
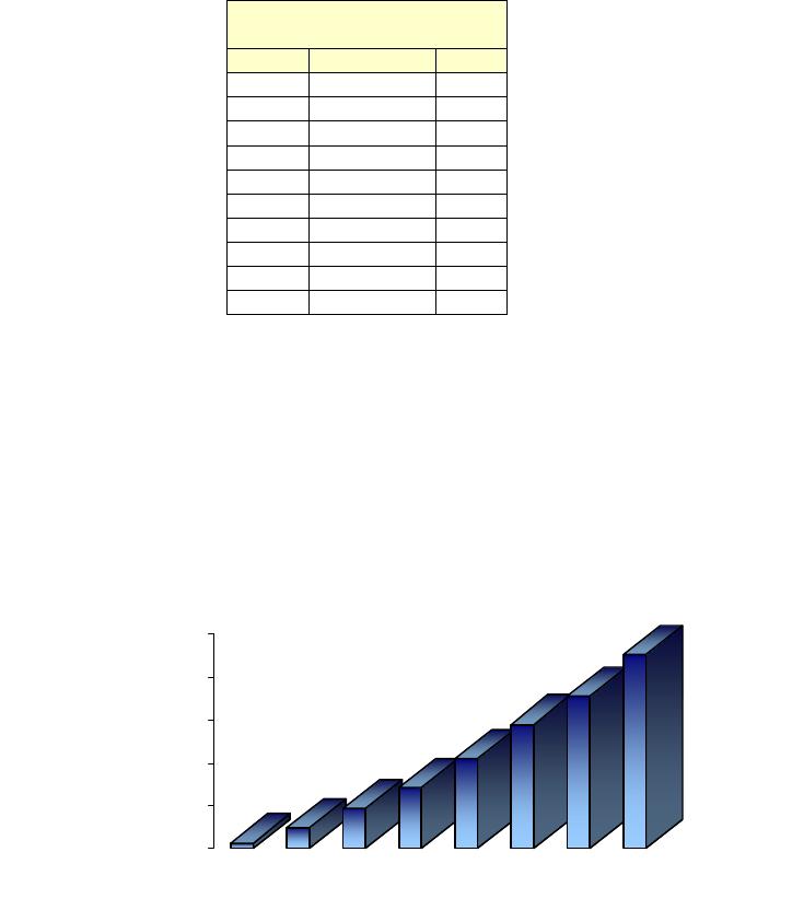
9.2. Anexos Previdência Complementar Aberta
Quadro 10 – Resoluções de Investimentos do CMN das EAPC
Documento Ementa
RESOLUÇÃO Nº
003358
Altera o Regulamento anexo à Resolução nº 3.308, de 2005, que dispõe sobre a aplicação
dos recursos das reservas, das provisões e dos fundos das sociedades seguradoras, das
sociedades de capitalização e das entidades abertas de previdência complementar, bem
como a aceitação dos ativos correspondentes como garantidores dos respectivos recursos,
na forma da legislação e da regulamentação em vigor.
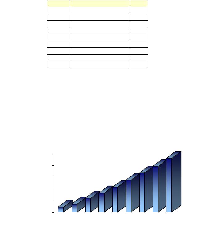
RESOLUÇÃO Nº
003308
Altera as normas que disciplinam a aplicação dos recursos das reservas, das provisões e
dos fundos das sociedades seguradoras, das sociedades de capitalização e das entidades
abertas de previdência complementar, bem como a aceitação dos ativos correspondentes
como garantidores dos respectivos recursos, na forma da legislação e da regulamentação
em vigor.
RESOLUÇÃO Nº
003144
Altera o art. 3º da Resolução nº 3.034, de 2002, que disciplina a aplicação dos recursos
das reservas, das provisões e dos fundos das sociedades seguradoras, das sociedades de
capitalização e das entidades abertas de previdência complementar, bem como a
aceitação dos ativos correspondentes como garantidores dos respectivos recursos, na
forma da legislação e da regulamentação em vigor.
RESOLUÇÃO Nº
003034
Altera e consolida as normas que disciplinam a aplicação dos recursos das reservas, das
provisões e dos fundos das sociedades seguradoras, das sociedades de capitalização e das
entidades abertas de previdência complementar, bem como a aceitação dos ativos
correspondentes como garantidores dos respectivos recursos, na forma da legislação e da
regulamentação em vigor.
RESOLUÇÃO Nº
003000
Altera dispositivos do Regulamento anexo à Resolução nº 2.967, de 2002, que dispõe
sobre a aplicação dos recursos das reservas, das provisões e dos fundos das sociedades
seguradoras, das sociedades de capitalização e das entidades abertas de previdência
complementar, bem como a aceitação dos ativos correspondentes como garantidores dos
respectivos recursos.
RESOLUÇÃO Nº
002967
Altera e consolida as normas que disciplinam a aplicação dos recursos das reservas, das
provisões e dos fundos das sociedades seguradoras, das sociedades de capitalização e das
entidades abertas de previdência complementar, bem como a aceitação dos ativos
correspondentes como garantidores dos respectivos recursos, na forma da legislação e da
regulamentação em vigor.
RESOLUÇÃO Nº
002922
Dispõe sobre a aplicação de recursos das entidades de previdência complementar, das
sociedades seguradoras e das sociedades de capitalização
RESOLUÇÃO Nº
002801
Dispõe sobre certificados repre- sentativos de contratos mercantis de compra e venda a
termo de mercadorias e de serviços
RESOLUÇÃO Nº
002716
Dispõe sobre a aplicação de recursos das entidades fechadas de previdência privada em
certificados de depósito de valores mobiliários com lastro em ações de emissão de
companhia aberta, ou de companhia que tenha características semelhantes às companhias
abertas brasileiras, com sede no exterior, cuja distribuição tenha sido autorizada pela
Comissão de Valores Mobiliários ("Brazilian Depositary Receipts" - BDRs).
RESOLUÇÃO Nº
002522
Dispõe sobre a participação das instituições e dos investidores institucionais que
especifica em processos de privatização da União.
RESOLUÇÃO Nº
002518
Faculta a aplicação de recursos das entidades abertas e fechadas de previdência privada,
sociedades seguradoras e sociedades de capitalização em Certificados de Recebíveis
Imobiliários - CRI, de que trata o art. 6º da Lei nº 9.514, de 20.11.97.
RESOLUÇÃO Nº
002405
Dispõe sobre a aplicação de recursos por parte das instituições financeiras, demais
instituições autorizadas a funcionar pelo Banco Central do Brasil, entidades de
previdência privada, sociedades seguradoras, sociedades de capitalização e fundos de
investimento financeiro na aquisição de certificados representativos de contratos
mercantis de compra e venda a termo de energia elétrica.
RESOLUÇÃO Nº
002114
Dispõe sobre a aplicação de recursos das entidades fechadas e abertas de previdência
privada, sociedades segura- doras e sociedades de capitalização em quotas de Fundos de
Investimento no Exterior.
RESOLUÇÃO Nº
001710
Regulamenta a aquisição dos certificados de privatização de que trata a lei nº 8.018, de
11.04.90, por parte das enti- dades fechadas de previdência privada, sociedades
seguradoras, sociedades de capitalização e entidades abertas de previdência privada.