Download PDF
ads:
HENRIQUE CALDEIRA COSTA
REVISÃO TAXONÔMICA DE Drymoluber AMARAL, 1930
(SERPENTES, COLUBRIDAE)
Dissertação apresentada à
Universidade Federal de Viçosa, como
parte das exigências do Programa de Pós-
Graduação em Biologia Animal, para
obtenção do título de Magister Scientiae.
VIÇOSA
MINAS GERAIS – BRASIL
2010
ads:
Livros Grátis
http://www.livrosgratis.com.br
Milhares de livros grátis para download.
ads:
HENRIQUE CALDEIRA COSTA
REVISÃO TAXONÔMICA DE Drymoluber AMARAL, 1930
(SERPENTES, COLUBRIDAE)
Dissertação apresentada à
Universidade Federal de Viçosa, como
parte das exigências do Programa de Pós-
Graduação em Biologia Animal, para
obtenção do título de Magister Scientiae.
ii
Taxonomy can justly be called the pioneering exploration of
life on a little known planet.
Edward O. Wilson
iii
A todos aqueles que dedicaram sua vida profissional, em parte ou na totalidade, à
Coleção Herpetológica do Instiuto Butantan, em especial aos colegas Kiko e Valdir.
Um dia, antes que seja tarde, espero que nossa população e governantes reconheçam
o real valor das coleções e museus, e o quão trágico foi o dia 15 de maio de 2010.
iv
AGRADECIMENTOS
A realização deste trabalho foi possível graças ao apoio financeiro, moral e
intelectual de diversas instituições e pessoas a quem sou extremamente grato:
À Universidade Federal de Viçosa, ao Departamento de Biologia Animal e o
Programa de Pós-Graduação em Biologia Animal, que me receberam nestes dois anos
como aluno.
À Coordenação de Aperfeiçoamento de Pessoal de Nível Superior (CAPES) e à
Smithsonian Institution, pelas bolsas concedidas, fundamentais para realização das
pesquisas.
Ao Renato Feio, por mais uma vez aceitar me orientar em um trabalho com serpentes.
Sou-lhe grato ainda por toda confiança em mim depositada ao longo desses anos que fiz parte
do MZUFV, liberdade dada para minhas tomadas de decisões, pela amizade e exemplo de
profissionalismo.
Ao mulo Ribon e ao Francisco “Kiko” Luís Franco, por aceitarem serem meus co-
orientadores. Agradeço ao Rômulo também principalmente pelas conversas e dicas
importantes a respeito da vegetação do baixo Rio Doce. Ao Kiko também sou grato por ter me
sugerido o trabalho com as Drymoluber, e por ter me auxiliado com sugestões e referências
bibliográficas.
Ao grande Valdir José Germano, por me ensinar pacientemente a difícil tarefa de
preparação dos hemipênis de serpentes, pelas dicas e bate-papos trocados durante minhas
visitas ao Butantan, e pelos “resgates” de última hora.
Ao Renato Bérnils, pelas conversas via e-mail e MSN sempre esclarecedoras,
referências sugeridas, e principalmente por me dar as primeiras explicações sobre Georg W.
Freyreiss e indicar onde buscar informações sobre suas viagens e de outros naturalistas pelo
Brasil.
Ao Mário Ribeiro de Moura, que me salvou com as análises estatísticas. Dizer
simplesmente que ele “ajudouseria uma enorme injustiça. O Mário colaborou de maneira
fantástica com este trabalho, com uma paciência e disponibilidade excepcional. Sou-lhe
imensamente grato por isso. Esta o é a primeira, nem será a última parceria nossa em um
trabalho acadêmico, assim espero!
À Eliza Ribeiro, pelo auxílio com os primeiros pedidos de empréstimo de material de
outras coleções e contatos cedidos, e Paulo Passos, pelos contatos com os pesquisadores
peruanos.
v
Aos curadores e funcionários de todas as coleções que visitei e daquelas que
emprestaram material para meus estudos: Guarino R. Colli, Marcela A. Brasil e Mariana
C. M. Viana (Coleção Herpetológica da Universidade de Brasília); Paulo C. A. Garcia e
Patrícia S. Santos (Coleção Herpetológica da Universidade Federal de Minas Gerais);
Jacques H. C. Delabie (Coleção Zoológica Gregório Bondar); Francisco “Kiko” Luís
Franco e Valdir José Germano (Instituto Butantan); Maria Rita. S. Pires e Bruna Imai
(Laboratório de Zoologia de Vertebrados, Universidade Federal de Ouro Preto); Luisa
Sarmento e Fabiano Lanschi (Museu de Biologia Mello Leitão); Gláucia Maria F. Pontes
(Museu de Ciências e Tecnologia, PUC-RS); Luciana B. Nascimento (Museu de Ciências
Naturais da PUC-MG); Hussam Zaher e Carolina Mello (Museu de Zoologia da
Universidade de São Paulo); Antônio J. S. Argôlo (Museu de Zoologia da Universidade
Estadual de Santa Cruz); Renato Neves Feio (Museu de Zoologia João Moojen, Universidade
Federal de Viçosa); Ronaldo Fernandes e Marcelo Gomes (Museu Nacional, Universidade
Federal do Rio de Janeiro); Ana Lúcia C. Prudente, João Fabrício M. Sarmento,
Alessandra Travassos e Paula C. R. Almeida (Museu Paraense Elio Goeldi); Paulo S.
Bernarde (Universidade Federal do Acre, Campus Floresta); Diva Maria Borges-Nojosa e
Daniel C. Lima (Universidade Federal do Ceará); Marcos André Carvalho (Universidade
Federal do Mato Grosso); Darrel Frost e David Kizirian (American Museum of Natural
History, EUA); Alan Resetar e Kathleen M. Kelly (Field Museum of Natural History,
EUA); Ronald Heyer, Kevin de Queiroz, Roy McDiarmid, George Zug, Addison Wynn,
Kenneth Tighe, Jeremy F. Jacobs e Robert Wilson (National Museum of Natural History,
Smithsonian Institution, EUA).
Aos curadores e funcionários das coleções que forneceram dados e fotografias dos
espécimes sob seus cuidados: Edgar Lehr, Markus Auer e Barbara Bastian (Museum für
Tierkunde, Dresden, Alemanha); Mark-Oliver del e Christoph Kucharzewski (Museum
für Naturkunde Berlin, Alemanha); Pier Cacciali (Museo Nacional de Historia Natural Del
Paraguay, Paraguai); Cesar Aguilar e Claudia P. Torres Gastello (Museo de Historia
Natural Universidad Nacional Mayor de San Marcos, Peru); Colin McCarthy (National
Museum of Natural History, Reino Unido); Stephen P. Rogers (Carnegie Museum of Natural
History, EUA).
À Giovanna G. Montingelli pelas sugestões e conselhos durante minha visita ao
MZUSP, e envio de fotos do holótipo de Spilotes piceus depositado na Academy of Natural
Sciences, Philadelphia’s Natural History Museum, EUA.
vi
Aos curadores, funcionários e estudantes de diversas coleções que não possuíam
material de Drymoluber, mas dispuseram de seu tempo para procurar por registros de
exemplares.
A Daniel Loebmann, Eduardo Santos, Laurie J. Vitt, Maël Dewynter, Marco
Antônio de Freitas, Paula H. Valdujo, Paulo S. Bernarde, Pedro Henrique Bernardo,
Rafael de Fraga e William Quatman, que gentilmente cederam fotografias para ilustrar o
trabalho. À Ana Bárbara Barros e Letícia Ruiz Sueiro, pela foto de última hora da cabeça
do holótipo de D. brazili.
Ao Diego F. Cisneros-Heredia pelas informações sobre coordenadas geográficas de
localidades do Equador. À Paula Hanna Valdujo, por todas as conversas, conselhos,
sugeses, ideias trocadas e referências bibliográficas enviadas!
Às muitas pessoas que me auxiliaram com a viagem aos EUA: Pedro L. V. Peloso, que
sugeriu que eu me inscrevesse no Short-Term Visitor Award da Smithsonian Institution, além
de ajudar com o preenchimento dos formulários e dar diversas dicas; Pedro Nunes e Marcelo
J. Sturaro por dúvidas tiradas e sugestões de hospedagem; Márcio M. Morais Jr. pelo
contato do Fabiano Godoy, que amigavelmente me hospedou em Arlington; Larry
Matheson e a Família Burger, pela hospedagem em Washington e Chicago; Fiona
Wilkinson pela ajuda prestada principalmente antes da minha viagem; Ronald Heyer, por
aceitar ser meu orientador no Short-Term Visitor Award, e por todo auxílio e atenção dados
antes e durante minha estadia em Washington; Miriam Heyer, Roy McDiarmid, Addison
Wynn, Kenneth Tighe, Jeremy F. Jacobs e Robert Wilson pela ajuda e simpatia enquanto
estive no National Museum of Natural History; Alan Resetar e Kathleen M. Kelly, sempre
solícitos enquanto passei alguns dias no Field Museum of Natural History.
A todos que me auxiliaram com referências bibliográficas, em especial a Peter Uetz,
pelo envio de cópias das descrições originais de Herpetodryas dichroa, H. occipitalis e
Spilotes piceus. Às bibliotecárias do MZUSP pelo ótimo atendimento que sempre me foi
dado, ame enviando scans de páginas de artigos por e-mail. A Daniel Burnier e Peter
Uetz, pela tradução do texto em alemão da descrição de H. dichroa. À Biodiversity Library
Heritage, que disponibiliza online e gratuitamente PDFs de ótima qualidade de milhares de
periódicos, livros e artigos antigos, enriquecendo muito minha lista de referências, e
facilitando de forma colossal a busca por bibliografias de séculos passados. À CAPES, cujo
sistema de assinatura de periódicos também é outra excelente ferramenta ao acesso de
referências bibliogficas.
vii
Aos amigos de república, André, Fernanda e Kyvia, pelos momentos vividos e
divididos no apartamento. Aprendi muito morando com vocês.
Aos colegas, amigos e irmãos do Museu de Zoologia João Moojen (alunos,
professores e funcionários), local que ao longo de mais de sete anos se tornou uma casa para
mim. Tantas pessoas passaram por lá durante este tempo, que citar o nome de todos tornar-se-
ia uma tarefa complicadíssima. Mas saibam que todos tiveram uma parcela de culpa na minha
formação profissional e pessoal, após todas as conversas, churrascos, cervejas nos bares,
congressos, cursos, trabalhos de campo e parcerias nas pesquisas!
Não posso deixar de agradecer também a todos aqueles que foram meus “estagiários”,
tanto os que desistiram quanto os que persistiram. Com vocês, aprendi um pouco mais a
ensinar. E hoje já tenho o prazer de ver alguns frutos positivos disso, por parte dos
“resistentes”. Vocês me orgulham.
Ao José Lélis Pontes, por tudo que fez pelas coleções do MZUFV no passado, e por
ter me ensinado os primeiros passos na identificação e manejo de serpentes.
À Família Rodrigues, que felizmente tem feito parte da minha vida nestes últimos
anos. Em especial à Débora, pelo carinho, auxílio e paciência!
À toda a minha Família Costa, em especial ao meu pai (Cléber) e irmãos (Gustavo e
Juliana), por todo amor, apoio e confiança no maluco que resolveu trabalhar com cobras. As
palavras são poucas, mas o sentimento de gratidão é imenso, mesmo que no meu dia-a-dia eu
não pareça ou não saiba demonstrar isso.
À minha mãe (Maria Rosa), pela pessoa que foi e por tudo que representa para mim. O
destino nos separou cedo, mas não impediu sua presença na formação do meu caráter. Metade
de mim é você, e acho que é a parte nerd! Saudades sempre.
Por fim, agradeço (e por que não?) a todas as Drymoluber que perderam suas vidas e
estão depositadas em coleções científicas. Suas mortes não foram em o. Este trabalho, eu
espero, servirá de base para outros num breve futuro, enriquecendo ainda mais nosso
conhecimento sobre estas serpentes, possibilitando o planejamento de medidas adequadas à
sua conservação.
MUITO OBRIGADO!
viii
SUMÁRIO
RESUMO ...................................................................................................................ix
ABSTRACT ................................................................................................................x
ARTIGO .....................................................................................................................1
ix
RESUMO
COSTA, Henrique Caldeira, M. Sc.,Universidade Federal de Viçosa, junho de 2010. Revisão
taxonômica de Drymoluber Amaral, 1930 (Serpentes, Colubridae). Orientador: Renato
Neves Feio. Coorientadores: Francisco Luís Franco e Rômulo Ribon.
Drymoluber Amaral, 1930 apresenta três espécies de serpentes que ocorrem na América
do Sul a leste dos Andes. O presente estudo faz uma revisão taxonômica do gênero, a partir da
comparação de caracteres merísticos e morfométricos, aspectos da morfologia externa do
hemipênis e de coloração do corpo de espécimes de D. apurimacensis, D. brazili e D.
dichrous depositados em coleções museológicas. As seguintes análises estasticas foram
utilizadas: análises de variância univariada e multivariada (avaliar a presença de dimorfismo
sexual nas três espécies); análises de componentes principais (avaliar a variação morfológica);
análise de correlação entre matrizes de dissimilaridade e distância geográfica (avaliar a
relação entre distribuição geográfica e variação dos caracteres de escutelação); correlação
linear (avaliar a presença de variação clinal no número de escamas ventrais e subcaudais).
Dimorfismo sexual ocorre em D. dichrous e D. brazili, mas não foi detectado em D.
apurimacensis. As três espécies atualmente reconhecidas em Drymoluber são distintas entre si
e não apresentaram variações morfológicas que possam indicar a presença de xons ainda
não identificados em suas populações. A variação morfológica dentro de D. dichrous tem
relação com a distância geográfica entre as populações. Ademais, a variação no número de
escamas ventrais e subcaudais em D. dichrous e D. brazili seguiu um padrão clinal com
relação à latitude e longitude. Drymoluber dichrous se caracteriza pela presença de 15-15-15
fileiras de escamas dorsais lisas, com duas fossetas apicais, 157-180 ventrais e 86-110
subcaudais, ocorrendo na região oriental da Cordilheira dos Andes, Amazônia, Escudo das
Guianas, Mata Atlântica e áreas de transição desta com os domínios morfoclimáticos da
Caatinga e Cerrado. Drymoluber brazili possui 17-17-15 fileiras de escamas dorsais lisas,
com duas fossetas apicais, 182-202 ventrais e 109-127 subcaudais, distribuindo-se pela
Caatinga, Cerrado, Mata Atlântica, e áreas de transição entre essas duas últimas ecorregiões.
Drymoluber apurimacensis possui 13-13-13 fileiras de escamas dorsais lisas, sem fossetas
apicais, 158-182 ventrais e 84-91 subcaudais, estando restrita ao sul dos rios Apurimac e
Pampas, no Peru.
x
ABSTRACT
COSTA, Henrique Caldeira, M. Sc.,Universidade Federal de Viçosa, June, 2010. Taxonomic
revision of Drymoluber Amaral, 1930 (Serpentes, Colubridae). Adviser: Renato Neves
Feio. Co-Advisers: Francisco Luís Franco and Rômulo Ribon.
Drymoluber Amaral, 1930 presents three snake species from South America east of the
Andes. The present study makes a taxonomic revision of the genus, through the comparison
of meristic and morphometric characters, aspects of external hemipenial morphology and
body coloration of specimens of D. apurimacensis, D. brazili and D. dichrous from museum
collections. The following statistical analyses were perfomed: analyses of univariate and
multivariate variance (to evaluate the presence of sexual dimorphism in the three species);
principal components analyses (to evaluate morphological variation); correlation between
matrices of dissimilarity and geographic distance (to evaluate relationship between
geographic distance and variation in scutellation characters); linear correlation (to evaluate the
presence of clinal variation in number of ventral and subcaudal scales). Sexual dimorphism
occurs in D. dichrous and D. brazili and was not detected in D. apurimacensis. The three
species currently recognized in Drymoluber are distinct from each other, and do not present
morphological variations that could suggest the occurrence of unidentified taxa among their
populations. Morphological variation within D. dichrous is related with geographic distance
between populations. Furthermore, variation in number of ventral and subcaudal scales in D.
dichrous and D. brazili followed latitudinal and longitudinal clinal patterns. Drymoluber
dichrous is diagnosed by the presence of 15-15-15 smoth dorsal scale rows with two apical
pits, 157-180 ventrals and 86-110 subcaudals, occurring at the eastern region of the Andes,
the Amazon rainforest, Guiana Shield, Atlantic rainforest and transitional areas between it and
the morphoclimatical domains of Caatinga and Cerrado. Drymoluber brazili has 17-17-15
smoth dorsal scale rows with two apical pits, 182-202 ventrals and 109-127 subcaudals,
ranging throughout the Caatinga, Cerrado, Atlantic rainforest, and transitional areas between
these last two ecoregions. Drymoluber apurimacensis has 13-13-13 smoth dorsal scale rows
lacking apical pits, 158-182 ventrals and 84-91 subcaudals, being limited to the south of the
Apurimac and Pampas rivers, in Peru.
1
ARTIGO
Revisão taxonômica de Drymoluber Amaral, 1930 (Serpentes: Colubridae)
HENRIQUE CALDEIRA COSTA
1,2
, MÁRIO RIBEIRO DE MOURA
1
& RENATO NEVES
FEIO
1
1
Programa de Pós-Graduação em Biologia Animal, Departamento de Biologia Animal,
Museu de Zoologia João Moojen, Universidade Federal de Viçosa. CEP 36570-000. Viçosa,
MG, Brasil.
2
Corresponding author. E-mail: ccostah@yahoo.com.br
Abstract
Drymoluber Amaral, 1930 presents three snake species from South America east of the Andes. The present study
makes a taxonomic revision of the genus, through the comparison of meristic and morphometric characters,
aspects of external hemipenial morphology and body coloration of specimens of D. apurimacensis, D. brazili
and D. dichrous from museum collections. The following statistical analyses were perfomed: analyses of
univariate and multivariate variance (to evaluate the presence of sexual dimorphism in the three species);
principal components analyses (to evaluate morphological variation); correlation between matrices of
dissimilarity and geographic distance (to evaluate relationship between geographic distance and variation in
scutellation characters); linear correlation (to evaluate the presence of clinal variation in number of ventral and
subcaudal scales). Sexual dimorphism occurs in D. dichrous and D. brazili and was not detected in D.
apurimacensis. The three species currently recognized in Drymoluber are distinct from each other, and do not
present morphological variations that could suggest the occurrence of unidentified taxa among their populations.
Morphological variation within D. dichrous is related with geographic distance between populations.
Furthermore, variation in number of ventral and subcaudal scales in D. dichrous and D. brazili followed
latitudinal and longitudinal clinal patterns. Drymoluber dichrous is diagnosed by the presence of 15-15-15 smoth
dorsal scale rows with two apical pits, 157-180 ventrals and 86-110 subcaudals, occurring at the eastern region
of the Andes, the Amazon rainforest, Guiana Shield, Atlantic rainforest and transitional areas between it and the
morphoclimatical domains of Caatinga and Cerrado. Drymoluber brazili has 17-17-15 smoth dorsal scale rows
with two apical pits, 182-202 ventrals and 109-127 subcaudals, ranging throughout the Caatinga, Cerrado,
Atlantic rainforest, and transitional areas between these last two ecoregions. Drymoluber apurimacensis has 13-
13-13 smoth dorsal scale rows lacking apical pits, 158-182 ventrals and 84-91 subcaudals, being limited to the
south of the Apurimac and Pampas rivers, in Peru.
Key words: Snakes, South America, taxonomy, morphological variation.
2
Resumo
Drymoluber Amaral, 1930 apresenta três espécies de serpentes que ocorrem na Arica do Sul a leste dos
Andes. O presente estudo faz uma revio taxonômica do gênero, a partir da comparação de caracteres merísticos
e morfométricos, aspectos da morfologia externa do hemipênis e de coloração do corpo de espécimes de D.
apurimacensis, D. brazili e D. dichrous depositados em coleções museológicas. As seguintes análises estatísticas
foram utilizadas: análises de variância univariada e multivariada (avaliar a presença de dimorfismo sexual nas
três espécies); análises de componentes principais (avaliar a variação morfológica); análise de correlação entre
matrizes de dissimilaridade e distância geográfica (avaliar a relação entre distribuição geográfica e variação dos
caracteres de escutelação); correlação linear (avaliar a presença de variação clinal no número de escamas
ventrais e subcaudais). Dimorfismo sexual ocorre em D. dichrous e D. brazili, mas não foi detectado em D.
apurimacensis. As três espécies atualmente reconhecidas em Drymoluber são distintas entre si e o
apresentaram variações morfológicas que possam indicar a presença de táxons ainda não identificados em suas
populações. A variação morfológica dentro de D. dichrous tem relação com a distância geogfica entre as
populações. Ademais, a variação no número de escamas ventrais e subcaudais em D. dichrous e D. brazili seguiu
um padrão clinal com relação à latitude e longitude. Drymoluber dichrous se caracteriza pela presença de 15-15-
15 fileiras de escamas dorsais lisas, com duas fossetas apicais, 157-180 ventrais e 86-110 subcaudais, ocorrendo
na região oriental da Cordilheira dos Andes, Amazônia, Escudo das Guianas, Mata Atlântica e áreas de transição
desta com os domínios morfoclimáticos da Caatinga e Cerrado. Drymoluber brazili possui 17-17-15 fileiras de
escamas dorsais lisas, com duas fossetas apicais, 182-202 ventrais e 109-127 subcaudais, distribuindo-se pela
Caatinga, Cerrado, Mata Atlântica, e áreas de transição entre essas duas últimas ecorregiões. Drymoluber
apurimacensis possui 13-13-13 fileiras de escamas dorsais lisas, sem fossetas apicais, 158-182 ventrais e 84-91
subcaudais, estando restrita ao sul dos rios Apurimac e Pampas, no Peru.
Palavras-chave: Cobras, América do Sul, taxonomia, variação morfológica
Introdução
O gênero Drymoluber Amaral, 1930 compreende três espécies de serpentes da família
Colubridae (sensu Zaher et al. 2009), distribuídas ao longo da porção tropical da América do
Sul a leste dos Andes (Peters & Orejas-Miranda 1970; Lehr et al. 2004; Cacciali et al. 2005;
Vrcibradic 2007). São espécies áglifas, de médio porte, diurnas e terrícolas (Gomes 1918;
Amaral 1930; Martins & Oliveira 1998; Argôlo 2004a; Lehr et al. 2004).
O histórico taxonômico das espécies hoje alocadas em Drymoluber teve início na
descrição de Herpetodryas dichroa por Peters (1863), com base em três exemplares, dois
deles coletados no Brasil por Georg Wilhelm Freyreiss, e o outro “supostamente comprado no
Suriname”. Cinco anos depois, Cope (1868) e Günther (1868) descreveram, respectivamente,
Spilotes piceus e Herpetodryas occipitalis, a partir de espécimes da Amazônia equatoriana e
peruana. Na segunda parte de seu extenso catálogo de serpentes depositadas no British
Museum of Natural History em Londres, Boulenger (1894) considera S. piceus e H.
3
occipitalis sinônimos de H. dichroa, a qual transfere para o gênero Coluber. Além de
espécimes provenientes do Peru (incluindo o holótipo de Herpetodryas occipitalis),
Boulenger (1894) teve acesso a um exemplar da Bahia, no leste do Brasil, coletado por Otto
Wucherer.
Griffin (1916), ao listar as serpentes da América do Sul depositadas no Carnegie
Museum (EUA), cita um exemplar de Elaphe dichroa”, coletado por J. D. Haseman.
Contudo, Amaral (1926), que teve acesso ao espécime, concluiu se tratar na verdade de um
jovem de Drymobius bifossatus Raddi, 1820 (atualmente no gênero Mastigodryas),
identificação que confirmamos após exame de fotografias (HCC obs. pess.).
Gomes (1918) listou as serpentes do Museu Paraense (Brasil), identificadas a pedido da
Drª. Emília Snethlage. Neste trabalho ele apresenta um exemplar de Elaphe dichrousdo
norte do Brasil, mas não cita Griffin (1916) em sua lista de sinônimos, nem explica o motivo
que o levou a transferir Coluber dichrous para o gênero Elaphe. Gomes (1918) também
descreve Drymobius brazili, com base em seis exemplares, cinco deles oriundos do Brasil
central (em regiões do bioma Cerrado) e outro sem procedência (Gomes 1918).
Cinco anos após o trabalho de Gomes (1918), Amaral (1923) descreve Drymobius
rubriceps a partir de um exemplar imaturo coletado em Penápolis, estado de São Paulo,
próximo à área de ocorrência conhecida até então para D. brazili. O próprio Amaral (1929),
ressaltando que o exemplar-tipo de D. rubriceps deveria ser um anômalo com relação às
escamas labiais, algumas escamas cefálicas e à coloração, veio depois a sinonimizar esta
espécie com Drymobius boddaerti (Sentzen, 1796).
No ano seguinte, Amaral (1930) afirma que Coluber dichrous (o nome Elaphe dichrous,
apresentado por Gomes (1918) sequer é citado) não é o nome mais apropriado para a espécie
descrita por Peters (1863), merecendo esta ser alocada em um novo gênero. Considerando se
tratar de um táxon próximo e intermediário a Coluber e Drymobius, devido a caracteres
dentários e hemipenianos, Amaral (1930) lhe atribui um novo nome genérico: Drymoluber.
Ao revisar o status taxonômico de Drymobius, Stuart (1932) afirma que Drymobius
brazili deveria ser alocada em Drymoluber. O mesmo autor, apontou também que Drymobius
rubriceps na verdade seria sinônimo de Drymoluber brazili, e não de Eudryas (= Drymobius)
boddaerti, como sugerido por Amaral (1929) (Stuart 1933).
Durante várias cadas seguintes, a taxonomia de Drymoluber permaneceu inalterada,
apresentando o gênero duas espécies: Drymoluber dichrous (Peters, 1863) e Drymoluber
brazili (Gomes, 1918) (Peters & Orejas-Miranda 1970).
4
Recentemente, foi descrita uma nova espécie do gênero, Drymoluber apurimacensis
Lehr, Carrilo & Hocking, 2004, a partir de seis exemplares da região do vale de Apurimac,
nos Andes peruanos. A nova espécie se diferencia de D. dichrous e D. brazili, principalmente
com base na contagem de fileiras de escamas dorsais: 15-15-15 em D. dichrous, 17-17-15 em
D. brazili e 13-13-13 em D. apurimacensis (Lehr et al. 2004).
Ao longo dos últimos anos, houve um significativo aumento sobre o conhecimento da
distribuão geográfica de D. dichrous e D. brazili, a partir de novos exemplares provenientes
da Mata Atlântica (Freire 2000; Borges-Nojosa & Lima 2001; Passos & Brandão 2002;
Argôlo 2004a; Vrcibradic 2007; Santana et al. 2008), savanas da Amazônia (França et al.
2006), Caatinga (Vanzolini 1981; Rodrigues 2003; Argôlo 2004b), Cerrado (Pavan & Dixo
2004; França & Araújo 2006) e áreas de transição entre Mata Atlântica e Cerrado (Cacciali et
al. 2005). Embora a publicação de Lehr et al. (2004) seja recente, estes autores não
examinaram exemplares da maior parte da distribuição geográfica de Drymoluber (e.g.
nenhum espécime da Mata Atlântica). Sendo assim, torna-se ainda necessária uma análise de
exemplares deste gênero provenientes da maior abrangência possível de sua área de
ocorrência, para se avaliar a variação morfológica dos táxons ao longo de sua distribuição, e a
possibilidade de existência de espécies ainda não identificadas. Estas são, portanto, as
propostas do presente estudo.
Materiais e Métodos
Material examinado
Foram examinados pessoalmente 370 espécimes de Drymoluber (286 de D. dichrous,
83 de D. brazili e um de D. apurimacensis) incluindo a série-tipo de Drymobius brazili, o
holótipo de Drymobius rubriceps e um parátipo de Drymoluber apurimacensis (Apêndice 1),
depositados nas seguintes coleções científicas: Brasil Coleção Herpetológica da
Universidade de Brasília (CHUNB), Brasília, DF; Coleção Herpetológica da Universidade
Federal de Minas Gerais (CHUFMG), Belo Horizonte, MG; Coleção Zoológica Gregório
Bondar (CZGB), Ilhéus, BA; Instituto Butantan (IBSP), São Paulo, SP; Laboratório de
Zoologia de Vertebrados, Universidade Federal de Ouro Preto (LZV), Ouro Preto, MG;
Museu de Biologia Mello Leitão (MBML), Santa Teresa, ES; Museu de Ciências e
Tecnologia, PUC-RS (MCP), Porto Alegre, RS; Museu de Ciências Naturais da PUC-MG
(MCNR), Belo Horizonte, MG; Museu de Zoologia da Universidade de São Paulo (MZUSP),
São Paulo, SP; Museu de Zoologia da Universidade Estadual de Santa Cruz (MZUESC),
Ilhéus, BA; Museu de Zoologia João Moojen, Universidade Federal de Viçosa (MZUFV),
5
Viçosa, MG; Museu Nacional, Universidade Federal do Rio de Janeiro (MNRJ), Rio de
Janeiro, RJ; Museu Paraense Emílio Goeldi (MPEG), Belém, PA; Universidade Federal do
Acre, Campus Floresta (UFACF), Cruzeiro do Sul, AC; Universidade Federal do Ceará
(UFC), Fortaleza, CE; Universidade Federal do Mato Grosso (UFMT), Cuiabá, MT; Estados
Unidos da América American Museum of Natural History (AMNH), New York, NY; Field
Museum of Natural History (FMNH), Chicago, IL; National Museum of Natural History,
Smithsonian Institution (USNM), Washington, DC.
Foram também examinadas fotografias de 10 espécimes adicionais, incluindo os três
síntipos de Herpetodryas dichroa, os holótipos de Herpetodryas occipitalis e Spilotes piceus,
o holótipo e três parátipos de Drymoluber apurimacensis, depositados nas seguintes
instituições: Alemanha Museum für Naturkunde Berlin (ZMB), Berlin; Museum für
Tierkunde (MTKD), Dresden; Estados Unidos da América Academy of Natural Sciences,
Philadelphia’s Natural History Museum (ANS), Philadelphia, PA; Paraguai Museo
Nacional de Historia Natural Del Paraguay (MNHNP), Asuncíon; Peru Museo de Historia
Natural Universidad Nacional Mayor de San Marcos (MHNSM), Lima; Reino Unido
National Museum of Natural History (BMNH), London (Apêndice 1).
Técnicas utilizadas e caracteres analisados
Os caracteres diagnósticos utilizados envolvem morfometria, dentição maxilar,
coloração, escutelação e morfologia hemipeniana externa. O sexo dos exemplares foi
diagnosticado a partir da presença ou ausência de hemipênis. Terminologias seguem Peters
(1964) e Vanzolini et al. (1980) para escutelação e Dowling & Savage (1960) para caracteres
hemipenianos. Os hemipênis selecionados para exame (n = 24) foram preparados segundo
metodologia proposta por Pesantes (1994), com adaptações propostas por Zaher & Prudente
(2003). Medidas morfométricas foram tomadas utilizando-se paquímetro com precisão de 0,1
mm, exceto para comprimento rostro-cloacal e comprimento caudal, os quais foram tomados
com régua flexível com precisão de 1 mm. Para espécimes muito enrijecidos devido à fixação,
utilizou-se uma linha estendida ao longo do dorso do animal, posteriormente medida com
régua. Maxilares foram examinados in situ, por meio de uma incisão entre as escamas
supralabiais e o arco maxilar, retirando-se os tecidos que o cobriam. Os dentes (assim como
alvéolos vazios) foram então contados. Este procedimento, por ser invasivo aos exemplares
preservados, foi realizado apenas com o maxilar esquerdo.
Caracteres morfométricos analisados: 1) comprimento rostro-cloacal (CRC); 2)
comprimento caudal (CC); 3) comprimento da cabeça (CCab) (medido da ponta do focinho
6
até a junção quadrado-mandibular); 4) largura da cabeça entre as margens laterais das
escamas supraoculares (LCS); 5) distância internasal (largura da cabeça entre as narinas) (DI);
6) diâmetro do olho (DO); 7) distância entre o olho e a narina (DON).
Caracteres merísticos analisados: 1) número de fileiras de escamas dorsais anteriores,
contadas à distância do comprimento de uma cabeça a partir da articulação quadrado-
mandibular (DA); 2) número de fileiras de escamas dorsais contadas no meio do corpo (DM);
3) número de fileiras de escamas dorsais posteriores, contadas à distância do comprimento de
uma cabeça anterior à cloaca (DP); 4) número de fossetas apicais nas escamas dorsais (FA);
5) número de escamas ventrais (VE); 6) número de escamas pré-ventrais (PV); 7) número de
escamas subcaudais (SC); 8) escama cloacal (EC), simples ou dividida; 9) escama rostral
(ER) visível dorsalmente ou não; 10) número de escamas supralabiais (SL); 11) número de
escamas supralabiais em contato com a órbita ocular (SLO); 12) número de escamas pré-
oculares (PeO); 13) número de escamas pós-oculares (PoO); 14) padrão de organização das
escamas temporais anteriores (TA); 15) padrão de organização das escamas temporais
posteriores (TP); 16) escama nasal (EN) simples, semidividida ou dividida; 17) número de
escamas infralabiais (IL); 18) pares de infralabiais em contato entre si (ILC); 19) mero e
tamanho das escamas mentonianas (M); 20) escamas infralabiais em contato com o primeiro
par de mentonianas (ILM1); 21) escamas infralabiais em contato com o segundo par de
mentonianas (ILM2); 22) escamas infralabiais em contato com as gulares (ILG); 23) escama
loreal (LO) tão alta quanto larga, mais alta que larga ou mais larga que alta; 24) número de
dentes no maxilar esquerdo (DT).
Caracteres de coloração analisados: 1) coloração do dorso da cabeça; 2) coloração da
região gular; 3) coloração das escamas supralabiais; 4) coloração dorsal do corpo; 5)
coloração ventral do corpo; 6) coloração dorsal da cauda; 7) coloração ventral da cauda. Para
espécimes jovens, com padrão de coloração distinto dos adultos, foram tomadas ainda as
seguintes medidas: 1) número de bandas dorsais escuras totais ao longo do corpo; 2) largura
(tomando como referência o número de escamas na fileira vertebral e nas paravertebrais
adjacentes) da primeira (B1), quinta (B5), décima quinta (B15), quinta anterior à cloaca
(B5U) e da última (BU) banda escura dorsal do corpo; 3) largura do interespaço claro após B1
e que precede B5, B15, B5U e BU; 4) faixa cefálica branca imaculada, maculada com ocelos /
manchas, ou interrompida por grandes marcações escuras.
Caracteres hemipenianos analisados: 1) tamanho do lobo em relação ao corpo do
hemipênis; 2) tipo de ornamentação do lobo; 3) número dio de papilas por cálice do lobo;
4) ornamentação do corpo do hemipênis; 5) número aproximado de espinhos no corpo do
7
hemipênis; 6) ornamentação da face sulcada do hemipênis; 7) número espinhos entre o sulco
espermático e o gancho esquerdo; 8) ornamentação das paredes do sulco espermático e entre o
sulco espermático e as fileiras de espinhos; 9) número aproximado de espinhos margeando o
sulco espermático de cada lado; 10) presença de espinho lateral igual ou maior que os
ganchos; 11) lado (direito ou esquerdo) do gancho mais proximal; 12) ornamentação da face
assulcada do hemipênis; 13) ornamentação da base do hemipênis.
Coordenadas geográficas
O levantamento das coordenadas geográficas dos topônimos de origem dos espécimes
analisados foi realizado por meio dos seguintes métodos: buscas nos catálogos das coleções
depositárias; busca em referências bibliográficas cujo trabalho foi realizado em áreas onde o
topônimo procurado está inserido; pesquisa no gazetteer online Glosk (http://www.glosk.com)
e através do software Google Earth; consulta a outros pesquisadores.
Grupos morfológicos
Com o propósito de analisar variações interpopulacionais em Drymoluber, a amostra foi
separada em grupos morfológicos (GM), seguindo critérios de diferenças no número de
fileiras de escamas dorsais no meio do corpo (13, 15 ou 17), proximidade geográfica e
distribuão segundo ecorregião de ocorrência. Os grupos definidos foram: GM1 espécimes
com 13 escamas dorsais no meio do corpo e distribuição na região andina (Drymoluber
apurimacensis; n = 5); GM2 espécimes com 15 escamas dorsais no meio do corpo e
distribuão na região Andina (Drymoluber dichrous; n = 19); GM3 espécimes com 15
escamas dorsais no meio do corpo e distribuição na Amazônia ao norte do rio Amazonas (D.
dichrous; n = 61); GM4espécimes com 15 escamas dorsais no meio do corpo e distribuição
na Amazônia ao sul do rio Amazonas (D. dichrous; n = 136); GM5 espécimes com 15
escamas dorsais no meio do corpo e distribuição na Mata Atlântica ao norte do Rio Doce (D.
dichrous; n = 54); GM6espécimes com 15 escamas dorsais no meio do corpo e distribuição
na Mata Atlântica ao sul do Rio Doce (D. dichrous; n = 9); GM7 espécimes com 15
escamas dorsais no meio do corpo e distribuição no Cerrado, savanas da Amazônia e áreas de
transição destes ambientes com regiões florestadas (D. dichrous; n = 12); GM8 espécimes
com 17 escamas dorsais no meio do corpo e distribuição na Mata Atlântica ao sul do Rio
Doce (D. brazili; n = 5); GM9 espécimes com 17 escamas dorsais no meio do corpo e
distribuão no Cerrado e áreas de transição com Mata Atlântica (D. brazili; n = 72); GM10
8
espécimes com 17 escamas dorsais no meio do corpo e distribuição na Caatinga do nordeste
do Brasil (D. brazili; n = 6).
Espécimes de Drymoluber dichrous do grupo morfológico 2 (região Andina) foram
considerados separadamente para se avaliar se poderiam ter se diferenciado do restante da
amostra amazônica devido à sua ocorrência em áreas de elevada altitude naquele bioma
(acima de 1.000 metros do nível do mar). Já as amostras do norte e sul do Amazonas (GM3 e
GM4) foram incluídas em grupos morfológicos diferentes para se avaliar se este rio poderia
atuar como uma barreira natural para diversificação de Drymoluber. A divisão dos espécimes
da Mata Atlântica em amostras ao sul e norte do Rio Doce (GM5 e GM6) levou em
consideração indícios de que este rio se encontrava na fronteira de refúgios florestais durante
o Pleistoceno, sugeridos por modelagens climáticas (Carnaval & Moritz 2008).
Análises estatísticas
Análises envolvendo dados de escutelação que não sofrem variação ontogenética
abordaram tanto indivíduos jovens quanto adultos. Já naquelas com dados morfométricos
utilizou-se apenas exemplares considerados adultos. A definição de jovens e adultos foi
arbitrária, com base no padrão de coloração dorsal, pois não existem trabalhos sobre biologia
reprodutiva de Drymoluber que nos auxiliem neste aspecto. Escimes que apresentavam
coloração dorsal uniforme foram considerados adultos, enquanto aqueles com coloração
formada por bandas escuras e claras foram considerados juvenis. Porém, sete exemplares de
D. dichrous (MNRJ 17069, MPEG 16921, MZUESC 3739, MZUSP 7691) que apresentavam
coloração dorsal uniforme foram tidos como juvenis devido ao seu pequeno tamanho (CRC =
285-391 mm). Da mesma forma, cinco fêmeas (AMNH 54541, AMNH 55635, MZUSP
11444, USNM 204126, USNM 332470; CRC = 445-590 mm) e quatro machos (AMNH
22491, AMNH 91812, IBSP 69567, MPEG 20331; CRC = 425-485 mm) de D. dichrous e um
macho de D. brazili (IBSP 18309; CRC = 544 mm) que apresentavam algumas bandas (às
vezes sutis) foram considerados adultos, devido ao fato de haverem vários outros espécimes
com medidas semelhantes, mas com coloração dorsal totalmente uniforme.
Primeiramente, a normalidade e homocedasticidade das variáveis amostradas foram
verificadas através dos testes de Kolmogorov-Smirnov e Levene. As variáveis que não
atingiram tais pressupostos foram posteriormente analisadas com os testes não-paramétricos
de Mann-Whitney U e Krush-Wallis (Zar 1999). A presença de dimorfismo sexual nas três
espécies foi avaliada separadamente, através da análise de variância univariada (ANOVA)
para os caracteres número de escamas ventrais e número de escamas subcaudais. Também
9
foram realizadas análises de variância multivariada (MANOVA) com base nas sete medidas
morfométricas tomadas (CRC, CC, CCab, LCS, DI, DO e DON). Todas as análises
estatísticas foram realizadas no software Statistica 6.0 (StatSoft 2001).
Posteriormente, análises de componentes principais (ACP) foram realizadas
separadamente para machos e fêmeas, avaliando a distribuição dos indivíduos no espaço
multivariado, visando evidenciar diferenças entre agrupamentos não definidos a priori
(Johnson & Wichern 1998; Manly 2000). Alguns caracteres o foram incluídos na ACP por
não apresentarem variação suficiente. Os seguintes caracteres de escutelação foram então
utilizados: DM, VE, SC, SL, SLO, TA, TP, IL, ILM1, ILM2, ILG e LO. Para SL, SLO, TA,
TP, IL, ILM1, ILM2 e ILG, os lados direito e esquerdo foram analisados distintamente, por
não ser incomum a presença de espécimes com contagens de escamas diferentes em cada lado
da cabeça. A classificação das variações de TA e TP (ver resultados) seguiu uma escala
ordinal de 1 a 26 e 1 a 16, respectivamente. Para as ACPs com base na morfometria, as
medidas (CRC, CC, CCab, LCS, DI, DO e DON) foram transformadas em logaritmos, em
razão da presença de escalas de grandeza muito distintas, por exemplo, de 2 mm a mais de
1.000 mm. O GM6 não foi incluído nas ACPs para fêmeas devido à ausência de espécimes.
Foram estimadas medidas de caracteres ausentes em alguns espécimes por meio da
função mean substitution do software Statistica 6.0. Indivíduos com ausência de informões
superior a 30 % para os caracteres analisados foram excluídos das análises. Para ambas as
ACPs, com base na escutelação ou na morfometria, foi calculada a matriz de covariância, a
partir da qual os autovalores e autovetores que definem os componentes foram extraídos.
As variáveis que mais contribuíram para a formação dos componentes principais foram
determinadas em ordem decrescente pela correlação entre as variáveis originais e os
coeficientes dos componentes (James & McCulloch 1990). A contribuição de cada variável na
formação dos componentes principais foi então projetada no espaço reduzido dos
componentes principais de maiores contribuições, assim como os escores individuais dos
espécimes analisados (Cavalcanti & Lopes 2003).
Apenas observações descritivas foram feitas para comparação da variação no padrão de
coloração de jovens, pois metade dos grupos morfológicos (GM1, GM6, GM7, GM8, GM 10)
apresentou a amostra com três ou menos espécimes, inviabilizando análises estatísticas.
Para inferir a relação entre distribuição geográfica e variação dos caracteres de
escutelação, foram selecionadas localidades com no mínimo cinco exemplares coespecíficos
do mesmo sexo, designando-as como grupos geográficos. Para aumentar o número de grupos,
não foram usadas localidades pontuais, mas áreas com raio máximo arbitrário de 60 Km. A
10
análise pôde ser realizada com D. dichrous, devido à amostra de D. brazili não permitir
formação de ao menos três grupos do mesmo sexo. Mesmo que a amostra de D.
apurimacensis fosse suficiente, a análise não seria necessária, uma vez que sua distribuição é
restrita. Foram então determinados dez grupos geográficos para machos e oito para fêmeas de
D. dichrous (Fig. 1), a partir dos quais foi calculada a matriz de dissimilaridade com base na
distância de Mahalanobis e a matriz de distância geográfica (em Km) para machos e
fêmeas separadamente. A correlação entre as matrizes foi analisada com o teste de Mantel
(Urban 2003), para verificar a associação entre disncia geográfica e distância morfológica
(Queiroz & Good 1997; Passos et al. 2005).
FIGURA 1. Distribuição dos grupos geográficos de machos (A) e meas (B) de Drymoluber dichrous, para
verificar a associação entre distância geográfica e distância morfológica por meio do teste de Mantel. Cada ponto
apresenta 60 Km de raio. Machos: 1) Iquitos + Nauta + Rio Ucayali (Loreto, Peru); 2) Porto Velho + Alto
Paraíso (Rondônia, Brasil); 3) UHE Balbina (Presidente Figueiredo, Amazonas, Brasil); 4) Carajás (Pará,
Brasil); 5) Belém + Benevides + Castanhal + São Domingos do Capim (Pará, Brasil); 6) BR 316 (Maranhão,
Brasil); 7) Aracruz + Linhares + Vitória (Espírito Santo, Brasil); 8) Arataca + Barro Preto + Buerarema +
Camacan + Ilhéus + Una (Bahia, Brasil); 9) Barra do Rocha + Cairu + Itaca+ Ituberá + Nova Ibiá (Bahia,
Brasil); 10) Maranguape + Pacoti + Pacatuba (Ceará, Brasil). Fêmeas: 1) Cabeceras del Rio Arajuno + Cabeceras
del Rio Bobonaza + Macas + Riobamba + Río Liguino (Equador); 2) Iquitos (Loreto, Peru); 3) Porto Walter +
Reserva Extrativista Riozinho da Liberdade (Tarauacá, Acre, Brasil). 4) Porto Velho (Rondônia, Brasil); 5)
FLONA Caxiuanã (Melgaço, Pará, Brasil); 6) Carajás (Pará, Brasil); 7) Buerarema + Ilhéus + Itabuna + Una
(Bahia, Brasil); 8) Camacan + Ibirataia + Ituberá + Nova Ibiá (Bahia, Brasil). Florestas úmidas tropicais e
subtropicais; Savanas tropicais e subtropicais; Desertos e formações xeromórficas; Manguezais;
Planícies inundáveis; Florestas secas tropicais e subtropicais; Floresta mediterrânea de bosques e arbustos;
Pradarias montanhosas.
11
Foi ainda utilizado o coeficiente de correlação de Pearson (Zar 1999) para avaliar se as
variações no número de escamas ventrais e subcaudais em D. brazili e D. dichrous seguem
padrões de clinas latitudinais e/ou longitudinais.
Resultados e Discussão
Dimorfismo sexual
Drymoluber dichrous Fêmeas possuem mais escamas ventrais que machos (F
(1,285)
=
252,11; p < 0,001), e a variação no número de escamas subcaudais não foi significativa. Os
machos apresentaram em média maiores valores com relação às variáveis morfométricas (Λ =
0,84186; F
(5,135)
= 5,071; p < 0,00027), com maior comprimento rostro-cloacal (F
(1,139)
=
16,235; p < 0,001), maior comprimento caudal (F
(1,39)
= 11,078; p < 0,001), maior
comprimento da cabeça (F
(1,139)
= 21,180; p < 0,001), maior largura da cabeça na região
supraocular (U
= 2729; p < 0,001), maior distância internasal (F
(1,139)
= 16,573; p < 0,001),
maior diâmetro do olho (U = 3165; p < 0,001) e maior distância olho-narina (F
(1,139)
= 18,453;
p < 0,001).
Drymoluber brazili – As fêmeas de Drymoluber brazili também apresentaram em média
um maior número de escamas ventrais que os machos (F
(1,81)
= 27,081; p < 0,001), enquanto a
variação no número de escamas subcaudais não foi significativa. Dados morfométricos não
apresentaram dimorfismo sexual.
Drymoluber apurimacensis Não foi encontrado dimorfismo sexual para ventrais e
subcaudais. Contudo, é possível que isso seja reflexo do pequeno tamanho da amostra (n = 5).
Medidas morfométricas não puderam ser comparadas pois dos cinco espécimes analisados,
apenas dois eram fêmeas, sendo uma delas um jovem e a outra não possuía cabeça. Como
então possibilidade da ausência de dimorfismo aqui encontrada ser apenas um viés do número
amostral, nas análises posteriores foi assumido que D. apurimacencis é sexualmente
dimórfica com base nos resultados obtidos para D. brazili e D. dichrous.
Para discussões acerca do dimorfismo sexual encontrado, veja o item História Natural,
sobre D. dichrous e D. brazili, adiante.
Análises de Componentes Principais
Com relação aos caracteres de escutelação, houve uma sobreposição entre os grupos
morfológicos 1 a 7 (D. apurimacensis e D. dicrhous) e 8 a 10 (D. brazili) para machos e
fêmeas (Figs. 2, 3; Tabelas 1 e 2). As diferentes contribuições das variáveis de escutelação
para a formação dos componentes principais indicam que elas o apresentam importâncias
12
semelhantes durante o processo de formação dos componentes (Reis et al. 1988). A
discriminação obtida ao longo do eixo do primeiro componente principal é correlacionada
principalmente com as variáveis VE (r = 0.967; p < 0,001) e SC (r = 0,864, p < 0,001), cujas
contribuições diferiram em magnitude com relação a todas as demais variáveis em machos,
exceto ILGe (Tabela 1), e todas em fêmeas, exceto ILGe, TAd e TAd (Tabela 2). As variáveis
VE e SC também se mostraram importantes para a formação dos segundo e terceiro
componentes, embora não atuassem no mesmo sentido de variação.
FIGURA 2. Projeções dos escores individuais resultantes da análise de componentes principais (ACP) no espaço
reduzido dos três primeiros eixos para espécimes machos (A, B) e fêmeas (C, D) de Drymoluber, utilizando-se
20 caracteres de escutelação. Coeficientes padronizados e coeficientes de correlação dos componentes (r) são
apresentados nas Tabelas 1 e 2, respectivamente. GM 1 = D. apurimacensis; GM 2–7 = D. dichrous; GM 8–10 =
D. brazili.
13
FIGURA 3. Projeção dos escores individuais resultantes da análise de componentes principais referentes a 20
caracteres de escutelação, no espaço reduzido dos três primeiros eixos, em espécimes machos (A, B) e fêmeas
(C, D) de Drymoluber. VE = mero de escamas ventrais; SC = número de escamas subcaudais; TAd e TAe =
padrão de temporais anteriores do lado direito e esquerdo, respectivamente; TPd e TPe = padrão de temporais
posteriores do lado direito e esquerdo, respectivamente.
14
TABELA 1. Coeficientes padronizados e coeficientes de correlação com os componentes (r) resultantes da
análise de componentes principais para 20 caracteres de escutelação em espécimes machos de Drymoluber.
PC1 PC2 PC3 (r) PC1 (r) PC2 (r) PC3
VE 9.757 1.030 -2.277 0.967 *** 0.102
N.S
-0.225 ***
SC 6.704 -2.313 3.128 0.864 *** -0.298 *** 0.403275
ILGe -1.021 -0.127 0.177 -0.721 *** -0.090
N.S
0.125 *
ILGd -0.951 -0.121 0.195 -0.737 *** -0.094
N.S
0.151 *
DM 0.765 0.085 -0.047 0.898 *** 0.100
N.S
-0.055
N.S
TAe 0.738 3.259 1.269 0.176 ** 0.777 *** 0.302 ***
TPd 0.665 0.691 -0.322 0.304 *** 0.315 *** -0.147 *
TAd 0.598 3.463 1.709 0.137 * 0.796 *** 0.393 ***
TPe 0.288 0.601 -0.334 0.137 * 0.287 *** -0.159 *
SLOe 0.279 0.081 0.034 0.399 *** 0.116
N.S
0.049
N.S
SLOd 0.264 0.027 -0.023 0.378 *** 0.039
N.S
-0.033
N.S
ILM1d 0.197 -0.029 -0.018 0.396 *** -0.058
N.S
-0.037
N.S
ILM1e 0.180 0.029 -0.032 0.350 *** 0.056
N.S
-0.063
N.S
LO -0.088 -0.006 -0.035 -0.223 *** -0.016 * -0.090
N.S
ILM2d 0.061 -0.107 0.030 0.065
N.S
-0.115
N.S
0.032
N.S
ILd 0.054 0.030 0.028 0.149 * 0.084
N.S
0.078
N.S
ILe 0.045 0.044 0.004 0.119
N.S
0.116
N.S
0.010
N.S
SLe 0.011 0.030 0.028 0.048
N.S
0.125
N.S
0.118
N.S
ILM2e -0.007 0.013 -0.028 -0.007
N.S
0.013
N.S
-0.028
N.S
SLd 0.006 0.002 -0.014 0.025
N.S
0.010
N.S
-0.062
N.S
Autovalores 144.349 174.292 194.094
Cum. prop.
(%) 66.899 80.776 89.953
NS = não significante; * = p < 0,05; ** = p < 0,01; *** = p < 0,001; Cum. prop. = proporção cumulativa de
variância explicada (%) pelos três primeiros componentes. Para mbolos das variáveis, veja Materiais e
todos (letras ‘d’ e ‘e’ minúsculas indicam, respectivamente, lado direito e esquerdo da cabeça).
15
TABELA 2. Coeficientes padronizados e coeficientes de correlação com os componentes (r) resultantes da
análise de componentes principais para 20 caracteres de escutelação em espécimes fêmeas de Drymoluber.
PC1 PC2 PC3 (r) PC1 (r) PC2 (r) PC3
VE 9.294 -2.372 1.858 0.950 *** -0.242 ** 0.190 *
SC 7.802 3.646 -1.222 0.896 *** 0.419 *** -0.140
N.S
TAd 1.653 -1.913 -3.065 0.392 *** -0.454 *** -0.728 ***
TAe 1.248 -1.367 -1.778 0.367 *** -0.402 *** -0.523 ***
ILGe -1.039 0.306 0.040 -0.757 *** 0.223 ** 0.029
N.S
ILGd -0.900 0.356 0.058 -0.688 *** 0.272 *** 0.044
N.S
DM 0.817 -0.124 -0.006 0.904 *** -0.137
N.S
-0.007
N.S
TPd 0.535 -0.631 -0.326 0.267 *** -0.315 *** -0.163 *
TPe 0.480 -0.685 -0.509 0.256 ** -0.366 *** -0.272 ***
SLOe 0.405 -0.183 0.126 0.426 *** -0.193 * 0.132
N.S
SLOd 0.388 -0.079 0.044 0.453 *** -0.092
N.S
0.051
N.S
LO -0.239 0.032 0.007 -0.451 *** 0.060
N.S
0.013
N.S
ILM1d 0.160 -0.027 0.000 0.317 *** -0.053
N.S
0.001
N.S
ILM1e 0.127 -0.006 0.007 0.252 ** -0.013
N.S
0.015
N.S
ILM2e -0.122 0.066 0.013 -0.118
N.S
0.064
N.S
0.013
N.S
ILd 0.116 0.063 0.038 0.265 *** 0.142
N.S
0.087
N.S
ILe 0.072 0.039 0.056 0.197 * 0.107
N.S
0.154
N.S
ILM2d -0.055 0.056 -0.012 -0.057
N.S
0.057
N.S
-0.013
N.S
SLd 0.023 0.004 0.006 0.077
N.S
0.013
N.S
0.021
N.S
SLe 0.005 -0.021 0.026 0.017
N.S
-0.064
N.S
0.081
N.S
Autovalores 155.089 180.710 198.614
Cum. prop.
(%)
71.353 83.141 91.378
NS = não significante; * = p < 0,05; ** = p < 0,01; *** = p < 0,001; Cum. prop. = proporção cumulativa de
variância explicada (%) pelos três primeiros componentes. Para mbolos das variáveis, veja Materiais e
todos (letras ‘d’ e ‘e’ minúsculas indicam, respectivamente, lado direito e esquerdo da cabeça).
Nas projeções referentes aos espécimes analisados com base em dados morfométricos
(Figs. 4, 5; Tabelas 3 e 4), observa-se grande sobreposição entre os grupos morfológicos
definidos para os machos de Drymoluber (Figs. 4A e 4B). Tal sobreposição apresenta-se
reduzida quando se analisam as fêmeas (Figs. 4C e 4D). Embora não haja uma diferenciação
clara entre as espécies de Drymoluber quanto à morfometria, existe uma tendência das fêmeas
de D. brazili (GM8 a 10) atingirem maiores proporções que as fêmeas de D. apurimacencis e
D. dichrous (GM1 a 7). O primeiro componente pode ser considerado um indicador de
tamanho, uma vez que apresentou a mesma magnitude e sinal de variação para todos os
16
coeficientes (Tabelas 3 e 4). Os demais componentes, por seus coeficientes alternarem entre
valores positivos e negativos, podem ser considerados indicadores de forma (Humphries et al.
1981).
FIGURA 4. Projeções dos escores individuais resultantes da análise de componentes principais no espaço
reduzido dos três primeiros eixos para espécimes machos (A, B) e fêmeas (C, D) de Drymoluber, utilizando-se
sete caracteres de morfometria. Coeficientes padronizados e coeficientes de correlação com os componentes são
apresentados nas Tabelas 3 e 4, respectivamente. GM 1 = D. apurimacensis; GM 2–7 = D. dichrous; GM 8–10 =
D. brazili.
17
FIGURA 5. Projeção dos escores individuais resultantes da análise de componentes principais referentes a sete
caracteres de morfometria, no espaço reduzido dos três primeiros eixos, em espécimes machos (A, B) e fêmeas
(C, D) de Drymoluber. CRC = comprimento rostro-cloacal; CC = comprimento caudal; CCab = comprimento da
cabeça; LCS = largura da cabeça na região supraocular; DI = Distância internasal; DO = diâmetro do olho; DOn
= distância entre olho e narina.
18
TABELA 3. Coeficientes padronizados e coeficientes de correlação com os componentes (r) resultantes da
análise de componentes principais para sete caracteres morfométricos em machos de Drymoluber.
PC1 PC2 PC3 (r) PC1 (r) PC2 (r) PC3
CRC -0.094 0.019 0.010 -0.938 *** 0.198 * 0.102
N.S
CCab -0.082 -0.064 0.001 -0.788 *** -0.614 *** 0.011
N.S
CC -0.068 0.011 -0.046 -0.815 *** 0.133
N.S
-0.561 ***
DON -0.067 0.013 0.012 -0.912 *** 0.177 * 0.164 *
DI -0.062 0.012 0.005 -0.864 *** 0.176 * 0.070
N.S
LCS -0.056 0.010 0.009 -0.922 *** 0.174 * 0.148
N.S
DO -0.047 0.007 0.009 -0.862 *** 0.136
N.S
0.170 *
Autovalores 0.034 0.039 0.042
Cum. prop.
(%)
75.307 86.642 92.449
NS = não significante; * = p < 0,05; ** = p < 0,01; *** = p < 0,001; Cum. prop. = proporção cumulativa de
variância explicada (%) pelos três primeiros componentes. Para símbolos das variáveis, veja Fig. 5.
TABELA 4. Coeficientes padronizados e coeficientes de correlação com os componentes (r) resultantes da
análise de componentes principais para sete caracteres morfométricos em fêmeas de Drymoluber.
PC1 PC2 PC3 (r) PC1 (r) PC2 (r) PC3
CRC -0.087 0.007 0.008 -0.963 *** 0.085
N.S
0.093
N.S
CC -0.068 0.042 -0.026 -0.801 *** 0.498 *** -0.315 **
DON -0.066 -0.006 0.016 -0.909 *** -0.092
N.S
0.221 *
DI -0.059 -0.013 0.013 -0.855 *** -0.191 * 0.195 *
CCab -0.058 0.001 0.014 -0.922 *** 0.028
N.S
0.221 *
LCS -0.056 -0.042 -0.032 -0.727 *** -0.544 *** -0.414 ***
DO -0.045 -0.002 0.005 -0.876 *** -0.041
N.S
0.100
N.S
Autovalores 0.028 0.032 0.035
Cum. prop.
(%)
75.3621 85.5310 92.0589
NS = não significante; * = p < 0,05; ** = p < 0,01; *** = p < 0,001; Cum. prop. = proporção cumulativa de
variância explicada (%) pelos três primeiros componentes. Para símbolos das variáveis, veja Fig.5.
19
Distância geográfica em Drymoluber dichrous
Houve correlação positiva entre as matrizes de distância D² de Mahalanobis e distância
geográfica, para machos (r = 0,3374; p = 0,0234) e meas (r = 0,5130; p = 0,0052) de D.
dichrous (Fig. 6). Este resultado indica a presença de um modelo de isolamento por distância,
onde diferenças genéticas relativamente amplas podem se desenvolver entre populações
geograficamente distantes dentro de uma mesma unidade geneticamente contínua (De
Queiroz & Good 1997), sugeringo a presença de um padrão de variação clinal em Drymoluber
dichrous. Situação semelhante foi encontrada para a serpente Dipsas albifrons (Dipsadidae),
que ocorre na Mata Atlântica brasileira (Passos et al. 2005).
FIGURA 6. Projeção da distância mofológica de Mahalanobis pela distância geográfica (Km) calculada a
partir de caracteres de escutelação em machos (A) e fêmeas (B) de Drymoluber dichrous. Linhas pontilhadas
correspondem ao intervalo de 95 % de confiança para a relação estimada.
Coeficiente de correlação linear de Pearson
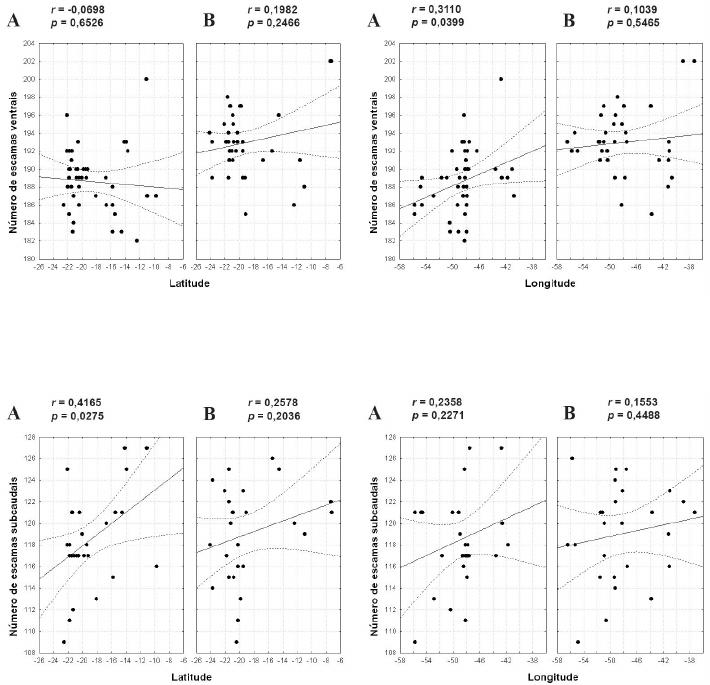
A variação no número de escamas ventrais e subcaudais em D. brazili e D. dichrous
apresenta em algumas situações um padrão clinal em relação à latitude e/ou longitude. Em D.
dichrous, um decréscimo do sul para o norte no número de escamas ventrais de machos (r
= -0,2263, p = 0,0032) e fêmeas (r = -0,1959, p = 0,0376), e nomero de escamas
subcaudais de fêmeas (r = -0,2428, p = 0,0226). Quanto à longitude, variação clinal
significativa ocorre apenas no mero de subcaudais, que em ambos os sexos aumentam do
oeste para o leste (machos: r = 0,4108, p < 0,0005; fêmeas: r = 0,4346, p < 0,0005) (Figs. 7,
8).
20
FIGURA 7. Correlação linear do número de escamas ventrais em função da latitude e longitude em machos (A)
e fêmeas (B) de Drymoluber dichrous.
FIGURA 8. Correlação linear do número de escamas subcaudais em função da latitude e longitude em machos
(A) e fêmeas (B) de Drymoluber dichrous.
Em D. brazili, variações clinais no número de ventrais e subcaudais foram observadas
apenas nos machos. Do sul para o norte, um aumento no número de subcaudais (r =
0,4165, p = 0,0275). Do oeste para o leste, as ventrais dos machos aumentam em número (r =
0,3110, p = 0,0399). (Figs. 9, 10).
21
FIGURA 9. Correlação linear do número de escamas ventrais em função da latitude e longitude em machos (A)
e fêmeas (B) de Drymoluber brazili.
FIGURA 10. Correlação linear do número de escamas subcaudais em função da latitude e longitude em machos
(A) e fêmeas (B) de Drymoluber brazili.
Padrões clinais latitudinais e/ou longitudinais referentes à escutelação, morfometria e
coloração vêm sendo descritos para várias serpentes (e.g. McDiarmid 1968; Hoge et al. 1977;
Gardner & Mendelson III 2004; Manier 2004; Passos et al. 2005; Allsteadt et al. 2006; Passos
& Fernandes 2008). Em alguns casos, táxons são sinonimizados quando se percebe que
constituem simplesmente trechos distintos de um padrão clinal previamente mascarado pela
amostragem insuficiente (e.g. McDiarmid 1968; Gardner & Mendelson III 2004; Manier
2004).
As causas de variações clinais no padrão de escutelação de serpentes, em especial no
número de escamas ventrais e subcaudais ainda é incerta. Na maioria das famílias de
serpentes, o número de escamas ventrais corresponde ao mero de vértebras (Fox 1948;
22
Alexander & Gans 1966). Desta forma, uma vez que o número de vérbetras poderia ser
afetado durante a formação do somito, o mesmo deveria ocorrer com as escamas ventrais (Fox
1948).
Fox (1948) e Osgood (1978), realizando testes em laboratório, mostraram que o número
de escamas ventrais sofria inflncia da temperatura na qual a ninhada fora incubada. A
relação entre temperatura e número de escamas ventrais, vem sendo então utilizada por alguns
autores como hipótese para explicar variações clinais em serpentes brasileiras, como Bothrops
jararaca (Hoge et al. 1977), Dipsas albifrons (Passos et al. 2005) e Epicrates crassus (Passos
& Fernandes 2008). Arnold & Peterson (2002), contudo, indicam a presença de erros em
alguns trabalhos experimentais como os de Fox (1948) e Osgood (1978), e sugerem que
diferenças geográficas em contagens merísticas não podem ser explicadas por efeitos da
temperatura durante o desenvolvimento embrionário. Variações clinais no número de escamas
ventrais não seriam então causados por efeitos diretos do ambiente (Arnold & Peterson 2002).
Grazziotin et al. (2006), por exemplo, ao estudarem a filogeografia de Bothrops jararaca,
sugerem que a diferença morfológica observada por Hoge et al. (1977) entre populações
setentrionais e meridionais da espécie pode ter sido causada por um evento passado de
fragmentação na sua área de distribuição, e não por efeitos ecológicos recentes.
A presença de variações clinais na morfologia de algumas espécies de serpentes é
inquestionável, mas suas causas (fatores genéticos, ambientais ou ambos) ainda permanecem
incompreendidas, necessitando de mais estudos e experimentos.
Coloração dos juvenis
Os jovens de Drymoluber apresentam um padrão de coloração formado por bandas
escuras que cobrem todo o dorso até as margens laterais das escamas ventrais, separadas por
interespaços claros. Este padrão é comum a todas as espécies do nero, e presente também
em outros Colubridae neotropicais, como Dendrophidion dendrophis, Mastigodryas spp. e
algumas Chironius. Geralmente as bandas tendem a desaparecer no sentido postero-anterior,
sendo poucos os espécimes com bandas presentes ao longo de todo o dorso. Bandas diferentes
tendem a possuir larguras diferentes, mas cada uma tende a possuir a mesma largura ao longo
de todas as fileiras de escamas que ocupa. Pode haver também alargamentos ou compressões
nas bandas, que lhes dão um aspecto de zig-zag.
Apenas D. apurimacensis é distinguível a partir do padrão de coloração juvenil, por
apresentar bandas escuras em média mais estreitas e interespaços claros mais largos que D.
dichrous e D. brazili. Em D. brazili, os interespos claros são em média mais largos que em
23
D. dichrous, mas a variação existente não torna este caráter confiável para distingui-las (mais
informões em Taxonomia).
O caráter aparentemente mais variável nos jovens de Drymoluber é a coloração da
cabeça. Pode estar presente uma distinta e larga faixa clara transversal na região parietal,
imaculada ou maculada (geralmente com dois ocelos). Esta faixa pode ainda estar ausente,
dando lugar a uma coloração escura cobrindo a região das parietais, geralmente deixando
apenas uma mancha clara longitudinal entre as parietais (Fig. 11). Aparentemente, ao longo
do crescimento não há uma expansão das áreas negras pré-existentes, e sim um escurecimento
contínuo das partes claras. Desta forma, as três variações aqui encontradas não representariam
diferentes estágios ontogenéticos.
Pode-se observar grande variação quanto à coloração cefálica em D. dichrous da
Amazônia e D. brazili do Cerrado e Caatinga. Em Aripuanã, município no sudoeste da
Amazônia brasileira, no estado do Mato Grosso (10º09’ S, 59º27’ W), os juvenis de D.
dichrous podem ou não apresentar a faixa branca cefálica (n = 3). Contudo, nenhum jovem
analisado de D. dichrous da Mata Atlântica (n = 11) possui a faixa branca, a qual está presente
nas D. brazili deste bioma (n = 2) e suas áreas de transição com o Cerrado (n = 2). Isto pode,
porém, ser apenas um viés causado por uma amostra pequena.
FIGURA 11. Variação na coloração do dorso da cabeça em juvenis de Drymoluber. A) Presença de faixa clara
parietal (MZUSP 8494, D. dichrous, Alto Paraíso, Rondônia, Brasil); B) Faixa clara presente, porém maculada
(IBSP 16499, D. brazili, Turiba do Sul, São Paulo, Brasil); C) Faixa clara ausente (MZUSP 14298, D. brazili,
UHE Luís Eduardo Magalhães, Tocantins, Brasil). Fotos: Henrique C. Costa.
24
Taxonomia
Os resultados deste estudo indicam a ausência de espécies ainda não identificadas
dentro dos táxons hoje reconhecidos em Drymoluber. Apesar de Drymoluber apurimacensis
não ter se mostrado distinta de D. dichrous nas análises de componentes principais, deve ser
mantida como espécie válida, uma vez que possui dois caracteres que prontamente a
diferenciam de D. dichrous: a presença de 13 fileiras de escamas dorsais ao longo de todo o
corpo, sem fossetas apicais (15 fileiras de dorsais, com duas fossetas apicais em D. dichrous).
O gênero Drymoluber Amaral, 1930, permanece, portanto, com três espécies válidas:
Drymoluber dichrous (Peters, 1863), Drymoluber brazili (Gomes, 1918) e Drymoluber
apurimacensis Lehr, Carrillo & Hocking, 2004. Nova Ponte, Minas Gerais, Brasil (19º08’ S,
47º40 W) é a única localidade conhecida onde D. dichrous e D. brazili são simpátricas.
Trata-se de uma área de ecótono entre o Cerrado e a Mata Atlântica, e devido à capacidade de
D. dichrous de habitar savanas (Fraa et al. 2006; este estudo), haveria possibilidade das
duas espécies ocorrerem em sintopia nesta área.
Informações detalhadas sobre a variação morfológica encontrada em Drymoluber, além
de compilações sobre distribuição e história natural destas serpentes serão apresentadas a
seguir.
Drymoluber Amaral, 1930
Drymoluber Amaral, 1930. Memórias do Instituto Butantan, 4, p. 335. Espécie-tipo por
monotipia: Herpetodryas dichroa Peters, 1863
Diagnose: Drymoluber se distingue de todos os demais gêneros de Colubridae (sensu
Zaher et al. 2009) neotropicais pela seguinte combinação de caracteres: escamas dorsais lisas,
dispostas em 13, 15 ou 17 fileiras no meio do corpo; placa cloacal inteira (raramente
dividida); 157-202 escamas ventrais; 84-127 subcaudais divididas; pseudoautotomia caudal;
dois pares de mentonianas, o primeiro com cerca de metade do tamanho do segundo; 8
(menos comumente 7 ou 9) supralabiais; 8 ou 9 (menos comumente 7 e 10) infralabiais; 1
(raramente 2) pré-ocular; 2 (raramente 1 ou 3) pós-oculares; 19-26 dentes maxilares; variação
ontogenética na coloração dorsal da cabeça e do corpo (juvenis têm a cabeça maculada de
tons escuros e branco/vermelho e o corpo com bandas escuras separadas por interespaços
claros, enquanto adultos têm coloração dorsal uniforme, em tons de verde, marrom ou cinza);
hemipênis simples, subcilíndrico, o capitado, com o lobo atingindo cerca da metade do
órgão, ornamentado por cálices papilados gradualmente substituídos por franjas espiculadas e
25
espinhos, os quais são dispostos em fileiras mais ou menos transversais, sendo que aquelas
que margeiam o sulco espermático possuem um gancho na porção proximal.
Conteúdo: Três espécies: Drymoluber dichrous (Peters, 1863), Drymoluber brazili
(Gomes, 1918) e Drymoluber apurimacensis Lehr, Carrillo & Hocking, 2004.
Distribuição geográfica (Fig. 12): O gênero Drymoluber possui ampla distribuição na
América do Sul cis-Andina, quase que inteiramente ao norte do Trópico de Capricórnio.
Ocorre na Amazônia, Escudo das Guianas, lado oriental da Cordilheira dos Andes, Mata
Atlântica da costa nordeste a sudeste do Brasil, Cerrado do Brasil central, Caatinga do
nordeste do Brasil, áreas de transição entre Mata Atlântica e Cerrado no Brasil e Paraguai, e
áreas de transição entre Mata Atlântica e Caatinga. O gradiente altitudinal de sua distribuição
varia desde o nível do mar na costa brasileira, até cerca de 3.500 metros de elevação nos
Andes.
FIGURA 12. Distribuição geográfica das espécies de Drymoluber Amaral, 1930. Círculos representam
localidades com espécimes examinados, e X representam registros de literatura. Preto = Drymoluber dichrous
(Peters, 1863); Vermelho = Drymoluber brazili (Gomes, 1918); Azul = Drymoluber apurimacensis Lehr,
Carrillo & Hocking, 2004. Florestas úmidas tropicais e subtropicais; Savanas tropicais e subtropicais;
Desertos e formações xeromórficas; Manguezais; Planícies inundáveis; Florestas secas tropicais e
subtropicais; Floresta mediterrânea de bosques e arbustos; Pradarias montanhosas.
26
Etimologia: Para Amaral (1930), os caracteres dentários e hemipenianos de
Herpetodryas dichroa Peters, 1863 indicavam se tratar de um táxon próximo e intermediário
dos gêneros Drymobius e Coluber. O nome genérico Drymoluber, que nada mais é que um
amálgama das palavras Drymobius e Coluber, foi então proposto para ao mesmo tempo
distinguir e mostrar a semelhança entre Herpetodryas dichroa (agora Drymoluber dichrous) e
esses gêneros. Amaral não deixa explícito se o nome Drymoluber é masculino ou feminino,
mas podemos inferir se tratar do primeiro caso devido à alteração do nome específico dichroa
para dichrous.
Drymoluber dichrous (Peters, 1863)
Herpetodryas dichroa Peters, 1863. Monatshefte fur Akademie der Wissenschaften zu Berlin,
29, p. 284. Síntipos: ZMB 1661, ZMB 1662, ZMB 2603.
Herpetodryas occipitalis Günther, 1868. Annals and Magazine of Natural History, Fourth
Series, 1, p. 420. Holótipo: BMNH 1946.1.14.61, formerly 1867.9.17.28.
Spilotes piceus Cope, 1868. Proceedings of the Academy of Natural Sciences of Philadelphia,
20, p. 105–106. Holótipo: ANSP 3920.
Coluber dichrous Boulenger, 1894. Catalogue of the Snakes in the British Museum (Natural
History). Volume II. British Museum of Natural History, London, p. 30–31.
Elaphe dichrous – Gomes, 1918. Memórias do Instituto Butantan, 1, p. 67.
Drymoluber dichrous Amaral, 1930. Memórias do Instituto Butantan, 4, p. 337.
Lectótipo (aqui designado): Museum für Naturkunde Berlin ZMB 1661, adulto de sexo
indeterminado (provavelmente um macho), CRC 585 mm, CC 242 mm, coletado por Georg
Wilhelm Freyreiss no Brasil, no século XIX. Exemplar examinado por fotografias.
Paralectótipos (aqui designados): Museum r Naturkunde Berlin ZMB 1662, adulto,
sexo indeterminado, CRC 568 mm, CC 237+N mm (cauda mutilada), coletado por Georg
Wilhelm Freyreiss no Brasil, no século XIX; ZMB 2603, adulto, sexo indeterminado
(provavelmente uma fêmea), CRC 623 mm, CC 225+N mm (cauda mutilada), supostamente
comprado do Suriname. Esta mesma informação sobre o local de coleta de ZMB 2603 está
presente no catálogo do Museum für Naturkunde Berlin e no rótulo mais antigo do espécime.
Contudo, um rótulo mais novo (já com o nome Drymoluber dichrous) indica Brasilien
Becker”. O motivo da mudança é desconhecido mesmo pela curadoria do museu (M.O. Rödel,
com. pess.). Exemplares examinados por fotografias.
27
Sobre a localidade tipo: Não existe nenhuma informação quanto à data de coleta, data
de envio para a Europa ou data de chegada da série tipo de D. dichrous no Museum r
Naturkunde Berlin (M.O. Rödel, com. pess.). Desta forma, a localidade tipo de Drymoluber
dichrous vem sendo considerada “Brasil e Suriname” (e.g. Peters & Orejas-Miranda 1970).
Apesar da falta de informações detalhadas, ainda assim é possível precisar um pouco mais a
localidade tipo desta espécie, com base nos itinerários de G. W. Freyreiss no Brasil.
Freyreiss deixou São Petersburgo em 1813, rumo ao Brasil, iniciando suas expedições
em junho de 1814. Primeiramente, seguiu do Rio de Janeiro para Minas Gerais, onde tomou o
caminho da antiga estrada real até Vila Rica (atual Ouro Preto), e posteriormente aa região
dos rios Abaeté, Indaiá e São Francisco (Freyreiss 1907; Papavero 1971). Ao longo desta
expedição, Freyreiss percorreu áreas de Mata Atlântica e de transição deste bioma com o
Cerrado.
No início de 1815 ele retornou ao Rio de Janeiro, de onde partiu mais uma vez em
expedição, no mês de agosto, junto a Friedrich Sellow e o príncipe Maximilian zu Wied-
Neuwied (Papavero 1971). Freyreiss viajou através da Mata Atlântica do Rio de Janeiro ao
Espírito Santo, e depois à Bahia, aparentemente até Caravelas, não tendo acompanhado Wied-
Neuwied em toda sua viagem (Papavero 1971). Posteriormente, contribuiu para a fundação de
uma colônia ale no sul da Bahia, chamada Colônia Leopoldina, onde morreu em 1825
(Papavero 1971).
O material de D. dichrous coletado por Freyreiss pode então ser proveniente de
qualquer uma das localidades visitadas pelo naturalista entre 1814 e sua morte em 1825, cujos
extremos são o Rio de Janeiro ao sul (22°53S, 43°10W), Tiros a oeste (18°58’ S, 46°00’
W) e Caravelas (17°40’S, 39°15’ W) ao norte e leste (Freyreiss 1907; Papavero 1971).
Diagnose: Drymoluber dichrous distingui-se de D. brazili e D. apurimacensis pela
presença de 15-15-15 fileiras de escamas dorsais (17-17-15 em D. brazili e 13-13-13 em D.
apurimacensis). Distingui-se de D. apurimacensis também pela presença de duas fossetas
apicais nas escamas dorsais (ausentes em D. apurimacensis). Ainda pode ser diferenciada de
D. brazili pelo número de ventrais e subcaudais: 157–173 ventrais e 87–110 subcaudais em
machos (182–200 e 109–127 em D. brazili), 160–180 ventrais e 86–109 subcaudais em
fêmeas (185–202 e 109–126 em D. brazili), enquanto certa sobreposição quanto a esses
caracteres se comparado a D. apurimacensis (158–164 ventrais e 84–93 subcaudais em
machos; 166–182 ventrais e 87–91 subcaudais em fêmeas).
Jovens de D. dichrous possuem bandas escuras com 1,5-7 escamas de largura (x¯ = 3,6) e
interespaços claros com 0,5-2,5 escamas de largura (x¯ = 0,8), enquanto em D. apurimacensis
28
as bandas escuras têm 1–2 escamas de largura, e os interespaços claros têm 2–3 escamas.
Jovens de D. brazili possuem bandas escuras de largura semelhante a D. dichrous (2–6
escamas; x¯ = 3,6), porém os interespaços claros são em média mais largos (0,5–5 escamas; x¯
= 1,6).
O hemipênis tende a possuir mais cálices que o de D. brazili, e franjas espiculadas
menores, além de não possuir espinhos na região lobular. As paredes do sulco espermático
tendem a ser mais ornamentadas, ao menos na região lobular, com pequenas papilas
denteadas. Os espinhos da face assulcada são em geral maiores que os de D. brazili, em
especial os mais basais. A morfologia do heminis de D. dichrous é semelhante àquela do de
D. apurimacensis, tornando imprecisa a diferenciação destas espécies por meio deste caráter.
Descrição do lectótipo (Fig. 13): Comprimento rostro-cloacal de 585 mm, e
comprimento caudal de 242 mm; cabeça distinta do corpo, 24,6 mm de comprimento (4,2 %
do CRC); Maior largura da cabeça de 12,9 mm (52 % do seu comprimento); largura da cabeça
na altura das supraoculares de 9,3 mm; distância internasal de 5,1 mm; órbita ocular de 4,45
mm; distância entre o olho e a narina de 4,5 mm. As medidas morfométricas foram tomadas
por Christoph Kucharzewski, Museum für Naturkunde Berlin. Fileiras de escamas dorsais em
número de 15-15-15, lisas, com duas fossetas apicais; 161 ventrais e uma pré-ventral (sensu
Peters 1964); cloacal inteira; cauda intacta, com 96 subcaudais duplas e um espinho terminal;
rostral mais larga que alta, visível de cima; internasais e p-frontais ligeiramente mais largas
que compridas; pré-frontais em contato cada uma com a frontal, supraocular, internasais,
nasal posterior, pré-ocular e loreal; frontal cerca de 1,5 vez mais longa que larga;
supraoculares mais longas que largas; parietais cerca de 1,5 vez mais longas que largas; nasal
dividida acima e abaixo da narina, em contato principalmente com a primeira supralabial, mas
também com a segunda; loreal levemente mais longa que alta, contatando a segunda e terceira
supralabiais; uma pré-ocular; duas pós-oculares sub-iguais; três temporais anteriores (uma
superior e duas inferiores) e duas temporais posteriores (uma superior e outra inferior) do lado
direito (1/2+1/1); quatro temporais anteriores (duas superiores e duas inferiores) e duas
temporais posteriores (uma superior e outra inferior) do lado esquerdo (2/2+1/1); oito
supralabiais, a quarta e a quinta em contato com a órbita ocular; sinfisial triangular, mais larga
que longa; nove infralabiais, o primeiro par em contato atrás da sinfisial; primeira a quinta
infralabiais em contato com o primeiro par de mentonianas; quinta e sexta infralabiais em
contato com o segundo par de mentonianas; sexta a nona infralabiais em contato com as
gulares; primeiro par de mentonianas com cerca de metade do comprimento do segundo.
29
FIGURA 13. Lectótipo de Drymoluber dichrous (Peters, 1863) (ZMB 1661). A) vista dorsal do corpo; B) vista
ventral do corpo; C) lado direito da cabeça; D) lado esquerdo da cabeça; E) dorso da cabeça; F) região gular.
Fotos: Mark-Oliver Rödel.
30
Coloração do lectótipo: Peters (1863) descreve a coloração de Herpetodryas dichroa
da seguinte forma: Dorso marrom-oliva, os lados e inclusive as partes externas das escamas
ventrais subcaudais de cor verde oliva; todo o ventre até a ponta da cauda de cor amarela;
faixas negras que, atrás dos olhos, tornam-se repentinamente mais largas em ambos os lados
da cabeça. Estas linhas são margeadas pelas supralabiais amarelas (amarelo mais escuro que o
do ventre).”. Após quase duzentos anos de preservação, o lectótipo apresenta-se com
coloração dorsal uniforme, em tom marrom-azulado. Supralabiais, região gular e ventre com
coloração creme uniforme, sendo as margens laterais das ventrais e subcaudais da cor do
dorso. A margem superior de algumas supralabiais, em especial as duas últimas, tem a cor do
dorso. A faixa negra na lateral da cabeça é indistinguível.
Coloração dos adultos preservados: A coloração dorsal dos espécimes adultos após
fixação é em geral mais escura que a do lectótipo, com tons de cinza-azulado ou azul-escuro.
Em adultos menores é possível observar marcas leves das bandas que formavam o padrão de
colorido juvenil. O ventre da maioria dos exemplares analisados é creme imaculado, com as
margens laterais das ventrais escurecidas na mesma cor das dorsais (n = 203; 95 %). Algumas
variações na coloração ventral do corpo também foram percebidas. Em alguns casos (n = 3;
1,5 %) a coloração escura dorsal adentra mais o ventre do animal. Há espécimes cujo ventre é
creme com pequenas pontuações escuras (n = 3; 1,5 %). O ventre também pode ser totalmente
escuro na mesma tonalidade das dorsais ou pouco mais claro (n = 3; 1,5 %). Um único
exemplar (0,05 %) possui ventre amarelo, não apenas com as margens laterais das ventrais
escurecidas, mas também a margem posterior. A coloração da região gular é clara e imaculada
na maioria dos espécimes (n = 153; 72 %). Alguns, porém, apresentam marcas escuras nas
margens posteriores das infralabiais, e às vezes nas mentonianas (n = 60; 28 %). Quanto às
supralabiais, a maior parte dos indivíduos adultos apresenta as margens laterais das escamas
(principalmente as últimas) escurecidas (n = 166; 78 %) . Em alguns casos (n = 14; 6,5 %),
estas marcas são muito fortes e grossas. Há ainda espécimes com supralabiais totalmente
escuras (n = 15; 7 %), ou então totalmente claras, sem marcas ou com marcas inconspícuas (n
= 18; 8,5 %). O ventre da cauda, geralmente segue o mesmo padrão do ventre do corpo
(creme com as bordas laterais das subcaudais escuras) (n = 207; 97 %), mas pode também
sofrer algumas variações. As bordas laterais podem o ser escurecidas (n = 1; 0,05 %); as
subcaudais podem apresentar pontuações negras, sendo estas em maior quantidade na região
posterior (n = 1; 0,05 %), ou serem completamente escuras em toda a extensão da cauda (n =
4; 2 %).
31
Coloração dos adultos em vida: Com base em alguns registros de literatura (e.g.
Cunha & Nascimento 1978; Martins & Oliveira 1998; Bartlett & Bartlett 2003; Argôlo 2004a)
e algumas fotografias cedidas por outros pesquisadores (Fig. 14), é possível perceber algumas
variações na coloração de adultos de D. dichrous em vida, embora as mesmas não tenham
relação com a distribuição geográfica dos espécimes. O dorso varia entre marrom, marrom-
oliva, verde, verde-escuro e cinza-azulado. Eventualmente pode mudar de cor as o primeiro
terço ou metade do corpo. O dorso da cabeça é escuro, às vezes de cor um pouco mais clara
que o corpo. Pode haver formação de uma faixa negra pouco conspícua da pré-ocular ao final
temporal posterior. Supralabiais, região gular e o ventre variam entre amarelo a branco, sendo
as margens laterais das escamas ventrais e subcaudais da mesma cor ou pouco mais claras que
as dorsais. As supralabiais ainda podem apresentar as margens superiores e laterais
escurecidas.
Coloração dos juvenis preservados: O número de bandas escuras ao longo do corpo
varia entre 31 e 52 (x¯ = 40; SD = 4,3; n = 49; 63 %). São comuns espécimes cujo padrão
bandeado não é mais distinguível no terço final do corpo (n = 29; 37 %). Como dito
anteriormente, em sete exemplares pequenos (CRC 285-391 mm), a coloração bandeada
desaparecera completamente. As bandas da cauda raramente são visíveis (apenas em alguns
indivíduos com CRC < 385 mm). Bandas dorsais variam de 1,5-7 escamas
vertebrais/paravertebrais de largura (x¯ = 3,6; SD = 0,87; n = 306 bandas). Dentre as bandas
analisadas neste estudo, a última antes da cloaca tende a ser a mais estreita (1,5-5 escamas; x¯
= 2,9; SD = 0,79; n = 48) e a décima quinta após a cabeça a mais larga (2-7 escamas; x¯ = 3,6;
SD = 0,75; n = 71). Os interespaços claros entre as bandas escuras variam entre 0,5-2,5
escamas (x¯ = 0,8; SD = 0,43; n = 306 interespaços). Aqueles anteriores à última banda e à
quinta anterior à cloaca são os menores, entre 0,5-1 escama de largura (x¯ = 0,5; SD = 0,1; n =
48; e x¯ = 0,5; SD = 0,09; n = 49, respectivamente). Aquele posterior à primeira banda e aquele
anteior à quinta banda são os mais largos, entre 0,5-2,5 escamas (x¯ = 1,17; SD = 0,49; n = 67;
e x¯ = 0,96; SD = 0,46; n = 71). O ventre dos filhotes na maioria das vezes tem coloração
creme como nos adultos n = 66; 85 %). Pode também apresentar marcas escuras que adentram
mais o ventre (n = 9; 11 %), ou até possuir as ventrais completamente escuras ao longo de
todo o corpo (n = 1; 1,5 %) ou apenas na metade posterior (n = 2; 2,5 %). As subcaudais
possuem o mesmo padrão apresentado pelos adultos (cor creme, com margens laterais
escurecidas) (n = 73; 93,5 %), embora em alguns espécimes estas escamas sejam
completamente escuras (n = 5; 6,5 %). A cabeça dos juvenis também apresenta internasais
claras, pré-frontais claras com margem posterior escurecida; frontal e supraoculares tendem a
32
ser escurecidas e com margem anterior clara. Faixa branca na região parietal pode estar
presente imaculada (n = 19; 26,1 %), maculada (n = 5; 6,8 %), ou estar ausente (n = 49; 67,1
%) (Fig. 13).
FIGURA 14. Coloração em vida de alguns espécimes adultos de Drymoluber dichrous (Peters, 1863). A) Barra
do Choça, Bahia, Brasil. Foto: Marco Antônio de Freitas; B) Reserva Extrativista Riozinho da Liberdade,
Tarauacá, Acre, Brasil. Foto: Paulo Sérgio Bernarde; C) Reserva Ducke, Manaus, Amazonas, Brasil. Foto:
Rafael de Fraga; D) Nouragues Station, Guiana Francesa. Foto: Maël Dewynter; E) Parque Estadual Guajará-
Mirim, Rondônia, Brasil. Foto: Laurie J. Vitt; F) Marabá, Pará, Brasil. Foto: Pedro Peloso.
33
Assim como nos adultos, a região gular dos juvenis geralmente é clara (n = 48; 61,5 %),
mas pode apresentar manchas nas infralabiais e mentonianas (n = 30; 38,5 %). As supralabiais
apresentam manchas escuras nas margens laterais bem distintas (n = 51; 65,4 %). Podem,
contudo, serem mais sutis, como nos adultos (n = 8; 10,25 %), ou mesmo bem pouco
conspícuas (n = 19; 24,35 %).
Coloração dos juvenis em vida: Em vida, as regiões de cor clara tendem a possuir
tonalidades de branco, creme, marrom-claro e alaranjado. as regiões mais escuras variam
entre as cores marrom, marrom-alaranjado ou avermelhado e marrom-acinzentado (Fig. 15).
FIGURA 15. Coloração em vida de alguns espécimes jovens de Drymoluber dichrous (Peters, 1863). A)
Reserva Ducke, Manaus, Amazonas, Brasil. Foto: Rafael de Fraga; B) Reserva Ducke, Manaus, Amazonas,
Brasil. Foto: William Quatman: C) Barra do Choça, Bahia, Brasil. Foto: Marco Antônio de Freitas; D) Ubajara,
Ceará, Brasil. Foto: Daniel Loebmann.
Morfologia do Hemipênis (N = 17) (Fig. 16): Hemipênis simples, subcilíndrico, não
capitado. Sulco espermático simples e centrolinear. Lobo com cerca de metade do
comprimento do hemipênis, com cálices papilados (papilas triangulares, cerca de cinco a 10
34
por cálice). Os cálices são gradualmente substituídos da região distal para a proximal por
franjas espiculadas e espinhos. Corpo coberto por espinhos dispostos em fileiras mais ou
menos transversais (cerca de 60 a 70 espinhos totais). Paredes do sulco espermático
ornamentadas, ao menos na região lobular, por papilas denteadas (eventualmente em pequeno
número), e algumas espículas. O sulco é margeado de cada lado por uma fileira longitudinal
de espinhos mais ou menos definida, com 6-10 espinhos (x¯ = 7; SD = 1,22) que tendem a
aumentar de tamanho em direção à região proximal. Pode ocorrer dos espinhos à esquerda do
sulco aumentarem de tamanho até a metade da fileira, e depois diminuírem. Presença de um
gancho no final de cada uma das fileiras que margeiam o sulco. Tanto o gancho esquerdo (n =
11) quanto o direito (n = 2) podem ser mais proximais, ou ambos podem atingir a mesma
altura em relação à base do hemipênis (n = 4). Entre o gancho esquerdo e a parede do sulco
espermático pode haver entre três e quatro espinhos pequenos (n = 7), espículas (n = 2), ou
nenhum tipo de ornamentação (n = 8).
FIGURA 16. Hemipênis de Drymoluber dichrous (FMNH 40206, La Pampa, Madre de Dios, Peru). A) Face
sulcada; B) Face assulcada. Barra = 1 cm. Fotos: Henrique C. Costa.
35
Pode haver um (n = 10) ou dois (n = 2) espinhos laterais à esquerda do sulco, maiores
que os ganchos, ou então um espinho maior à esquerda e outro à direita (n = 2). Em alguns
casos (n = 3), nenhum espinho lateral atinge propoões maiores que os ganchos. A face
assulcada do hemipênis é formada por espinhos dispostos em cerca de cinco a sete fileiras
mais ou menos transversais (contadas da base para o ápice), sendo que os espinhos das fileiras
medianas são maiores que os demais. A base do hemipênis é lisa, com algumas estrias e
diversas espículas esparsas.
Variação: Maior macho com CRC 1050 mm, CC 340+N mm (MPEG 17235); maior
fêmea com CRC 801 mm, CC 89+N mm (IBSP 2198). Setenta e sete espécimes analisados
(26,5 %) apresentavam cauda mutilada. A cauda de 54 destes exemplares (18,5 % do total
analisado) estava cicatrizada, indicando que a quebra o teria ocorrido durante a coleta ou
preservação, sendo um indício da presença de pseudoautotomia na espécie, comportamento
defensivo registrado em outros Colubridae neotropicais (sensu Zaher et al. 2009), como
Dendrophidion, Drymobius, Drymoluber, Mastigodryas e Scaphiodontophis (Mendelson III
1992; Slowinski & Savage 1995; Prudente et al. 2007; Leite et al. 2009). A cauda dos
exemplares não mutilados representa 25,96–48,40 % do CRC em machos (x¯ = 40,62 %; SD =
3,18; n = 122) e 35,41–65,26 % em fêmeas (x¯ = 41,06 %; SD = 3,75; n = 89); 157–173
ventrais em machos (x¯ = 165; SD = 3,35; n = 172) e 160–180 em fêmeas (x¯ = 172; SD = 3,72;
n = 114); 87–110 subcaudais em machos (x¯ = 97; SD = 4,20; n = 122) e 86–109 em fêmeas
(x¯ = 98; SD = 4,79; n = 89); 15-15-15 (99,3 %; n = 289), 15-15-17 (0,035 %; n = 1) ou 15-15-
13 (0,035 %; n = 1) fileiras de escamas dorsais; apenas um exemplar apresentou escama
cloacal dividida; 7 (n = 2 lados), 8 (n = 540 lados) ou 9 (n = 37 lados) supralabiais; 3ª e 4ª (n
= 1 lado), 3ª, 4ª e 5ª (n = 454 lados), 3ª, 4ª,e 6ª (n = 2 lados), 4ª e 5ª (n = 88 lados) ou 4ª,
e 6ª (n = 34 lados) supralabiais em contato com a órbita ocular; 8 (n = 84 lados), 9 (n = 489
lados) ou 10 (sete lados) infralabiais, sempre o primeiro par em contato atrás da sinfisial; a
(n = 334 lados), a 5ª (n = 244 lados) ou 1ª a (n = 2 lados) infralabiais em contato com
o primeiro par de mentonianas; 4ª a (n = 12 lados), 4ª a 6ª (n = 322 lados), 5ª a 6ª (n = 240
lados), a (n = 4 lados) ou 6ª a 7ª (n = 2 lados) infralabiais em contato com o segundo par
de mentonianas; 5ª a 8ª (n = 4 lados), 5ª a 9 (n = 7 lados), a 8ª (n = 75 lados), 6ª a 9ª (n =
485 lados), a 1(n = 2 lados) ou a 10ª (n = 6 lados) infralabiais em contato com as
gulares; 0 (n = 12), 1 (n = 277) ou 2 (n = 2) pré-ventrais; loreal mais larga que alta (n = 193),
tão larga quanto alta (n = 92) ou mais alta que larga (n = 5); 1 (n = 572 lados) ou 2 (n = 10
lados) p-oculares; 1 (n = 1), 2 (n = 551 lados) ou 3 (n = 28 lados) pós-oculares; a fórmula
temporal pode ser 1+1 (1 lado), 1+1/1 (n = 38 lados), 1/1+1 (n = 2 lados), 1/1+1/1 (n = 480
36
lados), 1/1+1/2 (n = 7 lados), 1/1+2/1 (n = 8 lados), 1/1+2/2 (n = 1 lado), 1/2+1/1 (n = 20
lados), 2/1+1/1 (n = 14 lados), 2/1+1/2 (n = 1 lado) ou 2/2+1/1 (n = 4 lados); 19–26 dentes
maxilares (x¯ = 23; SD = 1,21).
Distribuição geográfica: Drymoluber dichrous possui ampla distribuição geográfica,
ocorrendo na região oriental da Cordilheira dos Andes (Peru e Equador), na Amazônia e
escudo das Guianas (Bolívia, Peru, Equador, Colômbia, Venezuela, Brasil, Guiana, Suriname
e Guiana Francesa), Mata Atlântica brasileira e áreas de transição deste bioma com a Caatinga
(brejos nordestinos) e o Cerrado (Fig. 12).
O limite norte de distribuição da espécie encontrado no presente estudo foi Plantation
Ma Retraite, Commewijne, Suriname (AMNH 130505) a 5º44’ N, 54º52’ W. Contudo, o
Museu de La Estación Biológica de Rancho Grande, na Venezuela, possui um espécime em
sua coleção (EBRG 127), não examinado, proveniente de Río Grande, Estación Florestal Río
Grande, El Palmar, Padre Pedro Chien, Bolívar, Venezuela, cujas coordenadas o 8º00’ N,
61º54W (Francisco Bisbal, com. pess.), o que tornaria este o limite norte conhecido para a
distribuão de Drymoluber dichrous. A parte setentrional da cordilheira dos Andes na
Colômbia e os Llanos venezuelanos talvez representem barreiras naturais à expansão de D.
dichrous mais ao norte.
Riobamba, Chimborazo, Equador (1º40S, 78º37’ W) é a localidade mais ocidental a
possuir um exemplar de D. dichrous examinado neste estudo (AMNH 23248). Porém, Peracca
(1897) cita um indivíduo proveniente de San José Cuchipamba, localidade que, segundo
Torres-Carvajal (2001), localiza-se a 3º01 S, 78º45’ W. Este seria, portanto, o extremo
ocidental da distribuição conhecida para D. dichrous, possivelmente limitada pelos Andes.
Em contrapartida, o extremo leste de sua área de ocorrência parece ser a Área de Preservação
Permanente Mata do Buraquinho, João Pessoa, Paraíba, Brasil (7º09’ S, 34º52’ W; Santana et
al. 2008).
O ponto mais meridional conhecido para a distribuição de D. dichrous parece ser o
município de Campos dos Goytacazes, Rio de Janeiro, Brasil (21º84’ S, 41º67W), com base
em uma fotografia de um exemplar jovem, de autoria de Carlos Henrique O. Nogueira,
enviada ao autor sênior.
A mudança do clima e dos ecossistemas tropicais para subtropicais a partir do Trópico
de Capricórnio (23º27S) parece ser um fator decisivo no limite da distribuição austral de
diversos répteis, entre eles Drymoluber (Bérnils et al. 2007). Devido a isto, D. dichrous
aparentemente não habita as florestas subtropicais da América do Sul.
37
O gradiente altitudinal ao longo do qual D. dichrous se distribui é extremamente amplo,
variando desde regiões ao nível do mar até cerca de 3.500 metros.
Drymoluber dichrous se apresenta como uma espécie de distribuição ampla e disjunta,
ocorrendo na Amazônia e Mata Atlântica, além de áreas de transição deste bioma com o
Cerrado. Lachesis muta (Linnaeus, 1766) e Epicrates cenchria (Linnaeus, 1758) representam
casos semelhantes de serpentes que recentemente tiveram seu status taxonômico revisto e se
mantêm como espécies com distribuão disjunta na Amazônia e Mata Atlântica (Fernades et
al. 2004; Passos & Fernandes 2008). Talvez a ausência de caracteres morfológicos que
diferenciem o grupo amazônico do grupo atlântico em D. dichrous possa ter uma explicação
semelhante aos casos de L. muta e E. cenchria.
É provável que as populações de D. dichrous da Amazônia e Mata Atlântica tenham
mantido fluxo genético até o Pleistoceno, quando estas duas regiões florestais encontravam-se
unidas, em áreas hoje ocupadas pela Caatinga (Costa 2003). Os brejos de altitude do nordeste
do Brasil, manchas de floresta atlântica inseridas na Caatinga, constituem hoje relictos desses
hisricos de expansões e retrações da vegetação florestal naquela região (Vanzolini 1981;
Rodrigues 1990). Também é possível que a conexão entre Amania e Mata Atlântica tenha
se dado pelo Brasil central, uma vez que há registros paleobotânicos de expansões e retrações
florestais nesta área entre trinta e quatro mil anos atrás (Ledru 1993; Costa 2003). Esta foi,
por exemplo, a provel ponte que manteve o fluxo genético entre populações de Lachesis
muta amazônicas e atlânticas, uma vez que análises filogenéticas demonstram que indivíduos
do estado do Mato Grosso, Brasil, estão mais relacionados àqueles da Mata Atlântica que do
restante da Amazônia (Zamudio & Greene 1997; Fernandes et al. 2004).
Embora não se tenha uma conclusão sobre qual foi a ponte entre a Amazônia e a Mata
Atlântica que manteve o fluxo gênico em D. dichrous no passado, a existência desta conexão
florestal foi o motivo mais provável para a não-especiação deste táxon que hoje apresenta
uma distribuição disjunta.
História natural: Ao longo de sua área de ocorrência, D. dichrous ocupa
principalmente florestas, havendo ainda registros em savanas naturais e ambientes com
relativo grau de antropização (Cunha & Nascimento 1978; Martins & Oliveira 1998; Argôlo
2004; França et al. 2006). Tem atividade diurna, forrageia no solo e repousa sobre a
vegetação à noite (Cunha & Nascimento 1978; Martins & Oliveira 1998). Sua dieta parece ser
composta principalmente de anfíbios e lagartos (incluindo ovos). Os xons conhecidos como
presas de D. dichrous são os anuros Adelophryne maranguapensis, Alobates aff.
marchesianus, Anomaloglossus (= Colostethus) sp., Ischnocnema cf. ramagii, Leptodactylus
38
sp. e Physalaemus gr. cuvieri, os lagartos Ameiva ameiva, Anolis sp., Arthrosaura sp.,
Arthrosaura reticulata, Cercosaura eigenmanni, Cercosaura ocellata, Coleodactylus
meridionalis, Colobosauroides cearensis, Gonatodes hasemani, Gonatodes humeralis, Iphisa
elegans, Kentropyx calcarata, Leposoma percarinatum, Leposoma baturitensis, Neusticurus
ecpleopus e Placosoma sp., e as serpentes Oxybelis e Thamnodynastes hypoconia, além de
coespecíficos (Cunha & Nascimento 1978; Duellman 1978; Dixon & Soini 1986; Ávila-Pires
1995; Martins & Oliveira 1998; Vitt et al. 2000; Borges-Nojosa & Lima 2001; Pinto 2006;
Bernarde & Abe 2010). Durante o presente estudo, foram encontrados três recém-nascidos de
marsupial (Didelphimorfia) no estômago de um exemplar que se encontrava dissecado
(MPEG 2670, macho, 920 mm CRC), além de restos de um Amphisbaenia, constituindo
novos registros na dieta de D. dichrous.
As informações sobre reprodução de D. dichrous são escassas e restritas a espécimes
amazônicos. Drymoluber dichrous é ovípara e há relatos de dois a seis ovos por ninhada
(Fitch 1970; Martins & Oliveira 1998). Quatro fêmeas examinadas neste estudo (MPEG
10832, MPEG 16551, MPEG 19007 e MPEG 20330) estavam dissecadas, sendo que as três
primeiras possuíam cada uma quatro ovos, e a última tinha cinco. Estas informações, somadas
aos dados de literatura indicam uma média de quatro ovos por ninhada. A estação reprodutiva
na Amazônia parece ser prolongada, ao longo de todo o ano, de acordo com dados de Fitch
(1970) e Martins & Oliveira (1998).
Drymoluber dichrous possui diversos comportamentos defensivos. Quando manuseada,
gira o corpo, vibra a cauda e morde ocasionalmente (Martins & Oliveira 1998). Martins et al.
(2008) observaram três tipos de comportamentos defensivos direcionados a predadores
visualmente orientados: paralização (o animal fica estático, tornando-se críptico), elevação da
cabeça, e formação de “S” com o pescoço. Brodie III & Brodie Jr. (2004) sugerem que os
juvenis podem ser mímicos de Micrurus (Elapidae). É possível ainda que sejam mímicos de
milípedes (“piolhos-de-cobra”), invertebrados com toxinas sugeridos como possíveis
modelos de alguns répteis de corpo alongado, incluindo serpentes com coloração formada por
bandas ou anéis de cores com grande contraste (Vitt 1992; Marques & Sazima 2004).
Como apresentado anteriormente, a longa cauda de D. dichrous (x¯ = 40,6 % do CRC em
machos e 41,06 % em fêmeas), com taxa de mutilação de 18,5 % (considerando apenas os
casos em que esta ocorreu certamente antes da coleta), é indício do comportamento defensivo
de pseudoautotomia (Slowinski & Savage 1995). Esta estratégia pode ser a explicação da
presença de uma longa cauda em uma espécie primariamente terrícola. Concluo semelhante
39
é apresentada por Martins & Oliveira (1998) sobre a cauda de Dendrophidion dendrophis,
que, apesar do nome, não é arborícola.
A presença de dimorfismo sexual em D. dichrous, com machos maiores que fêmeas,
havia sido observada por Fitch (1981). Sua amostra, contudo, era pequena, de apenas 11
machos (x¯ = 1041 mm) e 13 fêmeas (x¯ = 695 mm). Baseado nos dados de Fitch (1981), o grau
de dimorfismo sexual no tamanho (razão do CRC médio do maior sexo pelo CRC médio do
menor sexo, subtraída por 1) de D. dichrous era de -0,50 (o símbolo negativo é arbitrário,
apenas para designar que os machos são maiores), um valor incomum dentro dos colubrídeos
(Shine 1994; Cox et al. 2007). Embora o presente estudo também indique que os machos de
D. dichrous têm maior comprimento rostro-cloacal que as fêmeas (x¯ = 699 mm versus 608
mm), o grau de dimorfismo sexual no tamanho aqui encontrado foi de apenas -0,15. O maior
tamanho dos machos pode ser um indício do comportamento de combate ritual, onde os
indivíduos maiores seriam favorecidos (Shine 1994). Tal comportamento, embora mais
comum nas serpentes da família Elapidae, e principalmente Viperidae (Shine 1994), também
foi registrado para alguns Colubridae neotropicais, como Chironius bicarinatus, Drymarchon
corais, Mastigodryas bifossatus e Spilotes pullatus (Almeida-Santos & Marques 2002;
Marques & Muriel 2007; Pizzatto et al. 2007). Outra alternativa seria a de que os machos
maiores têm mais chances de dominar e forçar a cópula com fêmeas (Shine & Mason 2005).
A cauda mais longa dos machos de D. dichrous (x¯ = 277 mm) em relação às fêmeas (x¯
= 253 mm) é um caráter comum em serpentes. Machos geralmente têm a cauda maior devido
ao alojamento interno dos heminis em sua base, e às vezes por questões adaptativas, onde a
cauda é usada no afastamento de outros machos em agregações reprodutivas ou na retenção
da fêmea durante a cópula (Shine et al. 1999; Pizzatto et al. 2007).
Etimologia: Peters (1863) não informa os motivos que o levaram a dar o nome
específico dichroa (atualmente dichrous) à espécie por ele descrita. Contudo, uma vez que
dichroa e dichrous significam “duas cores” em grego, podemos supor que o nome seria uma
alusão ao contraste da coloração dos espécimes adultos, cujo dorso é escuro e o ventre é claro.
Drymoluber brazili (Gomes, 1918)
Drymobius brazili Gomes, 1918. Memórias do Instituto Butantan, 1, p. 81. Holótipo: IBSP
696.
Drymobius rubriceps Amaral, 1923. Proceedings of the New England Zoological Club, 8, p.
85. Holótipo: IBSP 1844.
Drymobius boddaerti (partim.) – Amaral 1929. Memórias do Instituto Butantan, 4, p. 11.
40
Drymoluber brazili Stuart 1932. Occasional Papers of the Museum of Zoology, University
of Michigan, 236, p. 4.
Holótipo: Instituto Butantan, São Paulo, IBSP 696, macho adulto, CRC 1090 mm, CC
473 mm, coletado em setembro de 1914, na Estação Ferroviária de Engenheiro Lisboa (hoje
desativada), próximo a Uberaba, Minas Gerais, Brasil. Exemplar examinado pessoalmente.
Parátipos: Instituto Butantan, São Paulo, IBSP 383, macho adulto, CRC 863 mm, CC
394 mm, coletado em fevereiro de 1913, na Estação Ferroviária Santa Eudóxia (hoje
desativada), São Carlos, São Paulo, Brasil; IBSP 573, fêmea adulta, CRC 854 mm, CC 422
mm, coletado em fevereiro de 1914, na Estação Ferroviária de Sampaio Vidal (hoje
desativada), Ribeirão Bonito, São Paulo, Brasil; IBSP 574, macho adulto, CRC 862 mm, CC
268+N mm (cauda mutilada), sem procedência; IBSP 741, macho adulto, CRC 1120 mm, CC
162+N mm (cauda mutilada), coletado em dezembro de 1914, na Estação Ferroviária Java
(hoje desativada), Boa Esperança do Sul, São Paulo, Brasil; IBSP 1286, fêmea adulta, CRC
898 mm, CC 402 mm, coletado em maio de 1917, na Estação Ferroviária Pedregulho (hoje
desativada), Pedregulho, São Paulo, Brasil. Os exemplares foram examinados pessoalmente.
Sobre a localidade tipo: No passado era comum o Instituto Butantan receber serpentes
de diversas localidades do Brasil enviadas por meio de linhas férreas que cruzavam algumas
regiões do país. Desta forma, registros oriundos de ferrovias devem ser tratados com cautela
(e.g. Pereira et al. 2007). No caso específico de D. brazili, a Estação Ferroviária Engenheiro
Lisboa (localidade tipo), situava-se no Km 555 da linha rrea Tronco-Catalão, que partia de
Campinas, São Paulo (22°54S, 47°03’ W), e na época de coleta do holótipo (setembro de
1914) chegava até Ipameri, Goiás (17°43 S, 48°09’) (Giesbrecht 2009; Cavalcanti 2010).
Embora seja então difícil precisar a localidade correta onde o holótipo de D. brazili foi
coletado, acreditamos que tenha de fato sido nas proximdades da linha Tronco-Catalão, uma
vez que a mesma encontra-se em áreas onde existem outros registros confirmados da espécie
(vide mapa na Fig. 12).
Caso semelhante à localidade tipo é observado com relação à procedência dos parátipos,
também oriundos de estações ferroviárias. As estações de Santa Eudóxia, Sampaio Vidal e
Java, faziam parte de uma ampla malha de ferrovias da Companhia Paulista de Estradas de
Ferro, que cruzava diversas localidades do sudeste ao norte e noroeste do estado de São Paulo
(Giesbrecht 2009; Cavalcanti 2010). a Estação Ferroviária Pedregulho situava-se no Km
455 da linha Tronco-Catalão, da qual também fazia parte a citada Estação Ferroviária
Engenheiro Lisboa.
41
Diagnose: Drymoluber brazili distingui-se de D. apurimacensis e D. dichrous pela
presença de 17-17-15 fileiras de escamas dorsais (13-13-13 em D. apurimacensis e 15-15-15
em D. dichrous). Distingui-se de D. apurimacensis também pela presença de duas fossetas
apicais nas escamas dorsais (ausentes naquela espécie). Drymoluber brazili ainda pode ser
diferenciada de D. dichrous e D. apurimacensis pelo número de ventrais e subcaudais: 182
200 ventrais em machos (157–173 em D. dichrous e 158–164 em D. apurimacensis), 185–202
em fêmeas (160–180 em D. dichrous e 166–182 em D. apurimacensis), 109–127 subcaudais
em machos (87–110 em D. dichrous e 84–93 em D. apurimacensis) e 109–126 em fêmeas
(86–109 em D. dichrous e 87–91 em D. apurimacensis).
Jovens de D. brazili possuem bandas escuras com 2-6 escamas de largura (x¯ = 3,6) e
interespaços claros com 0,5-5 escamas de largura (x¯ = 1,6), enquanto em D. apurimacensis
(um único exemplar) as bandas escuras têm 1–2 escamas de largura, e os interespaços claros
têm 2-3 escamas. Jovens de D. dichrous possuem bandas escuras de largura semelhante a D.
brazili (1,5-7 escamas, x¯ = 3,6), porém os interespaços claros são em média mais estreitos
(0,5-2,5 escamas, x¯ = 0,8).
O hemipênis tende a possuir menos cálices que o de D. dichrous e D. apurimacensis, e
franjas espiculadas maiores, além da presença de espinhos na região lobular. As paredes do
sulco espermático são menos ornamentadas. Os espinhos da face assulcada o em geral
menores que os de D. dichrous e D. apurimacensis, em especial os mais basais.
Redescrição do holótipo (Fig. 17): Comprimento rostro-cloacal de 1090 mm e
comprimento caudal de 473 mm; cabeça distinta do corpo, 35,1 mm de comprimento (3,2 %
do CRC), da escama rostral à juão quadrado-mandibular; Maior largura da cabeça de 15,20
mm (43 % do seu comprimento); largura da cabeça na altura das supraoculares de 11,3 mm;
distância internasal de 6,1 mm; órbita ocular de 6,0 mm; distância entre o olho e a narina de
5,9 mm. Fileiras de escamas dorsais em número de 17-17-15, lisas, com duas fossetas apicais;
190 ventrais e uma pré-ventral (sensu Peters 1964); cloacal inteira; cauda intacta, com 117
subcaudais duplas e um espinho terminal; rostral mais larga que alta, visível de cima;
internasais e pré-frontais ligeiramente mais largas que compridas; p-frontais em contato
cada uma com a frontal, supraocular, internasais, nasal posterior, pré-ocular e loreal; frontal
cerca de 1,5 vez mais longa que larga; supraoculares mais longas que largas; parietais cerca
de 1,5 vez mais longas que largas; nasal dividida acima e abaixo da narina, em contato
principalmente com a primeira supralabial, mas também com a segunda; loreal levemente
mais longa que alta (lembrando vagamente um paralelogramo), contatando a segunda e
terceira supralabiais; uma pré-ocular; duas pós-oculares, a superior maior que a inferior; duas
42
temporais anteriores (uma superior e uma inferior) e duas temporais posteriores (uma superior
e outra inferior) (1/1+1/1) de ambos os lados da cabeça; oito supralabiais, a quarta e a quinta
em contato com a órbita ocular; sinfisial triangular, mais larga que longa; nove infralabiais, o
primeiro par em contato atrás da sinfisial; primeira a quinta infralabiais em contato com o
primeiro par de mentonianas; quinta infralabial em contato com o segundo par de
mentonianas; quinta à nona infralabiais em contato com as gulares; primeiro par de
mentonianas com cerca de metade do comprimento do segundo par; 23 dentes maxilares,
aumentando em tamanho da região anterior para a posterior.
Existem algumas pequenas diferenças entre a redescrição do holótipo aqui apresentada
(dados entre parênteses) e a descrição original. Gomes (1918) afirma que o holótipo possui 22
dentes maxilares (23), internasais tão largas quanto compridas (ligeiramente mais largas que
compridas), dez infralabiais (nove), 191 ventrais (190 ventrais e uma pré-ventral), CRC =
1110 mm (1090 mm) e CC = 480 mm (473 mm). A diferença no número de infralabiais
provavelmente pode ser explicada com base na metodologia usada nos dois trabalhos. No
presente estudo, considera-se que a última infralabial não ultrapassa o ponto mais posterior da
última supralabial (Peters 1964) (Fig. 17C), método que aparentemente não foi seguido por
Gomes (1918). Quanto à diferença nas medidas do comprimento rostro-cloacal e
comprimento caudal, esta pode ser devido a um pequeno erro durante a medição original, ou
mesmo uma redução causada pela fixação, ao longo do tempo em que o espécime permaneceu
preservado (Vervust et al. 2009; Guimarães et al. 2010). Tal situação também pode ser
observada nos parátipos de D. brazili.
Coloração do holótipo: Gomes (1918) descreve o holótipo em vida como possuindo
coloração verde olivácea na cabeça e na parte anterior do corpo, passando ao pardo
avermelhado na parte posterior e na cauda. O ventre era branco amarelado, enquanto as
margens laterais das ventrais apresentavam a mesma cor do dorso. Hoje, o holótipo possui
coloração marrom-acinzentada no dorso da cabeça e metade anterior do dorso do corpo,
tornando-se marrom-amarelado na metade posterior e na cauda. Supralabiais, região gular e
ventre possuem uma tonalidade de marrom-amarelado semelhante ou um pouco mais clara
que o dorso.
43
FIGURA 17. Holótipo de Drymoluber brazili (Gomes, 1918) (IBSP 696). A) vista dorsal; B) vista ventral; C)
dorso da cabeça; D) região gular; E) lado direito da cabeça; F) lado esquerdo da cabeça. Fotos: Henrique C.
Costa (A–D, F), Ana Bárbara Barros (E).
Coloração dos adultos preservados: A coloração dorsal da maioria dos espécimes
adultos analisados (n = 49; 77,8 %) é uniforme ao longo do corpo, com tons de cinza-azulado,
marrom-azulado ou marrom-amarelado. Uma menor parte (n = 13; 20,6 %) apresenta o
44
padrão de coloração marrom-acinzentado ou marrom-azulado no dorso na metade anterior do
dorso do corpo, tornando-se marrom-amarelado na metade posterior. Um exemplar (1,6 %)
possuía marcas leves das bandas que formavam o padrão de colorido juvenil. A coloração da
cabeça é uniforme dorsalmente, nos mesmos tons do dorso do corpo, em todos os espécimes.
A região gular é imaculada, com cor creme-amarelada. As supralabiais da maior parte dos
indivíduos adultos apresentam as margens laterais (principalmente das últimas escamas)
escurecidas (n = 59; 93,6 %), mas em alguns espécimes (n = 4; 6,4 %) não há marcas visíveis.
O ventre da maioria dos exemplares analisados (n = 49; 77,8 %) é imaculado, com cor creme-
amarelado e as margens laterais das escamas ventrais na mesma tonalidade das dorsais. Em
um exemplar (1,6 %) a cor dorsal adentra um pouco mais o ventre, e nos demais (n = 13; 20,6
%) o ventre tem cor creme-amarelado com algumas pontuações escuras, e as margens laterais
das escamas ventrais têm a mesma tonalidade das dorsais.
A cauda tem a mesma coloração do dorso na região superior, mas apresenta variações
na cor das subcaudais. Em 24 espécimes (38,1 %) as subcaudais são creme-amareladas,
imaculadas, apenas com as margens laterais na mesma cor das dorsais. Estas margens podem
também ser inconspícuas, da mesma cor do restante das subcaudais (n = 5; 7,9 %). As
subcaudais podem ainda ter mais da metade de sua área escura como as dorsais (n = 1; 1,6 %).
Podem apresentar pontuações negras por toda sua extensão (n = 1; 1,6 %), em alguns casos
em maior quantidade na região posterior (n = 24; 38,1 %), e às vezes deixando a metade final
da cauda completamente escurecida (n = 8; 12,7 %).
Coloração dos adultos em vida: Ao contrário de D. dichrous, poucas o as
informões sobre a coloração de D. brazili em vida. Na literatura, tais informações provêm
principalmente de Gomes (1918), que analisou a série tipo viva. Dois exemplares tinham o
dorso completamente verde oliva, enquanto nos outros três, assim como no holótipo, a parte
posterior do dorso tornava-se marrom-avermelhada. Este mesmo padrão é observado na
ilustração dada por Amaral (1978) de um espécime proveniente de Visconde de Parnaíba, São
Paulo (IBSP 4812) (Fig. 18A). A cor dorsal pode ainda apresentar tons acinzentados (Fig.
18B).
45
FIGURA 18. Coloração em vida de espécimes adultos de Drymoluber brazili (Gomes, 1918). A) Visconde de
Parnaíba, São Paulo, Brasil (Ilustração presente em Amaral [1978]); B) UHE Peixe-Angical, Tocantins, Brasil.
Foto: Pedro Henrique Bernardo.
Coloração dos juvenis preservados: O pado de coloração dos jovens de D. brazili é
similar ao das demais Drymoluber, formado por bandas escuras separadas por interespaços
claros. Apenas dois exemplares (10 %) apresentavam bandas visíveis ao longo de todo o
corpo (MZUSP 9596 e IBSP 29221), em número de 47 e 54, respectivamente. As bandas da
cauda não foram viveis em nenhum espécime analisado. As bandas dorsais variaram entre 2-
6 escamas vertebrais/paravertebrais de largura (x¯ = 3,6; SD = 0,89; n = 62 bandas). A última
banda antes da cloaca é a mais estreita, com duas escamas de largura (n = 2; 10 %), enquanto
a primeira banda dorsal é a mais larga, entre 2-6 escamas (x¯ = 4; SD = 0,95; n = 20; 100 %).
Os interespaços claros entre as bandas escuras variam entre 0,5-5 escamas (x¯ = 1,6; SD =
0,97; n = 62 interespaços). O anterior à quinta banda antes da cloaca é o menor, com 0,5 ou
1,5 escama de largura (n = 2; 10 %). O interespaço posterior à primeira banda é o maior, entre
1-5 escamas de largura (x¯ = 2,32; SD = 0,90; n = 20; 100 %). O ventre dos filhotes é sempre
creme-amarelado e imaculado, com as margens laterais das ventrais da mesma cor das
dorsais. As subcaudais têm cor creme, com margens laterais escurecidas (n = 9; 45 %) ou não
(n = 6; 30 %). Podem ainda possuir as margens laterais claras, porém com as margens
posteriores escuras (n = 5; 25 %). A cabeça dos juvenis segue o padrão comum ao nero,
com internasais claras, pré-frontais claras com margem posterior escurecida, enquanto a
frontal e as supraoculares tendem a ser escurecidas e com margem anterior clara. Pode haver
formação da faixa clara na região parietal (n = 9; 45 %), em alguns casos maculada (n = 4; 20
%). Nos demais exemplares, as parietais são escuras (n = 7; 35 %) (Fig. 11). De forma
46
semelhante às congêneres, à medida que o espécime cresce, as tonalidades mais claras da
cabeça vão escurecendo, a tornarem-se indistinguíveis das partes originalmente escuras.
Assim como nos adultos, a região gular é clara e imaculada nos jovens. As supralabiais
apresentam manchas escuras sutis nas margens laterais.
Coloração dos juvenis em vida: Em vida, as regiões de cor clara tendem a possuir
tonalidades de branco, creme e marrom-claro, exceto na cabeça e pescoço, onde predomina o
vermelho-alaranjado. As regiões mais escuras (incluindo as bandas) variam entre tons de
marrom, verde oliva e cinza-escuro (Fig. 19; Amaral 1923).
Aparentemente, apenas D. brazili apresenta esta coloração avermelhada na cabeça,
distoante do restante do corpo. Porém, uma vez que em exemplares fixados tais cores tendem
a se tornar brancas, e um pequeno número de fotografias e informações sobre coloração de
juvenis vivos de Drymoluber, é difícil considerar tal característica como diagnóstica desta
espécie neste momento.
FIGURA 19. Coloração em vida de espécimes jovens de Drymoluber brazili (Gomes, 1918). A) Parque
Nacional das Emas, Goiás, Brasil (IBSP 62682). Foto: Paula H. Valdujo; B) Procedência desconhecida. Foto:
Eduardo Santos.
Morfologia do hemipênis (N = 6) (Fig. 20): Hemipênis simples, subcilíndrico, não
capitado. Sulco espermático simples e centrolinear. Lobo com cerca de metade do
comprimento do hemipênis, com cálices papilados (cerca de cinco a 10 papilas por cálice), em
sua maioria profundos, e espinhos ao menos ao lado do sulco. Os cálices são gradualmente
substituídos da região distal para a proximal por franjas espiculadas e espinhos. O corpo do
hemipênis é coberto por espinhos dispostos em fileiras mais ou menos transversais (cerca de
60 ou mais espinhos totais). As paredes do sulco espermático são pouco ornamentadas,
geralmente com poucas papilas e espículas. O sulco é margeado de cada lado por uma fileira
47
longitudinal de espinhos mais ou menos definida, com 8-13 espinhos (x¯ = 8; SD = 1,97). Os
espinhos do lado direito tendem a aumentar de tamanho em direção à região proximal,
enquanto os do lado esquerdo aumentam de tamanho até a metade da fileira, e depois
diminuem (n = 4). Nos demais exemplares (n = 2), espinhos de ambos os lados aumentam de
tamanho em direção à região proximal do hemipênis. Presença de um gancho no final de cada
uma das fileiras que margeiam o sulco, sendo o gancho esquerdo sempre aquele mais próximo
da base do órgão. Entre o gancho esquerdo e a parede do sulco espermático pode haver entre
três e quatro espinhos pequenos (n = 2), espículas (n = 2), ou nenhum tipo de ornamentação (n
= 2). Pode haver um (n = 2) ou dois (n = 3) espinhos laterais maiores que os ganchos, à
esquerda do sulco, ou até dois espinhos laterais maiores que os ganchos de ambos os lados do
hemipênis (n = 1). A face assulcada do hemipênis é formada por espinhos dispostos em cerca
de seis a sete fileiras mais ou menos transversais (contadas da base para o ápice), sendo que
os espinhos das fileiras medianas são maiores que os demais, e os da base são menores que os
do ápice. Em dois exemplares (MCNR 1736 e UFMT 6970), estes espinhos são bem
pequenos. A base do hemipênis é lisa, com algumas estrias e diversas espículas esparsas.
FIGURA 20. Heminis de Drymoluber brazili. IBSP 33668, Goiânia, Goiás, Brasil, face sulcada (A) e
assulcada (B). Escala = 1 cm. Fotos: Henrique C. Costa.
48
Variação: Maior macho com CRC 1178 mm, CC 410+N mm (IBSP 34369); maior
fêmea com CRC 1035 mm, CC 400+N mm (IBSP 17019). Vinte e oito espécimes analisados
(33,7 %) apresentavam cauda mutilada. A cauda de 24 destes exemplares (28,9 % do total
analisado) estava cicatrizada, indicando que a quebra o teria ocorrido durante a coleta ou
preservação, sendo um indício da presença de pseudoautotomia na espécie. A cauda dos
exemplares não mutilados representa 38,07–62,69 % do CRC em machos (x¯ = 44,23 %; SD =
4,23; n = 29) e 41,11–56,02 % (x¯ = 45,70 %; SD = 3,5; n = 26) em fêmeas; 182–200 ventrais
em machos (x¯ = 189; SD = 3,61; n = 46) e 185–202 em fêmeas (x¯ = 193; SD = 3,68; n = 37);
109–127 subcaudais em machos (x¯ = 118; SD = 4,37; n = 29) e 109–126 em fêmeas (x¯ = 119;
SD = 4,45; n = 26); escama cloacal dividida em apenas um exemplar (IBSP 1286, parátipo); 7
(n = 3 lados), 8 (n = 143 lados) ou 9 (n = 18 lados) supralabiais; 3ª, e 5ª (n = 1 lado),e
(n = 152 lados), 4ª, 5ª e 6ª (n = 2 lados) oue 6ª (n = 9) supralabiais em contato com a órbita
ocular; 8 (n = 8 lados), 9 (n = 144 lados) ou 10 (11 lados) infralabiais, sempre o primeiro par
em contato atrás da sinfisial; 1ª a 3ª (n = 1 lado), 1ª a (n = 21 lados), 1ª a 5ª (n = 140 lados)
oua 6ª (n = 2 lados) infralabiais em contato com o primeiro par de mentonianas; 3ª (n = 1),
(n = 1), 4ª e 5ª (n = 20 lados), (n = 134 lados) ou e (n = 8 lados) infralabiais em
contato com o segundo par de mentonianas; 3ª a 8ª (n = 1 lado), 4ª a 8ª (n = 1 lado), 5ª a 8ª (n
= 4 lados), 5ª a 9ª (n = 143 lados),a 10 (n = 6 lados),a 9ª (n = 4 lados) ou 6ª a 1(n = 4
lados) infralabiais em contato com as gulares; 1 (n = 74), 2 (n = 8) ou 3 (n = 1) pré-ventrais;
loreal sempre mais larga que alta; 1 pré-ocular; 2 (n = 159 lados) ou 3 (n = 5 lados) pós-
oculares; a fórmula temporal pode ser 1+1/1 (n = 9 lados), 1+2/3 (n = 1 lado), 1/1+1 (n = 1
lado), 1/1+1/1 (n = 90 lados), 1/1+1/2 (n = 8 lados), 1/1+2/1 (n = 10 lados), 1/1+2/2 (n = 1
lado), 1/1+3/1 (n = 1 lado), 1/2+1/1 (n = 19 lados), 1/2+1/2 (n = 5 lados), 1/2+2/1 (n = 5
lados), 1/2+2/1/2 (n = 1 lado), 1/2+3/1 (n = 1 lado), 1/2+4/1 (n = 1 lado), 2/1+1/1 (n = 5
lados), 2/1+1/2 (n = 3 lados), 2/2+2/2 (n = 1 lado), 2/2+4/2 (n = 1 lado), 2/3+1/2 (n = 1 lado);
19–25 dentes maxilares (x¯ = 23; SD = 1,05).
Distribuição geográfica: Drymoluber brazili se distribui principalmente no Cerrado
brasileiro, com registros adicionais na Caatinga, Mata Atlântica e áreas de transição deste
bioma com o Cerrado (Fig. 12). França et al. (2006) registram a espécie para Vilhena,
Rondônia, Brasil (12º44’ S, 60º09’ W), em área de savana amazônica. Porém, o espécime
analisado (CHUNB 12791) é na verdade uma Drymoluber dichrous. O erro de identificação
provavelmente se deve ao mau estado de conservação do exemplar, aparentemente atropelado,
dificultando as contagens de escamas. Portanto, não há dados atuais que informem a presença
de D. brazili na região Amazônica.
49
Os registros de D. brazili na Mata Atlântica, para os municípios de Colatina (19º32S,
40º37W) e Baixo Guandú (19º31S, 41º01W) no Espírito Santo, e Aimorés (19º30S,
41º03 W) em Minas Gerais, podem indicar populações relictuais. Modelagens
computadorizadas da distribuição da Mata Atlântica sob cenários climáticos de seis e 21 mil
anos atrás sugerem que a região ao sul do Rio Doce não possuía áreas esveis de refúgios
florestais, o que teria levado a uma expansão oriental do Cerrado (Carnaval & Moritz 2008).
É possível, portanto, que em algum desses momentos, beneficiada pelo aumento das áreas não
florestais no sudeste do Brasil, D. brazili tenha também expandido sua área de ocorrência.
Embora atualmente inserida no bioma da Mata Atlântica, a região do baixo Rio Doce
apresenta algumas peculiaridades que tornariam possível a sobrevivência de D. brazili. A
região de Colatina, por exemplo, caracteriza-se pela vegetação relativamente seca, com
notável ocorrência de afloramentos rochosos, bem diferente das matas de tabuleiro e de
encostas das regiões pximas (Ribon 1995). Neste tipo de ambiente foi descoberta uma
subespécie de Caprimulgus hirundinaceus (Aves, Caprimulgidae), ave aentão considerada
endêmica da Caatinga (Ribon 1995), o que pode reforçar a hitese aqui apresentada para a
presença de D. brazili no baixo Rio Doce.
Serra do Teixeira, em Teixeira, Paraíba, Brasil (7º12’ S, 37º15’ W) é o registro mais
setentrional e oriental da distribuição de D. brazili. A área está inserida no bioma Caatinga,
que ainda se estende mais a norte e leste, tornando possíveis registros futuros da espécie, que
ampliem os limites de sua abrangência geográfica.
Miranda, Mato Grosso do Sul, Brasil (20º14 S, 56º22’ W) é o limite ocidental
conhecido para D. brazili. Aparentemente, a espécie não ocorre nas planícies do Pantanal e no
Chaco. Há, contudo, possibilidades de novos registros mais ocidentais que o limite aqui
apresentado, em outras áreas de Cerrado no Brasil.
A Reserva Natural del Bosque Mbaracayú, em Canindeyu, Paraguai (24º08’ S, 55º19’
W) é o limite meridional conhecido da distribuição geográfica de D. brazili, e o único local
com registro da espécie fora do Brasil (Cacciali et al. 2005),. Trata-se de uma das áreas
protegidas mais importantes do Paraguai, com ecótonos de Mata Atlântica e Cerrado que
contribuem significativamente para a biodiversidade local (Galindo-Leal & Câmara 2003).
Caso a espécie realmente o habite o Chaco, é improvável sua ocorrência em outras regiões
paraguaias. Mas, uma vez que o Cerrado tem no estado do Paraná, Brasil, o seu limite austral,
coincidindo aproximadamente com o Trópico de Capricórnio (Bérnils et al. 2007), pode ainda
ser possível haver uma nova ampliação na distribuição geogfica de D. brazili em direção ao
50
sul, mesmo que pequena. Para além desta área, tal presença torna-se improvável, uma vez que
o clima subtropical o parece ser favorável à ocorrência de Drymoluber (Bérnils et al. 2007).
História natural: Por se tratar de uma espécie aparentemente rara, poucas são as
informões sobre os hábitos de Drymoluber brazili. Habita áreas abertas ao longo de sua área
de ocorrência (Rodrigues 1996; França & Araújo 2006; França et al. 2008), parecendo não se
adaptar a alterações antrópicas (França & Araújo 2006). Moreira et al. (2009) registraram a
espécie se abrigando em cupinzeiros, comportamento comum em serpentes no Cerrado. Tem
atividade diurna, e indícios de que se trata de uma serpente terrícola (França & Araújo
2006; França et al. 2008). Gomes (1918), contudo, observou um dos exemplares da série tipo
utilizar assiduamente substratos arbóreos em cativeiro. Amaral (1978) e Pavan & Dixo (2004)
citam D. brazili como espécie arborícola, porém sem informar se tal dado é proveniente de
referências anteriores ou observações em campo.
Quanto à dieta, tem-se registro de um lagarto Gymnophthalmidae (França et al. 2008)
como presa de D. brazili. Pavan & Dixo (2004) sugerem anuros como presas preferenciais
desta serpente, provavelmente baseados em alguma referência não citada, uma vez que
coletaram apenas um jovem da espécie. A dieta de D. brazili permanece, portanto, ainda
pouco conhecida, embora seja provável que não difira muito daquela de suas congêneres,
composta principalmente por lagartos Gymnophthalmidae e anfíbios de pequeno porte.
A reprodução de D. brazili também permanece pouco explorada. Aparentemente, as
ninhadas são pequenas, como as de D. dichrous. França & Araújo (2006) indicam menos de
cinco ovos por postura. Um exemplar do analisado no presente estudo (MZUFV 780) possuía
quatro ovos.
Gomes (1918) fez algumas observações sobre o comportamento defensivo de D. brazili
em vida: “Quando tomados nas mãos, os exemplares que examinei não procuravam morder;
se, porém, eram irritados por leves e repetidas pancadas no dorso, armavam o bote numa
atitude semelhante a D. bifossatus e outras espécies dos gêneros próximos (Coluber, Spilotes,
Herpetodryas), agitando ao mesmo tempo rapidamente a cauda.”.
Os indivíduos jovens de D. brazili talvez sejam modelos miméticos de corais-
verdadeiras do nero Micrurus, ou invertebrados miriápodes (ver História Natural de D.
dichrous, acima).
A longa cauda de D. brazili (x¯ = 44,23 % do CRC em machos e 45,70 % em fêmeas),
com taxa de mutilação de 28,9 % (considerando apenas os casos em que esta ocorreu
certamente antes da coleta), é indício do comportamento defensivo de pseudoautotomia
(Slowinski & Savage 1995), à semelhança de D. dichrous.
51
Embora os dados morfométricos analisados não tenham demonstrado a presença de
dimorfismo sexual em relação ao tamanho em D. brazili, os machos examinados atingiram
um CRC dio maior que as fêmeas (x¯ = 870 mm versus x¯ = 856 mm). Embora o grau de
dimorfismo sexual no tamanho seja muito baixo (-0,016), é possível que comportamentos de
combate ritual também ocorram em D. brazili, uma vez que estão presentes em alguns
colubrídeos americanos como Lampropeltis getula e Sonora semiannulata, que possuem grau
de dimorfismo sexual no tamanho de -0,02 e -0,01 (Shine 1994).
Etimologia: O nome específico brazili é uma homenagem a Vital Brazil Mineiro da
Campanha, diretor do Instituto Butantan na época em que Gomes (1918) descreveu a espécie.
Drymoluber apurimacensis Lehr, Carrillo & Hocking, 2004
Drymoluber apurimacensis Lehr, Carrillo & Hocking, 2004. Copeia, 2004, p. 47.
Holótipo: Museu de Historia Natural Universidad Nacional Mayor de San Marcos,
MHNSM 20672, fêmea jovem, CRC 206 mm, CC 73 mm, coletado por P. Hocking em 15 de
janeiro de 2001, em Abancay, Provincia Abancay, Departamento de Apurimác, Peru, a 2.500
metros de altitude (Lehr et al. 2004). Exemplar examinado por fotografias (Fig. 21).
Parátipos: Field Museum of Natural History, FMNH 81542, macho, CRC 460 mm, CC
192 mm, coletado por C. Kalinowski em setembro de 1953, em Hacienda Palmira, Distrito de
Huancarama, Província de Andahuaylas, Departamento de Apurimác, Peru, a 3.300 metros de
altitude (exemplar examinado pessoalmente; Fig. 22A); Museum für Tierkunde, Dresden,
MTKD 44669, mea adulta, CRC 653 mm, CC 253 mm, morta por um agricultor local em
maio de 2002, em Cconoc, Provincia Abancay, Departamento de Apurimác, Peru, 1.925
metros de altitude (Lehr et al. 2004) (exemplar examinado por fotografias; Fig. 22B);
MHNSM 18647, fêmea, CRC 670 mm, CC 274 mm (Lehr et al. 2004; não examinada),
MTKD 45192, macho, CRC 480 mm, CC 165 mm (Lehr et al. 2004; examinado por
fotografias; Fig. 22C), MTKD 45193, fêmea, sem cabeça, CC 216 mm (Lehr et al. 2004;
examinado por fotografias; Fig. 22D), todos coletados por um habitante de Cconoc, Provincia
Abancay, Departamento de Apurimác, Peru, 1.925 metros de altitude (Lehr et al. 2004).
52
FIGURA 21. Holótipo de Drymoluber apurimacensis Lehr, Carrillo & Hocking, 2004 (MHNSM 20672). Foto:
Claudia P. Torres Gastello
FIGURA 22. Quatro dos cinco parátipos de Drymoluber apurimacensis Lehr, Carrillo & Hocking, 2004. A)
FMNH 81542. Foto: Henrique C. Costa; B) MTKD 44669; C) MTKD 45192; D) MTKD 45193. Fotos: Barbara
Bastian.
53
Diagnose: Drymoluber apurimacensis distingui-se de D. brazili e D. dichrous pela
presença de 13-13-13 fileiras de escamas dorsais sem fossetas apicais (17-17-15 em D. brazili
e 15-15-15 em D. dichrous, ambas com duas fossetas apicais em cada escama dorsal).
Drymoluber apurimacensis ainda pode ser diferenciada de D. brazili pelo mero de ventrais
e subcaudais: 158–164 ventrais e 84–93 subcaudais nos machos (182–200 e 109–127 em D.
brazili), 166–182 ventrais e 87–91 subcaudais nos fêmeas (185–202 e 109–126 em D.
brazili), enquanto há certa sobreposição quanto a esses caracteres se comparado à D. dichrous
(157–173 ventrais e 87–110 subcaudais nos machos; 160–180 ventrais e 86–109 subcaudais
nas fêmeas).
O único filhote conhecido de D. apurimacensis apresenta bandas escuras com cerca de
1–2 escamas de largura, e interespaços claros, com 2-3 escamas de largura. Jovens de D.
brazili possuem bandas escuras com 2-6 escamas de largura (x¯ = 3,6) e interespaços claros
com 0,5-5 escamas de largura (x¯ = 1,6). Jovens de D. dichrous possuem bandas escuras com
1,5-7 escamas de largura (x¯ = 3,6) e interespaços claros com 0,5-2,5 escamas de largura (x¯ =
0,8).
O hemipênis aparenta possuir mais cálices que o de D. brazili, e franjas espiculadas
menores, além de não possuir espinhos na região lobular. As paredes do sulco espermático
são mais ornamentadas, ao menos na região lobular, com pequenas papilas denteadas. Os
espinhos da face assulcada, em especial os mais basais, são maiores que os de alguns
exemplares de D. brazili. A morfologia do heminis de D. apurimacensis é semelhante
àquela do de D. dichrous, tornando imprecisa a diferenciação destas espécies por meio deste
caráter.
Em sua descrição da espécie, Lehr et al. (2004) afirmam que D. apurimacensis possui
duas fossetas apicais nas escamas dorsais. Porém, uma nova análise do holótipo e de quatro
parátipos não indicou a presença de fossetas apicais nos espécimes (H. C. Costa obs. pess.; M.
Auer, com. pess.; C. P. Torres Castello, com. pess.). Lehr et al. (2004) sugerem também que
D. apurimacensis possa ser diagnosticada das suas congêneres com base na fórmula temporal
1+2 (citado como 1+1/1 no presente estudo), enquanto D. brazili e D. dichrous apresentariam
fórmula temporal 2+2 (1/1+1/1 no presente estudo). Como discutido, Drymoluber apresenta
amplo polimorfismo na formação das escamas temporais, e a fórmula temporal 1+1/1 também
ocorre em D. dichrous e D. brazili, embora de fato a fórmula 1/1+1/1 seja a mais freqüente
em ambas.
Por fim, Lehr et al. (2004) apontam 14, 15 ou 16 dentes maxilares em D.
apurimacensis, com base em três espécimes (FMNH 81542, MTKD 45192 e MHNSM 20672,
54
respectivamente). Este seria mais um caráter que a diferenciaria de D. dichrous e D. brazili.
Ao analisarmos o exemplar FMNH 81542, contudo, foi contabilizado um total de 23 dentes
na maxila esquerda, e não 14. Desta forma, em D. apurimacensis não poderia ser
diagnosticada de suas congêneres com base no número de dentes maxilares.
Coloração dos adultos preservados: Dos quatro parátipos analisados neste estudo, três
(MTKD 44669, 45192, 45193) possuem o dorso coberto por escamas velhas e de coloração
marrom-oliva. A camada de escamas abaixo, porém, possui cor cinza-azulada clara. As
labiais, região gular e o ventre apresentam-se de cor creme. O ventre, contudo, torna-se cinza-
azulado com algumas manchas creme, a partir do segundo teo do corpo. O ventre da cauda
também possui coloração cinza-azulada com creme. O exemplar FMNH 81542 possui
coloração mais escura. O dorso é cinza-escuro, e o ventre é creme no terço anterior, tornando-
se depois cinza com manchas creme. As supralabiais são creme com margens superiores e
laterais escurecidas (as quatro últimas escamas são quase que completamente escuras), e a
região gular é creme. Nãoinformações sobre coloração de adultos de D. apurimacensis em
vida.
Coloração dos juvenis preservados: O único exemplar com coloração juvenil
conhecido é o holótipo (MHNSM 20672). O dorso é formado por mais de 40 bandas escuras e
relativamente uniformes (cerca de 1–2 escamas de largura), que se tornam menos distintas no
terço final do corpo. Já os interespaços claros são maiores, com 2-3 escamas de largura. A
região gular e o ventre têm cor creme a cinza-claro. As bandas escuras dorsais atingem as
margens laterais das ventrais. A cabeça tem coloração semelhante à daqueles jovens de D.
dichrous e D. brazili onde formação de uma faixa branca atravessando as parietais. As
supralabiais são claras, com margens laterais levemente escurecidas.
Coloração dos juvenis em vida: Em vida, o holótipo possuía o dorso com bandas
escuras de cor negra, e os interespaços de cor marrom. O ventre era cinza claro, e a cabeça
marrom com marcas negras (Lehr et al. 2004).
Morfologia do Hemipênis (N = 1) (Fig. 23): Hemipênis simples, subcilíndrico, não
capitado. Sulco espermático simples e centrolinear. Lobo com pouco menos da metade do
comprimento do hemipênis, com cálices papilados (papilas triangulares, cerca de cinco a 10
por cálice). Os cálices são gradualmente substituídos da região distal para a proximal por
franjas espiculadas e espinhos. Corpo coberto por espinhos dispostos em fileiras mais ou
menos transversais (cerca de 60 a 70 espinhos totais). Paredes do sulco espermático
ornamentadas na região lobular por papilas denteadas e algumas espículas. O sulco é
margeado de cada lado por uma fileira longitudinal de espinhos mais ou menos definida, com
55
cerca de oito espinhos que tendem a aumentar de tamanho em direção à região proximal.
Presença de um gancho no final de cada uma das fileiras que margeiam o sulco, sendo o
direito o mais proximal. Ausência de espinhos ou espículas entre o gancho esquerdo e o sulco
espermático. Dois espinhos laterais maiores que os ganchos à esquerda do sulco. A face
assulcada do hemipênis é formada por espinhos dispostos em cerca sete fileiras mais ou
menos transversais (contadas da base para o ápice), sendo que os espinhos das fileiras
medianas são maiores que os demais. A base do hemipênis é lisa, com algumas estrias e
diversas espículas esparsas.
FIGURA 23. Hemipênis de Drymoluber apurimacensis, FMNH 81542, Hacienda Palmira, Distrito de
Huancarama, Província de Andahuaylas Departamento de Apurimác, Peru. A) face sulcada; B) face assulcada.
Escala = 0,5 cm. Fotos: Henrique C. Costa.
Variação (quando presentes, dados do parátipo MHNSM 18647, fornecidos por Lehr et
al. (2004) foram usados): Maior macho com CRC 643 mm, CC 253 mm (MTKD 44669);
maior fêmea com CRC 670 mm, CC 274 mm (MHNSM 18647; o examinada). A cauda
representa 34,37–41,73 % do CRC em machos (x¯ = 38,49 %; SD = 3,75; n = 3) e 35,43–40,89
(n = 2) em fêmeas; 158–164 ventrais em machos (n = 2) e 166–182 em fêmeas (n = 2). (Lehr
56
et al. (2004) cita 182 ventrais para MTKD 44669, um macho. Este espécime, porém,
encontra-se em mau estado de conservação (Fig. 22B), com pelo menos três regiões onde a
contagem das escamas é prejudicada. Por este motivo, preferiu-se não considerar a contagem
de Lehr et al. (2004) para este indivíduo no presente trabalho); 84–93 subcaudais em machos
(x¯ = 88; SD = 4,58; n = 3) e 87–91 em meas (x¯ = 89; SD = 2,08; n = 3); escama cloacal
inteira; 8 supralabiais, a 4ª e 5ª em contato com a órbita ocular; 7 (n = 2 lados), 8 (n = 4 lados)
ou 9 (2 lados) infralabiais, sempre o primeiro par em contato atrás da sinfisial; a (n = 4
lados) ou a 5ª (n = 2 lados) infralabiais em contato com o primeiro par de mentonianas; 4ª e
5ª (n = 4 lados) ou 5ª (n = 2 lados) infralabiais em contato com o segundo par de mentonianas;
a 7ª (n = 2 lados) ou a 8ª (n = 4 lados) infralabiais em contato com as gulares (não
informação sobre o contato entre infralabiais, mentonianas e gulares para MHNSM 18647,
que apresenta nove infralabiais, segundo Lehr et al. (2004)); 1 (n = 1) ou 2 (n = 2) pré-
ventrais; loreal sempre mais larga que alta; 1 p-ocular e 2 pós-oculares; a fórmula temporal
é 1+1/1 em ambos os lados da cabeça para todos os espécimes.
Distribuição geográfica: Drymoluber apurimacensis é conhecida apenas para três
localidades ao sul dos rios Apuric e Pampas, no Departamento de Apurimác, na ecorregião
de Serranía Esteparia, em áreas caracterizadas pela presença de formões vegetais de
matorral seco e matorral sub-úmido, entre 1.920 e 3.300 metros de altitude (Lehr et al. 2004).
Drymoluber apurimacensis provavelmente é endêmica da região do profundo vale do rio
Apurimac, que parece representar uma significante barreira geográfica para a distribuição
norte-sul de alguns taxa andinos (Lehr et al. 2004). Os anfíbios donero Bryophryne
(Strabomantidae), o pássaro Synallaxis courseni (Furnariidae) e a planta Solanum
anomalostemon (Solanaceae) são exemplos de endemismos da região de Apurimac (Lehr &
Catenazzi 2008; BirdLife International 2009; Knapp & Nee 2009).
História natural: Praticamente nada se sabe sobre sua história natural. O holótipo foi
coletado sob uma pedra ao meio-dia, e o parátipo MTKD 45193 possuía um lagarto
Euspondylus sp. (Gymnophthalmidae) no estômago (Lehr et al. 2004). Ao longo de sua
pequena área de ocorrência, D. apurimacensis é simpátrida com as serpentes Leptotyphlops
sp. (Leptotyphlopidae), Dipsas peruana, Oxyrhopus melanogenys e Tachymenis peruviana
(Dipsadidae) (Lehr et al. 2004).
Etimologia: O nome específico apurimacensis significa “de Apurimác”. Apurimác,
nome da região onde a espécie ocorre, por sua vez significa “o espírito falante da montanha”,
em Quechua, língua indígena nativa dos Andes (Lehr et al. 2004).
57
Chave dicotômica para identificação das espécies de Drymoluber Amaral, 1930
1A. Dezessete fileiras de escamas dorsais no meio do corpo, com redução para quinze fileiras
próximo à cloaca; 182–202 ventrais; 109–127 subcaudais. ........................................ D. brazili
1B. Treze ou quinze fileiras de escamas dorsais no meio do corpo, sem redução porsterior;
157–182 ventrais; 84–110 subcaudais. ..................................................................................... 2
2A. Treze fileiras de escamas dorsais no meio do corpo, sem fossetas apicais; 158–182
ventrais; 84–91 subcaudais. ............................................................................ D. apurimacensis
2B. Quinze fileiras de escamas dorsais no meio do corpo, com duas fossetas apicais; 157–180
ventrais; 86–110 subcaudais. ................................................................................... D. dichrous
Agradecimentos
A realização deste trabalho foi possível graças aos financiamentos da Coordenação
de Aperfeiçoamento de Pessoal de Nível Superior (CAPES) e Smithsonian Institution ao autor
sênior. Somos também imensamente gratos a todas as pessoas que permitiram o acesso e/ou
forneceram dados e fotografias dos espécimes sob seus cuidados: Paulo C. A. Garcia e
Patrícia S. Santos (CHUFMG); Darrel Frost e David Kizirian (AMNH); Guarino R. Colli,
Marcela A. Brasil e Mariana C. M. Viana (CHUNB); Colin McCarthy (BMNH); Stephen P.
Rogers (CMNH); Jacques H. C. Delabie (CZGB); Alan Resetar e Kathleen M. Kelly
(FMNH); Francisco Luís Franco e Valdir JoGermano (IBSP); Maria Rita. S. Pires e Bruna
Imai (LZV-UFOP); Luisa Sarmento e Fabiano Lanschi (MBML); Luciana B. Nascimento
(MCN); Gláucia Maria F. Pontes (MCP); Cesar Aguilar e Claudia P. Torres Gastello
(MHNSM); Pier Cacciali (MNHNP); Ronaldo Fernandes e Marcelo Gomes (MNRJ); Ana
Lúcia C. Prudente, João Fabrício M. Sarmento, Alessandra Travassos e Paula C. R. Almeida
(MPEG); Edgar Lehr, Markus Auer e Barbara Bastian (MTKD); Mark-Oliver Rödel e
Christoph Kucharzewski (MZB); Antônio J. S. Argôlo (MZUESC); Hussam Zaher e Carolina
Mello (MZUSP); Paulo S. Bernarde (UFAC-F); Diva Maria Borges-Nojosa e Daniel C. Lima
(UFC); Marcos André Carvalho (UFMT); Ronald Heyer, Kevin de Queiroz, Roy McDiarmid,
George Zug, Addison Wynn, Kenneth Tighe, Jeremy F. Jacobs e Robert Wilson (USNM).
Giovanna G. Montingelli pelas sugestões, e envio de fotos do holótipo de Spilotes piceus
depositado no ANS. Valdir J. Germano, por ensinar a técnica de preparação dos hemipênis.
Daniel Loebmann, Eduardo Santos, Laurie J. Vitt, Maël Dewynter, Marco Antônio de Freitas,
Paula H. Valdujo, Paulo S. Bernarde, Pedro Henrique Bernardo, Rafael de Fraga e William
58
Quatman, pelas fotografias gentilmente cedidas para ilustrar o trabalho. Ana Bárbara Barros e
Letícia Ruiz Sueiro, pela foto da cabeça do holótipo de D. brazili. Diego F. Cisneros-Heredia
pelas informações sobre coordenadas geogficas de localidades do Equador. Peter Uetz, pelo
envio de cópias das descrições originais de Herpetodryas dichroa, H. occipitalis e Spilotes
piceus. Daniel Burnier e Peter Uetz, pela tradução do texto em alemão da descrição de H.
dichroa. Francisco L. Franco, Jorge Dergam, Renato S. Bérnils e Rômulo Ribon pela leitura
crítica e sugestões feitas. Às muitas pessoas que de alguma forma auxiliaram o autor sênior
em sua viagem aos EUA: Addison Wynn, Alan Resetar, Fabiano Godoy, Família Burger,
Fiona Wilkinson, Jeremy F. Jacobs, Kathleen M. Kelly, Kenneth Tighe, Larry Matheson,
Marcelo J. Sturaro, Márcio M. Morais Jr., Miriam Heyer, Pedro L. V. Peloso, Pedro Nunes,
Robert Wilson, Ronald Heyer e Roy McDiarmid.
Referências
Alexander, A.A. & Gans, C. (1966) The pattern of dermal-vertebral correlation in snakes and
amphisbaenians. Zoologische Mededelingen, 41, 171–190.
Allsteadt, J., Savitzky, A.H., Petersen, C.E. & Naik, D.N. (2006) Geographic variation in the
morphology of Crotalus horridus (Serpentes: Viperidae) Herpetological Monographs,
20, 1–63.
Almeida-Santos, S.M. & Marques, O.A.V. (2002) Male-male ritual combat in the colubrid
snake Chironius bicarinatus from the Atlantic Forest, southeastern Brazil. Amphibia-
Reptilia, 23, 528–533.
Amaral, A. (1923) New genera and species of snakes. Procceedings of the New England
Zoological Club, 8, 85–105.
Amaral, A. (1926) Ophidia from South America in the Carnegie Museum: a critique of Dr.
L.E. Griffin's “Catalog of the Ophidia from South America at present (June, 1916)
contained in the Carnegie Museum.”. Annals of Carnegie Museum, 16, 319–323.
Amaral, A. (1929) Estudos sobre ophidios neótropicos. XVII. Valor sistemático de varias
formas de ophidios neotropicos. Memórias do Instituto Butantan, 4, 3–68.
Amaral, A. (1930) Estudos Sobre Ophidios Neotrópicos. XXII Sobre a espécie Coluber
dichrous (Peters) Boulenger, 1894. Memórias do Instituto Butantan, 4, 333–337.
Amaral, A. (1978) Serpentes do Brasil. Iconografia Colorida. Editora Melhoramentos, São
Paulo, 247 pp.
Argôlo, A.J.S. (2004a) As Serpentes dos cacauais do sudeste da Bahia. Editora da UESC,
Ilhéus, 260 pp.
59
Argôlo, A.J.S. (2004b) Geographic Distribution: Drymoluber brazili. Herpetological Review,
35, 191.
Arnold, S.J. & Peterson, C.R. (2002) A Model for optimal Reaction Norms: The Case of the
Pregnant Garter Snake and Her Temperature-Sensitive Embryos. The American
Naturalist, 160, 306–316.
Ávila-Pires, T.C.S. (1995) Lizards of Brazilian Amazônia (Reptilia: Squamata). Zoologische
Verhandenlingen, 299, 1–706.
Ávila-Pires, T.C.S., Vitt, L.J., Sartorius, S.S. & Zani, P.A. (2009) Squamata (Reptilia) from
four sites in southern Amazonia, with a biogeographic analysis of Amazonian lizards.
Boletim do Museu Paraense Emílio Goeldi, Ciências Naturais, 4, 99–118.
Bartlett, R.D. & Bartlett, P. (2003) Reptiles and Amphibians of the Amazon. University Press
of Florida, Gainesville, 291 pp.
Bernarde, P.S. & Abe, A.S. (2010) Hábitos alimentares de serpentes em Espigão do Oeste,
Rondônia, Brasil. Biota Neotropica, 10, available from
http://www.biotaneotropica.org.br/v10n1/en/abstract?article+bn02510012010.
rnils, R.S., Giraudo, A.R., Carreira, S. & Cechin, S.Z. (2007) Répteis das poões
subtropical e temperada da região neotropical. Ciência & Ambiente, 35, 101–136.
BirdLife International (2009) Species factsheet: Synallaxis courseni. Available from
http://www.birdlife.org (Date o access: 28 April 2010).
Borges-Nojosa, D.M. & Lima, D.C. (2001) Dieta de Drymoluber dichrous (Peters, 1863) dos
Brejos-de-altitude do Estado do Ceará, Brasil (Serpentes, Colubridae). Boletim do
Museu Nacional do Rio de Janeiro, 468, 01–05.
Boulenger, G.A. (1894) Catalogue of the Snakes in the British Museum (Natural History).
Volume II. British Museum of Natural History, London, 382 pp.
Brodie III, E.D. & Brodie Jr., E.D. (2004) Venomous Snake Mimicry. In: Campbell, J.A. &
Lamar, W.W. (Eds). Venomous Reptiles of the Western Hemisphere, Volume II, Cornell
University Press, Ithaca, pp. 617–633.
Cacciali, P., Fernandéz, S. & Ramiréz, F. (2005) Geographic Distribution: Drymoluber
dichrous. Herpetological Review, 36, 339.
Carnaval, A.C. & Moritz, C. (2008) Historical climate modelling predicts patterns of current
biodiversity in the Brazilian Atlantic forest. Journal of Biogeography, 35, 1187–1201.
Cavalcanti, M.J. & Lopes, P.R.D. (1993) Análise morfométrica multivariada de cinco
espécies de Serranidae (Teleostei, Perciformes). Acta Biologica Leopoldensia 15: 53–
64.
60
Cavalcanti, F.R. (2010) Centro-Oeste Brasil: Trens, Ferrovias e Ferreomodelismo. Available
from: http://vfco.brazilia.jor.br/ (Date of access: 18 August 2010).
Cisneros-Heredia, D.F. (2003) Herpetofauna de la Estación de Biodiversidad Tiputini,
Amazonía Ecuatoriana: Ecología de una comunidad taxonómicamente diversa con
comentarios sobre metodologías de inventario. In: De la Torre, S. & Reck, G. (Eds).
Ecología y Ambiente en el Ecuador: Memorias del I Congreso de Ecología y Ambiente,
Ecuador país megadiverso. CD-Rom. Universidad San Francisco de Quito, Quito, pp.
1–21.
Cope, E.D. (1868) An examination of the Reptilia and Batrachia obtained by the Orton
Expedition to Ecuador and the Upper Amazon, with notes on other species. Proceedings
of the Academy of Natural Sciences of Philadelphia, 20, 96–140.
Costa, L.P. (2003) The historical bridge between the Amazon and Atlantic Forest of Brazil: a
study of molecular phylogeography with small mammals. Journal of Biogeography, 30,
71–86.
Cox, R.M., Butler, M.A. & John-Alder, H.B. (2007) The evolution of sexual size dimorphism
in reptiles. In: Fairbairn, D.J., Blanckenhorn, W.U. & Szekely, T. (Eds.). Sex, Size &
Gender Roles: Evolutionary Studies of Sexual Size Dimorphism. Oxford University
Press, Oxford, pp. 38–49.
de Queiroz, K. & Good, D.A. (1997) Phenetic clustering in biology: A critique. The Quarterly
Review of Biology, 72, 3–30.
Dixon, J.R. & Soini, P. (1986) The reptiles of the upper Amazon basin, Iquitos region, Peru,
2
nd
ed. Wisconsin Milwaukee Public Museum, Milwaukee, 154 pp.
Dowling, H.G. & Savage, J.M. (1960) A guide to the snake hemipenis: a survey of basic
structure and systematic chacarteristcs. Zoologica, 45, 17–28.
Duellman, W.E. (1978) The biology of an equatorial herpetofauna in Amazonian Ecuador.
Miscellaneous Publications of the Museum of Natural History, University Kansas, 65,
1–352.
Fernandes, D.S., Franco, F. L. & Fernandes, R. (2004) Systematic revision of the genus
Lachesis Daudin, 1803 (Serpentes, Viperidae). Herpetologica, 60, 245–260.
Fitch, H.S. (1970) Reproductive cycles of lizards and snakes. Miscellaneous Publications of
the Museum of Natural History, University Kansas 52, 1–247.
Fitch, H.S. (1981) Sexual Size Differences in Reptiles. Miscellaneous Publications of the
Museum of Natural History, University Kansas, 70, 1–72.
61
Fox, W. (1948) Effect of temperature on development of scutellation in the garter snake,
Thamnophis elegans atratus. Copeia, 1948, 252–262.
França, F.G.R & Araújo, A.F.B. (2006) The Conservation Status of Snakes in Central Brazil.
South American Journal of Herpetology, 1, 25–36.
França, F.G.R., Mesquita, D.O. & Colli, G.R. (2006) A checklist of snakes from Amazonian
savannas in Brazil, housed in the Coleção Herpetológica da Universidade de Brasília,
with new distribution records. Occasional Papers of the Sam Noble Oklahoma Museum
of Natural History, 17, 1–13.
França, F.G.R., Mesquita, D.O., Nogueira, C.C. & Araújo, A.F.B. (2008) Phylogeny and
ecology determine morphological structure in a snake assemblage in the central
Brazilian Cerrado. Copeia, 2008, 23–38.
Freire, E.M.X. (2000) Geographic Distribution: Drymoluber dichrous. Herpetological
Review, 31, 55.
Freyreiss, G.W. (1907) Viagem ao Interior do Brasil nos annos de 1814-1815 pelo naturalista
G. W. Freyreiss (traduzido pelo Dr. Alberto Löfgren). Revista do Instituto Histórico e
Geográphico do Estado de São Paulo, 11, 158–228.
Galindo-Leal, C. & Câmara, I.G. (2003) The Atlantic Forest of South America: Biodiversity
status, threats, and outlook. Island Press, Washington, 488 pp.
Gardner, S.A. & Mendelson III, J.R. (2004) Taxonomy and Geographic Variation in the Leaf-
Nosed Snake Phyllorhynchus decurtatus (Squamata: Colubridae). Journal of
Herpetology, 38, 187–196.
Gaucher, P., Dewynter, M. & Born, M. (2008) Reptile Checklist of Nouragues area. Centre
National de la Recherche Scientifique. Available from
http://www.nouragues.cnrs.fr/reptile.html (Date o access: 28 April 2010).
Giesbrecht, R.M. (2009) Estações Ferroviárias do Brasil. Available from:
http://www.estacoesferroviarias.com.br/index.html (Date of access: 18 August 2010).
Gomes, J.F. (1918) Contribuição para o conhecimento dos ofídios do Brasil III (1).
Memórias do Instituto Butantan, 1, 57–83.
Guimarães, M.R., Bovo, R.P., Kasperoviczus, K.N. & O.A.V.Marques (2010) Bothrops
insularis (Golden Lancehead). Maximum length. Herpetological Review, 41, 89.
Grazziotin, F.G., Monzel, M., Echeverrigaray, S. & Bonatto, S.L. (2006) Phylogeography of
the Bothrops jararaca complex (Serpentes: Viperidae): past fragmentation and island
colonization in the Brazilian Atlantic Forest. Molecular Ecology, 15, 3969–3982.
62
Griffin, L.E. (1916) A catalogue of the Ophidia from South America at present (June, 1916)
in the Carnegie Museum, with descriptions of some new species. Memoirs of the
Carnegie Museum, 7, 163–228.
Günther, A. (1868) Sixth account of new species of snakes in the collection of the British
Museum. Annals and Magazine of Natural History, Fourth Series, 1, 413–429.
Harvey, M.B. (1998) Reptiles and Amphibians of Parque Nacional Noel Kempff Mercado. In:
Killeen, T.J. & T.S. Schulenberg (Eds.). RAP Working Papers 10: A Biological
Assessment of Parque Nacional Noel Kempff Mercado. Conservation International,
Washington, D.C., pp. 144–166.
Hoge, A.R., Belluomini, H.E. & Fernandes, W. (1977) Variação do número de placas ventrais
de Bothrops jararaca em função dos climas (Viperidae, Crotalinae). Memórias do
Instituto Butantan, 40/41, 11–17.
Humphries, J.M., Bookstein, F.L., Chernoff, B., Smith, G.R., Elder, R.L. & Poss, S.G. (1981)
Multivariate discrimination by shape in relation to size. Systematic Zoology, 30, 291–
308.
Icochea, J., Quispitupac, E., Portilla, A. & Ponce, E. (2001) Assessment of Amphibians and
Reptiles of the Lower Urubamba Region, Peru. In: Alonso, A., Dallmier, F. &
Campbell, P. (Eds.). Urubamba: The Biodiversity of a Peruvian Rainforest. Smithsonian
Institution, Washington, D.C., pp. 129–142.
James, F.C. & McCulloch, C.E. (1990) Multivariate Analysis in Ecology and Systematics:
Panacea or Pandora’s Box? Annual Review of Ecology and Systematics, 21, 129–166.
Johnson, R.A. & Wichern, D.W. (1998) Applied multivariate statistical analysis. Prentice-
Hall, New Jersey, 816 pp.
Knapp, S. & Nee, M. (2009) Solanum anomalostemon (Solanaceae), an Endangered New
Species from Southern Peru with Unusual Anther Morphology. Novon: A Journal for
Botanical Nomenclature, 19, 178181.
Ledru, M.-P. (1993) Late quaternary environmental and climatic changes in central Brazil.
Quaternary Research, 39, 90–98.
Lehr, E., Carrillo, N. & Hocking, P. (2004) A new species of Drymoluber (Reptilia:
Squamata: Colubridae) from southeastern Peru. Copeia, 2004, 46–52.
Lehr, E. & Catenazzi, A. (2008) A new species of Bryophryne (Anura: Strabomantidae) from
souther Peru. Zootaxa, 1784, 1–10.
63
Leite, P.T., Nunes, S.F., Kaefer, I.L. & Cechin, S.Z. (2009) Reproductive biology of the
swamp racer Mastigodryas bifossatus (Serpentes: Colubridae) in subtropical Brazil.
Zoologia, 26, 12–18.
Manier, M.K. (2004) Geographic variation in the long-nosed snake Rhinocheilus lecontei
(Colubridae): beyond the subspecies debate. Biological Journal of the Linnean Society,
83, 65–85.
Manly, B.F.J. (2000) Multivariate Statistical Methods, 2nd ed. Chapman and Hall/CRC, Boca
Raton, U.S.A.
Marques, O.A.V. & Sazima, I. (2004). História natural dos répteis da Estação Ecológica
Juréia-Itatins. In: Marques, O.A.V. & Duleba, W. (Eds.). Estação Ecológica Juréia-
Itatins: ambiente físico, flora e fauna. Holos, Ribeirão Preto, pp. 257–277.
Marques, O.A.V. & Muriel, A.P. (2007) Reproductive biology and food habits of the swamp
racer Mastigodryas bifossatus from southeastern South America. Herpetological
Journal, 17, 104–109.
Martins, M. & Oliveira, M.E.. (1998) Natural History of snakes in forests of the Manaus
Region, Central Amazonia, Brazil. Herpetological Natural History, 6, 78–150.
Martins, M., Marques, O.A.V. & Sazima, I. (2008) How to be arboreal and diurnal and still
stay alive: microhabitat use, time of activity, and defense in Neotropical forest snakes.
South American Journal of Herpetology, 3, 58–67.
McDiarmid, R. (1968) Variation, Distribution and Systematic Status of the Black-Headed
Snake Tantilla yaquia Smith. Bulletin of the Southern California Academy of Sciences,
67, 159–177.
Mendelson III, J.R. (1992) Frequency of tail breakage in Coniophanes fissidens (Serpentes:
Colubridae). Herpetologica, 48, 448–455.
Montero, R. Scrocchi, G., Montaño, M.E. & Fernández, I.M. (1995) Nuevas citas de saurios,
anfisbenidos y ofidios para Bolivia. Cuadernos de Herpetologia, 9, 7–13.
Moreira, L.A., Fenolio, D.B., Silva, H.L.R. & Silva-Jr., N.J. (2009) A preliminary listo f the
herpetofauna from termite mounds of the Cerrado in the upper Tocantins river valley.
Papéis Avulsos de Zoologia, 49, 183–189.
Osgood, D.W. (1978) Effects of temperature on the development of meristic characters in
Natrix fasciata. Copeia, 1978, 33–37.
Papavero, N. (1971) Essays on Neotropical Dipterology, Vol. I. Museu de Zoologia,
Universidade de São Paulo, São Paulo, 216 pp.
64
Passos, P. & Brandão, F. (2002) Geographic Distribution: Drymoluber dichrous.
Herpetological Review, 33, 324.
Passos, P. & Fernandes, R. (2008) Revision of the Epicrates cenchria complex (Serpentes:
Boidae). Herpetological Monographs, 22, 1–30.
Passos, P., Fernandes, R. & Porto, M. (2005) Geographical variation and taxonomy of the
snail-eating snake Dipsas albifrons (Sauvage, 1884), with comments on the systematic
status of Dipsas albifrons cavalheiroi Hoge, 1950 (Serpentes: Colubridae: Dipsadinae).
Zootaxa, 1013, 19–34.
Pavan, D. & Dixo, M. (2004) A Herpetofauna da área de influência do reservatório da Usina
Hidrelétrica Luís Eduardo Magalhães, Palmas, TO. Humanitas, 4/6, 13–30.
Peracca, M.G. (1897) Viagio del Dr. Enrico Festa nell'Ecuador e regioni vicine. Bolletino dei
Musei di Zoologia ed Anatomia comparata dela R. Università di Torino, 300, 1–20.
Pereira, D.N., Stender-Oliveira, F., Rodrigues, M.G. & Bérnils, R.S. (2007) Distribution and
habitat use of Sordellina punctata (Serpentes, Colubridae), with a new record from State
of São Paulo, Brazil. Herpetological Bulletin, 100, 18–22.
Pesantes, O.S. (1994) A method for preparing hemipenis of preserved snakes. Journal of
Herpetology, 28, 93–95.
Peters, W. (1863) Hr. W. Peters berichtet über einige neue oder weniger bekannte
Schlangenarten des zoologischen Museums zu Berlin. Monatshefte fur Akademie der
Wissenschaften zu Berlin, 29, 272–289.
Peters, J.A. (1964) Dictionary of Herpetology. Hafner, New York, 393 pp.
Peters, J.A. & Orejas-Miranda, B. (1970). Catalogue of the Neotropical Squamata. Part I.
Snakes. United States National Museum Bulletin, 297, 1–347.
Pinto, R.R. (2006) Drymoluber dichrous (NCN). Ophiophagy. Herpetological Review, 37,
231.
Pizzatto, L., Almeida-Santos, S.M. & Marques, O.A.V. (2007) Biologia reprodutiva de
serpents brasileiras. In: Nascimento, L.B. & Oliveira, M.E. (Eds.) Herpetologia no
Brasil II. Sociedade Brasileira de Herpetologia, Belo Horizonte, pp. 201–221.
Prudente, A.L.C., Maschio, G.F., Yamashina, C.E. & Santos-Costa, M.C. (2007)
Morphology, Reproductive Biology and Diet of Dendrophidion dendrophis (Schlegel,
1837) (Serpentes, Colubridae) in Brazilian Amazon. South American Journal of
Herpetology, 2, 53–58.
65
Reis, S.F., Cruz, J.F. & Von Zuben, C.J. (1988) Análise multivariada da evolução craniana
em roedores caviídeos: convergência de trajetórias ontogenéticas. Revista Brasileira de
Genética, 11, 633–641.
Ribon, R. (1995) Nova subespécie de Caprimulgus (Linnaeus) (Aves, Caprimulgidae) do
Espírito Santo, Brasil. Revista Brasileira de Zoologia, 12, 333–337.
Rodrigues, M.T. (1990) Os lagartos da Floresta Atlântica brasileira: distribuição atual e
pretérita e suas implicações para estudos futuros. II Simpósio sobre ecossistemas da
costa sul brasileira: Estrutura, manejo e função. Academia de Ciências do Estado de
São Paulo, São Paulo, p. 404–410.
Rodrigues, M.T. (1996) Lizards, Snakes and Amphisbaenians from the Quartenary Sand
Dunes of the Middle Rio o Francisco, Bahia, Brazil. Journal of Herpetology, 30,
513–523.
Rodrigues, M.T. (2003) Herpetofauna da Caatinga. In: Leal, I.R., Tabarelli, M. & Silva,
J.M.C. (Orgs.). Ecologia e Conservação da Caatinga. 4. Universidade Federal de
Pernambuco, Recife, pp. 181–236.
Santana, G.G., Vieira, W.L.S., Pereira-Filho, G.A., Delfim, F.R., Lima, Y.C.C. & Vieira, K.S.
(2008) Herpetofauna em um fragmento de Floresta Atlântica no Estado da Paraíba,
Região Nordeste do Brasil. Biotemas, 71, 75–84.
Shine, R. (1994) Sexual Size Dimorphism in Snakes Revisited. Copeia 1994, 326–346.
Shine, R. & Mason, R.T. (2005) Does large body size in males evolve to facilitate forcible
insemination? A study on garter snakes. Evolution, 59, 2426–2432.
Shine, R., Olsson, M.M., Moore, I.T., LeMaster, M.P. & Mason, R.T. (1999) Why do male
snakes have longer tales than females? Proceedings of the Royal Society of London B,
266, 2147–2151.
Silva, M.B., Barbosa, D.B.S., Lima, Y.C.C., Antunes, J.L., Figueiredo, F.J. & Nogueira-
Paranhos, J.D. (2007) Ocorrência de Drymoluber cf. brazili (Reptilia: Squamata:
Colubridae) para o estado do Piauí. Anais do VIII Congresso de Ecologia do Brasil,
Caxambu - MG, 1–2.
Silva Jr., N.J., Silva, H.L.R., Costa, M.C., Buononato, M.A., Tonial, M.L.S., Ribeiro, R.S.,
Moreira, L.A. & Pessoa, A.M. (2007) Avaliação preliminar da fauna silvestre terrestre
do vale do rio Caiapó, Goiás: Implicações para a conservação da biodiversidade
regional. Estudos, 34, 1057–1094.
Slowinski, J.B. & Savage, J.M. (1995) Urotomy in Scaphiodontophis: evidence for the
multiple tail break hypothesis in snakes. Herpertologica, 51, 338–341.
66
StatSoft, Inc. (2001) Statistica (data analysis software system), version 6. Tulsa, U.S.A.
Stuart, L.C. (1932) Studies on Neotropical Colubrinae. I. The taxonomic status of the genus
Drymobius Fitzinger. Occasional Papers of the Museum of Zoology, University of
Michigan, 236, 1–16.
Stuart, L.C. (1933) Studies on Neotropical Colubrinae. III. The Taxonomic Status of Certain
Neotropical Racers. Copeia, 1933, 9–10.
Torres-Carvajal, O. (2001) Lizards of Ecuador: CheckList, Distribution and Systematic
References. Smithsonian Herpetological information Service, 131, 1–35.
Urban, D.L. (2003) Spatial analysis in ecology: Mantel’s test. National Center for Ecological
Analysis and Synthesis, Univ of California, Santa Barbara. Available from
http://www.nceas.ucsb.edu/scicomp/documents (Date o access: 29 April 2010).
Vanzolini, P.E. (1981) A quasi-historical approach of the natural history of the differentiation
of reptiles in tropical geographic isolates. Papéis Avulsos de Zoologia, 24, 189–204.
Vanzolini, P.E., Ramos-Costa, A.M.M. & Vitt, L.J. (1980) Répteis das Caatingas. Anais da
Academia Brasileira de Ciências, Rio de Janeiro, 161 pp.
Vervust, B., Van Dogen, S. & Van Damme, R. (2009) The effect of preservation on lizard
morphometrics – an experimental study. Amphibia Reptilia, 30, 321–329.
Vitt, L.J. (1992) Lizards Mimics Millipede. National Geographic Research & Exploration, 8,
76–95.
Vitt, L.J., Souza, R.A., Sartorius, S.S, Ávila-Pires, T.C.S. & Espósito, M.C. (2000)
Comparative ecology of sympatric Gonatodes (Squamata: Gekkonidae) in the western
Amazon of Brazil. Copeia, 2000, 83–95.
Vrcibradic, D. (2007) Geographic Distribution: Drymoluber dichrous. Herpetological Review,
38, 486.
Zaher, H. & Prudente, A.L.C. (2003) Hemipenes of Siphlophis (Serpentes, Xenodontinae),
and Techniques of Hemipenal Preparation in Snakes: A Response to Downling.
Herpetological Review, 34, 302–307.
Zaher, H., Grazziotin, F.G., Cadle, J.E, Murphy, R.W., Moura-Leite, J.C. de & Bonatto, S.L.
(2009) Molecular phylogeny of advanced snakes (Serpentes, Caenophidia) with an
emphasis on South American Xenodontines: a revised classification and descriptions of
new taxa. Papéis Avulsos de Zoologia, 49, 115–153.
Zamudio, K.R. & Greene, H.W. (1997) Philogeography of the bushmaster (Lachesis muta:
Viperidae): implications for Neotropical biogeography, systematics and conservation.
Biological Journal of the Linnean Society, 62, 421–442.
67
Zar, J.H. (1999) Biostatistical Analysis. Prentice Hall, Upper Sadle River, New Jersey, U.S.A.
Apêndice I
Material examinado (* indica espécimes analisados apenas por fotografias; indica
espécimes cujo hemipênis também foi analisado)
Drymoluber apurimacensis
PERU: APURIMAC: Abancay, Abancay (MHNSM 20672* [Holótipo]), Cconoc (MTKD
44669*, 45192*, 45193* [Paratypes]); Andahuaylas, Huancarama, Hacienda Palmira
(FMNH 81542 † [Parátipo]).
Drymoluber brazili
BRASIL: Sem localidade precisa (IBSP 574 [Parátipo de Drymobius brazili]). BAHIA: Sem
localidade precisa (IBSP 2717); Gentio do Ouro, Santo Icio (MZUSP 9596); Jacobina,
Caatinga do Moura (MZUSP 7544); João Dourado, Gruta dos Brejões (MZUESC 3815);
Morro do Chapéu (MZUSP 7807). CEARÁ: Milagres (IBSP 76968). DISTRITO FEDERAL:
Brasília (CHUNB 37345, CHUNB 3747, CHUNB 3748, CHUNB 6054). ESPÍRITO SANTO:
Baixo Guandú (IBSP 8312, IBSP 8836); Colatina (IBSP 37413). GOIÁS: Alto Paraíso de
Goiás (CHUNB 3839); Goiânia (IBSP 33668 †); Mineiros, Parque Nacional das Emas (IBSP
62682); São Domingos, Parque Estadual Terra Ronca (IBSP 62650); Uruaçu, Cana Brava
(IBSP 26716, IBSP 9144); Serra da Mesa (ponto 2) (MZUSP 11021). MATO GROSSO:
Chapada dos Guimarães (UFMT 6970, UFMT 728). MATO GROSSO DO SUL: Campo Grande
(IBSP 10465, IBSP 31692); Miranda (IBSP 1845); Ponta Po (IBSP 25379 ); Terenos
(IBSP 10018, IBSP 9829); Três Lagoas (IBSP 51700), Jupiá (IBSP 27199). MINAS GERAIS:
Aimorés (MCNR 1538); Alvarenga (CHUFMG 2843); Frutal (IBSP 52290); Grão Mogol
(MZUSP 7988); Nova Ponte (MZUFV 780); Sabará (IBSP 40475); Santana do Riacho
(CHUFMG 417), Serra do Cipó (MZUSP 7692); Uberaba (IBSP 1707); Uberaba, Engenheiro
Lisboa (IBSP 696 [Holótipo de Drymobius brazili]); UHE Irapé (MCNR 1736 †). PARAÍBA:
Teixeira, Serra do Teixeira (MZUSP 7562). SÃO PAULO: Andradina (IBSP 40779);
Araçatuba (IBSP 26688); Araraquara (IBSP 23693, IBSP 33120, IBSP 8103); Barretos (IBSP
7675); Birigui (IBSP 21928, IBSP 22415); Boa Esperança do Sul, Estação Ferroviária Java
(IBSP 741 [Parátipo de Drymobius brazili]); Castilho (IBSP 24422); Coroados (IBSP 17019);
Dourado (IBSP 18309); Dracena (IBSP 25187); Guaraçaí (IBSP 32897); Guatapará, Estação
Ferroviária de Monteiros (IBSP 12692); Itápolis (IBSP 18053); Moreira Melo (IBSP 16595);
68
Novo Horizonte, Estão Ferroviária Porto Ferrão (IBSP 22502, IBSP 22515); Oswaldo
Cruz (IBSP 32624, IBSP 32657); Pedregulho (IBSP 1286 [Parátipo de Drymobius brazili]);
Penápolis (IBSP 1844 [Holótipo de Drymobius rubriceps]); Ribeirão Bonito (IBSP 46996),
Estação Ferroviária Sampaio Vidal (IBSP 573 [Parátipo de Drymobius brazili]); Ribeirão
Preto (IBSP 18992); Santa Lúcia, Fazenda Santa Izabel (IBSP 34369); o Carlos, Estação
Ferroviária Santa Eudóxia (IBSP 383 [Parátipo de Drymobius brazili]); São Joaquim da
Barra, Estação Ferroviária Jussara (IBSP 16231); São José do Rio Preto, Estação
Ferroviária Rio Preto (IBSP 10188, IBSP 8925); São Simão, Fazenda Vale da Saúde (IBSP
33660); Turiba do Sul (IBSP 10538, IBSP 16499); Urânia (IBSP 17224); Valparaíso (IBSP
29221). TOCANTINS: UHE Luís Eduado Magalhães (MZUSP 14298); UHE Peixe Angical
(MZUSP 15506, MZUSP 15507). PARAGUAI: CANINDEYÚ: Reserva Natural del Bosque
Mbaracayú (MNHNP 11025*).
Drymoluber dichrous
BOLÍVIA: BENI: Riberalta (AMNH 22491); Rurrenabaque (AMNH 119926); Vaca Diez,
Tumi Chucua (USNM 280382). BRASIL: Sem localidade precisa (ZMB 1661* [Síntipo de
Herpetodryas dichroa], ZMB 1662* [Síntipo de Herpetodryas dichroa]). Sem localidade
precisa, fronteira com Peru (AMNH 52191); ACRE: Porto Walter (MZUSP 7377, MZUSP
7378), Rio Juruá (MPEG 20384); Rio Branco (IBSP 69567); Santa Rosa do Purus, Alto Purus
(MZUSP 2497); Tarauacá, Reserva Extrativista Riozinho da Liberdade (UFACF 1333,
UFACF 663, UFACF 720, UFACF 741, UFACF 801). AMAPÁ: Macapá, Zebrão (MNRJ
9240); Serra do Navio (IBSP 25411); Tartarugalzinho, Reserva DNERu, Rio Tracajatuba
(MPEG 421); Rio Maracá (MZUSP 7681). AMAZONAS: Sem localidade (IBSP 7706);
Arajatuba, Rio Negro (IBSP 2198); Barcelos, Rio Negro MZUSP 5467; Benjamin Constant,
Próximo a igarapé (MPEG 18240 †); Madeirera SCHEFFER, Rio Ituxi (MPEG 20330,
MPEG 20331); Presidente Figueiredo, UHE Balbina (IBSP 51703, IBSP 52003, IBSP 52140,
MPEG 17437, MPEG 17443, MPEG 17446, MPEG 17481, MPEG 17494, MPEG 17566,
MZUSP 9644, MZUSP 9645); Reserva INPA-WWF (MZUSP 7609); Serra do Tapirapecó
(MZUSP 14284, MZUSP 14285, MZUSP 14286). BAHIA: Sem localidade (MZUESC 5801);
Arataca (CZGB 396), Fazenda Alto Rocha (MZUESC 1528); Barra do Choça (CZGB 7981,
CZGB 7396), Fazenda Cangussu (MZUESC 2540); Barra do Rocha, Fazenda Pedra Preta
(MZUESC 1993); Barro Preto (CZGB 822); Buerarema (CZGB 339, CZGB 4441); Caatiba
(CZGB 7059); Cairu, Fazenda Ilha do Barro (MZUESC 636); Camacan (CZGB 846),
Fazenda Uraiçu (MZUESC 5162); Camamu (CZGB 5180); Dario Meira (CZGB 3164,
69
CZGB 3342); Ibirataia (CZGB 7397); Ilhéus (CZGB 1222, CZGB 1269, CZGB 3176, CZGB
666); Itabuna (CZGB 324); Itacaré (CZGB 2101); Itagi (MZUESC 5697); Itagiba (CZGB
5430); Ituberá (CZGB 5609, CZGB 6825, CZGB 6826): Mutuípe (CZGB 7717 †); Nova Ib
(CZGB 6809, CZGB 7385); Poções, Fazenda Inveja (MZUESC 1383); Una (CZGB 331),
Fazenda Araraúna (MZUESC 3739). CEARÁ: Maranguape, Serra de Maranguape (UFC
2101, UFC 2201, UFC 2204, UFC 2205, UFC 2211, UFC 2220, UFC 2712, UFC 2730),
Trilha do Pico da Rajada, Serra de Maranguape (UFC 2081, UFC 2083 †, UFC 2104, UFC
2128); Pacatuba, Serra do Aratanha (UFC 2233); Pacoti, Serra do Baturité (UFC 2221);
Ubajara, Planalto da Ibiapaba, Fazenda Buriti-INCRA (UFC 2177). ESPÍRITO SANTO:
Aracruz (MBML 483); Linhares (CZGB 2121, MNRJ 10661, MNRJ 10663); Vitória (MNRJ
4858). MARANHÃO: BR 316, 25 Km distante do Rio Gurupi, Nova Vida (MPEG 11099,
MPEG 11155, MPEG 12106, MPEG 12228 †, MPEG 12229, MPEG 12230, MPEG 12257,
MPEG 14466, MPEG 15321, MPEG 16207); Buriticupu (MPEG 17713); Santa Luzia do
Paruá, BR 316 (MPEG 10832). MATO GROSSO: Alta Floresta (IBSP 41469); Aripuanã
(UFMT 5184, UFMT 5474), Ilha do Salto Dardanelos (UFMT 2772); Juruena (MZUSP
11303); Rio Teles Pires, Paraná do Cristóvão (MZUSP 10983); Vale do São Domingos
(UFMT 1997 , UFMT 919); Vila Rica (MZUSP 11443, MZUSP 11444). MINAS GERAIS:
Almenara, Fazenda Limoeiro (MZUFV 1208); Caratinga, RPPN Feliciano Miguel Abdala
(Estação Biológica de Caratinga) (CHUFMG 1397, CHUFMG 1398); Nova Ponte (MZUFV
779); Ouro Preto, Estação Ecológica do Tripuí (LZV-S 373); Parque Estadual do Rio Doce
(MNRJ 9297, MZUFV 1422). PARÁ: Almerim, Reserva Itapioara (MPEG 20108); Belém
(IBSP 3035, IBSP 3122, IBSP 3141, IBSP 5089); Benevides, Santa Bárbara (MPEG 2647),
Pratinha, Estrada de Genipauba, antiga estrada do Açucareiro (MPEG 8400, MPEG 8607);
Canindé, Rio Gurupi (MZUSP 4237); Castanhal, Boa Vista (MPEG 2652, MPEG 2670,
MPEG 4041); Conceição do Araguaia (IBSP 41522); Jur, Rio Xingu (MZUSP 9351,
MZUSP 9352); Marabá (CHUNB 30419, MPEG 23235), Serra Norte, Carajás (MPEG
17233, MPEG 17235), Serra Norte, Carajás, Área do Caldeirão, (MPEG 16921), Serra
Norte, Carajás, Campo rupestre do N1 (MPEG 16551, MPEG 16982), Serra Norte, Carajás,
Próximo as margens do IgaraAzul, Estrada N1, Caldeirão (MPEG 17057), Serra Norte,
Carajás, Área do Pojuca (MPEG 17085); Melgo, FLONA Caxiua (MPEG 19750, MPEG
20044, MPEG 20146, MPEG 20298, MPEG 20800, MPEG 21833, MPEG 21834); Monte
Cristo, Rio Tapajós (MZUSP 1264); Novo Progresso (CHUNB 35062); Ourilândia do Norte,
Acampamento Onça (MPEG 20793); Paragominas, Fazenda Agroeste (MPEG 20000); Peixe-
Boi (MPEG 1838); Projeto Igarapé Bahia, Carajás (MPEG 20762, MPEG 20765, MPEG
70
20766); Reserva Biologica Rio Trombetas, Igarape Jacare above Lago Jacaré (USNM
289091); Santarém (MCP 7617, MCP 7618, MCP 7906); São Domingos do Capim, Km 16 da
estrada do Acará (MPEG 10811, MPEG 11698, MPEG 15189, MPEG 8688); Serra de
Kukoinhokren (MZUSP 10763, MZUSP 11488); Tucuruí (IBSP 46626). PERNAMBUCO: Cabo
de Santo Agostinho, Mata do Cutio, Reserva Florestal do sistema Gursaú (MNRJ 17069).
RONDÔNIA: Alto Paraíso (MZUSP 8494); Jaru, Santa Cruz da Serra (MZUSP 8500);
Ministro Andreazza, Nova Brasília (MZUSP 8747); Monte Negro (IBSP 67619); Porto
Velho, UHE Samuel (IBSP 52828, IBSP 53256), Margem esquerda do Rio Jamarí. Área de
inundação da UHE Samuel (MPEG 17779, MPEG 17808, MPEG 17820, MPEG 17829,
MPEG 17841, MPEG 17849); Margem do Rio Jamarí. Área de inundação da UHE Samuel
(MPEG 17897, MPEG 17915, MPEG 17932, MPEG 17995, MPEG 17996, MPEG 18759);
Vilhena (CHUNB 12791). RORAIMA: Amajari, Ilha de Maracá (MZUSP 8806); BR 210,
4Km do Rio Ajarani (MPEG 19007); Caracaraí, Missão Catrimani (MZUSP 10298, MZUSP
10422, MZUSP 10423, MZUSP 10424); Mucajaí, Apiaú (MZUSP 9777); Cachoeira do
Cujubim, Rio Catrimani (MZUSP 6388, MZUSP 6389, MZUSP 6971). COLÔMBIA:
AMAZONAS: Leticia (AMNH 91812). GUAVIARE: Caño Agua Bonita (FMNH 75688). META:
Bellavista, acima de Villavicencio (MZUSP 6098); Villavicencio (IBSP 6208, IBSP 7221),
Finca El Buque (MZUSP 8077). EQUADOR: Sem localidade precisa, Napo or Maranon
(ANSP 3920* [Holótipo de Spilotes piceus]). CHIMBORAZO: Riobamba (AMNH 23248).
MORONA-SANTIAGO: Arapicos, Río Llhushin (USNM 204133); Macas (USNM 65475;
AMNH 28830); Sucua (USNM 283952); Chiguaza + Macuma (USNM 204132); Riobamba,
Chamala, Normandia (nas imediações de Macas, de acordo com Savage, 1960. Misc. Pub.
Mus. Zool. Univ. Mich. 112) (AMNH 35927). NAPO: Cabeceras del Rio Arajuno, tributary of
Rio Napo (USNM 204126); Loreto (USNM 204125). PASTAZA: Andoas, Rio Pastaza
(AMNH 49074); Rio Conambo (FMNH 206028); Río Liguino (USNM 204127); Cabeceras
Del Río Bobonaza (USNM 204128); Río Bufeo, tributary of Río Bobonaza (USNM 204129);
Río Conambo, near mouth of Río Romarizo (USNM 204130); Paracachi, Rio Curaray
(USNM 204131). GUIANA: EAST BERBICE: ca. 18 mi. SW Kwakwani, ca. 2 mi. downriver
from confluence of Berbice River and Kurudini River, Berbice River camp (USNM 566261).
MAZARUNI-POTARO: Kartabo (AMNH 18160); East bank of Waruma River, Camp 3 (USNM
549327). PERU: AMAZONAS: Kayamas, Río Cenepa (USNM 560425); San Antonio,Río
Cenepa (USNM 316601); Huampami, across the Rio Cenepa from, Yusa Patagkamu (USNM
316602). HUÁNUCO: Tingo Maria (USNM 193808, USNM 193813), Universidad Agraria de
la Selva, Rio Huallaga (USNM 193807, USNM 193812). JUNIN: Perene (AMNH 23354,
71
AMNH 23374); Tarma, Chanchamayo (FMNH 45593). LORETO: Contamana, Suhuaya Isla
(AMNH 52295); Iquitos (AMNH 52318, AMNH 52644, USNM 197267), o Itaya (AMNH
54100, AMNH 54168, AMNH 54260, AMNH 54392, AMNH 54479, AMNH 54507, AMNH
54518, AMNH 54541, AMNH 54672, AMNH 54699, AMNH 54803, AMNH 54919, AMNH
54930 , AMNH 55193, AMNH 55276); Nauta, Rio Samiyia, Santa Elena (FMNH 109807);
Pampa Hermosa, Río Cushabatay, Río Ucayali (AMNH 55359), Río Cushabatay (AMNH
55963); Pebas (BMNH 1946.1.14.61, formerly 1867.9.17.28* [Holótipo de Herpetodryas
occipitalis]); Requena, Monte Carmelo (AMNH 55609, AMNH 55628, AMNH 55635);
Yagua, Indian Village, Río Loretoyacu (AMNH 114706); Yurimagua (FMNH 11259);
Estirón, Rio Ampiyacu (MZUSP 4390, MZUSP 4391); Río Samiria and Parinari Cañon
(AMNH 57258); Upper Ucayali River (AMNH 71115); Upper Amazon (FMNH 11177);
Yarinacocha (FMNH 45592). MADRE DE DIOS: ca. 30 Km Puerto Maldonado Tambopata
Reserve, Explorer's Inn (USNM 247501, USNM 247500, USNM 247694); La Pampa
(FMNH 40206 ); Maldonado (AMNH 56148); West bank of Río Tambopata, Zona
Reservada Tambopata-Candamo, Colpa de Guacamayo (USNM 332470). SURINAME:
Without precise locality data (ZMB 2603* [syntype of Herpetodryas dichroa]).
BROKOPONDO: Brownsberg, Brownsberg Nature Park, Mazaroni Plateau (AMNH 119431).
COMMEWIJNE: Plantation Ma Retraite (AMNH 130505). MAROWIJNE: Moengo (USNM
64634); Anapaike Village (MZUSP 4207). SIPALIWINI: Temomairem, Sierra Tumuc Humac
(AMNH 104610). VENEZUELA: AMAZONAS: Cerro Ya-Pacana (USNM 83946); Mount
Duida region (AMNH 36610); Middle camp, Mount Duida region (AMNH 36614);
Esmeralda, 56 km NW of Rio Cunucunuma, Belen (USNM 217185).
Apêndice II
Localidades sem material examinado, mas com registro em literatura ou observação pessoal
(Fonte entre parênteses)
Drymoluber brazili
BRASIL: GOIÁS: Iporá/Arenópolis, Pequena Central Hidrelétrica de Mosquetão (Silva-Jr. et
al. 2007). PIAUÍ: Parque Nacional da Serra das Confusões (Silva et al. 2007).
Drymoluber dichrous
BOLÍVIA: COCHABAMBA: Villa Tunari (Lehr et al. 2004). SANTA CRUZ: Guarayos,
Campamento Río San Martin (Montero et al. 1995); Parque Nacional Noel Kempff Mercado
72
(Harvey 1998). BRASIL: ALAGOAS: Maceió (Freire 2000); Rio Largo (Freire 2000).
AMAZONAS: Manaus, Reserva Adolpho Ducke (Martins & Oliveira 1998). PARÁ:
Agropecuária Treviso (Ávila-Pires et al. 2009); Bragança, Parada Bom Jesus (Cunha &
Nascimento 1978); Colônia Nova, Km 264, BR 316 (Cunha & Nascimento 1978); Curuçá,
Vila Mara (Cunha & Nascimento 1978); Maracanã, Km 23 da estrada de Maracanã
(Cunha & Nascimento 1978); Ourém, Limão Grande (Cunha & Nascimento 1978); Santo
Annio do Tauá, PA-140, estrada da Vigia (Cunha & Nascimento 1978); Vigia, Santa Rosa,
PA-140, estrada da Vigia (Cunha & Nascimento 1978); Viseu, Bela Vista (Cunha &
Nascimento 1978), Fazenda Real (Cunha & Nascimento 1978). PARAÍBA: João Pessoa, Área
de Preservação Permanente Mata do Buraquinho (Santana et al. 2008). RIO DE JANEIRO:
Campos dos Goytacazes (fotografia de um jovem, de autoria de Carlos Henrique Oliveira
Nogueira). Rondônia: Espigão D’Oeste (Bernarde & Abe 2006); Parque Estadual Guajará-
Mirim vila-Pires et al. 2009). COLÔMBIA: BOYACÁ: 8 Km SSE Corocito (Lehr et al.
2004). EQUADOR: AZUAY: San José Cuchipamba (Peracca 1897). Morona-Santiago:
Gualaquiza (Peracca 1897). NAPO: Aliñahui (Lehr et al. 2004). ORELLANA: Estacíon de
Biodiversidad Tiputini (Cisneros-Heria 2003). PASTAZA: Shell Mera (Lehr et al. 2004).
SUCUMBIOS: Santa Cecilia (Duellman 1978; Lehr et al. 2004); Puerto Libre, Río Aguarico
(Duellman 1978; Lehr et al. 2004). GUIANA FRANCESA: CAYENNE: Nouragues Rserve
(Gaucher et al. 2008). PERU: CUSCO: Cashiriari-2, Lower Urubamba Region (Icochea et al.
2001). HUÁNACO: Ambo (Lehr et al. 2004); Huancapallac (Lehr et al. 2004); Rio
Llullapichis, Panguana (Lehr et al. 2004). JUNÍN: Chanchamayo (Lehr et al. 2004). LORETO:
Iquitos, Centro Unión (Dixon & Soini 1986), Mishana (Dixon & Soini 1986), Moropon
(Dixon & Soini 1986), Río Maniti (Dixon & Soini 1986); Sarayacu (Boulenger 1894);
Yurimagua, Rio Huallaga (Boulenger 1894). PASCO: Pozuzo (Lehr et al., 2004); Iscozacin
(Bosque de Villa America) (Lehr et al. 2004). SAN MARTIN: Moyobamba (Boulenger 1894).
UCAYALI: Yarinacocha (Lehr et al. 2004).
Livros Grátis
( http://www.livrosgratis.com.br )
Milhares de Livros para Download:
Baixar livros de Administração
Baixar livros de Agronomia
Baixar livros de Arquitetura
Baixar livros de Artes
Baixar livros de Astronomia
Baixar livros de Biologia Geral
Baixar livros de Ciência da Computação
Baixar livros de Ciência da Informação
Baixar livros de Ciência Política
Baixar livros de Ciências da Saúde
Baixar livros de Comunicação
Baixar livros do Conselho Nacional de Educação - CNE
Baixar livros de Defesa civil
Baixar livros de Direito
Baixar livros de Direitos humanos
Baixar livros de Economia
Baixar livros de Economia Doméstica
Baixar livros de Educação
Baixar livros de Educação - Trânsito
Baixar livros de Educação Física
Baixar livros de Engenharia Aeroespacial
Baixar livros de Farmácia
Baixar livros de Filosofia
Baixar livros de Física
Baixar livros de Geociências
Baixar livros de Geografia
Baixar livros de História
Baixar livros de Línguas
Baixar livros de Literatura
Baixar livros de Literatura de Cordel
Baixar livros de Literatura Infantil
Baixar livros de Matemática
Baixar livros de Medicina
Baixar livros de Medicina Veterinária
Baixar livros de Meio Ambiente
Baixar livros de Meteorologia
Baixar Monografias e TCC
Baixar livros Multidisciplinar
Baixar livros de Música
Baixar livros de Psicologia
Baixar livros de Química
Baixar livros de Saúde Coletiva
Baixar livros de Serviço Social
Baixar livros de Sociologia
Baixar livros de Teologia
Baixar livros de Trabalho
Baixar livros de Turismo