Download PDF
ads:
UNIVERSIDADE DE SÃO PAULO
INSTITUTO DE FÍSICA DE SÃO CARLOS
DEPARTAMENTO DE FÍSICA E INFORMÁTICA
RESSONÂNCIA PARAMAGNÉTICA
ELETRÔNICA PULSADA EM MATERIAIS
VÍTREOS E AMORFOS
José Fernando de Lima
Orientador: Prof. Dr. Cláudio José Magon
Tese apresentada ao Instituto de Física de
São Carlos da Universidade de São Paulo,
para obtenção do Título de Doutor em
Física Aplicada.
ads:
Livros Grátis
http://www.livrosgratis.com.br
Milhares de livros grátis para download.
De Lima, José Fernando
RESSONÂNCIA PARAMAGNÉTICA ELETRÔNICA PULSADA EM
MATERIAIS VÍTREOS E AMORFOS / José Fernando de Lima.
São Carlos, 2006.
145 p.
Tese (Doutorado) – Instituto de Física de São Carlos, 2006.
Orientador: Prof. Dr. Cláudio José Magon
1. Ressonância paramagnética eletrônica. 2. Materiais amorfos 3.
vidros. I. Título
ads:
AGRADECIMENTOS
Gostaria de agradecer a todas as pessoas que de alguma forma contribuíram para
realização deste trabalho, em especial:
Ao meu orientador, Prof. Cláudio José Magon, pela oportunidade de realizar este
trabalho, amizade, confiança, paciência, boa vontade e pelos conselhos sempre válidos.
Ao Prof. Otaciro Rangel Nascimento pelas discussões, ajuda nas simulações e
nas medidas.
Ao Prof. Pedro Donoso pela ajuda e discussões.
Ao Prof. Antonio José da Costa Filho pelo apoio.
Aos amigos do Laboratório de Ressonância Magnética: Isabel, Ronny, Renata e
Leandro.
Aos amigos do Grupo de Biofísica “Sérgio Mascarenhas”: Bel, Possato, Beto,
Ester, Lia, Alessandra, Sheila e Fernando.
À Wladerez, do Serviço de Pós-Graduação, pela ajuda, boa vontade, empenho e
paciência comigo.
Às bibliotecárias do IFSC pela simpatia e atenção.
À Andressa pelo amor, carinho, paciência, compreensão, ajuda e “puxões de
orelha”.
Aos meus pais e irmãos pelo amor, ajuda e apoio incondicionais.
À Capes, Fapesp e CNPq.
Índice
Resumo.......................................................................................................................... i
Abstract .......................................................................................................................iii
1 Introdução ............................................................................................................ 5
2 Conceitos teóricos ................................................................................................ 8
2.1 Fundamentos de RPE Pulsada ............................................................................8
2.1.1 O Espectrômetro de RPE Pulsada........................................................ 8
2.1.2 Hamiltoniano de Spin........................................................................... 9
2.1.2.1 Interação Zeeman eletrônica .......................................................... 10
2.1.2.2 Interação de campo zero................................................................. 10
2.1.2.3 Interação elétron-núcleo................................................................. 11
2.1.2.4 Interação Zeeman nuclear .............................................................. 12
2.1.2.5 Interação quadrupolar nuclear........................................................ 13
2.1.2.6 Hamiltoniana efetiva ...................................................................... 13
2.1.3 Equações de Bloch ............................................................................. 14
2.1.4 O eco de spins .................................................................................... 24
2.1.5 Técnicas especiais da RPE pulsada.................................................... 34
2.1.5.1 Eco estimulado............................................................................... 34
2.1.5.2 Ciclagem de fase ............................................................................ 37
2.1.5.3 Tempo de relaxação longitudinal (T
1
)............................................ 40
2.1.5.4 Electron Spin Echo Envelope Modulation (ESEEM) .................... 42
2.1.5.5 ESEEM dois pulsos........................................................................ 45
2.1.5.6 ESEEM três pulsos......................................................................... 48
2.1.5.7 Echo Detected Field Sweep (EDFS).............................................. 49
3 Estudo da Cristalização Nanofásica em Vidros Foto-Termo-Refrativos por
Ressonância Paramagnética Eletrônica...................................................................... 51
3.1 Introdução ..........................................................................................................51
3.2 Experimental ......................................................................................................54
3.3 Resultados e Discussões ..................................................................................... 56
3.3.1 RPE CW............................................................................................. 56
3.3.2 EDFS.................................................................................................. 57
3.3.3 ESEEM dois pulsos............................................................................ 61
3.4 Conclusões ..........................................................................................................67
4 Estudo do Gel Pentóxido de Vanádio por RPE.................................................. 69
4.1 Introdução ..........................................................................................................69
4.2 Experimental ......................................................................................................71
4.3 Resultados e discussões ......................................................................................72
4.3.1 Resultados prévios de EPR CW......................................................... 72
4.3.2 RPE pulsada ....................................................................................... 78
4.4 Conclusões ..........................................................................................................92
5 Estudo da mudança estrutural foto-induzida em filmes de vidros a base de
polifosfato de antimônio ............................................................................................ 94
5.1 Introdução ..........................................................................................................94
5.2 Experimental ......................................................................................................95
5.3 Resultados e Discussões ..................................................................................... 97
5.3.1 RPE CW............................................................................................. 98
5.3.2 RPE pulsada ..................................................................................... 101
5.4 Conclusões ........................................................................................................110
6 Simulação computacional de espectros de RPE de onda contínua .................. 112
7 Apêndice - The harmonic inversion of the field-swept fixed-frequency
resonance spectrum .................................................................................................. 115
7.1 ABSTRACT ......................................................................................................115
7.2 Introduction ......................................................................................................115
7.3 Theory, results and discussion.........................................................................118
7.3.1 Example 1: the diagonal case........................................................... 125
7.3.2 The filter diagonalization method (FDM)........................................ 128
7.3.3 Example 2: the non-diagonal case.................................................... 131
7.3.4 Example 3: the singular case............................................................ 133
7.3.5 Limitations of the proposed method. ............................................... 135
7.4 Conclusions ......................................................................................................136
7.5 Acknowledgements ........................................................................................... 137
8 Referências....................................................................................................... 138
Índice de Figuras
Figura 2-1: Diagrama esquemático de um espectrômetro de RPE pulsada. ................................................. 8
Figura 2-2: Amplitude aproximada das diversas interações do Hamiltoniano de spin............................... 14
Figura 2-3: Diagrama que mostra o referencial girante (,y´,z´) com relação ao referencial do
laboratório (x,y,z). Esse referencial rotaciona na freqüência angular
ω
mw
e tem o mesmo sentido de
rotação do vetor B
1
..................................................................................................................................... 16
Figura 2-4: Rotação da magnetização M devido à aplicação de um pulso de π/2 (a) e um pulso de π
(b). 18
Figura 2-5: Evolução da magnetização M com o tempo após a aplicação de um pulso de π/2, alinhado
ao longo do eixo x do referencial girante, para (a) componente da magnetização ao longo do eixo x do
referencial girante e para (b) ao longo do eixo z. ....................................................................................... 21
Figura 2-6: Evolução da magnetização M no plano transversal para
ω
mw
fora da condição de
ressonância (isto é, 0). (a) o eixo x do referencial girante e para (b) o eixo y. ..................................... 23
Figura 2-7: Descrição fenomenológica do FID. ......................................................................................... 25
Figura 2-8: (a) Um pulso de radiação monocromática de duração τp. (b) O espectro de freqüências do
pulso, descrito pela eq.2-22........................................................................................................................ 29
Figura 2-9: Situação experimental na qual o tempo morto (correspondente à área demarcada em azul)
impede a observação parte inicial do sinal de FID..................................................................................... 31
Figura 2-10: Evolução da magnetização em um experimento típico para observar o eco de spins
através de uma seqüência de dois pulsos.................................................................................................... 32
Figura 2-11: Diagrama simplificado mostrando a seqüência de pulsos utilizada para medir o tempo de
memória T
m
. A amplitude do eco como função do intervalo entre os pulsos,
τ
, é parametrizada pelo
tempo de memória de fase T
m
..................................................................................................................... 33
Figura 2-12: Seqüência de Carr-Purcell-Meiboom-Gill (CPMG). ............................................................. 33
Figura 2-13: Formação do eco estimulado. (a) seqüência de pulsos; (b) magnetização no plano xy
depois do primeiro período de evolução τ; (c) situação após o segundo pulso de π/2 e o decaimento da
magnetização transversal; (d) situação imediatamente após o terceiro pulso de π/2 e (e) formação do
eco depois do segundo período de evolução τ............................................................................................ 35
Figura 2-14: Diagrama ilustrando o mecanismo na geração do eco estimulado. (a) Componente
longitudinal da magnetização logo após o segundo pulso. (b) Transformada de Fourier do espectro
mostrado em (a), que corresponde ao eco estimulado................................................................................ 36
Figura 2-15: Visualização de todos os ecos e FIDs induzidos por uma seqüência de 3 pulso de π/2. Na
figura aparecem 3 ecos primários (EP), um eco estimulado (ES) e um eco refocalizado (ER).................. 38
Figura 2-16: Ilustração do experimento de inversão-recuperação. (a) T
1
é obtido com uma seqüência
de três pulsos (π)-T-(π/2)-
τ
-(π), onde a amplitude do eco é medida em função de T e o intervalo de
tempo
τ
entre o segundo e o terceiro pulso é mantido fixo. (b) mostra a variação da intensidade do eco
como função de T....................................................................................................................................... 41
Figura 2-17: Diagrama da seqüência de pulsos de um experimento de ESEEM........................................ 42
Figura 2-18: Precessão do spin nuclear para diferentes orientações do spin eletrônico. ............................ 44
Figura 2-19: a) Diagrama de níveis de energia para um sistema de spins S = I = 1/2. b) Espectro
esperado mostrando as transições eletrônicas mais intensas (permitidas) e as mais fracas (proibidas). .... 45
Figura 2-20: (a) Dependência da amplitude do eco em função do tempo de separação entre os pulsos
para uma seqüência de ESEEM dois pulsos. (b) Espectro de freqüência obtido a partir do
processamento do sinal apresentado em (a). .............................................................................................. 46
Figura 3-1: Espectros de RMN do
19
F (a) e
23
Na (b) sob rotação em ângulo mágico das amostras A1,
A5 e NaF a 16.44 T. Adaptado a partir da referência [30]. ........................................................................ 53
Figura 3-2: Rede cúbica do NaF................................................................................................................. 54
Figura 3-3: Espectros de RPE CW das amostras A5 e A1. Medidas realizadas a 10 K, freqüência em
9.477634 GHz, potência de 8.0 mW, freqüência modulação 100.00 kHz e amplitude de modulação
15.00 Gauss. ............................................................................................................................................... 57
Figura 3-4: Espectros de EDFS. Medidas realizadas a 10 K, freqüências em torno de 9.75 GHz e com
separação entre os pulsos de 250 ns e shot repetition time de 4 ms. .......................................................... 59
Figura 3-5: Espectros de EDFS com supressão por T
1
da amostra A5. Medidas realizadas a 10 K,
freqüência em 9.753 GHz e com separação entre os pulsos de 250 ns....................................................... 60
Figura 3-6: Parte real da amplitude do eco em função do tempo de separação entre os pulsos,
τ
, para
vários valores do tempo de repetição. Medidas realizadas na amostra A5, a 10K, com o campo
magnético estático em 3377.00 G, freqüência em 9.750 GHz (g 2.06) e com separação inicial entre
os pulso de 250 ns. ..................................................................................................................................... 62
Figura 3-7: ESEEM 2 pulsos com supressão por T
1
da amostra A5. Medidas realizadas a 10K, com o
campo magnético estático em 3377.00 G, freqüência em 9.750 GHz e com separação inicial entre os
pulso de 250 ns........................................................................................................................................... 63
Figura 3-8: ESEEM dois pulso realizados em várias posições do espectro. (a) Mostra o espectro de
EDFS da amostra A3 com indicações das posições de campo magnético onde foram realizadas as
medidas de ESEEM dois pulsos. (b) Mostra as freqüências dos picos encontrados nos espectros de
ESEEM dois pulsos em (c) contra o campo magnético e seu respectivo ajuste linear. Medidas
realizadas a 10 K, freqüência em 9.753 GHz e com separação inicial entre os pulsos de 250 ns e shot
repetition time de 4 ms............................................................................................................................... 64
Figura 3-9: ESEEM dois pulsos das amostras A1- A5 em g 2.06. Medidas realizadas a 10K,
freqüência em 9.750 GHz e com separação inicial entre os pulso de 250 ns e shot repetition time de 4
ms. 65
Figura 4-1: Estrutura laminar do xerogel pentóxido de vanádio, V
2
O
0
:nH
2
O, com n = 1.8 [42]. ............. 70
Figura 4-2: Modelo estrutural proposto para os ligantes do íon V
4+
. ......................................................... 72
Figura 4-3: Espectros de RPE CW do xerogel pentóxido de vanádio, V
2
O
0
:1.8H
2
O, obtidos em função
da temperatura. As linhas pontilhadas indicam a posição do campo de duas linhas laterais bem
resolvidas. A separação entre essas duas linhas, A(T), é uma estimativa grosseira da separação
hiperfina. (figura adaptada a partir de [43]) ............................................................................................... 74
Figura 4-4: Dependência da separação hiperfina com a temperatura, A(T), medidas de acordo com o
procedimento descrito na Figura 4-3. A partir deste gráfico uma região de transição, em torno de 287
K, ou 7
o
C pode ser estimada. (figura adaptada a partir de [43]) ................................................................ 75
Figura 4-5: Espectros de RPE CW do xerogel pentóxido de vanádio, V
2
O
5
:nH
2
O, e simulações. Os
dados experimentais (linha sólida), que foram obtidos a 65K, e a simulação (linha pontilhada) são
mostrados em (a). O espectro simulado consiste de um espectro estruturado devido a íons V
4+
isolados
(linha sólida) somado a uma linha de base lorentziana larga (linha pontilhada) como mostrado em (b).
Em (b) a linha larga foi subtraída do espectro resultando (em linha cheia) o espectro correspondente
aos V
4+
isolados. Os valores dos parâmetros utilizados nas simulações estão descritos no texto. (figura
adaptada a partir de [43]) ........................................................................................................................... 76
Figura 4-6: Espectros de RPE CW do xerogel pentóxido de vanádio, V2O5:nH2O, e simulações. Os
dados experimentais (linha sólida), que foram obtidos a 308.8K, e a simulação (linha pontilhada) são
mostrados em (a). O espectro simulado consiste de um espectro estruturado devido a íons V
4+
isolados
(linha sólida) somado a uma linha de base lorentziana larga (linha pontilhada) como mostrado em (b).
Os valores dos parâmetros utilizados nas simulações estão descritos no texto. (figura adaptada a partir
de [43]) 77
Figura 4-7: Espectros de EDFS obtidos a 6K para diferentes separações (200, 300 e 400 ns) entre os
dois pulsos de durações 12 ns e 14 ns , respectivamente (espectros a esquerda) e, para diferentes
larguras de pulsos (0 dB : 12-16 ns , 15 dB : 36-70 ns e 18 dB : 50-70 ns) para uma separação fixa de
230 ns (espectros a direita)......................................................................................................................... 79
Figura 4-8: (a) Espectro de EDFS realizado em 6K e com separação de 250 ns entre os pulsos de π/2 e
π de durações 36 ns e 62 ns, respectivamente. (b) Integral do espectro de RPE CW mostrado na Figura
4-5 (a). 80
Figura 4-9: Espectro de EDFS no qual são destacadas as posições de campo onde foram realizadas as
medidas de ESEEM dois pulsos. As barras laranja indicam a região paralela de cada transição e as
barras azuis indicam a região perpendicular, conforme simulação da Figura 4-14.................................... 81
Figura 4-10: Decaimento do logaritmo da amplitude do eco (2 pulsos) em função do tempo de
separação entre os pulsos em três posições de campo magnético. Durações dos pulsos: 12 ns e 14 ns,
respectivamente. Somente na medida efetuada em g = 2.075 estão presentes as modulações associadas
ao núcleo
1
H. .............................................................................................................................................. 82
Figura 4-11: Espectros de ESEEM dois pulsos obtidos em diversos campos. ........................................... 84
Figura 4-12: Parâmetros obtidos a partir dos ajustes das curvas de decaimento do eco em diferentes
posições do espectro. A função utilizada no ajuste é uma soma de duas funções exponenciais de
intensidades I
a
e I
b
, respectivamente, e constantes de tempo T
m
A
e T
m
B
, respectivamente. ........................ 86
Figura 4-13: Espectro com simetria axial típico de EDFS e seleções de orientações na esfera. As setas
indicam posições em que um espectro de mono-cristal seria observado. A posição (1) corresponde às
transições observadas quando o eixo de simetria axial do mono-cristal aponta na direção paralela ao
campo e, em (2), perpendicular ao campo.................................................................................................. 88
Figura 4-14: Simulação do espectro de EDFS mostrando a contribuição de cada transição para o
espectro total. ............................................................................................................................................. 89
Figura 5-1 - Espectro de difração de raios-X do [Sb(PO
3
)
3
]
n
produzido [59]. ........................................... 96
Figura 5-2: Espectro de RPE CW do vidro 20% [Sb(PO
3
)
3
]
n
–80% Sb
2
O
3
dopado com 2 % de CuO (em
vermelho) obtido a 30K e o espectro simulado (em preto). ....................................................................... 98
Figura 5-3 Estrutura para os vidros de [Sb(PO
3
)
3
]
n
–Sb
2
O
3
mostrando um átomo de Sb em sítio
octaédrico cercado por seis tetraedros PO
4
. ............................................................................................. 100
Figura 5-4 Espectros de RPE obtidos para composição 20% [Sb(PO
3
)
3
]
n
–80% Sb
2
O
3
com 2 % de
Cu
2
, (vermelho) Filme não-irradiado, (azul) Filme irradiado com UV e (preto) vidro precursor.
Medidas realizadas a 30K. ....................................................................................................................... 100
Figura 5-5: Espectros de EDFS obtidos a 10K. Seqüência de dois pulsos com separação de 180 ns.
Freqüência de operação em 9.750 GHz.................................................................................................... 101
Figura 5-6: Primeira derivada dos espectros de EDFS mostrados na Figura 5-5. .................................... 102
Figura 5-7: Simulação do espectro de EDFS do filme irradiado.............................................................. 103
Figura 5-8: Decaimento da amplitude do eco em função da separação entre os pulsos para uma
seqüência de ESEEM dois pulsos. Medidas realizadas a 10K, campo magnético em 3332 Gauss e
freqüência de operação em 9.750 GHz..................................................................................................... 105
Figura 5-9 – Espectros ESEEM dois pulsos obtidos a partir das curvas mostradas na Figura 5-8........... 106
Figura 5-10: Imagem produzida a partir de espectros de ESEEM dois pulsos obtidos em 64 valores de
campo magnético para o vidro precursor. As cores mais escuras representam as intensidades maiores.
As linhas destacam os picos referentes à freqüência de Larmor do
31
P e a sua segunda harmônica.
Medidas realizadas a 10K. ....................................................................................................................... 108
Figura 5-11: Espectros ESEEM três pulsos obtidos a 10K com separação entre o primeiro e o segundo
pulso de 250 ns. Campo magnético em 3332 Gauss e freqüência de operação em 9.750 GHz................ 109
Figura 7-1: Matrix elements L(i,j) as a function of magnetic field x (A1, A2) and corresponding
energy level transition (B1, B2) for the electronic spin system S = 1 and I = 1/2 of Example 1. On the
left, solid lines correspond to real component and dashed to imaginary. The x-dependence of the sum
of the elements of matrix L, C(x) as defined in the text, is shown in (A3) with the corresponding
energy level transitions (B3). ................................................................................................................... 126
Figura 7-2: Energy level transitions diagram for the electronic spin system S = 2 and I = 1 of Example
2. 132
Figura 7-3: Energy level transitions diagram for the electronic spin system S = 1 and I = 1/2 of
Example 3. The zero-field transition is not shown................................................................................... 134
Índice de tabelas
Tabela 3-1: Amostras utilizadas e os tratamentos pelos quais cada uma foi submetida............................. 55
Tabela 5-1: Valores obtidos a partir de ajustes feitos a partir das curvas da Figura 5-8. ......................... 106
Tabela 7-1: Map of the matrix L of Example 1 showing the energy level transition corresponding to
each matrix element L
ij
= L(i,j). For example, the element L(1,3) is associated to the transition
between levels 3 and 4; the element L(3,1) is associated to the transition between levels 1 and 2.
Energy levels are numbered in ascending order of energy. Just for a guide, the basis functions are
displayed in the same sequence as used to build the Hamiltonian matrices. Blank elements means
absence of associated transitions.............................................................................................................. 127
Tabela 7-2: Resonant fields and corresponding transitions calculated for the Example 1. Resonant
fields calculated from the eigenvalue equation (eq.7-8) are denoted by Field-EE and those calculated
from the differential equation (eq.7-18) by Field-DE. The FDM was used to fit the C(x) data to
eq.7-20. The indicated errors correspond to the deviation, in ppm, between the microwave energy and
levels separation at each specified resonance field calculated from eq.7-18............................................ 128
i
Resumo
A investigação estrutural de materiais desordenados tem grande interesse
devido ao rápido progresso de suas aplicações tecnológicas. A ressonância
magnética, particularmente a ressonância paramagnética eletrônica (RPE) de onda
contínua (CW) e pulsada, tem demonstrado ser um método altamente sensível para a
análise das propriedades físicas e químicas de materiais vítreos e amorfos. Neste
trabalho, aplicamos essas técnicas, em particular as técnicas de RPE pulsada,
electron spin echo envelope modulation (ESEEM) com seqüências de dois e três
pulsos e a de echo detected field sweep (EDFS) no estudo de três materiais distintos.
No primeiro trabalho é apresentado um estudo das mudanças estruturais
fotoinduzidas em filmes do sistema vítreo [Sb(PO
3
)
3
]
n
–Sb
2
O
3
dopados com Cu
2+
.
Esse material possui a propriedade de fotocontração quando exposto à luz
ultravioleta. As medidas de RPE CW e de EDFS mostram que ocorre uma distorção
na estrutura local quando o filme é irradiado por UV. Os espectros de ESEEM
mostram a presença e uma linha de
31
P que diminui drasticamente quando o filme é
irradiado.
O segundo trabalho descreve o estudo do xerogel pentóxido de vanádio, V2O5:
nH2O com n = 1.8. Os espectros de RPE CW do V
4+
na temperatura ambiente exibem
uma estrutura hiperfina isotrópica tipicamente observada em quidos. Em baixas
temperaturas (65K) o espectro é anisotrópico e corresponde ao observado para
amostras sólidas em pó. As simulações dos espectros CW estão em acordo com os
resultados experimentais. Estudos de ESEEM em baixas temperaturas, efetuados
para diversos valores do campo externo mostram que as modulações correspondentes
aos núcleos
1
H existem somente para as componentes perpendiculares do espectro de
ii
EDFS. Os resultados obtidos são consistentes com o modelo estrutural no qual quatro
radicais OH estão situados em posições equivalentes no plano equatorial da estrutura
do V
4+
. Uma molécula de água pode estar localizada no sitio oposto da ligação axial
V=O.
No terceiro trabalho são estudados vidros foto-termo-refrativos (photo-
thermo-refractive ou PTR). Vidros PTR do sistema O-Si-Na-Zn-Al-K-F-Br dopados
com Ce, Ag, Sn, Sb exibem cristalização em nano-escala, induzidas após irradiação
com luz ultravioleta e subseqüentes tratamentos térmicos. Neste trabalho, conjuntos
de amostras irradiadas e/ou tratadas termicamente são analisados por RPE CW,
EDFS e ESEEM. RPE CW não forneceu informações confiáveis sobre a estrutura do
vidro. Mudanças significativas foram observadas nos espectros de EDFS, indicando
mudanças estruturais na vizinhança dos centros paramagnéticos. Medidas
sistemáticas de ESEEM em várias posições de campo magnético mostram
claramente a modulação característica de
23
Na, indicando que núcleos de Na o
parte da estrutura ligante ao redor do centro observado. Para a amostra irradiada e
tratada por 1 hora a 450ºC e 2 horas a 520ºC, o espectro de ESEEM obtido nas
proximidades de g = 2 mostra a presença adicional de uma linha que pode ser
atribuída a íons de
19
F. Comparando-se com resultados de RMN, pode-se concluir
que domínios de NaF são formados nas proximidades desse centro paramagnético.
O quarto trabalho está relacionado com a simulação numérica de espectros de
RPE CW e consiste em um estudo teórico a respeito da determinação dos auto-
campos de um Hamiltoniano de spin. O algoritmo proposto pode ser resolvido pelo
“Filter Diagonalization Method”, ou FDM, sugerindo uma nova metodologia capaz
de resolver o problema de uma maneira mais direta do que a empregada pelos
métodos usuais.
iii
Abstract
The structural investigation of disordered materials has been of great interest
due to fast progress in technological applications. Magnetic resonance, particularly
the pulsed and continuous wave electron paramagnetic resonance (EPR), has
demonstrated to be a high sensibility method to analyze chemical and physical
properties of disordered and vitreous materials. In this work, we applied these
techniques, particularly the electron spin echo envelope modulation (ESEEM) with
two and three pulses and echo detected field sweep (EDFS) to investigate three
different materials.
In the first investigation, we show a study of photo-induced structural
changes in the [Sb(PO
3
)
3
]
n
–Sb
2
O
3
vitreous system films doped with Cu
2+
ions. This
material has photo-contraction properties when exposed to UV light. EPR CW and
EDFS measurements show that the local structure is distorted when the film is UV
irradiated. The ESEEM spectra show the presence of a
31
P line that vanishes for
irradiated films.
The second work describes the study of vanadium pentoxide xerogel V2O5 :
nH2O with n = 1.8. The CW EPR spectra of V
4+
at room temperature exhibts the
isotropic hyperfine structure typical of liquid phases. At low temperatures (65 K) the
spectrum is anysotropic, as expected for solid powder samples. Numerical
simulations of the EPR spectra in the two temperature limits are in good agreement
with the experimental data. An ESEEM study carried out at low temperatures and for
different static field values show that the nuclear modulations associated to
1
H nuclei
are observable only for the perpendicular components of the EDFS spectrum. Results
are consistent with the structural model in which the four OH radicals are placed in
iv
equivalent positions of the V
4+
structure equatorial plane. A water molecule can be
placed in the opposite site of the axial V=O bond.
In the third work, CW and pulsed EPR spectroscopy techniques were applied
to study the effects of the thermal treatments and UV irradiation on photo-thermo-
refractive (PTR) glasses. PTR glasses of the system O-Si-Na-Zn-Al-K-F-Br doped
with Ce, Ag, Sn, Sb exhibit NaF crystallization at nano-scale, induced after U.V.
irradiation and subsequent thermal treatments. Sets of irradiated and/or thermal
treated samples were analyzed at the X-band by CW and pulsed techniques, such as
EDFS and ESEEM.
The forth work is related to the numerical simulation of CW EPR spectra and
reports a new technical approach to the resonance field problem associated with a
given spin hamiltonian. The proposed alghoritm can be solved by the “filter
diagonalization method” (FDM), suggesting a new methodology, which is capable to
solve the problem in a more straightforward way when compared to existing
methods.
5
1 Introdução
Uma das maiores tendências na física do estado sólido durante as últimas
décadas tem sido uma mudança gradual da atenção dada ao cristal ideal ou “quase
perfeito” para objetos desordenados. O rápido progresso em aplicações tecnológicas
de materiais como policristais, cerâmicas, vidros e filmes finos amorfos, dentre
outros, foi inicialmente baseado na descoberta de suas propriedades óticas, elétricas e
magnéticas muito promissoras. Contudo, a prospecção de futuros desenvolvimentos
na área depende fortemente dos avanços no entendimento da física de materiais
desordenados. Posto que seja a estrutura quem determina as propriedades
fundamentais dos sólidos, a investigação estrutural de materiais desordenados é de
extrema importância.
Nesse cenário, a ressonância magnética, particularmente a ressonância
paramagnética eletrônica (RPE) de onda contínua e pulsada, tem demonstrado ser um
método altamente sensível para a análise de propriedades físicas e químicas de
materiais amorfos [1], visto que centros paramagnéticos existentes no material ou
incorporados a ele podem ser usados como sonda. Da investigação do estado de
valência desses centros, juntamente com parâmetros magnéticos estáticos e
dinâmicos e suas distribuições, pode-se determinar diretamente a estrutura local ou
obter-se informações que ajudem no entendimento da dinâmica e estrutura local. As
distribuições aleatórias das distâncias e ângulos das ligações se manifestam nos
espectros de RPE de onda contínua (CW), como g-strains [2] e acoplamentos
hiperfinos não resolvidos com núcleos vizinhos, por exemplo. Por um lado isso
complica a análise do espectro, mas, por outro lado, o espectro contém informações
valiosas sobre as esferas de coordenação dos centros paramagnéticos.
6
Técnicas de RPE pulsada também são utilizadas no estudo de materiais
amorfos e vítreos. Em particular, as técnicas de electron spin echo envelope
modulation (ESEEM) com seqüências de um e dois pulsos e a de echo detected field
sweep (EDFS) [3, 4], tem se tornado promissoras como métodos de obtenção de
informação sobre a estrutura e a dinâmica locais. Com esses métodos é possível
identificar núcleos nas proximidades de íons de metais de transição ou de centros
paramagnéticos, bem como utilizar os tempos de relaxação spin-spin e spin-rede
como parâmetros de filtragem na deconvolução de espectros mais complexos [5].
Neste trabalho utilizaremos as técnicas da ressonância magnética, principalmente
ressonância paramagnética de onda contínua e pulsada (RPE cw e RPE pulsada), na
investigação da estrutura e mecanismos de mudança estrutural de alguns sistemas
amorfos e vítreos.
No capítulo 2 são fornecidos conceitos teóricos básicos para o entendimento
do trabalho. Serão apresentados os métodos experimentais básicos utilizados na
manipulação de sistemas de spins eletrônicos e nucleares através da aplicação de
microondas. Neste capítulo também serão descritas as técnicas de RPE pulsada
utilizadas, como EDFS e ESEEM.
No capítulo 3 utilizamos as cnicas de RPE de onda contínua e pulsada no
estudo dos efeitos da irradiação com UV e tratamentos térmicos sobre vidros foto-
termo-refrativos (PTR) do sistema O-Si-Na-Zn-Al-K-F-Br dopados com Ce, Ag, Sn,
Sb. A exploração das técnicas de RPE pulsada através da variação dos parâmetros
utilizados nas seqüências de pulsos se mostrou muito útil na investigação da estrutura
local do vidro, bem como dos efeitos da radiação UV e dos tratamentos térmicos.
No Capítulo 4 relatamos o estudo do xerogel de pentóxido de vanádio
V
2
O
5
:nH
2
O (n 1.8). As técnicas de RPE pulsada EDFS e ESEEM dois pulsos
7
foram utilizadas com o intuito de se conseguir informação a respeito da estrutura
local dos ligantes do íon paramagnético V
4+
.
No capítulo 5 é mostrado o estudo sobre a mudança estrutural foto-induzida
em filmes produzidos a partir de vidros a base de polifosfato de antimônio. Esses
filmes apresentam fotocontração quando expostos a luz ultravioleta, propriedade de
grande interesse tecnológico. Para que os mecanismos que levam a esse efeito
fossem investigados através das técnicas de RPE citadas anteriormente, íons de Cu
2+
foram incorporados ao material. A partir dos resultados obtidos, são discutidos os
possíveis mecanismos e um modelo para fotocontração é apresentado.
No capítulo 6 é proposto um novo formalismo para o cálculo dos campos de
ressonância de um espectro de RPE CW, associados a um determinado hamitoniano
de spin. O procedimento de cálculo é inétido e utiliza como ferramenta básica o filter
diagonalization method, FDM, recentemente popularizado.
8
2 Conceitos teóricos
2.1 Fundamentos de RPE Pulsada
2.1.1 O Espectrômetro de RPE Pulsada
Figura 2-1: Diagrama esquemático de um espectrômetro de RPE pulsada.
O desenho de um espectrômetro de RPE pulsada é significativamente
diferente de um espectrômetro de RPE CW [6]. Um diagrama esquemático ilustrando
os principais componentes de um espectrômetro de RPE pulsada é mostrado na
Figura 2-1. O oscilador de microondas é composto por um diodo de Gunn que gera
miliwatts de radiação contínua. Esse gerador fornece microondas para a unidade
9
formadora de pulsos e também para os mixers do sistema de detecção em fase e
quadratura.
A unidade geradora de pulsos consiste de 4 canais, cada um equipado com
um atenuador, um defasador e uma chave rápida de microondas, com tempos de
chaveamento da ordem de 1 ns. Cada canal permite o ajuste individual da amplitude,
fase e duração dos pulsos. Embora um único canal seja suficiente para experimentos
mais básicos, vários canais são necessários para experimentos mais elaborados, pois
exigem mudanças rápidas de fase e amplitude.
O padrão de pulsos gerados pelos diferentes canais são combinados e
direcionados a um amplificador de potência TWT (Travelling Wave Tube). Esse
amplificador fornece microondas com aproximadamente 1kW de potência em sua
saída. O sinal que é ajustado por um atenuador variável e posteriomente aplicado à
amostra na cavidade através de um circulador de microondas. Esse circulador garante
que as microondas provenientes da cavidade não retornem ao TWT e sejam enviados
para um pré-amplificador através de uma chave de defesa. A chave de defesa proteje
a etapa de detecção do espectrômetro durante a aplicaçãos dos pulsos. O sinal
amplificado é então misturado com uma amostra do sinal proveniente do gerador de
microondas. Os sinais resultantes, em fase e quadratura, são então digitalizados e
finalmente gravados em um computador.
2.1.2 Hamiltoniano de Spin
Para obterem-se os campos ressonantes e as probabilidades de transição entre
os estados do sistema de spins é necessário considerar todas as interações que
conduzem às diferenças de energia entre estados com diferentes momentos
angulares. As contribuições de todas estas interações levam ao estabelecimento do
10
Hamiltoniano de spin. As interações mais relevantes para o entendimento deste
trabalho serão resumidas nesta seção.
2.1.2.1 Interação Zeeman eletrônica
A primeira contribuição a ser considerada é a interação Zeeman eletrônica,
que descreve o acoplamento do momento de dipolo magnético do spin eletrônico
com o campo magnético estático externo. Em geral, esta interação é anisotrópica e
normalmente formulada por uma Hamiltoniana efetiva:
SgB
h
e
ZE
H
β
= ,
eq.2-1
B e S são as representações vetoriais do campo magnético externo do spin eletrônico,
respectivamente, g é uma matriz de interação de dimensão 3×3 (popularmente
chamada de “matriz-g” ou “tensor-g”) e
β
e
é o magneton de Bohr.
2.1.2.2 Interação de campo zero
Para S > 1/2 e em simetrias menores que cúbicas, a degenerescência do estado
fundamental pode ser levantada por interações que não dependem do campo externo
e por isso denominadas de “interações de campo zero”. Neste caso, a Hamiltoniana
efetiva pode ser dada por:
SDS=
ZFS
H ,
eq.2-2
onde D é o tensor de interação de campo zero ou tensor de estrutura fina. Em sua
forma, esta Hamiltoniana é idêntica à da interação quadrupolar nuclear (ver adiante),
de forma que Abragam e Bleaney [5] a chamam de estrutura fina quadrupolar
eletrônica para íons de metais de transição. De fato, esses autores mostram que ela
pode ser considerada como originária de uma distorção quadrupolar da densidade de
11
magnetização. Esta distorção é, por sua vez, causada por um efeito de segunda ordem
do acoplamento spin-órbita. Pode-se mostrar que o traço de D não tem significado
espectroscópico, visto que ele indica apenas um deslocamento de todos os níveis por
uma quantidade de energia constante. Podendo ser tratado como um tensor de traço
nulo, D pode ser escrito nos seus eixos principais com apenas dois parâmetros, D e
E, tal que:
( )
( )
222)0(
1
3
1
yxzZFS
SSESSSDH +
+=
.
eq.2-3
Pode-se definir um fator de assimetria η para o tensor D através de
E
D
=
η
.
eq.2-4
O caso em que η = 0 (E = 0) D corresponde a um tensor axial.
2.1.2.3 Interação elétron-núcleo
O acoplamento do momento de dipolo magnético do spin eletrônico com o
momento de dipolo de spins nucleares é denominado de “interação hiperfina” e
“interação super-hiperfina”. O primeiro nome é normalmente utilizado para designar
a interação do elétron com o núcleo do próprio íon enquanto que o segundo designa a
interação do elétron com os núcleos dos íons ligantes. Na maioria dos casos, a
primeira interação é cerca de 10 a 100 vezes mais intensa que a segunda. De uma
forma geral, ambos os casos podem ser descritos pela hamiltoniana:
=
=
n
k
kkHF
H
1
ISA
.
eq.2-5
A
k
são as matrizes hiperfinas, I
k
são as representações vetoriais dos spins nucleares e
n é o número de spins nucleares acoplados ao spin do elétron.
12
A interação elétron-núcleo é constituída por duas partes. A primeira é
conhecida como “interação dipolar” ou “interação anisotrópica”, que representa o
acoplamento entre o spin eletrônico e o spin nuclear na chamada aproximação
dipolo-dipolo, ou seja, aproximação em que os dipolos magnéticos do elétron e do
núcleo são considerados pontuais e localizados. A segunda contribuição para a
interação elétron-núcleo surge do fato de que pode existir uma densidade de carga
finita do elétron na posição do núcleo. Por exemplo, se o orbital s de um átomo
contribui para o orbital molecular ocupado pelo spin eletrônico, a interação do
elétron com o núcleo central conduz a uma interação hiperfina isotrópica chamada de
“interação de contato de Fermi”. Por outro lado, quando a densidade de spin dos
elétrons desemparelhados é fundamentalmente oriunda dos orbitais p, d ou f, o
acoplamento é em geral do primeiro tipo, isto é, dipolar e anisotrópico, visto que
estes orbitais apresentam uma densidade nula no núcleo e são de simetria não-
esférica. Uma discussão mais detalhada dos mecanismos da interação elétron-núcleo
pode ser encontrada em [8].
2.1.2.4 Interação Zeeman nuclear
Enquanto todas as contribuições para a Hamiltoniana de spin consideradas até
agora envolviam o spin eletrônico e causavam efeitos de primeira ordem no espectro
de RPE, existem também termos que envolvem apenas spins nucleares. Estes termos
podem influenciar o espectro de RPE significativamente em situações nas quais os
efeitos de segunda ordem passam a ser importantes. A primeira destas interações é o
acoplamento do spin nuclear com o campo magnético estático externo, denominado
interação Zeeman nuclear:
13
=
=
n
k
kokn
n
ZN
gH
1
,
IB
h
β
.
eq.2-6
β
n
é o magneton nuclear, g
n
é o fator-g nuclear. A freqüência de precessão do spin
nuclear (freqüência de Larmor nuclear) na presença do campo estático B
o
é dada por:
h
0,
Bg
knn
kN
β
ω
= .
eq.2-7
O sinal negativo implica que, diferentemente dos spins eletrônicos, estados
com números quânticos m
I
maiores tem energia maior para valores g
n
positivos.
2.1.2.5 Interação quadrupolar nuclear
No caso de spins nucleares I
k
> 1/2 existe a interação entre o quadrupolo
elétrico do núcleo com um gradiente de campo elétrico que geralmente é
estabelecido pela distribuição de cargas na vizinhança do centro paramagnético. A
interação quadrupolar nuclear pode ser escrita como:
=
=
n
k
kkkQ
H
1
IPI .
eq.2-8
Uma comparação com a eq. (2.2) mostra que a interação quadrupolar nuclear
pode ser tratada formalmente de forma análoga à interação eletrônica de campo zero.
2.1.2.6 Hamiltoniana efetiva
Finalmente, a hamiltoniana efetiva completa para a descrição dos nossos
experimentos de RPE CW é dada por:
QZNHFZFSZE
HHHHHH ++++=
0
.
eq.2-9
Esta Hamiltoniana é freqüentemente referenciada como Hamiltoniana de spin
de Abragam-Pryce, visto que foi descrito pela primeira vez por estes autores [9].
Uma visão geral da amplitude destas interações é dada pela Figura 2-2.
14
Figura 2-2: Amplitude aproximada das diversas interações do Hamiltoniano de spin.
2.1.3 Equações de Bloch
A descrição fenomenológica dos efeitos da relaxação de um sistema de spins
pode ser descrita pelas equações de Bloch, as quais foram introduzidas por Felix
Bloch em 1946 [10] para descrever o então novo experimento de ressonância
magnética nuclear (RMN). Elas descrevem a dependência temporal do vetor
magnetização M na presença de campos magnéticos estáticos e dependentes do
tempo. Embora estas equações representem uma descrição fenomenológica, elas são
muito úteis, pois fornecem um modelo semi-clássico intuitivo do fenômeno de
ressonância magnética em termos de vetores e torques. Esta característica é
especialmente útil quando se procura entender os efeitos dos pulsos de microondas
sobre o sistema de spins. As equações de Bloch também simplificam as complicadas
interações entre os spins e seu ambiente através do seu agrupamento em termos dos
tempos de relaxação fenomenológicos T
1
e T
m
e são uma preparação para a adoção
do formalismo mais complexo como o de matriz densidade.
15
As equações de Bloch representam um sistema de equações diferenciais de
primeira ordem para as componentes cartesianas do vetor magnetização M =(M
x
, M
y
,
M
z
) no referencial do laboratório. Para os casos que iremos considerar adiante, o
sistema magnético de interesse está sujeito a um campo magnético estático, B
o
=
B
o
(0, 0, 1), e um campo magnético circularmente polarizado e dependente do tempo,
B
1
= B
1
(cos(
ω
mw
t), sen(
ω
mw
t), 0), de tal forma que o campo total vale B = (B
1
cos(
ω
mw
t), B
1
sen(
ω
mw
t), B
o
). Estas definições levam em conta que, devido às regras
de seleção impostas às transições de RPE, o campo magnético oscilante proveniente
da radiação de microondas (B
1
) deve estar orientado perpendicularmente ao campo
estático B
0
.
É conveniente descrever o movimento da magnetização num referencial onde
B
1
seja independente do tempo. B
1
torna-se independente do tempo em um novo
referencial que gira em torno do eixo z com a freqüência
ω
mw
. Neste novo
referencial, denominado de “referencial girante” (vide Figura 2-3), a evolução do
vetor magnetização M = (m
x
, m
y
, m
z
) é descrita pelas “equações de Bloch no
referencial girante”:
m
x
y
x
T
m
m
dt
dm
= ,
m
y
zx
y
T
m
mm
dt
dm
=
1
ω
,
1
0
1
T
Mm
m
dt
dm
z
y
z
=
ω
.
eq.2-10
Sendo que o eixo z se mantém inalterado pela transformação de coordenadas,
m
z
= M
z
e m
o
= M
o
. Nestas equações utilizamos: h/
11
Bg
ee
βω
= , usualmente
denominada de “freqüência de Rabi” e
mwe
ωω
= , onde h/
oeee
Bg
βω
= é a
16
“freqüência de Larmor eletrônica”. As eq.2-10 descrevem a dinâmica da
magnetização sujeita a processos de relaxação que foram incluídos
fenomenologicamente através do tempo de “relaxação transversal”, T
m
, e do “tempo
de relaxação longitudinal”, T
1
.
Figura 2-3: Diagrama que mostra o referencial girante (x´,y´,z´) com relação ao referencial
do laboratório (x,y,z). Esse referencial rotaciona na freqüência angular
ω
mw
e tem o mesmo
sentido de rotação do vetor B
1
.
Discutiremos agora algumas situações particulares. A primeira situação
experimental de interesse ocorre quando a freqüência da excitação é ressonante com
o sistema magnético. A condição de ressonância é definida quando a freqüência
angular
ω
mw
do campo de microondas é igual à freqüência de Larmor,
ω
e
. Assim, em
ressonância, a eq.2-10 fica da seguinte forma:
m
xx
T
m
dt
dm
= ,
m
y
z
y
T
m
m
dt
dm
=
1
ω
,
eq.2-11
17
1
0
1
T
Mm
m
dt
dm
z
y
z
=
ω
.
A segunda situação de interesse é quando o sistema magnético é observado
durante intervalos de tempo muito curtos tal que seja possível desprezar os efeitos da
relaxação. Neste caso, podemos assumir T
1
= T
m
= , resultando nas seguintes
equações:
y
x
m
dt
dm
= ,
zx
y
mm
dt
dm
1
ω
= ,
y
z
m
dt
dm
1
ω
= .
eq.2-12
A terceira situação de interesse é um caso particular da eq.2-12 e ocorre
quando o sistema é observado na condição de ressonância, isto é, = 0, resultando:
0=
dt
dm
x
,
z
y
m
dt
dm
1
ω
= ,
y
z
m
dt
dm
1
ω
= .
eq.2-13
Dadas as condições iniciais, as eq.2-13 podem ser facilmente resolvidas.
Considerando que em t = 0 a magnetização está em equilíbrio termodinâmico, isto é,
M(0) = m(0) = (0, 0, M
o
), encontra-se:
0=
x
m ,
tMm
y 10
sen
ω
= ,
tMm
z 10
cos
ω
= .
eq.2-14
18
Estas equações descrevem a rotação da magnetização, com a freqüência de
Rabi
ω
1
, em torno do eixo x do referencial girante, no qual é aplicado o campo B
1
. Se
o tempo de aplicação da microonda for
τ
p
, o ângulo de rotação será dado por
p
τωα
1
= . Quando 2
1
πτωα
==
p
, toda a magnetização será transferida para o
plano xy na direção -y, ou seja,
(
)
0=
px
m
τ
,
(
)
0
Mm
py
=
τ
,
(
)
0=
pz
m
τ
.
eq.2-15
Figura 2-4: Rotação da magnetização M devido à aplicação de um pulso de π/2 (a) e um
pulso de π (b).
Como os processos de relaxação foram ignorados, a magnetização deve
permanecer indefinidamente alinhada ao longo do eixo -y após a aplicação de um
pulso cujo ângulo de rotação é π/2. Este procedimento é normalmente denominado
simplesmente de “pulso de π/2”. Analogamente, após a aplicação de um pulso cujo
ângulo de rotação vale π, a magnetização é transferida para o eixo z e o pulso é
denominado de “pulso de π” (Figura 2-4).
19
Agora, consideremos a situação em que se encontra o vetor magnetização
logo após a aplicação de um pulso de π/2. Neste caso, a magnetização é estática no
referencial girante, mas, ela precessa com freqüência angular
ω
e
no referencial do
laboratório. A projeção da magnetização no plano xy é, portanto, dependente do
tempo e induz um sinal elétrico que pode ser detectado pelo espectrômetro.
Normalmente, este sinal elétrico é aplicado na entrada de um misturador que opera
com a referência
ω
mw
(tecnicamente, esta entrada é chamada de “oscilador local”).
Sendo que a condição de ressonância implica
ω
e
=
ω
mw
, a saída do misturador será
um sinal dc cuja polaridade depende da fase do sinal de referência.
A questão da fase do sistema de detecção é uma questão prática de
fundamental importância. Lembramos aqui que o campo B
1
é independe do tempo no
referencial girante, mas, com relação a este mesmo referencial, sua orientação no
plano xy pode ser arbitrária. Se considerarmos a situação particular em que B
1
está
alinhado ao longo do eixo x do referencial girante, a eq.2-15 descreveria o resultado
correto após a aplicação do pulso de π/2, isto é, a magnetização aponta na direção y
após o pulso. Entretanto, se tivéssemos escolhido posicionar o referencial girante de
tal forma que B
1
se alinhasse ao longo do eixo y, a magnetização apontaria na
direção x após o mesmo pulso. Analogamente, outras situações podem ser
imaginadas, mas o fato importante é que uma escolha particular do posicionamento
de B
1
relativo ao referencial girante permite escolher a direção da magnetização
relativa aos eixos girantes (e, consequentemente, relativa aos eixos do laboratório)
logo após a aplicação de um pulso.
Rigorosamente, o referencial girante é um argumento puramente matemático
que foi utilizado com a intenção de resolver mais facilmente as equações de Bloch e,
por isso, ele que não tem sentido experimental. Entretanto, este aspecto do método
20
matemático, especificamente o ângulo de orientação do campo B
1
com relação ao
referencial girante, pode ter seu análogo experimental associado à fase do sinal de
referência que é aplicado ao misturador do sistema de detecção.
Deixando de lado o aspecto técnico envolvido na teoria da detecção do sinal
de RPE, podemos adiantar que controlar a fase do sinal de referência é
matematicamente e experimentalmente equivalente a controlar a orientação de B
1
com relação ao referencial girante. Portanto, a aplicação de um pulso de microonda
em qualquer direção no sistema girante pode ser simulada em um espectrômetro
moderno. Além disso, o detector de um espectrômetro é do tipo “detector em fase e
quadratura”, o que significa que ele possui duas saídas, cujas dependências temporais
são sempre 90
o
defasadas. Pode-se mostrar que, na forma em que estes detectores são
construídos, estas duas saídas correspondem às componentes x e y da magnetização
no sistema de referencial girante.
Portanto, em vista do arranjo experimental que usualmente é praticado, é
possível aplicar-se pulsos de microonda de tal forma que o campo B
1
esteja orientado
em qualquer direção que se desejar, relativa aos eixos x e y do referencial girante.
Após a aplicação deste pulso, orientado de acordo com a necessidade do
experimento, a evolução temporal da magnetização transversal no referencial
girante pode ser medida pelo detector. Assim, é possível projetar-se experimentos
com ciclagem de fases, o que será discutido logo mais adiante.
21
Figura 2-5: Evolução da magnetização M com o tempo após a aplicação de um pulso de π/2,
alinhado ao longo do eixo x do referencial girante, para (a) componente da magnetização ao
longo do eixo x do referencial girante e para (b) ao longo do eixo z.
Utilizaremos agora as equações de Bloch para analisar uma quarta situação,
na qual o sistema é observado na condição de ressonância, isto é, = 0, na ausência
de radiação aplicada,
ω
1
= 0, e os tempos de relaxação T
1
e T
m
serão considerados
finitos. Evidentemente a análise dessa situação faz sentido após o sistema ter sido
retirado de seu equilíbrio termodinâmico, ou seja, após a magnetização ter sido
rotacionada através da aplicação de um pulso de microondas. Neste caso, as
equações que descrevem a evolução da magnetização são as seguintes:
m
xx
T
m
dt
dm
= ,
m
yy
T
m
dt
dm
= ,
1
0
T
Mm
dt
dm
z
z
= .
eq.2-16
Estas equações denotam claramente que, dadas as condições iniciais, as
componentes transversais, m
x
e m
y
, evoluem exponencialmente ao equilíbrio,
m
x
()=0 e m
y
()=0, com um tempo característico T
m
, enquanto que a componente
longitudinal evolui exponencialmente ao equilíbrio, m
z
()=M
o
, com um tempo
22
característico T
1
. Se a condição inicial for aquela que se obtém logo após a aplicação
de um pulso de π/2 com B
1
alinhado ao longo do eixo x do referencial girante, isto é,
m
x
(0)=0, m
y
(0)=-M
o
e m
z
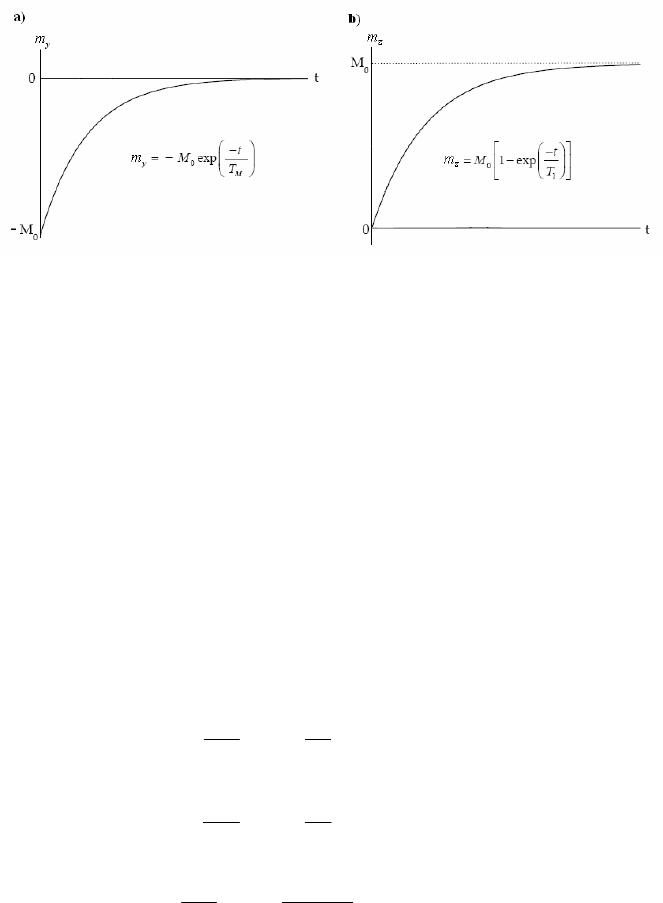
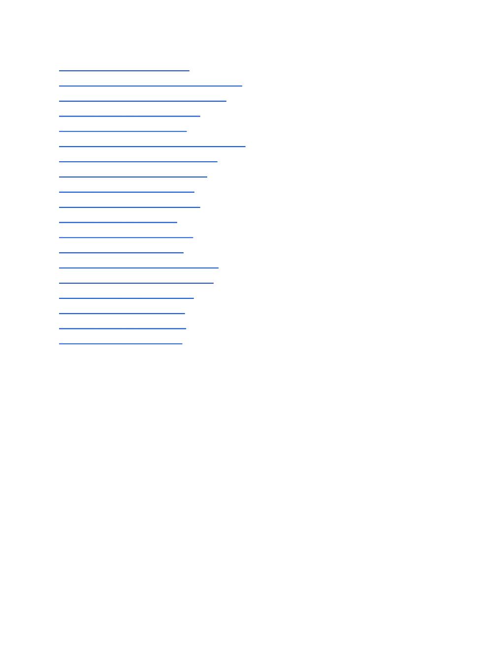
(0)=0, a evolução será: m
x
(t)=0, m
y
(t)=-M
o
exp(-t/T
m
) e
m
z
(t)= M
o
[1-exp(-t/T
1
)], conforme mostrado na Figura 2-5.
Dentre as diversas situações experimentais é muito comum que a evolução da
magnetização após a aplicação de um pulso seja medida fora da condição de
ressonância. Esta situação é um pouco mais geral que a anterior e pode ser descrita
pela eq.2-10 fazendo-se
ω
1
= 0 e 0:
m
x
y
x
T
m
m
dt
dm
= ,
m
y
x
y
T
m
m
dt
dm
= ,
1
0
T
Mm
dt
dm
z
z
= .
eq.2-17
Sendo que as equações para as componentes x e y continuam desacopladas da
componente z, estas equações podem ser facilmente resolvidas e, para as mesmas
condições iniciais do exemplo anterior, m
x
(0)=0, m
y
(0)=-M
o
e m
z
(0)=0, o resultado
que se obtém é: m
x
(t)=M
o
sen(t)exp(-t/T
m
), m
y
(t)=-M
o
cos(t)exp(-t/T
m
) e m
z
(t)=
M
o
[1-exp(-t/T
1
)]. As componentes x e y estão mostradas na Figura 2-6, onde se
observa que ambas oscilam com freqüência e decaem exponencialmente com o
tempo de relaxação T
m
. A freqüência da oscilação, =
ω
e
-
ω
mw
é denominada de
“freqüência de offset”.
23
Figura 2-6: Evolução da magnetização M no plano transversal para
ω
mw
fora da condição de
ressonância (isto é, 0). (a) o eixo x do referencial girante e para (b) o eixo y.
O sentido da precessão da magnetização no referencial girante dependerá do
sinal de
, ou seja, se
ω
mw
for maior que
ω
e
, a magnetização precessará num sentido,
se for menor, precessará no sentido oposto.
O decaimento da magnetização transversal exemplificado nos dois exemplos
anteriores é chamado de “decaimento livre da indução”, nomenclatura esta que
traduzimos literalmente do inglês Free Induction Decay (FID). A observação e
análise de um sinal de FID correspondem ao experimento mais simples e básico do
arsenal de técnicas disponíveis da área da RPE pulsada. Neste caso simples, o
sistema de spins eletrônicos evolui exponencialmente com um tempo característico
igual a T
m
, mas, como veremos adiante, os casos mais gerais tendem a apresentar
decaimentos não exponenciais com constantes de tempo associadas a outros
mecanismos de relaxação.
Para concluir esta seção, poderíamos dizer que as equações de Bloch
introduzem dois parâmetros associados à estrutura e dinâmica do sistema físico de
interesse, que são os tempos de relaxação T
1
e T
m
, os quais podem ser determinados
experimentalmente através da medida das componentes da magnetização no
referencial girante. Embora não tenhamos explicado como se pode medir T
1
,
24
deixamos implícito que T
m
pode ser medido diretamente através das componentes
transversais m
x
e m
y
, as quais são disponíveis na saída do detector em fase e
quadratura.
2.1.4 O eco de spins
As equações de Bloch fornecem uma maneira prática e objetiva de equacionar
a dinâmica do sistema de spins eletrônicos, mas, todavia, não pode ser generalizada
para todos os materiais e em especial para materiais sólidos. Devido ao fato de que
estas equações se baseiam em relaxações exponenciais elas geram formas de linha
lorentzianas homogeneamente alargadas. No caso de materiais sólidos, é muito
comum que as linhas de ressonância sejam não-homogeneamente alargadas, devido
tanto a não-homogeneidades do campo estático externo como devido a interações
hiperfinas não resolvidas. Neste caso e também em muitos outros de interesse, as
equações de Bloch não podem descrever toda a complexidade do problema porque o
sistema físico geral deixa de poder ser parametrizado por apenas dois parâmetros, T
1
e T
m
.
Uma linha de ressonância não-homogeneamente alargada pode ser descrita
pela superposição de pacotes de spin que ressoam em freqüências diferentes. Este é o
caso, por exemplo, em que o campo estático não é uniforme ao longo de toda a
amostra, o que resulta em uma distribuição espacial de freqüências de Larmor. Em
uma primeira aproximação podemos assumir que a magnetização de cada pacote de
spin evolui no tempo de acordo com o previsto pelas equações de Bloch e a
magnetização total, a que é observável experimentalmente, corresponde
simplesmente à soma das contribuições de cada um dos pacotes individuais.
25
Figura 2-7: Descrição fenomenológica do FID.
Neste cenário, vamos tentar visualizar a dinâmica da magnetização após o
sistema de spins ter sido removido de sua situação de equilíbrio. Para simplificar,
vamos desprezar os processos de relaxação T
1
e T
m
e considerar que em um dado
instante, t = 0, todos os momentos magnéticos de todos os spins apontam na direção
do eixo y do sistema de coordenadas girante. A partir deste instante, e com relação ao
referencial do laboratório, cada um iniciará um movimento de precessão em torno do
seu campo estático local com a sua própria freqüência de Larmor. Com relação ao
referencial girante, este processo significa que alguns pacotes terão sua magnetização
fixa ao longo de y enquanto que outros se movimentarão no plano xy em direção ao
eixo x e outros em direção a x. Pode-se imaginar que com o passar do tempo, as
magnetizações individuais de cada pacote vão estar distribuídas ao largo de todo o
plano xy de tal forma que a resultante, isto é, a amplitude da magnetização
transversal deva ser bem menor que a magnetização de equilíbrio M
o
. Portanto, neste
exemplo fictício, em que a relaxação transversal foi desprezada (T
m
= ), podemos
26
prever que a magnetização transversal relaxa, tendendo a zero, em um tempo finito.
Esta situação está ilustrada na Figura 2-7.
Pela nomenclatura oficial da área, o tempo característico do decaimento da
magnetização transversal é denominado de T
2
”. A forma do decaimento é
decorrente de cada mecanismo de alargamento de linha em particular, sendo os mais
comuns a Lorentziana e a Gaussiana. Entretanto, formas de decaimento mais
complexas, muitas vezes ajustadas através de uma superposição de decaimentos
exponenciais, são frequentemente observadas. Em geral, a forma do decaimento, ou
o FID, pode ser calculada a partir de primeiros princípios se a função P() que
descreve a forma da distribuição de freqüências de Larmor dos pacotes for
conhecida.
Imediatamente após a aplicação de um pulso de π/2 na direção y, as
magnetizações de todos os pacotes estão alinhadas com o eixo x e iniciam o processo
de precessão transversal. Passado um tempo t, muito menor que os tempos de
relaxação T
1
e T
m
, cada pacote tegirado no plano transversal por um ângulo
θ
i
=
i
t. A magnetização transversal total, ou a soma das contribuições individuais de
cada pacote, será, no instante t, dada por:
=
+=
N
i
ti
iyx
i
ePtMitMtM
1
)()()()( .
eq.2-18
No limite contínuo, a soma pode ser substituída por uma integral e o resultado
é que a magnetização transversal após o pulso evolui no tempo de acordo com a
transformada de Fourier da distribuição P():
+
+= dePtMitMtM
ti
yx
)()()()(
eq.2-19
27
Portanto, o conhecimento da distribuição dos pacotes, P(), permite o cálculo
da magnetização transversal, M
, e, vice-versa. Assim, (a) se a distribuição for
Gaussiana, o FID decai com uma envolvente Gaussiana e (b) se a distribuição for
Lorentziana, o FID decai com uma envolvente exponencial.
Através deste raciocínio simples foi possível prever que a relaxação da
magnetização transversal pode ocorrer, nos casos reais, em um tempo muito mais
curto do que aquele previsto pelas equações de Bloch. A questão que surge aqui é a
seguinte: como é possível excitar o sistema de spins pertencentes a uma distribuição
não-homogênea utilizando-se de uma fonte de microondas monocromática?
De fato, os espectrômetros de RPE utilizam-se de uma fonte de microondas
que é cuidadosamente estabilizada numa determinada freqüência, denotada por
ω
mw
,
de tal forma que seja permitido assumi-la como sendo uma excitação
monocromática. Contudo, quando um pulso de microondas é aplicado, como aquele
mostrado na Figura 2-8(a), é preciso perceber que esse pulso é caracterizado por um
espectro de freqüências, como mostrado Figura 2-8(b). Para ver isso, considere a
transformada de Fourier de um pulso de duração τ
p
. Matematicamente pode-se
descrever o pulso de microondas por:
(
)
tBtB
mw
ω
cos
11
= para
p
t
τ
0
(
)
0
1
=tB para
p
t
τ
>>0 .
eq.2-20
Aplicando-se a transformada de Fourier, obtém-se:
( ) ( )
( )
=
p
dtetBG
ti
τ
ω
ω
0
1
, eq.2-21
o que conduz à densidade espectral do campo na amostra de:
28
( )
(
)
[
]
( )
pmw
pmw
BG
τωω
τ
ω
ω
ω
=
sin
1
.
eq.2-22
Essa função está ilustrada na Figura 2-8(b) e mostra que o pulso de
microondas é representado por uma larga faixa de freqüências. A intensidade da
distribuição de freqüências é máxima em
(
)
mw
ωω
= e pode-se assumir que o topo da
curva é aproximadamente plano nas freqüências próximas de
ω
mw
, ou seja,
pmw
τωω
/1|| << .
Portanto, um pulso de microondas preparado a partir de uma fonte
monocromática corresponde a uma banda de freqüências centrada na freqüência da
fonte. Para resgatar o raciocínio utilizado na seção anterior, poderíamos imaginar
esta banda como correspondendo a uma coleção de fontes monocromáticas de
mesma intensidade atuando simultaneamente, cada uma com uma freqüência igual à
freqüência de Larmor de cada um dos pacotes de spin que compõe a amostra. Neste
contexto, cada pacote de spin enxerga o seu próprio referencial girante determinado
pela freqüência da sua fonte particular. Se cada uma das fontes irradiasse somente o
seu pacote correspondente, o que é bastante próximo da verdade quando T
m
>> T
2
,
poderíamos considerar cada pacote como sendo excitado em ressonância. A
excitação de um determinado pacote produz a rotação de sua magnetização por
ângulo determinado apenas por B
1
e
τ
p
, parâmetros estes que são os mesmos para
todos os pacotes, portanto, as magnetizações de todos os pacotes giram pelo mesmo
ângulo. Como as freqüências dos referenciais girantes de cada pacote não são as
mesmas, eles poderão não estar alinhados entre si ao termino do pulso. Entretanto, se
a largura da linha não-homogênea (ou 1/T
2
) é muito menor que
ω
mw
, podemos aceitar
29
que os referenciais girantes de todos os pacotes estarão aproximadamente alinhados
entre si após o término do pulso.
Figura 2-8: (a) Um pulso de radiação monocromática de duração τp. (b) O espectro de
freqüências do pulso, descrito pela eq.2-22.
Estas condições implicam que, se a excitação corresponde a um pulso de
ângulo
α
=
ω
1
τ
p
, todos os pacotes irão girar o mesmo ângulo e, portanto, apontarão
na mesma direção, o que permite excitar homogeneamente uma larga faixa de
pacotes. A vantagem é que um espectro inteiro de RPE pode ser excitado por um
único pulso, desde que este pulso seja de curta duração (pulso este que recebe a
denominação de “pulso não-seletivo”). Infelizmente, para a maioria dos sistemas
com linhas largas, esta condição pode não ser satisfeita. Atualmente, o limite mínimo
da largura de um pulso de RPE é de alguns nanosegundos.
Concluindo, podemos dizer que é possível aplicar-se pulsos de qualquer
ângulo em sistemas de spins para os quais a forma da linha é dita homogênea e
30
também naqueles em que a forma de linha é não-homogênea. Entretanto, alguns
problemas sérios ainda persistem e é a respeito deles que discutiremos a seguir.
Em primeiro lugar, temos agora dois tempos de relaxação, T
2
e T
m
, associados
à evolução da magnetização transversal. Normalmente, apenas T
m
tem interesse
físico porque é ele quem parametriza as propriedades estruturais e dinâmicas do
sistema de spins, enquanto que T
2
corresponde à relaxação observada da
magnetização transversal, a qual está associada a todos os processos físicos e
instrumentais atuando simultaneamente. Podemos dizer que T
2
e T
m
estão
relacionados entre si pela seguinte equação:
22
111
TTT
m
+= .
eq.2-23
Nesta equação definimos um parâmetro,
2
T
, para designar todos os
mecanismos de relaxação que não são de interesse no momento, por exemplo, a
perda de coerência dos spins frente a não homogeneidades do campo magnético
estático ou alargamento hiperfino.
Esta última equação implica que se
2
T
for muito menor que T
m
, o que
normalmente é o caso, T
2
passa a ser praticamente independente de T
m
. Assim, a
determinação de T
m
, nas situações reais torna-se inviável.
O segundo problema está associado a uma limitação importante de todos os
espectrômetros de RPE pulsada, denominada de “tempo morto”. O tempo morto da
maioria dos espectrômetros é da ordem de algumas dezenas de nanosegundos e está
definido como sendo o intervalo de tempo posterior à aplicação de um pulso de
microondas em que o sistema de detecção, ou o receptor, fica bloqueado.
Normalmente, os pulsos envolvem radiações com potência da ordem de 1 kW
enquanto que o limite máximo de operação dos detectores é da ordem de 1 mW (ou,
31
0 dBm) por isso, se faz necessário bloquear a entrada do sistema de detecção após a
aplicação de um pulso até que a potência da radiação incidente decresça a 0 dBm.
Levando-se em conta a existência deste tempo morto, chega-se à conclusão
que a evolução do FID, que ocorre imediatamente após a aplicação do pulso de
microondas, não pode ser observada. Isto não representa um problema quando o
tempo de decaimento do FID, ou T
2
, é longo comparado com o tempo morto, mas,
representa uma séria limitação quando T
2
é comparável com o tempo morto. Esta
situação está ilustrada na Figura 2-9.
Figura 2-9: Situação experimental na qual o tempo morto (correspondente à área demarcada
em azul) impede a observação parte inicial do sinal de FID.
Felizmente, estes dois problemas aqui enunciados podem ser resolvidos “com
uma cajadada só” através do método denominado de “eco de spins”. Por ser uma
técnica bastante conhecida dos usuários da RPE pulsada, faremos aqui uma breve
descrição associada à ilustração da Figura 2-10.
32
Figura 2-10: Evolução da magnetização em um experimento típico para observar o eco de
spins através de uma seqüência de dois pulsos.
A perda de coerência causada por alargamentos não homogêneos, que reflete
no decaimento do FID, pode ser recuperada através da cnica de spin-eco. Este
fenômeno foi descrito pela primeira vez por Hahn [11] para o caso do spin nuclear e,
por este motivo, denominamos o efeito de “eco de Hahn” ou “eco Hahn”. A
seqüência de eventos que conduzem ao surgimento do eco de spins eletrônicos está
esquematizada na Figura 2-10. Para simplificar a explicação do fenômeno de eco de
spins, serão assumidos pulsos ideais, os quais fornecem uma excitação simultânea e
completa de todo o espectro de RPE.
Como descrito anteriormente, a magnetização ao longo do eixo y é produzida
por um pulso de π/2. Após este pulso sinal do FID decai e, após um tempo breve,
não mais sinal detectável. Após um intervalo de tempo
τ
, um segundo pulso é
aplicado para girar a magnetização de π ao redor do eixo x. Sendo que as direções de
rotação dos componentes individuais permanecem inalteradas após este segundo
pulso, após um intervalo de tempo
τ
, todos os vetores passam a ficar alinhados ao
longo da direção –y. A magnetização y resultante, que cresce e decai dentro de um
curto intervalo de tempo, é chamado eco de spin. São várias e importantes as
aplicações práticas do eco Hahn em várias técnicas empregadas em RPE pulsada
33
podendo ser utilizado em seqüências de pulsos mais complexas, fazendo parte,
normalmente, da etapa de detecção final.
Figura 2-11: Diagrama simplificado mostrando a seqüência de pulsos utilizada para medir o
tempo de memória T
m
. A amplitude do eco como função do intervalo entre os pulsos,
τ
, é
parametrizada pelo tempo de memória de fase T
m
.
Em muitos casos, o eco Hahn é um método simples e confiável para medir
T
m
, porém, se o pulso de microondas é capaz de excitar somente uma porção do
espectro de RPE, é possível que uma parte da magnetização transversal se perca
através de difusão espectral, isto é, como resultado de um escoamento” da
magnetização para partes adjacentes do espectro que não foram excitados pelo pulso.
Figura 2-12: Seqüência de Carr-Purcell-Meiboom-Gill (CPMG).
Esta difusão espectral pode ser evitada através do uso de uma seqüência de
pulsos constituída de um pulso de 90º seguido por pulsos periódicos de 180º,
desenvolvida por Carr-Purcell [5]. Isto gera uma série de ecos nos tempos múltiplos
de 2
τ
. Contudo, com esta seqüência, mesmo pequenos desvios no ângulo de rotação
podem causar um amortecimento adicional do eco. Para minimizar este efeito
acumulativo dos erros, é usual deslocar a fase dos pulsos de 180º de 90º com relação
34
ao primeiro pulso de 90º, numa seqüência conhecida como Carr-Purcell-Meiboom-
Gill [13, 10] (Figura 2-12).
2.1.5 Técnicas especiais da RPE pulsada
2.1.5.1 Eco estimulado
Na maioria dos casos, o tempo de memória, T
m
, é muito menor que o tempo
de relaxação longitudinal, T
1
. Como o eco Hahn decai com T
m
, a sua detecção fica
limitada a um tempo de observação bastante curto, portanto, é desejável usar uma
seqüência de pulsos que armazena a coerência dos spins por um tempo mais longo,
isto é, T
1
. Isto pode ser feito com o uso do eco estimulado, através de uma seqüência
de três pulsos. A geração do eco estimulado pode ser explicada através do diagrama
da Figura 2-13.
A formação do eco estimulado pode ser entendida através de um modelo
vetorial no referencial girante, no qual se representa o comportamento de um
pequeno número de pacotes de spins que possuem freqüências apropriadamente
escolhidas. Os argumentos seguintes podem ser utilizados também para uma
distribuição contínua de freqüências, mas para exemplificar consideremos apenas
oito pacotes de spin com freqüências dadas por:
τ
π
4
k
k
= , (k = 0,..., 7).
eq.2-24
Depois de transcorrido um tempo igual a
τ
após o primeiro pulso, cada pacote
de spins acumulou a fase:
4
π
φ
k
k
= .
eq.2-25
35
Figura 2-13: Formação do eco estimulado. (a) seqüência de pulsos; (b) magnetização no
plano xy depois do primeiro período de evolução τ; (c) situação após o segundo pulso de π/2
e o decaimento da magnetização transversal; (d) situação imediatamente após o terceiro
pulso de π/2 e (e) formação do eco depois do segundo período de evolução τ.
No ponto (b) da Figura 2-13, a magnetização total cai à zero, visto que
pacotes de spins apontam em direções opostas uns dos outros. Imediatamente após o
ponto (b), um segundo pulso π/2 excita o espectro e é assumido como sendo aplicado
novamente na direção do eixo y. Isto conduz à rotação dos vetores magnetização de
cada pacote de spin sobre o eixo y por 90º, a qual traz alguns dos pacotes de spins
completamente de volta ao eixo z, alguns apenas parcialmente, enquanto que outros
permanecem no plano x-y. Os componentes que permanecem no plano x-y perderão a
coerência, visto que eles defasam completamente no tempo de mistura resultante T,
enquanto as componentes arranjadas ao longo de z decaem com um tempo mais
longo, T
1
.
36
Figura 2-14: Diagrama ilustrando o mecanismo na geração do eco estimulado. (a)
Componente longitudinal da magnetização logo após o segundo pulso. (b) Transformada de
Fourier do espectro mostrado em (a), que corresponde ao eco estimulado.
Tendo esperado tempo suficiente, somente a componentes longitudinais
permanecem (ver Figura 2-13(c)). Isto também quer dizer que, para alguns pacotes (2
e 6), a perda de coerência é total. Além disso, deve ser notado que não existe
magnetização z macroscópica restante, visto que as contribuições diferentes ao longo
de z se cancelam. Depois da aplicação do terceiro pulso π/2, também ao longo de y,
as componentes z da magnetização são rotacionados novamente no plano xy, onde
elas refocalizam para dar origem ao eco após o tempo 2
τ
. Pode-se considerar o
segundo e terceiro pulsos equivalentes ao pulso π da seqüência do eco Hahn que foi
separada em duas partes por uma distância T. Pode-se notar que a intensidade do eco
estimulado é no máximo metade do eco Hahn.
É interessante visualizar a formação do eco estimulado através da Figura 2-14
na qual está esquematizada a distribuição em freqüência da magnetização
longitudinal dos pacotes de spins logo após o segundo pulso de π/2, assumindo a
priori que a distribuição correspondente ao equilíbrio térmico é uma Gaussiana.
Através desta figura observe que a função dos dois primeiros pulsos da seqüência é
transformar a distribuição Gaussiana de equilíbrio em um padrão co-senoidal
37
amortecido, de período 2π/
τ
. Pela técnica descrita, este padrão é detectado através da
aplicação do terceiro pulso de π/2. De acordo com a eq.2-19, o sinal medido após o
terceiro pulso é um sinal de FID proporcional à transformada de Fourier da
distribuição M
z
() mostrada na Figura 2-14(a), o qual corresponde a um eco
deslocado por um intervalo
τ
conforme mostrado na Figura 2-14(b). Assim, podemos
concluir que o eco estimulado é simplesmente o sinal de FID produzido pelo terceiro
pulso sobre a magnetização longitudinal que foi preparada pelos dois primeiros
pulsos.
2.1.5.2 Ciclagem de fase
A descrição simplificada apresentada na seção anterior a respeito da origem
do eco estimulado não levou em conta um aspecto importante relacionado com a
seqüência de três pulsos que foi utilizada. Na realidade, esta seqüência produz
além do eco estimulado, também sinais de FID e outros ecos primários. Os ecos
primários são os ecos de Hahn decorrentes da aplicação de dois pulsos quaisquer. No
caso da seqüência de três pulsos, reproduzida na Figura 2-15, existem três FIDs
associados aos três pulsos, três ecos primários associados aos pares de pulsos 1-2, 2-
3 e 1-3 e, adicionalmente, um eco refocalizado.
Quando existem muitos pulsos na seqüência ou quando o tempo de memória
T
m
é muito longo, os vários FIDs e ecos podem se sobrepor, tornando difícil a análise
do sinal detectado, pois existirão regiões em que vários ecos e FIDs podem estar
sobrepostos e indistinguíveis.
38
Figura 2-15: Visualização de todos os ecos e FIDs induzidos por uma seqüência de 3 pulso
de π/2. Na figura aparecem 3 ecos primários (EP), um eco estimulado (ES) e um eco
refocalizado (ER).
Cada eco ou FID ocorre em instantes de tempo que podem ser calculados a
priori, os quais dependem do tempo de separação entre os três pulsos, bem como da
duração e fase dos mesmos. Na prática, a separação entre os diferentes sinais que se
somam, assim como a distinção entre os possíveis ecos e FIDs, é difícil e se torna
inconveniente se este procedimento for apenas baseado em uma análise do sinal
temporal.
A maneira mais prática de resolver este problema emprega métodos em que a
mesma seqüência de pulsos é repetida consecutivas vezes para diferentes
configurações nas quais as fases dos pulsos se alternam de forma apropriada. Uma
vez que os diferentes sinais, correspondentes a cada configuração de fases, são
separadamente obtidos, uma combinação linear apropriada entre eles pode resultar
no cancelamento dos ecos ou FIDs indesejados e no reforço daqueles de interesse.
Nos casos mais simples, a forma correta de realizar a ciclagem de fases é intuitiva e
pode ser implementada com certa facilidade baseando-se simplesmente na
39
observação experimental das alterações dos respectivos sinais frente a mudanças
discretas nas fases de cada um dos pulsos separadamente. Entretanto, nos casos mais
complexos, como já é o caso da seqüência da Figura 2-15, a escolha correta das fases
não é trivial e só pode ser obtida a partir de métodos matemáticos mais elaborados.
Teoricamente, a fase de um FID ou de um eco pode ser calculada através do
formalismo da matriz densidade, cuja evolução temporal é ditada pela equação de
Liouville-von Neumann e da aplicação dos operadores de evolução associados a cada
um dos pulsos. Uma descrição detalhada da teoria pode ser encontrada no livro de
Ernst, Bodenhausen, Wokaun [14] e aqui mostraremos apenas alguns resultados mais
relevantes para o nosso trabalho.
Pode-se mostrar que a fase relativa do sinal depende da fase,
φ
i
, e da variação
da ordem de coerência, p
i
, do i-ésimo pulso de acordo com a equação:
(
φ
)
i
= p
i
φ
i
Eq.2-26
As fases são definidas no plano xy do referencial girante, sendo que x
corresponde a 0
0
, y a 90
0
, etc. As coerências dependem dos elementos fora da
diagonal da matriz densidade e são calculadas entre dois estados que diferem pelo
seu número quântico m
s
, sendo que em geral, coerências de múltiplos quanta entre
estados que diferem por m
s
são designadas por coerências de ordem m
s
.
Normalmente, a ordem da coerência muda via pulsos de microondas e cada
experimento começa com coerência de ordem zero e termina com a coerência de
ordem ± 1, visto que o estado final representa uma magnetização transversal
detectável.
Como exemplo, vamos considerar a aplicação da teoria para os casos do eco
estimulado e o eco refocalizado, ambos mostrados na Figura 2-15. Se for usada a
fase y para o segundo pulso, as fases dos ecos mudam 90º e 180º, respectivamente.
40
Se for usada a fase –y para o mesmo pulso, as fases dos ecos seriam 270º e 540º,
respectivamente. A diferença em fase entre os dois experimentos é de 180º e 360º,
respectivamente, o que denota o fato de que p = 1 para o eco estimulado e p = 2
para o eco refocalizado.
Isto nos conduz agora a um simples procedimento de ciclagem de fase para
distinguir os dois ecos um do outro. Executamos o mesmo experimento, primeiro
com a fase +y e o segundo com a fase y para o segundo pulso. Se quisermos
selecionar o eco estimulado, basta subtrair-se os transientes detectados, o que
cancelará o refocalizado (visto que, sua fase é 2π e, portanto, não muda de sinal),
enquanto ocorre uma interferência positiva para o estimulado, cujo sinal muda
devido à mudança de fase de π. Caso queiramos selecionar o eco refocalizado
simplesmente devemos somar os dois experimentos, cancelando assim o sinal do eco
estimulado.
Procedimentos de ciclagem de fases não são rotineiramente utilizados apenas
com a intenção de eliminar sinais de FIDs ou ecos indesejáveis. Muitos experimentos
apresentam artefatos que podem ser eliminados através do procedimento de ciclagem
de fases. Este é o caso em que o sinal medido é influenciado pelo ringing da
cavidade ressonante, por diferenças entre os ganhos e fases entre os dois canais de
detecção, por tensões de offset, etc. Uma seqüência de ciclagem de fase capaz de
eliminar várias dos artefatos provocados por estas imperfeições dos espectrômetros é
a conhecida seqüência “cyclops”.
2.1.5.3 Tempo de relaxação longitudinal (T
1
)
Para obter-se o tempo de relaxação longitudinal (spin rede) T
1
é necessário,
primeiro, que uma seqüência de preparação produza uma situação de não equilíbrio
41
térmico na qual o valor da magnetização longitudinal difira daquela do equilíbrio. A
seguir, numa segunda etapa, o retorno da magnetização ao seu valor de equilíbrio é
medido através de alguma seqüência de detecção, que pode ser através de um FID ou
eco.
A seqüência de preparação pode ser constituída por apenas um pulso capaz de
inverter a magnetização, o que produz o máximo desvio com relação ao equilíbrio,
isto é: logo após o pulso, M
z
= -M
o
. Para a etapa de detecção utiliza-se normalmente
uma seqüência de eco. A seqüência assim constituída é denominada de “inversão e
recuperação” e está ilustrada na Figura 2-16.
Figura 2-16: Ilustração do experimento de inversão-recuperação. (a) T
1
é obtido com uma
seqüência de três pulsos (π)-T-(π/2)-
τ
-(π), onde a amplitude do eco é medida em função de T
e o intervalo de tempo
τ
entre o segundo e o terceiro pulso é mantido fixo. (b) mostra a
variação da intensidade do eco como função de T.
Para valores pequenos do intervalo de tempo T, entre o pulso de inversão e
seqüência de detecção, a intensidade do eco é negativa, pois a magnetização é
42
inicialmente invertida. Para tempos T longos, a magnetização volta para seu valor de
equilíbrio. A função de tempo resultante pode ser descrita por:
( )
=
1
0
exp21
T
T
ITI
,
eq.2-27
Através de um ajuste de dados apropriado, o valor de T
1
pode ser extraído.
Em geral, o decaimento I(T) pode ser mais complexo do que o exponencial e a sua
análise passa então a depender do modelo a ser adotado para cada situação particular.
Diferentes espécies paramagnéticas, caracterizadas por diferentes ambientes, podem
relaxar com taxas 1/T
1
diferentes resultando em um decaimento multi-exponencial.
2.1.5.4 Electron Spin Echo Envelope Modulation (ESEEM)
Como visto anteriormente, pode-se usar o eco Hahn na determinação do
tempo de memória de fase, T
m
. Contudo, em muitos casos o decaimento do eco não
pode ser descrito unicamente através de funções exponenciais por apresentar uma
modulação sobreposta que, em geral, assume a forma de funções harmônicas. Esse
fenômeno está ilustrado na Figura 2-17.
Figura 2-17: Diagrama da seqüência de pulsos de um experimento de ESEEM.
Este efeito surge da interação hiperfina do spin eletrônico com pelo menos
um spin nuclear vizinho e, uma vez que um modelo para a interação entre eles é
proposto, a análise das modulações presentes no decaimento do eco pode fornecer
43
valores para os parâmetros estruturais envolvidos. Estes parâmetros podem revelar
importantes informações sobre a estrutura dos núcleos vizinhos, em particular a
respeito daqueles que estão fracamente acoplados por estarem distantes ou por
possuírem pequenos momentos magnéticos. Existem vários modelos qualitativos que
descrevem a modulação do eco de spins. Um modelo simples será descrito a seguir.
Considere um spin eletrônico S = ½ interagindo com um núcleo I = ½ na
presença de um campo magnético externo B
0
. O campo local atuando no elétron é
denotado por:
B
s
= B
0
+ B
IS
, eq.2-28
onde B
IS
é o campo induzido pelo momento magnético nuclear na posição do elétron.
Similarmente, o núcleo está no campo local:
B
I
= B
0
+ B
SI
, eq.2-29
onde B
SI
é o campo induzido pelo momento magnético do elétron na posição do
núcleo. É importante mencionar que B
SI
é aproximadamente três ordens de
magnitude maior do que B
IS
. Neste caso, dado um campo externo de
aproximadamente 3400 G (típico para banda X), o eixo de quantização do spin do
elétron praticamente coincide com B
0
, enquanto que o eixo de quantização do spin
nuclear pode diferir apreciavelmente de B
0
.
Como visto na Figura 2-18, o campo local no núcleo B
SI
depende do número
quântico m
S
= ± ½. Isto significa que quando o spin do elétron muda de orientação,
mudará também o eixo de quantização do momento magnético nuclear. Se essa
mudança na orientação do spin do elétron acontece durante um pulso, que é curto
comparado a um período de precessão de Larmor nuclear, o núcleo não tem tempo de
seguir adiabaticamente a mudança no campo magnético local.
44
Figura 2-18: Precessão do spin nuclear para diferentes orientações do spin eletrônico.
Isto quer dizer que, depois do pulso de microondas, o núcleo não se encontra
em um auto-estado, ou seja, quando o núcleo foi previamente alinhado ao longo de
B
1
(+) agora precessará em torno de B
1
(-) (Figura 2-18). Esta precessão induz um
campo local variável no tempo B
IS
, o qual pode ser dividido em componentes
paralelas e perpendiculares na orientação do spin do elétron, B
(t), paralelo a B
0
, e
B
(t), perpendicular a B
0
. Por causa da rápida precessão do momento magnético do
elétron (a qual é aproximadamente 3 ordens de magnitude mais rápida do que a
freqüência de precessão nuclear) sua interação com o B
(t) pode ser desprezada.
Desse modo, depois do pulso, o elétron acha-se em um campo magnético local
oscilante B
0
+ B
(t). O valor de B
pode ser positivo ou negativo dependendo do
estado inicial do spin nuclear.
Portanto, uma porção dos spins dos elétrons precessa no campo B
0
+ |B
(t)| e
a outra porção no campo B
0
- |B
(t)|. Um sinal de ESEEM surge se a defasagem dos
spins nos campos magnéticos locais ocorrerem com a mesma taxa depois do primeiro
e segundo pulso de microondas. Quando os campos locais contem uma componente
oscilatória, esta condição é encontrada somente se os intervalos entre os pulsos, τ,
45
são divisíveis pelos períodos de precessão nuclear nos campos locais. Senão, o sinal
da amplitude do eco diminui devido à refocalização incompleta nos campos B
0
±
|B
(t)|, resultando numa modulação com as freqüências de precessão dos núcleos
vizinhos nos campos locais produzidos pelo campo magnético externo e o momento
magnético do elétron desemparelhado.
2.1.5.5 ESEEM dois pulsos
Figura 2-19: a) Diagrama de níveis de energia para um sistema de spins S = I = 1/2. b)
Espectro esperado mostrando as transições eletrônicas mais intensas (permitidas) e as mais
fracas (proibidas).
A modulação do experimento de ESEEM dois pulsos pode ser calculada
analiticamente para um sistema de spins S = I = ½. Para isso, consideraremos o
seguinte hamiltoniana de spin:
SAI++=++=
zIzeHFZNZE
ISHHHH
ωω
0
.
eq.2-30
onde
ω
I
é a freqüência de Larmor do núcleo e A é o tensor hiperfino. Desprezando os
termos não-seculares, dependentes de S
x
e S
y
, a hamiltoniana de spin efetiva no
referencial girante pode ser aproximada por:
46
xzzzzIz
IBSIASISH ++=
ω
0
,
eq.2-31
onde A = A
zz
e
22
zyzx
AAB += .
Dessa forma, utilizando o formalismo de matriz densidade, obtemos o
seguinte resultado para a modulação do eco:
[
]
τωτωτωτωτ
βα
+
++= coscoscos2cos22
4
1)(
k
V ,
eq.2-32
onde
ω
α
e
ω
β
são as freqüências das transições nucleares,
ω
+
=
ω
α
+
ω
β
e
ω
-
=
ω
α
-
ω
β
(ver Figura 2-19),
τ
é o tempo de separação entre os pulsos e o parâmetro k é
chamado de “parâmetro de modulação” ou “profundidade da modulação” e vale:
2
=
βα
ωω
ω
B
k
I
.
eq.2-33
As freqüências das transições nucleares,
ω
α
e
ω
β
, são dadas por:
42
42
2
2
2
2
BA
BA
I
I
+
=
+
+=
ωω
ωω
β
α
.
eq.2-34
Figura 2-20: (a) Dependência da amplitude do eco em função do tempo de separação entre os
pulsos para uma seqüência de ESEEM dois pulsos. (b) Espectro de freqüência obtido a
partir do processamento do sinal apresentado em (a).
47
A Figura 2-20 mostra uma simulação realizada a partir da equação para V(
τ
).
Em (a) é mostrado o efeito da modulação sobre o decaimento da intensidade do eco
como função do tempo de separação entre os pulsos,
τ
. Em (b) tem-se a transformada
de Fourier do sinal obtido em (a) após ter sido devidamente subtraído do decaimento
exponencial. Pode-se ver também que, como apontado na eq.2-32, que as freqüências
presentes na modulação são
ω
α
e
ω
β
bem como a soma e a diferença dessas
freqüências. Quando
ω
α
ω
β
observa-se somente uma transição em
ω
ω
α
e outra
em
ω
2
ω
α
.
Se mais do que um núcleo está acoplado ao spin eletrônico, a modulação total
pode ser calculada de acordo com:
)(
τ
i
i
total
VV
= .
eq.2-35
Este produtório simplifica consideravelmente o tratamento de sistemas de
spins mais complexos.
Com o experimento de ESEEM, é possível medir freqüências nucleares
(freqüências de NMR) usando a sensibilidade do RPE. Esta é uma vantagem similar
ao experimento de ENDOR, mas sem a necessidade de um aparato de dupla
ressonância. A desvantagem do ESEEM é que a intensidade da modulação k é muitas
vezes uma pequena fração da intensidade do eco e depende fortemente do
acoplamento hiperfino e da anisotropia. ESEEM dois pulsos têm duas desvantagens a
mais: os espectros são mais complicados quando comparados ao ENDOR devido à
ocorrência dos picos soma e diferença para as freqüências fundamentais. Além disso,
as linhas são artificialmente alargadas, pois a intensidade do eco produzido decai
com T
m
, que é mais curto do que o tempo de relaxação nuclear.
48
2.1.5.6 ESEEM três pulsos
A modulação do eco pode ser observada no eco estimulado ilustrado na
Figura 2-15 quando o tempo, T, entre os segundo e terceiro pulso é incrementado.
O decaimento dessa modulação é determinado pelo tempo de relaxação spin-rede to
elétron, T
1
, que, em geral, são mais longos do que T
m
. Isso dá origem a um espectro
com transições nucleares mais resolvidas do que no caso do ESEEM dois pulsos.
Uma descrição quantitativa baseada no formalismo da matriz densidade
fornece a seguinte expressão para a modulação:
( )
[ ]
{ }
( )
[ ]
{
}
)(cos1cos1
8
)(cos1cos1
82
1
),(
T
k
T
k
TV
+
+=
τωτω
τωτωτ
αβ
βα
,
eq.2-36
onde
ω
α
e
ω
β
são as freqüências das transições nucleares,
τ
é o tempo de separação
entre o primeiro e o segundo pulso, T é o tempo de separação entre o segundo e o
terceiro pulso e o parâmetro k é o “parâmetro de modulação” definido pela mesma
eq.2-33.
Pode-se notar que, como o eco estimulado possui no máximo a metade da
intensidade do eco Hahn, a amplitude do sinal do ESEEM três pulsos também será a
metade da intensidade do ESEEM dois pulsos.
A regra de produto para muitos núcleos também se aplica, porém de uma
forma um pouco diferente:
+=
i i
iitotal
VVV
βα
2
1
,
eq.2-37
onde
βα,
i
V correspondem aos dois termos da eq.2-36. Isto quer dizer que
combinações de freqüências somente ocorrem dentro dos subespaços do spin do
elétron (estados com mesmo m
S
).
49
Uma desvantagem do experimento de ESEEM três pulsos pode ser vista na
eq.2-36, isto é, para certos valores de
τ
pode-se encontrar os chamados pontos cegos
(blind spots), onde, por exemplo, a modulação
ω
β
é completamente suprimida
quando 1 - cos
ω
α
τ
= 0, e o mesmo pode ocorrer para a modulação
ω
α
. Isto requer
que o experimento seja efetuado para ao menos dois valores de
τ
diferentes, para ser
garantido que todas as freqüências estão sendo detectadas. Na prática é sempre
recomendado executar o experimento de ESEEM dois pulsos como controle do
experimento de ESEEM três pulsos.
2.1.5.7 Echo Detected Field Sweep (EDFS)
Se o espectro é largo para ser completamente excitado pelo espectro de
freqüências de pulso de microondas, o campo tem que ser varrido como num
espectro normal de RPE CW e a intensidade do eco de spin é adquirida como função
da posição do campo. Contudo, devido à largura finita do espectro do pulso de
excitação, cuidados são necessários para não se alargar artificialmente o espectro. Os
dois procedimentos descritos a seguir são comumente utilizados.
O primeiro procedimento consiste em utilizar “pulsos seletivos”, isto é,
pulsos de π/2 e π de longa duração (os quais podem gerados por diferença de
atenuação entre ambos) e se adquirir a máxima intensidade do eco. Nesse caso, o
espectro de freqüências dos pulsos permanece estreito e, portanto, somente uma
estreita faixa do espectro de ressonância é excitada para cada valor do campo
externo. Certamente, isto implica que a duração do pulso mais curto deve ser maior
que o inverso da largura de linha mais estreita que se quer resolver.
A outra opção é integrar a intensidade do eco sobre uma janela
suficientemente larga, t > 2π/
ω
, sem restrições impostas ao comprimento do
50
pulso. Este método é frequentemente mais sensível, visto que o ruído no detector é
eliminado mais eficientemente pela integração de partes do transiente do que se
adquirindo apenas o ponto de máxima intensidade.
Alguns cuidados devem ser tomados com a técnica do EDFS. Como visto na
seção sobre ESEEM, a modulação nuclear afeta a intensidade do eco. Uma vez que
este efeito pode variar sobre a extensão do espectro, ele pode causar distorções nas
formas de linha. Portanto, deve-se sempre checar um espectro de EDFS, com
diferentes valores de
τ
ou usando seqüências de pulsos específicas.
51
3 Estudo da Cristalização Nanofásica em Vidros
Foto-Termo-Refrativos por Ressonância
Paramagnética Eletrônica
3.1 Introdução
O rápido desenvolvimento de lasers e comunicações ópticas tem estimulado
uma crescente demanda por elementos ópticos difrativos, utilizados como diferentes
tipos de filtros angulares e espectrais. Contudo, nenhum dos materiais foto-sensíveis
holográficos disponíveis comercialmente satisfazem completamente as condições
necessárias para tais aplicações [15]. Um dos novos meios mais promissores é o
vidro foto-termo-refrativo (PTR), que tem apresentado alta difração em todo espaço
de freqüências nas geometrias de transmissão e reflexão, baixas perdas nas regiões
do espetro visível e infravermelho próximo, combinado com alta tolerância a
elevadas temperaturas e radiação laser [16, 17].
Vidros PTR pertencem à classe de vidros sódio-zinco-aluminio-silicato
dopado com cério, prata, flúor e bromo, descoberto por S.D. Stookey [18]. O
decréscimo do índice de refração após a exposição desse vidro à radiação UV
seguida de um tratamento térmico está descrito em [19]. Este efeito foi utilizado na
gravação de holograma volumétrico[20, 21]. O mecanismo de variação do índice de
refração [19-21] foi atribuído à precipitação para fase cristalina induzida foto-
termicamente numa matriz vítrea. Uma série de pesquisas [22-26] foi direcionada à
elucidação do papel da precipitação da fase cristalina nas propriedades ópticas
(absorção, espalhamento e refração) de vidros similares. Encontrou-se que a
52
exposição desse vidro à radiação UV resulta num decréscimo no período de
incubação utilizado para cristalização quando comparado à precipitação espontânea
da fase cristalina.
Um estudo recente de variações no índice de refração e sua correlação com a
precipitação da fase cristalina [27, 28] mostrou que, com exceção da fase cristalina
do NaF, nenhuma outra foi detectada em amostras de vidro PTR submetidas a
crescimento de baixa temperatura em 520ºC, que é tipicamente usada para
desenvolvimento de hologramas. Uma correlação entre o decréscimo do índice de
refração e a concentração da fase cristalina tem mostrado que este processo é
responsável pela modulação do índice de refração resultante da exposição ao UV
seguida por crescimento em baixa temperatura. Contudo, o mecanismo detalhado
dessa modulação ainda é desconhecido. Demonstração da diferença nos volumes
específicos de áreas expostas e não expostas no crescimento de vidros PTR [29]
levam a conclusão que uma das principais características da foto-sensibilidade é a
interação entre fases cristalinas e vítreas no processo de relaxação térmica.
Outro trabalho recente [30] foi realizado com as mesmas amostras que
utilizamos neste nosso trabalho e empregou dois métodos independentes para estimar
o estresse residual interno em torno dos cristais precipitados no vidro. Acredita-se
que a maioria das propriedades mecânicas, elétricas, térmicas, químicas e ópticas
destes vidros depende fortemente de alguns parâmetros microscópicos e
fundamentalmente do nível e tipo (tensão ou compressão) do estresse residual. Os
resultados obtidos pelos dois métodos utilizados são consistentes (tensões na faixa de
610-800 MPa), sendo o primeiro baseado nas propriedades térmicas e físicas do
vidro e fases cristalinas e de um modelo teórico. O segundo método utiliza a
ressonância magnética nuclear, RMN, para identificar a fase cristalina e estimar o
53
estresse residual nas nanopartículas. O resultado principal obtido por RMN consistiu
na observação dos núcleos
23
Na e
19
F e está reproduzido na Figura 3-1. A
nomenclatura utilizada para especificar as amostras será descrita na próxima seção,
mas adiantamos, a amostra A1 corresponde à amostra não irradiada e não tratada
termicamente enquanto que a A5 é irradiada e tratada. A amostra NaF, utilizada
como referência para os deslocamentos químicos, corresponde a cristais puros.
Figura 3-1: Espectros de RMN do
19
F (a) e
23
Na (b) sob rotação em ângulo mágico das
amostras A1, A5 e NaF a 16.44 T. Adaptado a partir da referência [30].
Observa-se na Figura 3-1 linhas bem resolvidas que aparecem no vidro
tratado termicamente (ou cristalizado). Os deslocamentos químicos destes picos são
pequenos, mas suficientes para estimar-se, teoricamente a partir de primeiros
princípios, o estresse residual. O cálculo empregado utiliza um modelo teórico para o
cálculo do deslocamento químico baseado na estrutura cristalina do NaF, mostrada
na Figura 3-2, cujo parâmetro de rede é dependente do nível e tipo de estresse.
54
Figura 3-2: Rede cúbica do NaF.
Neste trabalho, as cnicas de RPE de onda contínua e pulsada na banda X
foram aplicadas no estudo dos efeitos da irradiação por UV e tratamentos térmicos
sobre vidros PTR do sistema O-Si-Na-Zn-Al-K-F-Br dopados com Ce, Ag, Sn, Sb.
Foram analisados conjuntos de amostras termicamente tratadas e/ou irradiadas com
UV.
3.2 Experimental
Os vidros estudados neste trabalho foram preparados no Center for Research
and Education in Optics and Lasers (CREOL) da University of Central Florida. O
vidro PTR estudado é composto por Na
2
O, ZnO, Al
2
O
3
e SiO
2
como componentes
majoritários, K, F e B como componentes minoritários e os seguintes dopantes com
100 ppm cada: Ag
2
O, Ce
2
O
3
, SnO e Sb
2
O
3
. O vidro foi fundido num forno elétrico
em cadinhos de sílica fundida ou Pt a 1460°C, por cerca de 4 horas. Agitação foi
aplicada para homogeneizar o fundido por 2 horas adicionais. O líquido foi vertido
em uma placa de aço e submetido a tempero em 400-460°C, que é próxima da
temperatura de transição vítrea, por volta de 1 hora. Amostras de vidro polido de
0.5mm até 2.0mm de espessura e com 25×25mm de área foram preparadas.
55
As amostras foram submetidas a tratamentos térmicos e/ou expostas à
radiação UV através de um feixe de laser He–Cd em 325 nm, com uma dosagem de
0.9 J cm
−2
em temperatura ambiente. O tratamento térmico para cristalização do
vidro foi efetuado nas temperaturas indicadas na Tabela 3-1, a qual especifica o
procedimento pelo qual cada amostra foi submetida.
Tabela 3-1: Amostras utilizadas e os tratamentos pelos quais cada uma foi submetida.
Amostra Irradiação Tratamento térmico
A1 Não irradiada Sem tratamentos térmicos
A2 Não irradiada 1 hora a 450
o
C
A3 Irradiada por UV Sem tratamentos térmicos
A4 Irradiada por UV 1 hora a 450
o
C
A5 Irradiada por UV 1 hora a 450
o
C e 2 horas a 520
o
C
Além das amostras listadas acima, possuímos outras que foram utilizadas com
a finalidade de controle dos experimentos. Estas amostras não foram irradiadas ou
tratadas termicamente. Uma descrição sucinta destas amostras, apresentando sua
designação e composição, é a seguinte:
D0 – matriz vítrea PTR sem dopantes.
D1 - matriz vítrea PTR com o dopante Ce, 0.01-0.02 wt%.
D2 - matriz vítrea PTR com o dopante Ag, 0.01-0.02 wt%.
D3 - matriz vítrea PTR com o dopante Sn, 0.01-0.02 wt%.
D4 - matriz vítrea PTR com o dopante Sb, 0.01-0.02 wt%.
56
As medidas de RPE foram realizadas no espectrômetro Bruker-ELEXSYS
E580, que opera tanto em modo de onda contínua (CW) quanto pulsada (PW) e é
equipado com ponte de microondas na banda X (9.5 GHz). Para as medidas deste
trabalho utilizamos uma cavidade retangular (para o modo CW) e uma cilíndrica
dilétrica (para o modo PW). O controle de temperatura foi realizado através do
sistema criogênico Oxford, modelo ITC503, que permitiu a realização de
experimentos a temperaturas da ordem de até 4 K.
3.3 Resultados e Discussões
3.3.1 RPE CW
Os espectros de RPE CW foram medidos para todas as amostras na faixa de
temperaturas 10-70 K e na temperatura ambiente. Dois exemplos, obtidos a 10 K, são
mostrados na Figura 3-3, onde pode se notar que estes espectros consistem
basicamente de sinais espúrios provenientes de impurezas de Fe
3+
presentes em
pequena quantidade em todas as amostras e de impurezas impregnadas na cavidade
ressonante. Somente um sinal largo e muito fraco em torno de g
2 poderia ser
atribuído a centros paramagnéticos de interesse. Os espectros das outras amostras da
série A, não apresentados na figura, são similares.
O fato importante é que nenhuma das amostras apresentou um espectro de
RPE CW na temperatura de 10 K e na temperatura ambiente. Todavia, como
veremos adiante, estas mesmas amostras possuem centros paramagnéticos que
podem ser observados por técnicas pulsadas, por isso, procuramos variar alguns
parâmetros da configuração CW para entender o porquê da ausência dos espectros
CW. Primeiro, a temperatura foi variada na faixa 4-70 K, mas nada relevante foi
57
observado. Segundo, suspeitamos que o espectro a 10 K poderia estar saturado
devido a níveis excessivos de potência da microonda, então, os sinais foram
novamente medidos na mais baixa potência disponível, para várias temperaturas na
faixa mencionada, e novamente nada foi observado.
Os motivos pelos quais estas amostras não apresentaram sinais de RPE CW
são ainda desconhecidos. Em princípio, poderíamos enumerar algumas causas que
explicariam este fato, mas, por enquanto nada podemos concluir.
2000 4000 6000 8000 10000
Intensidade (u. a.)
Campo Magnético (Gauss)
A5
A1
sinal da cavidade vazia
sinal da amostra
sinal de Fe (impurezas)
Figura 3-3: Espectros de RPE CW das amostras A5 e A1. Medidas realizadas a 10 K,
freqüência em 9.477634 GHz, potência de 8.0 mW, freqüência modulação 100.00 kHz e
amplitude de modulação 15.00 Gauss.
3.3.2 EDFS
Um fato intrigante observado neste trabalho é que, embora não tenhamos
obtidos espectros de RPE CW, todas as amostras apresentaram espectros de EDFS de
58
boa relação sinal/ruído e, alguns, mostraram a presença de linhas razoavelmente
estreitas e resolvidas.
Os espectros de EDFS foram adquiridos utilizando-se a seqüência de dois
pulsos e integração do eco, para todas as amostras na temperatura de 10 K. Esta
temperatura foi escolhida por permitir a aquisição de espectros com relação
sinal/ruído razoável e tempo de aquisição relativamente curto. Em temperaturas
abaixo de 10 K o tempo de relaxação spin-rede aumenta consideravelmente
acarretando o uso de tempos de repetição das seqüências proibitivamente longos.
Conforme se pode observar na Figura 3-4, os espectros consistem basicamente de
pelo menos uma banda larga, que se estende ao longo da faixa de 2000-10000 G, e
de várias linhas mais estreitas, observadas na região de baixo campo 2000-4000 G.
O EDFS é medido através do eco de spins e, portanto, é susceptível a distorções
causadas pelo efeito das modulações nucleares. Estas distorções podem ser
relevantes em espectros como os apresentados, que se estendem por uma larga faixa
de campo magnético, por isso, cuidados especiais foram tomados. As duas técnicas
mais utilizadas para eliminar estas distorções consistem em (a) obter vários espectros
com diferentes valores de separação entre os pulsos,
τ
, e posteriormente adicioná-los
entre si, ou, (b) utilizar pulsos de excitação seletivos (de longa duração) incapazes de
excitar simultaneamente todas as transições nucleares e, portanto, inibir o processo
de modulação nuclear.
59
2000 4000 6000 8000 10000
Intensidade (u.a.)
Campo Magnético (Gauss)
A3
A5
A4
A2
A1
Figura 3-4: Espectros de EDFS. Medidas realizadas a 10 K, freqüências em torno de 9.75
GHz e com separação entre os pulsos de 250 ns e shot repetition time de 4 ms.
Estas duas alternativas foram testadas, mas, se mostraram impraticáveis
porque no caso (a) o tempo de aquisição necessário para um razoável cancelamento
das distorções é excessivamente longo e, no caso (b), a relação sinal/ruído dos
espectros torna-se muito pequena. Entretanto, considerando que a intensidade das
modulações, comparada com a do eco, não era muito grande em nenhum dos casos
estudados, pudemos concluir que os espectros apresentados apresentam algumas
distorções nas intensidades das linhas, mas não em suas posições relativas, o que
pouco influencia a análise dos resultados. No caso das modulações causadas pelo
núcleo
23
Na, para a o qual a intensidade da modulação é maior, a freqüência de
Larmor nuclear associada é baixa o que limita o efeito das distorções.
60
Mudanças significativas nos espectros de EDFS são observadas quando os
vidros são irradiados e/ou tratados termicamente, indicando que mudanças estruturais
na vizinhança de centros paramagnéticos estão ocorrendo (Figura 3-4). O espectro da
amostra irradiada por UV e não tratada termicamente, A3, mostra uma estrutura com
várias linhas na região de baixo campo. Os espectros das outras amostras não
apresentam essa estrutura de forma intensa.
2000 4000 6000 8000 10000
Shot Repetition Time
4.00 ms
0.05 ms
Intesnsidade (u. a.)
Campo Magnético (Gauss)
Figura 3-5: Espectros de EDFS com supressão por T
1
da amostra A5. Medidas realizadas a
10 K, freqüência em 9.753 GHz e com separação entre os pulsos de 250 ns.
Para se obter maiores informações a respeito da estrutura observada na região
de campo baixo do espectro de EDFS, foi utilizada uma técnica de supressão dos
componentes do espectro com tempos de relaxação spin-rede (T
1
) mais longos. Para
isso, o espectro foi medido com dois tempos de repetição da seqüência de pulsos
61
diferentes. Quando o tempo de repetição entre os pulsos é muito curto, os
componentes que possuem T
1
mais longos, não contribuem para o espectro, pois
ainda se encontram saturados. A Figura 3-5 mostra os espectros com dois tempos de
repetição diferentes. O espectro em vermelho mostra claramente uma linha muito
larga e também que a linhas mais estreitas na região de campo mais baixo foram
suprimidas. Esse resultado mostra que os centros paramagnéticos associados à linha
larga não são os mesmos que produzem a estrutura de linhas estreitas observadas em
baixo campo.
As amostras adicionais, D0-D4, foram também medidas através da cnica
EDFS. Com exceção da amostra D1, nenhum sinal foi observado nos espectros,
indicando a ausência de centros paramagnéticos ou tempos de relaxação associados
muito curtos. A amostra D1, dopada com Ce, apresentou um espectro de EDFS
formado por uma banda larga, bastante similar àquela presente nos espectros das
amostras A1-A5 mostrados na Figura 3-4. Este fato indica que a banda larga
observada nos nossos espectros é proveniente de centros paramagnéticos associados
ao Ce
3+
.
3.3.3 ESEEM dois pulsos
O experimento de ESEEM dois pulsos consiste em medir a intensidade do
eco em função do tempo de espaçamento,
τ
, entre os pulsos. A intensidade do eco
decresce com o aumento de
τ
, aproximadamente de acordo com uma função
exponencial de constante de tempo T
m
, e apresenta modulações nucleares.
Um exemplo interessante, obtido com a amostra A5 em g 2.06, está
mostrado na Figura 3-6. Nesta figura observa-se a presença de uma modulação de
baixa freqüência e de uma de mais alta freqüência (melhor visualizada através da
62
transformada de Fourier do decaimento mostrada na próxima figura). Também estão
mostrados os decaimentos obtidos para diferentes tempos de repetição onde se nota
que a modulação de alta freqüência desaparece na medida em que o tempo de
repetição diminui.
0,0 0,5 1,0 1,5 2,0
Amplitude do eco (u. a.)
Tempo (µs)
Shot Repetition Time
4.0 ms
2.0 ms
1.0 ms
0.3 ms
Figura 3-6: Parte real da amplitude do eco em função do tempo de separação entre os pulsos,
τ
, para vários valores do tempo de repetição. Medidas realizadas na amostra A5, a 10K, com
o campo magnético estático em 3377.00 G, freqüência em 9.750 GHz (g 2.06) e com
separação inicial entre os pulso de 250 ns.
A Figura 3-7 mostra espectros de ESEEM obtidos para os decaimentos da
Figura 3-6, onde se observam dois picos, sendo um em 3.90 MHz e outro em 14.28
MHz. Nota-se que à medida que o tempo de repetição entre as seqüências de pulsos
diminui a relação entre as intensidades da linha em 3.90 MHz e da linha em 14.28
MHz aumenta. No espectro com tempo de repetição mais curto, a linha de em 14.28
63
MHz praticamente desaparece. Isso indica que os dois núcleos estão ligados a
diferentes centros paramagnéticos que possuem tempos de relaxação spin-rede
eletrônicos diferentes.
0 5 10 15 20 25 30 35 40
23
Na
Shot Repetition Time
4.0 ms
2.0 ms
1.0 ms
0.3 ms
A5- ESEEM 2P - g=2,06 a
14,28MHz
3,90MHz
Amplitude (u. a.)
Freqüência (MHz)
Figura 3-7: ESEEM 2 pulsos com supressão por T
1
da amostra A5. Medidas realizadas a
10K, com o campo magnético estático em 3377.00 G, freqüência em 9.750 GHz e com
separação inicial entre os pulso de 250 ns.
Medidas sistemáticas de ESEEM dois pulsos foram realizadas em vários
pontos do espectro de EDFS (Figura 3-8(a)), posicionados em todos os valores de
campo para os quais se observa um máximo do sinal. A Figura 3-8(c) mostra os
espectros de ESEEM dois pulsos para os pontos destacados no espectro de EDFS. Os
espectros correspondentes aos outros máximos não assinalados são similares e foram
omitidos para facilitar a visualização da figura.
64
2000 4000 6000 8000 10000
0 5 10 15 20 25 30 35 40
2000 3000 4000 5000 6000 7000
2
3
4
5
6
7
8
A3
Intensidade (u. a.)
e
d
c
b
Campo Magnético (Gauss)
a
(a)
(c)
e
d
c
a
b
Amplitude
Freqüência(MHz)
g = 2.661
g = 2.107
g = 1.954
g = 1.665
g = 1.060
ESSEM 2 Pulsos
(b)
b
e
d
c
a
Picos de ESEEM
Ajuste Linear
Freqüência (MHz)
Campo Magtico (Gauss)
23
Na
γ = 11.262 MHz/T
Figura 3-8: ESEEM dois pulso realizados em várias posições do espectro. (a) Mostra o
espectro de EDFS da amostra A3 com indicações das posições de campo magnético onde
foram realizadas as medidas de ESEEM dois pulsos. (b) Mostra as freqüências dos picos
encontrados nos espectros de ESEEM dois pulsos em (c) contra o campo magnético e seu
respectivo ajuste linear. Medidas realizadas a 10 K, freqüência em 9.753 GHz e com
separação inicial entre os pulsos de 250 ns e shot repetition time de 4 ms.
Os espectros de ESEEM mostrados na Figura 3-8(c) apresentam um único
pico posicionado na faixa de freqüências 3-8 MHz, sendo que sua posição exata
depende do valor do campo magnético em que o experimento foi realizado. Um
gráfico da freqüência do pico de cada espectro de ESEEM, como função do campo
magnético, é mostrado na Figura 3-8(b). O ajuste linear feito através destes pontos
indica que a modulação encontrada por todo espectro possui a freqüência
característica do núcleo
23
Na. Isso indica que núcleos de
23
Na fazem parte da
estrutura ligante que envolve os centros paramagnéticos observados.
65
0 5 10 15 20 25 30 35 40
14,28MHz
3,90MHz
Amplitude (u. a.)
Freqüência (MHz)
A1
A2
A3
A4
A5
Figura 3-9: ESEEM dois pulsos das amostras A1- A5 em g 2.06. Medidas realizadas a
10K, freqüência em 9.750 GHz e com separação inicial entre os pulso de 250 ns e shot
repetition time de 4 ms.
A Figura 3-9 mostra os espectros de ESEEM dois pulsos para as cinco
amostras estudadas, no campo B
o
3377 G e g 2.06. Os espectros foram
normalizados a partir da amplitude do pico de
23
Na. Pode-se notar que apenas o
espectro da amostra A5, que foi irradiada e tratada termicamente por 1 hora a 450ºC
e depois por 2 horas a 520ºC, possui um pico em torno de 14.28 MHz bem definido.
A técnica de ESEEM com 3 pulsos, explicada no capítulo anterior, também foi
utilizada nestes mesmos materiais, mas infelizmente, em nenhum dos casos foi
observado o efeito de modulação nuclear. Por razões que ainda desconhecemos, o
66
eco formado na seqüência de 3 pulsos decai monotônicamente com o aumento da
separação entre o segundo e terceiro pulso da seqüência.
Para resumir os resultados mais importantes, podemos dizer que todos os
picos de sinal observados nos espectros de EDFS mostram modulações nucleares
que, com certeza, estão associados à presença do núcleo
23
Na na estrutura dos
ligantes. Adicionalmente, em apenas um dos picos (naquele assinalado pelo fator g
2.06) observou-se uma modulação nuclear de freqüência 14.28 MHz. Tentaremos
agora identificar a origem desta modulação.
Os únicos dois núcleos mais abundantes que poderiam apresentar modulações
com freqüência em torno de 14.28 MHz seriam o
1
H (I = ½, abundância natural
99.9885%) e o
19
F (I = ½, abundância natural 100%), cujas freqüências de Larmor no
campo de 3377.00 G (g 2.06) valem
ω
I
H
= 14.3784 MHz e
ω
I
F
= 13.5342 MHz,
respectivamente. Entretanto, o elemento Hidrogênio não faz parte da composição
química nominal do material e, portanto, somente poderia estar presente como
contaminante, na forma de radicais do tipo OH
-
, por exemplo, e em pequenas
quantidades. Por outro lado, a freqüência da modulação observada está acima da
freqüência de Larmor associada ao flúor.
Se a interação hiperfina do centro paramagnético observado em g 2.06 com
o núcleo não identificado puder ser descrita pela Hamiltoniana eq.2-31, as
freqüências das transições nucleares,
ω
α
e
ω
β
, serão dadas pela eq.2-34. Estas
equações indicam que as duas freqüências estariam resolvidas na situação em que
ω
I
fosse da mesma ordem que o parâmetro hiperfino A. Entretanto, esta não é a situação
experimental, na qual apenas uma freqüência é observada indicando
ω
α
ω
β
. Logo, a
modulação em 14.28 MHz presente nos nossos espectros somente poderia estar
67
associada ao
19
F na condição em que
ω
I
>> A, situação esta em que as eq.2-34
resultam:
442
442
2
2
2
2
2
2
2
2
BBA
BBA
II
II
++
=
++
+=
ωωω
ωωω
β
α
.
eq.3-1
Tomando
ω
α
=
ω
β
= 14.28 MHz e
ω
I
= 13.5342 MHz obtemos B 9 MHz.
Este valor de B está em concordância com a amplitude da modulação observada,
quando comparada com a expressão para o fator de profundidade, k, dada pela
equação eq.2-33. Assim, a interpretação mais plausível da modulação nuclear
observada em 14.28 MHz é que ela esteja associada a núcleos de
19
F cuja interação
superhiperfina com o centro paramagnético é altamente anisotrópica e descrita pelos
parâmetros: A <<
ω
I
= 13.5342 MHz e B = 9 MHz.
3.4 Conclusões
Ficou constatado que a técnica de RPE de onda contínua não fornece subsídios
para a caracterização e análise dos materiais vítreos estudados. A ausência do
espectro de RPE de onda contínua é ainda um fato misterioso, sobre o qual podemos
apenas apresentar argumentos plausíveis, não conclusivos.
Por outro lado, as técnicas pulsadas de ESEEM e EDFS mostraram-se úteis e capazes
de fornecer informações espectroscópicas relevantes. Os espectros obtidos pelas
técnicas pulsadas mostram mudanças significativas quando os vidros são irradiados
e/ou tratados termicamente, indicando que mudanças estruturais estão ocorrendo na
vizinhança dos centros paramagnéticos observados.
68
Comparando os nossos resultados com os apresentados na literatura, podemos
dizer que eles são consistentes com o modelo em que nanocristais de NaF são
formados em decorrência do processo de irradiação e tratamento térmico.
A fim de facilitar a identificação destes centros, os espectros de EDFS foram também
adquiridos sob condição de saturação induzida pela supressão de componentes que
relaxam mais rapidamente.
Medidas sistemáticas de ESEEM nas linhas mais proeminentes do espectro
mostram que a modulação característica do
23
Na está presente em todo o espectro,
indicando que este núcleo faz parte da estrutura ligante de todas as espécies
paramagnéticas observadas.
O espectro de ESEEM da amostra A5, que foi irradiada e tratada por 1 hora a
450
o
C e 2 horas a 520
o
C, mostra em g 2.06 uma modulação adicional associada
com a presença de núcleos
19
F acoplados por interação hiperfina ao centro associado
através da Hamiltoniana da eq.2-31, com A <<
ω
I
= 13.5342 MHz e B = 9 MHz.
Este resultado indica que o centro paramagnético responsável pela linha de
ressonância em g 2.06 faz parte da estrutura dos nanocristais de NaF, tendo sido,
provavelmente, criado por defeitos na estrutura cristalina do NaF.
As bandas largas observadas ao longo de todo o espectro de EDFS foram
atribuídas ao íon Ce
3+
, em estruturas que possuem o Na como ligante distante. As
restantes linhas resolvidas, observadas na região de baixo campo, ainda não foram
identificadas, mas a nossa suspeita é que elas possam ser atribuídas a aglomerados
(ou clusters) de prata, Ag. É sabido que estes aglomerados de Ag podem produzir
espectros com linhas resolvidas similares ao observado aqui, mas o número de linhas
e a forma dos espectros dependem do número de íons do aglomerado [31]. O estudo
deste problema é complexo e ainda não pudemos chegar a uma conclusão definitiva.
69
4 Estudo do Gel Pentóxido de Vanádio por RPE
4.1 Introdução
Géis de pentóxido de vanádio V
2
O
5
:nH
2
O atraíram considerável atenção
durante a última década devido a potencial importância para aplicações
eletroquímicas como sistemas catalisadores, eletrodos para baterias de lítio,
dispositivos eletroquímicos, sensores de umidade e biosensores, cobertura anti-
estática e outras aplicações industriais [32, 33, 36, 35, 37, 41].
Esses géis são compostos por materiais formados por um solvente (H
2
O)
preso em uma rede de óxidos (Figura 4-1). Já foi confirmado através da difração de
raios-X, ressonância magnética nuclear (NMR) e simulação de dinâmica molecular
[34, 38, 39] que os géis V
2
O
5
apresentam uma estrutura de camadas formada por
fitas (ou lâminas) poliméricas de comprimento, largura e espessura da ordem de
1000, 100 e 10 Å, respectivamente. O espaçamento interlaminar entre as fitas
depende da quantidade de água e diminui até cerca de 8.7 Å para o gel
V
2
O
5
:0.5H
2
O obtido sob vácuo.
RPE é conhecida como uma técnica espectroscópica sensível para
caracterização da ordem local de uma grande variedade sistemas no estado sólido. É
extremamente útil para investigar o ambiente de coordenação de centros
paramagnéticos, tais como íons de metais de transição e terras raras. Técnicas de
RPE pulsada, como EDFS e ESEEM são ferramentas poderosas no estudo das
interações entre íons paramagnéticos e spins nucleares (por exemplo,
51
V e
1
H).
As técnicas associadas à RPE de onda contínua e pulsada são utilizadas por diversos
autores no estudo de géis de pentóxido de vanádio [32, 41].
70
Figura 4-1: Estrutura laminar do xerogel pentóxido de vanádio, V
2
O
0
:nH
2
O, com n = 1.8
[42].
O íon vanádio abundante na estrutura possui valência 5+ e é diamagnético
enquanto que o íon paramagnético V
4+
é menos abundante e sua concentração e
estrutura ligante depende da quantidade de água presente no material e do processo
de produção. O modelo estrutural proposto para os ligantes do íon V
4+
na nossa
amostra (n = 1.8) está mostrada na Figura 4-2. A estrutura possui simetria axial tendo
ao longo do eixo de simetria uma ligação V=O oposta a uma água. No plano
equatorial o íon V
4+
se liga a quatro radicais OH.
Em um estudo prévio relatamos a dependência com a temperatura do espectro
de RPE e da largura de linha e tempos de relaxação do RMN
1
H de um gel com n
1.8 [43]. Foi encontrado que a forma do espectro de RPE muda drasticamente com a
71
temperatura, desde um espectro isotrópico pico de líquidos em altas temperaturas
para um espectro anisotrópico, típico de radicais imobilizados, a baixas temperaturas.
Uma temperatura de transição entre os dois regimes, na faixa de 265K a 295K, foi
determinada. Os resultados de RMN mostraram a existência de dois tipos de prótons,
um de alta mobilidade associado a hidrogênios no espaço interlaminar das camadas
de V
2
O
5
e outro de baixa mobilidade presente na estrutura do material. Como RMN
não observaria prótons próximos de radicais paramagnéticos, espera-se que os
prótons imobilizados sejam aqueles ligados a estruturas de V
5+
.
Neste trabalho relataremos o estudo do xerogel de pentóxido de vanádio
V
2
O
5
:nH
2
O (n 1.8) realizado com as técnicas de RPE de onda contínua e pulsada.
4.2 Experimental
As amostras foram preparadas pelo grupo de pesquisa do Prof. Guilhermo
Gonzalez no Departamento de Química - Facultad de Ciências da Universidad de
Chile, Santiago, Chile. O gel de pentóxido de vanádio foi preparado a partir de uma
mistura de 50 ml de álcool t-butil (Merck p.a.) e 5 g de V
2
O
5
(ortorrômbico, Aldrich
99.6 %) foi refluxado por 6 h. Depois de remover o sólido restante por centrifugação,
o líquido filtrado foi diluído com 250 ml de água deionizada. O álcool t-butil gerado
e a água em excesso foram então removidos sob vácuo. Para dar origem a uma
suspensão, água foi adicionada ao sólido que restou. O material ficou em repouso por
2 meses, dando origem a um colóide marrom-avermelhado de V
2
O
5
(monoclínico). O
xerogel foi obtido a partir da secagem do gel por evaporação no ar.
72
Figura 4-2: Modelo estrutural proposto para os ligantes do íon V
4+
.
Os experimentos de RPE de onda contínua foram realizados em um
espectrômetro Varian E-109 banda X ( 9.5 GHz). A temperatura foi controlada (±
0.1 K) utilizando-se um criostato de fluxo de nitrogênio líquido contínuo. As
medidas de RPE pulsada foram realizadas no espectrômetro Bruker-ELEXSYS
E580, que opera também em modo de onda contínua e é equipado com ponte de
microondas na banda X (9,5 GHz). Para as medidas deste trabalho utilizamos uma
cavidade cilíndrica dielétrica (para o modo PW). O controle de temperatura foi
realizado através do sistema criogênico Oxford, modelo ITC503, que permitiu a
realização de experimentos a temperaturas da ordem de até 4 K.
4.3 Resultados e discussões
4.3.1 Resultados prévios de EPR CW
A pesquisa a ser relatada neste trabalho se insere em um projeto já em
andamento, em colaboração com pesquisadores do Departamento de Química -
Facultad de Ciências da Universidad de Chile, Santiago, Chile - e com pesquisadores
73
do nosso instituto, Prof. José Pedro Donoso Gonzalez e Prof. Otaciro Rangel
Nascimento. Sob o tema proposto foram estudados os materiais descritos através das
técnicas de RPE de onda contínua e ressonância magnética nuclear, RMN. Parte dos
trabalhos realizados pela equipe está publicada em [43] e um segundo, mais
completo e incluindo os nossos resultados, está sendo submetido para publicação.
Nesta seção discutiremos brevemente os resultados de RPE-CW já publicados
com a intenção de fornecer subsídios para as discussões posteriores relacionadas com
os novos resultados que serão descritos a seguir.
O íon paramagnético V
4+
tem uma configuração eletrônica 3d
1
com spin
eletrônico S = 1/2. O spin nuclear do isótopo
51
V, com abundância natural de 99.5%,
é I = 7/2. O espectro de RPE do V
4+
é normalmente descrito por um Hamiltoniano de
spin axial, que inclui a interação hiperfina:
)()(
|||| yyxxzzYyxxzz
SISIASIASHSHgSHgH +++++=
ββ
,
eq.4-1
onde
β
é o magneton de Bohr; H
x
, H
y
, e H
z
são as componentes do campo magnético
estático; S
x
, S
y
, e S
z
são os operadores de spin do elétron; I
x
, I
y
, e I
z
são os operadores
de spin do núcleo; g
||
e g
são os componentes paralelo e perpendicular do tensor g;
A
||
e A
são os componentes paralelo e perpendicular do tensor hiperfino A.
74
2600 2800 3000 3200 3400 3600 3800 4000 4200
-8000
-6000
-4000
-2000
0
2000
4000
6000
8000
10000
308.8
302.8
268.1
263.2
258.1
252.8
247.8
242.2
T(K)
238.2
A(T)
Intensity (a.u.)
Magnetic Field (Gauss)
Figura 4-3: Espectros de RPE CW do xerogel pentóxido de vanádio, V
2
O
0
:1.8H
2
O, obtidos
em função da temperatura. As linhas pontilhadas indicam a posição do campo de duas linhas
laterais bem resolvidas. A separação entre essas duas linhas, A(T), é uma estimativa grosseira
da separação hiperfina. (figura adaptada a partir de [43])
A Figura 4-3 mostra um espectros de RPE CW do gel de óxido de vanádio
V
2
O
5
:1.8H
2
O em diferentes temperaturas. Os espectros obtidos em altas temperaturas
exibem a estrutura de oito linhas hiperfinas típica de líquidos. Em baixas
temperaturas, os espectros apresentam um padrão de anisotrópico. A análise dos
espectros mostrados na Figura 4-3 permite estimar a temperatura de transição
associada com a mudança espectral. A fim de quantificar esse efeito, é mostrada na
Figura 4-4 a dependência da separação hiperfina com a temperatura, A(T), a qual foi
estimada pela separação entre duas linhas laterais bem resolvidas na parte de campo
mais baixo do espectro, como indicado na Figura 4-3. Apesar da falta de dados
experimentais numa grande faixa de temperaturas, uma estimativa grosseira da
75
região de transição, em torno de 280K, pode ser obtida através do gráfico de A(T)
mostrado na Figura 4-4.
100 150 200 250 300
100
120
140
160
180
200
Tm = 7.0 ± 2.0
o
C
A(T) (Gauss)
Temperature (K)
Figura 4-4: Dependência da separação hiperfina com a temperatura, A(T), medidas de acordo
com o procedimento descrito na Figura 4-3. A partir deste gráfico uma região de transição,
em torno de 287 K, ou 7
o
C pode ser estimada. (figura adaptada a partir de [43])
O espectro de RPE do V
4+
medido em 65k foi analisado por simulação
numérica do Hamiltoniano de spin da eq.4-1. O espectro simulado do gel
V
2
O
5
:1.8H
2
O na Figura 4-5 foi obtido pelo programa QPOWA e reproduz com
fidelidade o espectro experimental. O melhor ajuste do espectro experimental foi
obtido com os seguintes parâmetros do Hamiltoniano: g
||
=1.9390, g
=1.9810, A
||
=
203.3 G, A
=75.2 G, g-strain = 0 e A-strain = 0. Os melhores valores para as
larguras de linha são: H
||
= 26.0 G e H
= 25.4 G. Para se conseguir uma
76
simulação mais próxima do espectro experimental, foi adicionada uma linha de base
lorentziana larga, com g = 2.0113 e H
pp
= 369.6 G, como indicado na Figura 4-5(b).
Esta linha larga foi atribuída a pares de V
4+
fortemente ligados.
-6000
-4000
-2000
0
2000
4000
6000
2500 3000 3500 4000 4500
-6000
-4000
-2000
0
2000
4000
6000
(a)
1.9810 1.9810 1.9390 g
x
g
y
g
z
75.2 75.2 203.3 A
x
A
y
A
z
25.4 25.4 26.0 H
x
H
y
H
z
Lorentzian Shape
Magnetic Field (Gauss)
9.478000 GHz
Intensity (a.u.)
Experimental (65.0 K)
Simulation
(b)
V
4+
spectrum
Baseline
Figura 4-5: Espectros de RPE CW do xerogel pentóxido de vanádio, V
2
O
5
:nH
2
O, e
simulações. Os dados experimentais (linha sólida), que foram obtidos a 65K, e a simulação
(linha pontilhada) são mostrados em (a). O espectro simulado consiste de um espectro
estruturado devido a íons V
4+
isolados (linha sólida) somado a uma linha de base lorentziana
larga (linha pontilhada) como mostrado em (b). Em (b) a linha larga foi subtraída do espectro
resultando (em linha cheia) o espectro correspondente aos V
4+
isolados. Os valores dos
parâmetros utilizados nas simulações estão descritos no texto. (figura adaptada a partir de
[43])
O espectro medido em 308.8K também foi analisado por simulação numérica
no limite de alta temperatura (espectro de líquido) onde, devido ao movimento
Browniano das espécies moleculares que contem o íon V
4+
, as interações
anisotrópicas se cancelam e não contribuem para o espectro. A linha de base
lorentziana larga, com g = 1.9760 e H
pp
= 430.2 G, foi utilizada. A análise do
77
espectro pode ser feita através de um modelo no limite de movimentos rápidos, no
qual a largura de linha isotrópica, utilizada para ajustar os componentes hiperfinos, é
levada em conta até segunda ordem no número quântico nuclear, H = A + Bm
I
+
Cm
I
2
, com A, B e C sendo parâmetros ajustados. A simulação foi efetuada pelo
programa Simphonia, com os parâmetros: A = 44 G, B = -3 G e C = 2.8 G. Os
valores para os parâmetros g e A isotrópicos são: g
0
= 1.971 and A
0
= 113.5 G, que
estão em concordância com aqueles obtidos para o espectro de rede rígida.
2600 2800 3000 3200 3400 3600 3800 4000
-1000
-500
0
500
1000
2600 2800 3000 3200 3400 3600 3800 4000
-1000
-500
0
500
1000
(a)
Magnetic Field (Gauss)
Intensity (a.u.)
Experimental (308.8 K)
Simulation
(b)
V
4+
spectrum
Baseline
Figura 4-6: Espectros de RPE CW do xerogel pentóxido de vanádio, V2O5:nH2O, e
simulações. Os dados experimentais (linha sólida), que foram obtidos a 308.8K, e a
simulação (linha pontilhada) são mostrados em (a). O espectro simulado consiste de um
espectro estruturado devido a íons V
4+
isolados (linha sólida) somado a uma linha de base
lorentziana larga (linha pontilhada) como mostrado em (b). Os valores dos parâmetros
utilizados nas simulações estão descritos no texto. (figura adaptada a partir de [43])
78
4.3.2 RPE pulsada
O primeiro passo para se obter informações estruturais a respeito do material
em estudo através das técnicas de RPE pulsada, foi obter um espectro de EDFS.
Embora a técnica seja simples, em princípio, a medida de um espectro de EDFS que
reproduza o espectro CW nem sempre é o objetivo final do experimento. Existem
vários efeitos que podem causar distorções nas formas de linha dos espectros EDFS e
muitas vezes estas distorções são vistas como vantajosas, pois permitem obter
informações adicionais úteis para a interpretação dos resultados. Uma das vantagens
da EDFS é que os espectros de diferentes espécies paramagnéticas, que se sobrepõem
nos espectros CW, podem ser separados quando as espécies envolvidas possuem
diferentes tempos de relaxação.
A técnica de EDFS é particularmente útil no estudo de centros
paramagnéticos que exibem uma banda de ressonância larga, resultado das
contribuições não-homogeneamente alargadas de um ou mais centros distintos. Este
é o caso do presente estudo onde, através de diversos experimentos nos quais variam-
se os parâmetros que definem a seqüência de pulsos, informações estruturais que
passam desapercebidas nos espectros CW podem ser obtidas através das distorções
do espectro de EDFS.
A primeira questão experimental que surge ao se utilizar a técnica EDFS é a
escolha da temperatura apropriada para a realização dos experimentos. Nos
experimentos a serem descritos foi utilizada a temperatura mais baixa possível, para
a qual os tempos de relaxação spin-rede (T
1
) não tornassem o experimento proibitivo
devido a utilização de longos tempos de repetição entre as seqüências de pulsos.
Devido ao seu T
1
relativamente curto, as medidas puderam ser realizadas a
temperatura de 6 K, o que permitiu obter espectros com boa relação sinal/ruído.
79
Os espectros de EDFS foram obtidos através de uma seqüência de dois pulsos
e integração do eco. Em geral, a partir da escolha da largura do primeiro pulso, a
largura do segundo pulso é ajustada de forma a maximizar a intensidade do eco. Por
isso, nem sempre a largura do segundo pulso corresponde ao dobro da largura do
primeiro, como seria o caso de uma seqüência π/2-π. A forma dos espectros obtidos
depende fortemente da separação entre os pulsos de microonda e de suas larguras e
isto está sendo mostrado na Figura 4-7.
2500 3000 3500 4000 4500
100000
200000
300000
400000
500000
600000
700000
800000
2500 3000 3500 4000 4500
0
200000
400000
600000
800000
1000000
1200000
1400000
1600000
1800000
2000000
2500 3000 3500 4000 4500
50000
100000
150000
200000
250000
300000
350000
2500 3000 3500 4000 4500
0
500000
1000000
1500000
2000000
2500 3000 3500 4000 4500
0
50000
100000
150000
200000
250000
2500 3000 3500 4000 4500
0
200000
400000
600000
800000
1000000
1200000
X Axis Title
200 ns
X Axis Title
0 dB
Intensidade (u. a.)
X Axis Title
300 ns
X Axis Title
15 dB
Campo magtico (Gauss)
400 ns
Campo magnético (Gauss)
18 dB
Figura 4-7: Espectros de EDFS obtidos a 6K para diferentes separações (200, 300 e 400 ns)
entre os dois pulsos de durações 12 ns e 14 ns , respectivamente (espectros a esquerda) e,
para diferentes larguras de pulsos (0 dB : 12-16 ns , 15 dB : 36-70 ns e 18 dB : 50-70 ns)
para uma separação fixa de 230 ns (espectros a direita).
Para os espectros mostrados na coluna esquerda da Figura 4-7 foram
utilizados pulsos curtos (não seletivos) de largura espectral 20-30 G. Embora sejam
denominados não-seletivos, estes pulsos não são capazes de excitar simultaneamente
80
todo o espectro, o qual é extremamente alargado. De fato, estes pulsos excitam uma
banda muito estreita, que equivale a uma fração do valor calculado para o parâmetro
A
= 75.2 G, o qual indica a separação entre os picos mais proeminentes da estrutura
de linhas mais estreitas observadas nos espectros. Por este motivo, a forma das linhas
é pouco influenciada pela duração dos pulsos, conforme se pode notar nos espectros
na coluna direita da Figura 4-7.
1,6 1,8 2,0 2,2 2,4 2,6
EDFS
Integral do CW
(b)
(a)
Intensedade (u. a.)
Fator g
Figura 4-8: (a) Espectro de EDFS realizado em 6K e com separação de 250 ns entre os
pulsos de π/2 e π de durações 36 ns e 62 ns, respectivamente. (b) Integral do espectro de
RPE CW mostrado na Figura 4-5 (a).
De fato, apenas a intensidade dos espectros diminui consideravelmente com o
aumento das larguras indicando que um menor número de pacotes de spins está
sendo excitado pelos pulsos mais largos. As atenuações designadas nestes gráficos
81
(0, 15 e 18 dB) correspondem às respectivas atenuações da intensidade do primeiro
pulso relativa à máxima potência disponível e as durações correspondentes dos
pulsos estão especificadas na legenda da figura.
2500 3000 3500 4000 4500
g=2.353
g=2.233
g=2.114
g=2.021
g=1.940
g=1.895
g=1.800
g=1.718
g=1.659
Intensidade (u. a.)
Campo Magnético (Gauss)
g=2.075
Figura 4-9: Espectro de EDFS no qual são destacadas as posições de campo onde foram
realizadas as medidas de ESEEM dois pulsos. As barras laranja indicam a região paralela de
cada transição e as barras azuis indicam a região perpendicular, conforme simulação da
Figura 4-14.
Devido ao tempo morto do espectrômetro, a menor separação entre pulsos
que pôde ser utilizada foi de 200 ns, para a qual a Figura 4-7 (topo a esquerda)
mostra um espectro bastante intenso. Na medida em que a separação ou a largura dos
pulsos aumenta a intensidade dos espectros diminui.
Conforme justificaremos adiante, o espectro mais intenso (200 ns) é bastante
susceptível a distorções devido às modulações nucleares. Como o espectro CW desta
82
amostra é conhecido, ele pôde ser comparado com os de EDFS e desta comparação
concluímos que o espectro EDFS que melhor reproduz o CW, é obtido quando se
utiliza pulsos separados por 250 ns. Todavia, quando se utiliza pulsos de mais longa
duração, a relação sinal/ruído dos espectros se deteriora, por isso, para comparação
entre os espectros EDFS e CW foram utilizamos pulsos relativamente seletivos, cuja
potência foi atenuada por 15 dB com relação à potencia máxima. O resultado deste
experimento, juntamente com a integral do espectro CW, está mostrado na Figura
4-8.
0 200 400 600 800 1000 1200
Amplitude do eco (u. a.)
τ (ns)
g = 2.075
g = 1.800
g = 1.718
Figura 4-10: Decaimento do logaritmo da amplitude do eco (2 pulsos) em função do tempo
de separação entre os pulsos em três posições de campo magnético. Durações dos pulsos: 12
ns e 14 ns, respectivamente. Somente na medida efetuada em g = 2.075 estão presentes as
modulações associadas ao núcleo
1
H.
83
A comparação dos espectros da Figura 4-8 mostra que os dois apresentam as
mesmas características, ou seja, são espectros largos que ocupam praticamente a
mesma faixa de campo magnético e que possuem picos com intensidades relativas
muito parecidas situando-se nas mesmas posições do fator g. Isso indica que os
espectros de EDFS e de RPE CW estão relacionados com os mesmos centros
paramagnéticos, ou seja, os íons V
4+
.
Foram realizadas medidas de ESEEM dois pulsos nos vários pontos do
espectro de EDFS assinalados na Figura 4-9. Alguns gráficos da amplitude do eco
em função da separação entre os pulsos estão mostrados na Figura 4-10 e os
espectros de ESEEM correspondentes estão mostrados na Figura 4-11.
Nota-se claramente que em alguns dos espectros da Figura 4-11 (de g = 1.940
até g = 2.233) aparece uma linha que corresponde à freqüência de Larmor do
1
H (em
torno de 14 MHz). Em outras palavras, a modulação associada ao núcleo
1
H somente
foi observada na região central do espectro as posições laterais não apresentam
qualquer modulação.
A ausência do sinal de modulação do
1
H em regiões do espectro de EDFS,
mesmo com eco relativamente intenso, pode fornecer informação a respeito da
orientação dos núcleos de Hidrogênio com relação ao íon estudado. Em vista disso,
pretendemos discutir agora argumentos que poderiam explicar os fatos observados.
84
0 5 10 15 20 25 30 35 40 45 50
g = 1.659
g = 1.718
g = 1.800
g = 1.895
g = 1.940
g = 2.021
g = 2.075
g = 2.114
g = 2.233
Amplitude (u. a.)
Freqüência (MHz)
g = 2.353
Figura 4-11: Espectros de ESEEM dois pulsos obtidos em diversos campos.
Em primeiro lugar, uma possível explicação do desaparecimento da
modulação em partes do espectro poderia estar relacionada com variações do tempo
85
de memória, T
m
, ao longo do espectro. Por exemplo, se uma determinada região do
espectro possuir T
m
muito curto, da ordem do período da modulação, a baixa
resolução dos dados que seriam adquiridos daria a falsa impressão de ausência de
modulações. Entretanto, os dados experimentais mostram que este não é o caso.
A Figura 4-10 exemplifica este fato, mostrando o decaimento do eco medido
para três valores de campo, um localizado na região central da linha (g = 2.075),
outro na lateral de campo alto (g = 1.718) e um outro numa posição intermediária (g
= 1.800).
Nota-se na Figura 4-10 vários fatos interessantes. Em primeiro lugar, observa-se que
somente o decaimento medido na região central do espectro apresenta modulações.
Embora tenhamos mostrado os resultados obtidos em apenas três posições de campo,
este fato pode ser generalizado afirmando-se que somente se observa modulações
quando o campo está posicionado na região central do espectro (vide Figura 4-11).
Segundo, o decaimento do eco é não-exponencial em todas as posições de campo,
podendo ser descrito em boa aproximação por um decaimento curto, que domina a
relaxação para
τ
< 300 ns, somado a um longo que persiste por tempos posteriores
durante toda a aquisição do sinal.
De fato, todas as curvas de decaimento do eco podem ser ajustadas com boa
precisão por uma soma de duas funções exponenciais de intensidades I
a
e I
b
,
respectivamente, e constantes de tempo T
m
A
e T
m
B
, respectivamente. Os resultados
deste ajuste estão mostrados na Figura 4-12. Os valores das constantes de tempo
encontram se na faixa T
m
A
20-50 ns e T
m
B
300-500 ns, o que indica que elas
variam no máximo por um fator 2 ao longo de todo o espectro. Conclui se então que,
embora o decaimento do eco seja não-exponencial, os tempos de memória
86
envolvidos não são funções do campo, ou seja, a forma do decaimento do eco não
depende da posição em que a medida é realizada ao longo do espectro.
2,3 2,2 2,1 2,0 1,9 1,8 1,7 1,6
10
6
10
8
10
2
I
A
I
B
Amplitude (u. a.)
g
T
m
A
T
m
B
T
m
(ns)
Figura 4-12: Parâmetros obtidos a partir dos ajustes das curvas de decaimento do eco em
diferentes posições do espectro. A função utilizada no ajuste é uma soma de duas funções
exponenciais de intensidades I
a
e I
b
, respectivamente, e constantes de tempo T
m
A
e T
m
B
,
respectivamente.
Nota-se também na Figura 4-12 que as amplitudes, I
a
, associadas ao tempo
curto, T
m
A
, é cerca de 3-4 ordens de grandeza maiores que as correspondentes
amplitudes I
b
. Esta conclusão realmente não tem sentido físico visto que ela
implicaria, se não houvesse a limitação imposta pelo tempo morto do espectrômetro,
que o eco a ser medido com uma separação de pulsos muito curta seria cerca de
10000 vezes mais intenso que o observado com a separação de 250 ns. Isto é pouco
provável, visto que a concentração de V
4+
nas amostras não é alta. Levando em
87
consideração dados da literatura a respeito de materiais sólidos similares, é de se
esperar que, no regime de tempos curtos, o decaimento do eco seja gaussiano e não
exponencial como proposto e, portanto, de uma amplitude bem menor que o previsto
pela forma exponencial. Sendo que o tempo morto do espectrômetro permite medir
apenas a cauda do decaimento rápido, se difícil esclarecer esta dúvida. Apesar
disto, os ajustes apresentados são úteis para demonstrar que não uma grande
variação de T
m
através do espectro e que a forma do decaimento não é exponencial.
A origem do decaimento não-exponencial do eco, mostrado na Figura 4-10
ainda não é completamente entendida. A explicação mais óbvia seria que o
decaimento curto esteja associado aos pares V
4+
-V
4+
responsáveis pela distribuição
espectral lorentziana larga e o longo aos íons V
4+
isolados.
Analisando-se a Figura 4-7 observa-se um estreitamento sistemático do
espectro na medida em que se aumenta a separação entre os pulsos. De fato, o
espectro obtido para
τ
= 200 ns é bem mais largo que o de
τ
= 400 ns, indicando que,
sistematicamente, a intensidade da linha larga diminui com o aumento de
τ
mais
rapidamente do que as das linhas estreitas. Entretanto, observa-se ainda na mesma
figura que algumas linhas estreitas, particularmente as da lateral de campo alto,
desaparecem para
τ
= 400 ns mostrando que outros efeitos adicionais devem estar
alterando a forma dos espectros.
Uma explicação plausível para esta observação seria o fato de que uma
possível contribuição adicional à componente de tempo curto no decaimento do eco
poderia estar associada à difusão espectral, efeito este associado à transferência de
energia entre as diferentes componentes hiperfinas do espectro. Na presença deste
efeito, a refocalização do eco fica prejudicada porque parte dos pacotes excitados
transferem sua magnetização para outros pacotes que ressoam em diferentes
88
freqüências de Larmor. Logo, ocorre uma perda de coerência durante o período de
refocalização, diminuindo a intensidade do eco. É claro que, sendo um processo que
ocorre ao longo do tempo após a aplicação do primeiro pulso, seu efeito sobre a
forma do espectro é menor quando a separação entre os pulsos é curta.
Figura 4-13: Espectro com simetria axial típico de EDFS e seleções de orientações na esfera.
As setas indicam posições em que um espectro de mono-cristal seria observado. A posição
(1) corresponde às transições observadas quando o eixo de simetria axial do mono-cristal
aponta na direção paralela ao campo e, em (2), perpendicular ao campo.
Agora, nossa intenção é discutir as possíveis razões pelas quais a modulação
nuclear do eco é observada somente quando o sistema de spins é excitado na região
central do espectro.
Para interpretar este fato, utilizaremos um raciocínio baseado na Figura 4-13,
que mostra um espectro de na situação hipotética de um sistema com simetria
axial, que apresenta apenas uma transição para cada orientação do campo externo
relativa ao eixo de simetria (caso este em que não há interação hiperfina). Cada ponto
sobre a esfera designa uma orientação particular do eixo de simetria de um mono-
89
cristal relativa ao campo externo, sendo aqueles sobre os pólos orientações paralelas
e os sobre o equador, perpendiculares. Observa-se que o sinal resultante é mais
intenso na região do espectro correspondente às orientações perpendiculares, e que
esta região se situa no extremo oposto daquela que recebe as contribuições dos
monocristais orientados paralelamente ao campo.
No caso da nossa amostra a situação é um pouco mais complicada porque,
devido à interação hiperfina, oito transições são observadas simultaneamente para
cada orientação de um monocristal, relativa ao campo externo. Para cada transição
em particular um espectro semelhante ao da Figura 4-13 seria observado e, seguindo
este raciocínio, o espectro resultante corresponderia à soma dos espectros de cada
uma das transições.
2500 3000 3500 4000 4500
Campo Magnético (Gauss)
Intensidade (u. a.)
Total
7/2
5/2
3/2
1/2
-1/2
-7/2
-3/2
-5/2
Figura 4-14: Simulação do espectro de EDFS mostrando a contribuição de cada transição
para o espectro total.
90
Através do programa EasySpin, este cálculo foi efetuado para a nossa amostra
e o resultado obtido está sintetizado nas Figura 4-9 e Figura 4-14. A Figura 4-9
mostra através de barras verticais de cor laranja a posição em campo correspondente
à região paralela de cada transição e as barras azuis indicam a região perpendicular.
A Figura 4-14 mostra com maiores detalhes a contribuição de cada transição para o
espectro total de EDFS, onde se nota que as correspondentes transições entre estados
com m
I
positivo apresentam espectros individuais que possuem a mesma forma que a
mostrada no exemplo anterior (Figura 4-13) sendo que as transições entre estados
com m
I
negativo apresentam espectros individuais invertidos com relação ao do
exemplo anterior.
Este fato faz com que os picos mais intensos de cada espectro individual
estejam posicionados em direção ao centro do espectro. Em outras palavras, as
posições nos espectros que correspondem aos monocristais orientados
perpendicularmente caem preferencialmente sobre a parte central do espectro
resultante.
Como destacado pelas barras azuis da Figura 4-9, pode-se concluir que o pico
associado ao núcleo
1
H observado nos espectros de ESEEM é mais intenso na região
onde contribuem os monocristais orientados perpendicularmente.
A influência da orientação da estrutura associada ao íon V
4+
sobre a
modulação nuclear pode ser entendida através do modelo estrutural mostrado na
Figura 4-2. Quando o campo magnético está orientado paralelamente à ligação V=O,
os acoplamentos V-H se situam no plano perpendicular e os quatro sítios vizinhos ao
vanádio no plano perpendicular são equivalentes entre si. Por outro lado, Quando o
campo magnético está orientado perpendicularmente à ligação V=O os acoplamentos
V-H não são mais equivalentes entre si. Em qualquer caso, estes acoplamentos
91
podem ser tratados separadamente e o sinal de ESEEM resultante corresponde ao
produto dos decaimentos individuais (vide eq.2-35).
Provavelmente o acoplamento entre o íon V
4+
e os núcleos
1
H vizinhos se faz
através da parte dipolar da sua interação super-hiperfina. Analogamente ao
hamiltoniano hiperfino (eq.4-1), esta interação é descrita por um tensor axial a de
componentes
||
a e
a . Em termos destas componentes, os parâmetros A e B
definidos na eq.2-31 podem ser escritos como:
θθθθ
θθθ
cos3cos)(
)1cos3(cos
||
222
||
senTsenaaB
TasenaaA
iso
==
+=+=
eq.4-2
θ
é o ângulo entre o campo magnético externo e o raio vetor entre o spin S e o núcleo
I e,
3
3
2
||||
=
+
=
aa
Te
aa
A
iso
eq.4-3
Analisando estas equações, juntamente com as já apresentadas eq.2-31 a
eq.2-34, concluímos que a modulação desaparece quando o acoplamento hiperfino é
isotrópico (T = 0) ou quando o ângulo de orientação
θ
corresponde às orientações
canônicas. Em outras palavras, o parâmetro B e o fator de profundidade k são nulos
nestas duas situações.
A partir destes argumentos, é fácil notar que não deve haver modulação
nuclear associada aos cleos
1
H quando o campo externo é paralelo à ligação V=O,
pois, neste caso
θ
= π/2 para todos os núcleos. Por outro lado, quando a direção do
campo externo está contida no plano perpendicular da ligação V=O, duas situações
podem ser enumeradas. Primeiro, se a direção do campo coincidir com as diagonais
do quadrado formado pelos quatro OH ligantes, teremos para cada um dos núcleos,
θ
= 0, π/2, π e 3π/2, portanto todos em direções canônicas. Nesta situação também não
92
se espera observar a modulação. Segundo, se a direção do campo não coincide com
as diagonais do quadrado formado pelos quatro OH ligantes, não há restrições
impostas à observabilidade da modulação.
Portanto, a teoria prevê que somente é possível observar as modulações
nucleares quando a direção do campo externo é perpendicular à ligação V=O. De
acordo com os resultados mostrados na Figura 4-14, esta situação é observável
somente quando o campo magnético externo está posicionado na parte central do
espectro, pois, é nesta região em que os V
4+
orientados perpendicularmente são
ressonantes.
Conforme dissemos, é claro que nem todos os íons V
4+
orientados
perpendicularmente contribuem para a modulação nuclear porque uma parte deles
estão arranjados em orientações canônicas. Todavia, aqueles que contribuem
correspondem à maior parte da distribuição angular de todas as possíveis orientações
perpendiculares. Finalmente, considerando a forma singular do espectro de (vide
as Figura 4-13 e Figura 4-14), os íons V
4+
orientados perpendicularmente que
contribuem à modulação nuclear estão em ressonância na região central do espectro.
4.4 Conclusões
Em baixas temperaturas, os espectros de RPE CW do V
2
O
5
:1.8H
2
O exibem
um espectro de anisotrópico associado ao íon V
4+
. Em altas temperaturas, o
espectro mostra uma estrutura hiperfina bem resolvida, típica do íon V
4+
em amostras
líquidas. A temperatura de transição entre esses regimes pode ser estimada em 204 ±
6 K.
As técnicas de RPE pulsada EDFS e ESEEM dois pulsos foram utilizadas
com o intuito de se conseguir informação a respeito da estrutura local dos ligantes do
93
íon paramagnético V
4+
. Os resultados sugerem a presença de grupos OH no plano
equatorial. A técnica utilizada não permite observar a molécula de água que
possivelmente ocupa a posição oposta da ligação V-O, porque, neste caso, a ligação
V-H estaria orientada paralelamente ao eixo de simetria axial inibindo assim sua
contribuição aos espectros de ESEEM.
Uma banda de ressonância larga, recobrindo todo o espectro observado, foi
atribuída a pares V
4+
-V
4+
. Este tipo de arranjo molecular é esperado existir nos
materiais estudados.
O estudo efetuado por RMN descritos em [43] mostraram a existência de dois
tipos de protons presentes na amostra, sendo um de alta mobilidade e outro de baixa
mobilidade. O de alta mobilidade foi associado a moléculas de água inseridas no
espaço inter-laminar e os de baixa mobilidade a moléculas de água agregadas na
estrutura do material e, certamente, ligadas a íons V
5+
diamagnéticos. Devido ao fato
de que o tempo de relaxação spin-rede do próton é geralmente muito curto na
proximidade de íons paramagnéticos, a identificação dos ligantes do V
4+
não pode
ser feita através da RMN. Este trabalho mostrou que, a técnica da RPE pulsada pode
fornecer informações complementares, contribuindo conclusivamente para a
determinação de parâmetros estruturais de interesse.
94
5 Estudo da mudança estrutural foto-induzida em
filmes de vidros a base de polifosfato de
antimônio
5.1 Introdução
Nos últimos anos, devido a possível aplicação em dispositivos de
armazenamento óptico e holografia [44, 45], um interesse crescente no estudo de
materiais que apresentam mudanças estruturais fotoinduzidas [46, 47, 48, 49, 50].
Vários trabalhos têm relatado mudanças estruturais, reversíveis e irreversíveis, desse
tipo em filmes de calcogeneto de antimônio amorfo [51, 52, 53, 54].
O principal comportamento foto-induzido observado em filmes de sulfeto de
antimônio é o de fotocristalização irreversível [51, 52, 53]. Ligas de calcogenetos
contendo antimônio, como GeSbTe, também são intensamente estudados como
materiais para gravação óptica [55, 56, 57]. Para tais materiais na forma de filme, um
comportamento de fotocristalização reversível é observado e CDs e DVDs
regraváveis podem ser produzidos. Recentemente, um estudo sistemático sobre o
sistema binário Sb
2
O
3
-SbPO
4
demonstrou o comportamento de foto-oxidação de
amostras expostas à luz UV em 351nm.
De forma geral, poucos trabalhos sobre efeitos fotoinduzidos em filmes
baseados em antimônio são encontrados na literatura. Mais especificamente, estudos
de fenômenos fotoinduzidos em filmes do sistema vítreo x[Sb(PO
3
)
3
]
n
(100-x)Sb
2
O
3
não foram encontrados.
95
Efeitos induzidos por laser como fotoescurecimento, fotoexpansão e
fotocontração em vidros óxidos, calcogenetos e fosfatos têm sido investigados pela
técnica de Ressonância Paramagnética eletrônica (RPE) [48] e vidros dopados com
Cu
2+
têm sido estudados devido ao forte sinal apresentado por esse íon, favorecendo
o estudo da estrutura vítrea através de seus espectros [49, 50].
Neste trabalho é relatado o estudo sobre os mecanismos de mudança
estrutural foto-induzida em filmes finos do sistema treo [Sb(PO
3
)
3
]
n
–Sb
2
O
3
dopados com Cu
2+
. Para investigar as alterações estruturais provocadas pela
irradiação UV, utilizamos algumas técnicas de RPE de onda contínua e pulsada.
5.2 Experimental
Os materiais vítreos estudados neste trabalho foram produzidos pelos Drs.
Fábio Simões de Vicente e Máximo Siu Li do IFSC-USP. Para se produzir o sistema
vítreo a base de polifosfato e óxido de antimônio, é necessário produzir previamente
o polifostato de antimônio, [Sb(PO
3
)
3
]
n
. O processo para se obter esse polifosfato é
simples e foi realizado através da reação descrita a seguir:
6 NH
4
H
2
PO
4
+ Sb
2
O
3
= 2 Sb(PO
3
)
3
+ 6 NH
3
+ 9 H
2
O
O NH
4
H
2
PO
4
(analytical grade, Acros 99%) foi pulverizado com o Sb
2
O
3
(spectral grade, Acros 99+ %) em almofariz de ágata e colocado em um cadinho de
carbono vítreo para tratamento térmico a 200
o
C por 2 horas e 500
o
C por 10
horas. Subindo-se a temperatura até 700
o
C o [Sb(PO
3
)
3
]
n
foi vertido sobre um molde
de aço inox. O [Sb(PO
3
)
3
]
n
puro é um vidro visualmente transparente. A estrutura do
polifosfato produzido foi verificada por difração de raios-X como mostra a Figura
5-1. Como se pode observar pelo espectro, o polifosfato de antimônio apresenta
estrutura amorfa como esperado para este precursor com estrutura polimérica.
96
10 20 30 40 50 60 70 80
[Sb(PO
3
)
3
]
n
vertido a 700
o
C
Intensidade (u.a.)
2θ (graus)
Figura 5-1 - Espectro de difração de raios-X do [Sb(PO
3
)
3
]
n
produzido [59].
Após a pesagem dos materiais as quantidades estequiométricas de [Sb(PO
3
)
3
]
n
e Sb
2
O
3
foram colocadas em um cadinho de carbono vítreo e fundidos a 900
o
C. Para
a fusão utilizamos um forno tubular com capacidade para operar até 1100
o
C.
A mistura, depois de fundida a 900
o
C permanecia 30 minutos nesta
temperatura para homogeneização, sendo então vertida em moldes de aço inox pré-
aquecidos a 300
o
C. Logo em seguida os vidros eram levados a tratamento térmico a
250
o
C por 8 horas para eliminação completa de tensões. Placas de vidro com
dimensões de 10 x 10 x 4 mm, livres de trincas ou incrustações foram obtidas.
Filmes do vidro 0.20 [Sb(PO
3
)
3
]
n
0.80 Sb
2
O
3
foram depositados por
evaporação por feixe de elétrons (EB-PVD), em vácuo (4x10
-6
torr), sobre substratos
de quartzo em temperatura ambiente. Com um canhão de feixe de elétrons
(Telemark-231) operando em 8.0 KV e com a corrente do feixe de elétrons em 3.0
mA, taxas de deposição de 50-100 Å/sec foram alcançadas, monitoradas por um
97
oscilador de cristal de quartzo (Sycon Instruments STM-100). Cadinhos de tântalo
foram utilizados na evaporação do vidro por suportarem altas temperaturas. Essa
montagem permitiu a obtenção de filmes com boa qualidade óptica de até 10 µm de
espessura, dependendo da massa do vidro precursor e do tempo de evaporação.
Os vidros foram dopados com 0,2%, 0,5%, 1,0%, 1,5% e 2,0% de CuO.
Todas as medidas foram realizadas com as amostras dopadas com 2 % por
apresentarem boa intensidade de sinal. Assim sendo, a partir dos vidros dopados com
2,0 % de CuO, preparamos filmes espessos (~8,0 µm) que foram irradiados com
laser UV. Os vidros foram moídos e os filmes irradiados e não-irradiados foram
posteriormente raspados dos substratos e transformados em pó. Os filmes foram
irradiados com laser UV durante 12 horas com feixe expandido a 1,0 W/cm
2
, para
garantir que todo o filme extraído da lâmina foi sensibilizado pelo laser.
As medidas de RPE foram realizadas no espectrômetro Bruker-ELEXSYS
E580, que opera tanto em modo de onda contínua (CW) quanto pulsada (PW) e é
equipado com ponte de microondas na banda X (9,5 GHz). Para as medidas deste
trabalho utilizamos uma cavidade retangular (para o modo CW) e uma cilíndrica
dielétrica (para o modo PW). O controle de temperatura foi realizado através do
sistema criogênico Oxford, modelo ITC503, que permitiu a realização de
experimentos a temperaturas da ordem de até 4 K.
5.3 Resultados e Discussões
Nessa seção descrevemos a utilização da técnica da ressonância
paramagnética eletrônica como ferramenta para investigar o efeito de fotocontração
98
na estrutura molecular em filmes de 20% [Sb(PO
3
)
3
]
n
–80% Sb
2
O
3
dopados com
Cu
2+
, antes a após a irradiação com laser UV.
Utilizamos o íon Cu
2+
como sonda estrutural, pois, além de apresentar maior
intensidade no sinal entre os testes que realizamos utilizando também íons Cr
3+
e
Mn
2+
, apresenta espectros de fácil interpretação e também possui farta literatura
disponível [60].
5.3.1 RPE CW
2600 2800 3000 3200 3400 3600
g
1/2
3/2
-1/2
Intensidade (u. a.)
Campo Magnético (Gauss)
Simulação
Vidro
-3/2
g
Figura 5-2: Espectro de RPE CW do vidro 20% [Sb(PO
3
)
3
]
n
–80% Sb
2
O
3
dopado com 2 % de
CuO (em vermelho) obtido a 30K e o espectro simulado (em preto).
A Figura 5-2 mostra o espectro de RPE CW do vidro juntamente com o
espectro simulado. A simulação foi realizada com os seguintes parâmetros: g
=
99
2.075, g
||
= 2.40, A
= -10 MHz, A
||
= -370MHz. O espectro obtido é típico de vidros
fosfatos dopados com Cu
2+
[60]. Pode-se observar a estrutura hiperfina do cobre bem
resolvida na região de g
||
, composta de quatro linhas igualmente espaçadas cuja
largura aumenta de forma proporcional ao número quântico magnético do spin
nuclear m
I
. Este alargamento, denominado strain”, é bem conhecido e normalmente
observado em materiais vítreos e soluções com viscosidade alta [18, 28, 29]. A
ausência de linhas hiperfinas resolvidas na região de g
deve-se aos pequenos valores
encontrados para interação hiperfina nessa região, como mostram os parâmetros
obtidos a partir da simulação.
A partir dos parâmetros simulados, podemos concluir que os íons de Cu
2+
estão coordenados numa estrutura octaédrica axialmente distorcida (g
||
> g
). É
possível considerar também que os íons de Cu
2+
estejam coordenados por átomos de
oxigênio terminais [60]. Acoplamentos hiperfinos com núcleos de
31
P na segunda
esfera de coordenação não podem ser resolvidos através de EPR CW.
Com base nessas informações e com os dados estruturais conhecidos para estes
vidros e compostos similares [59], temos indicações que o Cu
2+
está substituindo o
Sb
3+
, que também se situa em sítio octaédrico na estrutura do vidro, como ilustrado
pela Figura 5-3.
100
Figura 5-3 Estrutura para os vidros de [Sb(PO
3
)
3
]
n
–Sb
2
O
3
mostrando um átomo de Sb em
sítio octaédrico cercado por seis tetraedros PO
4
.
2600 2800 3000 3200 3400 3600
Intensidade (u. a.)
Campo Magnético (Gauss)
Vidro
Filme não irradiado
Filme irradiado
Figura 5-4 – Espectros de RPE obtidos para composição 20% [Sb(PO
3
)
3
]
n
–80% Sb
2
O
3
com 2
% de Cu
2
, (vermelho) Filme não-irradiado, (azul) Filme irradiado com UV e (preto) vidro
precursor. Medidas realizadas a 30K.
101
A Figura 5-4 mostra os espectros de RPE CW obtidos a partir dos filmes
irradiados e não irradiados por UV. O espectro do filme não irradiado é visualmente
igual ao espectro do vidro precursor, porém com relação sinal/ruído um pouco
menor. Isso garante que o filme, antes de ser irradiado, possui as mesmas
características do vidro precursor. O espectro do filme irradiado possui a relação
sinal/ruído muito inferior a dos outros dois espectros, o que impossibilita qualquer
interpretação mais criteriosa. Pode-se apenas afirmar que esse espectro é semelhante
aos outros dois.
5.3.2 RPE pulsada
2500 3000 3500 4000
Vidro
Filme não irradiado
Filme irradiado
Campo Magnético (Gauss)
Intensidade (u. a.)
Figura 5-5: Espectros de EDFS obtidos a 10K. Seqüência de dois pulsos com separação de
180 ns. Freqüência de operação em 9.750 GHz.
A técnica de Echo Detected Field Sweep (EDFS) foi empregada na tentativa
de se obter maior resolução espectral, pois essa técnica permitiu medidas em
102
temperaturas mais baixas (10K) sem os efeitos de saturação observados nos espectros
de RPE CW. Para temperaturas mais baixas que 10K, o tempo de relaxação spin-
rede, T
1
, é muito longo tornando a aquisição inviável devido aos longos tempos de
repetição necessários. A Figura 5-5 mostra os espectros obtidos.
Pode-se observar que os espectros possuem algumas diferenças na forma das
linhas, mas mantém praticamente os mesmos valores para g
||
e g
. A análise desses
espectros na forma como estão mostrados na Figura 5-5 é difícil, pois as linhas da
estrutura hiperfina são praticamente imperceptíveis. Para facilitar a interpretação dos
espectros, utilizamos a primeira derivada do espectro de EDFS, como mostra a
Figura 5-6. Esses espectros são equivalentes aos espectros de RPE CW, porém com
relação sinal/ruído melhor.
2500 2750 3000 3250 3500 3750 4000
Intensidade (u. a.)
Campo Magnético (Gauss)
Filme irradiado
Filme não irradiado
Vidro
Figura 5-6: Primeira derivada dos espectros de EDFS mostrados na Figura 5-5.
103
Apesar do espectro do filme irradiado ainda ser mais ruidoso que os demais, é
possível perceber claramente suas diferenças com relação aos outros dois espectros,
que são bem parecidos entre si. Na região do g
||
todos os espectros são muito
parecidos, com interação hiperfina de mesma magnitude. O espectro do filme
irradiado não apresenta o alargamento das linhas hiperfinas como no caso dos outros
dois espectros. na região do g
, as diferenças são mais aparentes. O espectro do
filme irradiado apresenta outras linhas que não estão presentes no espectro do vidro
precursor.
2600 2800 3000 3200 3400 3600 3800
Intensidade (u. a.)
Campo Magnético (Gauss)
Simulação
EDFS - primeira derivada
Figura 5-7: Simulação do espectro de EDFS do filme irradiado.
A Figura 5-7 mostra uma simulação para o espectro do filme irradiado. Os
parâmetros obtidos para essa simulação revelam a formação de dímeros de Cu
2+
(S =
104
1 e D 530 MHz), mas mantém a mesma simetria axial observada para o vidro
precursor.
A formação de dímeros também foi constatada através de resultados obtidos
através de luminescência do íon Cu
2+
[59]. Esses resultados revelam que o número
de pares (Cu
2+
–Cu
2+
) aumenta e que o número de íons Cu
2+
isolados diminui à
medida que o tempo de exposição à radiação UV aumenta. Este efeito foi reportado
para vidros fosfatos e também em compostos a base de fosfatos (CuZr
2
(PO
4
)
3
) [55,
56].
A técnica de Electron Spin Echo Envelope Modulation (ESEEM), foi
utilizada com o intuito de se obter informações a respeito da estrutura ao redor do íon
Cu
2+
. Este método pode fornecer informações a respeito de cleos que possuem
spin nuclear e estão localizados na segunda esfera de coordenação do cobre.
Os espectros de ESEEM dois pulsos foram obtidos a partir da medida da
amplitude do eco em função do tempo de separação entre os pulsos,
τ
(Figura 5-8).
Como resultado dessas medidas, obtivemos decaimentos que possuem uma
modulação sobreposta na sua parte inicial (de 0 até 2000 ns). Os valores de T
m
para o
filme não irradiado e para o filme irradiado são aproximadamente iguais e foram
obtidos através de um ajuste com duas exponenciais: y
0
+ A
1
exp(-x/T
m1
) + A
2
exp(-
x/T
m2
). Os valores obtidos estão mostrados na Tabela 5-1. Estes dados mostram que a
curva obtida para o vidro possui apenas um decaimento exponencial e que, portanto,
o sinal observado deve ser proveniente de apenas um sítio.
105
0 1000 2000 3000 4000 5000 6000 7000 8000
Amplitude do eco (u. a.)
Tempo (ns)
Vidro
Filme não irradiado
Filme irradiado
Figura 5-8: Decaimento da amplitude do eco em função da separação entre os pulsos para
uma seqüência de ESEEM dois pulsos. Medidas realizadas a 10K, campo magnético em
3332 Gauss e freqüência de operação em 9.750 GHz.
os valores obtidos para o filme irradiado e não irradiado possuem dois
tempos característicos diferentes, um tempo curto (~500 ns) e outro mais longo
(~4000 ns). Essa informação pode indicar que o sinal adquirido provém de mais de
um sítio ou de espécies diferentes. A diferença entre os ajustes dos dois filmes está
na amplitude de cada decaimento. Para o filme não irradiado, as amplitudes dos
decaimentos são praticamente as mesmas. para o filme irradiado, a amplitude do
decaimento curto é praticamente um terço da do decaimento longo.
106
Tabela 5-1: Valores obtidos a partir de ajustes feitos a partir das curvas da Figura 5-8.
A
1
T
m1
A
2
T
m2
Vidro 0.48 827 ns 0.48 827 ns
Filme não irradiado 0.43 480 ns 0.45 3984 ns
Filme irradiado 0.17 480 ns 0.56 3984 ns
0 5 10 15 20 25 30 35 40
1
H
1
H
31
P
31
P
1
H
Intensidade (u. a.)
Freqüencia (MHz)
Vidro
Filme não irradiado
Filme irradiado
1
H
31
P
Figura 5-9 Espectros ESEEM dois pulsos obtidos a partir das curvas mostradas na
Figura 5-8
A Figura 5-9 mostra os espectros de ESEEM dois pulsos obtidos. O espectro
obtido a partir do vidro mostra claramente duas linhas, uma em 5.85 MHz e outra em
11.53 MHz, sendo que a segunda corresponde ao dobro da freqüência da primeira.
Esses valores estão em concordância com o valor esperado para o
31
P no campo
107
magnético no qual foi realizada a medida (5.748 MHz para campo de 3332 Gauss). A
linha larga situada em torno de 3 MHz não pode ser atribuída a nenhum núcleo, pois
pode se tratar apenas de um artefato produzido no procedimento utilizado para
separar o sinal da modulação do decaimento do eco.
O espectro de ESEEM dois pulsos obtido do filme não irradiado também
apresenta as duas linhas referentes ao
31
P e possui relação sinal/ruído menor do que a
obtida para o vidro. Também aparecem nesse espectro três linhas referentes ao
núcleo de
1
H, em 14.22 MHz, 28.62 MHz e 29.54 MHz. As últimas duas linhas
correspondem ao dobro da freqüência esperada para o núcleo de
1
H, 14.187 MHz
para o campo magnético em 3332 Gauss. Possivelmente, a linha encontrada em
14.22 MHz é composta por duas linhas que aparecem resolvidas na freqüência
dobrada. A observação da modulação nuclear associada ao núcleo
1
H é uma surpresa,
pois esse elemento não faz parte dos componentes utilizados na preparação dos
vidros e os filmes foram depositados em uma câmara a vácuo. Portanto, o surgimento
das linhas referentes ao núcleo de
1
H é atribuído à presença de íons OH
-
absorvidos
após a preparação dos filmes [59].
O espectro obtido para o filme irradiado mostra basicamente as mesmas
características do espectro do filme não irradiado. A diferença mais evidente está na
intensidade das linhas de
31
P, que diminuem sensivelmente nesse filme. As razões
para essa alteração serão discutidas mais adiante.
108
Figura 5-10: Imagem produzida a partir de espectros de ESEEM dois pulsos obtidos em 64
valores de campo magnético para o vidro precursor. As cores mais escuras representam as
intensidades maiores. As linhas destacam os picos referentes à freqüência de Larmor do
31
P e
a sua segunda harmônica. Medidas realizadas a 10K.
A Figura 5-10 mostra uma imagem produzida a partir de espectros de
ESEEM dois pulsos do vidro precursor medidos em 64 campos magnéticos
diferentes. As regiões mais escuras representam as intensidades maiores. Pode-se
observar, como destacado pelas linhas retas na cor laranja, que o sinal proveniente do
núcleo de
31
P é encontrado na mesma região de campo magnético que o espectro de
EDFS. Esse resultado indica que não dependência angular com o campo
magnético dos espectros de ESEEM, e reforça a idéia de que o íon Cu
2+
está em um
sítio octaédrico cercado por seis tetraedros PO
4
, conforme proposto anteriormente.
109
0 5 10 15 20 25 30 35 40
31
P
31
P
1
H
1
H
Vidro
Filme não irradiado
Filme irradiado
Intensidade (u. a.)
Freqüência (MHz)
Figura 5-11: Espectros ESEEM três pulsos obtidos a 10K com separação entre o primeiro e o
segundo pulso de 250 ns. Campo magnético em 3332 Gauss e freqüência de operação em
9.750 GHz.
Também foi realizado o experimento de ESEEM 3 pulsos (Figura 5-11) para
as três amostras. Os espectros obtidos contêm as mesmas informações obtidas no
caso dos espectros de ESEEM dois pulsos, porém com melhor resolução e sem a
presença das linhas com freqüências dobradas. A interpretação desses espectros é
bem mais clara. Nota-se que o espectro obtido para o vidro possui apenas uma linha
referente ao núcleo de
31
P em 5.79 MHz. O espectro do filme não irradiado apresenta
a mesma linha de
31
P e também uma linha de
1
H, em 14.28 MHz. para o filme
irradiado, o espectro mostra apenas a linha correspondente ao
1
H, sem qualquer
indício da linha de
31
P.
A ausência da linha do núcleo
31
P nos espectros dos filmes irradiados pode
ser entendida a partir dos resultados obtidos através da técnica XPS (X-ray
110
Photoelectron Spectroscopy ). Esses resultados mostram que, após a irradiação, a
concentração de fósforo (envolvendo as ligações P-O-P e P-O-Sb) cai drasticamente
de 7.89% para 2.91%, indicando perda de fósforo num processo denominado foto-
sublimação [59].
5.4 Conclusões
Através do espectro de EPR CW, podemos concluir que o íon Cu
2+
substitui o
Sb
3+
num sítio octaédrico cercado por seis tetraedros PO
4
. Essa idéia é reforçada
pelos resultados obtidos através dos espectros de ESEEM dois pulsos em função do
campo magnético, que mostra não existir dependência orientacional.
Os espectros de EDFS mostraram maior resolução, pois foi possível realizar
medidas em temperaturas mais baixas. Através da simulação do espectro do filme
irradiado, foi possível concluir que esse espectro é proveniente de dímeros de Cu
2+
.
Esse resultado está em concordância com resultados obtidos através de
luminescência [59], que demonstram a formação de pares Cu
2+
-Cu
2+
durante a
irradiação com UV. A formação desses dímeros pode ser interpretada como a
aproximação destes íons na estrutura devido ao efeito de fotocontração. Este
resultado pode ser discutido em termos de aproximação de cadeias de fosfatos
(formação de novas ligações químicas entre grupos fosfato) após irradiação UV,
causando uma aproximação de íons que estejam localizados intersticialmente na
estrutura.
Os espectros de ESEEM dois e três pulsos mostraram uma queda na
amplitude da linha correspondente ao
31
P da amostra irradiada com relação à amostra
não irradiada, indicando uma perda de fósforo induzida pela radiação UV, como
observado também pela técnica XPS.
111
Informações complementares obtidas a partir da análise dos dados de XANES
[59], indicam que pode estar ocorrendo aumento no comprimento das cadeias de
grupos fosfatos (polimerização) nos filmes irradiados, e essa mudança é mais
acentuada quanto maior tempo de exposição ao laser.
Dessa forma, podemos atribuir a fotocontração nos filmes após irradiação UV
devido à fotopolimerização (diminuição de vazios intersticiais pela conexão entre
grupos moleculares fosfatos), fotosublimação (perda superficial de fósforo) e foto-
oxidação (devido à adsorção de oxigênio).
112
6 Simulação computacional de espectros de RPE de
onda contínua
O tema de estudo da minha dissertação de mestrado consistiu no
desenvolvimento de uma técnica computacional para o cálculo do espectro de RPE-
CW a partir de um dado hamiltoniano de spin. Naquela época havia a disponibilidade
de se adquirir programas para esta finalidade e, de fato, existiam não somente alguns
programas comerciais, desenvolvidos por empresas especializadas, como também
outros de livre acesso, que podiam ser adquiridos sem custo na Internet.
Apesar desta facilidade, nenhum destes programas disponibilizava o código
fonte, o que possibilitaria a sua adaptação às necessidades particulares de cada
usuário. Devido a este motivo, decidimos investir esforços no desenvolvimento de
um programa nosso, sobre o qual poderíamos ter conhecimento total de seu modo de
operar e que também gerasse versões específicas para cada área de atuação. Além
disso, sendo que o desenvolvimento de um programa como este não é uma tarefa
trivial, nossos esforços gerariam, com certeza, mais conhecimento básico a respeito
das técnicas numéricas envolvidas e também proporcionaria um uso mais consciente
deste e dos outros programas que viéssemos a adquirir.
Além do nosso interesse no aprendizado das técnicas computacionais, a
motivação do trabalho consistiu na possibilidade de estudarmos materiais amorfos ou
vítreos através da RPE-CW, para os quais os melhores programas comerciais ou de
livre acesso não eram aplicáveis. Na época, estes programas eram aplicáveis somente
para monocristais, monocristais na forma de e líquidos. Casos intermediários
como polímeros semicristalinos, sistemas vítreos e radicais paramagnéticos de
mobilidade intermediária não podiam ser tratados através destes programas.
113
Motivados por estas necessidades empenhamos esforços que culminaram no
desenvolvimento de um primeiro programa, cujas características eram similares aos
disponíveis na época, porém, com versatilidade suficiente para permitir sua
adaptação futura aos sistemas físicos de nosso interesse.
Logo após a defesa da minha dissertação de mestrado, ficou popularizado um
novo pacote de programas denominado EasySpin, desenvolvido por Stefan Stoll e
Arthur Schweiger do Physical Chemistry Laboratory, ETH Hönggerberg, Zürich,
Switzerland. Este pacote é gratuito e está disponível na Internet.
Após tomarmos conhecimento deste novo programa, ficou claro para nós que este
grupo na Suíça havia desenvolvido o programa que nós necessitávamos. O código
deste programa não é disponibilizado, mas a sua estrutura modular é tal que permite
que o usuário faça adaptações da forma que desejar. Sendo um pacote que opera
sobre a plataforma MatLab, as possibilidades de ampliações e adaptações só depende
da criatividade e competência do usuário.
Em vista disso, resolvemos suspender o nosso projeto de desenvolvimento de
um programa especifico e aprender a utilizar e a modificar o pacote EasySpin, a fim
de aplicá-lo às nossas necessidades.
Paralelamente, nesta época, nos envolvemos no estudo de um novo método
computacional, denominado Filter Diagonalization Method, ou FDM, que se tornou
popular a partir do ano 2000. Este método pode ser utilizado para a análise de sinais
temporais, tais como os de FID ou de ESEEM, bastante mencionados e ilustrados
nesta tese. Sua função é análoga à do método da transformada de Fourier, mas o
FDM apresenta a vantagem de possuir maior resolução e de melhor se adaptar a
sinais temporais afetados pelo tempo morto do espectrômetro. Os nossos programas
desenvolvidos para viabilizar o método FDM não foram utilizados nos problemas
114
que estudamos nesta tese, porém, ele tem sido bastante útil em outros estudos que
estão sendo desenvolvidos pelo nosso grupo.
Inspirados pelos conhecimentos que adquirimos durante o meu trabalho de
mestrado, visualizamos a possibilidade inédita de tratar o problema de simulação de
espectros de RPE-CW através do método FDM. Por ser um método recente, ainda
pouco popular, nada consta na literatura a respeito da possibilidade de que esta
ferramenta venha a ser utilizada na solução das equações de autovalores, que
geralmente estão envolvidas no cálculo dos campos de ressonância associados a um
dado hamiltoniano de spin.
Trabalhamos arduamente neste tema e concluímos um trabalho que foi
recentemente submetido para publicação. Uma cópia de tal trabalho está no
Apêndice.
115
7 Apêndice - The harmonic inversion of the field-
swept fixed-frequency resonance spectrum
Co-authors: Claudio José Magon, Ronny Rocha Ribeiro, Mateus José Martins
7.1 ABSTRACT
When the spin Hamiltonian is a linear function of the magnetic field intensity
the resonance fields can be determined, in principle, by an eigenfield equation. In
this report we show a new technical approach to the resonance field problem where
the eigenfield equation leads to a dynamic equation or, more specifically, to a first
order differential equation of a variable L(x), where x is associated with the magnetic
field h. Such differential equation has the property that: its stationary solution is the
eigenfield equation and the spectral information contained in L(x) is directly related
to the resonance spectrum. Such procedure, known as the “harmonic inversion
problem” (HIP), can be solved by the “filter diagonalization method” (FDM)
providing sufficient precision and resolution for the spectral analysis of the dynamic
signals. Some examples are shown where the resonance fields are precisely
determined in a single procedure, without the need to solve eigenvalue equations.
7.2 Introduction
In most continuous-wave (cw) resonance experiments, also called field-swept
experiments, a fixed frequency is maintained and the applied magnetic field strength
is swept. Such arrangement means that a parameter of the spin Hamiltonian, the
magnetic field in this case, is swept and for some specific values of this parameter a
transition is observed. Actually, more than one transition can be simultaneously
116
observed for a given value of the field. The fact that the time dependent excitation is
frequency-fixed and the Hamiltonian varies during the measurement process brings
up a technical difficult for the establishment of an appropriate procedure to find the
correct values of the magnetic field, usually called the resonance fields, for which the
transitions may occur.
The above methodology is particularly employed in most electron
paramagnetic resonance experiments (EPR), where one can extract magnetic
parameters and then deduce structural and dynamical information about the
paramagnetic molecules or other paramagnetic centers that are being measured. The
numerical simulation of the EPR spectra is of fundamental importance, and for this
purpose computers have been used extensively for decades. In this context, there are
several software packages that are available for the simulation of the EPR spectrum.
Some of them are commercial products and others can be obtained free of charge
from the magnetic resonance community. We are familiar with two of them, the
well-known program QPOWA (dedicated to S = 1/2 spin systems) [61, 62] and the
new software package EasySpin [63].
To simulate an EPR spectrum the first difficulty that arises is the assignment
of all the resonance fields of a given spin Hamiltonian that are compatible with the
energy of the radiating microwave field. There are several known algorithms that can
be used for this purpose but, from our knowledge, there is only one published
procedure capable to determine all resonance fields by means of a direct calculation
based on first principles [64]. Following this reference, the resonance field problem
can be formulated and solved in an explicit form, however, as will be explained later,
such approach is computationally too costly, even in nowadays, because of the n
2
dimension of the matrices involved, with n being the dimension of the spin
117
Hamiltonian, therefore, its applicability is feasible only for small systems or on
powerful computers. Approximation methods, usually based on perturbation theories
either by using explicit formulas or by means of numerical treatment, are used
extensively [65, 66]. Extrapolative methods are based on frequency-shift perturbation
theory, also called eigenfield perturbation theory [67]. Root-finding algorithms are
based on the Newton-Raphson method and supplemented with the Muller method for
bisection and quadratic interpolation [68]. Extrapolation and root-finding methods
are reliable only on a narrow field range. Homotopy methods make use of a least-
squares method [69] or Newton-Raphson steps combined with Rayleigh quotient
iteraction [70]. The method used in the software package EasySpin implement a new
energy level modeling procedure based on iterative adaptive bisections [63].
Recently, a numerical procedure to compute eigenenergies of a possibly large
quantum system using solutions of time-dependent equations, known as “filter
diagonalization method”, or FDM, was introduced [71]. This method is being
extensively used for the spectral analysis of time signals [72]. Inspired by the
conceptual connections between the FDM and the resonance field problem, we are
here for a re-visit to the eigenfield method introduced in reference [64].
In this work we will focus our attention to the eigenfield method proposed in
1973 [64] and we will propose a new formulation for the resonance field problem
based on a hypothesis that the eigenfield equation can give birth to a dynamic
equation, more specifically, to a differential equation on a variable associated with
the magnetic field. From the dynamic solutions of such equation, the resonance fields
can be determined exactly without the need to directly solve eigenvalue equations.
Such approach can only be accomplished with the FDM, which can provide
sufficient precision and resolution for the spectral analysis of dynamic signals. We
118
hope that by suggesting a new way to calculate resonance fields we are providing
some insight into the essential structure of the problem.
7.3 Theory, results and discussion
Following an early work [64], an eigenfield equation is formulated in the
Liouville space where the resonance field problem can be solved in an explicit form.
In order to make our arguments accessible to a wider audience, we will repeat here
sometimes verbatim a brief explanation of the basic assumptions of that work and
some of its practical consequences.
The procedure assumes that the spin Hamiltonian, H, is a linear function of
the applied magnetic field strength h:
),(),,(
ϕ
θ
ϕ
θ
G
F
H
hh
+
=
,
eq.7-1
and
(
)
,)cos(),()(),cos()(
θϕθϕθ
sinsinsinhH =
r
eq.7-2
Here, F and G are field-independent Hermitian operators, where G carries the
angular dependence of
H
r
.
A transition produced by an excitation of frequency may occur between
two energy levels specified by:
nk
kkkkk
kkk
...1,)(
''''
=+==
=
ωωωωω
ωωω
H
H
eq.7-3
After some algebraic manipulation of this constraint, the energy
ω
k
can be
eliminated from these equations, resulting:
''' kkkkkk
ωωωωωω
= HH
eq.7-4
119
A particular set of basis functions,
i
α
, i = 0 ... n-1, that forms a complete
basis is usually assumed:
=
=
1
0
n
i
iikk
a
αω
eq.7-5
Inserting the hypothesis formulated in eq.7-1 into eq.7-4, the following
eigenvalue equation can be deduced (same as Equation (5) of ref. [64]):
)()( GMMGhFMMIF
=
eq.7-6
In this equation: the resonance field h is the eigenvalue; F, G, I and M are nxn
matrices; M is the eigenmatrix and I is the identity matrix. In terms of the basis
defined in eq.7-5 the matrix elements of M, F and G are respectively:
jiij
jiij
jkikij
G
F
aaM
αα
αα
G
F
=
=
=
'
eq.7-7
The eq.7-6 admits solutions for only certain values of h and the corresponding
eigenmatrices will give all the information needed to calculate the associated
transition moments.
If the matrix M is rewritten as a column vector, Z, of dimension n
2
x1, the
eq.7-6 can be put in the form of a generalized eigenvalue equation (same as Equation
(6) of ref. [64]):
ZBhZA
=
eq.7-8
Here, A and B are n
2
xn
2
matrices and the explicit form of the elements of A can be
calculated from and F, and those of B from G. In the original work this result is
explored in a variety of situations but here we will discuss only some details that are
relevant to this report.
120
First, A and B are Hermitian and, besides, if A is non-singular the generalized
equation can be reduced to a ordinary eigenvalue problem:
ZhZC )/1(
=
eq.7-9
The matrix C = A
-1
B is not Hermitian in general. Since one expect to solve
eq.7-8 or eq.7-9 to obtain real eigenvalues (or real resonance fields), the positive-
definiteness of matrices A and B must be taken into account. It can be proved that if
A or B is positive-definite the eigenvalues, h (or 1/h), are real, in which case there is
a suitable transformation that brings matrix C to a Hermitian form; however, if
neither A nor B is positive-definite some of the eigenvalues may be complex (see, for
instance, ref. [73], p. 35-36, 337-343). This last situation connotes non-Hermitian
Hamiltonians, therefore, only the real eigenvalues need to be found. The matrix B,
which is calculated from G, is generally not positive-definite, but matrix A, which is
calculated from and F, is positive-definite if and only if all possible zero-field
transitions energies are less than . In general, each eigenvalue has a companion
eigenvalue of equal magnitude but opposite sign and, if the eigenvalue is complex,
its conjugate is also an eingenvalue. Therefore, real eigenvalues appear as pairs, ±
α
,
and complex ones as quartets, ±
α
±i
β
, with
α
and
β
positive numbers of comparable
magnitudes.
In principle, the above formulation of the resonance field problem seems to
be simple and practical. However, if one search the experimental EPR data in the
literature will find many examples where the number of spin states (nuclear and
electronic) can be very large. This can be the EPR case of an electronic spin S = 1/2
surrounded by one
63
Cu and four
14
N nuclei (as pointed out in ref [63]), leading to a
situation where the 628 states will result in a generalized eigenvalue problem
involving matrices of dimension 628
2
= 394384. Depending on the double precision
121
arithmetic of the computing environment, more than 2000 GB of memory will be
needed to store one single matrix! Besides, the execution time involved in solving an
eigenvalue problem usually scales as the cube of the matrix dimension, what means
in the present case, with the six-power of the number of spin states. These are the
reasons why the eigenfield approach to the resonance field problem has been
restricted to deal with small systems and replaced by approximation methods in the
case of large systems.
Since all the restrictions imposed to the eigenfield method are related with
eq.7-8 or eq.7-9, we propose here to move backwards, looking more carefully to the
eq.7-6 which is defined in the original nxn state space. We have undertaken a careful
search in the literature and we found no published attempts (well succeeded or not)
to solve eq.7-6 within the nxn space by means of a numerical procedure. Therefore,
we must assume that this is an unpublished subject. We expend some time trying to
solve eq.7-6 by iterative eigenvalue methods but we concluded that the methodology
that will be presented ahead is more conveniently and practical.
Under the light of the FDM we will show that the eq.7-6 can be solved for
several real situations. We are still not able to apply our methodology to a broader
range of experiments but we consider that there are no fundamental restrictions to do
it. For our technical approach to the resonance field problem, we are seeking for a
dynamic equation or, more specifically, for a differential equation for a variable L(x),
where x is associated with the magnetic field h. Such equation should have the
property that: (i) it has a stationary solution given by eq.7-6 and (ii) the spectral
information contained in L(x) should be directly related to the resonance spectrum
I(h).
122
Such intentions may sound unrealistic at first glance, but we are convinced
that such equation exists. Instead of investing efforts in first principles calculation
one can guess at least two equations that seems to be appropriated to a first analysis.
First, we propose here the following first order differential equation:
[ ]
FLLFIiGL
dx
d
L
dx
d
G +=
)(2
π
eq.7-10
It is easy to show that this equation admits solutions like:
=
k
k
k
xi
eMxL
λ
)(
eq.7-11
The x-independent matrices M
k
satisfy the eigenvalue equation:
)(
2
)( GMMGFMMFI
kk
k
kk
=+
π
λ
eq.7-12
Comparing this result with eq.7-6 one can notice that both equations are the
same if the resonance fields are defined as h
k
=
λ
k
/2π, what means that the variable x
has the unit of the reciprocal of the magnetic field.
We have worked with eq.7-10 in a variety of situations and concluded that it
is an interesting equation and, if one chooses an appropriate method, it can be solved
and its solutions can indeed reproduce all the resonance fields. However, eq.7-10 has
pathological characteristics that become evident even in very simple problems. To
understand this fact it is convenient to consider the representation where G is
diagonal. Then, the eq.7-10 assumes the form:
+=
)(2)(
jkki
k
kijkjijiji
LFLFLiL
dx
d
GG
π
eq.7-13
It follows directly that if any eigenvalue of G is degenerate the eq.7-10 will
become a system of algebraic-differential equations. Besides, if the degeneracy of G
is raised by very small amounts, like what happens when the Zeeman nuclear
123
interaction is included in the EPR Hamiltonian, the possibility of a stiff set of
equations arises. Because of these diseases we abandoned this approach looking for a
more simple way to achieve our goals.
For a second alternative we choose the following differential equation:
)(2)( GLLGiFL
dx
d
L
dx
d
FI =
+
π
eq.7-14
It is easy to show that this equation admits solutions like eq.7-11, where M
k
is the
solution of the x-independent equation:
[ ]
GMMGFMMFI
kkkk
k
=+ )(
2
π
λ
eq.7-15
The eq.7-15 is the same as eq.7-6 if the resonance fields are defined as h
k
=
2π/
λ
k
. We call the attention that, from this result, the variable x has now the unit of
magnetic field. If
λ
k
is named “frequency” the associated resonance field is the
corresponding “period”.
The solution matrix, L(x), of eq.7-14 has an important property. By taking
into account that the trace of a commutator is null, it is easy to prove that the trace of
L is independent of x. Besides, the solution of the equation corresponding to a
negative excitation frequency is automatically included when a positive is chosen.
This can be understood if eq.7-14 is transposed and conjugated:
)(2)( GLLGiFL
dx
d
L
dx
d
FI
HHHH
=
+
π
eq.7-16
L
H
denotes the transpose-conjugate of L. The eq.7-16 is identical to eq.7-14 if one
exchanges - and G -G. Replacing G by G is the same as keeping G
unchanged and inverting the magnetic field direction (see eq.7-1). Therefore, the
124
transpose-conjugate elements of L carrie the corresponding solution for a negative
excitation frequency coupled to an inversion of the magnetic field direction.
Now, our intention is to solve the differential equation eq.7-14. As far as we
know, such equation has no analytical solution; therefore, we adopted a numerical
procedure. We have tried several methods and the forth-order explicit Runge-Kutta
method has proved to be convenient for this case. For the initial condition we take a
L-matrix were all elements are real and equal to 1 or L
ij
(0) = 1, resulting that the
trace of L will be equal to n.
For the case of a first-order Runge-Kutta, known as the Euler method, the
eq.7-14 is transformed into an algebraic equation:
[
]
xGLGLiFLLFIFLLFI
nnnnnn
++=+
++
)(2)()(
11
π
eq.7-17
In this expression, x = x
n+1
-x
n
, L
n+1
= L(x
n+1
), L
n
= L(x
n
), with the initial condition L
0
= L(0). The extension for the forth-order case is straightforward. Analyzing Equation
(17) we notice that it has the general shape: PX + XQ = R, with P, Q and R known
matrices and X = L
n+1
, a matrix to be determined. When matrices P and Q are upper
triangular, this equation is named “triangular Sylvester equation”, and can be solved
by available linear algebra software packages. The matrix F can always be
transformed in upper triangular form by Schur factorization, i.e., F = uTu
+
, where: T
is upper triangular, u is unitary and u
+
= u
-1
is the transpose-conjugate of u. Provided
that the eigenvalues of P (denoted by
α
) and those of Q (denoted by
β
) satisfies: (
α
+
β
) 0 for all
α
and
β
, the solution is unique. Therefore, the solution will be always
unique - being the only exception the case where the excitation frequency is exactly
equal to a zero-field splitting.
The eq.7-14 can be easily solved in the representation in which F is diagonal.
In this case it becomes:
125
)(2)(
kijk
k
jkkijiji
LGLGiL
dx
d
FF =+
π
eq.7-18
Provided that ( - F
i
+ F
j
) 0 for all i and j, this equation represents a set of ordinary
differential equations.
Before we go any further it will be useful to first analyze some examples.
From now on, we will consider the EPR case described by the spin Hamiltonian:
SDSIASIHgSgH
NNB
r
r
r
v
r
r
r
r
++=
µµ
H
eq.7-19
S
r
is the electronic spin,
I
r
is the nuclear spin,
µ
B
is the Bohr magneton,
µ
N
is the
nuclear magneton, g
N
is the nuclear g-factor, g is the electronic g-tensor,
A
is the
hyperfine coupling tensor and
is the zero-field-splitting tensor. The operators F
and G can be trivially obtained in this case.
7.3.1 Example 1: the diagonal case.
A simple but non-trivial example is the isotropic case S = 1 and I = 1/2, in
which the matrices F and G are diagonal in the basis: |
α
0
= |1,+, |
α
1
= |1,, |
α
2
=
|0,+, |
α
3
= |0, , |
α
4
= |1,+ and |
α
5
= |1, . The Hamiltonian parameters given
by: g
zz
= 2.0, A
zz
= 1500 MHz, D = 900 MHz, E = 0,
θ
= 0 and
ϕ
= 0, are assumed.
The microwave frequency was set to = 9500 MHz. After building the F and G
matrices, the differential eq.7-18 was solved to obtain the x dependency of each
element L
ij
(x).
In Figure 1 is shown the dependence of L
52
and L
04
with x. As predicted by
eq.7-11, each one of these functions can be fitted by harmonic functions whose
period is the associated resonance field. By drawing the energy level diagram one
can verify this affirmation by confirming that at the specified field (or the calculated
126
period) a possible transition can be found. The period (or frequency) associated to
different elements of L can be different from each other but the important fact is that
all of them can be adjusted to the energy levels splitting and also associated to
possible transitions. This is shown in Tabela 7-1 where all obtained transitions are
assigned to their corresponding L
ij
. One can notice that all possible transitions can be
assigned, except those between hyperfine levels with same m
s
whose energy
difference is too small for the specified microwave frequency. In this particular
example, the diagonal elements of L are independent of x and give no additional
information.
-1,0
-0,5
0,0
0,5
1,0
-10000
-5000
0
5000
10000
-1,0
-0,5
0,0
0,5
1,0
-10000
-5000
0
5000
10000
0 5000 10000 15000 20000
-10
-5
0
5
10
15
0 1000 2000 3000 4000
-10000
-5000
0
5000
10000
(B2)
(B3)
(B1)
(A3)
(A2)
L (5,2)
(A1)
Energy (MHz)
L (0,4)
Energy (MHz)
C (x)
x (Gauss)
Energy (MHz)
h (Gauss)
Figura 7-1: Matrix elements L(i,j) as a function of magnetic field x (A1, A2) and
corresponding energy level transition (B1, B2) for the electronic spin system S = 1 and I =
1/2 of Example 1. On the left, solid lines correspond to real component and dashed to
imaginary. The x-dependence of the sum of the elements of matrix L, C(x) as defined in the
text, is shown in (A3) with the corresponding energy level transitions (B3).
The given example is simple but very useful as a guide for the construction of
a method capable to find resonance fields in a general situation. If one looks
carefully, will see that the elements L
ij
, which are below the diagonal, give all the
127
information that is necessary to find all the resonance fields of this example. In fact,
all the elements above the diagonal are associated to the same transitions that appear
in the lower triangle of the matrix, and can be considered as redundant. The element
L
ij
does not correspond to the same transition as that of L
ji
, therefore, the matrix is
not Hermitian. However, for each element above the diagonal there is one below that
corresponds to its conjugate, for example, L(0,5) = L(5,0)
*
and L(0,4) = L(5,1)
*
. This
last fact cannot be generalized, being a simple particularity of this example.
Tabela 7-1: Map of the matrix L of Example 1 showing the energy level transition
corresponding to each matrix element L
ij
= L(i,j). For example, the element L(1,3) is
associated to the transition between levels 3 and 4; the element L(3,1) is associated to the
transition between levels 1 and 2. Energy levels are numbered in ascending order of energy.
Just for a guide, the basis functions are displayed in the same sequence as used to build the
Hamiltonian matrices. Blank elements means absence of associated transitions.
0: | 1, +
1: | 1,
2: | 0, +
3: | 0,
4: |
1, +
5: |
1,
0:
1, + |
2 – 5 3 - 5 0 – 5 1 – 5
1:
1,
|
2 – 4 3 - 4 0 – 4 1 – 4
2:
0, + |
1 – 3 0 – 3 0 – 2 1 – 2
3:
0,
|
1 – 2 0 – 2 0 – 3 1 – 3
4:
1, + |
1 – 4 0 – 4 3 – 4 2 – 4
5:
1,
|
1 – 5 0 – 5 3 – 5 2 – 5
Considering that our interest is to assign all the resonance fields associated to
a given spin Hamiltonian we can adopt a procedure in which all elements are
analyzed in a single shot, instead of analyze separately each matrix element. This can
be accomplished by defining a correlation function:
<
=
=
11
0
)()(
n
ij
ji
n
i
xLxC
eq.7-20
The correlation function for the present example is shown in Figura 7-1(A3).
Indeed, these data contain all the information necessary to assign all the resonance
128
fields at once and this can be verified in the energy diagram of Figura 7-1(B3). The
important question that arises is how this can be done precisely. This question is the
most delicate point of our whole discussion and it is related to several aspects of the
problem, being the most important one concerned to the spectral resolution. One
knows, for example, that hyperfine interactions can lead to line splitting, small as
100 ppm (or even smaller).
Tabela 7-2: Resonant fields and corresponding transitions calculated for the Example 1.
Resonant fields calculated from the eigenvalue equation (eq.7-8) are denoted by Field-EE
and those calculated from the differential equation (eq.7-18) by Field-DE. The FDM was
used to fit the C(x) data to eq.7-20. The indicated errors correspond to the deviation, in ppm,
between the microwave energy and levels separation at each specified resonance field
calculated from eq.7-18.
Transition Field-EE(Gauss)
Field-DE(Gauss)
Error (ppm)
1
0 – 5 1428.9546 1428.9562 0.932
2
0 – 4 1695.5941 1695.5950 0.559
3
1 – 5 1698.1751 1698.1760 0.555
4
1 – 4 1964.8126 1964.8132 0.359
5
2 – 5 2804.3234 2804.3236 0.0618
6
3 – 5 2808.5954 2808.5956 0.0614
7
2 – 4 3335.1086 3335.1087 0.0368
8
3 – 4 3340.1814 3340.1815 0.0366
9
0 – 3 3442.1174 3442.1175 0.0335
10
0 – 2 3447.3530 3447.3531 0.0333
11
1 – 3 3983.2109 3983.2110 0.0216
12
1 – 2 3989.2787 3989.2788 0.0215
7.3.2 The filter diagonalization method (FDM)
As a starting point, we assume that eq.7-20 is equivalent to a discrete
complex signal, c
p
, whose analytical form is given by a sum of complex sinusoids:
129
Npedc
k
M
p
pi
k
k
==
=
1,0,
1
0
δ
λ
eq.7-21
The sampling interval or “dwell time”,
δ
, and the index p = 0, 1, 2, …, N-1 define a
finite equidistant grid, d
k
are the complex amplitudes and
λ
k
are the frequencies. Here
we will consider that only the cases where
λ
k
is real have a physical meaning,
although, in general, this assumption should not be taken as a necessary condition.
We will reconsider this point latter on.
Assuming that the input data size N is large enough, the objective is to find
the best “line list”, {d
k
,
λ
k
}, that will fit the data c
p
, according to eq.7-21. This
problem is known in the literature as the “harmonic inversion problem”, or HIP, and
the interesting fact is that it has the property of having a linear algebraic solution, no
matter the high non-linearity intrinsic to the HIP. To have the number of unknowns
consistent with the number of equations, and to ensure a numerically stable
formulation of the HIP, it is necessary, in principle, to assume N/2 M. The method
capable to solve this problem is known as the “filter diagonalization method”, or
FDM [71, 72].
The resolution of the FDM is to be compared with that of the discrete Fourier
transform, FT. In the framework of FT, it is well known that the resolution (1/
λ
) in
the frequency domain is determined by the uncertainty principle, usually expressed
as
λ
= 2π/(N
δ
). Hence, the minimum detectable frequency separation between
adjacent peaks (
λ
) is inversely proportional to the total acquisition time, N
δ
.
Therefore, the resolution in the resonance field scale (h = 2π/
λ
) is given by:
δ
N
h
h
2
eq.7-22
130
In this context, a definition of the doublet centered at 3986 G (see Tabela 7-2)
with a resolution of 100 ppm would need N to be at least as large as 57000, assuming
that
δ
= 700 G is the largest measurement interval that satisfies the Nyquist criterium
in this case (remembering that the lowest resonance field listed in Tabela 7-2 is at
about 1400 G). Therefore, the application of the FT in this case would be too
expensive.
In the context of FDM, the total number of terms, M, in the sum of eq.7-21,
and consequently the number of input data points, N, are irrelevant because the
spectral analysis is generally performed locally in the frequency domain. In this case,
it is more appropriate to think in terms of the density of information in the frequency
domain, i.e. the local density of peaks,
ρ
(
λ
), should be consistent with the
information content of the signal c
p
of size N:
)(
4
λρ
π
δ
N
eq.7-23
If this condition is not satisfied, one can only obtain a “low resolution” result
in which the “uncertaintywill be due to the non-unique representation of the time
signal in terms of the frequencies
λ
k
and amplitudes d
k
. Otherwise, if the condition is
satisfied and the signal c
p
of length N has the form of eq.7-21, the FDM will provide
“infinite” resolution. In other words, the sampling interval necessary for FDM is
proportional to the inverse of the local average line spacing, while for FT the
required interval is proportional to the inverse of the local minimum spacing, which
can be much longer than the first.
For the case of the plot shown in Figura 7-1, were N = 1024 and
δ
= 195.5 G
(note that only part of the whole data is shown), the FDM was employed to fit the c
p
data and the results obtained for the resonance fields are listed in Tabela 7-2. One
131
can observe that the difference between the microwave energy and energy levels
separation at each specified resonance field is about 1 ppm, in the worst case, which
validates the assumption that the FDM is the appropriate method to solve this
problem.
Besides the resolution enhancement, the FDM has several important
advantages with respect to FT and other fitting procedures. First of all, one must
consider that the maximum number of transitions is given by (n
2
-n)/2. However, the
number of possible transitions for a given may not be known a priori. In our
Example 1, (n
2
-n)/2 = 15, but the number of existing transitions is 12. This means
that the number of terms in eq.7-15, or M, is unknown, a priori. This fact does not
represent a difficulty for the FDM but will impose serious limitations to other
common fitting procedures. Another particularity of the FDM is that it ends up with a
“line list” with all values of d
k
and
λ
k
that can be available for posterior
manipulations. On the contrary, to obtain a line list from the FT spectrum may not be
an easy task, because FT is a transformation and not a fitting procedure.
7.3.3 Example 2: the non-diagonal case.
As a second example we will treat an anisotropic case with S = 2 and I = 1, in
which the matrices F and G are not diagonal in the basis |mS,mI, with mS = 2,1,0,-
1,-2 and mI = 1,0,-1. The total number of states is 15, and the Hamiltonian
parameters are given by: g
xx
= 1.9, g
yy
= 2.1, g
zz
= 2., A
xx
= 300 MHz A
yy
= 500 MHz
A
zz
= 1500 MHz, D = 1000 MHz, E = 400 MHz,
θ
= 35
o
and
ϕ
= 55
o
. The microwave
frequency was set to = 9500 MHz. After building the F and G matrices, the
differential eq.7-18 was solved to obtain the x dependency of C(x) in the range x = 0
G to x = 500000 G with an increment x 6.2 G. To increase resolution, the FDM
132
was applied twice with two sets of 2048 data points each, extracted from the whole
evolution, being the first one with
δ
290 G and the second with
δ
24 G. Since the
lowest and highest resonance fields of this example are, respectively, 92 G and
4887 G, the first set favors the determination of low frequencies (high field)
components while the second improves high frequencies (low field).
0 1000 2000 3000 4000 5000
-30000
-20000
-10000
0
10000
20000
30000
Energy (MHz)
h (Gauss)
Figura 7-2: Energy level transitions diagram for the electronic spin system S = 2 and I = 1 of
Example 2.
The results of this theoretical example are shown in Figura 7-2. The x
dependency of C(x) is very messy and is not shown but its decomposition by FDM
recovers almost exactly all the 90 resonance fields allowed for this case. The error
between the microwave energy and energy levels separation at each specified
resonance field is in the worst case less than 10 ppm.
133
7.3.4 Example 3: the singular case
When the microwave frequency is exactly equal to a zero field splitting one
or more coefficients, ( - F
i
+ F
j
), on the left side of eq.7-18 will be null, then the
equation will represents a system of algebraic-differential equations, which cannot be
solved by the simple procedure that we have adopted before. Instead of using more
complicated methods capable to solve such kind of equations, we adopted here a
more simple procedure, which is based on a valid trick that consists in modulate the
microwave frequency.
For the first Runge-Kutta step we take a microwave frequency,
1
, that is
slightly above the desired frequency, , such that
1
= +
1
. For 9500 MHz, a
good choice can be
1
in the range 50-100 MHz. For the second step, the frequency
is changed to
2
= -
2
and the value of
2
is calculated for each one of the
equations of the set eq.7-18 according to the prescription:
0,
0,
211
1211
21
=+=+=
+
+
=
+
+
+
ji
ji
jijiji
FFifand
FFif
FFFFFF
eq.7-24
Then, the same procedure is repeated for all steps, i.e., applying
1
for odd
steps and
2
for even steps. The result of this manipulation is excellent; the method
works well in the case where ( - F
i
+ F
j
) = 0 for some components (i,j) and also
when ( - F
i
+ F
j
) is not null for all components.
To demonstrate the utility of this method we will continue to use the Example
1, slightly modified by changing the value of the zero-field-splitting parameter to D
= 8750 MHz. For this situation there will be a zero-field transition. The solution of
Equation (18), taking
1
= 100 MHz, is stable and the application of the FDM to the
134
correlation function C(x) gives the resonance fields shown in Figura 7-3. The 10
transitions that exists for h > 0 were correctly calculated and the difference between
the microwave energy and energy levels separation at each specified resonance field
is again of the order of few ppm, in the worst case. Of course, the transitions that
exists for h = 0 cannot be calculated from this method but they can be easily
determined a priori.
0 2000 4000 6000
-20000
-10000
0
10000
20000
Energy (MHz)
h (Gauss)
Figura 7-3: Energy level transitions diagram for the electronic spin system S = 1 and I = 1/2
of Example 3. The zero-field transition is not shown.
To be fair, we must explain that the above method worked well for the chosen
example but it cannot solve all experimental situations in general. The reason why it
could solve this example can be understood in the following way. If one uses the
eigenvalue equation, eq.7-8 or eq.7-9, to find the resonance fields of this particular
example will encounter that all the eigenvalues are real in the two situations: =
1
135
and =
2
. This is not a general result because, in general, complex eigenvalues
will be found when ( - F
i
+ F
j
) is negative for some pairs (i,j). As will be discussed
below, complex eigenvalues represent a problem that we cannot solve yet.
7.3.5 Limitations of the proposed method.
Here we will discuss about one serious limitation of the methodology here
proposed with the objective to determine all the resonance fields of any physical
system described by the Hamiltonian of eq.7-19.
In our early discussion concerning the generalized eigenvalue eq.7-8, we
emphasized that if the matrix A is not positive-definite some of the eigenvalues may
result complex. This is the situation where ( - F
i
+ F
j
) is negative for some pairs
(i,j). Although the procedure we are proposing is different from the eigenvalue
method, one can observe that the eq.7-18, used throughout this work, will become
equivalent to eq.7-8 if the matrix L is written as a column vector. Therefore, the same
restrictions that were mentioned with respect to the eigenvalue method also apply
here.
When some of the eigenvalues are complex, the general solution for L(x),
given by eq.7-11, will represents complex sinusoids with amplitudes that may decay
or grow as x increases. The differential equation eq.7-18 can still be solved in this
situation, since the problem still remains well conditioned. Also, after C(x) being
correctly calculated there will be no problem in applying the FDM, because it is a
tool specially designed to deal with such more general situation. Therefore, in
principle, when ( - F
i
+ F
j
) is negative the correlation function C(x) can still be
determined and the FDM should be capable to find all the resonance fields, including
the complex ones.
136
The problem that arises when ( - F
i
+ F
j
) is negative is purely technical. The
fact is that the exponentially growing functions, of the type e
γ
x
with
γ
positive, have a
characteristic time rate,
γ
, of the same order of magnitude of the corresponding
frequency of the harmonic functions that they modulate. This means that after few
Runge-Kutta steps these complex eigenvalues will dominate the evolution of L(x)
and every element L
ij
(x) will grow so rapidly in amplitude that the accuracy needed
to determine the weak features represented by pure harmonic functions is degraded.
We have tried many alternative methods to solve the eq.7-18 under these
circumstances but we could not reach a final conclusion. It is apparent that the
inclusion of an appropriate damping term could be able to control the growing rate of
the undesired solutions without spoiling the desired ones. However, we are still
working on this subject.
7.4 Conclusions
The new method described herein has the objective to determine the
resonance fields of a given spin Hamiltonian. Its formulation is based on one
hypothesis, i.e. that the eq.7-14 is valid. Then, the method is capable to calculate
precisely, in a single shot, all the resonance fields without the need to solve
eigenvalue equations or sophisticated algorithms. We have shown here just few
examples, but we have worked on many other examples, chosen for testing purposes,
which are not shown in here. In all cases the method was able to determine all the
resonance fields with a precision of the order of few ppm.
Because of a technical reason, the method cannot be applied when the
microwave energy does not cover the overall zero-field splitting but, at least for the
remaining cases, it has the potential to become a routine method since it is stable,
137
robust and does not require more user effort than other methods. Since we were more
concerned to the precision of the method, we have not applied sufficient efforts to
optimize our software routines, so far. Therefore we have no means to compare the
efficiency of our method with that of other available software packages that were
built for the same purposes.
We expect that this new tool will enhance the versatility of the EPR spectra
simulation methods.
7.5 Acknowledgements
The authors really appreciated the many fruitful discussions and helpful
suggestions of our colleague Prof. Jaime de Luca. This work was supported by the
Brazilian agencies Conselho Nacional de Desenvolvimento Científico, CNPQ,
Fundação de Amparo à Pesquisa do Estado de São Paulo, FAPESP, and is part of a
joint program PRONEX/FAPESP/CNPq (Grant no. 03/09859-2).
138
8 Referências
1 R. Stosser, Esr Spectroscopy On Glasses And Glassy-Crystalline
Materials - New Opportunities For Material Scientists Glastechnische
Berichte - Glass Science And Technology 67 : 156 1994.
2 J. Kliava, Electron-Paramagnetic-Resonance Of Impurity Ions In
Disordered Solids - Distributions Of The Spin Hamiltonian Parameters
Physica Status Solidi B-Basic Research 134 : 411 1986.
3 Wb. Mims, Envelope Modulation In Spin-Echo Experiments Physical
Review B 5 : 2409 1972.
4 S. Dikanov, Electron Spin Echo Envelope Modulation (ESEEM)
Spectroscopy, (Boca Raton, CRC Press, 1992).
5 A. Schweiger and G. Jeschke., Principles of Pulse Electron Paramagnetic
Resonance, (Clarendon, Oxford, 2001).
6 C. P. Keijzers, E. J. Reijerse and J. Schmidt, Pulsed EPR: A new field of
applications, (North Holland, Amsterdam/Oxford/New York/Tokyo,
1989).
7 A. Abragam and B. Bleaney, Electron Paramagnetic Resonance of
Transition Ions (Clarendon, Oxford, 1970).
8 W. Gordy, Theory and Applications of Electron Spin Resonance (Wiley,
New York, 1980)
9 A. Abragam and M.H.L. Pryce, Proc. R. Soc. A 205, 135 (1951)
10 A. Abragam, Principles of Nuclear Magnetism (Clarendon, Oxford, 1961)
139
11 L. Kevan, in Time Domain Electron Spin Resonance, edited by L. Kevan
and R.N. Schwartz (Wiley-Interscience, New York, 1979), p. 279.
12 H.Y. Carr and E.M. Purcell, Phys. Rev. 94, 630 (1954)
13 D. Gill and S. Meiboom, Rev. Sci. Instrum. 29, 688 (1958)
14 R. R. Ernst, G. Bodenhausen, and A. Wokaun, Principles of NMR in One
and Two Dimensions (Clarendon, Oxford, 1987).
15 P. Hariharan, Optical Holography. Principles, Techniques, and
Applications, Cambridge University, 1996, p. 95.
16 O.M. Efimov, L.B. Glebov, L.N. Glebova, K.C. Richardson, V.I.
Smirnov, Appl. Opt. 38 (1999) 619.
17 O.M. Efimov, L.B. Glebov, S. Papernov, A.W. Schmid, in: Laser-Induced
Damage in Optical Materials, Proc. SPIE 3578 (1999) 554.
18 O.M. Efimov, L.B. Glebov, V.I. Smirnov, Opt. Lett. 23 (2000) 1693.
19 O.M. Efimov, L.B. Glebov, V.I. Smirnov, in: Inorganic Optical Materials
III, Proc. SPIE 4452 (2001) 39.
20 N.F. Borrelli, D.L. Morse, PA. Sachenik, US patent 4,514,053, April 30,
1985.
21 L.B. Glebov, N.V. Nikonorov, E.I. Panysheva, G.T. Petrovskii, V.V.
Savvin, I.V. Tunianova, V.A. Tsekhomskii, Sov. Phys. Dokl. 35 (1990)
878.
22 L.B. Glebov, N.V. Nikonorov, E.I. Panysheva, G.T. Petrovskii, V.V.
Savvin, I.V. Tunimanova, V.A. Tsekhomskii, Opt. Spectrosc. 73 (1992)
237.
23 S.D. Stookey, Indust. Eng. Ghem. 41 (1949) 856.
24 S.D. Stookey, G.H. Beall, J.E. Pierson, J. Appl. Phys. 49 (1978) 5114.
140
25 V.V. Astakhova, N.V. Nikonorov, E.I. Panysheva, V.V. Savvin, I.V.
Tunimanova, V.A. Tsekhomskii, Sov. J. Glass Phys. Chem. 18 (1992)
152.
26 E.V. Anoshkina, I.A. Evdoseeva, E.I. Panysheva, I.V. Tunimanova, Glass
Phys. Chem. 20 (1994) 33.
27 E.I. Panysheva, I.V. Tunimanova, Glass Phys. Chem. 22 (1996) 125.
28 N.V. Nikonorov, E.I. Panysheva, I.V. Tunimanova, A.V. Chukharev,
Glass Phys. Chem. 27 (2001) 241.
29 O.M. Efimov, L.B. Glebov, H.P. Andre, Appl. Opt. 41 (2002) 1864.
30 J.W. Zwanzinger, U.W. Zwanzinger, E.D. Zanotto, E. Roteri, L.N.
Glebova, L.B. Glebov, J.F. Schneider, J. Appl. Phys. 99 (2006) 83511.
31 A. Van Der Pol, E.J. Reijerse, E. De Boer, T. Wasowicz, J. Michalik,
Molecular Physics, 75 (1992) 43.
32 J. Livage, Chem. Mater. 3, 578 (1991)
33 J. Livage, Solid State Ionics 86-88, 935 (1996)
34 J. Livage, Coordination Chemistry Reviews 190-192, 391 (1999)
35 J. Livage, O. Pelletier, P. Davidson, J. Sol-Gel Sci. and Technol. 19, 275
(2000)
36 Y.V. Liu, Chem. Mater. 7, 1616 (1995)
37 A.L. Pergament, E.L. Kazakova, G.B. Stefanovich, J. Phys. D: Appl.
Phys. 35, 2187 (2002)
38 T. Yao, Y. Oka, Solid State Ionics 96, 127 (1997)
39 C.J. Fontenot, J.W. Wiench, G.L. Schrader, M. Pruski, J. Am. Chem. Soc.
124, 8435 (2002)
141
40 Ph. Barboux, N. Baffier, R. Morineau, J. Livage, Solid State Ionics 9 – 10,
1073 (1983)
41 V. Luca, D.J. MacLachlan, R. Bramley, Phys. Chem. Chem. Phys. 1, 2597
(1999)
42 G. Kanatzidis et al. JACS, 124 (2002) 10157.
43 O. R. Nascimento, C. J. Magon, L. V. S. Lopes, J. P. Donoso, E.
Benavente, J. Paez, V. Lavayen, M. A. Santa Ana, G. Gonzalez, Mol.
Cryst. Liq. Cryst. Vol. 447 (2006) 233.
44 M. D. Lumb, “Luminescence Spectroscopy”, (Academic Press 1978).
45 M. P. Seah e W. A. Dench, Surf. Interface Anal. 1 (1979) 2.
46 L. E. Davis, “Modern Surface Analysis – Metallurgical Applications”,
ATMS–AIME Short Course, Las Vegas, Nevada, February pp 23, 1980.
47 D. Briggs e M. P. Seah; “Pratical Surface Analisys (second edition),
V.1:Auger e X-ray Photoelectron Spectroscopy”; (John Wiley & Sons,
Chichester, 1990).
48 D. L. Griscom, “Electron Spin Ressonance in Glasses”, J. of Non-Cryst.
Sol., 40 (1980) 211.
49 M. V. Ramana, P. S. Lakshmi, S. Rahman, K. Sivakumar, G. S. Sastry,
Mat. Sci. and Eng. B10 (1991) 25.
50 H. Imagawa, Phys. Stat. Sol., 30 (1968) 469.
51 O. Cozar and I. Ardelean, J. of Non-Cryst. Sol., 92 (1981) 278.
52 M. Nocun, J. Non-Cryst. Sol. 333 (2004) 90.
53 P. Y. Shih, Materials Chemistry and Physics 80 (2004) 151.
54 T. Honma, R. Sato, Y. Benino, T. Komatsu, V. Dimitrov, J. Non-Cryst.
Sol. 272 (2000) 1.
142
55 B. Moine, C. Pedrini, E. Duloisy, P. Boutinald, C. Parent, G. Leflem, J.
Physique IV 1 (C1) (1991) 289.
56 P. Boutinaud, D. Garcia, C. Parent, M. Faucher, G. Le Flem, J. Phys.
Chem. Sol. 56 (9) (1995) 1147.
57 E. Borsella, A. Dal Vecchio, M. A. Garcia, C. Sada, F. Gonella, R.
Polloni, A. Quaranta, L. J. G. W. Van Wilderen, J. Appl. Phys. 91 (1)
(2002) 90.
58 O. I. Shpotyuk, Opto-Electronics Review 11(1).
59 F. S. De Vicente, Tese de doutorado, IFSC – USP (2005).
60 R. Stosser, S. Sebastian, G. Scholz, M. Willer, G. Jeschke, A. Schweiger,
M. Nofz, Appl. Magn. Reson. 16 (1999) 507.
61 R. L. Belford, M. J. Nilges, Computer simulation of powder spectra, EPR
Symposium, 21
st
Rock Mountain Conference, Denver, Colorado (August,
1979).
62 Nilges, M. J. (1979) Electron Paramagnetic Resonance Studies of Low
Symmetry Nickel (I) and Molybenum (V) Complexes. Ph.D. thesis ,
University of Illinois, Urbana, IL.
63 S. Stoll, A. Schweiger, J. Magn. Reson. 178 (2006) 42–55
64 G. G. Belford, R. L. Belford, J. Magn. Reson. 11 (1973) 251–265
65 M. I. Scullane, L. K. White, N. D. Chasteen, J. Magn. Reson. 47, (1982)
383-397.
66 P. C. Taylor, J. F. Baugher, H. M. Kritz, Chem. Rev. 75 (1975) 203-240.
67 M. Griffin, A. Muys, C. Noble, D. Wang, C. Eldershaw, K. E. Gates, K.
Burrage, G. R. Hanson, Mol. Phys. Rep. 26 (1999) 60-84.
68 D. Nettar, J. J. Villafranca, J. Magn. Reson. 64 (1985) 61-65.
69 S. K. Misra, J. Magn. Reson. 23 (1976) 403-410.
70 K. E. Gates, M. Griffin, G. H. Hanson, K. Burrage, J. Magn. Reson. 135
(1998) 103-112.
71 V.A. Mandelshtam, H.S. Taylor, J. Chem. Phys. 107 (1997) 6756–6769.
143
72 V. A. Mandelshtam, FDM: the filter diagonalization method for data
processing in NMR experiments, Progress in Nuclear Magnetic Resonance
Spectroscopy 38 (2001) 159–196
73 J. H. Wlkinson, The algebraic eingenvalue problem, (Clarendon Press,
Oxford, 1965).
Livros Grátis
( http://www.livrosgratis.com.br )
Milhares de Livros para Download:
Baixar livros de Administração
Baixar livros de Agronomia
Baixar livros de Arquitetura
Baixar livros de Artes
Baixar livros de Astronomia
Baixar livros de Biologia Geral
Baixar livros de Ciência da Computação
Baixar livros de Ciência da Informação
Baixar livros de Ciência Política
Baixar livros de Ciências da Saúde
Baixar livros de Comunicação
Baixar livros do Conselho Nacional de Educação - CNE
Baixar livros de Defesa civil
Baixar livros de Direito
Baixar livros de Direitos humanos
Baixar livros de Economia
Baixar livros de Economia Doméstica
Baixar livros de Educação
Baixar livros de Educação - Trânsito
Baixar livros de Educação Física
Baixar livros de Engenharia Aeroespacial
Baixar livros de Farmácia
Baixar livros de Filosofia
Baixar livros de Física
Baixar livros de Geociências
Baixar livros de Geografia
Baixar livros de História
Baixar livros de Línguas
Baixar livros de Literatura
Baixar livros de Literatura de Cordel
Baixar livros de Literatura Infantil
Baixar livros de Matemática
Baixar livros de Medicina
Baixar livros de Medicina Veterinária
Baixar livros de Meio Ambiente
Baixar livros de Meteorologia
Baixar Monografias e TCC
Baixar livros Multidisciplinar
Baixar livros de Música
Baixar livros de Psicologia
Baixar livros de Química
Baixar livros de Saúde Coletiva
Baixar livros de Serviço Social
Baixar livros de Sociologia
Baixar livros de Teologia
Baixar livros de Trabalho
Baixar livros de Turismo