Download PDF
ads:
1
UNIVERSIDADE FEDERAL DE PELOTAS
DEPARTAMENTO DE MEDICINA SOCIAL
PROGRAMA DE PÓS-GRADUAÇÃO EM EPIDEMIOLOGIA
PREVALÊNCIA DE UTILIZAÇÃO DE
ADOÇANTES DIETÉTICOS: UM ESTUDO DE
BASE POPULACIONAL
ROBERTA DE VARGAS ZANINI
Pelotas, RS.
2010
ads:
Livros Grátis
http://www.livrosgratis.com.br
Milhares de livros grátis para download.
2
UNIVERSIDADE FEDERAL DE PELOTAS
DEPARTAMENTO DE MEDICINA SOCIAL
PROGRAMA DE PÓS-GRADUAÇÃO EM EPIDEMIOLOGIA
PREVALÊNCIA DE UTILIZAÇÃO DE ADOÇANTES
DIETÉTICOS: UM ESTUDO DE BASE POPULACIONAL
ROBERTA DE VARGAS ZANINI
Dissertação apresentada ao Programa
de Pós-Graduação em Epidemiologia
junto a Universidade Federal de
Pelotas como requisito parcial para a
obtenção do Título de Mestre em
Epidemiologia.
Orientadora: Cora Luiza Pavin Araújo
Co-orientador: Jeovany Martinez Mesa
Pelotas, RS.
2010
ads:
Z31p Zanini, Roberta de Vargas
Prevalência de utilização de adoçantes dietéticos: um estudo de base
populacional. / Roberta de Vargas Zanini; orientadora Cora Luiza Pavin
Araújo. – Pelotas : UFPel, 2010.
123 f. : il.
Dissertação (mestrado) Universidade Federal de Pelotas ; Programa de
Pós-Graduação em Epidemiologia, 2010.
1. Epidemiologia I. Título.
CDD 614.4
Ficha catalográfica: M. Fátima S. Maia CRB 10/1347
3
DISSERTAÇÃO APRESENTADA AO PROGRAMA DE PÓS-GRADUAÇÃO
EM EPIDEMIOLOGIA DA UNIVERSIDADE FEDERAL DE PELOTAS
PARA OBTENÇÃO DO TÍTULO DE MESTRE
Banca examinadora:
________________________________________
Prof. Dra. Marly Augusto Cardoso
Universidade Federal de São Paulo
________________________________________
Prof. Dra. Denise Petrucci Gigante
Universidade Federal de Pelotas
________________________________________
Prof. Dra. Cora Luiza Pavin Araújo (Orientadora)
Universidade Federal de Pelotas
Pelotas, Novembro de 2010.
4
“À minha mãe Zely, a melhor mãe do mundo;
Ao meu pai Remy, uma estrela no céu que ilumina meu caminho.”
5
AGRADECIMENTOS
Primeiramente agradeço à Deus pela vida abençoada que tenho;
Quero agradecer de forma muito especial à todos os meus familiares, minha
mãe Zely; meus irmãos(ãs) Rogério, Rose, Rudi e Raquel; meus cunhados(as) Mana,
Victor, Julio e Eleusa; e meus sobrinhos(as) amados Rafael, Leonardo, Felipe, Larissa,
Luiza, Luana, Cecília e Luquinhas. Todos, de alguma forma, contribuíram para que eu
chegasse até aqui, sempre acreditando, incentivando e torcendo por mim;
Agradeço também meu namorado Aluízio, por ter caminhado comigo nesta
difícil etapa da minha vida. Sempre esteve junto comigo me dando força para enfrentar
os obstáculos, seguir em frente e nunca desistir;
Quero agradecer de coração minha orientadora Cora, por todo o aprendizado
que tive durante nossos encontros (pessoais e virtuais), pela paciência e compreensão.
Sem dúvida, levarei comigo todos os ensinamentos. E ao meu co-orientador Jeovany,
por toda a ajuda prestada durante esses dois anos.
6
SUMÁRIO
I. PROJETO DE PESQUISA ........................................................................................... 9
1. Apresentação ........................................................................................................... 10
2. Revisão da Literatura .............................................................................................. 10
2.1. O sabor doce na dieta humana.......................................................................... 11
2.2. Regulamentação do uso de adoçantes .............................................................. 15
2.3. Tipos de edulcorantes não-calóricos ................................................................ 17
2.4. Utilização de adoçantes pela população em geral ............................................ 23
2.5. Adoçantes dietéticos: efeitos sobre a saúde ..................................................... 23
3. Justificativa do estudo ............................................................................................. 29
4. Marco Teórico ......................................................................................................... 30
5. Modelo Teórico ....................................................................................................... 36
6. Objetivos ................................................................................................................. 36
6.1. Objetivo geral ................................................................................................... 36
6.2. Objetivos específicos........................................................................................ 36
7. Hipóteses ................................................................................................................. 37
8. Metodologia ............................................................................................................ 38
8.1. Delineamento do estudo ................................................................................... 38
8.2. Justificativa da escolha do delineamento ......................................................... 38
8.3. Definição do desfecho ...................................................................................... 38
8.4. Definição das variáveis de exposição ............................................................... 39
8.5. Critérios de elegibilidade ................................................................................. 40
8.6. População-alvo ................................................................................................. 41
8.7. Amostra ............................................................................................................ 41
8.8. Amostragem ..................................................................................................... 42
8.9. Instrumento....................................................................................................... 42
7
8.10. Recrutamento, seleção e treinamento de entrevistadoras ............................... 42
8.11. Estudo piloto .................................................................................................. 43
8.12. Trabalho de campo ......................................................................................... 44
8.12.1. Logística .................................................................................................. 44
8.12.2. Controle de qualidade .............................................................................. 45
8.13. Coleta, digitação e análise de consistência dos dados .................................... 45
8.14. Plano de análise .............................................................................................. 45
8.15. Aspectos éticos ............................................................................................... 46
8.16. Orçamento e financiamento ........................................................................... 46
8.17. Divulgação dos resultados .............................................................................. 46
8.18. Cronograma de atividades .............................................................................. 47
9. Referências Bibliográficas ...................................................................................... 48
II. RELATÓRIO DE TRABALHO DE CAMPO .......................................................... 52
1. Introdução ............................................................................................................... 53
2. Instrumentos de pesquisa ........................................................................................ 54
2.1. PDA (Personal Digital Assistants) ................................................................... 55
2.2. Questionários .................................................................................................... 55
2.3. Balança ............................................................................................................. 57
2.4. Estadiômetro..................................................................................................... 57
2.5. Fita métrica inextensível .................................................................................. 57
3. Manual de Instruções .............................................................................................. 58
4. Amostragem ............................................................................................................ 58
4.1. Seleção e reconhecimento dos setores ............................................................. 59
4.2. Seleção e reconhecimento dos domicílios ........................................................ 60
5. Entrevistadoras ........................................................................................................ 61
5.1. Seleção ............................................................................................................. 61
5.2. Treinamento ..................................................................................................... 63
8
6. Estudo piloto ........................................................................................................... 64
7. Antropometria ......................................................................................................... 64
7.1. Seleção ............................................................................................................. 64
7.2. Treinamento e padronização ............................................................................ 65
8. Comunicação à imprensa ........................................................................................ 66
9. Logística do trabalho de campo .............................................................................. 67
9.1. Coleta dos dados............................................................................................... 68
9.2. Gerenciamento dos dados................................................................................. 69
9.3. Controle de qualidade....................................................................................... 71
10. Perdas e recusas .................................................................................................... 72
11. Receitas e despesas ............................................................................................... 72
11.1. Recurso do PPGE ........................................................................................... 73
11.2. Recurso dos mestrandos ................................................................................. 75
12. Referências Bibliográficas .................................................................................... 76
III. ARTIGO ................................................................................................................... 77
IV. RELATÓRIO PARA A IMPRENSA .................................................................... 101
V. ANEXOS ................................................................................................................. 103
9
I
I
.
.
P
P
r
r
o
o
j
j
e
e
t
t
o
o
d
d
e
e
P
P
e
e
s
s
q
q
u
u
i
i
s
s
a
a
10
1. APRESENTAÇÃO
O presente projeto de pesquisa é um dos requisitos para a obtenção do título de
Mestre no Programa de Pós-Graduação em Epidemiologia da UFPel. O tema deste
projeto é a utilização de adoçantes dietéticos pela população com idade igual ou
superior a 20 anos de Pelotas/RS. Em virtude de que a literatura científica oferece
informações escassas sobre esse assunto, a revisão abordará o consumo de alimentos
diet e light, uma vez que se supõe que características e comportamento alimentar de
indivíduos que utilizam estes produtos sejam semelhantes às de usuários de adoçantes.
Assim sendo, a proposta do projeto é pesquisar aspectos gerais sobre o uso de
adoçantes dietéticos, ou seja, especificamente aqueles constituídos de edulcorantes não-
calóricos.
2. REVISÃO DA LITERATURA
A revisão de literatura foi realizada através da base PubMed, utilizando-se os
termos descritos pelo Mesh terms: sweetening agents, stevia, saccharin e cyclamate.
Utilizaram-se também outras palavras chaves obtidas a partir de artigos relacionados ao
tema: aspartame, artificial sweetener, table-top sweetener, non caloric sweetener, low-
calorie sweetener, intense sweetener e light and diet products, todos estes em
associação com os termos use, consumption e intake. Foram pesquisados também os
descritores “prevalência”, “estudo transversal” e “estudo epidemiológico”. Os limites
utilizados para a pesquisa foram: humanos, grupos etários com idade igual ou superior a
20 anos e publicações no período de 1990 à 2009 nas línguas inglesa, portuguesa ou
espanhola. As bases de dados Lilacs, Scielo e Google Scholar também foram utilizadas
através dos mesmos termos e limites.
11
Foram localizados 1648 artigos, os quais foram exportados para o programa
End Note X e todos os títulos foram lidos. Destes, 83 referências foram separadas e
incluídas em uma biblioteca própria para leitura minuciosa dos resumos e identificação
dos artigos mais relevantes. Para a seleção consideraram-se os seguintes critérios:
qualidade da metodologia utilizada; estudos de base populacional; grupos etários de
adultos e idosos; utilização de adoçantes dietéticos como desfecho e estudos de revisão,
transversais ou longitudinais. Assim, foram selecionados 30 artigos para leitura na
íntegra.
A última etapa foi a busca de artigos de interesse nas citações bibliográficas
dos artigos lidos, sendo procurados diretamente nas revistas através do portal de
periódicos da Capes. Na tentativa de obter os artigos que não estavam disponíveis
através do portal de periódicos da Capes, realizou-se contato com os respectivos
autores. Outras fontes também pesquisadas foram: Ministério da Saúde, para
informações sobre a legislação vigente dos adoçantes dietéticos; e Associação Brasileira
da Indústria de Alimentos Dietéticos (ABIAD), para informações sobre a situação
desses produtos no mercado nacional.
2.1. O sabor doce na dieta humana
A preferência pelo sabor doce é uma característica inata aos seres humanos.
Presente desde o nascimento, ela persiste durante o ciclo da vida e é influenciada pela
frequente exposição à substâncias doces (Mahar, 2007).
Pesquisas têm mostrado que quanto maior for a frequência de consumo de
alimentos doces pelos indivíduos, maior será a sua preferência para este sabor. No
entanto, essa exposição à doçura está mais fortemente relacionada à ingestão habitual de
12
açúcar adicionado aos alimentos de forma extrínseca, do que à quantidade total de
açúcar consumido (Holt, 2000).
O primeiro “produto para adoçar” foi o mel, consumido desde as antigas
culturas da Grécia e da China. Mais tarde, o mel foi substituído pela sacarose, o açúcar
comum, obtido originalmente a partir da cana-de-açúcar (Weihrauch, 2004). Com o
passar dos anos outros produtos foram surgindo e hoje em dia a indústria alimentícia
oferece aos consumidores uma variedade de produtos que possuem a propriedade de
conferir o sabor doce aos alimentos, dentre eles destacam-se o açúcar (branco, invertido
e para confeitaria), melado, melaço, rapadura e adoçantes de mesa (ANVISA, 2005).
Atualmente encontra-se na literatura científica uma variada terminologia para
os adoçantes dietéticos. Alguns termos como high-potency sweetener (alto poder
adoçante), alternative sweetener (adoçante alternativo), sugar substitute (substituto do
açúcar), non-nutritive sweetener (adoçante não-nutritivo), low-calorie sweetener
(adoçante de baixa caloria), ou simplesmente sweeetener (adoçante) podem ser
encontrados como sinônimos para qualquer tipo de adoçante. Diante do exposto,
apresenta-se abaixo a definição de alguns termos que serão utilizados no presente
trabalho.
ALIMENTOS PARA FINS ESPECIAIS: São os alimentos especialmente formulados
ou processados, nos quais se introduzem modificações no conteúdo de nutrientes,
adequados à utilização em dietas, diferenciadas e/ou opcionais, atendendo às
necessidades de pessoas em condições metabólicas e fisiológicas específicas.
Classificam-se em “Alimentos para dietas com restrição de nutrientes”, “Alimentos
13
para ingestão controlada de nutrientes” e “Alimentos para grupos populacionais
específicos” (MS/SVS, 1998).
ALIMENTOS DIET: São alimentos formulados para dietas que necessitam restrição
de nutrientes. Estes alimentos devem ser isentos em pelo menos um destes nutrientes:
carboidratos, gorduras, proteínas ou sódio (MS/SVS, 1998).
ALIMENTOS LIGHT: São alimentos formulados para dietas com controle de ingestão
de nutrientes, incluindo alimentos para controle de peso e para praticantes de atividade
física, e também para dietas de nutrição enteral ou de ingestão controlada de açúcares.
Estes alimentos devem apresentar uma redução relativa mínima de 25% no valor
energético ou no conteúdo de algum nutriente em comparação ao produto original
normal ou similar. Os nutrientes que podem apresentar esta redução são: carboidratos,
gorduras totais, gorduras saturadas, colesterol e sódio (MS/SVS, 1998).
AÇÚCAR: é a sacarose obtida a partir do caldo de cana-de-açúcar (Saccharum
officinarum L.) ou de beterraba (Beta alba L.). São também considerados açúcares os
monossacarídeos e demais dissacarídeos, os quais podem estar apresentados em
diversas granulometrias e formas de apresentação (ANVISA, 2005).
AÇÚCAR PARA CONFEITARIA: é o açúcar que pode ser adicionado de outros
ingredientes, desde que não descaracterizem o produto (ANVISA, 2005).
AÇÚCAR LÍQUIDO INVERTIDO: é o produto obtido a partir da hidrólise da
sacarose com diferentes concentrações de glicose, frutose e sacarose (ANVISA, 2005).
14
RAPADURA: é o produto sólido obtido pela concentração do caldo de cana-de-açúcar
(Saccharum officinarum L.), podendo ser adicionado de outro(s) ingrediente(s) desde
que não descaracterize(m) o produto (ANVISA, 2005).
MELADO: é o produto obtido pela concentração do caldo de cana-de-açúcar
(Saccharum officinarum L.) ou a partir da rapadura derretida (ANVISA, 2005).
MELAÇO: é um subproduto resultante da produção de açúcar (ANVISA, 2005).
ADOÇANTES DE MESA: São produtos especificamente formulados para utilização
em alimentos ou bebidas em substituição ao úcar (sacarose). São constituídos por
edulcorantes, substâncias que conferem o sabor doce. Em sua composição, os adoçantes
de mesa podem também apresentar os seguintes veículos: álcool etílico, amidos, água,
amidos modificados, dextrinas, dextrose, fruto-oligossacarídeos, isomalto-
oligossacarídeos, frutose e seus xaropes, xarope de glicose, glicerina ou glicerol,
isomalte, lactose, maltitol e seu xarope, maltodextrina, manitol, polidextrose, polietileno
glicol, propilenoglicol, sacarose, sorbitol, e outros previstos em regulamentos técnicos
específicos (MS/SVS, 1998).
ADOÇANTES DIETÉTICOS: São produtos formulados para utilização em dietas
com restrição de sacarose, frutose e glicose, para atender às necessidades de pessoas
sujeitas à restrição desses carboidratos, sendo que as matérias-primas sacarose, frutose e
glicose não podem ser utilizadas na formulação desses produtos (MS/SVS, 1998).
Cabe destacar ainda que os edulcorantes que compõem os adoçantes costumam
ser apresentados divididos de acordo com o fornecimento de energia (Fatibello-Filho,
1996), conforme apresentado na Figura 1.
15
EDULCORANTES
ARTIFICIAIS
NATURAIS
SACARÍDEOS
NÃO-SACARÍDEOS
NUTRITIVOS
OU
CALÓRICOS
NÃO-NUTRITIVOS
OU
NÃO-CALÓRICOS
Figura 1. Divisão dos edulcorantes de acordo com fornecimento de energia.
O presente estudo irá abordar especificamente o uso de adoçantes constituídos
de edulcorantes não-calóricos artificiais ou naturais, e isentos de sacarose, glicose e
frutose em sua composição, sendo denominados pela legislação brasileira como
adoçantes dietéticos.
2.2. Regulamentação do uso de adoçantes
Até a década de 80, no Brasil, os produtos dietéticos eram regulamentados
como drogas, sendo consumidos apenas por portadores de Diabetes Mellitus ou de
outras doenças que tivessem a necessidade de controlar a ingestão de sacarose (Toledo,
1995). A situação mudou com a reclassificação dos adoçantes em 1988 quando os
“produtos à base de edulcorantes” começaram a ser registrados na Divisão Nacional de
Alimentação do Ministério da Saúde (MS/SVS, 1988) e tiveram seu uso estendido para
a população em geral. Em 1998 as Portarias 29 e 38 do Ministério da Saúde
regulamentaram o uso de alimentos para fins especiais e adoçantes de mesa,
respectivamente, assim como suas definições (MS/SVS, 1998; MS/SVS, 1998).
16
No Brasil, a regulamentação do uso de edulcorantes é realizada pelo Ministério
da Saúde através da Agência Nacional de Vigilância Sanitária (ANVISA) com base em
normas internacionais sobre o uso de aditivos em alimentos (ANVISA, 2008). A
ANVISA aprova a utilização de edulcorantes baseada em regulamentos específicos,
apoiados por critérios de restrição, recomendações e sugestões do Joint FAO/WHO
Expert Committee on Food Additives (JECFA) (Joint FAO/WHO Expert Committee on
Food Additives).
Os tipos de edulcorantes atualmente permitidos para comercialização no Brasil
são: sorbitol, manitol, isomaltitol, maltitol, lactitol, xilitol e eritritol como edulcorantes
calóricos e sacarina, ciclamato, aspartame, acessulfame K, sucralose, glicosídeos de
esteviol, neotame e taumatina como não-calóricos (ANVISA, 2008). Atualmente nos
EUA, apenas cinco edulcorantes não-calóricos estão aprovados pelo Food and Drug
Administration (FDA): sacarina, aspartame, acessulfame k, neotame e sucralose
(Mattes, 2009). Portanto, os edulcorantes não-calóricos, ciclamato, taumatina e
glicosídeos de esteviol, tem utilização regulamentada no Brasil mas não são permitidos
pela legislação norte-americana como aditivos alimentares.
De acordo com o JECFA, a medida de segurança para utilização de
edulcorantes pode ser expressa como uma Ingestão Diária Aceitável (Fatibello-Filho,
1996). Esta quantidade, expressa em miligramas da substância por quilograma de peso
corporal, é uma estimativa da quantidade máxima que uma substância pode ser ingerida
por dia, sem oferecer risco à saúde (ANVISA, 2008). A Tabela 1 apresenta a ingestão
diária aceitável para os edulcorantes não-calóricos regulamentados para uso no Brasil.
17
Tabela 1: Edulcorantes não-calóricos regulamentados para uso no Brasil e respectivas
quantidades de Ingestão Diária Aceitável (IDA).
Edulcorante
IDA (mg/Kg)
Sacarina
5
Ciclamato
11
Aspartame
40
Acessulfame K
15
Sucralose
15
Glicosídeos de Esteviol
4
Neotame
2
Taumatina*
-
(*) O edulcorante Taumatina não apresenta limite de ingestão diária estabelecido.
Fonte: JEFCA/FAO
2.3. Tipos de edulcorantes não-calóricos
A sacarina é o edulcorante artificial mais antigo. Foi descoberta por acaso em
1879, por Constantino Fahlberg (Whitehouse, 2008). É 300 vezes mais doce que a
sacarose e passa intacta pelo organismo humano, não fornecendo energia alimentar.
Foi bastante popular na primeira metade do século XX como substituto da
sacarose na dieta de indivíduos com diabetes ou com outras condições clínicas
(Manfred, 2006). Foi amplamente utilizada também durante o período das Guerras
Mundiais, em razão das dificuldades de obtenção de açúcar na Europa e pelo seu baixo
custo de produção (Weihrauch, 2004).
É interessante distinguir dois períodos diferentes da difusão dos adoçantes
dietéticos, o período de 1885 até 1960 e outro, por volta de 1970 até hoje. Cabe destacar
que as crenças dos consumidores, sobre os impactos na saúde em relação ao açúcar e
adoçantes dietéticos entre esses períodos, mudou. (Ruprecht, 2005).
18
Em tempos de escassez de açúcar, a sacarina fornecia a doçura. Logo que o
açúcar tornou-se novamente disponível, os consumidores voltaram a utilizá-lo. Este
retorno ao consumo da sacarose pode ser explicado pela inferioridade social que a
sacarina representava, pois estava sendo consumida por indivíduos que não tinham
condições financeiras para adquirir açúcar. Além disso, a divulgação na mídia de que
haveria um impacto negativo sobre a saúde, relativo ao uso de edulcorantes não-
calóricos contribuiu para estabilizar a sacarina como um produto inferior ao açúcar
(Ruprecht, 2005).
Apesar do seu baixo valor comercial, a utilização da sacarina em produtos
alimentícios era limitada. Seu sabor doce era acompanhado por um resíduo amargo
(Manfred, 2006), de modo que havia a necessidade de melhorar sua palatabilidade
mantendo seu reduzido valor calórico (Weihrauch, 2004), tendo em vista que na década
de 50 o motivo para sua utilização deixou de ser o baixo custo e passou a ser a
possibilidade de redução no consumo de calorias (Manfred, 2006).
A descoberta do ciclamato em 1937 foi um avanço para a indústria de
edulcorantes artificiais. Sua doçura é menos intensa que outros edulcorantes não-
calóricos, sendo apenas 30 vezes superior à do açúcar. Neste caso, uma quantidade
relativamente maior de edulcorante deve ser adicionada para conferir a doçura
equivalente a outros edulcorantes não-calóricos.
Sua comercialização foi iniciada na década de 50 em combinação com a
sacarina, proporcionando um sabor mais agradável ao adoçante. Devido às suas
características, o ciclamato não é utilizado isoladamente em comprimidos ou na forma
de líquido. Como adoçante dietético, é utilizado sempre em associação à outro
19
edulcorante, como a sacarina por exemplo. Pode-se encontrar o ciclamato na sua forma
isolada apenas na composição de produtos alimentícios, como refrigerantes diet
(Weihrauch, 2004).
Em 1969, o FDA anunciou que o ciclamato seria proibido nos Estados Unidos
devido aos resultados de alguns estudos, que sugeriam que o ciclamato poderia causar
câncer de bexiga em ratos. A proibição entrou em vigor em 1970, porém, mais tarde
outros estudos em ratos, camundongos, cães, hamsters e macacos não revelaram
qualquer ligação entre ciclamato e câncer. Mesmo assim, até hoje o ciclamato é um dos
edulcorantes não-calóricos cujo consumo não é permitido nos Estados Unidos
(Manfred, 2006).
Em meio à discussões sobre a segurança do ciclamato para o consumo humano,
o aspartame foi descoberto em 1965. Este edulcorante fornece quatro calorias por
grama, exatamente como o açúcar comum, no entanto, é aproximadamente 200 vezes
mais doce que este, fazendo com que seja necessária uma quantidade mínima para
adoçar um alimento ou bebida, tornando seu valor calórico desprezível quando utilizado
adequadamente.
O aspartame é amplamente utilizado na indústria alimentícia, devido
principalmente a semelhança entre o seu sabor e o da sacarose (Manfred, 2006). O FDA
aprovou o uso do aspartame como adoçante de mesa em 1981 e em bebidas
carbonatadas, em 1983. Em 1996, o aspartame foi então aprovado nos Estados Unidos
como um adoçante em geral, podendo ser utilizado em todas as categorias de alimentos
e bebidas (Manfred, 2006). Entretanto, produtos fabricados com aspartame devem
apresentar em seus rótulos a indicação de que contêm fenilalanina. Esta informação é
20
importante para as pessoas com fenilcetonúria, uma doença hereditária onde os
portadores devem limitar estritamente a ingestão deste aminoácido.
Nos países industrializados, até os anos 80, os edulcorantes disponíveis
comercialmente eram: sacarina, ciclamato e aspartame, sendo conhecidos como
adoçantes da primeira geração. A partir de então, uma segunda geração de adoçantes,
representada pela sucralose, acessulfame de potássio, stévia, neotame e taumatina foram
aprovados para o consumo humano e vêm conquistando gradualmente o mercado
mundial (Benton, 2005).
Hoje em dia, os adoçantes estão presentes em vários produtos alimentícios tais
como, refrigerantes, gelatinas, geléias, produtos lácteos, sorvetes e gomas de mascar.
Encontram-se também em medicamentos, para encobrir ou mascarar as características
organolépticas dos fármacos, e em produtos de higiene bucal ajudando na prevenção de
cáries (Fatibello-Filho, 1996).
O edulcorante acessulfame de potássio foi descoberto na Alemanha em 1967. É
aproximadamente 200 vezes mais doce que o açúcar e não é metabolizado pelo
organismo humano, sendo assim, não fornece calorias (American Dietetic Association,
2004). É frequentemente utilizado em combinação com outros edulcorantes, pois da
mesma forma que a sacarina, o acessulfame-K pode ter um resíduo amargo quando
utilizado isoladamente para adoçar um alimento ou bebida (Horne, 2002; Kuhn, 2004).
No entanto, quando pequenas quantidades de acessulfame-K são misturadas a outros
edulcorantes de alta intensidade, o resultado do perfil de doçura é semelhante ao da
sacarose (Manfred, 2006).
21
Em 1976, pesquisadores britânicos descobriram a sucralose a partir da
sacarose, através de um processo de substituição de 3 átomos de cloro por 3 grupos
hidroxila na molécula de sacarose. Embora a sucralose seja feita a partir do açúcar, o
corpo humano não consegue reconhecê-la como tal e por isso não é metabolizada, tendo
portanto, caloria zero (Manfred, 2006).
A Sucralose é cerca de 600 vezes mais doce que o açúcar e pode ser usada em
uma ampla variedade de alimentos e bebidas. Em abril de 1998, foi aprovada pelo FDA
para ser utilizada como adoçante de mesa e em alguns alimentos e bebidas. No ano
seguinte, foi aprovada como um adoçante para fins gerais (Food and Drug
Administration, 1999), pois a partir de uma revisão literária científica, o FDA concluiu
que este edulcorante não apresenta risco cancerígeno, reprodutivo ou neurológico para
os seres humanos (American Dietetic Association, 2004).
O edulcorante glicosídeos de esteviol é derivado das folhas de um arbusto
típico da América do Sul, a Stevia rebaudiana Bertoni. Suas folhas contêm substâncias
que são 250 a 300 vezes mais doces que a sacarose. Muitos povos indígenas da América
do Sul utilizam a stévia como um adoçante natural vários séculos, e no Japão tem
sido utilizada por mais de 30 anos (Manfred, 2006).
Além do Japão, outros países que utilizam a stévia como adoçante são China,
Rússia, Coréia, Brasil, Paraguai, Argentina, Indonésia, Malásia, Austrália e Nova
Zelândia. Nos Estados Unidos e Europa, a stévia não é aprovada como um ingrediente
alimentar, e sim como um suplemento dietético, ou seja, pode ser comercializada como
um adoçante de mesa desde que os consumidores sejam informados de que não é
aprovada como um edulcorante não-calórico (American Dietetic Association, 2004).
22
O neotame é um dipeptídeo derivado de um composto formado pelo ácido
aspártico e fenilalanina. Embora contenha dois componentes químicos iguais ao
aspartame, possui propriedades diferentes. É intensamente doce, aproximadamente 7000
vezes superior à doçura da sacarose e 30 vezes à do aspartame, por isso a quantidade
necessária para adoçar um alimento ou bebida é extremamente pequena. O neotame foi
aprovado pelo FDA como um edulcorante para uso geral em julho de 2002 (Food and
Drug Administration, 2002) e possui aprovação pelo JECFA para utilização na
Austrália, Nova Zelândia, Rússia, México, China, África do Sul, e vários países da
América do Sul e Europa Oriental. No Brasil, sua regulamentação ocorreu em março de
2008 pela ANVISA (ANVISA, 2008). Os produtos que contém neotame não necessitam
de informação especial nos rótulos para fenilcetonúricos, pois a exposição à fenilalanina
a partir do neotame é muito baixa (American Dietetic Association, 2004; Manfred,
2006).
A taumatina é uma mistura de proteínas que ocorre naturalmente em uma fruta
típica do Oeste Africano, sendo 1600 vezes mais doce que a sacarose. A revisão da
literatura sobre sua biologia e estudos em seres humanos sugere que a taumatina não é
tóxica, e foi reconhecida como segura nos Estados Unidos (Joint FAO/WHO Expert
Committee on Food Additives), no entanto, pode ser comercializada apenas como um
modificador de sabor e não como adoçante (American Dietetic Association, 2004;
Manfred, 2006). No Brasil, a taumatina foi aprovada para utilização como edulcorante
não-calórico em 2008 (ANVISA, 2008).
23
2.4. Utilização de adoçantes pela população em geral
Apesar da ampla preocupação com o sobrepeso e a obesidade, e da
disponibilidade de adoçantes dietéticos para livre utilização, dados da pesquisa National
Health and Nutrition Examination Survey (NHANES) 2003-2004 referentes ao
consumo de alimentos e bebidas que contêm edulcorantes não-calóricos, revelaram que
apenas 15% da população dos Estados Unidos os ingere. No entanto, este número está
crescendo, e por isso as implicações do seu uso no tratamento do excesso de peso em
geral exigem um melhor entendimento (Mattes, 2009). A utilização de adoçantes
dietéticos nos países europeus também está aumentando, devido ao crescente interesse
em saúde e ao envelhecimento da população (American Dietetic Association, 2004).
Na Argentina, aproximadamente 14% da população utiliza regularmente
adoçantes artificiais para adoçar bebidas e alimentos, sendo a combinação sacarina e
ciclamato, os edulcorantes mais consumidos (SAGPyA, 2000). No Brasil, a ABIAD
(Associação Brasileira da Indústria de Alimentos Dietéticos) revelou que
aproximadamente 35% dos domicílios brasileiros consomem algum tipo de produto diet
ou light, sendo que o adoçante de mesa está presente em todos estes domicílios
(ABIAD, 2004).
2.5. Adoçantes dietéticos: efeitos sobre a saúde
Em muitos países, a alta e crescente ingestão de bebidas adoçadas com açúcar
tornou-se um problema sério. Estima-se que a ingestão diária de um copo de bebida
adoçada com açúcar pode contribuir para aumentar em 60% o risco de obesidade (Joint
WHO/FAO Expert Consultation, 2003). Essa situação conduz à investigações sobre o
papel dos adoçantes calóricos no balanço energético, fazendo com que algumas medidas
24
para o controle da ingestão excessiva desse tipo de adoçante, sejam tomadas (Rivera,
2008).
As evidências existentes não apoiam a alegação de que dietas ricas em açúcares
causam, por si só, um aumento nas taxas de obesidade ou de outras doenças como
dislipidemia, diabetes, ou distúrbios comportamentais (Murphy, 2003). No entanto, o
açúcar pode ser considerado o fator dietético mais importante no desenvolvimento da
cárie dentária, e seu elevado consumo em bebidas é uma evidência moderadamente
forte para a promoção do ganho de peso (Joint WHO/FAO Expert Consultation, 2003).
Assim sendo, consumidores que desejam desfrutar do sabor doce sem aumentar
seu consumo energético podem optar pelos adoçantes dietéticos, auxiliando no controle
do peso, prevenção de cáries, controle do diabetes e outras doenças crônicas (American
Dietetic Association, 2004).
Ao longo dos anos, os efeitos da utilização de açúcares e edulcorantes não-
calóricos na saúde, têm sido uma preocupação entre os profissionais de saúde por vários
motivos. Uma das recentes questões tem sido quanto ao consumo elevado de alimentos
e bebidas açucaradas e sua possível associação com a crescente prevalência de
sobrepeso e obesidade na população (American Dietetic Association, 2004). Nesse
contexto, indivíduos que pretendem perder peso podem optar por limitar a ingestão de
adoçantes calóricos em substituição à adoçantes não-calóricos, porém devem utilizá-los
conjuntamente a um programa equilibrado de dieta e prática de exercício físico sob
orientação profissional. O sucesso desta abordagem depende do conhecimento dos
profissionais de saúde sobre as vantagens e desvantagens de cada edulcorante para que
25
sejam determinadas melhores práticas clínicas e recomendações de saúde pública
(American Dietetic Association, 2004; Mattes, 2009).
Embora a segurança sanitária dos edulcorantes não-calóricos seja estabelecida
em relação à toxicidade aguda e patologias a longo prazo, a sua influência sobre o
apetite alimentar, balanço energético e peso corporal, não está totalmente caracterizada.
Dúvidas permanecem sobre os efeitos das propriedades dos compostos e da forma como
os consumidores optam por utilizá-los, ou seja, como um complemento alimentar, ao
invés de substituto, uma vez que, a adição de adoçantes dietéticos à dieta pode não
representar vantagem para perda de peso ou prevenção do ganho de peso se não houver
restrição de energia (Mattes, 2009).
Alguns autores sugerem que indivíduos que não apresentam necessidade de
restrição dietética e utilizam adoçantes dietéticos com o propósito de perder peso, sem
um devido controle alimentar, fazem com que a consequente redução de sacarose
conduza à uma compensação alimentar através do consumo de mais energia em outras
refeições, principalmente a partir do consumo de alimentos ricos em lipídios (Benton,
2005).
Os adoçantes dietéticos podem ser adicionados à alimentos e bebidas não doces
com a função de prover doçura, sem alterar o valor energético (procedimento aditivo);
ou, para substituir o carboidrato doce, com o objetivo de manter o nível equivalente de
doçura, enquanto reduz o consumo energético (procedimento substitutivo). No primeiro
relato atuaria como estimulador do apetite, porém existem diferenças entre as estruturas
químicas dos adoçantes e possivelmente diferentes ações biológicas. Além disso, os
26
mecanismos que contribuem para o controle do apetite dependem da natureza e da
densidade dos nutrientes consumidos simultaneamente (Rosado, 2001).
Em seu artigo de revisão, Rosado (2001) descreve que os adoçantes podem agir
nos níveis de saciedade, porém a substituição da sacarose pelo adoçante dietético
poderia não influenciar no controle do apetite, pois tal conduta poderia implicar em uma
compensação alimentar. O aspartame, por exemplo, pode promover inibição do apetite
eventualmente, devido a liberação da colecistoquinina, promovida pela fenilalanina,
mostrando que não são todos os adoçantes que apresentam efeitos equivalentes sobre o
apetite. Por outro lado, a ingestão do aspartame pode reduzir a aprazibilidade do sabor
doce, promovendo o aumento da motivação e desejo de comer (apetite), podendo assim,
intensificar o desejo por doces e outros carboidratos, aumentando o apetite e a
consequente ingestão energética, podendo resultar em ganho de peso (Rosado, 2001).
A preocupação de que a inclusão de adoçantes dietéticos na dieta leva ao
aumento do apetite e da ingestão energética e assim contribui para a obesidade, não é
recente. No entanto, os supostos mecanismos pelos quais isso poderia ocorrer não são
apoiados pelas evidências disponíveis. Por outro lado, evidências crescentes mostram
que o uso destes produtos pode estimular a liberação de hormônios da saciedade,
embora a ligação entre esses hormônios da ingestão energética também não seja
conclusiva (Mattes, 2009).
De um modo geral, os resultados de alguns estudos sugerem que adoçantes
dietéticos utilizados como substitutos de adoçantes ricos em energia (sacarose) em um
plano alimentar adequado têm o potencial para auxiliar na manutenção do peso. Tais
resultados requerem informações adicionais sobre os padrões de uso de adoçantes
27
dietéticos, e ensaios controlados à longo-prazo na população (Mattes, 2009; Rosado,
2001).
Outra questão amplamente discutida desde a década de 70 é o papel do
consumo em geral de edulcorantes não-calóricos associado ao desenvolvimento de
câncer. Estudos em animais encontraram um risco acentuado de câncer de bexiga em
mais de uma geração de roedores tratados com doses extremamente altas de sacarina
(Wagner, 1970). Em 1975, estudos epidemiológicos encontraram uma possível
associação em seres humanos (Armstrong, 1975), porém mais tarde foi demonstrado
que o uso de sacarina não causa lesões epiteliais nesta população (Capen, 1999).
Devido à formulação de alguns adoçantes dietéticos que contêm edulcorantes
em associação, como a sacarina e o ciclamato, por exemplo, tem sido difícil analisar o
possível risco de desenvolvimento de alguns tipos de câncer especificamente para cada
uma dessas substâncias (Weihrauch, 2004). Depois que outros edulcorantes entraram no
mercado de alimentos, doenças como o câncer de bexiga, por exemplo, não devem mais
estar ligadas ao consumo da sacarina apenas. Atualmente os consumidores utilizam
diferentes tipos de adoçantes dietéticos, além disso, os edulcorantes são misturados em
produtos alimentícios para melhoria do sabor. Assim, a maioria dos estudos
epidemiológicos em humanos diz respeito ao consumo de edulcorantes em geral, e não a
uma única substância, não encontrando, muitas vezes, qualquer indício de risco
cancerígeno para os usuários desses produtos (Kenji, 1993; Weihrauch, 2004).
A maioria dos estudos epidemiológicos sobre uso de edulcorantes e risco de
câncer em humanos refere-se a cânceres de bexiga e cérebro e as mais importantes
publicações neste domínio são estudos de delineamento caso-controle (Gallus, 2007;
28
Weihrauch, 2004), porém os resultados sobre estas associações ainda o divergentes.
No entanto, dados experimentais (Soffritti, 2006) ainda são uma ferramenta útil para
auxiliar no planejamento de políticas de saúde pública até que evidências
epidemiológicas contrárias sejam obtidas (Andreatta, 2008).
Com exceção dos dados toxicológicos em animais, necessários para a
aprovação do FDA, não existem muitos estudos que investiguem os potenciais efeitos
perigosos da segunda geração de edulcorantes. Nenhuma das substâncias, tais como
acessulfame-K, alitame ou sucralose é suspeita de causar câncer ou de ser genotóxico
(Gallus, 2007).
Além do aumento no apetite e do risco de desenvolvimento de câncer, estão
descritos na literatura outros fatores, prejudiciais e benéficos a saúde, que estão
relacionados ao uso de edulcorantes não-calóricos (Mattes, 2009). Um desses fatores é
que os adoçantes dietéticos não elevam os níveis glicêmicos e podem ser utilizados por
pessoas com diabetes, sendo adequados para ajudar no controle do consumo energético
desses indivíduos.
Tendo em vista que o objetivo primordial da terapia médica-nutricional para o
controle do diabetes é manter a taxa glicêmica próxima do normal, a American Diabetes
Association (ADA) sugere que uma atenção especial deve ser dada à quantidade total de
carboidratos nas refeições e lanches, momento em que a orientação e a recomendação
de adoçantes dietéticos torna-se importante (American Diabetes Association, 2003).
Nesse sentido, o adoçante dietético à base de stévia, descrito anteriormente, seria uma
alternativa para auxiliar no tratamento destes pacientes devido seus benefícios
terapêuticos, como anti-hiperglicemiante, anti-hipertensivo, anti-inflamatório, anti-
29
diarréico, e diurético. Cabe ainda destacar que seus efeitos sobre o nível de glicose
plasmática e pressão arterial são observados apenas quando estes parâmetros estão mais
elevados do que o normal, tornando-o importante para o tratamento do diabetes e da
hipertensão (Chatsudthipong, 2009).
Centros de Controle de Doenças dos Estados Unidos e o FDA analisaram
algumas queixas comportamentais frequentes entre os consumidores de adoçantes
dietéticos como cefaleia, vômitos, náuseas, tonturas e alterações de humor, mas
concluíram que estes produtos não apresentam um risco de saúde pública nesse sentido
(American Dietetic Association, 2004).
3. JUSTIFICATIVA DO ESTUDO
O consumo de edulcorantes não-calóricos tem aumentado marcadamente em
vários países, nas últimas décadas (Popkin, 2003). No Brasil, são escassas as
informações sobre a prevalência de utilização de adoçantes dietéticos pela população
em geral e características do consumidor. Atualmente, sabe-se apenas que existe um
forte crescimento desses produtos no mercado brasileiro, sendo que na década de 90, os
adoçantes de mesa apresentaram um crescimento de vendas de aproximadamente 600%
(ABIAD).
Embora existam alguns estudos abordando a questão do consumo de
edulcorantes, em animais e seres humanos, tais pesquisas têm sido realizadas em
populações específicas de consumidores destes produtos. Estudos nos quais a
população-alvo são os indivíduos em geral são poucos, e estes têm seu foco na
estimativa de ingestão diária de edulcorantes, através do consumo de alimentos e
bebidas diet principalmente. Avaliar a utilização de adoçantes na forma de adição
30
permitirá conhecer o número de indivíduos que têm o adoçante dietético como a opção
para adoçar suas bebidas, independente de ser por recomendação profissional ou não.
Tendo em vista o reduzido número de estudos de prevalência sobre uso de
adoçantes dietéticos e um cenário de intensas controvérsias em relação aos possíveis
danos à saúde que sua utilização inadequada pode causar, faz-se necessário estudar a
frequência de uso de adoçantes entre a população em geral, além de avaliar sua
recomendação profissional e ingestão diária. No futuro, medidas de intervenção em
saúde poderão ser tomadas a fim de que a utilização de adoçantes dietéticos seja, não
apenas recomendada, mas também orientada por profissionais de saúde para um uso
seguro e adequado para cada indivíduo.
O presente estudo tem em vista, ainda, acrescentar conhecimento neste campo
da nutrição, traçando um perfil dos usuários. Nesse sentido, este trabalho será uma
contribuição para a pesquisa em saúde e para literatura brasileira com informações sobre
a prevalência de utilização de adoçantes dietéticos na população em geral, e também
sobre as características demográficas, socioeconômicas e comportamentais desses
usuários.
4. MARCO TEÓRICO
Um modelo alimentar consiste em um conjunto de conhecimentos acumulados
de geração a geração, o qual influencia a seleção de produtos, os modos de preparo, os
tipos de pratos e os rituais de consumo. A alimentação humana não pode ser definida,
simplesmente, como uma necessidade fundamental, mas como uma ferramenta a serviço
da saúde, do prazer, da estética, entre outras (Lucchese, 2006).
31
A escolha dos alimentos é uma decisão diretamente influenciada por fatores
sensoriais, psicológicos, socioculturais e psicossociais (Hamilton, 2000; Ruprecht,
2005). Outros fatores como cultura, educação, poder de compra, informação e
rotulagem também influenciam os hábitos de consumo da população (Krystallis, 2003).
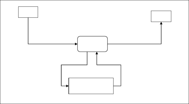
O modelo teórico para determinação do uso de adoçantes dietéticos apresenta
desde as categorias mais distais, como características demográficas, socioeconômicas,
culturais e a influência da dia, até aquelas que estão mais proximamente relacionadas
ao desfecho, recomendação profissional e controle do peso. Essas características podem
influenciar a utilização de adoçantes dietéticos de forma direta como determinantes
isolados, ou de forma indireta, estabelecendo uma relação entre as características dos
diferentes níveis hierárquicos.
O sexo é uma característica demográfica de importante influência no desfecho
em questão. Atualmente, as mulheres são socialmente pressionadas a fazer dieta, e
submetem-se a restrições alimentares rígidas de modo a seguir um padrão estético
imposto. Além disso, existe também um apelo para estilos de vida saudáveis associados
ao consumo de produtos dietéticos (Lucchese, 2006; Toledo, 1995). Em estudo
britânico sobre o consumo de adoçantes dietéticos na década de 80, mulheres com
idades entre 16 e 54 anos são as principais compradoras de produtos light e adoçantes
de mesa (Heasman, 1990). Esses resultados revelam o importante papel do sexo na
ingestão de adoçantes dietéticos.
Além disso, as mulheres têm um interesse maior do que os homens em
alimentação saudável (Roininen, 2001). Isso pode explicar o fato de que um maior
número de mulheres por domicílio está relacionado a um maior consumo de produtos
32
light, que por sua vez pode estar relacionado às suas preocupações a cerca de peso e
aparência. As mulheres são mais adeptas à utilização desses produtos, que estão mais
preocupadas e interessadas na relação alimento-estética. Por outro lado, o menor
consumo revelado por homens pode ser explicado por se declararem mais influenciados
pela relação alimento-prazer (Lucchese, 2006; Roininen, 1999; Ruprecht, 2005; Viaene,
1997).
A idade é outra característica que influencia o desfecho diferentemente
conforme o grupo etário. Indivíduos mais jovens, em geral eutróficos, utilizam
adoçantes dietéticos para manutenção do peso ou simplesmente para acompanhar o
hábito de familiares. Muitos deles utilizam esses produtos como um mecanismo de
compensação, ou seja, permitem-se uma maior ingestão calórica diária em virtude da
utilização de produtos isentos de calorias (Benton, 2005; Toledo, 1995). À medida que a
idade aumenta, a motivação para utilização de adoçantes dietéticos muda, sendo então a
perda de peso e a recomendação médica as principais razões (Viaene, 1997).
O nível socioeconômico, a escolaridade e a cor da pele são características
muito relacionadas entre si e assim influenciam o desfecho de forma semelhante. A
utilização de produtos diet e light é maior entre indivíduos pertencentes aos níveis
sociais mais elevados, com maior escolaridade e cor da pele branca. Essa relação pode
ser explicada talvez, pela maior conscientização sobre saúde destes indivíduos, tendo
em vista que alimentos diet e light assim como adoçantes dietéticos, são vistos por
algumas pessoas como produtos saudáveis (Viaene, 1997). Hupkens (1997) argumenta
que a educação é geralmente a medida mais consistente e confiável para prever o
comportamento de saúde, supondo que um elevado nível de educação reflete alto grau
de consciência sobre a saúde (Hupkens, 1997).
33
Embora exista uma democratização do consumo de produtos diet e light, o
maior volume de compra desses produtos ainda ocorre entre indivíduos de maiores
níveis sociais. De forma geral, o comportamento alimentar desses indivíduos em relação
a este tipo de produto pode ser explicado pela preocupação com a forma física ou
estética mais frequente em níveis sociais mais elevados (Lucchese, 2006).
Outra categoria distal do modelo é a influência da mídia, principalmente
relacionada à televisão e às revistas. Os meios de comunicação exercem influência
sobre as idéias de saúde e nutrição principalmente em indivíduos mais jovens, formando
crenças em relação a alimentação saudável que podem influenciar a escolha dos
alimentos (Ruprecht, 2005). Um estudo revelou que o consumo de produtos light foi
significativamente maior entre indivíduos que alteraram a sua dieta baseados em
informações obtidas em revistas e livros (Viaene, 1997). Novos adoçantes estão sendo
introduzidos no mercado e as divulgações são direcionadas para um estilo de vida
saudável associado ao consumo desses produtos. Dessa forma adoçantes dietéticos serão
cada vez mais utilizados como parte comum de uma dieta regular e não apenas para
perda de peso ou dietas especiais (Toledo, 1995).
Os fatores culturais representados neste modelo são os hábitos familiares, os
rigorosos padrões de estética e a tendência para o consumo de alimentos “saudáveis”.
Lappalainen (1998) em seu estudo sobre atitudes dos consumidores gregos em relação à
nutrição e saúde, concluiu que o fator "preferências da família" está entre as três
influências mais importantes sobre a escolha dos alimentos (Lappalainen, 1998). A
presença de um produto light em casa é considerada como importante incentivo para o
consumo destes produtos. O ambiente social dos indivíduos também é suscetível para
influenciar a sua decisão em experimentar um produto light pela primeira vez. A
34
presença do produto em casa e a curiosidade individual, bem como as opiniões de
membros da família ou de amigos e colegas relacionam-se diretamente com indivíduos
de menor idade e peso adequado (Viaene, 1997).
Os padrões de beleza e estética conformam um componente cultural, que
determinam a utilização de adoçantes dietéticos através da “necessidade” de perda ou
manutenção do peso. As mudanças nos padrões de estética transformaram a obesidade
em um estigma social e assim, foi ocorrendo a substituição do uso de açúcares para
adoçantes dietéticos (Ruprecht, 2005). A imposição de diferentes padrões determinados
culturalmente influencia a representação social dos alimentos e das práticas alimentares,
levando a compreender que a forma do corpo humano é inicialmente determinada por
sua genética, porém, tem fortes vínculos com certas regras socioculturais (Lucchese,
2006).
É importante salientar que muitas vezes a obesidade não é real, mas o medo de
tornar-se obeso é que orienta o comportamento do consumidor (Ruprecht, 2005). A
decisão de usar adoçantes dietéticos é feita por aqueles indivíduos que estão, de alguma
forma, preocupados com seu peso (Benton, 2005). Drewnowski (1999) relata em seu
estudo que as mais frequentes práticas de perda de peso foram o uso de refrigerantes
diet (52% entre as mulheres e 45% nos homens) seguido pelos adoçantes de mesa (43%
das mulheres e 33% dos homens) (Drewnowski, 1999).
Os seguidores dos novos padrões estéticos que utilizam adoçantes dietéticos
são fiéis a estes produtos, pois qualquer possibilidade de consumo de açúcar está
simplesmente em divergência ao seu comportamento alimentar habitual. Assim, para
explicar o comportamento desses indivíduos, supõe-se que o medo de tornar-se obeso
35
pode ser mais relevante do que a própria obesidade (Ruprecht, 2005). Além dos
adoçantes dietéticos, um maior consumo de produtos diet e light também pode ser
observado entre grupos de consumidores que seguem o padrão estético atual que
privilegia o corpo magro, bem como entre aqueles que seguem um regime alimentar
restrito por ordem médica (Lucchese, 2006).
No nível intermediário do modelo, a categoria “doenças” pode ser representada
pelo Diabetes Mellitus (DM), obesidade, hipertensão, e outras patologias. A utilização
de adoçantes dietéticos nestes casos, pode estar sendo coadjuvante no tratamento de
algumas doenças ou estar sendo usado de forma preventiva para outras complicações,
sendo que seu uso pode ou não, ter sido recomendado por algum profissional de saúde
(Benton, 2005; Castro, 2002; Rosado, 2001).
A estreita relação da alimentação com o DM sempre existiu e foi sendo
modificada ao longo do tempo, conforme foram surgindo novas descobertas sobre a
doença (American Dietetic Association, 2004). Indivíduos com DM que restringem o
consumo do açúcar branco (sacarose) fazem uso de adoçantes e produtos dietéticos.
Apesar destes produtos não serem necessários para o controle metabólico do DM, eles
têm um papel significativo no convívio social e no aspecto psicológico destes
indivíduos e proporcionam a palatabilidade e o prazer do sabor doce (Castro, 2002).
O diagnóstico do DM pode ser considerado como importante motivação para
iniciar o uso de adoçantes. Em seu estudo com indivíduos diabéticos, Castro (2002)
encontrou que antes do diagnóstico da doença, apenas 5,7% dos entrevistados faziam
uso destes produtos, sendo a maioria mulheres (Castro, 2002).
36
5. MODELO TEÓRICO
6. OBJETIVOS
6.1. Objetivo geral
Avaliar o uso de adoçantes dietéticos na população com idade igual ou superior
a 20 anos residentes na zona urbana do município de Pelotas, RS.
6.2. Objetivos específicos
Identificar a prevalência de utilização de adoçantes dietéticos na população;
Verificar os tipos de edulcorantes mais utilizados;
DETERMINANTES
SOCIOECONÔMICOS
DETERMINANTES
DEMOGRÁFICOS
DETERMINANTES
CULTURAIS
MÍDIA
RECOMENDAÇÃO
PROFISSIONAL
UTILIZAÇÃO DE ADOÇANTES
DIETÉTICOS
DOENÇAS
ESTÉTICA
CONTROLE DO PESO
37
Investigar sobre a recomendação profissional para a utilização de adoçante;
Descrever a utilização de adoçantes dietéticos segundo variáveis demográficas,
comportamentais e socioeconômicas.
Estimar a ingestão de adoçantes dietéticos;
7. HIPÓTESES
A prevalência de uso de adoçantes dietéticos em Pelotas é cerca de 35%.
Os adoçantes dietéticos mais utilizados pela população são aqueles que têm a
combinação de sacarina e ciclamato como edulcorantes não-calóricos.
A maioria das pessoas que utiliza adoçantes dietéticos, não recebeu
recomendação de um profissional da saúde para utilizá-los.
A prevalência de utilização de adoçantes dietéticos é maior entre indivíduos com
as seguintes características:
Sexo feminino
Cor da pele branca
Moram com companheiro
Idade acima de 40 anos
Com excesso de peso
Maior escolaridade
Maior nível socioeconômico
A ingestão diária de adoçantes dietéticos será maior em pessoas de menor nível
socioeconômico e naquelas que receberam recomendação profissional;
38
8. METODOLOGIA
8.1. Delineamento do estudo
Estudo observacional do tipo transversal de base populacional.
8.2. Justificativa da escolha do delineamento
Sendo o objetivo principal deste trabalho estimar a prevalência de utilização de
adoçantes dietéticos em uma amostra representativa da população de Pelotas/RS, o
delineamento escolhido para realização do estudo proposto é o transversal, de base
populacional. Este delineamento, também chamado de estudo de prevalência, é
considerado o mais indicado para avaliação desse tipo de medida de ocorrência, além de
possibilitar a descrição das características dos usuários de adoçantes dietéticos, que é
também objetivo do estudo.
Vantagens inerentes a este tipo de delineamento são o baixo custo, a rapidez da
sua realização e seu alto potencial descritivo, o que pode subsidiar o planejamento de
futuras medidas intervencionistas na população alvo.
8.3. Definição do desfecho
Será considerado „usuário de adoçante‟ aquele indivíduo que tenha adoçado
com qualquer tipo de adoçante dietético, algum líquido como café, chá, leite, iogurte ou
suco ingeridos na última semana, em pelo menos quatro dias. Este ponto de corte foi
definido com base em um estudo realizado na França (Bellisle, 2001) que avaliou o
consumo de alimentos light em um período recordatório de seis dias. Neste estudo
foram classificados como “consumidores regulares” aqueles indivíduos que
39
consumiram produtos light em pelo menos quatro dias da semana. Os resultados do
estudo pré-piloto, que será descrito a seguir no item 8.11., reforçam essa ideia, pois,
93% dos indivíduos entrevistados utilizaram adoçantes dietéticos em pelo menos, quatro
dias na semana anterior a entrevista.
8.4. Definição das variáveis de exposição
Quadro 3. Definição das variáveis de exposição
Variável
Mensuração
Definição
Tipo de
variável
Sexo
Observada
Masculino
Feminino
Categórica
Binária
Idade
Informada
Anos completos
Numérica
Discreta
Cor da pele
Informada
Branca
Parda
Preta
Outras
Categórica
Nominal
Situação
conjugal
Informada
Com companheiro
Sem companheiro
Categórica
Binária
Nível
socioeconômico
Classificação da
ABEP (Associação
Brasileira de
Empresas de
Pesquisas)
A
B
C
D
E
Categórica
Ordinal
Escolaridade
Informada
Anos completos de estudo
Numérica
discreta
40
Estado
Nutricional
(IMC)
Peso e
Altura coletados
Baixo Peso: IMC < 18,5
Eutrofia: IMC 18,5 24,9
Sobrepeso: IMC 25,0 29,9
Obesidade: IMC ≥ 30,0
Categórica
Ordinal
Edulcorante
Através do nome e da
embalagem do
produto
Nome do edulcorante na sua
forma isolada ou em
associações.
Categórica
Nominal
Recomendação
Informada
Médico
Nutricionista
Enfermeiro
Dentista
Prof. de Educação Física
Familiar
Categórica
Nominal
Ingestão Diária
Informada
Gotas
Esguicho
Sachet
Colher chá
Comprimido/Tablete
Numérica
Discreta
8.5. Critérios de elegibilidade
Inclusão
Indivíduos com 20 anos ou mais residentes na zona urbana do município
de Pelotas, RS.
Exclusão
Indivíduos institucionalizados (prisões, asilos, etc);
Indivíduos com incapacidades mentais que os impossibilitem de
responder o questionário.
41
8.6. População-alvo
A população-alvo deste estudo serão indivíduos com idade igual ou superior a
20 anos, moradores da zona urbana do município de Pelotas, RS.
8.7. Amostra
Será estimada uma prevalência de uso de adoçantes dietéticos em 50% que
esta informação em nível populacional não foi encontrada na literatura. Através dessa
estimativa será obtido um tamanho de amostra suficiente para a realização das análises
estatísticas necessárias. O efeito de delineamento também não foi encontrado e será
estimado em 2,0.
Prevalência estimada: 50%
Erro aceitável: 3 pontos percentuais
Nível de confiança: 95%
Número de pessoas: 1066
Acréscimo para perdas e recusas (+10%): 1173
Expectativa de efeito do delineamento: 2,0
Amostra necessária: 2346 indivíduos
De acordo com o Instituto Brasileiro de Geografia e Estatística (IBGE), temos
em Pelotas aproximadamente 2,14 pessoas com 20 anos ou mais de idade por domicílio.
Nesse sentido, o número aproximado de domicílios a serem visitados será 1096.
42
8.8. Amostragem
O Programa de Pós-Graduação em Epidemiologia do Centro de Pesquisas
Epidemiológicas da Universidade Federal de Pelotas tem suas pesquisas desenvolvidas
através da estratégia de Consórcio entre os mestrandos. Este consórcio consiste na
participação conjunta de todos os mestrandos durante todo o trabalho de campo, desde a
seleção das entrevistadoras, sorteio dos setores censitários, entrevistas e elaboração do
banco de dados, utilizando-se um questionário único que reúne as perguntas de interesse
de cada mestrando, além de um bloco geral com questões de interesse coletivo.
A principal vantagem deste método é reduzir o tempo de execução do trabalho
de campo, além de possibilitar um ótimo treinamento aos mestrandos, os quais
participam de todas as etapas do consórcio. Cada mestrando realizou cálculos de
tamanho de amostra que atendessem aos objetivos gerais e específicos de seus projetos,
incluindo estimativas de prevalências e associações. De forma a facilitar a logística do
trabalho de campo e também diminuir os custos deste processo, será utilizada uma
amostra por conglomerados.
8.9. Instrumento
O instrumento (Anexo A) que será utilizado é composto por nove perguntas e
foi construído pelos autores do presente estudo pois não foi encontrado um instrumento
que avalie este tema.
8.10. Recrutamento, seleção e treinamento de entrevistadoras
O recrutamento de candidatas a entrevistadoras será realizado a partir de
cartazes colocados em instituições de ensino médio e superior, de indicações de
43
pesquisadores do Centro de Pesquisas Epidemiológicas e, se necessário, será requerido
ao Serviço Nacional de Empregos, candidatas com os requisitos necessários.
As entrevistadoras serão do sexo feminino, com pelo menos dezoito anos,
ensino médio completo e disponibilidade de tempo integral para a realização do
trabalho. O processo de seleção contará com avaliação do trabalho de contagem de
domicílios, avaliação curricular, entrevistas e prova teórica.
As candidatas inicialmente selecionadas participarão de um treinamento
teórico-prático com duração de uma semana, que incluirá leitura e discussão dos
instrumentos a serem aplicados.
No último dia do treinamento, as entrevistadoras selecionadas passarão para a
última fase do processo de seleção que consiste na realização do estudo-piloto sob a
supervisão dos mestrandos.
8.11. Estudo piloto
Tendo em vista que não foi localizado na revisão de literatura nenhum estudo
que pudesse subsidiar a elaboração do questionário optou-se por realizar estudo pré-
piloto com o intuito de testar um instrumento elaborado preliminarmente, bem como
aperfeiçoar a estrutura das perguntas. Para isso, foram entrevistados 30 indivíduos,
todos usuários de adoçantes, em dois locais da cidade.
Primeiramente foram aplicados vinte questionários na fila de um posto de
saúde e os outros dez em funcionários do Centro de Pesquisa em Saúde Dr. Amilcar
Gigante. Após a entrevista no primeiro local, as perguntas que apresentaram problemas
em sua estrutura ou ordem no questionário, foram ajustadas e então outras dez
44
entrevistas foram realizadas. Do total de entrevistados, 21 eram mulheres e 9 eram
homens. A idade variou entre 16 e 89 anos, sendo que a média foi de 49 anos. O tipo de
adoçante dietético mais utilizado foi o da marca Zero Cal, sendo constituído de sacarina
e ciclamato. Apenas duas pessoas não souberam informar o tipo, por não estarem em
casa e não lembrarem da marca. Todos os entrevistados referiram ter utilizado adoçante
na forma líquida.
Um estudo piloto será realizado pelos mestrandos e consistirá na aplicação de
questionários nos domicílios de algum setor não sorteado para a realização da pesquisa.
Este estudo tem por finalidade fazer um último teste para adequação das perguntas, caso
haja alguma dificuldade de entendimento por parte do entrevistado, testando também se
a ordem das perguntas está adequada.
8.12. Trabalho de campo
8.12.1. Logística
Inicialmente será selecionado um grupo de pessoas chamado “batedores” que
irá fazer a identificação dos domicílios em cada setor censitário. Após o reconhecimento
dos domicílios elegíveis e o sorteio dos setores que entrarão na amostra, o grupo das
entrevistadoras iniciará o trabalho de campo. Cada mestrando será responsável pela
supervisão de duas entrevistadoras que deverão entrevistar, em média, três domicílios
por dia. Todos os dias dois mestrandos estarão de plantão no Centro de Pesquisas para
prestar esclarecimento ou ajuda às entrevistadoras, receber os questionários e iniciar a
revisão dos mesmos. Semanalmente, haverá reunião com as entrevistadoras para
esclarecimento de dúvidas sobre o andamento do trabalho de campo. A coordenação
geral do Consórcio de Mestrado será feita pela Professora Maria Cecília Assunção.
45
8.12.2. Controle de qualidade
O controle de qualidade será realizado pelos mestrandos, a partir de uma
revisita em 10% dos domicílios, sorteados aleatoriamente, com aplicação de um
questionário reduzido, contendo uma pergunta de cada mestrando, para a verificação de
possíveis erros ou respostas falsas.
Os questionários serão revisados atentamente para o controle de possíveis erros
no preenchimento.
8.13. Coleta, digitação e análise de consistência dos dados
As entrevistadoras visitarão as casas sorteadas no processo de amostragem e
entrevistarão todos os indivíduos residentes naquele domicílio que preencham os
requisitos da amostra. Caso um ou mais possíveis entrevistados não estejam em casa no
momento, as entrevistas serão agendadas e as casas novamente visitadas. No caso de
ausência no domicílio ou o morador se recuse a responder o questionário, a
entrevistadora fará mais duas tentativas de entrevista, em dias e horários diferentes.
Caso a situação persista, uma última tentativa será feita pelo mestrando supervisor do
setor.
8.14. Plano de análise
Será realizada uma descrição de todas as variáveis utilizadas no presente
estudo. Posteriormente serão efetuadas análises bivariadas, utilizando Qui-quadrado de
Pearson e de Tendência Linear.
46
8.15. Aspectos éticos
O estudo será submetido à Comissão Científica da Faculdade de Medicina da
Universidade Federal de Pelotas.
Aos entrevistados será solicitado o consentimento informado escrito e, de
forma alguma, haverá procedimentos que ponham em risco a integridade física dos
indivíduos.
8.16. Orçamento e financiamento
Este estudo está inserido em um consórcio de mestrado composto por 14
alunos, sendo financiado pelo programa de Pós-Graduação em Epidemiologia da
Universidade Federal de Pelotas e pelos alunos mestrandos.
8.17. Divulgação dos resultados
Os resultados do estudo serão divulgados através da apresentação da
dissertação necessária à obtenção do título de Mestre em Epidemiologia, pela
publicação total ou parcial dos achados em periódicos científicos e na imprensa local.
47
8.18. Cronograma de atividades
Etapas
2009
2010
M
A
M
J
J
A
S
O
N
D
J
F
M
A
M
J
J
A
S
O
Elaboração do
projeto
Revisão da
literatura
Preparação do
instrumento
Planejamento
logístico
Recrutamento e
seleção das
entrevistadoras
Treinamento
das
entrevistadoras
Estudo-piloto
Coleta dos
dados
Revisão dos
questionários
Controle de
qualidade
Digitação dos
dados
Limpeza dos
dados
Análise de
consistência
Análise dos
dados
Redação do
artigo
Entrega/defesa
da dissertação
48
9. REFERÊNCIAS BIBLIOGRÁFICAS
ABIAD. Mercado Diet e Light novo. 2004 [cited 2009 may 29]; Available from:
http://www.abiad.org.br/pdf/mercado_diet_light_novo.pdf
ABIAD. Mercado Light e Diet. [cited 2009 may 29]; Available from:
http://www.abiad.org.br/pdf/mercado_light_diet.pdf
American Diabetes Association A. Evidence-Based Nutrition Principles and
Recommendations for the Treatment and Prevention of Diabetes and Related
Complications. Diabetes Care. 2003;26 Supplement(1):S51-S61.
American Dietetic Association A. Position of the American Dietetic Association: Use of
Nutritive and Nonnutritive Sweeteners. Journal of the American Dietetic Association.
2004;104(2):255-75.
Andreatta MM, Munoz SE, Lantieri MJ, Eynard AR, Navarro A. Artificial sweetener
consumption and urinary tract tumors in Cordoba, Argentina. Preventive Medicine.
2008 Jul;47(1):136-9.
ANVISA. Resolução RDC 18, de 24 de março de 2008. "Regulamento Técnico que
autoriza o uso de aditivos edulcorantes em alimentos, com seus respectivos limites
máximos". In: Saúde Md, ed.: D.O.U. - Diário Oficial da União 2008.
ANVISA. Resolução RDC 271, de 22 de setembro de 2005. "Regulamento Técnico
para açúcares e produtos para adoçar". In: Saúde Md, ed.: D.O.U. - Diário Oficial da
União 2005.
Armstrong B, Doll R. Bladder cancer mortality in diabetics in relation to saccharin
consumption and smoking habits. British Journal of Preventive & Social Medicine.
1975 June 1, 1975;29(2):73-81.
Bellisle F, Altenburg de Assis MA, Fieux B, Preziosi P, Galan P, Guy-Grand B, et al.
Use of 'light' foods and drinks in French adults: biological, anthropometric and
nutritional correlates. Journal of Human Nutrition & Dietetics. 2001;14(3):191.
Benton D. Can artificial sweeteners help control body weight and prevent obesity?
Nutrition Research Reviews. 2005;18(01):63-76.
Capen CC, Dybing E, Rice JM, Wilbourn JD. Species differences in thyroid, kidney and
urinary bladder carcinogenesis: International Agency for Research on Cancer 1999.
Castro AGPd, Franco LJ. Caracterização do consumo de adoçantes alternativos e
produtos dietéticos por indivíduos diabéticos. Arquivos Brasileiros de Endocrinologia &
Metabologia. 2002;46:280-7.
49
Chatsudthipong V, Muanprasat C. Stevioside and related compounds: therapeutic
benefits beyond sweetness. Pharmacology & Therapeutics. 2009 Jan;121(1):41-54.
Drewnowski A. Intense sweeteners and energy density of foods: implications for weight
control. European Journal of Clinical Nutrition. 1999;53(10):757.
Fatibello-Filho O, Vieira IdC, Gouveia ST, Calafatti SA. Adoçantes Artificiais.
Química Nova. 1996;19(3):248-60.
Food and Drug Administration F. Food additives permitted for direct addition to food
for human consumption; Neotame. 2002.
Food and Drug Administration F. Food additives permitted for direct addition to food
for human consumption; Sucralose. 1999.
Gallus S, Scotti L, Negri E, Talamini R, Franceschi S, Montella M, et al. Artificial
sweeteners and cancer risk in a network of case-control studies. Annals of Oncology.
2007 Jan;18(1):40-4.
Hamilton J, Knox B, Hill D, Parr H. Reduced fat products. British Food Journal.
2000;102(7):494-506.
Heasman M. Nutrition and Technology: The Development of the Market for “Lite”
Products. British Food Journal. 1990;92(8):5-12.
Holt SHA, Cobiac L, Beaumont-Smith NE, Easton K, Best DJ. Dietary habits and the
perception and liking of sweetness among Australian and Malaysian students: A cross-
cultural study. Food Quality and Preference. 2000;11(4):299-312.
Horne J, Lawless HT, Speirs W, Sposato D. Bitter taste of saccharin and acesulfame-K.
Oxford Journals/Chemical Senses. 2002 January 1, 2002;27(1):31-8.
Hupkens CLH, Knibbe RA, Drop MJ. Social Class Differences in Women's Fat and
Fibre Consumption: A Cross-National Study. Appetite. 1997;28(2):131-49.
Joint FAO/WHO Expert Committee on Food Additives. Thaumatin: WHO Food
Additive Series 20.
Joint FAO/WHO Expert Committee on Food Additives J. Thaumatin: WHO Food
Additive Series 20.
Joint WHO/FAO Expert Consultation. Diet, Nutrition and the Prevention of Chronic
Diseases. WHO Technical Report Series 916. Geneva; 2003.
Kenji W, Yoshiyuki O, Kohji O, Kunio A. Prognostic Significance of Selected Lifestyle
Factors in Urinary Bladder Cancer. Japanese Journal of Cancer Research.
1993;84(12):1223-9.
50
Krystallis A, Arvanitoyannis IS, Kapirti A. Investigating Greek consumers' attitudes
towards low-fat food products: a segmentation study. International Journal of Food
Sciences and Nutrition. 2003;54(3):219 - 33.
Kuhn C, Bufe B, Winnig M, Hofmann T, Frank O, Behrens M, et al. Bitter Taste
Receptors for Saccharin and Acesulfame K. The Journal of Neuroscience. 2004
November 10, 2004;24(45):10260-5.
Lappalainen R, Kearney J, Gibney M. A pan EU survey of consumer attitudes to food,
nutrition and health: an overview. Food Quality and Preference. 1998;9(6):467-78.
Lucchese T, Batalha MO, Lambert JL. Marketing de alimentos e o comportamento de
consumo: proposição de uma tipologia do consumidor de produtos light e/ou diet.
Association: Organizações Rurais e Agroindustriais. 2006 Maio/Agosto 2006;8(2).
Mahar A, Duizer LM. The effect of frequency of consumption of artificial sweeteners
on sweetness liking by women. Journal of Food Science 2007 Nov;72(9):S714-8.
Manfred K, Kathleen M, Ruth K. Low-calorie Sweeteners and Other Sugar Substitutes:
A Review of the Safety Issues. Comprehensive Reviews in Food Science and Food
Safety. 2006;5(2):35-47.
Mattes RD, Popkin BM. Nonnutritive sweetener consumption in humans: effects on
appetite and food intake and their putative mechanisms. American Journal of Clinical
Nutrition. 2009 January 1, 2009;89(1):1-14.
MS/SVS. Portaria 25, de 04 de abril de 1988. Os produtos a base de edulcorantes,
com ou sem adição de açúcar passa a denominar-se "Adoçantes Dietéticos". In: Saúde
Md, ed.: D.O.U. - Diário Oficial da União 1988.
MS/SVS. Portaria 27, de 13 de janeiro de 1998. Aprova o Regulamento Técnico
referente à Informação Nutricional Complementar (declarações relacionadas ao
conteúdo de nutrientes), constantes do anexo desta Portaria. In: Saúde Md, ed.: D.O.U. -
Diário Oficial da União 1998.
MS/SVS. Portaria 29, de 13 de janeiro de 1998. Aprova o Regulamento Técnico
referente a Alimentos para Fins Especiais. In: Saúde Md, ed.: D.O.U. - Diário Oficial da
União 1998.
MS/SVS. Portaria 38, de 13 de janeiro de 1998. Aprova o Regulamento Técnico
referente a Adoçantes de Mesa, constante do anexo desta Portaria. In: Saúde Md, ed.:
D.O.U. - Diário Oficial da União 1998.
Murphy SP, Johnson RK. The scientific basis of recent US guidance on sugars intake.
American Journal of Clinical Nutrition. 2003 October 1, 2003;78(4):827S-33.
Popkin BM, Nielsen SJ. The Sweetening of the World/'s Diet. Obesity.
2003;11(11):1325-32.
51
Rivera JA, Muñoz-Hernández O, Rosas-Peralta M, Aguilar-Salinas CA, Popkin BM,
Willett WC. Consumo de bebidas para una vida saludable: recomendaciones para la
población mexicana. Salud Pública de México. 2008;50:173-95.
Roininen K, LÄHteenmÄKi L, Tuorila H. Quantification of Consumer Attitudes to
Health and Hedonic Characteristics of Foods. Appetite. 1999;33(1):71-88.
Roininen K, Tuorila H, Zandstra EH, de Graaf C, Vehkalahti K, Stubenitsky K, et al.
Differences in health and taste attitudes and reported behaviour among Finnish, Dutch
and British consumers: a cross-national validation of the Health and Taste Attitude
Scales (HTAS). Appetite. 2001;37(1):33-45.
Rosado EL, Monteiro JBR. Obesidade e a substituição de macronutrientes da dieta.
Revista de Nutrição. 2001;14:145-52.
Ruprecht W. The historical development of the consumption of sweeteners-a learning
approach. Journal of Evolutionary Economics. 2005;15(3):247-72.
SAGPyA SdA, Ganadería, Pesca y Alimentación. Análisis de la Cadena de
Edulcorantes. Dirección de Industria Alimentaria. 2000 [cited 2009 ago 21]; Available
from: http://www.alimentosargentinos.gov.ar/0-3/azucar/edulco/Edulcorantes.htm.
Soffritti M, Belpoggi F, Degli Esposti D, Lambertini L, Tibaldi E, Rigano A. First
experimental demonstration of the multipotential carcinogenic effects of aspartame
administered in the feed to Sprague-Dawley rats. Environmental Health Perspectives.
2006;114(3):379.
Toledo MC, Ioshi SH. Potential intake of intense sweeteners in Brazil. Food Additives
& Contaminants. 1995 Nov-Dec;12(6):799-808.
Viaene J, Gellynck X. Consumer behaviour towards light products in Belgium. British
Food Journal. 1997;99(3):105-13.
Wagner MW. Cyclamate Acceptance. Science, New Series. 1970 June 26,
1970;168(3939):1605-.
Weihrauch MR, Diehl V. Artificial sweeteners--do they bear a carcinogenic risk?
Annals of Oncology. 2004 October 1, 2004;15(10):1460-5.
Whitehouse CR, Boullata J, McCauley LA. The potential toxicity of artificial
sweeteners. American Association of Occupational Health Nurses. 2008 Jun;56(6):251-
9; quiz 60-1.
52
I
I
I
I
.
.
R
R
e
e
l
l
a
a
t
t
ó
ó
r
r
i
i
o
o
d
d
e
e
T
T
r
r
a
a
b
b
a
a
l
l
h
h
o
o
d
d
e
e
C
C
a
a
m
m
p
p
o
o
53
1. INTRODUÇÃO
O Programa de Pós-Graduação em Epidemiologia (PPGE) da Faculdade de
Medicina da Universidade Federal de Pelotas (UFPel), através do Mestrado Acadêmico,
realizou em 2010 um estudo transversal de base populacional com adultos residentes na
zona urbana do município de Pelotas/RS.
Este estudo foi realizado no período de 25 de janeiro a 25 de maio de 2010
através do sistema de consórcio de pesquisa, onde todos os mestrandos trabalham juntos
como supervisores da pesquisa. A finalidade principal da realização conjunta dos
trabalhos foi reduzir os custos e dinamizar o cumprimento das tarefas, favorecendo,
dessa forma, o controle de qualidade da coleta e o processamento dos dados.
A equipe de pesquisa foi composta pelos 14 alunos do Mestrado Acadêmico do
biênio 2009/10 sob a coordenação das professoras, Dra. Maria Cecília Assunção, Dra.
Mariângela Silveira e Dra. Ana Paula Nunes. O trabalho contou ainda com o auxílio da
monitora da disciplina de Prática de Pesquisa IV, Ms. Suele Manjourany Silva e da
secretária do consórcio Cecília Dieguez Ferreira. A Tabela 1 apresenta o nome dos
alunos, suas áreas de graduação e respectivos temas de pesquisa.
O presente relatório de trabalho de campo descreve todas as etapas do trabalho
desenvolvido.
54
Tabela 1. Descrição dos mestrandos, áreas de graduação e temas de pesquisa. PPGE-2009/10.
Mestrando
Graduação
Tema de pesquisa
Bruna Schneider
Nutrição
Consumo de carnes
Carolina Viana
Medicina
Uso de AAS
*
como prevenção de DC
**
Daniel Duarte
Medicina
Uso de medicamentos estimulantes da ereção
Eduardo Machado
Medicina
Uso de substâncias para emagrecer
Everton Fantinel
Medicina
Insônia
Giovanny Araújo
Nutrição
Compulsão alimentar
Inácio Crochemore
Educação Física
Suporte social para atividade física de lazer
Josiane Damé
Odontologia
Tendência temporal de tabagismo
Ludmila Muniz
Nutrição
Consumo de leite
Nádia Fiori
Medicina
Evolução da prevalência de asma
Renata Bielemann
Educação Física
Atividade física em crianças de 4 a 10 anos
Roberta Zanini
Nutrição
Uso de adoçantes dietéticos
Rodrigo Meucci
Fisioterapia
Dor lombar crônica
Rogério Linhares
Medicina
Comparação entre obesidade geral e abdominal
*
Ácido Acetil Salicílico
**
Doença Cardiovascular
2. INSTRUMENTOS DE PESQUISA
Neste biênio, o consórcio de pesquisa dispôs de um instrumento inovador para
a coleta de dados, o Personal Digital Assistants (PDA). Além deste, outros instrumentos
foram utilizados e serão descritos a seguir.
55
2.1. PDA (Personal Digital Assistants)
O PDA é um computador de bolso com capacidade para armazenamento e
processamento de dados. Com a utilização deste aparelho, houve a substituição dos
questionários impressos por uma versão digital. Para a elaboração e armazenamento do
questionário no PDA foi utilizado o programa Pendragon Forms
®
5.1., o qual
possibilitou também a sincronização das informações contidas no PDA com o
computador.
O processo de transição da versão impressa para a digital implicou em
alterações no layout de formatação comumente utilizado na versão impressa, bem como
no formato de apresentação de algumas perguntas. No entanto, seu uso tornou o
processo de gerenciamento dos dados mais dinâmico, uma vez que foi possível suprimir
a posterior digitação dos dados pois as informações foram coletadas diretamente no
banco de dados no momento da entrevista. Desta forma, após a sincronização do
aparelho com o computador, os dados estavam disponíveis através de uma planilha
Excel
®
para revisão e correção por parte dos mestrandos.
2.2. Questionários
As questões elaboradas para a pesquisa foram agrupadas em blocos e então,
aplicadas aos indivíduos de acordo com os critérios de elegibilidade estabelecidos. Para
aplicação das perguntas contidas nos blocos A, B e C utilizou-se o PDA, e para aquelas
contidas nos blocos D e E foi utilizado seu formato impresso. Entretanto, prevendo
possíveis problemas técnicos com o aparelho, uma versão impressa do questionário foi
preparada para os blocos A, B e C. Os questionários utilizados estão disponíveis em
http://www.epidemio-ufpel.org.br/_projetos_de_pesquisas/consorcio2009/index.php
56
Bloco A (Geral): composto por 148 questões gerais, distribuídas em 240 telas no PDA,
abordou perguntas como idade, sexo, cor da pele, situação conjugal e escolaridade, além
daquelas relativas a cada projeto de pesquisa. Este bloco foi aplicado a todos os
indivíduos com idade igual ou superior a 20 anos, elegíveis para participação no estudo.
A versão final das questões sobre uso de adoçantes estão em anexo (Anexo B).
Bloco B (Domiciliar): aplicado a apenas um indivíduo por domicílio, preferencialmente
à dona da casa. Este bloco era composto por 26 questões, distribuídas em 42 telas no
PDA, referente à condição socioeconômica e gastos com saúde.
Bloco C (Criança): composto por nove questões sobre atividade física, distribuídas em
31 telas no PDA. Este bloco era específico sobre o tema de pesquisa de um dos
mestrandos e foi aplicado às mães de crianças com idade entre quatro e 10 anos.
Bloco D (Confidencial): composto por nove questões sobre medicamentos estimulantes
da ereção. Este bloco destinou-se apenas a indivíduos adultos, alfabetizados, do sexo
masculino e, por ser auto-aplicado, foi utilizada em versão impressa.
Bloco E (Antropometria): questionário impresso composto por três medidas
antropométricas (peso em kg, altura em cm e circunferência da cintura em cm). As
medidas de altura e circunferência da cintura foram coletadas duas vezes e, quando
necessário era feita uma terceira medida. Este bloco foi aplicado por uma equipe de
antropometristas treinadas, posteriormente a aplicação do questionário, a todos os
indivíduos com 20 anos ou mais que atendessem aos critérios de inclusão.
Foi elaborado também um questionário (impresso) para o controle de
qualidade, o qual será descrito na seção 8.3 deste relatório.
57
2.3. Balança
Para a aferição do peso foram utilizadas balanças digitais da marca Tanita
®
,
com capacidade máxima de 150kg e precisão de 100g. Todos os indivíduos com idade
igual ou superior a 20 anos elegíveis para o estudo foram pesados. Os indivíduos que
atenderam a um ou mais dos seguintes critérios de exclusão não tiveram seu peso
aferido:
Indivíduos com gesso ou prótese em qualquer parte do corpo e amputados;
Indivíduos impossibilitados de ficar em pé (cadeirantes, acamados);
Gestantes.
2.4. Estadiômetro
Para aferição da altura foram utilizados estadiômetros de alumínio, com altura
máxima de 2m e precisão de 1mm. Foram medidos todos os indivíduos com idade igual
ou superior a 20 anos elegíveis para o estudo. Os indivíduos que atenderam a um ou
mais dos seguintes critérios de exclusão não tiveram sua altura aferida:
Indivíduos impossibilitados de ficar em pé (cadeirantes, acamados) ou com
dificuldade para ficar em uma posição totalmente ereta (com fraturas em
membros inferiores).
2.5. Fita métrica inextensível
Para aferição da circunferência da cintura foram utilizadas fitas métricas
inextensíveis, com precisão de 1mm. Todos os indivíduos com idade igual ou superior a
58
20 anos elegíveis para o estudo, tiveram a medida da cintura aferida, exceto àqueles que
atendessem a um ou mais dos seguintes critérios de exclusão:
Mulheres grávidas ou que tiveram filhos nos seis meses anteriores à entrevista;
Indivíduos impossibilitados de permanecer na posição ereta (em pé).
3. MANUAL DE INSTRUÇÕES
Paralelamente à construção do questionário, foi elaborado um manual de
instruções para auxiliar as entrevistadoras na execução do trabalho de campo. O manual
continha informações sobre a escala de plantões dos mestrandos, reuniões com
supervisor, questões gerais sobre entrevistas domiciliares, entre outras. Além disso,
havia instruções e simulações de respostas às possíveis dúvidas específicas de cada uma
das questões. O manual de instruções referente às questões sobre o uso de adoçantes
dietéticos encontra-se em anexo (Anexo C). A versão completa está disponível em
http://www.epidemio-ufpel.org.br/_projetos_de_pesquisas/consorcio2009/index.php
4. AMOSTRAGEM
O processo de seleção amostral foi realizado pelos mestrandos sob supervisão
do Professor Aluisio Barros durante a Oficina de Amostragem. A seguir estão descritos
os passos desse processo.
Inicialmente, cada mestrando participante do consórcio realizou cálculos de
tamanho de amostra que atendessem aos objetivos gerais e específicos de seus projetos.
De forma a facilitar a logística do trabalho de campo e, também diminuir os custos deste
processo, optou-se por utilizar uma amostra por conglomerados. Para a definição
59
desses, foi utilizada a grade de setores censitários fornecida pelo Instituto Brasileiro de
Geografia e Estatística (IBGE) em 2000.
A partir dos cálculos de cada mestrando, verificou-se que 1300 domicílios
atenderiam aos objetivos de todos os mestrandos, acrescentados 10% para perdas e
recusas e 15% para controle de fatores de confusão. Na tentativa de reduzir os efeitos de
delineamento, optou-se por amostrar 10 domicílios em cada um dos setores
selecionados, totalizando 130 setores.
4.1. Seleção e reconhecimento dos setores
Dos 408 setores censitários fornecidos pelo IBGE, quatro deles foram
inicialmente excluídos por se tratarem de setores comerciais. Em seguida, os 404 setores
censitários foram listados em ordem crescente de renda média do chefe da família,
sendo calculado o número cumulativo de domicílios do primeiro ao último setor.
Para se obter o valor do pulo, dividiu-se o mero total de domicílios (92407)
pelo número de setores desejados (130), resultando em 711. Foi realizado um sorteio
aleatório (entre 1 e 711) com auxílio do programa Stata 10.0 e o número 61 foi o
sorteado. Desta maneira, o primeiro setor a entrar na amostra foi determinado, ou seja,
aquele que incluía o 61º domicílio. Ao número 61 foi adicionado 711, de forma que o
segundo setor selecionado foi aquele que incluía o 772º domicílio. Este processo foi
repetido até que o número final obtido superasse o total de domicílios desejados.
Neste ponto, 130 setores haviam sido selecionados. Esta amostragem
sistemática de setores ordenados pela renda média do chefe do domicílio equivale a um
processo de estratificação. Após o sorteio, os setores foram distribuídos entre os 14
60
mestrandos de forma aleatória, sendo que dez alunos ficaram responsáveis por nove
setores e os demais, por dez setores, cada um.
O processo de reconhecimento dos setores censitários foi realizado em dois
momentos. Primeiramente os mestrandos visitaram cada setor sob sua responsabilidade
a fim de identificar sua exata localização e limites. Em seguida, 43 auxiliares de
pesquisa (denominadas batedoras) foram contratadas e treinadas para dar seguimento ao
processo de reconhecimento dos setores. Cabe destacar que durante o treinamento
realizado em 13/11/2009, as candidatas receberam um manual impresso contendo
orientações sobre o deslocamento dentro dos setores, de forma a padronizar o registro
dos domicílios na planilha de conglomerados. Além disso, a equipe portava crachá e
carta de apresentação do PPGE.
As batedoras percorriam os setores censitários registrando em uma planilha de
conglomerados (Anexo D) a situação dos domicílios de acordo com seu status de
ocupação: R = residencial, C = comercial e D = desocupado, sendo os dois últimos
excluídos da amostra posteriormente.
Para o controle de qualidade desta parte do estudo, cada mestrando retornou
aos setores de sua responsabilidade e refez a contagem dos domicílios em uma amostra
do setor selecionada por conveniência.
4.2. Seleção e reconhecimento dos domicílios
A seleção de domicílios dentro de cada setor selecionado seguiu uma gica
semelhante à seleção de setores. O número de domicílios registrado pelo Censo
Demográfico em 2000 foi dividido por 10 (número de domicílios/setor desejados) de
61
forma a se obter o pulo. Um número entre 1 e o pulo de cada setor foi determinado de
forma aleatória, sendo este número correspondente ao primeiro domicílio. Os
domicílios seguintes foram determinados pela adição do valor do pulo, repetindo esse
processo até o final.
Cada setor amostrado teve seus domicílios enumerados para esta seleção,
sendo que a estratégia descrita acima foi realizada com base na planilha de
conglomerados obtida no processo de reconhecimento dos setores. Prevendo um
aumento no número de domicílios em relação ao Censo de 2000, um número maior de
domicílios, por setor, foi selecionado. O oposto ocorreu nos setores onde houve redução
no número de domicílios. Ao final, 1512 domicílios foram selecionados para compor a
amostra final.
Antes da visita das entrevistadoras, os mestrandos visitaram cada um dos
domicílios selecionados para apresentar o estudo aos moradores, e convidá-los a
participar da pesquisa. Neste momento, os moradores eram informados sobre a posterior
visita da entrevistadora e da antropometrista. Além disso, algumas informações (nome
dos moradores, idade, sexo, telefone para contato e melhor horário para visita) foram
coletadas e registradas em uma planilha própria (Anexo E).
5. ENTREVISTADORAS
5.1. Seleção
O processo seletivo para a contratação das entrevistadoras foi divulgado por
meio de cartazes distribuídos nas Faculdades de Educação Física (ESEF), Letras,
Medicina e Nutrição da UFPel, no Restaurante Escola do campus e do centro da mesma
62
instituição, nos Campus I e II da Universidade Católica de Pelotas (UCPel) e no Serviço
Nacional de Aprendizagem Comercial (SENAC). Além disso, foram chamadas para
participar do treinamento algumas entrevistadoras que trabalharam em outros estudos
no PPGE e possuíam boas referências.
Os pré-requisitos necessários para a inscrição foram:
Sexo feminino;
Ensino médio completo;
Disponibilidade de tempo integral.
As candidatas interessadas em participar do estudo, entregaram na secretaria do
programa, currículo resumido juntamente com a ficha de inscrição devidamente
preenchida. No total foram entregues 109 fichas, e os seguintes critérios foram
avaliados:
Experiência em trabalho de campo;
Disponibilidade de 40 horas para participar do treinamento.
Ao final desse processo foram selecionadas 43 candidatas que, primeiramente
realizaram o processo de reconhecimento dos setores censitários (bateção). Após essa
etapa, os mestrandos fizeram uma avaliação do trabalho das batedoras, indicando quem
deveria ou não ser chamada para participar do treinamento das entrevistadoras. Aquelas
que não participaram da bateção tiveram suas fichas reavaliadas, e então foram
chamadas para o treinamento.
63
Participaram do treinamento para entrevistadora 51 candidatas, sendo que 28
delas foram selecionadas para iniciar a coleta de dados. As demais ficaram com
suplentes e foram chamadas ao longo do estudo.
5.2. Treinamento
Foi realizado no período de 11 a 15 de janeiro de 2010, no Centro de Pesquisas
Epidemiológicas. O treinamento foi coordenado pelos mestrandos com objetivo
principal de explicar a pesquisa e a logística do trabalho a ser desenvolvido.
Inicialmente foi realizada a apresentação geral do estudo, e ressaltada a
seriedade e a importância de outros trabalhos já desenvolvidos pelo Centro de Pesquisas
Epidemiológicas. Na sequência, as candidatas tiveram o primeiro contato com o PDA e
aprenderam algumas noções básicas sobre a utilização do aparelho.
Cada mestrando ficou responsável por apresentar seu instrumento e respectivo
manual de instruções. Ao final de cada turno as candidatas treinavam a aplicação das
questões diretamente no PDA. No penúltimo dia de treinamento foi realizada uma prova
teórica sobre a correta aplicação das questões e situações de campo, e na sexta-feira a
tarde ocorreu a prova prática (estudo piloto).
Considerando o desempenho das candidatas durante o treinamento e nas duas
avaliações (teórica e prática), 28 entrevistadoras foram selecionadas para realizar a
coleta dos dados.
64
6. ESTUDO PILOTO
O estudo piloto fez parte do treinamento das entrevistadoras, e tinha como
objetivo avaliar o desempenho das candidatas no manuseio dos PDAs, e detectar
possíveis erros referentes ao questionário e/ou manual de instruções. Foi realizado no
último dia de treinamento, 15 de janeiro de 2010.
Para esta avaliação, foram escolhidos dois setores censitários, por
conveniência, que não faziam parte da amostra. Cada mestrando ficou responsável por
acompanhar duas ou três candidatas durante a prova prática, não podendo interferir na
entrevista.
7. ANTROPOMETRIA
Neste ano, o grupo de mestrandos do consórcio de pesquisa do mestrado, optou
por coletar medidas antropométricas de todos os indivíduos entrevistados. De acordo
com os projetos de pesquisa, as variáveis antropométricas de interesse eram: peso, altura
e circunferência da cintura.
De forma a melhorar a logística desta parte do trabalho, uma equipe de
antropometristas foi contratada. Assim, a coleta das medidas foi realizada por um grupo
a parte, em outro momento, após a realização das entrevistas.
7.1. Seleção
O processo seletivo para a contratação de antropometristas teve início
paralelamente à seleção das entrevistadoras, porém o processo de divulgação para este
trabalho ocorreu de forma mais direcionada. Realizou-se contato telefônico com
65
algumas candidatas que haviam trabalhado com antropometria em estudos anteriores
e também, através de mensagens de e-mail para alunas das Faculdades de Nutrição e
Educação Física da UFPel.
Os pré-requisitos necessários para a inscrição foram:
Sexo feminino;
Ensino médio completo;
Experiência em coleta de medidas antropométricas;
Disponibilidade de tempo integral.
As candidatas interessadas em participar do treinamento deveriam preencher
uma ficha de inscrição disponível na secretaria do programa. Após a avaliação das
fichas, doze candidatas foram selecionadas para participar do treinamento.
7.2. Treinamento e padronização
O processo de treinamento e padronização das antropometristas foi coordenado
por um pequeno grupo de mestrandos, e tinha por objetivo ensinar e uniformizar as
técnicas corretas de aferição das medidas.
Durante o treinamento teórico, as candidatas receberam instruções sobre a
correta tomada de medidas antropométricas, bem como sobre a logística do trabalho de
campo. Em seguida, as candidatas foram submetidas a um treinamento prático, a fim de
demonstrar a maneira correta de aferir o peso, a altura e a circunferência da cintura.
A partir do segundo dia de treinamento, foi iniciado o processo de
padronização das candidatas. Para esta avaliação foram consideradas as medidas de
66
altura e circunferência da cintura, uma vez que para a medida do peso foram utilizadas
balanças digitais calibradas. Detalhes sobre o correto posicionamento dos indivíduos na
balança e outros procedimentos necessários, foram orientados e avaliados durante o
treinamento.
A padronização das antropometristas foi estruturada com base nos seguintes
critérios:
Técnica para coleta de peso, altura e circunferência da cintura seguiu as
recomendações de Lohman (Lohman, 1988).
Erros técnicos de medidas aceitáveis basearam-se na publicação de Habitch.
(Habitch, 1974).
Ao final do treinamento, seis candidatas foram consideradas aptas para iniciar
o trabalho de campo, as demais ficaram como suplentes. Entretanto, devido a
desistências freqüentes, houve a necessidade de contratar novas antropometristas, de
forma a agilizar a coleta das medidas. Com isso, foram realizados novamente,
treinamentos e padronizações com as candidatas suplentes e também, com as
entrevistadoras que mais produziam.
A equipe final ficou composta por 15 antropometristas, das quais 11 também
realizavam entrevistas.
8. COMUNICAÇÃO À IMPRENSA
Como nos outros anos, foi adotada a estratégia de alertar a população para a
importância da pesquisa e da participação de cada um neste estudo. O objetivo da
divulgação foi amenizar o número de indivíduos não-respondentes, bem como divulgar
67
a participação das entrevistadoras nos diversos bairros da cidade. Para tanto, foram
utilizados vários veículos de comunicação local, tais como TV, rádio, jornal e internet.
9. LOGÍSTICA DO TRABALHO DE CAMPO
O trabalho de campo teve início em 25 de janeiro de 2010 e término em 25 de
maio do mesmo ano. Foi coordenado pelos 14 alunos do mestrado acadêmico, sendo
que para isso, a turma foi dividida em “comissões”, onde cada uma delas tinha seus
deveres e responsabilidades. De maneira geral, algumas tarefas desenvolvidas pelas
comissões foram as seguintes:
Elaboração do Projeto Geral a ser enviado para o Comitê de Ética em Pesquisa;
Construção dos blocos de questões (A, B, E e controle de qualidade);
Desenvolvimento da versão digital dos questionários (banco de dados);
Elaboração do manual de instruções para as entrevistadoras;
Processo de amostragem;
Impressão dos mapas dos setores censitários selecionados;
Seleção e treinamento das entrevistadoras e antropometristas;
Planejamento e administração financeira para a pesquisa;
Dupla digitação dos questionários de controle de qualidade;
Divulgação do estudo;
Além disso, foi construída uma escala de plantões para os mestrandos durante
os três meses de duração do trabalho de campo. Os plantões eram realizados sempre em
dupla, sendo que durante a semana os mestrandos ficavam no Centro de Pesquisas
Epidemiológicas (8:00-12:00/14:00-18:00), e nos finais de semana era realizado plantão
telefônico.
68
Durante o plantão os alunos tinham uma rotina de trabalho, que consistia em:
solucionar as dúvidas das entrevistadoras, verificar o diário de campo de cada uma,
fazer a sincronização do PDA, recolher os questionários confidenciais, fazer backup do
banco de dados, etc. Para auxiliar os mestrandos com as tarefas, foi contratada uma
secretária especificamente para o trabalho de campo, sendo responsável por:
Entrega do material e vales-transporte necessários para a realização das
entrevistas;
Recebimento dos questionários impressos (confidenciais);
Controle do número de entrevistas e medidas antropométricas realizadas;
Pagamento das entrevistadoras e antropometristas;
Fechamento de lotes com questionários de medidas antropométricas para
digitação;
9.1. Coleta dos dados
A coleta dos dados foi realizada no período descrito acima. Ao chegar no
domicílio, a entrevistadora fazia sua apresentação estando devidamente uniformizada
(camiseta do estudo), portando crachá de identificação, carta de apresentação e uma
reportagem sobre o estudo divulgada em um jornal da cidade. Além disso, levavam
consigo todo o material necessário para a realização da entrevista. No final, a
entrevistadora comunicava aos moradores sobre a posterior visita da antropometrista.
Durante a semana as entrevistadoras compareciam ao PPGE para fazer a
sincronização dos PDAs, liberando os questionários concluídos. Cada mestrando ficou
responsável por supervisionar o trabalho de duas entrevistadoras, controlando a
produtividade das mesmas e encaminhando as respectivas pendências para cada uma
69
durante as reuniões semanais. Foram realizadas ainda, reuniões semanais entre os
mestrandos e as professoras coordenadoras do consórcio de pesquisa com o objetivo de
discutir sobre os assuntos relacionados ao andamento do trabalho de campo, como por
exemplo, o número de entrevistas, perdas e recusas.
Paralelamente as entrevistas, ocorreu a coleta de medidas antropométricas. Esta
etapa do trabalho de campo contou com a ajuda dos mestrandos, organizando mutirões
aos finais de semana a fim de agilizar a coleta das medidas.
9.2. Gerenciamento dos dados.
Com a utilização do PDA para coleta dos dados, a identificação dos indivíduos
em cada bloco foi feita pela combinação de três grupos de números (setor: três dígitos,
domicílio: dois dígitos e pessoa: dois dígitos), preenchidos pela entrevistadora
diretamente no PDA, no momento da entrevista. Assim, posteriormente, foi gerado um
código de sete dígitos para cada indivíduo, o qual permitiu agregar as informações entre
os blocos.
Exemplo:
Número do setor: 1 2 5
Número do domicílio: 0 3
Número do indivíduo: 0 1
Número do questionário: 1 2 5 0 3 0 1
A utilização do PDA para coleta dos dados exigiu a criação de uma rotina de
recuperação das informações das entrevistas para um computador que armazenava o
70
Banco de
dados
PDA
Stata®
Verificação das
informações
Sincronização
Conversão e
limpeza
Aplicar
alterações
Gerar planilha
banco de dados. Abaixo está apresentado o fluxograma da logística de gerenciamento
dos dados.
Figura 1. Fluxograma da logística de gerenciamento dos dados. Consórcio 2009-10. Pelotas-RS.
As informações eram sincronizadas sistematicamente duas vezes por semana
com o programa Pendragon Forms 5.1 em um computador específico. Periodicamente,
era realizada a verificação de erros de digitação, caselas vazias, respostas inconsistentes
e problemas na identificação dos indivíduos (duplicatas). Este controle foi realizado
através de uma planilha Excel
®
gerada pelo programa que gerenciava os dados. Em
seguida, após a resolução dos problemas, eram realizadas as devidas alterações
diretamente no banco de dados.
É importante destacar que o banco de dados esteve sempre sob a
responsabilidade de um mestrando apenas, a fim de evitar eventuais problemas com os
dados. Após o fim do trabalho de campo, as variáveis escolaridade, ABEP, renda em
quintis e em salários nimos, foram criadas duplamente (por 2 mestrandos), com o
71
intuito de garantir a correta construção das mesmas. Como passo final, as variáveis do
banco foram transformadas (string numéricas) e então o banco final foi distribuído à
todos os mestrandos.
9.3. Controle de qualidade
A qualidade dos dados foi assegurada por um conjunto de medidas adotadas
previamente ao trabalho de campo e também, através da aplicação do questionário de
controle de qualidade. Esse questionário era composto por perguntas relacionadas ao
tema de pesquisa de cada mestrando (uma pergunta de cada tema) além da parte
correspondente a identificação dos indivíduos. O objetivo era avaliar a repetibilidade
e/ou concordância da respostas em dois momentos do estudo por dois observadores
diferentes. O questionário de controle de qualidade foi aplicado pelos mestrandos
responsáveis em cada setor, em 10% da amostra estudada.
A amostra final do controle de qualidade foi de 299 indivíduos e sua
distribuição por sexo e faixa etária pode ser observada na Tabela 2.
Tabela 2. Controle de qualidade consórcio de pesquisa 2009-10. Pelotas-RS. (n = 299)
Características
N
%
Sexo
Masculino
100
33,4
Feminino
199
66,6
Faixa etária (anos)
20-29
56
18,8
30-39
58
19,4
40-49
65
21,7
50-59
55
18,4
≥ 60
65
21,7
72
10. PERDAS E RECUSAS
Foram considerados como perdas ou recusas aqueles indivíduos que não se
encontravam em casa no momento da entrevista ou que se recusaram a participar do
estudo, após três tentativas de contato realizadas pelas entrevistadoras e/ou supervisor
de trabalho de campo. Na tentativa de caracterizar essa população, informações sobre
sexo, idade e cor da pele foram registradas, bem como o motivo da perda ou recusa. A
Tabela 3 apresenta as características desses indivíduos.
Tabela 3. Descrição das perdas e recusas. Consórcio de pesquisa 2009-10 / Pelotas-RS.
Características
Perdas
Recusas
N (118)
%
N (209)
%
Sexo
Masculino
64
54,2
116
55,5
Feminino
54
45,8
93
45,5
Cor da pele*
Branca
68
86,1
155
92,3
Não branca
11
13,9
13
7,7
Faixa etária**
20-29
37
33,6
42
22,6
30-39
25
22,7
30
16,1
40-49
14
12,7
37
19,9
50-59
13
11,8
35
18,8
≥ 60
21
19,2
42
22,6
* 80 valores desconhecidos (24,5%)
** 31 valores desconhecidos (9,5%)
11. RECEITAS E DESPESAS
O consórcio de pesquisa 2010 foi financiado por duas fontes: recursos
provenientes do PPGE, através da Coordenação de Aperfeiçoamento de Pessoal de
Nível Superior (CAPES), fornecendo R$ 70.000,00; e recursos dos mestrandos, R$
73
11.200,00. Este último, obtido através de três contribuições: R$2 50,00, R$300,00 e R$
250,00 respectivamente, para cada um dos 14 mestrandos, totalizando R$ 800,00 por
aluno. O valor total disponível para este consórcio foi R$ 81.200,00.
11.1. RECURSO DO PPGE
O recurso do PPGE foi utilizado principalmente para custeio de passagens de
ônibus, pagamento de recursos humanos, cópias em geral e malharia/serigrafia. A
Tabela 4 descreve os gastos com os recursos provenientes do Programa.
Tabela 4. Despesas do consórcio 2009-10 com o recurso do PPGE. Pelotas-RS.
Item
Valor
individual
Valor Total
Vales-transporte
R$ 2,00/R$ 2,20
*
R$ 21.100,00
Material de escritório
-
R$ 112,00
Pagamento das Batedoras
R$ 40,00
R$ 5.320,00
Pagamento da Secretária
R$ 800,00
R$ 4.800,00
Pagamento de Entrevistadoras/Antropometristas
R$ 9,00
**
R$ 35.090,00
R$ 18,00
***
R$ 6,00
#
R$ 4,00
##
R$ 8,00
###
Camisetas/Serigrafia
R$ 7,50
R$ 648,00
R$ 1,50
Cópias (questionários/mapas/cartas/manuais)
-
R$ 3.730,00
Estorno referente à sobra de vales transporte
R$ 880,00
Total
R$ 69.920,76
*
A tarifa de ônibus urbano foi reajustada para R$ 2,20 em janeiro de 2010;
**
Valor inicial pago por entrevista realizada;
***
Valor final pago por entrevista realizada;
#
Valor inicial pago para antropometristas por domicílio;
##
Valor pago por pessoa medida na antropometria em mutirões;
###
Valor final por pessoa medida;
Valor pago para serigrafia
74
Após todos os gastos serem computados, verificou-se que o orçamento de
R$70.000,00 foi extrapolado em R$800,76. Entretanto, restaram 400 vales transporte ao
final do trabalho de campo, reduzindo os custos em R$880,00. Dessa forma, o valor
total utilizado (R$ 69.920,76), ficou dentro do disponível pelo programa.
O aumento dos custos em relação aos consórcios anteriores pode ser justificado
em parte pelo fato de que, neste consórcio, toda a amostra foi submetida a medidas
antropométricas, cuja estratégia inicial foi a utilização de uma equipe paralela às
entrevistadoras. Como resultado, houve a utilização de mais vales transporte, além de
um aumento dos recursos humanos utilizados para operacionalização deste trabalho.
Os valores pagos por entrevista e por indivíduo medido foram reajustados na
etapa final do campo como forma de estimular as entrevistadoras/antropometristas a
buscarem os indivíduos mais difíceis de serem encontrados. Os valores pagos por
entrevista foram reajustados de R$9,00 para R$18,00, e nas medidas antropométricas
houve um reajuste de R$4,00 para R$ 8,00 por indivíduo nos trabalhos realizados fora
dos mutirões.
Outro fator contribuinte aos custos deste consórcio foi o prolongamento do
trabalho de campo além do período estipulado de três meses, o que tornou a busca pelos
entrevistados particularmente difícil e desgastante, além de aumentar a demanda de
vales transporte e cartões telefônicos.
Os valores individuais que não foram informados na tabela 1 para material de
escritório e cópias permaneceram desta forma em razão da diversidade de valores e
materiais adquiridos. Entretanto, todos os gastos foram devidamente documentados
através de notas fiscais.
75
11.2. RECURSO DOS MESTRANDOS
Em relação ao valor arrecadado pelos mestrandos, a Tabela 5 apresenta os
gastos efetuados no decorrer do trabalho de campo.
Tabela 5. Despesas do consórcio 2009-10 com o recurso dos mestrandos Pelotas-RS.
Item
Valor individual
Valor Total
Cartão Telefônico
R$ 4,86
R$ 910,21
Cópias
-
R$ 16,00
Coffee Break (treinamento das entrevistadoras)
-
R$ 303,47
Material de escritório
-
R$ 133,57
Seguro Entrevistadoras/Antropometristas
-
R$ 977,13
Pagamento Final Entrevistas/Antropometria
R$ 18,00
*
R$ 3.666,00
R$ 4,00
**
R$ 8,00
***
Pagamento Final Secretária
-
R$ 1.200,00
Lavanderia
-
R$ 30,00
Total
-
R$ 7.236,38
*
Valor final reajustado pago por entrevista;
**
Valor final pago por medida antropométrica em mutirão;
***
Valor final pago por medida antropométrica fora do mutirão.
O valor arrecadado pelos mestrandos foi utilizado para a compra e pagamento
de itens que não puderam ser adquiridos com o recurso do PPGE devido a normas da
CAPES, ou nos casos em que, a compra ou serviço necessário, foram de caráter
emergencial. Além disso, o pagamento final das entrevistadoras/antropometristas e da
secretária foi realizado com este recurso, uma vez que os custos haviam ultrapassado o
limite disponibilizado pelo PPGE. Desta forma, do total arrecadado pelos mestrandos
(R$11.200,00), restaram R$3.963,62 (R$ 283,12 por mestrando), os quais foram
devidamente devolvidos.
76
Outra particularidade deste consórcio foi a aquisição de apólices de seguro para
as entrevistadoras/antropometristas. Foram adquiridas 4 apólices, sendo a duração da
primeira de 90 dias e as subseqüentes de 30 dias cada. Tal serviço foi contratado junto à
Rabassa Corretora de Seguros, situada na cidade de Pelotas. Estas apólices previam a
cobertura de despesas médico-hospitalares e o pagamento de indenizações em caso de
incapacidade ou óbito em decorrência do trabalho. Os valores das apólices variaram em
razão do número de profissionais seguradas, o qual foi diminuindo no decorrer do
tempo.
12. REFERÊNCIAS BIBLIOGRÁFICAS
Habicht JP. Estandarizacion de Métodos Epidemiológicos Cuantitativos sobre el
terreno. Bol Oficina Sanit Panam 1974; Mayo: 375-84.
Lohman, T.G.; Roche, A.F.; Martorell, R. Anthropometric standardization reference
manual. Champaign, Human Kinetics, 1988.
77
I
I
I
I
I
I
.
.
A
A
r
r
t
t
i
i
g
g
o
o
Este artigo será submetido à Revista Cadernos de Saúde Pública
78
UTILIZAÇÃO DE ADOÇANTES DIETÉTICOS ENTRE ADULTOS EM
PELOTAS, RS: UM ESTUDO DE BASE POPULACIONAL
USAGE OF DIETETIC SWEETENERS AMONG ADULTS IN PELOTAS, RS:
A POPULATIONAL-BASED STUDY
Roberta de Vargas Zanini
1
Cora Luiza Pavin Araújo
1
Jeovany Martinez Mesa
1
1. Programa de Pós-Graduação em Epidemiologia
Universidade Federal de Pelotas
Rua Marechal Deodoro, 1160 (3º andar)
CEP: 96020-220
Caixa Postal 464
Tel/fax: 0XX (53) 3284-1300
Pelotas-RS
79
Resumo
Estudo de base populacional avaliou o uso de adoçantes dietéticos na população com
idade igual ou superior a 20 anos, residentes na zona urbana do município de Pelotas,
RS. A coleta de dados ocorreu entre janeiro-julho/2010 e 2.732 indivíduos foram
entrevistados. Além das questões específicas sobre uso de adoçante dietético,
características demográficas, socioeconômicas e de saúde foram coletadas. Para as
análises estatísticas foram utilizados testes qui-quadrado de heterogeneidade e de
tendência linear. A prevalência de uso de adoçante dietético foi 19,0%, sendo 3,7 vezes
maior em idosos em relação àqueles com 20-29 anos de idade. Nível econômico e
estado nutricional apresentaram associação direta significativa com o desfecho. Quase
98% da amostra utilizaram adoçantes na forma líquida, sendo que os mais consumidos
(89,2%) eram compostos por sacarina e ciclamato de sódio. A mediana de ingestão
diária foi de 10 gotas (P25;P75=6;18) entre usuários de adoçante líquido ou de 1,5
sachets (P25;P75=1;4) para adoçante em pó.
Descritores: estudo transversal; adoçantes dietéticos; edulcorantes; produtos diet e light
80
Abstract
A populational-based study evaluated the use of dietetic sweetener by the population > 20 years
old, living in the urban area in the city of Pelotas, RS. The data collection was held between
January-July/2010 and 2,732 individuals were interviewed. Besides the specific questions
concerning the use of dietetic sweetener; demographic, socioeconomic and health
characteristics were recorded. For the statistical analysis, a heterogeneity and linear trend chi-
square tests were used; The prevalence of sweetener use was of 19,0%, being 3,7 times higher
in elderly individuals when compared to the ones in the 20-29 range. Economical and
nutritional status presented a significant direct association with the outcome. Almost 98% of the
sample used liquid sweetener, in which the most commonly used (89,2%) were the ones
composed by saccharin and sodium cyclamate. The average intake was of 10 drops
(P25;P75=6;18) among liquid sweetener users or 1,5 sachet (P25;P75=1;4) for powder
sweetener.
Key words: cross-sectional study; dietetic sweeteners; sweeteners; diet and light
products
81
Introdução
Até a década de 80, no Brasil, os produtos dietéticos eram regulamentados
como drogas, sendo comercializados em farmácias e consumidos apenas por portadores
de Diabetes Mellitus ou de outras doenças que tivessem a necessidade de controlar a
ingestão de sacarose
1
. Entretanto, a partir de 1988 os “produtos à base de
edulcorantes” tiveram seu uso estendido para a população em geral
2
.
De acordo com a atual legislação brasileira, adoçantes dietéticos são produtos
formulados para utilização em dietas com restrição de sacarose, frutose e glicose, para
atender às necessidades de pessoas sujeitas à restrição desses carboidratos”
3
. De
forma geral, os adoçantes fazem parte de um grupo alimentar específico, denominado
pelo Ministério da Saúde como “Alimentos para fins especiais”, os quais são destinados
a atender às necessidades de pessoas em condições metabólicas e fisiológicas
específicas
4
. No entanto, os adoçantes dietéticos são produtos que estão atualmente
disponíveis para os consumidores que desejam desfrutar do sabor doce sem aumentar
seu consumo energético, pois além de serem úteis para o controle glicêmico em
pacientes diabéticos, podem ser uma ferramenta auxiliar no tratamento dietoterápico de
outras morbidades como a obesidade
5, 6
.
Os adoçantes dietéticos são constituídos de edulcorantes não-calóricos
(naturais ou artificiais) que conferem o sabor doce sem a adição de calorias. Nas últimas
décadas, o consumo deste tipo de edulcorante tem aumentado em vários países
7
, sendo
que produtos dietéticos (especialmente refrigerantes diet e adoçantes dietéticos), têm
sido as principais fontes de ingestão de edulcorantes não-calóricos
1
. O aumento global
das doenças crônicas não-transmissíveis, especialmente obesidade e Diabetes Mellitus,
pode ser uma das justificativas para o consumo cada vez maior desse tipo de produto
8
.
No Brasil, a regulamentação do uso de edulcorantes é de responsabilidade do
Ministério da Saúde através da Agência Nacional de Vigilância Sanitária (ANVISA)
com base em normas internacionais sobre o uso de aditivos em alimentos. Os tipos de
edulcorantes não-calóricos atualmente permitidos para comercialização no Brasil são:
sacarina sódica, ciclamato de sódio, aspartame, acessulfame de potássio, sucralose,
esteviosídeo, neotame e taumatina
9
.
Alguns estudos envolvendo o consumo de adoçantes têm sido realizados em
populações específicas, geralmente abordando o efeito do consumo de edulcorantes à
82
longo prazo e sua relação com a saúde, tais como o desenvolvimento de câncer
10
,
aumento no apetite
11
e ganho de peso
12
, principalmente. Estudos nos quais a população-
alvo são os indivíduos em geral são escassos, e tem seu foco na estimativa de ingestão
diária de edulcorantes, através do consumo de alimentos e bebidas diet
1, 13
.
No Brasil, não foram encontrados estudos que forneçam estimativas confiáveis
sobre a prevalência de utilização de adoçantes dietéticos pela população em geral. No
entanto, algumas especulações sugerem que esteja ocorrendo um forte crescimento
desses produtos no mercado brasileiro
14
. Na Argentina, aproximadamente 14% da
população utiliza regularmente adoçantes artificiais em bebidas e alimentos
15
. Na
Europa, a utilização de adoçantes dietéticos parece estar aumentando, embora não tenha
sido possível localizar estudos que informem a magnitude das prevalências. Esta
tendência de aumento, talvez possa ser explicada pelo crescente interesse em saúde e
envelhecimento desta população
8
.
Devido a escassez de informações sobre o consumo de adoçantes dietéticos na
população brasileira, faz-se necessário identificar a frequência de uso, assim como o
perfil da população consumidora, independente de haver recomendação profissional ou
não. O presente estudo tem o objetivo de avaliar o uso de adoçantes dietéticos na
população com idade igual ou superior a 20 anos, residentes na zona urbana do
município de Pelotas, RS. Este trabalho pretende ser uma contribuição para a pesquisa
em saúde e para a literatura brasileira através de informações sobre a prevalência de
utilização de adoçantes dietéticos na população em geral, e perfil do usuário.
Métodos
No período de janeiro à julho de 2010 foi realizado em Pelotas-RS um estudo
observacional transversal de base populacional sobre a saúde de seus moradores. Pelotas
está localizada na região sul do Brasil, e possui cerca de 340.000 habitantes. O presente
estudo é parte de um consórcio de pesquisa realizado entre os alunos do mestrado
acadêmico do Programa de Pós-Graduação em Epidemiologia da Universidade Federal
de Pelotas (PPGE/UFPel), no qual todos os mestrandos desenvolvem seus estudos de
maneira conjunta. Este estudo incluiu indivíduos de ambos os sexos, com idades iguais
ou superiores à 20 anos, moradores da zona urbana do município de Pelotas, RS.
83
Indivíduos institucionalizados ou impossibilitados de responder ao questionário foram
excluídos do estudo.
Amostragem
Com objetivo de otimizar a logística do trabalho de campo, e também, reduzir
os custos deste processo, optou-se por utilizar uma amostra por conglomerados
definidos a partir dos setores censitários do Censo Demográfico do ano 2000,
fornecidos pelo Instituto Brasileiro de Geografia e Estatística (IBGE).
O processo amostral foi realizado de modo a atender aos objetivos dos estudos
de cada aluno do PPGE. Assim, verificou-se que o número necessário de domicílios a
serem visitados seria 1300. Na tentativa de reduzir os efeitos de delineamento, optou-se
por amostrar, em média, 10 domicílios em cada um dos setores selecionados,
totalizando 130 setores.
A amostragem foi realizada em dois estágios. Inicialmente, os 404 setores
censitários fornecidos pelo IBGE foram listados em ordem crescente de renda média do
chefe da família, e a partir desta lista foram sorteados 130 setores, com probabilidade
proporcional ao tamanho, através de uma amostragem sistemática. Em seguida, os
domicílios pertencentes aos setores sorteados foram identificados e classificados de
acordo com seu status de ocupação (residencial, comercial ou desocupado), sendo
considerados elegíveis para fazer parte da amostra apenas os residenciais. Após esse
processo, uma nova amostragem sistemática foi realizada para sortear os domicílios em
cada conglomerado.
O cálculo de tamanho de amostra para o presente estudo foi realizado com base
nos seguintes parâmetros: prevalência de uso de adoçantes dietéticos estimada em 50%
(uma vez que esta informação, em nível populacional, não foi encontrada na literatura);
erro aceitável de três pontos percentuais; nível de confiança de 95%; efeito de
delineamento de 2,0 e acréscimo de 10% para compensar possíveis perdas e recusas.
Dessa forma, a amostra final necessária foi de 2346 indivíduos. Considerando
que a estimativa de indivíduos na faixa etária de interesse (≥ 20 anos) é de 2,14 por
domicílio, seria necessário visitar 1096 residências. No entanto, o total de domicílios
visitados foi de 1512 devido ao fato deste trabalho estar inserido em um consórcio de
pesquisa.
84
Definição do desfecho e variáveis independentes
No presente estudo, considerou-se “usuário regular de adoçante dietético”
aquele indivíduo que utilizou qualquer tipo de adoçante dietético em algum quido
como café, chá, leite, iogurte ou suco, ingerido na semana anterior à entrevista, em pelo
menos quatro dias. Este ponto de corte foi definido com base nos resultados de um
estudo pré-piloto, o qual incluiu 30 indivíduos usuários de adoçantes. Do total de
entrevistados, 93% informaram ter utilizado o produto em pelo menos quatro dias da
semana anterior à entrevista.
Foram avaliadas as seguintes características: sexo, idade (anos completos), cor
da pele (observada pela entrevistadora), escolaridade (anos completos de estudo),
situação conjugal (solteiro/casado/separado/viúvo), nível econômico (definido a partir
do critério que leva em conta o poder de compra dos indivíduos ABEP/2010
dividido em cinco grupos, onde o nível A é o de maior poder aquisitivo)
16
, presença de
Diabetes Mellitus (sim/não), presença de Hipertensão Arterial Sistêmica (sim/não)
(ambas auto-referidas), e medidas antropométricas (peso e altura). A avaliação
nutricional foi feita de acordo com o critério da Organização Mundial de Saúde (OMS)
que classifica o estado nutricional dos indivíduos de acordo com o Índice de Massa
Corporal IMC (kg/m
2
), sendo considerado: baixo peso (IMC < 18,5); eutrofia (IMC
18,5 e ≤ 24,9); sobrepeso (IMC ≥ 25,0 e ≤ 29,9) e obesidade (IMC ≥ 30,0)
17
.
Instrumento de pesquisa
O instrumento utilizado para avaliar o tema em estudo foi elaborado e pré-
testado pelos próprios autores da pesquisa e abordou questões relacionadas ao uso de
adoçantes dietéticos. Todas as opções de resposta eram fechadas (alternativas), exceto
para a coleta das quantidades ingeridas. Para descrição do desfecho foram realizadas
seis perguntas, as quais estão apresentadas a seguir:
1. Desde <dia da semana> da semana passada até hoje, o(a) Sr(a) usou adoçante
artificial em algum líquido que bebeu?
2. Desde <dia da semana> da semana passada até hoje, em quantos dias o(a) Sr(a)
usou adoçante artificial nos líquidos que bebeu?
85
3. Qual a marca de adoçante que o(a) Sr(a) costuma usar na maioria das vezes nos
líquidos?
4. Em qual forma o(a) Sr(a) usa esse adoçante?
5. Que cor é a embalagem? (Para usuários de adoçante líquido)
6. Como é a embalagem? (Para usuários de adoçante em pó)
A partir das duas primeiras perguntas pode-se dividir os indivíduos em
usuários regulares (consumo 4 dias na semana anterior à entrevista) e não usuários
(consumo < 4 dias) de adoçantes. Em seguida, com base nas informações sobre a
marca, forma de utilização e tipo de embalagem pode-se avaliar os componentes
(edulcorantes) dos adoçantes utilizados pelos usuários, e assim classificá-los de acordo
com o tipo (dietético ou não) consumido. Dessa forma, foram considerados positivos
para o desfecho, aqueles indivíduos que consumiram “adoçantes dietéticos” em “pelo
menos quatro dias da última semana”.
A estimativa de ingestão diária de adoçantes dietéticos foi obtida, da mesma
forma, através da aplicação de seis perguntas:
1. Pense no último dia, que não seja hoje, que o(a) Sr(a) usou <nome do adoçante>
nos líquidos. Durante todo esse dia, quantas vezes o(a) Sr(a) usou o <nome do
adoçante>?
2. Quantos(as) <forma de utilização> o(a) Sr(a) usou na 1ª vez?
3. Quantos(as) <forma de utilização> o(a) Sr(a) usou na 2ª vez?
4. Quantos(as) <forma de utilização> o(a) Sr(a) usou na 3ª vez?
5. Quantos(as) <forma de utilização> o(a) Sr(a) usou na 4ª vez?
6. Quantos(as) <forma de utilização> o(a) Sr(a) usou na 5ª vez?
As respostas obtidas para as cinco quantidades foram somadas e então
calculadas as medianas de ingestão diária de gotas ou envelopes de adoçante, e seus
respectivos intervalos interquartis, bem como as medianas referentes à ingestão em
apenas uma porção.
86
Coleta e análise dos dados
Todos os dados foram coletados diretamente em um computador de bolso
(Personal Digital Assistants - PDA) com capacidade para armazenamento e
processamento de dados. No decorrer da pesquisa, foram realizadas checagens de
amplitude e consistência, a fim de verificar possíveis erros de digitação. Para aferição
das medidas antropométricas, foram utilizadas balanças digitais da marca Tanita
®
com
capacidade máxima de 150Kg e precisão de 100g e estadiômetros de alumínio, com
altura máxima de 2m e precisão de 1mm.
Todos os dados foram coletados por entrevistadoras previamente treinadas.
Além disso, para a coleta das medidas, as antropometristas foram treinadas e
submetidas à processo de padronização. A técnica utilizada para coleta de peso e altura
seguiu as recomendações de Lohman
18
, e os erros técnicos aceitáveis das medidas foram
baseados na publicação de Habitch
19
.
O banco de dados foi criado no programa Pendragon Forms
®
5.1 para
utilização direta no PDA sendo dispensada a posterior digitação. As análises estatísticas
foram realizadas com o auxílio do programa Stata versão 11.0. O desenho amostral foi
considerado, de forma a corrigir as estimativas da variabilidade para correlação intra-
conglomerado. Foram realizados os testes qui-quadrado de heterogeneidade e de
tendência linear para avaliar as diferenças entre os grupos.
O controle de qualidade do estudo foi realizado através de re-visita domiciliar
em 10% dos indivíduos entrevistados, sorteados aleatoriamente. Para tanto, foi utilizado
um questionário reduzido para verificação de possíveis erros ou respostas falsas e,
posteriormente, avaliação da concordância e/ou repetibilidade das questões.
Este estudo foi aprovado pelo Comitê de Ética em Pesquisa da Faculdade de
Medicina da Universidade Federal de Pelotas. Consentimento informado por escrito foi
obtido dos participantes previamente à entrevista.
Resultados
Dentre os 1512 domicílios elegíveis para o estudo, foram identificados 3059
indivíduos com idade igual ou superior a 20 anos, que atendiam aos critérios de inclusão
para participação na pesquisa. No entanto, a amostra final foi composta por 1399
87
domicílios, totalizando 2732 participantes. Um total de 10,7% da amostra (327
indivíduos) constituíram-se como não-respondentes (118 perdas e 209 recusas), sendo a
maior parte do sexo masculino (55,0%), cor da pele branca (68,2%) e com idades entre
20 e 39 anos (24,2%).
O controle de qualidade foi realizado com 299 indivíduos (10,9% da amostra),
para os quais se repetiu a pergunta sobre “utilização de adoçantes na última semana”. O
resultado do teste Kappa para avaliar a concordância e/ou repetibilidade da questão foi
de 0,77, considerado bom. O coeficiente de correlação intraclasse foi 0,03 produzindo
um efeito de delineamento amostral para uso de adoçantes dietéticos de 1,61.
A média de idade dos indivíduos da amostra foi de 46,1 anos (DP ± 17,0),
variando entre 20 e 96 anos. A Tabela 1 apresenta a descrição dos indivíduos avaliados
bem como a prevalência de utilização de adoçantes dietéticos de acordo com
características demográficas, socioeconômicas e de saúde. Observa-se que quase 58%
dos entrevistados eram do sexo feminino, 81,2% tinham cor da pele branca e cerca de
59% declararam-se casados ou morando com companheiro. Mais de 46% da amostra
referiu ter estudado pelo menos nove anos completos. Quanto ao nível econômico, dois
terços da amostra pertenciam ao nível C ou inferior. No que se refere à condição de
saúde, cerca de 10% dos indivíduos referiram ser diabéticos e 36,7% informaram ser
hipertensos. Em relação ao estado nutricional, 62,4% dos indivíduos apresentaram
excesso de peso (IMC 25,0kg/m
2
). Quando questionados sobre o uso geral de
adoçantes na semana anterior a entrevista, 23,1% (IC95% 21,0 ; 25,2) dos indivíduos
informaram ter utilizado. Dentre estes, a utilização de adoçante na semana anterior a
entrevista variou entre 2,2% e 5,9% para o período entre 1-6 dias na semana, enquanto
que 72,7% informaram consumir adoçantes diariamente. Assim, considerando-se a
definição operacional do desfecho adotado no presente estudo, a prevalência de
utilização de adoçante dietético diminuiu para 19,0% (IC95% 17,1 ; 20,9).
Observando-se ainda a Tabela 1, identifica-se que a prevalência de utilização
de adoçante dietético foi mais frequente entre as mulheres (22,7%) e indivíduos de cor
da pele branca (19,7%). Verifica-se também uma tendência de crescimento da
prevalência de uso de adoçante dietético conforme o aumento da idade, sendo cerca de
3,7 vezes maior nos idosos em relação àqueles com idades entre 20 e 29 anos. Em
relação à situação conjugal, observou-se uma associação estatisticamente significativa,
com maior prevalência de uso entre indivíduos viúvos quando comparados àqueles
88
solteiros ou sem companheiro. No que se refere à escolaridade, verificou-se um
consumo aproximadamente 30% mais elevado entre indivíduos com 12 anos ou mais de
estudo comparativamente àqueles na categoria de mais baixa escolaridade. As variáveis,
nível econômico e estado nutricional, apresentaram associação direta e significativa
com a utilização de adoçantes dietéticos. Além disso, indivíduos diabéticos e
hipertensos apresentaram prevalências de utilização de adoçante dietético
aproximadamente, 3,5 e 2,0 vezes maior, respectivamente, quando comparados àqueles
sem a doença.
A Tabela 2 descreve as características relacionadas ao adoçante dietético
utilizado, e mostra que quase 98% dos usuários relataram seu uso na forma líquida,
sendo que os mais consumidos (89,2%) foram aqueles compostos pelos edulcorantes
artificiais - sacarina sódica e ciclamato de sódio. Apenas 3,3% dos usuários referiram
utilizar adoçante dietético à base de edulcorante natural (esteviosídeo). Quando
questionados sobre quem recomendou a utilização de adoçante dietético, 54,3% dos
usuários referiram não ter recebido recomendação de ninguém. Entre aqueles que
receberam recomendação, o médico foi o mais citado (76,4%).
A Tabela 3 apresenta a distribuição das características sociodemográficas e de
saúde entre os usuários regulares de adoçantes dietéticos. Pode-se observar que este
grupo foi composto predominantemente por indivíduos do sexo feminino, cor da pele
branca e com idade igual ou superior a 60 anos. Além disso, quase 60% dos usuários
regulares de adoçantes dietéticos declararam-se casados ou que moravam com
companheiro. Ainda nesse contexto, a Figura 1 apresenta a distribuição das morbidades
avaliadas entre os usuários regulares de adoçantes dietéticos. Nota-se que as morbidades
presentes em maior frequência foram o excesso de peso e Hipertensão Arterial
Sistêmica de forma conjunta (28,7%), seguidas pelo excesso de peso isoladamente
(26,1%), e pela tríade Diabetes Mellitus, Hipertensão Arterial Sistêmica e excesso de
peso (18,2%). Cabe destacar que aproximadamente 14% dos usuários regulares de
adoçantes dietéticos não apresentavam nenhuma das morbidades avaliadas no momento
da entrevista.
Em relação à quantidade de adoçante dietético utilizada, observou-se que a
mediana de ingestão diária foi de 10 gotas (P25;P75=6;18), e para os usuários de
adoçante em pó, a mediana foi de 1,5 sachets (P25;P75=1;4). Em relação à quantidade
consumida em apenas uma porção, a mediana de utilização foi de seis gotas
89
(P25;P75=4;10) e para usuários de adoçante em pó a mediana manteve-se em 1,5
sachets (P25;P75=1;2). Alguns (10%) usuários de adoçante dietético líquido referiram
sua utilização na forma de “esguicho” ao invés de informar o número de gotas. Para
estes, não foi possível quantificar a ingestão de adoçante, sendo portanto,
desconsiderados nos cálculos de estimativa de ingestão.
Discussão
Estudos de base populacional envolvendo o uso de adoçantes dietéticos são
escassos na literatura científica. A maioria das pesquisas relacionadas a adoçantes,
busca estimar a ingestão diária de edulcorantes através do consumo de produtos
diet/light
1, 13
, ou avaliar a associação entre seu consumo a longo prazo e problemas de
saúde, tais como desenvolvimento de câncer
10
, aumento do apetite
11
e ganho de peso
12
.
Além disso, tais pesquisas costumam ser realizadas em grupos específicos de
populações
13, 20
. Este parece ser o primeiro estudo de base populacional realizado no
país com o objetivo de investigar a prevalência de utilização de adoçantes dietéticos
entre adultos.
O acelerado aumento das Doenças Crônicas Não Transmissíveis (DCNT),
dentre elas, a obesidade, ocorrido nas últimas décadas, pode estar relacionada a estilos
de vida não-saudáveis, incluindo práticas alimentares inadequadas (através do consumo
excessivo de açúcares e gorduras) e sedentarismo
21
. Indivíduos que necessitam perder
ou controlar seu peso, apresentam indicação para uso de adoçantes dietéticos em
substituição ao açúcar, como uma ferramenta auxiliar em um programa de reeducação
alimentar
8
.
A magnitude da prevalência (19%: IC95% 17,1 ; 20,9) de uso de adoçante
dietético verificada no presente estudo é semelhante àquelas encontradas na literatura
em populações de outros países. Dados da Secretaría de Agricultura, Ganadería, Pesca
y Alimentación (SAGPyA) da Argentina, mostram que 14% da população usa
regularmente adoçantes artificiais para adoçar seus alimentos e bebidas
15
. Nos Estados
Unidos, a pesquisa National Health and Nutrition Examination Survey (NHANES)
referente ao consumo de alimentos e bebidas que contêm edulcorantes não-calóricos,
revelou que 15% da população referiu ter consumido algum alimento ou bebida
contendo edulcorantes não-calóricos no período entre 2003 e 2004
6
. Na França, estudo
90
realizado com adultos de 45 a 60 anos de idade, participantes de um estudo de coorte
realizado no país, encontrou uma prevalência de uso de adoçante artificial de 17% nessa
população. Neste estudo a avaliação do uso de adoçante dietético foi realizada com base
na aplicação de seis inquéritos do tipo Recordatório de 24 horas ao longo de um ano
(um inquérito a cada dois meses), sendo considerados “usuários regulares”, os
indivíduos que referiram a utilização desses produtos em pelo menos quatro dos seis
inquéritos realizados
22
. É importante destacar que essas comparações devem ser
realizadas com cautela, tendo em vista suas diferenças metodológicas em relação aos
instrumentos utilizados, população em estudo e período recordatório de cada pesquisa.
A prevalência de utilização de adoçantes dietéticos mostrou-se associada a
variáveis demográficas, socioeconômicas e de saúde. Nesse sentido, no presente estudo,
o uso de adoçantes dietéticos foi significativamente maior entre as mulheres quando
comparadas aos homens. Estudo realizado na França, mencionado anteriormente, sobre
consumo de produtos diet/light, entre indivíduos adultos integrantes de um estudo de
coorte, mostrou que aproximadamente 20% das mulheres utilizaram adoçante dietético
em pelo menos quatro, dos seis inquéritos aplicados durante o ano
22
. Atualmente existe
um forte estímulo ao desenvolvimento e manutenção de estilos de vida saudáveis no
qual o controle de peso está inserido. Além disso, as mulheres sentem-se cada vez mais
pressionadas a fazer dieta, e acabam por submeterem-se a restrições alimentares rígidas
de modo a atingir um padrão estético socialmente imposto. O consumo de produtos
dietéticos está associado a tais práticas para redução de peso
23
.
Em relação à idade, o uso de adoçante dietético foi quase quatro vezes maior
entre os idosos quando comparados aos mais jovens. Estudo realizado em Ribeirão
Preto com indivíduos diabéticos encontrou que a frequência de uso de adoçantes
dietéticos também foi maior entre idosos ( 65 anos) em relação aos indivíduos com
idades entre 30 e 64 anos
24
. A idade é uma característica que pode exercer influência
sobre o uso de adoçantes dietéticos de maneira diferente conforme o grupo etário.
Indivíduos mais jovens, geralmente utilizam adoçantes dietéticos para manutenção do
peso ou simplesmente para acompanhar o hábito de familiares
1, 11
. À medida que a idade
aumenta, a motivação para utilização de adoçantes dietéticos muda, sendo então a perda
de peso, bem como a presença de doenças, as principais razões
25
.
O nível econômico e a escolaridade são características relacionadas entre si e
ambas podem influenciar o uso de adoçantes dietéticos de forma semelhante. Observou-
91
se no presente estudo, que indivíduos pertencentes aos níveis econômicos mais altos ou
com maior escolaridade apresentaram maiores prevalências de uso de adoçante
dietético. Essa relação pode ser explicada talvez, pela maior conscientização sobre a
importância da manutenção de boa saúde destes indivíduos, tendo em vista que
alimentos diet e light assim como adoçantes dietéticos, são vistos por algumas pessoas
como produtos saudáveis
25
. De forma geral, o comportamento alimentar desses
indivíduos em relação ao consumo deste tipo de produto pode ser explicado pela
preocupação com a forma física ou estética, mais frequente em níveis sociais mais
elevados
23
.
No presente estudo, avaliamos também a relação entre o uso de adoçantes
dietéticos e a presença de algumas morbidades específicas. Os resultados mostraram que
a prevalência de utilização de adoçante dietético foi maior entre diabéticos, hipertensos
ou indivíduos com excesso de peso. Estudo realizado por Bellisle (2001) mostrou que o
consumo de produtos reduzidos em açúcar foi maior entre indivíduos que apresentavam
maior Índice de Massa Corporal
22
. Castro (2002) verificou que entre diabéticos a
prevalência de uso de adoçante dietético foi cerca de 90%, sendo que antes do
diagnóstico da doença apenas 6% desses indivíduos faziam uso de tais produtos
20
. Por
ser um estudo transversal, estes resultados poderiam estar sujeitos ao viés de
causalidade reversa. Dessa forma, nenhuma associação foi interpretada como se tivesse
uma relação causal. A utilização de adoçante dietético nestes casos, pode estar sendo
coadjuvante no tratamento dessas doenças ou estar sendo usado de forma preventiva
para outras complicações, sendo que seu uso pode ou não, ter sido recomendado por
algum profissional de saúde
5, 11, 20
. É interessante destacar que, no presente estudo, 14%
dos usuários regulares de adoçante dietético parecem não utilizar tais produtos para fins
terapêuticos, pois não apresentam nenhuma das morbidades investigadas. Novos
estudos, especialmente com delineamento qualitativo, poderiam esclarecer a motivação
desses indivíduos que optam pelo uso de adoçantes dietéticos.
No que se refere às características relacionadas ao tipo de adoçante utilizado,
cerca de 98% dos usuários relataram usá-lo na forma líquida e os motivos para
utilização de adoçante dietético com tal apresentação podem estar relacionados com a
praticidade e facilidade de uso que a forma quida proporciona
20
. Com relação à sua
composição, aproximadamente 90% dos usuários referiram o uso de adoçantes à base de
sacarina sódica e ciclamato de sódio, possivelmente por serem os edulcorantes mais
92
antigos, apresentarem menor custo e serem os mais divulgados pela mídia
20
. Nesse
contexto, cabe destacar que o edulcorante ciclamato de sódio foi banido dos Estados
Unidos em 1970, e tem sua utilização proibida até hoje
26
. Apesar das divergências
encontradas sobre a segurança sanitária dos edulcorantes da “primeira geração”
(sacarina, ciclamato e aspartame), a maioria dos estudos que investigou a segurança
desses produtos para o consumo humano não encontrou evidência que sustente a
hipótese de que estes edulcorantes apresentem risco à saúde
27, 28
. No entanto, os
adoçantes mais novos, compostos pelos edulcorantes da “segunda geração”
(acessulfame de potássio, esteviosídeo, sucralose, neotame e taumatina) não apresentam
nenhuma evidência contrária ao seu consumo
29
. Além disso, a sucralose teve sua
segurança sanitária avaliada em estudo recente, sendo que seu uso entre indivíduos
diabéticos, crianças e gestantes foi considerado seguro
30
.
Grande parte dos usuários de adoçante dietético (54,3%) referiu utilizar tais
produtos sem ter havido qualquer recomendação por um profissional de saúde. A
Agência Nacional de Vigilância Sanitária (ANVISA), baseada em recomendação da
Organização Mundial da Saúde (OMS), desaconselha o uso de adoçantes a base de
sacarina e ciclamato para pacientes hipertensos devido à sua elevada concentração de
sódio
31
. Para pacientes diabéticos e/ou hipertensos, a literatura
32
sugere que os
adoçantes à base de stévia seriam os mais recomendados, tendo em vista suas
propriedades terapêuticas naturais como anti-hipertensivo e anti-hiperglicemiante. Outra
recomendação importante é que indivíduos fenilcetonúricos não devem utilizar
adoçantes à base de aspartame devido à presença do aminoácido fenilalanina
4, 5
. Além
disso, o aspartame fornece 4kcal/g (tanto quanto a sacarose) e por isso deveria ser
utilizado em pequenas quantidades
26
.
A utilização de adoçante na forma de “esguichos” ao invés de gotas, foi
referida por cerca de 10% dos usuários de adoçante dietético líquido. No estudo
realizado por Castro (2002), incluindo apenas pacientes diabéticos, 16,1% dos usuários
de adoçante dietético líquido referiram utilizá-lo na forma de “esguicho”, sugerindo que
esses indivíduos parecem não estar preocupados com a quantidade ingerida ou não
foram adequadamente orientados sobre a correta utilização
21
. Este estudo foi o único
encontrado na literatura que menciona o uso de adoçantes na forma de “esguicho”, no
entanto sua comparação deve ser cautelosa por se tratar de população diferente.
93
Avaliar a ingestão diária de edulcorantes é uma tarefa difícil, pois diferentes
edulcorantes podem ser encontrados nos mais diversos tipos de alimentos, bebidas e até
mesmo na composição química de medicamentos
8
. Sabe-se que o consumo de produtos
dietéticos, principalmente refrigerantes diet e adoçantes dietéticos, são as principais
fontes de ingestão de edulcorantes
1
. Assim, a comparação da ingestão diária de
edulcorantes em relação à Ingestão Diária Aceitável (IDA), preconizada pelo Ministério
da Saúde, é uma limitação do presente estudo, tendo em vista que o instrumento
utilizado na pesquisa não contemplou o consumo de outros alimentos que contêm
edulcorantes. Além disso, as informações sobre a ingestão de adoçantes foram coletadas
apenas para um dia, o que reduz a precisão dessa estimativa, pois pode haver oscilação
nas quantidades de acordo com os dias da semana, tipo e quantidade do líquido
ingerido. E ainda, a maioria dos adoçantes dietéticos possui pelo menos dois
edulcorantes em sua composição, não sendo possível avaliar a ingestão de cada
edulcorante separadamente.
Concluindo, o presente estudo mostrou que a utilização de adoçante dietético
foi maior, principalmente, entre as mulheres, indivíduos idosos e de maior nível
econômico, assim como para aqueles de maior escolaridade e com excesso de peso.
Baseado nos resultados apresentados recomenda-se que os usuários busquem orientação
profissional para que os adoçantes sejam utilizados de maneira adequada e segura para a
saúde dos indivíduos. Quanto aos profissionais de saúde, é importante que tenham
conhecimento suficiente para orientar de forma adequada quanto ao correto modo de
uso e ao melhor tipo de adoçante para a necessidade específica de cada paciente.
94
Tabela 1. Descrição da amostra e prevalência de utilização de adoçantes dietéticos entre os indivíduos avaliados, de acordo
com características demográficas, socioeconômicas e de saúde. Pelotas-RS, 2010. (n=2732
*
)
Características
Descrição da amostra
Uso de adoçantes dietéticos
Valor-p
N
%
Prevalência
IC95%**
Sexo
< 0,001
Masculino
1151
42,1
13,9
11,9 - 15,9
Feminino
1581
57,9
22,7
20,2 - 25,3
Cor da pele
0,05
Branca
513
18,8
19,7
17,6 - 21,9
Não-Branca
2218
81,2
16,0
12,5 - 19,5
Idade (anos completos)
< 0,001
20 29
595
21,8
8,7
6,3 - 11,1
30 39
462
16,9
14,1
10,8 - 17,5
40 49
545
20,0
16,7
13,5 - 19,9
50 59
495
18,1
21,8
17,9 - 25,7
≥ 60
635
23,2
32,0
28,3 - 35,7
Situação conjugal
< 0,001
Solteiro (a) / sem companheiro (a)
644
23,6
14,3
16,7 - 21,3
Casado (a) / com companheiro (a)
1606
58,8
19,0
11,2 - 17,4
Separado (a)
234
8,5
22,3
16,9 - 27,6
Viúvo (a)
248
9,1
28,2
22,3 - 34,2
Escolaridade (anos de estudo)
< 0,001
0 4
680
24,9
19,9
16,6 - 23,2
5 8
773
28,3
16,7
13,7 - 19,7
9 11
730
26,7
15,8
13,3 - 18,4
≥ 12
547
20,0
25,5
21,4 - 29,6
Nível Econômico (ABEP)
< 0,001
A / B
931
34,1
28,9
24,5 - 33,3
C
1318
48,4
18,2
15,9 - 20,4
D / E
477
17,5
15,2
12,6 - 17,7
Índice de Massa Corporal (kg/m
2
)
< 0,001
< 25,0
922
37,6
11,2
9,1 - 13,3
25,0 - 29,9
888
36,3
20,6
17,6 - 23,6
≥ 30,0
638
26,1
28,6
24,6 - 32,5
Diabetes Mellitus
< 0,001
Não
2436
89,9
15,2
13,4 - 17,1
Sim
273
10,1
54,2
48,1 - 60,3
Hipertensão Arterial Sistêmica
< 0,001
Não
1716
63,3
13,7
11,9 - 15,5
Sim
993
36,7
28,6
25,3 - 31,9
ABEP: Associação Brasileira de Empresas de Pesquisa
*
O valor máximo de informações perdidas foi de 10,4% (284) para a variável Índice de Massa Corporal
**
Intervalo de Confiança de 95% (IC95%) ajustado para efeito de delineamento amostral
Teste Qui-quadrado de Heterogeneidade /
Teste Qui-quadrado de Tendência Linear
95
Tabela 2. Distribuição dos usuários de adoçante dietético conforme as características do produto utilizado. Pelotas-RS, 2010.
(n=519)
Característica
N
%
Forma de uso
Líquida
507
97,7
12
2,3
Composição
Sacarina Sódica + Ciclamato de Sódio
463
89,2
Multiadoçante dietético
*
18
3,4
Esteviosídeo
17
3,3
Aspartame
21
4,1
Recomendação para uso
Não
282
54,3
Sim
237
45,7
Quem recomendou? (n=237)
Médico
181
76,4
Nutricionista
47
19,8
Familiar
9
3,8
Utilização na forma de esguicho (n=503)
*
Não
451
89,7
Sim
52
10,3
*
Adoçantes compostos por três tipos de edulcorantes pelo menos: sacarina sódica, ciclamato de sódio, aspartame ou
acessulfame de potássio
**
Informação perdida para quatro indivíduos
96
Tabela 3. Descrição das características estudadas entre os usuários regulares de adoçantes dietéticos (n=519). Pelotas-RS,
2010.
Característica
N
%
Sexo
Masculino
160
30,8
Feminino
359
69,2
Cor da pele
Não branca
82
15,8
Branca
437
84,2
Idade (anos completos)
20-29
52
10,0
30-39
65
12,5
40-49
91
17,6
50-59
108
20,8
≥ 60
203
39,1
Situação Conjugal
Casado (a) / com companheiro (a)
305
58,8
Solteiro (a) / sem companheiro (a)
92
17,7
Separado (a)
52
10,0
Viúvo (a)
70
13,5
Escolaridade (anos de estudo)
0-4
135
26,1
5-8
129
24,9
9-11
115
22,2
≥ 12
139
26,8
Nível Econômico (ABEP)
A + B
138
26,6
C
239
46,2
D + E
141
27,2
ABEP: Associação Brasileira de Empresas de Pesquisa
97
Figura 1. Distribuição das morbidades avaliadas (DM: Diabetes Mellitus; HAS: Hipertensão Arterial
Sistêmica; EP: Excesso de peso) entre os usuários regulares de adoçantes dietéticos. (n=467) Pelotas-RS,
2010.
13,9%
18,2%
28,7%
4,9%
3,2%
26,1%
3,9%
1,1%
NENHUMA
DM + HAS + EP
HAS + EP
DM + EP
DM + HAS
EP
HAS
DM
98
Referências
[1] Toledo MC, Ioshi SH. Potential intake of intense sweeteners in Brazil. Food
Additives & Contaminants. 1995 Nov-Dec;12(6):799-808.
[2] MS/SVS. Portaria 25, de 04 de abril de 1988. Os produtos a base de
edulcorantes, com ou sem adição de açúcar passa a denominar-se "Adoçantes
Dietéticos". In: Saúde Md, ed.: D.O.U. - Diário Oficial da União 1988.
[3] MS/SVS. Portaria nº 38, de 13 de janeiro de 1998. Aprova o Regulamento
Técnico referente a Adoçantes de Mesa, constante do anexo desta Portaria. In: Saúde
Md, ed.: D.O.U. - Diário Oficial da União 1998.
[4] MS/SVS. Portaria nº 29, de 13 de janeiro de 1998. Aprova o Regulamento
Técnico referente a Alimentos para Fins Especiais. In: Saúde Md, ed.: D.O.U. - Diário
Oficial da União 1998.
[5] Rosado EL, Monteiro JBR. Obesidade e a substituição de macronutrientes da
dieta. Revista de Nutrição. 2001;14:145-52.
[6] Mattes RD, Popkin BM. Nonnutritive sweetener consumption in humans: effects
on appetite and food intake and their putative mechanisms. American Journal of
Clinical Nutrition. 2009 January 1, 2009;89(1):1-14.
[7] Popkin BM, Nielsen SJ. The Sweetening of the World/'s Diet. Obesity.
2003;11(11):1325-32.
[8] American Dietetic Association A. Position of the American Dietetic
Association: Use of Nutritive and Nonnutritive Sweeteners. Journal of the American
Dietetic Association. 2004;104(2):255-75.
[9] ANVISA. Resolução RDC 18, de 24 de março de 2008. "Regulamento
Técnico que autoriza o uso de aditivos edulcorantes em alimentos, com seus respectivos
limites máximos". In: Saúde Md, ed.: D.O.U. - Diário Oficial da União 2008.
[10] Bosetti C, Gallus S, Talamini R, Montella M, Franceschi S, Negri E, et al.
Artificial Sweeteners and the Risk of Gastric, Pancreatic, and Endometrial Cancers in
Italy. Cancer Epidemiol Biomarkers Prev. 2009 August 1, 2009;18(8):2235-8.
[11] Benton D. Can artificial sweeteners help control body weight and prevent
obesity? Nutrition Research Reviews. 2005;18(01):63-76.
[12] Swithers SE, Martin AA, Davidson TL. High-intensity sweeteners and energy
balance. Physiology & Behavior. 2010;100(1):55-62.
[13] Garnier-Sagne I, Leblanc JC, Verger P. Calculation of the intake of three intense
sweeteners in young insulin-dependent diabetics. Food and Chemical Toxicology.
2001;39(7):745-9.
99
[14] ABIAD. Mercado Diet e Light novo. 2004 [cited 2009 may 29]; Available
from: http://www.abiad.org.br/pdf/mercado_diet_light_novo.pdf
[15] SAGPyA SdA, Ganadería, Pesca y Alimentación. Análisis de la Cadena de
Edulcorantes. Dirección de Industria Alimentaria. 2000 [cited 2009 ago 21]; Available
from: http://www.alimentosargentinos.gov.ar/0-3/azucar/edulco/Edulcorantes.htm.
[16] ABEP. Critério Brasileiro de Classificação Econômica. São Paulo: Associação
Brasileira de Empresas de Pesquisa 2010.
[17] WHO. Physical status: the use and interpretation of anthropometry. Report of a
WHO Expert Committee World Health Organization technical report series.
1995;854:1-452.
[18] Lohman TG, Roche AF, Martrell R. Anthropometric standardization reference
manual.: Champaign, Human Kinetics 1988.
[19] Habicht JP. Estandarizacion de Métodos Epidemiológicos Cuantitativos sobre el
terreno. Bol Oficina Sanit Panam 1974 Mayo:375-84.
[20] Castro AGPd, Franco LJ. Caracterização do consumo de adoçantes alternativos e
produtos dietéticos por indivíduos diabéticos. Arquivos Brasileiros de Endocrinologia &
Metabologia. 2002;46:280-7.
[21] Joint WHO/FAO Expert Consultation. Diet, Nutrition and the Prevention of
Chronic Diseases. WHO Technical Report Series 916. Geneva; 2003.
[22] Bellisle F, Altenburg de Assis MA, Fieux B, Preziosi P, Galan P, Guy-Grand B,
et al. Use of 'light' foods and drinks in French adults: biological, anthropometric and
nutritional correlates. Journal of Human Nutrition & Dietetics. 2001;14(3):191.
[23] Lucchese T, Batalha MO, Lambert JL. Marketing de alimentos e o
comportamento de consumo: proposição de uma tipologia do consumidor de produtos
light e/ou diet. Association: Organizações Rurais e Agroindustriais. 2006 Maio/Agosto
2006;8(2).
[24] Oliveira PBd, Franco LJ. Consumo de adoçantes e produtos dietéticos por
indivíduos com diabetes melito tipo 2, atendidos pelo Sistema Único de Saúde em
Ribeirão Preto, SP. Arquivos Brasileiros de Endocrinologia & Metabologia.
2010;54:455-62.
[25] Viaene J, Gellynck X. Consumer behaviour towards light products in Belgium.
British Food Journal. 1997;99(3):105-13.
[26] Manfred K, Kathleen M, Ruth K. Low-calorie Sweeteners and Other Sugar
Substitutes: A Review of the Safety Issues. Comprehensive Reviews in Food Science
and Food Safety. 2006;5(2):35-47.
100
[27] Kenji W, Yoshiyuki O, Kohji O, Kunio A. Prognostic Significance of Selected
Lifestyle Factors in Urinary Bladder Cancer. Japanese Journal of Cancer Research.
1993;84(12):1223-9.
[28] Weihrauch MR, Diehl V. Artificial sweeteners--do they bear a carcinogenic
risk? Annals of Oncology. 2004 October 1, 2004;15(10):1460-5.
[29] Gallus S, Scotti L, Negri E, Talamini R, Franceschi S, Montella M, et al.
Artificial sweeteners and cancer risk in a network of case-control studies. Annals of
Oncology. 2007 Jan;18(1):40-4.
[30] Grotz VL, Munro IC. An overview of the safety of sucralose. Regulatory
Toxicology and Pharmacology. 2009;55(1):1-5.
[31] INMETRO. Adoçantes de mesa e adoçantes dietéticos. 2006 [cited 2010 25
set]; Available from:
http://www.inmetro.gov.br/consumidor/produtos/adocantes.asp#inf
[32] Chatsudthipong V, Muanprasat C. Stevioside and related compounds:
therapeutic benefits beyond sweetness. Pharmacology & Therapeutics. 2009
Jan;121(1):41-54.
101
I
I
V
V
.
.
R
R
e
e
l
l
a
a
t
t
ó
ó
r
r
i
i
o
o
p
p
a
a
r
r
a
a
a
a
i
i
m
m
p
p
r
r
e
e
n
n
s
s
a
a
Press-release
102
Consumo de adoçantes dietéticos em Pelotas-RS
Pesquisa realizada com a população residente na zona urbana do município de
Pelotas-RS investigou o uso de adoçantes dietéticos entre indivíduos com idade igual ou
superior a 20 anos. Este estudo fez parte de uma pesquisa sobre a saúde da população,
realizada nos meses de janeiro a julho de 2010, coordenada pelo grupo de mestrandos
do Programa de Pós-Graduação em Epidemiologia da Universidade Federal de Pelotas.
No total, 1399 domicílios participaram e 2732 indivíduos foram entrevistados.
Segundo a Agência Nacional de Vigilância Sanitária (ANVISA) adoçantes
dietéticos são produtos formulados para utilização em dietas com restrição de
sacarose, frutose e glicose, para atender às necessidades de pessoas sujeitas à restrição
desses carboidratos”. Estes produtos fazem parte de um grupo alimentar denominado
“Alimentos para fins especiais”, destinados a atender às necessidades de pessoas em
condições metabólicas e fisiológicas específicas. No entanto, esses adoçantes dietéticos
estão atualmente disponíveis para os consumidores que desejam desfrutar do sabor doce
sem aumentar seu consumo energético, pois além de serem úteis para o controle
glicêmico em pacientes diabéticos, ajudam no tratamento dietoterápico de outras
doenças como, por exemplo, a obesidade.
Segundo a nutricionista Roberta Zanini, mestranda e responsável pela análise
dos dados sobre adoçantes, aproximadamente 20% da população pelotense utilizou
adoçantes dietéticos em pelo menos quatro dias, na semana anterior à realização da
entrevista. Mulheres, indivíduos idosos e pertencentes ao nível econômico mais
elevado, bem como aqueles com excesso de peso, diabéticos e hipertensos foram os
principais usuários. Mais da metade desses (54,3%) informaram não ter recebido
recomendação de algum profissional de saúde para utilizar adoçantes dietéticos. Quanto
ao tipo de adoçante, quase 98% dos usuários relataram usá-lo na forma líquida, sendo
que os mais consumidos (89,2%) foram aqueles compostos por sacarina e ciclamato de
sódio. A média de ingestão diária foi de 14 gotas para usuários de adoçantes quidos e
de 2,6 sachets, para aqueles que utilizavam adoçante em pó.
O estudo também mostrou uma elevada prevalência de excesso de peso
(62,4%). Indivíduos que apresentam sobrepeso ou obesidade têm indicação para o uso
de adoçantes dietéticos, com o objetivo de reduzir a ingestão calórica. Entretanto,
considerando-se a elevada prevalência de excesso de peso na amostra estudada, pode-se
concluir que é baixo o consumo de adoçantes dietéticos na população de Pelotas.
103
V
V
.
.
A
A
n
n
e
e
x
x
o
o
s
s
104
A
A
N
N
E
E
X
X
O
O
A
A
Questionário adoçantes dietéticos (Projeto de pesquisa)
105
AGORA VOU LHE FAZER ALGUMAS PERGUNTAS SOBRE USO DE ADOÇANTES
ARTIFICIAIS NOS LÍQUIDOS INGERIDOS NA ÚLTIMA SEMANA.
A1) Desde <dia da semana> da semana passada ahoje, o(a) Sr(a) usou adoçante artificial em
algum líquido que bebeu?
(0) Não Pule para a pergunta A8
(1) Sim
ADOC __
A2) Desde <dia da semana> da semana passada até hoje, em quantos dias o(a) Sr(a) usou
adoçante artificial nos líquidos que bebeu?
(1) 1 dia
(2) 2 dias
(3) 3 dias
(4) 4 dias
(5) 5 dias
(6) 6 dias
(7) 7 dias (todos os dias)
(9) IGN
FREQADOC __
A3) O(A) Sr(a) recebeu recomendação de alguém para usar adoçante artificial?
(0) Não
(1) Sim De quem? (1) Médico
(2) Nutricionista
(3) Enfermeiro
(4) Dentista
(5) Professor de Educação Física
(6) Familiar
(7) Outro ____________________________ (Anotar)
REC __
RECPROF __
A4) Qual a marca de adoçante que o(a) Sr(a) costuma usar na maioria das vezes nos líquidos?
(01) Adocyl
(02) Assugrin
(03) Doce Menor
(04) Finn
(05) Gold
(06) Great Value
(07) Línea
(08) Lowçúcar
(09) Magro
(10) Mid Sugar
(11) Sentir Bem/zero
(12) Só Stévia
(13) Stévia Plus
(14) Stevip
(15) Stevita
(16) Tal e Qual
(17) Zero Cal
(18) Panvel
(19) Outro ______________________________________________________ (Anotar)
(99) IGN
MARCA __ __
106
A5) Em qual forma o(a) Sr(a) usa esse adoçante? (LER OPÇÕES PARA AS DUAS PERGUNTAS)
(1) Líquida Que cor é a embalagem? (1) Transparente
(2) Branca
(9) IGN
(2) Como é a embalagem? (3) Caixa com envelopes
(4) Pote ou Lata
(5) Saco plástico com envelopes
(9) IGN
(3) Comprimidos/Tabletes
(9) IGN
FORMA __
EMBAL __
PENSE NO ÚLTIMO DIA, QUE NÃO SEJA HOJE, QUE O(A) SR(A) USOU
<nome do adoçante> NOS LÍQUIDOS
A8) Durante todo esse dia, quantas vezes o(a) Sr(a) usou o <nome do adoçante>?
(01) 1 vez
(02) 2 vezes
(03) 3 vezes
(04) 4 vezes
(05) 5 vezes
(06) 6 vezes
(07) 7 vezes
(08) 8 vezes
(09) 9 vezes
(10) 10 vezes
(99) IGN
NVEZES__ __
A9) Quantos(as) <forma de utilização> o(a) Sr(a) usou em cada vez?
(_ _) 1ª vez
(_ _) 2ª vez
(_ _) 3ª vez
(_ _) 4ª vez
(_ _) 5ª vez
(_ _) 6ª vez
(_ _) 7ª vez
(_ _) 8ª vez
(_ _) 9ª vez
(_ _) 10ª vez
( ) esguicho
(99) IGN
1VEZ__ __
2VEZ__ __
3VEZ__ __
4VEZ__ __
5VEZ__ __
6VEZ__ __
7VEZ__ __
8VEZ__ __
9VEZ__ __
10VEZ__ __
ESG__
107
A
A
N
N
E
E
X
X
O
O
B
B
Questionário adoçantes dietéticos (Versão final / PDA)
108
A96
AGORA VOU LHE FAZER ALGUMAS PERGUNTAS SOBRE USO DE
ADOÇANTES ARTIFICIAIS NOS LÍQUIDOS INGERIDOS NA ÚLTIMA
SEMANA
A97
DESDE <dia da semana> DA SEMANA PASSADA ATÉ HOJE, O(A)
SR.(A) USOU ADOÇANTE ARTIFICIAL EM ALGUM LÍQUIDO QUE
BEBEU?
(0) Não Pular para A114
(1) Sim
ADOC __
A98
DESDE <dia da semana> DA SEMANA PASSADA ATÉ HOJE, "EM
QUANTOS DIAS" O(A) SR.(A) USOU ADOÇANTE ARTIFICIAL NOS
LÍQUIDOS QUE BEBEU?
(1) 1 dia
(2) 2 dias
(3) 3 dias
(4) 4 dias
(5) 5 dias
(6) 6 dias
(7) 7 dias (todos os dias)
(9) Ign
FREQADOC
__
A99
O(A) SR.(A) RECEBEU RECOMENDAÇÃO DE ALGUÉM PARA USAR
ADOÇANTE ARTIFICIAL?
(0) Não Pular para A101
(1) Sim
REC __
A100
DE QUEM?
(1) Médico
(2) Nutricionista
(3) Enfermeiro
(4) Dentista
(5) Professor de Educação Física
(6) Familiar
(7) Outro
RECPROF __
109
A101
QUAL A MARCA DE ADOÇANTE QUE O(A) SR.(A) COSTUMA USAR NA
"MAIORIA DAS VEZES" NOS LÍQUIDOS?
(01) Adocyl
(02) Assugrin
(03) Doce Menor
(04) Finn
(05) Gold
(06) Great Value
(07) Línea
(08) Lowçúcar
(09) Magro
(10) Mid Sugar
(11) Sentir Bem/zero
(12) Só Stévia
(13) Stévia Plus
(14) Stevip
(15) Stevita
(16) Tal e Qual
(17) Zero Cal
(18) Panvel
(19) Outro
(99) Ign
MARCA __ __
A próxima questão (A102) deve ser aplicada apenas para quem respondeu “OUTRO” nesta
questão (A101). Qualquer outra resposta, pular para A103.
A102
QUAL MARCA?
________________________________________________________
A103
EM QUAL FORMA O(A) SR.(A) USA ESSE ADOÇANTE? (@)
(1) LÍQUIDA
(2) PÓ Pular para A105
(3) COMPRIMIDOS/TABLETES Pular para A106
(9) Ign Pular para A106
FORMA __
A104
QUE COR É A EMBALAGEM? (@)
(1) TRANSPARENTE Pular para A106
(2) BRANCA Pular para A106
(9) Ign Pular para A106
EMBAL __
A105
COMO É A EMBALAGEM? (@)
(3) CAIXA COM ENVELOPES
(4) POTE OU LATA
(5) SACO COM ENVELOPES
(9) Ign
EMBAL __
110
A106
PENSE NO ÚLTIMO DIA, QUE O SEJA HOJE, QUE O(A) SR.(A)
USOU <nome do adoçante> NOS LÍQUIDOS
A107
DURANTE TODO ESSE DIA, QUANTAS VEZES O(A) SR.(A) USOU O
<nome do adoçante>?
(01) 1 vez
(02) 2 vezes
(03) 3 vezes
(04) 4 vezes
(05) 5 vezes
(06) 6 vezes
(07) 7 vezes
(08) 8 vezes
(09) 9 vezes
(10) 10 vezes
(99) Ign
NVEZES __ __
A108
QUANTAS(OS) <forma de utilização> O(A) SR.(A) USOU EM CADA
VEZ? (se for esguicho digitar 88) (se ignorado 99)
A109
QUANTAS NA 1a VEZ?
__ __
1VEZ __ __
A110
QUANTAS NA 2a VEZ?
__ __
2VEZ __ __
A111
QUANTAS NA 3a VEZ?
__ __
3VEZ __ __
A112
QUANTAS NA 4a VEZ?
__ __
4VEZ __ __
A113
QUANTAS NA 5a VEZ?
__ __
5VEZ __ __
111
A
A
N
N
E
E
X
X
O
O
C
C
Manual de Instruções referente às questões sobre adoçantes dietéticos
112
INSTRUÇÃO A96. AGORA VOU LHE FAZER ALGUMAS PERGUNTAS SOBRE
USO DE ADOÇANTES ARTIFICIAIS NOS LÍQUIDOS INGERIDOS NA ÚLTIMA
SEMANA.
PERGUNTA A97. DESDE <dia da semana> DA SEMANA PASSADA ATÉ HOJE, O(A)
SR.(A) USOU ADOÇANTE ARTIFICIAL EM ALGUM LÍQUIDO QUE BEBEU?
0-Não
1-Sim
Onde está escrito <dia da semana> você deve ler o dia em que a entrevista está sendo
realizada. Exemplo: se a entrevista está sendo realizada na sexta-feira, pergunte: “Desde
<sexta-feira> da semana passada até hoje, o(a) Sr.(a) usou adoçante artificial em algum
líquido que bebeu?”
Nesta pergunta queremos saber se a pessoa usou adoçante artificial nos últimos 7 dias, e não
se costuma usar ou usa às vezes. Selecionar a opção “1-Sim” apenas para aquelas pessoas que
usaram adoçante no período perguntado, independente de quantos dias foi usado (1 até 7).
Pode acontecer de alguém dizer que costuma usar adoçante mas que na última semana não
usou. Para este indivíduo deve-se selecionar a opção “0-Não”. Quando você selecionar a
opção “0-Não” o questionário irá pular automaticamente as questões A98 à A113, passando
diretamente para a questão A114 sobre consumo de carnes.
PERGUNTA A98. DESDE <dia da semana> DA SEMANA PASSADA ATÉ HOJE, “EM
QUANTOS DIAS” O(A) SR.(A) USOU ADOÇANTE ARTIFICIAL NOS LÍQUIDOS
QUE BEBEU?
1-1 dia
2-2 dias
3-3 dias
4-4 dias
5-5 dias
6-6 dias
7-7 dias (todos os dias)
9-Ign
113
Nesta pergunta, o procedimento para o <dia da semana> é o mesmo da pergunta anterior.
Aqui, queremos saber em quantos dias da última semana a pessoa usou adoçante, e não
quantas vezes por dia. Se o(a) entrevistado(a) responder o número de vezes por dia que usou,
você deve repetir a pergunta com calma e enfatizar a parte que está entre aspas “em quantos
dias”.
As pessoas que tem o hábito de usar adoçante podem não responder a quantidade de dias em
forma de números, assim podem dar uma resposta sem pensar. Exemplo: PERGUNTA
Desde sexta-feira da semana passada até hoje, em quantos dias o(a) Sr.(a) usou adoçante
artificial nos líquidos que bebeu? RESPOSTA Todos os dias. Neste caso deve-se perguntar
em seguida: Os 7 dias incluindo sábado e domingo?
PERGUNTA A99. O(A) SR.(A) RECEBEU RECOMENDAÇÃO DE ALGUÉM PARA
USAR ADOÇANTE ARTIFICIAL?
0-Não
1-Sim
Na pergunta A99 queremos saber se a pessoa recebeu recomendação ou indicação de qualquer
pessoa (profissional ou não) para usar adoçante. Se a resposta for “0-Não” irá pular
automaticamente a questão A100, passando diretamente para a pergunta A101.
Para aqueles que responderam “1-Sim” na pergunta A99, irá abrir a pergunta A100.
PERGUNTA A100. DE QUEM?
1-Médico
2-Nutricionista
3-Enfermeiro
4-Dentista
5-Professor de Educação Física
6-Familiar
7-Outro ____________________________
Na opção “6-Familiar” você deve considerar qualquer pessoa da família (mãe, pai, irmão(ã),
tio(a), primo(a), avô(ó), cunhado(a), nora, genro, etc..) em qualquer grau de parentesco.
114
A opção “7-Outro” deve ser selecionada e preenchida quando a resposta for qualquer outra
pessoa que tenha recomendado o uso de adoçante, mas que não se encaixe em nenhuma das
outras opções. Exemplo: amigo. Obs: Ao lado da opção “7-Outro” terá espaço para você
digitar a resposta dada pelo(a) entrevistado(a), quando você selecionar a opção o cursor estará
ao lado. Dê um espaço ao lado da palavra “Outro” e então digite a resposta.
Pode ocorrer de o(a) entrevistado(a) responder que quem indicou foi o(a) “Doutor(a)”. Neste
caso você deve perguntar em seguida: “Médico(a)?
PERGUNTA A101. QUAL A MARCA DE ADOÇANTE QUE O(A) SR.(A) COSTUMA
USAR NA “MAIORIA DAS VEZES” NOS LÍQUIDOS?
01-Adocyl
02-Assugrin
03-Doce Menor
04-Finn
05-Gold
06-Great Value
07-Línea
08-Lowçúcar
09-Magro
10-Mid Sugar
11-Sentir Bem/zero
12-Só Stévia
13-Stévia Plus
14-Stevip
15-Stevita
16-Tal e Qual
17-Zero Cal
18-Panvel
19-Outro
99-Ign
115
Nesta pergunta queremos saber a marca do adoçante que o(a) entrevistado(a) usa na
MAIORIA DAS VEZES.
Para visualizar todas as opções de resposta da questão A101, você deve clicar na seta que
aparece no canto direito inferior.
Se o(a) entrevistado(a) estiver com dificuldade para lembrar o nome do adoçante você deve
perguntar: “O(A) Sr.(a) pode me mostrar a embalagem do adoçante?”
Se o(a) entrevistado(a) disser que usa mais de uma marca ou que trocou recentemente de
adoçante, repetir a pergunta enfatizando a parte entre aspas “maioria das vezes”.
Se o(a) entrevistado(a) disser que usa qualquer outra marca de adoçante que não tem na
lista, você deve selecionar a opção OUTRO e em seguida na próxima tela aparecerá a
pergunta A102 para você digitar a marca do adoçante.
PERGUNTA A102. QUAL MARCA?
______________________________________________________________________
Digite a marca completa, exemplo: UNIÃO LIGHT (não apenas União).
LEMBRE-SE: EM CASO DE DÚVIDA EM RELAÇÃO À MARCA DO ADOÇANTE
SEMPRE PEÇA PARA A PESSOA MOSTRAR A EMBALAGEM!
PERGUNTA A103. EM QUAL FORMA O(A) SR.(A) USA ESSE ADOÇANTE? (@)
1-LÍQUIDA
2-
3-COMPRIMIDOS/TABLETES
9-Ign
Na pergunta A103 queremos saber a forma de apresentação do adoçante. Você deve ler as
opções de resposta “LÍQUIDA”, “PÓ” ou “COMPRIMIDOS/TABLETES”.
Para quem respondeu “1-Líquida”, irá abrir a pergunta A104.
116
PERGUNTA A104. QUE COR É A EMBALAGEM? (@)
1-TRANSPARENTE
2-BRANCA
9-Ign
Você deve ler em seguida as opções “Transparente ou Branca”
Para quem respondeu “2-PÓ”, irá abrir a pergunta A105.
PERGUNTA A105. COMO É A EMBALAGEM? (@)
3-CAIXA COM ENVELOPES
4-POTE OU LATA
5-SACO COM ENVELOPES
9-Ign
Você deve ler em seguida as opções “CAIXA COM ENVELOPES”, “POTE OU LATA” ou
“SACO COM ENVELOPES”.
Para quem respondeu “3-COMPRIMIDOS/TABLETES” irá pular automaticamente as
questões A104 e A105 passando diretamente para a instrução A106.
PERGUNTA A106. PENSE NO ÚLTIMO DIA, QUE NÃO SEJA HOJE, QUE O(A)
SR.(A) USOU <nome do adoçante> NOS LÍQUIDOS
Onde está escrito <nome do adoçante> você deve ler o nome do adoçante que o(a)
entrevistado(a) respondeu na pergunta A101. Exemplo: Se a resposta foi Zero Cal, você deve
ler: “PENSE NO ÚLTIMO DIA, QUE NÃO SEJA HOJE, QUE O(A) SR.(A) USOU <ZERO
CAL> NOS LÍQUIDOS”.
PERGUNTA A107. DURANTE TODO ESSE DIA, QUANTAS VEZES O(A) SR.(A)
USOU O <nome do adoçante>?
01-1 vez
02-2 vezes
117
03-3 vezes
04-4 vezes
05-5 vezes
06-6 vezes
07-7 vezes
08-8 vezes
09-9 vezes
10-10 vezes
99-Ign
A instrução para a leitura do <nome do adoçante> é igual a pergunta anterior. Nesta pergunta
queremos saber quantas vezes a pessoa usou adoçante nos líquidos no ÚLTIMO DIA QUE
NÃO SEJA HOJE, e não quantas vezes ela COSTUMA usar em um dia qualquer. Aqui não
queremos saber a quantidade de adoçante que a pessoa usou, e sim a freqüência naquele dia.
PERGUNTA A108. QUANTOS(AS) <forma de utilização> O(A) SR.(A) USOU EM
CADA VEZ? (Se for esguicho, digitar 88) (Se ignorado, 99)
PERGUNTA A109. QUANTAS NA 1ª VEZ? (__ __)
.......................................................................................
PERGUNTA A110. QUANTAS NA 2ª VEZ? (__ __)
.......................................................................................
PERGUNTA A111. QUANTAS NA 3ª VEZ? (__ __)
.......................................................................................
PERGUNTA A112. QUANTAS NA 4ª VEZ? (__ __)
.......................................................................................
PERGUNTA A113. QUANTAS NA 5ª VEZ? (__ __)
.......................................................................................
Onde está escrito <forma de utilização> você deve ler a forma de utilização de acordo com as
respostas das perguntas A103 e A105.
Exemplos:
Se a resposta da pergunta A103 foi líquida, perguntar: “Quantas gotas o(a) Sr.(a) usou em
cada vez?” Nesta pergunta alguém pode lhe responder que não usa em gotas, e sim em jatos
118
ou esguichos. Neste caso você deve digitar 88 em cada vez que a pessoa disse que usou
esguicho.
Se a resposta da pergunta A103 foi e a resposta à pergunta seguinte foi caixa” ou “saco
com envelopes”, perguntar: “Quantos pacotinhos o(a) Sr.(a) usou em cada vez?”
Se a resposta da pergunta A103 foi e a resposta à pergunta seguinte foi “lata” ou “pote”,
perguntar: “Quantas colheres de chá o(a) Sr.(a) usou em cada vez?”
Para qualquer uma das situações acima, se o entrevistado ignorar a quantidade ou disser que
não sabe, você deve digitar 99. Exceto para esguicho que é 88.
Você deve colocar a quantidade usada em cada vez, DIGITANDO ZEROS NOS ESPAÇOS
QUE FICAREM VAZIOS. Você sempre deve digitar duas casas decimais em todas as
vezes!!
Exemplo: Usou adoçante 3 vezes no último dia e em cada vez usou 4 gotas.
1ª vez
04
2ª vez
04
3ª vez
04
4ª vez
00
5ª vez
00
Se a pessoa usou quantidades diferentes em cada vez, digitar cada quantidade em seu
respectivo local.
Exemplo: Usou 2 vezes no último dia e na 1ª vez usou 7 gotas e na 2ª vez 15 gotas.
PREENCHER COM ZEROS!!!
119
1ª vez
07
2ª vez
15
3ª vez
00
4ª vez
00
5ª vez
00
Se usou colher de chá ou pacotinhos e a quantidade não é inteira, você deve arredondar a
quantidade usada, sempre para mais.
Exemplos:
Usou meio pacotinho (seria 0,5) você deve digitar (01)
Usou 2 colheres e meia de chá (seria 2,5) você deve digitar (03)
OBSERVAÇÃO!
Se alguém respondeu que usou 8 vezes no último dia, você deve marcar a opção 8
VEZES na pergunta A107, e nas perguntas A109 à A113 digitar as quantidades
correspondentes às 5 primeiras vezes! Mesmo que tenha sido 8 você deve digitar apenas
as 5 primeiras vezes.
PREENCHER COM ZEROS!!!
120
A
A
N
N
E
E
X
X
O
O
D
D
Planilha de conglomerados
121
UNIVERSIDADE FEDERAL DE PELOTAS
FACULDADE DE MEDICINA
DEPARTAMENTO DE MEDICINA SOCIAL
PROGRAMA DE PÓS-GRADUAÇÃO EM EPIDEMIOLOGIA
Folha de Conglomerado
Setor: Responsável:
Endereço
R
C
D
R = Residencial C = Comércio D = Desocupado/Veraneio
122
A
A
N
N
E
E
X
X
O
O
E
E
Planilha de domicílios
123
Número do setor do consórcio:
Número do setor do IBGE:
Entrevistadora:
Endereço
Moradores
Idade
Telefone
Horário
Livros Grátis
( http://www.livrosgratis.com.br )
Milhares de Livros para Download:
Baixar livros de Administração
Baixar livros de Agronomia
Baixar livros de Arquitetura
Baixar livros de Artes
Baixar livros de Astronomia
Baixar livros de Biologia Geral
Baixar livros de Ciência da Computação
Baixar livros de Ciência da Informação
Baixar livros de Ciência Política
Baixar livros de Ciências da Saúde
Baixar livros de Comunicação
Baixar livros do Conselho Nacional de Educação - CNE
Baixar livros de Defesa civil
Baixar livros de Direito
Baixar livros de Direitos humanos
Baixar livros de Economia
Baixar livros de Economia Doméstica
Baixar livros de Educação
Baixar livros de Educação - Trânsito
Baixar livros de Educação Física
Baixar livros de Engenharia Aeroespacial
Baixar livros de Farmácia
Baixar livros de Filosofia
Baixar livros de Física
Baixar livros de Geociências
Baixar livros de Geografia
Baixar livros de História
Baixar livros de Línguas
Baixar livros de Literatura
Baixar livros de Literatura de Cordel
Baixar livros de Literatura Infantil
Baixar livros de Matemática
Baixar livros de Medicina
Baixar livros de Medicina Veterinária
Baixar livros de Meio Ambiente
Baixar livros de Meteorologia
Baixar Monografias e TCC
Baixar livros Multidisciplinar
Baixar livros de Música
Baixar livros de Psicologia
Baixar livros de Química
Baixar livros de Saúde Coletiva
Baixar livros de Serviço Social
Baixar livros de Sociologia
Baixar livros de Teologia
Baixar livros de Trabalho
Baixar livros de Turismo