
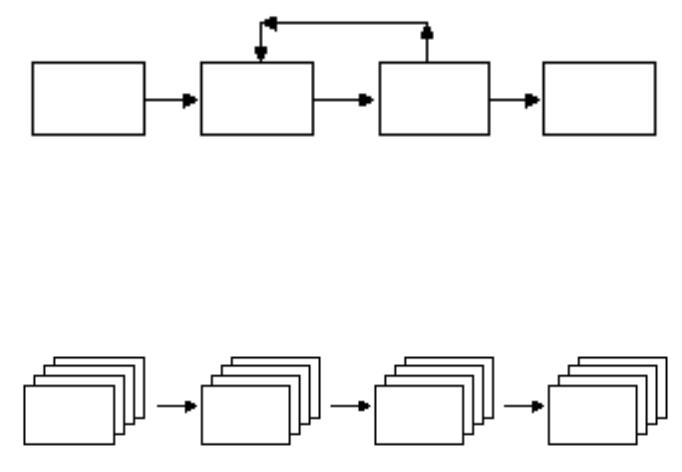
CAP
´
ıTULO 5. EXPERIMENTOS 53
Tabela 5.4: Tabela comparativa baseada em [1] - AGM2 1/2
Nome Quantidade Grupos Compressao Coincidente Import
ˆ
ancia
de imagens AGM2 AGM2 (%) AGM2 (%) AGM2
v21 The Great Web of Water, 3.279 27 0,82 37,74 13, 9, 5, 6, 31, 2, 8, 9, 9, 2, 58, 13, 5, 5, 2, 24,
segment 01 19, 8, 9, 8, 10, 5, 3, 14, 2, 6, 25
v22 The Great Web of Water, segment 02 2.118 6 0,28 97,09 28, 6, 71, 68, 24, 9
v23 The Great Web of Water, 1.745 11 0,63 64,95 7, 10, 9, 12, 17, 13, 8, 7, 5, 7, 2
segment 07
v24 A New Horizon, segment 01 1.806 14 0,78 52,44 2, 10, 11, 11, 9, 17, 9, 11, 15, 4, 3, 10,
13, 39
v25 A New Horizon, segment 02 1.797 13 0,72 58,18 62, 15, 3, 5, 8, 8, 8, 8, 12, 11, 7, 7, 11
v26 A New Horizon, segment 03 6.249 23 0,37 25,29 15, 18, 98, 15, 24, 102, 12, 20, 24, 2, 14, 14,
37, 41, 17, 25, 12, 6, 10, 35, 19, 27, 14
v27 A New Horizon, segment 04 3.192 16 0,50 29,87 57, 22, 14, 24, 2, 6, 40, 14, 19, 7, 17, 11, 28,
19, 10, 18
v28 A New Horizon, segment 05 3.561 24 0,67 33,43 21, 11, 17, 31, 15, 5, 5, 26, 2, 12, 6, 10, 10, 24,
14, 18, 12, 15, 15, 13, 17, 4, 22, 10
v29 A New Horizon, segment 06 1.944 12 0,62 45,70 23, 13, 7, 13, 5, 27, 3, 26, 23, 21, 14, 11
v30 A New Horizon, segment 08 1.815 9 0,50 88,30 19, 10, 22, 26, 25, 27, 13, 22, 7
v31 A New Horizon, segment 010 2.517 11 0,44 40,25 27, 20, 8, 13, 7, 30, 23, 35, 26, 27, 25
v32 Take Pride in America, 2.691 17 0,63 28,87 20, 7, 13, 8, 3, 9, 8, 13, 8, 9, 3, 6, 11, 67, 8, 6,
segment 01 40
v33 Take Pride in America, 3.261 33 1,01 26,20 6, 3, 2, 4, 8, 7, 8, 13, 16, 30, 3, 3, 18, 6, 12, 10,
segment 03 2, 5, 15, 5, 5, 5, 6, 4, 12, 2, 2, 12, 7, 7, 9, 9, 15
v34 Digital Jewelry: Wearable 4.204 4 0,10 89,05 19, 303, 52, 46
Technology for Every Day Life
v35 HCIL Symposium 2002 - 2.336 7 0,30 99,11 140, 53, 8, 11, 2, 9, 2
Introduction, segment 01
v36 Senses And Sensitivity, 4.221 10 0,24 92,27 11, 13, 202, 4, 74, 13, 78, 4, 13, 2
Introduct. to Lecture 1 presenter
v37 Senses And Sensitivity, 3.411 6 0,18 88,76 29, 16, 212, 57, 2, 22
Introduct. to Lecture 2
v38 Senses And Sensitivity, 4.566 16 0,35 76,73 10, 221, 43, 14, 13, 9, 10, 16, 15, 30, 13, 16,
Introduct. to Lecture 3 presenter 18, 9, 8, 2
v39 Senses And Sensitivity, 5.249 11 0,21 90,75 8, 3, 450, 2, 8, 13, 10, 6, 6, 5, 8
Introduct. to Lecture 4 presenter
v40 Exotic Terrane, segment 01 2.940 15 0,51 100,00 30, 11, 10, 13, 15, 17, 30, 12, 12, 22, 22, 21,
16, 12, 27
v41 Exotic Terrane, segment 02 2.776 5 0,18 100,00 13, 29, 26, 2, 3
v42 Exotic Terrane, segment 03 2.676 13 0,49 66,15 21, 12, 36, 54, 16, 7, 14, 2, 11, 14, 12, 28, 33
v43 Exotic Terrane, segment 04 4.797 20 0,42 84,36 17, 14, 14, 16, 29, 36, 62, 15, 12, 9, 28, 74, 5,
9, 8, 27, 45, 7, 18, 28
v44 Exotic Terrane, segment 06 2.425 8 0,33 0,00
v45 Exotic Terrane, segment 08 2.428 10 0,41 100,00 49, 14, 21, 23, 20, 19, 16, 24, 39, 9
v46 America’s New Frontier, 3.591 9 0,25 49,15 104, 18, 34, 16, 41, 31, 40, 32, 38
segment 01
v47 America’s New Frontier, 2.166 7 0,32 99,05 2, 3, 16, 19, 23, 30, 117
segment 03
v48 America’s New Frontier, segment 04 3.705 9 0,24 91,11 65, 59, 59, 21, 12, 29, 32, 40, 54
v49 America’s New Frontier, 3.615 19 0,53 89,37 2, 7, 55, 33, 19, 11, 10, 15, 10, 9, 20, 14, 15,
segment 07 47, 5, 18, 24, 12, 22
v50 America’s New Frontier, 4.830 10 0,21 100,00 25, 43, 79, 24, 91, 15, 17, 28, 58, 100
segment 10