
43
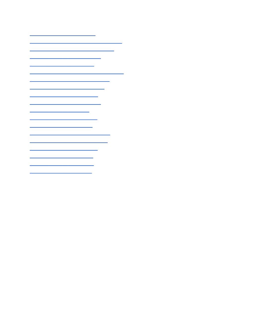
Tabela A2. Teor (mg kg
-1
) de 18 elementos nas raízes de dois cultivares de Oryza sativa, cultivados sob excesso de sulfato ferroso (FeSO
4
-
EDTA, 7 mM), cloreto férrico (FeCl
3
-EDTA, 7 mM) e citrato férrico (7 mM), por sete dias, em sistema hidropônico.
B Na Mg P S K Ca Mn Fe
Canastra
Controle 46 ± 9,5 13751 ± 1076 850 ± 25 3533 ± 186 7064 ± 721 11808 ± 945 1018 ± 82 14,9 ± 0,8 108 ± 15
FeSO
4
-EDTA 58 ± 8,2 13511 ± 1361 714 ± 61 3533 ± 172 5162 ± 508 6512 ± 659 1074 ± 362 13,9 ± 1,1 992 ± 35
FeCl
3
-EDTA 54 ± 19 12012 ± 4120 745 ± 264 2977 ± 1082 4786 ± 1803 7245 ± 2559 1041 ± 800 14,2 ± 5,2 458 ± 163
Citrato 37 ± 7,2 11388 ± 2825 696 ± 173 2947 ± 720 5385 ± 1389 7106 ± 1792 680 ± 155 11,2 ± 2,4 346 ± 75
BR-IRGA
409
Controle 37 ± 4,4 11204 ± 1274 867 ± 91 3294 ± 99 6510 ± 326 10927 ± 1354 771 ± 300 14,9 ± 1,2 119 ± 14
FeSO
4
-EDTA 71 ± 15 15623 ± 1914 748 ± 52 2800 ± 218 7498 ± 713 6250 ± 544 1937 ± 851 14,6 ± 0,8 1643 ± 154
FeCl
3
-EDTA 61 ± 7,8 15995 ± 1514 888 ± 49 2457 ± 58 7411 ± 281 7432 ± 310 739 ± 318 15,9 ± 0,7 503 ± 13
Citrato 43 ± 9,6 14492 ± 4187 824 ± 64 3218 ± 274 7035 ± 1414 6943 ± 859 504 ± 100 14,1 ± 0,3 785 ± 154
Co Ni Cu Zn As Rb Sr Mo Cd
Canastra
Controle 0,40 ± 0,032 0,84 ± 0,021 23,3 ± 1,54 48,9 ± 4,80 77,06 ± 43,9 2,75 ± 0,29 3,841 ± 0,13 2,42 ± 0,10 0,66 ± 0,17
FeSO
4
-EDTA 0,52 ± 0,049 1,53 ± 0,635 36,8 ± 4,64 57,3 ± 5,92 46,61 ± 19,4 2,22 ± 0,06 5,123 ± 1,37 2,46 ± 0,19 1,01 ± 0,18
FeCl
3
-EDTA 0,77 ± 0,284 1,77 ± 0,440 112,2 ± 43 32,1 ± 10,6 33,88 ± 8,06 1,88 ± 0,71 4,380 ± 2,09 1,24 ± 0,42 0,75 ± 0,40
Citrato 0,94 ± 0,253 1,33 ± 0,350 39,6 ± 3,96 35,8 ± 11,9 44,82 ± 30,1 1,89 ± 0,46 3,436 ± 0,94 2,05 ± 0,64 0,76 ± 0,34
BR-IRGA
409
Controle 0,31 ± 0,034 0,73 ± 0,164 70,4 ± 11,74 54,8 ± 4,53 71,17 ± 24,5 2,51 ± 0,20 4,996 ± 0,84 3,41 ± 0,38 1,27 ± 0,28
FeSO
4
-EDTA 0,32 ± 0,005 1,32 ± 0,213 63,5 ± 4,58 65,7 ± 6,46 59,34 ± 12,3 2,57 ± 0,10 6,680 ± 1,45 3,60 ± 0,40 0,68 ± 0,11
FeCl
3
-EDTA 0,99 ± 0,082 3,02 ± 0,350 311,6 ± 30 55,3 ± 1,87 54,18 ± 22,9 2,49 ± 0,19 3,693 ± 0,70 2,19 ± 0,15 0,34 ± 0,07
Citrato 0,99 ± 0,097 1,64 ± 0,213 106,7 ± 14,3 45,0 ± 4,17 150,08 ± 77,6 2,38 ± 0,21 3,504 ± 0,10 3,36 ± 0,27 0,22 ± 0,06