Download PDF
ads:
ads:
Livros Grátis
http://www.livrosgratis.com.br
Milhares de livros grátis para download.
Cataloging-in-Publication Data
Documentation and Information Division
Navia, Juliana Andrea Niño
Preliminary design methodology for multi fuel gas turbine combustors / Juliana Andrea Niño Navia.
São José dos Campos, 2010.
152f.
Thesis of master in science Program of Aeronautics and Mechanics Engineering Field of Aerodynamics,
Propulsion, and Energy – Aeronautical Institute of Technology, 2009. Advisor: Prof. Dr. Pedro Teixeira Lacava.
1 .Gas Turbine Combustor. 2. Design methodology. 3. Chemical Reactor Network. I. General Command
for Aerospace Technology. Aeronautics Institute of Technology. Division of Aeronautical and Mechanical
Engineering. II.Title
BIBLIOGRAPHIC REFERENCE
Navia, Juliana Andrea Niño. Preliminary design methodology for multi fuel gas turbine
combustor. 2010. 152f. Thesis of master in Aerodynamics, Propulsion, and Energy
Aeronautics Institute of Technology, São José dos Campos.
CESSION OF RIGHTS
AUTHOR NAME:
Juliana Andrea Niño Navia
PUBLICATION TITLE
: Preliminary design methodology for multi-fuel gas turbine combustor.
PUBLICATION KIND/YEAR:
Thesis of master / 2010
It is granted to Aeronautics Institute of Technology permission to reproduce copies of
this thesis to only loan or sell copies for academic and scientific purposes. The author
reserves other publication rights and no part of this thesis can be reproduced without
the authorization of the author.
___________________________
Juliana Andrea Niño Navia
Rua Siria, 95
CEP 12216-530 – São José dos Campos–SP–Brasil
ads:
PRELIMINARY DESIGN METHODOLOGY FOR MULTI
FUEL GAS TURBINE COMBUSTORS
Juliana Andrea Niño Navia
Thesis committee composition:
Prof. Dra.
Cristiane Aparecida Martins
Chairperson - ITA
Prof. Dr. Pedro Texeira Lacava Advisor - ITA
Prof. Dr.
Ezio Castejon Garcia
Membro - ITA
Prof. Dr.
Helder Fernando de Franca
Mendes Carneiro
Membro - IAE
Prof. Dr.
João Roberto Barbosa
Membro - ITA
Prof. Dr.
Marco Aurélio Ferreira
Membro - INPE
ITA
Dedico este trabajo a mis padres Norberto
and Mercedes, y a mi hermana Aura.
Acknowledgements
First and foremost, I would like thanks to my advisor Prof. Pedro Lacava for his assistance
and guidance through this work, I would also like to thank to Alexandre Alves and Felipe
Tauk for their assistance and help during this work.
I would like thank too Coordenação de Aperfeiçoamento de Pessoal de Nivel Superior
CAPES, for to grant me a scholarship.
Also, I would like express to my acknowledgements to the staff of Department of Graduate
Studies of ITA and professors of the Division of Aeronautical and Mechanical Engineering
for their help.
Finally, I would like to thanks my family and my friends for their support during throughout
my life and this research.
“Nature never breaks her own laws”
– Leonardo da Vinci
Resumo
As câmaras de combustão para turbinas a gás m sido tradicionalmente projetadas por
tentativa e erro, o qual é um processo que consome tempo e custo. Com o desenvolvimento
dos computadores e novas técnicas de simulação, o desenvolvimento do projeto foi melhorado
consideravelmente, no entanto continua sendo um processo iterativo que requer um amplo
conhecimento das condições de operação do motor e da interação de todos componentes do
motor.
Este trabalho apresenta o estabelecimento de uma metodologia de projeto preliminar para
câmaras de combustão para turbinas a gás baseada na metodologia proposta por Melconian
and Moldak [1] e a aplicação de uma cadeia de reatores químicos (CRN) que tem com
objetivo estabelecer o perfil de temperatura dos gases dentro destes dispositivos.
Tal proposta usa querosene como combustível. Por esta razão, a metodologia apresentada
no presente trabalho foi adaptada para considerar diferentes tipos de combustível, e baseia-se
no estabelecimento de parâmetros geométricos básicos e fornecimento de uma configuração
básica de um combustor considerando as mudanças nas cargas operacionais.
Foram desenvolvidos alguns exemplos, que permitiram verificar a aplicação da
metodologia proposta e da cadeia de reatores. O primeiro caso foi usado como método de
validação empregando-se uma câmara de combustão tipo tubular, que funciona com
querosene como combustível, baseado no exemplo proposto por Melconian e Moldak[1]. O
segundo caso corresponde a um combustor tipo anular para um motor de aviação que
funciona com querosene e etanol. Para cada um desses combustíveis, desenvolveu-se um
projeto preliminar de combustor. O terceiro caso trata de um combustor do tipo anular para
aplicação em turbinas a gás industrial que utilizam gás natural, querosene e etanol como
combustível.
A metodologia de projeto é apresentada passo a passo neste trabalho. É importante
mencionar que a metodologia proposta é para combustores convencionais.
Abstract
The combustors for gas turbines have been traditionally designed through trial and error,
which is a time consuming and expensive process. With the development of computers and
new simulation techniques the design process has been improved considerably. However, the
design of combustors for gas turbines still remains an iterative process, which requires a broad
knowledge of engine operating conditions and the interaction of their components with the
engine components.
This work presents the establishment of a methodology for preliminary design for gas
turbine combustor, based on the methodology proposed by Melconian e Moldak [1] and the
application of a chemical reactors network (CRN), this last one in order to establish the
temperature profile of the gases into combustor.
Originally, the methodology proposed by Melconian e Moldak [1] uses kerosene as fuel.
For this reason, the proposed methodology in this work was adapted to consider different
types of fuel. This methodology is capable to set the basic geometric parameters and
providing a basic configuration of a combustor considering changes in operational loads.
Some cases have been developed, which allowed verifying the implementation of the
proposed methodology and the CRN. The first case was used as validation method and was
employing a multi–can combustor type, which operates with kerosene as fuel based on
example proposed by Melconian e Moldak [1]. The second case corresponds to an annular
combustor for an aircraft engine which operates with kerosene, natural gas and ethanol. For
each of these fuels was carried out a preliminary design of combustor. The third case is a can
annular combustor for application in an industrial gas turbine using natural gas, ethanol and
kerosene as fuels.
A step by step design methodology is presented in this work. It is important to mention
that the proposed methodology is for conventional combustors
Contents
LIST OF FIGURES ............................................................................................................... XI
LIST OF TABLES .............................................................................................................. XIII
LIST OF ABBREVIATIONS AND ACRONYMS ......................................................... XVII
LIST OF SYMBOL ......................................................................................................... XVIII
1 INTRODUCTION ............................................................................................................... 17
1.1
G
AS
T
URBINE
C
OMBUSTOR
D
ESIGN
P
ROCESS
.................................................................. 17
1.1.1
Preliminary design ........................................................................................................ 17
1.1.2
Detailed design ............................................................................................................. 19
1.1.3
Rig testing ..................................................................................................................... 19
1.2
O
BJECTIVE
........................................................................................................................ 20
1.3
M
OTIVATION
.................................................................................................................... 20
1.4
D
ESIGN METHODOLOGIES FOR GAS TURBINE COMBUSTORS
.............................................. 21
1.4.1
Empirical methodology ................................................................................................ 21
1.4.2
Semi-empirical methodology ....................................................................................... 22
1.4.3
Semi-analytical methodology ....................................................................................... 23
1.4.4
Analytical methodology ............................................................................................... 23
1.5
T
HESIS OUTLINE
............................................................................................................... 24
2.1
G
AS TURBINE COMBUSTOR
............................................................................................... 25
2.1.1
Combustor types ........................................................................................................... 26
2.1.2
Basic configuration of the combustor ........................................................................... 28
2.2
D
ESIGN METHODOLOGY
.................................................................................................... 31
2.2.1
Theoretical limits for equivalence ratio ........................................................................ 31
2.2.2
Basic dimensions for combustor. ................................................................................. 38
2.2.3
Aerodynamics Considerations ...................................................................................... 40
2.2.4
Chemical Considerations .............................................................................................. 41
2.2.5
Determination of combustor area ................................................................................. 43
2.2.6
Preliminary estimate of air distribution ........................................................................ 44
2.2.7
Length of combustors zones ......................................................................................... 45
2.2.8
Diffuser design ............................................................................................................. 47
2.2.9
Swirler design ............................................................................................................... 50
2.2.10
Recirculation zone ........................................................................................................ 53
2.2.11
Flame temperature calculations .................................................................................... 54
2.2.12
Film cooling .................................................................................................................. 61
2.2.13
Design of air admission holes ....................................................................................... 69
3. METHODOLOGY IMPLEMENTATION ...................................................................... 76
3.1
M
ETHODOLOGY STRUCTURE
............................................................................................. 76
3.1.1
Theoretical limits for equivalence ratio ........................................................................ 76
3.1.2 Equivalence ratio for primary zone ................................................................................. 79
3.1.4
Calculation of basic dimensions ................................................................................... 79
3.1.5
Calculation of air flow and length of zones .................................................................. 80
3.1.6
Calculation of diffuser parameters ............................................................................... 81
3.1.7
Calculation swirler parameters ..................................................................................... 81
3.1.8
Calculation of recirculation zone .................................................................................. 81
3.1.9
Calculation of flame temperature ................................................................................. 82
3.1.10
Film cooling calculation ............................................................................................... 83
3.1.11
Air admission holes ...................................................................................................... 83
4. VALIDATION AND RESULTS ....................................................................................... 85
4.1
V
ALIDATION
........................................................................................................................ 85
4.2
R
ESULTS
.............................................................................................................................. 94
4.2.1 Annular combustor operating with kerosene ................................................................... 95
4.2.2 Annular combustion chamber operating with ethanol ................................................... 104
4.2.3 Can-annular combustion chamber operating with natural gas ...................................... 114
4.2.4 Can-annular combustion chamber operating with ethanol ............................................ 122
4.2.5 Can annular combustor operating with kerosene .......................................................... 129
5.
CONCLUSIONS ............................................................................................................ 140
BIBLIOGRAPHY ................................................................................................................. 142
List of Figures
FIGURE 2.1 – Cross section of three main combustor type. ................................................... 27
FIGURE 2.2 – Basic combustor features. ................................................................................ 29
FIGURE 2.3 – Flame limit temperature for flammable mixture. ........................................... 332
FIGURE 2.4 – D
ref
and D
ft
for flame tube arrangements .......................................................... 39
FIGURE 2.5 – Theta parameter correlation ............................................................................. 42
FIGURE 2.6 – Dilution zone mixing performance .................................................................. 46
FIGURE 2.7 – Basic geometry of combustor ..........................................................................48
FIGURE 2.8 – Swirler basic geometry ..................................................................................... 51
FIGURE 2.9 – Recirculation zone ............................................................................................ 53
FIGURE 2.10 – Diagram of the combustor model ................................................................... 55
FIGURE 2.11 – Perfectly Stirred Reactor (PSR) ..................................................................... 57
FIGURE 2.11 – Perfectly Stirred Reactor (PSR) ..................................................................... 59
FIGURE 2.13 – Film cooling device geometry ........................................................................ 61
FIGURE 2.14 – Heat transfer model for flame tube ................................................................ 65
FIGURE 3.1 – Schematic overview of preliminary desing procedure ..................................... 77
FIGURE 3.2 – Example of adiabatic temperature curves ........................................................ 78
FIGURE 3.3 Equivalence ratio for primary zone .................................................................. 79
FIGURE 3.4 Calculation of reference area and flame tube ................................................... 80
FIGURE 3.5 Calculation of air flow and length of the zones ............................................... 80
FIGURE 3.6 – Calculation of difusser parameters ................................................................... 81
FIGURE 3.7 Calculations of swirler parameters ................................................................... 81
FIGURE 3.8 Calculation of recirculation zone ..................................................................... 82
FIGURE 3.9 – Calculation of flame temperature ..................................................................... 82
FIGURE 3.10 Film cooling calculation ................................................................................. 83
FIGURE 3.11 Air admission holes ........................................................................................ 89
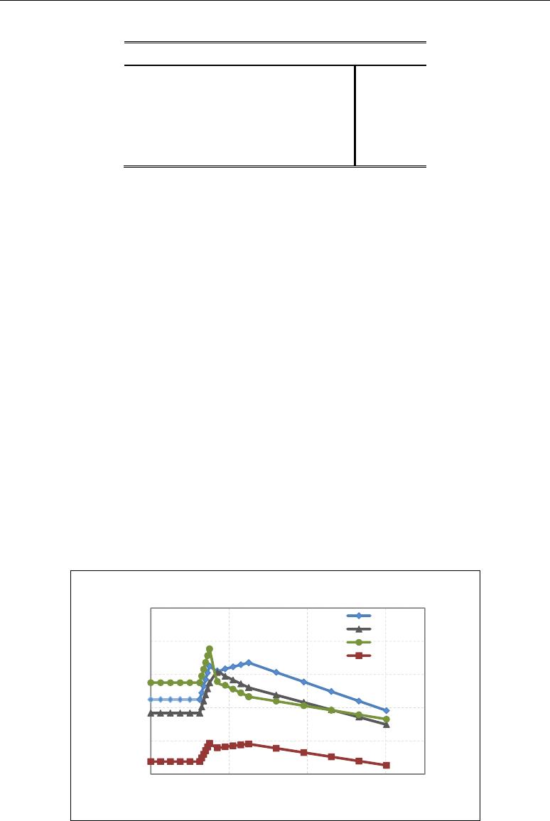
FIGURE 4.1 – Temperature profiles by Melconian and Modak [1] methodology ..................90
FIGURE 4.2 – Temperature profiles by CRN methodology ...................................................91
FIGURE 4.3 – Temperature profile for annular combustor operating with kerosene .............. 99
FIGURE 4.4 – Temperature profile for annular combustor operating with kerosene ............ 100
FIGURE 4.5 – Temperature profile for annular combustor operating with ethanol .............. 108
FIGURE 4.6 – Temperature profile for annular combustor operating with ethanol .............. 110
FIGURE 4.7– Temperature profile for can-annular combustor operating with natural gas... 118
FIGURE 4.8– Temperature profile for can-annular combustor operating with natural gas... 119
FIGURE 4.9 – Temperature profile for can-annular combustor operating with ethanol ....... 126
FIGURE 4.10 – Temperature profile for can-annular combustor operating with ethanol ..... 134
FIGURE 4.11 – Temperature profile for can-annular combustor operating with kerosene ... 134
FIGURE 4.12 – Temperature profile for can-annular combustor operating with kerosene ... 134
List of Tables
TABLE 2.1 - Representative values of pressure loss [8]……………………………………. 40
TABLE 2.2 - L
DZ
/D
ft
as a function of TQ for different values of pressure loss factor ………47
TABLE 3.1 – Limits for equivalence ratio as function of T
3
……………………………....... 78
TABLE 4.1– Example operating condition [1]………………………………………………86
TABLE 4.2– Equivalence ratio limits comparison [1]……………………………………….86
TABLE 4.3– Combustor liner airflow and outer casing airflow reference values ………......87
TABLE 4.4 – Combustor liner airflow and outer casing airflow final values ……………….88
TABLE 4.5– Combustor length zone and preliminary air distribution ……………………...88
TABLE 4.6 – Diffuser example parameters …………………………………………………88
TABLE 4.7 – Swirler example parameters …………………………………………………..89
TABLE 4.8 – Temperature profile ……………………………………...……………………91
TABLE 4.9 – Slot position …………………………………………………………………..92
TABLE 4.10 – Wall temperature …………………………………………………………… 93
TABLE 4.11 – Air admission holes parameters……………………………………………. .93
TABLE 4.12 – Operating condition for annular combustor operating with kerosene ……….95
TABLE 4.13 Theoretical equivalence limits for annular combustor operating with
kerosene………………………………………………………………………………………96
TABLE 4.14 – Combustor liner airflow and outer casing airflow reference values ………...96
TABLE 4.15 Combustor liner airflow and outer casing airflow final values for annular
combustor ………………………………………………………………………………….....97
TABLE 4.16 Combustor length zone and preliminary air distribution for annular
combustor……………………………………………………………………………………..97
TABLE 4.17 – Diffuser parameter for annular combustor …………………………………..98
TABLE 4.18 – Swirler parameter for annular combustor …………………………………...98
TABLE 4.19 – Temperature profile …………………………………………...……………100
TABLE 4.20 – Wall temperature ……………………………………………...……………102
TABLE 4.21 – Air admission holes parameters ………………………………..…………. 103
TABLE 4.22 – Air admission holes distribution ……………………………...……………103
TABLE 4.23 – Operating condition for annular combustor operating with ethanol …….....105
TABLE 4.24 – Theoretical limits for annular combustor operating with ethanol ………….105
TABLE 4.25 – Combustor liner airflow and outer casing airflow reference values ……….106
TABLE 4.26 Combustor liner airflow and outer casing airflow final values for annular
combustor operating with ethanol …………………………………………………………..107
TABLE 4.27– Combustor length zone and preliminary air distribution for natural gas ...…107
TABLE 4.28– Diffuser parameter for annular combustor operating with ethanol …………108
TABLE 4.29 – Temperature profile for annular combustor operating with ethanol …...…109
TABLE 4.30 Cooling slot position and wall temperature for annular combustor with
operating with ethanol ………………………………………………………………………111
TABLE 4.31 – Air admission holes for annular combustor operating with ethanol …….....112
TABLE 4.32 Air admission holes distribution for can-annular combustor operating with
ethanol ………………………………………………………………………………………112
TABLE 4.33 – Basic layout for annular combustors ……………………………………...113
TABLE 4.34 – Operating condition for can-annular combustor operating with natural gas..114
TABLE 4.35 – Theoretical limits for annular combustor operating with natural gas ……...115
TABLE 4.36 – Combustor liner airflow and outer casing airflow reference values …..….115
TABLE 4.37 Combustor liner airflow and outer casing airflow final values for can-annular
combustor operating with natural gas ……………………………………………………..116
TABLE 4.38 Combustor length zone and preliminary air distribution for can-annular
combustor operating with natural gas …………………………….…...……………………116
TABLE 4.39 – Diffuser parameter for can-annular combustor operating with natural gas ..117
TABLE 4.40– Swirler parameter for can-annular combustor operating with natural gas ….118
TABLE 4.41 – Temperature profile for can annular combustor operating with natural gas .118
TABLE 4.42– Cooling slot position and wall temperature for can-annular combustor with
operating with natural gas …………………………………………………………………..120
TABLE 4.43 – Air admission holes for annular combustor operating with natural gas …....121
TABLE 4.44 – Operating conditions for can-annular combustor operating with ethanol ….122
TABLE 4.45 – Theoretical limits for annular combustor operating with ethanol ………….123
TABLE 4.46 – Combustor liner airflow and outer casing airflow reference values ……….123
TABLE 4.47– Combustor liner airflow and outer casing airflow final values for can-annular
combustor operating with ethanol …………………………………………….………….…124
TABLE 4.48 Combustor length zone and preliminary air distribution for can-annular
combustor operating with ethanol…………………………………………………………...124
TABLE 4.49– Diffuser parameter for can-annular combustor operating with ethanol …….125
TABLE 4.50 – Swirler parameter for can-annular combustor operating with ethanol ……..125
TABLE 4.51 Temperature profile for can annular combustor operating with ethanol
….............................................................................................................................................126
TABLE 5.52– Cooling slot position and wall temperature for can-annular combustor with
operating with ethanol ………………………………………………………………………128
TABLE 4.53 – Air admission holes for annular combustor operating with ethanol ……… 129
TABLE 4.54 – Operating condition for annular combustor operating with kerosene .……..130
TABLE 4.55 – Theoretical limits for can annular combustor operating with kerosene ……130
TABLE 4.56 – Combustor liner airflow and outer casing airflow reference values ……….131
TABLE 4.57 Combustor liner airflow and outer casing airflow final values for annular
combustor operating with kerosene ………………………………………………………...132
TABLE 4.58 – Combustor length zone and preliminary air distribution for kerosene …….132
TABLE 4.59 – Diffuser parameter for can annular combustor operating with kerosene …..133
TABLE 4.60 – Swirler parameter for can annular combustor operating with kerosene ……133
TABLE 4.61 – Temperature profile for can annular combustor operating with kerosene….133
TABLE 4.62 Cooling slot position and wall temperature for can annular combustor with
operating with kerosene …………………………………………………………………….136
TABLE 4.63 Air admission holes parameters for annular combustor operating with natural
gas …………………………………………………………………………………………..137
TABLE 4.64 – Basic layout for can annular combustors ………..…………………….…...138
List of Abbreviations and Acronyms
3-D Three - dimensional
CCD Computational Combustion Dynamic
CFD Computational Fluid Dynamic
CRN Chemical Reactor Network
FAR Fuel Air Ratio
LHV Lower Heating Value
PFR Plug Flow Reactor
PSR Perfectly Stirred Reactor
List of Symbol
Latin Characters
A Area
A
ft
Cross sectional area of flame tube
A
ref
Maximum casing cross sectional area
AR Area ratio
b Inlet temperature factor
C
1
Convection heat flux from combustion to gas liner
C
2
Convection heat flux from liner to annulus air
C
d
Coefficient of discharge
C
d,s
Coefficient of discharge of snout
C
p
Gas specific heat at constant pressure
D Diameter
D
ref
Maximum casing diameter or width
DZ Dilution zone
D Diameter
E
a
Activation Energy
EI Emission index
H Enthalpy
K Hole pressure loss factor
K
1-2
Conduction heat flux through liner wall
K
sw
A constant used in swirler blade design
K Thermal conductivity
L Length
Lu Luminosity factor
m
&
Mass flow rate
M Molecular weight
N
h
Numbers of holes
P Total Pressure
Pr Pressure Ratio
p Static pressure
Q Heat Flux
q Dynamic pressure
R Universal gas constant
R
1
Radiation heat flux from combustion gas to liner
R
2
Radiation heat flux from combustor
R
a
Gas constant for air
R Radius
s Slot height
TQ Traverse quality temperature
T Temperature
t Time
t
w
Wall thickness
U,u Velocity
V Volume
V Reference velocity
W Slot gap width
X Distance
Y Molecular fraction
Z Type of hole parameter
Greek Characters
α Hole area ratio
α
sw
Swirler blade stagger angle
β Hole bleed ratio
β
sw
Swirler air turning angle
P Pressure drop
T Temperature difference
Momentum loss factor
ε Emissivity
η Combustion efficiency
θ Efficiency combustion correlation factor
θ Inclination angle of dome
µ
Dynamic viscosity
µ
Hole area ratio
ρ Density
σ Stefan-Boltzmann constant
ϕ Equivalence ratio
ψ Angle of divergence wall and axis
ω
&
Production rate
Subscripts
3 Inlet
4 Outlet
ad Adiabatic
an Annular
con Condition
cool Cooling
cv Control Volume
Diff Diffuser
DZ Dilution Zone
ft Flame tube
g Gas
h Hole
in Internal
inn Inner
Max Maximum
mix Mixture
Out Outer
Prod Products
PZ Primary Zone
Reac Reactant
Ref Reference
s Snout
sto Stoichometric
sw Swirler
SZ Secondary Zone
w Wall
1 Introduction
The gas turbine design traditionally has been a combination of empirical relations,
numerical modeling and extensive variety of component testing, with the goal of obtaining an
acceptable solution between the different design challenges. As the gas turbine operates in a
wide range of conditions the combustor must be designed to operate stable over wide range of
conditions. Some items that must be considered at each operating condition are: combustion
efficiency, loss of pressure, maximum allowed wall temperature, exit temperature quality and
emissions of pollutants [1]. In addition it is necessary to be considered into design process the
physical limitations of combustor, the interaction of the combustor with other engine
components specially the compressor and turbine, and different possible types of fuels that
will be used in the gas turbine.
1.1 Gas Turbine Combustor Design Process
The design process of a combustion chamber for gas turbine design involves different
stages and is directly related to the design methodologies for combustor [2],[3] and it can vary
according with the used methodology. But in general the design process can be divided into
three main stages which correspond to the preliminary design, detailed design and rig testing.
1.1.1
Preliminary design
The preliminary design is a process that involves several stages and it can be divided
into basic sizing, evaluation and modification.
Chapter 1. INTRODUCTION 18
The basic sizing of a combustor is given by a series of parameters and requirements
that the combustor should accomplish according with the operating conditions, those
conditions are given depending upon application (aeronautical or industrial). For an aircraft
engine it is necessary to know the aircraft mission and cycle analysis of engine; however, for
industrial turbines it is necessary just to know cycle analysis to establish these conditions.
The items that must be specified in each operating condition are: air mass flow rate,
fuel mass flow, combustor inlet conditions (temperature, pressure and velocity), outlet
temperature and transversal quality, pressure loss allowed, limits on the combustion
efficiency, maximum allowable wall temperature, fuel type. In addition it is necessary to carry
into consideration aspects such as weight, space limitations, and combustor type.[1]
At this stage of design are established the geometric parameters and basic dimensions
of combustor. These basic dimensions include the total length of combustor, length of each
one of combustor zones, flame tube diameter, number and position of air admission holes and
the geometric parameters for diffuser and swirler based in the aforementioned information.
Using the main geometrical parameters and the dimensions of combustor it is possible
to carry out a design evaluation. The assessment of the preliminary design is usually done by
simulation techniques, using CFD codes that provides an overview of the aerodynamic,
thermodynamic and chemical processes that occurring inside of combustor; the assessment is
performed for all operating conditions to assure that combustor accomplish the specified
requirements at each operating condition, also it is possible submit the preliminary design to a
structural analysis to avoid future structural damage in the combustor.
With the results of this evaluation are possible perform the necessary modifications in
the design layout to obtain the best overall configuration. This process is iterative in nature;
therefore it is important that from the beginning of the project the designer must be set the
Chapter 1. INTRODUCTION 19
initial conditions closer as possible to the real operating conditions; in this way the spent time
in the refining process of the model will be significantly reduced. [4]
1.1.2
Detailed design
Assuming a favorable preliminary design, the detailed design begins in which all
combustor parts to be fabricated are designed. During the detailed design the combustor will
be separated into parts and components, each one of which must be designed and analyzed
separately.
Another important part of detailed design is the production design. At this stage a
specialist determine how each part of the combustor will be manufactured, he establishes the
construction process and assembly for each one. Also he establishes the final assembly
process.
Sometimes the design can be modified to make easier the manufacture; this implies a
new evaluation in the design, and it is done to verify that the modification does not interfere
with the original requirements.
1.1.3
Rig testing
Basically the rig test consists on a series of tests that are made to each of combustor
components, with the purpose of checking the correct operation and performance of
combustor and each component separately; these tests are made for all operating conditions.
These tests are carried out before the combustor is coupled to the gas turbine engine.
Chapter 1. INTRODUCTION 20
1.2 Objective
The objective of this work is to establish a preliminary design methodology for gas
turbines combustors that operates with a variety of fuels based in the model proposed by
Melconian and Moldak [1]. This methodology should be capable to set the basic geometric
parameters and provide a basic configuration of a combustor considering possible changes of
fuel and operational loads. The proposed methodology also includes the use of a chemical
reactor network (CRN) to calculate the gas temperature inside the combustor, in addition of
the model proposed by Melconian and Moldak [1].
1.3 Motivation
The increased in global energy demand [5] mainly caused by the growth in electric
generation industries and aviation, the last one with an increment of the worldwide fleet of
aircraft about 5% annually [6]. Has been caused an increased in the use of gas turbine engine.
Thus different countries seek to consolidate an energetic structure that gives them security,
but also oriented towards reducing the environmental impact and the production costs.
In gas turbines used for electrical generation much like in the aeronautic industry has
been exploring a wide variety of fuels, from the most traditional as natural gas and petroleum
derivatives, through alcohol and biodiesel and even some non-traditional fuel as syngas and
synfuels. As a direct result of these searches it is necessary that new gas turbines have the
ability to operate with a wide variety of fuels [7], [8].
Chapter 1. INTRODUCTION 21
1.4 Design methodologies for gas turbine combustors
There are currently several methodologies used for the design of gas turbine
combustors, these methodologies has been developed through time and has evolved from
empirical models to more analytical and complex models that using advanced numerical
methods. These combustor design methodologies can be classified according to the level of
complexity. This level of complexity is mainly associated with the dimensionality [1], and fall
in four categories: empirical models, semi-empirical, semi-analytical and analytical which is
the most advanced; this one use numerical techniques for analyzing multidimensional
combustion processes [9]. Each one of these methodologies has its strengths and weakness.
1.4.1 Empirical methodology
The empirical methodology tend to be the simplest model and are based on the
empirical relationships which were obtained through a variety of tests of different components
of the combustor and a wide variety of configurations, within this methodology is also used a
series of statistical data of successful combustion systems that compound a base line, this base
line is used to establish basic parameters of a combustor.
The major advantage of that methodology is the simplicity of calculations, through it
is possible determinate basic parameters of combustors just with the inlet conditions based in
the mission and engine cycle analysis. This methodology is considered as a method of rapid
implementation [4],[10]. In the same way with the use of statistics base lines it is possible to
identify a combination of parameters that allow obtaining configuration of the most suitable
Chapter 1. INTRODUCTION 22
combustion chamber according to the initial parameters set, so the time spent on the
optimization process will reduced [4].
However, this methodology being a basic model has a number of restrictions,
especially related to the characteristics of the fluid and its behavior within the combustor, this
behavior is related to turbulence levels, with the fuel injection process, fuel evaporation and
combustion process. Some limitations of empirical models are: scaling combustor, calculating
combustor with non conventional or new concepts in combustion, and if are required
significant changes in technological levels (combustor performance, combustor temperature
rise and durability) [11].
1.4.2 Semi-empirical methodology
Semi-empirical methodology consists of equations that contained empirically
determinate constants, and is an evolution of empirical methodology. Generally in this
methodology is added chemical reactors network (CRN). This network is usually a series of
perfectly stirred reactor which simulate the primary and secondary region of the combustor,
where the composition, velocity, temperature of the gas and heat flux is uniform throughout
the studied region. The reaction mechanism used in this model is usually one step global
mechanisms. It is important to note that although this model is more complex than the
previous one the basic empirical relationships are also used to obtain basic geometric
parameters of combustor. With this model it is possible to obtain a better correlation between
the emission of pollutants and combustion efficiency [1],[9]. As well as the previous
methodology, the major advantage is the reduced time of implementation, and does not
require a higher computational effort.
Chapter 1. INTRODUCTION 23
1.4.3 Semi-analytical methodology
The semi-analytical methodology is more complex that the previous ones. It includes
the empirical relations, constants and equations that have already been used in the previous
methodologies and also includes a chemical reactor network. The main difference between
this methodology and the semi-empirical methodology is the complexity in the chemical
reaction network, which is given by the number of reactors that are used into the network and
how they are interconnected, i.e. for each region of the combustor is represented by a
chemical reactor network, which are interconnected. One of the main objectives of this type
of modelling is to obtain an estimate of emissions of pollutants, particularly NOx and CO [9].
This methodology also includes model of turbulence, reactions rates and a simplified model
of heat transfer [1]. This type of methodology requires a considerable computational effort
and a broad knowledge of each one of the phenomena that occurs into the combustor [12].
1.4.4 Analytical methodology
The analytical methodologies are related to multidimensional models. In these models
is taking into account not only physical process, but also chemical process. This means that
within the model there are usually sub-models that improve prediction accuracy for design
combustor [13]. Some of the sub-models include turbulence and scalar transport models,
spray dynamics, evaporation and mixing, heat transfer.
This type of methodology generally uses CFD code or a computational combustion
dynamics (CCD) code [12] that use detailed chemical kinetic mechanisms and different
numerical techniques to simulate combustors with complex geometries in 3-D. However, for
Chapter 1. INTRODUCTION 24
its implementation requires a detailed knowledge of combustor geometry and operating
conditions, besides requiring an extremely high computational effort.
1.5 Thesis outline
Chapter 2 discusses the development of a preliminary design methodology for multi-
fuel gas turbine combustor used in this work. Chapter 3 focuses in the implementation of
methodology. Chapter 4 presents the methodology validation and show the results obtained
for different combustor configurations as well a discussion of these results. Chapter 5 contains
general conclusions about the work.
2 Developing of preliminary design methodology for multi
fuel gas turbine combustor
This chapter discusses the development of a preliminary design methodology for multi-
fuel gas turbine combustor; which is based on the formulation proposed by Melconian and
Modak [1]. This model is based on a series of empirical and semi-empirical correlations that
have been developmed through the time, and allows obtain a first approach of combustor
model. The methodology assumes that the inlet combustor conditions are known from the
engine cycle analyses.
2.1 Gas turbine combustor
The basic combustion chamber or combustor is an engine component and it is
basically a single circular tube, where the chemical energy contained in a fuel is transformed
into heat energy. This energy is drawn through the turbine and the engine keeps running. The
burning process must be continuous during engine operation from the ignition until engine
shutdown.
A combustor must satisfy a wide range of requirements [1],[12], which may vary
according to type of application. However, the basic requirements for all combustors are:
high combustion efficiency;
CHAPTER 2. DEVELOPING OF DESIGN METHODOLOGY FOR MULTI
FUEL GAS TURBINE COMBUSTOR
26
high reliability and smooth ignition, both on the ground (especially at low
temperatures) and high altitude after a flameout for aircraft gas turbine;
optimal flame stability in all operating conditions;
homogeneous temperature distribution at combustor chamber outlet (pattern factor);
minimal formation of pollutants at all operating conditions;
minimum pressure loss;
low manufacturing cost, easy maintenance and long operating life;
fit and compatibility with the engine size and low weight for certain cases;
low fuel consumption;
multi-fuel capability.
2.1.1
Combustor types
The combustion chambers can be classified according to three design features:
by geometry, air distribution, and type of fuel injector. For the present work was adopted the
classification by geometry, that it corresponds to the most used classification.
Combustor classification by geometry
There are three basic configurations of combustors, multi-can (can, tubular), annular,
can-annular (tuboannular). See Figure 2.1
CHAPTER 2. DEVELOPING OF DESIGN METHODOLOGY FOR MULTI
FUEL GAS TURBINE COMBUSTOR
27
FIGURE 2.1 – Cross section of three main combustor type.
Multi-can combustors
Also called can or tubular, consist of a flames tubes mounted concentrically within a
cylindrical casing, which are arranged around the engine axis. The interconnector is necessary
to ensure the ignition of all cans during the start-up by the flame propagation through
interconnecting tubes.
This type of construction provides a combustor with high pressure drop, heavy, large
length, and large frontal area. It is often used with centrifugal compressors. The advantage of
this combustor is its mechanical resistant and the developing and testing of the combustor can
be made with one can.
Annular combustors
The annular combustion chamber consists of a single annular flame tube (liner), which is
located within an inner and outer wall forming the combustor casing. The space between the
CHAPTER 2. DEVELOPING OF DESIGN METHODOLOGY FOR MULTI
FUEL GAS TURBINE COMBUSTOR
28
compressor and turbine is maximized, using it primarily for the combustion process. The size
and the front section are minor compared with other types of combustors; therefore, the
pressure loss is reduced and the area to be refrigerated too. For this reason the additional
amount of air can be used in primary and secondary zones of the chamber, improving the
combustion efficiency. The design process and development of an annular combustor is
complex and rig testing is complex too. Structurally is weaker compared with the others
configurations, so that buckling can occur in the hot walls of flame tube.
Can-annular combustor
The can-annular combustor consists of several flame tubes (cans), within a single
cylindrical casing. As a result of this configuration, the length and weight are lower than a
multi-can combustor. However, it is more difficult obtain a uniform distribution of air
combustion between the flame tubes when compared with the multi-can and is possible affirm
that this type of combustor is an intermediate design between multi-can and annular
combustors.
2.1.2
Basic configuration of the combustor
The combustion chamber is divided into the following regions or components:
Diffuser, Primary zone, Secondary zone and Dilution zone. These regions and main
components of a typically combustor is shown in the following schematic representation of
Figure 2.2
CHAPTER 2. DEVELOPING OF DESIGN METHODOLOGY FOR MULTI
FUEL GAS TURBINE COMBUSTOR
29
FIGURE 2.2 – Basic combustor features [14].
Diffuser
The function of the diffuser is reducing the air flow velocity from the compressor, besides
taking part in the distribution of airflow in the combustor, i.e. the airflow delivery for primary
and secondary zone. It is also used to recover some of the dynamic pressure.
The diffuser section is located directly after the compressor and is presented as a
divergent channel. There are two main types of diffuser: soft expansion or aerodynamic long
diffuser and sudden expansion also called "dump or step". The first configuration allows
reach up to 35% reduction in speed before the airflow reaches the snout where it is divided in
three parts. The dump diffuser consists of a short conventional diffuser in its forward part, the
walls of which are suddenly broken, where the velocity is reduced by about 50%. At the
output of this the airflow is divided creating a ring of air that surrounds the contour of the
flame tube and part of the airflow entering to the dome of the combustor.
CHAPTER 2. DEVELOPING OF DESIGN METHODOLOGY FOR MULTI
FUEL GAS TURBINE COMBUSTOR
30
Primary zone
The main function of the primary zone is to anchor the flame and to provide the adequate
conditions for complete combustion of air- fuel mixture. Within this area there is a
recirculation zone which consists of a flow reversal zone generated by the low pressure that
generated due to high levels of turbulence. A portion of the incoming air flow is mixed with
hot gases from the recirculation zone and fuel steam, and this mixture is ignited by the high
temperature of the gas, As result is a self-sustaining of burning process is established after
initial ignition.
This recirculation zone can be generated through different methods such as swirlers,
opposed air jets, mechanical and combined stabilizers. These methods not only help to
stabilize the flame also increase the rate of mixture air/fuel to improve combustion.
Secondary zone
The temperature of the gases and products leaving the primary zone is around 2000K. At
these temperatures and as consequence of the dissociation the combustion products may
contain unburned hydrocarbons (UHC) and species as H
2
and CO in high concentrations.
Should these gases pass directly into the dilution of these would be rapidly cooled by the
addition of large amount of air, gas composition would “frozen” and will be appear pollutants
as CO, H
2
and UHC. The secondary zone then reduces these species by the addition of air,
reducing the temperature and encourages the formation of CO
2
, H
2
O and complete
combustion. In the case of aircraft at high altitude the reaction rate becomes slower as a
consequence of pressure reduction and largely of the combustion occurs in this region.
CHAPTER 2. DEVELOPING OF DESIGN METHODOLOGY FOR MULTI
FUEL GAS TURBINE COMBUSTOR
31
Dilution Zone
The main role of this zone is to receive the remaining air and gases from the combustion
and mixing them, in order to obtain an appropriate temperature distribution for the turbine
entrance. This temperature distribution is usually associated with pattern factor or transverse
temperature quality (TQ), which is a parameter, used to determine the quality of the mixing
process in the dilution zone and is defined as:
34
4max
TT
TT
TQ
=
(2.1)
Where T
max
is the maximum or peak temperature, T
4
is the average exit temperature and T
3
is the combustion inlet temperature and usually corresponds to the compressor discharge
temperature. A satisfactory value for transverse temperature quality is around 0.25.
The amount of air available for dilution zone normally is 20% to 50% of the total air flow
from the compressor. The air injection is performed through one or more rows of holes in the
wall of flame tube.
2.2 Design methodology
2.2.1
Theoretical limits for equivalence ratio
The equivalence ratio for the primary zone should be chosen assuming that the air and
fuel injected in this region will form a flammable mixture before ignition; so the equivalence
ratio for the primary zone should be within the mixture flammable envelope for the reactants
CHAPTER 2. DEVELOPING OF DESIGN METHODOLOGY FOR MULTI
FUEL GAS TURBINE COMBUSTOR
32
established. According with Melconian and Modak [1], temperatures above 1600K for lean
and rich mixtures guaranteeing that combustion always will happen, as is show in the Figure
2.3.
FIGURE 2.3 – Flame limit temperature for flammable mixture. [1].
Thus the equivalence ratio for the primary zone should be within the limits of the
equivalence ratio rich and lean, producing a temperature of 1600K, it is evident that these
limits depends of air temperature at inlet of combustor or outlet from compressor (T
3
), which
varies according to engine operating condition. Then, it is necessary obtain the behaviour of
the equivalence ratio limits, called ϕ
rich
and ϕ
lean
as a function of temperature (T
3
).
It is important to emphasize that for each engine operating condition is obtained a
different equivalence ratio limits, so it is necessary to calculate these limits for the most
critical operating condition and choose the percentage of airflow from the compressor to
satisfy completely the condition of flammable mixture.
To obtain the limits ϕ
rich
and ϕ
lean
as a function of temperature (T
3
) is used chemical
equilibrium calculations.
CHAPTER 2. DEVELOPING OF DESIGN METHODOLOGY FOR MULTI
FUEL GAS TURBINE COMBUSTOR
33
Adiabatic Flame Temperature
Adiabatic flame temperature it is the highest temperature reached by the products of
combustion, where all the energy released by the reactions is contained in the products,
considering absence of any external heat transfer. The adiabatic flame temperature depends on
the initial conditions of the reactants (pressure, temperature, composition, equivalence ratio)
and the type of process (pressure or volume constant); generally the maximum adiabatic flame
temperature is obtained close to the stoichiometric condition.
Applying the first law of thermodynamics and considering a fuel-air mixture burning at
constant pressure:
H
reac
( T
i
,P) = H
prod
(T
ad
,P)
(2.2)
where H
react
is the reactants enthalpy and H
prod
is the products enthalpy or, equivalently, in
intensive form
h
reac
(T
i
,P) = h
prod
(T
ad
,P)
(2.3)
Where the molar absolute enthalpy for species i, can be write as:
T
Tref
i,s
0
i,f
0
i
hh)T(h +=
(2.4)
where
0
i,f
h
is enthalpy of formation and
i,s
h
is the change of sensible enthalpy, and T
ref
is the
reference temperature, in general is assumed as 298K.
CHAPTER 2. DEVELOPING OF DESIGN METHODOLOGY FOR MULTI
FUEL GAS TURBINE COMBUSTOR
34
Chemical Equilibrium
In high temperature combustion processes, the products of combustion are not a simple
mixture of ideal products, i.e. major species dissociate, producing a variety of multiple minor
species. For this reason the major problem is the calculation of the mole fraction of all product
species at given pressure and temperature, subject to the conservation of number of moles of
each of the elements that compound the initial mixture. There are several ways to calculate
the equilibrium composition; in this work was used Gibbs function as follows,
TSHG
=
(2.5)
For adiabatic systems without work, the second law of thermodynamics can be written as;
0)dG(
m,P,T
(2.6)
In this way the Gibbs function decreases for spontaneous changes, and reached the
minimum value at equilibrium. Thus,
0)dG(
m,P,T
=
(2.7)
The Gibbs function for the i species is given by,
)P/Pln(.Rgg
0
i
0
T,iT,i
+=
(2.8)
CHAPTER 2. DEVELOPING OF DESIGN METHODOLOGY FOR MULTI
FUEL GAS TURBINE COMBUSTOR
35
where
0
T,i
g
is the Gibbs function of the pure species at standard pressure and temperature,
where the standard pressure P
0
is assumed as 1 atm, and can be calculate through,
])g()g([)g(g
Tref
0
iT
0
iTref
0
fi,
0
Ti,
+=
(2.9)
where the (
0
fi,
g
)
Tref
is the Gibbs function of formation and
Tref
0
iT
0
i
)g()g(
is the change of
sensible Gibbs function and the values can be obtained from tabulated values for each species
according with the temperature of interest.
For an ideal gas mixture, the Gibbs function can be written as,
)]P/Pln(.Rg.[NgNG
0
i
0
T,i
k
1i
iT,i
k
1i
imix
+==
==
(2.10)
where N
i
is the number of moles of the ith species.
For a given temperature and pressure dG
mix
= 0, i.e. for the equilibrium condition
becomes,
0)]P/Pln(.Rg[d.N)]P/Pln(.Rg.[dN
0
i
0
T,i
k
1i
i
0
i
0
T,i
k
1i
i
=+++
==
(2.11)
where it is possible to say that d(lnP
i
) = dP
i
/ P
i
and ΣdP
i
= 0, since the change in partial
pressure is zero because the total pressure is constant, then
CHAPTER 2. DEVELOPING OF DESIGN METHODOLOGY FOR MULTI
FUEL GAS TURBINE COMBUSTOR
36
)]P/Pln(.Rg.[dN0dG
0
i
0
T,i
k
1i
imix
+==
=
(2.12)
For a general system, where
a.A + b.B + ...
e.E + f.F + … ,
(2.13)
the change in the number of moles of each species is proportional to its stoichiometric
coefficient,
dN
A
= -k.a
dN
B
= -k.b
dN
E
= +k.e
dN
F
= +k.f
(2.14)
Substituting the equation 2.14 into 2.12 and cancelling the proportionality constant k,
0...)]P/Pln(.Rg.[f)]P/Pln(.Rg.[e
...)]P/Pln(.Rg.[b)]P/Pln(.Rg.[a
0
F
0
T,F
0
E
0
T,E
0
B
0
T,B
0
A
0
T,A
=+++++
++
(2.15)
Rearranging the equation 2.15:
CHAPTER 2. DEVELOPING OF DESIGN METHODOLOGY FOR MULTI
FUEL GAS TURBINE COMBUSTOR
37
( )
=++
...)P/P.()P/P(
...)P/P.()P/P(
ln.T.R...gbga...gfge
b0
B
a0
A
f0
F
e0
E
0
T,B
0
T,A
0
T,F
0
T,E
(2.16)
where the left hand side term of the equation 2.16 is called the change of standard state Gibbs,
i.e.,
(
)
...gbga...gfgeG
0
B,f
0
A,f
0
F,f
0
E,f
0
T
++
(2.17)
the right hand side term of the equation 2.16 is defined as the equilibrium constant K
p
for the
reaction establish at the equation 2.13
=
...)P/P.()P/P(
...)P/P.()P/P(
K
b0
B
a0
A
f0
F
e0
E
p
(2.18)
Finally the statement of chemical equilibrium at constant pressure and temperature,
becomes,
p
0
T
Kln.T.RG =
(2.19)
or
)T.R/Gexp(K
0
Tp
=
(2.20)
CHAPTER 2. DEVELOPING OF DESIGN METHODOLOGY FOR MULTI
FUEL GAS TURBINE COMBUSTOR
38
2.2.2
Basic dimensions for combustor.
To determinate the basic geometry of combustor, firstly it must be determinated the
reference area (A
ref
), which is defined as the maximum transversal area of combustor casing in
absence of flame tube. This area is limited by chemical and aerodynamics parameters. From
the chemical parameters is desired a higher volume to complete the chemical reactions and
from the aerodynamics parameters it is desired a lower volume because it represents a smaller
length and, consequently, a smaller contact surface with the flow, which reduces the total
pressure loss.
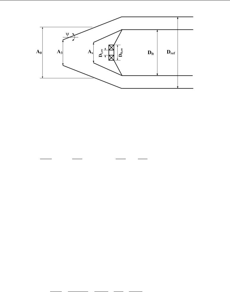
The Figure 2.4 shows the reference height or the reference diameter for the different
combustor configurations. The Figure also shows the liner height and diameter according with
the combustor configuration, D
ft
is the liner or flame tube height or diameter, D
ref
is defined as
the height or diameter of the casing and D
int
is defined as the height or internal diameter of
internal combustor casing.
Based on the geometry of each combustor, the equations for the reference area A
ref
are
obtained
For annular and can-annular combustor:
(
)
+
=
44
2
2
2
in
inref
ref
D
DD.
A
π
π
(2.21)
For multi-can combustor:
CHAPTER 2. DEVELOPING OF DESIGN METHODOLOGY FOR MULTI
FUEL GAS TURBINE COMBUSTOR
39
=
4
2
ref
ref
D
A
π
(2.22)
FIGURE 1.4 –
D
ref
and
D
ft
for flame tube arrangements [1].
The selection of the reference area is made based in the obtained data for a selected
operating conditions and taking into account the chemical and aerodynamic considerations.
CHAPTER 2. DEVELOPING OF DESIGN METHODOLOGY FOR MULTI
FUEL GAS TURBINE COMBUSTOR
40
2.2.3
Aerodynamics Considerations
The aerodynamics considerations are relationed with the ratio of combustor total pressure
loss and the total pressure at the combustor inlet
)P/P(
343
and with the ratio given by the
total pressure loss and dynamic reference pressure
)q/P(
ref43
. Rearranging the equation
(2.23) is possible obtained the reference area (A
ref
) value through the equation 2.24.
2
3ref
0.5
33
AR
ref
43
3
43
PA
Tm
2
R
q
P
P
P
=
&
(2.23)
50
3
43
43
3
33
2
.
ref
ar
ref
P
P
q
P
P
T.m
R
A
=
&
(2.24)
Typical values used for A
ref
calculation are showed in Table 2.1
TABLE 2.1 - Representative values of pressure loss [8]
Combustor type
%
P
P
3
43
ref
43
q
P
3ref
3
PA
Tm
3
&
Multi-can 5.3 40 3.0 x 10
-
3
Annular 6.0 20 4.5 x 10
-
3
Can-annular 5.4 30 3.5 x 10
-
3
CHAPTER 2. DEVELOPING OF DESIGN METHODOLOGY FOR MULTI
FUEL GAS TURBINE COMBUSTOR
41
2.2.4
Chemical Considerations
The chemical considerations are based on the combustion efficiency η and are correlating
with the reference area (A
ref
) through parameter θ, according with the equation 2.25. For any
given air/fuel ratio the combustion efficiency (η) is function of θ Lefebvre [14] and
Melconian and Modak [8] represent it as an empirical relation and is show by the equation
(.25) in the Figure. 2.5
3
3
75.075.1
3
exp
m
b
T
DAP
refref
&
=
θ
(2.25)
where θ is the correlating parameter of combustion efficiency η.
The parameter b in the equation 2.25 is a temperature correction factor and is defined by
de empirical equations 2.26 and 2.27, and it depends of primary zone equivalence ratio.
)ln39.1(245
PZ
b
φ
+=
for 0.6<
PZ
φ
1.0
(2.26)
)ln00.2(170
PZ
b
φ
+=
for 1.0<
PZ
φ
1.4
(2.27)
CHAPTER 2. DEVELOPING OF DESIGN METHODOLOGY FOR MULTI
FUEL GAS TURBINE COMBUSTOR
42
FIGURE 2.5 – Theta parameter correlation. [1].
Primary zone equivalence ratio
The primary zone equivalence ratio (ϕ
PZ
) can be calculated using the equation 2.28,
where
PZ
m
&
is the mass airflow rate in the primary zone, ϕ
Global
is the total equivalence ratio
and
o
fuel flow rate.
=
o
PZ
Global
PZ
m
m
&
&
φ
φ
(2.28)
CHAPTER 2. DEVELOPING OF DESIGN METHODOLOGY FOR MULTI
FUEL GAS TURBINE COMBUSTOR
43
ϕ
Global
is represented by equation (2.29)
.sto
o
f
con.opt
o
f
.est
con.opt
global
m
m
m
m
==
&
&
&
&
φ
φ
φ
(2.29)
Is important remember that the total equivalence ratio global (ϕ
Global
) will change
according with the engine operating conditions, hence the primary zone equivalence ratio (ϕ
pz
)
also change, and taking into account this condition the primary zone equivalence ratio (ϕ
pz
)
must be into the fuel flammability limits envelope, for temperatures above 1600K.
2.2.5
Determination of combustor area
Based on the estimed values obtained through the equations 2.22, 2.23, 2.24 and 2.25
there will be two different values for any operating condition. In this case the reference area
(A
ref
) must be chosen as the highest value found between the aerodynamic and chemical
calculation, Melconial e Modak [1].
The combustor area is given by the relationship:
refft
AA
=
7.0
(2.30)
This relationship is seems to be quite satisfactory for single can, multi-can, annular
combustors. For can-annular combustor a value between 0.65-0.67[1] is more appropriate for
the constant.
CHAPTER 2. DEVELOPING OF DESIGN METHODOLOGY FOR MULTI
FUEL GAS TURBINE COMBUSTOR
44
With the value of the combustor area (A
ft
) is possible calculate the D
ft
that correspond to
the height or diameter of flame tube according with the type of combustor see Figure 2.1
For annular combustor,
( )
π
+
=
refin
ft
ft
DD
A
D
(2.31)
For multi-can and can-annular combustors,
0,5
4
=
π
ft
ft
A
D
(2.32)
2.2.6
Preliminary estimate of air distribution
In this section the air distribution is estimated, when is determined the limits of
flammability of the mixture also is determined the percentage of air from the compressor that
entering in the primary zone for each one of the operating conditions through the equation
2.28.
To determine the amount of air entering the secondary zone is applied the condition that
the combustion process must be completed at the end of this region. Then is used as a
reference the most critical condition of operation or the richest operating condition. This
refers to the condition with the lowest mass airflow. It is assumed that until the end of the
CHAPTER 2. DEVELOPING OF DESIGN METHODOLOGY FOR MULTI
FUEL GAS TURBINE COMBUSTOR
45
secondary zone the global equivalence ratio should be around 0.8[1], using the following
equation;
(
)
33
8.0 m
m
m
m
PZ
rich
global
SZ
&
&
&
&
=
+
φ
(2.33)
where
PZ
m
&
is mass airflow rate in the primary zone,
3
is the air mass flow rate from
compressor, and (ϕ
global
)
+rich
is the global equivalence ratio at richest operating condition.
In the calculation sequence, must be estimated the amount of film cooling air, according
with the equation 2.34 proposed by Odgers [15]. This portion of air can be calculated by;
30T1.0
m
m
3
3
cool
=
&
&
(2.34)
where T
3
is the temperature in K at the design point condition.
Finally the amount of air
DZ
, used in the dilution zone is given by;
(
)
33
1
m
mmm
m
m
coolSZPZ
DZ
&
&&&
&
&
+
+
=
(2.35)
2.2.7
Length of combustors zones
The length of the primary zone and secondary zone can be assumed as ¾D
ft
and ½D
ft
respectively, according with Melconian and Modak [1],[15]. The length of the zone of
dilution is a function of temperature traverse quality (TQ) and pressure loss (
P
3-4
/q
ref,
). The
CHAPTER 2. DEVELOPING OF DESIGN METHODOLOGY FOR MULTI
FUEL GAS TURBINE COMBUSTOR
46
temperature traverse quality is defined as a relationship between the highest expected
temperature at the combustor outlet and the average temperature of the combustor relative to
the mean temperature change in the combustor;
Usually this parameter must be between 0.05 and 0.30.
The relationship between pressure loss factor, temperature traverse quality and the length
of the dilution zone is shown in the Figure 2.6, Melconian and Modak[1].
FIGURE 2.6 – Dilution zone mixing performance. [1].
The Table 2.2 shows the equations that characterize the curves shown in the Figure. 2.6.
[17].
At this point of calculation has been defined. if within the calculation of the dilution zone
is included the nozzle box, it corresponds a transition piece between the combustor secondary
CHAPTER 2. DEVELOPING OF DESIGN METHODOLOGY FOR MULTI
FUEL GAS TURBINE COMBUSTOR
47
zone and nozzle guide vane, in this case the designer should evaluate whether the length of
the zone of dilution takes into account or not this nozzle box
TABLE 2.2 - L
DZ
/D
ft
as a function of TQ for different values of pressure loss factor
P
3–4
/q
ref
L
DZ
/D
ft
15
3.78 – 6
TQ
20
3.83 – 11.83
TQ
+ 13.4
2
TQ
30
2.96 – 9.86
TQ
+ 13.3
2
TQ
50
2.718 – 12.64
TQ
+ 28.51
2
TQ
Finally the total length of the combustor is defined as the length from the outlet of fuel
injector to the end of the dilution zone, and is given by:
L
CC
= L
PZ
+ L
SZ
+ L
DZ
(2.36)
2.2.8
Diffuser design
The diffuser design is more restricted due to the space of the engine, but the ultimate goal
is to design the most efficient diffuser within the given space with the least possible pressure
loss. The basic geometry of the diffuser is shown in Figure 2.7. At this stage of the design the
compressor outlet profile is unknown and it is assumed as uniform. For conventional designs
of combustion chamber is assumed that about a half of the air entering to the primary zone
enters through the swirler and slot dome cooling of the primary zone, that is passing through
the snout area (A
s
), therefore the remaining percentage air would pass through the annular
area (A
an
). The annular area is given by the equation:
CHAPTER 2. DEVELOPING OF DESIGN METHODOLOGY FOR MULTI
FUEL GAS TURBINE COMBUSTOR
48
A
an
= A
ref
– A
ft
(2.37)
The air mass flow rate at the annular area (A
an
) is:
(
)
SWdome3an
mmmm
&&&&
+=
(2.38)
where
dome
is the air mass flow rate passing thought the dome and
SW
is the air mass flow
rate passing through the swirler.
The area A
0
is calculated assuming that the air velocity in this section corresponds to the
air velocity through the annular area A
an
, therefore:
an
an
3
0
A
m
m
A =
&
&
(2.39)
FIGURE 2.7 – Basic geometry of diffuser. [1].
The expansion ratio can be calculated as follows:
CHAPTER 2. DEVELOPING OF DESIGN METHODOLOGY FOR MULTI
FUEL GAS TURBINE COMBUSTOR
49
3
0
A
A
AR =
(2.40)
The divergence angle (ψ) of the diffuser should be the ideal to minimize total pressure
loss of the flow. For a long diffuser with a low angle of divergence the total pressure loss is
high due to the skin friction along the walls, in the opposite case a diffuser with a high angle
of divergence reduces the length of the diffuser and consequently the pressure loss due to skin
friction, but increase the stall losses due to the boundary layer separation. The equation
developed by Kretschemer and used by Melconian and Modak [1], to obtain the total pressure
loss, is adopted:
(
)
2
o
3
2
3
1.22
2
3
33
a
3
dif
A
A
1
A
tanψ
P
Tm
R1.75
P
P
=
&
(2.41)
where 1.75R
a
= 502.4 J/kgK. The typical value for pressure loss is about 1%; in this way, it
can be adopted as a value of design, and the divergence angle (ψ) can be calculated through
the equation 2.41.
The snout area A
s,
is given by:
Sd,3
S
0
S
C
1
.
m
m
A
A
&
&
=
(2.42)
where A
s
is the snout area, C
d,S
is the coefficient of discharge of snout and
s
air mass flow
rate
CHAPTER 2. DEVELOPING OF DESIGN METHODOLOGY FOR MULTI
FUEL GAS TURBINE COMBUSTOR
50
Then the length of the diffuser can be obtained through:
L
dif
= (R
0
– R
3
)/tan
ψ
(2.43)
where R
0
and R
3
correspond to D
0
/2 and D
3
/, respectively. For the calculation of the diffuser
are used the parameters at most critical operating condition.
2.2.9
Swirler design
The main role of the swirler is create a zone of low pressure where the products of
burning flow in the opposite direction relative to the general motion of the airflow, creating a
recirculation zone into the primary zone of combustor to stabilize the flame in this region. The
intensity of the recirculation zone is function of degree of swirl, number and type of blades,
and airflow through the blade channel.
For swirler design should be considered that the momentum of the quantity of air passing
through is equal to momentum generates by the air entering into the zone of recirculation
through the holes in the primary zone. According to experimental results by Melconian and
Modak [1], it is recommended that the air mass flow rate of swirler must be between 3 and
12% of total air. Most swirlers are made with set at a constant angle blade. Based on
experimental results the stagger angle of blades can be considered equal to the turning angle
of air flow (β
sw
). Usually the stagger angle of blades lie between 45 and 70 degrees [16].
Typical configuration of swirler and their components is show in the Figure 2.8.
CHAPTER 2. DEVELOPING OF DESIGN METHODOLOGY FOR MULTI
FUEL GAS TURBINE COMBUSTOR
51
FIGURE 2.8Swirler basic geometry. [1].
The pressure loss factor through of swirler can be obtained by the equation 2.44,
2
3
2
2
2
.sec
=
m
m
A
A
A
A
K
q
P
sw
ft
ref
sw
sw
ref
sw
ref
sw
&
&
β
(2.44)
where
sw
is the total air mass flow rate passing through the swirler, the constant K
sw
correspond to blade form factor of the swirler, 1.30 for straight blades and 1.15 for curved
blades.
The pressure loss factor through the swirler can be written as,
ref
diff
ref
s
refref
ftsw
ref
sw
q
P
q
P
q
P
q
PP
q
P
=
=
43
(2.45)
CHAPTER 2. DEVELOPING OF DESIGN METHODOLOGY FOR MULTI
FUEL GAS TURBINE COMBUSTOR
52
The equation 2.45 considers the diffuser pressure loss, the pressure loss inside the snout
(P
s
) and the total loss of pressure along the combustor (P
3-4
/q
ref
). The diffuser pressure loss
factor is given by the equation 2.46,
3
43
43
3
1
P
P
q
P
.
P
P
q
P
ref
diff
ref
diff
=
(2.46)
Since P
diff
/q
ref
is about 1% for the diffuser design, and the total pressure loss depends on
the combustor geometry and their typical values are shown in Table 2.2 at section 2.2.7. The
pressure loss (P
3_4
/P
3
)
can be calculated by equation 2.3, and then the term of pressure loss
in the snout is calculated by equation 2.47,
2
0
=
=
A
A
q
P
q
q
q
P
q
P
ref
s
s
ref
s
s
s
ref
s
(2.47)
where P
s
/ q
s
0.25.[1]
With the value of P
sw
/q
ref
it is possible to calculate the swirler area value (A
sw
) through
equation 2.45. The next step is estimate the value of the fuel atomizer casing (D
I,sw
). In
general this value correspond 10 to 15 % of reference diameter (D
REF
), typically outer
diameter (D
0,sw
) is about 30% of the flame tube diameter (D
ft
)
CHAPTER 2. DEVELOPING OF DESIGN METHODOLOGY FOR MULTI
FUEL GAS TURBINE COMBUSTOR
53
2.2.10
Recirculation zone
The length of the recirculation zone (L
RZ
) is based on statistical data and it must be assumed a
value between the primary zone length (L
ZP
) and twice the outer diameter of swirler (D
0,sw
), as
is show the Figure 2.9. Once the length of the recirculation zone (L
RZ
) is calculated the
inclination angle (θ) and length of the dome (L
DOME
) can be obtained by the equations 2.48
and 2.49, [17] respectively
(
)
(
)
++
++
=
2
ZRZRft
2
swswft
2
ft
2
ZRZRft
2
swswft
2
ftZRftswftft
L.16L.D.8D.4D.D.4D.2
L.16L.D.8D.4D.D.4D.L.4DD.2D.D
cosa
θ
(2.48)
( )
θ
tan
DD
L
SWft
DOME
=
2
(2.49)
The equations 2.48 and 2.49 represent just geometric relationships.
FIGURE 2.9 Recirculation zone
CHAPTER 2. DEVELOPING OF DESIGN METHODOLOGY FOR MULTI
FUEL GAS TURBINE COMBUSTOR
54
2.2.11
Flame temperature calculations
For the combustor cooling system design, it is necessary to determine the temperature
profile of the gases throughout the combustor. The objective of this calculation is obtain the
points of the combustor where the temperature will be higher and in which region is located,
to allow the designer to know where can be localized the cooling slots.
In the methodology proposed by Melconian and Modak [1], the calculation of flame
temperature is given by a series of empirical equations that only takes into account the
efficiency of combustion; otherwise it is assumed that the temperature profile varies linearly
between inlet temperature (T
in
) and outlet temperature (T
out
) for each region. For those reasons
in the methodology here proposed, the calculation of the flame temperature will be made by
the use of a chemical reactors network (CRN).
In this methodology the combustor is divided into four main regions: recirculation
zone, remain primary zone, secondary zone and dilution zone, where the recirculation zone is
represented by one perfectly stirred reactor (PSR) at given temperature, the remain primary
zone are represented by five PSR, the secondary zone have five PSR and dilution zone has
been modelled as a plug flow reactor; as is show in the Figure 2.10. This approach allows take
into account the chemical reaction and gives a more appropriate temperature profile.
CHAPTER 2. DEVELOPING OF DESIGN METHODOLOGY FOR MULTI
FUEL GAS TURBINE COMBUSTOR
55
FIGURE 2.10 – Diagram of the combustor model
Chemical reactors network methodology
The CRN is generally used for the prediction of pollutants in the combustor [18], as much
as in the design stage as in combustors already built. The use of the CRN in the combustor
design allows a fast analysis of different configurations and chemical processes that occurs in
it.
The modelling of the combustor using CRN is based on the simulation of different
regions of the combustor using simplified reactors models as PSR, PFR, etc, which are
interconnected to form a network, each of which is fed by the products of the preceding one.
The configuration of the reactor network depends on the geometry and operating
conditions of combustor [19]. Currently there are various models of reactors network, a
typical model is proposed by Turns [20]. This model is a combination of PSR and PFR, in this
case specifically the combustor is modelled by two PSR and PFR, which are connected in
CHAPTER 2. DEVELOPING OF DESIGN METHODOLOGY FOR MULTI
FUEL GAS TURBINE COMBUSTOR
56
series; the first reactor is the primary zone, the second PSR represents the secondary zone and
dilution zone PFR. Turns [20] also argues that the model's accuracy depends on the proper
proportion of reagents used in each of the cases.
Another model used frequently is the proposed by Ruta and Malte [21] in which the
primary zone is modelling as PSR, the secondary zone and dilution zone of the chamber are
represented by a two PFR, i.e., the total model includes a PSR and PFR connected in series.
Models more complex of reactor network have been developed in order to describe better
each of the areas of the combustor, such as the model proposed by Allaire [19] where the
primary zone of the combustor has been divided in nine PSR connected in parallel, the
secondary zone and dilution are represented as two PFR connected in series with each other
and with the network of reactors in the primary zone. Another case is the model proposed by
Novoselov [18] in which the combustor has been modelled as series of thirty-one reactors.
The perfectly stirred reactor (PSR)
It is an ideal reactor in which a perfect mixture is obtained inside of it, where the
phenomenon of mixture is neglected into the reaction, because is considered that this
phenomenon occurs extremely fast due to the high level of turbulence. It is also assumed that
temperature and species composition within the reactor are constant.
Conservation equations for the perfectly stirred reactor (PSR)
Following the approach proposed by Turns [20], the equations for the PSR can be written
as follows, based on the control volume shown in Figure 2.11
CHAPTER 2. DEVELOPING OF DESIGN METHODOLOGY FOR MULTI
FUEL GAS TURBINE COMBUSTOR
57
FIGURE 2.11 – Perfectly Stirred Reactor (PSR). [20].
The conservation of mass for any species i can be written as:
out
,i
in
,i
'''
i
mmVm0
&&&
+=
(2.50)
where
i
’’’
is the rate of mass generation for i
th
species, V the reactor volume,
i,in
is the mass
flow rate of the species into the control volume, and
i,out
is the mass flow rate of the species
out of the control volume.
The rate of generation of the species can be written as;
ii
'''
i
.MWm
ω
&
&
=
(2.51)
where
i
ω
&
is the production rate of i
th
species and MW
i
is the molecular weight. The total mass
flow within the control volume is the product of total mass flow by the initial mass fraction of
species, or
CHAPTER 2. DEVELOPING OF DESIGN METHODOLOGY FOR MULTI
FUEL GAS TURBINE COMBUSTOR
58
Y
in,i
in,i
mm
=
&&
(2.52)
Similarly can be written to the out total mass flow of species i,
Y
out,i
out,i
mm
=
&&
(2.53)
For a steady-state, steady flow energy equation applied to a perfectly stirred reactor can
be written as,
)h(hmQ
RPCV
=
&
&
(2.54)
In terms of species i
th
is rewritten as,
=
==
)T(h.Y)T(hYmQ
ini
N
1i
in,iouti
N
1i
out,iCV
&
&
(2.55)
where the specific enthalpy for species can be written as,
dT)T(Cph(T)h
T
Tref
i
0
f,ii
+=
(2.56)
where the term h
o
f,i
is the enthalpy of formation of species i
th
and Cp
i
(T) is the specific heat,
which is a function of temperature .
CHAPTER 2. DEVELOPING OF DESIGN METHODOLOGY FOR MULTI
FUEL GAS TURBINE COMBUSTOR
59
The equations specified above may involve several species and reactions, in this specific
case and to simplify calculations, is considered a one-step global chemical reaction of fuel and
air the products will be,
VMm
iii
ω
&
&
=
(2.57)
The consumption rate for the overall chemical reaction is calculated as,
b
O
a
i
a
i
)(n)(n
RT
E-
expA.
2
=
ω
&
(2.58)
The plug flow reactor (PFR)
The plug-flow reactor is a reactor whose main ideal assumptions are ideal gas behavior,
steady state, inviscid flow, one- dimensional, not mixed in the axial direction. The
conservation equations for control volume shown in the Figure 2.12 can be written as:
FIGURE 2.12 – Perfectly Stirred Reactor (PSR). [20].
Conservation of mass:
CHAPTER 2. DEVELOPING OF DESIGN METHODOLOGY FOR MULTI
FUEL GAS TURBINE COMBUSTOR
60
0
dx
)v.A.(d
x
=
ρ
(2.59)
where ρ is the density, A is reactor area and v
x
is the velocity in axial direction.
Conservation of momentum:
0
dx
dv
.v.
dx
dP
x
x
=+
ρ
(2.60)
where P is the reactor pressure.
Conservation of species:
0
v.
MW.
dx
dY
x
iii
=
ρ
ω
&
(2.61)
where Y
i
is the mass fraction of species,
i
ω
&
the production rate of i
th
species and MW
i
is the
molecular weight.
Conservation of energy:
ii
k
1i
i
x
2
x
2
x
MW.h.
Cp..v
1
dx
dA
.
A
1
.
Cp
v
dx
d
.
Cp.
v
dx
dT
ω
ρ
ρ
ρ
&
+=
=
(2.62)
where T is the gas temperature, h
i
is the specific enthalpy of species, Cp is the heat capacity
.
CHAPTER 2. DEVELOPING OF DESIGN METHODOLOGY FOR MULTI
FUEL GAS TURBINE COMBUSTOR
61
2.2.12
Film cooling
The film cooling system is created by a thin film of air between the flame tube wall and
hot gases from the combustion. It is created by stream of cold air from the compressor that
enters through holes to the surface tangential and parallel to the hot gases, as the cooling air
mix with the hot gases it must be renewed through another set of slots located in a the
following section of combustor.
To design the cooling system with film cooling it is necessary select the height of the slot
(s), the slot lip thickness (t), flame tube wall thickness (t
w
), establish the position of the dome
cooling slot, the number of slots along the remainder of the flame tube and their positions as
well as material from the casing. The Figure 2.12 shows the geometry of the film cooling
device.
FIGURE 2.13 – Film cooling device geometry. [1].
And for annular combustors;
(
)
(
)
sDD.2DsDDA
anrefintanintslot
+
+
+
=
(2.63)
In the case of annular combustors, the area calculated by this equation represents the sum
of the areas of the slots of the outer and inner walls of the combustor.
CHAPTER 2. DEVELOPING OF DESIGN METHODOLOGY FOR MULTI
FUEL GAS TURBINE COMBUSTOR
62
The air mass flow rate that enters by each slot is given by,
an
slot
anslot
A
A
.mm
&&
=
(2.64)
The last equation does not take into account the mass airflow from the slot of dome, a
recommended value for this mass flow is around 3% of mass airflow from compressor.
The next step corresponds to the calculation of the product between the density and
velocity of air through annular area (A
an
), and for this calculations are used the values
obtained from equations 2.63 and 2.64.
slot
slot
anan
A
m
U.
&
=
ρ
(2.65)
The equation 2.63 allows calculate the product between gas density and velocity into the
flame tube,
ft
g
gg
A
m
U
&
=.
ρ
(2.66)
where
g
correspond to mass gas flow into region of flame tube at position of the slot.
CHAPTER 2. DEVELOPING OF DESIGN METHODOLOGY FOR MULTI
FUEL GAS TURBINE COMBUSTOR
63
To evalue the effectiveness of cooling (η
c
), it is necessary calculate the temperature in
one position immediately prior to the next, and can be obtained through the equation 2.67 and
2.68, [22]
3.1m5.0for
s
t
s
x
m10.1
2.02.0
15.0
g
a
65.0
c
<<
=
µ
µ
η
(2.67)
0.4m3.1for
s
t
s
x
28.1
2.02.0
15.0
g
a
c
<<
=
µ
µ
η
(2.68)
where m is calculated by,
gg
anan
A.
.
m
ρ
Α
ρ
=
(2.69)
and x corresponds to the distance between the slots. For the last slot is assumed as the distance
until the end of the combustor. The terms µ
a
and µ
g
from the equations 2.70 and 2.71 are the
dynamic viscosity of air and gas into the flame tube, respectively. To calculated the dynamic
viscosity of air µ
a
, the temperature of the slot is assumed as the inlet temperature (T
3
), as is
show in the equation 2.68,[22]
CHAPTER 2. DEVELOPING OF DESIGN METHODOLOGY FOR MULTI
FUEL GAS TURBINE COMBUSTOR
64
5
4
3
13
3
3
9
2
3
6
3a
10)T10600774.4T107769.2...
...T108564.5T00749.003863.0(
×××+
+×+=
µ
(2.70)
For the dynamic viscosity of gas µ
g
[22], the temperature of gas used this calculation is
given by the temperature profile obtained in the previous section,
5
4
g
13
3
g
9
2
g
6
gg
10)T10600774.4T107769.2...
...T108564.5T00749.003863.0(
×××
+×+=
µ
(2.71)
With the efficiency of film cooling is possible calculate the gas temperature (T
w,ad
) at the
wall; as follows,
(
)
3ggad,w
TT.TT
=
η
(2.72)
For internal and external temperatures of the flame tube at the point immediately before
the next slot, it is necessary to make a balance of heat flux through the tube wall of flame. The
flame tube is heated by radiation and convection from the hot gas inside, and it is cooled by
convection to the annulus air and by radiation to the outer casing. Under equilibrium
condition the internal and external heat fluxes are equal at any point; the loss of heat by
conduction along the flame tube is very small and usually is neglected. The Figure 2.14 shows
the heat transfer model along the flame tube.
CHAPTER 2. DEVELOPING OF DESIGN METHODOLOGY FOR MULTI
FUEL GAS TURBINE COMBUSTOR
65
F FIGURE 2.14 – Heat transfer model for flame tube. [14].
Under steady-state, the rate of heat transfer into a wall must be balanced by the rate of
heat transfer out, [11] as is show in the equation 2.73,
(
)
(
)
1w212w221w11
AKAKCRAKCR
=++=++
(2.73)
where the heat conduction along the flame tube (K) is neglected, and the flame tube wall is
usually so thin that can be consider as A
w1
= A
w2.
The equation 2.73 can be simplified to,
(
)
(
)
212211
KCRCR
=+=+
(2.74)
and K
1-2
is the conduction heat transfer through the flame tube wall due to temperature
gradient, and is given by:
CHAPTER 2. DEVELOPING OF DESIGN METHODOLOGY FOR MULTI
FUEL GAS TURBINE COMBUSTOR
66
( )
2121
.
ww
w
w
TT
t
k
K =
(2.75)
where k
w
is the thermal conductivity of material of flame tube, and T
w1
and T
w2
are the
temperatures in the inner surface and outer surface of flame tube.
The radiation heat flux from combustion gas to flame tube is given by:
(
)
(
)
5.2
1w
5.2
g
5.1
ggw1
TTT15.0R +=
εεσ
(2.76)
where σ is the Stefan-Boltzmann constant whose value is 5.67 x 10
-8
W/ (m
2
K
4
), ε
w
is the
flame tube wall emissivity and ε
g
is the gas emissivity at temperature T
g
can be obtained
through,
[
]
5.1
g
5.0
b3g
T.)l.FAR(P290.0exp1
=
ε
(2.77)
where FAR is the fuel air ratio by mass, l
b
is mean beam length of radiation path that is
determinate by the shape and size of the gas volume, for annular combustors are l
b
= 0.90D
ft
and for multi-can and can-annular l
b
= 0.75D
ft
[11]. It is important to emphasize that the
equation 2.77 is used for nonluminous gases, for luminous gases is used the following
equation,
CHAPTER 2. DEVELOPING OF DESIGN METHODOLOGY FOR MULTI
FUEL GAS TURBINE COMBUSTOR
67
[
]
5.1
g
5.0
bu3g
T.)l.FAR(LP290.0exp1
=
ε
(2.78)
where L
u
is a luminosity factor and can be calculated by the expression proposed by Mongia
[23],
365.7
8
u
H
10964.5
L
×
=
(2.79)
where H is the fuel hydrogen content (by mass) in percent.
The convection heat gas flux from gas for hot side wall of flame tube is calculated
depending on the value of m,
( )
3.1m5.0forTTRe
x
k
069.0C
1wad,w
7.0
x
g
1
<<
=
(2.80)
( )
0.4m3.1forTT
s
x
Re
x
k
010.0C
1wad,w
36.0
8.0
x
g
1
<<
=
(2.81)
where the Reynolds number (
Re
x
) has as a reference length the distance between the slots,
CHAPTER 2. DEVELOPING OF DESIGN METHODOLOGY FOR MULTI
FUEL GAS TURBINE COMBUSTOR
68
a
aax
x
URe
µ
ρ
=
(2.82)
The term k
g
in the equations 2.80 and 2.81represents the gas conductivity into the flame
tube, and is defined as,
3
3
11
2
3
8
3
54
g
T105011410,1T1089398,4T1080957,91092657.5k
×+××+×=
(2.83)
The radiation heat flux from flame tube to casing is calculated by,
(
)
4
3
4
2w2
TTZR =
σ
(2.84)
where Z is equal to 0.4 for aluminium air casing, or 0.6 for steel air casing. The convection
heat flux to annulus air is given by,
( )
32w
8.0
aan
an
2.0
an
an
2
TT
A
m
D
k
020.0C
=
µ
&
(2.85)
where k
an
is the conductivity of air at the annular area, and can be obtained through the
equation 2.81 substituting T
g
by T
3
, as follow,
CHAPTER 2. DEVELOPING OF DESIGN METHODOLOGY FOR MULTI
FUEL GAS TURBINE COMBUSTOR
69
3
g
11
2
g
8
g
54
an
T105011410,1T1089398,4T1080957,91092657.5k
×+××+×=
(2.86)
To determine the temperatures in the inner and outer wall of flame tube is necessary solve
the system show in the equation 2.74 through an iterative process. The calculation should be
carried out for all operating conditions and it is recommended that in any case the temperature
of inner wall of flame tube should be not greater than 1100 K, it is recommended that the
position of the dome slot would be such that its projection on the length of the dome
represents one third of this distance.
2.2.13
Design of air admission holes
Firstly it is necessary verifying the remaining air mass flow rate available for admission
holes in each zone of combustor. It is carried out discounting the air mass flow rate of air at
each zone less the air that enters through the cooling slots; after this is possible determines the
available air mass flow rate that it will enter for each row of holes.
In the primary zone the air mass flow rate (
h,PZ
) that goes into the holes is given by,
PZ,slotdome,slotswPZPZ,h
mmmmm
&&&&&
=
(2.87)
CHAPTER 2. DEVELOPING OF DESIGN METHODOLOGY FOR MULTI
FUEL GAS TURBINE COMBUSTOR
70
where
slot,dome
is the air mass flow rate that enters in the primary zone by the slot located in
the dome and
slot,PZ
is the total air mass flow rate that enters by all the slot located into the
primary zone. The air mass flow rate for the secondary zone (
h,SZ
) is calculated through,
SZ,slotSZSZ,h
mmm
&&&
=
(2.88)
where
slot,SZ
is the total air mass flow rate that enters by all the slot located into the
secondary zone. Finally, for the dilution zone will be,
DZ,slotSZPZ3DZ,h
mmmmm
&&&&&
=
(2.89)
After determining the air mass flow rate that will enter into each zone, it is necessary to
specify the type of hole. The determination of the hole size is done through by iterative
process, this process is due to the of discharge coefficient value (C
d,h
) is unknown. The
sequence of calculation is presented below:
1. Calculation of bleed ratio (β), that is defined as,
an
h
m
m
&
&
=
β
(2.90)
where
h
is the hole mass flow and
an
is the annulus mass flow.
CHAPTER 2. DEVELOPING OF DESIGN METHODOLOGY FOR MULTI
FUEL GAS TURBINE COMBUSTOR
71
2. Establish a reasonable value of discharge coefficient (C
d,h
).
3. Determine the total area of holes (A
h
), for each row using the equation 2.91, and
assuming the pressure loss through a hole (P
ft
/P
3
)as 0.6
h
2
d
2
3
3
2
h
3
ft
ACP
Tm5.143
P
P
&
=
(2.91)
4. Calculate the hole area ratio (α) and (µ) that is the relation between hole bleed ratio (β)
and hole area ratio (α).
AreaAnnulus
AreaHole
A
A
an
h
==
α
(2.92)
RatioAreaHore
RatioBleed
==
α
β
µ
(2.93)
5. Calculate the pressure loss factor (
K
) using the equation 2.94,
( )
++==
5.0
2
2
2
422
4421K
ββ
δ
µ
µµδ
(2.94)
where δ is the momentum loss factor, that varies according with the type of hole, using
0.8 for plain holes and 0.6 for plunged holes[24].
CHAPTER 2. DEVELOPING OF DESIGN METHODOLOGY FOR MULTI
FUEL GAS TURBINE COMBUSTOR
72
6. Replace into the equation 2.95, the value of pressure loss factor (K) to obtain the value
of discharge coefficient (C
d,h
).
(
)
( )
[
]
5.0
2
2
h,d
2KK4
1K
C
βδ
=
(2.95)
If the discharge coefficient established in the step two is equal to the value obtained in by
the equation 2.95, then the correct value has been selected. If not, the iterative process must
be followed until correct values are found.
From the sequence showed, it is obtained the total area of a row of holes. After this is
established the number of holes per row (N
h
) and the number of rows for each zone, to
determinate those numbers it is important take in to account the total length of each zone and
the distance between the rows and the number of holes, to avoid possible structural damage.
With the hole number (N
h
) is possible found the diameter of holes (d
h
), as follow,
h
h
h
N.
A
.2d
π
=
(2.96)
For multi-can and can-annular combustor the yielding position of the holes is the even
distribution of these along the circumference taking as the centre of it, the fuel nozzle. For
annular combustor the holes should be distributed in the inner and outer walls of flame tube of
combustor, where the inner wall has the lower diameter that the outer wall. For this reason is
CHAPTER 2. DEVELOPING OF DESIGN METHODOLOGY FOR MULTI
FUEL GAS TURBINE COMBUSTOR
73
necessary calculated the annular areas of the combustor. The outer annular area (A
an,out
) can
be determined by [25]:
(
)
(
)
+++
=
4
DDDD2D
A
2
ftrefin
2
refin
out,an
π
(2.97)
For the inner annular area (A
an,inn
),
(
)
+
=
4
DDDD
A
2
in
2
ftrefin
inn,an
π
(2.98)
Then it is possible calculate the internal hole area of the inner wall of the flame tube
through the following equation,
+
=
inn,an
out,an
h
inn,h
A
A
1
A
A
(2.99)
The outer hole area is the result of the difference between the total area of holes (A
h
) and
internal hole area (A
h,inn
),
CHAPTER 2. DEVELOPING OF DESIGN METHODOLOGY FOR MULTI
FUEL GAS TURBINE COMBUSTOR
74
inn,hhext,h
AAA =
(2.100)
The number of internal holes for the inner wall of tube flame is calculated by the
equation:
+
=
inn,h
out,h
h
inn,h
A
A
1
N
N
(2.101)
The holes for outer wall are given by;
inn,hhout,h
NNN =
(2.102)
Then is necessary verified whetter the number of holes fit the internal and external
circumferences of flame tube, as follows:
(
)
(
)
2
DDD
.C
ftrefint
inn,ft
+
=
π
(2.103)
(
)
(
)
2
DDD
.C
ftrefint
out,ft
+
+
=
π
(2.104)
assuming that;
CHAPTER 2. DEVELOPING OF DESIGN METHODOLOGY FOR MULTI
FUEL GAS TURBINE COMBUSTOR
75
out,hinn,hh
ddd
(2.105)
then;
inn,hinn,hinn,ft
N.dC
>
(2.106)
out,hout,hout,ft
N.dC
>
(2.107)
3 Methodology Implementation
The proposed methodology allows calculate the basic geometric parameters of
combustors as: the total length of the combustor, length of each zone of the combustor,
diameter or height of the flame tube and the casing, dimensions of the diffuser, geometric
parameters of swirler, yielding positioning and size of primary and secondary air admission
holes, film cooling system and temperature profile.
The design methodology for a gas turbine combustor operating with different types of
fuels is presented through the use of a schematic view that is shown in the Figure 3.1 which
specifies the sequence followed.
3.1 Methodology structure
As shown in Figure 3.1 the methodology is divided into several stages, for each stage of
calculation is necessary to establish which parameters are inputs and which ones are outputs.
Next are described each one.
3.1.1 Theoretical limits for equivalence ratio
To establish the limits for equivalence ratio is necessary set the type of fuel to be used
and its composition, enthalpy of formation of fuel and the lower heating value. With these
CHAPTER 3. METHODOLOGY IMPLEMENTATION 77
data is possible obtain the adiabatic flame temperature as a function of equivalence ratio, for
different inlet temperatures (T
3
). For this work was assumed that the inlet temperature varies
from 300 to 1000 K and equivalence ratio varies from 0.5 to 1.5, as is shown in the Figure
3.2.
FIGURE 3.1 – Schematic overview of preliminary design procedure
CHAPTER 3. METHODOLOGY IMPLEMENTATION 78
The Figure 3.2 shows the results obtained for adiabatic flame temperature as function of
equivalence ratio, where T -= 1600 – T
3
,
FIGURE 3.2 – Example of adiabatic temperature curves
After determining the curves for each temperature (T
3
), and to obtain the function that
relates the inlet temperature for the limits ϕ
rich
and ϕ
lean
it is necessary make a linear
interpolation to find a equation that relates the temperature and the limits.The results of this
relationship are show as example in the Table 3.1.
TABLE 3.1 – Limits for equivalence ratio as function of T
3
Fuel ϕ
rich
ϕ
lean
Kerosene
0.67 - .0004T
3
1.82 -0.0006T
3
Natural gas
2.458 - 0.0004 T
3
0.399 – 0.0001 T
3
Ethanol
1.4596 - 0.0015 T
3
0.7229-0.0005T
3
1000
1200
1400
1600
1800
2000
2200
0,4 0,5 0,6 0,7 0,8 0,9 1 1,1 1,2 1,3 1,4 1,5 1,6
T = (1600-T
3
)K
Equivalence ratio ϕ
300K
400K
500K
600K
700K
800K
900K
1000K
T
3
CHAPTER 3. METHODOLOGY IMPLEMENTATION 79
3.1.2 Equivalence ratio for primary zone
Having defined the theoretical limits it is necessary to establish the operating limits for
equivalence ratio. These limits are related itself with the engine operating conditions, where
the inputs and outputs for calculation are shown in the Figure 3.3. In this section are taken
into account chemical and aerodynamic considerations.
FIGURE 3.3 Equivalence ratio for primary zone
3.1.4 Calculation of basic dimensions
This section shows the input and output parameters for the calculation of basic
dimensions of the combustion chamber, these basic dimensions mainly concern to the
reference area and flame tube area, and reference diameter and flame tube diameter. See
Figure 3.4.
CHAPTER 3. METHODOLOGY IMPLEMENTATION 80
FIGURE 3.4 Calculation of reference area and flame tube
It is important to remember that from the values obtained for the D
ft
is necessary choose
the value that is used in subsequent calculations. The value of D
ft
must be at least equal to the
higher value obtained for all operating conditions, to ensure that satisfy the aerodynamic and
chemical conditions. In addition with the value of D
ft
established are recalculate the values of
reference area (A
ref
) , area of the flame tube(A
ft
); and the diameter or height as it is necessary.
3.1.5 Calculation of air flow and length of zones
At this stage is defined the percentage of air that enter into each of the regions of the
combustor and besides is obtained the length of each of these regions. See Figure 3.5.
FIGURE 3.5 Calculation of air flow and length of the zones
CHAPTER 3. METHODOLOGY IMPLEMENTATION 81
3.1.6 Calculation of diffuser parameters
In this section are shown the inputs and outputs of the design parameters for diffuser, as
shown in Figure 3.6.
FIGURE 3.6 – Calculation of diffuser parameters
3.1.7 Calculation swirler parameters
To calculate swirler parameters are considered some aspects specially the available space,
because the swirler size is strongly relational with the fuel injector size. The inputs and
outputs in this section are shown in Figure 3.7.
FIGURE 3.7 Calculations of swirler parameters
3.1.8 Calculation of recirculation zone
The input data and output for calculation of recirculation are show in the Figure 3.8.
CHAPTER 3. METHODOLOGY IMPLEMENTATION 82
FIGURE 3.8 Calculation of recirculation zone
3.1.9 Calculation of flame temperature
As was established in the previous chapter the calculation of the flame temperature is
carry out through the use of a CRN, consequently is necessary establish the initials values for
inputs parameters. These values only feeds the first reactor the remainder reactor are fed by
the product of the previous one.
The Figure 3.9 shows the inputs and output for flame temperature.
FIGURE 3.9 Calculation of flame temperature
The execution of the CRN was carry out using software CHEMKIN Collection 3.7 code, the
package AURORA [28] was used for simulated the PSR and package PLUG [29] to simulated
PFR.
CHAPTER 3. METHODOLOGY IMPLEMENTATION 83
3.1.10 Film cooling calculation
The calculation of film cooling system is carried out for the most critical operating
condition, i.e. the values adopted for this calculation correspond to this situation. With the
temperature profile along the combustor established in the previous section it is possible to
determine the hottest area of the combustor, so it becomes easier to determine the position and
number of cooling slots along the combustor. The profile of temperature used corresponds for
most critical operating condition too. The Figure 3.10 shows the inputs and outputs for film
cooling.
FIGURE 3.10 Film cooling calculation
3.1.11 Air admission holes
The inputs and outputs of the calculation of air admission holes are shown in the Figure
3.11. As was established in the previous chapter the calculation of air admission holes is an
iterative process, and may require several attempts before finding the appropriate values.
CHAPTER 3. METHODOLOGY IMPLEMENTATION 84
FIGURE 3.11 Air admission holes
CHAPTER 4. 85
4. Validation and results
This chapter deals with the validation of the adequacy of methodology proposed during
this research, as well as with its validation and the results obtained for different configurations
of combustors using different types of fuel.
4.1 Validation
To validate the proposed methodology was used the example given by Melconian and
Modak [1]. The example presents the calculation process. The results are compared with the
reference literature. In this way it is possible to verify the accuracy of the proposed
methodology.
In the example, it is assumed a multican configuration with six combustors for a turbojet
aircraft; which cruise speed is assumed as 1.4 Mach, with a compressor exit area of 0.096 m
2
and exit velocity of 150 m/s at the normal cruise condition, using kerosene as fuel.
The inlet parameters used for the calculation are showed in the Table 4.1
CHAPTER 4. VALIDATION AND RESULTS 86
TABLE 4.1– Example operating condition [1]
Operating
Condition
P
3
[Mpa]
p
3
[Mpa]
T
3
[K]
M
3
[kg/s]
φ
Overall
Pattern
Factor
Comb.
Eff. %
Min
m
f3
[kg/s]
P
3-4
/P
3
1
2 1.93 814 18.1 0.347 20 99.7 0.427 0.07
2
0.7 0.68 707 6.8 0.286 20 99.5 0.132 0.07
3
1.8 1.77 1060 14.2 0.145 20 99.5 0.14 0.07
4
0.15 0.148 343 1.05 0.128 20 99 0.0091 0.07
Where the condition 1 represents design point maximum thrust SLS, condition 2 is
maximum altitude, condition 3 is the normal cruise and the condition 4 is the ground idle
Additionally the value of pressure loss factor (P
3-4
/q
ref
) was established as 53.
The amount of air required in the primary zone is obtained by through of the use of
theoretical limits for equivalence ratio. For kerosene these limits are given by the equations
4.1 and 4.2. [17].Using the methodology described in the section 2.2.1 and 3.1.1.
φ
lean
= 0.67 – 0.0004 T
3
(4.1)
φ
rich
= 1.82 + 0.0006 T
3
(4.2)
The Table 4.2 shown a comparison between the values obtained for equivalence ratio
limits using the equations 4.1, 4.2 and the method proposed by Melconian and Modak [1]
TABLE 4.2– Equivalence ratio limits comparison [1]
Condition
Ratio Φ
Overall
/ Φ
limit
by Melconian
Ratio Φ
Overall
/ Φ
limit
By proposed equations
Lean Rich Lean Rich
1
1.01 0.14 1.01 0.15
2
0.73 0.12 0.74 0.13
3
0.60 0.05 0.59 0.06
4
0.24 0.06 0.24 0.06
CHAPTER 4. VALIDATION AND RESULTS 87
Comparing the results obtained with the example values is observed that the variation is
about 1% and the limits do not vary significantly. Therefore the approach that was carried out
by using the equations 4.1 and 4.2 is appropriate.
The amount of air required in the primary zone is among the greatest value obtained from
the rich condition, in this case 0.15, and the lowest value obtained in the poor condition, 0.24
for this case. The example considerer a value of 0.25 corresponding to 25% of the total
amount of air that enters to the combustor.
The reference values of combustors (area and diameter) were obtained taking into
account the aerodynamic and chemical considerations discussed in the sections 2.2.3 and
2.2.4. The values for each of the operating conditions are shown in the Table 4.3.
TABLE 4.3– Combustor liner airflow and outer casing airflow reference values
Condition
A
ref
[m
2
] A
ft
[m
2
] D
ft
[m] D
ref
[m]
Aerodynamic
Chemical
Aerodynamic
Chemical
Aerodynamic
Chemical
Aerodynamic
Chemical
1
8.51E-02 4.80E-03
5.96E-02 3.36E-03
2.75E-01 6.54E-02
3.29E-01 7.81E-02
2
8.51E-02 1.42E-02
5.96E-02 9.94E-03
2.75E-01 1.12E-01
3.29E-01 1.34E-01
3
8.47E-02 8.92E-04
5.93E-02 6.24E-04
2.75E-01 2.82E-02
3.28E-01 3.37E-02
4
4.27E-02 3.19E-02
2.99E-02 2.23E-02
1.95E-01 1.69E-01
2.33E-01 2.02E-01
The Table 4.3 shows that the highest value for the flame tube diameter D
ft
in the four
conditions corresponding to a value of 0.275 m and is given by aerodynamics conditions
Table 4.4 shows the values of the example and the results obtained; there is a slight
difference between them about of 4%. This difference may be due to the calculation that was
performed without any approximation; the example suggests that some approximations were
made. For further calculations, the values adopted correspond to the values used in the
example.
CHAPTER 4. VALIDATION AND RESULTS 88
TABLE 4.4 – Combustor liner airflow and outer casing airflow final values
Example values Results
Reference area A
ref
0.088 m
2
0.085 m
2
Flame tube area A
ft
0.0617 m
2
0.060 m
2
Reference diameter D
ref
0.335 m 0.329 m
Flame tube diameter D
ft
0.280 m 0.275 m
Table 4.5 shows the values obtained for the length of the combustor and the percentage of
air for each of the regions of the combustor, whereas the equivalence ratio ϕ should not
exceed 0.8 in the secondary zone. These values are equals to the example.
TABLE 4.5– Combustor length zone and preliminary air distribution
Zone
Percent
of Air
(%)
Length
[m]
Primary Zone 25 0.21
Secondary Zone 18.38 0.14
Dilution Zone 5.22 0.37
The total length of the combustor is 0.723m and air available for cooling is the 51.40%.
Table 4.6 presents the design parameters of the diffuser, where it was considered that half
of the air entering the primary zone is admitted through the swirl and the dome slot cooling,
i.e. 12.5 % passes through the swirl and the slot. Then 87.5% of total air passes through the
combustor annular area (A
an
). The calculation assumes that the pressure loss in the diffuser is
1% and the coefficient of discharge of the snout is 1.
TABLE 4.6 – Diffuser example parameters
Diffuser Parameter
Air percent through the section A
an
87.5
Divergence angle ψ [°] 23
Snout area A
s
[m
2
] 0.0038
Snout diameter D
s
[m] 0.069
L
dif
[m] 0.064
CHAPTER 4. VALIDATION AND RESULTS 89
Table 4.7 presents the parameters obtained for the swirler, assuming the following
conditions: stagger angle of 60
o
, air mass flow rate through the swirler is 7%, loss of pressure
inside the snout of 25%, atomizer diameter of 0.042 m, wall thickness of 0.0015 m and
straight blade type.
TABLE 4.7 – Swirler example parameters
Swirler parameters
Swirler Area A
sw
[m
2
] 3.21E-03
Swirler Diameter D
sw
[m] 0.078
D
sw
/D
ft
0.28
The recirculation zone parameters were obtained assuming that the length of the
recirculation zone should be between two times the outer diameter of the swirler and the
length of the primary area, for this example were taken as 0.168 m. Obtaining that the dome
angle θ= 48.43
o
and the length of the dome is 0.0895 m.
The temperature profile along the combustor was obtained using two methodologies, the
first profile corresponds to the methodology proposed by Melconian and Modak [1]. The
combustor is divided into four zones: recirculation zone, primary zone, secondary zone and
dilution zone. For each zone, the local temperature will be assumed to vary linearly between
the zone inlet temperature (T
in
) and zone outlet temperature (T
out
)
.
the results are presented in
Figure 4.1
CHAPTER 4. VALIDATION AND RESULTS 90
FIGURE 4.1 – Temperature profiles by Melconian and Modak [1] methodology
As shown in Figure 4.1 for the conditions 1, 3 and 4 the highest temperatures are at the
exit of the primary zone, which most part of the combustion process takes places. However, in
condition 2 the highest temperature is reached in the secondary zone, suggesting that for this
condition the combustion process was not completed in the primary zone and part of it takes
place in the secondary zone.
The Table 4.8 shows the inlet and outlet temperature at each zone of combustor, as the
mean temperature at recirculation zone.
The second methodology is based on the CRN, to obtain the temperature profile it was
carried out the temperature calculation by use of software CHEMKIN 3.7, package AURORA
[28] and PLUG [29]. This code used a detailed mechanism for kerosene.[30].
The input data of this calculation are based in the molar fraction of reactants. The
recirculation zone was modelled as a single PSR at given temperature, the temperature in the
recirculation zone was assumed as the mean temperature of the recirculation zone that was
found using the methodology proposed by Melconian and Modak [1] since the inlet
temperature (T
3
) it is too low compared with the real temperature, as it is known the
recirculation zone it is mixture of recirculating hot gases from the remainder primary zone
700
1200
1700
2200
2700
3200
0,00 0,20 0,40 0,60 0,80
Temperature [K]
Distance [m]
Temperature profile
Condition 1
Condition 2
Condition 3
Condition 4
CHAPTER 4. VALIDATION AND RESULTS 91
and new reactant. For the inlet of primary zone was assumed the output parameters from the
PSR of recirculation zone.
TABLE 4.8 – Temperature profile
Condition
Recirculation
zone
Primary zone
Secondary zone Dilution Zone
1
T
in
814.00 2534.4 2145,6 1520,7
T
out
2398.7
2080
1501
T
mean
1822.81 - - -
2
T
in
707.00 2412.7 2103.2 1468.7
T
out
2345.6
1979.2
1468.2
T
mean
1619.90
3
T
in
1060.00 2867.6 2426.8 1654.2
T
out
2752.2 2333.1 1645.3
T
mean
2076.73
4
T
in
343.00 1467.8 1198.1 987.7
T
out
1428.9 1101.2 967.4
T
mean
889.50
The Figure 4.2 presents the results obtained by the used of CNR
FIGURE 4.2 – Temperature profiles by CRN methodology
700
1200
1700
2200
2700
3200
0,00 0,20 0,40 0,60 0,80
Temperature [K]
Distance [m]
Temperature profile
Condition 1
Condition 2
Condition 3
Condition 4
CHAPTER 4. VALIDATION AND RESULTS 92
Comparing the Figure 4.1 with Figure 4.2 is observed that the temperature using the CRN
methodology is greater that the methodology used by Melconian and Modak [1]. It is mainly
due to that in CRN is considered all chemical reactions. There are two main differences
between the two methodologies. Firstly, in the primary zone occurs, as is observed using the
methodology of Melconian and Modak [1], into the primary zone the temperature is increased
slowly, in the CNR methodology the temperature present a sudden increase at the first reactor,
after this reactor the temperature became to decrease. The second difference is in the dilution
in the methodology proposed by Melconian and Modak [1] the temperature decreased slowly.
Using the CNR the temperature in this zone remains almost constant, what means that for this
zone of the combustor does not happen any chemical reaction.
To calculate the film cooling system, it is assumed that the film cooling surfaces have the
same shape and size. The following parameters were assumed: slot height (s) = 0.0025m, slot
lip thickness (t) = 0.002m, wall thickness (tw) = 0.0012 m, the wall material is nimonic and
the casing material is aluminum. The calculation was carried out for the two types of gases,
i.e., non luminous gases and luminous gases. The Temperature profile adopted for the
calculation of cooling system corresponds to the CRN methodology.
The calculation was carried out with six cooling slots including the slot located in the
dome. The position of the slots is shown in Table 4.9. The position of each slot corresponds to
the position given by the example.
TABLE 4.9 – Slot position
Slot Distance [m]
Flare cooling 0.068
Slot 1 0.168
Slot 2 0.220
Slot 3 0.360
Slot 4 0.450
Slot 5 0.714
CHAPTER 4. VALIDATION AND RESULTS 93
Table 4.10 presents the values obtained for the temperature of the inner and outer wall,
for two types of gas i.e. for luminous and non luminous gases, where the calculation was
carried out for all operating conditions.
From the Table 4.10 it can be observed that the temperature in the wall for luminous
gas is higher that non luminous gas, it is due that during the calculation is taking in to account
the emission of small particles that going to accumulate in to the wall, increasing the
temperature. It is important remark that the calculation for film cooling was performed with
the Temperature profile obtain by de CNR method, and the temperatures at the wall are higher
that the presented in the example.
TABLE 4.10 – Wall temperature
Operating
Condition
Position [m] Luminous gas Non luminous gas
T
w1
[K] T
w2
[K] T
w1
[K] T
w2
[K]
1 0.168
1061.92 1036.35 1042.39 1018.86
2
924.41 913.93 896.26 887.17
3
1326.86 1301.37 1290.90 1268.93
4
437.49 436.54 429.72 428.85
1 0.220
1256.27 1184.17 1178.52 1119.27
2
1111.49 1075.71 1022.82 995.06
3
1522.00 1441.04 1420.19 1357.40
4
548.57 545.35 517.64 514.92
1 0.360
985.83 972.86 973.90 961.85
2
1006.21 994.26 949.15 939.57
3
1382.09 1351.08 1325.69 1300.28
4
464.73 463.52 451.73 450.65
1 0.450
982.75 970.95 970.72 959.77
2
974.34 964.45 929.02 920.87
3
1336.52 1314.08 1293.20 1274.38
4
461.12 460.06 449.88 448.92
CHAPTER 4. VALIDATION AND RESULTS 94
1 0.714
983.43 972.51 967.84 957.93
2
889.52 884.04 860.36 855.78
3
1216.41 1207.43 1194.93 1187.21
4
440.17 439.41 429.26 428.59
To calculate the air admission holes firstly was established the percentage of air available
for each zone, obtaining 14.83% for primary zone, 18.30% for secondary zone and 42.10%
for dilution zone. Eight holes was established as the number of holes in each of those zones,
as a first approximation the discharge coefficient was set at 0.5 for each of those zones of the
combustor. The results are shown in the Table 4.11:
TABLE 4.11 – Air admission holes parameters
Zone N
holes
d
h
[m] A
h,t
[m2]
Cd
Primary Zone 8
0.0231 0.00336 0.558
Secondary Zone 8
0.0257 0.00416 0.556
Dilution Zone 8
0.0394 0.00978 0.544
The modifications done in the methodology proposed by Melconian and Modak [1] does
not vary considerably the results in the basic layout and the geometry of combustor, the
difference is not significant. For these reasons the methodology proposed in this work shows
a good accuracy and its recommendable.
4.2 Results
This section describes some preliminary designs for two combustors configurations
that operate with different fuels. The first combustor is an annular combustor which operates
with ethanol and kerosene. The second combustor is a can-annular combustor for a stationary
CHAPTER 4. VALIDATION AND RESULTS 95
turbine operating with natural gas, kerosene and ethanol. These are some hypothetical to
present how use the design methodology for multifuel combustors.
4.2.1 Annular combustor operating with kerosene
The parameters used for the preliminary design are based on the combustor used as
example by Melconian Modak [1], i.e., was assumed similar operating conditions and used
the typical values proposed for an annular combustor. The fuel used was kerosene.
Input design parameters are presented in Table 4.12
The value of pressure loss factor (P
3-4
/q
ref
) was assumed as 25. The internal diameter of
combustor was setting as 0.25 m.
TABLE 4.12 – Operating condition for annular combustor operating with kerosene
Operating
Condition
P
3
[Mpa]
p
3
[Mpa]
T
3
[K]
M
3
[kg/s]
φ
Overall
Pattern
Factor
Comb.
Eff. %
Min
m
f3
[kg/s]
P
3-4
/P
3
1
2 1.93 814 18.1 0.347 20 99.7 0.427 0.06
2
0.7 0.68 707 6.8 0.286 20 99.5 0.132 0.06
3
1.8 1.77 1060 14.2 0.145 20 99.5 0.14 0.06
4
0.15 0.148 343 1.05 0.128 20 99 0.0091 0.06
The amount of air required in the primary zone was established using the equations 4.1
and 4.2 for kerosene [17], obtaining the results show in Table 4.13.
CHAPTER 4. VALIDATION AND RESULTS 96
TABLE 4.13 – Theoretical equivalence limits for annular combustor operating with kerosene
Condition
Theoretical Limits Ratio Φ
Overall
/ Φ
limit
Lean Rich Lean Rich
1
0.34 2.31 1.01 0.15
2
0.39 2.24 0.74 0.13
3
0.24 2.46 0.59 0.06
4
0.53 2.02 0.24 0.06
The amount of air required in the primary zone is a value between 0.15 and 0.24. For this
case we assumed a value of 0.24 corresponding to 24% of the total amount of air entering into
the combustor. It is also noted that under the same operating conditions. The theoretical limits
Φ
Overall
/ Φ
limit
ratio does not vary with respect to the previous example due to those limits
depends on the inlet temperature and theoretical equivalence limits.
The table 4.14 show the results obtained for the areas and diameters of reference and
flame tube.
TABLE 4.14 – Combustor liner airflow and outer casing airflow reference values
Condition
A
ref
[m
2
] A
ft
[m
2
] D
ft
[m] D
ref
[m]
Aerodynamic Chemical
Aerodynamic Chemical
Aerodynamic Chemical
Aerodynamic Chemical
1
6.31E-02 1.41E-02
4.42E-02 9.88E-03
3.47E-02 1.18E-02
1.56E-01 1.68E-02
2
6.32E-02 3.47E-02
4.42E-02 2.43E-02
3.47E-02 2.68E-02
1.56E-01 3.83E-02
3
6.28E-02 4.40E-03
4.40E-02 3.08E-03
3.45E-02 3.84E-03
1.55E-01 5.49E-03
4
3.17E-02 7.52E-02
2.22E-02 5.26E-02
2.06E-02 5.17E-02
9.25E-02 7.39E-02
Table 4.15 presents the suggested values and the final values adopted for further
calculations. The suggested values are the minimum reference values (area and diameter) that
must have the combustor. The final values correspond to the recalculated values for a flame
tube diameter (D
ft
) of 0.180 m. This value was chosen because it is the one that better fit for
further calculations and fulfills with all considerations.
CHAPTER 4. VALIDATION AND RESULTS 97
TABLE 4.15 – Combustor liner airflow and outer casing airflow final values for annular
combustor
Suggested Values Final Values
Reference area A
ref
0.075 m
2
0.409 m
2
Flame tube area A
ft
0.053 m
2
0.286 m
2
Reference diameter D
ref
0.156 m 0.257 m
Flame tube diameter D
ft
0.052 m 0.180 m
Table 4.16 shows the values obtained for the length of the combustor and the
percentage of air for each combustor zone.
TABLE 4.16 – Combustor length zone and preliminary air distribution for annular combustor
Zone
Percent
of Air
(%)
Length
[m]
Primary Zone 24 0.135
Secondary Zone 19.38 0.090
Dilution Zone 5.22 0.317
The total length of the combustor is 0.542 m and the percentage of air available for
cooling is 51.40%, this value is equal to the value found in the previous example. It happens
because the value depends only of the inlet temperature (T
3
).
The diffuser design parameters are shown in the Table 4.17, where 12% of total air
passing through the swirl and the slot. Then 87.5% of total air passes through the annular area
of the combustor (A
an
). The calculation assumes that the total pressure loss in the diffuser is
1%, the discharge coefficient of the snout is 1 and the compressor exit area is 0.096 m
2
.
CHAPTER 4. VALIDATION AND RESULTS 98
TABLE 4.17 – Diffuser parameter for annular combustor
Diffuser Parameter
Air percent through the section A
an
87.5
Divergence angle ψ [°] 86
Snout area A
s
[m
2
] 0.0176
Snout diameter D
s
[m] 0.109
L
dif
[m] 0.001
It is observed that the divergence angle of diffuser is closer to the 90
o
and the diffuser
length is very small, this is due to the configuration of combustor it is not fit completely to
compressor exit area. However, the diffuser can be assumed as a sudden expansion diffuser,
in which the walls have high angles of divergence. These types of diffusers are used in most
contemporary turbines. Also can be assumed that it is not necessary the use of diffuser.
The Table 4.18 shows the parameters obtained for the swirler. For the calculation was
assumed the following conditions: stagger angle of the 55
o
, mass air flow through the swirler
5%, loss pressure inside of the snout of 25%, atomizer diameter of 0.032 m corresponding to
12.5% of the reference diameter, wall thickness of 0.0015m and blades type curved.
TABLE 4.18 – Swirler parameter for annular combustor
Swirler parameters
Swirler Area A
sw
[m
2
] 1.41E-03
Swirler Diameter D
sw
[m] 0.055
D
sw
/D
ft
0.30
The parameters of the recirculation zone were obtained assuming the length of the
recirculation zone as 0.110 m. Obtaining that the dome angle θ is 48.12
o
and the length of the
dome (L
Dom
)
is 0.0622 m.
The Figure 4.3 shows the results for the temperature profile using the methodology of
Modak and Melconian [1].
CHAPTER 4. VALIDATION AND RESULTS 99
FIGURE 4.3– Temperature profile for annular combustor operating with kerosene
The Figure 4.3 presented that for conditions 1, 3, and 4 the highest temperature is reached
at the end of the primary zone. However in the condition 2 the highest temperature condition
is reached in the secondary zone, present the same behaviour that the previous case.
The Table 4.19 shows the inlet and outlet temperature at each zone of combustor and also
mean temperature at recirculation zone.
The Figure 4.4 shows the temperature profile using the proposed CRN, as the previous
case the calculation was carry out use of software CHEMKIN 3.7, package AURORA [28]
and PLUG.[29] This code used a detailed mechanism for kerosene.[30]. As in the previous
case the temperature in the recirculation zone was assumed as the mean temperature,
calculated by the methodology of Modak and Melconian [1]
700
1200
1700
2200
2700
3200
0,00 0,10 0,20 0,30 0,40 0,50 0,60
Temperature [K]
Distance [m]
Temperature profile
Condition 1
Condition 2
Condition 3
Condition 4
CHAPTER 4. VALIDATION AND RESULTS 100
TABLE 4.19 – Temperature profile
Condition
Recirculation
zone
Primary zone
Secondary zone Dilution Zone
1
T
in
814.00 25567.4 2212.4 1676.1
T
out
2412.10
2101.2
1670.1
T
mean
1822.81
2
T
in
707.00 2498.7 2199.2 1553.3
T
out
2378.1
2087.9
1545.8
T
mean
1619.90
3
T
in
2798.6 2562.1 1702.1
T
out
2736.9 2465 1697.7
T
mean
2076.73
4
T
in
343.00 1567.38 1278.1 1042
T
out
1476.1 1188.8 1036.3
T
mean
889.50 - - -
FIGURE 4.4– Temperature profile for annular combustor operating with kerosene
Comparing the Figure 4.3 and Figure 4.4 can be observed that the temperature reached
using the CRN is always higher for all operating conditions, in the same way it is observed
that the changes in the temperatures between the zones is evident, this it is mainly related with
the inlet temperature at each zone of the combustor. For the calculation in the CRN is taking
in to account the air that enter in each zone, this influence can be observed in the behaviour of
700
1200
1700
2200
2700
3200
0,00 0,20 0,40 0,60
Temperature [K]
Distance [m]
Temperature profile
Condition 1
Condition 2
Condition 3
Condition 4
CHAPTER 4. VALIDATION AND RESULTS 101
the temperature line. It is interesting observe that in the dilution the temperature remains
almost constant.
Comparing with the combustor multican used in the previous case is observed that under
the same operating condition the Temperature profile changes slightly mainly due to the
volume of the combustor. Based on the Figure 4.2 and 4.4 the temperature is higher in the
annular combustor that in the multican combustor.
To calculate the film cooling system, it is assumed that the film cooling surfaces have the
same shape and size. And was assumed the same parameters used in the previous example.
slot height (s) = 0.0025m, slot lip thickness (t) = 0.002m, wall thickness (tw) = 0.0012, the
wall material is nimonic and the aluminum for casing material.
The calculation was carried out with six cooling slots including slot located in the dome.
The positioning of the cooling slots is based on the example and are the same that the
previous case. The position of the slots and results obtained for wall temperature at four
operating conditions are shown in Table 4.20. As the previous case the calculation was carried
out for luminous and non luminous gases.
CHAPTER 4. VALIDATION AND RESULTS 102
TABLE 4.20 – Wall temperature
Operating Condition
Position
[m]
Luminous gas Non luminous gas
T
w1
[K]
T
w2
[K] T
w1
[K] T
w2
[K]
1 0.09
1172.35 1158.80 1132.30 1120.38
2
1021.49 1015.83 961.85 957.37
3
1440.32 1425.38 1372.08 1360.11
4
464.63 464.23 444.08 443.74
1 0.110
1084.71 1075.12 1044.75 1036.64
2
939.23 935.35 887.42 884.46
3
1350.77 1340.11 1287.87 1279.69
4
426.99 426.72 411.61 411.40
1 0.150
1533.55 1489.33 1377.93 1344.28
2
1323.90 1308.02 1154.98 1144.18
3
1733.60 1690.77 1561.67 1531.11
4
642.46 640.89 567.98 566.84
1 0.190
1469.14 1434.16 1329.38 1302.66
2
1284.77 1271.15 1130.01 1120.65
3
1681.21 1646.11 1524.38 1499.26
4
606.47 605.26 544.12 543.22
1 0.240
1287.43 1269.72 1202.87 1188.65
2
1159.46 1151.88 1049.42 1044.00
3
1542.87 1522.85 1433.14 1418.27
4
519.51 518.91 484.85 484.37
1 0.310
1252.03 1237.12 1252.03 1237.12
2
1121.90 1115.41 1121.90 1115.41
3
1485.29 1469.75 1485.29 1469.75
4
511.89 511.35 511.89 511.35
From the Table 4.20 can be observed that the temperature in the wall for luminous gas
is higher that non luminous gas, this behavior is the same that in the previous case. It is
important remark that the calculation for film cooling was performed with the Temperature
CHAPTER 4. VALIDATION AND RESULTS 103
profile obtain by de CNR method, and the temperatures on the wall are higher that the
presented in the example.
The percentage of air available for zone of combustors is: 13.85% or the primary zone,
19.25% for the secondary zone and 42.10% for dilution zone. To obtain the remainder
parameters for air admission, the number of holes per zone was established as follows: sixteen
holes in the primary zone, sixteen in the secondary zone and twenty in the dilution zone. As a
first approximation, the discharge coefficient was set at 0.5. The results are shown in the table
4.21.
TABLE 4.21 – Air admission holes parameters
Zone N
holes
d
h
[m] A
h,t
[m2]
Cd
Primary Zone 16 0.0155 0.0030
0.622
Secondary Zone 16 0.0172 0.0037
0.622
Dilution Zone 20 0.0233 0.0085
0.621
From the Table 4.21 we can see that the diameter of the holes varies, being in this
example the smaller the primary zone and the larger the dilution zone, this is due to the
amount of air that must enter in each zone.
The number of holes in each zone is distributed in the inner and outer wall; the
distribution is show in the Table 4.22.
TABLE 4.22 – Air admission holes distribution
Zone N
holes
N
h,inn
N
h,out
Primary Zone 16 5 11
Secondary Zone 16 5 11
Dilution Zone 20 6 14
Where N
holes
is the total number of holes, N
h, inn
is the number of holes in the inner wall
and N
h,out
is the number of holes in the outer wall. The number of holes arranged in each zone
CHAPTER 4. VALIDATION AND RESULTS 104
fits within the internal and external circumference. To obtain a high efficiency in the
combustion process, the distribution of the holes in the primary zone must take into account
the positions of the fuel injectors and the all air that enters should be used in combustion
process.
4.2.2 Annular combustion chamber operating with ethanol
For this example assumes that the combustor burned ethanol as fuel. The input
parameters are the same to the previous example. To maintain the same equivalence ratio that
the previous case it is necessary to establish a new mass flow of fuel due to change in the fuel.
Assuming that equivalence global ratio and mass air flow (M
3
)
are constant i.e. does not
vary with respect to the previous example and FAR for ethanol is assumed as 9. A new mass
fuel flow is obtained through the equations 4.3 and 4.4
sto
o
f
con
o
f
sto
con
global
m
m
m
m
==
&
&
&
&
φ
φ
φ
(4.3)
Where
o
is the mass air flow and
f
is the mass fuel flow.
f
o
Global
m
m
FAR
&
&
=
(4.4)
CHAPTER 4. VALIDATION AND RESULTS 105
The Table 4.23 shows the operating conditions
TABLE 4.23 – Operating condition for annular combustor operating with ethanol
Operating
Condition
P
3
[Mpa]
p
3
[Mpa]
T
3
[K]
M
3
[kg/s]
φ
Overall
Pattern
Factor
Comb.
Eff. %
Min
m
f3
[kg/s]
P
3-4
/P
3
1
2 1.93 814 18.1 0.347 20 99.7
0.698
0.06
2
0.7 0.68 707 6.8 0.286 20 99.5
0.216
0.06
3
1.8 1.77 1060 14.2 0.145 20 99.5
0.229
0.06
4
0.15 0.148 343 1.05 0.128 20 99
0.015
0.06
The values of pressure loss (P
3-4
/q
ref
) and internal diameter was assumed as the same
values of the previous cases. Where pressure loss is 25 and internal diameter is 0.25m.
The amount of air necessary for the primary zone was established through the
equations 4.5 and 4.6 for theoretical limits for equivalence ratio for ethanol. These equations
were found using methodology described in the section 2.2.1 and 3.1.1.
φ
lean
= 0.7229-0.0005T
3
(4.5)
φ
rich
= 1.4596 - 0.0015 T
3
(4.6)
The Table 4.24 presents the results for theoretical limits.
TABLE 4.24 – Theoretical limits for annular combustor operating with ethanol
Condition
Theoretical Limits Ratio Φ
Overall
/ Φ
limit
Lean Rich Lean Rich
1
0.32 2.6 1.10 0.13
2
0.37 2.52 0.78 0.12
3
0.20 3.05 0.75 0.05
4
0.55 1.98 0.23 0.06
CHAPTER 4. VALIDATION AND RESULTS 106
The amount of air required in the primary zone is between 0.13 and 0.23. The
calculation assumed a value of 0.24 which corresponds to 24% of the total amount of air
entering to the combustor.
The results for the areas and diameters of reference and flame tube are shown in the
Table 4.25.
TABLE 4.25 – Combustor liner airflow and outer casing airflow reference values
Condition
A
ref
[m
2
] A
ft
[m
2
] D
ft
[m] D
ref
[m]
Aerodynamic
Chemical
Aerodynamic
Chemical
Aerodynamic
Chemical
Aerodynamic
Chemical
1
6.31E-02 1.41E-02 4.42E-02 9.88E-03 3.47E-02 1.18E-02 1.56E-01 1.68E-02
2
6.32E-02 3.47E-02 4.42E-02 2.43E-02 3.47E-02 2.68E-02 1.56E-01 3.83E-02
3
6.28E-02 4.40E-03 4.40E-02 3.08E-03 3.45E-02 3.84E-03 1.55E-01 5.49E-02
4
3.17E-02 7.52E-02 2.22E-02 5.26E-02 2.06E-02 5.17E-02 9.25E-02 7.39E-01
Where the minimum value that must have the flame tube diameter (D
ft
) for this case is
0.052 m. In this case, like previous two cases the flame tube diameter D
ft
is determined by
chemical considerations and the reference diameter D
ref
by aerodynamic conditions. The
flame tube diameter for this case is lower than that of the combustor operating with natural
gas, but higher than the combustor operating with kerosene.
The flame tube diameter (D
ft
)
was assumed as 0.200m, this value fulfills the
aerodynamic and chemical considerations. Table 4.26 shows the suggested values and the
final values adopted for further calculations. The suggested values are the minimum reference
values (area and diameter) for combustor. The final values correspond to the recalculated
values for a flame tube diameter D
ft
of 0.200 m.
CHAPTER 4. VALIDATION AND RESULTS 107
TABLE 4.26 – Combustor liner airflow and outer casing airflow final values for annular
combustor operating with ethanol
Suggested Values Final Values
Reference area A
ref
0.075 m
2
0.480m
2
Flame tube area A
ft
0.053 m
2
0.336 m
2
Reference diameter D
ref
0.156 m 0.285 m
Flame tube diameter D
ft
0.052 m 0.200 m
The Table 4.27 shows the values obtained for combustor length zone and percentage of
air for each zone of the combustor.
TABLE 4.27– Combustor length zone and preliminary air distribution for ethanol
Zone
Percent
of Air
(%)
Length
[m]
Primary Zone 24 0.150
Secondary Zone 19.38 0.100
Dilution Zone 5.22 0.352
The total length of the combustor is 0.602 m and the percentage of air available for
cooling is 51.40. The percent of air for cooling is the same that the previous cases, because it
depends of inlet temperature (T
3
).
For the diffuser design was considered that 12% of the total air entering the chamber
passes through the swirler and dome slot. Then the remaining 88% of total air passes through
the annular area of the combustor (A
an
). The calculation assumes that the pressure loss in the
diffuser is 1%, the discharge coefficient of the snout is 1 and the compressor exit area is 0.096
m
2
. The results are shown in the Table 4.28.
CHAPTER 4. VALIDATION AND RESULTS 108
TABLE 4.28– Diffuser parameter for annular combustor operating with ethanol
Diffuser Parameter
Air percent through the section A
an
88
Divergence angle ψ [°] 84
Snout area A
s
[m
2
] 0.0196
Snout diameter D
s
[m] 0.115
L
dif
[m] 0.002
As in the previous cases the divergence angle shows that it is closer to the 90
o
and the
diffuser length is very small. This is due mainly to the compressor exit area that is not
completely compatible with the combustor configuration.
For the calculation of swirler the following conditions were assumed: Stagger angle =
55
o
, mass air through swirler = 5%, total loss of pressure inside the snout of 25%, atomizer
diameter of 0.036 m which corresponds to 12.5% of reference diameter, thickness of the wall
=0.0015m and curved blades.
The length of the chamber of the recirculation zone was established as 0.125m. The dome
angle θ is 43.60
o
and the resultant length of the dome is 0.0727 m.
The Figure 4.5 shows the results obtained for the temperature profile using the
methodology proposed by Melconian and Modak [1].
FIGURE 4.5– Temperature profile for annular combustor operating with ethanol.
700
1200
1700
2200
2700
3200
0,00 0,20 0,40 0,60
Temperature [K]
Distance [m]
Temperature profile
Condition 1
Condition 2
Condition 3
Condition 4
CHAPTER 4. VALIDATION AND RESULTS 109
The Table 4.29 shows the inlet and outlet temperature at each zone of combustor and also
mean temperature at recirculation zone
TABLE 4.29 – Temperature profile for annular combustor operating with ethanol
Condition
Recirculation
zone
Primary zone
Secondary zone Dilution Zone
1
T
in
814.00 2413.2 2277.1 1613.5
T
out
2306.3
2187.7
1608.9
T
mean
1822.81
2
T
in
707.00 2587.42 2363.4 1689.9
T
out
2478.5
2252.1
1678.4
T
mean
1619.90
3
T
in
1060.00 2606.2 2135.7 1587.6
T
out
2471.7 2017 1576.0
T
mean
2076.73
4
T
in
343.00 1281.1 1076 876
T
out
1198 978.5 875.6
T
mean
889.50
The Figure 4.6 show the temperature profile using the proposed CRN, as the previous
case the calculation was carry out use of CHEMKIN 3.7, package AURORA[28] and
PLUG[29]. This code used a detailed mechanism for ethanol [32]. As in the previous cases
the temperature in the recirculation zone was assumed as the mean temperature, calculated by
the methodology of Modak and Melconian [1].
Comparing the Figure 4.5 and Figure 4.6 can be observed that the temperature reached
using the CRN is always higher for all operating conditions, in the same way it is observed
that the changes in the temperatures between the zones is evident. This it is mainly related
with the inlet temperature at each zone of the combustor. In the CRN calculation is taking in
to account the air that enter in each zone, the influence of the air inlet can be observed in the
behaviour of the temperature line. As in the previous case it was observed that the
temperature in the dilution zone remains almost constant
CHAPTER 4. VALIDATION AND RESULTS 110
FIGURE 4.6– Temperature profile for annular combustor operating with ethanol.
The positioning of cooling slots was perform based on the temperature profile, placing a
greater number of slots in hottest area of the combustor, in this case three slots are positioned
into recirculation zone and primary zone. For calculations were assumed the following values:
Slot height (s) = 0.0025m, the Slot Lip Thickness (t) = 0.002m, wall thickness (tw) = 0.0012
m, wall material is nimonic and material of the steel casing. The gas is assumed as non-
luminous.
The position of the slots and temperature of the inner and outer wall are shown in Table
4.30.
700
1200
1700
2200
2700
3200
0,00 0,20 0,40 0,60
Temperature [K]
Distance [m]
Temperature profile
Condition 1
Condition 2
Condition 3
Condition 4
CHAPTER 4. VALIDATION AND RESULTS 111
TABLE 4.30 – Cooling slot position and wall temperature for annular combustor with
operating with ethanol.
Operating
condition
Position [m] T
w1
[K] T
w2
[K]
1 0.090
1172.35 1158.80
2
1021.49 1015.83
3
1440.32 1425.38
4
464.63 464.23
1 0.110
1084.71 1075.12
2
939.23 935.35
3
1350.77 1340.11
4
426.99 426.72
1 0.150
1533.55 1489.33
2
1323.90 1308.02
3
1733.60 1690.77
4
642.46 640.89
1 0.190
1469.14 1434.16
2
1284.77 1271.15
3
1681.21 1646.11
4
606.47 605.26
1 0.250
1287.43 1269.72
2
1159.46 1151.88
3
1542.87 1522.85
4
519.51 518.91
1 0.310
1252.03 1237.12
2
1121.90 1115.41
3
1485.29 1469.75
4
511.89 511.35
From the Table 4.30 can be observed that the temperature in the wall are above that
1300K, for this reason it is necessary modify the position of the cooling slots. The position of
the slot was adopted from the previous cases. The calculation of film cooling was performed
with the Temperature profile obtained by de CNR method.
CHAPTER 4. VALIDATION AND RESULTS 112
To calculate the air admission holes parameters, firstly was established the percentage of
air available for each area. Obtaining that for the primary zone is 13.85% for primary zone,
19.25% for the secondary zone and 42.10% for dilution zone. To obtain the remainder
parameters for air admission holes, the number of holes per zone was established as follows:
sixteen holes for primary zone, sixteen holes for secondary zone and twenty holes in the
dilution zone. As a first approximation, the discharge coefficient was set at 0.5. Finally, the
results are shown in the Table 4.31.
TABLE 4.31 – Air admission holes for annular combustor operating with ethanol
Zone Nholes dh [m] Ah,t [m2]
Cd
Primary Zone 16 0,0149 0,00281 0,623
Secondary Zone 16 0,0176 0,00390 0,623
Dilution Zone 20 0,0233 0,00854 0,622
The distribution of the holes in the inner and outer wall is shown in Table 4.32.
TABLE 4.32 – Air admission holes distribution for can-annular combustor operating with
ethanol
Zone N
holes
N
h
,inn
N
h,out
Primary Zone 16 4 12
Secondary Zone 16 4 12
Dilution Zone 20 5 15
Where N
holes
is the total number of holes, N
h,inn
is the number of holes in the inner wall
and N
h,out
is the number of holes in the outer wall. As in the previous cases the number of air
admission holes in each zone fits within the outer and inner circle.
The Table 4.33 shows a comparison between the basic layout for the combustor operating
with kerosene and the combustor operating with ethanol.
CHAPTER 4. VALIDATION AND RESULTS 113
TABLE 4.33 – Basic layout for annular combustors
Combustor operating with Ethanol
Combustor operating with kerosene
Reference diameter D
ref
[m]
2,85E-01
Reference diameter D
ref
[m] 2,57E-01
Flame tube diameter D
ft
[m] 2,00E-01
Flame tube diameter D
ft
[m] 1,80E-01
Internal diameter d
i
[m] 2,50E-01
Internal diameter d
i
[m] 2,50E-01
Total length [m] 6,02E-01
Total length [m] 5,42E-01
Primary zone length [m]
1,50E-01
Primary zone length [m] 1,35E-01
Secondary zone length [m]
1,00E-01
Secondary zone length [m] 9,00E-02
Dilution Zone Length [m]
3,52E-01
Dilution Zone Length [m] 3,17E-01
Length of recirculation zone
[m]
1,25E-01
Length of recirculation zone
[m]
1,10E-01
From the Table 4.33 it can be observed that the combustor operating with ethanol the size
is higher comparing with the combustor operating with kerosene. However, is possible that
either of the combustor under the given conditions it is able to operate without any problem,
because the amount of air admitted into the primary zone of the combustor is the same for
both cases and corresponds to 24 % of total air. This ensures that the combustors always
operated between flammability limits. In this way the combustion is guaranteed under all
operating conditions from the chemical point of view. From the aerodynamic point of view
and based on the calculations performed it was observed that also is also possible; however,
the total pressure loss is higher for the ethanol case. The difference in the flame tube diameter
is due mainly to diffuser calculation. Due to with a higher diameter the length of the diffuser
according with the calculations become negative, that it is not possible under any condition.
The parameters used to calculate the diffuser and swirler are the same for both cases, as well
the parameters used for film cooling calculation. For these specific cases it is necessary to
perform a modification in the position of cooling slot, since to for one of the cases the
temperature at the wall is above of 1300 K. The holes for admission air for the both cases are
the same. In general it is possible that for the same operating conditions the combustor have
the ability to operate without problem.
CHAPTER 4. VALIDATION AND RESULTS 114
4.2.3 Can-annular combustion chamber operating with natural gas
The proposal combustor is for an industrial gas turbine type can-annular with six
combustors, which operates with natural gas. With a maximum power of 14.41 MW,
compressor exit area of 0.290 m
2
, air velocity at the outlet of the compressor is assumed to be
150 m/s.
Input parameters for each operating condition are shown in Table 4.34. The value of
pressure loss (P
3-4
/q
ref
) was assumed as 30[1]. The internal diameter of the combustor was
set as 0.22m.
Where condition 1 corresponds to 100% of engine rotation, i.e. 11.200 rpm, the second
condition corresponding to 80% with 8.960 rpm, the third condition corresponds to 60% of
6.720 rpm rotation and the fourth condition corresponds to 40% of the 4.480 rpm rotation.
TABLE 4.34 – Operating condition for can-annular combustor operating with natural gas
Operating
Condition
P
3
[Mpa]
p
3
[Mpa]
T
3
[K]
M
3
[kg/s]
φ
Overall
Pattern
Factor
Comb
. Eff.
%
Min
mf
3
[kg/s]
P
3-4
/P
3
1 1.732 1.696 678 50 0.314 20 99 0.9118 0.04
2 1.195 1.168 609 39 0.186 20 99 0.4285 0.04
3 0.831 0.81 547 28 0.162 20 98 0.2747 0.04
4 0.641 0.623 506 17 0.157 20 96 0.1601 0.04
The amount of air required in the primary zone was established using the theoretical
limits for equivalence ratio equations for gas natural equation 4.7 and 4.8
φ
lean
= 0.399 – 0.0001 T
3
(4.7)
φ
rich
= 2.458 - 0.0004 T
3
(4.8)
CHAPTER 4. VALIDATION AND RESULTS 115
The theoretical limits for equivalence ratio are shown in the Table 4.35.
TABLE 4.35 – Theoretical limits for annular combustor operating with natural gas
Condition
Theoretical Limits Ratio Φ
Overall
/ Φ
limit
Lean Rich Lean Rich
1
0.33 2.19 0.95 0.14
2
0.34 2.21 0.55 0.08
3
0.34 2.24 0.48 0.07
4
0.35 2.26 0.45 0.07
Consequently, the amount of air required in the primary zone lies between 0.14 and 0.45.
The calculation assumed a value of 0.46 which corresponds to the 46% of the total amount of
air entering the combustion chamber.
The Table 4.36 show the results obtained for the reference values of combustors (area and
diameter).
TABLE 4.36 – Combustor liner airflow and outer casing airflow reference values
Condition
A
ref
[m
2
] A
ft
[m
2
] D
ft
[m] D
ref
[m]
Aerodynamic
Chemical
Aerodynamic
Chemical
Aerodynamic
Chemical
Aerodynamic
Chemical
1
2.47E-01 2.10E-02
1,63E-01 1.39E-03
1.43E-01 1.85E-02
3.99E-01 2.71E-02
2
2.64E-01 8.42E-03 1.74E-01 5.56E-03
1.50E-01 7.77E-03
4.16E-01 1.04E-01
3
2.59E-01 1.33E-02
1.71E-01 8.79E-03
1.48E-01 1.21E-02
4.10E-01 1.30E-01
4
1.96E-01 1.39E-01
1.29E-01 9.16E-03
1.21E-01 1.25E-02
3.46E-02 1.33E-01
Based on the result from the Table 4.36 the minimum value that the tube must have for
this case is 0.150m. For this case the flame tube diameter is given by the aerodynamic
conditions as the reference diameter. For this example it was assumed a flame tube diameter
D
ft
of 0.230 m, accomplish with the minimum diameter given by the aerodynamic conditions.
The Table 4.37 shows the suggested values which are the minimum value that must have
the combustor and the values adopted for further calculations.
CHAPTER 4. VALIDATION AND RESULTS 116
TABLE 4.37 – Combustor liner airflow and outer casing airflow final values for can-annular
combustor operating with natural gas
Suggested Value Final Values
Reference area A
ref
0.264 m
2
0.283 m
2
Flame tube area A
ft
0.174 m
2
0.187 m
2
Reference diameter D
ref
0.416 m 0.420 m
Flame tube diameter D
ft
0.150 m 0.230 m
The Table 4.38 shows the values obtained for the length of the combustor and the
preliminary air distribution.
TABLE 4.38 – Combustor length zone and preliminary air distribution for can-annular
combustor operating with natural gas
Zone
Percent
of Air
(%)
Length
[m]
Primary Zone 46 0.173
Secondary Zone 6.33 0.115
Dilution Zone 9.87 0.350
The total length of the chamber is 0.637 m and the percentage of air available for cooling
is 37.80 %.
For the diffuser design was considered that half of the air entering the primary zone is
supported through the swirl and the dome slot cooling, i.e. 23% passes through the swirl and
the cooling of the dome slot. Then 77% of the total air passes through the annular area of the
combustor (A
an
). The calculation assumes that the pressure loss in the diffuser is 1%, the
discharge coefficient of the snout is 1 and the compressor exit area is 0.290 m
2
. The results
are shown in the Table 4.39.
CHAPTER 4. VALIDATION AND RESULTS 117
TABLE 4.39 – Diffuser parameter for can-annular combustor operating with natural gas
Diffuser Parameter
Air percent through the section A
an
77
Divergence angle ψ [°] 16
Snout area A
s
[m
2
] 0.0287
Snout diameter D
s
[m] 0.191
L
dif
[m] 0.261
For this case it can be observed that the divergence angle of the diffuser is small,
resulting in a relatively long diffuser. This due to the outlet compressor area is not completely
fitted with the combustor.
For the calculation of swirled the following conditions were assumed: stagger angle =
60
o
, mass air flow rate through the swirler 6%, loss of pressure inside the snout of 25%, the
atomizer diameter of 0.032 m which corresponds to 10% of reference diameter, thickness of
the wall type was assumed as 0.0012m and blades type curved. The Table 4.40 shows the
results obtained for the swirler.
TABLE 4.40 – Swirler parameter for can-annular combustor operating with natural gas
Swirler Parameter
Swirler Area A
sw
[m
2
] 1.98E-03
Swirler Diameter D
sw
[m] 0.067
D
sw
/D
ft
0.29
The parameters of the recirculation zone were obtained assuming that the length of the
recirculation zone lies between two times the outer diameter of the swirl and the length of the
primary area for this example was taken as 0.135m. The calculated dome angle θ is 49.32
o
and the length of the dome (L
Dom
) is 0.0700 m.
The Figure 4.7 shows the results obtained for the temperature profile obtained using the
methodology proposed by Melconian and Modak [1].
CHAPTER 4. VALIDATION AND RESULTS 118
From the Figure 4.7 can be observed that the highest temperature inside the combustor
reaches the end of the primary zone for the first operating condition. Also is observed that for
conditions 1, 2, 4 the higher temperature is reached in the primary zone, however for
condition 2 this temperature also reaches in the secondary zone
FIGURE 4.7– Temperature profile for can-annular combustor operating with natural gas
The Table 4.41 shows the inlet and outlet temperature at each zone of combustor and also
mean temperature at recirculation zone.
TABLE 4.41 – Temperature profile for can annular combustor operating with natural gas
Condition
Recirculation
zone
Primary zone
Secondary zone Dilution Zone
1
T
in
678.00 2345.7 2089.8 1576.4
T
out
2263.2 1945.1 1553.7
T
mean
1643.64
2
T
in
609.00 2265 1986.4 1576.3
T
out
2291.1
1876.3
1553.7
T
mean
1517.98
3
T
in
547.00 2010.7 1567.2 1463.3
T
out
1813.33 1892.2 1435.2 1450.8
T
mean
4
T
in
506.00 1879.9 1456.5 880.6
T
out
1791.7 1296.2 876.7
T
mean
1300.51 - - -
700
900
1100
1300
1500
1700
1900
2100
2300
2500
0,00 0,20 0,40 0,60
Temperature [K]
Distance [m]
Temperature profile
Condition 1
Condition 2
Condition 3
Condition 4
CHAPTER 4. VALIDATION AND RESULTS 119
The Figure 4.8 show the temperature profile using the proposed CRN, as the previous
case the calculation was carried out use of CHEMKIN 3.7, package AURORA[28] and PLUG
[29]. This code adopts a detailed mechanism for natural gas GRImech 3.0.[31]. As in the
previous cases the temperature in the recirculation zone was assumed as the mean
temperature, calculated by the methodology of Modak and Melconian [1].
Comparing the Figure 4.7 and Figure 4.8 can be observed that the temperature reached
using the CRN is higher for all operating conditions. Also it is observed that the changes in
the temperatures between the zones is evident, and is mainly related with the inlet temperature
at each zone of the combustor. The influence of the air inlet can be observed in the behaviour
of the temperature line. As in the previous case it was observed that in the temperature in the
dilution zone remains almost constant.
FIGURE 4.8– Temperature profile for can-annular combustor operating with natural gas
To calculate the film cooling, we assumed the following values: Slot height (s) = 0002 m,
the Slot Lip Thickness (t) = 0.0012m, wall thickness (tw) = 0.0015 m, the wall material is
stainless steel and the steel casing material. The gas is assumed as non-luminous.
700
900
1100
1300
1500
1700
1900
2100
2300
2500
0,00 0,20 0,40 0,60
Temperature [K]
Distance [m]
Temperature profile
Condition 1
Condition 2
Condition 3
Condition 4
CHAPTER 4. VALIDATION AND RESULTS 120
The positioning of the cooling slots are related to the temperature profile, locating a
greater number of slots in the hottest area of the combustor, in this case three slots were
located in the primary zone, two in the secondary zone and one in dilution zone, for a total of
six slots, here it is not includes the dome slot. The position of the slots is shown in the Table
4.42 and the results obtained for the temperature of the inner and outer wall.
TABLE 4.42 – Cooling slot position and wall temperature for can-annular combustor with
operating with natural gas
Operating
condition
Position [m] T
w1
[K] T
w2
[K]
1 0.090
866.80 849.42
2
770.90 758.78
3
689.73 681.56
4
639.99 634.78
1 0.120
835.66 821.51
2
744.02 734.18
3
666.26 659.61
4
618.15 613.91
1 0.160
921.57 894.50
2
814.42 800.61
3
721.66 710.21
4
672.54 665.16
1 0.200
984.07 939.95
2
862.77 841.17
3
773.66 753.76
4
729.30 715.83
1 0.280
974.73 938.49
2
859.60 841.43
3
756.74 742.05
4
707.52 698.00
1 0.350
905.82 884.69
2
783.81 775.71
3
684.09 677.26
4
624.93 621.06
CHAPTER 4. VALIDATION AND RESULTS 121
From the Table 4.42 can be observed that the temperature in the wall is lower than
1300K. The calculation for film cooling was performed with the temperature profile obtains
by de CNR method
To calculate the air admission holes was established the percentage of air available for
each zone, obtaining that for the primary zone is 35.93%, 6.29% for the secondary zone and
18.90% dilution zone. For each zone of the combustor was set the number of holes as follows:
twelve holes in the primary zone, twenty-four in the secondary zone and twenty in the dilution
zone. As a first approximation, the discharge coefficient was set at 0.5 for each of those areas
of the combustor. The results are shown in the Table 4.43.
TABLE 4.43 – Air admission holes for annular combustor operating with natural gas
Zone Nholes dh [m] Ah,t [m2]
Cd
Primary Zone 18 0.0399 0.0023
0.586
Secondary Zone 24 0.0143 0.0039
0.595
Dilution Zone 20 0.0274 0.0118
0.591
The number of holes provided for each section of the combustor can be accommodated
within the circumference of the combustor. However, the diameter of the hole in the primary
zone is considerably greater than that of other diameter holes. In order to reduce this size is
necessary to increase the number of holes in the zone, but for this example a larger number of
holes in a row is not possible because not fit into to the circumference. Therefore is important
to determine if the number of holes will be distributed in one or two rows and if this
distribution does not affect structurally the combustor.
CHAPTER 4. VALIDATION AND RESULTS 122
4.2.4 Can-annular combustion chamber operating with ethanol
The combustor proposed for this case has the same configuration that the previous case,
but operating with ethanol as fuel. The combustor has the same operating conditions and the
input parameters are similar, however to maintain the same total equivalence ratio and due to
the change in the fuel, it is necessary to calculate the mass flow for the new fuel by using the
equations 4.3 and 4.4, where ethanol FAR is 9. The Table 4.44 shows the operating conditions
for the proposed combustor.
For this example also assumes that output area 0.290 m
2
compressor and air velocity at
the outlet of the compressor = 150 m/s.
The value of pressure loss (P
3-4
/q
ref
) was assumed as 30[1]. The internal diameter of the
combustor was assumed as 0.220m.
TABLE 4.44 – Operating conditions for can-annular combustor operating with ethanol
Operating
Condition
P
3
[Mpa]
p
3
[Mpa]
T
3
[K]
M
3
[kg/s]
φ
Overall
Pattern
Factor
Comb
. Eff.
%
Min
mf
3
[kg/s]
P
3-4
/P
3
1 1.732 1.696 678 50 0.314 20 99 1.744 0.04
2 1.195 1.168 609 39 0.186 20 99 0.807 0.04
3 0.831 0.81 547 28 0.162 20 98 0.5046 0.04
4 0.641 0.623 506 17 0.157 20 96 0.2971 0.04
The amount of air necessary for the primary zone was established using the the
theoretical limits for equivalence ratio equations 4.5 and 4.6 for ethanol. The Table 4.45
shown the results for equivalence ratio limits
CHAPTER 4. VALIDATION AND RESULTS 123
TABLE 4.45 – Theoretical limits for annular combustor operating with ethanol
Condition
Theoretical Limits Ratio Φ
Overall
/ Φ
limit
Lean Rich Lean Rich
1
0.38 2.48 0.82 0.13
2
0.42 2.38 0.56 0.07
3
0.45 2.28 0.53 0.07
4
0.47 2.22 0.44 0.07
Consequently, the amount of air required in the primary zone lies between 0.13 and 0.44.
The calculation assumed a value of 0.44 which corresponds to 44% of the total amount of air
entering to the combustor.
The Table 4.46 presents the results obtained for combustor flame tube and outer casing
reference (area and diameter).
TABLE 4.46 – Combustor liner airflow and outer casing airflow reference values
Condition
A
ref
[m
2
] A
ft
[m
2
] D
ft
[m] D
ref
[m]
Aerodynamic
Chemical
Aerodynamic
Chemical
Aerodynamic
Chemical
Aerodynamic
Chemical
1
2.47E-01 2.26E-02
1.63E-01 1.49E-02
1.43E-01 1.98E-02
3.99E-01 2.89E-02
2
2.64E-01 2.29E-04
1.74E-01 1.51E-04
1.50E-01 2.18E-04
4.16E-01 1.71E-02
3
2.59E-01 1.04E-04
1.71E-01 6.90E-05
1.48E-01 9.97E-05
4.10E-01 1.15E-02
4
1.96E-01 9.59E-05
1.29E-01 6.33E-05
1.21E-01 9.15E-05
3.46E-02 1.10E-02
The minimum value that the flame tube should hav is 0.150 m. For this case, as in the
previous example, the flame tube diameter and reference diameter are given by the
aerodynamic conditions. Therefore the suggested values are the same that the last case,
because it is the aerodynamics consideration, which will determine the size of the combustor.
For this example assume a flame tube diameter of 0.230 m.
The Table 4.47 shows the suggested values and the values adopted for further
calculations, where final values corresponds to recalculated values for a flame tube diameter
of 0.230m.
CHAPTER 4. VALIDATION AND RESULTS 124
TABLE 4.47– Combustor liner airflow and outer casing airflow final values for can-annular
combustor operating with ethanol
Suggested Values Final Values
Reference area A
ref
0.264 m
2
0.283 m
2
Flame tube area A
ft
0.174 m
2
0.187 m
2
Reference diameter D
ref
0.416 m 0.420 m
Flame tube diameter D
ft
0.150 m 0.230 m
The Table 4.48 shows the values obtained for combustor length zones and percentage of
air for each of the zone of the combustor.
TABLE 4.48 – Combustor length zone and preliminary air distribution for can-annular
combustor operating with ethanol.
Zone
Percent of Air (%)
Length [m]
Primary Zone
44
0.173
Secondary Zone
8.33
0.115
Dilution Zone
9.87
0.350
The total length of the chamber is 0.637 m and the percentage of air available for cooling
is 37.80%, and this values is the same that the previous case. It is because the amount of air
available for film cooling depends of the inlet temperature (T
3
).
For the diffuser design was considered that the 22% of total mass air flow rate passes
through the swirl and the cooling of the dome slot. Then 78% of the total air passes through
the annular area of the combustor (A
an
). For calculation it was assumed that the pressure loss
in the diffuser is 1%, the discharge coefficient of the snout is 1 and the compressor exit area is
0290 m
2
. The results are shown in the Table 4.49.
CHAPTER 4. VALIDATION AND RESULTS 125
TABLE 4.49– Diffuser parameter for can-annular combustor operating with ethanol
Diffuser Parameter
Air percent through the section A
a
n
78
Divergence angle ψ [°] 16
Snout area A
s
[m
2
] 0.0271
Snout diameter D
s
[m] 0.186
L
dif
[m] 0.253
From the Table 4.49 can be observed that the divergence angle is too small and as
consequence the diffuser is long, however, is less than in the previous case.
For swirler calculation the following conditions were assumed: stagger angle of 60
o
, mass
flow of air swirled through 6%. Loss of pressure in the snout of 25%, atomizer diameter of
0.042 m, which corresponds to 10% of the reference diameter, wall thickness of 0.0012m and
blades type curved. The results are shown in the Table 4.50.
TABLE 4.50 – Swirler parameter for can-annular combustor operating with ethanol
Swirler Parameter
Swirler Area A
sw
[m
2
] 1.98E-03
Swirler Diameter D
sw
[m] 0.066
D
sw
/D
ft
0.28
The length of the recirculation zone was assumed to 0.133m, the dome angle (θ) is 50.70
o
and dome length (L
Dom
) is 0.0669 m.
The Figure 4.9 shows the results obtained for the temperature profile obtained using the
methodology proposed by Melconian and Modak [1].
CHAPTER 4. VALIDATION AND RESULTS 126
FIGURE 4.9– Temperature profile for can-annular combustor operating with ethanol
The Table 4.51 shows the temperature profile for inlet and outlet temperature for each
zone and at each operating condition.
TABLE 4.51 – Temperature profile for can annular combustor operating with ethanol
Condition
Recirculation
zone
Primary zone
Secondary zone Dilution Zone
1
T
in
678.00 2441.2 2208.5 1478.8
T
out
2376.4
2106.1
1477.2
T
mean
1643.64
2
T
in
609.00 2245.7 1867.6 1319.6
T
out
2132.4
1762.5
1319.4
T
mean
1517.98
3
T
in
547.00 2176.7 1699.8 1176
T
out
2076.3 1587.2 1172.9
T
mean
1391.22
4
T
in
506.00 1979.9 1448.5 986.7
T
out
1897.7 1343.5 986.1
T
mean
1300.51 - - -
From the Figure 4.9 can be observed that the highest temperature inside the combustor is
reaches the end of the primary zone for the first operating condition. Also it is observed that
700
900
1100
1300
1500
1700
1900
2100
2300
2500
0,00 0,20 0,40 0,60
Temperature [K]
Distance [m]
Temperature profile
Condition 1
Condition 2
Condition 3
Condition 4
CHAPTER 4. VALIDATION AND RESULTS 127
for conditions 1, 2, 4 the higher temperature is reached in the primary zone, however for
condition 2 this temperature is reached in the secondary zone.
The Figure 4.10 shows the temperature profile using the proposed CRN, as the previous
case the calculation was carry out use of CHEMKIN 3.7, package AURORA [28] and PLUG
[29]. This code used a detailed mechanism for ethanol.[32]. As in the previous cases the
temperature in the recirculation zone was assumed as the mean temperature, calculated by the
methodology of Modak and Melconian [1]. See Table 4.50. Comparing the Figure 4.9 and
Figure 4.10 can be observed that the temperature reached using the CRN is higher for all
operating conditions. The influence of the air inlet can be observed in the behaviour of the
temperature line. As in the previous case was observed that in the temperature in the dilution
zone remains almost constant.
FIGURE 4.10– Temperature profile for can-annular combustor operating with ethanol
To calculate the film cooling, is assumed the following values: slot height (s) = 0002 m,
the slot lip thickness (t) = 0.0012m, wall thickness (tw) = 0.0015 m, the wall material is
stainless steel and the steel casing material. The gas is assumed as non-luminous. This
700
900
1100
1300
1500
1700
1900
2100
2300
2500
0,00 0,20 0,40 0,60
Temperature [K]
Distance [m]
Temperature profile
Condition 1
Condition 2
Condition 3
Condition 4
CHAPTER 4. VALIDATION AND RESULTS 128
conditions are the same that the previous case. The calculation of film cooling system was
carried out with six cooling slots and in this calculation it is not include the slot located in the
dome. The position of the slots is shown in the Table 4.52 and the results obtained for the
temperature of the inner and outer wall.
TABLE 4.52– Cooling slot position and wall temperature for can-annular combustor with
operating with ethanol
Operating
condition
Position [m] T
w1
[K] T
w2
[K]
1 0.090
887.42 867.27
2
789.19 775.08
3
705.20 695.72
4
655.51 649.42
1 0.120
861.48 844.20
2
766.86 754.75
3
685.96 677.81
4
637.39 632.17
1 0.160
982.76 945.07
2
841.57 825.24
3
769.48 752.80
4
712.89 702.71
1 0.200
1062.61 1000.97
2
906.16 880.85
3
836.86 805.83
4
789.69 769.55
1 0.280
1045.83 994.54
2
888.43 868.35
3
808.65 786.68
4
751.78 738.48
1 0.350
962.45 932.13
2
804.71 795.81
3
721.13 711.05
4
647.09 641.98
CHAPTER 4. VALIDATION AND RESULTS 129
From the Table 4.52 can be observed that the temperature in the wall is lower than 1300K
for all operating conditions. The calculation for film cooling was performed with the
Temperature profile obtains by de CNR method.
To calculate the air admission holes was established the percentage of air available for
each zone, obtaining that for the primary zone is 33.93%, 8.27% for the secondary zone and
18.90% dilution zone. For each zone of the combustor was setting the number of holes as
follows: eighteen holes in the primary zone, twenty-four in the secondary zone and twenty in
the dilution zone. As a first approximation, the discharge coefficient was setting at 0.5 for
each of those areas of the combustor. The results are shown in the Table 4.53.
TABLE 4.53 – Air admission holes for annular combustor operating with ethanol
Zone N
holes
d
h
[m] A
h.t
[m2]
Cd
Primary Zone 18
0.0368 0.02130 0.585
Secondary Zone 24
0.0165 0.00512 0.593
Dilution Zone 26
0.0274 0.01178 0.590
The number of holes obtained for each section of the combustor can be fitted within the
circumference of the combustor. However, the diameter of the hole in the primary zone is
considerably greater than that of other diameter holes. In order to reduce this size it is
necessary to increase the number of holes in that zone, for these reason it is important to
determine if the number of holes will be distributed in one or two rows and if this distribution
does not affect structurally the combustor
4.2.5 Can annular combustor operating with kerosene
To carry out the calculation of the combustor operating with kerosene, was assumed the
same values that the previous case as input parameters. To maintain the same equivalence
CHAPTER 4. VALIDATION AND RESULTS 130
ratio that the previous case it is necessary to establish a new mass flow of fuel due to change
in the fuel.
Assuming equivalence global ratio and mass air flow (M
3
)
are constant i.e. does not vary
with respect to the previous example and FAR for kerosene is assumed as 14.7. A new mass
fuel flow is obtained through the equations 4.3 and 4.4
Input parameters used for design are presented in Table 4.54 including the new mass fuel
flow.
TABLE 4.54 – Operating condition for annular combustor operating with kerosene
Operating
Condition
P
3
[Mpa]
p
3
[Mpa]
T
3
[K]
M
3
[kg/s]
φ
Overall
Pattern
Factor
Comb.
Eff. %
Min
m
f3
[kg/s]
P
3-4
/P
3
1
1.732 1.696 678 50 0.314 20 99 1.068 0.04
2
1.195 1.168 609 39 0.186 20 99 0.4945 0.04
3
0.831 0.81 547 28 0.162 20 98 0.309 0.04
4
0.641 0.623 506 17 0.157 20 96 0.1819 0.04
The value of pressure loss factor (P
3-4
/q
ref
) was assumed as 30. The internal diameter of
the combustor was setting as 0.220m.
The amount of air required in the primary zone was established using the theoretical
limits for equivalence ratio equations 4.1 and 4.2 for kerosene,
The theoretical limits for equivalence ratio are shown in the Table 4.55.
TABLE 4.55 – Theoretical limits for can annular combustor operating with kerosene
Condition
Theoretical Limits Ratio Φ
Overall
/ Φ
limit
Lean Rich Lean Rich
1
0.399 2.227 0.787 0.141
2
0.426 2.185 0.436 0.085
3
0.451 2.148 0.359 0.075
4
0.468 2.124 0.336 0.074
CHAPTER 4. VALIDATION AND RESULTS 131
The amount of air required in the primary zone is assumed as 0.43 which corresponds to
43% of the total amount of air entering to the combustor.
The Table 4.56 shows the results obtained for the reference values of combustors (area
and diameter)
TABLE 4.56 – Combustor liner airflow and outer casing airflow reference values
Condition
A
ref
[m
2
] A
ft
[m
2
] D
ft
[m] D
ref
[m]
Aerodynamic
Chemical
Aerodynamic
Chemical
Aerodynamic
Chemical
Aerodynamic
Chemical
1
2.47E-01 4.09E-02 1.63E-01 2.70E-02 1.43E-01 3.39E-02 3.99E-01 4.85E-02
2
2.64E-01 2.83E-04 1.74E-01 1.87E-04 1.50E-01 2.70E-04 4.16E-01 1.90E-02
3
2.59E-01 1.49E-04 1.71E-01 9.80E-05 1.48E-01 1.42E-04 4.10E-01 1.38E-02
4
1.96E-01 1.41E-04 1.29E-01 9.28E-05 1.21E-01 1.34E-04 3.46E-01 1.34E-02
The Table 4.56 shows that the highest value for the flame tube diameter D
ft
in the four
conditions corresponding to a value of 0.150 m and is given by aerodynamics conditions. The
reference diameter is determined by aerodynamic considerations too. It important say that this
values are the same for the combustor operating with gas natural and ethanol, that is,
meaning that for this combustor operating under the given conditions the change of fuel does
not influence the geometric and basic sizing of combustor.
The flame tube diameter D
ft
value adopted for further calculations corresponds to
0.230m. This value was adopted because fulfils with all considerations. The Table 4.57
presents the suggested values and the final values adopted for further calculations. The
suggested values are the minimum areas and diameters that must have the combustor. The
final values correspond to the recalculated values for a flame tube diameter D
ft
of 0.230 m.
CHAPTER 4. VALIDATION AND RESULTS 132
TABLE 4.57 – Combustor liner airflow and outer casing airflow final values for annular
combustor operating with kerosene
Suggested Values Final Values
Reference area A
ref
0.264m
2
0.283m
2
Flame tube area A
ft
0.174m
2
0.187m
2
Reference diameter D
ref
0.416m 0.420m
Flame tube diameter D
ft
0.150m 0.230m
Table 4.58 shows the values obtained for the length of the combustor and the percentage
of air for each combustor zone.
TABLE 4.58 – Combustor length zone and preliminary air distribution for kerosene
Zone
Percent of Air
(%)
Length [m]
Primary Zone 43 0.173
Secondary Zone 9.33 0.115
Dilution Zone 9.87 0.350
The total length of the combustor is 0.637 m and the percentage of air available for
cooling is 37.8%. The last one is the same for all examples since it depends of the inlet
temperature T
3
.
The diffuser design parameters are shown in the Table 4.59, assuming that 21.5% of total
air passing through the swirl and the slot. Then 78.5% of total air passes through the annular
area of the combustor A
an
. For calculation was assumed that the pressure loss in the diffuser is
1%, the discharge coefficient of the snout is 1 and the compressor exit area is 0.290 m
2
.
CHAPTER 4. VALIDATION AND RESULTS 133
TABLE 4.59 – Diffuser parameter for can annular combustor operating with kerosene
Diffuser Parameter
Air percent through the section A
an
78.5
Divergence angle ψ [°] 16
Snout area A
s
[m
2
] 0.0263
Snout diameter D
s
[m] 0.183
L
dif
[m] 0.249
From the Table 4.59 can be observed that the divergence angle of diffuser the divergence
angle is too small and as consequence the diffuser is long. The diffuser for this case is a
intermediate value between the values for a combustor operating with ethanol and combustor
operating with natural gas.
The Table 4.60 shows the swirler parameters. For the calculation was assumed the
following conditions: stagger angle = 60
o
, mass air flow through the swirler 6%, total loss
pressure inside of the snout of 25%, the atomizer diameter of 0.042m corresponding to 10%
of the reference diameter, wall thickness of 0.0012m and blades type curved.
TABLE 4.60 – Swirler parameter for can annular combustor operating with kerosene
Swirler parameters
Swirler Area A
sw
[m
2
] 1.98E-03
Swirler Diameter D
sw
[m] 0.067
D
sw
/D
ft
0.29
The parameters of the recirculation zone were obtained assuming the length of the
recirculation zone as 0.135 m. Obtaining that the dome angle θ is 49.32
o
and the length of the
dome L
Dom
is 0.07 m.
The Figure 4.11 shows the results for the temperature profile using the methodology
proposed by Modak and Melconian [1] .
CHAPTER 4. VALIDATION AND RESULTS 134
FIGURE 4.11– Temperature profile for can annular combustor operating with kerosene
The Figure 4.11 shows that the highest temperature for conditions 1, 3 and 4 are reached
at the end of primary zone. And for condition 2 the highest temperature is reached at the
secondary zone.
As it is observed from the Figure 4.11 the temperature profile presents higher
temperatures in all operating condition, the curves have a similar behavior. The highest
temperature of gas is reached at the end of the recirculation zone, where is located the primary
zone, that meaning with the entering air the chemical reaction is completed.
The Figure 4.12 shown the result for the Temperature profile using the CNR, where is
adopted a detailed mechanism for kerosene.[30]. As all previous cases the temperature in the
recirculation zone was assumed as the mean temperature in the zone as was obtained by the
methodology proposed by Melconian and Modak [1] See Table 4.61.
700
900
1100
1300
1500
1700
1900
2100
2300
2500
0,00 0,20 0,40 0,60
Temperature [K]
Distance [m]
Temperature profile
Condition 1
Condition 2
Condition 3
Condition 4
CHAPTER 4. VALIDATION AND RESULTS 135
The Table 4.61 shows the temperature profile for inlet and outlet temperature for each
zone and at each operating condition.
TABLE 4.61 – Temperature profile for can annular combustor operating with kerosene
Condition
Recirculation
zone
Primary zone Secondary zone Dilution Zone
1
T
in
678.00 2340.2 2096.2 1580.1
T
out
2256.4
1998.9
1579.7
T
mean
1643.64
2
T
in
609.00 2263.4 1873 1435.6
T
out
1972.47 2167.8
1791.5
1430.9
T
mean
3
T
in
547.00 2075.6 1676.3 1108.2
T
out
1956.3 155.8 1102.5
T
mean
1391.22
4
T
in
506.00 1879.9 1562.3 978.4
T
out
1787.7 1431.4 973.5
T
mean
1300.51 - - -
Comparing the Figure 4.11and Figure 4.12 can be observed that the temperature reached
using the CRN is higher for all operating conditions. The influence of the air inlet can be
observed in the behaviour of the temperature line. As in the previous case was observed that
the temperature in the dilution zone remains almost constant.
FIGURE 4.12– Temperature profile for annular combustor operating with natural gas
700
900
1100
1300
1500
1700
1900
2100
2300
2500
0,00 0,20 0,40 0,60
Temperature [K]
Distance [m]
Temperature profile
Condition 1
Condition 2
Condition 3
Condition 4
CHAPTER 4. VALIDATION AND RESULTS 136
To calculate the film cooling, is assumed the following values: slot height (s) = 0002 m,
the slot lip thickness (t) = 0.0012m, wall thickness (tw) = 0.0015 m, the wall material is
stainless steel and the steel casing material. The gas is assumed as non-luminous. These
parameters are the same that the two previous cases
The calculation of film cooling system was carried out with six cooling slots and in this
calculation it is not include the slot located in the dome.The positioning of the cooling slots is
based on the temperature profile, for this reason are positioned a greater number of slots in the
hottest areas of the combustor, for this case three slots are positioned between the
recirculation zone and primary zone, not including the dome slot. The position of the slots and
the results are shown in the Table 4.62.
TABLE 4.62 – Cooling slot position and wall temperature for can annular combustor with
operating with kerosene
Operating
condition
Position [m] T
w1
[K] T
w2
[K]
1 0.090
870.57 855.46
2
773.79 763.31
3
691.92 684.89
4
642.61 638.13
1 0.120
839.17 826.87
2
746.59 738.07
3
668.16 662.44
4
620.36 616.71
1 0.160
928.12 904.43
2
815.48 803.49
3
730.62 720.15
4
676.25 669.88
1 0.200
988.09 951.01
2
869.93 851.37
3
781.39 763.59
4
725.88 715.43
CHAPTER 4. VALIDATION AND RESULTS 137
1 0.280
983.29 951.60
2
863.33 848.18
3
767.98 754.35
4
711.54 703.39
1 0.350
920.94 901.17
2
798.43 791.30
3
700.45 693.61
4
646.40 642.25
From the Table 4.62 is observed that the temperature in the wall is lower than 1300K for
all operating conditions. Is possible affirm that the position of slots area correct. The
calculation for film cooling was performed with the Temperature profile obtains by de CNR
method.
To calculate the air admission holes was established the percentage of air available for
each area getting that for the primary zone is 32.91%, 9.24% for the secondary zone and
18.90% for dilution zone. To obtain the remainder parameters for air admission holes, the
number of holes per zone was established as follows: eighteen holes for primary zone, twenty
four for secondary zone and twenty in the dilution zone. As a first approximation, the
discharge coefficient was set at 0.5. The results are shown in the Table 4.63.
TABLE 4.63 – Air admission holes parameters for can annular combustor operating with
kerosene
Zone Nholes dh [m] Ah,t [m2]
Cd
Primary Zone 18
0.0382 0.02067 0.585
Secondary Zone 24
0.0174 0.00574 0.593
Dilution Zone 20
0.0274 0.01179 0.590
The number of holes obtained for each section of the combustor can be fitted within the
circumference of the combustor. However, the diameter of the hole in the primary zone is
considerably greater than that of other diameter holes, and in order to reduce this size is
CHAPTER 4. VALIDATION AND RESULTS 138
necessary to increase the number of holes in the zone, for these reason it is important to
determine if the number of holes will be distributed in one or two rows and if this distribution
does not affect structurally the combustor.
TABLE 4.64 – Basic layout for can annular combustor
Combustor operating with
natural gas
Combustor operating with
ethanol
Combustor operating with
kerosene
Reference diameter
D
ref
[m]
4.20E-01
Reference diameter
D
ref
[m]
4.20E-01
Reference diameter
D
ref
[m]
4.20E-01
Flame tube
diameter D
ft
[m]
2.30E-01
Flame tube diameter
D
ft
[m]
2.30E-01
Flame tube
diameter D
ft
[m]
2.30E-01
Internal diameter d
i
[m]
n/a
Internal diameter d
i
[m]
n/a
Internal diameter d
i
[m]
n/a
Total length [m] 6.37E-01 Total length [m] 6.37E-01 Total length [m] 6.37E-01
Primary zone
length [m]
1.73E-01
Primary zone length
[m]
1.73E-01
Primary zone
length [m]
1.73E-01
Secondary zone
length [m]
1.15E-01
Secondary zone
length [m]
1.15E-01
Secondary zone
length [m]
1.15E-01
Dilution Zone
Length [m]
3.50E-01
Dilution Zone
Length [m]
3.50E-01
Dilution Zone
Length [m]
3.50E-01
Length of
recirculation zone
[m]
1.35E-01
Length of
recirculation zone
[m]
1.35E-01
Length of
recirculation zone
[m]
1.35E-01
From theTable 4.63 is possible said that this combustor has the ability to operate with the
three fuels without a significant modification, i.e. for those three cases the basic sizing and
configuration practically is the same, the theoretical limits for equivalence ratio are closer the
difference between them are approximately 2%, this small difference allows that the
configuration in the air admission will be the same.
Another important fact is that the flame tube diameter (D
ft
) is equal for all cases what
means that for this combustor the references values for combustor liner airflow and outer
casing airflow are determined by aerodynamic conditions and the change of fuel does not
affect considerably the size. In general for this combustor the parameters considerer into the
design process are the same.
CHAPTER 4. VALIDATION AND RESULTS 139
It is important say that in each case presented in this work the parameters adopted were
based on typical values and are within the limits of the methodology. However, these values
may change according with the designer criteria. The goal of the selection of each parameter
is obtain the best possible configuration, allowing that the combustor operates with different
type of fuel without affecting combustor performance. It is possible that a combustor
operating with different types of fuels does not operate with one hundred percent efficiency.
However, the design looks that the combustor performance will be the maximum operating
with any type of fuel.
It is also important notice the difference shown in each of the combustors. For annular
combustor operating with kerosene and ethanol, the geometry is governed by aerodynamic
and chemical considerations. This makes the combustor designed for kerosene have not the
ability to operate with ethanol. But the combustor designed to operate with ethanol is in the
ability to operate with kerosene.
In the case of can annular combustor operating with natural gas, ethanol and kerosene the
geometry is governed purely by aerodynamic parameters. This is mainly due to the factor of
total pressure loss in the combustor is more restrictive than in the case of the annular
combustor. In this way it is possible say that with lower pressure loss factor into the
combustor, which have more influence in to the geometry are aerodynamic considerations.
However, it is important to remember that are the set of operating parameters are those who
will determine the basic geometry of the combustor and under certain conditions the
considerations that govern the design can vary from aerodynamics consideration to chemical
considerations o vice versa.
140
5. Conclusions
The proposed methodology for combustor design showed that has the ability to establish
basic geometric parameters and basic configuration of a combustor using fuels such as natural
gas and ethanol.
It also was shown that the design process requires a broad knowledge of operating
conditions. As is can be observed from the examples the design process not only consists in
adapting the operating conditions from one configuration to another. There must be a detailed
analysis of each operating condition and parameters to be used into design, considering not
only the type of fuel, also aspects such as compatibility between engine components,
especially with compressor.
It was found that although the change of fuel affects the combustor geometry is not
always a determining factor, are the set of initial parameters which will determine the basic
configuration. It is important to emphasize that the design operating conditions must be closer
as possible to real condition; the time spent in the design process will be less. Also it is
important remember that methodology here proposed allows obtained a preliminary design
and it is necessary continue with the optimization process through numerical analysis tools as
CFD codes.
According with the results obtained in this work it is possible to design a combustion
chamber to operate with three types of fuels cosidered in this work. However, it is important
to note that according with the results is possible obtain a basic layout for an aeronautical
CHAPTER 5. CONCLUSIONS 141
combustor that operates with kerosene and ethanol, and an industrial combustor that have the
ability to operate with natural gas, ethanol and kerosene. However, this requires an extensive
study of the conditions of combustor operating condition and the interaction with the
components of the gas turbine engine.
The use CRN proved to be a useful tool to calculate the temperature of the gases, which
takes into account not only the conditions of operation also takes into consideration the fuel
characteristics.
Finally as recommendations for future work, is suggested the use of CNR in the
prediction of pollutants.
Bibliography
[1]
MELCONIAN, J.O; MODAK, A.T. Combustor
design. In: SAWYER, JAW. (Ed.)
Sawyer’s gas turbine engineering handbook design. Volume 1, Theory & design. 3. ed.
Connecticut: Turbo machinery International Publications, 1985. v.1, Chapter. 5, p 5-1-5-62.
[2]
HODGEMAN, J.D.; MANIA, H; MOLARS, E.G. Assessment, development, and
application of combustor aero thermal models. Washington, D.C: NASA, 1988.
(NASA TM-100290)
[3]
STUTTAFORD, P.J.; RUBINI P.A. Assessment of a radiative heat transfer model for a
new gas turbine combustor preliminary design tool. In: AEROSPACE SCIENCES
MEETING & EXHIBIT, 35., 1997, Reno, Proceedings... Washington, D.C: AIAA,
1997. (AIAA Paper 97-0294).
[4]
STUTTAFORD, P.J.; RUBINI P.A. Preliminary gas turbine combustor design using a
network approach. ASME Journal of Engineering for Gas Turbines and Power,
v.119, p.547-552. 1997.
[5]
INTERNACIONAL ENERGY AGENCY. World energy outlook, executive report
2009. Paris: IEA, 2009.
[6]
BOEING COMPANY. Current market outlook 2009-2028. Available in:
<http://www.boeing.com/commercial/cmo/index.html>. Accessed on: 22 oct. 2009.
[7]
RAHM, S. et al. Addressing gas turbine fuel flexibility. In: POWER-GEN MIDDLE
EAST, 2009, Manama. Proceedings… Manama: GE Energy, 2009. (GER4601).
[8]
GÖKALP, I.; LEBAS, E. Alternative fuels for industrial gas turbines (AFTUR).
Applied Thermal Engineering, v. 24, p. 1655–1663. 2004
[9]
MONGIA, H.C. Aero-thermal desing and analisys of gas turbine combustion systems:
current status and future direction. In: AIAA/ASME/SAE/ASEE JOINT PROPULSION
CONFERENCE AND EXHIBIT, 34., 1998, Cleveland, Proceedings... Washington,
D.C: AIAA, 1998. (AIAA-98-3982).
[10]
MELLOR, A. M.; FRITSKY, K. J. Turbine combustor preliminary design approach.
Journal of Propulsion and Power, v.6, n.3, p.334-343, 1990.
[11]
MONGIA, H.C.;
REYNOLDS, R.S.; SRINIVASAN, R.
Multidimensional gas turbine
combustion modeling: applications and limitations. Journal of Propulsion and Power,
v.24, n.6, p.890- 904, 1986
[12]
MONGIA, H.C. Perspective of combustión modeling for gas turbine combustors. In:
AIAA AEROSPACE SCIENCES MEETING AND EXHIBIT, 42., 2004, Reno,
Nevada. Proceedings... Washington, D.C: AIAA 2004. (AIAA-2004-156).
BIBLIOGRAPHY 143
[13]
RIZK, N.K; MONGIA, H.C. Gas turbine combustor design methodology. In:
AIAA/ASME/SAE/ASEE JOINT PROPULSION CONFERENCE, 22., 1986,
Huntsvile. Proceedings... Washington, D.C: AIAA, 1986. (AIAA-86-1531).
[14]
LEFEBVRE, A.H. Gas turbine combustion. 2. ed. New York: Taylor & Francis, 1999.
[15]
ODGERS, J. Combustion modelling within gas turbine engines, some applications and
limitations. In: AEROSPACE SCIENCES MEETING, 1977, Los Angeles, California.
Proceedings...Washington, D.C: AIAA 1977 (AIAA-1977-52).
[16]
KNIGTH, H.A.; WALKER, R.B. The component pressure losses in combustion
chambers. National gas turbine establishment Farnborough. Aeronautical research
council, 1965. England. AD0029109.
[17]
CONRADO, A. Metodologia para projeto de mara de combustão de turbina a
gás. 2002. 137f. Trabalho de Conclusão de Curso (Graduação em Engenharia
Aeronáutica). -, Instituto Tecnológico de Aeronáutica, São José dos Campos.
[18]
NOVOSSELOV, I.V. Chemical reactor networks for combustion systems modeling.
2006. 293p. Thesis (Doctor of Philosophy) - Department of Mechanical Engineering,
University of Washington. Washington D.C.
[19]
ALLAIRE, D.L. A physics-based emissions model for aircraft gas turbine
combustors. 2006. 105p. Thesis (Master of Science- MSc) – Massachusetts Institute of
Technology. Cambridge.
[20]
TURNS, S. R. An introduction to combustion: concepts and applications. 2. ed. Boston:
Mc Graw Hill. 2000.
[21]
RUTAR, T.; MALTE. P.C. NOx formation in high pressures jet-stirred reactors with
significance to lean-premixed combustion turbines. ASME Journal of Engineering for
Gas Turbines and Power, v.124, p.776-783. 2002.
[22]
BALLAD, D.R; LEFEBVRE, A.H. A proposed method for calculating film-cooled wall
temperatures in gas turbine combustion chambers.New York: ASME, 1972. (Paper 72-
WA/HT-24).
[23]
MONGIA, H.C. Combining Lefebvre’s correlations with Combustor CFD. In:
AIAA/ASME/SAE/ASEE JOINT PROPULSION CONFERENCE AND EXHIBIT, 40.,
2004, Fort Lauderdale. Proceedings... Washington, D.C: AIAA, 2004. (AIAA-2004-
3544).
[24]
KADDAH, K.S.Discharge coefficient and jet deflection studies for combustor liner
air-entry holes. 1974. Thesis (Master of Science- MSc). Cranfield Institute of
Technology - College of Aeronautics, Bedford.
[25]
DA SILVA, H. Procedimento para projeto de câmaras anulares de turbinas a gás.
2006. 74f. Trabalho de Conclusão de Curso (Graduação em Engenharia Aeronáutica). -,
Instituto Tecnológico de Aeronáutica, São José dos Campos.
BIBLIOGRAPHY 144
[26]
MONGIA, H.C. Gas turbine combustion desing, technology and research- current status
and future direction. In: AIAA/ASME/SAE/ASEE JOINT PROPULSION
CONFERENCE AND EXHIBIT, 33., Proceedings... Washington, D.C: AIAA 1997,
Seattle, WA, AIAA, 1997.( AIAA-1997-3369).
[27]
JANUS, M.; et al.
Effects of Ambient Conditions and Fuel Composition on Combustion
Stability
. In:
Turbo Expo Meeting, 1997, Orlando: Proceedings... New York, ASME,
1997. (ASME paper 97-GT-266).
[28]
KEE, R. J. et al. AURORA: a program for modeling well stirred plasma and thermal
reactors with gas and surface reactions in steady or transient conditions. San Diego, CA:
Reaction Design. Inc., 2000. (AUR-036-1; CHEMKIN Collection Release 3.7).
[29]
KEE, R. J. et al. PLUG: a program for the analysis of plug-flow reactors with gas-phase
and surface chemistry. San Diego, CA: Reaction Design. Inc., 2000. (PLU-036-1;
CHEMKIN Collection Release 3.7).
[30]
LI, S. C.; VARATHARAJAN, B.; WILLIAMS, F. A. Chemistry of JP-10. AIAA
Journal, v. 39, n. 12, p. 2351-2356, 2001.
[31]
SMITH, G.P; et al. GRI mech. 3.0. Berkeley, [199-] Available in:
<http://www.me.berkeley.edu/gri-mech>.
[32]
MARINOV, N. M. A detailed chemical kinetic model for high temperature ethanol
oxidation. International Journal of Chemical Kinetics, v 31: p 183–220, 1999.
FOLHA DE REGISTRO DO DOCUMENTO
1.
CLASSIFICAÇÃO/TIPO
DM
2.
DATA
24 de setembro de 2010
3.
REGISTRO N°
DCTA/ITA/DM-060/2010
4.
N° DE PÁGINAS
152
5.
TÍTULO E SUBTÍTULO:
Preliminary design methodology for multi fuel gas turbine combustors
6.
AUTOR(ES):
Juliana Andrea Niño Navia
7. INSTITUIÇÃO(ÕES)/ÓRGÃO(S) INTERNO(S)/DIVISÃO(ÕES):
Instituto Tecnológico de Aeronáutica - ITA
8.
PALAVRAS-CHAVE SUGERIDAS PELO AUTOR:
Gas Turbine Combustor; Design methodology; Chemical Reactor Network; Gas turbine
9.PALAVRAS-CHAVE RESULTANTES DE INDEXAÇÃO:
Combustores; Turbinas a gás; Reatores químicos; Síntese de redes; Controle de processos; Engenharia
mecânica
10.
APRESENTAÇÃO: X Nacional Internacional
ITA, São José dos Campos. Curso de Mestrado. Programa de Pós-
Graduação em Engenharia Aeronáutica
e Mecânica. Área de Aerodinâmica, Propulsão e Energia. Orientador: Pedro Texeira Lacava. Defesa em
21/09/2010. Publicada em 2010.
11.
RESUMO:
The combustors for gas turbines have been traditionally designed through trial and error, which is a
time consuming and expensive process. With the development of computers and new simulation
techniques the design proce
ss has been improved considerably. However, the design of combustors for
gas turbines still remains an iterative process, which requires a broad knowledge of engine operating
conditions and the interaction of their components with the engine components.
T
his work presents the establishment of a methodology for preliminary design for gas turbine
combustor, based on the methodology proposed by Melconian e Moldak
and the application of a
chemical reactors network (CRN), this last one in order to establish the
temperature profile of the gases
into combustor.
Originally, the methodology proposed by Melconian e Moldak
uses kerosene as fuel. For this
reason, the proposed methodology in this work was adapted to consider different types of fuel.
This
methodology is
capable to set the basic geometric parameters and providing a basic configuration of a
combustor considering changes in operational loads.
Some cases have been developed, which allowed verifying the implementation of the proposed
methodology and the CRN. The first case was used as validation method and was employing a multi–
can
combustor type, which operates with kerosene as fuel based on example proposed by Melconian e
Moldak. The second case corresponds to an annular combustor for an aircraft engine whic
h operates with
kerosene, natural gas and ethanol. For each of these fuels was carried out a preliminary design of
combustor. The third case is a can annular combustor for application in an industrial gas turbine using
natural gas, ethanol and kerosene as fuels.
A step by step design methodology is presented in this work. It is important to mention that the
proposed methodology is for conventional combustors.
12.
GRAU DE SIGILO:
(X ) OSTENSIVO ( ) RESERVADO ( ) CONFIDENCIAL ( ) SECRETO
Livros Grátis
( http://www.livrosgratis.com.br )
Milhares de Livros para Download:
Baixar livros de Administração
Baixar livros de Agronomia
Baixar livros de Arquitetura
Baixar livros de Artes
Baixar livros de Astronomia
Baixar livros de Biologia Geral
Baixar livros de Ciência da Computação
Baixar livros de Ciência da Informação
Baixar livros de Ciência Política
Baixar livros de Ciências da Saúde
Baixar livros de Comunicação
Baixar livros do Conselho Nacional de Educação - CNE
Baixar livros de Defesa civil
Baixar livros de Direito
Baixar livros de Direitos humanos
Baixar livros de Economia
Baixar livros de Economia Doméstica
Baixar livros de Educação
Baixar livros de Educação - Trânsito
Baixar livros de Educação Física
Baixar livros de Engenharia Aeroespacial
Baixar livros de Farmácia
Baixar livros de Filosofia
Baixar livros de Física
Baixar livros de Geociências
Baixar livros de Geografia
Baixar livros de História
Baixar livros de Línguas
Baixar livros de Literatura
Baixar livros de Literatura de Cordel
Baixar livros de Literatura Infantil
Baixar livros de Matemática
Baixar livros de Medicina
Baixar livros de Medicina Veterinária
Baixar livros de Meio Ambiente
Baixar livros de Meteorologia
Baixar Monografias e TCC
Baixar livros Multidisciplinar
Baixar livros de Música
Baixar livros de Psicologia
Baixar livros de Química
Baixar livros de Saúde Coletiva
Baixar livros de Serviço Social
Baixar livros de Sociologia
Baixar livros de Teologia
Baixar livros de Trabalho
Baixar livros de Turismo