Download PDF
ads:
PREDAÇÃO E DEFESA EM ANUROS:
REVISÃO, DESCRIÇÃO E EVOLUÇÃO
LUÍS FELIPE TOLEDO
Tese apresentada ao Instituto de Biociências
da Universidade Estadual Paulista “Julio de
Mesquita Filho”, Campus de Rio Claro,para
a obtenção do título de Doutor em Ciências
Biológicas (Área de Concentração:Zoologia)
Rio Claro
Estado de São Paulo – Brasil
Agosto de 2007
ads:
Livros Grátis
http://www.livrosgratis.com.br
Milhares de livros grátis para download.
PREDAÇÃO E DEFESA EM ANUROS:
REVISÃO, DESCRIÇÃO E EVOLUÇÃO
LUÍS FELIPE TOLEDO
Orientador: Prof. Dr. CÉLIO FERNANDO BAPTISTA HADDAD
Tese apresentada ao Instituto de Biociências
da Universidade Estadual Paulista “Julio de
Mesquita Filho”, Campus de Rio Claro,para
a obtenção do título de Doutor em Ciências
Biológicas (Área de Concentração:Zoologia)
Rio Claro
Estado de São Paulo – Brasil
Agosto de 2007
ads:
i
FEAR OF THE DARK
Tammy Akeo
A
dapted by
Sombra
In the night, the “cururu frog” runs
Looking back, jump after jump,
Hoping not to see anything.
Its eyes tremble in fear as it slows
Searching the dark for its predators.
The frog watches the dark just as the predator watches the
frog.
The eyes of the predator dance as the frog moves,
Carefully watching each and every motion.
The frog scans the black around him,
Quickly analyzing all that it sees.
The frog is safe as long as its eyes don’t see the predator’s.
Nothing catches the frog eyes, and it lets out a sigh of relief.
Then the frog hears it, the sound of breathing,
Slow and steady it turns around
Wide-eyed with fear
And looks into the eyes that have watched it.
A smile spreads across his face realizing the game is over.
The frog eyes, wide with terror, stare back at his finally.
His eyes gazed deep into the frog
To a place no one is allowed.
Now cornered, the frog turns to the predator with begging eyes,
Longing to be somewhere else, anywhere but here.
And now, if you where the cururu,
what should you do?
ii
AGRADECIMENTOS
Ao prof. Célio Fernando Baptista Haddad a quem devo em muito pelo que hoje sei
sobre anfíbios, pelo suporte, orientação e amizade, principalmente durante os infinitos
cafezinhos que tomamos...
Aos pesquisadores, herpetólogos e colegas de laboratório que contribuíram
constantemente (trazendo bichos, conversando, sugerindo, etc...) para minha formação, seja
no campo, em laboratório ou no bar; principalmente: André Pardal Antunes, Anne d’Heursel e
Flávio Baldisseri, Ariovaldo Cruz Neto, Carlos Jared e Martinha, Cinthia Brasileiro, Cynthia
Prado, Daniel Loebmann, Denis Andrade, Dina, Fausto Nomura, Ingrid, Itamar Martins, Ivan
Sazima, João Kiwi Giovanelli, João Portuga Alexandrino e Maria Guimarães, Julian
Faivovich, Juliana Zina, Kelly Zamudio e Harry Greene, Lorena Guimarães, Luís Giasson,
Márcio Martins, Marcos Grid-Papp, Olívia Araújo, Otávio Marques, Paulo Perereca Garcia,
Ricardo Ribeiro, Ricardo Sawaya, Rodrigo Lingnau, Rogério Bastos, Tiago Gomes, Tiago
Vasconcelos e Vanessa.
Ao pessoal extracurricular que sempre me acompanhou nas horas vagas: Milho
Xangrilá, Fábio Longarina e TC, Prima, Lye, Akio, Cauré, Yara, Sabrina, Ariane, Du
Murakami, Indra Rani e Olívia, Totó, Gaúcho e Jose, Tozetti, Cynthia e Zara, Leandrão e
Priscila, Joana e Luís, Tati Tiemi, Ana Têta, Bomba, Paul, Ganso, Júlia, Natália, Michel,
Thaís Kubick, Alê, Érika, Poli, Ju, Fer, Gabi, Vagninho, Toninho, Vanessa e Daniel,
Marquinhos, Dirceu e a toda a galera do Sujinho’s e de todas as noitadas inimagináveis.
A todos os alunos das UNESPs de Rio Claro e Jaboticabal pelo que me ensinaram nas
minhas aulas, especialmente com suas dúvidas capciosas.
Aos meus sócios da Fauna Pro, BH e Denis, e outros parceiros, principalmente Marina
e Sueli, que sempre tornaram o campo inusitado e possibilitaram diversas viagens pelo Brasil,
fundamental para minha tese.
Ao povo de sampa, principalmente Alexsandra, Quito, Gus, Raf’s, Amaral, Ivan,
Limão, Evandro e Bel, os quais eternamente farão parte de minhas conquistas.
À Olívia por tudo que me ensinou, pelo companheirismo e amor, os quais parecem ser
infinitos. Por todas as nossas passagens.
A toda minha família, mas essencialmente aqueles sem os quais tudo ficaria muito
mais difícil: Regina, Cris, Neide, Iza, Jair, Eliza e Raphael.
Por fim, à CAPES pela bolsa concedida.
iii
ÍNDICE
Resumo ................................................................................................................
Abstract ................................................................................................................
Introdução Geral ..................................................................................................
Material e métodos ..............................................................................................
Resultados ............................................................................................................
CAPÍTULO 1: Anuran egg predators and the evolution of reproductive modes
CAPÍTULO 2: Predation of juvenile and adult anurans by invertebrates:
current knowledge and perspectives …................................................................
CAPÍTULO 3: Anurans as prey: an exploratory analysis and size relationships
between predators and their prey ……………………………………………….
CAPÍTULO 4: When frogs scream! A review of anuran defensive
vocalizations …………………………………………………………...……….
CAPÍTULO 5: Behavioral defenses of anurans: an overview ………………….
CAPÍTULO 6: Colors and mimicry as defensive strategies of anurans .……….
Considerações Finais ...........................................................................................
001
002
003
006
010
017
051
065
101
151
207
237
1
RESUMO GERAL
Até a presente tese, a informação sobre predação e estratégias defensivas em anuros
estava fragmentada e desconexa na literatura científica. Na ausência de uma revisão
sobre o tema, algumas especulações foram geradas baseadas nas impressões pessoais de
diversos pesquisadores. Por exemplo, existem muitos ou poucos relatos de anuros sendo
apresados? Um determinado comportamento defensivo já foi descrito em algum lugar,
ou é inédito? Qual a relação entre os predadores e os mecanismos de defesa dos anuros?
Essas e outras perguntas estavam em aberto. Mesmo em livros texto, os quais
geralmente revisam os assuntos abordados de forma abrangente, nota-se o parco
conhecimento sobre o tema, sendo estes sempre os menores capítulos dos livros e de
conteúdo razoavelmente superficial. Todavia, muita informação já foi gerada e muita
ainda está por vir. É nesse sentido que idealizamos e realizamos o presente estudo,
visando reunir grande parte do conhecimento atual e gerar novas previsões e hipóteses
testáveis. Assim, relacionamos os predadores atuais e naturais dos anfíbios anuros
(incluindo as desovas e pós-metamórficos) e revisamos as principais estratégias
defensivas dos adultos (pós-metamórficos). Muitos dados apresentados são inéditos e
outros compilados da literatura, mas ambos analisados de maneira integrada e sempre
dando enfoque evolutivo nas discussões apresentadas. Consideramos este estudo um
ponto inicial para compreendermos mais profundamente as estratégias defensivas dos
anuros e sua relação com os predadores naturais.
2
ABSTRACT
Until the present moment, the information about defensive strategies and predation
upon anurans was fragmented and disconnected in the scientific literature. In the
absence of an overview of the subject, some speculations have been raised based on
personal points of view of several scientists. For example, are there many or few reports
of predation upon anurans? A specific defensive behavior has already been described or
not? How is the relationship between the defensive strategies and predator mechanisms?
These and odder questions were hard to answer. Even in text books, where the subjects
are treated in a broad way we can notice the poor knowledge of the subject and these are
always the shorter and superficial chapters. However, many information is already
available and many is about to come. Therefore, we idealized and did the present thesis,
aiming to joint a large part of the current knowledge and promoting some previsions
and testable hypotheses. So, we related the actual and natural predators of anurans
(including eggs and post-metamorphics) and reviewed the main defensive strategies of
the adults (post-metamorphics). A great amount of the data presented is novel and other
set of data were found in the available literature, but both were analyzed simultaneously
with an evolutive approach. We consider this thesis a starting point of a deeper
comprehension of the anurans’ defensive strategies and their relationship with natural
predators.
3
INTRODUÇÃO
Anfíbios anuros são apresados por uma série de animais, desde pequenos
invertebrados (e.g., Toledo, 2003) a vertebrados de grande porte (e.g., Martins et al.,
1993; Canale & Lingnau, 2003), provavelmente em decorrência de sua grande
abundância na natureza, tamanho relativamente pequeno e pele macia (Duellman &
Trueb, 1994). Sendo assim, ao longo de sua história evolutiva, a intensa pressão seletiva
causada pela predação, deve estar intimamente relacionada ao surgimento de uma
grande diversidade de estratégias defensivas, observadas nas espécies atuais (e.g.,
Edmunds, 1974; Ryan, 1985; Hödl & Amézquita, 2001). Tais adaptações podem ser
categorizadas como ecológicas, morfológicas, morfofisiológicas e/ou comportamentais.
Como estratégias defensivas ecológicas, destacam-se a utilização de abrigos
durante o repouso (e.g., Stewart & Rand, 1991; Michael, 1997) ou durante a atividade
(e.g., vocalização: Hartmann, 2004) e o fato de que muitas espécies investem em uma
prole numerosa e possuem modos reprodutivos que podem conferir proteção contra
predação (e.g., Heyer, 1969; Haddad & Sawaya, 2000).
Quanto à morfologia, considera-se que o padrão de coloração dos indivíduos
atua como elemento defensivo primário ou secundário e ocorre de diferentes maneiras.
A mais difundida entre os anuros é a camuflagem (Hödl & Amézquita, 2001), a qual
pode imitar o padrão de cores e formas do hábitat em que a espécie ocorre, ou atribui
aos indivíduos um padrão diruptivo (Duellman & Trueb, 1994). Existem também
padrões de coloração que podem confundir os predadores ao dar-lhes a impressão de
que a presa é maior do que seu tamanho real (referências em Duellman & Trueb, 1994).
Ademais, o polimorfismo (e.g., Hoffman & Blouin, 2000; Bourne, 2001), o mimetismo
e/ou o aposematismo (e.g., Symula et al., 2001; Vences et al., 2003) também atuam
como estratégias defensivas contra predadores visualmente orientados (Duellman &
Trueb, 1994). Além do padrão de coloração, algumas características morfológicas
também podem atuar como causadoras de padrões diruptivos ou de camuflagem.
Diversas espécies possuem estruturas dérmicas (e.g., chifres, pregas tarsais e apêndices
calcâneos) que modificam o contorno do corpo dificultando sua localização por
predadores (Sazima, 1978; Duellman & Trueb, 1994).
4
Dentre os recursos defensivos morfofisiológicos, o mais difundido é a presença
de glândulas epidérmicas (revisão em Toledo & Jared, 1995), as quais podem secretar,
por exemplo, substâncias adesivas (Manzanilla et al., 1998; Kwet & Solé, 2002),
odoríferas (Sazima, 1974; Waye & Shewchuk, 1995; Grant, 2001; Kizirian et al., 2003)
e/ou tóxicas, de irritantes (Jazen, 1962; Powell & Lieb, 2002) a letais (Rabor, 1952;
Daly & Meyers, 1967; Tokuyama & Daly, 1983). Em alguns casos, essas secreções
revelaram-se eficazes contra diversos predadores, tais como anfíbios (Formanowicz Jr.
& Brodie Jr., 1979), répteis (Brodie Jr., 1978; Manzanilla et al., 1998), aves (Brodie Jr.
& Nussbaum, 1987) e mamíferos (Brodie Jr. & Formanowicz Jr., 1981; Pearl & Hayes,
2002). Contudo, em muitas outras situações, as toxinas secretadas parecem não conferir
proteção aos anuros, sendo estes apresados por insetos, peixes, anfíbios, répteis e aves
(ver Cardoso & Sazima, 1976; Haddad & Bastos, 1997; Cochran & Cochran, 2003).
Ademais, alguns predadores apresentam estratégias comportamentais e fisiológicas
especializadas para a dieta de anuros potencialmente venenosos (ver Frazer, 1973).
Todos os mecanismos defensivos mencionados acima podem ou devem ser
executados através de comportamentos simples ou elaborados. Alguns comportamentos
estão associados à morfologia, como direcionar as glândulas e/ou regiões com coloração
aposemática em direção ao possível predador (Hanson & Vial, 1956; Sazima &
Caramaschi, 1986; Torr, 1991; Williams et al., 2000), ou realizar posturas em que
padrões diruptivos se acentuem (Sazima, 1978; Rocha et al., 1998; Garcia, 1999).
Caracteres morfológicos como espinhos e dentes, além de suas funções normais (e.g.,
estímulo sexual e alimentação, respectivamente), também podem ser utilizados contra
predadores em potencial (Vaz-Ferreira & Gehrau, 1975; Hartmann et al., 2003).
Algumas das estratégias defensivas são comuns a muitas espécies, como
tanatose (Zamprogno et al., 1998; Abbadié-Bisogno et al., 2001; Gramapurohit et al.,
2001), inflar o corpo (Hödl & Amézquita, 2001) e emitir gritos de agonia (Sazima,
1975; Hödl & Gollmann, 1986; Azevedo-Ramos, 1995; Williams et al., 2000). Outras
estratégias talvez sejam comuns a todas as espécies de anuros, como, por exemplo, o
comportamento de fuga (Duellman & Trueb, 1994; Williams et al., 2000). Por outro
lado, existem estratégias que são conhecidas apenas para algumas espécies (ver
Channing & Howell, 2003; Hartmann et al., 2003).
5
Além de variar de maneira interespecífica, alguns comportamentos defensivos
podem variar de maneira intraespecífica. Neste último caso podem variar ao longo da
distribuição geográfica da espécie (Bjager, 1980; Williams et al., 2000) ou conforme a
lateralidade dos indivíduos (Robins et al., 1998). Alguns comportamentos estão
relacionados ao posicionamento das glândulas secretoras de veneno (Sazima &
Caramaschi, 1986; Williams et al., 2000), outros estão relacionados à filogenia dos taxa
envolvidos (Summers & Colugh, 2001; Hödl & Amézquita, 2001) e outros consistem de
convergências etológicas entre espécies ecologicamente semelhantes (Sazima, 1975;
Garcia, 1999). A execução de comportamentos defensivos pode estar ainda relacionada
a condições momentâneas, como condições fisiológicas (Gomes et al., 2002), durante o
cuidado parental (Vaz-Ferreira & Gehrau, 1975; Giaretta & Cardoso, 1995; Toledo et
al., 2004) ou durante as agregações reprodutivas (Tuttle et al., 1982).
Algumas das estratégias defensivas possuem nomes específicos, como tanatose
(Hartmann et al., 2003; McCallum et al., 2003), comportamento de fuga (McCallum et
al., 2003) ou mordidas (Giaretta & Cardoso, 1995; Hartmann et al., 2003). Todavia,
muitos dos comportamentos defensivos registrados ainda não possuem nomes
específicos, havendo necessidade de realizar uma descrição sucinta toda vez que nos
referimos a estes. Este é, por exemplo, o caso do comportamento de esticar as pernas
traseiras para trás e manter o corpo achatado rente ao solo (e.g., Sazima, 1975; Garcia,
1999), o comportamento de entrelaçar as pernas e erguê-las, mantendo as costas em
contato com o solo (Channing & Howell, 2003), ou o comportamento manter a porção
anterior do corpo em contato com o solo e erguer a porção posterior do corpo (Sazima
& Caramaschi, 1988; Kizirian, 2003). Ademais, poucos são os estudos que avaliaram a
eficácia das estratégias defensivas utilizadas pelos anuros (Sazima, 1974; Formanowicz
& Brodie, 1979; Manzanilla et al., 1998; Rödel & Braun, 1999; Pearl & Hayes, 2002) e
quase nada se conhece sobre a evolução dos diferentes comportamentos defensivos
(e.g., Williams et al., 2000).
Neste contexto, o presente estudo realiza uma revisão dos comportamentos
defensivos conhecidos para diferentes famílias de anuros; descreve comportamentos
inéditos; sugere nomes categóricos (em Inglês a princípio) apropriados a cada um dos
comportamentos abordados; realiza um mapeamento dos comportamentos sobre árvores
filogenéticas atuais (e.g., Faivovich et al., 2005; Frost et al., 2006; Grant et al., 2006)
6
para inferir sobre a origem dos comportamentos defensivos (e.g., origem filogenética vs.
convergência ecológica); e levanta hipóteses sobre a real eficiência dos comportamentos
na presença de predadores em potencial.
MATERIAL & MÉTODOS
Área de Estudo
Para a realização do presente estudo, além de informações extraídas da literatura,
de relatos de inúmeros pesquisadores (mencionados nos respectivos capítulos) e de
animais vivos encaminhados ao laboratório de herpetologia, foram realizadas diversas
coletas em campo, de acordo com a disponibilidade de recursos financeiros e tempo. Os
56 municípios visitados (em 14 Estados) estão listados a seguir. Entre parênteses estão
algumas localidades específicas.
ALAGOAS
: Passo de Camarajibe; AMAZONAS: Manaus e Presidente Figueiredo;
BAHIA
: Caraíva, Feira de Santana, Ilhéus, Una, Uruçuca, Salvador (capital e praia do
forte) e Sooretama; ESPÍRITO SANTO
: Anchieta, Aracruz, Conceição da Barra e
Jaquaré; GOIÁS
: Alto Paraíso (Vale da Lua e Chapada dos Veadeiros) e São João
D’Aliança; MINAS GERAIS
: Camanducaia (Monte Verde), Grão Mogol, Pirapora, São
Roque de Minas (Serra da Canastra), Santana do Riacho (Serra do Cipó) e São Tomé
das Letras; MATO GROSSO DO SUL
: Três Lagoas; PARÁ: Belém; PARANÁ: São
José dos Pinhais e Tijucas do Sul; PERNAMBUCO
: Fernando de Noronha e
Tamandaré; RIO GRANDE DO SUL
: São Francisco de Paula; SANTA CATARINA:
Angelina, Itapema, Lages, Mafra, Rancho Queimado e Treviso; SERGIPE
: Itabaiana;
SÃO PAULO
: Apiaí e Iporanga (PETAR), Barra do Turvo (PEJ), Bertioga, Botucatu,
Campinas (Barão Geraldo), Campos do Jordão, Cananéia (PEIC), Cotia, Iguape (PEJ),
Itirapina (EEI), Pilar do Sul, Piracicaba, Ribeirão Branco, Rio Claro (FEENA, MSJ e
Itapé), Santa Rita do Passa Quatro, São Luiz do Paraitinga (PESM-NSV), São Sebastião
(Maresias), Sorocaba, Ubatuba (PEIA e PESM-NP).
7
Coleta de dados
A cada encontro com anfíbios anuros na natureza foram registrados dados
gerais, como: I) a localidade e data; II) bioma e microambiente ocupado; III) período da
observação (diurno ou noturno); IV) temperatura do ar; V) espécie; VI) comprimento
rostro-cloacal (CRC: medido com paquímetro de 0,05 mm de precisão); VII) sexo e
classe de idade do indivíduo (juvenil ou adulto) (ver ficha de campo).
Com relação ao comportamento foram registrados: I) a atividade do anuro no
momento do encontro; II) a reação do anuro à aproximação do pesquisador; III) a reação
durante a tentativa ou captura efetiva do indivíduo; e IV) a reação do indivíduo
capturado a estímulos provocados pelo pesquisador. Estes estímulos variaram de caso a
caso sendo os mais comuns a: sacudida, pressão nas pernas, toques na cabeça no corpo
ou próximos à boca, virar o anuro de barriga para cima, realizar movimentos bruscos
com as mãos ou objetos em direção aos indivíduos, embora sem tocá-los. Essas formas
de estímulo já foram utilizadas anteriormente e costumam gerar bons resultados (e.g.,
Hödl & Gollmann, 1986; Toledo et al., 2005). Nenhum desses estímulos causou injúrias
aos anuros, os quais foram libertados (na maioria dos casos) em ambiente natural após a
estimulação. Em seguida foram observados por mais cerca de três minutos, período em
que ainda podem desempenhar comportamentos defensivos (Bajger, 1980).
Foram também provocados encontros em laboratório entre os anuros e serpentes
não peçonhentas, predadores em potencial. Para tanto, serpentes encontradas nos
ambientes estudados foram apresentadas aos anuros dentro de viveiros, sendo
registrados os comportamentos realizados pelos anuros frente ao encontro, ataque
(quando houver) e subjugação (quando houver). Foram também registradas as reações
das serpentes frente ao repertório defensivo apresentado pelos anuros. Os experimentos
foram realizados no laboratório de Herpetologia e Jacarezário, vinculados ao
Departamento de Zoologia da UNESP em Rio Claro, nos quais já são mantidas diversas
espécies de serpentes que se alimentam de anuros em ambiente natural (e.g., Chironius
spp. e Liophis spp.).
Somente foram coletados, transportados, anestesiados, fixados e depositados na
coleção de anuros CFBH do Departamento de Zoologia da UNESP de Rio Claro, os
indivíduos que necessitaram de confirmação de identificação. Autorizações de captura e
8
transporte de anfíbios e répteis foram concedidas pelo Centro de Conservação e Manejo
de Répteis e Anfíbios do IBAMA (processo número: 02010.001495/04-32).
Durante a aproximação ou manipulação dos anuros, tanto por parte do
pesquisador como por parte de predadores, podem ser emitidas vocalizações, tais como
cantos de soltura (que aparentemente não possuem caráter defensivo), gritos de agonia e
gritos de alarme. Nestes casos as vocalizações serão gravadas com gravador cassete
Marantz PMD222 e microfone externo direcional Audiotecnica AT835b. As análises de
som foram realizadas através do programa Raven 1.2.1 configurado a 16 bits de
resolução, 44,1 kHz de freqüência de amostragem e “FFT” e “frame length” a 256. As
vocalizações serão descritas e as terminologias utilizadas seguirão as adotadas por
Duellman & Trueb (1994).
Coletores: L. F. T. & ________________________________; Data: ____ / ____ / ____
Localidade: _________________________________________ Temp. ar: ________ ºC
Espécie: ____________________________________________ Sexo/ Idade: ________
CRC: ___________mm; Peso:_________g; Microambiente:______________________
Atividade: _____________Coloração: Aposmtc Camufld outro: ____________
Reação à aproximação: Imóvel Fuga outro:____________________________
______________________________________________________________________
______________________________________________________________________
Reação ao manuseio: ____________________________________________________
______________________________________________________________________
______________________________________________________________________
Teste para Tanatose: não sim – Tipo: I (qq jeito) II (fechadinho)
Olho: Fechado aberto – OBS: _________________________________________
Teste para Grito Agonia: não sim – Boca aberta fechada.
Teste para _______________: não sim: _______________________________
Toques em _______________ (parte do corpo): Reação: ______________________
Tipo de Secreção: Odor Grudenta Tóxica Mucosa outra: _____________
OBS: _________________________________________________________________
______________________________________________________________________
______________________________________________________________________
______________________________________________________________________
Coletores: L. F. T. & ________________________________; Data: ____ / ____ / ____
Localidade: _________________________________________ Temp. ar: ________ ºC
Espécie: ____________________________________________ Sexo/ Idade: ________
CRC: ___________mm; Peso:_________g; Microambiente:______________________
Atividade: _____________Coloração: Aposmtc Camufld outro: ____________
Reação à aproximação: Imóvel Fuga outro:____________________________
______________________________________________________________________
______________________________________________________________________
Reação ao manuseio: ____________________________________________________
______________________________________________________________________
______________________________________________________________________
Teste para Tanatose: não sim – Tipo: I (qq jeito) II (fechadinho)
Olho: Fechado aberto – OBS: _________________________________________
Teste para Grito Agonia: não sim – Boca aberta fechada.
Teste para _______________: não sim: _______________________________
Toques em _______________ (parte do corpo): Reação: ______________________
Tipo de Secreção: Odor Grudenta Tóxica Mucosa outra: _____________
OBS: _________________________________________________________________
______________________________________________________________________
______________________________________________________________________
______________________________________________________________________
10
RESULTADOS
Os resultados da presente tese estão organizados em capítulos que já foram ou
estão sendo preparados para publicação em revistas especializadas. Cada capítulo dará
origem a um artigo. Assim, esta tese resultou nos seguintes capítulos/artigos:
1. Toledo, L. F. Araújo, O. G. S., Vonesh, J. & Haddad, C. F. B. Anuran egg
predators and the evolution of reproductive modes. South American Journal of
Herpetology, submitted.
2. Toledo, L. F. 2005. Predation of juvenile and adult anurans by invertebrates:
current knowledge and perspectives. Herpetological Review, 36(4): 395-400.
3. Toledo, L. F., Silva, R. R. & Haddad, C. F. B. 2007. Anurans as prey: an
exploratory analysis and size relationships between predators and their prey.
Journal of Zoology, 271: 170-177.
4. Toledo, L. F. & Haddad, C. F. B. When frogs scream! A review of anuran
defensive vocalizations. Herpetological Journal, submitted.
5. Toledo, L. F., Sazima, I. & Haddad, C. F. B. Behavioral defenses of anurans: an
overview. In preparation.
6. Toledo, L. F. & Haddad, C. F. B. Colors and mimicry as defensive strategies of
anurans. Journal of Zoology, submitted.
11
LITERATURA CITADA
Abbadié-Bisogno, K., Oliver-López, L. & Ramírez-Bautista, A. 2001. Bufo occidentalis
(Pine Toad). Death feigning. Herpetological Review 32(4): 247.
Azevedo-Ramos, C. 1995. Defensive behaviors of the Neotropical treefrog Hyla
geographica (Anura, Hylidae). Revista Brasileira de Biologia 55(1): 45-47.
Bjager, J. 1980. Diversity of defensive responses in populations of fire toads (Bombina
bombina and Bombina variegata). Herpetologica 36(2): 133-137.
Bourne, G. R. 2001. Color pattern, predator avoidance, and foraging behavior in the
golden frog Colostethus beebei (Anura: Dendrobatidae). Herpetological Review
32(4): 225-228.
Brodie Jr., E. D. 1978. The antipredator functions of Dendrobates auratus (Amphibia,
Anura, Dendrobatidae) skin secretion in regard to a snake predator (Thamnophis).
Journal of Herpetology 12(2): 264-265.
Brodie Jr., E. D. & Formanowicz Jr., D. R. 1981. Palability and antipredator behavior of
the treefrog Hyla versicolor to the shrew Blarina brevicauda. Journal of
Herpetology 15(2): 235-236.
Brodie Jr., E. D. & Nussbaum, R. A. 1987. Antipredator responses of Rana tigerina to a
crow. Herpetological Review 18(1): 8-9.
Canale, G. & Lingau, R. 2003. Hyla biobeba. Predation. Herpetological Review 34(2):
136.
Cardoso, A. J. & Sazima, I. 1976. Batracofagia na fase adulta e larvária da rã-pimenta,
Leptodactylus labyrinthicus (Spix, 1824) - Anura, Leptodactylidae. Ciência e
Cultura 29(10): 1130-1132.
Channing, A. & Howell, K. 2003. Phlyctimantis keithae (wot-wot). Defensive bahavior.
Herpetological Review 34(1): 51-52.
Cochran, P. A. & Cochran, J. A. 2003. Pseudacris crucifer (Spring Beeper). Predation.
Herpetological Review 34(4): 360.
Daly, J. W. & Meyers, C. W. 1967. Toxicity of Panamanian poison frogs
(Dendrobates): some biological and chemical aspects. Science 156: 970-973.
Duellman, W. E. & Trueb, L. 1994. Biology of amphibians. Baltimore: John Hopkins
University Press, Baltimore and London. 2ed. 670p.
12
Edmunds, M. 1974. The evolution of predator-prey systems. Pp. 226-287. In: Defense
in animals: a survey of antipredator defenses. Longman.
Faivovich, J., C. F. B. Haddad, P. C. A. Garcia, D. R. Frost, J. A. Campbell, and W. C.
Wheeler. 2005. Systematic review of the frog family Hylidae, with special
reference to Hylinae: phylogenetic analysis and taxonomic revision. Bulletin of
the American Museum of Natural History 294: 1-240.
Formanowicz Jr., D. R. & Brodie Jr., E. D. 1979. Palatability and antipredator behavior
of selected Rana to Shrew Blarina. The American Midland Naturalist 101(2): 456-
458.
Frazer, J. F. D. 1973. Amphibians. VI + 122pp. Wykeham Publ. Ltd. Londres.
Frost, D. R., Grant, T., Faivovich, J., Bain, R. H., Haas, A., Haddad, C. F. B., Sá, R. O.,
Channing, A., Wilkinson, M., Donnellan, S. C., Raxworthy, C. J., Campbell, J. A.,
Blotto, B. L., Moler, P., Drews, R. C., Nussbaum, R. A., Lynch, J. D., Green, D.
M. & Wheeler, W. C. 2006. Amphibian tree of life. Bulletin of the American
Museum of Natural History 297: 1-371.
Garcia, P. C. A. 1999. Scytrophrys sawayae (NCN). Defensive behavior. Herpetological
Review 30(4): 224.
Giaretta, A. A. & Cardoso, A. 1995. Reproductive behavior of Cycloramphus dubius
Miranda-Ribeiro (Amphibia, Anura, Leptodactylidae). Revista Brasileira de
Zoologia 12(2): 229-232.
Gomes, F. B., Bevier, C. & Navas, C. A. 2002. Environmental and physiological factors
influence antipredator behavior in Scinax hiemalis (Anura: Hylidae). Copeia
2002(4): 994-1005.
Gramapurohit, N. P., Shanbhag, B. A. & Saidapur, S. K. 2001. Rana curtipes
(Bicolored Frog). Death feigning. Herpetological Review 32(2): 103.
Grant, J. B. 2001. Rana palustris (Pickerel Frog). Production of odor. Herpetological
Review 32(2): 183.
Grant, T., D. R. Frost, J. P. Caldwell, R. Gagliardo, C. F. B. Haddad, P. J. R. Kok, D. B.
Means, B. P. Nooman, W. E. Schargel, and W. C. Wheeler. 2006. Phylogenetic
systematics of dart-poison frogs and their relatives (Amphibia: Athesphatanura:
Dendrobatidae). Bulletin of the American Museum of Natural History 299: 1-262.
13
Haddad, C. F. B. & Bastos, R. P. 1997. Predation on the toad Bufo crucifer during
reproduction (Anura; Bufonidae). Amphibia-Reptilia 18: 295-298.
Haddad, C. F. B. & Sawaya, R. J. 2000. Reproductive modes of Atlantic Forest hylid
frogs: a general overview and the description of a new mode. Biotropica 32(4b):
862–871.
Hanson, J. A. & Vial, J. L. 1956. Defensive behavior and effects of toxins in Bufo
alvarius. Herpetologica 1956(12): 141-149.
Hartmann, M. T. 2004. Biologia reprodutiva de uma comunidade de anfíbios anuros na
Mata Atlântica. Tese de doutorado em Zoologia [não publicada] – Universidade
Estadual Paulista, Rio Claro, São Paulo.
Hartmann, M. T., Hartmann, P. A., Prado, C. P. A. & Garcia, P. C. A. 2003.
Cycloramphus boraceiensis (Flattened waterfall frog) Defensive behavior.
Herpetological Review 34(1): 50.
Heyer, W. R. 1969. The adaptive ecology of the species groups of the genus
Leptodactylus (Amphibia, Leptodactylidae). Evolution 23: 421-428.
Hödl, W. & Amézquita, A. 2001. Visual signaling in anuran amphibians. In: Anuran
communication: 121-141. M. J. Ryan (Ed.). Smithsonian Institution Press,
Washington.
Hödl, W. & Gollmann, G. 1986. Distress calls in Neotropical frogs. Amphibia-Reptilia
7: 11-21.
Hoffman, E. A. & Blouin, M. S. 2000. A review of colour and pattern polymorphisms
in anurans. Biological Journal of the Linnean Society 70: 633-665.
Jazen, D. H. 1962. Injury caused by toxic secretions of Phrynohyas spilomma Cope.
Copeia 1962(3): 651.
Kizirian, D., Coloma, L. A. & Paredes-Recalde, A. 2003. A new treefrog (Hylidae:
Hyla) from southern Ecuador and a description of its antipredator behavior.
Herpetologica 59(3): 339-349.
Kwet, A. & Solé, M. 2002. Elachistocleis erythrogaster (Red-bellied oval frog).
Defensive behavior. Herpetological Review 33: 46.
Manzanilla, J., La Marca, E., Villareal, O. & Sanchez, D. 1998. Phrynohyas venulosa
(Veined treefrog, “Rana lechosa”). Antipredador device. Herpetological Review
29(1): 39-40.
14
Martins, M., Sazima, I. & Egler, S. G. 1993. Predators of the nest building gladiator
frog, Hyla faber, in southeastern Brazil. Amphibia-Reptilia 14: 307-309.
McCallum, M. L., Klotz, T. L., Trauth, S. E. 2003. Rana sylvatica (Wood frog). Death
feigning. Herpetological Review 34(1): 54-55.
Michael, S. F. 1997. Vocalization and diurnal retreat defense in the Puerto Rican Frog
Eleuterodactylus cochranae. Journal of Herpetology 31(3): 453-456.
Pearl, C. A. & Hayes, M. P. 2002. Predation by oregon sppoted frogs (Rana pretiosa)
on western toads (Bufo boreas) in Oregon. The American Midland Naturalist
147(1): 145-152.
Powell, R. L. & Lieb, C. S. 2002. Hyla arenicolor (canyon tree frog). Toxic skin
secretions. Herpetological Review 34(3): 230.
Rabor, D. S. 1952. Preliminary notes on the giant toad, Bufo marinus (Linn.), in the
Philippine Islands. Copeia 1952(4): 281-282.
Robins, A., G. Lippolist, A. Bisazza, G. Vallortigara & L. J. Rogers (1998). Lateralized
agonistic responses and hindlimb use in toads. Animal Behaviour 56: 875-881.
Rocha, C. F. D., Sluys, M. V., Bergallo, H. G., Alves, A. S. & Vrcibradic, D. 1998.
Zachenus parvulus (Leaf frog). Defensive bahavior and color pattern.
Herpetological Review 29(4): 232-233.
Rödel, M. O. & Braun, U. 1999. Associations between anurans and ants in a West
African Savanna (Anura: Microhylidae, Hyperoliidae, and Hymenoptera:
Formicidae). Biotropica 31(1): 178-183.
Ryan, M. J. 1985. Costs of reproduction: predation. In: The Túngara Frog: a study in
sexual selection and communication. The University of Chicago Press, Chicago
and London, Pp. 163-185.
Sazima, I. 1974. Experimental predation on the leaf-frog Phyllomedusa rohdei by the
water snake Liophis miliaris. Journal of Herpetology 8(4): 376-377.
Sazima, I. 1975. Distress call in newly metamorphosed smith frog, Hyla faber Wied.
Herpetologica 31(4): 471-472.
Sazima, I. 1978. Convergent defensive behavior of two leaf-litter frog of southeastern
Brazil. Biotropica 10(2): 158.
15
Sazima, I. & Caramaschi, U. 1986. Descrição de Physalaemus deimaticus, sp. n., e
observações sobre comportamento deimático em P. nattereri (Steindn.) - Anura,
Leptodactylidae. Revista de Biologia 13(1-4): 91–101.
Stewart, M. M. & A. S. Rand (1991). Vocalizations and the defensive retreat sites by
male and female frogs, Eleutherodactylus coqui. Copeia 1991: 1013-1024.
Summers, K. & Clough, M. E. 2001. The evolution of coloration and toxicity in the
poison frog family (Dendrobatidae). PNAS 98(11): 6227-6232.
Symula, R., Schulte, R. & Summers, K. 2001. Molecular phylogenetic evidence for a
mimetic radiation in Peruvian poison frogs supports a Müllerian mimicry. Proc. R.
Soc. Lond. B 268: 2415-2421.
Tokuyama, T. & Daly, J. W. 1983. Steroidal alkaloids (batrachotoxins and 4
-
hydroxybatrachotoxins), "indole alkaloids" (calycanthine and chimonanthine) and
a piperidinyldipyridin 39(1): 41–47.
Toledo, L. F. 2003. Predation on seven South American anuran species by water bugs
(Belostomatidae). Phyllomedusa 2(2): 105-108.
Toledo, L. F., L. D. Guimarães, L. P. Lima, R. P. Bastos & C. F. B. Haddad (2004).
Notes on courtship, egg-laying site, and defensive behavior of Epipedobates
flavopictus (Anura: Dendrobatidae) from two mountain ranges of central and
southeastern Brazil. Phyllomedusa 3: 145-147.
Toledo, L. F., Tozetti, A. & Zina, J. 2005. Leptodactylus labyrinthicus (Pepper Frog):
Defensive Repertoire. Herpetological Bulletin 90: 29-31.
Toledo, R. C. & Jared, C. 1995. Cutaneous granular glands and amphibian venoms.
Comparative Biochemistry and Physiology 111A(1): 1-29.
Torr, G. A. 1991. Uperoleia laevigata (NCN). Behavior. Herpetological Review 22(4):
129-130.
Tuttle, M. D., Taft, L. K. & Ryan, M. J. 1982. Evasive behaviour of a response to bat
predation. Animal Behaviour 30: 393-397.
Vaz-Ferreira, R. & Gehrau, A. 1975. Comportamiento epimeletico de la rana comun,
Leptodactylus ocellatus (L.) (Amphibia, Leptodactylidae) I. Atencion de la cria y
actividades alimentares y agressivas relacionadas. Physis, seccion B 34(88): 1-14.
16
Vences, M., J. Kosuch, R. Boistel, C. F. B. Haddad, E. La Marca, S. Lötters & M. Veith
(2003). Convergent evolution of aposematic coloration in Neotropical poison
frogs: a molecular phylogenetic perspective. Org. Divers. Evol. 3: 215-226.
Waye, H. L. & Shewchuk, C. H. 1995. Scaphiopus intermontanus (great basin
spadefoot). Production of odor. Herpetological Review 26(2): 98-99.
Williams, C. R., Brodie, E. D., Tyler, M. J. & Walker, S. J. 2000. Antipredator
mechanisms of Australian frogs. Journal of Herpetology 34(3): 431-443.
Zamprogno, C., Zamprogno, M. G. F. & Teixeira, R. L. 1998. Bufo paracnemis (sapo-
boi). Death feigning. Herpetological Review 29(2): 96-97.
CAPÍTULO 1
PREDADORES DOS OVOS DE ANUROS E A
EVOLUÇÃO DOS MODOS REPRODUTIVOS
Luís Felipe Toledo, Olívia Gabriela S. Araújo, James R. Vonesh & Célio F. B. Haddad
Harry Greene, 1997
17
CAPÍTULO 1
ANURAN EGG PREDATORS AND THE
EVOLUTION OF REPRODUCTIVE MODES
Luís Felipe Toledo
1
, Olívia Gabriela S. Araújo
1
, James R. Vonesh
2
& Célio F. B.
Haddad
1
1
Departamento de Zoologia, Instituto de Biociências, Unesp, Rio Claro, São Paulo,
Caixa Postal 199, CEP 13506-970, Brazil. E-mail: [email protected]
2
Department of Biology, Virginia Commonwealth University, 1000 West Cary Street,
P.O. Box 842012, Richmond, VA 23284-2012, USA.
18
ABSTRACT
While anurans face stage-specific predators throughout ontogeny, embryonic
stages may be particularly vulnerable due to their more limited suite of anti-predator
responses. Some authors have suggested that the evolution of more terrestrial
reproductive strategies in anurans (e.g., arboreal or terrestrial eggs, direct development)
is an adaptive response to selection by aquatic egg predators. Thus, if current predation
is indicative of the selective pressures that shaped these life history strategies, we would
predict that the eggs of species with aquatic reproductive strategies would experience
greater predation than those of species with more derived reproductive strategies. Here
we review published studies of egg predation in anurans to evaluate whether there is
evidence that aquatic eggs are more vulnerable to predation. Furthermore, we listed the
actual anuran egg predators, found the main predators, and evaluated the effectiveness
of some egg laying sites. Eggs deposited in the water and not in foam nests were the
most preyed. The family Brachycephalidae was much less preyed than expected, and it
could reflect ineffective field observations and/or positive effectiveness of their
reproductive strategy: laying eggs with a patchy distribution on the forest floor, in
cryptic places, and out of the water. Therefore, we present a review that supports the
hypothesis of selective pressures in favour of the egg-laying out of the water.
19
RESUMO
Anuros enfrentam diferentes predadores ao longo de suas fases ontogenéticas,
das quais a fase de ovos deve ser particularmente vulnerável devido à sua limitação de
respostas defensivas. Alguns autores sugerem que a evolução de desovas fora de corpos
d’água (e.g., no solo, em árvores ou por desenvolvimento direto) é uma resposta
adaptativa à seleção exercida pelos predadores aquáticos. Assim, se a predação
observada atualmente é um indicativo de pressão seletiva que moldou essas estratégias
reprodutivas, nós poderíamos prever que ovos depositados em água sejam mais
apresados do que aqueles com estratégias reprodutivas alternativas. Assim, nós
revisamos os estudos sobre predação de desovas para avaliar se existe evidência que
suporte que os ovos depositados na água sejam mais apresados que os ovos depositados
fora da água. Além disso, nós listamos os predadores conhecidos de ovos de anuros,
identificamos os principais predadores e inferimos sobre o sucesso de determinadas
estratégias reprodutivas. Os ovos depositados na água e não em ninho de espuma foram
os mais apresados dentre todas as combinações de estratégias. Os ovos de indivíduos da
família Brachycephalidae foram menos apresados do que o esperado; isto poderia estar
relacionado com um viés de observação em campo, ou realmente condizer com um
maior sucesso adquirido pelas estratégias reprodutivas adotadas por este grupo:
depositar ovos de maneira distribuída pelo chão das florestas, em locais crípticos e fora
da água. Assim, apoiamos a sugestão de uma pressão para a deposição de ovos fora da
água.
20
INTRODUCTION
The embryonic stage of anuran development may be the life history stage most
vulnerable to predation (Hödl, 1986; Chivers et al., 2001). Eggs are externally fertilized,
lack shells, and are often deposited in the environment without the benefit of parental
care (e.g., only 10% of frogs species have been reported to exhibit parental care;
Duellman and Trueb, 1986; Haddad and Prado, 2005). Furthermore, relative to later
stages, embryos have a more limited suite of anti-predator defences. It has been
suggested that several reproductive modes (currently there are 39 recognized
reproductive modes in anurans, the greatest diversity among tetrapods: Haddad and
Prado, 2005) have evolved in response to selective pressures exerted by aquatic egg
predation (Downie, 1990; Magnusson and Hero, 1991; Martins, 1993; Haddad and
Sawaya, 2000; Prado et al., 2002).
In leptodactylids there is a trend to lay eggs in foam nests or in terrestrial
environments, with the most ancestral strategy, eggs laid directly in the water, restricted
to a few groups (e.g., Prado et al., 2002). Similarly, in some hylid and hyperoliid frogs,
eggs are laid arboreally, frequently on leaves or wrapped within them (e.g., Duellman
and Trueb, 1994; De la Riva, 1999; Prado et al., 2006). This shift toward non-aquatic
reproductive modes is primarily found in tropical taxa and has been hypothesized to be
driven by the combination of reduced desiccation risk in the humid tropics, a way to
escape disturbance by water turbulence, and high levels of aquatic egg predation (e.g.,
Heyer, 1969; Magnusson and Hero, 1991; Haddad and Prado, 2005). Selection by
predators is also thought to have driven the evolution of parental care as well as other
defensive traits in several species (e.g., in mantellids: Lehtinen, 1993; leptodactylids:
Martins, 2001; and aromobatids: Bourne et al., 2001; Toledo et al., 2004); toxic eggs
(review in Gunzburger and Travis, 2005); plasticity in the timing of anuran eggs
hatching (Warkentin, 1995; 2000; Chivers et al., 2001); and plasticity in breeding
behaviors, e.g., selecting a safer oviposition site (Holomuzki, 1995; Spieler and
Linsenmair, 1997; Summers, 1999; Lips, 2001).
While the selective pressures of embryonic predators may be a good explanation
for the evolution of some specialized reproductive modes and plastic responses to egg
predators, the relationship remains equivocal. While the strength of past egg predation
21
is unknown, it is worth noting that egg predation in species with derived reproductive
strategies can also be very high (Duellman and Trueb, 1994; Vonesh 2000; 2005).
Magnusson and Hero (1991) attempted to demonstrate that aquatic predators have
exerted and continue to exert selective pressure on the evolution of terrestrial
oviposition strategies in anurans, however a recent reanalysis of these data revealed no
significant relationship (Haddad and Prado, 2005).
Besides reducing egg predation, non-aquatic oviposition strategies may have
other fitness benefits, e.g., secure egg masses to a homogeneous and immobile
substrate, which could also improve hatching success (Richards, 1993). Furthermore,
laying eggs in foam nests, instead of in gelatinous masses, may have several other
functions. For example, foam nests may provide a source of food, sheltering, an
adequate temperature, water balance, and oxygen supply (Gorzula, 1977; Downie, 1990;
Haddad and Prado, 2005 and references therein). Consequently, it is likely that different
selective pressures (including predation) act in the evolution of reproductive modes
(Heyer, 1969; Magnusson and Hero, 1991; Prado et al., 2002; Haddad and Prado,
2005).
Here we review the scientific literature regarding embryonic predation in
anurans to help elucidate general patterns across anurans. We were interested in
exploring the following questions; 1) which predator taxa are responsible for most
anuran egg predation and 2) how does that vary with anuran reproductive strategy. By
reviewing these studies we hope to generate insights on the relation between predation
and reproductive modes in anurans and improve discussion about the role of predator
pressure on the evolution of the reproductive modes (e.g., Heyer, 1969; Magnusson and
Hero, 1991; Prado et al., 2002).
MATERIAL AND METHODS
We compiled studies that report egg predation by searching in web-based-
databases and by performing an exhaustive reading of the most accessible
herpetological journals (e.g., Amphibia-Reptilia, Copeia, Herpetologica, Herpetological
Journal, Herpetological Review, and Journal of Herpetology). For each study, we
recorded the name and taxonomic group of the prey and predator species, the anuran
22
egg laying site, (i.e., aquatic, arboreal, terrestrial, or subterranean); and the spawn type,
(i.e., eggs in a gelatinous mass or in foam nests). Specific names of the amphibians
(both preys and predators) and number of species in each family follow Frost (2006).
The specific names of the non-amphibian predators are the same as presented in the
original publications. We did not include studies that failed to report prey and/or
predator identities (e.g., Kaiser and Gibson, 2004). Experimental studies were not
considered in most of the analysis; in some experimental studies the predator and its
prey do not co-exist in nature, so this may produce unrealistic data (see discussion in
Gunzburger and Travis, 2005).
RESULTS
We found 363 reports of anuran egg predation (APPENDIX I), including
experimental studies (N = 225) and natural observations in the field (N = 138; Fig. 1).
From these data we recognized 23 taxonomic groups of predators (Table1). In
observational field studies of naturally occurring egg predation, dipterans larvae were
the most common invertebrate (46.8 %) and anuran larvae the most common vertebrate
predators (42.1 %) with anuran larvae being the most common predators over all (23.2
%; Fig. 2). About 67 % of the predators are typically terrestrial (e.g., primates, canids,
snakes, anurans, spiders, and dipterans) and the remaining 33 % are aquatic (e.g., fishes,
tadpoles, salamander larvae, and crustaceans).
Approximately 72 % of the preyed eggs were involved with a gelatinous mass
(Fig. 3A) and about 59 % were laid in the water (Fig. 3B). About 38 % of the natural
observations involved species that lay eggs in aquatic and gelatinous egg masses
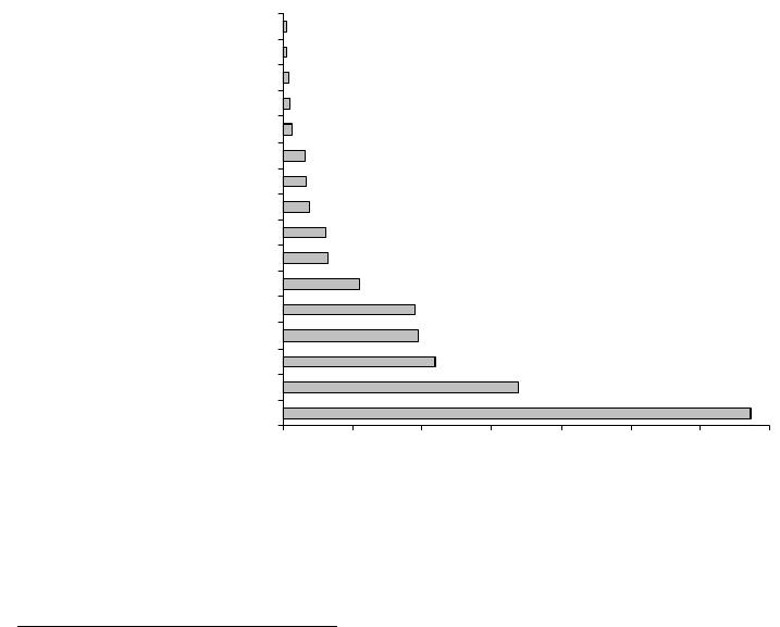
(AGEM). Almost 20 % of the reports on egg predation were on hylid eggs followed by
leptodactylid (ca. 14 %), ranid (ca. 13 %), and hyperoliid (ca. 12 %). The remaining
nine anuran families corresponded to about 41 % of the reports (Fig. 4). The number of
species in each anuran family was positively correlated with the number of reports of
egg predation within the family (linear regression analysis: r
2
= 0.33; df = 14; P =
0.026; Fig. 5). The point related to the family Brachycephalidae was an outlier very
distant from the 95 % confidence interval (Fig. 5).
23
Table 1. Anuran egg predator groups, number of predation reports (N = 363), number of
predator species (N = 157), and predator habitat (based on the species listed in appendix I).
This table includes experimental studies and field observations.
Predator Group Number of reports
(number of
predator species)
Predator most
typical habitat
Invertebrates
Hirudinea 6 (5) Aquatic
Platyhelminthes 2 (1) Terrestrial
Arachnida 3 (2) Terrestrial
Gastropoda 1 (1) Terrestrial
Crustacea 5 (5) Aquatic
Insecta
Coleoptera 16 (9) Terrestrial
Diptera 33 (10) Terrestrial
Hymenoptera 15 (10) Terrestrial
Hemiptera 13 (9) Aquatic
Odonata 8 (5) Aquatic
Orthoptera 1 (1) Terrestrial
Tricoptera 2 (2) Terrestrial
Vertebrates
Pisces 65 (19) Aquatic
Urodela
Adults 30 (14) Terrestrial
Larvae 4 (1) Aquatic
Anura
Adults 15 (10) Terrestrial
Tadpoles 109 (45) Aquatic
Reptile
Serpentes 9 (7) Terrestrial
Testudines 16 (2) Aquatic
Aves 1 (1)
Mammals
Canidae 1 (1) Terrestrial
Primates 7 (2) Terrestrial
Rodentia 1 (1) Terrestrial
24
Figure 1. Predation on anuran eggs by invertebrates and vertebrates. A) Foam nest of
Leptodactylus labyrinthicus being preyed by an ant (Camponotus rufipes); arboreal nests of
Dendropsophus ebraccatus being preyed by B) social ants (Azteca sp.) and C) a wasp
(Polybia rejecta); and D) an arboreal nest of Hyperolius spinigularis being preyed by
another tree frog (Afrixalus fornasini). Pictures of L. F. Toledo (A), J. Touchon (B and C),
and J. R. Vonesh (D).
25
0
5
Hirudinea
Platyhelminthes
Arachnida
Crustacea
Diptera
Hemiptera
Hymenoptera
Odonata
Orthoptera
Tricoptera
Pisces
Urodela (adults)
Urodela larvae
Anura (adults)
Anura (tadpoles)
Serpentes
Aves
Group of predator
10
15
20
25
Canidae
Primates
Number of predation reports (%)
Figure 2. Percentage of preyed clutches (in natural conditions) by different groups of
predators (N = 138).
Figure 3. Percentage of preyed clutches (in natural conditions) in relation to A) the clutch
characteristics and B) the egg laying sites (N = 138).
0
20
40
60
80
Foam nest
Gelatinous
egg mass
Number of predation reports (%)
0
20
40
60
80
Subterranean
Terrestrial
Arboreal
Aquatic
26
0
5
10
15
20
Arthroleptidae
Brachycephalidae
Bufonidae
Centrolenidae
Dendrobatidae
Dicroglossidae
Hylidae
Hyperoliidae
Leiuperidae
Leptodactylidae
Limnodynastidae
Microhylidae
Pelobatidae
Ranidae
Rhacophoridae
Scaphiopodidae
Anuran families
Number of predation reports (%)
Figure 4. Percentage of preyed clutches over the 16 anuran families based on the 138
natural observations presented in the Appendix I.
Figure 5. Liner regression (solid line) between number of species within an anuran family
(accordingly to current systematics: Frost, 2006) and number of predation reports for each
family. Doted line shows the 95 % of confidence interval. Art: Arthroleptidae, Bra:
Brachycephalidae, Buf: Bufonidae, Cen: Centrolenidae, Den: Dendrobatidae, Dic:
Dicroglossidae, Hyl: Hylidae, Hyp: Hyperoliidae, Lei: Leiuperidae, Lep: Leptodactylidae,
Lim: Limnodynastidae, Mic: Microhylidae, Pel: Pelobatidae, Ran: Ranidae, Rha:
Rhacophoridae, Sca: Scaphiopodidae.
DISCUSSION
27
Our review covered a wide range of anuran taxa and the positive relationship
found between species in the anuran families and reports in the families indicates that
we collected a good sample of what we may find in nature. Although the majority of the
predators listed are typically terrestrial, the aquatic ones probably exert the greatest
predation pressure, based on the highest number of predation events observed in natural
conditions. Looking across predator taxa and embryonic habitats, the main predators of
anuran eggs appear to be anuran larvae. In some cases, reports of egg predation may
represent feeding on trophic ovules deposited in the nests to feed tadpoles (e.g., Kam et
al., 1996; Prado et al., 2005 and references therein). However, in most of the cases,
tadpoles are carnivores that prey upon other species clutches (e.g., Downie, 1990;
Shepard and Caldwell, 2005) or even conspecific eggs (e.g., Polis and Meyers, 1985;
Hearnden, 1991; Prado et al., 2005).
By revising the anuran reproductive modes, different authors considered that the
mode represented by aquatic and gelatinous egg masses is the generalized and ancestral,
called as reproductive mode 1 (reviews in Duellman and Trueb, 1994; Haddad and
Prado, 2005). Hence, the other modes (e.g., in foam nests or out of the aquatic
environment) have been differentiated from mode 1. Furthermore, it has been suggested
that the differentiation of modes was caused by different selective pressures, including
an attempt to reduce the predation risk (Downie, 1990; Magnusson and Hero, 1991;
Martins, 1993; Haddad and Sawaya, 2000; Prado et al., 2002; Haddad and Prado, 2005).
The same scenario may be suggested from our results: the reproductive mode 1 (sensu
Haddad and Prado, 2005) accumulated the greater number of reports of predation. It
could be a sign of the greater predation pressure on eggs of this mode, resulting in a
greater number of observations and, consequently, publications. Therefore, laying eggs
out of natural water bodies, i.e., in arboreal, subterranean, terrestrial, or even in
constructed nests in the margins of water bodies, may notably prevent egg predation.
On the other hand, one could state that our findings are circumstantial because
aquatic and gelatinous egg masses (AGEM) are easier to be observed in nature.
Although, it could be true when comparing with the probability of finding subterranean
eggs, but it could not be when comparing with arboreal eggs and aquatic foam nests. In
the first case, most of the clutches are laid on the vegetation associated to the margins of
the water bodies. The difficulty in finding them is similar to the difficulty in finding
28
aquatic eggs (person. obs.). In the second case, the foam nests are even easier to find
than AGEM (person. obs.). However, a stronger criticism that may arise is that the
reproductive mode 1 is the most widespread among the anurans, probably because it is
the ancestral mode (Haddad and Prado, 2005), and hence it is the most observed in
nature. This fact could produce a larger number of reports of predation of eggs placed in
AGEM.
The outlier point of the family Brachycephalidae in Fig. 5 may rely on an
adaptive hypothesis. Most, if not all of brachycephalid species, lay their eggs on the
ground, generally under fallen leaves in the forest floor (Duellman and Trueb, 1994).
This strategy makes difficult for researches to observe predation events. However, it
could also effectively prevent eggs from predation as the eggs are laid in cryptic places
in an unpredicted random patchy distribution on the forest floor. Actually, the lack of
predation reports in this family could be a combination of all these factors. The same
short number of predation reports in relation to the number of species in the family was
observed to adult individuals (Toledo et al., 2007). Hence, if there is an effective
defence involved in terrestrial nesting and in a random patchy distribution pattern of
clutches and adults brachycephalids, it would, in part, explain the evolutionary success
of the family, expressed in the huge number of species (see also Toledo et al., 2007).
Tadpoles and post-metamorphic anurans also face several different predators
(reviews in Gunzburger and Travis, 2005; Toledo, 2005; Toledo et al., 2007). However,
they can avoid predators by many behavioural and physiological adaptations (Duellman
and Trueb, 1994). On the other hand, the defensive mechanisms of eggs are limited. By
reviewing the egg predation literature we were able to recognize basically four
defensive strategies for anuran eggs: 1) eggs can be unpalatable (review in Gunzburger
and Travis, 2005) or difficult to be preyed upon (Grubb, 1972; Orians and Janzen,
1974); 2) eggs may be laid in cryptic sites (including egg crypsis) (e.g., Heyer, 1969); 3)
eggs can be placed out of the water or in foam nests (e.g., Heyer, 1969); and 4) embryos
may immaturely hatch in the presence of the predator (e.g., Warkentin, 1995; 2000). All
these strategies may occur lonely or jointly.
From this point we lack some other beta-analysis involving the reports of egg
predation and experiments to address further questions, such as: in which scale are the
specialized reproductive modes effective against predation? Are there specializations
29
among predators to prey eggs of species with specialized reproductive modes? Although
we can not answer entirely these questions, our review improved the knowledge on the
subject and provides substantial material to continue studying the relation of
reproductive modes and predation.
ACKNOWLEDGEMENTS
Cynthia P. A. Prado made valuable comments during early versions of the
manuscript; Kelly Zamudio and Harry Greene helped with the patterns of North
American anuran egg laying sites and characteristics; and Justin Touchon provided
unpublished data and pictures. FAPESP (BIOTA proc. no. 01/13341-3) and CNPq
supported the Herpetology lab, Departamento de Zoologia, Unesp, Rio Claro, State of
São Paulo, Brazil. Authors also thank CNPq, CAPES, FAPESP, Idea Wild, and
Neotropical Grassland Conservancy for grants, scholarships, and equipment donation.
30
LITERATURE CITED
Arzabe, C. & C. P. A. Prado. 2006. Distinct architectures of subterranean nests in the
genus Leptodactylus of the fuscus group (Anura, Leptodactylidae). Herpetological
Review, 37:23-26.
Babbitt, K. J. 1995. Bufo terrestris (Southern Toad). Oophagy. Herpetological Review,
26:30.
Banks, B. & T. J. C. Beebee. 1987. Spawn predation and larval growth inhibition as
mechanisms for niche separation in anurans. Oecologia, 72:569-573.
Bokermann, W. C. A. 1957. Frog eggs parasitized by dipterous larvae. Herpetologica,
13:231-232.
Bourne, G. R., A. C. Collins, A. M .Holder & C. L. McCarthy. 2001. Vocal
communication and reproductive behavior of the frog Colostethus beebei in Guyana.
Journal of Herpetology, 35:272-281.
Brust, D. G. 1993. Maternal brood care by Dendrobates pumilio: a frog that feeds its
young. Journal of Herpetology, 27:96-98.
Castanho, L. M. 1996. Phyllomedusa distincta (leaf-frog). Predation. Herpetological
Review, 27:141.
Chivers D. P., J. M. Kiesecker, A. Marco, J. DeVito, M. T. Anderson & A. R. Blaustein.
2001. Predator-induced life history changes in amphibians: egg predation induces
hatching. Oikos, 92:135-142.
Christman, S. P. 1973. Feeding ecology of the Striped Newt, Notophthalmus
perstriatus. Journal of Herpetology, 7:133-135.
Crossland, M. R. & R. A. Alford. 1998. Evaluation of the toxicity of eggs, hatchlings
and tadpoles of the introduced toad Bufo marinus (Anura: Bufonidae) to native
Australian aquatic predators. Australian Journal of Ecology, 23:129-137.
Crossland, M. R. 1998. Predation by tadpoles on toxic toad eggs: the effect of tadpole
size on predation success and tadpole survival. Journal of Herpetology 32:443-446.
Crump, M. L. 1983. Opportunistic cannibalism by amphibian larvae in temporary
aquatic environments. American Naturalist, 121:281-289.
De la Riva, I. 1999. A new Phyllomedusa from southwestern Amazonia (Amphibia:
Anura: Hylidae). Revista Espanhola de Herpetologia, 13:123-131.
31
Denton, J. & T. J. C. Beebee. 1991. Palatability of anuran eggs and embryos. Amphibia-
Reptilia, 12:111-112.
Downie, J. R. 1988. Functions of the foam in foam-nesting leptodactylid Physalaemus
pustulosus. Herpetological Journal, 1:302-307.
Downie, J. R. 1990. Functions of the foam in foam-nesting leptodactylids: anti-predator
effects of Physalaemus pustulosus foam. Herpetological Journal, 1:501-503.
Drake, D. L. & A. W. Ranvestel. 2005. Hyalinobatrachium colymbiphyllum (Glass
Frog). Egg mass defense. Herpetological Review, 36:434.
Drewes, R.C. & R. Altig. 1996. Anuran egg predation and heterocannibalism in a
breeding community of East African frogs. Tropical Zoology, 9:333-342
Duellman, W. E. & L. Trueb. 1994. Biology of Amphibians. 2ed. McGraw-Hill, New
York.
Dunn, E. R. 1937. The amphibian and reptilian fauna of bromeliads in Costa Rica and
Panamá. Copeia, 1937:163-167.
Eaton, B. R. & C. A. Paszkowski. 1999. Rana sylvatica (Wood Frog). Predation.
Herpetological Review, 30:164.
Frost, D. R. 2006. Amphibian Species of the World: an Online Reference. Version 4 (17
August 2006). Electronic database accessible at:
http://research.amnh.org/herpetology/amphibia/index.php. American Museum of
Natural History, New York, USA.
Gorzula, S. 1977. Foam nesting in leptodactylids: a possible function. British Journal of
Herptology, 5:657-659.
Grubb, J. C. 1972. Differencial predation by Gambusia affinis on the eggs of seven
species of anuran amphibians. American Midland Naturalist, 88:102-108.
Gunzburger, M. S. & J. Travis. 2005. Critical literature review of the evidence for
unpalatability of amphibian eggs and larvae. Journal of Herpetology, 39:547-571.
Haddad, C. F. B. & W. Hödl. 1997. New reproductive mode in anurans: bubble nest in
Chiasmocleis leucosticta (Microhylidae). Copeia, 3:585-588.
Haddad, C. F. B. & C. P. A. Prado. 2005. Reproductive modes in frogs and their
unexpected diversity in the Atlantic forest of Brazil. BioScience, 55:207-217.
32
Haddad C. F. B. & R. J. Sawaya. 2000. Reproductive modes of Atlantic forest hylid
frogs: A general overview with the description of a new mode. Biotropica, 32:862–
871.
Hayes, M. P. 1983. Predation on the adults and prehatching stages of glass frogs
(Centrolenidae). Biotropica, 15:74-76.
Hearnden, M. N. 1991. Reproductive and larval ecology of Bufo marinus (Anura:
Bufonidae). Unpubl. Ph.D. Thesis, James Cook University of North Queensland,
Townsville.
Henrikson, B. I. 1990. Predation on amphibian eggs and tadpoles by common predators
in acidified lakes. Holartic Ecology, 13:201-206.
Heusser, H. 1970. Laich-Fressen durch Kaulquappen als mögliche Ursache spezifischer
Biotoppräferenzen und kurzer Laichzeiten bei europäischen Froschlurchen
(Amphibia, Anura). Oecologia, 4:83-88.
Heusser, H. 2001. Eggs of Bufo calamita are toxic to Rana dalmatina tadpoles.
Amphibia-Reptilia, 22:363-365.
Heyer, W.R. 1969. The adaptive ecology of the species groups of the genus
Leptodactylus (Amphibia, Leptodactylidae). Evolution, 23:421-428.
Hödl, W. 1986. Foam nest construction in South American leptodactylid frogs. Studies
in Herptology, 1986:565-570.
Holomuzki, J. R. 1995. Oviposition sites and fish-deterrent mechanisms of two stream
anurans. Copeia, 1995:607-613.
Howard, R. D. 1978. The influence of male-defended oviposition sites on early embryo
mortality in Bullfrogs. Ecology, 59:789-798.
Jara, F. G. 2005. Pleurodema bufonina (Gray Four-eyed Frog) and Pleurodema thaul
(Chile Four-eyed Frog). Oophagy. Herpetological Review, 36:437.
Kaiser, K. & A. R. Gibson. 2004. Smilisca baudinii (Mexican Treefrog). Egg predation.
Herpetological Review, 35:378-379.
Kam, Y. C., Z. S. Chuang & C. F. Yen. 1996. Reproduction, oviposition-site selection,
and tadpole oophagy of an arboreal nester, Chirixalus eiffingeri (Rhacophoridae),
from Taiwan. Journal of Herpetology, 30:52-59.
33
Kluge, A.G., 1981. The life history, social organization, and parental behavior of Hyla
rosenbergi Boulenger, a nest building gladiator frog. Miscellaneous Publications of
the Museum of Zoology, University of Michigan, 160:1-170.
Lacey, L. A. 1979. Predação em girinos por uma vespa e outras associações de insetos
com ninhos de duas espécies de rãs da Amazônia. Acta Amazônica, 9:755-762.
Lehtinen, R. M. 1993. Parental care and reproduction in two species of Mantidactylus
(Anura : Mantellidae). Journal of Herpetology, 37:766-768
Licht, L. E. 1968. Unpalatability and toxicity of toad eggs. Herpetologica 24:93-98
Licht, L. E. 1969. Palatability of Rana and Hyla eggs. American Midland Naturalist,
82:296-298.
Lingnau, R. & R. Di-Bernardo. 2007. Predation on foam nests of two anurans by
Solenopsis sp. (Hymenoptera: Formicidae) and Liophis miliaris (Serpentes:
Colubridae). Biociências, 14: in press.
Lips, K. R. 2001. Reproductive trade-offs and bet-hedging in Hyla calypso, a
Neotropical treefrog. Oecologia, 128:509-518.
Magnusson, W. E. & J. M. Hero. 1991. Predation and the evolution of complex
oviposition behaviour in Amazon rainforest frogs. Oecologia 86:310-318.
Mark-Oliver, R., F. Range, J. T. Seppänen & R. Noë. 2002. Caviar in the rain forest:
monkeys as frog-spawn predators in Taï National Park, Ivory Coast. Journal of
Tropical Ecology, 18:289-294.
Martinez-Solano, I. 2000. Pelobates cultripes (Iberian Spadefoot Toad). Predation.
Herpetological Review, 31:235.
Martins M. 1993. Observations on nest dynamics and embryonic and larval
development in the nest building gladiator frog, Hyla faber. Amphibia–Reptilia,
14:411–421.
Martins, I. 2001. Parental care behaviour in Leptodactylus podicipinus (Cope, 1862)
(Anura, Leptodactylidae). Herpetological Journal, 11:29-32.
McCann, C. 1932. Notes on Indian batrachians. Journal of the Bombay Natural History
Society, 36:152-180.
McDiarmid, R. W. 1978. Evolution of parental care in frogs. pp. 127-147. In: G. M.
Burghardt & M. Bekoff (eds.), The development of behavior: comparative and
evolutionary aspects, Garland, New York.
34
Menin, M. & A. A. Giaretta. 2003. Predation on foam nests of leptodactyline frogs
(Anura: Leptodactylidae) by of Beckeriella niger (Diptera: Ephydridae). Journal of
Zoology, 261:239-243.
Moura-Leite, J. C., R. S. Bérnils, S. A. A. Morato & J. A. Langone. 2003.
Herpetological Review, 34:149.
Neckel-Oliveira, S. & M. W. Machado. 2004. Predation on the arboreal eggs of three
species of Phyllomedusa in central Amazônia. Journal of Herpetology 38:244-248.
Orians, G. H., and D. H. Janzen. 1974. Why are embryos so tasty? The American
Naturalist, 108:581-592.
Petranka, J. W., M. E. Hopey, B. T. Jennings, S. D. Baird & S. J. Boone. 1994.
Breeding habitat segregation of Wood frogs and American toads: the role of
interspecific tadpole predation and adult choice. Copeia, 1994:691-697.
Polis, G. A. & C. A. Myers. 1985. A survey of intraspecific predation among reptiles
and amphibians. Journal of Herpetology, 19:99-107.
Poulin, B., G. Lefebvre, R. Ibanez, C. Jaramillo, C. Hernandez & A. S. Rand. 2001.
Avian predation upon lizards and frogs in a Neotropical forest understorey. Journal
of Tropical Ecology, 17:21-40.
Prado C. P. A., M. Uetanabaro & C. F. B. Haddad. 2002. Description of a new
reproductive mode in Leptodactylus (Anura, Leptodactylidae), with a review of the
reproductive specialization toward terrestriality in the genus. Copeia, 2002:1128–
1133.
Prado, C. P. A., L. F. Toledo, J. Zina & C. F. B. Haddad. 2005. Trophic eggs in the
foam nests of Leptodactylus labyrinthicus (Anura, Leptodactylidae): an
experimental approach. Herpetological Journal, 15:279-284.
Prado, C. P. A., L. M. Castanho, G. Woehl Jr. & L. F. Toledo. 2006. Phyllomedusa
distincta (Leaf Frog). Multimale spawning. Herpetological Review, 37:206-207.
Quijano, F. M. & A. R. Rojas. 1995. Rhadinaea lachrymans (NCN). Prey.
Herpetological Review, 26:40.
Rathbun, G. B. 1998. Rana aurora draytonii (California Red-legged Frog). Egg
predation. Herpetological Review, 29:165.
Resetartis Jr., W. J. 1998. Differential vulnerability of Hyla chrysocelis eggs and
hatchlings to larval insect predators. Journal of Herpetology, 32:440-443.
35
Richards, S. J. 1993. Functional significance of nest construction by an Australian
rainforest frog: a preliminary analysis. Memoirs of the Queensland Museum, 34:89-
93.
Roberts, W. E. 1994. Evolution and ecology of arboreal egg-laying frogs. Unpublished
PhD. Dissertation, University of California, Berkeley.
Rombough, C. J. & M. P. Hayes. 2005. Rana boylii (Foothill Yellow-legged Frog)
Predation: Eggs and hatchlings. Herpetological Review, 36:163-164.
Ryan, M. J. 1985. The túngara frog. A study in sexual selection and communication.
Chicago and London: The University of Chicago Press. 230 p.
Ryan, M. J. & K. R. Lips. 2004. Sibon argus (NCN). Diet. Herpetological Review,
35:278.
Sazima, I. 1972. Predadores do anuro Physalaemus curievi na Cidade Universitária
"Armando de Salles Oliveira" São Paulo. Ciência e Cultura (Suplemento), 24(6).
Sazima, I., S. A. Chini & C. R. Souza. 1992. Rhadinaea bilineata (NCN). Diet.
Herpetological Review, 23:121.
Shepard, D. B. & J. P. Caldwell. 2005. From foam to free-living: ecology of larval
Leptodactylus labyrinthicus. Copeia, 2005:803-811.
Silva, W. R., A. A. Giaretta & K. G. Facure. 2005. On the natural history of the South
American Pepper frog, Leptodactylus labyrinthicus (Spix, 1824) (Anura:
Leptodactylidae). Journal of Natural History, 39:555-566.
Solé, M. & A. Kwet. 2003. Liophis jaegeri (Jaeger´s Ground Snake). Diet.
Herpetological Review, 34:69.
Spieler, M. & K. E. Linsenmair. 1997. Choice of optimal oviposition sites by
Holobatrachus occipitalis (Anura: Ranidae) in an unpredictable and patchy
environment. Oecologia, 109:184-199.
Stein, R. J. 1985. Rana sylvatica (Wood frog). Predation. Herpetological Review,
16:109.
Stuart, J. N. & C. W. Painter. 1993. Rana castebeiana (Bullfrog). Cannibalism.
Herpetological Review, 24:103.
Summers, K. 1999. The effects of cannibalism on Amazonian poison frog egg and
tadpole deposition and survivorship in Heliconia axil pools. Oecologia, 119:557-
564.
36
Tanaka, S. & M. Nishihira. 1987. Foam nest as a potential food source for anuran
larvae: a preliminary experiment. Journal of Ethology, 5:86-88.
Tejedo, M. 1991. Effects of predation by two species of sympatric tadpoles on embryo
survival in Natterjack toads (Bufo calamita). Herpetologica, 47:322-327.
Toledo, L. F. 2005. Predation of juvenile and adult anurans by invertebrates: current
knowledge and perspectives. Herpetological Review, 36:365-400.
Toledo, L. F., L. D. Guimarães, L. P. Lima, R. P. Bastos, R. P. & C. F. B. Haddad.
2004. Notes on courtship, egg-laying site, and defensive behavior of Epipedobates
flavopictus (Anura: Dendrobatidae) from two mountain ranges of central and
southeastern Brazil. Phyllomedusa, 3:145-147.
Toledo, L. F., R. S. Ribeiro & C. F. B. Haddad. 2007. Anurans as prey: an exploratory
analysis and the size relationships between predators and their preys. Journal of
Zoology, 271:170-177.
Villa, J. 1977. A symbiotic relationship between frog (Amphibia, Anura, Centrolenidae)
and a fly larvae (Drosophilidae). Journal of Herpetology, 11:317- 322.
Villa, J., and D. S. Townsend. 1983. Viable frog eggs eaten by phorid fly larvae. Journal
of Herpetology, 17:278-281.
Villa, J., R. W. McDiarmid & J. M. Gallardo. 1982. Arthropod predators of
leptodactylid frog foam nests. Brenesia, 19/20:577-589.
Vonesh, J. R. 2005. Egg predation and predator-induced hatching plasticity in the
African reed frog, Hyperolius spinigularis. Oikos, 110:241-252
Vonesh, J. R. & B. Bolker. 2005. Compensatory larval responses shift trade-offs
associated with predator-induced hatching in an African treefrog. Ecology, 86:1580-
1591
Vonesh, J. R. 2000. Dipteran predation on the arboreal eggs of four Hyperolius frog
species in western Uganda. Copeia, 2002:560-566.
Vredenburg, V. 2000. Rana muscosa (Mountain Yellow-legged Frog). Egg predation.
Herpetological Review, 31:170-171.
Walters, B. 1975. Studies of interspecific predation within an amphibian community.
Journal of Herpetology, 9:267-279.
Warkentin, K. M. 1995. Adaptive plasticity in hatching age: a response to predation risk
tradeoffs. Proceedings of the National Academy of Sciences, 92:3507-3510.
37
Warkentin, K. M. 2000. Wasp predation and wasp-induced hatching of Red-Eyed
treefrog eggs. Animal Behaviour, 60:503-510.
Wells, K. D. 1979. Reproductive behaviour and male mating success in a Neotropical
toad, Bufo typhonius. Biotropica, 11:301-307.
Werschul, D. F. & M. T. Christensen. 1977. Differential predation by Lepomis
macrochirus on the eggs and tadpoles of Rana. Herpetologica, 33:237-241.
Weygoldt, P. 1980. Complex brood care and reproductive behaviour in captive Poison-
arrow frogs, Dendrobates pumilio O. Schmidt. Behavioral Ecology and
Sociobiology, 7:329-332.
Wiseman, K. D., K. R. Marlow, R. E. Jackman & J. E. Drennan. 2005. Rana boylii
(Foothill Yellow-legged Frog). Predation. Herpetological Review, 36:162-163.
Yorke, C. 1983. Survival of embryos and larvae of the frog Polypedates leucomystax in
Malaysia. Journal of Herpetology, 18:235-241.
38
Appendix I. Reports (N = 363) of anurans that had their eggs preyed (N = 107 spp), egg laying site (aquatic: Q; arboreal: R; terrestrial: T; or
subterranean: S), clutch type (gelatinous mass: G; foam nests: F), and the respective predators (N = 157 spp). An asterisk ‘*’ after anuran species
names indicates experimental studies.
Anuran species (prey) Spawn type Predator species Predator group Source
ARTHROLEPTIDAE (1 sp.)
Arthroleptis sylvatica
Q / G
Ambystoma opacum
Urodela Walters, 1975
Arthroleptis sylvatica
Q / G
Gerris buenoi
Hemiptera Eaton and Paszkowski, 1999
Arthroleptis sylvatica
Q / G
Gerris pingreensis
Hemiptera Eaton and Paszkowski, 1999
Arthroleptis sylvatica
Q / G Limnephilus sp. Tricoptera Stein, 1985
BOMBINATORIDAE
(1 sp.)
Bombina variegate*
Q / G
Rana temporaria
Tadpole Heusser, 1970
BRACHYCEPHALIDAE
(3 spp.)
Elutherodactylus coqui
T / G
Megaselia scalaris
Diptera Villa and Townsend, 1983
Eleutherodactylus guentheri
T / G
Echinanthera cephalostriata
Serpentes Moura-Leite et al., 2003
Eleutherodactylus sp. T / G
Rhadinaea lachrymans
Serpentes Quijano and Rojas, 1995
Eleutherodactylus sp. T / G
Rhadinaea bilineata
Serpentes Sazima et al., 1992
Eleutherodactylus sp. T / G
Leptotila cassinii
Aves Poulin et al., 2001
BUFONIDAE
(8 spp.)
Anaxyrus americanus*
Q / G
Ambystoma opacum
Urodela Walters, 1975
Anaxyrus americanus*
Q / G
Notophthalmus viridescens
Urodela Walters, 1975
Anaxyrus americanus*
Q / G
Arthroleptis sylvatica
Tadpole Petranka et al., 1994
Anaxyrus boreas*
Q / G
Ambystoma gracile
Urodela Licht, 1969
Anaxyrus boreas*
Q / G
Gasterosteus aculeatus
Pisces Licht, 1969
Anaxyrus boreas*
Q / G
Haemopsis sp.
Hirudinea Licht, 1969
Anaxyrus boreas*
Q / G
Salmo clarkii
Pisces Licht, 1969
Bufo bufo*
Q / G Aeshna sp. Odonata Henrickson, 1990
Bufo bufo*
Q / G
Corixa dentipes
Hemiptera Henrickson, 1990
Bufo bufo*
Q / G
Cymatia bonsdorffi
Hemiptera Henrickson, 1990
Bufo bufo*
Q / G
Dysticus lapponicus
Coleoptera Henrickson, 1990
Bufo bufo*
Q / G
Glaenocorista propinqua
Hemiptera Henrickson, 1990
Bufo bufo*
Q / G
Leucorrhinia dubia
Odonata Henrickson, 1990
Bufo bufo*
Q / G
Notonecta glauca
Hemiptera Henrickson, 1990
39
Bufo bufo*
Q / G
Rhantus exoletus
Coleoptera Henrickson, 1990
Bufo bufo*
Q / G
Lissotriton helveticus
Urodela Denton and Beebee, 1991
Bufo bufo*
Q / G
Lissotriton vulgaris
Urodela Denton and Beebee, 1991
Bufo bufo*
Q / G
Lissotriton vulgaris
Urodela Henrickson, 1990
Bufo bufo*
Q / G
Rana temporaria
Tadpole Heusser, 1970
Bufo terrestris
Q / G (inside
ovarium)
Bufo terrestris
Tadpole Babbitt, 1995
Chaunus marinus* Q / G Laccotrephes sp. Hemiptera Crossland and Alford, 1998
Chaunus marinus* Q / G Cybister sp. Coleoptera Crossland and Alford, 1998
Chaunus marinus* Q / G
Cybister godeffroyi
Coleoptera Crossland and Alford, 1998
Chaunus marinus* Q / G
Hydaticus vittatus
Coleoptera Crossland and Alford, 1998
Chaunus marinus* Q / G
Sandracottus bakewelli
Coleoptera Crossland and Alford, 1998
Chaunus marinus* Q / G
Lethocerus insulanus
Hemiptera Crossland and Alford, 1998
Chaunus marinus* Q / G Macrobatrachium sp. Crustacea Crossland and Alford, 1998
Chaunus marinus* Q / G Holthuisana sp. Crustacea Crossland and Alford, 1998
Chaunus marinus* Q / G
Cherax quadricarinatus
Crustacea Crossland and Alford, 1998
Chaunus marinus* Q / G
Austropeplea lessoni
Gastropoda Crossland and Alford, 1998
Chaunus marinus* Q / G
Craterocephalus
stercusmuscarum
Pisces Crossland and Alford, 1998
Chaunus marinus
Q / G
Chaunus marinus
Tadpole Hearnden, 1991
Chaunus marinus* Q / G
Litoria bicolor
Anura Crossland and Alford, 1998
Chaunus marinus* Q / G
Litoria rubella
Anura Crossland and Alford, 1998
Chaunus marinus* Q / G
Litoria infrafrenata
Anura Crossland and Alford, 1998
Chaunus marinus* Q / G
Litoria alboguttata
Tadpole Crossland, 1998
Chaunus marinus* Q / G
Litoria alboguttata
Anura Crossland and Alford, 1998
Chaunus marinus* Q / G
Limnodynastes ornatus
Tadpole Crossland, 1998
Chaunus marinus* Q / G
Limnodynastes ornatus
Anura Crossland and Alford, 1998
Cranopsis valliceps*
Q / G
Gambusia affinis
Pisces Grubb, 1972
Cranopsis valliceps*
Q / G
Ictaluras melas
Pisces Licht, 1968
Cranopsis valliceps*
Q / G
Lepomis cynellus
Pisces Licht, 1968
Cranopsis valliceps*
Q / G
Lepomis megalotis
Pisces Licht, 1968
Cranopsis valliceps*
Q / G Not identified mouse Rodentia Licht, 1968
40
Epidalea calamita
Q / G
Lissotriton boscai
Urodela Tejedo, 1991
Epidalea calamita
Q / G
Triturus pygmaeus
Urodela Tejedo, 1991
Epidalea calamita
Q / G
Bufo bufo
Tadpole Banks and Beebee, 1987
Epidalea calamita
Q / G
Epidalea calamita
Tadpole Banks and Beebee, 1987
Epidalea calamita*
Q / G
Pelobates cultripes
Tadpole Tejedo, 1991
Epidalea calamita
Q / G
Pelobates cultripes
Tadpole Tejedo, 1991
Epidalea calamita*
Q / G
Pelodytes punctatus
Tadpole Tejedo, 1991
Epidalea calamita
Q / G
Pelodytes punctatus
Tadpole Tejedo, 1991
Epidalea calamita* Q / G
Rana dalmatina
Tadpole Heusser, 2001
Epidalea calamita* Q / G
Rana temporaria
Tadpole Heusser, 1970
Epidalea calamita
Q / G
Rana temporaria
Tadpole Banks and Beebee, 1987
Epidalea calamita*
Q / G
Lissotriton helveticus
Urodela Denton and Beebee, 1991
Epidalea calamita*
Q / G
Lissotriton vulgaris
Urodela Denton and Beebee, 1991
Rhinella margaritifera
Q / G
Leptodactylus pentadactylus
Tadpole Wells, 1979
CENTROLENIDAE
(5 spp.)
Centrolene prosoblepon
R / G
Sibon argus
Serpentes Ryan and Lips, 2004
Centrolene prosoblepon
R / G Cupiennus sp. Arachnid Hayes, 1983
Cochranella granulosa
R / G
Sesarma roberti
Crustacea Hayes, 1983
Hyalinobatrachium colymbiphyllum
R / G Not identified Hymenoptera McDiarmid, 1978; Villa et al., 1982
Hyalinobatrachium colymbiphyllum
R / G Polybia sp. Hymenoptera Drake and Ranvestel, 2005
Hyalinobatrachium fleischmanni
R / G Cupiennus sp. Arachnid Hayes, 1983
Hyalinobatrachium fleischmanni
R / G
Paroecanthus tibialis
Orthoptera Hayes, 1983
Hyalinobatrachium fleischmanni
R / G Drosophila sp. Diptera Villa, 1977
Hyalinobatrachium fleischmanni
R / G Zygothricha sp. Diptera Villa, 1978; 1980; Villa and Townsend, 1983
Hyalinobatrachium pulveratum
R / G Drosophila sp. Diptera Villa, 1977
DENDROBATIDAE
(2 spp.)
Oophaga pumilio
Q / G
Oophaga pumilio
Tadpole Weygoldt, 1980; Brust, 1993
Ranitomeya ventrimaculata
Q / G
Ranitomeya ventrimaculata
Tadpole Summers, 1999
DICROGLOSSIDAE
(2 sp.)
Hoplobatrachus occipitalis
Q / G
Hoplobatrachus occipitalis
Tadpole Spieler and Linsenmair, 1997
Hoplobatrachus tigerinus
Q / G
Hiruda birmanica
Hirudinea McCann, 1932
HYLIDAE
(32 spp.)
41
Acris crepitans*
Q / G
Gambusia affinis
Pisces Grubb, 1972
Agalychnis annae* R / G
Megaselia scalaris
Diptera Villa and Townsend, 1983
Agalychnis callidryas
R / G Drosophila sp. Diptera Villa, 1977
Agalychnis callidryas
R / G Not identified Hymenoptera Villa et al., 1982
Agalychnis callidryas
R / G Agelaia sp. Hymenoptera Warkentin, 2000
Agalychnis callidryas
R / G
Polybia rejecta
Hymenoptera Warkentin, 2000
Agalychnis callidryas
R / G
Leptodeira septentrionalis
Serpentes Warkentin, 1995; 2000
Agalychnis callidryas
R / G
Sibon argus
Serpentes Ryan and Lips, 2004
Agalychnis callidryas* R / G
Kinosternon leucostomum
Testudines Roberts, 1994
Agalychnis callidryas*
R / G
Rhinoclemmys funerea
Testudines Roberts, 1994
Agalychnis callidryas*
R / G
Leptodactylus pentadactylus
Tadpole Roberts, 1994
Agalychnis callidryas*
R / G
Agalychnis callidryas
Tadpole Roberts, 1994
Agalychnis callidryas*
R / G
Agalychnis calcarifer
Tadpole Roberts, 1994
Agalychnis callidryas*
R / G
Dendropsophus ebraccatus
Tadpole Roberts, 1994
Agalychnis callidryas*
R / G
Rivulus isthmensis
Pisces Roberts, 1994
Agalychnis callidryas*
R / G
Rhamdia guatemalensis
Pisces Roberts, 1994
Agalychnis callidryas*
R / G
A. fasciatus
Pisces Roberts, 1994
Agalychnis callidryas*
R / G
Pholis gilli
Pisces Roberts, 1994
Agalychnis saltator
R / G Polybia cf. rejecta Hymenoptera Warkentin, 2000
Agalychnis saltator*
R / G
Kinosternon leucostomum
Testudines Roberts, 1994
Agalychnis saltator*
R / G
Rhinoclemmys funerea
Testudines Roberts, 1994
Agalychnis saltator*
R / G
Leptodactylus pentadactylus
Tadpole Roberts, 1994
Agalychnis saltator*
R / G
Agalychnis callidryas
Tadpole Roberts, 1994
Agalychnis saltator*
R / G
Agalychnis calcarifer
Tadpole Roberts, 1994
Agalychnis saltator*
R / G
Dendropsophus ebraccatus
Tadpole Roberts, 1994
Agalychnis saltator*
R / G
Rivulus isthmensis
Pisces Roberts, 1994
Agalychnis saltator*
R / G
Rhamdia guatemalensis
Pisces Roberts, 1994
Agalychnis saltator*
R / G
Astyanax fasciatus
Pisces Roberts, 1994
Agalychnis saltator*
R / G
Pholis gilli
Pisces Roberts, 1994
Dendropsophus ebraccatus
R / G Drosophila sp. Diptera Villa, 1977
Dendropsophus ebraccatus
R / G Agelaia sp. Hymenoptera Warkentin, 2000
Dendropsophus ebraccatus
R / G Azteca sp. Hymenoptera J. Touchon, unpubl. data
42
Dendropsophus ebraccatus
R / G
Polybia rejecta
Hymenoptera J. Touchon, unpubl. data
Dendropsophus ebraccatus*
R / G
Kinosternon leucostomum
Testudines Roberts, 1994
Dendropsophus ebraccatus*
R / G
Rhinoclemmys funerea
Testudines Roberts, 1994
Dendropsophus ebraccatus*
R / G
Leptodactylus pentadactylus
Tadpole Roberts, 1994
Dendropsophus ebraccatus*
R / G
Agalychnis callidryas
Tadpole Roberts, 1994
Dendropsophus ebraccatus*
R / G
Agalychnis calcarifer
Tadpole Roberts, 1994
Dendropsophus ebraccatus*
R / G
Dendropsophus ebraccatus
Tadpole Roberts, 1994
Dendropsophus ebraccatus*
R / G
Rivulus isthmensis
Pisces Roberts, 1994
Dendropsophus ebraccatus*
R / G
Rhamdia guatemalensis
Pisces Roberts, 1994
Dendropsophus ebraccatus*
R / G
Astyanax fasciatus
Pisces Roberts, 1994
Dendropsophus ebraccatus*
R / G
Pholis gilli
Pisces Roberts, 1994
Dendropsophus minutus
Q / G
Leptodactylus labyrinthicus
Tadpole Shepard and Caldwell, 2005
Dendropsophus phlebodes*
Q / G
Kinosternon leucostomum
Testudines Roberts, 1994
Dendropsophus phlebodes*
Q / G
Rhinoclemmys funerea
Testudines Roberts, 1994
Dendropsophus phlebodes*
Q / G
Leptodactylus pentadactylus
Tadpole Roberts, 1994
Dendropsophus phlebodes*
Q / G
Agalychnis callidryas
Tadpole Roberts, 1994
Dendropsophus phlebodes*
Q / G
Agalychnis calcarifer
Tadpole Roberts, 1994
Dendropsophus phlebodes*
Q / G
Dendropsophus ebraccatus
Tadpole Roberts, 1994
Dendropsophus phlebodes*
Q / G
Rivulus isthmensis
Pisces Roberts, 1994
Dendropsophus phlebodes*
Q / G
Rhamdia guatemalensis
Pisces Roberts, 1994
Dendropsophus phlebodes*
Q / G
A. fasciatus
Pisces Roberts, 1994
Dendropsophus phlebodes*
Q / G
Pholis gilli
Pisces Roberts, 1994
Dendrposophus rubicundulus
Q / G
Leptodactylus labyrinthicus
Tadpole Shepard and Caldwell, 2005
Hyla arborea
Q / G
Rana temporaria
Tadpole Heusser, 1970
Hyla chrysoscelis*
Q / G
Gambusia affinis
Pisces Grubb, 1972
Hyla chrysoscelis*
Q / G Ilybius sp. Coleoptera Resetarits, 1998
Hyla chrysoscelis*
Q / G
Pachidiplax longipinnis
Odonate Resetarits, 1998
Hyla vesicolor*
Q / G
Ambystoma maculatum
Urodela Walters, 1975
Hyla vesicolor*
Q / G
Notophthalmus viridescens
Urodela Walters, 1975
Hypsiboas boans* Q / G Not identified Coleoptera Magnusson and Hero, 1991
Hypsiboas boans* Q / G
Allobates marchesianus
Tadpole Magnusson and Hero, 1991
Hypsiboas boans* Q / G
Hypsiboas boans
Tadpole Magnusson and Hero, 1991
43
Hypsiboas boans* Q / G
Hypsiboas geograficus
Tadpole Magnusson and Hero, 1991
Hypsiboas boans* Q / G
Leptodactylus knudseni
Tadpole Magnusson and Hero, 1991
Hypsiboas boans* Q / G
Leptodactylus pentadactylus
Tadpole Magnusson and Hero, 1991
Hypsiboas boans* Q / G
Osteocephalus taurinus
Tadpole Magnusson and Hero, 1991
Hypsiboas boans* Q / G
Phyllomedusa vaillanti
Tadpole Magnusson and Hero, 1991
Hypsiboas boans* Q / G
Odonate naiads
Odonata Magnusson and Hero, 1991
Hypsiboas boans* Q / G
Aequidens tetramerus
Pisces Magnusson and Hero, 1991
Hypsiboas boans* Q / G Pyrrhulina sp. Pisces Magnusson and Hero, 1991
Hypsiboas geograficus* Q / G Not identified Coleoptera Magnusson and Hero, 1991
Hypsiboas geograficus* Q / G Not identified Coleoptera Magnusson and Hero, 1991
Hypsiboas geograficus* Q / G
Allobates femoralis
Tadpole Magnusson and Hero, 1991
Hypsiboas geograficus* Q / G
Allobates marchesianus
Tadpole Magnusson and Hero, 1991
Hypsiboas geograficus* Q / G
Hypsiboas boans
Tadpole Magnusson and Hero, 1991
Hypsiboas geograficus* Q / G
Hypsiboas geograficus
Tadpole Magnusson and Hero, 1991
Hypsiboas geograficus* Q / G
Hypsiboas granosus
Tadpole Magnusson and Hero, 1991
Hypsiboas geograficus* Q / G
Leptodactylus knudseni
Tadpole Magnusson and Hero, 1991
Hypsiboas geograficus* Q / G
Leptodactylus pentadactylus
Tadpole Magnusson and Hero, 1991
Hypsiboas geograficus* Q / G
Leptodactylus rhodomystax
Tadpole Magnusson and Hero, 1991
Hypsiboas geograficus* Q / G
Osteocephalus taurinus
Tadpole Magnusson and Hero, 1991
Hypsiboas geograficus* Q / G
Phyllomedusa bicolour
Tadpole Magnusson and Hero, 1991
Hypsiboas geograficus* Q / G
Phyllomedusa tarsius
Tadpole Magnusson and Hero, 1991
Hypsiboas geograficus* Q / G
Phyllomedusa tomopterna
Tadpole Magnusson and Hero, 1991
Hypsiboas geograficus* Q / G
Odonate naiads
Odonata Magnusson and Hero, 1991
Hypsiboas geograficus* Q / G
Aequidens tetramerus
Pisces Magnusson and Hero, 1991
Hypsiboas geograficus* Q / G Pyrrhulina sp. Pisces Magnusson and Hero, 1991
Hypsiboas rosenbergi
Q / G
Not identified
Platyhelminthes Kluge, 1981
Hypsiboas rosenbergi
Q / G
Belostoma porteri
Hemiptera Kluge, 1981
Hypsiboas rosenbergi
Q / G
Engystomops pustulosus
Tadpole Kluge, 1981
Hypsiboas rosenbergi
Q / G
Leptodactylus pentadactylus
Tadpole Kluge, 1981
Hypsiboas rosenbergi
Q / G
Hypsiboas rosenbergi
Tadpole Kluge, 1981
Isthmohyla pseudopuma
Q / G
Isthmohyla pseudopuma
Tadpole Crump, 1983
Isthmohyla pseudopuma*
Q / G
Isthmohyla pseudopuma
Tadpole Crump, 1983
44
Isthmohyla zeteki
Q / G
Isthmohyla zeteki
Tadpole Dunn, 1937
Osteocephalus buckleyi* Q / G
Hypsiboas boans
Tadpole Magnusson and Hero, 1991
Osteocephalus buckleyi* Q / G
Hypsiboas geograficus
Tadpole Magnusson and Hero, 1991
Osteocephalus buckleyi* Q / G
Leptodactylus knudseni
Tadpole Magnusson and Hero, 1991
Osteocephalus buckleyi* Q / G
Osteocephalus taurinus
Tadpole Magnusson and Hero, 1991
Osteocephalus taurinus* Q / G Not identified Coleoptera Magnusson and Hero, 1991
Osteocephalus taurinus* Q / G
Dendrophryniscus minutus
Tadpole Magnusson and Hero, 1991
Osteocephalus taurinus* Q / G
Hypsiboas geograficus
Tadpole Magnusson and Hero, 1991
Osteocephalus taurinus* Q / G
Leptodactylus knudseni
Tadpole Magnusson and Hero, 1991
Osteocephalus taurinus* Q / G
Leptodactylus pentadactylus
Tadpole Magnusson and Hero, 1991
Osteocephalus taurinus* Q / G
Osteocephalus taurinus
Tadpole Magnusson and Hero, 1991
Osteocephalus taurinus* Q / G
Phyllomedusa vaillanti
Tadpole Magnusson and Hero, 1991
Osteocephalus taurinus* Q / G Pyrrhulina sp. Pisces Magnusson and Hero, 1991
Osteopilus brunneus
Q / G
Osteopilus brunneus
Tadpole Polis and Myers, 1985
Phyllomedusa bicolor* R / G Not identified Coleoptera Neckel-Oliveira and Machado, 2004
Phyllomedusa bicolor* R / G Not identified Diptera Neckel-Oliveira and Machado, 2004
Phyllomedusa bicolor* R / G Not identified Primates Neckel-Oliveira and Machado, 2004
Phyllomedusa distincta
R / G
Liophis miliaris
Serpentes Castanho, 1996
Phyllomedusa tarsius* R / G Not identified Coleoptera Neckel-Oliveira and Machado, 2004
Phyllomedusa tarsius* R / G Not identified Diptera Neckel-Oliveira and Machado, 2004
Phyllomedusa tarsius* R / G Not identified Primates Neckel-Oliveira and Machado, 2004
Phyllomedusa tomopterna* R / G Not identified Coleoptera Neckel-Oliveira and Machado, 2004
Phyllomedusa tomopterna* R / G Not identified Diptera Neckel-Oliveira and Machado, 2004
Phyllomedusa tomopterna* R / G Not identified Primates Neckel-Oliveira and Machado, 2004
Phyllomedusa vaillanti* R / G
Hypsiboas geograficus
Tadpole Magnusson and Hero, 1991
Phyllomedusa vaillanti*R / G
Leptodactylus knudseni
Tadpole Magnusson and Hero, 1991
Phyllomedusa vaillanti*R / G
Osteocephalus taurinus
Tadpole Magnusson and Hero, 1991
Phyllomedusa vaillanti*R / G
Phyllomedusa vaillanti
Tadpole Magnusson and Hero, 1991
Phyllomedusa vaillanti*R / G Pyrrhulina sp. Pisces Magnusson and Hero, 1991
Pseudacris clarkii*
Q / G
Gambusia affinis
Pisces Grubb, 1972
Pseudacris clarkii*
Q / G
Notropis lutrensis
Pisces Grubb, 1972
Pseudacris crucifer
Q / G
Notophthalmus perstriatus
Urodela Christman, 1973
45
Pseudacris nigrita*
Q / G
Ambystoma opacum
Urodela Walters, 1975
Pseudacris regilla
Q / G
Taricha granulosa
Urodela White, 1977; Evenden, 1948
Pseudacris regilla
Q / G
Taricha torosa
Urodela White, 1977; Evenden, 1948
Pseudacris regilla* Q / G
(oocytes)
Salmo clarkii
Pisces Licht, 1969
Pseudacris regilla* Q / G
Desserobdella picta
Hirudinea Chivers et al., 2001
Scinax boulengeri*
Q / G
Kinosternon leucostomum
Testudines Roberts, 1994
Scinax boulengeri*
Q / G
Rhinoclemmys funerea
Testudines Roberts, 1994
Scinax boulengeri*
Q / G
Leptodactylus pentadactylus
Tadpole Roberts, 1994
Scinax boulengeri*
Q / G
Agalychnis callidryas
Tadpole Roberts, 1994
Scinax boulengeri*
Q / G
Agalychnis calcarifer
Tadpole Roberts, 1994
Scinax boulengeri*
Q / G
Dendropsophus ebraccatus
Tadpole Roberts, 1994
Scinax boulengeri*
Q / G
Rivulus isthmensis
Pisces Roberts, 1994
Scinax boulengeri*
Q / G
Rhamdia guatemalensis
Pisces Roberts, 1994
Scinax boulengeri*
Q / G
Astyanax fasciatus
Pisces Roberts, 1994
Scinax boulengeri*
Q / G
Pholis gilli
Pisces Roberts, 1994
Scinax elaeochroa*
Q / G
Kinosternon leucostomum
Testudines Roberts, 1994
Scinax elaeochroa*
Q / G
Rhinoclemmys funerea
Testudines Roberts, 1994
Scinax elaeochroa*
Q / G
Leptodactylus pentadactylus
Tadpole Roberts, 1994
Scinax elaeochroa*
Q / G
Agalychnis callidryas
Tadpole Roberts, 1994
Scinax elaeochroa*
Q / G
Agalychnis calcarifer
Tadpole Roberts, 1994
Scinax elaeochroa*
Q / G
Dendropsophus ebraccatus
Tadpole Roberts, 1994
Scinax elaeochroa*
Q / G
Rivulus isthmensis
Pisces Roberts, 1994
Scinax elaeochroa*
Q / G
Rhamdia guatemalensis
Pisces Roberts, 1994
Scinax elaeochroa*
Q / G
Astyanax fasciatus
Pisces Roberts, 1994
Scinax elaeochroa*
Q / G
Pholis gilli
Pisces Roberts, 1994
Scinax fuscomarginatus
Q / G
Leptodactylus labyrinthicus
Tadpole Shepard and Caldwell, 2005
Tlalocohyla loquax*
Q / G
Kinosternon leucostomum
Testudines Roberts, 1994
Tlalocohyla loquax*
Q / G
Rhinoclemmys funerea
Testudines Roberts, 1994
Tlalocohyla loquax*
Q / G
Leptodactylus pentadactylus
Tadpole Roberts, 1994
Tlalocohyla loquax*
Q / G
Agalychnis callidryas
Tadpole Roberts, 1994
Tlalocohyla loquax*
Q / G
Agalychnis calcarifer
Tadpole Roberts, 1994
46
Tlalocohyla loquax*
Q / G
Dendropsophus ebraccatus
Tadpole Roberts, 1994
Tlalocohyla loquax*
Q / G
Rivulus isthmensis
Pisces Roberts, 1994
Tlalocohyla loquax*
Q / G
Rhamdia guatemalensis
Pisces Roberts, 1994
Tlalocohyla loquax*
Q / G
Astyanax fasciatus
Pisces Roberts, 1994
Tlalocohyla loquax*
Q / G
Pholis gilli
Pisces Roberts, 1994
HYPEROLIIDAE
(11 spp.)
Afrixalus fornasini
R / G
Afrixalus fornasini
Anura Drewes and Altig, 1996
Hyperolius chlorosteus
R / G
Cercocebus torquatus atys
Primates Mark-Oliver et al., 2002
Hyperolius cinnamomeoventris
R / G Typopsilopa sp. Diptera Vonesh, 2000
Hyperolius kivuensis
R / G Typopsilopa sp. Diptera Vonesh, 2000
Hyperolius kivuensis
R / G Phoridae Diptera Vonesh, 2000
Hyperolius lateralis
R / G Typopsilopa sp. Diptera Vonesh, 2000
Hyperolius lateralis
R / G Phoridae Diptera Vonesh, 2000
Hyperolius mitchelli
R / G
Typopsilopa sp.
Diptera J. Vonesh, unpubl. data
Hyperolius mitchelli
R / G
Afrixalus fornasini
Anura J. Vonesh, unpubl. data
Hyperolius platyceps
R / G Typopsilopa sp. Diptera Vonesh, 2000
Hyperolius platyceps
R / G Phoridae Diptera Vonesh, 2000
Hyperolius puncticulatus
R / G
Typopsilopa sp.
Diptera J. Vonesh, unpubl. data
Hyperolius puncticulatus
R / G
Afrixalus fornasini
Anura J. Vonesh, unpubl. data
Hyperolius spinigularis
R / G
Afrixalus fornasini
Anura Vonesh, 2005; Vonesh and Bolker, 2005
Hyperolius spinigularis
R / G
Typopsilopa sp.
Diptera Vonesh, 2005; Vonesh and Bolker, 2005
Hyperolius sylvaticus
R / G
Cercocebus torquatus atys
Primates Mark-Oliver et al., 2002
Hyperolius tuberilinguis
R / G
Afrixalus fornasini
Anura Drewes and Altig, 1996
LEIUPERIDAE
(8 spp.)
Engystomops pustulosus
Q / F
Agalychnis callidryas
Tadpole Ryan, 1985
Engystomops pustulosus
Q / F
Chaunus marinus
Tadpole Downie, 1988; 1990
Engystomops pustulosus
Q / F
Leptodactylus fuscus
Tadpole Downie, 1988; 1990
Engystomops pustulosus
Q / F
Odonate nymphs
Odonata Downie, 1988; 1990
Eupemphix nattereri
Q / F
Beckeriella niger
Diptera Menin and Giaretta, 2003
Physalaemus centralis
Q / F
Beckeriella niger
Diptera Menin and Giaretta, 2003
Physalaemus cf. marmoratus Q / F
Beckeriella niger
Diptera Menin and Giaretta, 2003
Physalaemus cuvieri
Q / F
Beckeriella niger
Diptera Menin and Giaretta, 2003
47
Physalaemus cuvieri
Q / F
Gastrops niger
Diptera Bokermann, 1957
Physalaemus cuvieri
Q / F Solenopsis sp. Hymenoptera Sazima, 1957
Physalaemus aff. gracilis Q / F Solenopsis sp. Hymenoptera Lingnau and Di-Bernardo, 2006
Pleurodema bufonina
Q / F
Pleurodema bufonina
Tadpole Jara, 2005
Pleurodema thaul
Q / F
Pleurodema thaul
Tadpole Jara, 2005
LEPTODACTYLIDAE
(10 spp.)
Leptodactylus fumarius
S / F
Beckeriella niger
Diptera Menin and Giaretta, 2003
Leptodactylus fuscus
S / F
Megaselia nidanurae
Diptera Downie et al., 1995
Leptodactylus fuscus
S / F Camponotus sp. Hymenoptera Arzabe and Prado, 2006
Leptodactylus knudseni* T / F
Leptodactylus rhodomystax
Tadpole Magnusson and Hero, 1991
Leptodactylus labyrinthicus
Q / F
Dendropsophus minutus
Anura Silva et al., 2005
Leptodactylus labyrinthicus
Q / F Physalaemus cf. fuscomaculatus Anura Silva et al., 2005
Leptodactylus labyrinthicus
Q / F
Chrysocyon brachyurus
Canidae Prado et al., 2005
Leptodactylus labyrinthicus
Q / F
Beckeriella niger
Diptera Menin and Giaretta, 2003
Leptodactylus labyrinthicus
Q / F
Beckeriella niger
Diptera Silva et al., 2005
Leptodactylus labyrinthicus
Q / F
Camponotus rufipes
Hymenoptera Prado et al., 2005
Leptodactylus labyrinthicus
Q / F
Leptodactylus labyrinthicus
Tadpole Prado et al., 2005; Silva et al., 2005; Shepard
and Caldwell, 2005
Leptodactylus labyrinthicus
Q / F
Physalaemus cuvieri
Tadpole Silva et al., 2005
Leptodactylus latinasus
S / F
Lycosa pampeana
Arachnid Villa et al., 1982
Leptodactylus mystacinus
S / F Camponotus sp. Hymenoptera Arzabe and Prado, 2006
Leptodactylus ocellatus
Q / F
Beckeriella niger
Diptera Menin and Giaretta, 2003
Leptodactylus ocellatus
Q / F
Liophis miliaris
Serpentes Lingnau and Di-Bernardo, 2006
Leptodactylus pentadactylus
Q / F
Gastrops willistoni
Diptera Villa et al., 1982
Leptodactylus pentadactylus
Q / F
Angiopolybia pallens
Hymenoptera Villa et al., 1982; Lacey, 1979
Leptodactylus plaumani
S / F
Liophis jaegeri
Serpentes Solé and Kwet, 2003
Leptodactylus sp. S / F
Beckeriella niger
Diptera Menin and Giaretta, 2003
LIMNODYNASTIDAE
(1 sp.)
Lechriodus fletcheri
Q / F
Lechriodus fletcheri
Tadpole Polis and Myers, 1985
MICROHYLIDAE
(3 spp.)
Chiasmocleis leucosticta
Q / G
Patogoniobdella variabilis
Hirudinea Haddad and Hödl, 1997
Gastrophrne olivacea*
Q / G
Gambusia affinis
Pisces Grubb, 1972
48
Hoplophryne rogersi
R / G
Hoplophryne rogersi
Anura Polis and Myers, 1985
PELOBATIDAE
(1 sp.)
Pelobates cultripes
Q / G
Triturus marmoratus
Urodela Martinez-Solano, 2000
RANIDAE
(13 spp.)
Lithobates areolatus*
Q / G
Lepomis macrochirus
Pisces Werschul and Christensen, 1977
Lithobates catesbeianus
Q / G
Macrobdella decora
Hirudinea Howard, 1978
Lithobates catesbeianus
Q / G
Lithobates catesbeianus
Anura Stuart and Painter, 1993
Lithobates catesbeianus*
Q / G
Notophthalmus viridescens
Urodela Walters, 1975
Lithobates catesbeianus* Q / G
Ambystoma gracile
Urodela larvae Licht, 1969
Lithobates catesbeianus* Q / G
Gasterosteus aculeatus
Pisces Licht, 1969
Lithobates catesbeianus* Q / G
Salmo clarkii
Pisces Licht, 1969
Lithobates clamitans*
Q / G
Ambystoma maculatum
Urodela Walters, 1975
Lithobates clamitans*
Q / G
Ambystoma opacum
Urodela Walters, 1975
Lithobates clamitans*
Q / G
Notophthalmus viridescens
Urodela Walters, 1975
Lithobates clamitans* Q / G
Ambystoma gracile
Urodela larvae Licht, 1969
Lithobates clamitans* Q / G
Gasterosteus aculeatus
Pisces Licht, 1969
Lithobates clamitans* Q / G
Salmo clarkii
Pisces Licht, 1969
Lithobates maculatus
Q / G Not identified Platyhelminthes Kluge, 1981
Lithobates palmipes*
Q / G
Kinosternon leucostomum
Testudines Roberts, 1994
Lithobates palmipes*
Q / G
Rhinoclemmys funerea
Testudines Roberts, 1994
Lithobates palmipes*
Q / G
Leptodactylus pentadactylus
Tadpole Roberts, 1994
Lithobates palmipes*
Q / G
Agalychnis callidryas
Tadpole Roberts, 1994
Lithobates palmipes*
Q / G
Agalychnis calcarifer
Tadpole Roberts, 1994
Lithobates palmipes*
Q / G
Dendropsophus ebraccatus
Tadpole Roberts, 1994
Lithobates palmipes*
Q / G
Rivulus isthmensis
Pisces Roberts, 1994
Lithobates palmipes*
Q / G
Rhamdia guatemalensis
Pisces Roberts, 1994
Lithobates palmipes*
Q / G
Astyanax fasciatus
Pisces Roberts, 1994
Lithobates palmipes*
Q / G
Pholis gilli
Pisces Roberts, 1994
Lithobates pipiens
Q / G
Ambystoma opacum
Urodela Walters, 1975
Lithobates pipiens
Q / G
Ambystoma gracile
Urodela larvae Licht, 1969
Lithobates pipiens
Q / G
Gasterosteus aculeatus
Pisces Licht, 1969
Lithobates pipiens
Q / G
Salmo clarkii
Pisces Licht, 1969
49
Lithobates sp.* Q / G Haemopsis sp. Hirudinea Licht, 1969
Rana arvalis*
Q / G Aeshna sp. Odonata Henrickson, 1990
Rana arvalis*
Q / G
Corixa dentipes
Hemiptera Henrickson, 1990
Rana arvalis*
Q / G
Cymatia bonsdorffi
Hemiptera Henrickson, 1990
Rana arvalis*
Q / G
Dysticus lapponicus
Coleoptera Henrickson, 1990
Rana arvalis*
Q / G
Glaenocorista propinqua
Hemiptera Henrickson, 1990
Rana arvalis*
Q / G
Leucorrhinia dubia
Odonata Henrickson, 1990
Rana arvalis*
Q / G
Notonecta glauca
Hemiptera Henrickson, 1990
Rana arvalis*
Q / G
Rhantus exoletus
Coleoptera Henrickson, 1990
Rana arvalis*
Q / G
Triturus vulgaris
Urodela Henrickson, 1990
Rana aurora
Q / G Taricha sp. Urodela Rathbun, 1998
Rana aurora* Q / G
Ambystoma gracile
Urodela larvae Licht, 1969
Rana aurora* Q / G
Gasterosteus aculeatus
Pisces Licht, 1969
Rana aurora* Q / G
Salmo clarkii
Pisces Licht, 1969
Rana boylii
Q / G
Pacifastacus leniusculus
Crustacea Rombough and Hayes, 2005; Wiseman et al.,
2005
Rana boylii
Q / G
Dicosmoecus gilvipes
Tricoptera Rombough and Hayes, 2005
Rana boylii
Q / G
Rhinichthys osculus
Pisces Rombough and Hayes, 2005
Rana boylii
Q / G
Cottus perplexus
Pisces Rombough and Hayes, 2005
Rana boylii
Q / G
Ptychocheilus oregonensis
Pisces Rombough and Hayes, 2005
Rana boylii
Q / G
Richardsonius balteatus
Pisces Rombough and Hayes, 2005
Rana boylii
Q / G
Taricha granulosa
Urodela White, 1977; Evenden, 1948
Rana boylii
Q / G
Taricha torosa
Urodela White, 1977; Evenden, 1948
Rana cascadae
Q / G
Desserobdella picta
Hirudinea Chivers et al., 2001
Rana muscosa
Q / G
Rana muscosa
Tadpole Vredenburg, 2000
Rana temporaria*
Q / G
Rana temporaria
Tadpole Heusser, 1970
Rana temporaria*
Q / G
Lissotriton helveticus
Urodela Denton and Beebee, 1991
Rana temporaria*
Q / G
Lissotriton vulgaris
Urodela Denton and Beebee, 1991
RHACOPHORIDAE
(5 spp.)
Chiromantis rufescens
R / F
Cercocebus torquatus atys
Primates Mark-Oliver et al., 2002
Chiromantis rufescens
R / F
Cercopithecus diana diana
Primates Mark-Oliver et al., 2002
Chiromantis xerampelina
R / F
Afrixalus fornasini
Anura Drewes and Altig, 1996
50
Kurixalus eiffingeri
R / F
Kurixalus eiffingeri
Tadpole Kam et al., 1996
Polypedates leucomystax
Q / F Lucilia sp. Diptera Yorke 1983
Rhacophorus viridis
R / F
Rhacophorus viridis
Tadpole Tanaka and Nishihira, 1987
SCAPHIOPODIDAE
(1 sp.)
Scaphiopus couchi
Q / G
Gambusia affinis
Pisces Gurbb, 1972
CAPÍTULO 2
PREDAÇÃO DE ANUROS JUVENIS E ADULTOS POR INVERTEBRADOS:
CONHECIMENTO ATUAL E PERSPECTIVAS
Luís Felipe Toledo
Carpenter & Gillingham, 1984
51
CAPÍTULO 2
PREDATION OF JUVENILE AND ADULT ANURANS BY INVERTEBRATES:
CURRENT KNOWLEDGE AND PERSPECTIVES
Luís Felipe Toledo
Departamento de Zoologia, Instituto de Biociências, Universidade Estadual Paulista,
Rio Claro, São Paulo, Caixa Postal 199, CEP 13506-970, Brasil. e-mail:
52
Anuran amphibians are preyed on by vertebrates, invertebrates, and even
carnivorous plants (Duellman and Trueb 1994). Most of these reports on predation are
anecdotal (Fitch 1987; Greene 1993) and do not provide data other than a short
description of the predatory event (e.g., Boistel and Pauwels 2002; Brandão and Garda
2000; Del-Grande and Moura 1997; Mitchell 1990). The scattered information on the
subject makes it difficult to identify patterns. Additionally, McCormick and Polis
(1982) pointed out the lack of quantitative data evaluating the impact of arthropod
predators upon vertebrates. This is particularly true for predation by invertebrates upon
post-metamorphic (generally adult) anurans. For example, reports on this subject
usually state that few cases of invertebrate predation upon anurans are recorded (e.g.,
Bastos et al. 1994; Bernarde et al. 1999; Del-Grande and Moura 1997; Hinshaw and
Sullivan 1990; Mitchell 1990), when, in fact, a considerable amount of information is
generally available (e.g., McCormick and Polis 1982). Therefore, I review the subject in
an attempt to depict our current knowledge, add unpublished data, and provide a
background to which new reports may be added.
By reviewing published information on the subject I collected data on a wide
range of taxa, i.e., at least 68 post-metamorphic (juvenile to adult) anuran species
preyed upon by at least 57 invertebrate species, including arachnids, crabs, leeches, and
various insect groups (Tables 1 and 2). Besides the species listed (Table 2), there exists
indirect evidence and laboratory studies that add other potential invertebrate predators
to the list, such as spiders (Oilos antaguensis, Stasina portoricensis, and Avicularia
latea), amblypygids (Phrynus longipes), and forest crabs (Epilobocera situatifrons)
(Formanowicz et al. 1981; Stewart 1995). Laboratory studies using pipid and hyperoliid
frogs report pisaurid spiders as additional potential predators upon previously
unreported anuran families (Table 2).
It appears that many anuran species can be preyed upon by invertebrate predators,
independent of prey body size/age (see discussion in McCormick and Polis 1982),
phylogeny, or recognized presence of an elevated quantity of biologically active skin
secretions (Duellman and Trueb 1994) (Table 2). However, the risk of predation by
invertebrates seems to be greater in two crucial periods of the anurans life cycle: 1)
during the breeding season, when most species enter the water and consequently are in
contact with potential aquatic predators (e.g., Bastos et al. 1994; Haddad and Bastos
53
1997; Toledo 2003); and 2) when the recently-metamorphosed frogs are about to leave
or actually leave the water (Fig. 1), thus facing both aquatic and terrestrial invertebrates
(e.g., Clerke and Williamson 1992; Hirai and Hidaka 2002; Robertson 1989; Toledo
2003). Almost 90% of the observations that provide descriptions of the frog behavior
before the predation were recorded during these two stages.
Table 1. Invertebrate predators and number of species reported to prey upon post-
metamorphic anuran amphibians.
Class Order Family Common name Abbreviation Number of
species
Hirudinea Arhynchobdellida Hirudinidae Leeches Ah 1
Chilopoda Scolopendromorpha Scolopendridae Giant centipedes Gc 1
Arachnida Scorpiones Buthidae Scorpions Sc 1
Uropygi Thelyphonidae Vinegaroons Ut 1
Amblypygi Ambypigidae Amblypigids Am 1
Araneae Araneidae Orb weavers Aa 3
Ctenidae Wandering spiders Ac 2
Ctenizidae Trapdoor spiders Az 1
Dipluridae Tarantulas Ad 1
Lycosidae Wolf spiders Al 6
Pisauridae Fishing spiders Ap 10
Sparassidae Crab spiders As 1
Theraphosidae Tarantulas At 6
Malacostraca Decapoda Coenobitidae Crabs Dc 1
Hexapoda Coleoptera Carabidae Ground beetles Cb 3
Cicindelidae Tiger beetles Cc 1
Dytiscidae Diving beetles Cd 1
Diptera Tabanidae Horse flies Di 1
Hemiptera Belostomatidae Water bugs Hb 8
Nepidae Water scorpions Hn 1
Hymenoptera Formicidae Ants Hf 4
Mantodea Mantidae Preying mantis Mm 1
Neuroptera Corydalidae Hellgrammites Ch 1
54
Table 2. Post-metamorphic (juvenile to adult) anurans (15 families; at least 68 species) reported as prey of
invertebrates (22 families; at least 57 species) and the microhabitat where the predation occurred. Anuran specific
names follow Frost (2004), and thus some genera and species are updated. Predators’ abbreviations are in table 1. An
asterisk (*) after the anuran names indicates the recognized presence of a high amount of biologically active skin
secretions.
Anurans (Prey) Invertebrates (Predators) Predation microhabitat References
Ascaphidae
Ascaphus truei
Hellgrammite – unidentified (Mh) Pool in the stream Jones and Raphael, 1998
Bufonidae
Bufo bufo * Formica rufa (Hf) Lake margin Zuffi, 2001
Bufo crucifer * Lethocerus grandis (Hb) Temporary pond Haddad and Bastos, 1997
Bufo houstonensis * Solenopsis invicta (Hf) Litter Thomas and Allen, 1997
Bufo marinus * Iridomyrmex purpureus (Hf) Pond margin Clerke and Williamson, 1992
Bufo marinus * Scolopendra alternans (Gc) Leaf litter Carpenter and Gillingham, 1984
Bufo terrestris * Lethocerus sp. (Hb) Temporary pond McCoy, 2003
Centrolenidae
Centrolene prosoblepon
Cupiennus sp. (Ac) Over rocks, near the water Hayes, 1983
Hyalinobatrachium fleischmanni
Cupiennus sp. (Ac) Over leaf Hayes, 1983
Dendrobatidae
Colostethus inguinalis
Freshwater crab – unidentified (Dc) Not provided Duellman and Trueb, 1994
Dendrobates auratus * Sericopelma rubronitens (At) Litter Summers, 1999
Dendrobates pumilio * Paraponera clavata (Hf) Litter Fritz et al., 1981
Hylidae
Acris crepitans
Hogna helluo (Al) Semi-permanent wetland Blackburn et al., 2002
Acris gryllus
Dolomedes sp. (Ap) Edges of water body Goin, 1943
Hyla albomarginata
Belostoma sp. (Hb) Temporary pond Froehlich, 2001
Hyla albosignata
Tarantula – unidentified (At) Vegetation over water A. Antunes, unpubl. data
Hyla cinerea
Dolomedes okefinokensis (Ap) Vegetation over water Jeffery et al., 2004
Hyla cinerea
Acanthepeira stellata (Aa) Not provided Lockley, 1990
Hyla crepitans
Belostoma sp. (Hb) Permanent pool Mijares-Urrita et al., 1997
Hyla ebraccata
Cupiennius coccineus (Ac) Swamp Szelistowski, 1985
55
Hyla japonica
Diplonychus japonicus (Hb) Flooded rice field T. Hirai, unpubl. data
Hyla japonica
Dolomedes sulfurous (Ap) Flooded rice field T. Hirai, unpubl. data
Hyla japonica
Laccotrephes japonensis (Hn) Flooded rice field T. Hirai, unpubl. data
Hyla japonica
Lethocerus deyrollei (Hb) Flooded rice field Hirai and Hidaka, 2002
Hyla jimi
Belostoma elongatum (Hb) Temporary pond Toledo, 2003
Hyla minuta
Belostoma elongatum (Hb) Temporary pond Toledo, 2003
Hyla minuta
Lethocerus delpontei (Hb) Permanent pond Bastos et al., 1994
Hyla minuta
Dolomedes sp. (Ap) Permanent pond Bastos et al., 1994
Hyla minuta
Ancylometes vulpes (Ap) Permanent pond Bernarde et al., 1999
Hyla minuta
Ancylometes gigas (Ap) Permanent pond Bernarde et al., 1999
Hyla miotympanum
Abedus sp. (Hb) Permanent stream Pineda, 2003
Hyla nana
Thaumasia sp. (Ap) Swamp Pramuk and Alamillo, 2002
Hyla sanborni
Diapontia cf. uruguayensis (Al) Web over pond Del-Grande and Moura, 1997
Hyla versicolor
Argiope aurantia (Aa) Web near pond Steehouder, 1992
Hyla versicolor
Lethocerus americanus (Hb) Pond Hinshaw and Sullivan, 1990
Litoria caerulea
Hierodula werneri (Mm) Not provided Ridpath, 1977
Litoria caerulea
Atrax formidobilis (Ad) Not provided McCormick and Polis, 1982
Litoria ewingi
Catadromus lacordairei (Cb) Not provided LittleJohn and Wainer, 1978
Litoria lesueurii
Lycosa lapidosa (Al) On the rocks of a creek bed Raven, 1990
Litoria raniformis
Archimantis latistyla (Mm) Not provided Ridpath, 1977
Pseudacris crucifer
Diving beetle – unidentified (Cd) Temporary pond Hinshaw and Sullivan, 1990
Pseudacris feriarum
Dolomedes triton (Ap) Temporary pond Mitchell, 1990
Pseudacris ocularis
Lycosa sp. (Al) Ground, near water body Owen and Johnson, 1997
Scinax alter
Ancylometes rufus (Ap) Over aquatic vegetation Prado and Borgo, 2003
Scinax alter
Thaumasia sp. (Ap) Water surface Marra et al., 2003
Scinax cruentommus
Wolf spider - unidentified (Al) Vegetation over ground Aucone and Card, 2002
Scinax elaeochroa
Cupiennius coccineus (Ac) Swamp Szelistowski, 1985
Scinax fuscomarginatus
Oxyuptychus brasiliensis (Ah) Vegetation over pond Brandão and Garda, 2000
Scinax fuscomarginatus
Tarantula – unidentified (At) Temporary pond L. F. Toledo, unpubl. data
Scinax fuscomarginatus
Water bug – unidentified (Hb) Temporary pond L. F. Toledo, unpubl. data
Scinax ruber
Preying mantis - unidentified (Mm) Over vegetation J. L. Guillaumet, unpubl. data
56
Scinax squalirostris
Belostoma elongatum (Hb) Temporary pond Toledo, 2003
Scinax sp. (aff. similis) Belostoma elongatum (Hb) Temporary pond Toledo, 2003
Hyperoliidae
Hyperolius marmoratus
Thalassius fimbriatus (Ap) Laboratory situation McCormick and Polis, 1982
Leptodactylidae
Eleutherodactylus coqui
Olios sp. (As) Above ground Formanowicz Jr. et al., 1981
Eleutherodactylus coqui
Oligoctenus ottleyi (Al) Not provided Formanowicz Jr. et al., 1981
Eleutherodactylus coqui
Phrynus palmatus (Am) Not provided Formanowicz Jr. et al., 1981
Eleutherodactylus coqui
Tityus obtusus (Sc) Vegetation over ground Villanueva-Rivera et al., 2000
Eleutherodactylus zugi
Ctenus vernalis (Ac) Ground inside cave Novo et al., 1985
Eleutherodactylus sp. Paraponera clavata (Hf) Litter Fritz et al., 1981
Eleutherodactylus spp. Cupiennius coccineus (Ac) Experimental condition Szelistowski, 1985
Hylodes phyllodes
Trachalea keyserlingi (Ap) Leaf litter next to a stream Schiesari et al., 1995
Leptodactylus Knudseni * Theraphosa lebondi (At) Not provided Boistel and Pauwels, 2002
Leptodactylus labyrinthicus * Belostoma elongatum (Hb) Temporary pond Toledo, 2003
Leptodactylus ocellatus
Lethocerus annulipes (Hb) Not provided Lima, 1940
Physalaemus cuvieri
Belostoma elongatum (Hb) Temporary pond Toledo, 2003, Brasileiro et al., 2003
Physalaemus fuscomaculatus * Belostoma elongatum (Hb) Temporary pond Toledo, 2003
Physalaemus cf. fuscomaculatus * Lethocerus sp. (Hb) Temporary pond Giaretta and Menin, 2004
Physalaemus pustulosus
Sericopelma rubronitens (At) Leaf litter Gray et al., 1999
Physalaemus spiniger
Wolf spider – unidentified (Al) Temporary pond L. M. Giasson, unpubl. data
Limnodynastidae
Limnodynastes tasmaniensis
Catadromus lacordairei (Cb) Not provided LittleJohn and Wainer, 1978
Neobatrachus centralis
Selenotypus sp. (At) Not provided Raven, 1990
Neobatrachus centralis
Selenocosmia crassipes (At) Not provided McCormick and Polis, 1982
Microhylidae
Microhyla ornata
Lycosa carmichaeli (Al) Not provided McCormick and Polis, 1982
Myobatrachidae
Crinia pseudinsignifera
Aganippe raphiduca (Az) Ground, near spider burrow Butler and Main, 1959
Crinia signifera
Chlaenius darlingensis (Cb) Margin of pond Robertson, 1989
Uperoleia laevigata
Chlaenius darlingensis (Cb) Margin of pond Robertson, 1989
57
Pelobatidae
Spea multiplicata
Tabanus punctifer (Di) Mud margin of pond Jackman et al., 1983
Spea multiplicata
Cicindela sedecimpunctata (Cc) Not provided McCormick and Polis, 1982
Pipidae
Xenopus laevis * Dolomedes triton (Ap) Laboratory situation Rogers, 1996
Racophoridae
Rhacophorus arboreus
Cybister japonicus (Cd) Flooded rice field T. Hirai, unpubl. data
Rhacophorus schlegelii
Laccotrephes japonensis (Hn) Flooded rice field T. Hirai, unpubl. data
Rhacophorus schlegelii
Lethocerus deyrollei (Hb) Flooded rice field Hirai and Hidaka, 2002
Ranidae
Euphlyctis cf. cyanophlyctis Lycosa barmanica (Al) Not provided McCormick and Polis, 1982
Fejervarya limnocharis
Lethocerus deyrollei (Hb) Flooded rice field Hirai and Hidaka, 2002
Rana cascade
Lethocerus sp. (Hb) Lake Nauman and Dettlaff, 1999
Rana clamitans
Wolf Spider – unidentified (Al) Grass field Neil, 1948
Rana nigromaculata
Epomis nigricans (Cb) Flooded rice field T. Hirai, unpubl. data
Rana nigromaculata
Lethocerus deyrollei (Hb) Flooded rice field Hirai and Hidaka, 2002
Rana porosa
Lethocerus deyrollei (Hb) Irrigation ditch (rice field) T. Hirai, unpubl. data
Rana rugosa
Lethocerus deyrollei (Hb) Flooded rice field T. Hirai, unpubl. data
Unidentified anurans
Frog Grammostola sp. (At) Not provided McCormick and Polis, 1982
Frog Lasidora sp. (At) Not provided McCormick and Polis, 1982
Frog Birgus latro (Dc) Not provided McCormick and Polis, 1982
Frogs and toads Mastigoproctus giganteus (Ut) Not provided McCormick and Polis, 1982
Green Frog Nephila plumipes (Aa) Not provided McCormick and Polis, 1982
Green Tree Frog Nephila plumipes (Aa) Not provided McCormick and Polis, 1982
Leptodacylidae Brown Frogs Wolf Spider – unidentified (Al) Not provided McCormick and Polis, 1982
Tree Frog Dolomedes okefenokensis (Ap) Not provided McCormick and Polis, 1982
58
Figure 1. Juvenile Hyla albosignata being preyed upon by a tarantula on vegetation
near a stream in a forested area, Municipality of Pilar do Sul, State of São Paulo, Brazil.
Photograph by André Antunes.
0
3
6
9
12
15
18
21
24
27
30
Hirudinidae
Scolopendridae
Buthidae
Thelyphonidae
Ambypigidae
Araneidae
Ctenidae
Ctenizidae
Dipluridae
Lycosidae
Pisauridae
Sparassidae
Theraphosidae
Coenobitidae
Carabidae
Cicindelidae
Dysticidae
Tabanidae
Belostomatidae
Nepidae
Formicidae
Mantidae
Neuroptera
Anurans preyed upon
by invertebrates (%)
Figure 2. Percentage of different anuran species that were preyed upon by different
invertebrate families based on references listed in table 2 (N
total
= 89 accounts). White
bars indicate predation events reported to occur in the water; dark bars indicate
predation events out of the water; gray bars indicate predation events both in and out of
the water; and stripped bars represent lack of information on the microhabitat which the
predation occurred.
Araneae Hexapoda
59
Predation events occurred both in and out of the water and about 73% of them
involved water bugs (approximately 25%) and spiders (approximately 48%) as anuran
predators (Fig. 2). This may reflect the high density of these animals in nature, (DuBois
and Gobin 2001; Formanowicz et al. 1981; McCormick and Polis 1982; and references
therein). Additionally, it could indicate that spiders and water bugs may be significant
predators of anuran populations (Formanowicz et al. 1981; Toledo 2003), though, few
studies have determined actual predation rates on adult anurans (e.g., Haddad and
Bastos 1997; Hinshaw and Sullivan 1990).
In reviewing the subject I was able to identify a few cases of incorrect or repeated
data. For example, Nauman and Dettlaff (1999) reported “the first published record of a
giant water bug preying on an adult frog”; however, at least three reports on giant water
bugs preying on adult frogs were already available by that time (Bastos et al. 1994;
Haddad and Bastos 1997; Hinshaw and Sullivan 1990). Additionally, both Toledo
(2003) and Brasileiro et al. (2003) provided duplicate reports of the predation of
Physalaemus cuvieri by the same water bug species (Belostoma elongatum) at the same
study site. Nevertheless, repeated records may be beneficial as they provide more
evidence for an actual predator-prey relationship, and may help determine if any
geographic variation occurs in the predator-prey relationship.
Despite the considerable number of reports much more information is likely to
appear in the next few years. However, the simple descriptions of a predatory event
without providing further details (e.g., microhabitat and prey activity before predation -
data that should generally be available to the observers) make future discussions and
predictions difficult (see Greene 1993). Therefore, even reports on simple interactions
between predator and prey (particularly in the context discussed here) should provide
more detailed accounts whenever possible (see complementary discussions in Greene
1986; 1993).
Acknowledgments
I thank Célio F. B. Haddad, Ivan Sazima, Denis V. Andrade, Anne d’Heursel,
Toshiaki Hirai, Ricardo S. Ribeiro, John A. Crawford, Christopher A. Phillips, and an
anonymous reviewer for the discussion and comments on earlier drafts of the
manuscript; Luís M. Giasson, Toshiaki Hirai, André Antunes, and Jean-Louis
60
Guillaumet for providing unpublished records; Débora Y. F. Campos and Marcelo
Menin for helping with references; Biota FAPESP for financial support to the
Herpetology lab (grant 01/13341-3); CAPES, Neotropical Grassland Conservancy, and
Idea Wild for grants received.
61
Literature Cited
Aucone, B. and W. Card. 2002. Scinax cruentomma (NCN). Predation. Herpetol. Rev.
33(1):48.
Bastos, R. P., O. C. Oliveira, and J. P. Pombal Jr. 1994. Hyla minuta (NCN). Predation.
Herpetol. Rev. 25(3):118.
Bernarde, P. S., M. B. Souza, and M. C. N. Kokubum. 1999. Predation on Hyla minuta
Peters, 1872 (Anura, Hylidae) by Ancylometes spp. (Araneae, Pisauridae).
Biociências 7(1):199–203.
Blackburn, L. M., C. D. Hoefler, and P. Nanjappa. 2002. Acris crepitans blanchardi
(Blanchard´s Cricket Frog). Predation. Herpetol. Rev. 33(4):299.
Boistel, R., and O. S. G. Pauwels. 2002. Leptodactylus knudseni (Kunudsen´s Bullfrog).
Predation. Herpetol. Rev. 33(4):303.
Brandão, R. A., and A. A. Garda. 2000. Scinax fuscomarginatus (NCN). Predation.
Herpetol. Rev. 31(3):171.
Brasileiro, C. A., R. J. Sawaya, and G. Giraldelli. 2003. Physalaemus cuvieri (Barker
Frog). Predation. Herpetol. Rev. 34(2):137.
Butler, W. H., and B. Y. Main. 1959. Predation on vertebrates by mygalmorph spiders.
West. Australian Nat. 7(2):52.
Carpenter, C. C., and J. C. Gillingham. 1984. Giant centipede (Scolopendra alternans)
attacks marine toad (Bufo marinus). Caribb. J. Sci. 20(1/2):71–72.
Clerke, R. B., and I. Williamson. 1992. A note on the predation of Bufo marinus
juveniles by the ant Iridiomyrmex purpureus. Aust. Zool., 28(1-4):64–67.
Del-Grande, M. L., and G. Moura. 1997. Hyla sanborni (NCN). Predation. Herpetol.
Rev. 28(3):147.
DuBois R. B., and W. P. Gobin. 2001. Winter drift, sex ratios, and size distribution of
giant water bugs, Lethocerus americanus, (Heteroptera: Belostomatidae) in a Lake
Superior tributary. Great Lakes Entomol., 34(2):69–75.
Duellman, W. E., and L. Trueb. 1994. Biology of Amphibians. The Johns Hopkins
University Press, Baltimore and London. 670 pp.
Fitch, H. S. 1987. The sin of anecdotal writing. Herpetol. Rev. 18(4):68.
62
Formanowicz Jr., D. R., M. M. Stewart, K. Townsend, F. H. Pough, and P. F. Brussard.
1981. Predation by giant crab spiders on the Puerto Rican frog Eleutherodactylus
coqui. Herpetologica 37(3):125–129.
Fritz, G., A. S. Rand, and C. W. dePamphilis. 1981. The aposematically colored frog,
Dendrobates pumilio, is distasteful to the large, predatory ant, Paraponera
clavata. Biotropica 13(2):158–159.
Froehlich, C. G. 2001. Insetos Aquáticos. In C. Leonel (ed.), Intervales, pp. 180–186.
Secretaria do Meio Ambiente, São Paulo.
Frost, D. R. 2004. Amphibian species of the world: an online reference.
Database available at:
<http://research.amnh.org/herpetology/amphibia/index.html>.
Giaretta, A. A. and M. Menin. 2004. Reproduction, phenology, and mortality sources of
a species of Physalaemus (Anura: Leptodactylidae). J. Nat. Hist. 38:1711–1722.
Goin, C. J. 1943. The lower vertebrate fauna of the water hyacinth community in
northern Florida. Proceedings Florida Acad. Sci. 6:143–153.
Gray, H. M., D. M. Green, and M. J. Peters. 1999. Physalaemus pustulosus (Túngara
Frog). Predation. Herpetol. Rev. 30(2):93.
Greene, H. W. 1986. Natural history and evolutionary biology. In M. E. Feder and G.
V. Lauder (eds.), Predator-Prey Relationships: Perspectives and Approaches from
the Study of Lower Vertebrates. pp. 99–108. University of Chicago Press.
Greene, H. W. 1993. What’s good about good natural history. Herpetol. Nat. Hist.
1(1):3–3.
Haddad, C. F. B., and R. P. Bastos. 1997. Predation on the toad Bufo crucifer during
reproduction (Anura; Bufonidae). Amphib-Reptil. 18:295–298.
Hayes, M. P. 1983. Predation on the adults and prehatching stages of glass frogs
(Centrolenidae). Biotropica 15(1):74–76.
Hinshaw, S. H. and B. K. Sullivan. 1990. Predation on Hyla versicolor and Pseudacris
crucifer during reproduction. J. Herpetol. 24(2):196–197.
Hirai, T. and K. Hidaka. 2002. Anuran-dependent predation by the giant water bug,
Lethocerus deyrollei (Hemiptera: Belostomatidae), in rice fields of Japan. Ecol.
Res. 17:655–661.
63
Jackman, R., S. Nowicki, D. J. Aneshansley, and T. Eisner. 1983. Predatory capture of
toads by fly larvae. Science 222(4623):515–516.
Jeffery, B. M., J. H. Waddle, and A .J. Maskell2004. Hyla cinerea (Green Treefrog).
Predation. Herpetol. Rev. 35(2):158.
Jones, L. L. C., and M. G. Raphael1998. Ascaphus truei (Tailed Frog). Predation.
Herpetol. Rev. 29(1):39.
Lima, A. C. 1940. Insetos do Brasil: Hemípteros. Escola Nacional de Agronomia, série
didática n. 3, Rio de Janeiro, 351 pp.
LittleJohn, M. J., and J. W. Wainer. 1978. Carabid beetle preying on frogs. Vic. Nat.
95:251–252.
Lockley, T. C. 1990. Predation on the green treefrog by the star bellied orb weaver,
Acanthepeira stellata (Araneae, Araneidae). J. Arachnol. 18:359.
Marra, R. V., F. H. Hatano, L. Boquimpani-Freitas, R. V. Marques, M. V. Sluys, and C.
F. D. Rocha. 2003. Scinax altera (NCN). Predation. Herpetol. Rev. 34(1):55.
McCormick, S., and G. A. Polis. 1982. Invertebrate that preys on vertebrates. Biol. Rev.
57:29–58.
McCoy, M. W. 2003. Bufo terrestris (Southern Toad). Predation. Herpetol. Rev.
34(2):135–136.
Mijares-Urrita, A., A. Arends, and J. M. Hero. 1997. Hyla crepitans (NCN). Predation.
Herpetol. Rev. 28(2):84.
Mitchell, J. C. 1990. Pseudacris feriarum (Upland Chorus Frog). Predation. Herpetol.
Rev. 21(4):89–90.
Nauman, R. S., and Y. Dettlaff. 1999. Rana cascade (Cascade Frog). Predation.
Herpetol. Rev. 30(2):93.
Neil, T. 1948. Spiders preying on reptiles and amphibians. Herpetologica 4:158.
Novo, J., A. R. Estrada, and G. Alayón. 1985. Eleutherodactylus (Anura:
Leptodactylidae) depredado por un areneido. Misc. Zoologica 28:1-2.
Owen, R. D., and S. A. Johnson. 1997. Pseudacris ocularis (Little Grass Frog).
Predation. Herpetol. Rev. 28(4):200.
Pineda, E. 2003. Hyla miotympanum (Small-Eared Treefrog). Predation. Herpetol. Rev.
34(2):136–137.
64
Prado, G. M., and J. H. Borgo. 2003. Scinax alterus (NCN). Predation. Herpetol. Rev.
34(3):238–239.
Pramuk, J. B., and H. Alamillo. 2002. Hyla nana. Predation. Herpetol. Rev. 33(1):46–
47.
Raven, R. J. 1990. Spider predators of reptiles and amphibia. Mem. Queensl. Mus.
29:448.
Ridpath, M. G. 1977. Predation on frogs and small birds by Hierodula werneri
(Gigliotos) (Mantidae) in Tropical Australia. J. Aust. Entomol. Soc. 16:153–154.
Robertson, J. G. M. 1989. Predation by a carabid beetle on Australian frogs. Herpetol.
Rev. 20(1):7–8.
Rogers, C. P. 1996. Rana catesbeiana (Bullfrog). Predation. Herpetol. Rev. 27(2):75.
Schiesari, L. C., F. A. Juncá, and G. M. Accacio. 1995. Hylodes phyllodes (NCN).
Predation. Herpetol. Rev. 26(1):30–31.
Steehouder, T. 1992. Spiders as herpeto-eaters. Litteratura Serpentium 12(3):71.
Stewart, M. M. 1995. Climate driven population fluctuations in rain forest frogs. J.
Herpetol. 29(3):437–446.
Summers, K. 1999. Dendrobates auratus (Green Poison Frog). Predation. Herpetol.
Rev. 30(2):91.
Szelistowski, W. A. 1985. Unpalatability of the poison arrow frog Dendrobates pumilio
to the ctenid spider Cupiennius coccineus. Biotropica 17(4):345–346.
Toledo, L. F. 2003. Predation on seven South American anuran species by water bugs
(Belostomatidae). Phyllomedusa 2(2):105–108.
Thomas, L. A., and J. Allen. 1997. Bufo houstonensis (Houston Toad). Behavior.
Herpetol. Rev. 28(1):40–41.
Villanueva-Rivera, L. J., Joglar, R. L., and F. C. Li-Objio, 2000. Eleutherodactylus
coqui (Coqui). Predation. Herpetol. Rev. 31(2):100.
Zuffi, M. A. L. 2001. Bufo bufo (European Common Toad). Red ant predation.
Herpetol. Rev. 32(2):100–101.
CAPÍTULO 3
ANUROS COMO PRESA: UMA ANÁLISE EXPLORATÓRIA E AS
RELAÇÕES DE TAMANHO ENTRE OS PREDADORES E SUAS PRESAS
Luís Felipe Toledo, Ricardo S. Ribeiro & Célio F. B. Haddad
Antoine Hercule Romuald Florence (1804 – 1879)
Desenhista, inventor da fotografia (veja a primeira fotografia do mundo
tirada em Campinas) e precursor do registro de sons de animais. Francês,
mas radicado no Brasil, não é reconhecido atualmente apesar de sua
relevância. Esta tese não seria possível sem registros fotográficos e
gravações das vocalizações dos anuros.
65
CAPÍTULO 3
ANURANS AS PREY: AN EXPLORATORY ANALYSIS AND THE SIZE
RELATIONSHIPS BETWEEN PREDATORS AND THEIR PREYS
Luís Felipe Toledo
1
, Ricardo da Silva Ribeiro
1
and Célio F. B. Haddad
1
1
Departamento de Zoologia, Instituto de Biociências, Universidade Estadual Paulista,
Caixa Postal 199, CEP 13506-970, Rio Claro, São Paulo, Brasil. E-mail:
66
Abstract
The vertebrate predators of post-metamorphic anurans were quantified and the
predator-prey relationship investigated by analyzing the relative size of invertebrate
predators and anurans. More than 100 vertebrate predators were identified (in more than
200 reports) and classified as opportunistic, convenience, temporary specialized, and
specialized predators. Invertebrate predators were classified as solitary non-venomous,
venomous, and social foragers according to the 333 reviewed reports. Each of these
categories of invertebrate predators were compared to the relative size of the anurans,
showing an increase in relative size of the prey when predators used special predatory
tactics. The number of species and number of families of anurans that were preyed upon
did not vary with the size of the predator suggesting that the prey selection was not
arbitrary and energetic constrains must be involved in this choice. The relatively low
predation pressure upon brachycephalids was related to the presence of some defensive
strategies of its species. This compounding review can be used as the foundation for
future advances in vertebrates’ predator-prey interactions.
67
Introduction
Anurans exhibit a great diversity of defensive strategies (e.g., Dodd Jr., 1976),
which could include, alone or in combination, ecological, morphological, physiological,
or behavioural features (Duellman & Trueb, 1994; Toledo & Jared, 1995). The whole
defensive repertoire of a population or a species may have been evolved due to the
strong and continuously selective pressure wielded by its natural predators (Greene,
1997; Vamosi, 2005). Moreover, predators may also have been coevolved to suppress
these defensive strategies, generating a predator-prey arms race (Brodie III & Brodie Jr.,
1999a; 1999b; Geffeney, Brodie Jr. & Brodie III, 2002). Anurans are known to be
preyed upon by so many predators that it has been stated that “practically anything will
eat an amphibian” (Porter, 1972 apud Duellman & Trueb, 1994 p. 244). In spite of this,
there is no data compilation about the actual anurans predators. Most of the reports are
anecdotic, just reporting the predation events (see comments in Toledo, 2005), and few
articles can give substantial contributions, e.g., by giving information on predation rates
(Olson, 1989; Hinshaw & Sullivan, 1989; Martins, Sazima & Egler, 1993), inferring on
the risks of predation (e.g., Ryan, 1985; Haddad & Bastos, 1997), or revising the subject
(e.g., McCormick & Polis, 1982; Toledo, 2005).
It is suggested that relatively larger predators generally subdue their prey
without having to use special tactics (Hespenheide, 1973). On the other hand, in order to
capture larger or equal size prey, it is possible that predators make use of specialized
tactics such as poisoning, trapping, or social foraging (Hespenheide, 1973; McCormick
& Polis, 1982; McNab, 1983; Pough, Heiser & McFarland, 1990; Menin, Rodrigues &
Azevedo, 2005). Again, these theories have not been tested jointly for anurans.
Therefore, in the present study we carried out a qualified and quantified review of the
main vertebrate predators of post-metamorphic anurans, verifying the relationship
between relative predator-prey sizes. We have also considered the use of specialized
predation tactics in relation to relative size of prey.
Methods
Vertebrate predators
Given the large amount of available reports on post-metamorphic anurans as
prey of vertebrates (invertebrate predators were reviewed elsewhere: Toledo, 2005),
68
only unpublished data, articles, and natural history notes published in Herpetological
Review (since the first number in the late 1960’s up to the last number of 2005) were
considered. Additional references were only considered when they provided relative
significant contributions, for example, when referring to an unreported family (or even a
higher taxa) of prey and/or predator. Furthermore, we only considered articles that
identified to the specific level both the prey (anurans) and predators (vertebrates).
Predation attempts in the field, laboratory experiments, and captivity observations were
also not considered. Specific names are in agreement to online databases: amphibians
follow Frost (2004) complemented by Faivovich et al. (2005), Nascimento et al. (2005)
and Frost et al. (2006), reptiles follow Uetz et al. (2005), fishes follow Froese & Pauly
(2004), birds follow Lepage (2005), and mammals follow Wilson & Reeder (1993). To
assert that our review is representative over the anuran phylogenetic groups we made a
linear regression analysis between number of species in the family and number of
predation reports, including data from invertebrates (based on Toledo, 2005) and
vertebrates (present study) and expected to find a positive significance fixing Į in 99 %.
Size relationships and predation tactics
The predator-prey size relationship was verified from the analysis of 333
accounts of invertebrate predation upon anurans (see Table 2 in Toledo, 2005), taking
into account the relative size of the prey in relation to predators [Rs = snout-vent length
of anuran (SVL) / total length of invertebrate (TL)] and the presence or absence of
specialized predatory tactics, such as use of traps (e.g., webs), poison, social foraging,
or any association between them. Values of Rs are presented as mean ± standard
deviation (range). Vertebrate predators were not included in this analysis, because, in
the great majority of the circumstances, they were many times larger than anurans
complicating the visualization of the results (see discussion).
For Rs comparisons among predator groups a Mann-Whitney (t) test was used.
Predator size was correlated with anuran size using linear correlation. The same analysis
was used when correlating the size classes of the invertebrates and number of families
of anurans that were preyed upon. Significant values were considered when P < 0.001.
69
Results
Our databases, including invertebrate and vertebrate predators, comprised 21
anuran families. We found a positive relation between species of anurans in the families
and number of reports of predation (adjusted r
2
= 0.46; F = 17.86; P = 0.0005; n = 21;
Fig. 1). The only group who was found out of the 95 % prediction interval ellipse was
the family Brachycephalidae. Out of the 95 % confidence interval were the
Leiopelmatidae, Leptodactylidae, Microhylidae, Pipidae, Racophoridae, and
Scaphiopodidae families. Among these families microhylid was the one that have
differentiated the most (Fig. 1).
Bra
Buf
C
Cc
Den
Di
Hyl
Lei
Lep
Mn
Mg
Mic
Pip
Px
Ran
Rac
Ct
Hyp
Li
My
Sca
0 20406080100
Number of reports of predaion
0
100
200
300
400
500
600
700
800
900
Number of species in the family
Fig. 1. Linear regression, 95 % of confidence interval, and 95 % prediction interval
ellipse between the number of reports of predation by invertebrates and vertebrates upon
post-metamorphic anurans and the number of species in the anuran families. The labels
refer to the names of the families: Brachycephalidae (Bra), Bufonidae (Buf),
Ceratophriydae (C), Centrolenidae (Ct), Cycloramphidae (Cc), Dendrobatidae (Den),
Dicroglossidae (Di), Hylidae (Hyl), Hyperoliidae (Hyp), Leptodactylidae (Lep),
Leiopelmatidae (Lei), Limnodynastidae (Li), Mantellidae (Mn), Megophryidae (Mg),
Microhylidae (Mic), Myobatrachidae (My), Pipidae (Pip), Pyxicephalidae (Px), Ranidae
(Ran), Racophoridae (Rac), and Scaphiopodidae (Sca).
70
Fig. 2. Post-metamorphic anurans preyed by vertebrates. A) Adult Leptodactylus cf.
ocellatus preying upon a conspecific juvenile; B) Adult Liophis miliaris preying upon
an adult male Hypsiboas faber; C) a Calitryx penicilata eating an adult Hypsiboas
lundii; and D) an adult Trogon surrucura preying upon an adult Hypsiboas
albomarginatus.
Vertebrate predators
More than one hundred anuran species (n = 137), belonging to 16 families
(Brachycephalidae, Bufonidae, Ceratophryidae, Cycloramphidae, Dendrobatidae,
Dicroglossidae, Hylidae, Leiopelmatidae, Leptodactylidae, Mantellidae, Megophryidae,
Microhylidae, Pipidae, Pyxicephalidae, Ranidae, and Scaphiopodidae) were reported as
prey of 136 species from all main groups of vertebrates (Osteichthyes, Amphibia,
Reptilia, Aves, and Mammalia) (Fig. 2; Appendix I). Among them, snakes were the
most representative group, being referred to in about 45 % of the reports (Fig. 3).
A
A
)
)
B
B
)
)
C
C
)
)
D
D
)
)
71
0
10
20
30
40
50
Predations reported (%)
Osteichthyes
Anura
Caudata
Testudines
Sphaenodon
Sauria
Serpentes
Crocodylia
Aves
Mammalia
Main groups of vertebrate predators
Fig. 3. Percentage of the main vertebrate groups reported as post-metamorphic anuran
predators (data source = Appendix 1; N = 243).
We were able to divide the vertebrate predators into four categories:
I) Opportunistic predators: the ones who feed on anurans occasionally and
opportunistically. These predators are diet-generalist and prey on anurans when, once in
a while, they encounter them in nature. This is the largest group and made up about 42
% of the reports and is formed by fishes, salamanders, turtles, lizards, crocodilians, and
some species of birds and mammals (see also Poulin et al., 2001; Bueno et al., 2002;
Seamark & Bogdanowicz, 2002) (Fig. 2).
II) Convenience predators: they are not predators specialized on anurans, but
feed on them with regularity. In this case, the most representative predators are those
who exhibit similar habits to the anurans, facilitating their (predator-prey) encounters.
Examples are the anurans themselves (about 25 % of the reports; Fig. 2) and some bird
species (e.g., Geranospiza caerulescens) that forage in areas where the chances of
encountering anurans is greatly enhanced, such as margins of water bodies, gaps on tree
trunks, axils of bromeliads, and holes in the ground (e.g., Bokermann, 1978).
III) Temporary specialized predators: those who look specifically for anurans in
a determined phase of their life cycle or for a determined purpose. In this case we
included some snakes, such as some species of Bothrops that feed exclusively or
72
primarily on anurans when they are juveniles (Sazima, 1992; Hartmann et al., 2003;
Nogueira et al., 2003). Another example are some bird species, e.g., Trogon surrucura
and Pitangus sulphuratus that hunt for anurans to feed their nestlings (Toledo et al.,
2005; Fig. 2) or males of Baryphthengus martii that provide colourful anurans
(dendrobatids) to females as a courtship signal (Master, 1999). A third possibility in this
group is represented by those vertebrates that prey upon anurans in order to use their
skin toxins in their own defence (Brodie Jr., 1977). This is the smallest group, making
up less than 1 % of the reports.
IV) Specialized predators: this group is basically formed by some bat species,
e.g., Cardioderma cor and Megaderma spp., but mainly Trachops cirrhosus (Tuttle et
al., 1982; Tandler et al., 1996), and several snake species specialized in hunting
anurans, e.g., Chironius spp. and Liophis spp. (Duellman, 1978; Michaud & Dixon,
1989; Martins & Oliveira, 1999; Marques et al., 2001) (Fig. 2). Indeed, some snake
species exhibit preferences, occasionally together with morphological specializations,
for hunting species within a genus or a family. For example, the snakes Causus
rhombeatus, Waglerophis merremi, and Xenodon newiedii are specialized to hunt
Chaunus spp. or other bufonids that they may face (Vanzolini et al., 1980; Duellman &
Trueb, 1994; Marques et al., 2001). This category comprises approximately 31 % of the
reports.
Size relationships and predation tactics
In all reported predation events the vertebrate predators were larger than
anurans. Anurans were preyed even when they had a great amount of skin toxins (for
example, bufonids, Leptodactylus labyrinthicus, and L. pentadactylus) or highly toxic
skin secretions (e.g., Atelopus varius, Dendrobates auratus, Eupemphix nattereri, and
Phyllobates terribilis) (Appendix I).
Out of the 333 reported predations by invertebrates upon post-metamorphic
anurans, 34 were made by predators that did not use specialized tactics [Rs = 0.92 ±
0.31 (0.29 í 1.78)] and 299 by predators with specialized tactics [Rs = 1.52 ± 0.79 (0.30
í 5.00)]. These groups differed significantly between their Rs (t = 3,585.5; P < 0.0001),
suggesting that when the invertebrates exhibited specialized tactics they were practically
the same size as their preys (venomous predators) or smaller than their preys (social
73
foragers). On the other hand, when they were solitary non-venomous predators they
were relatively larger than their preys (Fig. 4).
A) Solitary non-venomous
0
1
2
3
4
5
012345
Log predator TL (mm)
Log anuran SVL (mm)
C) Social foragers
0
1
2
3
4
5
012345
Log predator TL (mm)
Log anuran SVL (mm)
0
1
2
3
4
5
012345
Log predator TL (mm)
Social
foragers
Venomous
Solitary
non-venomous
D)
B) Venom ous
0
1
2
3
4
5
012345
Log predator TL (mm)
Log anuran SVL (mm)
Fig. 4. Relationship between anuran snout-vent length (SVL) and the total length (TL)
of their respective invertebrate predators (data from Toledo, 2005). Predators are
divided into the following categories: A) solitary non-venomous (N = 34), B) venomous
(N = 132), and C) social foragers (N = 167). D) A schematic synthesis of the
relationships among all categories of invertebrate predator sizes and anuran sizes.
Only 34.11 % of the invertebrates were larger than their victims. The SVL of the
anurans was positively correlated with the TL of the solitary non-venomous (r = 0.64; P
< 0.001; n = 34) and venomous predators (r = 0.78; P < 0.001; n = 132), but not with
the social foragers (r = 0.13; P = 0.08; n = 167). Excluding the social foragers, the
larger the invertebrate, the smaller was the relative size of the captured prey (Fig. 3).
We did not find a significant correlation between the TL categories and the number of
74
families of anurans (r = -0.09; P = 0.83; n = 8) or the number of species that were
preyed upon (r = -0.41; P = 0.31; n = 8) (Table 1).
Table 1. Invertebrate total length (TL) classes and the respective number of anuran
families and species that were preyed upon.
TL classes in
mm (N)
Number of
anuran
families
Number of
anuran species
3 to 10 (172)
38
11 a 20 (32) 5 20
21 a 30 (36) 5 13
31 a 40 (30) 6 15
41 a 50 (4) 2 2
51 a 60 (15) 3 6
61 a 70 (35) 6 13
85 a 200 (9) 3 6
Discussion
Size relationships and predation tactics
McCormick & Polis (1982) observed, to a certain extent, a similar proportion
(45 %; n = 134) to that calculated in the present study (34 %; n = 333) of invertebrate
predators that were larger than their vertebrate preys. Besides this, accordingly with our
observations, it has also been reported an increase of the relative prey size with the
sociality level of the predator (for invertebrates see: McCormick & Polis, 1982; for
vertebrates see: McNab, 1983). Coincident observations among different predators and
prey groups (from small invertebrates to large vertebrates) suggest that these
relationships must be widespread in natural communities.
Without considering the social foragers, we observed that the larger the
invertebrate predator, the smaller is the relative prey size. This fact can be related to an
ontogenetic variation in the diet of the invertebrates (e.g., Cisneros & Rosenheim, 1997;
Koperski, 1997), which could be focused on more energetically valuable items in terms
of accessibility and/or subjugation facility (MacArthur & Pianka, 1966; Bennett, 1986).
That is, the larger the anuran, the larger its capacity to escape from a predator
(Formanowicz Jr. et al., 1981). Therefore, these predators would have a higher energetic
cost implied for searching, stalking, striking, and subduing (including killing and
75
ingesting) relatively larger prey. Another possibility would be an alteration in the
encounter rate of predators and preys in the wild due to differences of habits and density
among classes of size, both of the invertebrates and anurans (MacArthur & Pianka,
1966). Therefore, it would be more advantageous, in energetic terms, to hunt for
relatively smaller (Enders, 1975) and/or more accessible prey (Begon et al., 1990).
Nonetheless, as larger the anuran, the lower is the risk of invertebrate predation (present
study), and at a certain moment the anuran can become the predator of the invertebrate
(see discussion below).
Vertebrate predators were not included in this analysis; however, their inclusion
would only reinforce our correlations and comparisons since vertebrates that prey on
anurans are many times larger than their preys, are solitary hunters, and do not use traps
or poison (with only the exception of venomous snakes).
For hunting preys that are larger than they are, predators are commonly reported
to make use of specialized tactics (Hespenheide, 1973; Enders, 1975; McCormick &
Polis, 1982; present study). However, this does not exclude the availability of relatively
smaller prey to these predators (Enders, 1975). Consequently, predators that use these
tactics may capture a broader array of prey (with regard to size) when compared to
solitary non-venomous predators. Consecutively, it is possible that an increase in the
amplitude of prey sizes could allow a diversification (with regard to richness) of items
that could be captured. However, our results do not sustain these hypotheses, i.e., we
neither observed an increase in the amplitude of sizes of anurans that were captured
(Fig. 3b; 3c), nor an increase in the richness of dietary items (Table 1) with the
increment of predator body size (length). Therefore, we suggest that invertebrates could
be selecting their prey due to energetic restrictions involved in the predatory process of
searching, stalking, striking, or subduing (including killing and ingesting) (e.g., Brooks
& Dodson, 1965; Griffiths, 1975; 1980; Bennett, 1986).
Predators and defence
Studying snakes and their predators, Greene (1997) suggested that, since
endothermic predators (birds and mammals) have higher metabolic rates than
ectothermic ones (Randall et al., 2002), endothermic predators must ingest their prey at
a higher rate. Therefore, birds and mammals must input a greater selective pressure over
76
the defensive strategies than ectothermic predators, such as snakes. Even though it
could be true for anurans and their predators (it has never been tested), another factor
must be considered in this relation. Although snakes do not feed at the same rate that the
endothermics do, for example a single adult hawk is able to eat up to 18 adult anurans in
a four hour period (Bokermann, 1978), there is a much larger number of species and
individuals (independent of the species) of snakes that hunt occasionally, preferentially,
or specifically for anurans. In contrast, birds and mammals are occasional predators,
usually much more generalists (present study). Hence, if the relative abundance of
snakes is higher than that of other predators (e.g., birds and mammals), in a determined
area, in a determined time (the relative abundance of a predator group varies within
latitudinal ranges and within biomes: Greene, 1988), snakes should be considered the
main anuran predators. As a consequence, it is possible that snakes have been (or are
being) driving the diversification of the anuran defensive strategies (see discussion in
Vamosi, 2005). Similarly, spiders may play a significant role if invertebrates are taken
into account (see Toledo, 2005).
Another aspect that seems to influence the divergence and maintenance of a
specific defensive behaviour is the success in escaping from predators (Greene, 1988).
I.e., predators that have commonly hunted anuran species, except anurans who present
successful defences, are those who are driving the evolution of such mechanisms
(Greene, 1988). This hypothesis is intuitive when considering anuran communities,
since we have few experimental and field approaches that corroborate or reject it (e.g.,
Formanowicz Jr. et al., 1981; Heinen, 1995; Heinen & Hammond, 1997; Leary &
Razafindratsita, 1998). However, if it is truth for anurans, not all snakes and spiders
species are those who are driving the evolution of defensive mechanisms in anurans, but
some of them, or even other group of species. All these suggestions still need
clarification by means of field observations, experimentation, and broader analysis.
Most of the Eleutherodactylus and Craugastor species (which represents the
majority of the species in the family Brachycephalidae) occurs spread on the forest floor
(persn. obs.), have cryptic colorations, and are very polymorphic (Hoffman & Boulin,
2000; Sander et al., 2003). In contrast, aposematic and toxic Brachycephalus species
can be found in very high densities distributed in a patch pattern on the forest floor.
Some of the cryptic species of Brachycephalus, such as B. nodoterga, can be found
77
spread on the forest floor like Eleutherodactylus spp. and Craugastor spp. (persn. obs.).
Hence, these morpho-ecological characteristics may efficiently prevent individuals of
this family to be preyed. However, we do not exclude the possibility of their cryptic and
distributional characteristics to difficult field observations of predation. Microhylids
were also preyed less than expected. Most of microhylids are fossorial and explosive
breeders, emerging from their galleries few days a year (Duellman & Trueb, 1994).
Therefore, it would again explain the few numbers of predation accounts. The scenery
for the other families that were not included in the confidence interval may change with
additional predation reports and species descriptions.
Cross predation, cannibalism, and threats
Although anurans are preyed on by practically any kind of animal, we observed
countless reports that leads us to suggest status inversion, i.e., from being prey they
become predators when the size relationship becomes more favourable for the anurans.
Stomach content studies provide many examples of anurans feeding primarily on small
invertebrates (Pough et al., 1998). Nevertheless, large-sized anurans, such as Conraua
goliath, Ceratophrys, some Leptodactylus, Pyxicephalus, and Lithobates spp. can prey
upon several types of vertebrates (Duellman and Trueb, 1994). Lithobates catesbeianus,
for example, has already been reported feeding on fish (Cross & Gerstenberger, 2002),
turtles (Graham, 1984), snakes (Carpenter et al., 2002; Rorabaugh & Humphrey, 2002),
birds (Black, 1974), bats (Kirkpatrick, 1982), mice, minks (Beringer & Johnson, 1995),
and other anurans, including conspecific individuals (references in Appendix I; Fig. 2a).
Cannibalism is reported essentially among species of Lithobates (Stuart & Painter,
1993; Rombough et al., 2003; Appendix I), yet there is no evidence that conspecifics
are able to recognize themselves, being cannibalism only an opportunistic form of
predation (Duellman & Trueb, 1994). In this way, alien populations of Lithobates
catesbeianus, introduced generally by frog farms, represent a strong threat to native
vertebrate populations, but primarily for anuran populations (Batista, 2002; Borges-
Martins & Di-Bernardo, 2002; Kats & Ferrer, 2003), since they are highly voracious
convenience predators (sensu present study).
Another important anuran predator is the human being. Although the effects of
hunting are relatively unknown, there is evidence of human impact over some
78
populations or species (Schlaepfer et al., 2005), leading some of them to noticeable
decline or even to extinction (Beebee, 1996; Collins & Storfer, 2003). Humans hunt for
anurans essentially with three objectives: I) for exhibitions and pets, II) science or
education, and III) for skin and meat supply. The latter is most intense over large
anurans, occurs all over the world, and should be the most impacting (Beebee, 1996).
As examples of species that have been hunted for human feeding we can list: Conraua
goliath (Africa), Rana draytonii, Lithobates catesbeianus (North America),
Leptodactylus fallax, L. labyrinthicus, L. ocellatus, L. pentadactylus (Central and South
America), Hoplobatrachus rugulosus (Asia), and Rana temporaria (Europe) (Beebee,
1996; Collins & Storfer, 2003; AmphibiaWeb, 2005; Zina & Haddad, 2005; L. F.
Toledo & C. F. B. Haddad, unpubl. data).
Finally, we believe that our study, rather than a closing review of the subject
must be considered as a starting point for future research clarifying several aspects of
natural history of vertebrates (specially anurans), mainly aspects related to predation,
defence and conservation. Our results may also help in studies of communities of
predators, specially those involving size-relationship analyses.
Acknowledgements
Anne d’Heursel, and Cynthia Prado for discussing earlier drafts of the
manuscript; Harry W. Greene reviewed and made valuable comments on the
manuscript; Rogério P. Bastos for providing unpublished data; Rodrigo Lingnau for
providing some old references; Christine Strüssmann, Marcio Martins, Gustavo Canale
and Germano Wohel Jr. for providing pictures of L. cf. ocellatus, H. faber, H. lundii,
and H. albomarginatus, respectively; FAPESP (BIOTA proc. no. 01/13341-3) and
CNPq for grants to the Herpetology Lab; CAPES and CNPq for scholarships; Idea Wild
and Neotropical Grassland Conservancy for the donation of equipment.
79
References
Abbadié-Bisogno, K., Oliver-López, L. & Ramírez-Bautista, A. (2003). Thamnophis
cyrtopsis collaris (Black-necked Garter Snake). Diet. Herpetol. Rev. 34: 74.
Albuquerque, N. R. & Di-Bernardo, M. (2005). Leptophis ahaetulla marginatus
(Southern Green Parrot Snake). Diet. Herpetol. Rev. 36: 325.
AmphibiaWeb. (2005). AmphibiaWeb: Information on amphibian biology and
conservation. Berkeley, California: Available at:
http://elib.cs.berkeley.edu/aw/declines/exploitation.html (Accessed: 03/2005).
Applegate, R. D. (1990). Rana catesbeianus, Rana palustris (Bullfrog, Pickerel Frog).
Predation. Herpetol. Rev. 21: 90-91.
Aresco, M. J. & Reed, R. N. (1998). Rana capito sevosa (Dusky Gopher Frog).
Predation. Herpetol. Rev. 29: 40.
Arnold, S. J. & Halliday, T. (1986). Hyla regilla (Pacific Treefrog). Predation. Herp.
Rev. 17: 44.
Avila, L. J. & Morando, M. (1998). Bothrops ammodytoides (Yarará ñata, Patagonian
Lancehead). Prey. Herpetol. Rev. 29: 169.
Ávila, R. W. (2005). Scinax nasicus (Lesser Snouted Treefrog). Predation. Herpetol.
Rev. 36: 308.
Bakkegard, K. A. & Greene, M. P. (2002). Heterodon platirhinos (Eastern Hognose
Snake). Diet. Herptol. Rev. 33: 314-315.
Batista, C. G. (2002). Rana catesbeianus (Bullfrog). Effects on native anuran
community. Herpetol. Rev. 33: 131.
Beane, J. C. (1990). Rana palustris (Pickerel Frog). Predation. Herpetol. Rev. 21: 59.
Beane, J. C. & Pusser, L. T. (2005). Bufo terrestris (Southern Toad). Diet and scavening
behavior. Herpetol. Rev. 36: 432.
Beebee, T. J. C. (1996). Ecology and conservation of amphibians. London: Chapman
and Hall.
Begon, M., Harper, J. L. & Townsend, C. R. (1990). Ecology: individuals, populations,
and communities. 2nd ed. Cambridge: Blackwell Scientific Publications.
80
Bennett, A. F. (1986). Measuring behavioral energetics. In Predator-prey relationships:
perspectives and approaches from the study of lower vertebrates: 69-81. Feder, M.
E. & Lauder, G. V. (Eds.) Chicago and London: University of Chicago Press.
Beringer, J. & Johnson, T. R. (1995). Rana catesbeianus (Bullfrog). Diet. Herpetol.
Rev. 26: 98.
Bezerra, A. M. R. (1998). Physalaemus nattereri (NCN). Predation. Herpetol. Rev. 29:
98.
Black, J. H. (1974). Bullfrog eating a bird. Herpetol. Rev. 5: 104.
Blazquez, M. C. (1996). Nerodia valida (Pacific Water Snake). Prey. Herpetol. Rev. 27:
83-84.
Bokermann, W. C. A. (1978). Observações sobre hábitos alimentares do gavião
Geranospiza caerulescens (Vieillot, 1817) (Aves, Accipitridae). Rev. Bras. Biol. 38:
715-720.
Bolek, M. G. & Janvy Jr, J. (2004). Rana blairi (Plains Leopard Frog). Prey. Herpetol.
Rev. 35: 262.
Bombough, C. J., Chastain, J., Schwab, A. H. & Hayes, M. P. (2005). Rana boylii
(Foothill Yellow-legged Frog). Predation. Herpetol. Rev. 36: 438-439.
Borges-Martins, M. & Di-Bernardo, M. (2002). Geographic distribuition. Rana
catesbeianus (American Bullfrog). Herpetol. Rev. 33: 319.
Braid, M. R., Butler, K. N., Blankenship III, A. F., & Cantley, A. S. (2000). Rana
capito sevosa (Dusky Gopher Frog). Metamorph captures. Herpetol. Rev. 31: 101-
102.
Briggler, J. T. (2000). Rana utricularia (Southern Leopard Frog). Predation. Herpetol.
Rev. 31: 171.
Brodie Jr., E. D. (1977). Hedgehogs use toad venom in their own defence. Nature 268:
627-628.
Brodie Jr., E. D. & Formanowicz Jr., D. R. (1981). Palatability and antipredator
behavior of the treefrog Hyla versicolor to the shrew Blarina brevicauda. J.
Herpetol. 15: 235-236.
Brodie III, E. D. & Brodie Jr., E. D. (1999a). Costs of exploiting poisonous prey:
evolutionary trade-offs in a predatory-prey arms race. Evolution 53: 626-631.
81
Brodie III, E. D. & Brodie Jr., E. D. (1999b). Predator-prey arms races. Asymmetrical
selection on predators and prey may be reduced when prey are dangerous.
BioScience 49: 557-568.
Brooks, J. L. & Dodson, S. I. (1965). Predation, body size, and composition of
plankton. Science 150: 28-35.
Bueno, A. A., Belentani, S. C. S. & Motta-Junior, J. C. (2002). Feeding ecology of the
maned wolf, Chrysocyon brachyurus (Illiger, 1815) (Mammalia: Canidae), in the
ecological station of Itirapina, São Paulo state, Brazil. Biota Neotropica 2: 1-9.
Canale, G. & Lingnau, R. (2003). Hyla biobeba (NCN). Predation. Herpetol. Rev. 34:
136.
Carpenter, N. M., Casazza, M. L. & Wylie, G. D. (2002). Rana catesbeianus (Bullfrog).
Diet. Herpetol. Rev. 33: 130.
Carvalho, A. L. (1941). Observações sobre casos de batracofagia entre as aves. Mem.
Inst. Oswaldo Cruz 35: 575-576.
Castanho, L. M. (1996). Phyllomedusa distincta (Leaf-Frog). Predation. Herpetol. Rev.
27: 141.
Caudell, J. N., James, B. & Lawie, P. (2000). Boiga irregularis (Brown Tree Snake).
Predation. Herpetol. Rev. 31: 245.
Cintra, R. (1988). Bufo marinus (Marine Toad). Predation. Herpetol. Rev. 19: 82.
Cintra, R. & Sanaiotti, T. M. (1990). Osteocephalus taurinus (Treefrog). Predation.
Herpetol. Rev. 21: 59.
Cisneros, J. J., Rosenheim, J. A. (1997). Ontogenetic change of prey preference in the
generalist predator Zelus renardii and its influence on predator-predator
interactions. Ecol. Entomol. 22: 399-407.
Cochran, P. A. (1999). Rana sylvatica (Wood Frog). Predation. Herpetol. Rev. 30: 94.
Cochran, P. A. & Cochran, J. A. (2003). Pseudacris crucifer (Spring Peeper). Predation.
Herpetol. Rev. 34: 360.
Cochran, P. A. (1982). Rana pipiens (Leopard Frog). Predation. Herpetol. Rev. 13: 45-
46.
Collins, J. P. & Storfer, A. (2003). Global amphibian declines: sorting hypothesis.
Divers. Distrib. 9: 89-98.
82
Cook, D. (2002). Rana aurora draytonii (California Red-legged Frog). Predation.
Herpetol. Rev. 33: 303.
Costa, G. C., Mesquita, D. O. & França, F. G. R. (2005). Crocodilus amazonicus
(Jacarerana). Diet. Herpetol. Rev. 36: 174-175.
Crayon, J. J. (1998). Rana catesbeianus (Bullfrog). Diet. Herpetol. Rev. 29: 232.
Crayon, J. J. & Hothem, R. L. (1998). Xenopus laevis (African Clawed Frog).
Predation. Herpetol. Rev. 29: 165-166.
Cross, C. L. (2002). Agkistrodon piscivorus piscivorus (Eastern Cotton-mouth). Diet.
Herpetol. Rev. 33: 55-56.
Cross, C. L. & Gerstenberger, S. L. (2002). Rana catesbeianus (American Bullfrog).
Diet. Herpetol. Rev. 33: 129-130.
Cuello, M. E., Jara, F. & Vidoz, Q. (2005). Atelognathus patagonicus (NCN).
Predation. Herpetol. Rev. 36: 298.
Das, I. & Tuen, A. A. (2005). Rabdophis murudensis (Gunung Murud Keelback). Diet.
Herpetol. Rev. 36: 71.
Dodd Jr., C. K. (1976). A bibliography of anuran defensive mechanisms. Smith.
Herpetol. Inform. Serv. 37: 1-10.
Duellman, W. E. (1978). The biology of an equatorial herpetofauna in Amazonian
Ecuador. Univ. Kans. Mus. Nat. Hist. Misc. Publ. 65: 1–352.
Duellman, W. E. & Trueb, L. (1994). Biology of amphibians. 2nd ed. Baltimore and
London: John Hopkins University Press.
Enders, F. (1975). The influence of hunting manner on prey size, particularly in spiders
with long attack distances (Araneidae, Linyphidae, and Salticidae). Am. Nat. 109:
737-763.
Ervin, E. L. & Fisher, R. N. (2001). Thamnophis hammondii (Two-striped Garter
Snake). Prey. Herpetol. Rev. 32: 265-266.
Ervin, E. L., Fisher, R. N. & Madden, K. (2000). Hyla cadaverina (California
Treefrog). Predation. Herpetol. Rev. 31: 234.
Faivovich, J., Haddad, C. F. B., Garcia, P. C. A., Frost, D. R., Campbell, J. A., Wheller,
W. C. (2005). Systematic review of the frog family Hylidae, with special reference
to Hylinae: phylogenetic analysis and taxonomic revision. Bull. Am. Mus. Nat. Hist.
294: 1-240
83
Fearn, S. (2003). Pseudechis porphyriacus (Red-bellied Black Snake). Diet. Herpetol.
Rev. 34: 253-254.
Feldman, C. R. & Wilkinson, J. A. (2000). Rana mucosa (Mountain Yellow-legged
Frog). Predation. Herpetol. Rev. 31: 102.
Fellers, G. M. & Wood, L. L. (2004). Rana aurora draytonii (California Red-legged
Frog). Predation. Herpetol. Rev. 35: 163.
Feltrim, A. C. & Cechin, S. T. Z. (2000). Helicops infrataeniatus (NCN). Diet.
Herpetol. Rev. 31: 46.
Fong, A. (2004). Antillophis andreade (Black and White Racer, Jubito). Diet. Herpetol.
Rev. 35: 57.
Formanowicz Jr., D. R., Stewart, M. M., Townsend, K., Pough, F. H. & Brussard, P. F.
(1981). Predation by Giant Crab Spiders on the Puerto Rican frog Eleuterodactylus
coqui. Herpetologica 37: 125-129.
Froese, R. & Pauly, D. (2004). FishBase. World Wide Web electronic publication.
www.fishbase.org, version (11/2004).
Frost, D. R. (2004). Amphibian Species of the World: an Online Reference. Version 3.0.
Electronic Database accessible at
http://research.amnh.org/herpetology/amphibia/index.html. New York: American
Museum of Natural History.
Frost, D. R., Grant, T., Faivovich, J., Bain, R. H., Haas, A., Haddad, C. F. B., Sá, R. O.,
Channing, A., Wilkinson, M., Donnellan, S. C., Raxworthy, C. J., Campbell, J. A.,
Blotto, B. L., Moler, P., Drews, R. C., Nussbaum, R. A., Lynch, J. D., Green, D. M.
& Wheeler, W. C. (2006). The amphibian tree of life. Bull. Am. Mus. Nat. Hist. 297:
1-371.
Garrett, C. M. & Boyer, D. M. (1993). Bufo marinus (Cane Toad). Predation. Herpetol.
Rev. 24: 148.
Garwood, J. M. & Welsh Jr., H. H. (2005). Rana cascade (Cascades Frog). Predation.
Herpetol. Rev. 36: 165.
Geffeney, S., Brodie Jr., E. D. & Brodie III, E. D. (2002). Mechanisms of adaptation in
a predator-prey arms race: TTX-resistant sodium channels. Science 297: 1336-1339.
Giaretta, A. A. & Nunes, R. (1997). Cycloramphus boraceiensis (Flattened Waterfall
Frog). Predation. Herpetol. Rev. 28: 199-200.
84
Gorzula, S. J. (1977). The ecology of the Spectacled Caiman in the Venezuelan
Guayana. Herpetol. Rev. 8: 9.
Graham, T. E. (1984). Pseudemys rubriventris (Red-bellied-turtle). Predation. Herpetol.
Rev. 15: 19-20.
Greene, H. W. (1988). Antipredator mechanisms in reptiles. In Biology of the Reptilia:
1-151. Gans, C. & Huey, R. B. (Eds.) New York: Alan R. Liss.
Greene, H. W. (1997). Snakes: The Evolution of Mystery in Nature. Berkeley:
University of California Press.
Griffin, P. C. & Case, T. J. (2002). Bufo californicus (Arroyo Toad). Predation.
Herpetol. Rev. 33: 301.
Griffiths, D. (1975). Prey availability and the food of predators. Ecology 56: 1209-1214.
Griffiths, D. (1980). Foraging costs and relative prey size. Am. Nat. 116: 743-752.
Grismer, J. L. (2000). Thamnophis validus celano (Baja California Garter Snake). Diet.
Herpetol. Rev. 31: 106.
Guimarães, L. D., Pinto, R. M. & Juliano, R. F. (2004). Bufo granulosus (NCN).
Predation. Herpetol. Rev. 35: 259.
Guix, J.C. (1993). Predación de ejemplares adultos de Bufo spp. por mamíferos, en el
sudeste de Brasil. Rev. Esp. Herpetol. 4: 23-25.
Haddad, C. F. B. & Bastos, R. P. (1997). Predation on the toad Bufo crucifer during
reproduction (Anura; Bufonidae). Amphibia-Reptilia 18: 295-298.
Haddad, C. F. B. & I. Sazima. 1992. Anfíbios anuros da Serra do Japi. Pp: 188-210. In
Morelato, P. (ed.). História natural da Serra do Japi.
Hartmann, P. A., Hartmann, M. T. & Giasson, L. O. M. (2003). Uso de hábitat e
alimentação em juvenis de Bothrops jararaca (Serpentes, Viperidae) na Mata
Atlântica do sudeste do Brasil. Phyllomedusa 2: 35-41.
Harvey, M. A., Morrison, C. & Hero, J. M. (1999). Litoria lesueuri (Stony Creek Frog).
Predation. Herpetol. Rev. 30: 162-163.
Hayes, M. P. & Rombough, C. (2004). Rana aurora (Northern Red-legged Frog).
Predation. Herpetol. Rev. 35: 375-376.
Hayes, M. P., Rombough, C. J., Hayes, M. P. & Engler, J. D. (2005). Rana pretiosa
(Oregon Spotted Frog). Predation. Herpetol. Rev. 36: 307.
85
Hays, M. P. & Warner, J. (1985). Rana catesbeianus (Bullfrog). Food. Herpetol. Rev.
16: 109.
Hedstrom, I. & Bolaños, F. (1986). Dendrobates auratus (Poison Arrow Frog).
Predation. Herpetol. Rev. 17: 88-89.
Heinen, J. T. (1995). Predator cues and prey responses: a test using Eastern Garter
Snakes (Thamnophis s. sirtalis) and American Toads (Bufo a. americanus). Copeia
3: 738-741.
Heinen, J. T. and G. Hammond. (1997). Antipredator behaviors of newly
metamorphosed Green Frogs (Rana clamitans) and Leopard Frogs (R. pipiens) in
encounters with eastern snakes (Thamnophis s. sirtalis). Am. Mid. Nat. 137: 136-
144.
Henderson, R. W. & Berg, C. S. (2005). Thecadactylus rapicauda (Turnip-tail Gecko).
Diet. Herpetol. Rev. 36: 454.
Hespenheide, H. A. (1973). Ecological inferences from morphological data. An. Rev.
Ecol. Syst. 4: 213-229.
Heying, H. E. (2001). Mantella laevigata (Climbing Mantella). Aborted predation.
Herpetol. Rev. 32: 34.
Hinshaw, S. H. & Sullivan, B. K. (1990). Predation on Hyla versicolor and Pseudacris
crucifer during reproduction. J. Herpetol. 24: 196-197.
Hoffman, E. A. & Blouin, M. S. (2000). A review of colour and pattern polymorphisms
in anurans. Biol. J. Linn. Soc. 70: 633-665.
Hovey, T. E. & Ervin, E. L. (2005). Pseudacris cadaverina (California Treefrog).
Predation. Herpetol. Rev. 36: 304-305.
Jansen, K. P. (1997). Osteopilus septentrionalis (Cuban Treefrog). Predation. Herpetol.
Rev. 28: 147-148.
Jensen, J. B. (2000). Rana capito (Gopher Frog). Predation. Herpetol. Rev. 31: 42.
Jones, D., Simandle, E. T., Tracy, C. R. & Hobbs, B. (2003). Bufo nelsoni (Amargosa
Toad). Predation. Herpetol. Rev. 34: 229.
Jones, M. S. & Stiles, B. (2000). Bufo boreas (Boreal Toad). Predation. Herpetol. Rev.
31: 99.
Jones, M. S., Goettl, J. P. & Livo, L. J. (1999). Bufo boreas (Boreal Toad). Predation.
Herpetol. Rev. 30: 91.
86
Karraker, N. E. (2001). Ascaphus truei (Tailed Frog). Predation. Herpetol. Rev. 32: 100.
Kats, L. B. & Ferrer, R. P. (2003). Alien predators and amphibian declines: review of
two decades of science and the transition to conservation. Diversity and
Distributions 9: 99–110.
Kirkpatrick, R. D. (1982). Rana catesbeianus (Bullfrog). Food. Herpetol. Rev. 13: 17.
Kluge, A. G. (1981). The life history, social organization, and parental behavior of Hyla
rosenbergi Boulenger, a nest building gladiator frog. Misc. Publ. Mus. Zool. Univ.
Michigan 160: 1-170.
Kokubum, M. N. C. & Giaretta, A. A. (2002). Leptodactylus fuscus (NCN). Predation.
Herpetol. Rev. 33: 47.
Kokubum, M. N. C. & Rodrigues, A. P. (2005). Leptodactylus ocellatus (Rã-manteiga).
Cannibalism. Herpetol. Rev. 36: 303.
Kokubum, M. N. C. & Zacca, W. (2003). Physalaemus cf. fuscomaculatus (NCN).
Predation. Herpetol. Rev. 34: 232-233.
Koperski, P. (1997). Changes in feeding behaviour of the larvae of the damselfly
Enallagma cyathigerum in response to stimuli from predators. Ecol. Entomol. 22:
167-175.
Kopij, G. (1998). Diet of Whitebreasted Cormorant Phalacrocorax carbo nestlings in
the south-eastern Free State, South Africa. S. Afr. J. wild. Res. 28: 100-102.
Kopp, K. & Wachlevski, M. (2005). Thamnodynastes strigatus (NCN). Diet. Herpetol.
Rev. 36: 71-72.
Krishna, S. & Vijayalaxmi, K. K. (2004). Bufo parietalis (Forest Toad). Predation.
Herpetol. Rev. 35: 156-157.
Leary, C. J. and V. R. Razafindratista. (1998). Attempt predation on a hylid frog,
Phrynohyas venulosa, by an Indigo Snake, Drymarchon corais, and the response of
conspecific frogs to distress calls. Amphibia-Reptilia 19: 442-446.
Lepage, D. (2005). Avibase: the world bird database. http://www.bsc-
eoc.org/avibase/avibase.jsp?lang=ENandpg=home.
Ligon, D. B. & Stone, P. A. (2003). Kinosternon sonoriense (Sonoran Mud Turtle) and
Bufo punctatus (Red-spotted Toad). Predator-Prey. Herpetol. Rev. 34: 241.
Lodé, T. (1996). Polecat predation on frogs and toads at breeding sites in western
France. Ethol. Ecol. Evol. 8: 115-124.
87
Lopez, M. S. (2003). Philodryas patagoniensis. Diet. Herpetol. Rev. 34: 71-72.
Lopez, M. S., Giraudo, A. R. & Arzamendia, V. (2003). Leptophis ahaetulla
marginatus (Southern Green Parrot-Snake). Diet. Herpetol. Rev. 34: 68-69.
Love, W. B. (1995). Osteopilus septenrionalis (Cuban Treefrog). Predation. Herpetol.
Rev. 26: 201-202.
MacArthur, R. H. & Pianka, E. R. (1966). On optimal use of a patchy environment. Am.
Nat. 100: 603-609.
Macedo-Bernarde, L. C. & Bernarde, P. S. (2005). Bothrops atrox (Common
Lancehead). Diet. Herpetol. Rev. 36: 456.
Machado, L. L. & Galdino, C. A. B. (2005). Hyla alvarengai (NCN). Predation.
Herpetol. Rev. 36: 301.
Maclay, B. K., Hunter, M. A. & Hayes, M. P. (2004). Thamnophis sirtalis concinnus
(Red-spotted Garter Snake). Predation. Herpetol. Rev. 35: 74-75.
Marques, O. V. A., Eterovick, A. & Endo, W. (2001). Seasonal activity of snakes in the
Atlantic forest in southeastern Brazil. Amphibia-Reptilia 22: 103-111.
Martins, I. & Duarte, M. R. (2003). Physalaemus nattereri (NCN). Predation. Herpetol.
Rev. 34: 233.
Martins, M. & Oliveira, M. E. (1999 – dated 1998). Natural history of snakes in forests
of the Manaus region, Central Amazonia, Brazil. Herpetol. Nat. Hist. 6: 78-150.
Martins, M., Sazima, I. & Egler, S. G. (1993). Predators of the nest building Gladiator
Frog, Hyla faber, in southeastern Brazil. Amphibia-Reptilia 14: 307-309.
Master, T. L. (1998). Dendrobates auratus (Black-and-Green Poison Dart Frog).
Predation. Herp. Rev. 29: 164-165.
Master, T. L. (1999). Predation by rufous motmot on Black-and-Green Poison Dart
Frog. Wilson Bull. 111: 439-440.
McCoid, M. J., Guthery, F. S. Kopp, S. & Howard, R. (1999). Scaphiopus holbrooki
hurterii (Hurter’s Spadefoot). Predation. Herpetol. Rev. 30: 94.
McCormick, S. & Polis, G. A. (1982). Arthropods that prey on vertebrates. Biol. Rev.
57: 29-58.
McIntyre, P. & Ramanamanjato, J. B. (1999). Ptychadena mascareniensis
mascareniensis (NCN). Diet. Herpetol. Rev. 30: 223.
88
McNab, B. K. (1983). Ecological and behavioral consequences of adaptation to various
food resources. In Advances in the study of mammalian behavior: 664-697.
Eisenberg, J. F. and Kleiman, D. G. (Eds.) Shippensburg: The American Society of
Mammalogists.
Michaud, E. J. & Dixon, J. R. (1989). Prey items of 20 species of the Neotropical
colubrid snake genus Liophis. Herpetol. Rev. 20: 39-41.
Menin, M. (2005). Bufo proboscideus (NCN). Predation. Herpetol. Rev. 36: 299.
Menin, M., Rodrigues, D. J. & Azevedo, C. S. 2005. Predation on amphibians by
spiders (Arachnida, Araneae) in the Neotropical region. Phyllomedusa 4: 39-47.
Mora, J. M. (1999). Leptodeira annulata (Culebra Destñida, Banded Cat-eyed Snake).
Diet. Herpetol. Rev. 30:102.
Myers, C. W., Daly, J. W., & Malkin, B. (1978). A dangerously toxic new frog
(Phyllobates) used by Emberá indians of western Colombia, with discussion of
blowgun fabrication and dart poisoning. Bull. Am. Mus. Nat Hist. 161: 307-366.
Nascimento, L. B., Caramaschi, U. & Cruz, C. A. G. (2005). Taxonomic review of the
species groups of the genus Physalaemus Fitxinger, 1826 with revalidation of the
genera Engystomops Jiménez-de-la-Espada, 1872 and Eupemphix Steindachner,
1863 (Amphibia, Anura, Leptodactylidae). Arq. Mus. Nac. 63: 297-230.
Newman, D. G. (1977). Some evidence of the predation of Hamilton’s frog (Leiopelma
hamiltoni (McCulloch)) by Tuatara (Sphaenodon punctatus (Grey)) on Stephens
Island. Proc. New Zeal. Ecol. Soc. 24: 43-47.
Nogueira, C., Sawaya, R. J. & Martins, M. (2003). Ecology of the pitviper, Bothrops
moojeni, in the Brazilian Cerrado. J. Herpetol. 37: 653–659.
Olson, D. H. (1989). Predation on breeding Western Toads (Bufo boreas). Copeia 2:
391-397.
Palis, J. G. (2000). Scaphiopus holbrookii (Eastern Spadefoot). Predation. Herpetol.
Rev. 31: 42-43.
Pauwels, O. S. G. (2002). Limnonectes limnocharis (Paddy Frog). Predation. Herpetol.
Rev. 33: 126.
Pearl, C. A. (2000). Bufo boreas (Western Toad). Predation. Herpetol. Rev. 31: 233-
234.
89
Pilliod, D. S. (1999). Rana luteiventris (Columbia Spotted Frog). Cannibalism.
Herpetol. Rev. 30: 93.
Pough, F. H., Andrews, R. M., Cadle, J. E., Crump, M. L., Savitzky, A. H. & Wells, K.
D. (1998). Herpetology. New Jersey: Prentice Hall.
Pough, F. H., Heiser, J. B. & McFarland, W. N. (1990). Vertebrate Life. 3rd ed. New
York: Macmaillan Publishing Company.
Poulin B., Lefebvre G., Ibanez R., Jaramillo C., Hernandez C. & Rand A. S. (2001).
Avian predation upon lizards and frogs in a Neotropical forest understorey. J. Trop.
Ecol. 17: 21-40.
Prado, C. P. A. (2003). Leptodactylus chaquensis (NCN), Pseudis paradoxa (Paradox
Frog), and Phrynohyas venulosa (Veined Treefrog). Predation. Herpetol. Rev. 34:
231-232.
Prado, C. P. A., Toledo, L. F. Zina, J. & Haddad, C. F. B. (2005). Trophic eggs in the
foam nests of Leptodactylus labyrinthicus (Anura, Leptodactylidae): an
experimental approach. Herpetol. J. 15: 279-284.
Randall, D. J., Burggren, W. W., French, K. & Fernald, R. (2002). Eckert’s Animal
Physiology. 5th ed. New York: W. H. Freeman.
Reaser, J. K. & R. E. Dexter. (1996). Rana pretiosa (Spotted Frog). Predation. Herpetol.
Rev. 27: 75.
Roberts, W. E. (1997a). Leptodactylus pentadactylus (Rana Ternero, Smoky Frog).
Predation. Herpetol. Rev. 28: 84-85.
Roberts, W. E. (1997b). Rana pretiosa (Spotted Frog). Predation. Herpetol. Rev. 28: 86.
Rocha, C. F. D., Vrcibradic, D. & Sluys, M. V. (1999). Chironius multiventris foveatus
(NCN). Prey. Herpetol. Rev. 30: 99-100.
Rodrigues, A. P. & Filho, J. C. O. (2004). Physalaemus nattereri (NCN). Attempted
predation. Herpetol. Rev. 35: 160-161.
Rodríguez-Robles, J. A. & Leal, M. (1993). Alsophis portoricensis (Puerto Rican
Racer). Diet. Herpetol. Rev. 24: 150-151.
Rombough, C. J., Jordan, D. J. & Pearl, C. A. (2003). Rana cascade (Cascade Frog).
Cannibalism. Herpetol. Rev. 34: 138.
Romero, F. R., Andreu, G. C. & Gonzalez, L. L. (2003). Thamnophis scalaris (Mexican
Alpine Blotched Garter Snake). Diet. Herpetol. Rev. 34:
75.
90
Rorabaugh, K. A. K. & Humphrey, J. A. (2002). Rana catesbeianus (Bullfrog). Diet.
Herpetol. Rev. 33: 130-131.
Russell, M. J., Ample, M. & Strieby, A. (1999). Scinax elaeochroa (NCN). Predation.
Herpetol. Rev. 30: 38.
Ryan, M. J. (1985). Costs of reproduction: predation. In The Túngara Frog: a study in
sexual selection and communication: 163-185. Ryan, M. J. (Ed.) Chicago and
London: The university of Chicago Press.
Ryberg, W. A. & Dayton, G. H. (2004). Scaphiopus couchii (Couch’s Spadefoot).
Predation. Herpetol. Rev. 35: 263.
Sander, J. M., Germano, J. M., Powell, R. & Henderson, R. W. (2003). Colour and
pattern polymorphism in Eleutherodactylus johnstonei on Grenada. Herp. Bull. 83:
22-25.
Santos, S. A., Stoll, M. N., Pinheiro, M. S., Campos, Z., Magnusson, W. E. & Mourão,
G. (1996). Diets of Caiman crocodilus yacare from different habitats in the
Brazilian Pantanal. Herpetol. J. 6: 111-117.
Sazima, I. (1992). Natural history of jararaca pitviper, Bothrops jararaca in
southeastern Brazil. In Biology of the Pitvipers: 199-216. Campbell, J. A. & Brodie
Jr., E. D. (Eds.). Tyler (Texas): Selva.
Schlaepfer, M. A., Hoover, C. & Dodd Jr., C. K. (2005). Challenges in evaluating the
impact of the trade in amphibians and reptiles on wild populations. BioScience 55:
256-264.
Seamark, E. C. J. & Bogdanowicz, W. (2002). Feeding ecology of the common Slit-
faced Bat (Nycteris thebaica) in KwaZulu-Natal, South Africa. Acta Chiropterol. 4:
49-54.
Silva Jr., N. J., Souza, I. F., Silva, W. V. & Silva, H. L. R. (2003). Liophis poecilogyrus
(Trash-snake). Diet. Herpetol. Rev. 34: 69-70.
Silva Jr., N. J., Souza, I. F., Silva, W. V., Ribeiro, R. S., Costa, M. C., Valle, N. C. &
Silva, H. L. R. 2003. Helicops angulatus (Water-snake). Diet. Herpetol. Rev. 34: 68.
Silva, J. S. B. & Hillesheim, R. (2004). Tupinambis merianae (Tegu). Diet. Herpetol.
Rev. 35: 399.
Silva, V. X. & Rodrigues, M. T. (2001). Xenodon neuwiedii (Quiriripitá). Diet.
Herpetol. Rev. 32: 188.
91
Silva, W. V., Silva, H. L. R. & N. J. Silva Jr. (2003). Leptodactylus labyrinthicus
(Labyrinth Frog). Diet. Herpetol. Rev. 34: 359.
Smith, M. A. & Green, D. M. (2005). Bufo fowleri (Flowler’s Toad). Predation.
Herpetol. Rev. 36: 159-160.
Simons, L. H. (1998). Rana cascade (Cascades Frog). Predation. Herpetol. Rev. 29:
232.
Smith, M. A. & Green, D. M. (2002). Bufo fowleri (Fowler’s Toad). Predation.
Herpetol. Rev. 33: 125.
Solé, M., Pelz, B. & Kwet, A. (2004). Hyla faber (Smith Frog). Diet. Herpetol. Rev. 35:
159.
Souza, I. F., Ribeiro, R. S. & Silva Jr., N. J. (2002). Tupinambis teguixim (Teiú, Tegu).
Diet. Herpetol. Rev. 33: 209.
Souza, I. F., Ribeiro, R. S. & Silva Jr., N. J. (2003). Thamnodynastes strigatus
(Corredeira). Diet. Herpetol. Rev. 34: 378.
Souza, I. F., Silva, W. V., Mathias, P. V. C. & Silva Jr., N. J. (2003). Leptodactylus
ocellatus (Rã manteiga). Predation. Herpetol. Rev. 34: 232.
Stuart, J. N. & Painter, C. (1993). Rana catesbeianus (Bullfrog). Cannibalism. Herpetol.
Rev. 24: 103.
Tandler B., Phillips C. J. & Nagato T. (1996). Histological convergent evolution of the
accessory submandibular glands in four species of frog-eating bats. Europ. J.
Morphol. 34: 163-168.
Thurley, T. & Bell, B. D. (1994). Habitat distribution and predation on a western
population of terrestrial Leiopelma (Anura, Leiopelmatidae) in the Northern King
Country, New-Zealand. New Zeal. J. Zool. 21: 431-436.
Toledo, L. F. (2005). Predation of juvenile and adult anurans by invertebrates: current
knowledge and perspectives. Herpetol. Rev. 36: 395-400.
Toledo, L. F., Woehl Jr., G., Woehl, E. N. & Prado, C. P. A. (2005). Scinax nasicus,
Hyla albomarginata, Hyla bischoffi and Phyllomedusa distincta (Tree Frogs): Avian
Predation. Herpetol. Bull. 92: 31-32.
Toledo, R. C. & Jared, C. (1995). Cutaneous granular glands and amphibian venoms.
Comp. Biochem. Physiol. 111A: 1-29.
92
Toral, E. 2004. Ameiva festiva (Central American Racerunner). Predation. Herpetol.
Rev. 35: 266.
Tucker, J. K. 2000. Illinois snakes young-of-year morphology and food habits.
Herpetol. Rev. 31: 106-107.
Tuttle, M. D., Taft, L. K. & Ryan, M. J. (1982). Evasive behaviour of a frog in response
to bat predation. An. Behav. 30: 393-397.
Uetz, P., Chenna, R., Etzold, T. & Hallermann, J. (2005). The embl reptile database.
Available on: http://www.embl-heidelberg.de/~uetz/LivingReptiles.html
Vamosi, S. M. (2005). On the role of enemies in divergence and diversification of prey:
a review and synthesis. Can. J. Zool. 83: 894-910.
Vanzolini, P. E., Ramos-Costa, A. M. M. & Vitt, L. J. (1980). Répteis das Caaringas.
Rio de Janeiro: Academia Brasileira de Ciências.
Vaughan, A. (2003). Rana vaillanti (Web-footed Frog). Diet. Herpetol. Rev. 34: 238.
Warner, D. A. & Kolbe, J. J. (2003). Porthidium nasutum (Hog-nosed Pitviper). Prey.
Herpetol. Rev. 34: 377.
Wild, E. R. (2001). Ceratophrys cranwelli (Cranwell’s Horned Frog). Predation.
Herpetol. Rev. 32: 102.
Wilson, D. E. & Reeder D. M. (1993). Mammal Species of the World. Smithsonian
Institution Press. Online reference available at: http://nmnhgoph.si.edu/msw/.
Zina, J. & Haddad, C. F. B. (2005). Reproductive activity and vocalizations of
Leptodactylus labyrinthicus (Anura: Leptodactylidae) in southeastern brazil. Biota
Neotropica 5: 1-11.
93
Appendix I. Vertebrate predators (136 species; 50 families) and their respective prey: post-metamorphic anurans (137 species; 16 families) reviewed
from 243 reports (including unpublished observations).
Vertebrate Predator Anuran Prey Reference
Higher Taxa species Family species
Osteichthyes
Anguillidae
Anguilla reinhardtii
Hylidae
Litoria lesueurii
Harvey et al., 1999
Centrarchidae
Lepomis cyanellus
Hylidae
Pseudacris cadaverina
Ervin et al., 2000
Micropterus salmoides
Hylidae
Pseudacris cadaverina
Hovey & Ervin, 2005
Micropterus salmoides
Ranidae
Lithobates pipiens
Cochran, 1982
Micropterus salmoides
Ranidae
Lithobates sylvaticus
Cochran, 1999
Characidae
Brycon guatemalensis
Dendrobatidae
Dendrobates auratus
Hedstrom & Bolaños, 1986
Erythrinidae Hoplias cf. malabaricus Bufonidae
Chaunus ornatus
Haddad & Bastos, 1997
Salmonidae
Salmo trutta
Hylidae
Pseudacris crucifer
Cochran & Cochran, 2003
Salmo trutta
Ranidae
Rana cascadae
Simons, 1998
Amphibia
Anura
Bufonidae
Anaxyrus terrestris
Ranidae
Lithobates heckscheri
Beane & Pusser, 2005
Chaunus jimi
Bufonidae
Chaunus granulosus
Guix, 1993
Ceratophryidae
Ceratophrys aurita
Bufonidae
Chaunus scheneideri
R. P. Bastos, unpubl. data
Ceratophrys cranwelli
Leptodactylidae
Physalaemus biligonigerus
Wild, 2001
Ceratophrys cranwelli
Microhylidae
Dermatonotus muelleri
Wild, 2001
Hylidae
Hypsiboas faber
Hylidae
Scinax granulatus
Solé et al., 2004
Leptodactylidae
Leptodactylus labyrinthicus
Hylidae
Hypsiboas albopunctatus
L. F. Toledo & O. G. S. Araújo,
unpubl. data
Leptodactylus labyrinthicus
Hylidae
Hypsiboas faber
C. F. B. Haddad, unpubl. data
Leptodactylus labyrinthicus
Leptodactylidae
Eupemphix nattereri
Silva et al., 2003
Leptodactylus ocellatus
Hylidae
Hypsiboas albomarginatus
C. F. B. Haddad, unpubl. data
Leptodactylus ocellatus
Hylidae
Hypsiboas faber
Haddad & Sazima, 1992
Leptodactylus ocellatus
Leptodactylidae
Leptodactylus ocellatus
Kokubum & Rodrigues, 2005
Leptodactylus ocellatus
Leptodactylidae
Eupemphix nattereri
Rodrigues & Filho, 2004
Leptodactylus pentadactylus
Leptodactylidae
Hypsiboas rosenbergi
Kluge, 1981
Leptodactylus podicipinus
Bufonidae
Chaunus granulosus
Guimarães et al., 2004
Litoria aurea
Leiopelmatidae
Leiopelma archeyi
Thurley & Bell, 1994
Ranidae
Ptychadena mascareniensis
Mantellidae
Mantidactylus wittei
McIntyre & Ramanamanjato, 1999
94
Rana aurora
Hylidae
Pseudacris regilla
Arnold & Halliday, 1986
Lithobates blairi
Hylidae
Pseudacris triseriata
Bolek & Janvy Jr., 2004
Rana cascade
Ranidae
Rana cascadae
Rombough et al., 2003
Lithobates catesbeianus
Bufonidae
Anaxyrus californicus
Griffin & Case, 2002
Lithobates catesbeianus
Bufonidae
Anaxyrus fowleri
Smith & Green, 2002
Lithobates catesbeianus
Bufonidae
Anaxyrus nelsoni
Jones et al., 2003
Lithobates catesbeianus
Hylidae
Pseudacris triseriata
Bolek & Janvy Jr., 2004
Lithobates catesbeianus
Ranidae
Rana aurora
Cook, 2002
Lithobates catesbeianus
Ranidae
Rana boylii
Crayon, 1998
Lithobates catesbeianus
Ranidae
Lithobates catesbeianus
Stuart & Painter, 1993
Lithobates catesbeianus
Scaphiopodidae
Scaphiopus hammondi
Hays & Warner, 1985
Rana luteiventris
Bufonidae
Anaxyrus boreas
Pearl, 2000
Rana luteiventris
Ranidae
Rana luteiventris
Pilliod, 1999
Rana pretiosa
Ranidae
Rana pretiosa
Pilliod, 1999
Lithobates vaillanti
Hylidae
Agalychnis callidryas
Vaughan, 2003
Caudata
Ambystomatidae
Dicamptodon copei
Leiopelmatidae
Ascaphus truei
Aresco & Reed, 1998
Reptilia
Crocodylia
Alligatorinae
Caiman crocodilus
Bufonidae
Chaunus granulosus
Gorzula, 1977
Caiman crocodilus
Leptodactylidae
Pleuroderma brachyops
Gorzula, 1977
Caiman crocodilus
Microhylidae
Elachistocleis ovalis
Gorzula, 1977
Caiman yacare
Hylidae
Pseudis paradoxa
Santos et al. 1996
Paleosuchus palpebrosus
Bufonidae
Chaunus scheneideri
L. F. Toledo, unpubl. data
Rynchocephalia
Sphenodontidae
Sphenodon punctatus
Leiopelmatidae
Leiopelma hamiltoni
Newman, 1977
Sauria
Gekkonidae
Thecadactylus rapicauda
Brachycephalidae
Eleutherodactylus johnstonei
Henderson & Berg, 2005
Gerrhosauridae
Zonosaurus madagascariensis
Mantellidae
Mantella laevigata
Heying, 2001
Teiidae
Ameiva festiva
Leptodactylidae
Leptodactylus poecilochilus
Toral, 2004
Crocodilus amazonicus
Bufonidae
Chaunus marinus
Costa et al., 2005
Tupinambis merianae
Leptodactylidae
Leptodactylus ocellatus
Silva & Hillesheim, 2004
Tupinambis merianae
Bufonidae
Chaunus schneideri
L. F. Toledo, unpubl. data
Tupinambis teguixim
Leptodactylidae
Leptodactylus mystaceus
Souza et al., 2002
95
Serpentes
Boidae
Boiga irregularis
Bufonidae
Chaunus marinus
Caudell et al., 2000
Colubridae
Alsophis portoricensis
Brachycephalidae
Eleutherodactylus antillensis
Rodríguez-Robles & Leal, 1993
Alsophis portoricensis
Brachycephalidae
Eleutherodactylus coqui
Rodríguez-Robles & Leal, 1993
Antillophis andreae
Bufonidae
Peltophryne peltocephalus
Fong, 2004
Antillophis andreae
Brachycephalidae
Euhyas dimidiatus
Fong, 2004
Chironius exoletus
Hylidae
Phyllomedusa distincta
Castanho, 1996
Chironius multiventris
Hylidae
Bokermannohyla circumdata
Rocha et al., 1999
Chironius multiventris
Cycloramphidae
Proceratophrys appendiculata
Rocha et al., 1999
Clelia bicolor
Hylidae
Trachycephalus venulosus
Prado, 2003
Dendrelaphis pictus
Dicroglossidae
Ferjevaria limnocharis
Pauwels, 2002
Enhydris plumbea
Dicroglossidae
Ferjevaria limnocharis
Pauwels, 2002
Helicops angulatus
Hylidae
Hypsiboas crepitans
Silva Jr. et al., 2003
Helicops infrataeniatus
Hylidae
Phyllomedusa iheringii
Feltrim & Cechin, 2000
Helicops infrataeniatus
Leptodactylidae
Eupemphix nattereri
Martins & Duarte, 2003
Heterodon platirhinos
Bufonidae
Anaxyrus fowleri
Tucker, 2000
Heterodon platirhinos
Ranidae
Lithobates pipiens
Bakkegard & Greene, 2002
Leimadophis epinephelus
Dendrobatidae
Phyllobates terribilis
Myers et al., 1978.
Leptodeira annulata
Hylidae
Hypsiboas rosenbergi
Kluge, 1981
Leptodeira annulata
Ranidae
Lithobates vaillanti
Mora, 1999
Leptodeira septentrionalis
Hylidae
Scinax elaeochroa
Russell et al., 1999
Leptophis ahaetulla
Hylidae
Trachycephalus venulosus
Albuquerque & Di-Bernardo, 2005
Leptophis ahaetulla
Hylidae
Dendropsophus nanus
Lopez et al., 2003
Leptophis ahaetulla
Hylidae Scinax cf. acuminatus Lopez et al., 2003
Leptophis ahaetulla
Hylidae
Scinax nasicus
Lopez et al., 2003
Liophis anomalus
Bufonidae
Chaunus arenarum
Michaud & Dixon, 1989
Liophis anomalus
Bufonidae
Chaunus dorbignyi
Michaud & Dixon, 1989
Liophis anomalus
Bufonidae
Chaunus granulosus
Michaud & Dixon, 1989
Liophis anomalus
Ceratophryidae
Ceratophrys ornata
Michaud & Dixon, 1989
Liophis anomalus
Leptodactylidae
Leptodactylus ocellatus
Michaud & Dixon, 1989
Liophis cobella
Dendrobatidae
Mannophryne trinitatis
Michaud & Dixon, 1989
Liophis dilepis
Leptodactylidae
Leptodactylus fuscus
Michaud & Dixon, 1989
Liophis dilepis
Leptodactylidae
Leptodactylus ocellatus
Michaud & Dixon, 1989
Liophis dilepis
Leptodactylidae
Physalaemus cuvieri
Michaud & Dixon, 1989
96
Liophis epinephelus
Bufonidae
Atelopus varius
Greene, 1997
Liophis epinephelus
Bufonidae
Chaunus marinus
Michaud & Dixon, 1989
Liophis epinephelus
Bufonidae
Rhinella margaritifera
Michaud & Dixon, 1989
Liophis epinephelus
Brachycephalidae
Craugastor fitzingeri
Michaud & Dixon, 1989
Liophis lineatus
Hylidae
Scinax ruber
Michaud & Dixon, 1989
Liophis lineatus
Leptodactylidae
Leptodactylus fuscus
Michaud & Dixon, 1989
Liophis melanotus
Bufonidae
Chaunus granulosus
Michaud & Dixon, 1989
Liophis meridionalis
Leptodactylidae
Leptodactylus fuscus
Kokubum & Giaretta, 2002
Liophis miliaris
Bufonidae
Chaunus granulosus
Michaud & Dixon, 1989
Liophis miliaris
Leptodactylidae
Leptodactylus ocellatus
Michaud & Dixon, 1989
Liophis miliaris
Microhylidae
Elachistocleis bicolor
Michaud & Dixon, 1989
Liophis miliaris
Pipidae
Pipa carvalhoi
Michaud & Dixon, 1989
Liophis poecilogyrus
Bufonidae
Chaunus arenarum
Michaud & Dixon, 1989
Liophis poecilogyrus
Bufonidae
Chaunus dorbignyi
Michaud & Dixon, 1989
Liophis poecilogyrus
Bufonidae
Chaunus granulosus
Michaud & Dixon, 1989
Liophis poecilogyrus
Hylidae
Hypsiboas multifasciatus
Silva Jr. et al., 2003
Liophis poecilogyrus
Hylidae
Hypsiboas pulchellus
Michaud & Dixon, 1989
Liophis poecilogyrus
Hylidae
Trachycephalus venulosus
Silva Jr. et al., 2003
Liophis poecilogyrus
Hylidae
Scinax ruber
Michaud & Dixon, 1989
Liophis poecilogyrus
Leptodactylidae
Leptodactylus ocellatus
Michaud & Dixon, 1989
Liophis poecilogyrus
Leptodactylidae
Leptodactylus ocellatus
Michaud & Dixon, 1989
Liophis poecilogyrus
Cycloramphidae
Odontoprhynus americanus
Michaud & Dixon, 1989
Liophis poecilogyrus
Leptodactylidae
Physalaemus cuvieri
Michaud & Dixon, 1989
Liophis poecilogyrus
Leptodactylidae
Physalaemus fernandezae
Michaud & Dixon, 1989
Liophis poecilogyrus
Leptodactylidae
Physalaemus gracilis
Michaud & Dixon, 1989
Liophis poecilogyrus
Pipidae
Pipa carvalhoi
Michaud & Dixon, 1989
Liophis reginae
Bufonidae
Rhinella margaritifera
Michaud & Dixon, 1989
Liophis reginae
Dendrobatidae
Mannophryne trinitatis
Michaud & Dixon, 1989
Liophis reginae
Hylidae
Scinax ruber
Michaud & Dixon, 1989
Liophis reginae
Brachycephalidae
Craugastor biporcatus
Michaud & Dixon, 1989
Liophis reginae
Brachycephalidae
Eleutherodactylus terraebolivaris
Michaud & Dixon, 1989
Liophis reginae
Leptodactylidae
Leptodactylus wagneri
Michaud & Dixon, 1989
Liophis sagittifer
Leptodactylidae
Leptodactylus ocellatus
Michaud & Dixon, 1989
Liophis typhlus
Leptodactylidae
Leptodactylus mystacinus
Michaud & Dixon, 1989
97
Liophis viridis
Hylidae
Scinax ruber
Michaud & Dixon, 1989
Liophis viridis
Leptodactylidae
Physalaemus cuvieri
Michaud & Dixon, 1989
Masticophis flagellum
Scaphiopodidae
Scaphiopus couchii
Ryberg & Dayton, 2004
Nerodia fasciata
Ranidae
Lithobates capito
Jensen, 2000
Nerodia fasciata
Scaphiopodidae
Scaphiopus holbrookii
Palis, 2000
Nerodia valida
Bufonidae
Anaxyrus punctatus
Blazquez, 1996
Philodryas patagoniensis
Bufonidae
Chaunus granulosus
Lopez, 2003
Philodryas patagoniensis
Leptodactylidae
Leptodactylus gracilis
Lopez, 2003
Pliocercus euryzonus
Brachycephalidae Eleutherodactylus sp. Greene, 1997
Ptyas korros
Dicroglossidae
Fejervaria limnocharis
Pauwels, 2002
Rhabdophis murudensis
Megophrydae
Megophrys kobayashii
Das & Tuen, 2005
Thamnodynastes strigatus
Hylidae
Dendropsophus minutus
C. F. B. Haddad, unpubl. data
Thamnodynastes strigatus
Hylidae
Hypsiboas faber
Souza et al., 2003
Thamnodynastes strigatus
Cycloramphidae Crossodactylus cf. bokermanni Kopp & Wachlevski, 2005
Thamnodynastes strigatus
Cycloramphidae
Odontophrynus americanus
Souza et al., 2003
Thamnodynastes strigatus
Ranidae
Lithobates catesbeianus
Souza et al., 2003
Thamnophis atratus
Ranidae
Rana cascadae
Garwood & Welsh Jr., 2005
Thamnophis cyrtopsis
Bufonidae
Cranopsis occidentalis
Abbadié-Bisogno et al., 2003
Thamnophis elegans
Ranidae
Rana pretiosa
Reaser & Dexter, 1996
Thamnophis hammindii
Bufonidae
Anaxyrus californicus
Griffin & Case, 2002
Thamnophis hammindii
Hylidae
Pseudacris regilla
Ervin & Fisher, 2001
Thamnophis hammindii
Pipidae
Xenopus laevis
Ervin & Fisher, 2001
Thamnophis hammindii
Scaphiopodidae
Spea hammondii
Ervin & Fisher, 2001
Thamnophis sauritus
Hylidae
Osteopilus septentrionalis
Love, 1995
Thamnophis scalaris
Ranidae
Lithobates neovolcanica
Romero et al., 2003
Thamnophis sirtalis
Leiopelmatidae
Ascaphus truei
Karraker, 2001
Thamnophis sirtalis
Hylidae
Osteopilus septentrionalis
Jansen, 1997
Thamnophis sirtalis
Ranidae
Rana cascadae
Garwood & Welsh Jr., 2005
Thamnophis sirtalis
Ranidae
Rana muscosa
Feldman & Wilkinson, 2000
Thamnophis sirtalis
Ranidae
Rana aurora
Maclay et al., 2004
Thamnophis valida
Scaphiopodidae
Scaphiopus couchii
Grismer, 2000
Xenochrophis flavopunctatus
Dicroglossidae
Fejervaria limnocharis
Pauwels, 2002
Xenoxybelis argenteus
Bufonidae
Rhinella proboscidea
Menin, 2005
Xenodon neuwiedii
Hylidae
Bokermannohyla hylax
Silva & Rodrigues, 2001
98
Hidrophiidae
Pseudechis porphyriacus
Bufonidae
Chaunus marinus
Fearn, 2003
Viperidae
Agkistrodon piscivorus
Ranidae
Lithobates clamitans
Cross, 2002
Agkistrodon piscivorus
Ranidae
Lithobates sphenocephala
Cross, 2002
Bothrops ammodytoides
Cycloramphidae
Odontophrynus occidentalis
Avila & Morando, 1998
Bothrops asper
Brachycephalidae Eleutherodactylus sp. Greene, 1997
Bothrops atrox
Leptodactylidae
Leptodactylus fuscus
Macedo-Bernarde & Bernarde, 2005
Bothrops jararaca
Cycloramphidae
Cycloramphus boraceiensis
Giaretta & Nunes, 1997
Porthidium nasutum
Brachycephalidae Eleutherodactylus sp. Greene, 1997
Porthidium nasutum
Ranidae
Lithobates warszewitschii
Warner & Kolbe, 2003
Testudines
Kinosternidae
Kinosternon sonoriense
Bufonidae
Anaxyrus punctatus
Ligon & Stone, 2003
Testudinidae
Gopherus polyphemus
Ranidae
Lithobates sevosa
Braid et al., 2000
Aves
Accipitridae
Haliaeetus leucocephalus
Ranidae
Lithobates catesbeianus
Applegate, 1990
Haliaeetus leucocephalus
Ranidae
Lithobates palustris
Applegate, 1990
Anatidae
Buteo jamaicensis
Bufonidae
Anaxyrus boreas
Jones & Stiles, 2000
Buteo magnirostris
Leptodactylidae
Leptodactylus ocellatus
Souza et al., 2003
Anas platyrhynchos
Ranidae
Rana aurora
Hayes & Rombough, 2004
Anas platyrhynchos
Ranidae
Rana boylii
Bombough et al., 2005
Anas platyrhynchos
Ranidae
Rana temporaria
Bombough et al., 2005
Anas platyrhynchos
Ranidae
Lithobates sylvaticus
Bombough et al., 2005
Oxyura ferruginea
Ceratophryidae
Atelognathus patagonicus
Cuello et al., 2005
Ardeidae
Ardea herodias
Pipidae
Xenopus laevis
Crayon & Hothem, 1998
Ardea herodias
Ranidae
Rana aurora
Fellers & Wood, 2004
Nycticorax nycticorax
Pipidae
Xenopus laevis
Crayon & Hothem, 1998
Tigrisoma lineatum
Hylidae
Pseudis paradoxa
Prado, 2003
Tigrisoma lineatum
Leptodactylidae
Leptodactylus chaquensis
Prado, 2003
Corvidae
Corvus macrorhynchos
Bufonidae
Bufo parietalis
Krishna & Vijayalaxmi, 2004
Cracidae
Penelope superciliaris
Brachycephalidae
Brachycephalus ephippium
Carvalho, 1941
Cuculidae
Guira guira
Leptodactylidae Physalaemus cf. fuscomaculatus Kokubum & Zacca, 2003
Piaya cayana
Hylidae
Osteocephalus taurinus
Cintra & Sanaiotti, 1990
Falconidae
Polyborus plancus
Hylidae
Bokermannohyla alvarengai
Machado & Galdino, 2005
Icteridae
Quiscalus quiscula
Scaphiopodidae
Scaphiopus holbrookii
Palis, 2000
Laridae
Larus delawarensis
Bufonidae
Anaxyrus fowleri
Smith & Green, 2005
99
Larus maculipennis
Ceratophryidae
Atelognathus patagonicus
Cuello et al., 2005
Momotidae
Baryphthengus martii
Dendrobatidae
Dendrobates auratus
Master, 1998
Odontophoridae
Colinus virginianus
Scaphiopodidae
Scaphiopus hurterii
McCoid et al., 1999
Phalacrocoracidae
Phalacrocorax carbo
Pipidae
Xenopus laevis
Kopij, 1998
Phalacrocorax carbo
Pyxicephalidae
Amietia angolensis
Kopij, 1998
Podicipedidae
Podiceps occipitalis
Ceratophryidae
Atelognathus patagonicus
Cuello et al., 2005
Podiceps rolland
Ceratophryidae
Atelognathus patagonicus
Cuello et al., 2005
Sturnidae
Sturnus vulgaris
Scaphiopodidae
Scaphiopus holbrookii
Palis, 2000
Threskiornithidae
Theristicus caudatus
Bufonidae
Chaunus granulosus
Carvalho, 1941
Theristicus caudatus
Microhylidae Elachistocleis cf. ovalis Carvalho, 1941
Tinamidae
Tinamus solitarius
Brachycephalidae
Brachycephalus ephippium
Carvalho, 1941
Trogonidae
Trogon surrucura
Hylidae
Hypisboas albomarginatus
Toledo et al., 2005
Trogon surrucura
Hylidae
Hypsiboas bischoffi
Toledo et al., 2005
Trogon surrucura
Hylidae
Phyllomedusa distincta
Toledo et al., 2005
Tyranidae
Pitangus sulphuratus
Hylidae
Scinax nasicus
Toledo et al., 2005; Ávila, 2005
Tytonidae
Tyto alba
Leptodactylidae
Eupemphix nattereri
C. F. B. Haddad, unpubl. data
Tyto alba
Ranidae
Lithobates sphenocephalus
Briggler, 2000
Mammalia
Carnivora
Canidae
Cerdocyon thous
Leptodactylidae
Eupemphix nattereri
Bezerra, 1998
Chrysocyon brachyurus
Bufonidae
Chaunus ictericus
Guix, 1993
Chrysocyon brachyurus
Leptodactylidae
Leptodactylus labyrinthicus
Prado et al., 2005
Vulpes vulpes
Bufonidae
Anaxyrus boreas
Jones et al., 1999
Mustelidae
Galictis vittata
Bufonidae
Chaunus marinus
Cintra, 1988
Lontra canadensis
Ranidae
Rana pretiosa
Hayes et al., 2005
Lutra longicaudis
Leptodactylidae
Leptodactylus pentadactylus
Roberts, 1997A
Lutra longicaudis
Ranidae
Rana pretiosa
Roberts, 1997B
Mustela putorius
Bufonidae
Bufo bufo
Lodé, 1996
Mustela putorius
Ranidae
Rana dalmatina
Lodé, 1996
Mustela putorius
Ranidae
Pelophylax esculentus
Lodé, 1996
Mustela vison
Ranidae
Lithobates palustris
Beane, 1990
Procyonidae
Procyon lotor
Bufonidae
Anaxyrus boreas
Jones et al., 1999
Procyon cancrivorus
Bufonidae
Chaunus ictericus
Guix, 1993
Chiroptera
100
Phyllostomatidae
Trachops cirrhosus
Leptodactylidae
Engystomops pustulosus
Tuttle et al., 1982
Insetivora
Erinaceidae
Atelerix pruneri
Bufonidae
Bufo alvarius
Brodie Jr., 1977
Atelerix pruneri
Bufonidae
Anaxyrus americanus
Brodie Jr., 1977
Atelerix pruneri
Bufonidae
Anaxyrus boreas
Brodie Jr., 1977
Atelerix pruneri
Bufonidae
Chaunus marinus
Brodie Jr., 1977
Atelerix pruneri
Bufonidae
Anaxyrus quercicus
Brodie Jr., 1977
Atelerix pruneri
Bufonidae
Amietophrynus regularis
Brodie Jr., 1977
Atelerix pruneri
Bufonidae
Anaxyrus terrestris
Brodie Jr., 1977
Atelerix pruneri
Bufonidae
Anaxyrus woodhousii
Brodie Jr., 1977
Atelerix pruneri
Ranidae
Lithobates catesbeianus
Brodie Jr., 1977
Hemiechinus auritus
Bufonidae
Bufo alvarius
Brodie Jr., 1977
Hemiechinus auritus
Bufonidae
Anaxyrus americanus
Brodie Jr., 1977
Hemiechinus auritus
Bufonidae
Anaxyrus boreas
Brodie Jr., 1977
Hemiechinus auritus
Bufonidae
Chaunus marinus
Brodie Jr., 1977
Hemiechinus auritus
Bufonidae
Anaxyrus quercicus
Brodie Jr., 1977
Hemiechinus auritus
Bufonidae
Amietophrynus regularis
Brodie Jr., 1977
Hemiechinus auritus
Bufonidae
Anaxyrus terrestris
Brodie Jr., 1977
Hemiechinus auritus
Bufonidae
Anaxyrus woodhousii
Brodie Jr., 1977
Hemiechinus auritus
Ranidae
Lithobates catesbeianus
Brodie Jr., 1977
Soricidae
Blarina brevicauda
Hylidae
Hyla versicolor
Brodie Jr. & Formanowicz Jr., 1981
Marsupialia
Didelphidae
Didelphis marsupialis
Bufonidae
Chaunus marinus
Garrett & Boyer, 1993
Philander opossum
Hylidae
Hypsiboas rosenbergi
Kluge, 1981
Primates
Callitrichidae
Callithrix penicillata
Hylidae
Hypsiboas lundii
Canale & Lingnau, 2003
Rodentia
Muridae
Rattus rattus
Leiopelmatidae
Leiopelma archeyi
Thurley & Bell, 1994
CAPÍTULO 4
QUANDO OS SAPOS GRITAM! UMA REVISÃO DAS VOCALIZAÇÕES
DEFENSIVAS DOS ANUROS
Luís Felipe Toledo & Célio F. B. Haddad
Jean-Luc Perret, 1961
101
CAPÍTULO 4
WHEN FROGS SCREAM! A REVIEW OF ANURAN DEFENSIVE
VOCALIZATIONS
L. F. T
OLEDO &C.F.B.HADDAD
Laboratório de Herpetologia, Departamento de Zoologia, Instituto de Biociências,
Unesp, Rio Claro, São Paulo, Caixa Postal 199, CEP 13506-970, Brazil. E-mail:
102
ABSTRACT
The most common defensive vocalization in anurans is the distress call. Additionally,
two other types of defensive vocalizations (alarm and warning calls) have been
recognized and several species have been reported to behave defensively when using
them. Our knowledge about these acoustic features is fragmented and relies on scattered
information available generally from short notes in the literature. We, therefore,
reviewed the subject, added new data, and included a phylogenetic approach. We
described the defensive calls of 31 anuran species and made correlations between
anuran size and the physical structure of their calls (sound pressure level, dominant
frequency, and call duration). We also grouped data from the literature and from
unrecorded individuals on 77 anuran species that are known to emit defensive calls, in
15 families widespread throughout the Anura clade. Defensive calls are most likely an
ancestral character in anurans and a positive relationship may exist between the physical
characteristics of distress calls and chances of avoiding predation. This review
strengthens our knowledge about defensive vocalizations in anurans and will hopefully
instigate new challenges for future research.
Key words: Vocalization; Distress call; Warning call; Alarm call; Defensive behavior;
Anurans
103
INTRODUCTION
Among several facets of the social behavior of anurans, their calling abilities
attain a great interest among scientists. The most common vocalization is the
advertisement call, emitted by males, mainly to attract reproductive females and to
maintain the spatial distribution among neighboring males in a chorus (Duellman &
Trueb, 1994). However, anurans have a wide acoustic repertoire; some species are
known to emit several types of vocalizations, such as territorial calls, fighting calls, or
courtship calls (Duellman & Trueb, 1994). Besides these, we are able to recognize other
defensive vocalizations, the most frequent of which is the distress call, which is emitted
not only by males, but even by females and juveniles (Bogert, 1960; Sazima, 1975;
Toledo et al., 2005). This type of call, probably described for the first time at the end of
the 19
th
century (Boulenger, 1897), is characterized by a high pitched whistle, generally
emitted with the mouth open (see exceptions in Hoff & Moss, 1974; Webber, 1978), a
conspicuous difference that readily distinguishes this from other non-defensive
vocalizations (e.g., Hödl & Gollmann, 1986; Duellman & Trueb, 1994).
Several functions have been hypothesized for defensive vocalizations, of which
the most common and accepted one is to repel predators when the frogs are being
subdued (e.g., Sazima, 1975). Additionally, some other functions have been suggested,
in some cases depending on the context of the emission (e.g., Leary & Razafindratsita,
1998). Consequently, several other types of calls have been designated, such as the
warning call or alarm call. However, the function and effectiveness of defensive
vocalizations are debated issues and several discussions have been triggered on the
subject (e.g., Staton, 1978; Högstedt, 1983; Gorzula, 1985; Hödl & Gollmann, 1986;
Leary & Razafindratsita, 1998). For example, if the defensive vocalizations of different
species are similar, could a distress call from one individual be recognized and
interpreted by another individual from the same or different species (e.g., Yerks, 1903;
Smith, 1977; Leary & Razafindratsita, 1998)? These discussions have remained
stagnated due to lack of information about this defensive behavior. Hence, for a better
understanding of this subject, we present new data, review the subject, and include a
phylogenetic approach in the analysis of anuran defensive vocalizations.
104
MATERIAL AND METHODS
The major available herpetological journals (e.g., Amphibia-Reptilia, Copeia,
Herpetologica, Herpetological Bulletin, Herpetological Journal, Herpetological Review,
and Journal of Herpetology) were analyzed and reports on defensive vocalizations were
compiled. Both natural and experimental conditions were considered.
Additional vocalizations were obtained by human handling in the laboratory or
in the field, from several localities in Brazil (FIG. 1). Human handling stimuli was
performed in three forms: I) by unexpectedly grasping the frog by its hind limbs while it
was resting or emitting advertisement calls in the field; II) by shaking the frog by its
hind limbs, eventually piercing its leg with the researcher’s fingernails (making sure not
to harm the individual); or III) by letting the frog escape from the researcher and then
grasping its hind legs firmly from time to time. If the animal did not emit a defensive
vocalization, it was released or the handling sequences were repeated one or two days
later (in the case of collected animals). All handled animals were measured (snout-vent
length: SVL) with a caliper to the nearest 0.01 mm.
We recorded vocalizations with a Marantz cassette tape recorder (PMD222),
equipped with an external directional microphone (Audiotecnica AT835b) positioned
approximately 50 cm from the frog. Vocalizations were recorded on chrome cassette
tapes at 4.75 cm/s. We analyzed the calls using Raven 1.2.1 software at 16 bits of
resolution, 44 kHz of frequency sampling, FFT and frame length of 256 samples. The
terminology used in the descriptions is presented in Toledo & Haddad (2005).
Composed series of distress calls were considered when more than one call was emitted
in an interval shorter than one second.
105
FIG. 1.ʊThe 13 Brazilian states (Paraíba, Alagoas, Sergipe, Bahia, Espírito Santo, São
Paulo, Paraná, Santa Catarina, Rio Grande do Sul, Minas Gerais, Mato Grosso do Sul,
Goiás, and Acre) where anurans have been tested for the emission of defensive
vocalizations.
RESULTS
Reports of 72 species, in 15 families, were revised from the literature (Appendix
A: Anurans reported to emit distress calls). Besides this, 850 individuals from 111
anuran species, in 13 families, were tested for the emission of defensive vocalizations
(Appendix B: Anurans tested for the emission of distress calls). Among these, defensive
vocalizations were emitted by 86 individuals of 33 species from Brazil and one from
106
Panama (TABLE 1). Most of the individuals that emitted defensive calls had SVL
between 31 and 60 mm (FIG. 2). Distress calls of Hypsiboas albopunctatus and
Leptodactylus chaquensis were not recorded.
FIG. 2.ʊNumber of individuals that emitted defensive calls per size class (bars and left
axis) and percentage of defensive calls emitted per size class (line and right axis); the
line is not presented in the last two size classes, because all individuals tested emitted
defensive calls (i.e., 100 %). The number above the bars represents the number of
individuals tested in each size class.
Descriptions
The major characteristics of the vocalizations are shown in TABLE 1. When a
specific vocalization was very different from another (in the same species, sex, and age)
it was placed on a new row in the table. We observed that all individuals and species
(with the exception of two females of Leptodactylus mystaceus, which could not be
observed) emitted the distress or warning calls with their mouth open (FIG. 3). Brief
descriptions and any other special characteristics or remarks are presented below.
Almost all calls presented repeated ascending and decreasing modulations.
107
FIG. 3.ʊA) Spectrogram (above) and waveform (below) of a series of three distress
calls of the endangered Bokermannohyla izecksohni and B) the adult male during
handling and the emission of distress calls.
Brachycephalidae
Eleutherodactylus binotatus
Out of 11 individuals handled (8 males and 3 females), only four (1 male and 3
females) emitted distress calls. Only one male (SVL = 45 mm) was recorded. The
distress calls of this species are very high-pitched; the minimum frequency is about 5
kHz and the maximum could not be determined at this moment as there are ultra-sound
components in this call and the conventional equipment does not allow us to record
frequencies above 22 kHz. The call is descending modulated and presents, at least, three
harmonics. The first (N = 7) varies in mean between 5.17 ± 0.44 kHz (range: 4.65 –
5.73) and 10.54 ± 1.08 kHz (range: 9.1 – 11.79); the second (N = 7) varies between
12.48 ± 0.79 kHz (range: 11.39 – 13.88) and 19.09 ± 1.20 kHz (range: 16.98 – 20.0 or
more not registered due to software limitations); the third (N = 1) varies between 15.9
kHz and 17.52 kHz (TABLE 1; FIG. 4).
Ceratophryidae
Ceratophrys joazeirensis
Two individuals of Ceratophrys joazeirensis, one male (SVL = 81 mm) and one
female (SVL = 104 mm) were recorded. These individuals emitted warning calls when
we approached them, and distress calls when handled. Although there is a difference in
108
the circumstances, there is no physical difference between the two types of calls. These
calls can be divided into two parts. In the first it is possible to recognize harmonics
between about 0.3 kHz and 15 kHz. Above 15 kHz weak harmonics can be observed.
The second part of the call does not present harmonic structure (TABLE 1; FIG. 4).
Cycloramphidae
Cycloramphus sp. (aff. bolitoglossus)
Two females of Cycloramphus sp. (aff. bolitoglossus) (SVL = 29.38 and 31.50
mm) were recorded in laboratory conditions. The distress calls of these individuals were
short in duration (less than 0.32 seconds), high-pitched (sometimes exceeding 20 kHz)
and can be divided into two parts; the first being differentiated from the second by
having well defined harmonics and higher amplitude of frequencies (TABLE 1; FIG. 4).
Hylidae
Aplastodiscus albosignatus
The distress call of one female A. albosignatus (SVL = 47.9 mm) was recorded.
It is quite long (exceeding 1.5 seconds of duration), high-pitched (reaching almost 20
kHz), and is entirely formed by harmonic structure (TABLE 1; FIG. 4).
Aplastodiscus arildae
One adult male A. arildae (SVL = 39.19 mm) emitted three distress calls that
were recorded. The call of this species is short (about 0.4 seconds of duration) and is
entirely formed by harmonic structure (TABLE 1; FIG. 4).
Aplastodiscus cochranae
One adult male of A. cochranae (SVL = 43.5 mm) was recorded. The distress
calls were analyzed only in the most intense portion of the calls (between ca. 3 and 10
kHz), because, although they have bands below and above these frequencies, they are
too weak and are probably side bands (TABLE 1; FIG. 4).
109
Aplastodiscus leucopygius
The distress calls of this species were recorded from two males (SVL = 41.5 and
42.3 mm). It is a short call in duration, generally less than 0.5 seconds long that can
reach up to ca. 11 kHz, and has about 11 harmonic bands (TABLE 1; FIG. 5).
Aplastodiscus perviridis
The distress calls of this species have a harmonic structure, both in the calls
recorded from a male and from a female (mean SVL = 39.9 and 41.0 mm). However,
the harmonic bands of the female recording were hard to distinguish and, therefore, not
analyzed. In the recording of the male it was possible to identify up to 23 harmonic
bands (TABLE 1; FIG. 5).
Bokermannohyla circumdata
Three females of B. circumdata (mean SVL = 66.5 mm) were recorded in the
field after handling. Their distress calls presented harmonic bands and were not too
high-pitched, reaching about 12 kHz in maximum frequencies. In one of the recordings,
it was possible to observe weak bands over these maximum frequencies; however they
were not analyzed, as this could be an artifact resulting from recording saturation
(TABLE 1; FIG. 5).
Bokermannohyla hylax
The distress calls of one male (SVL = 58.2 mm) were recorded in the field after
handling. They presented harmonic bands and were not too high-pitched, reaching about
13 kHz in maximum frequencies. Bands can be observed above the eighth harmonics,
but these were not analyzed as they were too weak and could represent side bands
(TABLE 1; FIG. 5).
Bokermannohyla izecksohni
Seven distress calls of one male (SVL = 45 mm) were emitted in an interval of
12.5 seconds and were recorded in the field after handling. The vocalizations had from
10 to 12 harmonic bands, ranging from about 1.8 to 8.5 kHz (TABLE 1; FIG. 3).
110
Bokermannohyla luctuosa
The distress calls of one male (SVL = 49 mm) were recorded in the field after
handling. The vocalizations presented a high number of harmonic bands (from 23 to 31)
and reached about 18 kHz in maximum frequencies. Above about 11 kHz the harmonic
bands lose energy but were still clear enough to be analyzed (TABLE 1; FIG. 5).
Dendropsophus minutus
Only one distress call from one adult female (SVL = 25.3 mm) was recorded.
This call was very short (0.18 seconds of duration), presented six harmonic bands, and
was high-pitched, reaching more than 16 kHz (TABLE 1; FIG. 5).
Hypsiboas albomarginatus
Recordings of distress calls of two males (SVL = 47.4 and 47.8 mm) were made
in the field after handling. The initial and terminal portions of some of the calls seem to
have harmonics, but they were not analyzed because they were hard to distinguish. The
call is modulated with the highest frequencies in the central portion. There are no
harmonic bands in this portion. Some of the distress calls are pulsed. The energy is
concentrated mostly in the lower frequencies (TABLE 1; FIG. 6).
Hypsiboas bischoffi
Seven distress calls of one female (SVL = 37.14 mm) were recorded in the field
after handling. The vocalizations were short (about 0.3 seconds in duration), presented
harmonics (from 5 to 10), and were not too high-pitched, reaching up to about 13 kHz
(TABLE 1; FIG. 6). An exceptional case involving this species was observed in the
field. After we suddenly seized an adult male, which was emitting advertisement calls,
he emitted a distress call. After that, all other calling males of the chorus stopped calling
immediately. They remained in silence for about 2 minutes before starting to emit
advertisement calls again.
Hypsiboas caingua
One male (SVL = 32.5 mm) of this species (found in the municipality of Pilar do
Sul, state of São Paulo, Brazil) had two distress calls recorded. These calls seem to
111
present harmonics; however, they are difficult to distinguish and, therefore, not
analyzed. Their calls had a mean duration of 0.55 seconds, were not too high-pitched,
and reached about 10 kHz (TABLE 1; FIG. 7).
Hypsiboas faber
Several individuals of H. faber that were handled emitted distress calls,
including juveniles, adult males and females. Some individuals emitted a group of these
calls in a series, where, generally, the first call was the strongest and the longest. The
longest calls were usually modulated with more than one peak of high frequencies. The
number of harmonic bands varied from 9 to 25 and the maximum frequencies could
reach more than 20 kHz (TABLE 1; FIG. 6).
Hypsiboas latistriatus
Only one adult female (SVL = 46.47 mm) was tested and emitted 11 distress
calls that were recorded. The calls presented side bands (from 16 to 35) and were high-
pitched, reaching more than 21 kHz (TABLE 1; FIG. 6).
Hypsiboas lundii
Both adult males and females, and a juvenile of H. lundii emitted distress calls.
The recorded calls of one juvenile and one female presented harmonic bands and were
pulsed. The recordings of the call of one male seemed to be saturated, showing visible
harmonic bands (most of them in the central portion of the calls) (TABLE 1; FIG. 6).
Hypsiboas pardalis
Four adult males of H. pardalis (mean SVL = 60.2 mm) had their distress calls
recorded in the field after handling. Their calls were short (0.35 seconds in mean
duration), presented harmonics generally in the initial part of the call (from 17 to 24),
and were not too high-pitched, reaching about 11 kHz in the maximum frequencies. The
weak bands observed above about 11 kHz were not analyzed, because they are probably
side bands. Some of the calls were pulsed, mainly in their final portion (TABLE 1; FIG.
6).
112
Hypsiboas raniceps
The distress calls of this species are short (about 0.35 seconds in duration), high-
pitched, reaching more than 20 kHz, and can be divided into two parts: the initial, with
mean maximum frequencies of 3.14 ± 0.17 kHz (range: 3.02 – 3.57 kHz) and mean
duration of 178 ± 50.4 ms (range: 129 – 266 ms; n = 9 calls of one male and one female
for both measurements); the final part of the call has mean maximum frequencies of
18.38 ± 0.96 kHz (range: 17.21 – 20.11 kHz) and mean duration of 187 ± 39.9 ms
(range: 116 – 247 ms; n = 9 calls of one male and one female for both measurements)
(TABLE 1; FIG. 7).
Pseudis cardosoi
Three distress calls of one adult male P. cardosoi (SVL = 48 mm) were
recorded. These calls were short in duration (about 0.4 seconds), presented a large
number of harmonic bands (from 24 to 28), and reached high frequencies (up to about
19 kHz) (TABLE 1; FIG. 7).
Pseudis paradoxa
Nineteen distress calls of three adult males of P. paradoxa were recorded (mean
SVL = 45 mm). These calls were short in duration (about 0.4 seconds), presented a high
number of harmonic bands (up to 23 harmonics), and did not reach very high
frequencies (mean of 13.68 kHz) (TABLE 1; FIG. 7).
Leptodactylidae
Leptodactylus fuscus
One handled male (SVL = 40 mm) emitted five distress calls. They were short in
duration (mean duration about 0.4 seconds), high pitched (about 17 kHz in the
maximum frequencies), and had on average 18 harmonic bands (TABLE 1; FIG. 7).
Leptodactylus mystaceus
Two adult females (mean SVL of 46 mm) emitted distress calls and were
recorded. These individuals only emitted the calls when running away from the
113
researcher (in both cases), or when running from a mouse that have been trapped in the
same pitfall trap (in one case). In these two situations the individuals were in a plastic
bucket. By usual handling none of these females and neither of the two tested males
(also placed in a plastic bucket; see Appendix B) emitted distress calls. The distress
calls were emitted isolated or in groups of two to seven similar calls. In the case of
multiple calls, the mean interval between calls was 0.11 ± 0.06 ms (range: 0 – 0.25 ms)
and the mean rate of emission was 0.30 ± 0.03 calls/second (range: 0.25 – 0.35; n = 8
series and 32 calls). The vocalizations were short in duration (about 0.2 seconds), could
reach high frequencies (over 20 kHz), and presented from 6 to 12 harmonics (TABLE 1;
FIG. 7).
Leptodactylus mystacinus
One adult male (SVL = 54.2 mm) emitted 10 distress calls when handled. These
calls presented a low number of harmonics (from seven to nine), did not reach very high
frequencies (less than 14 kHz), and were very short in duration (about 0.3 seconds)
(TABLE 1; FIG. 8).
Leptodactylus pentadactylus
One adult female (SVL = 150 mm) emitted a series of 57 distress calls when
handled in the field. Only seven out of these 57 calls were emitted isolated. The
remaining were emitted in groups of 2 to 11 consecutive similar calls, interspaced by
0.16 ± 0.06 seconds on average (range: 0.03 – 0.25; n = 13) and with a mean rate of
emission of 0.54 ± 0.11 calls/second (range: 0.43 – 0.75; n = 6 series and 28 calls).
Seventeen out of 57 calls were analyzed. The calls were short in duration (0.4 seconds
on average), low pitched (reaching less than 8 kHz), ascendant and descendant
(successively) modulated, and presented an intermediate number of harmonic bands
(from 6 to 14) (TABLE 1; FIG. 8).
Leptodactylus savagei
Twenty nine distress calls of an adult male L. savagei (SVL = 160 mm) were
recorded in the field. These were emitted in eight groups from 3 to 5 short duration
(about 0.35 seconds) calls. The mean interval between calls was 0.24 ± 0.04 seconds
114
(range: 0.17 – 0.34; n = 22) and the mean rate of emission was 0.52 ± 0.05 calls/second
(range: 0.45 – 0.57; n = 7 series and 29 calls). However, the interval between calls
inside the same group of calls was variable; the intervals gradually increased as more
calls were added in the series (see TABLE 2). The calls were high pitched (reaching
more than 20 kHz) and had a large number of harmonic bands (from 26 to 37) (TABLE
1; FIG. 8).
Table 2. Interval between calls (in milliseconds) in the grouped distress calls of
Leptodactylus savagei. The asterisk “*” shows the only case were the second interval
between notes is shorter than the first. In all other cases, the interval between notes
increases successively.
Distress call groups Call
intervals
1 2 3 4 5 6 7 8
1 0.172 0.182 0.186 0.249 0.235 0.261 0.283 0.172
2 0.216 0.195 0.194 0.339 0.286 0.246* 0.293 0.216
3 0.238 0.199 0.208 0.312 0.272 0.238
4 0.247 0.239 0.244 0.247
Leptodactylus troglodytes
Two males (mean SVL = 44 mm) had their distress calls recorded in the field.
The composed series had from 3 to 30 short duration (about 0.36 seconds) distress calls.
The mean rate of emission in the series was 1.63 ± 0.11 calls/second (range: 1.56 –
1.64; n = 2 series and 51 calls). The calls were high pitched (reaching up to 18.3 kHz)
and presented an intermediate number of harmonic bands (from 8 to 20) (TABLE 1;
FIG. 8).
Leptodactylus vastus
One adult female (SVL = 140 mm) was recorded. The calls could be emitted
isolated or in composed series containing 2 or 3 short duration (about 0.75 seconds)
calls. The mean rate of emission was 0.99 ± 0.15 calls/second (range: 0.80 – 1.17; n = 5
series and 12 calls). These calls had 12 to 26 harmonic bands reaching less than 10 kHz
(TABLE 1; FIG. 8).
115
Ranidae
Lithobates catesbeianus
Six out of 21 males of Lithobates catesbeianus kept in captivity emitted distress
calls when handled. It was possible to recognize four types of calls (A, B, AB, and BA),
composed by the combination of two different notes (A and B). These notes are
different mostly in their duration (A being shorter than B), frequency amplitude (A
having higher frequencies than B), and in number of harmonic bands (A having more
than B). However, they are similar in the minimum (from 0.07 to 0.40 kHz) and
dominant (from 2.12 to 3.50 kHz) frequencies. This call was the longest recorded in the
present study, lasting more than seven seconds (TABLE 1; FIG. 8).
116
Table 1. Major characteristics of the distress calls of Neotropical anurans tested in the present study. Values presented as mean ±
standard deviation (range). SVL and temperature of the air are presented as a mean of the measured individuals and different
days.
Species SVL Duration Frequency (kHz) Harmonics Temperature
(N individuals / N calls) (mm) (sec) Minimum Maximum Dominant N Dominant of the air (ºC)
Brachycephalidae
Eleutherodactylus binotatus
(1 male / 7 calls)
45 0.58 ± 0.16
(0.35 – 0.84)
5.22 ± 0.45
(4.65 – 5.73)
> 22
(ultrasound)
7.80 ± 0.53
(6.95 – 8.53)
2.14 ± 0.37
(2 – 3)
117
Ceratophryidae
Ceratophrys joazeirensis
(1 male / 10 calls)
81 2.49 ± 0.90
(1.11 – 4.42)
0.30 ± 0.13
(49.2 – 487)
13.29 ± 2.34
(10.58 – 15.47)
2.90 ± 0.48
(1.77 – 3.45)
25.25 ± 4.84
(18 – 33)
5 – 7 25
Ceratophrys joazeirensis
(1 female / 2 calls)
104 1.88 – 3.16 0.26 – 0.30 14.53 – 17.48 1.98 – 2.15 24 4 25
Cycloramphidae
Cycloramphus sp. (aff. bolitoglossus)
(1 female / 4 calls)
29 0.28 ± 0.03
(0.25 – 0.32)
0.42 ± 0.28
(0.28 – 0.84)
20.61 ± 0.29
(20.19 – 20.84)
1.51 ± 0.27
(1.21 – 1.81)
10.67 ± 0.58
(10 – 11)
1-2 24
Cycloramphus sp. (aff. bolitoglossus)
(1 female / 2 calls)
31 0.18 – 0.20 1.04 – 1.14 19.67 – 20.91 11.28 – 13.78 11 – 12 7 24
Hylidae
Aplastodiscus albosignatus
(1 female / 3 calls)
47.9 1.11 ± 0.63
(0.67 – 1.84)
0.61 ± 0.11
(0.52 – 0.72)
18.15 ± 1.04
(17.51 – 19.36)
6.43 ± 0.69
(5.77 – 7.49)
16 ± 1
(15 – 17)
5 – 6 18
Aplastodiscus arildae
(1 male / 8 calls)
39.19 0.40 ± 0.09
(0.29 – 0.53)
0.97 ± 0.15
(0.81 – 1.28)
13.61 ± 5.03
(8.46 – 19.68)
5.59 ± 2.43
(1.46 – 7.72)
16.62 ± 6.23
(10 – 24)
1 – 9 20
Aplastodiscus cochranae
(1 male / 8 calls)
43.5 1.52 ± 0.37
(1.09 – 2.17)
2.84 ± 0.28
(2.66 – 3.48)
8.88 ± 1.18
(7.96 – 11.61)
6.19 ± 0.39
(5.60 – 6.55)
15.38 ± 4.14
(11 – 22)
6 – 14 22
117
Aplastodiscus leucopygius
(2 males / 17 calls)
41.09 0.44 ± 0.17
(0.21 – 0.86)
0.55 ± 0.09
(0.36 – 0.72)
9.07 ± 0.63
(7.87 – 10.64)
6.00 ± 0.68
(4.82 – 6.89)
11.18 ± 1.70
(9 – 16)
6 – 9 20
Aplastodiscus perviridis
(1 male / 3 calls)
37.74 0.70 ± 0.23
(0.44 – 0.86)
0.21 ± 0.10
(0.10 – 0.31)
19.14 ± 0.72
(18.46 – 19.90)
4.22 ± 1.06
(3.45 – 5.43)
20.00 ± 2.65
(18 – 23)
4 – 6
Aplastodiscus perviridis
(1 female / 4 calls)
43 0.76 ± 0.55
(0.34 – 1.55)
0.44 ± 0.28
(0.10 – 0.72)
20.04 ± 0.46
(19.58 – 20.61)
7.02 ± 1.80
(4.65 – 8.70)
––
Bokermannohyla circumdata
(3 females / 17 calls)
66.5 0.94 ± 0.32
(0.44 – 1.40)
0.53 ± 0.11
(0.31 – 0.80)
9.70 ± 0.98
(8.78 – 12.45)
3.97 ± 1.22
(1.38 – 5.43)
13.71 ± 2.42
(10 – 18)
3 – 8 20
Bokermannohyla hylax
(1 male / 10 calls)
58.2 1.17 ± 0.30
(0.71 – 1.64)
0.77 ± 0.18
(0.62 – 1.19)
12.52 ± 0.52
(11.66 – 13.23)
3.17 ± 0.99
(1.81 – 4.48)
20.56 ± 3.13
(15 – 24)
2 – 7 21
Bokermannohyla izecksohni
(1 male / 7 calls)
45 0.79 ± 0.26
(0.55 – 1.28)
1.87 ± 0.11
(1.70 – 2.01)
8.59 ± 0.30
(8.24 – 9.07)
3.75 ± 1.61
(2.76 – 7.06)
10.86 ± 0.90
(10 – 12)
2 – 3 22
Bokermannohyla luctuosa
(1 male / 8 calls)
49 1.01 ± 0.22
(0.82 – 1.36)
0.46 ± 0.15
(0.21 – 0.62)
17.57 ± 0.31
(17.00 – 18.03)
3.35 ± 0.31
(3.10 – 3.96)
26.50 ± 3.07
(23 – 31)
5 – 6 23.5
Dendropsophus minutus
(1 female / 1 calls)
25.3 0.18 1.62 16.66 5.59 6 2 20
Hypsiboas albomarginatus
(2 males / 19 calls)
47.6 0.39 ± 0.17
(0.22 – 0.75)
0.29 ± 0.09
(0.17 – 0.41)
15.43 ± 2.28
(8.42 – 18.27)
3.54 ± 2.05
(1.38 – 6.37)
––
Hypsiboas bischoffi
(1 female / 7 calls)
37.14 0.29 ± 0.06
(0.21 – 0.37)
0.88 ± 0.48
(0.41 – 1.54)
10.96 ± 1.35
(9.13 – 13.13)
5.13 ± 2.33
(1.98 – 7.49)
8 ± 2.65
(5 – 10)
2 – 7 21
Hypsiboas caingua
(1 male / 2 calls)
32.5 0.43 – 0.67 0.07 – 0.22 10.10 – 10.76 7.41 – 7.49 17
118
Hypsiboas faber
(4 males / 29 calls)
92.6 0.70 ± 0.20
(0.44 – 1.23)
0.40 ± 0.15
(0.18 – 0.79)
10.54 ± 4.61
(5.78 – 19.69)
3.15 ± 0.72
(1.89 – 4.22)
15.48 ± 4.77
(9 – 25)
2 – 10 20.6
Hypsiboas faber
(3 females / 17 calls)
83.3 1.83 ± 0.98
(1.09 – 4.74)
0.53 ± 0.17
(0.22 – 0.88)
9.04 ± 1.17
(6.43 – 10.94)
4.20 ± 0.52
(3.10 – 5.51)
15.47 – 3.71
(11 – 23)
5 – 11 25
Hypsiboas faber
(2 juveniles / 10 calls)
41 0.64 ± 0.36
(0.23 – 1.30)
0.69 ± 0.32
(0.29 – 1.33)
15.62 ± 3.44
(9.96 – 20.82)
4.37 ± 2.15
(1.89 – 7.75)
15.1 ± 2.77
(12 – 19)
1 – 6 20
Hypsiboas latistriatus
(1 female / 11 calls)
46.47 0.57 ± 0.33
(0.25 – 1.17)
0.91 ± 0.21
(0.71 – 1.42)
19.62 ± 1.91
(14.84 – 21.34)
5.47 ± 1.25
(2.24 – 6.89)
23.9 ± 6.82
(16 – 35)
2 – 10 25
Hypsiboas lundii
(1 male / 6 calls)
59 1.09 ± 0.35
(0.60 – 1.44)
0.32 ± 0.12
(0.20 – 0.51)
9.58 ± 1.47
(7.55 – 10.82)
0.89 ± 0.10
(0.78 – 1.03)
––15
Hypsiboas lundii
(1 female / 6 calls)
73 0.62 ± 0.16
(0.37 – 0.80)
0.59 ± 0.15
(0.36 – 0.80)
10.22 ± 0.60
(9.50 – 11.24)
4.38 ± 1.55
(2.15 – 6.37)
13.17 ± 1.60
(12 – 16)
3 – 7
Hypsiboas lundii
(1 juvenile / 7 calls)
43.9 0.69 ± 0.11
(0.57 – 0.86)
0.46 ± 0.13
(0.22 – 0.58)
9.19 ± 1.10
(8.05 – 11.24)
1.98 ± 1.71
(1.12 – 5.86)
18.86 ± 4.49
(14 – 28)
2 – 16 15
Hypsiboas pardalis
(4 males / 27 calls)
60.2 0.35 ± 0.16
(0.15 – 0.72)
0.43 ± 0.13
(0.14 – 0.65)
8.61 ± 0.92
(7.43 – 11.53)
1.14 ± 0.72
(0.69 – 4.65)
20.60 ± 2.27
(17 – 24)
1 – 2 24
Hypsiboas raniceps
(1 male / 1 call)
67.7 0.33
0.36 17.21 0.95
25 1
Hypsiboas raniceps
(1 female / 8 calls)
73.05 0.37 ± 0.05
(0.30 – 0.43)
0.46 ± 0.09
(0.31 – 0.61)
18.53 ± 0.91
(17.86 – 20.11)
1.04 ± 0.72
(0.95 – 1.12)
17.63 ± 2.77
(14 – 23)
1–
Pseudis cardosoi
(1 male / 3 calls)
48 0.40 ± 0.02
(0.38 – 0.42)
1.46 ± 0.47
(1.00 – 1.95)
19.26 ± 0.37
(19.0 – 19.7)
4.48 ± 0.89
(3.44 – 4.99)
26.33 ± 2.08
(24 – 28)
3 – 8
Pseudis paradoxa
45 0.40 ± 0.06 0.62 ± 0.17 13.68 ± 2.61 3.78 ± 0.60 18.66 ± 2.70
4 – 6 24
119
(3 males / 19 calls) (0.24 – 0.48) (0.40 – 1.08) (6.5 – 17.5) (2.53 – 4.88) (12 – 23)
Leptodactylidae
Leptodactylus fuscus
(1 male / 5 calls)
40 0.42 ± 0.07
(0.36 – 0.54)
0.54 ± 0.12
(0.51 – 0.77)
17.31 ± 0.24
(17.08 – 17.68)
3.62 ± 1.08
(2.49 – 4.74)
18 ± 2.35
(13 – 19)
2 – 4 21
Leptodactylus mystaceus
(2 females / 31 calls)
46 0.23 ± 0.08
(0.12 – 0.39)
0.73 ± 0.11
(0.51 – 1.03)
13.72 ± 4.90
(7.38 – 21.02)
6.02 ± 1.23
(1.29 – 8.10)
8.81 ± 1.76
(6 – 12)
1 – 5 25
Leptodactylus mystacinus
(1 male / 10 calls)
54.2 0.33 ± 0.10
(0.20 – 0.52)
1.22 ± 0.28
(0.61 – 1.55)
13.11 ± 0.53
(12.33 – 13.95)
5.41 ± 0.44
(4.89 – 6.10)
7.9 ± 0.88
(7 – 9)
3 – 4 19
Leptodactylus pentadactylus
(1 female / 17 calls)
150 0.40 ± 0.09
(0.25 – 0.58)
0.18 ± 0.07
(0.10 – 0.36)
6.15 ± 0.46
(5.44 – 7.33)
1.91 ± 0.42
(0.52 – 2.24)
10.71 ± 2.64
(6 – 14)
1 – 5 23
Leptodactylus savagei
(1 male / 29 calls)
160 0.35 ± 0.07
(0.25 – 0.54)
0.21 ± 0.06
(0.09 – 0.38)
18.95 ± 1.50
(16.98 – 20.92)
2.07 ± 0.36
(1.55 – 2.58)
31.31 ± 3.29
(26 – 37)
3 – 4 18
Leptodactylus troglodytes
(2 males / 17 calls)
44 0.36 ± 0.13
(0.23 – 0.70)
0.99 ± 0.27
(0.52 – 1.35)
15.56 ± 1.57
(13.35 – 18.32)
7.06 ± 0.96
(5.08 – 8.44)
11.88 ± 3.08
(8 – 20)
3 – 7 21
Leptodactylus vastus
(1 female / 18 calls)
140 0.75 ± 0.23
(0.25 – 1.26)
0.17 ± 0.04
(0.12 – 0.22)
7.42 ± 1.07
(5.86 – 9.74)
1.64 ± 0.27
(1.21 – 2.15)
19.72 ± 3.88
(12 – 26)
4 – 6
Ranidae
Lithobates catesbeianus type A
(5 males / 10 calls)
115 2.24 ± 0.27
(1.90 – 2.79)
0.19 ± 0.08
(0.07 – 0.34)
9.49 ± 1.71
(6.81 – 12.13)
3.1 ± 0.17
(2.89 – 3.50)
16.6 ± 3.44
(10 – 22)
5 – 6 24
Lithobates catesbeianus type B
(3 males / 5 calls)
110 3.20 ± 0.84
(2.30 – 4.18)
0.28 ± 0.12
(0.10 – 0.40)
5.45 ± 2.68
(2.09 – 8.76)
2.79 ± 0.46
(2.12 – 3.17)
3.0 ± 0.71
(2 – 4)
2 – 3 24
Lithobates catesbeianus type AB/BA
(4 males / 4 calls)
117 5.22 ± 2.50
(2.20 – 7.39)
0.25 ± 0.08
(0.17 – 0.34)
9.19 ± 3.74
(4.65 – 13.81)
2.92 ± 0.59
(2.05 – 3.40)
14.75 ± 10.07
(3 – 25)
3 – 6 24
120
FIG. 4.ʊSpectrogram (above) and waveform (below) of the defensive vocalizations of:
A) Eleutherodactylus binotatus, B) adult male Ceratophrys joazeirensis, C)
Cycloramphus sp. (aff. bolitoglossus), D) Aplastodiscus albosignatus, E) A. arildae, and
F) A. cochranae.
121
FIG. 5.ʊSpectrogram (above) and waveform (below) of the defensive vocalizations of:
A) Aplastodiscus leucopygius, B) A. perviridis, C) Bokermannohyla circumdata, D) B.
hylax, E) B. luctuosa, and F) Dendropsophus minutus.
122
FIG. 6.ʊSpectrogram (above) and waveform (below) of the defensive vocalizations of:
A) Hypsiboas albomarginatus,B)H. bischoffi, C) adult male H. faber, D) H.
latistriatus, E) adult female H. lundii, and F) H. pardalis.
123
FIG. 7.ʊSpectrogram (above) and waveform (below) of the defensive vocalizations of:
A) adult male H. raniceps, B) Hypsiboas caingua, C) Pseudis cardosoi, D) P.
paradoxa, E) Leptodactylus fuscus, and F) L. mystaceus.
124
FIG. 8.ʊSpectrogram (above) and waveform (below) of the defensive vocalizations of:
A) Leptodactylus mystacinus, B) L. pentadactylus, C) L. savagei, D) L. troglodytes, E)
L. vastus, and F) Lithobates catesbeianus.
Phylogeny
125
Distress and warning calls were recognized in about 38 % of the anuran families
(17 out of 44), ranging from families considered to be the most basal to those
considered to be the most derived, according to the recent systematic arrangement (see
Grant et al., 2006; Frost et al., 2006) (FIG. 9). Among the hylids, distress calls are
reported to occur in nine out of the 40 genera (about 23 %), again spread throughout the
proposed phylogenetic tree (sensu Faivovich et al., 2005) (FIG. 10).
C
APTIONS FOR THE NEXT FIGURES:
FIG. 9.ʊPhylogenetic tree of the anuran families, according to Grant et al. (2006) and
Frost et al. (2006). The black branches show the families for which defensive
vocalizations are reported, including distress, warning and alarm calls; the light gray
branches show the negative results for the tested families (based on Appendixes I and
II).
FIG. 10.ʊPhylogenetic tree of the hylid genera, according to Faivovich et al. (2006).
The black branches show the genera for which the presence of defensive vocalizations
is reported (including, distress, warning and alarm calls) and the light gray branches
show the negative results for the tested genera (based on Appendixes I and II).
126
127
128
Size relationships
The snout-vent-length was positively correlated with the duration of the
defensive calls (r
2
= 0.16; P = 0.009; N = 41; FIG. 11) and negatively correlated with
the dominant frequency (r
2
= 0.27; P = 0.0005; N = 41; FIG. 12). The present study did
not register the sound pressure levels (db) of the defensive vocalizations; however,
based on data available in the study of Hödl & Gollmann (1986), we verified a positive
logarithmic correlation between SVL and sound pressure levels (r
2
= 0.65; P = 0.001; N
= 16) (FIG. 13).
FIG. 11.ʊLinear regression between the snout-vent-length and the duration of the
defensive vocalizations.
129
FIG. 12.ʊLinear regression between the snout-vent-length and the dominant frequency
of the defensive vocalizations.
FIG. 13.ʊLogarithmic regression between the snout-vent-length (mm) and the sound
pressure level (db) of the distress calls reported by Hödl & Gollamann (1986).
130
DISCUSSION
Methodology
Our handling technique seemed to work well, since many individuals emitted
defensive vocalizations, and was certainly less stressful than other techniques
previously used, such as electric discharges on the snout of the animals (see Capranica,
1968).
Physical characteristics and phylogenetic inferences
Despite the negative correlation between anuran size and the dominant
frequency of the call, it is possible that no signal/information is transmitted to the
receptors; i.e., up to the present moment, there is no information that supports the
hypothesis that predators use distress call characteristics to evaluate the size of the
anuran. In fact, this correlation may be directly related to the size of the anuran vocal
cords, which affects the frequencies of the vocalizations (Martin, 1972), as is observed
for advertisement calls (e.g., Bastos & Haddad, 2002; Toledo & Haddad, 2005).
Equally, the duration and sound pressure levels of the defensive vocalizations,
positively correlated to the size of the animals, may be due to some physical
characteristic of the individuals. That is, the larger the anuran, the larger the lungs;
therefore, the more air the animal can hold inside its lungs, the longer (Barrio, 1963;
present study) and more powerful (in terms of sound pressure levels) the vocalization
will be (present study). Longer and more powerful defensive vocalizations will
probably enhance the intimidation or frightening capability against predators with
developed acoustic capabilities. Consequently, the larger the anuran, the higher will be
its chances of survival.
If the size of the anuran is really directly related to the success of their acoustic
defensive strategies, we may suggest a reason for why most of the small species do not
use this defensive behavior. The distress calls of these species may be inefficient to
most or all of their predators. Therefore, defensive vocalizations are being or have been
eliminated throughout the evolution of the species; or, on the other hand, there may
never have been any selective pressures for their appearance.
131
The analyzed calls of the species of the Leptodactylus pentadactylus group (L.
pentadactylus, L. savagei, and L. vastus: present study; and L. labyrinthicus: Toledo et
al., 2005) have shorter distress calls than that expected by the regression analysis. This
observation may be reflecting a phylogenetic bias that may have molded their calls.
Another characteristic that may be related to phylogeny, considering the leptodactylids,
is the presence of composed calls (with a high rate of calls/second) in some species of
the L. pentadactylus and L. fuscus groups. Once more, these characteristics may be
more related to a phylogenetic bias in the genus than to the size of the individuals.
Since the distress calls are emitted throughout the Anura clade, occurring from
more basal species, such as Leiopelma spp. (Leiopelmatidae: Bell, 1978; Green, 1988)
and voiceless (with regard to the emission of reproductive vocalizations) species, such
as Leiopelma spp. and Bokermannohyla izecksohni (Hylidae: present study), up to the
ranids, we can consider their emission as a plesiomorphic character for Anura. Even if
we delve deeper into the amphibian phylogeny, looking at the basal and sister group of
the anurans (Frost et al., 2006), we can observe the same type of vocalization (in
physical structure, social context, and form of emission) emitted by salamanders (e.g.,
Brodie Jr., 1978).
If the emission of distress calls is a plesiomorphic character in anurans, and size
is a determinant factor for its presence, it seems that some groups have lost the
capability of the emission of distress calls. This seems to be the case of the species of
the genus Scinax (present study) or the members of the families Leiuperidae (present
study), Myobatrachidae and Limnodynastidae (Williams et al., 2000). These species are
large enough to produce these calls but apparently, do not resort to this defensive
behavior. Therefore, these species must rely on other defensive strategies.
Ultrasound in anurans was reported recently only for the advertisement calls of
some Asiatic species (Feng et al., 2002; 2006; Narins et al., 2004). In the present study
we clearly detected ultrasound harmonics in the distress calls of Eleutherodactylus
binotatus. Its function, if there is one, remains unclear; it could be only a byproduct of
the morphological structure of their vocal apparatus. On the other hand, ultrasound may
be heard by many animals, including some of the anuran predators (see Toledo et al.,
2007), such as bats, carnivores, and rodents (Ryan, 1985; Pough et al., 1999).
132
Therefore, the distress calls of this species may be related to its predators’ auditory
perception and/or interpretation.
Definitions and functions of the defensive vocalizations
Defensive vocalizations are emitted in different contexts and, therefore, several
terminologies have been used in the past, such as: aggressive call, alarm call, distress
call, distress scream, fear scream, fright call, fright cry, mercy cry, warning call,
warning signal, etc… (e.g., Noble, 1931; Barrio, 1963; Formanowicz Jr. & Brodie Jr.,
1979; Toledo et al., 2005). By reviewing the literature, it is possible to find more than
one terminology for the same context, and sometimes, erroneous uses of the different
names [e.g., Lingnau et al. (2004) used the term distress call to describe the release call
of Dendropsophus werneri]. Therefore, we suggest the use of only three terms: distress,
warning, and alarm calls, based on the different functions of the calls, and we define
them below.
1) Distress call
In natural conditions this call is emitted by anurans when seized by their
predators (or when running from the predator), and may be emitted with the mouth open
or closed (e.g., Hoff & Moss, 1974; Webber, 1978; Martins, 1990). The functions
already observed for this call are: to frighten potential predators (e.g., Brodie Jr. &
Formanowicz Jr., 1981; Hödl & Gollmann, 1986); to attract other animals, which can be
conspecifics (in this case the call can be considered also an alarm call; Leary &
Razafindratsita, 1998), other potential predators and/or pirates (Högstedt, 1983; Schuett
& Gillingham, 1990), or other curious animals (such as humans; pers. obs.). These extra
individuals may interfere in the predation event and enhance the frog’s chances of
escape.
2) Warning call
In natural conditions, the warning call is emitted before the subjugation by a
potential predator. This call functions like a deimatic signal that warns the potential
predator that the potential prey is dangerous in one or more ways; i.e., the anuran (prey)
133
may be toxic (e.g., Brodie Jr., 1978; Formanowicz & Brodie, 1979; Brodie &
Formanowicz, 1981), or present other defensive strategies that may cause injuries to the
predator, such as biting or puncturing with spines (e.g., Barrio, 1963; present study).
This call is commonly emitted by frogs of the genus Ceratoprhrys, Chacoprhys, and
Lepidobatrachus (Barrio, 1963; Cei, 1990; present study).
3) Alarm call
The alarm call is emitted basically in two situations: when a frog is surprised by
a potential predator and runs away emitting the scream (e.g., Capranica, 1968; Tunner
& Hödl, 1978); or when a frog is being preyed upon (Noble, 1931; Bogert, 1960; Leary
& Razafindratsita, 1998; present study). The emission of this call seems to call
attention, making the frogs in the audible range alert and/or silent (Noble, 1931; Bogert,
1960; Capranica, 1968; present study), or stimulates an attempt by nearby conspecifics
(Leary & Razafindratsita, 1998) or even other anuran species (Smith, 1977) to help the
caller. This type of vocalization is much more frequent in vertebrates with a high social
structure, such as crocodilians (Staton, 1978), birds (Jurisevic & Snaderson, 1998),
rodents (e.g., Blumstein, 1999; Blumstein et al., 2004), and humans (Christensson et al.,
1995). However, some reports of alarm calls exist for anurans as well, both in natural
(e.g., Capranica, 1968; Smith, 1977; Leary & Razafindratsita, 1998; present study) and
in experimental conditions (e.g., Yerks, 1903; Bogert, 1960). These experiments
demonstrated intrinsic answers (changes in the oxygen consumption) by individuals in
response to conspecific distress calls (see Yerks, 1903; Bogert, 1960).
The emission of alarm calls during the escape behavior into the water, such as
that observed for some Lithobates and Pelophylax species, may imply in another signal
to the nearby frogs. That is, the nearby frogs may be stimulated by the splashing sound
caused by the frightened frog jumping into the water. Therefore, the warning signal
emitted by the vocalization in this circumstance may be strengthened by the splashing
sound. On the other hand, the production of a call in this circumstance (when jumping
into the water) may be a consequence of rapid lung deflation, thus allowing the frog to
dive into the water (Yerks, 1903; 1905; Capranica, 1968; Tunner & Hödl, 1978).
134
Similarities in the defensive vocalizations
We reported differences between the distress calls of several anuran species, as
observed before (e.g., Barrio, 1963; Hödl & Gollmann, 1986). However, these
differences are not as large as those observed among advertisement calls; in fact
heterospecific distress calls are quite similar in structure, the majority of them
resembling a loud and high pitched scream. Similarities in the distress calls of different
species are also observed among birds (see Högstedt, 1983).
If defensive calls in anurans do not diverge much from one another, if the
anurans are able to recognize defensive vocalizations (of the same or different species),
and if they react defensively, it is possible that the emission of defensive vocalizations
will benefit all anurans in the vicinity. Thus, anuran defensive vocalizations may be
evidence of a highly structured social community, which is still poorly studied.
However, we believe that anuran defensive calls are primarily a selfish rather than an
altruistic defense (see also Högstedt, 1983).
Effectiveness of the defensive vocalizations
Some authors reported successful escapes by frogs that make use of defensive
vocalizations. Cases where the emission of anuran defensive calls made the predators
abandon their prey occurred with mammals (Brodie Jr. & Formanowicz Jr., 1981) or
birds (Lutz, 1973). In the other failed predation attempts, which included snakes, birds,
and mammals as predators, the successful escapes involved the association of chemical
defenses, other defensive behaviors, or the interaction of a third (or more) individuals in
the event (Smith, 1977; Formanowicz Jr. & Brodie Jr., 1979; Brodie Jr. & Nussbaum,
1987; Leary & Razafindratsita, 1998).
When multiple defences are involved in a predation attempt, generally, it is hard
to elicit which defense(s) definitely saved the prey. However, when snakes are the
predators, and they seem to be the major anuran predators (Toledo et al., 2007), the
distress calls are unlikely to be efficient, because snakes hardly hear above 400 kHz
(Young, 2003), which is lower than most of the minimum frequencies of anuran distress
calls (see also Sazima, 1975; Duellmann & Trueb, 1994). Therefore, when facing
135
snakes and other deaf (for the distress call frequencies) predators, frogs must rely on
other defensive strategies (such as toxic skin secretions, or defensive behaviors).
However, as far as we know, there is no evidence that anurans are able to distinguish the
different predators with regard to their hearing sensitiveness. Actually, they seem to be
able to evaluate the risk of predation based on the size of the potential predator
(Hinsche, 1928; Smith 1977). This and other questions raised in the present study
remain unsolved and are the starting point for future research.
ACKNOWLEDGEMENTS
C. P. A. Prado made valuable comments during early versions of the manuscript;
A. Alvarez helped with the German translations and A. D’Heursel helped with the
English corrections; Distress calls of Dendropsophus minutus, Leptodactylus
pentadactylus, L. savagei, and Pseudis paradoxa were provided by R. P. Bastos, M. B.
Souza, J. Zina, and C. P. A. Prado, respectively. O. G. S. Araújo, K. Zamudio, J.
Faivovich, L. O. M. Giasson, and A. Antunes helped in the field and laboratory
experiments. FAPESP (BIOTA proc. no. 01/13341-3) and CNPq supported the
Herpetology laboratory, Departamento de Zoologia, Unesp, Rio Claro, State of São
Paulo, Brazil. Authors also thank CAPES, FAPESP, Idea Wild, and Neotropical
Grassland Conservancy for grants, scholarships, and equipment donation. The Cornell
laboratory of Ornithology conceded licenses for using the software Raven.
136
REFERENCES
Barrio, A. (1963). Consideraciones sobre comportamiento y “grito agresivo” propio de
algunas especies de Ceratophrynidae (Anura). Physis 24, 143-148.
Bastos, R. P. & Haddad, C. F. B. (2002). Acoustic and aggressive interactions in Scinax
rizibilis (Anura: Hylidae) during the reproductive activity in southeastern Brazil.
Amphibia-Reptilia 23, 97–104.
Bell, B. D. (1978). Observations on the ecology and reproduction of the New Zealand
Leiopelmatid frogs. Herpetology 34, 340-354.
Blumstein, D. T. (1999). Alarm calling in three species of marmots. Behaviour 136,
731-757.
Blumstein, D. T., Verneyre, L. & Daniel, J. C. (2004). Reliability and the adaptive
utility of discrimination among alarm callers. Proceedings of the Royal Society of
London B 271, 1851–1857.
Bogert, C. M. (1960). The influence of sound on the behavior of amphibians and
reptiles. In: Animal sounds and communication, 137-320, Lanyon W. W. &
Tavolga, W. W. (Eds.). Port Jervis: Lubrecht & Cramer Ltd.
Boulenger, G. A. (1897). The tailless batrachians of Europe. London: The Ray Society.
Brodie Jr., E. D. (1978). Biting and vocalization as antipredator mechanisms in
terrestrial salamanders. Copeia 1978, 127-129.
Brodie Jr., E. D. & Formanowicz Jr., D. R. (1981). Palatability and antipredator
behavior of the treefrog Hyla versicolor to the shrew Blarina brevicauda. Journal of
Herpetology 15, 235-236.
Brodie Jr., E. D. & Nussbaum, R. A. (1987). Antipredator responses of Rana tigerina to
a crow. Herpetological Review 18, 8-9.
Brodie Jr., E. D. (1978). Biting and vocalization as antipredator mechanisms in
terrestrial salamanders. Copeia 1978, 127-129.
Capranica, R. R. (1968). The vocal repertoire of the bullfrog (Rana catesbeiana).
Behaviour 31, 302-325.
Cei, J. M. (1980). Amphibians of Argentina. Monitore Zoologico Italiano (N.S.)
Monographies 2.
137
Christensson K, Cabrera, T., Christensson, E., Uvnas-Moberg, K. & Winberg J. (1995).
Separation distress call in the human neonate in the absence of maternal body
contact. Acta Paediatrica 84, 468-73.
Duellman, W. E. & Trueb, L. (1994). Biology of Amphibians. Baltimore and London:
The Johns Hopkins University Press.
Faivovich, J., Haddad, C. F. B., Garcia, P. C. A., Frost, D. R., Campbell, J. A. &
Wheeler, W. C. (2005). Systematic review of the frog family Hylidae, with special
reference to Hylinae: phylogenetic analysis and taxonomic revision. Bulletin of the
American Museum of Natural History 294, 1-240.
Feng, A. S., Narins, P. M. & Xu, C. H. (2002). Vocal acrobatics in a Chinese frog,
Amolops tormotus. Naturwissenschaften 89, 352-356.
Feng, A. S., Narins, P. M., Xu, C. H., Lin, W. Y., Yu, Z. L., Qiu, Q., Xu, Z. M. & Shen,
J. X. (2006). Ultrasonic communication in frogs. Nature 440, 333-336.
Formanowicz Jr., D. R., & Brodie Jr., E. D. (1979). Palatability and antipredator
behavior of selected Rana to Shrew Blarina. American Midland Naturalist 101,
456-458.
Frost, D. R., Grant, T., Faivovich, J., Bain, R. H., Haas, A., Haddad, C. F. B., Sá, R. O.,
Channing, A., Wilkinson, M., Donnellan, S. C., Raxworthy, C. J., Campbell, J. A.,
Blotto, B. L., Moler, P., Drews, R. C., Nussbaum, R. A., Lynch, J. D., Green, D. M.,
& Wheeler, W. C. (2006). Amphibian tree of life. Bulletin of the American Museum
of Natural History 297, 1-371.
Gorzula, S. (1985). Are caimans always in distress? Biotropica 17, 343-344.
Grant, T., Frost, D. R., Caldwell, J. P., Gagliardo, R., Haddad, C. F. B., Kok, P. J. R.,
Means, D. B., Nooman, B. P., Schargel, W. E. & Wheeler, W. C. (2006).
Phylogenetic systematics of dart-poison frogs and their relatives (Amphibia:
Athesphatanura: Dendrobatidae). Bulletin of the American Museum of Natural
History 299, 1-262.
Green, D. M. (1988). Antipredator behaviour and skin glands in the New Zealand native
frogs, genus Leiopelma. New Zeal. Journal of Zoology 15, 39-45.
Hinsche, G. (1928). Kampfreaktionen bei einheimischen Anuren. Biologisches
Zentralblatt 48, 577-617.
138
Hödl, W. & Gollmann, G. (1986). Distress calls in Neotropical frogs. Amphibia-Reptilia
7, 11-21.
Hoff, J. G. & Moss S. A. (1974). A distress call in the bullfrog, Rana catesbeiana.
Copeia 2, 533-534.
Högstedt, G. (1983). Adaptation unto death: function of fear screams. American
Naturalist 121, 562-570.
Jurisevic, M. A. & Sanderson, K. J. (1998). A comparative analysis of distress call
structure in Australian passerine and non-passerine species: influence of size and
phylogeny. Journal of Avian Biology 29, 61-71.
Leary, C. J. & Razafindratsita, V. R. (1998). Attempt predation on a hylid frog,
Phrynohyas venulosa, by an indigo snake, Drymarchon corais, and the response of
conspecific frogs to distress calls. Amphibia-Reptilia 19, 442-446.
Lingnau, R., Guimarães, L. D. & Bastos, R. P. (2004). Vocalizações de Hyla werneri
(Anura, Hylidae) no sul do Brasil. Phyllomedusa 3, 115-120.
Lutz, B. 1973. Brazilian species of Hyla. Austin: University of Texas Press.
Martin, W. F. (1972). Evolution of vocalizations in the genus Bufo. In Evolution in the
Genus Bufo, 279-309, Blair, W. F. (Ed.). Austin: Univ. of Texas Press.
Martins, M. (1990). História natural do sapo ferreiro, Hyla faber Wied, na região de
Campinas, Estado de São Paulo. Master’s Thesis, Universidade Estadual de
Campinas.
Narins, P. M., Feng, A. S., Lin, W., Schnitzler, H. U., Denzinger, A., Suthers, R. A. &
Xu, C. (2004). Old world frog and bird vocalizations contain prominent ultrasonic
harmonics. Journal of Acoustics Society of America 115, 910-913.
Noble, G. K. (1931). The biology of the Amphibia. New York: McGrawn Hill.
Pough, F. H., Janis, C. M. & Heiser, J. B. (1999). Vertebrate Life. 5th edn. Upper
Saddle River: Prentice-Hall, Inc.
Ryan, M. J. (1985). Costs of reproduction: predation. In The Túngara Frog: a study in
sexual selection and communication, 163-185, Ryan M. J. Chicago and London:
The university of Chicago Press.
Sazima, I. (1975). Distress call in newly metamorphosed smith frog, Hyla faber Wied.
Herpetology 31, 471-472.
139
Schuett, G. W. & Gillingham, J. C. (1990). The function of scream calling in nonsocial
vertebrates: testing the predator attraction hypothesis. Bulletin of the Chicago
Herpetological Society 25, 137-142.
Smith, A. K. (1977). Attraction of bullfrogs (Amphibia, Anura, Ranidae) to distress
calls of immature frogs. Journal of Herpetology 11, 234-235.
Staton, M. A. (1978). "Distress calls" of crocodilians - whom do they benefit? American
Naturalist 112, 327-332.
Toledo, L. F. & Haddad, C. F. B. (2005). Acoustic repertoire and calling behavior of
Scinax fuscomarginatus (Anura, Hylidae). Journal of Herpetology 39, 455–464.
Toledo, L. F., Ribeiro, R. S. & Haddad, C. F. B. 2007. Anurans as prey: an exploratory
analysis and the size relationships between predators and their preys. Journal of
Zoology 271, 170-177.
Toledo, L. F., Tozetti, A. & Zina, J. (2005). Leptodactylus labyrinthicus (Pepper Frog):
Defensive Repertoire. Herpetological Bulletin 90, 29-31.
Tunner, H. G. & Hödl, W. (1978). Warn- oder Alarmruf und Schreckruf bei Rana
ridibunda ridibunda (Salientia, Ranidae). Zoologischer Anzeiger 200, 386-390.
Weber, E. (1978). Distress calls of Bufo calamita and B. viridis (Amphibia: Anura).
Copeia 1978, 354-356.
Williams, C. R., Brodie Jr., E. D., Tyler, M. J. & Walker, S. J. (2000). Antipredator
mechanisms of Australian frogs. Journal of Herpetology 34, 431-443.
Yerkes, R. M. (1903). The instincts, habits and reactions of the frog. Psychology Review
Monographs 4, 579-638.
Yerkes, R. M. (1905). The sense of hearing in frogs. Journal of Comparative and
Neurological Psychology 15, 279-304.
Young, B. A. (2003). Snake bioacoustics: toward a richer understanding of the
behavioral ecology of snakes. Quarterly Review of Biology 78, 303-325.
140
A
PPENDIX I.—Species reported to emit distress calls, their sex if adults (when they were juveniles sex was undetermined), information
provided, and stimuli used to provoke the emission. One asterisk (*) denotes literature not consulted and two asterisks (**) denotes species
that can emit distress calls with the mouth closed.
Species Sex / Stage Information provided Emission stimuli Source
Alytidae
Alytes obstetricans
Adult Call description Human handling Heinzmann, 1970*
Discoglossus pictus
Adult Call description Human handling Weber, 1974*
Discoglossus sardus
Adult Call description Human handling Weber, 1974*
Amphignathodontidae
Gastrotheca helenae
Female Report of the presence of the call Human handling Duellmann & Trueb, 1994
Batrachophrynidae
Caudiverbera
caudiverbera
Juvenile / Male /
Female
Report of the presence of the call;
Call description
Human handling Donoso-Barros, 1972; Veloso, 1977
Brachycephalidae
Craugastor latrans
Female Human handling Jameson, 1954
Pelorius inoptatus
Not provided Report of the presence of the call Human handling Noble, 1931
Bufonidae
Anaxyrus terrestris
Human handling Aronson, 1944*
Anaxyrus woodhousei
Human handling Aronson, 1944*
Chaunus arenarum
Female Report of the presence of the call Human handling,
encounter with predator
Gallardo, 1958
Chaunus granulosus
Male Call description Human handling Hödl & Gollmann, 1986
Epidalea calamita** Male Call description Human handling Weber, 1978
Pseudepidalea viridis
Male Call description Human handling Weber, 1978
Rhinella margaritifer
Male Call description Human handling Hödl & Gollmann, 1986
Ceratophryidae
Ceratophrys ornata
Female Call description Barrio, 1963; Cei, 1990
Lepidobatrachus
llanensis
Male Call description Barrio, 1963; Cei, 1990
Dicroglossidae
141
Hoplobatrachus
tigerinus
Adult Report of the presence of the call Natural encounter with
predator
Brodie Jr. & Nussbaum, 1987
Hemiphractidae
Hemiphractus fasciatus
Adult Report of the presence of the call Human handling Myers, 1966
Hylidae
Dendropsophus
minutus
Adult Report of the presence of the call Natural encounter with
predator or human
handling
Sazima, 1975
Hyla arborea
Schneider, 1967*
Hyla arenicolor
Male / Female Call description Dickerson, 1906*
Hyla savignyi
Adult Report of the presence of the call Human handling Weber, 1978
Hyla versicolor
Adult Percentage of emission of the call Provoked encounter Brodie Jr. & Formanowicz Jr., 1981
Hypsiboas
albomarginatus
Adult Report of the presence of the call Natural encounter with
predator or human
handling
Sazima, 1975
Hypsiboas boans
Male Call description, Frequency of
emission
Human handling Hödl & Gollmann, 1986
Hypsiboas
sp.(pulchellus)
Male Call description Human handling Antunes et al., in press.
Hypsiboas exastis
Male Call description Human handling Loebmann, et al., unpubl. data
Hypsiboas faber
Juvenile Call description Natural encounter with
predator or human
handling
Sazima, 1975
Hypsiboas faber** Male Call description Human handling Martins & Haddad, 1988
Hypsiboas
geographicus
Adult Percentage of emission of the call Human handling Azevedo-Ramos, 1995; Lima et al., 2006
Hypsiboas lanciformis
Male / Female Call description, Frequency of
emission
Human handling Hödl & Gollmann, 1986
Hypsiboas pulchellus
Adult Report of the presence of the call Human handling Gallardo, 1958
Hypsiboas raniceps
Male / Female Call description, Frequency of Human handling Hödl & Gollmann, 1986
142
emission
Litoria adelaidensis
Adult Report of the presence of the call Human handling Williams et al., 2000
Litoria alboguttata
Adult Call description Human handling Williams et al., 2000
Litoria aurea
Adult Report of the presence of the call Human handling Williams et al., 2000
Litoria australis
Adult Call description Human handling Williams et al., 2000
Litoria caerulea
Adult Call description Human handling Lankes, 1928*; Tyler, 1976*; Williams et
al., 2000
Litoria cultripes
Adult Call description Human handling Tyler, 1976*; Williams et al., 2000
Litoria ewingi
Adult Report of the presence of the call Human handling Williams et al., 2000
Litoria genimaculata
Adult Report of the presence of the call Human handling Williams et al., 2000
Litoria longipes
Adult Report of the presence of the call Human handling Williams et al., 2000
Litoria moorei
Adult Report of the presence of the call Human handling Williams et al., 2000
Litoria
novaehollandiae
Adult Call description Human handling Williams et al., 2000
Litoria peroni
Adult Report of the presence of the call Human handling Williams et al., 2000
Litoria raniformis
Adult Report of the presence of the call Human handling Williams et al., 2000
Litoria rothi
Adult Report of the presence of the call Human handling Williams et al., 2000
Litoria rubella
Adult Report of the presence of the call Human handling Williams et al., 2000
Litoria splendida
Adult Call description Human handling Williams et al., 2000
Osteocephalus taurinus
Adult Report of the presence of the call Human handling Lima et al., 2006
Pseudis paradoxa
Adult Call description Human handling Bosch et al., 1996
Smilisca baudinii
Adult Report of the presence of the call Human handling Duellman & Trueb, 1966
Trachycephalus
mesophaeus
Adult Report of the presence of the call Natural encounter with
predator
Lutz, 1973
Trachycephalus
venulosus
Not provided Call description Natural encounter with
predator
Leary & Razafindratsita, 1998
Leiopelmatidae
Leiopelma archeyi
Male / Female Call description Human handling Stephenson & Stephenson, 1957*; Bell,
1978; Green, 1988
Leiopelma hamiltoni
Male / Female Call description Human handling Bell, 1978; Green, 1988
143
Leiopelma hochstetteri
Male / Female Call description Human handling Bell, 1978; Green, 1988
Leptodactylidae
Hydrolaetare schimidti
Female Call description, Frequency of
emission
Human handling Hödl & Gollmann, 1986
Leptodactylus fuscus
Male / Female Call description, Frequency of
emission
Human handling Hödl & Gollmann, 1986
Leptodactylus
hylaedactylus
Male Call description, Frequency of
emission
Human handling Hödl & Gollmann, 1986
Leptodactylus knudseni
Not provided Report of the presence of the call Human handling Lima et al., 2006
Leptodactylus
labyrinthicus
Female Call description Human handling Toledo et al., 2005
Leptodactylus ocellatus
Male / Female Call description, Frequency of
emission
Human handling Hödl & Gollmann, 1986
Leptodactylus
pentadactylus
Male / Female Call description, Frequency of
emission
Human handling Villa, 1969; Hödl & Gollmann, 1986;
Duellman & Trueb, 1994; Lima et al.,
2006
Microhylidae
Microhyla carolinensis
Male / Female Human handling Anderson, 1954*
Pelobatidae
Pelobates fuscus
Call description Boulenger, 1897*
Scaphiopodidae
Scaphiopus holbrooki
Not provided Report of the presence of the call Human handling Noble, 1931
Scaphiopus couchi
Not provided Report of the presence of the call Natural encounter with
predator
Noble, 1931
Rhacophoridae
Polypedates maculatus
Female Call description Not informed Kanamadi et al., 1993
Ranidae
Lithobates areolatus
Altig, 1972*
Lithobates
catesbeianus**
Male / Female /
Juvenile
Call description; Percentage of
emission of the call
Human handling Carr Jr., 1940*; Capranica, 1968; Hoff &
Moss, 1974; Smith, 1977; Formanowicz
144
Jr. & Brodie Jr., 1979
Lithobates clamitans
Not provided Call description; Percentage of
emission of the call
Human handling Yerkes, 1903*; Bogert, 1960;
Formanowicz Jr. & Brodie Jr., 1979
Lithobates grylio
Female Call description Human handling Bogert, 1960
Lithobates palustris
Not provided Percentage of emission of the call Human handling Formanowicz Jr. & Brodie Jr., 1979
Lithobates pipiens
Adults / Juvenile Call description Natural encounter with
predator and human
handling
Noble, 1931; Bogert, 1960; Smith, 1977;
Schuett & Gillingham, 1990
Lithobates sylvaticus
Not provided Percentage of emission of the call Human handling Formanowicz Jr. & Brodie Jr., 1979
Pelophylax ridibundus
Male / Female Call description Human handling Tunner & Hödl, 1978
145
A
PPENDIX II.–The 111 handled species tested for the emission of distress calls, sex or stage (when juvenile), number of individuals tested
(Ni), number (Ne) and percentage of individuals that emitted distress calls.
Species Sex / Stage Ni (Ne; %) Species Sex / Stage Ni (Ne; %)
Aromobatidae Hylidae (cont.)
Allobates alagoanus
Male 4 (0; 0%)
Hypsiboas leptolineatus
Male 3 (0; 0%)
Ameerega flavopicta
Male 1 (0; 0%)
Hypsiboas lucianeae
Male 3 (0; 0%)
Brachycephalidae
Hypsiboas lundii
Female 2 (1; 50%)
Eleutherodactylus binotatus
Female 4 (0; 0%)
Hypsiboas lundii
Juvenile 2 (1; 50%)
Eleutherodactylus binotatus
Male 6 (1; 16.67%)
Hypsiboas lundii
Male 8 (5; 62.5%)
Eleutherodactylus guentheri
Male 6 (0; 0%)
Hypsiboas marginatus
Male 5 (0; 0%)
Eleutherodactylus juipoca
Male 1 (0; 0%)
Hypsiboas pardalis
Male 8 (3; 37.5%)
Eleutherodactylus parvus
Female 1 (0; 0%)
Hypsiboas pombali
Male 5 (0; 0%)
Eleutherodactylus ramagii
Juvenile 1 (0; 0%)
Hypsiboas prasinus
Male 5 (0; 0%)
Bufonidae
Hypsiboas pulchellus
Male 5 (0; 0%)
Chaunus abei
Male 1 (0; 0%)
Hypsiboas raniceps
Female 2 (1; 50%)
Chaunus crucifer
Female 1 (0; 0%)
Hypsiboas raniceps
Male 4 (1; 25%)
Chaunus crucifer
Male 10 (0; 0%)
Hypsiboas semilieatus
Juvenile 10 (0; 0%)
Chaunus ictericus
Juvenile 6 (0; 0%)
Hypsiboas semilieatus
Male 20 (0; 0%)
Chaunus jimi
Male 10 (0; 0%)
Itapotihyla langsdorffii
Male 6 (0; 0%)
Chaunus ornatus
Female 1 (0; 0%)
Phrynomedusa marginata
Female 1 (0; 0%)
Chaunus ornatus
Male 1 (0; 0%)
Phyllodytes melanomystax
Male 2 (0; 0%)
Chaunus scheneideri
Female 8 (0; 0%)
Phyllomedusa bahiana
Male 9 (0; 0%)
Chaunus scheneideri
Male 5 (0; 0%)
Phyllomedusa burmeisteri
Male 3 (0; 0%)
Dendrophryniscus brevipolicatus
Female 1 (0; 0%)
Phyllomedusa distincta
Male 8 (0; 0%)
Dendrophryniscus brevipolicatus
Male 5 (0; 0%)
Phyllomedusa nordestina
Male 10 (0; 0%)
Melanophryniscus moreirae
Male 2 (0; 0%)
Pseudis cardosoi
Female 1 (0; 0%)
Cycloramphidae
Pseudis cardosoi
Male 2 (1; 50%)
Cycloramphus eleutherodactylus
Male 2 (0; 0%)
Pseudis paradoxa
Male 1 (1; 100%)
Cycloramphus sp. (aff. Female 4 (1; 25%)
Scinax auratus
Male 3 (0; 0%)
146
bolitoglossus)
Cycloramphus sp. (aff.
bolitoglossus) Male 3 (1; 33.33%)
Scinax fuscovarius
Female 5 (0; 0%)
Odontophrynus cultripes
Male 3 (0; 0%)
Scinax fuscovarius
Juvenile 2 (0; 0%)
Odontoprhynus americanus
Female 1 (0; 0%)
Scinax fuscovarius
Male 16 (0; 0%)
Proceratophrys appendiculata
Juvenile 1 (0; 0%)
Scinax hayii
Male 5 (0; 0%)
Proceratophrys boiei
Juvenile 1 (0; 0%)
Scinax hiemalis
Male 8 (0; 0%)
Proceratophrys boiei
Male 3 (0; 0%)
Scinax pachycrus
Male 3 (0; 0%)
Thoropa megatympanum
Male 5 (0; 0%)
Scinax perpusillus
Male 2 (0; 0%)
Thoropa miliaris
Male 2 (0; 0%)
Scinax similis
Male 51 (0; 0%)
Centrolenidae
Sphaenorhynchus sp. (aff. surdus) Male 1 (0; 0%)
Hyalinobatrachium uranoscopum
Male 14 (0; 0%)
Sphaenorhynchus surdus
Male 1 (0; 0%)
Ceratoprhyidae
Trachycephalus mesophaeus
Male 4 (0; 0%)
Ceratophrys joazeirensis
Female 1 (1; 100%) Hylodidae
Ceratophrys joazeirensis
Male 1 (1; 100%)
Hylodes dactylocinus
Male 6 (0; 0%)
Hylidae
Hylodes meridionalis
Male 3 (0; 0%)
Aparasphaenodon brunoi
Female 1 (0; 0%) Leiuperidae
Aplastodiscus albosignatus
Female 1 (1; 100%)
Eupemphix nattereri
Male 5 (0; 0%)
Aplastodiscus arildae
Male 4 (1; 25%)
Physalaemus cf. nanus
Female 1 (0; 0%)
Aplastodiscus cochranae
Male 4 (3; 75%)
Physalaemus cf. nanus
Male 1 (0; 0%)
Aplastodiscus leucopygius
Male 3 (2; 66.67%)
Physalaemus cuvieri
Female 5 (0; 0%)
Aplastodiscus perviridis
Female 1 (1; 100%)
Physalaemus cuvieri
Juvenile 2 (0; 0%)
Aplastodiscus perviridis
Male 2 (1; 50%)
Physalaemus cuvieri
Male 12 (0; 0%)
Bokermannohyla alvarengai
Male 1 (0; 0%)
Physalaemus fuscomaculatus
Male 2 (0; 0%)
Bokermannohyla circumdata
Female 5 (3; 60%)
Physalaemus nanus
Female 2 (0; 0%)
Bokermannohyla circumdata
Male 6 (1; 16.67%)
Physalaemus nanus
Male 5 (0; 0%)
Bokermannohyla hylax
Male 3 (2; 66.67%)
Physalaemus olfersii
Male 1 (0; 0%)
Bokermannohyla izecksohni
Male 4 (2; 50%) Physalaemus sp. (gr. cuvieri) Male 5 (0; 0%)
Bokermannohyla luctuosa
Male 1 (1; 100%) Pseudopaludicola cf. saltica Male 4 (0; 0%)
Corythomantis greeningi
Male 3 (0; 0%) Leptodactylidae
147
Dendropsophus branneri
Female 3 (0; 0%)
Leptodactylus chaquensis
Juvenile 10 (1; 10%)
Dendropsophus branneri
Male 6 (0; 0%)
Leptodactylus furnarius
Male 2 (0; 0%)
Dendropsophus elianeae
Male 2 (0; 0%)
Leptodactylus fuscus
Male 8 (2; 25%)
Dendropsophus giesleri
Male 1 (0; 0%)
Leptodactylus gracilis
Male 2 (0; 0%)
Dendropsophus haddadi
Male 5 (0; 0%)
Leptodactylus mystaceus
Female 2 (1; 50%)
Dendropsophus microps
Female 2 (0; 0%)
Leptodactylus mystaceus
Male 2 (0; 0%)
Dendropsophus microps
Male 10 (0; 0%)
Leptodactylus mystacinus
Female 2 (0; 0%)
Dendropsophus minutus
Female 24 (1; 4.17%)
Leptodactylus mystacinus
Juvenile 3 (0; 0%)
Dendropsophus minutus
Male 31 (0; 0%)
Leptodactylus mystacinus
Male 6 (1; 16.67%)
Dendropsophus nanus
Male 8 (0; 0%)
Leptodactylus ocellatus
Female 6 (0; 0%)
Dendropsophus samborni
Male 12 (0; 0%)
Leptodactylus ocellatus
Juvenile 12 (0; 0%)
Dendropsophus werneri
Male 2 (0; 0%)
Leptodactylus ocellatus
Male 26 (0; 0%)
Hypsiboas albomarginatus
Male 8 (4; 50%)
Leptodactylus pentadactylus
Female 1 (1; 100%)
Hypsiboas albopunctatus
Female 6 (0; 0%)
Leptodactylus savagei
Male 1 (1; 100%)
Hypsiboas albopunctatus
Male 20 (1; 5%)
Leptodactylus troglodytes
Male 5 (3; 60%)
Hypsiboas atlanticus
Female 2 (0; 0%)
Leptodactylus vastus
Female 1 (1; 100%)
Hypsiboas atlanticus
Male 6 (0; 0%) Microhylidae
Hypsiboas beckeri
Male 10 (0; 0%)
Chiasmocleis albopunctata
Juvenile 2 (0; 0%)
Hypsiboas bischoffi
Female 11 (4; 36.36%)
Chiasmocleis albopunctata
Male 2 (0; 0%)
Hypsiboas bischoffi
Male 26 (7; 26.92%)
Elachistocleis ovalis
Male 3 (0; 0%)
Hypsiboas caingua
Male 5 (2; 40%) Pipidae
Hypsiboas caipora
Male 12 (1; 8.33%)
Pipa pipa
Male 1 (0; 0%)
Hypsiboas crepitans
Male 5 (2; 40%)
Xenopus laevis
Female 3 (0; 0%)
Hypsiboas exastis
Male 1 (1; 100%)
Xenopus laevis
Male 7 (0; 0%)
Hypsiboas faber
Female 3 (2; 66.67%) Ranidae
Hypsiboas faber
Juvenile 3 (2; 66.67%)
Lithobates catesbeianus
Female 20 (0; 0%)
Hypsiboas faber
Male 23 (15; 65.22%)
Lithobates catesbeianus
Juvenile 20 (0; 0%)
Hypsiboas latistriatus
Female 1 (1; 100%)
Lithobates catesbeianus
Male 20 (5; 25%)
148
L
ITERATURE CITED IN THE APPENDIXES I AND II
Altig, R. (1972). Defensive behavior in Rana areolata and Hyla avivoca. Quart. J. Fla.
Acad. Sci. 35: 212-216.
Anderson, P. K. (1954). Studies in the ecology of the narrow-mouthed toad Microhyla
carolinensis carolinensis. Tulane Stud. Zool. 2: 15-46.
Antunes, A., Faivovich, J. & Haddad, C. F. B. A New Species of Hypsiboas Wagler,
1830 from the Atlantic Forest of Southeastern Brazil (Amphibia, Anura, Hylidae).
Copeia, in press.
Aronson, L. R. (1944). The sexual behavior of Anura. 6. The mating pattern of Bufo
americanus, Bufo fowleri, and Bufo terrestris. Am. Mus. Nov. 1250: 1-15.
Azevedo-Ramos, C. (1995). Defensive behaviors of the Neotropical treefrog Hyla
geographica (Anura, Hylidae). Revista Brasileira de Biologia 55:45-47.
Barrio, A. (1963). Consideraciones sobre comportamiento y “grito agresivo” propio de
algunas especies de Ceratophrynidae (Anura). Physis 24:143-148.
Bell, B. D. (1978). Observations on the ecology and reproduction of the New Zealand
Leiopelmatid frogs. Herpetologica 34:340-354.
Bogert, C. M. (1960). The influence of sound on the behavior of amphibians and
reptiles. – In: Animal sounds and communication (W. W. Lanyon & Tavolga, W.
W., Eds). American Institute of Biological Sciences Publications 7. Lubrecht &
Cramer Ltd, Port Jervis. p.137-320.
Bosch, J., De La Riva, I. & Márquez, R. (1996). The calling behaviour of Lysapsus
limellus and Pseudis paradoxa (Amphibia: Anura: Pseudidae). Fol. Zool. 45: 49-55.
Boulenger, G. A. (1897). The tailless batrachians of Europe. The Ray Society, London.
Brodie Jr., E. D. & Formanowicz Jr., D. R. (1981). Palatability and antipredator
behavior of the treefrog Hyla versicolor to the shrew Blarina brevicauda. J.
Herpetol. 15: 235-236.
Brodie Jr., E. D. & Nussbaum, R. A. (1987). Antipredator responses of Rana tigerina to
a crow. Herpetol. Rev. 18: 8-9.
Capranica, R. R. (1968). The vocal repertoire of the bullfrog (Rana catesbeiana).
Behaviou 31: 302-325.
Carr Jr., A. F. (1940). A contribution to the herpetology of Florida. University of
Florida Publication, Biology Science Series 3: 1-118.
Cei, J. M. (1980). Amphibians of Argentina. Monitore Zoologico Italiano (N.S.)
Monographies 2.
Dickerson, M. C. (1906). The frog book. Doubleday, Page & Co, New York.
Donoso-Barros, R. (1972). Datos adicionales y comportamiento agresivo de
Calyptocephalella caudiverbera (Linnaeus). Bol. Soc. Biol. Conc. 45: 95-103.
Duellman, W. E. & Trueb, L. (1966). Neotropical hylid frogs, genus Smilisca. Univ.
Kansas Publ. Mus. Nat. Hist. 17: 281-375.
Duellman, W. E. & Trueb, L. (1994). Biology of Amphibians. The Johns Hopkins
University Press, Baltimore and London.
Formanowicz Jr., D. R. & Brodie Jr., E. D. (1979). Palatability and antipredator
behavior of selected Rana to Shrew Blarina. Am. Mid. Nat. 101: 456-458.
Gallardo, J. M. (1958). Observaciones sobre el comportamiento de algunos anfibios
argentinos. Cienc. Invest. 14: 291-302.
Green, D. M. (1988). Antipredator behaviour and skin glands in the New Zealand native
frogs, genus Leiopelma. New Zeal. J. Zool. 15: 39-45.
149
Heinzmann, U. (1970). Untersuchungen zur Bioakustik und Ökologie der
Geburtshelferkröte, Alytes o. obstetricus (Laur.). Oecol. 5: 19-55.
Hödl, W. & Gollmann, G. (1986). Distress calls in Neotropical frogs. Amphibia-
Reptilia 7: 11-21.
Hoff, J. G. & Moss, S. A. (1974). A distress call in the bullfrog, Rana catesbeiana.
Copeia 2: 533-534.
Jameson, D. L. (1954). Social patterns in the leptodactylidae frogs Syrrhophus and
Eleuterodactylus. Copeia 1: 36-38.
Kanamadi, R. D., Schneider, H. Hiremath, C. R. & Jirankali, C. S. (1993). Vocalization
of the tree frog Polypedates maculatus (Racophoridae). J. Biosc. 18: 239-245.
Lankes, K. (1928). Zur biologie des Norrahensangers, Hyla caerulea. Blatt. Aquar-
Terrar-K 39: 6-7.
Leary, C. J. & Razafindratsita, V. R. (1998). Attempt predation on a hylid frog,
Phrynohyas venulosa, by an indigo snake, Drymarchon corais, and the response of
conspecific frogs to distress calls. Amphibia-Reptilia 19: 442-446.
Lima, A., Magnusson, W. E., Menin, M., Erdtmann, L. K., Rodrigues, D. J., Keller, C.
& Hödl, W. (2006). Guide to the frogs of Reserva Adolpho Ducke, Central
Amazonia. Áttema Design Editorial, Manaus.
Lutz, B. (1973). Brazilian species of Hyla. University of Texas Press, Austin.
Martins, M. & Haddad, C. F. B. (1988). Vocalizations and reproductive behaviour in
the smith frog, Hyla faber Wied (Amphibia: Hylidae). Amphibia-Reptilia 9: 49-60.
Myers, C. W. (1966). The distribution and behavior of a Tropical Horned frog, Certhyla
panamensis Stejneger. Herpetol. 22: 68-71.
Noble, G. K. (1931). The biology of the Amphibia. McGrawn Hill, New York.
Sazima, I. (1975). Distress call in newly metamorphosed smith frog, Hyla faber Wied.
Herpetol. 31:471-472.
Schneider, H. (1967). Rufe und Rufverhalten des Laubfrosches, Hyla arborea arborea
(L.). Zur Vergleichenden Physiologie 57: 174-189.
Schuett, G. W. & Gillingham, J. C. (1990). The function of scream calling in nonsocial
vertebrates: testing the predator attraction hypothesis. Bull. Chicago Herpetol. Soc.
25: 137-142.
Smith, A. K. (1977). Attraction of bullfrogs (Amphibia, Anura, Ranidae) to distress
calls of immature frogs. J. Herpetol. 11: 234-235.
Stephenson, E. M. & Stephenson, N. G. (1957). Field observations of the New Zealand
frog, Leiopelma Fitzinger. Trans. R. Soc. New Zeal. 84: 867-882.
Toledo, L. F., Tozetti, A. & Zina, J. (2005). Leptodactylus labyrinthicus (Pepper Frog):
Defensive Repertoire. Herpetol. Bull. 90: 29-31.
Tunner, H. G. & Hödl, W. (1978). Warn- oder Alarmruf und Schreckruf bei Rana
ridibunda ridibunda (Salientia, Ranidae). Zool. Anz. 200: 386-390.
Tyler, M. J. (1976). Frogs. Collins Ltd, Sydney.
Veloso, A. M. (1977). Aggressive behavior and the generic relationships of
Caudiverbera caudiverbera. Herpetol. 33: 434-442.
Villa, J. 1969. Comportamiento defensivo de la "rana ternero", Leptodactylus
pentadactylus. R. Biol. Trop. 15: 323-329.
Weber, E. (1974). Vergleichende Untersuchungen zur Bioakustik von Discoglossus
pictus, Otth 1837 und Discoglossus sardus, Tschudi 1837 (Discoglossidae, Anura).
Zool. Jb. Physiol. 78: 40-84.
150
Weber, E. (1978). Distress calls of Bufo calamita and B. viridis (Amphibia: Anura).
Copeia 1978: 354-356.
Williams, C. R., Brodie Jr., E. D., Tyler, M. J. & Walker, S. J. 2000. Antipredator
mechanisms of Australian frogs. Journal of Herpetology 34: 431-443.
Yerkes, R. M. (1903). The instincts, habits and reactions of the frog. Psychol. R.
Monog. 4: 579-638.
CAPÍTULO 5
DEFESAS COMPORTAMENTAIS EM ANUROS: UMA REVISÃO
Luís Felipe Toledo, Ivan Sazima & Célio F. B. Haddad
Thanatos (a morte)
Deus grego da morte, filho de Nyx (a noite) e irmão de Hypnos (o sono),
encarregado de conduzir as almas dos mortais. Assim surgiu o nome
thanatose, o comportamento de fingir-se de morto.
151
CAPÍTULO 5
BEHAVIORAL DEFENSES OF ANURANS: AN OVERVIEW
Luís Felipe Toledo
1,3
, Ivan Sazima
2
, Célio F. B. Haddad
1
1
Departamento de Zoologia, Instituto de Biociências, Unesp, Rio Claro, São Paulo,
Caixa Postal 199, CEP 13506-970, Brasil. E-mail: [email protected]
2
Departamento de Zoologia e Museu de História Natural, Caixa Postal 6109
Universidade Estadual de Campinas, 13083-970 Campinas, São Paulo, Brasil.
152
Abstract
For vertebrates, defensive behaviors have been reviewed for fishes, salamanders,
reptiles, birds, and mammals, but not yet for anurans. Although several defensive
strategies have been reported for anurans, with a few exceptions these reports are
limited in scope and scattered in the literature. This may be due to the lack of a review
on defensive strategies of the anurans, which could offer a basis for further studies and
insights on basic mechanisms that underlie these strategies, and thus lead to theoretical
assumptions of their efficacy and evolution. Here we review the present knowledge on
defensive behavioral tactics employed by anurans, add new data on already reported
behaviors, describe a few new behaviors, and speculate about their origins. A total of 28
defensive behaviors (some with a few sub-categories), plus an ecological category, are
here recognized. The terminology already adopted is here organized and some neologies
are proposed. Some of the behaviors here treated seem to have an independent origin,
whereas others might have evolved after preexistent physiological and behavioral
characteristics. The role of predators in the evolution of defensive behaviors is still
scarcely touched upon and this overview adds data to exploit this and other evolutionary
unsolved questions.
153
Introduction
The commonest defensive strategy of mobile animals is to flee as fast as possible
from its potential predator. However, there is a wide array of defensive strategies that
are alternatively used to cope with the risk posed by a predator. Anurans, in particular,
display a wide range of behaviors between the remaining motionless and fleeing
extremes (e.g., Dodd Jr., 1976; Williams et al., 2000; Toledo et al., 2005). Even when
remaining motionless or when fleeing, anurans may employ different synergistic tactics
to enhance their survival chances (e.g., Marchisin & Andrews, 1978), especially in a
world in which almost every carnivorous organism may eat a frog (reviews in Toledo,
2005; Toledo et al., 2007a).
Different defensive strategies act in different phases of predation: localization,
identification, approach, subjugation, ingestion, and digestion. Thus, primary (that do
not depends on the presence of the predator) and secondary (that is elicited by the
presence of the predator) defensive strategies may have evolved to hamper or stop a
predation attempt in one or more of these phases (Edmunds, 1974). For example, a
cryptic anuran may avoid detection, and a venomous anuran may avoid ingestion. As a
consequence, the evolution of defensive strategies is directly related to the senses
predators use to locate and handle with their prey (e.g., Greenbaum, 2004). In some
cases, the predators may evolve strategies that overcome anuran defenses, and thus
generating predator-prey arms races (e.g., Brodie III & Brodie Jr., 1999).
Gathering data on defensive strategies of anurans in the field is not a difficult
task; nevertheless, few extensive studies have been published (e.g., Williams et al.,
2000). Most studies rely on scattered data, available as short notes (e.g., Sazima, 1978;
Toledo et al., 2005). The lack of papers focusing on defensive strategies of anurans may
be due to the lack of reviews or overviews which would organize current knowledge,
and which would lead to further discussion and provide a starting point for more broad
studies.
Taxa-restricted reviews on animal defensive behaviors have been published on
invertebrates, mostly insects (e.g., Evans & Schmidt, 1990; Eisner, 2005), although
such reviews also are available for fishes (Randall, 2005; Zacone et al., 2007), reptiles
(Greene, 1988), birds and mammals (Caro, 2005) as well. For amphibians, knowledge
on defensive behaviors of salamanders and newts (order Caudata) are reviewed in the
154
extensive work of Edmund Brodie Jr. and colleagues (e.g., Brodie Jr., 1977; 1983;
1990; Brodie et al., 1984; Williams et al., 2000). However, no such a review is available
for anurans.
Our aim with the present overview is not to draw from all the reports available
on anuran defensive behaviors, but to provide an organized view of the diversity of
defensive strategies among this vertebrate group. Thus, we collected what we regard as
representative information on anuran behaviors for an overview that would encompass
most, if not all, the defensive repertoire of post-metamorphic anurans. Besides
reviewing the literature, we add new data based on naturalistic observations and
experiments in the field and laboratory, and propose here some neologies that
complement the terminology already in use.
Material and Methods
Major herpetological journals (e.g., Amphibia-Reptilia, Copeia, Herpetologica,
Herpetological Bulletin, Herpetological Journal, Herpetological Review, and Journal of
Herpetology) were searched for reports on anuran defensive behaviors (both natural and
experimental conditions were considered for our review).
New data were obtained during several field trips from 1969 to 2007 in Brazil,
mainly in the biomes of the Cerrado and Atlantic rainforest. Staged encounters in the
field were made by approaching an individual frog and recording its reaction to close
approach, handling, grasping suddenly, hitting tit gently with sticks (on the head and
dorsum), lightly pinching the head, arms, and legs with a blunt forceps, or by presenting
the frog to a non-venomous snake (generally an adult Liophis miliaris). Neither of these
injure the frogs, such techniques being regarded as effective to simulate predators’
attacks, and thus to produce defensive responses in anurans (Brodie Jr., 1977; Brodie Jr.
et al., 1998; Williams et al., 2000; Toledo et al., 2005).
Experiments with captive anurans were generally avoided (although a few data
were obtained from less than one week captive frogs), since the more a frog remains
captive, the more it may change its physiological traits (Navas & Gomes, 2001) and,
thus, it may present both quantitative and qualitative changes in its defensive behaviors
(Boice & Williams, 1971; pers. obs.).
155
The presence/absence of defensive behaviors is presented in tables, with some of
them highlighting specific characteristics, such as display of other behaviors, habitat
use, diet, and colors. All scientific names of amphibians follow Frost (2007). Defensive
strategies related to colors will be dealt with elsewhere (Toledo & Haddad, in prep.).
Results
Defensive behaviors in anurans are here organized into 28 categories, plus one
“ecological”, described below. The most commonly observed defensive behavior was
fleeing, followed by remaining motionless, which together represented about 50 % of
the records (Figure 1).
0 5 10 15 20 25 30 35
Fleeing
Immobility
Puffing up the body
Thanatosis (rigid type)
Thanatosis (relaxed type)
Production of secretion
Cloacal discharge
Spine aggression
Eye-protection
Body-raising (legs vertically stretched)
Body-tilting
Body-raising (legs laterally stretched)
Hiding
Stiff-legged behavior
Crouching down
Unken-reflex
Observations of defensive behaviors (%)
Figure 1. Percentage of records of selected defensive behaviors in the field.
1) Immobility or Remaining Motionless
Remaining motionless in the same posture the animal held before the approach
of a threat (which, besides the observers, could occasionally be a predator or a larger
animal passing nearby) is widespread among anurans. Individuals of all species
observed in the field remained motionless as a first line of defense during our approach.
156
In two experiments (one adult male of Bokermannohyla circumdata and one adult male
of Dendropsophus elianeae) that remained motionless when offered to a colubrid snake
(Liophis miliaris) went unnoticed, and thus were not preyed by the snake.
Possible synergistic behaviors
: motionless is the basis of most of the behaviors
discussed below, including fleeing, which may precede or follow a motionless period.
Besides these behaviors, coloration, morphology, and granular glands may enhance
immobility benefits for the anurans (these aspects will be discussed elsewhere).
2) Crouching down
The frog holds itself in a lower than normal sitting posture, ranging from a
slightly lowered position to a full crouch in which the chin touches the substrate. The
eyes may remain closed and the forearms may be extended forward or flexed toward the
body.
Possible synergistic behaviors
: chin-tucking (see below) is almost always
present and puffing up the body and skin secretions may co-occur with this behavior.
3) Thanatosis or Death Feigning
Thanatosis is displayed by several species and is found from juvenile to adult
phases of both sexes (Table 1). This behavior can be subdivided in two types (“relaxed”
and “rigid”) according to changes an observer is able to do in the postures adopted by
the frogs.
a) Thanatosis – relaxed type
The frog remains motionless, even when touched, generally with its eyes open,
but in some cases the eyes may be closed (Figure 2). The legs and arms are not kept in
any specific position; they can be moved by the observer to any position and the frog
will kept the position (Figure 3). This type was the most commonly recorded and occurs
in several families (Table 1).
b) Thanatosis – rigid type
In this situation the frog remains motionless, generally with the eyes closed, but
in few cases the eyes may remain open. The legs and arms are kept close to the body,
157
but if the observer tries to outstretch them, they are forced by the frog to the initial
position, generally against the belly. Some individuals also flex the dorsum getting an
arched shape (Figure 3). This type was recorded for several bufonids, cycloramphids,
and hylids. However, it is typically observed in phyllomedusines, in species of
Hypsiboas of the pulchellus group, and bufonids in the genera Bufo and Chaunus (Table
1).
There are species that may display the two types of thanatosis (see Table 1).
Furthermore, there are a few species that may display an intermediate pattern: arms in
the posture described for the relaxed type and legs in the posture described for the rigid
type. This intermediate pattern was recorded for the bufonids Melanophryniscus
moreirae and Chaunus ictericus.
Possible synergistic behaviors
: thanatosis is a motionless defense that may be
accompanied by odoriferous secretions (e.g., Sazima, 1974; our pers. obs.) and
aposematic colorations in the ventral region (our pers. obs.) or of the tong (Figure 3; see
also tong protrusion). An extreme situation is exhibited by Leptopelis rufus
(Arthroleptidae) while in relaxed thanatosis. This frog may remain with its mouth
opened during the thanatosis (Figure 3) and, from the mouth, release a strong smell
which stinks like ammonia. This would increase even more the illusion of a dead frog
(Schmitz et al., 1999).
Table 1. Frogs that display thanatosis. When the number of recorded individuals was
available these are presented; when they were not, an “X” indicates the occurrence of
the behavior. A dash indicates that there is no information about the type of thanatosis
observed. See text for the explanation of the two types of thanatosis. Families, genera,
and species are presented in alphabetical order.
Family / Species Relaxed Rigid Reference
Aromobatidae
Allobates femoralis
- - Vaz-Silva & Frota, 2004
Brachycephalidae
Eleutherodactylus juipoca
1 Present study
Eleutherodactylus binotatus
1 Present study
Eleutherodactylus guentheri
4 Present study
Eleutherodactylus parvus
1 Present study
Bufonidae
Bufo ocellatus
X Kokubum, 2005
Chaunus abei
1 Present study
Chaunus ictericus
8 Present study
Chaunus jimi
5 Present study
158
Chaunus marinus
X Vaz-Silva & Frota, 2004
Chaunus ornatus
2 Present study
Chaunus rubescens
2 Present study
Chaunus schneideri
X Zamprogno et al. 1998; Present study
Dendrophryniscus berthalutzae
1 1 Present study
Dendrophryniscus brevipolicatus
1 Present study
Dendrophryniscus minutus
- - Russel, 2002
Melanophryniscus moreirae
2 Present study
Ollotis occidentalis
- - Abbadié-Bisogno et al., 2001
Centrolenidae
Hyalinobatrachium uranoscopum
2 Present study
Cycloramphidae
Odontophrynus carvalhoi
1 Present study
Proceratophrys boiei
1 1 Present study
Rhinoderma darwini
- - Pough et al., 2001
Dicroglossidae
Hoplobatrachus tigerinus
- - Brodie Jr. & Nussbaum, 1987
Hylidae
Aplastodiscus arildae
X Carneiro & Rocha, 2005
Aplastodiscus cochranae
2 Present study
Aplastodiscus perviridis
1 2 Present study
Bokermannohyla circumdata
12 Present study
Bokermannohyla hylax
2 Present study
Dendropsophus elegans
3 Present study
Dendropsophus elianeae
1 Present study
Dendropsophus giesleri
1 Present study
Dendropsophus microps
7 2 Present study
Dendropsophus minutus
6 Present study
Dendropsophus werneri
1 Present study
Hypsiboas albopunctatus
1 6 Sazima, 1972; Present study
Hypsiboas beckeri
10 Present study
Hypsiboas bischoffi
8 11 Present study
Hypsiboas caingua
1 Present study
Hypsiboas faber
2 Present study
Hypsiboas guentheri
2 Present study
Hypsiboas latistriatus
1 Present study
Hypsiboas leptolineatus
1 Present study
Hypsiboas marginatus
2 Present study
Hypsiboas polytaenius
3 Present study
Hypsiboas pulchellus
1 Present study
Hypsiboas semilineatus
2 Azevedo-Ramos, 1995; Present study
Phrynomedusa marginata
2 Present study
Phyllomedusa azurea
3 Present study
Phyllomedusa bahiana
5 Present study
Phyllomedusa burmeisteri
6 Present study
Phyllomedusa centralis
11 Bokermann, 1965; Present study
Phyllomedusa distincta
8 Present study
Phyllomedusa centralis
11 Present study
159
Phyllomedusa nordestina
9 Present study
Phyllomedusa rohdei
2 Sazima, 1972; 1974; Present study
Phyllomedusa sauvagii
1 Present study
Phyllomedusa tetraploidea
6 Present study
Pseudacris regilla
1 Brattstorm & Warren, 1955; Foster,
2007
Scinax alterus
1 Present study
Scinax catharinae
1 Present study
Scinax fuscomarginatus
15 Toledo, 2004b
Scinax fuscovarius
2 2
Sazima, 1972; Rodrigues &
Rodrigues, 2007; Present study
Scinax hayii
1 Present study
Scinax hiemalis
4 Present study
Scinax perpusillus
1 Present study
Xenohyla truncata
- - Napoli, 2001
Hyperoliidae
Kassina fusca
X Rödel & Braun, 1999
Leiuperidae
Eupemphix nattereri
3 Present study
Physalaemus cuvieri
5 Present study
Physalaemus nanus
4 Present study
Pseudopaludicola mystacalis
1 Present study
Pseudopaludicola saltica
2 Present study
Leptodactylidae
Leptodactylus cunicularius
1 Present study
Leptodactylus labyrinthicus
X Toledo et al., 2005
Leptodactylus fuscus
1 Present study
Leptodactylus marambaiae
- - Siqueira et al., 2006
Leptodactylus mystacinus
3 Present study
Leptodactylus ocellatus
3 Present study
Leptodactylus plaumanni
1 Present study
Limnodynastidae
Neobatrachus pictus
- - Williams et al., 2000
Neobatrachys sudeli
- - Williams et al., 2000
Microhylidae
Elachistocleis cf. ovalis 1 Toledo, 2004a
Myobatrachidae
Crinia georgiana
X Williams et al., 2000
Crinia glauerti
X Williams et al., 2000
Geocrinia laevis
X Williams et al., 2000
Mixophyes fasciolatus
X Williams et al., 2000
Mixophyes schevilli
X Williams et al., 2000
Pseudophryne bibronii
X Williams et al., 2000
Pseudophryne semimarmorata
X Williams et al., 2000
Ranidae
Clinotarsus curtipes
- - Gramapurohit et al., 2001
Lithobates pipiens
- - Boice & Williams, 1971
160
0
20
40
60
80
100
Thanatosis (relaxed type) Thanatosis (rigid type)
Percentage of observations
Opened eyes
Closed eyes
Figure 2. Percentage of open (gray bars) and closed eyes (black bars) during display of
thanatosis of the relaxed and rigid types (n = 48 observations).
Figure 3. Thanatosis of the relaxed type in Scinax fuscomarginatus (A) and of the rigid
type in Phyllomedusa bahiana (B). Tong protrusion in Acanthixalus spinosus (C) and
Leptopelis rufus with its mouth opened for the secretion of ammonia-like smell (D),
both during thanatosis of the relaxed type.
A) B)
C) D)
161
4) Chin-tucking
Chin-tucking is recorded for several species (Table 2) and is characterized by the
chin pulled toward the pectoral region, flexing the head towards the belly. Eyes may be
closed in some cases. Although probably widespread, reports on this behavior are scarce
likely due to its preceding other, more conspicuous behaviors.
Possible synergistic behaviors
: chin tucking may precede or be part of
crouching, thanatosis (rigid type), phragmosis, and puffing up the body.
5) Phragmosis
Phragmosis is the use of the head to obstruct the access to the body of the frog.
Thus, there must be a tunnel-like structure to be used to shelter the body of the frog.
Species known to use phragmosis may use rock crevices, burrows, tree holes, or
bromeliads as shelter (Table 3).
Possible synergistic behaviors
: chin-tucking is almost always present and
puffing up the body may be present in some cases. Presence of bony spines associated
with noxious glands in the head may be related to phragmosis as well (see Jared et al.,
2005).
Table 3. Frog species that display phragmosis and the substrate used for it. The
inclusion of Anotheca spinosa here is a suggestion (see discussion). Families, genera,
and species are presented in alphabetical order.
Species Substrate used Source
Bufonidae
Chaunus granulosus
Burrows in the ground Present study
Peltophryne empusa
Burrows in the ground Barbour, 1914
Hylidae
Anotheca spinosa
Holes in trees or bamboos Present study
Aparasphenodon bokermanni
Bromeliads Present study
Aparasphenodon brunoi
Bromeliads Lutz & Lutz, 1939; Duellman & Klaas, 1964
Corythomantis greeningi
Rock crevices Jared et al., 2005; Present study
Smilisca fodiens
Burrows in the ground Firschein, 1951
Triprion petasatus
Holes in trees Stuart, 1935; Duellman & Klaas, 1964
Triprion spatulatus
Holes in trees Duellman & Klaas, 1964
162
Table 2. Chin-tucking, crouching, puffing up the body, hiding, cloacal discharge (liquid), spine-aggression (three types), and production of
secretions (four types) in frogs. See text for further explanations. Families, genera, and species in alphabetical order.
Species
Chin-tucking
Crouching
Puffing up the body
Hiding
Cloacal-discharging
Spine-puncturing
Spine-scratching
Spine-traumatizing
Secretion (odor)
Secretion (adhesive)
Secretion (noxious)
Secretion (slippery)
Source
Aromobatidae
Allobates alagoanus
X Present study
Bombinatoridae
Bombina bombina
X X Bajger, 1980
Brevicipitidae
Callulina kreffti
X X Harper & Vonesh, in press
Bufonidae
Anaxyrus americanus
X X X X Marchisin & Andrews, 1978
Anaxyrus boreas
X Pearl & Hayes, 2002
Anaxyrus quercicus
X X X X Marchisin & Andrews, 1978
Anaxyrus terrestris
X X X X Marchisin & Andrews, 1978
Bufo ocellatus
X X Kokubum, 2005
Chaunus ictericus
X X X Present study
Chaunus ornatus
X X Present study
Chaunus schneideri
X X X Toledo & Jared, 1995
Melanophryniscus moreirae
X Present study
Cryptobatrachidae
Stefania woodleyi
X Kok et al., 2007
Cycloramphidae
163
Cyclopramphus acangatam
X Present study
Cyclopramphus eleutherodactylus
X Present study
Eupsophus emiliopugini
X Formas & Poblete, 1996
Macrogenioglottus alipioi
X X Present study
Odontophrynus americanus
X X X Present study
Proceratophrys boiei
X Present study
Proceratophrys cururu
X X X Present study
Dendrobatidae
Oophaga pumilio
X Hagman, 2006
Dicroglossidae
Hoplobatrachus tigerinus
X Brodie Jr. & Nussabaum, 1987
Hylidae
Acris crepitans
X McCallum, 1999
Acris gryllus
X X Marchisin & Andrews, 1978
Aplastodiscus arildae
X X X Present study
Bokermannohyla alvarengai
X Present study
Bokermannohyla circumdata
X X X X Present study
Bokermannohyla hylax
X X X X Present study
Bokermannohyla luctuosa
X X Present study
Hyla arenicolor
X Powell & Lieb, 2003
Hyla chrysoscelis
X X X X Marchisin & Andrews, 1978
Hyla cinerea
X X X Marchisin & Andrews, 1978
Hyla femoralis
X X X Marchisin & Andrews, 1978
Hypsiboas albomarginatus
X X Present study
Hypsiboas bischoffi
X X X Present study
Hypsiboas faber
X X X Present study
Hypsiboas pardalis
X X X Present study
Hypsiboas prasinus
X Present study
Hypsiboas raniceps
X X Present study
Litoria alboguttata
X Williams et al., 2000
164
Litoria caerulea
X Williams et al., 2000
Litoria ewingi
X X X Williams et al., 2000
Litoria novaehollandiae
X X X Williams et al., 2000
Phyllomedusa bahiana
X Present study
Phyllomedusa burmeisteri
X Present study
Pseudacris crucifer
X X X Marchisin & Andrews, 1978
Pseudacris ocularis
X X Marchisin & Andrews, 1978
Scinax fuscomarginatus
X Toledo, 2004b
Scinax fuscovarius
X X Present study
Scinax similis
X Present study
Trachycephalus venulosus
X X X X Manzanilla et al., 1998; Present study
Xenohyla truncata
X Napoli, 2001
Hyperoliidae
Kassina kuvangensis
X Channing & Howell, 2003
Kassina maculata
X Channing & Howell, 2003
Kassina cochranae
X Channing & Howell, 2003
Kassina lamottei
X Channing & Howell, 2003
Phlyctimantis verrucosus
X Channing & Howell, 2003
Leiopelmatidae
X
Leiopelma archey
X Green, 1988
Leiopelma hamiltoni
X Green, 1988
Leiopelma hochstetteri
X Green, 1988
Leiuperidae
Physalaemus nattereri
X X X X Rodrigues & Filho, 2004
Leptodactylidae
Leptodactylus fuscus
X Present study
Leptodactylus labyrinthicus
X X X X X Toledo et al,. 2005; present study
Leptodactylus mystaceus
X Present study
Leptodactylus mystacinus
X X X Carvalho Jr., 2005; Present study
Leptodactylus ocellatus
X X X Present study
165
Limnodynastidae
Crinia glauerti
X X X Williams et al., 2000
Heleioporus eyrei
X X Williams et al., 2000
Limnodynastes tasmaniensis
X X Williams et al., 2000
Neobatrachus pictus
X X X Williams et al., 2000
Neobatrachys sudeli
X X X Williams et al., 2000
Notaden melanoscaphus
X X X Williams et al., 2000
Notaden nichollsi
X X X Williams et al., 2000
Paracrinia haswelli
X Williams et al., 2000
Mantellidae
Boophis albilabris
X Andreone, 2002
Mantella laevigata
X Heying, 2001
Microhylidae
Ctenoprhyne geayi
X X X Menin & Rodrigues, 2007
Elachistocleis erythrogaster
X Kwet & Sole, 2002
Elachistocleis ovalis
X Kokubum & Menin, 2002
Gastrophryne carolinensis
X X Marchisin & Andrews, 1978
Phrynomantis microps
X Rödel & Braun, 1999
Plethodontohyla tuberata
X X X X Nincheri & Andreone, 2002
Myobatrachidae
Crinia glauerti
X Williams et al., 2000
Mixophyes fasciolatus
X X Williams et al., 2000
Pseudophryne bibronii
X X X Williams et al., 2000
Pseudophryne semimarmorata
X X X Williams et al., 2000
Uperoleia laevigata
X Torr, 1991
Pipidae
Pipa pipa
X Present study
Xenopus laevis
X X Present study
Ranidae
Lithobates capito
X X Grant, 2001; Means, 2004
166
Lithobates clamitans
X X X X Marchisin & Andrews, 1978
Lithobates palustris
X X X X X Marchisin & Andrews, 1978; Grant, 2001
Lithobates pipiens
X X X X Marchisin & Andrews, 1978
Lithobates septentrionalis
X Grant, 2001
Lithobates sylvaticus
X McCallum et al., 2003
Rana muscosa
X Grant, 2001
Scaphiopodidae
Spea hammondii
X Waye & Shewchuk, 1995
Spea intermontana
X X Waye & Shewchuk, 1995
Spea multiplicata
X Livo et al., 1997
Scaphiopus holbrookii
X X Marchisin & Andrews, 1978
167
6) Puffing up the body
Puffing up the body consists in filling the lungs with air, and thus enlarging the
frog’s size. This may behavior may be performed on the ground or vegetation, floating
in the water, or while seized by a predator. During the disinflation of the lungs, some
bufonids may emit a noise produced by the expiration. In snakes a similar noise is
considered a defensive strategy (Martins, 1996). For anurans there is no evidence that it
would function as a defensive behavior.
Possible synergistic behaviors
: puffing up the body may be accompanied by
crouching, chin-tucking, thanatosis, phragmosis, body-raising, body-tilting, mouth-
gaping, and eye protection (for these four latter behaviors, see below).
7) Body-raising
Two types (“legs vertically stretched” and “legs laterally stretched”) of body-
raising are here considered:
a) Body-raising (legs vertically stretched)
This behavior is described mostly for toxic species (Table 4). This body-raising
type may be displayed in two forms: a) partial: the frog stretches the legs vertically and
keeps its snout close to, or touching, the ground; or b) full: the frog stretches the legs
and arms, thus lifting the belly and snout off the ground. In both postures the eyes may
be closed and aposematic colors and eyespots-like glands (which were hidden in the
normal posture) may be displayed (Figure 4).
b) Body-raising (legs laterally stretched)
In this type of body-raising, the frog stretches the legs keeping its snout close to,
or touching, the ground, similarly to the partial body-raising; however, it also stretches
the legs laterally in such way that in its maximum it extends the legs in front of it snout
(Table 4; Figure 5).
Possible synergistic behaviors
: body-raising of both types are closely related to
puffing up the body (almost always present) and body-tilting (almost always present),
presence of skin secretions (noxious or odoriferous). Eye-protection (most commonly
among species that display body-raising of the first type), and mouth-gaping may co-
168
occur with body-raising (most commonly among species that display body-raising of
the second type).
Figure 4. Body-raising of the “legs vertically stretched” type (partial) and eyespots-like
glands in Edalorhina perezi (A) and Eupemphix nattereri (B); resting posture (C) and
body-raising of the full “legs laterally stretched” type (D) in Leptodactylus lineatus;
same behavior but partial in L. bolivianus (E) and L. labyrinthicus (F). Leptodactylus
lineatus and L. labyrinthicus additionally display aposematic colorations (hidden in
resting postures).
A) B)
C) D)
E) F)
169
Table 4. Frog species that display body-raising (“legs vertically stretched” and “legs laterally stretched” types) and body-tilting.
Presence/absence of aposematic (warning) coloration in the posterior region (post-femoral and groin), eyespots-like glands, and noxious
skin secretions. See text for further explanations. Families, genera, and species in alphabetical order.
Species Body-raising
type
Aposematic
coloration
Noxious skin
secretion
Intensity of
body-raising
Body
tilting
Source
Brachycephalidae
Eleutherodactylus curtipes
Legs vertical No No NA ? Duellman & Trueb, 1994
Bufonidae
Chaunus ornatus
Legs vertical No Yes Full Yes Toledo, 2004c
Ollotis alvaria
Legs vertical No Yes Full Yes Hanson & Vial, 1956
Ceratophryidae
Atelognathus praebasalticus
Legs vertical No ? Full ? Cei, 1980
Cycloramphidae
Eupsophus emiliopugini
Legs vertical ? ? ? ? Formas & Poblete, 1996
Macrogenioglottus alipioi
Both Yes ? Full Yes Present study
Dendrobatidae
Ameerega flavopicta
Legs vertical Yes Yes Partial No Toledo et al., 2004
Dicroglossidae
Hoplobatrachus tigerinus
Legs vertical No Yes Partial ? Brodie Jr. & Nussabaum, 1987
Hylidae
Aplastodiscus albosignatus
Legs lateral No ? NA Yes Present study
Aplastodiscus arildae
Legs lateral No ? NA Yes Present study
Aplastodiscus callipygius
Legs lateral No ? NA Yes Present study
Aplastodiscus cochranae
Legs lateral No ? NA Yes Present study
Aplastodiscus leucopygius
Legs lateral No ? NA Yes Present study
Aplastodiscus perviridis
Legs lateral No ? NA Yes Present study
Hyla versicolor
Legs vertical Yes Yes Partial Yes Brodie Jr. & Formanowicz, 1981
Hyloscirtus tapichalaca
Legs lateral ? ? NA ? Kizirian et al., 2003
Hypsiboas semilineatus
Legs lateral ? ? NA ? Azevedo-Ramos, 1995
Litoria alboguttata
Legs vertical Yes Yes Full Yes Williams et al., 2000
170
Litoria aurea
Legs vertical Yes Yes Partial Yes Williams et al., 2000
Litoria australis
Legs vertical No No Full ? Williams et al., 2000
Litoria caerulea
Legs vertical Yes Yes Partial Yes Williams et al., 2000
Litoria cultripes
Both No No Partial ? Williams et al., 2000
Litoria novaehollandiae
Legs vertical No No Partial ? Williams et al., 2000
Xenohyla truncata
Legs lateral ? ? NA ? Napoli, 2001
Hyperoliidae
Phlyctimantis keithae
Legs vertical Yes ? ? ? Rödl & Ernst, 2001
Phlyctimantis boulengeri
Legs vertical Yes ? ? ? Rödl & Ernst. 2001
Leiuperidae
Edalorhina perezi*
Legs vertical No Yes Partial Yes Present study
Eupemphix nattereri* Legs vertical No Yes Partial Yes Sazima & Caramaschi, 1988; Lenzi-
Mattos et al., 2005
Physalaemus deimaticus* Legs vertical No Yes Partial Yes Sazima & Caramaschi, 1988
Physalaemus marmoratus
Legs vertical No Yes Partial Yes Present study
Pleurodema brachyops* Legs vertical Yes Yes Partial ? Martins, 1989
Pleurodema bufonina* Legs vertical No Yes Partial ? Cei, 1962
Pleurodema thaul* Legs vertical No Yes Partial ? Cei & Espina, 1957
Leptodactylidae
Leptodactylus labyrinthicus
Legs vertical Yes Yes Full Yes Toledo et al., 2005
Leptodactylus laticeps
Legs vertical Yes Yes Full Yes Cei, 1980; Heyer & Scott Jr., 2006
Leptodactylus mystacinus
Legs vertical Yes Yes Full Yes Carvalho Jr., 2005
Leptodactylus ocellatus
Legs vertical No No Partial Yes Present study
Limnodynastidae
Heleioporus eyrei
Legs vertical No Yes Full ? Williams et al., 2000
Limnodynastes dumerilii
Legs vertical No No Partial ? Williams et al., 2000
Limnodynastes convexiusculus
Legs vertical No No Partial ? Williams et al., 2000
Limnodynastes lignarius
Legs vertical No No Partial ? Williams et al., 2000
Limnodynastes tasmaniensis
Legs vertical No No Full ? Williams et al., 2000
Limnodynastes terraereginae
Legs vertical Yes No Partial ? Williams et al., 2000
171
Opisthodon spenceri
Legs vertical No No Partial ? Williams et al., 2000
Microhylidae
Ctenophryne geayi
Legs vertical No ? Partial ? Menin & Rogrigues, 2007
Elachistocleis erythrogaster
Legs lateral ? ? NA ? Kwet & Solé, 2002
Elachistocleis ovalis
Both Yes No Partial ? Kokubum & Menin, 2002
Phrynomantis microps
Legs lateral ? ? NA ? Rödel & Braun, 1999
Plethodontohyla tuberata
Legs vertical Yes ? ? ? Nincheri & Andreone, 2002
Myobatrachidae
Pseudophryne bibronii
Legs lateral Yes Yes NA ? Williams et al., 2000
Pseudophryne semimarmorata
Legs lateral Yes Yes NA ? Williams et al., 2000
Uperoleia altissima
Legs vertical Yes Yes Partial Yes Williams et al., 2000
Uperoleia aspera
Legs vertical Yes Yes Partial ? Brodie Jr. et al., 1998
Uperoleia borealis
Legs vertical Yes Yes Partial ? Brodie Jr. et al., 1998
Uperoleia laevigata
Legs vertical Yes Yes Partial Yes Torr, 1991
Uperoleia lithomoda
Legs vertical Yes Yes Partial Yes Brodie Jr. et al., 1998
Uperoleia littlejohni
Legs vertical Yes Yes Partial Yes Williams et al., 2000
Uperoleia mjobergi
Legs vertical No Yes Full ? Brodie Jr. et al., 1998
Uperoleia talpa
Legs vertical No Yes Full ? Brodie Jr. et al., 1998
Scaphiopodidae
Spea intermontana
Legs vertical No ? Partial Yes Waye & Shewchuk, 1995
* Species with eyespots-like glands.
“NA” = Not applies.
172
Figure 5. Body-raising of the “legs laterally stretched” type in Aplastodiscus cochranae
(A) and A. perviridis (B) in lateral view, and A. cochranae (C) and A. albosignatus (D)
in dorsal view.
8) Body-tilting
During the approach of a predator, where tactile contact with the prey may be
the strongest stimulus for the display of defensive behavior, a body-raising frog may
direct its dorsum towards the predator (Table 4).
Possible synergistic behaviors
: body-tilting always involve body-raising (both
types), and is strongly marked by the presence of puffing up the body, display of glands
and aposematic coloration, and skin secretions (noxious, odoriferous, or slippery ones).
9) Stiff-legged behavior
Stiff-legged behavior, as coined by Sazima (1978), is a motionless behavior
preceded by short leaps. After leaping one or a few times in an erratic fashion, the frog
ends with its belly down and limbs stretched backwards (Figure 6). This defensive
behavior is known for a few Neotropical species that dwell on the forest floor and have
cryptic coloration of fallen brown or green leaves (Table 5).
A) B)
C) D)
173
Possible synergistic behaviors: stiff-legged behavior is highly related to cryptic
(leaf-like) dorsal coloration. No other defensive behavior has been reported to co-occur
with this peculiar behavior.
Table 5. Frog species that display stiff-legged behavior, their habitat, and general
pattern of dorsal coloration. Families, genera, and species in alphabetical order.
Species Habitat Dorsal coloration
pattern
Source
Brachycephalidae
Euparkerella cochranae
Forest floor Dead leaf Present study
Bufonidae
Dendrophryniscus berthalutzae
Forest floor Dead leaf Present study
Dendrophryniscus brevipollicatus
Forest floor Dead leaf Bertoluci et al., 2007
Dendrophryniscus leucomystax
Forest floor Dead leaf Bertoluci et al., 2007
Cycloramphidae
Proceratophrys appendiculata
Forest floor Dead leaf Sazima, 1978
Proceratophrys boiei
Forest floor Dead leaf Toledo & Zina, 2004
Proceratophrys melanopogon
Forest floor Dead leaf Present study
Zachaenus parvulus
Forest floor Dead leaf Rocha et al., 1998
Leptodactylidae
Paratelmatobius poecilogaster
Forest floor Dead leaf Present study
Scythrophrys sp. Forest floor Dead leaf Garcia, 1999
Microhylidae
Ctenophryne geayi
Forest floor Dead leaf Schlüter & Salas, 1991;
Menin & Rodrigues, 2007
Stereocyclops parkeri
Forest floor Dead leaf Sazima, 1978
10) Eye-protection
While remaining motionless in the chin-tucking or other defensive postures,
some frog species may cover the head, eyes and/or the tympanum with the forearms.
Some species may arch slightly the body upwards while displaying the eye protection
behavior. Some individuals close the eyes when in the arched posture (Table 6; Figure
7).
Possible synergistic behaviors
: Puffing up the body and body-raising may come
with eye-protection. Additionally, some species produce odoriferous secretions.
174
Figure 6. Stiff-legged behavior in Proceratophrys appendiculata (A), Stereocyclops
incrassatus (B), a brown morph (C) and a green morph (D) Scythrophrys sp.
Figure 7. Eye-protection in Aplastodiscus perviridis (A), Hypsiboas albopunctatus (B),
Bokermannohyla luctuosa (C), and Boophis albilabris (D).
A) B)
C) D)
A) B)
C) D)
175
Table 6. Frog species that protect the eye with hand, have aposematic (warning)
coloration, and produce noxious secretions. Families, genera, and species in
alphabetical order.
Species Aposematic
coloration
Noxious
secretions*
Source
Hylidae
Acris crepitans
No ? McCallum, 1999
Aplastodiscus albosignatus
No ? Present study
Aplastodiscus cochranae
No ? Present study
Aplastodiscus leucopygius
No ? Present study
Aplastodiscus perviridis
No ? Present study
Bokermannohyla alvarengai
No ? Vrcibradic & van Sluys, 2000
Bokermannohyla hylax
No ? Present study
Hypsiboas albopunctatus
No No Present study
Hypsiboas calcaratus
No ? Angulo & Funk, 2006
Hypsiboas fasciatus
No ? Angulo & Funk, 2006
Mantellidae
Boophis albilabris
No ? Andreone, 2002
Limnodynastidae
Heleioporus eyrei
No Yes Williams et al., 2000
Neobatrachus pictus
No Yes Williams et al., 2000
Neobatrachys sudeli
No Yes Williams et al., 2000
Racophoridae
Nyctixalus pictus
Yes ? Das et al., 2004
Ranidae
Lithobates capito
No ? Means, 2004
Lithobates sylvaticus
No ? McCallum et al., 2003
Rana draytonii
No ? Wilkinson, 2006
Rana temporaria
No ? Haberl & Wilkinson, 1997
11) Unken Reflex
This behavior is known for species of the genera Bombina, Melanophryniscus,
Pseudophryne, and Smilisca (Table 7). “Unken” means Bombina in German, a genus
widely known due to its peculiar defensive posture. Unken reflex involves withdrawing
and lifting the four legs off the substrate, and arching the body showing contrasting
aposematic colors on the belly, throat, and ventral surface of feet and hands (except for
Smilisca fodiens). While displaying the unken reflex, the frog may close the eyes and
produce noxious secretions.
This behavior shows individual variation in the presence/absence of it (Löhner,
1919) and in the extent it is displayed (Bajger, 1980). Young Bombina sp., which have
no contrasting abdominal colors yet, are unable to display the unken reflex (Löhner,
176
1919). In adult Bombina spp. and Melanoprhyniscus spp., the behavior may vary from a
partial unken reflex to a full one (sensu Bajger, 1980). In the full reflex the bright
ventral color is clearly visible (Figure 8A) and the eyes are closed. In the partial reflex
the limbs are off the ground, the bright ventral color is sometimes visible, and the eyes
are open (Figure 8B). The species that were recorded displaying the full unken reflex
also displayed the partial one. The opposite is not recorded (Bajger, 1980; present
study).
Possible synergistic behaviors
: unken reflex may be accompanied by noxious
secretions, puffing up the body (Bajger, 1980), and ventral aposematic colors as a rule
(except for Smilisca fodiens).
Table 7. Frog species that display the unken reflex. Families, genera, and species are
presented in alphabetical order.
Species Dorsal
coloration
Ventral
coloration
Unken
reflex
extent
Source
Bombinatoridae
Bombina bombina
Cryptic
Black
Aposematic
Orange/red
Full Bajger, 1980; Haberl &
Wilkinson, 1997
Bombina orientalis
Cryptic
Green
Aposematic
Orange/red
Full Bajger, 1980; Haberl &
Wilkinson, 1997
Bombina variegata
Cryptic
Black
Aposematic
Yellow
Full Haberl & Wilkinson, 1997
Bufonidae
Melanophryniscus cambaraensis
Aposematic
Green
Aposematic
Red
Partial Present study
Melanophryniscus fulvoguttatus
Aposematic
Black/yellow
Aposematic
Red/yellow
Partial C. P. A. Prado, pers. comm.
Melanophryniscus moreirae
Cryptic
Brown
Aposematic
Red
Partial Present study
Melanophryniscus parnaciaensis
Cryptic
Brown
Aposematic
Orange
Partial D. Loebmann, pers. comm.
Melanophryniscus stelzneri
Aposematic
Black/yellow
Aposematic
Red/yellow
Full Cei, 1980
Melanophryniscus tumifrons
Cryptic
Brown
Aposematic
Red
Full Present study
Hylidae
Smilisca fodiens
Cryptic
Brown
White Full Firschein, 1951
Myobatrachidae
Pseudophryne semimarmorata
Cryptic
Gray/black
Aposematic
Blue/orange/black
Partial Williams et al., 2000
177
Figure 8. Full (A) and partial (B) unken reflex in Melanophryniscus tumifrons and M.
parnaciaensis, respectively. Below, M. cambaraensis in an undisturbed posture (C) and
turned with its belly up (D).
12) Legs-interweaving
This unusual behavior has been described only for the hyperoliid Phlyctimantis
keithae. When disturbed the frog twists onto its back, throwing its limbs across the body
and displaying aposematic or disruptive colors on the legs and belly. This behavior
breaks the outline of the frog (Channing & Howell, 2003).
Possible synergistic behaviors
: legs-interweaving is accompanied by disruptive
or aposematic color patterns and possibly by the presence of noxious secretions.
13) Flipping onto the back
Some frogs when frightened may jump and end with the belly upwards (Scinax
hiemalis and Melanophryniscus cambaraensis: present study), or they may just flip onto
the back (Pseudophryne bibronii and P. semimarmorata: Williams et al., 2000),
generally displaying aposematic (warning) colors.
Possible synergistic behaviors
: a motionless behavior followed by thanatosis and
eventual fleeing.
A) B)
C) D)
178
14) Hiding
Hiding implies movement to behind or under an object, such as a leaf fallen to
the ground, dead or live vegetation, or to burrows or crevices.
15) Digging
Some individuals of a few species [Leptodactylus mystaceus, Eupemphix
nattereri, Odontophrynus americanus, Proceratophrys cururu, P. moratoi (present
study), Gastrophryne carolinensis, and Scaphiopus holbrookii (Marchisin & Andrews,
1978)] when disturbed or cornered bury themselves in the ground digging with their
hindlimbs. All these species are fossorial (burrowing) for at least a period of the year.
16) Active escape or fleeing
Fleeing may be used by all species of anurans. Indeed, all individuals of species
observed in the field tried to escape. This escape can be either quick and erratic, or less
rapid but directed and vigorous. Besides fleeing in any direction, the frog may do so
moving backward, climbing, walking, jumping into the water, entering into a burrow, or
parachuting.
There is a particular case of fleeing, called “balling behavior” described for
bufonid species of the genus Oreophrynella: O. vasquezi, O. nigra, and O. quelchii. The
frogs adopt a crouched posture with chin tucking and fold their arms and legs under the
body, and when they are on a sloping terrain, they would move downhill as a rolling
stone (McDiarmid & Gorzula, 1989).
Possible synergistic behaviors
: fleeing may be accompanied with liquid cloacal
discharge, distress calls, and flash colors. Balling behavior may be accompanied by
aposematic colorations.
17) Cloacal discharge
Cloacal discharge is generally produced when the frog is seized by or fleeing
from a predator. The discharged material may be liquid or solid. Liquid cloacal
discharge (extrusion of bladder contents) is the commonest behavior, occurring in many
species (Table 4). Solid discharge or defecation (feces expelled with force from the
179
intestine) was reported for Anaxyrus terrestris only, while seized by a snake (Marchisin
& Andrews, 1978).
Possible synergistic behaviors
: cloacal discharge occurs during fleeing or
fighting a predator. Besides this, it may co-occur with puffing up the body.
18) Charging
Threatened anurans may charge at the predator as an intimidating technique.
This behavior was observed for Leptodactylus ocellatus, Ceratophrys aurita, and C.
joazeirensis (present study).
Possible synergistic behaviors
: while charging the frog may emit warning calls,
display mouth-gaping and/or aposematic coloration, puff up the body, and display body-
raising. If the frog gets close to the predator, charging may end in biting or head hitting.
19) Head hitting
Some leptodactylids (Leptodactylus bolivianus, L. chaquensis, L. ocellatus, and
L. podicipinus) are known to hit predators with the head. In all recorded instances the
frogs were females guarding foam nests or tadpoles (Vaira, 1997; Prado et al., 2000;
present study).
Possible synergistic behaviors
: charging generally precedes head hitting.
20) Biting
Biting as a defensive strategy is reported for 16 frog species, and we add here
five species to this list: Ceratophrys aurita, C. joazeirensis, Cycloramphus acangatan,
C. eleutherodactylus,and Hemiphractus johnstonei (Table 8; Figure 9).
Possible synergistic behaviors
: Puffing up the body and body-raising are related
to biting. Besides this, biting may be preceded or followed by mouth-gaping.
21) Mouth-gaping
Mouth-gaping is reported for three frog species, Eupsophus emiliopugini
(Formas & Poblete, 1996), Hemiphractus fasciatus (Myers, 1966), and Gastrotheca
helenae (Duellmann & Trueb, 1994). While handling or approaching some frogs in the
field we also observed mouth-gaping displays in Brachycephalus ephippium, B.
180
hermogenesi, Brachycephalus sp. (aff. vertebralis), Eleutherodactylus binotatus, E. cf.
ramagii, Ceratophrys aurita, C. joazeirensis, Cycloramphus acangatan, C.
boraceiensis, Hemiphractus johnstonei, Bokermannohyla izecksohni, and Megophrys
sp. (Table 8; Figure 10).
Some individuals of Hemiphractus fasciatus and Eleutherodactylus binotatus
may arch (slightly or vigorously, respectively) the body backwards during the mouth-
gaping displays (Myers, 1966; present study; Figure 10).
Possible synergistic behaviors
: all species that display mouth-gaping also emit
defensive vocalizations (except for C. acangatan, which was not tested for distress
calls). Mouth-gaping display may precede charging, and be preceded or followed by
biting.
Figure 9. Frogs biting human fingers upon handling: A) Hemiphractus johnstonei, B)
Ceratophrys joazeirensis, C) Cycloramphus boraceiensis, and D) Cycloramphus
eleutherodactylus.
A) B)
C) D)
181
Table 8. Frog species that bite and mouth-gape defensively, presence/absence of parental care, batrachophagic habits and defensive
vocalization. Families, genera, and species in alphabetical order.
Family / species Parental
care
Frog
eating
Defensive
vocalization
References
Centrolenidae
Hyalinobatrachium colymbiphyllum
Yes No No Drake & Ranvestel, 2005
Ceratobatrachidae
Ceratobatrachus guentheri
? ? ? Noble, 1931
Ceratophryidae
Ceratophrys aurita
No Yes Yes Present study
Ceratophrys cranwelli
No Yes ? Fabrezi & Emerson, 2003
Ceratophrys joazeirensis
No Yes Yes Present study
Ceratophrys ornata
No Yes Yes Donoso-Barros, 1972
Lepidobatrachus sp. ? Yes Yes Fabrezi & Emerson, 2003
Leptodactylidae
Leptodactylus chaquensis
Yes Yes ? Present study
Leptodactylus ocellatus
Yes Yes Yes Vaz-Ferreira & Gehrau, 1974; 1975
Leptodactylus pentadactylus
Yes Yes Yes Villa, 1969
Hemiphractidae
Hemiphractus fasciatus
Yes Yes Yes Myers, 1966
Hemiphractus johnstonei
Yes Yes ? M. Barbosa, pers. comm.
Cycloramphidae
Cycloramphus acangatam
? ? ? Present study
Cycloramphus boraceiensis
Yes Yes ? Hartmann et al., 2003; Present study
Cycloramphus dubius
Yes ? ? Giaretta & Cardoso, 1995
Cycloramphus eleutherodactylus
Yes ? ? Present study
Megophryidae
Brachytarsophrys carinensis
? ? ? Noble, 1931
Megophrys sp. ? Yes Yes Present study
BITING
Pyxicephalidae
182
Aubria subsigillata
? Yes ? Fabrezi & Emerson, 2003
Pyxicephalus adspersus
Yes Yes Yes Cook et al., 2001; Fabrezi & Emerson, 2003
Pyxicephalus edulis
Yes Yes ? Loveridge, 1945
Amphignathodontidae
Gastrotheca helenae
Yes ? Yes Duellmann & Trueb, 1994
Brachycephalidae
Brachycephalus ephippium
No No No Present study
Brachycephalus hermogenesi
No No No Present study
Brachycephalus sp. (aff. vertebralis) No No No Present study
Eleutherodactylus binotatus
? No Yes Present study
Eleutherodactylus cf. ramagii ? No ? D. Loebmann, pers. comm.
Ceratophryidae
Ceratophrys aurita
No Yes Yes Present study
Ceratophrys joazeirensis
No Yes Yes Present study
Cryptobatrachidae
Stefania woodleyi
? ? Yes Kok et al., 2007
Cycloramphidae
Cycloramphus acangatam
? ? ? Present study
Eupsophus emiliopugini
? ? Yes Formas & Poblete, 1996
Hemiphractidae
Hemiphractus johnstonei
Yes Yes Yes Present study
Hemiphractus fasciatus
Yes Yes Yes Myers, 1966
Hylidae
Bokermannohyla izecksohni
No No Yes I. Martins, pers. comm.
Megophryidae
MOUTH-GAPING
Megophrys sp. ? Yes Yes Present study
183
A) B) C)
D) E) F)
G) H)
I
I
)
)
Figure 10. Mouth-gaping by
Eleutherodactylus cf. ramagii
(A), Brachycephalus sp. (aff.
vertebralis) (B), Hemiphractus
johnstonei (C), Eleutherodactylus
binotatus (D-E), Bokermannohyla
izecksohni (F), Ceratophrys aurita
(G), Cycloramphus acangatan
(H), and Megophrys sp. (I). Note
the contrasting yellow lower jaw
of C. aurita, visible only while the
mouth is open. In C. aurita, H.
johnstonei, and Megophrys sp.
note the sharp lower jaw teeth.
184
22) Tongue protrusion
Perret (1961) describe this behavior for Acanthixalus spinosus: the frog half-
closes its eyes, keeps its limbs motionless close to the body, and protrudes its
orange/yellow tongue (Figure 3).
Possible synergistic behaviors
: This behavior may be exhibited while in relaxed
thanatosis.
23) Fighting
During subjugation by a potential predator, a frog may fight. The most
commonly observed movements while fighting were holding (frogs that have adhesive
disks hold on nearby objects and try to pull itself out of the predator hands or mouth)
and kicking (when the frog is grasped by the head it pushes the predator’s face with the
hind legs and kicks).
Possible synergistic behaviors
: spine aggression, puffing up the body,
production of secretions (odoriferous, noxious or adhesive), defensive vocalizations
(distress or alarm calls), cloacal discharge, regurgitating, and biting.
24) Spine aggression
Use of spines in the prepollex, prehallux, and/or chest as a defense is recorded
for several frog species (Table 2). However, not all species that present spines use them
in defense. This is, for example, the case of species of the Hypsiboas pulchellus group,
of which we tested several individuals of Hypsiboas beckeri, H. bischoffi, H. caingua,
H. guentheri, H. leptolineatus, H. polytaenius, H. prasinus, and H. pulchellus, and
species of the genus Crossodactylus (Hylodidae) as well. Species that use no their
spines defensively are smaller than those that use their spines (ANOVA F = 65.87; P <
0.001; N = 48: Figure 11). We divided this aggression in three types:
a) Spine-puncturing is the piercing of spines on the frog’s prepollex in any
reachable body part of a predator (e.g., skin, tympanum, eyes, and oral mucosa).
b) Spine-scratching is the use of spines on the frog’s prepollex or prehallux (as of
Xenopus spp.) to scratch any reachable body part of a predator (e.g., skin, eyes,
and oral mucosa).
185
c) Spine-hurting is the use of spines on prepollex on a predator without penetrating
the skin (or other body parts) as does spine-puncturing.
Possible synergistic behaviors
: spine aggression may co-occur with defensive
vocalizations, puffing up the body, fighting, cloacal discharge, and production of
secretions (odoriferous, noxious, and slippery).
0
2
4
6
8
10
12
21-30 31-40 41-50 51-60 61-70 71-80 81-90 91-100 > 101
Size classes (mm)
Number of individuals
Spine aggression
No Spine aggresion
Figure 11. Size classes (mm) of individuals that use spine-aggression (puncturing) as a
defensive behavior (gray bars) and those who do not use them (white bars), although
spines on prepollex are present.
25) Phalanx-aggression
Some African arthroleptids (Astylosternus spp. and Trichobatrachus robustus)
have openings in the distal skin of the fingers (Boulenger, 1902). These openings allow
the protrusion of distal phalanges of the fingers, which are used to deeply scratch a
would be predator (W. Böhme, unpubl. data).
26) Regurgitating
Two individuals of Spea intermontana (Scaphiopodidae) regurgitated stomach
contents or bubbles while handled (Waye & Shewchuk, 1995).
Possible synergistic behaviors
: odor production.
186
27) Defensive vocalization
Defensive high-pitched screams are almost universal (except for the aquatic
pipids) and may be a basal character among anurans. Based on the context of emission
three terminologies for defensive vocalizations have been proposed: i) distress calls (the
most common, when the frogs are seized or when fleeing from predators), ii) warning
calls (an intimidating scream directed towards a predator), and iii) alarm calls (a kind of
help scream that may attract other animals to the predation scene). Further definitions,
discussion, and a literature review are in Toledo & Haddad (in prep.).
Possible synergistic behaviors
: defensive vocalizations may be coupled with
fleeing, charging, body-raising, puffing up the body, mouth-gaping, fighting, spine
aggression, and production of secretion. While screaming, Litoria australis jumps
vertically and lands in the spot on the ground where it was previously resting (Behler &
Behler, 2005).
28) Production of secretions
Four broad secretion types may be released by frogs while threatened. The
secretion released by a given frog species may be of more than one type at the same
time. For example, it is adhesive and noxious (e.g., Trachycephalus venulosus) or
odoriferous and noxious (e.g., Leptodactylus labyrinthicus).
a) Odoriferous: vary from malodorous to floral-like odors (see Smith et al.,
2004).
b) Adhesive: viscous secretions typically produced by Trachycephalus spp. and
Hyophryne histrio.
c) Noxious: toxic secretions produced by several frog species (e.g., Table 2). In
an experimental trial we fed the snake Liophis miliaris with an adult male of
Trachycephalus mesophaeus (Hylidae). When seized, the anuran remained
motionless and was ingested. After ca. 5 minutes the snake regurgitated its
prey unharmed and alive. We attribute this outcome to production of
secretions noxious to the snake’s digestive system (see also Sazima 1974).
d) Slippery: lubricating secretions produced generally by aquatic or semi-
aquatic species, such as pipids, ranids, and leptodactylids.
187
Possible synergistic behaviors: production of secretion may occur with several
other defensive behaviors: immobility, thanatosis, phragmosis, crouching, puffing up
the body, body-raising, body tilting, unken reflex, eye protection, biting, mouth-gaping,
tongue protrusion, fighting, spine aggression, regurgitation, and defensive vocalizations.
29) Ecological defenses
a) Anachoresis or Inaccessibility
Frogs may live in places or spots difficult to reach for most predators. For
example, some species spend their whole life cycle, including feeding, reproduction,
resting, thermoregulation, and development of all life stages (eggs, tadpoles, adults)
inside a bromeliad. This life style would difficult taking such a frog by several potential
predators, and thus it may be considered as a defense associated to the ecology of the
species. However, specialized predators are able to find and prey on frogs with such
specialized ecological traits (Toledo et al., 2007a).
b) Chorus vocalization
Most of frogs call during their reproductive period. They usually call in chorus,
which may disorientate predators. With a disturbance nearby, the frogs usually stop
calling, but those that are far from the disturbance remain calling. Thus, a predator may
keep changing the target without finding the frogs by acoustic cues. Furthermore, the
entire chorus may quit calling in the presence of a predator, recognized as such by
visual or acoustic cues (e.g., Tuttle et al., 1982), or by acoustic cues emitted by other
nearby frogs (L. F. Toledo, unpubl. data).
c) Group movements
Several individuals of the same or different species may metamorphose at the
same time. Consequently, they leave the aquatic environments synchronously. Froglets
are very fragile and do not have much of the defensive strategies of the adults; thus,
remaining in a large group may reduce individual chances of being preyed inasmuch as
the predator is progressively sated (e.g., Arnold & Wassersug, 1978; DeVito, 2003).
Not only juveniles group; aposematic species of Brachycephalus (Brachycephalidae)
are found in high densities on the forest floor (Toledo et al., 2007a).
188
d) Wide distribution
Some frog species are widely distributed on the forest floor during the
reproductive season. This strategy may reduce their predation chances as compared to
species that aggregate for reproductive purposes (see also Toledo et al., 2007a for cases
of non-aposematic brachycephalids).
Discussion
Function and effectiveness of some behaviors
Thanatosis and eye-protection may work similarly. Both would likely be
effective against predators that do not feed on carrion (necrophagy) and against those
which need movement cues to find and handle further their prey. Thanatosis also would
work for those anurans that are able to produce noxious secretions in the mouth or
digestive tract of predators (e.g., Sazima, 1974; present study).
Some frog species are known to flip onto their back to display aposematic
(warning) colorations. Similarly, frogs that rely on thanatosis may also display
aposematic colorations on the belly, when they are turned with their belly up by the
predator.
It is suggested that the partial body-raising with vertically-stretched legs occurs
during the day only, because it may involves visual signalization (Martins, 1989).
However, we have seen this behavior during the night as well (for Eupemphix nattereri
and Physalaemus marmoratus). Furthermore, we do not believe that this signalization
will work only with daily visually orientated predators. Nocturnal, visual signaling is
already described for frogs (e.g., Hartmann et al., 2005; Toledo et al., 2007b), and thus
other potential predators (including frogs) may also be able to recognize visual signals
during the night or in conditions of reduced luminosity, such as in subterranean retreat
sites (Martins, 1989).
The body-raising with laterally-stretched legs results in loosing the characteristic
frog shape, and difficulty in subduing and ingesting the prey. However, information is
still lacking about the effectiveness of this strategy.
Body-tilting may be effective in presenting to the predator the dorsal
macroglands (sensu Toledo & Jared, 1995). In this case the first body parts that the
189
predator would bite are the glands, which would squeeze noxious secretions into the
predator’s mouth. These secretions may cause paralysis, irritation, or simply be
distasteful, hampering or precluding the predation. Alternatively or non-exclusively,
when performing body tilting a frog is showing its largest surface to the predator. This
may act as an intimidating behavior, as the frog is actually larger when compared to the
size initially perceived by the predator, or it may discourage the predator making the
prey more difficult to seize.
Cloacal discharge during active fleeing may be effective in three ways: the
cloacal contents may be distasteful for the predator (if the discharge hits the predator’s
mouth; most probably during seizing), it may startle an endothermic predator with the
cold discharge, and/or it may get the frog lighter, and consequently faster to flee.
Regurgitating is recorded only once, in a quite well studied species (e.g., Morey
& Reznick, 2000; Hall et al., 2002 and references therein). Therefore, care should be
taken to consider this behavior as an actual defensive strategy. The recorded
regurgitating behavior could be a consequence of stomach squeezing while handling the
frogs.
Puffing up the body is suggested to enlarge the size of the frog upon seeing a
predator (Stebbins & Cohen, 1995; Williams et al., 2000). It is also reported to be
effective in causing flotation. An aquatic turtle (Kinosternum sp.) could not sink easily a
Chaunus marinus with its lungs inflated; after struggling for a while, the turtle gave up
and the frog escaped with traces of poison on its paratoid glands, which may have
played an important role during the predatory/defensive interaction (Blair, 1947).
Furthermore, synergistically with phragmosis, anurans may easily wedge themselves
into crevices, bromeliad axils, or burrows (in trees and in the ground) by inflation
(person. obs.). This is another example where the association between behaviors (in this
case, phragmosis and puffing up the body) may amplify the effectiveness of several
behaviors (see below). Another behavior that acts synergistically with puffing the body
is the display of eye-like glands, some of which produce a distasteful and/or noxious
secretion (e.g., Sazima & Caramaschi, 1986; Toledo & Jared, 1995).
Multiple behaviors benefits
190
Larger number of defensive strategies used together likely results in higher
chances of a frog to escape from a predator. Moreover, when two or more defensive
strategies are used together probably the net benefit is higher than the simple sum of
effective, isolated behaviors. For example, the emission of warning calls by
Ceratophrys aurita and C. joazeirensis is strengthened by the visual signal given by the
contrasting colors of the bright yellow lips against the white mouth lining and the
mottled green dorsal pattern. This double or multiple signalization may stop the action
of those predators that are intimidated by the defensive scream, those that are
intimidated by the aposematic coloration of the gaping display, and those predators that
are only intimidated when multiple signals are emitted (however, this suggestion needs
experimental data). Defensive vocalizations seem to be useless against some predators,
such as snakes, probably the major anurans predators (Toledo et al., 2007a), which
likely are unable to hear frogs’ screams (Toledo & Haddad, in prep.). Thus, the use of
multiple behaviors, such as mouth-gaping, likely are effective not only by the
advantageous sum of the isolated behaviors, but because this strategy type enhances the
probability of broadcasting a signal that can be recognized as defensive by the predator.
Evolution of defensive behaviors
Immobility in anurans and salamanders has been shown to be successful against
several predator types, mainly birds and snakes (Brodie Jr., 1977; Marchisin &
Andrews, 1978; present study). Besides the frog species reported here, two Lithobates
pipiens individuals were offered to a snake and the one that remained crouched (and
thus motionless) went undetected by the snake, which chased and preyed on the moving
one (Marchisin & Andrews, 1978). Even while detected, remaining motionless rather
than attempting to flee reduces the intensity of the predator attack (Brodie Jr., 1977).
Thus, the risks of detection and lethal injuries may have been two pressures acting
separately or in concert for the evolution of motionless defenses and the synergistic
behaviors displayed while fleeing. Examples are flash-colors (Brodie Jr. &
Formanowicz, 1981) and stiff-legged behavior (Sazima, 1978), which enhance the
chances of misleading a predator after the prey was detected.
It is possible that the thanatosis of the rigid type has evolved from the relaxed
type, due to the higher complexity of the first one: eyes generally closed, arms and legs
191
in fixed positions, and head ventrally flexed. Besides the differences in the complexity
level between the two types, the relaxed thanatosis is widespread in the anuran clade
whereas the rigid type seems to be taxa restrained, i.e., occurs in given phylogenic
groups, such as phyllomedusines and bufonids.
However, regardless the order of appearance of these behaviors, it is hard to
attribute a higher defensive protection to any of the two types. Relaxed thanatosis seems
more realistic “dead” posture since the frog may be put and remains in any posture. On
the other hand, the rigid type likely protects vital areas, such as the belly (legs and arms
close to it), eyes (kept closed), legs and arms (close to the body). Thus, rigid thanatosis
is a behavior with more complex function, not only making a frog to resemble dead (see
also Honma et al., 2006). Rigid thanatosis seems to occur mostly (if not only) among
frog species that have a chance of outliving being swallowed, as they produce noxious
secretions while in a predator’s gut. Some frogs are regurgitated alive after swallowed
by snakes (Dendrobates auratus: Brodie Jr. & Tumbarello, 1978; Phyllomedusa rohdei:
Sazima, 1975; Trachycephalus mesophaeus: present study). This ultimate strategy (as it
acts on digestion, the latest phase of predation) may explain the co-occurrence of
thanatosis and eye protection.
Some postures occur synergistically with poison glands (Sazima & Caramaschi,
1986; Toledo & Jared, 1995; Lenzi-Mattos et al., 2005). In some cases the glands may
have evolved after the behavior. This seems to be the case of phragmosis in
Corythomantis greeningi (Jared et al., 2005). Phragmosis also occurs in closely related
species (Aparasphenodon spp.), and thus it seems to be a phylogenetically restrained
behavior. However, species of Aparasphenodon have no spines and gland structures on
the head as those found in C. greeningi (see Jared et al., 2005; C. Jared, person. com.).
Anotheca spinosa is an arboreal hylid that calls and reproduces in from tree holes or
bamboo internodes containing water (Jungfer, 1996). It has the skull ornamented with
sharp and dorsally pointed spines in the margins of frontoparietal, maxilla, nasal
(including canthal ridge), and squamosal bones, and is a sister group of Triprion
(Faivovich et al., 2005). We suggest that A. spinosa displays phragmosis and has
noxious glands similar to those of C. greeningi. In Chaunus granulosus the origin of
macroglands (sensu Toledo & Jared, 1995) on the head likely anteceded phragmotic
behavior, since all Chaunus species present such glands. Indeed, in most other cases in
192
which the glands are directed toward the predator, especially while body-tilting (but
also in chin-tucking, crouching, and body-raising), the origin of such behaviors may
have occurred after the origin of dorsal macroglands.
Odoriferous secretions may act as a chemical warning, in which a specific odor
is related to noxiousness and/or unpalatability (Smith et al., 2004). Furthermore, it is
possible that it functions as a chemical camouflage and/or mimicry as well. Some frog
species produce odors that resemble smashed plants (Smith et al., 2004; present study)
that may mislead a predator, especially if the frog remains motionless and the predator
would not have visual nor chemical cues to find the prey. In any case, chemical as well
as acoustic defenses (e.g., vocalization) are signals especially useful to be emitted at
night (Smith et al., 2004) or in subterranean retreat sites.
There is a suggestion that the full body-raising with vertically stretched legs
have evolved before the partial body-raising (Brodie Jr. et al., 1998). Furthermore, it is
suggested that the origin of aposematic colorations (involving noxious glands) preceded
the origin of the partial body-raising (Brodie Jr. et al., 1998). The authors suggest three
steps: 1) full body-raising with vertically stretched legs; 2) aposematic colorations; 3)
partial body-raising with vertically stretched legs (Brodie Jr. et al., 1998).
Some authors (e.g., Harbel & Wilkinson, 1997; McCallum, 1999; Andreone,
2002) compared eye-protection with unken reflex. However, this seems to be
inappropriate, as the unken reflex is likely an aposematic signal in most of the cases,
whereas eye-protection seems to be, for example, a protective posture allowing a frog to
be swallowed without much harm after regurgitation (see above).
Biting is strongly related to frog-eating diet and/or parental care. Frogs that eat
large prey items have large heads and wide mouths (Emerson, 1985; Pough et al.,
1998), and frogs that eat other vertebrates have a specialized cranial architecture with
rigid and fused lower jaws, large maxillary teeth, hyperostosis of the cranium, and are,
in most cases, ambushing predators (Lynch, 1971; Duellman & Lizana, 1994; Fabrezi &
Emerson, 2003; Scott & Aquino, 2005). Thus, frog-eating habit likely is at the
evolutionary origin of defensive biting (Scott and Aquino, 2005; present study).
In the cases of Hyalinobatrachium colymbiphyllum (which do not feed on large
or vertebrate prey), Leptodactylus ocellatus, and probably in the case of Cycloramphus
193
spp., biting occurs mainly or exclusively during parental care (Vaz-Ferreira & Gehrau,
1974; 1975; Cook et al., 2001; Hartmann et al., 2003; Drake & Ranvestel, 2005).
Mouth-gaping, on the other hand, calls the attention of the predator to a visual
display that may intimidate the predator and thus hamper the predatory sequence.
Mouth-gaping is intensified by the contrasting colors of the mouth lining, tongue,
and/or the lower jaws in relation to body pattern (Figure 10 D), as reported by other
authors (Myers, 1966; Duellmann & Trueb, 1994).
Mouth-gaping is likely related with emission of defensive vocalizations. Some
frog species that are reported perform mouth-gaping also are known to emit defensive
vocalizations induced by a predator approach or seizing. Furthermore, the emission of
defensive vocalization is almost exclusively done with the mouth open (Toledo &
Haddad, in prep.). Thus, it is possible that mouth-gaping has originated from animals
that use to scream defensively, but lost this ability and maintained the behavior of
opening of the mouth. This latter visual signal may be as effective as the emission of
distress calls for a snake (which does not react to defensive vocalizations, Toledo &
Haddad, in prep.), but less energetically costly.
Constraints in the origin of the defensive behaviors
Spines on toes and chest are generally used during aggressive interactions
between males (e.g., Martins et al., 1998; Toledo et al., 2007b) and its presence is
widespread among anurans (see Fabrezi, 2001). However, not all species use them as a
defensive strategy (present study). Thus, spines apparently evolved initially for
territorial interactions, as most of the species that have spines use them during
intraspecific fights. However, there may be a size constraint involved, as only large
species use them as a defensive weapon. Spines of small species may not be effective
(hurting) against predators, and thus use of spine aggression had evolved among large
species only.
Besides this, there are other relationships between size and presence of some
defensive behaviors. For instance, small juveniles of Bombina spp. have no aposematic
coloration and do not display unken reflex (Löhner, 1919); defensive vocalization is
absent in small species (Toledo & Haddad, in prep.); spine aggression is present in large
species only (present study); and larger frogs may be benefited simply by their size,
194
since size alone reduces the assemblage of predators that is able to handle large prey
(review in Toledo et al., 2007a). Furthermore, it has been suggested that long-legged or
very small species may lack defensive behaviors other than active fleeing (Williams et
al., 2000; Behler & Behler, 2005). Thus, there seems to be upper and lower limits that
shape the quantity and quality of defensive behaviors for size classes at individual
ontogenetic level and at species level. In this context, it is noteworthy that recently-
metamorphosed Hypsiboas faber utters defensive calls (Sazima, 1975).
Another factor that may have shaped presence/absence of some particular
defensive behaviors is the microhabitat. For example, the stiff-legged behavior is
reported only for species that live in the leaf litter and that have a dead-leaf dorsal color
pattern, independently of the taxonomic group (Sazima, 1978; present study). Another
example is that of species that inhabit streams (such as the hylodids Hylodes spp. and
Megaelosia spp.) have no defensive strategies other than their camouflaging pattern
against and their jumping into the fast-running water (pers. obs.).
There are several widespread behaviors that seem to have originated in the
beginning of the diversification of the living anurans, such as defensive vocalizations,
puffing up the body, immobility, and fleeing. On the other hand, there are some
behaviors that seem to be exclusive to particular groups and/or species, such as the legs-
interweave, balling behavior, and defecation. There are still others that likely are
instances of convergence, such as unken reflex, phragmosis, and the stiff-legged
behavior. The origin of defensive behaviors is difficult to assess, and frogs in different
geographic regions likely were selected by different environmental conditions and
predator pressures (although there surely are some “universal predators” such as snakes
and birds). Studies that focus on geographic variation of defensive behaviors (e.g.,
Williams et al., 2000), reactions due to actual presence of predators (e.g., Brodie Jr. et
al., 1978), and those testing the efficacy of defensive behaviors (e.g., Brodie Jr. &
Tumbarello, 1978; Brodie Jr. & Formanowicz Jr., 1981; Brodie Jr. & Nussbaum, 1987),
will ultimately help to elucidate several questions about evolution of defensive
behaviors in anurans.
Acknowledgements
195
André Antunes, Cynthia Prado, Daniel Loebmann, Juliana Zina, Luís Giasson,
Marlies Sazima, Nanuza Menezes, Olívia Araújo, Otávio Cardoso de Oliveira, Rodrigo
Lingnau, Werner C. A. Bokermann helped in the field expeditions. Andreas Schmitz,
Cynthia Prado, Julián Faivovich, and Wolfgang Böhme helped with references and with
valuable comments during early drafts of the manuscript. Itamar Martins, Moisés S.
Barbosa, Harry Greene, and Franco Andreone provided the pictures of B. izecksohni. H.
johnstonei, C. boraceiensis, and B. albilabris, respectively. Dante Fenolio and Ken
Nemuras provided the pictures of H. johnstonei and Megophrys sp. mouth-gaping,
respectively. Andreas Schmitz provided the pictures of Leptopelis rufus and
Acanthixalus spinosus. FAPESP (BIOTA proc. no. 01/13341-3) and CNPq supported
the Herpetology laboratory, Departamento de Zoologia, Unesp, Rio Claro, São Paulo,
Brazil. The authors also thank the CAPES, CNPq, FAPESP, Idea Wild, Neotropical
Grassland Conservancy, and Fauna Pro Assessoria e Consultoria Ambiental for grants,
scholarships, equipment donation, and supporting some of the field expeditions.
196
References
Abbadié-Bisogno, K., L. Oliver-López, and A. Ramírez-Bautista. 2001. Bufo
occidentalis (Pine Toad). Death feigning. Herpetological Review 32 (4):247.
Andreone, F. 2002. Boophis albilabris (NCN). Defensive behavior. Herpetological
Review 33 (4):299-300.
Angulo, A. & Funk, W. C. 2006. Hyla calcarata (Rana de Espolones) and Hyla fasciata
(NCN). Defensive behavior. Herpetological Review, 37(2):203-204.
Arnold, S. J. and R. J. Wassersug. 1978. Diferential predation on metamorphic anurans
by garther snakes (Thamnophis): social behavior as a possible defense. Ecology
59 (5):1014-1022.
Azevedo-Ramos, C. 1995. Defensive behaviors of the Neotropical treefrog Hyla
geographica (Anura, Hylidae). Revista Brasileira de Biologia 55 (1): 45-47.
Bajger, J. 1980. Diversity of defensive responses in populations of fire toads (Bombina
bombina and Bombina variegata). Herpetologica 36 (2):133-137.
Barbour, T. 1914. A contribution of the zoogeography of the West Indies, with especial
reference to amphibians and reptiles. Mem. Mus. Comp. Zool. 44: 242-243.
Behler, J. L. & Behler, D. A. 2005. Frogs: a chorus of colors. New York: Sterling
Publishing Co., Inc. 160p.
Bertoluci, J., Brassaloti, R. A., Sawakuchi, H. O., Ribeiro Jr., J. W. & Woehl Jr., G.
2007. Defensive behavior with stiff-legged posture in the Brazilian tree toads
Dendrophryniscus brevipollicatus and D. leucomystax (Anura, Bufonidae). Alytes
- International Journal of Batracholgy, in press.
Blair, A. P. (1947). Defensive use of parotoid secretion by Bufo marinus. Copeia 1947:
137.
Boice, R. and R. C. Williams. 1971. Delay in onset of tonic immobility in Rana pipiens.
Copeia 1971 (4):747-748.
Bokermann, W. C. A. 1965. Três novos batráquios da região central de Mato Grosso,
Brasil (Amphibia, Salientia). Revista Brasileira de Biologia, 25(3):257-264.
Brattstorm, B. H. and J. W. Warren. 1955. Observations on the ecology and behavior of
the pacific treefrog, Hyla regilla. Copeia 1955(3):181-191.
197
Brodie III, E. D. and E. D. Brodie Jr. 1999. Predator-prey arms races. BioScience 49
(7):557-568.
Brodie Jr., E. D. 1977. Salamander antipredator postures. Copeia, 1977: 523-535.
Brodie Jr., E. D. 1983. Antipredator adaptation of salamanders: evolution and
convergence among terrestrial species. In: N. S. Margaris, M. Arianoutsou-
Faraggitaki, and R. J. Reiter (Eds.), Plants, Animal, and Microbial adaptation to
terrestrial environments, pp. 109-133. Plenum Publishing Corp., New York.
Brodie Jr., E. D. 1990. Antipredator behavior of Chinese salamanders. Zoological
Research 11(1):7-18.
Brodie Jr., E. D. and D. R. Formanowicz Jr. 1981. Palatability and antipredator behavior
of the treefrog Hyla versicolor to the shrew Blarina brevicauda. Journal of
Herpetology 15 (2):235-236.
Brodie Jr., E. D. and R. A. Nussbaum. 1987. Antipredator responses of Rana tigerina to
a crow. Herpetological Review 18 (1):8-9.
Brodie Jr., E. D. and M. S. Tumbarello. 1978. The antipredator functions of
Dendrobates auratus (Amphibia, Anura, Dendrobatidae) skin secretion in regard
to a snake predator (Thamnophis). Journal of Herpetology 12 (2):264-265.
Brodie Jr., E. D., R. A. Nussbaum, and M. Digiovanni, 1984. Antipredator adaptations
of Asian salamanders (Salamandridae). Herpetologica 30:79-85.
Brodie Jr., E. D., C. R. Williams, and M. J. Tyler. 1998. Evolution of aposematic
behavior and coloration in the Australian frog genus Uperoleia. Journal of
Herpetology 32 (1):136-139.
Boulenger, G. A. 1902. Further notes on the African batrachians Trichobatrachus and
Gampsosteonyx. Proc. Zool. Soc., 1901 (II).
Carneiro, P. C. F. & Rocha, C. F. D. 2005. Hyla arildae (Teresópolis Treefrog). Death
feigning. Herpetological Review, 36(3):301.
Caro, T. 2005. Antipredator defenses in birds and mammals. The University of Chicago
Press: Chicago and London. 591p.
Carvalho Jr., R. R. 2005. Leptodactylus mystacinus (Mustached Frog). Deimatic
behavior. Herpetological Review, 36(2):161.
Cei, J. M. 1962. Batracios de Chile. Ed. Univ. Chile, Santiago, 128 p.
Cei, J. M. 1980. Amphibians of Argentina. Monitore Zool. Ital. (N.S.) Monogr. 2: 609p.
198
Cei, J. M. and S. Espina. 1957. La vibración sexual preveniva (“warning vibration”) en
Pleurodema chilenas. Inv. Zool. Chilenas, 4:15-21.
Channing, A. & Howell, K. 2003. Phlyctimantis keithae (Wot-wot). Defensive
behavior. Herpetological Review, 34(1):52-53.
Cook, C. L., Ferguson, W. H., Telford, S. R. 2001. Adaptive male parental care in the
giant bullfrog, Pyxicephalus adspersus. Journal of Herpetology, 35(2):310-315.
Das, I., Leong, T. M. & Hui, H. 2004. Nyctixalus pictus (Cinnamon Tree Frog).
Defensive behavior. Herpetological Review, 35(4):373-374.
De Vito, J. 2003. Metamorphic synchrony and aggregation as antipredator responses in
American Toads. Oikos 103: 75-80.
Dodd Jr., C. K. 1976. A bibliography of anuran defensive mechanisms. Smithsonian
herpetological information service, 37:1-10.
Donoso-Barros, R. 1972. Datos adicionales y comportamiento agresivo de
Calyptocephalella caudiverbera (Linnaeus). Bol. Soc. Biol. de Concepcion, 45:95-
103.
Drake, D. L. and A. W. Ranvestel. 2005. Hyalinobatrachium colymbiphyllum (Glass
Frog). Egg mass defense. Herpetological Review, 36(4):434.
Duellman, W. E. and L. T. Klaas. 1964. The biology of the hylid frog Triprion
petasatus. Copeia 1964 (2):308-321.
Duellman, W. E. and L. Trueb. 1994. Biology of Amphibians. Baltimore and London.
The Johns Hopkins University Press. 670 p.
Duellman, W. E. and M. Lizana. 1994. Biology of a sit-and-wait predator, the
leptodactylid frog Ceratophrys cornuta. Herpetologica 50:51–64.
Edmunds, M. 1974. Defence in Animals: a survey of anti-predator defences. New York.
Longman. 356 p.
Eisner, T. 2005. Secret weapons: defenses of insects, spiders, scorpions, and other
many-legged creatures. Harvard University Press, New York. 372p.
Emerson, S. B. 1985. Skull shape in frogs: correlations with diet. Herpetologica 41:
177-188.
Evans, D. L. & Schmidt, J. O. 1990. Insect defenses. State University of New York
Press, Albany. 482p.
199
Fabrezi, M. 2001. A survey of prepollex and prehallux variation in anuran limbs.
Zoological Journal of the Linnean Society 131: 227-248.
Fabrezi, M. and S. B. Emerson. 2003. Parallelism and convergence in anuran fangs.
Journal of Zoology 260: 41–51.
Faivovich, J., C. F. B. Haddad, P. C. A. Garcia, D. R. Frost, J. A. Campbell, and W. C.
Wheeler. 2005. Systematic review of the frog family Hylidae, with special
reference to Hylinae: phylogenetic analysis and taxonomic revision. Bull. Am.
Mus. Nat. Hist. 294 1-240.
Firschein, L. 1951. Phragmosis and the "unken reflex" in a Mexican hylid frog,
Pternohyla fodiens. Copeia 1951 (1):74.
Formas, J. R. & Poblete, V. 1996. Eupsophus emiliopugini (NCN). Aggressive
behavior. Herpetological Review, 27(3):139-140.
Foster, C. D. 2007. Pseudacris regilla (Pacific Treefrog). Death Feigning.
Herpetological Review, 38(2):192.
Frost, D. R. 2007. Amphibian Species of the World: an Online Reference. Version 5.0:
http://research.amnh.org/herpetology/amphibia/index.php. American Museum of
Natural History, New York, USA.
Garcia, P. C. A. 1999. Scytroprhys sawayae (NCN). Defensive behavior. Herpetological
Review 30 (4):224.
Giaretta, A. A. & Cardoso, A. 1995. Reproductive behavior of Cycloramphus dubius
Miranda-Ribeiro (Amphibia, Anura, Leptodactylidae). Revista Brasileira de
Zoologia, 12(2): 229-232.
Gramapurohit, N. P., B. A. Shanbhag, and S. K. Saidapur. 2001. Rana curtipes
(Bicolored Frog). Death feigning. Herpetological Review 32 (2):103.
Grant, J. B. 2001. Rana palustris (Pickerel Frog). Production of odor. Herpetological
Review, 32(2): 183.
Green, D. M. 1988. Antipredator behaviour and skin glands in the New Zealand native
frogs, genus Leiopelma. New. Zeal. J. Zool., 15:39-45.
Greenbaum, E. 2004. The influence of prey-scent stimuli on predatory behavior of the
North American copperhead Agkistrodon contortrix (Serpentes: Viperidae).
Behav. Ecol. 15, 345-350.
200
Greene, H. W. 1988. Antipredator mechanism in reptiles. In: Biology of the Reptilia,
Vol. 16 (Gans, C. & Huey, R., eds). Alan R. Liss, Inc., New York, pp 1-152.
Hagman, M. 2006. Dendrobates pumilio (Poison Frog). Poisoning. Herpetological
Review, 37(1):73-74.
Hall, J. A., Larsen, J. H. & Fitzner, R. E. 2002 Morphology of the prometamorphic
larva of the spadefoot toad, Scaphiopus intermontanus (Anura : Pelobatidae), with
an emphasis on the lateral line system and mouthparts Journal of Morphology
252(2): 114-130.
Hanson, J. A. and J. L. Vial. 1956. Defensive behavior and effects of toxins in Bufo
alvarius. Herpetologica 12: 141-149.
Harbel, W. and J. W. Wilkinson. 1997. A note on the unkenreflex and similar defensive
postures in Rana temporaria (Anura, Amphibia). British Herpetological Society
Bulletin 61:16-20.
Harper, E. & Vonesh, J. R. Field Guide to the Amphibians of the East Usambara
Mountains. In press.
Hartmann, M. T., Hartmann, P. A., Prado, C. P. A., Garcia, P. C. A. 2003.
Cycloramphus boraceiensis (Flattened Waterfall Frog). Defensive behavior.
Herpetological Review 34(1): 50.
Hartmann, M. T., L. O. M. Giasson, P. A. Hartmann & C. F. B. Haddad. 2005. Visual
communication in Brazilian species of anurans from the Atlantic forest. Journal of
Natural History 39(19):1675-1685.
Heyer, R. W. and N. J. Scott Jr. 2006. The advertisement call of Leptodactylus laticeps
(Amphibia, Anura, Leptodactylidae): predatory aural luring? Herpetological
Natural History, 9(2):189-194.
Heying, H. E. 2001. Mantella laevigata (Climbing Mantella). Aborted predation.
Herpetological Review 32: 34.
Honma, A., S. Oku & T. Nishida (2006). Adaptive significance of death feigning
posture as a specialized inducible defence against gape-limited predators.
Proceedings of the Royal Society B 273: 1631-1636.
Jared, C., M. M. Antoniazzi, C. A. Navas, E. Katchburian, E. Freymüller, D. V.
Tambourgi, and M. T. Rodrigues. 2005. Head co-ossification, phragmosis and
201
defence in the casque-headed tree frog Corythomantis greeningi. Journal of
Zoology 265: 1-8.
Jungfer, K. H. 1996. Reproduction and parental care of the coronated treefrog, Anotheca
spinosa. Herpetologica 52(1): 25-32.
Kizirian, D., L. A. Coloma, and A. Paredes-Recalde. 2003. A new treefrog (Hylidae:
Hyla) from southern Ecuador and a description of its antipredator behavior.
Herpetologica 59 (3):339-349.
Kok, P. J. R., Benjamin, P. & Lenglet, G. L. 2007. Stefania woodleyi (Woodley’s
Treefrog). Defensive behavior. Herpetological Review, 38(2):198.
Kokubum, M. N. C. & Menin, M. 2002. Elachistocleis ovalis (NCN). Defensive
behavior. Herpetological Review, 33(3):198.
Kokubum, M. N. C. 2005. Bufo ocellatus (NCN). Death feigning. Herpetological
Review, 36(2):160.
Kwet, A. and M. Solé. 2002. Elachistocleis erythrogaster (Red-bellied Oval Frog).
Defensive behavior. Herpetological Review 33 (1):46.
Lenzi-Mattos, R., M. M. Antoniazzi, C. F. B. Haddad, D. V. Tambourgi, M. T.
Rodrigues, and C. Jared. 2005. The ingnau macroglands of the frog Physalaemus
nattereri (Leptodactylidae): structure, toxic secretion and relationship with
deimatic behaviour. Journal of Zoology 266: 385-394.
Livo, L. J., Chiszar, D. & Smith, H. M. 1997. Spea multiplicata (New Mexico
Spadefoot). Defensive posture. Herpetological Review, 28(3): 148.
Löhner, L. 1919. Uber einem eigentümlichen Reflex der Feuerunken. Arch. Ges.
Physiol. 174: 324-351.
Loveridge, A. 1945. African native attacked by a frog. Copeia 1945(4): 31.
Lutz, A. & B. Lutz (1939). Mosquitos biting batrachians and phragmosis in casque-
headed frogs. Anais da Academia Brasileira de Ciências 11: 250-252.
Lynch, J. D. 1971. Evolutionary relationships, osteology, and zoogeography of
leptodactylids frogs. Miscellaneous Publication University of Kansas Museum of
Natural History, 53:1-238.
Manzanilla, J., E. La Marca, O. Villareal, and D. Sanchez. 1998. Phrynohyas venulosa
(Veined treefrog, “Rana lechosa”). Antipredador device. Herpetological Review
29 (1):39-40.
202
Marchism, A. and J. D. Anderson. 1978. Strategies employed by frogs and toads
(Amphibia, Anura) to avoid predation by snakes (Reptilia, Serpentes). Journal of
Herpetology 12 (2):151-155.
Martins, M. 1989. Deimatic behavior in Pleurodema brachyops. Journal of
Herpetology, 23(3):305-307.
Martins, M. 1996. Defensive tactics in lizard and snakes: the potential contribution of
the Neotropical fauna. Anais do XIV encontro anual de Etologia, Universidade
Federal de Uberlândia, Brasil, Sociedade brasileira de Etologia. Pp. 185-199.
Martins, M., J. P. Pombal Jr. & C. F. B. Haddad. 1998. Escalated aggressive behaviour
and facultative parental care in the nest building gladiator frog, Hyla faber.
Amphibia-Reptilia 19: 65-73.
McCallum, M. L. 1999. Acris crepitans (Northern Cricket Frog). Death Feigning.
Herpetological Review, 30(2):90.
McCallum, M. L., Klotz, T. L. & Trauth, S. E. 2003. Rana sylvatica (Wood frog). Death
Feigning. Herpetological Review, 34(1):54-55.
McDiarmid, R. W. & S. Gorzula (1989). Aspects of the reproductive ecology and
behavior of the Tepui toads, genus Oreophrynella (Amphibia, Bufonidae). Copeia
1989: 445-451.
Means, D. B. 2004. Rana capito (Florida Gopher Frog). Defensive Behavior.
Herpetological Review, 35(2):163-164.
Menin, M. & Rodrigues, D. J. 2007. Ctenophryne geayi (Brow Egg Frog). Behavior.
Herpetological Review, 38(2):182.
Morey, S. & Reznick, D. 2000. A comparative analysis of plasticity in larval
development in three species of spadefoot toads. Ecology 81(6): 1736-1749.
Myers, C. W. 1966. The distribution and behavior of a Tropical Horned frog, Certhyla
panamensis Stejneger. Herpetologica, 22(1):68-71.
Napoli, M. F. 2001. Xenohyla truncata (NCN). Antipredator behavior. Herpetological
Review 32 (1): 36-37.
Navas, C. A. and F. R. Gomes. 2001. Time in captivity as a confounding variable in
herpetological research: an example from the metabolic physiology of treefrogs
(Scinax). Herpetological Review 32: 228-230.
203
Nincheri, R. & Andreone, F. 2002. Plethodontohyla tuberata (NCN). Defensive
behavior. Herpetological Review, 33(2):127.
Noble, G. K. (1931) The Biology of the Amphibia. New York: McGraw Hill Book
Company.
Pearl, C. A. and M. P. Hayes. 2002. Predation by oregon spotted frogs (Rana pretiosa)
on western toads (Bufo boreas) in oregon. The American Midland Naturalist 147
(1):145-152.
Perret J. L. 1961. La biologie d'Acanthixalus spinosus (Amphibia Salientia). Recherches
et études camerounaises. 1:90–101.
Pough, F. H., Andrews, R. M., Cadle, J. E., Crump, M. L., Savitzky, A. H., Wells, K. D.
1998. Herpetology. Prentice Hall, New Jersey, 577p.
Pough, F. H., R. M. Andrews, J. E. Cadle, M. L. Crump, A. H. Savitzky & K. D. Wells.
2001. Herpetology. 2nd ed. Prentice Hall, New Jersey. 612p.
Powell, R. L. & Lieb, C. S. 2003. Hyla arenicolor (Canyon Tree Frog). Toxic skin
secretions. Herpetological Review, 34(3):230.
Prado, C. P. A., M. Uetanabaro, and F. S. Lopes. 2000. Reproductive strategies of
Leptodactylus chaquensis and L. podicipinus in the Pantanal, Brazil. Journal of
Herpetology 34 (1):135-139.
Randall, J. E. 2005. A review of mimicry in marine fishes. Zoological Studies 44 (3):
299-328.
Rocha, C. F. D., M. V. Sluys, H. G. Bergallo, A. S. Alves, and D. Vrcibradic. 1998.
Zachaenus parvulus (Leaf frog). Defensive behavior and color pattern.
Herpetological Review 29 (4):232-233.
Rödel, M. O. & Braun, U. 1999. Associations between anurans and ants in a west
African savanna (Anura: Microhylidae, Hyperoliidae, and Hymenoptera:
Formicidae). Biotropica 31(1):178-183.
Rödl, M.-O. & R. Ernst. 2001. Redescription of the tadpole of Phlyctimantis boulengeri
Perret, 1986, with preliminary comments on the biology of the species. Alytes, 18:
178-186.
Rodrigues, A. F. & Filho, J. C. O. 2004. Physalaemus nattereri (NCN). Attempted
predation. Herpetological Review, 35(2): 160-161.
204
Rodrigues, D. J. & Rodrigues, V. A. B. P. 2007. Scinax fuscovarius (Snouted Treefrog).
Death Feigning. Herpetological Review, 38(2):196.
Russel, M. J. 2002. Dendrophryniscus minutus (Amazon toadlet). Defensive behavior.
Herpetological Review, 33(4): 302.
Sazima, I. 1972. Nota preliminar sôbre tanatose em três espécies de Hylidae
("pererecas"). Ciência e Cultura, suplemento 24: 383.
Sazima, I. 1974. Experimental predation on the leaf-frog Phyllomedusa rohdei by the
water snake Liophis miliaris. Journal of Herpetology 8 (4):376-377.
Sazima, I. 1975. Distress call in the newly metamorphosed smith frog, Hyla faber Wied.
Herpetologica 31(4): 471-472.
Sazima, I. 1978. Convergent defensive behavior of two leaf-litter frog of southeastern
Brazil. Biotropica, 10(2):158.
Sazima, I. and U. Caramaschi. 1986. Descrição de Physalaemus deimaticus, sp. n., e
observações sobre comportamento deimático em P. nattereri (Steindn.) - Anura,
Leptodactylidae. Revista de Biologia 13 (1-4):91-101.
Schlüter, A. S. & A. W. L. Salas (1991). Reproduction, tadpoles, and ecological aspects
of three syntopic microhylid species from Peru (Amphibia: Mycrohylidae).
Stuttgarter Beiträge zur Naturkunde Ser A.: 1-17.
Schmitz, A., Eukirchen, O. & W. Böhme 1999. Zur Herpetofauna einer montanen
Regenwaldregion in SW-Kamerun (Mt. Kupe und Bakossi-Bergland) - I.
Einleitung, Bufonidae und Hyperoliidae. - herpetofauna, Weinstadt, 21 (121): 5-
17.
Scott, N. J. and Aquino, A. L. 2005. It’s a frog-eat-frog world in the Paraguayan Chaco:
food habits, anatomy, and behavior of the frog-eating anurans. In Donelly, M. A.,
Crother, B. I., Guyer, C., Wake, M. H., and White, M. E. Ecology & evolution in
the tropics: a herpetological perspective. Pp. 243-259. The university of Chicago
press, Chicago and London.
Siqueira, C. C., Marra, R. V., Vrcibradic, D. & van Sluys, M. 2006. Leptodactylus
marambaiae (Marambaia White-Lipped Frog). Death feigning. Herpetological
Review, 37(4):444-445.
205
Smith, B. P. C., C. R. Williams, M. J. Tyler, and B. D. Williams. 2004. A survey of frog
odorous secretions, their possible functions and phylogenetic significance.
Applied Herpetology 2: 47-82.
Stebbins, R. C. & Cohen, N. W. 1995. A Natural History of Amphibians. Princeton and
New York: Princeton University Press. 316 p.
Stuart, L. C. 1935. A contribution to a knowledge of the herpetology of a portion of the
savannah region of central Péten, Guatemala. Misc. Publ. Mus. Zool. Univ.
Michigan 29:1-56.
Toledo, L. F. 2004a. Elachistocleis cf. ovalis (Common Oval Frog). Death feigning.
Herpetological Review, 35(4): 371-372.
Toledo, L. F. 2004b. Scinax fuscomarginatus (NCN). Defensive behavior.
Herpetological Review, 35(4): 377-378.
Toledo, L. F. 2004c. Bufo cf. crucifer (Sapo Cururu). Defensive behavior.
Herpetological Review, 35(4): 370-371.
Toledo, L. F. 2005. Predation of juvenile and adult anurans by invertebrates: current
knowledge and perspectives. Herpetological Review, 36(4): 395-400.
Toledo, L. F. and Haddad, C. F. B. When frogs scream: a review of the defensive
vocalizations in anurans. In preparation.
Toledo, L. F. & Zina, J. P. 2004. Proceratophrys boiei (Smooth Horned Toad).
Defensive behavior. Herpetological Review, 35(4): 375
Toledo, L. F., Guimarães, L. D., Lima, L. P., Bastos, R. P. & Haddad, C. F. B. 2004.
Notes on courtship, egg-laying site, and defensive behavior of Epipedobates
flavopictus (Anura: Dendrobatidae) from two mountain ranges of central and
southeastern Brazil. Phyllomedusa, 3(2):145-147.
Toledo, L. F., Tozetti, A. & Zina, J. 2005. Leptodactylus labyrinthicus (Pepper Frog):
Defensive Repertoire. Herpetological Bulletin, 90:29-31.
Toledo, L. F., Silva, R. R. & Haddad, C. F. B. 2007a. Anurans as prey: an exploratory
analysis and size relationships between predators and their prey. Journal of
Zoology, 271:170-177.
Toledo, L. F., Araújo, O. G. S., Guimarães, L., Lingau, R. & Haddad, C. F. B. 2007b.
Visual and acoustic signaling in three species of Brazilian nocturnal tree frogs
(Anura, Hylidae). Phyllomedusa, 6(1): 61-68.
206
Toledo, R. C. and C. Jared. 1995. Cutaneous granular glands and amphibian venoms.
Comparative Biochemistry and Physiology, 111A(1): 1-29
Torr, G. A. 1991. Uperoleia laevigata (NCN). Behavior. Herpetological Review, 22
(4):129-130.
Tuttle, M. D., L. K. Taft, and M. J. Ryan. 1982. Evasive behaviour of a frog in response
to bat predation. Animal Behaviour 30 393-397.
Vaira, M. 1997. Leptodactylus bolivianus (NCN). Behavior. Herpetological Review,
28(4):200.
Vaz-Ferreira, R. and A. Gehrau. 1974. Protección de la prole en leptodactylidos.
Revista de Biologia del Uruguay 2 (1):59-62.
Vaz-Ferreira, R. and A. Gehrau. 1975. Comportamiento epimeletico de la rana comun,
Leptodactylus ocellatus (L.) (Amphibia, Leptodactylidae) I. Atencion de la cria y
actividades alimentares y agressivas relacionadas. Physis, seccion B, 34(88):1-14.
Vaz-Silva, W. & Frota, J. G. 2004. Bufo marinus (Marine Toad). Defensive behavior.
Herpetological Review, 35(4):371.
Villa, J. 1969. Comportamiento defensivo de la "rana ternero", Leptodactylus
pentadactylus. Revista de Biologia Tropical, 15(2): 323-329.
Vrcibradic, D. & van Sluys, M. 2000. Hyla alvarengai (NCN). Death feigning and size
at maturity. Herpetological Review, 31(1):40-41.
Waye, H. L. & Shewchuk, C. H. 1995. Scaphiopus intermontanus (Great Basin
Spadefoot). Production of odor. Herpetological Review, 26(2):98-99.
Wilkinson, J. A. 2006. Rana draytonii (California Red-Legged Frog). Defensive
behavior. Herpetological Review, 37(2):207-208.
Williams, C. R., E. D. Brodie Jr., M. J. Tyler, and S. J. Walker. 2000. Antipredator
mechanisms of Australian frogs. Journal of Herpetology 34 (3):431-443.
Zaccone, G., J. J. Marchalonis, S. F. Schluter, J. Meseguer & B. G. Kapoor. 2007. Fish
Defenses. Science Publishers, Enfield USA and Plymouth (UK), in press.
Zamprogno, C., M. G. F. Zamprogno, and R. L. Teixeira. 1998. Bufo paracnemis
(Sapo-boi). Death feigning. Herpetological Review 29 (2):96-97.
CAPÍTULO 6
CORES E MIMETISMO COMO ESTRATÉGIAS DEFENSIVAS EM ANUROS
Luís Felipe Toledo & Célio F. B. Haddad
Gerald Handerson Thayer (1883 – 1939)
Pintor e naturalista que em um livro desenvolveu a teoria da camuflagem e
aplicou-a na pintura de barcos durante a I Guerra Mundial (desenho acima).
O termo camuflagem só veio a ser utilizado para animais após esta guerra.
207
CAPÍTULO 6
COLORS AND MIMICRY AS DEFENSIVE STRATEGIES OF ANURANS
Luís Felipe Toledo
1,2
& Célio F. B. Haddad
1
1
Departamento de Zoologia, Instituto de Biociências, Unesp, Rio Claro, São Paulo,
Caixa Postal 199, CEP 13506-970, Brasil. E-mail: [email protected]
208
ABSTRACT
Some anurans may be bright colored and some others may be also completely
camouflaged. These are two of the several uses of coloration in the defensive
mechanisms that anurans may exhibit. For example, mimicry (Batesian, Müllerian,
Arithmetic, or Browerian), polymorphism, and polyphenism are also possible to occur.
These reports have been published widespread in the available literature and some
possible functions of these colorations have not been mentioned. Therefore, we
reviewed the literature and added new data to this subject. We classified the use of
colors and mimicry into three major categories: mimicry, aposematism, and dissuasive
coloration. Each one of these categories was subdivided into sub-categories. Mimicry
was divided into the major sub-categories camouflage, homotypy, and non-deceitful
homotypy (these groups were also sub-categorized). Aposematism was divided into
coloration and deimatic behavior. Dissuasive coloration was divided into flash color,
polymorphism, and polyphenism. Therefore, we grouped the use of colors and mimicry
in post-metamorphic anurans into 11 main categories and sub-categories. Finally, we
propose functions and forms of evolution of some colors and mimicry in post-
metamorphic anurans.
209
INTRODUCTION
Anurans are remarkable by their color patterns, which may vary from totally
dark, as Cycloramphus boraceiensis (Cycloramphidae), up to brightly blue, orange, red,
yellow, and green in the same individual, as in Agalychnis callidryas (Hylidae). These
two distinct situations may be related to two different types of primary defenses, which
operate regardless of whether or not a predator is in the vicinity (Edmunds, 1974). Both
situations help anurans to survive in nature: crypsis and aposematism, as generally
understood. The first intents to avoid detection and the second have been selected or
maintained to signalize that the individual is dangerous in one or several ways, from
which being toxic is the most common (Edmunds, 1974). Besides these, there are
several other defensive strategies involving colorations, such as the deimatic behavior,
mimicry, or flash color (e.g., Martins, 1989; Sazima & Caramaschi, 1986; Symula,
Schulte & Summers, 2001).
The presence of these and other defensive colorations and mimicry in anurans
has been published for several species in a fragmented way and has never been
reviewed. Herein, in order to organize the current knowledge and fundament future
research, we reviewed this subject, added new data, and provided information about the
evolution of the use of colors and mimicry in anurans, with special reference to
Neotropical species.
MATERIALS AND METHODS
We reviewed the literature searching defensive strategies in anurans that are
related with coloration. Both natural and experimental observations were considered.
Additional data were obtained during several field expeditions in Brazil from 1972 up to
2007, mainly in the Cerrado and Atlantic Forest domains in the southeast.
All scientific names of amphibians follow Frost (2007) and the specific
nomenclature for the categories of colorations was adapted from Pasteur (1982). The
terms “dupe” and “selective agent” has been suggested to be preferentially used, other
than ‘predator’, due to their broader significances (Pasteur, 1982; Starrett, 1993); i.e.,
not always the coloration of the anuran was selected or maintained to warn or avoid a
210
predator, many times the ‘signal receiver’ (Wickler, 1965) is other anuran or a large
passing by individual. However, in the present paper, we choose to use ‘predator’ to
designate every animal that may be a potential risk to the anurans (preys), because we
are studying mimicry and color use in the light of defensive strategies. For the same
reason, we will not deal with aggressive and reproductive mimicries in this paper.
RESULTS
The use of colors can be divided into three major categories: mimicry,
aposematism, and deceptive coloration (Table 1).
Table 1. Summary of the major categories and sub-categories of mimicry and use of
colors as defensive strategies in post-metamorphic anurans.
Major 2
nd
major 3
rd
major Sub-Categories
Visible color spectrum mimesis Eucrypsis
Non-visible color spectrum mimesis
Cryptic mimesis
Phaneric mimesis
Camouflage
Mimesis
Self-mimesis
Batesian mimicry Concrete
homotypy
Browerain mimicry
Definable model
Homotypy
Abstract
homotypy
Model not definable
Müllerian mimicry
Mimicry
Nondeceitful homotypy
Arithmetic mimicry
ColorationAposematism
Deimatic behavior
Flash color
Polymorphism
Deceptive coloration
Polyphenism
211
1) Mimicry
Mimicry is generally related to Batesian mimicry concept, in which a non-toxic
(or otherwise dangerous, e.g., the species can be able to bite) species mimics of a
dangerous model species (generally toxic). However, there are several types of
mimicry, from which anurans may be included into 11 sub-categories (Table 1), divided
into three major groups: camouflage, homotypy, and non-deceitful homotypy (see
below).
1.1) Camouflage
Camouflage may be defined as the resemblance of an animal to part of the
environment (Edmunds, 1974), specially in the views of the predator at the time and
place in which the prey is most vulnerable to predation (Endler, 1978).
In post-metamorphic anurans, the camouflage may be at least optical, chemical
(e.g., production of floral, leaf-like, and ammonia odors), or acoustical (may occur, for
example, when the frogs stop calling in the presence of a predator: e.g., Tuttle, Taft &
Ryan, 1982). Below we will give special reference to optical camouflage, which implies
in avoidance of detection by possible predators.
1.1.1) Eucrypsis
Definition: homochromy (imitation of reflected light) acting alone. The model is
undefined: it is the background.
a) Visible color spectrum mimesis
Many frogs are cryptic with the substrate they use, and there are a great variety
of backgrounds and mimic frogs. Anurans may use as substrate rocks with lichens, tree
trunks, leaves, forest litter, mossy and rocky fields, for example. For any of these
substrates there are mimic frogs that live in (Fig. 1). The eucrypsis may be strengthened
or weakened by the angle of vision of the predators; i.e., the anuran may be more
cryptic from a lateral view, than from a dorsal view (Fig. 1F and 1E, respectively).
As more distant a predator watches the site occupied by an anuran, the higher
may be the crypsis benefits. For example, it is easy to find a Dendropsophus nanus in
its reproductive site when we are close to it. However, from a certain distance, the
212
colors and shape of this hylid gets mixed with the general view of the area. The size and
colors of D. nanus are generally similar to part of the foliage, and it is hard to
distinguish them from the yellowish leaves (Fig. 1K-1L).
b) Non-visible color spectrum mimesis
Humans may fall in a narrow perception of color crypsis due to our limited
trichromatic color vision spectrum, based on our three color cones (blue, green, and red)
and black and white rods. Although it is an advanced system of vision, the anuran
predators may be able to perceive other wavebands, such as the infrared and ultraviolet
spectra.
Studies have shown that several anuran species of different families may show a
pronounced rise in reflectance in the infrared part of the spectrum (e.g., Schwalm,
Starrett & McDiarmid, 1977; Emerson, Cooper & Ehleringer, 1990; Summers, Cronin
& Kennedy, 2003). Therefore, some anurans may have evolved infrared reflectance in
order to be cryptic to the foliage (background) and be not perceived by the predator
(Emerson et al., 1990).
Many anuran predators, such as rodents, other amphibians, lizards, and mainly
birds, are tetrachromatic color vision (including ultraviolet cones), and therefore may
see in the ultraviolet wavelength (e.g., Honkavaara et al., 2002). This capability may be
used to hunt and a specific protection may have evolved for that, but, as far as we know,
it has never been reported.
1.1.2) Mimesis
Definition: homomorphy (imitation of morphology) and/or homokinemy
(imitation of movements and postures) add to homochromy. The model is defined: it is
an object.
a) Cryptic mimesis: when the model is a dominant element of the mimic’s
environment, such as green or brown leaves, sticks, rocks, lichens, and mosses. Many
examples may be cited, but to pick up some we may refer to species of the genera
Proceratophrys and Scythrophrys that resemble fallen leaves (Fig. 1I and 1J,
respectively), and some species of Theloderma and Bokermannohyla that resemble
mosses and lichens, respectively (Fig. 1B).
213
A) B) C) D)
E) F) G) H )
I) J) K) L)
Figure 1. Different situations of cryptic mimicry in anurans: Dendropsophus acreanus (Hylidae) on a tree trunk (A), Bokermannohyla
alvarengai (Hylidae) on a rock with lichens (B), Eleutherodactylus guentheri (Brachycephalidae) on the litter (C), green morph of
Hypsiboas prasinus (Hylidae) perched on a leaf (D), dorsal and lateral views of Theloderma horridum (Rhacophoridae) on a tree (E-F,
respectively), Lankanectes corrugatus (Nyctibatrachidae) in a lotic water body (G), Hylodes asper (Hylodidae) on a wet rock (H),
Proceratophrys boiei (Cycloramphidae) on the litter (I), Scythrophrys sawayae (Leptodactylidae) on a dead leaf (J), an adult male of
Dendropsophus nanus (Hylidae) of practically the same size and shape of the leaves (K) and its reproductive site (L).
214
The phyllomedusines of the genus Phasmahyla when walking sway slightly as if
caught by the movement of the wind (= homokinemy). Indeed, the generic name
Phasmahyla was coined in allusion to the similarity of the moving style with the
walking-sticks of the order Phasmatodea (Cruz, 1990).
b) Phaneric mimesis: when the model is an isolated and conspicuous inanimate
element of the mimic’s environment, such as animal droppings and rocks (when there
are few rocks in the environment). As examples we may cite some Theloderma spp. and
Dendropsophus marmoratus, which resemble bird droppings and many species of the
genera Chaunus and Bufo that resembles stones on the floor.
c) Self-mimesis: some animals when disturbed cease to move, mimicking its own
death. This behavior is known as thanatosis, death feigning, or playing possum and will
be reviewed elsewhere (L. F. Toledo, I. Sazima & C. F. B. Haddad, unpubl. data).
1.1.3) Factors of camouflage enhancement
Both eucrypsis and mimesis imply in camouflage, which could be strengthened
by: a) countershading, b) disruptive coloration, c) shadow camouflage, d) wetting, and
e) integumentary structures.
a) Countershading
Countershading occurs when the pigmentation of the anuran is darker dorsally
and lighter ventrally. This transition may be gradual or abrupt, which could involve
different camouflage strategies (see Thayer, 1896; Ruxton, Speed & Kelly, 2004).
Two main functions have been attributed to countershading: I) it is believed to
have the effect of reducing conspicuous shadows cast on the ventral region of an
animal’s body. In essence the distribution of light on objects that are lit from above will
cause unequal reflection of light on a solid body of uniform color. Such shadows could
provide predators with visual cues to a prey's shape and projection. Countershading
therefore, reduces the ease of detection of prey by potential predators by
counterbalancing the effects of shadowing. This effect occurs mainly in animals that
215
have a gradual transition of coloration (Thayer, 1896) and should be properly named
“self-shadow concealment” (Ruxton et al., 2004); and II) the countershading coloration
would work through background matching; i.e., when seen from the top, the dorsum (if
cryptic colored) blends into the background below, which could be water bodies (when
the anuran is swimming or floating) and from dry to flooded grounds (when the anuran
is in the floor or perched in the vegetation). When seen from below, the lighter ventral
area blends into the sun or moonlight (see Ruxton et al., 2004). This second explanation
occurs generally with an abrupt transition of colors and seems to be the adequate for the
anurans.
Countershading could result from other selective pressures than predation
avoidance. For example, the dorsal surface needs to be protected against the damaging
properties of UV light and/or abrasion (Kiltie, 1988; Braude et al., 2001), and the
ventral side does not need to be pigmented as pigmentation may be costly (Ruxton et
al., 2004). Therefore, the occurrence of countershading may result from multiple
factors.
This system is so widespread among aquatic and terrestrial fauna that several
authors have stated that it perhaps is the most universal feature of animal coloration (see
Ruxton et al., 2004 and references therein). Equally, it is present in several anuran
species and might work for terrestrial predators, for example, which may be in the
ground when the anuran is perched in a tree branch. In aquatic species, such as the
pipids (e.g., Pipa spp. and Xenopus spp.), the system may work as described for fishes.
b) Disruptive coloration
Disruptive coloration is a color pattern that breaks the appearance of body form.
Several species of anurans have dorsal lines and/or blotches that may be considered
constitutive of the disruptive coloration, breaking the general outline of the body. Some
species may enhance their camouflage by having high contrast lines in the edges of
colored patterns (see Osorio and Srinivasan, 1991). Besides this, several species present
lateral lines that cross the eyes breaking the rounded shape of them (Fig. 1J). These are
the most common forms of disruptive colorations in anurans.
A possible variation is the presence of aposematic coloration (see below for the
explanation of aposematism) simultaneously with disruptive coloration, depending on
216
the predator and/or lightness of the night. This may occur because the colorful stripes
and/or blotches of an aposematic anuran may turn into a disruptive pattern when seen
by a color-blind predator, or by a color vision predator that is hunting in dark nights.
(see Brattstrom, 1955; Brodie Jr. & Tumbarello, 1978).
Recently, it has been suggested and/or demonstrated that disruptive coloration is
advantageous compared to the simple eucrypsis (see Cuthill et al., 2005; Endler, 2006,
and references therein).
c) Shadow camouflage
The anurans may rest in areas combined with spots of sunlight and shadows,
difficulting the recognition of the animals on the substrate. If part of the anuran is
exposed to sunlight and other part is in the shadow, this light game may enhance the
disruptive pattern of the anuran (e.g., Osorio & Srinivasan, 1991).
d) Wetting
Some individuals may remain in lotic water bodies, covered by a passing by film
of water or with water drops. This situation may enhance the crypsis of the animals
against terrestrial predators, specially creating reflected shining spots on the dorsum,
which match with the shining spots of the water or substrate, e.g., rocks (Fig. 1G-1H).
e) Integumentary structures
Some integumentary structures seem to be associated with disruptive outlines
and thereby aid in concealment. Such structures include small, irregular ridges,
supraciliary processes (e.g., species of Proceratophrys and Ceratophrys), scalloped
folds on the outer edges of limbs (e.g., Cruziohyla craspedopus), and calcars (e.g.,
several Hypsiboas spp.). Dorsal glands may also enhance crypsis promoting
resemblance with lichens (e.g., Bokermannohyla alvarengai, Itapotihyla langsdorffi,
and Scinax nebulosus) or mosses (e.g., Theloderma corticale and other Vietnamese
mossy frogs) (Fig. 1).
217
2) Homotypy (assimilation to another type)
When the model elicits a reaction in the predator, the mimetic imitation elicits
the same reaction.
2.1) Concrete homotypy (actual model)
The model is definite or an existing species (or cluster of similar species).
a) Batesian mimicry
The conception of Batesian mimicry (Bates, 1862) involves the success of a
specific coloration against the experience of the predators; i.e., predators learn to avoid
unpalatable species, which are identified by their aposematic coloration (which does not
always mean bright colors: e.g., Pasteur, 1982; Wüster et al., 2004), odor, sound, or
other signal. Than, a mimic could obtain protection by resembling the unpalatable or
less palatable model. For anurans there are few cases described where some palatable
frogs may be the mimics of some poison frogs (Table 2).
Table 2. Occurrence of Batesian and Müllerian mimicry in anurans, and distribution
overlap between species.
Mimic Model Mimetism
type
Sympatric
species
Source
Aromobatidae Dendrobatidae
Allobates zaparo Ameerega bilinguis
Batesian Yes Darst & Cummings, 2006
Allobates zaparo Ameerega parvula
Batesian Yes Darst & Cummings, 2006
Brachycephalidae Dendrobatidae
Eleutherodactylus gaigeae Phyllobates lugubris
Batesian Yes Myers & Daly, 1983
Eleutherodactylus gaigeae Phyllobates aurotaenia
Batesian Yes Myers & Daly, 1983
Leptodactylidae Aromobatidae
Leptodactylus lineatus** Allobates femoralis** Batesian Yes Nelson & Miller, 1971
Dendrobatidae Dendrobatidae
Ranitomeya imitator Ranitomeya fantasticus
Müllerian Yes Symula et al., 2001
Ranitomeya imitator Ranitomeya variabilis
Müllerian Yes Symula et al., 2001
Ranitomeya imitator Ranitomeya ventrimaculata
Müllerian Yes Symula et al., 2001
Mantellidae Mantellidae
Mantella laevigata* Mantella manery*
Müllerian Yes Schaefer et al., 2002
Mantella baroni* Mantella madagascariensis*
Müllerian Yes Schaefer et al., 2002
Mantella pulchra* Mantella cowanii*
Müllerian Yes Andreone, 1992
Dendrobatidae Dendrobatidae
Phyllobates aurotaenia*
Phyllobates lugubris*
Müllerian No Present study
*In these cases the definition between the mimic and model is not possible.
**Further studies are needed in this case: see text.
218
Batesian mimicry involves the predator ability of learning, but in some cases
innate knowledge. Several predators, such as invertebrates in general, are not well-
endowed in terms of sight and memory as are mammals, and therefore, they may not
have been the promoters of selective pressures for the evolution and persistence of
Batesian mimicry (see also Pasteur, 1982).
A Batesian mimic do not necessarily needs to be identical to its model. Some
times, it may exhibit intermediate resemblances between two (or more) models. By this
way, the mimic may escape from some predators that avoid one model and from some
predators that avoid the other model. This dual mimicry system has been proposed to
coral snake mimics (Pough, 1988) and may be present in anurans.
An intriguing situation is the case of the Batesian mimetism proposed to the
complex Leptodactylus lineatus and Allobates femoralis. This complex would actually
represent a case of Müllerian mimicry, instead of a Batesian mimicry as proposed
initially (Nelson & Miller, 1971), as L. lineatus seems to be a noxious species as well.
When handling and fixing individuals of L. lineatus, they exude a great amount of
milky secretions, probably noxious (C. F. B. Haddad, person. obs.). However, some
tests made with A. femoralis indicated that this species is not toxic (see Grant et al.,
2006 and references therein). If A. femoralis is not toxic and L. lineatus is, so it is again
a case of Batesian mimicry, where L. lineatus is the model. If both species are
discovered to do not contain toxic proprieties, so it would be a case of Arithmetic
mimetism. Therefore, the relationship of this complex remains unsolved and further
research is needed.
b) Browerian mimicry
When individuals within a species differ in palatability to the predators, more
palatable individuals (mimics) will be benefited by those less palatable (models). The
models can be of the same or from different sex from the mimic. Although never
reported, this sort of mimicry may be present at least in aromobatids, bufonids,
dendrobatids, mantellids, and myobatrachids. Individuals of the same noxious species of
these families (cited above) acquire the alkaloids used in their noxious secretions from
dietary arthropods (e.g., Daly, 1998; Saporito et al., 2004; Clark et al., 2005; and
references therein). Therefore, if for any reason a group of individuals within a species
219
do not feed on arthropods that carry the alkaloids, feed on them but in a lower
rate/proportion, or do not sequester those components, they will not be so poison (as if)
as the others (e.g., Daly et al., 1994; 1997a; 1997b; Caldwell, 1996).
Indeed, there are reports that demonstrate spatial (geographical) and temporal
(seasonal) variation in the alkaloid profiles of poison frogs (Saporito et al., 2006) that
can support the Browerian mimicry theory for anurans.
1.2.2. Abstract homotypy (virtual model)
When the model is not an actual species, the homotypy is abstract.
a) Definable model
Occurs when the model looks like a general type of organism, part or indirect
vestiges of another organism, but it is not identifiable at the species level. For example,
the deimatic eyespots present on the back of leiuperids, which could resemble eyes of
snakes (Sazima & Caramaschi, 1986) but not of a specific species of snake. Other
example are frogs that rest on leaves and look like bird droppings (e.g., Dendropsophus
marmoratus and Theloderma spp.). Besides this, the presence of calcars in many species
of rainforest tree frogs, and their absence in other anurans, provoke the speculation that
they might serve as points of runoff of water, mimicking drip tips of leaves (Duellman
& Trueb, 1994, p. 371).
b) Model not definable
Occurs when the model is not identifiable at all, but a frightening or cryptic form
is conjured up. This seems to be the case of the legs interweaves behavior described
elsewhere (see Channing & Howell, 2003).
1.3. Nondeceitful homotypy
This category was created (Pasteur, 1982) for the inclusion, basically, of the
Müllerian mimicry (Müller, 1878; 1879) and Arithmetic mimicry (van Someren &
Jackson, 1959). In both cases there is no deceit of the predator, because both the model
and the mimic are unpalatable, dangerous in other way (Müllerian mimicry), or
palatable (Arithmetic mimicry).
220
This could be a result of convergence of two or more species to a similar color
pattern. However, sometimes it is hard to distinguish a real nondeceitful homotypy from
a possible phylogenetic influence. I.e., close related species, such as two species of
Dendrobates may resemble one to another due to a simplesiomorphy (sharing of an
ancestral character) and not by a coloration convergence (sinapomorphy). Although,
either being a convergence or a simplesiomorphy, the resemblance would benefit the
two (or more) species.
a) Müllerian mimicry
Müllerian mimicry will work in the way that one species will be benefited by the
danger of the other; they would be under lower predation rates than they would be if
they looked differently. To our knowledge there are only few cases of Müllerian
mimicry in anurans (Table 2).
However, other possible mimicry relationships may be suggested based on the
current reports. We could joint two mimicry pairs of Mantella (M.
baroni/madagascariensis and M. pulchra/cowanii) into a larger group of mimicry
species as all individuals are sympatric and exhibit homochromy and homomorphy.
Furthermore, from the evidence of Batesian mimicry among Eleutherodactylus gaigeae
of both models Phyllobates aurotaenia and P. lugubris we may suggest another
Müllerian mimicry system. This system would be composed by P. aurotaenia and P.
lugubris. These two species are not sympatric, however, chronosympatry (the presence
of the model and mimic in the same time and place) is not a rule for the existence of
mimicry (Rothschild, 1963; 1981); for example, their past distributions could have been
overlapped (see also Myers and Daly, 1983) and/or the present distribution of the
selective agents (predators) may overlap the distribution of both species (including the
Batesian mimic E. gaigeae).
Furthermore, it is possible to exist another Müllerian mimicry system not based
on coloration, but still a visual mimetism. For example, if two different coloration
species, or different morphs of the same species, present the same toxic substances they
could be chemical mimics. Therefore, based on other characters than coloration visual
cues, such as body shape and brightness, they could be a part of a Müllerian mimicry
221
ring (see also Turner & Speed, 2001). This would explain in part the several cases of
polymorphisms among aposematic species (see below).
b) Arithmetic mimicry
Sympatric edible and alike species share the burden of predation in proportion to
their relative frequencies. I.e., as higher is the abundance of a determined morph in the
predator foraging area lower are the chances of an individual prey to be preyed. In this
case, predator learning (ontogenetic or inherited) is irrelevant. To our knowledge,
arithmetic mimicry has never been reported for the anurans; however, it may be a very
widespread phenomenon involving several sympatric (or even syntopic) alike (for
example in homochromy, homomorphy, and homokinemy at the same time) species. As
examples of pairs (or more) of species there are those of the syntopic Leptodactylus
furnarius and L. joly; Dendroposphus nanus, D. sanborni, and D. minutus;
Porceratophrys appendiculata, P. boiei, and P. melanopogon; and several species of
Eleutherodactylus.
Furthermore, two different species in coloration (for example), but similar in
size (for example), may also be arithmetic mimicries. These two edible species, which
share a predator foraging area, may be equally nutritive; therefore, provided that the
predator can perceive that they are being jointly nutritive, they will be nutritional
arithmetic mimicries, benefited by the saturating theory (see Turner & Speed, 2001).
2) Aposematism
Aposematic coloration has also been referred as sematic, conspicuous, or
warning coloration. Aposematism is the presence of contrasting and conspicuous
coloration that is generally related to the presence of skin toxins in the individuals
(Edmunds, 1974; Sttebins & Cohen, 1995). Furthermore, it may also signalize that the
anuran is dangerous or unpleasant in other way. For example, aposematic anurans may
bite, exhibit spine aggression, and/or emit loud defensive screams. Aposematism may
occur as general coloration or as deimatic behavior.
222
A) B) C) D)
E) F) G) H)
I) J) K) L)
Figure 2. An aposematic Oophaga lehmanni (Dendrobatidae) (A) may have disruptive coloration at dark nights or when searched by a
color-blind predator(B). An adult and a juvenile of Hypsiboas semilineatus (Hylidae) (C), an amplectant pair of Chaunus ictericus
(Bufonidae) (D), and two morphs of Physalaemus cuvieri (Leiuperidae) (E-F) are examples of polyphenism. Flash color exhibited by
Hypsiboas polytaenius (Hylidae) (G-H), deimatic behavior of Eupemphix nattereri (Leiuperidae) (I-J), and thanatosis of Melanophryniscus
moreirae (Bufonidae) (K-L).
223
a) Coloration
Aposematic coloration is generally bright red, orange, yellow, and/or blue
combined with a dark (generally black) contrasting background. Most commonly, this
aposematic coloration may be widespread over the entire body, such as in species of
Allobates (Aromobatidae), Ameerega and Dendrobates (Dendrobatidae), Mantella
(Mantellidae), Atelopus (Bufonidae), and Brachycephalus (Brachycephalidae).
b) Deimatic behavior
Many times, the aposematic coloration may be confined in parts that are usually
concealed when the frog is in the resting posture [e.g., some leiuperids (Eupemphix
nattereri and Physalaemus spp.), hylids (Phyllomedusa spp.), bufonids
(Melanophryniscus spp.), and leptodactylids (Leptodactylus of the pentadactylus
group)]. In this case, the bright coloration is generally present on the back of the thighs,
underside of the body, limbs, feet and hands, and are displayed by specific posturing
such us the unken reflex or body raising.
For example, in some leiuperids (e.g., Eupemphix nattereri, Physalaemus
deimaticus, and Pleurodema brachyops) when the individuals lift their hindparts, they
exhibit a pair of black eyespots (Fig. 2I-2J). In species of Ceratoprhys and
Hemiphractus the aposematic coloration may be present on the lips or on the tongue,
respectively, which are displayed when the individuals do the mouth-gapping display or
while emitting defensive screams. In Phyllomedusa spp. the bright contrasting
coloration may be displayed intentionally (e.g., during foot flagging) or when the
individuals walk on the branches of trees. The foot signaling made by Atelopus zeteki,
besides being an intraspecific communication, may be a visual display, including
aposematic colorations (bright yellow contrasting with black stripes), for potential
predators (Lindquist and Hetherington, 1996). In Ameerega flavopicta there seems to be
a relation between parental care and body raising (Toledo et al., 2004). Several species
have the belly (or other underside parts) conspicuously colored (e.g., Paratelmatobius
spp., Leptodactylus pustulatus, or Melanophryniscus spp.). When facing a predator they
might not present any specific behavior to display these colorations. However, they may
display thanatosis (a widespread behavior in frogs) and during the handling by the
predator, the anurans may be turned upside down and thus would display the
aposematic coloration (Fig. 2K-2L). Species of Oreophrynella, after the ‘balling
224
behavior’ while fleeing, may stop with the belly up, exposing the bright contrasting
ventral coloration (see McDiarmid & Gorzula, 1989).
3) Deceptive coloration
3.1) Flash color
A fleeing anuran may escape from predators by the display of a flash of
aposematic color(s), generally followed by staying motionless. This coloration is only
visible when the anuran is moving, and concealed during resting posture (Fig. 2G-2H).
Flash color is widespread among the anurans, occurring in several species and families.
The flash color behavior may function to disorientate and confuse an attacking
predator (Edmunds, 1974), and/or warn predators of the presence of toxins (Dickerson,
1906). These two distinct functions, and implied predator responses, are contradictory
and may vary between individuals or species of predator. I.e., some predators may be
warned, and some may get confused. In the former case (warning), the behavior should
be classified as a subcategory of deimatic behavior. In the second case (confusion), the
predator may loose the anuran: the flash behavior may precede the motionless behavior,
creating a prey search image that quickly disappears (Edmunds, 1974; Sttebins &
Cohen, 1995). Besides this, the flash color behavior may halt the predator attack for an
instant and thus giving extra time for the frog to escape (Caro, 2005).
3.2) Polymorphism
Polymorphism in anurans is characterized by the presence of fixed chromatic
phenotypes within or between populations. The individuals seem to be unable to change
their color, so there must be a genetic control involved. The polymorphism may benefit
the anuran in the way that one or more of the phenotypes are not included in the
predator’s search image. Several species are known to present different chromatic
morphotypes, and this polymorphism may occur in three ways:
a) Between individuals independent of the sex and life stage
Two morphotypes: for example, some adult individuals of Physalaemus cuvieri
(Leiuperidae) and Paratelmatobius spp. (Leptodactylidae) are green and others are
brown (Fig. 2E-2F). Other type of color dimorphism is exhibited by individuals of
Leptodactylus fuscus (Leptodactylidae), which may or may not have a dorso-vertebral
white line.
225
More than two morphotypes: several species of the cryptic genus
Eleutherodactylus (Brachycephalidae) exhibit many different color morphotypes
(Hoffman & Blouin, 2000). Besides this, even in aposematic species it is possible to
observe this sort of polymorphism; for example, in Anomaloglossus beebei
(Aromobatidae) there are five color morphotypes (Bourne, 2001) and in Oophaga
pumilio (Dendrobatidae) there are at least 15 color morphotypes (e.g., Summers et al.,
2003; Siddiqi et al., 2004). Multiple aposematic phenotypes are also observed in the
other dendrobatids (Roberts et al., 2006) and African mantellids (e.g,. Daly et al., 1996).
Multiple aposematic phenotypes may sum the benefits acquired from the aposematism
and the predator search image benefit (see above).
b) Between life stages: juveniles different from adults.
For example, this is the case of Hypsiboas semilientus, H. lundii, H. pardalis,
and H. raniceps (Hylidae), in which the juveniles have a totally different coloration
from adults, independently of the sex (Fig. 2C).
c) Between sexes: males different from females.
As a examples we may cite the case of Chaunus ictericus (Bufonidae), where
males are light yellowish and females are black and white (Fig. 2D); Leptopelis
vermiculatus (Arthroleptidae), where males are green and females are brown; and most
contrasting is the Ollotis periglenes (Bufonidae), where males are brightly orange and
females are black, red and yellow.
3.3) Polyphenism
Polyphenism is the ability of generating different phenotypes, by color-changing
in this case, in the same individual. Polyphenism may be a better term to describe this
phenomenon than polymorphism, which generally connotates a stronger genetic
element for each particular appearance (Hanlon, Forsythe & Joneschild, 1999).
Many anurans may change their dorsal coloration by the rearrangement of the
chromatophores. There is a continuous gradient in the timing for color changing in
anurans: the change may occurs instantaneously, may take few minutes, hours, days, or
weeks to occur.
Some species may change their color very quickly. We placed one individual of
Bokermannohyla circumdata (Hylidae) in a dark place (inside a tight of tree) and let
226
other individual exposed to the laboratory light. After 15 minutes they were completely
different from the initial coloration: dark reddish-brownish. The first individual (that
was kept in the dark) was much darker, almost black, and the second individual (the
exposed one) was almost white. A similar polyphenism was described for
Bokermannohyla alvarengai, but in this case the color change was studied in the light of
physiological adjustments for temperature and water loss control (Tattersall, Eterovick
& Andrade, 2006).
The dorsal coloration of males of Scinax fuscomarginatus (Hylidae) is yellowish
during the night (at reproductive activity) and grayish or brownish during the day. This
may be related to the specific site they use: during the night they remain perched in
yellowish grass vegetation (Toledo & Haddad, 2005) and during the day they may be
found in dark sites, such as tree holes, under tights of trees, and in the middle of clumps
of grass. Conversely, this color change may be due to testosterone amount during
reproductive activity (calling), as the yellowish males also have an odor distinct from
that they have during the resting daytime period. Additionally, individuals killed while
still yellowish, left a yellow tinge in the preservative liquid (formalin, alcohol). The
same phenomenon we recorded for Scinax fuscovarius and S. hayii. Furthermore, some
phyllomedusines may change from purplish at night activity to greenish during resting
at daytime. This polyphenism was observed in Phasmahyla cochranae, P. guttata, and
P. jandaia. Occasionally this phenomena can be observed in Phyllomedusa azurea, P.
megacephala, and P. rohdei (pictures in Eterovick & Sazima, 2004).
We observed a seasonal polyphenism for Hypsiboas prasinus (Hylidae), in
which the higher presence of green individuals occurred mainly in the hot and rainy
season of the year, and the higher presence of brown individuals occurred in the dry and
cold season of the year. This pattern matches with the frequency of green and brown
leaves of the semideciduous forests where this species dwells (Morellato et al., 1989):
the peak of leaf fall precedes the peak of brown morphs and the peak of leaf flushing
precedes the peak of green morphs (Figure 3). Seasonal color changing has been also
observed for Pseudacris regilla (Hylidae) and it has been considered a response to
divergent selection for crypsis in a heterogeneous, seasonally variable environment
(Wente & Phillips, 2003). This is likely to be an explanation for the polymorphism in H.
prasinus as well.
Polyphenism may be advantageous over the polymorphism, because the anuran
may select the substrate and than adjust its color pattern. The polymorphic anurans may
227
find adequate substrates to fit their general coloration, which does not mean it is hard to
find, but the polyphenic species may have a wider range of substrate that they can use.
Figure 3. Seasonal variation (from March 1988 to May 1989) in the dorsal coloration of
reproductive males of Hypsiboas prasinus (Hylidae), and number of plants that
exhibited leaf fall (brown lines) and leaf flushing (green lines), in Serra do Japi,
municipality of Jundiaí, state of São Paulo, Brazil. Brown bars represent brown morphs
(upper picture), green bars represent green morphs (lower picture), and olive bars
represent intermediate (olive) coloration morphs. Plant fenology data were obtained
from Morellato et al. (1989).
DISCUSSION
Evolution of color in anurans
As we observed above the anuran coloration may provide protection against
predators by providing concealment (e.g., camouflage, homotypy, and arithmetic
mimicry), by alerting the predator about a possible hidden danger or distasteful
characteristic (aposematism), or by deceiving the predators (deceptive coloration).
Camouflage may have been selected by the predation pressures, by the predatory
behavior (such as feeding strategies), or both. Aposematism should have evolved after
the acquisition of any dangerous or distasteful defensive strategy (see below). In the
case of anurans these strategies can be biting, spine aggression, defensive screams,
unpalatability (in terms of bad taste), or, most commonly, noxious secretions.
Therefore, we would not expect to find an aposematic harmless anuran, except for those
228
involved in mimicry (mainly Batesian and Browerian) rings. However, we still do not
have studied all the defensive strategies of all aposematic anurans to corroborate this
hypothesis and as far as we know, every aposematic anuran (except mimics) has
harmful defenses, such as poison (e.g., some species of Mantellidae, Dendrobatidae, and
Brachycephalidae), or aggressive defenses (e.g., some species of Ceratophryidae and
Leptodactylidae) (L. F. Toledo, I. Sazima & C. F. B. Haddad, unpubl. data). All
deceptive coloration types are directly related with the predator search image (see
above). Therefore, the pressures who promoted them are strictly related to the predator’s
vision and cerebral capability. Therefore, these three functions of the defensive
colorations (mimicry, aposematism, and deceptive coloration) may have been selected
differently across the evolution of anurans (see Table 3).
In Table 3 we included a possible reproductive selection factor that could be
involved in the evolution of bright coloration (aposematic and deceptive). Although we
do not have any data that corroborates this suggestion, it is possible that exists selection
of males by females based on their bright colorations. This should be more evident in
polymorphic species, where polymorphism occurs between sexes, and where males are
aposematic, or at least present more contrasting colorations, and females are cryptic or
less contrasting colorations (e.g., in the bufonids Chaunus ictericus and Ollotis
periglenes).
Table 3. Main characteristics, benefits acquired, and constraints involved in the
evolution of defensive coloration of anurans.
Function of the
defensive coloration
Main characteristics Benefits acquired Constraints involved
Camouflage Background matching Predatory behavior
Predation avoidance
Predator search image
Aposematism Background contrasting Predator avoidance
Reproductive success?
Presence of harmful defenses*
Deceptive color Body color contrasting Predation avoidance
Reproductive success?
Predator search image
*Except in the cases of Browerian and Batesian mimicry (see text).
Several factors are involved in the evolution of aposematism, such as
unpalatability, honest signals, relative predator-prey abundance-dependence, and kin
selection (review in Mallet & Joron, 1999). In anurans the aposematism have evolved
multiple times (e.g., Summers & Clough, 2001; Santos, Coloma & Cannatella, 2003;
229
Vences et al., 2003). However, some of these authors have based their results in
hypothesis of evolutionary relationships that have been recently modified or
complemented (Frost et al., 2006; Grant et al., 2006). Therefore, a new overview of
these evolutionary approaches on defense is needed, because their assumptions may be
modified. For example, Summers and Clough (2001) did their study based on the
monophyletic assumption for the old family Dendrobatidae, and in the monophyletic
assumption of the former clade of toxic aposematic dendrobatids. However, this
hypothetic monophyly was rejected (Santos et al., 2003; Vences et al., 2003) and the
former dendrobatid family has been divided into two sister ones (Dendrobatidae and
Aromobatidae) and the toxic species are divided into several mono and paraphyletic
genera (e.g., Adelphobates, Allobates, Ameerega, Dendrobates, Epipedobates,
Hyloxalus, Myniobates, and Oophaga) in the two families (Grant et al., 2006).
Although there might have some changes in the phyllogenetic inferences, it is
still possible that the aposematic coloration has evolved in tandem with toxicity in
anurans of the Bufonidae, Dendrobatidae, Aromobatidae, and Mantellidae families, as
proposed before (e.g., Summers & Clough, 2001; Clark et al., 2005). “If differences
among species in dietary preferences or predatory capabilities are heritable, then natural
selection could act to favor brighter coloration in species that consistently have
preferences for or access to prey with more or more potent toxins” (Summers & Clough,
2001). Speculations apart, the most evident fact is that the anuran aposematism has
evolved by means of multiple convergent radiations, within the class, its families,
and/or its genera (e.g., Santos et al., 2003; Vences et al., 2003; Chiari et al., 2004; Clark
et al., 2005).
Future steps
This article sums information on the relationships of predation and defensive
mechanisms of post-metamorphic anurans. From now we recommend at least four lines
of research: I) focused studies on specific defensive strategies against predators and
reports of predators-prey interactions; II) complementation of these recent reviews; III)
broader and meta-analysis of the predator-prey interactions; and IV) going further on
the understanding of the evolution (including phylogenetic approaches) of defensive
strategies and their relation with the present and past predators. By now, these reviews
organize our knowledge generating, at least, a universal standardization of the
230
nomenclature of the anuran defensive strategies, functions, effectiveness, and some
predator-prey relationships.
ACKNOWLEDGEMENTS
Ivan Sazima made valuable comments during early versions of the manuscript.
André Antunes, Cynthia Prado, Daniel Loebmann, Juliana Zina, José Pombal Jr., Luís
Giasson, Olívia Araújo, and Rodrigo Lingnau helped during field expeditions. Julián
Faivovich and Patrícia Morellato helped with some references. Peter Janzen, Glenn
Tattersall, André Antunes, Ricardo Sawaya, Zoltan Takacs, and Jeet Sukumaran
provided the pictures of Lankanectes corrugatus, Bokermannohyla alvarengai,
Eleutherodactylus guentheri, Physalaemus nattereri, Oophaga lehmanni, and
Theloderma horridum, respectively. FAPESP (BIOTA proc. no. 01/13341-3) and CNPq
supported the Herpetology laboratory, Departamento de Zoologia, Unesp, Rio Claro,
State of São Paulo, Brazil. Authors also thank CAPES, FAPESP, Idea Wild, and
Neotropical Grassland Conservancy and Fauna Pro Assessoria e Consultoria Ambiental
for grants, scholarships, equipment donation, and supporting some of the expeditions.
231
LITERATURE CITED
Andreone, F. (1992). Syntopy of Mantella cowani Boulenger and Mantella
madagascariensis (Grandidier) in central-eastern Madagascar, with notes on the
colouration in the genus Mantella (Anura: Mantellidae). Boll. Mus. Reg. Sci. Nat.
Torino 10: 421-450.
Bates, H. W. (1862). Contributions to an insect fauna of the Amazon valley. Trans.
Linn. Soc. London 23: 495-566.
Bourne, G. R. (2001). Color pattern, predator avoidance, and foraging behavior in the
golden frog Colostethus beebei (Anura: Dendrobatidae). Herpetol. Rev. 32: 225-
228.
Brattstrom, B. H. (1955). The coral snake mimic problem and protective coloration.
Evolution 9: 217-219.
Braude, S., Ciszek, D., Berg, N. E. & Shefferly, N. (2001). The ontogeny and
distribution of countershading in colonies of the naked mole-rat (Heterocephalus
glaber). J. Zool. 253: 351-357.
Brodie Jr., E. D. & M. S. Tumbarello (1978). The antipredator functions of
Dendrobates auratus (Amphibia, Anura, Dendrobatidae) skin secretion in regard
to a snake predator (Thamnophis). J. Herpetol. 12: 264-265.
Caldwell, J. P. (1996). The evolution of myrmecophagy and correlates in poison frogs
(family Dendrobatidae). J. Zool. 240: 75-101.
Caro, T. (2005). Antipredator defenses in birds and mammals. Chicago and London:
The University of Chicago Press.
Channing, A. & K. Howell (2003). Phlyctimantis keithae (Wot-wot). Defensive
behavior. Herpetological Review 34: 52-53.
Chiari, Y., M. Vences, D. R. Veites, F. Rabemanjara, P. Bora, O. R. Ravoahangimalala
& A. Meyer (2004). New evidence for parallel evolution of colour patterns in
Malagasy poison frogs (Mantella). Molecular Ecology 13: 3763-3774.
Clark, V. C., C. J. Raxworthy, V. Rakotomalala, P. Sierwald & B. L. Fisher
(2005). Convergent evolution of chemical defense in poison frogs and
arthropod prey between Madagascar and the Tropics. Proceedings of the
National Academy of Science 102: 11617-11622.
Cruz, C. A. G. (1990). Sobre as relações intergenéricas de Phyllomedusinae da Floresta
Atlântica (Amphibia, Anura, Hylidae). Rev. Bras. Biol. 50: 709-726.
232
Cuthill, I. C., M. Stevens, J. Sheppard, T. Maddocks, C. A. Párraga & T. S.
Troscianko (2005). Disruptive coloration and background pattern matching.
Nature 434: 72-74.
Daly, J. W. (1998). Thirty years of discovering arthropod alkaloids in amphibian
skin. J. Nat. Prod. 61: 162-172.
Daly, J. W., Secunda, S. I., Garraffo, H. M., Spande, T. F., Wisnieski, A. & Cover Jr., J.
F. (1994). An uptake system for dietary alkaloids in poison frogs (Dendrobatidae).
Toxicon 32: 657–663.
Daly, J. W., Andriamaharavo, M. A., Andriantsiferana, M. and Myers, C. W. (1996).
Madagascan Poison Frogs (Mantella) and Their Skin Alkaloids. Am. Mus. Nov.
3177: 1-34.
Daly J. W., Padgett W. L., Saunders R. L., Cover Jr. J. F. (1997a). Absence of
tetrodotoxins in a captive-raised riparian frog, Atelopus varius. Toxicon 35: 705-
709.
Daly, J. W., Garraffo, H. M., Hall, G. S. & Cover Jr., J. F. (1997b). Absence of skin
alkaloids in captive-raised Madagascan mantelline frogs (Mantella) and
sequestration of dietary alkaloids. Toxicon 35: 1131–1135.
Darst, C. R. & M. E. Cummings. (2006). Predator learning favors mimicry of a less-
toxic model in poison frogs. Nature 440: 208-211.
Dickerson, M. C. (1906). The frog book. Doubleday. Page Co. NY.
Duellman, W. E. & L. Trueb (1994) Biology of Amphibians, 2 edn. Baltimore and
London: The Johns Hopkins University Press.
Edmunds, M. (1974) Defence in Animals: a survey of anti-predator defences.
New York: Longman.
Emerson, S. B., T. A. Cooper & J. R. Ehleringer (1990). Convergence in
reflectance specrta among treefrogs. Funct. Ecol. 4: 47-51.
Endler, J. A. (1991). Variation in the appearance of guppy color patterns to guppies and
their predators under different visual conditions. Vision Res. 31: 587–608.
Endler, J. A. (2006). Disruptive and cryptic coloration. Proc. R. Soc. B 273: 2425-2426.
Eterovick, P.C. & I. Sazima. (2004). Amphibians from Serra do Cipó. Editora PUC
Minas, Belo Horizonte, MG.
Frost, D. R. (2007). Amphibian Species of the World: an online reference. Version 5.0.
Database accessible at: http://research.amnh.org/herpetology/amphibia/index.php.
American Museum of Natural History, New York, USA.
233
Frost, D. R., T. Grant, J. Faivovich, R. H. Bain, A. Haas, C. F. B. Haddad, R. O. Sá, A.
Channing, M. Wilkinson, S. C. Donnellan, C. J. Raxworthy, J. A. Campbell, B. L.
Blotto, P. Moler, R. C. Drews, R. A. Nussbaum, J. D. Lynch, D. M. Green, and W.
C. Wheeler. (2006). Amphibian tree of life. Bull. Am. Mus. Nat. Hist. 297: 1-371.
Grant, T., D. R. Frost, J. P. Caldwell, R. Gagliardo, C. F. B. Haddad, P. J. R. Kok, D. B.
Means, B. P. Nooman, W. E. Schargel, & W. C. Wheeler. (2006). Phylogenetic
systematics of dart-poison frogs and their relatives (Amphibia: Athesphatanura:
Dendrobatidae). Bull. Am. Mus. Nat. Hist. 299: 1-262.
Hanlon, R. T., J. W. Forsythe, & D. E. Joneschild. (1999). Crypsis, conspicuouness,
mimicry and polyphenism as antipredator defences of foraging octopuses on Indo-
Pacific coral reefs, with a method of quantifying crypsis from video tapes. Biol. J.
Linn. Soc. 66: 1-22.
Hoffman, E. A. & M. S. Blouin (2000). A review of colour and pattern polymorphisms
in anurans. Biol. J. Linn. Soc. 70: 633-665.
Honkavaara, J., M. Koivula, E. Korpimäki, H. Siitari & J. Viitala (2002). Ultraviolet
vision and foraging in terrestrial vertebrates. Oikos 98: 505-511.
Kiltie, R. A. & A. F. Laine (1992). Visual textures, machine vision and animal
camouflage. Tree 7: 163-166.
Lindquist, E. D. & T. E. Hetherington (1996). Field studies on visual and acoustic
signaling in the "earless" Panamanian golden frog", Atelopus zeteki. J. Herpet. 30:
347-354.
Mallet, J. & M. Joron (1999). The evolution of diversity in warning color and mimicry.
Polymorphisms, shifting balance, and speciation. Ann. Rev. Ecol. Syst. 30: 201-
233.
Martins, M. (1989). Deimatic behavior in Pleurodema brachyops. J. Herpetol. 23: 305-
307.
McDiarmid, R. W. & S. Gorzula (1989). Aspects of the reproductive ecology and
behavior of the Tepui toads, genus Oreophrynella (Amphibia, Bufonidae). Copeia
1989: 445-451.
Morellato, L. P. C., R. R. Rogrigues, H. Leitão-Filho & C. A. Joly (1989). Estudo
comparativo da fenologia de espécies arbóreas de floresta de altitude e floresta
mesófila semidescídua na Serra do Japi, Jundiaí, São Paulo. Rev. Bras. Bot. 12:
85-98.
234
Müller, F. (1878). Über die Vortheile der Mimicry bei Schmetterlingen. Zool. Anz. 1:
54-55.
Müller, F. (1879). Ituna and Thyridia: a remarkable case of mimicry in butterflies. Proc.
Entomol. Soc. London 1879: 20–29.
Myers, C. W. & Daly, J. W. (1983). Dart-poison frogs. Sci. Amer. 248: 120-133.
Nelson, C. E. & Miller, G. A. (1971). A possible case of mimicry in frogs. Herpetol.
Rev. 3: 109.
Osorio, D. & Srinivasan, M. V. (1991). Camouflage by edge enhancement in animal
coloration patterns and its implication for visual mechanisms. Proc. R. Soc. Lond.
B 244: 81-85.
Pasteur, G. (1982). A classificatory review of mimicry systems. Ann. Rev. Ecol. Syst.
13: 169-199.
Pough, F. H. (1988). Mimicry of vertebrates: are the rules different? Am. Nat. 113: 67-
102.
Roberts, J. L., J. L. Brown, R. Schulte, W. Arizabal, & K. Summers. (2006). Rapid
diversification of colouration among populations of poison frog isolated on sky
peninsulas in the central cordilleras of Peru. J. Biogeogr. 1-10.
Rothschild M. (1963). Is the buff ermine a mimic of the white ermine? Proc. R.
Entomol. Soc. Lond. A 38: 159-64
Rothschild, M. (1981). The mimicrats must move with the times. Biol. J. Linn. Soc. 16:
21-23.
Ruxton, G. D., M. P. Speed, & D. J. Kelly. (2004). What, if anything, is the adaptive
function of countershading? An. Behav. 68: 445-451.
Santos, J. C., L. A. Coloma & D. C. Cannatella (2003). Multiple, recurring origins of
aposematism and diet specialization in poison frogs. PNAS 100: 12792-12797.
Saporito, R. A., H. M. Garraffo, M. A. Donnelly, A. L. Edwards, J. T. Longino & J. W.
Daly (2004). Formicine ants: an arthropod source for the pumiliotoxin alkaloids of
dendrobatid poison frogs. Proc. Nat. Acad. Sci. 101: 8045-8050.
Saporito, R. A., M. A. Donnelly, H. M. Garraffo, T. F. Spande & J. W. Daly (2006).
Geographic and Seasonal Variation in Alkaloid-Based Chemical Defenses of
Dendrobates pumilio from Bocas del Toro, Panama. J. Chem. Ecol. 32: 795-814.
Sazima, I. & U. Caramaschi (1986). Descrição de Physalaemus deimaticus, sp. n., e
observações sobre comportamento deimático em P. nattereri (Steindn.) - Anura,
Leptodactylidae. Rev. Biol. 13: 91-101.
235
Schwalm, P. A., P. H. Starrett & R. W. McDiarmid (1977). Infrared reflectance in leaf-
sitting neotropical frogs. Science 196: 1225-1227.
Siddiqi, A., T. W. Cronin, E. R. Loew, M. Vorobyev & K. Summers (2004).
Interspecific and intraspecific views of color signals in the strawberry poison frog
Dendrobates pumilio. J. Exp. Biol. 207: 2471-2485.
Starrett, A. (1993). Adaptive resemblance: a unifying concept for mimicry and crypsis.
Biol. J. Linn. Soc. 48: 299-317.
Stebbins, R. C. & N. W. Cohen (1995) A natural history of amphibians. Princeton, New
Jersey: Princeton University Press.
Summers, K. & M. E. Clough (2001). The evolution of coloration and toxicity in the
poison frog family (Dendrobatidae). Proc. Nat. Acad. Sci. 98: 6227-6232.
Summers, K., T. W. Cronin & T. Kennedy (2003). Variation in spectral reflectance
among populations of Dendrobates pumilio, the strawberry poison frog, in the
Bocas del Toro Archipelago, Panama. J. Biogeo. 30: 35–53.
Symula, R., R. Schulte & K. Summers (2001). Molecular phylogenetic evidence for a
mimetic radiation in Peruvian poison frogs supports a Müllerian mimicry
hypotesis. Proc. R. Soc. Lond. B 268: 2415-2421.
Tattersall, G. J., P. C. Eterovick & D. V. Andrade (2006). Tribute to R. G. Boutilier:
Skin colour and body temperature changes in basking Bokermannohyla alvarengai
(Bokermann 1956). The Journal of Experimental Biology 209: 1185-1196.
Thayer, A. H. (1896). The law which underlies protective coloration. The Auk 13: 124-
127.
Toledo, L. F. & C. F. B. Haddad (2005). Reproductive biology of Scinax
fuscomarginatus (Anura, Hylidae) in south-eastern Brazil. J. Nat. Hist. 39: 3029-
3037.
Toledo, L. F., L. D. Guimarães, L. P. Lima, R. P. Bastos & C. F. B. Haddad (2004).
Notes on courtship, egg-laying site, and defensive behavior of Epipedobates
flavopictus (Anura: Dendrobatidae) from two mountain ranges of central and
southeastern Brazil. Phyllomedusa 3: 145-147.
Turner, J. R. G. & M. P. Speed (2001). How weird can mimicry get? Evol. Ecol. 13:
807-827.
Tuttle, M. D., L. K. Taft & M. J. Ryan (1981). Acoustical location of calling frgos by
Philander Opossums. Biotrop. 13: 233-234.
236
van Someren, V. G. L. & Jackson, T. H. E. (1959). Some comments on protective
resemblance amongst African Lepidoptera (Rhopalocera). J. Lepidopt. Soc. 13:
121-150.
Vences, M., J. Kosuch, R. Boistel, C. F. B. Haddad, E. La Marca, S. Lötters & M. Veith
(2003). Convergent evolution of aposematic coloration in Neotropical poison
frogs: a molecular phylogenetic perspective. Org. Divers. Evol. 3: 215-226.
Wente, W. H. & J. B. Phillips (2003). Fixed green and brown color morphs and a novel
color-changing morph of the Pacific Tree Frog Hyla regilla. The Am. Nat. 162:
461-473.
Wickler, W. (1965). Mimicry and the evolution of animal communication. Nature 5010:
519-521.
Wüster, W., C. S. E. Allum, I. B. Bjargardóttir, K. L. Bailey, K. J. Dawson, J. Guenioui,
J. Lewis, J. McGurk, A. G. Moore, M. Niskaneny & C. P. Pollard (2004). Do
aposematism and Batesian mimicry require bright colours? A test, using European
viper markings. Proc. R. Soc. Lond. B 271: 2495–2499.
237
CONSIDERAÇÕES FINAIS
As desovas dos anuros são apresadas por diversos grupos animais, tanto na água, como
fora desta, tanto em ninhos de espuma, quanto fora destes. Todavia, parece haver uma
taxa de predação diferencial entre as diferentes estratégias de deposição de ovos nos
anuros. Isto poderia indicar uma pressão seletiva que pode estar atuando (ou ter atuado)
na evolução dos modos reprodutivos na ordem.
Anuros pós-metamórficos são apresados por diversos grupos animais, desde pequenos
invertebrados a grandes vertebrados. Aranhas e baratas d’água (entre os invertebrados) e
serpentes (entre os vertebrados) são seus principais predadores atuais.
A captura de anuros por seus predadores não é aleatória. Existe uma seleção em função
do tamanho da presa em relação ao tamanho do predador, sendo que táticas de predação,
como presença de veneno (nos predadores) e ataque em grupo, podem influenciar nesta
relação.
Três tipos de vocalizações defensivas são reconhecidos: grito de agonia, grito de alarme
e grito de alerta. Destes, o grito de agonia parece ser o mais difundido e deve ser um
caráter ancestral para a ordem Anura.
Existem correlações entre o tamanho dos anuros e as características físicas dos seus
gritos. Essas correlações podem estar relacionadas à eficácia das vocalizações contra
predadores.
Foram encontradas influências ambientais e filogenéticas na presença/ausência das
estratégias defensivas.
A predação foi (e deve estar sendo) um forte agente seletivo na evolução das formas e
comportamentos dos anuros atuais, moldando incríveis adaptações e padrões de
coloração, tornando este, um grupo único e fascinante.
Livros Grátis
( http://www.livrosgratis.com.br )
Milhares de Livros para Download:
Baixar livros de Administração
Baixar livros de Agronomia
Baixar livros de Arquitetura
Baixar livros de Artes
Baixar livros de Astronomia
Baixar livros de Biologia Geral
Baixar livros de Ciência da Computação
Baixar livros de Ciência da Informação
Baixar livros de Ciência Política
Baixar livros de Ciências da Saúde
Baixar livros de Comunicação
Baixar livros do Conselho Nacional de Educação - CNE
Baixar livros de Defesa civil
Baixar livros de Direito
Baixar livros de Direitos humanos
Baixar livros de Economia
Baixar livros de Economia Doméstica
Baixar livros de Educação
Baixar livros de Educação - Trânsito
Baixar livros de Educação Física
Baixar livros de Engenharia Aeroespacial
Baixar livros de Farmácia
Baixar livros de Filosofia
Baixar livros de Física
Baixar livros de Geociências
Baixar livros de Geografia
Baixar livros de História
Baixar livros de Línguas
Baixar livros de Literatura
Baixar livros de Literatura de Cordel
Baixar livros de Literatura Infantil
Baixar livros de Matemática
Baixar livros de Medicina
Baixar livros de Medicina Veterinária
Baixar livros de Meio Ambiente
Baixar livros de Meteorologia
Baixar Monografias e TCC
Baixar livros Multidisciplinar
Baixar livros de Música
Baixar livros de Psicologia
Baixar livros de Química
Baixar livros de Saúde Coletiva
Baixar livros de Serviço Social
Baixar livros de Sociologia
Baixar livros de Teologia
Baixar livros de Trabalho
Baixar livros de Turismo