hagenaars et al,
2009) for protected (by Chi or PVA) liposomal particles. The new here is that we
found also a mathematical correlation between particle adhesibility with IgA
production. Extending the aim of this investigation we also observed a humoral
response. All of them were correlated with the capacity of the particles to
adhere to mucin. Evidently mucin is not present systemically, but it can be an
indirect measure of the known ―deposit‖ effect exerted by particulate
adjuvants.
Conclusions
As expected, we could demonstrate that REVs/Dtxd did not act as adjuvant
when used for the oral route. The REVs-Chi and REVs-Chi-PVA increased both the
mucosal and the systemic responses. All these in vivo particulate adjuvant
capacities were mathematically correlated with their in vitro adhesibility
characteristics. A simple mathematical treatment of the data can be useful to
analyze and select new vaccine delivery systems.
Aknowledgements
FAPESP (00/10970-7), CNPq (302047/2008-5) and Fundação Butantan. VC Rescia
had a fellowship from CAPES. We would like to express our gratitude to Tatiana
Cristina Silva for training VC Rescia during these experiments.
Bibliography
Ahire, V.J., Sawant, K.K., Doshi, J.B. and Ravetkar, S.D. (2007). Chitosan
microparticles as oral delivery system for tetanus toxoid. Drug Dev. Ind.
Pharm., 33: 1112- 1124.
Allison, A.C. and Gregoriadis, G. (1974). Liposomes as immunological adjuvants.
Nature, 252: 252.
Alpar, H.O., Eyles, J.E., Williamson, E.D. and Somavarapu, S. (2001). Intranasal
vaccination against plague, tetanus and diphtheria. Adv. Drug Deliv. Rev., 51:
173 201
Amidi, M., Pellikaan, H.C., Hirschberg, H., Boer, A.H., Crommelin, D.J.A.,
Hennink, W.E., Kersten, G. and Jiskoot, W. (2007). Diphtheria toxoid-
containing microparticle powder formulations for pulmonary vaccination:
Preparation, characterization and evaluation in guinea pigs. Vaccine, 25: 6818-
6829.
Bramwell, V.W. and Perrie Y. (2006). Particulate delivery systems for vaccines:
what can we expect? J. Pharm. Pharmacol., 58: 717- 728.
Bramwell, V.W. and Perrie Y. (2005). Particulate delivery systems for vaccines.
Crit. Rev. Ther. Drug Carrier Syst. 22 (2): 151- 214.
Bueno da Costa, M.H. (2006). A biotechnological approach to formulate vaccines
within liposomes, Chapter 20, pp 387-403, in: Liposome Technology 3
rd
Edition
(Gregory Gregoriadis, Editor) CRC Press.
Bueno da Costa, M.H. Sant’Anna, O.A., de Araujo, P.S. Sato, R.A., Quintilio, W.,
Silva, L.V.N., Matos, C.R.T. and Raw, I. (1998). Conformational stability and
antibody response to the 18kDa heat shock protein formulated into different
vehicles. Appl. Biochem. Biotechnol. 73: 19- 28.
Chayed, S. and Winnik, F.M. (2007). In vitro evaluation of the mucoadhesive
properties of polysaccharide-based nanoparticulate oral drug delivery systems.
Eur. J. Pharma. Biopharma., 65: 363- 370.
Friede, M. and Aguado, M.T. (2005). Need for new vaccine formulations and
potential of particulate antigen and DNA delivery systems. Adv. Drug. Deliv.
Rev., 57(3): 325- 331.
Hagennars, N., Mastrobattista, E., Verheul, R.J., Mooren, I., Glansbeek, H.L.,
Heldens, J.G.M., Bosh, H. and Jiskoot, W. (2009). Physicochemical and
immunological characterization of N,N,N-Trimethyl chitosan-coated whole
inactivated Influenza virus vaccine for intranasal administration. Pharma. Res.,
26 (6): 1353- 1364.
Hassan, E.E. and Gallo, J.M. (1990). A simple rheological method for the in vitro
assessment of mucin-polymer bioadhesive bond strength. Pharm. Res., 7: 491-
495.
Illum, L., Jabbal-Gill, I. and Hinchcliffe, M. (2001). Chitosan as a novel nasal
delivery systems for vaccines. Adv. Drug Deliv. Rev., 51: 81- 96.
Jain, S., Sharma, R.K. and Vyas, S.P. (2006). Chitosan nanoparticles
encapsulated vesicular systems for oral immunization: preparation, in-vitro and
in-vivo characterization. Pharm. Pharmacol., 58: 303- 310.
Marón, L.B., Peniche, C., da Silveira, N.P., Pohlmann, A., Mertins, O., Tatsuo,
L.N., Sant'anna, A.O., Moro, A.M., Takata, C.S. Araujo, P.S. de and Bueno da
Costa, M.H. (2007). LUVs recovered with chitosan: a new preparation for
vaccine delivery. J. Lip. Res., 15: 155- 163.
Medina, E. and Guzman, C.A. (2000). Modulation of immune responses following
antigen administration by mucosal route. FEMS Immunol. Med. Microbiol., 27:
305- 311.
Peterson, G.L. (1977). A simplification of the protein assay method of Lowry et
al. wich is more generally applicable. Anal Biochem 83: 346- 356.
Silva, A.S., Takata, C.S., Sant’anna, O.A., Lopes, A.C., Soares, P.A. de and
Bueno da Costa, M.H. (2006). Enhanced Liposomal Vaccine Formulation and
Performance: Simple Physicochemical and Immunological Approaches. J. Lip.
Res., 16: 215 227.
Rescia, V.C., Ramos, H.R., Takata, C.S., Araujo, P.S. de and Bueno da Costa,
M.H. (2009a). Diphtheria toxoid conformation in the context of its
nanoencapsulation within liposomal particles sandwiched by Chitosan. Submitted
to J. Lip. Res.
Rescia, V.C., Takata, C.S., Araujo, P.S. de and Bueno da Costa, M.H. (2009b).
Dressing liposomal particles with chitosan and poly (vinylic alcohol) for oral
vaccine delivery. Submitted to J. Lip. Res.
Silva, V.A., Takata, C.S., Sant’Anna, O.A., Lopes, A.C., de Araujo, P.S. and
Bueno da Costa, M.H. (2006). Enhanced liposomal vaccine formulation and
performance: simple physico-chemical and immunological approaches. J Lip Res
16: 215- 227.
Van der Lubben, I.M., Kersten, G., Fretz, M.M., Beuvery, C., Verhoef, J.C., and
Junginger, H.E. (2003). Chitosan microparticles for mucosal vaccination against
diphtheria: oral and nasal efficacy studies in mice. Vaccine, 21: 1400- 1408.
Van der Lubben; I.M., Verhoef, J.C., Borchard, G. and Junguinger, H.E. (2001).
Chitosan for mucosal vaccination. Adv. Drug Del. Rev., 52: 139- 144.
Yadav, D. and Khuller, G. (2001). Evaluation of the T cells and costimulatory
molecules in the protective efficacy of 30 kDa secretory protein against
experimental tuberculosis. Immunol. Cell. Biol., 79: 207- 212.
Livros Grátis
( http://www.livrosgratis.com.br )
Milhares de Livros para Download:
Baixar livros de Administração
Baixar livros de Agronomia
Baixar livros de Arquitetura
Baixar livros de Artes
Baixar livros de Astronomia
Baixar livros de Biologia Geral
Baixar livros de Ciência da Computação
Baixar livros de Ciência da Informação
Baixar livros de Ciência Política
Baixar livros de Ciências da Saúde
Baixar livros de Comunicação
Baixar livros do Conselho Nacional de Educação - CNE
Baixar livros de Defesa civil
Baixar livros de Direito
Baixar livros de Direitos humanos
Baixar livros de Economia
Baixar livros de Economia Doméstica
Baixar livros de Educação
Baixar livros de Educação - Trânsito
Baixar livros de Educação Física
Baixar livros de Engenharia Aeroespacial
Baixar livros de Farmácia
Baixar livros de Filosofia
Baixar livros de Física
Baixar livros de Geociências
Baixar livros de Geografia
Baixar livros de História
Baixar livros de Línguas
Baixar livros de Literatura
Baixar livros de Literatura de Cordel
Baixar livros de Literatura Infantil
Baixar livros de Matemática
Baixar livros de Medicina
Baixar livros de Medicina Veterinária
Baixar livros de Meio Ambiente
Baixar livros de Meteorologia
Baixar Monografias e TCC
Baixar livros Multidisciplinar
Baixar livros de Música
Baixar livros de Psicologia
Baixar livros de Química
Baixar livros de Saúde Coletiva
Baixar livros de Serviço Social
Baixar livros de Sociologia
Baixar livros de Teologia
Baixar livros de Trabalho
Baixar livros de Turismo