Download PDF
ads:
UNIVERSIDADE FEDERAL DO RIO DE JANEIRO
Ana Luísa Kremer Faller
POLIFENÓIS, VITAMINA C E CAPACIDADE ANTIOXIDANTE DE
ALIMENTOS ORGÂNICOS E CONVENCIONAIS
Rio de Janeiro
2008
ads:
Livros Grátis
http://www.livrosgratis.com.br
Milhares de livros grátis para download.
- ii -
ANA LUÍSA KREMER FALLER
POLIFENÓIS, VITAMINA C E CAPACIDADE ANTIOXIDANTE DE
ALIMENTOS ORGÂNICOS E CONVENCIONAIS
Dissertação de Mestrado apresentada ao
Programa de Pós-Graduação em Nutrição,
Instituto de Nutrição Josué de Castro,
Universidade Federal do Rio de Janeiro, como
parte dos requisitos necessários à obtenção do
título de Mestre em Nutrição.
Orientadora: Eliane Fialho de Oliveira
Rio de Janeiro
2008
ads:
- iii -
ANA LUÍSA KREMER FALLER
POLIFENÓIS, VITAMINA C E CAPACIDADE ANTIOXIDANTE DE
ALIMENTOS ORGÂNICOS E CONVENCIONAIS
Banca Examinadora:
Profª. Eliane Fialho de Oliveira
Profª. Adjunto do Departamento de Nutrição Básica e Experimental/ INJC / UFRJ
Orientadora
Profª. Vera Lúcia Valente Mesquita
Profª. Adjunto do Departamento de Nutrição Básica e Experimental/ INJC / UFRJ
Revisor
Prof. Antônio Gomes Soares
Pesquisador do Centro Nacional de Pesquisa de Tecnologia Agroindustrial de Alimentos, CTAA,
EMBRAPA.
Profª. Carmen Marino Donangelo
Profª. Titular do Departamento de Bioquímica/ IQ / UFRJ
Profª. Adriana Farah de Miranda Pereira
Profª. Visitante do Departamento de Bioquímica/ IQ / UFRJ
Suplente Externo
Profª. Lucia Maria Jaeger de Carvalho
Profª. Adjunto do Departamento de Nutrição Básica e Experimental/ INJC / UFRJ
Suplente Interno
- iv -
Ficha catalográfica
Faller, Ana Luísa Kremer
Polifenóis, Vitamina C e Capacidade Antioxidante de Alimentos Orgânicos e
Convencionais/Ana Luísa Kremer Faller. Rio de Janeiro: UFRJ/INJC, 2008
N
o
de folhas xviii, 189 p.
Dissertação: Mestre em Nutrição – Universidade Federal do Rio de Janeiro,
INJC
1. Polifenóis 2. antioxidante 3. frutas e hortaliças 4. Dissertação
I. Polifenóis, Capacidade Antioxidante de Alimentos Orgânicos e
Convencionais.
II. Mestre
- v -
Este trabalho foi realizado no laboratório de Química e Bioquímica de
Alimentos no Instituto de Nutrição, sob orientação da Professora Eliane
Fialho de Oliveira, na vigência de auxílios concedidos pela Fundação
Carlos Chagas Filho de Amparo à Pesquisa do Estado do Rio de Janeiro
(FAPERJ), Fundação Universitária José Bonifácio (FUJB-ALV) e
Coordenação de Aperfeiçoamento de Pessoal de Nível Superior (CAPES).
- vi -
Dedico esta dissertação às minhas
famílias biológica e acadêmica, por
todo incentivo, apoio e amizade.
- vii -
Agradecimentos
Agradeço, primeiramente, aos meus pais, Maria Ester e Newton, pelo apoio e
incentivo incondicional, estimulando a seguir meu próprio caminho, não
importando qual que fosse minha escolha;
À minha mãe, minha irmã Maria Clara e ao Rubens, por agüentar muitas vezes
minha falta de paciência e de humor por estar com a cabeça voltada para o
trabalho e não para a família;
À Lili, minha orientadora, por ser a pessoa batalhadora, incentivadora e
competente que é, capaz de cobrar e dar conselhos da maneira certa e na hora
certa, fazendo de seus alunos não só amigos mas realmente colegas de
trabalho;
Ao meu namorado Marcelo, que assim como a família teve de agüentar
momentos estressantes, além de perder a companhia da namorada em
diversos finais de semana;
A toda minha família, que mesmo não sabendo exatamente o que eu faço,
sempre teve muito orgulho;
À minha família científica! Laços criados e cultivados no laboratório, onde
muitas vezes ficávamos mais tempo juntos do que com nossas famílias
biológicas: Fabi, Vagner, Chris, Dani, Renatinha, Daniel, Jaqueline, Paula...
- viii -
Às professoras Vera Valente e Maria Lúcia, pelo ótimo período como colegas
de sala;
Ao Laboratório de Bioquímica de Insetos, especialmente à Heloísa, não só pelo
uso do HPLC como pela paciência por ensinar todos os aspectos do
equipamento, além da minha presença quase ininterrupta nessa etapa final;
Dedico também ao meu filhote, Tico, que certamente ajudou como válvula de
escape em momentos de tensão e ansiedade;
Por fim, dedico especialmente a meu pai, que mesmo não estando mais
presente, sei que está sempre me guiando, me protegendo e me orientando na
vida. Te amo.
- ix -
Resumo
O consumo de frutas e hortaliças está relacionado com a redução da incidência
de doenças crônicas não-transmissíveis. Os benefícios proporcionados por
estes alimentos devem-se, em parte, à sua composição química rica em
substâncias antioxidantes, como polifenóis e o ácido ascórbico. A agricultura
orgânica baseia-se na ausência de agroquímicos sintéticos, o que
proporcionaria maior exposição das plantas cultivadas a situações de estresse
biótico e abiótico. Como resultado, pode haver um maior estímulo à síntese de
compostos de defesa, como os polifenóis, podendo aumentar a uma maior
capacidade antioxidante nos alimentos cultivados na agricultura orgânica. O
objetivo deste trabalho foi avaliar diferenças no teor de polifenóis, vitamina C e
na capacidade antioxidante de frutas e hortaliças in natura, e suas diferentes
frações, produzidas sob cultivo orgânico e convencional, assim como após a
cocção das hortaliças. Os alimentos selecionados foram aqueles de consumo
freqüente no Brasil, de acordo com a Tabela de Aquisição Domiciliar per capita
da Pesquisa de Orçamentos Familiares (POF) de 2002/2003 do IBGE. Estes
foram processados obtendo-se um extrato fluido, o qual foi utilizado para as
análises de polifenóis solúveis e hidrolisáveis, através do todo de Folin-
Ciocalteu, ácido ascórbico e dehidroascórbico por CLAE e capacidade
antioxidante por DPPH. Os resultados mostram que as frutas são mais
suscetíveis à modulação do teor de polifenóis pelo tipo de agricultura do que as
hortaliças. Da mesma forma, as frutas apresentaram maior variação do
conteúdo destes fitoquímicos entre as frações analisadas. As capacidades
antioxidantes das hortaliças orgânicas e convencionais in natura não foram
estatisticamente diferentes, enquanto que para a maioria das frutas as cascas
- x -
orgânicas apresentaram maior capacidade antioxidante. O teor de ácido
ascórbico e dehidroascórbico variaram de acordo com a hortaliça analisada,
sendo estatisticamente superior nas folhas e flores de brócolis convencional. A
adição de ácido ascórbico em alguns alimentos mostrou ter efeito positivo
sobre a quantificação de polifenóis solúveis, apresentando menor influência
sobre os polifenóis hidrolisáveis. A cocção levou à redução do teor de
polifenóis na maioria das hortaliças, sendo acompanhado pela redução da
capacidade antioxidante. Os polifenóis solúveis e as hortaliças orgânicas foram
mais sensíveis ao efeito térmico. Os resultados sugerem que as frutas são
mais suscetíveis do que as hortaliças à modulação no teor de polifenóis e na
capacidade antioxidante pelo tipo de agricultura aplicado, apresentando
frequentemente diferenças significativas entre as frações analisadas. No
entanto, diferenças observadas entre orgânicos e convencionais parece variar
de acordo com a espécie vegetal analisada.
- xi -
Abstract
Fruit and vegetable intake is associated with the reduction of chronic diseases.
The benefits provided by these food groups are due to their chemical
composition rich in antioxidant susbtances, such as polyphenols and vitamin C.
Organic agriculture is based on the absence of synthetic agrochemicals, leading
the plant to a higher exposure of biotic and abiotic stresses, causing the
induction of the synthesis of defense compounds. Among these compounds are
polyphenols, which could enhance the antioxidant capacity of organic foods.
The objective of this work was to evaluate differences in polyphenol, vitamin C
and antioxidant capacity of different fractions of raw fruits and vegetables
produced by organic and conventional agricultures, as well as after cooking of
vegetables. Foods were selected according to the Tabela de Aquisição
Domiciliar per capita of Pesquisa de Orçamentos Familiares (POF) 2002/2003
database from IBGE. Fruits and vegetables were processed into fluid extracts
which were used for the analyses of soluble and hydrolysable polyphenols,
using the Folin-Ciocalteu method, ascorbic acid and dehydroascorbic acid
contents were measured by HPLC, and antioxidant capacity by DPPH method.
Results showed higher sensitivity of fruits to agricultural modulation of
polyphenols when compared to the vegetables. Fruits also showed higher
variation of polyphenols contents between the food fractions analysed. No
significative difference was observed between organically and conventionally
grown raw vegetables, while for fruits there was a tendency favoring the organic
production. Ascorbic acid and dehydroascorbic acid varied according to the
vegetables evaluated, having no diferences between the two types of
agriculture. The adition of ascorbic acid, however, resulted in a positive effect in
- xii -
the quantification of soluble polyphenols. Cooking resulted in deleterious effects
on the polyphenol contents for most vegetables, followed by the reduction in the
antioxidant capacity. This work shows that the type of agriculture does not
modulate the synthesis of polyphenols. Cooking of vegetables can lead to a
reduction of polyphenols and antioxidant capacity. Results indicate that fruits
are more susceptible to variations in polyphenol content and antioxidant
capacity due to different agricultural practices. Polyphenol and ascorbic acid
contents, along with antioxidant capacity modulation, did vary, however,
according to the plant food analysed.
- xiii -
Lista de Abreviaturas
µL Microlitros
µM Micromolar
µg Micrograma
A
0
Absorbância no tempo zero
A
t
Absorbância no tempo em questão
AA Ácido ascórbico
APX Ascorbato peroxidase
CAT Catalase
CLAE Cromatografia líquida de alta eficiência
CV Convencional
DCV Doenças cardiovasculares
DHA Ácido dehidroascórbico
DPPH 1,1-Difenil-2-picrilhidrazil
E. coli
Escherichia coli
EAG Equivalentes de ácido gálico
EF Extrato fluido
EH Extrato hidrolisável
ERO’s Espécies reativas de oxigênio
ES Extrato solúvel
FAL Fenilalanina amônia liase
FAO Food and Agriculture Organization
g Grama
GSH Glutationa
IBGE Instituto Brasileiro de Geografia e Estatística
IFOAM
International Federation of Organic Agricultural
Movements
M Molar
MAPA Ministério da Agricultura, Pecuária e Abastecimento
mcg Micrograma
mg Miligrama
min Minutos
nm Nanômetros
OG Orgânico
pH Potencial hidrogeniônico
POF Pesquisa de Orçamentos Familiares
PPO Polifenoloxidase
SE Solução de extração
SOD Superóxido dismutase
SRL Seqüestro de radicais livres
v/v Volume por volume
- xiv -
Lista de Ilustrações
Figura 1. Principais Grupos de Fitoquímicos.
1
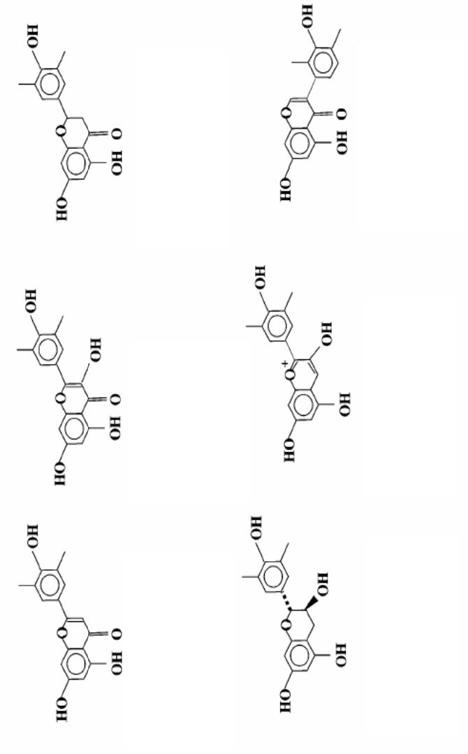
Figura 2. Estrutura química dos principais ácidos fenólicos: (A) ácido gálico;
(B) ácido ferúlico.
7
Figura 3. Estrutura química do resveratrol.
9
Figura 4. Estrutura química básica dos flavonóides.
11
Figura 5. Estrutura das Principais Classes de Flavonóides, Compostos
Bioativos e Fontes Alimentares.
12
Figura 6. Integração entre Metabolismos Primário (carboidratos) e
Secundário (fenilpropanóides).
17
Figura 7. Diferentes Situações de Estresse e Aumento da Síntese de Alguns
Fitoquímicos.
18
Quadro 1. Interações Negativas entre o Conteúdo de Compostos Fenólicos e
Agroquímicos.
36
Tabela 1. Estudos Relacionando Polifenóis e Alimentos Orgânicos.
38
Quadro 2. Alimentos e Frações Utilizadas para Análises
44
Quadro 3. Tempo de Cozimento das Hortaliças de Acordo com Diferentes
Métodos de Cocção.
46
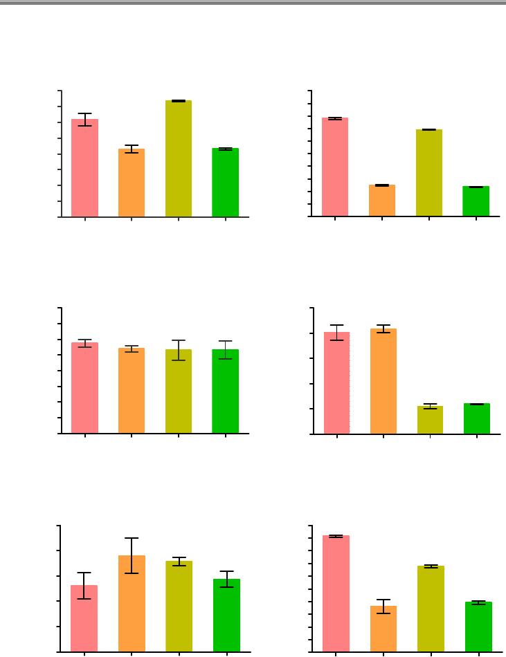
Tabela 2. Conteúdo de Polifenóis Solúveis em Hortaliças Orgânicas e
Convencionais.
53
Tabela 3. Conteúdo de Polifenóis Hidrolisáveis em Hortaliças Orgânicas e
Convencionais.
54
Figura 8. Variação do Conteúdo de Polifenóis Solúveis nas Diferentes
Frações de Hortaliças.
55
Figura 9. Variação do Conteúdo de Polifenóis Hidrolisáveis nas Diferentes
Frações de Hortaliças.
57
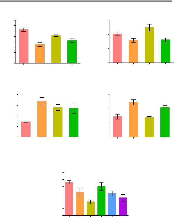
Tabela 4. Conteúdo de Polifenóis Solúveis em Frutas Orgânicas e
Convencionais.
58
Figura 10. Variação do Conteúdo de Polifenóis Solúveis nas Diferentes
Frações de Frutas.
59
Tabela 5. Conteúdo de Polifenóis Hidrolisáveis em Frutas Orgânicas e
Convencionais.
60
Figura 11. Variação do Conteúdo de Polifenóis Hidrolisáveis nas Diferentes
Frações de Frutas.
61
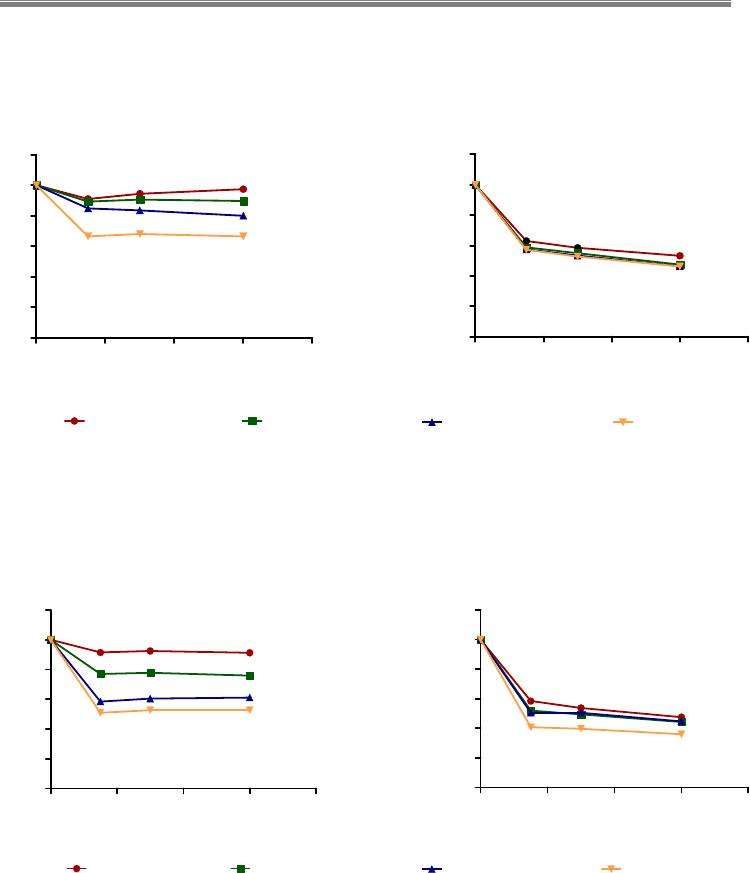
Figura 12. Curso Temporal da Capacidade Antioxidante de Hortaliças
Orgânicas e Convencionais pelo Método DPPH.
68
- xv -
Tabela 6. Capacidade de Seqüestro de Radicais Livres em Hortaliças
Orgânicas e Convencionais.
69
Figura 13. Curso Temporal da Capacidade Antioxidante de Hortaliças
Orgânicas e Convencionais pelo Método DPPH.
71
Tabela 7. Capacidade de Seqüestro de Radicais Livres em Frutas Orgânicas
e Convencionais.
72
Figura 14. Perfil Cromatográfico do Conteúdo de Ácido Ascórbico e do Ácido
Dehidroascórbico.
75
Figura 15. Curva Padrão de Ácido Ascórbico (A) e Ácido Dehidroascórbico
(B).
76
Tabela 8 - Teor de Ácido Ascórbico e Ácido Dehidroascórbico em Hortaliças
Orgânicas e Convencionais.
77
Figura 16. Curvas Padrão de Ácido Ascórbico (A) e Ácido Gálico (B) com
Reagente Folin-Ciocalteu
81
Figura 17. Polifenóis solúveis e hidrolisáveis em alimentos na ausência e na
presença de ácido ascórbico
83
Figura 18. Curso Temporal da Capacidade Antioxidante dos Extratos
Solúveis e Hidrolisáveis Adicionados de Ácido Ascórbico.
85
Tabela 9 – Capacidade Antioxidante dos Extratos Solúveis e Hidrolisáveis
Adicionados de Ácido Ascórbico
86
Tabela 10 - Variação do pH dos Extratos Adicionados de Ácido Ascórbico
87
Tabela 12. Resumo dos Resultados Obtidos para Hortaliças Orgânicas e
Convencionais.
89
Tabela 13. Resumo dos Resultados Obtidos para Frutas Orgânicas e
Convencionais.
90
- xvi -
Sumário
1. REVISÃO BIBLIOGRÁFICA 1
1.1. COMPOSTOS FENÓLICOS
1
1.1.1. Metabolismo e Biodisponibilidade 3
1.1.2. Classificação, Estrutura e Fontes Alimentares 7
1.1.2.1. Ácidos Fenólicos 7
1.1.2.2. Estilbenos 8
1.1.2.3. Cumarinas 9
1.1.2.4. Lignanas 10
1.1.1.5. Flavonóides 10
1.2. COMPOSTOS FENÓLCIOS EM ALIMENTOS VEGETAIS
15
1.2.1. Síntese e Localização Celular
15
1.2.2. Efeitos Fisiológicos dos Compostos Fenólicos
19
1.2.3. Processamento de Alimentos Sobre o Conteúdo de
Polifenóis
23
1.3. MÉTODOS DE AVALIAÇÃO DO CONTEÚDO DE POLIFENÓIS E
CAPACIDADE ANTIOXIDANTE EM ALIMENTOS
25
1.4. VITAMINA C EM ALIMENTOS VEGETAIS 27
1.5. AGRICULTURA ORGÂNICA
28
1.5.1. Panorama Brasileiro da Agricultura Orgânica
30
1.5.2. Qualidade do Alimento Orgânico
31
1.5.3. Polifenóis na Agricultura Orgânica 36
1.6 JUSTIFICATIVA
40
- xvii -
2. OBJETIVOS
41
2.1. GERAL
41
2.2. ESPECÍFICOS
41
3. MATERIAL E MÉTODOS 43
3.1 MATERIAL
43
3.2. SELEÇÃO E AQUISIÇÃO DOS ALIMENTOS 43
3.3. PREPARO DAS AMOSTRAS 44
3.4. COCÇÃO DE HORTALIÇAS
45
3.5. DETERMINAÇÃO DE POLIFENÓIS SOLÚVEIS E
HIDROLISÁVEIS
46
3.5.1. Extração de Polifenóis Solúveis e Hidrolisáveis
46
3.5.2. Quantificação de Polifenóis Solúveis e Hidrolisáveis
47
3.5.3. Percentual de Diferença entre Formas de Cultivo 48
3.6. DETERMINAÇÃO DA CAPACIDADE ANTIOXIDANTE
48
3.6.1. Capacidade Antioxidante pelo Método do Radical DPPH
48
3.7. DETERMINAÇÃO DE ÁCIDO ASCÓRBICO 49
3.8. INFLUÊNCIA DA ADIÇÃO DE ÁCIDO ASCÓRBICO SOBRE A
DETERMINAÇÃO DO CONTEÚDO DE POLIFENÓIS E
CAPACIDADE ANTIOXIDANTE POR DPPH
50
3.9. DISPONIBILIDADE DE POLIFENÓIS EM ALIMENTOS
NACIONAIS
51
3.10. ANÁLISE ESTATÍSTICA
52
4. RESULTADOS E DISCUSSÃO 53
4.1. POLIFENÓIS EM HORTALIÇAS E FRUTAS ORGÂNICAS E
CONVENCIONAIS
53
- xviii -
4.2. CAPACIDADE ANTIOXIDANTE EM HORTALIÇAS E FRUTAS
ORGÂNICAS E CONVENCIONAIS
67
4.3. CONTEÚDO DE ÁCIDO ASCÓRBICO EM HORTALIÇAS
ORGÂNICAS E CONVENCIONAIS
74
4.4. INFLUÊNCIA DA ADIÇÃO DE ÁCIDO ASCÓRBICO SOBRE A
DETERMINAÇÃO DO CONTEÚDO DE POLIFENÓIS E
CAPACIDADE ANTIOXIDANTE POR DPPH
80
4.5. EFEITO DE DIFERENTES MÉTODOS DE COCÇÃO SOBRE O
TEOR DE POLIFENÓIS E CAPACIDADE ANTIOXIDANTE DE
HORTALIÇAS ORGÂNICAS E CONVENCIONAIS
91
4.6. DISPONIBILIDADE DE POLIFENÓIS EM ALIMENTOS
NACIONAIS
92
5. CONCLUSÕES
93
6. REFERÊNCIAS BIBLIOGRÁFICAS 95
ANEXOS
Anexo A - MANUSCRITO - POLYPHENOL AND ANTIOXIDANT CAPACITY
OF ORGANICALLY AND CONVENTIONALLY GROWN
VEGETABLES AFTER DOMESTIC COOKING
113
Anexo B - MANUSCRITO - FRUTAS, HORTALIÇAS E DISPONIBILIDADE
DE POLIFENÓIS NO BRASIL
141
Anexo C - MANUSCRITO - MÉTODOS DE ANÁLISE DA CAPACIDADE
ANTIOXIDANTE EM ALIMENTOS
163
Revisão Bibliográfica
1
1. REVISÃO BIBLIOGRÁFICA
1.1. COMPSOTOS FENÓLICOS
Os fitoquímicos são, por definição, compostos bioativos não-nutritivos dos
vegetais e compreendem carotenóides, alcalóides, compostos organosulfurados,
compostos não-nitrogenados e polifenóis (figura 1). Os compostos fenólicos,
freqüentemente chamados de polifenóis, correspondem por uma das maiores
classes de fitoquímicos, incluindo mais de 8.000 substâncias já identificadas e outras
demais ainda não investigadas (LIU, 2004).
Figura 1. Principais Grupos de Fitoquímicos. Adaptado de: Liu, R. H., 2004.
A principal característica estrutural dos compostos fenólicos é a presença de
pelo menos um anel aromático associado à, no mínimo, um radical hidroxila,
constituindo assim um grupamento fenólico. A presença do radical hidroxila é uma
das principais responsáveis pela capacidade antioxidante destes compostos, tendo
relação direta entre o número e sua posição na estrutura química e a capacidade de
Fitoquímicos
Carotenóides
Alcalóides
Compostos
Fenólicos
Compostos
não-nitrogenados
Compostos
Organosulfurados
Ácidos Fenólicos
Flavonóides
Estilbenos
Cumarinas
Lign
a
na
Revisão Bibliográfica
2
neutralizar radicais livres. Outra característica importante é a existência de polifenóis
nas formas aglicona e glicosídica. A forma aglicona, raramente encontrada na
natureza, é formada pela estrutura fenólica quando esta não está associada a um
radical glicosídico. Esta característica aumenta a facilidade de extração da molécula
a partir da matriz alimentar, assim como favorece a mais rápida absorção no trato
digestório a partir da sua ingestão. Nos vegetais, os flavonóis e proantocianidinas
são os únicos grupos cujas formas agliconas podem ser encontradas em alimentos
(MANNACH ET AL., 2004). as formas glicosídicas compreendem estruturas
fenólicas associadas a glicosídeos, sendo os principais resíduos de açúcar que as
compõem a glicose, podendo ser também constituído por arabinose, galactose,
glicoramnose, lignina, L-ramnose e xilose, estando muitas vezes associada a
polissacarídeos da parede celular. Algumas estruturas se encontram também sob a
forma acilada, como ocorre no caso das antocianinas (KÜHNAU, 1976).
Os polifenóis são substâncias presentes exclusivamente em plantas, uma vez
oriundas de seu metabolismo secundário. Ao contrário do metabolismo primário, no
qual são utilizados nutrientes essenciais para o desenvolvimento do vegetal, como
moléculas de carboidratos, proteínas e lipídeos, o metabolismo secundário sintetiza
outros compostos, não-essenciais. Dentre eles podemos citar pigmentos que
conferem a coloração característica de flores e frutos, como no caso das
antocianinas. Apesar de não essenciais ao desenvolvimento do vegetal, os
compostos fenólicos exercem papel importante na fisiologia da planta atuando como
atrativos à polinização, protetores contra o ataque de predadores, patógenos e
parasitas, reguladores do crescimento, fitohormônios além de participarem de
estruturas da parede celular (GRINDER-PEDERSEN ET AL., 2003). Outra
característica importante dos polifenóis é que síntese pode ser estimulada por
Revisão Bibliográfica
3
fatores externos, como radiação solar, alterações climáticas e de solo (PRICE ET
AL., 1995).
1.1.1. Metabolismo e Biodisponibilidade
O número de estudos avaliando a biodisponibilidade dos compostos fenólicos
vem aumentando, no entanto, apenas algumas substâncias apresentam suas vias
de absorção, metabolização e excreção bem esclarecida. De maneira geral, sabe-se
que o metabolismo e a biodisponibilidade estão associadas a sua estrutura química.
As formas agliconas vêm sendo descritas como aquelas que apresentam maior e
mais rápida absorção no trato gastrointestinal, podendo ser absorvidas ainda no
intestino delgado. Acredita-se ainda, que as formas agliconas, por terem
característica mais lipofílica, possam ser mais facilmente absorvidas ao utilizar
mecanismos de transporte passivo nas membranas celulares (MANNACH ET AL.,
2004).
As moléculas glicosídicas são tidas como moléculas de maior polaridade,
tendo maior peso molecular e caráter mais hidrofílico. Isso permite com que sejam
armazenadas no interior de vacúolos, sendo esta uma razão para a maior
concentração de formas glicosídicas nos vegetais. A glicosilação ocorre
principalmente no carbono 3 (C-3) podendo também, com menor freqüência, estar
no carbono 7 (C-7). Em função de sua ligação a diferentes radicais glicosídicos, sua
absorção normalmente ocorre após a hidrólise por enzimas intestinais ou por ação
da microflora colônica, através de β-glicosidases bacterianas. A enzima florizina
lactase hidrolase, presente na borda em escova, parece atuar sobre a deglicosilação
de compostos fenólicos, permitindo a difusão de algumas formas agliconas através
da membrana (DAY ET AL., 2000).
Revisão Bibliográfica
4
Quando há ação das bactérias intestinais freqüentemente ocorre extensa
metabolização da substância nativa, uma vez que após a deglicosilação, as
bactérias podem agir ainda sobre as formas agliconas liberadas pela matriz
alimentar, levando a formação de diversos ácidos aromáticos, como os ácidos
fenilvalérico, fenilpropiônico, fenilacético e benzóico (MANNACH ET AL., 2004).
Dessa forma, sabe-se que a forma na qual a estrutura molecular normalmente atinge
a circulação é bastante distinta daquela presente nos alimentos. Além disso, a
diversa gama de novas substâncias que são formadas durante o processo de
metabolização, dificulta seu rastreamento, em especial em estudos realizados in
vivo. Sabe-se, que as concentrações plasmáticas dos polifenóis são bastante
pequenas, não ultrapassando concentrações micromolares (KROON ET AL., 2004).
Os mecanismos envolvidos na absorção de compostos fenólicos ainda não
estão totalmente esclarecidos, uma vez que para cada substância as vias de
absorção podem ser diferentes. A maioria dos polifenóis possue caráter hidrofílico
dificultando a passagem pelas membranas dos enterócitos por difusão passiva.
Dentre alguns fatores que influem na absorção intestinal estão o peso molecular da
molécula, tipo de glicosilaçao e esterificação. O tipo de carboidrato ao qual o
polifenol está ligado, assim como a sua posição também influencia sua absorção, o
que resulta em diferenças nas biodisponibilidades de uma mesma substância a partir
de fontes alimentares distintas. Dentre os compostos estudados, aqueles que
apresentam maior absorção, em ordem decrescente, são ácido gálico, isoflavonas,
catequinas, flavanonas e glicosídeos de quercetina. Antocianinas e antocianidinas
são os menos absorvidos, em virtude de sua estrutura mais complexa e
polimerizada (HOLLMAN ET AL., 1999).
A absorção gástrica é bastante restrita para compostos fenólicos, e, sendo
Revisão Bibliográfica
5
eles resistentes à acidez do estômago, a maioria chega na forma intacta ao
intestino. Estando a maior parte dos compostos fenólicos na forma glicosilada em
alimentos, a metabolização e hidrólise ainda no trato gastrointestinal pode ter um
efeito positivo sobre a liberação da matriz alimentar e acessibilidade à absorção.
Recentemente, pesquisadores espanhóis demonstraram, através de modelo de
digestão in vitro que do total de polifenóis ingeridos na dieta habitual, 48%
apresentavam disponibilidade de absorção no intestino delgado, 42% no intestino
grosso, enquanto que o restante não seria passível de absorção (SAURA-CALIXTO;
SERRANO; GOÑI, 2007). Isso demonstra que grande parte dos compostos fenólicos
ingeridos o disponibilizados para digestão após fermentação colônica,
demonstrando um papel importante do intestino grosso no metabolismo de
polifenóis.
Um mecanismo de transporte ativo bem definido para os compostos
fenólicos envolve transportadores de membrana dependentes de sódio, saturáveis,
que estão envolvidos na absorção dos ácidos ferúlicos e cinâmico, por exemplo.
Outros mecanismos vem sendo sugeridos, como a participação de transportares de
glicose dependentes de sódio, como o SGLT1, o qual já foi identificado ser capaz de
absorver glicosídeos de quercetina. Neste caso foi observado que a deglicosilação
ocorreu após absorção, no interior dos enterócitos (HOLLMAN ET AL., 1995). O
transporte de forma glicosídicas também foi demonstrado através de
transportadores de glicose, como o GLUT2, atuando competitivamente com a
glicose (SONG ET AL., 2002).
Durante o processo de absorção e metabolização, os compostos fenólicos
sofrem conjugação ainda no intestino delgado e posteriormente no fígado, passando
pelos metabolismos de primeira e segunda passagem comuns à maioria dos
Revisão Bibliográfica
6
xenobióticos. Em função desta passagem pelo fígado, os compostos fenólicos
interagem com as enzimas do complexo citocromo P450, inclusive modulando
muitas vezes a sua atividade. Este complexo é constituído por diferentes isoenzimas
responsáveis pela detoxificação de metabólitos endógenos e substâncias exógenas,
reduzindo o seu grau de toxicidade e aumentando seu caráter hidrofílico, o que
possibilita mais rápida excreção via biliar ou urinária. Durante este processo, os
polifenóis podem ser conjugados à radicais metila, sulfatos ou glicuronídeos, sendo
a sulfatação mais freqüente em moléculas de baixo peso molecular, enquanto que a
glicuronidação é mais presente em moléculas de alto peso molecular. A
glicuronidação de alguns flavonóides foi identificada por enzimas como (UDP)-
glicuronosiltransferase e O-metil-transferases (KROON ET AL., 2004).
A conjugação dos compostos fenólicos resulta na baixa presença de formas
agliconas circulando no plasma, tendo ainda seus derivados conjugados
normalmente circulando ligados à albumina. O acúmulo de polifenóis nos tecidos
ainda é bastante questionável, sabendo-se apenas que a absorção é mais facilitada
naqueles tecidos que metabolizam compostos fenólicos. Uma vez não apresentando
tecidos de reserva, o consumo freqüente de alimentos-fonte de polifenóis deve ser
garantido, a fim de manter níveis plasmáticos desejáveis. Um fator que prolonga a
meia via dos compostos fenólicos no organismo é a circulação entero-hepática. Ao
serem secretados na bile, os compostos podem sofrer nova metabolização,
exercendo novamente ação local tendo, ou não, posterior reabsorção intestinal. A
circulação entero-hepática justifica a ocorrência de novos picos plasmáticos 10 a 12
horas após a administração de algumas substâncias como as isoflavonas ou a
hesperetina, por exemplo, (WATANABE ET AL., 1998; MANACH ET AL., 2003).
Revisão Bibliográfica
7
1.1.2. Classificação, Estrutura e Fontes Alimentares
A classificação dos compostos fenólicos é variável de acordo com o autor,
podendo ser feita de acordo com a quantidade de anéis fenólicos presentes e pelos
elementos que fazem a ligação entre os anéis. Por esta classificação, os principais
grupos de polifenóis são os ácidos fenólicos, estilbenos, cumarinas, lignanas e
flavonóides (HARBORNE; WILLIAMS, 2000).
1.1.2.1. Ácidos Fenólicos
Este grupo de polifenóis pode ser novamente subdividido em derivados do
ácido hidroxibenzóico e derivados do ácido hidroxicinâmico. Os derivados do ácido
hidroxibenzóico têm como principais representantes os ácidos gálico, p-
hidroxibenzóico, vanílico e siríngico. Os compostos oriundos do ácido
hidroxicinâmico incluem os ácidos caféico, p-cumárico e ferúlico, além do éster
clorogênico. As estruturas básicas de alguns destes compostos estão demonstradas
na figura 2.
( A ) ( B )
Figura 2. Estrutura química dos principais ácidos fenólicos: (A) ácido gálico;
(B) ácido ferúlico
.
Revisão Bibliográfica
8
Os ácidos hidroxibenzóicos são pouco estudados diretamente a partir de
alimentos, devido a sua pequena concentração em vegetais que constituem a
alimentação humana. No entanto, vêm sendo bastante estudados por comporem os
principais metabólitos de compostos fenólicos mais complexos. Freqüentemente se
apresentam na forma esterificada, fazendo parte de complexos da parede celular
como as ligninas (CLIFFORD; SCALBERT, 2000).
Os ácidos hidroxicinâmicos, no entanto, são mais comuns e estão presentes
em maiores quantidades na alimentação humana, sendo freqüentemente
encontrados sob a forma de ésteres associados à celulose, lignina e proteínas. O
ácido ferúlico constitui o principal ácido fenólico encontrado nas partes mais
externas dos cereais, conjugado a mono, di e polissacarídeos da parede celular,
além de glicoproteínas, poliaminas e ligninas, sendo assim seu conteúdo no
alimento diretamente influenciado pelo grau de processamento e refinamento do
grão (HATCHER; KRUGER, 1997). O éster clorogênico é um dos mais conhecidos e
estudados ácidos hidroxicinâmicos, estando em altas concentrações em bebidas
como o café. Apresenta ingestão estimada entre 70 e 350mg por xícara, de 200mL,
de café, sendo variável de acordo com o tipo e processamento do grão e do método
de preparo da bebida (HIGDON; FREI, 2006).
1.1.2.2. Estilbenos
Presente de forma mais restrita na dieta, seu principal representante é o
resveratrol (figura 3), presente em alimentos como uva e vinho tinto, e, mais
reentemente identificado, em oleaginosas como as nozes. O resveratrol ganhou
evidência científica a partir de uma série de estudos que correlacionaram o consumo
do vinho tinto com a redução do risco de doenças cardiovasculares (DCV), atuando
Revisão Bibliográfica
9
positivamente ao induzir o relaxamento do músculo endotelial. Atualmente, sabe-se
que o resveratrol atua ainda na prevenção de diversas doenças como o câncer e
doenças neurodegenerativas (PERVAIZ ET AL., 2003).
Figura 3. Estrutura química do resveratrol.
1.1.2.3. Cumarinas
As cumarinas, especialmente as furanocumarinas, estão presentes em
plantas pertencentes às famílias Umbelliferae, Rutaceae, Moraceae e Leguminosae.
Apesar da sua função fisiológica nos vegetais ainda não estar completamente
definida, sabe-se que apresentam função importante ao proteger o vegetal contra
insetos e microrganismos. Em humanos, diversos estudos vêm demonstrando sua
alta capacidade de modular enzimas do citocromo P450. Alimentos-fonte, como a
toranja, por exemplo, teve a sua ingestão associada à alteração do metabolismo
de diversos medicamentos (GUO, YAMAZOE, 2004).
Revisão Bibliográfica
10
1.1.2.4. Lignanas
A principal fonte alimentar deste polifenol é a semente de linhaça (Linum
usitatissimum L.) e o seu óleo, e, atualmente, foram identificadas quantidades
pequenas deste grupo de polifenóis em outros alimentos, tais como gergelim, broto
de alfafa, lentilha, trigo, alho, entre outros. No entanto, o conteúdo de lignanas na
linhaça chega a ser até 1000 vezes maior que nos demais alimentos. Uma vez
ingeridas, as lignanas presentes na linhaça formando os metabólitos enterodiol e
enterolactona através da ação da microflora. Além da ação antioxidante, as lignanas
possuem também ação estrogênio-símile. Em função de sua estrutura semelhante
ao do hormônio endógeno feminino, estes compostos fenólicos podem atuar como
competidores do estrogênio na sua ligação aos receptores presentes nos tecidos
(DIXON, 2004).
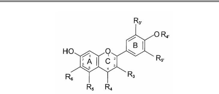
1.1.2.5. Flavonóides
Como mencionado anteriormente, os flavonóides constituem o maior grupo
dentre os polifenóis, não somente pelo número de compostos identificados como
também por estarem largamente distribuídos na alimentação. Além disso, os
flavonóides são encontrados em quantidades significativas nos alimentos,
constituindo a principal classe de compostos fenólicos na dieta humana
(MIDDLETON, 1998). Sua estrutura química é caracterizada pela presença de três
anéis aromáticos, de baixo peso molecular, interligados associados à, no mínimo,
uma hidroxila (figura 4). A classificação dos flavonóides pode ser realizada
subdividindo-os em seis grupos de acordo com a sua capacidade de oxidação,
flavonas, flavonóis, flavanonas, flavanóis, antocianidinas e isoflavonas (ROSS,
KASUM, 2002).
Revisão Bibliográfica
11
Figura 4. Estrutura química básica dos flavonóides
A distribuição dos flavonóides pode ser restrita a alguns tipos de alimentos,
como as isoflavonas, presentes na soja e algumas leguminosas, e as flavanonas
típicas de frutas cítricas. Outros flavonóides, por outro lado, apresentam distribuição
mais abrangente, englobando diversos grupos alimentares, como ocorre com os
flavonóis (ROSS, KASUM, 2002) (figura 5).
Os flavonóis são considerados os flavonóides mais abundantes em alimentos,
tendo como principais representantes a quercetina e o campeferol, freqüentemente
encontrados glicosilados a moléculas de glicose ou raminose. As principais fontes
alimentares de flavonóis incluem a cebola, maçã, couve, alho-poró, brócolis e chá
preto, por exemplo, (ROBBINS ET AL., 2006).
12
Figura 5 - Estrutura das Principais Classes de Flavonóides, Compostos Bioativos e Fontes Alimentares. Adaptado de Roos e Kasum, 2002.
Flavonas
(exemplos: apigenina,
luteolina, diosmetina)
Principais Fontes:
Salsinha, tomilho, aipo
pimentão vermelho
Flavonóis
(exemplos: quercetina,
miricetina, campeferol)
Principais Fontes:
Cebola, couve, brócolis,
maçã, cereja, erva-doce,
chás
Flavanonas
(exemplos: naringenina,
hesperidina)
Principais Fontes:
Frutas cítricas e ameixas
Flavanóis
(exemplos: catequina,
epicatequina, galato de catequina)
Principais Fontes:
Chás, maçã, cacau
Antocianidinas
(exemplos: pelargonidina,
malvidina, cianidina)
Principais Fontes:
Cerejas e uvas
Isoflavonas
(exemplos: genisteína,
daidzeína)
Principais Fontes:
Soja e leguminosas
Revisão Bibliográfica
13
Em relação à biodisponibilidade dos flavonóis, Hollman et al. (1995)
demonstraram que a absorção da quercetina ocorre preferencialmente sob a forma
glicosídica em relação à aglicona. O tempo e o ritmo de absorção, no entanto,
variam de acordo com o tipo de ramificação, tendo os glicosídeos de ramnose
absorção mais lenta. No plasma, 20% a 40% da quercetina é encontrada conjugada
a grupamentos metil. A quercetina apresenta uma meia vida de 11 a 28 horas, o que
sugere extensa circulação entero-hepática, o que não ocorre para todos os
polifenóis (WILLIAMSON; MANACH, 2005).
As flavonas são pouco consumidas pela população, sendo constituídas
principalmente, por glicosídeos de luteolina e apigeína, e encontradas em aipo,
salsinha, trigo e na casca de algumas frutas cítricas (SARTELET ET AL., 1996).
As isoflavonas têm como principal alimento fonte a soja e seus derivados,
sendo um dos polifenóis mais estudados em relação à biodisponibilidade. Os
principais compostos que constituem este grupo são a daidzeína e a genisteína, as
quais foram atribuídas atividade estrogênio-símile desde a década de 50 (CHENG
ET AL., 1953; 1954). A ão da microflora colônica sobre as isoflavonas gera como
principal metabólito a substância equol, cuja atividade estrogênica é considerada
mais potente do que das isoflavonas precursoras. A produção desta substância é
favorecida quando a forma aglicona da daidzeína, daidzina, está presente no
alimento consumido. Dados da literatura demonstram que a capacidade de produção
de equol é interindividual, sugerindo que apenas 30% a 40% da população ocidental
teria esta capacidade bem desenvolvida. Os fatores que influem na capacidade de
produção de equol ainda não estão completamente esclarecidos. Sabe-se,
entretanto, que um fator genético associado a hábitos alimentares e a
composição da flora intestinal (ATKINSON; FRANKENFELD; LAMPE, 2005).
Revisão Bibliográfica
14
As flavanonas, representadas por hesperidina, naringenina, narirutina, entre
outros, estão presentes especialmente em frutas cítricas, como laranjas e
tangerinas, e também no tomate. Possuem um processo de hidrólise lento, de
aproximadamente 5 horas, aa transformação da forma glicosídica em aglicona,
para posterior absorção no cólon. Após degradação pela flora bacteriana, as
flavanonas geram substâncias como ácido p-hidroxifenilpropiônico, p-cumarínico, p-
hidroxibenzóico e ácido fenilpropiônico. A excreção urinária ocorre em torno de 8,6%
e 8,8% do total ingerido para naringenina e hesperidina, respectivamente (GRAF;
MILBURY; BLUMBERG, 2005).
Os flavanóis, tendo como uma das principais constituintes a catequina, podem
ser encontrados principalmente nos chás verde e preto, além do chocolate e vinho
tinto. Outros compostos, além da catequina, extensamente estudados são as
epigalocatequinas, galato de epigalocatequina e galato de epicatequina. Atualmente,
estudos sugerem que a epigalocatequina seria o único polifenol a exercer sua
atividade biológica como substância não conjugada, uma vez que se estima que
77% a 90% do total plsmático esteja sob a forma livre (FENG ET AL., 2006). Os
metabólitos microbianos gerados a partir das catequinas apresentam importante
ação local, além de constituir um mecanismo importante para manutenção dos
níveis circulatórios elevados (KARAKAYA ET AL., 2004).
As antocianidinas incluem dois principais grupos de moléculas, as
proantocianinas ou taninos condensados, e as antocianinas. Proantocianinas são
encontradas como polímeros, que podem variar entre 2 e 11 unidades. São
responsáveis pelo sabor adstringente que alguns alimentos, como cacau, maçã,
pêra e uva, podem apresentar. As formas poliméricas não são assim absorvidas, e
mesmo dímeros apresentam redução de 100 vezes na absorção em relação aos
Revisão Bibliográfica
15
monômeros. Porém, muitos efeitos biológicos associados as proantocianidinas são
localizados no trato digestório, protegendo a mucosa de danos oxidativos e
carcinógenos, de forma a não depender da ocorrência de hidrólise e absorção
(PRIOR; GU, 2005).
As antocianinas são pigmentos que conferem coloração característica
acerola, açaí, cerejas, ameixas, morangos, amoras, uvas e vinhos. Estudo
demonstrou uma possível absorção de antocianinas ainda no estômago, uma vez
que a ingestão de concentrações entre 150mg e 2000mg resultou na detecção
plasmática após apenas 1,5 horas. Além disso, as antocianinas parecem apresentar
baixa excreção urinária e pouca influência microflora intestinal, uma vez que a maior
parte dos glicosídeos encontrados na circulação apresentavam estruturas iguais aos
compostos originais (McGHIE; WALTON, 2007).
1.2. COMPOSTOS FENÓLICOS EM ALIMENTOS VEGETAIS
1.2.1. Síntese e Localização Celular
Os compostos fenólicos são sintetizados durante o processo de
desenvolvimento do tecido vegetal, tendo a quantidade produzida modulada por
estímulos internos e externos sofridos pelo vegetal. Como estímulo interno podemos
citar fitohormônios, como o ácido salicílico e o ácido abscícico, e, como estímulo
externo, injúrias, tanto físicas quanto microbiológicas (PRICE ET AL., 1995).
Inicialmente, os polifenóis foram caracterizados simplesmente como
compostos que conferiam, ou não, pigmentação. Porém, posteriormente verificou-se
que, além de conferir coloração, os polifenóis exerciam diversas funções, dentre elas
Revisão Bibliográfica
16
sinalização hormonal e para polinização, facilitador da formação do tubo de pólen,
protetor contra raios UV, fitoalexina, alelopatia, entre outros (TAYLOR;
GROTEWOLD, 2005).
A síntese dos polifenóis ocorre a partir do metabolismo primário dos
carboidratos que, ao entrarem na via do ácido chiquímico, podem ser desviados
para o metabolismo secundário ou continuarem no metabolismo primário. Através da
via do chiquimato, uma rie de reações químicas leva à síntese de fenilalanina, a
qual pode ser utilizada para a síntese de proteínas ou de metabólitos secundários,
tais como os polifenóis. Conforme pode ser observado na figura 6, a fenilalanina,
sob a ação da enzima fenilalanina amônia liase (FAL), forma o primeiro ácido
fenólico; de forma que a FAL é considerada enzima chave entre os metabolismos
primário (via do ácido chiquímico) e secundário (fenilpropanóides) (RITTER,
SCHULTZ, 2004).
A via dos fenilpropanóides e a atividade da FAL estão diretamente
relacionadas ao sistema de defesa do vegetal, acionado a partir de estímulos de
estresse, sejam bióticos ou abióticos. Sabe-se que composição dos solos,
disponibilidade de nutrientes, situações de estresse, dentre outros fatores podem
interferir no metabolismo de polifenóis de vegetais (DIXON; PAIVA, 1995) (Figura 7).
A distribuição dos compostos fenólicos nos diferentes tecidos vegetais
apresenta diferenças qualitativas e quantitativas. Os polifenóis são encontrados
principalmente em vacúolos, sendo a grande maioria sintetizada em cloroplastos,
estando principalmente nas formas glicosiladas, mais hidrosolúveis. Apenas
pequenas frações são observadas no espaço livre, não estando clara a sua
presença no citoplasma
(KEFELI; KALERVITCH; BORSANI, 2003).
Revisão Bibliográfica
17
Figura 6. Integração entre Metabolismos Primário (carboidratos) e Secundário
(fenilpropanóides)
Algumas teorias sugerem uma explicação para a compartimentalização dos
polifenóis em vacúolo. A primeira propõe que os polifenóis seriam substâncias
remanescentes do processo evolutivo vegetal, compostos que foram essenciais,
porém não são mais primordiais ao desenvolvimento da planta, ficando estocados
no interior de organelas. Outra teoria argumenta que a estocagem destes compostos
em vacúolos se pela possível toxicidade destes compostos para a célula, sendo
mantidos sem contato com o citoplasma. No entanto, esta segunda hipótese
encontra exceções, como a lignina ou outras moléculas mais simples que se
associam a carboidratos da parede celular (ésteres de ácido ferúlico, por exemplo).
Os compostos solúveis normalmente são encontrados na epiderme e subepiderme,
e em menor quantidade, no mesocarpo (BECKMAN ET AL, 2000).
Carboidrato
s
Dihidrochiquimico
Chiquimato
Chiquimato-3-
fosfato
Fenilalanina
Glicosinolato
FAL
Ácido 4 Cumárico
Malonil
CoA
Estilbeno
s
Ác. Clorogênico
Lignina
Isoflavona
s
Flavanona
s
Ac. Cinâmico
Revisão Bibliográfica
18
Figura 7. Diferentes Situações de Estresse e Aumento da Síntese de Alguns
Fitoquímicos (adaptado de Dixon & Paiva, 1995).
Além da compartimentalização, a estocagem de polifenóis na forma
glicosídica, também é um mecanismo de defesa contra sua toxicidade, uma vez que
não são tóxicos ao protoplasma vegetal quando glicosilados. A própria planta
apresenta glicosidases, mantidas em compartimento celular diferente do substrato,
mantendo o controle sobre a produção de estresse e toxicidade no meio celular. O
acúmulo de glicosidases freqüentemente se próximo ao local de utilização da
futura forma aglicona, como no caso de glicosidases presentes no apoplasto,
associadas à lignificação. Alguns tecidos, como o xilema de raízes de algumas
espécies, apresentam grande concentração de vacúolos com polifenóis, justamente
para rápida participação no processo de lignificação (MUELLER; BECKMAN, 1974,
1976).
Revisão Bibliográfica
19
A liberação de compostos fenólicos dos vacúolos é normalmente estimulada
pelo contato com microrganismos patogênicos ou após alguma injúria tecidual. Estes
então se difundem na célula, onde são oxidados e polimerizados entre si e com
outros componentes, como proteínas e carboidratos da parede celular, formando
estruturas lignificadas estáveis. Dessa forma, o processo de lignificação está
relacionado com a função protetora dos polifenóis, capazes de bloquearem locais de
infecção e gerar substâncias tóxicas para os microrganismos (BECKMAN;
MUELLER; MACE, 1974).
1.2.2. Efeitos Fisiológicos dos Compostos Fenólicos
O conceito de que os compostos fenólicos presentes nos alimentos vegetais
eram capazes de exercer efeito antioxidante iniciou-se em 1937, quando Szent-
Györgyi, ganhador do prêmio Nobel, demonstrou que o flavonóide hesperidina se
comportava de maneira semelhante ao ascorbato ao manter a permeabilidade
capilar (BENTSÁTH, RUSZNYÁK, SZENT-GYÖRGYI, 1937). Além do efeito
antioxidante descrito na literatura, efeitos pró-oxidantes e citotóxicos também vêm
sendo relatados (YAMANAKA, ODA, NAGAO, 1997; SUGIHARA ET AL., 1999). Este
caráter pró ou antioxidante dos polifenóis é dependente de diversos parâmetros,
como potencial de reduzir metais, ação quelante, pH e solubilidade dos compostos
(DECKER, 1997).
A ação antioxidante protetora ocorre precocemente, ainda durante o próprio
metabolismo da planta. Os compostos fenólicos são capazes de equilibrar a geração
de espécies reativas de oxigênio (EROs) durante o transporte de elétrons, na cadeia
Revisão Bibliográfica
20
respiratória, mecanismo que ocorre naturalmente durante o processo fotossintético,
assim como das EROs formadas em situações específicas de estresse
(HALLIWELL, GUTTERIDGE, 1985).
Durante a fotossíntese, o primeiro radical livre gerado é o radical superóxido,
transformado em peróxido de hidrogênio pela ação da superóxido dismutase (SOD).
Apesar de pouco reativo e danoso, o peróxido de hidrogênio pode gerar radical
hidroxil em presença de metais de transição, que são extremamente reativos e
perigosos para a homestase da planta (GRASSMANN, HIPPELI, ELSTNER, 2002).
Normalmente, os subprodutos do peróxido de hidrogênio formados no
transporte de elétrons fotossintéticos são detoxificados a água, ainda no cloroplasto,
pelo ciclo ascorbato-glutationa (FOYER, 1993). No entanto, em condições severas
de estresse, a capacidade de seqüestro de radicais do cloroplasto pode ser
excedida, à medida que o pool de ascorbato nos plastídeos se torna oxidado
(GRACE, LOGAN, 2000). Neste momento, os polifenóis atuam como antioxidantes,
dando suporte ao sistema de detoxificação dependente de ascorbato, agindo como
um sistema de defesa secundário, sendo oxidados a radicais fenoxil e evitando
assim danos oxidativos (SAKIHAMA ET AL., 2002).
Além do combate às EROs, a oxidação dos polifenóis pode ocorrer
propositalmente, levando a formação de outras substâncias de defesa. Takahama e
Hirota (2000) demonstraram que as camadas mais externas de cebola apresentam
uma maior proporção de polifenóis oxidados capazes de agir na defesa contra o
ataque de fungos. Esta oxidação e geração de radicais fenoxil podem ainda atuar
como sinalização para o início de reações cruzadas com diferentes moléculas e
componentes estruturais, como no processo de lignificação (COHEN, SAKIHAMA,
Revisão Bibliográfica
21
YAMASAKI, 2001). Dessa forma, os polifenóis apresentam função dupla no
metabolismo e fisiologia vegetal. Normalmente, quando em baixas concentrações,
atuam como antioxidantes. Porém, quando presentes em concentrações mais
elevadas ou sob ataque de patógenos, por exemplo, são capazes de atuar como
substratos para enzimas, como peroxidases e oxiredutases, agindo como substrato
para reações pró-oxidativas (POURCEL ET AL., 2007).
Assim como nas plantas, o potencial antioxidante é o principal fator atribuído
aos efeitos biológicos observados em humanos a partir do consumo de compostos
fenólicos. Danos causados por radicais livres em células e biomoléculas, como
lipídeos, proteínas e DNA, são considerados como uma das principais causas do
desenvolvimento de doenças. A produção de radicais livres também ocorre
normalmente em humanos, decorrente do metabolismo oxidativo e da respiração
celular. Além disso, outros compostos radicalares podem ser introduzidos no
organismo na forma pré-formada, através do fumo de cigarros ou pelo consumo de
alimentos fritos ou defumados, como hidrocarbonetos, acroleína e aminas
aromáticas policíclicas. Quando esta exposição se torna excessiva e superior a
capacidade de defesa, pode-se gerar o quadro de estresse oxidativo
(DEVASAGAYAM ET AL., 2004).
Ao mesmo tempo em que o organismo é responsável pela geração de parte
dos radicais livres, ele possui um sistema de defesa inato composto por enzimas
antioxidantes como, por exemplo, glutationa peroxidase (GSH), superóxido
dismutase (SOD), catalase (CAT), que procura manter o equilíbrio entre espécies
oxidativas e compostos antioxidantes. Além do mecanismo endógeno de defesa,
uma série de outros compostos exógenos, obtidos principalmente através da dieta,
exerce função protetora contra o estresse oxidativo (ARUOMA, 2003).
Revisão Bibliográfica
22
Os efeitos benéficos do consumo de frutas e hortaliças estão justamente
pautados na composição química destes alimentos que, além de fibras, contêm
diversas substâncias com ação antioxidante, como ácido ascórbico, carotenóides,
tocoferol e compostos bioativos, tais como os compostos fenólicos. Dessa forma,
evidências demonstram papel importante dos compostos fenólicos na prevenção de
diversas doenças associadas ao estresse oxidativo, como Doença de Parkinson,
Alzheimer, câncer e doenças cardiovasculares (SCALBERT ET AL., 2005).
Estudos recentes têm demonstrado, no entanto, outras ações dos polifenóis
não relacionadas ao mecanismo antioxidante, como, por exemplo, a modulação de
enzimas chaves do metabolismo de mamíferos, como quinases, fosfolipases,
ATPases, lipooxigenases e ciclooxigenases, adenilato ciclase, óxido nítrico sintase,
citocromo P450 redutase, amilase, dentre outras (SCALBERT, JOHNSON,
SALTMARSH, 2005).
A grande variedade e complexidade de compostos fenólicos presentes nos
alimentos, assim como as diversas modificações ocorridas nas moléculas após sua
ingestão, dificultam identificação plasmática e condução de estudos epidemiológicos
e in vivo. Além disso, a presença de estruturas agliconas e glicosídicas na matriz
alimentar, além de algumas substâncias associadas a estruturas celulares, pode
levar inclusive à subestimação de seu conteúdo nos alimentos. Estudos
demonstraram que o uso de soluções hidro-alcóolicas leva à extração parcial de
polifenóis, especialmente lignanas, taninos hidrolisáveis, ácidos fenólicos e outras
substâncias associadas à parede celular, sendo necessária a acidificação do meio
para aumentar a hidrólise e, conseqüentemente, a extração destes polifenóis
(PÉREZ-JIMÉNEZ, SAURA-CALIXTO, 2005).
Revisão Bibliográfica
23
1.2.3. Processamento de Alimentos Sobre o Conteúdo de Polifenóis
Os polifenóis, em especial os flavonóides, apresentam certa resistência à
exposição ao calor, enquanto que o oxigênio e a acidez podem alterar
significativamente estes compostos durante o processamento e a cocção de
alimentos (CROZIER ET AL., 1997). Dewanto et al. (2002) avaliaram o efeito do
tratamento térmico em milhos. Como esperado, o estudo demonstrou perda de
vitamina C durante o aquecimento, uma vez que esta vitamina é termolábil. No
entanto, os teores de fenólicos livres aumentaram conforme o aumento da
temperatura, alcançando níveis até 48% superiores ao milho cru. Em contrapartida,
o conteúdo de polifenóis glicosilados sofreu redução significativa, com o aumento da
temperatura e do tempo de aquecimento, sugerindo um que o tratamento térmico
pode levar à ruptura de ligações químicas aumentando os níveis de polifenóis
deglicosilados.
Na desidratação, processo pelo qual o alimento é submetido ao calor seco,
normalmente ocorre concentração de macronutrientes em função da perda de água
pelo alimento. A estabilidade dos polifenóis frente ao calor seco foi avaliada durante
o processo de desidratação de ameixas. Embora o tratamento tenha resultado em
perdas no teor de ácido clorogênico, ácido neoclorogênico, antocianinas e flavonóis
totais, houve um aumento da capacidade antioxidante. Este aumento foi atribuído
não somente à redução do teor de umidade da fruta como também a formação de
produtos oriundos da reação de Maillard (PIGA ET AL., 2003).
O processamento doméstico de alimentos, especialmente hortaliças, inclui
ainda pré-preparo previamente à exposição térmica. Acredita-se que a principal
perda no teor de polifenóis ocorra ainda no pré-preparo, quando freqüentemente os
alimentos são descascados e/ou são inutilizadas frações ricas nestes fitoquímicos,
Revisão Bibliográfica
24
como folhas e talos (AHERNE; O’BRIEN, 2002). O método de cocção adequado tem
sido considerado um importante fator na manutenção do conteúdo de polifenóis.
Makris & Rossiter (2001), em estudo realizado com cebolas e aspargos frescos,
observaram alterações no conteúdo de flavonóis e na capacidade antioxidante
durante procedimentos comuns de pré-preparo e cocção dos alimentos. Apesar do
estudo ter utilizado um tempo de cocção bastante superior ao utilizado na prática
doméstica (60 minutos), as perdas de rutina chegaram a 80% nos aspargos. O teor
de quercetina, no entanto, pouco variou na cebola, sugerindo efeitos diferentes da
cocção de acordo com a substância presente no alimento.
A cocção pode exercer efeito negativo sobre o conteúdo de polifenóis não
somente através de perdas de compostos fenólicos para o meio de cocção, como,
também, pela diluição de nutrientes, caso o alimento absorva quantidades
significativas de líquido do meio (LOMBARD ET AL., 2005). Dessa forma, a cocção
em água seria o método menos indicado para cocção de hortaliças, inclusive por
levar a perda de vitaminas hidrossolúveis como ácido ascórbico e do complexo B.
No entanto, o efeito da cocção sobre o conteúdo de polifenóis e capacidade
antioxidante tem se mostrado bastante variável de acordo com o tipo de alimento e
procedimento aplicado, sendo alguns mais sensíveis que outros (ISMAIL; MARJAN,
FOONG, 2004; TURKMEN ET AL., 2005; SULTANA; ANWAR; IQBAL, 2007). O uso
correto da técnica dietética, utilizando-se o mínimo de água, binômio tempo/
temperatura baixo e sempre que possível o aproveitamento da água de cocção, são
portanto essenciais para melhor aproveitamento dos compostos fenólicos. A
quantificação de polifenóis em alimentos coccionados, por sua vez, é essencial
que a análise de alimentos crus pode não corresponder ao valor realmente
consumido pela população (ANDLAUER ET AL., 2003).
Revisão Bibliográfica
25
1.3. MÉTODOS DE AVALIAÇÃO DO CONTEÚDO DE COMPOSTOS
FENÓLICOS E CAPACIDADE ANTIOXIDANTE EM ALIMENTOS
Os métodos para a extração de compostos fenólicos variam de acordo com o
protocolo utilizado na pesquisa, variando em função do tipo de amostra que será
analisada, alimento sólido ou líquido, com alto ou baixo teor de gordura,
suplementos nutricionais, extratos vegetais, assim por diante. No entanto, alguns
procedimentos básicos são comuns, incluindo algum processo de maceração, corte
ou extração de sucos vegetais - obtendo maior liberação dos polifenóis dos
compartimentos celulares dos vegetais - adição de diferentes solventes orgânicos,
aquecimento e, freqüentemente acidificação do meio para obter hidrólise compostos
fenólicos glicosilados. Os solventes mais utilizados para as soluções hidro-alcóolicas
de extração são o metanol e a acetona, podendo também ser utilizado etanol. A
proporção destes solventes podem variar de 50% a 80% (YLMAZ; TOLEDO, 2006).
Na literatura, o método de determinação de polifenóis mais comumente
utilizado é o colorimétrico, através de espectrofotometria, estimando a quantidade de
“polifenóis totais”, como normalmente são denominados. A qualificação e
quantificação das substâncias específicas presentes numa amostra requerem, no
entanto, análise mais elaborada, realizada normalmente através de cromatografia
líquida de alta eficiência (CLAE). O método espectrofotômetro, desenvolvido por
Singleton e Rossi (1965) é realizado utilizando o reagente Folin-Ciocalteu. Este
reagente é composto por dois ácidos, fosfotungestênico (H
3
PW
12
O
40
) e
fosfomolibdêmico (H
3
PMo
12
O
40
). A mistura destes dois ácidos, ao entrar em contato
com substâncias capazes doar hidrogênios, são reduzidas a óxidos de tungstênio
(W
8
O
23
) e molibdênio (Mo
8
O
23
), que possuem coloração azul. Esta reação
Revisão Bibliográfica
26
colorimétrica ocorre preferencialmente em meio alcalino, sendo normalmente
utilizada solução de carbonato de sódio para tal alcalinização. A leitura em
espectrofotômetro pode ser realizada em absorbâncias que variam entre 700nm e
795nm. O padrão utilizado para quantificação de polifenóis totais varia de acordo
com o protocolo em questão, no entanto, são utilizados com freqüência ácido gálico,
ácido clorogênico, catequina, ácido tânico e rutina (HUANG, OU, PRIOR, 2005).
As principais vantagens do uso do reagente de Folin-Ciocalteu são a rapidez
e praticidade na leitura das amostras, assim como o baixo custo, tanto em relação
aos reagentes como em função da utilização de espectrofotômetro, equipamento
comum em laboratórios também utilizado para dosagens de proteínas e de ferro, por
exemplo. Porém, este método possui a desvantagem da transferência de elétrons
não ser específica para os compostos fenólicos podendo ter reação e sofrer
interferência de outras substâncias presentes na amostra. Componentes com a
capacidade de se oxidar podem intensificar a cor da amostra interferindo na leitura
do espectrofotômetro e superestimando a dosagem.
As principais substâncias interferentes, em ordem de importância, são ácido
ascórbico, açúcares redutores e alguns aminoácidos, variando o grau de importância
de acordo com a natureza e composição química da amostra. Quando significativa
esta interferência pode ser computada e posteriormente deduzida da quantificação
dos polifenóis. No entanto, o método utilizado para a extração de polifenóis do
alimento pode eliminar em a 85% o teor destas substâncias, reduzindo
significativamente o grau de interferência na sua quantificação (AINSWORTH,
GILLESPIE, 2007).
Apesar da existência de diferentes todos para a análise da capacidade
antioxidante em alimentos, não há um consenso sobre o método padrão a ser
Revisão Bibliográfica
27
utilizado. Alguns dos principais métodos utilizados para avaliação da capacidade
antioxidante incluem ORAC, TRAP, TOSC, CUPRAC, oxidação do LDL, sistema
beta-caroteno, FRAP, TEAC e DPPH. Cada método apresenta um mecanismo de
reação diferente podendo ser a partir da transferência de elétrons, da transferência
de átomos de hidrogênio ou de mecanismos mistos, que envolvem os dois citados.
Apesar das diferenças em termos de especificidade e precisão, todos mais
rápidos, baratos e simples, como o DPPH, são os mais utilizados na análise de
alimentos.
A revisão referente a esta parte da dissertação pode ser visualizada no
manuscrito, a ser submetido ao periódico “Química Nova”, que se encontra no anexo
C (página 163).
1.4. VITAMINA C EM ALIMENTOS VEGETAIS
O ácido ascórbico é o principal antioxidante das plantas, presente em
diferentes compartimentos celulares em concentrações que variam de 300mM, em
cloroplastos do estroma, a menos de 20mM em outros tecidos (VALPUESTA,
BOTELLA, 2004). O ascorbato pode ser oxidado por oxigênio, radicais superóxido,
peróxido de hidrogênio e oxigênio singleto, formando monodehidroascorbato que,
por ter alta instabilidade, rapidamente se decompõe em ácido ascórbico (AA) e ácido
dehidroascórbico (DHA). A oxidação mediada pela enzima ascorbato peroxidase
(APX) apresenta função importante, sendo a principal responsável por detoxificar o
peróxido de hidrogênio formado durante o processo de respiração celular
(SMIRNOFF, 2000).
A importância da vitamina C na manutenção do estado redox se dá em
especial no apoplasto, onde outras substâncias antioxidantes, como a glutationa,
Revisão Bibliográfica
28
estão ausentes ou em baixas concentrações. Além da capacidade antioxidante, o
ácido ascórbico atua como cofator de enzimas, regula o crescimento e a divisão
celular e atua na sinalização celular. A APX está presente em diferentes
compartimentos celulares na forma de isoformas, sendo, junto ao ácido ascórbico, a
principal responsável pela manutenção do estado redox (NOCTON, FOYER, 1998).
O papel protetor da vitamina C em plantas ficou evidenciado quando se
demonstrou a sensibilidade de mutantes Arabidopsis deficientes em ascorbato a
diferentes estresses, como radiação UV-B e exposição ao ozônio (PIGNOCCHI,
FOYER, 2003). No entanto, baixas concentrações ou oxidação aumentada de
vitamina C poderiam induzir a planta a aumentar a síntese de outros compostos com
ação antioxidante. Esta hipótese sugere uma inter-relação do conteúdo de AA com a
modulação da síntese de compostos fenólicos em plantas submetidas a situações
de estresse (REYS, VILLAREAL, CISNEROS-ZEVALLOS, 2007).
1.5. AGRICULTURA ORGÂNICA
A agricultura orgânica se refere ao processo produtivo, industrial ou agrícola,
que utiliza tecnologias que otimizam o uso de recursos naturais e sócio-econômicos,
com objetivo de alcançar auto-sustentabilidade, maximizar benefícios sociais,
minimizar a dependência por energia o-renovável, e ao não utilizar agroquímicos,
produtos tóxicos sintéticos, organismos geneticamente modificados, radiação
ionizante em nenhum momento da cadeia produtiva - produção, armazenamento e
consumo - privilegia a saúde humana e do meio ambiente e assegura a
transparência em todas etapas dos processos de produção e transformação (FAO,
1999). O alimento ou produto orgânico, para ser assim declarado para fins de
Revisão Bibliográfica
29
comercialização, deve obrigatoriamente conter estes princípios em todas as etapas
cadeia produtiva.
Legalmente, o primeiro regulamento direcionado à agricultura orgânica,
desenvolvido pelo Ministério da Agricultura, Pecuária e Abastecimento (MAPA), foi a
Instrução Normativa nº 7 de maio de 1999 (MAPA, 1999) onde foram estabelecidos
regulamentos técnicos de produção orgânica. Esta Instrução Normativa dispõe
detalhadamente sobre as normas de produção, tipificação, processamento, envase,
distribuição, identificação e certificação da qualidade para os produtos orgânicos de
origem vegetal e animal no Brasil.
Posteriormente, esta instrução normativa foi alterada pela Lei 10.831, de 23
de dezembro de 2003. Esta lei foi considerada o principal marco legal da agricultura
orgânica, onde se estabeleceram procedimentos importantes da comercialização,
tais como a certificação facultativa para venda direta (produtor-consumidor) e o
reconhecimento de todos os tipos de certificação (CASA CIVIL, 2003). Atualmente,
está vigente a Instrução Normativa 16, de 11 de junho de 2004, a qual estabelece
tais procedimentos de registro e comercialização de produtos orgânicos enquanto os
trabalhos de regulamentação da Lei 10.831 ainda não estão concluídos (MAPA,
2004).
A certificação de um produto orgânico é concedida àquelas empresas que
comprovam que sua cadeia produtiva se enquadra em todos os padrões
estabelecidos. No mundo existem diversas agências certificadoras, podendo ter
pequenas diferenças nas regulamentações de acordo com o país. Algumas destas
empresas podem ainda ter respaldo da International Federation of Organic
Agricultural Movements (IFOAM), se operarem de acordo com os padrões
Revisão Bibliográfica
30
internacionais estabelecidos pela IFOAM Basic Standards. No Brasil, as entidades
certificadoras são pessoas jurídicas sem fins lucrativos, que apresentam
credenciamento junto aos Órgãos Colegiados, Nacional e Estadual, criados a partir
da Instrução Normativa n°7, citada acima. São exemp los de empresas certificadoras
a AAOCert, Abio, IBD, ECOCERT, Coolméia, dentre outras (FONSECA, 2001).
1.5.1. Panorama Brasileiro da Agricultura Orgânica
O mercado de alimentos orgânicos apresenta o maior crescimento do setor
alimentício nos últimos anos. O Brasil, em 2005, se tornou o segundo país em área
de produção agrícola orgânica do mundo, com 6,5milhões de hectares, após a
inclusão de áreas de extrativismo sustentável. Esta forma específica de cultivo
representa, 5,7 milhões de hectares do total contabilizado pelo MAPA, estando
concentrada principalmente na região amazônica, em produções de castanha, açaí,
pupunha, dentre outras espécies. O Brasil conta ainda com aproximadamente 20 mil
produtores certificados, a maioria agricultores familiares, que ocupam uma área de
900 mil hectares de terras plantadas. A distribuição desta área se
prioritariamente na região Sul do país, (68%), seguida pelo Nordeste (13%) e o
Sudeste (10%) (SEBRAE, 2005).
Atualmente, cerca de 75% da produção nacional de orgânicos é exportada,
sendo os principais mercados consumidores a Europa (principalmente Alemanha e
Holanda), os Estados Unidos e o Japão. Os produtos mais visados para este fim
incluem soja, açúcar branco e açúcar mascavo, café, sucos cítricos, mel, arroz,
frutas como manga, banana, melão e mamão papaya; porém soja, café e açúcar
lideram as exportações. No mercado interno, os produtos mais comumente
Revisão Bibliográfica
31
consumidos são as hortaliças, seguidos por café, açúcar, sucos e cereais (DIAS,
2006).
Em função do evidente aumento na produção e comercialização de orgânicos,
muitos pesquisadores têm se interessado em identificar o principal motivo da
aquisição de um produto orgânico pelo consumidor, o que estaria diretamente
relacionado com o aumento da demanda por tais alimentos. Estudos realizados até
o momento revelam diferenças no motivo de escolha do produto orgânico tanto entre
países como entre grupos sociais e faixas etárias. Nos Estados Unidos, as principais
características atribuídas ao produto orgânico para sua aquisição são: segurança,
frescor, benefícios gerais a saúde, valor nutricional, efeito no meio ambiente, sabor e
método de produção em geral (BEBARREL, MAC FIE, 1991). Outro aspecto,
observado por Schifferstein & Ou de Ophnis (1998) na Holanda, foi que a principal
motivação para a aquisição de produtos orgânicos pelos consumidores não usuais
era a manutenção da saúde, enquanto que para os consumidores usuais era a
manutenção do ecossistema saudável.
1.5.2. Qualidade do Alimento Orgânico
O conceito de que os alimentos cultivados sob agricultura orgânica trazem
benefícios para saúde e/ou são mais nutritivos vem sendo avaliado sob diferentes
aspectos. A ausência do uso de agroquímicos, a carga residual de agentes
químicos, o teor de nitrato e a contaminação microbiológica são alguns aspectos
considerados. Adicionalmente, estudos avaliando a composição de macro e
micronutrientes, assim como de compostos bioativos nesse grupo de alimentos vêm
aumentando.
Revisão Bibliográfica
32
A principal característica que é ressaltada sobre a agricultura orgânica é a
ausência de pesticidas, observado inclusive pelo Whole Foods Market em 2005
como a principal resposta dada por 70% dos entrevistados na pesquisa (WINTER,
DAVIS, 2006). Apesar de crucial e evidente, esta diferença na produção foi pouco
explorada cientificamente, tendo poucos estudos disponíveis na literatura avaliando
o teor de resíduos de pesticidas em alimentos orgânicos e convencionais. Baker et
al., (2002) realizou um dos estudos mais abrangente sobre o tema. A partir de três
bancos de dados sobre resíduos de pesticidas em alimentos, os autores
demonstraram que a ocorrência de pesticidas em alimentos orgânicos é realmente
menor que os alimentos cultivados por métodos convencionais. A probabilidade de
haver resíduo de pesticidas nos produtos convencionais foi de três a cinco vezes
maior. Outro estudo mais recente, realizado na Bélgica, obteve resultados
semelhantes ao demonstrar risco quatro vezes maior de se detectar pesticidas nos
alimentos convencionais do que nos orgânicos (PUSSEMIER ET AL., 2006).
A menor exposição a pesticidas é de extrema importância que diferentes
doenças vêm sendo associadas aos efeitos de agentes químicos utilizados na
agricultura, especialmente em crianças. O incentivo ao uso de alimentos
provenientes de agricultura orgânica na alimentação infantil, em especial nas
escolas, pode ser uma maneira eficiente de reduzir a exposição à pesticidas e,
ainda, estimular a produção orgânica. Estudo realizado em Boston, Estados Unidos,
demonstrou que crianças que receberam refeições produzidas com alimentos
orgânicos tiveram menor exposição a pesticidas organofosforados do que aquelas
que receberam alimentos provenientes de agricultura convencional (CURL,
FENSKE, ELGETHUN, 2003).
Revisão Bibliográfica
33
Ao mesmo tempo, a produção orgânica, por não utilizar defensivos químicos e
sim adubos biológicos, poderia levar a uma maior carga microbiológica, aumentando
os riscos de contaminação e infecção por microrganismos. Muitas empresas
certificadoras mantêm regras específicas para o uso de esterco e adubos biológicos
na agricultura orgânica, como por exemplo, o uso de tratamento térmico (a fim de
eliminar patógenos humanos como a Escherichia coli (E. coli)) e da sua aplicação no
mínimo 90 dias antes da colheita. Produtores orgânicos são ainda submetidos a
auditorias anuais pelas empresas certificadoras, de forma que o risco de
contaminação microbiológica na agricultura orgânica não seria maior do que na
convencional, onde também se utiliza adubo biológico, porém sem o mesmo controle
do tipo e forma de utilização (BOURN; PRESCOTT, 2002).
Um dos estudos mais abrangentes sobre os riscos de contaminação
microbiológica entre os dois tipos de agricultura foi realizado por Mukherjee et al.
(2004) que analisaram 476 produtos orgânicos e 129 convencionais da região de
Minnesota, nos Estados Unidos, verificando a contaminação por E. coli , Salmonella
e E. coli 0157:H7. A detecção de E. coli foi de 4,6% em produtos certificados
orgânicos e de 1,6% em convencionais, sendo a diferença não significativa.
Nenhuma amostra apresentou E. coli 0157:H7 e apenas duas amostras de produtos
orgânicos tiveram Salmonella detectada. Importante citar que nas amostras de
fazendas não certificadas, o nível de contaminação foi maior que os de fazendas
certificadas, o que reforça a eficácia do controle e supervisão das empresas
certificadoras sobre os métodos de produção, assim como a importância da
aquisição de produtos orgânicos com o selo certificador.
Revisão Bibliográfica
34
A comparação entre os teores de minerais em alimentos constitui uma das
formas mais simples de se avaliar as diferenças qualitativas de produtos orgânicos e
convencionais. A avaliação do teor de nitratos nos alimentos reside no potencial
carcinogênico desta substância no trato gastrointestinal e na sua possível
interferência no crescimento vegetal e na síntese de metabólitos secundários. O uso
de fertilizantes inorgânicos levaria ao fornecimento de nitrogênio na forma de nitrato
inorgânico e, de acordo com alguns estudos, esta forma permite maior e mais fácil
absorção e captação de nitrogênio pelas plantas em comparação com o nitrogênio
orgânico. O nitrogênio sendo mais biodisponível poderia induzir a um crescimento
mais acelerado e à formação de alimentos de volume maior (WOESE ET AL., 1997).
A aceleração do crescimento e obtenção de produtos de maior volume seria
favorável, comercialmente, para os produtores. No entanto, para o consumidor final,
poderia resultar em alimentos com menor teor de nutrientes, que é durante a
maturação que a maioria é sintetizada. Além disso, o aumento do volume do vegetal
poderia gerar diluição dos nutrientes. Woese et al. (1997) sugerem, ainda, que os
teores de nitrato podem interferir diretamente na síntese de metabólitos secundários
oriundos da via dos fenilpropanóides, por impedir a entrada da fenilalanina na via.
Por último, sugere-se ainda que os vegetais possam se desenvolver de formas
distintas de acordo com a razão entre carbono e nitrogênio disponíveis. O nitrogênio
mais biodisponível levaria ao maior fornecimento deste nutriente em relação ao
carbono, acarretando menor síntese de compostos bioativos com base carbônica,
como os compostos fenólicos (HAUKIOJA ET AL., 1998).
Considerando estas hipóteses, estudos vêm sendo realizados a fim de se
verificar possíveis diferenças na composição de compostos bioativos e capacidade
Revisão Bibliográfica
35
antioxidante de alimentos orgânicos e convencionais. Nestes trabalhos, diferentes
metodologias são aplicadas, incluindo a análise química de produtos orgânicos e
convencionais adquiridos no varejo, avaliação da composição nutricional de culturas
experimentais com diferentes tipos de fertilizantes, análise da composição química
de alimentos produzidos em fazendas orgânicas e convencionais, assim como a
avaliação do efeito do consumo de dietas com alimentos orgânicos em animais ou
humanos (BOURN; PRESCOTT, 2002).
A realização de estudos com variáveis bem controladas é extremamente
difícil, uma vez que requerem o uso de fazendas orgânicas e convencionais em
regiões próximas a fim de se beneficiarem do mesmo solo, exposição solar, volume
de precipitação, entre outros fatores. Além disso, mesmo eliminando-se as
diferenças entre a composição mineral dos solos, são ainda necessários cuidados
com a variedade genética, clima e umidade, irrigação, tipo de rotação de solo,
período de colheita, entre outros. Em contrapartida, este tipo de estudo apresenta
alto custo e longos períodos de realização. Estudos com variação do tipo de
fertilizantes em cultivos experimentais, são mais freqüentemente utilizados, por
serem mais baratos e rápidos de serem conduzidos. No entanto, não refletem
fidedignamente o cultivo de uma fazenda orgânica (BOURN; PRESCOTT, 2002).
Os estudos que avaliam a composição nutricional dos alimentos adquiridos
em varejo ou o consumo destes em animais e humanos, podem não determinar
diferenças específicas entre o cultivo e o manejo produtivo de cada agricultura.
Porém, traçam um perfil do efeito destes dois tipos de alimento sobre a saúde do
consumidor final, pois englobam as práticas realizadas nas fazendas, assim como o
Revisão Bibliográfica
36
processo produtivo de colheita e transporte ao momento da aquisição e consumo
(BOURN; PRESCOTT, 2002).
1.5.3. Polifenóis na Agricultura Orgânica
Alegações sobre benefícios do consumo de alimentos orgânicos em função
da composição nutricional mais favorável ainda são controversas. O uso de
diferentes agroquímicos no cultivo convencional pode influenciar as concentrações
de compostos secundários em plantas, tanto aumentando como os reduzindo
(DANIEL ET AL., 1999). O prejuízo da síntese dos polifenóis estaria pautado na
redução da fixação de carbono pelas plantas, reduzindo a proporção de carbono
direcionado para a síntese de compostos secundários. No entanto, foram
demonstrados tanto efeitos positivos como negativos, sugerindo que o uso de
diferentes tipos de pesticidas pode resultar em modulações distintas da síntese de
compostos secundários (quadro 1).
Quadro 1. Interações Negativas e Positivas entre o Conteúdo de Compostos
Fenólicos e Agroquímicos*
Herbicida Espécie Vegetal Composto Secundário Fator de
Alteração
Atrazina Soja Antocianina 4
Butidazol Milho Antocianina 4.3
Dinoterb Ervilha Flavonóis 3.3
Glifosato Feijão Faseolina 1.4-1.5
Metribuzin Batata Fenóis totais 1.1-3.3
Sethoxydim Framboesa
o-fenóis
2
Clometoxifeno
Arroz Bifenil-2-ol 3
Clorsulfuron Soja Antocian 1.77
Aveia Fenóis totais 1.43
Glifosato
Soja Ácido gálico 2.22
Ervilha Pisatina 19
Acifluorfen
Feijão Faseolina 47
* Adaptado de Daniel et al., 1999.
Revisão Bibliográfica
37
Em estudo mais recente realizado com trigo, o uso do herbicida cloquintocete-
mexilo após a germinação das sementes demonstrou efeito de aumentar o turnover,
além de redirecionar o metabolismo dos compostos fenólicos. Nesse estudo foi
observada redução de C-glicosídeos de flavonas, como os conjugados de luteolina e
acúmulo de ácido ferúlico e tricina, sugerindo que este herbicida estaria aumentando
a degradação dos glicosídeos de flavonas. Em contrapartida, houve um aumento de
compostos fenólicos metilados, principalmente em função do aumento da atividade
de enzimas envolvidas neste metabolismo, sugerindo que alguns pesticidas podem
favorecer o metabolismo de ramificações específicas da via de síntese dos
compostos fenólicos (CUMMINS ET AL., 2006).
Estudos que avaliam o teor de polifenóis e a capacidade antioxidante em
alimentos produzidos nas duas formas de agricultura apresentam resultados
inconsistentes, variando bastante em função do alimento estudado, assim como do
composto fenólico analisado. A tabela 1 ilustra alguns dos estudos realizados. Dos
onze trabalhos publicados a partir de 2000, quatro demonstraram um efeito positivo
da agricultura orgânica sobre o conteúdo de polifenóis, enquanto que outros quatro
estudos não observaram diferenças significativas. Os demais autores observaram
resultados variados, de acordo com o parâmetro analisado e o alimento em questão,
demonstrando a falta de consenso na literatura sobre os maiores teores de
polifenóis em alimentos orgânicos.
Revisão Bibliográfica
38
Tabela 1. Estudos Relacionando Polifenóis e Alimentos Orgânicos
Autor Análises Alimentos Resultados
Hakkinen e
Torronen
(2000)
Flavonóis e polifenóis
totais
Morangos e
mirtilo
Cultivo OG não resultou em
alterações consistentes destes
compostos
Ren et al.
(2001)
Flavonóides Hortaliças
Alimentos OG apresentaram em
geral, valores maiores de
flavonóides
Mikkonen et
al. (2001)
Flavonóis Cassis
Cultivo OG não resultou em
alterações consistentes destes
compostos
Carbonaro et
al. (2002)
Polifenóis totais,
polifenoloxidase
(PPO), vitamina C,
ácido cítrico,
tocoferol.
Pêra e pêssegos
Maior polifenol e atividade PPO
em variedade OG. Ácidos
ascórbico e cítrico maior em
pêssego OG, alfa-tocoferol
maior em pêra OG
Asami et al.
(2003)
Compostos fenólicos
e ácido ascórbico
Berries, milho e
morango
Teores maiores de polifenóis e
ácido ascórbico em alimentos
OG. Maiores valores na
agricultura sustentável
Caris-Veyrat
et al. (2004)
Vitamina C, licopeno,
compostos fenólicos
e seus teores no
plasma
Tomate in natura
e purê de tomate
Tomate OG mais vitamina C,
carotenóides e polifenóis
(exceto ác. clorogênico). Purê
de tomate OG sem diferença
com exceção de mais polifenóis
e vitamina C no OG. Consumo
dos dois purês sem diferenças
nos teores plasmáticos
Lombardi-
Boccia et al.
(2004)
Vitaminas C, E e
beta caroteno,
fenólicos totais,
ácidos fenólicos e
flavonóis
Ameixas
Vitamina C, tocoferol,
betacaroteno, kaempferol e
mirecitina maior nos OG.
Fenólicos totais e quercetina
maior nos CV
Young et al.
(2005)
Polifenóis Vegetais folhosos
Sem diferenças entre OG e CV
Veberic et al.
(2005)
Polifenóis Maçã
Polifenóis em teor maior na
polpa de OG; sem diferença
significativa entre CV e OG para
casca
Chassy et al.
(2006)
Fenólicos totais,
sólidos solúveis, vit.
C, quercetina,
campeferol e
luteolina
Tomate e
pimentão
Variações significativas somente
no tomate
Toor et al .
(2006)
Peso seco, sólidos
solúveis, acidez
titulável, vit C,
fenólicos totais,
licopeno, AOX
Tomate
Menor acidez CV, mais fenólicos
e vitamina C no OG
Abreviaturas: OG (orgânico); CV (convencional).
Revisão Bibliográfica
39
Atualmente, existem duas principais hipóteses propostas para explicar os
possíveis aumentos de compostos fenólicos em alimentos orgânicos, a modulação
do metabolismo vegeta em função do tipo de fertilização e o maior estímulo à
síntese endógena de polifenóis. Dessa forma, alguns autores sugerem que o uso de
fertilizantes sintéticos forneceria nitrogênio numa forma mais biodisponível,
acelerando seu desenvolvimento, crescimento e interferindo na razão
carbono/nitrogênio da planta (TOOR, SAVAGE, HEEB, 2006; HAUKIOJA ET AL.,
1998). A segunda hipótese se baseia na maior exposição dos vegetais produzidos
na agricultura orgânica a situações agressivas, como ataque de microrganismos
patógenos, o que induziria a uma resposta da planta aumentando a síntese de
compostos de defesa (WINTER; DAVIS, 2006). No entanto, a literatura ainda
apresenta dados bastante controversos.
Revisão Bibliográfica
40
1.6 JUSTIFICATIVA
Estudos epidemiológicos demonstram que o consumo de frutas e hortaliças
está inversamente relacionado com a incidência de doenças crônicas não-
transmissíveis. A presença de polifenóis e outros compostos com potencial
antioxidante são responsáveis, em parte, por este benefício. A literatura sugere que
diferenças na forma de cultivo e o uso de agroquímicos podem modificar o teor de
compostos bioativos em alimentos. Os estudos que avaliam o conteúdo de polifenóis
e capacidade antioxidante em alimentos orgânicos e convencionais apresentam
resultados variados, não apresentando consenso. Não existem estudos que avaliem
estes parâmetros em alimentos orgânicos e convencionais produzidos no Brasil.
Dessa maneira, a avaliação do teor de polifenóis e de ácido ascórbico e da
capacidade antioxidante de alimentos orgânicos e convencionais nacionais é
essencial, assim como a avaliação de alterações nestes conteúdos decorrentes dos
processos de cocção rotineiramente aplicados pela população. Estes resultados
permitiriam avaliar possíveis diferenças nos benefícios proporcionados ao
consumidor a partir do consumo de alimentos cultivados por cada tipo de agricultura.
Objetivos
41
2. OBJETIVOS
2.1. GERAL
Avaliar a diferença nos teores de polifenóis e vitamina C e na capacidade
antioxidante entre alimentos e suas frações cultivados na agricultura orgânica e
convencional, submetidos ou não à cocção.
2.2. ESPECÍFICOS
Determinar os teores de polifenóis solúveis e hidrolisáveis nas diferentes frações
frutas e hortaliças mais freqüentemente consumidas no Brasil;
Verificar a capacidade antioxidante das respectivas frações de frutas e hortaliças
investigadas;
Quantificar o teor de ácido ascórbico em cada fração dos alimentos estudados
nas duas formas de cultivo, orgânico e convencional;
Analisar o efeito da adição de ácido ascórbico exógeno na determinação de
polifenóis e na capacidade antioxidante;
Avaliar alterações sobre os teores de polifenóis solúveis e hidrolisáveis, de ácido
ascórbico e na capacidade atividade por DPPH das hortaliças orgânicas e
convencionais após diferentes processos de cocção;
Objetivos
42
Estimar o consumo nacional e por região geográfica de polifenóis de acordo com
a Tabela de Aquisição Domiciliar per capita da POF 2002/ 2003, do IBGE;
Identificar os principais alimentos-fonte de polifenóis na alimentação brasileira e
nas principais regiões nacionais.
Materiais e Métodos
43
3. MATERIAL E MÉTODOS
3.1 MATERIAL
O DPPH (1,1-Difenil-2-picrilhidrazil) foi obtido da SIGMA FINE CHEMICALS
(St. Louis, MO,USA). O reagente Folin-Ciocalteu, o L-ácido ascórbico, o metanol e o
etanol da firma MERCK. Os demais reagentes utilizados foram de pureza analítica.
3.2. SELEÇÃO E AQUISIÇÃO DOS ALIMENTOS
Foram selecionados doze alimentos comumente consumidos no Brasil, sendo
seis frutas com a classificação de “frutas tropicais”, segundo a Tabela de Aquisição
Domiciliar de Alimentos da POF 2002/ 2003 do IBGE, e seis hortaliças, sendo duas
sob a classificação de “hortaliças folhosas e florais”, duas como “hortaliças frutosas”
e duas como “hortaliças tuberosas”. As frutas incluíram abacaxi pérola (Ananas
comosus (L) Merril), banana prata (Musa acuminata Colla), laranja lima (Citrus
sinensis), mamão papaya (Carica papaya L.), manga tommy (Mangifera indica L.) e
tangerina ponkan (Citrus reticulata). As hortaliças foram representadas por batata
inglesa (Solanum tuberosum L.), brócolis comum (Brassica oleracea var. Italica),
cebola nacional (Allium cepa L.), cenoura (Daucus carota L.), repolho branco
(Brassica oleracea var. Capitata) e tomate (Lycopersicon esculentum var. Carmem).
Posteriormente, a maçã (Malus domestica Borkh, cv. Gala) foi incluída em
substituição ao abacaxi nas análises comparativas entre os tipos de agricultura, em
função da maior facilidade de acesso a esta fruta nas duas formas de cultivo, tendo
também alto consumo nacional.
Os alimentos de ambos os tipos de cultivo foram adquiridos em mercados
varejistas da cidade do Rio de Janeiro (RJ), sendo adquiridos aproximadamente
Materiais e Métodos
44
1,0Kg de cada vegetal ou no mínimo três unidades para frutas ou hortaliças de
grande volume (abacaxi, manga, brócolis, repolho) por momento de análise. Os
alimentos de origem orgânica foram adquiridos de empresas certificadas dos
estados do Rio de Janeiro e o Paulo (Fazenda Santo Onofre SP; Korin SP,
Vale das Palmeiras RJ e Vida Sustentável RJ). Os alimentos convencionais
adquiridos tiveram a origem identificada a fim de que seu cultivo fosse restrito aos
estados de São Paulo e Rio de Janeiro.
3.3. PREPARO DAS AMOSTRAS
Os alimentos foram lavados em água fria e corrente e secos com papel
toalha. Em seguida foram descascados manualmente (banana e tangerina), com
auxílio de uma faca (demais frutas, incluindo o tomate, cebola, repolho e brócolis);
ou, com descascador manual de legumes (batata e cenoura), resultando na
separação das frações de acordo com o quadro abaixo (quadro 2):
Quadro 2. Alimentos e Frações Utilizadas para Análises
Alimento Fração
Frutas, batata, cenoura e
tomate
Casca e polpa
Repolho Folhas externas e internas
Brócolis Folha, talo e flor
Cebola Polpa
Alimentos danificados ou com injúrias foram descartados. Cada fração dos
alimentos foi posteriormente extraída utilizando o extrator de suco Samsom GB-9001
(Greenbison Inc., Califórnia, EUA), a fim de se obter um extrato fluido (EF), o qual foi
utilizado para as análises de polifenóis, ácido ascórbico e capacidade antioxidante.
Materiais e Métodos
45
As análises foram feitas em duplicata em três diferentes momentos, com
aquisição de alimentos frescos (agosto, setembro e novembro de 2006). Os
resultados foram expressos com base na média dos valores obtidos nos três meses.
3.4. COCÇÃO DE HORTALIÇAS
As hortaliças in natura foram coccionadas de acordo com três métodos
comumente utilizados em nível doméstico: fervura em água em ebulição, cocção em
microondas e cocção à vapor, de acordo com metodologia descrita por Turkmen et
al. (2005). Após descasque com descascador manual, a cenoura e a batata foram
cortadas em rodelas de aproximadamente 0,5cm e em cubos de 2cm de lado,
respectivamente. A cebola foi fracionada transversalmente obtendo-se 8 partes
iguais. O brócolis e o repolho foram picados em pedaços de tamanho homogêneo.
Para os diferentes todos de cocção aplicados, 100g de cada alimento foram
separados, sendo os experimentos realizados em triplicatas.
Os tempos de cozimento de cada hortaliça foram determinados por
experimentos prévios do grupo de pesquisa (quadro 3), sendo estes o menor tempo
necessário para a ocorrência do abrandamento do tecido vegetal. A fervura em água
consistiu na imersão do alimento em água fervente, em panela de inox. O volume
utilizado de água foi de 150mL para cada hortaliça, com exceção da batata, em que
foram utilizados 300mL. A cocção a vapor foi realizada em recipiente próprio, sendo
este posicionado acima de uma panela com água fervente. A cocção em
microondas foi realizada em equipamento doméstico (Brastemp Clean), com
potência de 5000 watts. Os alimentos foram dispostos em tigelas refratárias em que
foram adicionados 6mL de água (12mL para a batata). Os recipientes foram
cobertos com papel filme, perfurados com garfo, a fim de se obter pequenos furos.
Materiais e Métodos
46
Quadro 3. Tempo de Cozimento das Hortaliças de Acordo com Diferentes
Métodos de Cocção
Tempo de Cozimento (minutos)
Hortaliça
Água em Ebulição Microondas Vapor
Batata
6,5 3 10
Brócolis
6 4 8
Cebola
8 4 10
Cenoura
8 3 8
Repolho
5 3,5 10
Cada hortaliça foi pesada antes e após a cocção, a fim de se determinar
perdas ou ganhos de peso devido a perda ou absorção de água para cada tipo de
cocção. Após a cocção, foram preparados extratos fluídos de cada hortaliça,
utilizando o extrator de suco Samsom GB-9001. Os extratos foram congelados a -
20°C para posterior análise de polifenóis solúveis e hidrolisáveis, capacidade
antioxidante e ácido ascórbico. As análises foram realizadas dentro do período de
uma semana, tempo no qual não foram observadas alterações no potencial
antioxidante de alimentos in natura, teor de polifenóis e ácido ascórbico, quando
congelados em freezer a -20°C (POLINATI; FALLER; FI ALHO, 2007).
3.5. DETERMINAÇÃO DE POLIFENÓIS SOLÚVEIS E HIDROLISÁVEIS
3.5.1. Extração de Polifenóis Solúveis e Hidrolisáveis
A extração de polifenóis solúveis e hidrolisáveis ocorreu de acordo com o
protocolo descrito por Vinson et al. (2001). Para a extração de polifenóis solúveis foi
utilizada solução de extração (SE) composta por água deionizada e metanol (1:1 v/v)
na proporção de 1:5, amostra e solução de extração, respectivamente. Alíquotas de
100
µL do extrato fluido (EF) das frutas e hortaliças foram acondicionadas em
Materiais e Métodos
47
microtubos, onde foram acrescentados de 500µL da SE e agitados manualmente. As
amostras foram colocadas em banho-maria à 90ºC por 3 horas com agitação. Após
este período, as amostras foram retiradas, resfriadas em temperatura ambiente
(25°C), e o volume completado a 1000 µL com metanol P.A.. Os microtubos foram,
então, centrifugados a 12000g por 5 minutos. O sobrenadante recolhido,
denominado extrato solúvel (ES), contém principalmente polifenóis na forma
aglicona e/ou dissociados a estruturas celulares, sendo solúveis em soluções hidro-
alcóolicas.
A extração dos polifenóis hidrolisáveis foi realizada de acordo com o
procedimento descrito acima, com o acréscimo de ácido clorídrico (12M) a SE, a fim
de se obter uma concentração final de 1,2M (VINSON ET AL., 2001). O
sobrenadante, denominado extrato hidrolisável (EH), permite uma maior
quantificação dos polifenóis presentes, uma vez que a acidificação do meio com
ácido clorídrico leva à hidrólise parcial de formas glicosídicas e de ligações dos
polifenóis com componentes da matriz celular.
3.5.2. Quantificação de Polifenóis Solúveis e Hidrolisáveis
A quantificação de polifenóis solúveis e hidrolisáveis foi realizada utilizando o
reagente Folin-Ciocalteu e o ácido gálico como padrão, segundo metodologia
descrita por Karou et al. (2005). Em microtubos, 75µL de reagente de Folin-Ciocalteu
(50%) foram adicionados de 30µL do ES ou EH, permanecendo em repouso, em
temperatura ambiente, por 5 minutos. Após este período, foram adicionados 75µL de
carbonato de sódio (20% carbonato de sódio anidro) e após 30 minutos, em
temperatura ambiente, foi feita leitura em espectrofotômetro a 750nm. O teor de
polifenóis solúveis e hidrolisáveis foi expresso em mg de equivalente de ácido gálico
(EAG) / mL de EF. A curva padrão do ácido gálico foi elaborada a partir da plotagem
Materiais e Métodos
48
das absorbâncias geradas pelo ácido gálico, nas concentrações de 2.5, 5, 7.5, 10,
15 e 20 mcg/mL, de acordo com o procedimento acima.
3.5.3. Percentual de Diferença entre Formas de Cultivo
Os teores de polifenóis solúveis e hidrolisáveis analisados entre os alimentos
obtidos por cultivo orgânico ou convencional foram expressos em valor absoluto (mg
EAG/ mL EF) e na forma de percentual. Este será referente à diferença dos teores
observados nos vegetais orgânicos em relação aos convencionais, de forma que
percentuais negativos significam valores superiores nos alimentos convencionais e
vice versa, de acordo com a fórmula abaixo:
% = (mg EAG/ mL EF orgânicos - mg EAG/ mL EF convencionais) x 100
mg EAG/ mL EF orgânicos
3.6. DETERMINAÇÃO DA CAPACIDADE ANTIOXIDANTE
3.6.1. Capacidade Antioxidante pelo Método do Radical DPPH
A capacidade antioxidante aferida pelo método do radical DPPH foi realizada
de acordo com Kuskoski et al. (2006). Uma solução de DPPH a 100µM foi preparada
utilizando solução de metanol em água destilada (8:2 v/v). A leitura da solução de
DPPH no tempo zero, antes da adição das amostras, foi realizada em espectro a
517nm a fim de verificar a absorbância em torno de 1.1, sendo este o A
0
. Em tubo de
ensaio foram pipetados 0,1mL do extrato fluido de cada amostra, acrescidos de
3,9mL da solução de DPPH 100µM. Os tubos foram agitados manualmente e
mantidos no escuro até os tempos determinados para a realização das leituras (15,
Materiais e Métodos
49
30 e 60 minutos), sendo estes representados por A
t
. Para o cálculo da capacidade
antioxidante e a elaboração dos gráficos foi utilizado o percentual de radical DPPH
remanescente após cada tempo de leitura, segundo a fórmula abaixo:
% DPPHrem = 1 – [ (A
0
- A
t
) / A
0
]
Para a comparação das capacidades antioxidantes e análise estatística das
mesmas, foi utilizado o percentual de seqüestro de radicais livres (SRL) no tempo
máximo de reação (60 minutos). Para isto, foi calculado o percentual de SRL
segundo a equação abaixo:
% SRL = (A
0
- A
t
) / A
0
3.7. DETERMINAÇÃO DE ÁCIDO ASCÓRBICO
A análise de AA foi realizada por cromatografia de alta eficiência (CLAE),
segundo metodologia descrita por Paulo et al. (1999). As análises cromatográficas
foram realizadas utilizando coluna e pré-coluna C18 em sistema isocrático com
tampão fosfato de potássio 2% (KH
2
PO
4
), pH 2,32. A absorbância foi monitorada a
243nm e 254 nm, em detector UV de fotodiodo Shimadzu SPD-M10A (Kyoto,
Japão). O fluxo utilizado foi de 0,4 mL/min e as corridas conduzidas em 20 minutos.
Para a quantificação do AA, foi utilizada curva de calibração com padrão de L-ácido
ascórbico com concentrações de 2,0µg/mL a 20µg/mL. O padrão de AA foi diluído no
tampão KH
2
PO
4
2%, adicionado de 50µL (5mg/mL) de ditiotreitol (DTT). Os
resultados foram expressos em µg de AA/mL de EF. Os comprimentos de onde
utilizados, 243 e 254nm, foram referentes à detecção de AA e ácido
dehidroascórbico (DHA), respectivamente.
Materiais e Métodos
50
3.8. INFLUÊNCIA DA ADIÇÃO DE ÁCIDO ASCÓRBICO SOBRE A
DETERMINAÇÃO DO CONTEÚDO DE POLIFENÓIS E CAPACIDADE
ANTIOXIDANTE POR DPPH
A avaliação da influência da adição de vitamina C sobre a determinação do
conteúdo de polifenóis e a capacidade antioxidante por DPPH foi realizada em duas
etapas. A primeira, representada pela determinação da possível interação do ácido
ascórbico com o reagente Folin-Ciocalteu de forma semelhante aos polifenóis. Para
isto, foram utilizadas soluções padrão de ácido ascórbico e ácido gálico, nas
concentrações 2.5, 5, 7.5, 10, 15, 20 mcg/ mL, para a elaboração de curvas padrão,
de acordo com a metodologia descrita no item 3.4.2. Com os resultados foram
obtidos curvas padrão para o ácido ascórbico e para o ácido gálico, sendo
realizadas análise de regressão linear e geradas as respectivas equações da reta.
A segunda etapa consistiu da avaliação da influência da adição do ácido
ascórbico em extratos fluidos de alimentos fonte ou não de vitamina C, após a
aplicação da metodologia de extração de polifenóis utilizada neste trabalho. A cebola
foi escolhida como amostra de alimento com baixo teor de vitamina C e a laranja
,como amostra de alimento fonte. Aos EF de cada alimento foram adicionadas
diferentes concentrações de ácido ascórbico, a fim de se obter, no momento da
quantificação de polifenóis por espectrofotometria, concentrações de 0.25, 0.5 e
0.75mcg/ mL. Após a adição de ácido ascórbico em amostra de EF, foram aplicadas
as metodologias para extração e quantificação de polifenóis solúveis e hidrolisáveis,
tais como descritas nos itens 3.4.1 e 3.4.2, assim como da determinação da
capacidade antioxidante por DPPH, conforme item 3.5.1.
Materiais e Métodos
51
A avaliação de variações no pH dos extratos foi aferida utilizando pHmetro
digital com controle interno de temperatura calibrado previamente com soluções
padrão de pH 4.0 e 7.0 (Incibras, Rio de Janeiro, Brasil).
3.9. ESTIMATIVA DA DISPONIBILIDADE DE POLIFENÓIS EM ALIMENTOS
NACIONAIS
A disponibilidade nacional de polifenóis foi estimada a partir dos valores
obtidos por grama de peso fresco de cada fruta e hortaliça analisada neste estudo.
O teor de polifenóis por gramatura foi calculado utilizando o valor de polifenóis
hidrolisáveis da fração comestível de cada alimento, dividido pelo rendimento
correspondente durante o preparo do extrato fluido no extrator de sucos, segundo
fórmula abaixo:
Teor de polifenóis (mg EAG/ g peso fresco) = mg EAG/ mL suco / rendimento
Em que rendimento se refere à:
Rendimento = peso fresco (g) / volume de suco obtido (mL)
O valor diário per capita no Brasil e regiões foi calculado a partir da soma do
aporte diário de polifenóis fornecido por cada alimento, segundo a fórmula a seguir:
Aporte diário por alimento: conteúdo de polifenóis (g) x aquisição anual
365 dias
A representatividade de cada vegetal no aporte diário de polifenóis foi
calculado a partir do teor de compostos fenólicos oferecido por cada alimento, em
Materiais e Métodos
52
um dia, dividido pela disponibilidade total diária, sendo o valor expresso em
percentual, como na fórmula expressa a seguir:
% = aporte de polifenóis por dia (para cada vegetal) x 100
disponibilidade diária de polifenóis
3.10. ANÁLISE ESTATÍSTICA
Os resultados obtidos para polifenóis livres e totais e para capacidade
antioxidante foram submetidos à análise de variância ANOVA, sendo as médias
comparadas pelo teste de Bonferroni (p = 0,05). Os valores de polifenóis e
capacidade antioxidnte foram analisados por correlação de Pearson. O programa
utilizando foi o software GraphPad Prism versão 5.0.
Resultados e Discussão
53
4. RESULTADOS E DISCUSSÃO
4.1. POLIFENÓIS EM HORTALIÇAS E FRUTAS ORGÂNICAS E
CONVENCIONAIS
Os teores de polifenóis solúveis nas diferentes frações de batata, brócolis,
cebola, cenoura, repolho e tomate estão descritos na tabela 2. O percentual de
diferença, quando com sinal negativo, demonstra maior conteúdo de polifenóis a
favor do cultivo convencional. As hortaliças orgânicas apresentaram valores
superiores de polifenóis solúveis, com exceção da cebola e das flores de brócolis.
Apesar do maior conteúdo de polifenóis solúveis nas hortaliças orgânicas, apenas a
casca da batata apresentou diferença significativa entre os tipos de agricultura.
Tabela 2. Conteúdo de Polifenóis Solúveis em Hortaliças Orgânicas e Convencionais.
* Diferença significativa entre os valores em alimentos orgânicos e
convencionais. Teste de Bonferroni (p <0,05).
Polifenóis Solúveis (mg EAG/ mL EF)
Alimento
Orgânico Convencional Diferença (%)
Batata
Casca
0,42 ±0,10 0,23 ±0,01 45,2 *
Polpa
0,40 ±0,08
0,33 ±0,09 17,5
Brócolis
Folha
1,24 ±0,15 1,17 ±0,45 5,6
Talo
0,66 ±0,08 0,64 ±0,41 3,0
Flor
0,88 ±0,07 1,01 ±0,05 -14,8
Cebola 0,20 ±0,07 0,32 ±0,06 -60,0
Cenoura
Casca
0,64 ±0,24 0,53 ±0,18 17,2
Polpa
0,79 ±0,49 0,40 ±0,19 49,4
Repolho
Externo
0,42 ±0,02 0,41 ±0,07 2,4
Interno
0,56 ±0,17 0,45 ±0,13 19,6
Tomate
Casca
1,21 ±0,18 1,07 ±0,03 11,6
Polpa 1,81 ±0,03 1,70 ±0,17 6,1
Resultados e Discussão
54
A análise do conteúdo de polifenóis solúveis entre as frações de cada
hortaliça pode ser observada na figura 8. Os tomates orgânico e convencional
apresentaram maior teor de polifenóis solúveis na polpa do que em relação à casca
(figura 8D). O brócolis, de ambos os tipos de agricultura, apresentou valores
significativamente diferentes apenas entre as folhas e os talos (figura 8E). As demais
frações analisadas não resultaram em valores estatisticamente diferentes.
O conteúdo de polifenóis hidrolisáveis pode ser visualizado na tabela 3.
Dentre as doze amostras analisadas, incluindo as diferentes frações de cada
hortaliça, oito apresentaram valores superiores para o cultivo orgânico e quatro para
o cultivo convencional. Apesar das variações, diferenças estatísticas foram
observadas na casca da batata e na cebola, favorecendo o cultivo orgânico, e na
fração externa do repolho, favorecendo o cultivo convencional.
Tabela 3. Conteúdo de Polifenóis Hidrolisáveis em Hortaliças Orgânicas e
Convencionais.
Polifenóis Hidrolisáveis (mg EAG/ mL EF)
Alimento
Orgânico Convencional Diferença (%)
Batata
Casca
0,62 ±0,05 0,51 ±0,03 17,7 *
Polpa
0,45 ±0,17 0,42 ±0,06 6,7
Brócolis
Folha
2,31 ±0,22 2,01 ±0,29 13,0
Talo
0,95 ±0,23 1,23 ±0,55 -29,5
Flor
1,64 ±0,48 1,53 ±0,20 6,7
Cebola 1,20 ±0,05 0,93 ±0,08 22,5 *
Cenoura
Casca
1,02 ±0,11 1,23 ±0,21 -20,6
Polpa
0,79 ±0,12 0,81 ±0,12 -2,5
Repolho
Externo
0,72 ±0,05 1,40 ±0,20 -94,4 *
Interno
1,69 ±0,24 1,36 ±0,35 19,5
Tomate
Casca
0,72 ±0,15 0,70 ±0,04 2,8
Polpa
1,23 ±0,13 1,04 ±0,14 15,4
* Diferença significativa entre os valores em alimentos orgânicos e
convencionais. Teste de Bonferroni (p <0,05).
Resultados e Discussão
55
Batata
Cas
c
a
O
G
Polpa OG
Cas
c
a
CV
Polpa CV
0.0
0.1
0.2
0.3
0.4
0.5
a
a
a
a
mg EAG/ mL EF
Cenoura
Ca
sca
OG
Polpa
O
G
Casc
a
CV
P
o
l
p
a
C
V
0.0
0.5
1.0
1.5
a
a
a
a
mg EAG/ mL EF
Repolho
Exte
rn
o
O
G
Interno OG
Ex
tern
o
C
V
In
te
r
no CV
0.0
0.2
0.4
0.6
0.8
a
a
a
a
mg EAG/ mL EF
Tomate
C
a
s
c
a OG
Polpa
O
G
C
a
s
c
a CV
Polpa
C
V
0.0
0.5
1.0
1.5
2.0
a
b
b
a
mg EAG/ mL EF
Brócolis
Folha OG
F
l
or
O
G
T
a
lo
O
G
Fol
h
a CV
Flor CV
T
a
lo
CV
0.0
0.5
1.0
1.5
2.0
a
ab
b
a
ab
b
mg EAG/ mL EF
Figura 8. Variação do Conteúdo de Polifenóis Solúveis nas Diferentes Frações de
Hortaliças. Valores determinados pelo reagente Folin-Ciocalteu, expressos em mg
equivalente de ácido gálico (EAG) por mL de extrato fluido (EF) de batata (A), cenoura (B),
repolho (C), tomate (D) e brócolis (E). Letras iguais nas colunas demonstram que não
diferença estatística (p < 0,05) entre as frações orgânicas (OG) e convencionais (CV)
analisadas.
A B
C
D
E
Resultados e Discussão
56
No entanto, ao contrário do observado para os polifenóis solúveis, os
hidrolisáveis apresentaram um maior número de diferenças estatisticamente
significativas. O tomate orgânico e o convencional apresentaram teores superiores
na polpa do que na casca (figura 9D), seguindo o mesmo padrão dos polifenóis
solúveis. Para as cascas de batata orgânica (figura 9A) e de cenoura convencional
(figura 9B), porém, os teores de polifenóis hidrolisáveis foram maiores que nas
respectivas polpas analisadas. Dentre os alimentos orgânicos, o repolho obteve
valor superior para as folhas internas, quando comparado com as folhas externas
(figura 9C), e o brócolis orgânico apresentou diferença significativa entre as três
frações analisadas, enquanto que no convencional apenas o talo apresentou teor
distinto das demais frações (figura 9E).
Os alimentos que obtiveram maior teor de polifenóis solúveis não foram os
mesmos que apresentaram maior conteúdo de polifenóis hidrolisáveis, com exceção
da casca de batata. Estes resultados sugerem que o tipo de agricultura pode
modular de forma distinta o tipo de composto fenólico sintetizado de acordo com a
espécie de hortaliça analisada. Além disso, o maior acúmulo de compostos fenólicos
sejam solúveis ou hidrolisáveis, nas cascas e partes externas dos alimentos parece
também ser variável de acordo com o cultivar analisado.
Resultados e Discussão
57
Batata
Ca
s
c
a
O
G
Polpa OG
Ca
s
c
a CV
P
ol
pa CV
0.0
0.1
0.2
0.3
0.4
0.5
0.6
0.7
0.8
b
a
a
a
mg EAG/ mL EF
Cenoura
Casca OG
Po
lpa
OG
Cas
ca CV
Polpa
C
V
0.0
0.5
1.0
1.5
a
a
b
a
mg EAG/ mL EF
Repolho
Exte
r
no OG
Interno OG
Externo CV
I
n
te
r
no CV
0.0
0.5
1.0
1.5
2.0
b
a
a
a
mg EAG/ mL EF
Tomate
Casca
O
G
P
o
lpa
O
G
Casca
C
V
P
o
lpa CV
0.0
0.5
1.0
1.5
b
a
b
a
mg EAG/ mL EF
Brócolis
Fo
lh
a
O
G
Flor OG
Talo OG
Folha CV
Flor CV
Talo CV
0.0
0.5
1.0
1.5
2.0
2.5
3.0
a
a
b
b
a
c
mg EAG/ mL EF
Figura 9. Variação do Conteúdo de Polifenóis Hidrolisáveis nas Diferentes Frações de
Hortaliças. Valores determinados pelo reagente Folin-Ciocalteu, expressos em mg
equivalente de ácido gálico (EAG) por mL de extrato fluido (EF) de batata (A), cenoura (B),
repolho (C), tomate (D) e brócolis (E). Letras iguais nas colunas demonstram que não
diferença estatística (p < 0,05) entre as frações orgânicas (OG) e convencionais (CV)
analisadas.
A
B
C
D
E
Resultados e Discussão
58
Os teores de polifenóis solúveis de banana, laranja, maçã, mamão, manga e
tangerina cultivados sob agricultura orgânica e convencional estão descritos na
tabela 4. Os polifenóis solúveis contidos nas frutas apresentaram um padrão misto,
apresentando resultados que privilegiaram ambos os tipos de agricultura. Apesar da
variação observada, diferença estatística foi observada a favor do cultivo
orgânico, para a casca da laranja e a polpa do mamão.
Quando comparadas em termos de diferença do teor de polifenóis solúveis
entre casca e polpa, a maioria das frutas apresentou valores superiores nas cascas
quando em comparação à polpa (figura 10). Duas frutas, laranja e tangerina,
apresentaram diferenças significativas nos dois tipos de agricultura, além do mamão
orgânico (figura 10D) e da manga convencional (figura 10E).
Tabela 4. Conteúdo de Polifenóis Solúveis em Frutas Orgânicas e
Convencionais
Polifenóis Solúveis (mg EAG/ mL EF)
Alimento
Orgânico Convencional
Diferença (%)
Banana
Casca
1,96 ±0,43
3,17 ±0,26 -61,7
Polpa
0,88 ±0,05
0,91 ±0,73 -3,4
Laranja
Casca
2,78 ±0,04
2,42 ±0,06 12,9 *
Polpa
0,51 ±0,02
0,47 ±0,06 7,8
Maçã
Casca
1,94 ±0,09
2,19 ±0,20 -12,9
Polpa
1,83 ±0,02
2,21 ±0,18 -20,8
Mamão
Casca
0,54 ±0,0 0,38 ±0,14 29,6
Polpa
0,98 ±0,10
0,11 ±0,03 88,8 *
Manga
Casca
0,61 ±0,21
0,76 ±0,35 -24,6
Polpa
0,46 ±0,18
0,29 ±0,11 37,0
Tangerina
Casca
3,06 ±0,23
2,87 ±0,30 6,2
Polpa
0,63 ±0,02
0,96 ±0,14 -52,4
* Diferença significativa entre os valores em alimentos orgânicos e
convencionais. Teste de Bonferroni (p <0,05).
Resultados e Discussão
59
Banana
C
a
s
c
a
OG
P
o
l
pa
OG
Casca CV
P
ol
p
a
CV
0.0
0.5
1.0
1.5
2.0
2.5
3.0
3.5
4.0
a
a
b
a
mg EAG/ mL EF
Laranja
Casca OG
Polp
a
OG
C
a
s
c
a
CV
Polpa CV
0.0
0.5
1.0
1.5
2.0
2.5
3.0
3.5
4.0
a
b
a
b
mg EAG/ mL EF
Maçã
C
a
s
ca
OG
P
o
lp
a O
G
Ca
s
ca CV
P
o
lp
a C
V
0.0
0.5
1.0
1.5
2.0
2.5
a
a
a
a
mg EAG/ mL EF
Mamão
Casca OG
Polpa OG
Casca CV
Polpa CV
0.0
0.5
1.0
1.5
b
a
a
a
mg EAG/ mL EF
Manga
C
a
sc
a
OG
Polp
a
OG
Casca CV
Polpa
C
V
0.0
0.5
1.0
1.5
a
a
a
b
mg EAG/ mL EF
Tangerina
Cas
ca
OG
Polpa
O
G
C
a
s
ca CV
Polp
a
CV
0.0
0.5
1.0
1.5
2.0
2.5
3.0
3.5
4.0
a
a
b
b
mg EAG/ mL EF
Figura 10. Variação do Conteúdo de Polifenóis Solúveis nas Diferentes Frações de
Frutas. Valores determinados pelo reagente Folin-Ciocalteu, expressos em mg equivalente
de ácido gálico (EAG) por mL de extrato fluido (EF) de banana (A), laranja (B), maçã (C),
mamão (D), manga (E) e tangerina (F). Letras iguais nas colunas demonstram que não
diferença significativa (teste de Bonferroni p < 0,05) entre as frações analisadas. Orgânica
(OG) e convencional (CV).
A B
C D
E
F
Resultados e Discussão
60
Em relação ao conteúdo de polifenóis hidrolisáveis nas frutas, assim como
para os solúveis, a diferença observada nos teores destes compostos bioativos não
foi predominante em nenhuma das duas formas de cultivo. No entanto, com
exceção da casca da banana, todas as diferenças estatísticas foram observadas a
favor do cultivo orgânico, nas cascas de laranja e de tangerina, além da casca e
polpa do mamão (tabela 5). Ao compararmos casca com polpa (figura 11), podemos
observar novamente um teor destes polifenóis nas cascas da maioria das frutas,
sendo esta diferença significativa para banana, laranja e tangerina, em ambos os
tipos de cultivo (figuras 11A, B e F).
Tabela 5. Conteúdo de Polifenóis Hidrolisáveis em Frutas Orgânicas e Convencionais
Polifenóis Hidrolisáveis (mg EAG/ mL EF)
Alimento
Orgânico Convencional Diferença (%)
Banana
Casca
3,09 ±0,29 3,63 ±0,09 -17,5 *
Polpa
2,15 ±0,17 2,16 ±0,03 -0,5
Laranja
Casca
3,90 ±1,67 3,45 ±0,03 11,5 *
Polpa
1,24 ±0,54 1,18 ±0,02 4,8
Maçã
Casca
2,88 ±0,17 2,65 ±0,46 8,0
Polpa
2,70 ±0,13 2,67 ±0,41 1,1
Mamão
Casca
2,01 ±0,25 0,55 ±0,07 72,6 *
Polpa
2,08 ±0,13 0,60 ±0,01 71,2 *
Manga
Casca
1,30 ±0,37 1,78 ±0,11 -36,9
Polpa
1,90 ±0,50 1,44 ±0,22 24,2
Tangerina
Casca
4,58 ±0,06 3,39 ±0,08 26,0 *
Polpa
1,80 ±0,37 1,96 ±0,10 -8,9
* Diferença significativa entre os valores em alimentos orgânicos e
convencionais. Teste de Bonferroni (p <0,05).
Resultados e Discussão
61
Banana
Ca
s
ca OG
Po
lp
a
O
G
Casca CV
P
o
lpa C
V
0.0
0.5
1.0
1.5
2.0
2.5
3.0
3.5
4.0
a
b
a
b
mg EAG/ mL EF
Maçã
C
a
s
ca OG
Polpa OG
C
asca C
V
Polpa CV
0.0
0.5
1.0
1.5
2.0
2.5
3.0
3.5
4.0
a
a
a
a
mg EAG/ mL EF
Mamão
C
as
c
a OG
Polpa OG
Casca C
V
Po
l
pa C
V
0.0
0.5
1.0
1.5
2.0
2.5
a
a
a
a
mg EAG/ mL EF
Manga
Casca
O
G
P
o
l
p
a OG
C
a
s
ca
C
V
P
o
l
p
a
C
V
0.0
0.5
1.0
1.5
2.0
2.5
a
a
a
a
mg EAG/ mL EF
Tangerina
Casca OG
Polpa OG
Casca
CV
P
olpa
CV
0.0
0.5
1.0
1.5
2.0
2.5
3.0
3.5
4.0
4.5
5.0
a
a
mg EAG/ mL EF
b
b
Figura 11. Variação do Conteúdo de Polifenóis Hidrolisáveis nas Diferentes Frações
de Frutas. Valores determinados pelo reagente Folin-Ciocalteu, expressos em mg
equivalente de ácido gálico (EAG) por mL de extrato fluido (EF) de banana (A), laranja (B),
maçã (C), mamão (D), manga (E) e tangerina (F). Letras iguais nas colunas demonstram
que não diferença significativa (teste de Bonferroni p < 0,05) entre as frações analisadas.
Orgânica (OG) e convencional (CV).
A B
C D
E
F
Laranja
C
as
ca
O
G
P
o
lpa OG
Cas
ca
CV
P
o
lpa C
V
0.0
0.5
1.0
1.5
2.0
2.5
3.0
3.5
4.0
4.5
5.0
a
b
a
b
mg EAG/ mL EF
Resultados e Discussão
62
Os resultados sugerem que, para as hortaliças, o tipo de agricultura apresenta
um efeito menos acentuado na modulação dos teores de compostos fenólicos.
Apesar do conteúdo de polifenóis solúveis ter sido superior nas variedades
orgânicas, a diferença não foi estatisticamente diferente. O cultivo orgânico parece
ser mais influente na modulação de compostos fenólicos das frutas, onde a maioria
das variações observadas foram estatisticamente diferentes favorecendo este tipo
de cultivo. A maior distribuição de polifenóis nas cascas e partes externas estão
também mais evidentes nas frutas. Tanto nas hortaliças como nas frutas, os
polifenóis hidrolisáveis parecem ser mais suscetíveis a modulação do que os
polifenóis solúveis.
A diferença observada nos polifenóis solúveis da cebola e da flor do brócolis a
favor da agricultura convencional pode ter sido, em parte, em função dos teores de
ácido ascórbico apresentados neste alimento. Os teores de ácido ascórbico na
cebola e na flor de brócolis convencionais foram aproximadamente quatro e duas
vezes maiores, respectivamente, que na versão orgânica. O maior conteúdo de
vitamina C nestes alimentos pode ter influenciado a quantificação de polifenóis
solúveis, uma vez que os resultados deste trabalho indicam que, em determinadas
concentrações, o ácido ascórbico pode interferir na determinação de polifenóis
solúveis.
Apesar de estar bem estabelecido que a exposição da planta a situações
agressivas e de estresse induz modificações no metabolismo, como a ativação da
síntese de compostos fenólicos decorrentes da ativação da fenilalanina amônia liase
(FAL), estas podem variar de um alimento para o outro. A modulação de compostos
fenólicos pelo tipo de agricultura pode ainda variar entre cultivares, devido à
Resultados e Discussão
63
variação genética, ou por diferenças nas funções que estas substâncias exercem no
metabolismo e fisiologia do vegetal (REYS; VILLARREAL; CISNEROS-ZEVALLOS,
2007).
Estudo realizado ao longo de três anos com dois cultivares de tomate e dois
cultivares de pimentão sob agricultura convencional e orgânica, demonstrou que os
tomates parecem ser mais suscetíveis a variações na forma de cultivo do que os
pimentões, resultando em valores maiores para ácido ascórbico e compostos
fenólicos totais (CHASSY ET AL., 2006). Diferenças foram ainda observadas entre
os cultivares de tomate estudados. Isto demonstra as diferentes respostas que cada
alimento, e ainda, cada cultivar, podem ter sobre um mesmo estímulo externo. Em
nosso estudo, os teores de polifenóis solúveis e hidrolisáveis foram maiores na
casca e polpa de tomate orgânico. No entanto, esta diferença não foi significativa.
Além disso, o efeito do tipo de agricultura como forma de estímulo externo à
síntese de polifenóis pode induzir a diferentes direcionamentos dos novos
compostos sintetizados, o que pode ter influenciado as diferentes respostas entre os
alimentos orgânicos e convencionais. Reyes et al. (2007) sugerem que a ativação da
FAL e o aumento da síntese de compostos fenólicos podem atuar diretamente na
defesa da planta, agindo sobre espécies reativas de oxigênio, como antioxidantes,
estando principalmente na forma livre (OROZCO-CÁRDENAS, 2001) ou serem
direcionadas para sofrerem polimerização, formando e/ou se associando às ligninas,
recuperando a estrutura vegetal (RAZEM; BERNARDS, 2002).
Um outro aspecto é a metodologia aplicada para a determinação dos
compostos fenólicos. Mesmo utilizando uma solução de extração acidificada com
ácido clorídrico, cujo objetivo é aumentar a capacidade de extração de alguns
Resultados e Discussão
64
compostos glicosilados, os teores de polifenóis podem ter sido subestimados.
Substâncias fenólicas associadas a componentes da parede celular, ou mesmo a
ocorrência de hidrólise e extração incompletas podem ter favorecido os resultados
obtidos neste estudo (PINELO, ARNOUS, MEYER, 2006).
Este fato se torna mais evidente quando se compara a batata aos demais
alimentos estudados. Com exceção deste tubérculo, as frutas e hortaliças
apresentaram valores para polifenóis hidrolisáveis muito superiores aos de polifenóis
solúveis. Uma explicação para esta diferença pode ser a própria composição
química da batata, rica em polisacarídeos e amido, e a possível interação destes
componentes com os polifenóis. Um mecanismo proposto a fim de explicar esta
interação sugere a formação de complexos de ligações de hidrogênio entre os
grupamentos hidroxil dos polifenóis e átomos de oxigênio de polissacarídeos da
parede celular vegetal. Esta interação levaria a formação de géis capazes de
encapsular compostos fenólicos (FREITAS, CARVALHO, MATEUS, 2003).
Outro mecanismo sugere a formação de cavidades hidrofóbicas a partir da
capacidade de alguns polissacarídeos de formar estruturas secundárias, como
nanotubos. Estas regiões hidrofóbicas também seriam capazes de encapsular e
complexar polifenóis (LE BOURVELLEC, BOUCHET, RENARD, 2005). Apesar de os
estudos que evidenciaram estas interações terem sido realizados em maçãs e uvas,
esta poderia ser uma explicação para a menor diferença observada entre as
quantificações de polifenóis solúveis e hidrolisáveis encontradas para a batata.
O conteúdo de polifenóis apresentou, tanto para as hortaliças, como para as
frutas, diferenças mais evidentes entre as frações analisadas de cada alimento. A
exposição de alimentos, ainda durante o plantio, a efeitos externos pode contribuir
Resultados e Discussão
65
para o aumento de compostos fenólicos, especialmente nas partes do vegetal que
estão mais expostos e suscetíveis a estes fatores. A maior exposição à luz solar, por
exemplo, resultou no aumento da concentração de flavonóis em flores de brócolis
(GLISZCZYŃSKA-ŚWIGLO ET AL., 2007). Da mesma forma, as folhas e flores de
brócolis orgânico analisado neste trabalho apresentaram valores superiores ao talo.
Esta diferença pode ser devido à maior exposição destas frações a fatores
ambientes, como a luz UV, quando comparada ao talo.
Apesar destas evidências, o tomate apresentou maior teor de polifenóis
solúveis e hidrolisáveis na polpa do que na casca, em ambos os tipos de agricultura.
O mesmo foi observado no repolho orgânico, onde os polifenóis hidrolisáveis nas
folhas internas foram superiores ao das folhas externas. Outros autores haviam
demonstrado que quando expostos à situação agressiva, pode haver diminuição do
conteúdo de compostos fenólicos, em função do seu direcionamento ao combate à
espécies reativas, sendo o tipo de resposta específico de cada espécie vegetal
(REYS; VILLARREAL; CISNEROS-ZEVALLOS, 2007).
Para as frutas, a maioria apresentou valores superiores de compostos
fenólcios, solúveis e hidrolisáveis, nas cascas quando comparado às polpas, tanto
nas variedades orgânicas como nas convencionais. Hagen et al. (2007) demonstrou
que a exposição à luz UV após a colheita de maçãs resultou em maior acúmulo de
compostos fenólicos na casca do que na polpa. As maçãs analisadas neste estudo,
porém, não apresentaram diferença estatística entre casca e polpa, tanto para
polifenóis solúveis como para hidrolisáveis. Outros trabalhos vêm demonstrando
que cascas de frutas são ricas em polifenóis e outros compostos antioxidantes,
confirmando os dados obtidos neste estudo. A importância das cascas de frutas,
Resultados e Discussão
66
normalmente sub-produtos da indústria, como fontes de polifenóis foram
atribuídas à manga (AJILA ET AL., 2007) e a frutas cítricas (GORINSTEIN, MARTÍN-
BELLOSO, PARK, 2001).
O conteúdo de polifenóis solúveis foi inferior ao de polifenóis hidrolisáveis em
quase todos os alimentos e suas frações analisadas. Como exceção, o tomate,
orgânico e convencional, cujo conteúdo de polifenóis solúveis foi superior ao de
polifenóis hidrolisáveis. No entanto, pode ter ocorrido uma interferência da vitamina
C na determinação do conteúdo de polifenóis solúveis, que este fruto apresentou
teores consideráveis desta vitamina. O maior conteúdo de polifenóis na fração
hidrolisável, já era esperado. Recentemente, estudos vêm demonstrando que a
extração de polifenóis através de soluções hidro-alcóolicas é incompleta, estando
presente no resíduo uma proporção importante de polifenóis não solúveis, influindo
também na determinação da capacidade antioxidante das amostras (PÉREZ-
JIMÉNEZ, SAURA-CALIXTO, 2005).
A acidificação do meio permite obter teores de polifenóis mais próximos
àqueles realmente presentes no alimento, pois permite a ocorrência de hidrólise e
dissociação de polifenóis da matriz alimentar. Isso demonstra que, dependendo da
metodologia aplicada, os valores de polifenóis e capacidade antioxidante podem ser
subestimados, tanto em relação ao seu conteúdo nos alimentos, quanto a sua
bioacessibilidade no organismo (SERRANO, GOÑI, SAURA-CALIXTO, 2007).
Resultados e Discussão
67
4.2. CAPACIDADE ANTIOXIDANTE EM HORTALIÇAS E FRUTAS
ORGÂNICAS E CONVENCIONAIS
A capacidade antioxidante obtida pelo todo do radical DPPH das hortaliças
e suas frações analisadas está ilustrada na figura 12. Os gráficos demonstram o
perfil de decaimento da absorbância gerada pelo radical DPPH em função do tempo,
considerando como 100% a absorbância do DPPH no tempo zero. Quanto menor o
percentual de DPPH após 60 minutos de reação, maior é, conseqüentemente, a
capacidade antioxidante da fração em questão. Para a batata e a cenoura, as
cascas apresentaram maior capacidade antioxidante quando comparados com as
polpas, tanto para o cultivo orgânico como para o convencional (figuras 12A e D). O
mesmo ocorreu com o repolho convencional em relação ao orgânico, para as folhas
externas e internas (figura 12E).
A tabela 6 demonstra o percentual de seqüestro de radical livre (SRL) após 60
minutos de reação, onde apenas o talo de brócolis apresentou diferença estatística
entre a versão orgânica e a convencional. Em ambos os tipos de agricultura as
frações de brócolis foram aquelas que apresentaram maior capacidade antioxidante.
As principais diferenças foram observadas na cebola e polpa da batata, onde a
versão orgânica apresentou aproximadamente o dobro da capacidade antioxidante
que a versão convencional, e para o repolho, em que ocorreu o inverso.
Resultados e Discussão
68
Batata
0 20 40 60 80
0
20
40
60
80
100
120
Casca OG
Casca CV Polpa CV
Polpa OG
Tempo (min)
% DPPH
Brócolis
0 20 40 60 80
0
20
40
60
80
100
120
Talo CV
Talo OG
Folha CV
Folha OG
Flor CV
Flor OG
Tempo (min)
% DPPH
Cebola
0 20 40 60 80
0
20
40
60
80
100
120
Convencional Orgânico
Tempo (min)
% DPPH
Cenoura
0 20 40 60 80
0
20
40
60
80
100
120
Casca CV
Casca OG Polpa CV
Polpa OG
Tempo (min)
% DPPH
Repolho
0 20 40 60 80
0
20
40
60
80
100
120
Externo CV
Externo OG
Interno CV
Interno OG
Tempo (min)
% DPPH
Tomate
0 20 40 60 80
0
20
40
60
80
100
120
Casca CV
Casca OG Polpa CV
Polpa OG
Tempo (min)
% DPPH
Figura 12. Curso Temporal da Capacidade Antioxidante de Hortaliças Orgânicas e
Convencionais pelo Método DPPH. A capacidade antioxidante dos EF foi aferida
utilizando solução de DPPH 100µM. Os valores são expressos em percentual de
decaimento da absorbância de DPPH, em função do tempo, a partir do tempo zero. (A)
batata, (B) brócolis, (C) cebola, (D) cenoura, (E) repolho e (F) tomate.
A
B
C D
E
F
Resultados e Discussão
69
Tabela 6
.
Capacidade de Seqüestro de Radicais Livres em Hortaliças Orgânicas
e Convencionais
Capacidade Antioxidante
(% SRL) de Hortaliças Orgânicas e
Convencionais em 60 minutos
Hortaliça Orgânica Convencional
Casca
38,9
±0,14
28,8
±0,08
Batata
Polpa
23,1
±0,17
9,1
±0,06
Talo
61,0
±0,06
81,9
±0,01 *
Flor
73,8
±0,03
78,9
±0,02
Brócolis
Folha
79,2
±0,01
76,6
±0,01
Cebola
41,9
±0,26
26,4
±0,32
Casca
61,9
±0,10
61,2
±0,19
Cenoura
Polpa
19,0
±0,28
48,3
±0,01
Externo
38,7
±0,33
68,4
±0,21
Repolho
Interno
30,
0 ±0,16
70,1
±0,21
Casca
38,3
±0,01
34,2
±0,17
Tomate
Polpa
44,8
±0,12
41,8
±0,02
Valores expressos em percentual de seqüestro de radicais livres (SRL).
* Valores estatisticamente diferentes, teste Bonferroni (p<0,05). OG: orgânico, CV:
convencional.
Interessante notar que, não houve predominância de nenhuma agricultura
para a capacidade antioxidante, semelhante ao observado para os polifenóis
hidrolisáveis. A cebola, em especial, que apresentou valores de polifenóis solúveis
bastante superiores na variedade convencional, não obteve maior capacidade
antioxidante neste tipo de cultivo. O brócolis, tanto orgânico como convencional,
apresentou maior capacidade antioxidante entre as hortaliças analisadas. Este fato
sugere que outros componentes da matriz alimentar possam estar atuando como
antioxidantes, incluindo o ácido ascórbico, além de outros compostos bioativos, tais
como carotenóides e glicosinolatos (PRIOR ET AL., 2003).
Alterações na composição qualitativa dos polifenóis podem ainda vir a
modificar a capacidade antioxidante total, uma vez que cada substância apresenta
determinada atividade antioxidante em função de sua estrutura química,
Resultados e Discussão
70
principalmente em relação ao número de radicais hidroxila livres (RICE-EVANS;
MILLER; PAGANG, 1997). Esta hipótese, envolvendo alterações no perfil qualitativo,
também pode estar influenciando os dados de capacidade antioxidante obtidos entre
as hortaliças orgânicas e convencionais.
A capacidade antioxidante das frutas orgânicas e convencionais está
demonstrada na figura 13. De maneira geral, as cascas e polpas das frutas
analisadas apresentaram um perfil de reação parecida para ambos os tipos de
cultivo. O pequeno aumento no percentual de DPPH, entre 30 e 60 minutos,
observado na casca e polpa da manga convencional pode ser decorrente da
interferência de outros componentes no método utilizado. De acordo com Noruma et
al. (1997), os carotenóides podem interferir com o método DPPH, o que poderia
explicar o aumento observado na manga convencional, uma vez que este alimento é
fonte destes fitoquímicos.
A capacidade de seqüestro de radicais livres (SRL) foi significativamente
superior no cultivo orgânico para todas as cascas analisadas, com exceção da
banana e da laranja. no caso das polpas, maior capacidade de seqüestro de
radicais foi observada na maioria das frutas oriundas da agricultura convencional,
sendo esta diferença significativa no caso do mamão e da tangerina (tabela 7).
Resultados e Discussão
71
Banana
0 20 40 60 80
0
20
40
60
80
100
120
Tempo (min)
% DPPH
Laranja
0 20 40 60 80
0
20
40
60
80
100
120
Tempo (min)
% DPPH
Maçã
0 20 40 60 80
0
20
40
60
80
100
120
Tempo (min)
% DPPH
Mamão
0 20 40 60 80
0
20
40
60
80
100
120
Tempo (min)
% DPPH
Manga
0 20 40 60 80
0
20
40
60
80
100
120
CV - casca OG - casca
Tempo (min)
% DPPH
Tangerina
0 20 40 60 80
0
20
40
60
80
100
120
CV - polpa
OG - polpa
Tempo (min)
% DPPH
Figura 13. Curso Temporal da Capacidade Antioxidante de Hortaliças Orgânicas e
Convencionais pelo Método DPPH. A capacidade antioxidante dos EF foi aferida
utilizando solução de DPPH 100µM. Os valores são expressos em percentual de
decaimento da absorbância de DPPH, em função do tempo, a partir do tempo zero. (A)
banana, (B) laranja, (C) maçã, (D) mamão, (E) manga e (F) tangerina.
A
B
C
D
E
F
Resultados e Discussão
72
Tabela 7. Capacidade de Seqüestro de Radicais Livres em Frutas Orgânicas e
Convencionais.
Capacidade Antioxidante (% SRL)*de Frutas Orgâncias e Convencionais em 60
minutos
Fruta Casca OG Casca CV Polpa OG Polpa CV
Banana 54,1
±2,05
41,1
±13,51
47,5
±5,35
50,5
±0,14
Laranja 66,7
±3,73
92,0
±0,98
* 83,0
±0,02
85,1
±0,25
Maçã 74,9
±0,04
*
68,7
±3,28
66,0
±0,08
62,5
± 1,56
Mamão 89,9
±4,62
*
76,7
±0,28
79,6
±3,63
93,1
±0,94
*
Manga 89,5
±5,60
*
75,2
±0,04
91,6
±1,89
*
47,1
±2,93
Tangerina 89,2
±3,08
*
68,8
±3,27
50,8
±2,99
62,7
±1,51
*
Valores expressos em percentual de seqüestro de radicais livres (SRL).
* Valores estatisticamente diferentes, teste Bonferroni (p<0,05). OG: orgânico, CV:
convencional.
As cascas, por envolverem as frutas na sua integralidade, estão mais sujeitas
ao estímulo para síntese de substâncias de defesa endógenas, podendo apresentar
maior concentração destes compostos, como foi observado no presente estudo e
demonstrado anteriormente (LI ET AL., 2006). Outra hipótese sugere alterações na
distribuição destes compostos recém sintetizados pelos tecidos vegetais, uma vez
que, sendo compostos de defesa, as cascas tendem a apresentar concentrações
maiores destes em relação à polpa, alterando, também, a capacidade antioxidante
(BALASUNDRAM, SUNDRAM, SAMMAN, 2006).
No entanto, a maior capacidade antioxidante das cascas orgânicas em
relação às convencionais não deve estar sendo influenciada diretamente pelo teor
de compostos fenólicos, uma vez que estes não seguiram o mesmo padrão da
capacidade antioxidante. Outras substâncias, como o ácido ascórbico, podem estar
exercendo este efeito, porém este parâmetro não foi contemplado no momento por
este estudo.
Resultados e Discussão
73
Estudos comparativos entre alimentos convencionais e orgânicos avaliando o
conteúdo de polifenóis e capacidade antioxidante demonstram resultados variados.
O teor de polifenóis totais foi superior em ameixas sob cultivo convencional,
enquanto que o conteúdo de ácido ascórbico foi superior na variedade orgânica
(LOMBARDI-BOCCIA ET AL., 2004). Neste estudo, os autores observaram ainda
diferenças no perfil qualitativo dos compostos fenólicos entre as duas agriculturas,
tendo a ameixa orgânica mais campeferol e mirecitina e a variedade convencional,
maior conteúdo de quercetina, como já mencionado anteriormente.
As capacidades antioxidantes observadas em pêssegos e pêras, orgânicas e
convencionais, foram similares em estudo realizado por Carbonaro et al. (2002).
Porém, outros nutrientes antioxidantes foram encontrados em diferentes proporções,
dependendo da fruta e do tipo de cultivo, de forma que os pêssegos orgânicos
apresentaram maior concentração de ácidos ascórbico e cítrico, enquanto que as
pêras obtiveram maior teor de tocoferol. Dessa forma, mudanças quantitativas e
qualitativas em relação aos compostos fenólicos e outros componentes
antioxidantes, podem alterar a capacidade antioxidante total avaliada.
Adicionalmente, diferentes afinidades destas substâncias com o radical DPPH
podem, ainda, influenciar os resultados obtidos a respeito das capacidades
antioxidantes de cada alimento (HEIM; TAGLIAFERRO; BOBILYA, 2002).
Em outro estudo, realizado com diferentes vegetais submetidos a
fracionamentos, como corte mecânico e, conseqüentemente, a ruptura celular,
verificou-se um aumento no teor total de polifenóis solúveis em alface, aipo,
cenoura, nabo e batata doce, enquanto que para repolho branco e roxo, batata
inglesa, rabanete e abobrinha, o teor de polifenóis reduziu após a lesão tecidual
Resultados e Discussão
74
(REYS; VILLARREAL; CISNEROS-ZEVALLOS, 2007). A atividade antioxidante dos
vegetais que apresentaram aumento do teor de polifenóis após o estresse mecânico
também foi superior a dos alimentos íntegros, com exceção do repolho branco, cujo
aumento de atividade antioxidante não apresentou diferença significativa. Neste
estudo houve relação direta entre o aumento do conteúdo de polifenóis e o aumento
da atividade antioxidante.
4.3. CONTEÚDO DE ÁCIDO ASCÓRBICO EM HORTALIÇAS ORGÂNICAS E
CONVENCIONAIS
Os perfis cromatográficos obtidos pelo padrão de ácido ascórbico (AA) e de
ácido ascórbico da folha de brócolis in natura estão demonstrados na figura 14,
como exemplos das análises realizadas por cromatografia líquida de alta eficiência
(CLAE).
As curvas padrão e equações da reta para o ácido ascórbico e o ácido
dehidroascórbico, a partir das leituras a 243nm e 254nm, respectivamente, podem
ser visualizadas na figura 15.
Resultados e Discussão
75
Padrão de Ácido Ascórbico
0 200 400 600 800
0
500
1000
1500
2000
2500
Tempo
Absorbância
0 200 400 600 800
0
500
1000
1500
2000
2500
Tempo
Absorbância
Folha de Brócolis Convencional
0 200 400 600 800
0
500
1000
1500
2000
2500
Tempo
Absorbância
0 200 400 600 800
0
500
1000
1500
2000
2500
Tempo
Absorbância
Figura 14. Perfil Cromatográfico do Conteúdo de Àcido Ascórbico e Ácido
Dehidroascórbico. O teor de AA e DHA foram quantificados por CLAE utilizando tampão
fosfato pH 2.32, fluxo 0,4mL/ minuto e solução padrão de ácido ascórbico nas
concentrações de 2 a 20µg/ mL. As leituras foram realizadas a 243nm e 254nm para AA e
DHA, respectivamente. (A) perfil cromatográfico do AA a 20µg/ mL em 243nm, (B) perfil
cromatográfico do AA a 20µg/ mL em 254nm, (C) perfil cromatográfico da folha de brócolis
convencional in natura em 243nm, (D) perfil cromatográfico da folha de brócolis
convencional in natura em 254nm.
C D
A B
Resultados e Discussão
76
Ácido Ascórbico
y = 0,2135x - 0,1288
R
2
= 0,9443
0
5
10
15
20
25
0,0 20,0 40,0 60,0 80,0 100,0
Área do Pico
Conteúdo de AA (mcg/ mL)
Ácido Dehidroascórbico
y = 0,243x - 0,6117
R
2
= 0,9565
0
5
10
15
20
25
0,0 20,0 40,0 60,0 80,0 100,0
Área do Pico
Concentração de DHA (mcg/ mL)
Figura 15. Curva Padrão de Ácido Ascórbico (A) e Ácido Dehidroascórbico (B). Curvas
padrão a partir de solução de ácido ascórbico nas concentrações 2, 5, 10, 15 e 20µg, por
CLAE, nos comprimentos de onda 243nm para AA e 254nm para DHA.
A
B
Resultados e Discussão
77
O conteúdo de ácido ascórbico e ácido dehidroascórbico presente nas
hortaliças está descrito na tabela 8. As amostras de batata e cenoura, de ambos os
tipos de cultivo, não apresentaram quantidade de ascorbato ou dehidroascorbato
capazes de serem detectadas pela metodologia empregada. O mesmo ocorreu para
o repolho convencional e o orgânico, com exceção do ácido ascórbico na versão
orgânica.
Tabela 8 - Teor de Ácido Ascórbico e Ácido Dehidroascórbico em Hortaliças
Orgânicas e Convencionais
Ácido Ascórbico
(µg/ mL EF)
Ácido Dehidroascórbico
(µg/ mL EF)
Alimento
Orgânico Convencional Orgânico Convencional
Batata
Casca
nd nd nd nd
Polpa
nd nd nd nd
Brócolis
Talo
509,58 ±11,7 479,29 ±137,0 448,47 ±1,6 425,44 ±126,6
Flor
259,93 ±49,7 497,19 ±5,9 * 236,95 ±51,0 467,32 ±5,0 *
Folha
1009,71 ±68,0 1218,84 ±0,1 * 996,36 ±47,0 1253,69 ±4,1 *
Cebola
24,36 ±7,7 89,75 ±60,4 nd 69,52 ±66,6
Cenoura
Casca
nd nd nd nd
Polpa
nd nd nd nd
Repolho
Externo
22,19 ±0,1 nd nd nd
Interno
25,53 ±1,1 nd nd nd
Tomate
Casca
96,25 ±16,9 * 32,33 ±9,0 81,72 ±31,8 7,75 ±3,0
Polpa
122,90 ±19,7 123,18 ±23,4 123,04 ±41,6 120,36 ±46,6
* Valores estatisticamente diferentes, teste Bonferroni (p<0,05) entre. OG: orgânico, CV:
convencional.
nd – quantidade não detectada.
Apesar dos resultados apresentados quanto aos teores de AA, diferenças
significativas foram observadas na flor e folha de brócolis, favorecendo a
agricultura convencional, e na casca do tomate favorecendo o cultivo orgânico. No
caso do ácido dehidroascórbico, as diferenças significativas entre as variedades
orgânicas e convencionais foram observadas nos talos e folhas do brócolis.
Resultados e Discussão
78
Cabe destacar que, ao compararmos o teor de ácido ascórbico segundo a
tabela de composição de alimentos da USDA, o repolho e a batata, apresentaram
valores superiores ao do tomate e da cebola. A USDA apresenta teores de 36,6 e
19,7mg/100g peso fresco para repolho e batata, respectivamente, enquanto que,
neste estudo, o teor de vitamina C o pode ser identificado, especialmente na
versão convencional.
O ascorbato é o antioxidante predominante das células vegetais, estando
presente em todos os compartimentos intracelulares em concentrações que variam
de 20 a 300mM. Em situações de estresse oxidativo, é o ascorbato, através da
enzima ascorbato peroxidase (APX), que combate os radicais livres, especialmente
o peróxido de hidrogênio (SMIRNOFF, 2000). Durante o processo de degradação do
ácido ascórbico, este é primeiramente convertido à dihidroascórbico. Este processo
de conversão pode ter ocorrido no repolho convencional, cujos valores de ascorbato
não foram detectados.
No caso da batata inglesa, em que não foi identificada nenhuma forma de
vitamina C nas amostras orgânicas ou convencionais, o processo de degradação
pode ter sido ainda mais acentuado, uma vez que esta hortaliça apresenta alta
atividade da enzima polifenol oxidase (PPO). Han et al. (2004) demonstram que a
vitamina C pode ser utilizada como substrato desta enzima durante o processo de
escurecimento enzimático, sendo este processo intensificado durante o
processamento. Dessa forma, o conteúdo de ácido ascórbico pode ter sido reduzido
durante o tratamento dado às amostras, tanto pela ação da APX e da PPO, como
pela degradação pelo próprio oxigênio.
Resultados e Discussão
79
Estudos sugerem ainda que o teor de ácido ascórbico naturalmente presente
no vegetal pode ser um fator que influencia o destino dado aos compostos fenólicos
recém sintetizados. Em tecidos vegetais, o ácido ascórbico é o antioxidante utilizado
para estabilizar o desequilíbrio redox do meio intracelular, sendo um dos primeiros
compostos antioxidantes a serem utilizados em vegetais com concentrações mais
elevadas desta vitamina (MITTLER, 2002). Em outros vegetais, onde há menor
concentração de ácido ascórbico, os compostos fenólicos podem ser utilizados
preferencialmente com a função de antioxidante (REYS; VILLARREAL; CISNEROS-
ZEVALLOS, 2007).
Considerando esta hipótese, a cebola orgânica contendo um teor de ácido
ascórbico inferior ao da cebola convencional (24,36 e 89,75 µg/ mL de suco,
respectivamente), teria maior proporção dos polifenóis sintetizados destinados ao
combate de radicais livres. Isso resultaria em menor quantidade de polifenóis
solúveis comparada a de polifenóis hidrolisáveis, assim como maior capacidade
antioxidante da cebola orgânica. Embora estes resultados tenham sido observados
neste trabalho, cabe ressaltar que este comportamento não se repetiu em todas as
variedades de hortaliças analisadas.
O maior teor de vitamina C encontrado nas flores de brócolis convencional,
chegando a quase o dobro do obtido para a versão convencional, pode ter
contribuído para os maiores valores de polifenóis solúveis vista nesta fração
convencional. O ácido ascórbico é conhecido como um interferente na metodologia
de quantificação de polifenóis pelo reagente de Folin-Ciocalteu (AINSWORTH,
GILLESPIE, 2007).
Resultados e Discussão
80
4.4. INFLUÊNCIA DA ADIÇÃO DE ÁCIDO ASCÓRBICO SOBRE A
DETERMINAÇÃO DO CONTEÚDO DE POLIFENÓIS E CAPACIDADE
ANTIOXIDANTE POR DPPH
A avaliação da interação da vitamina C com o reagente de Folin-Ciocalteu,
assim como a interferência da adição de ácido ascórbico na quantificação de
polifenóis e da capacidade antioxidante foram avaliadas, uma vez que estudos
indicam uma possível interação levando a superestimação do conteúdo de polifenóis
(SOUCI; FACHMANN; KRAUT, 2006; AINSWORTH, GILLESPIE, 2007).
As curvas-padrão das soluções de ácido ascórbico e ácido gálico utilizadas na
reação com o reagente Folin-Ciocalteu estão ilustradas na figura 16, onde é
observada uma interação positiva de ambas substâncias testadas com o reagente.
Através de regressão linear dos pontos plotados nas figuras 16A e B, e da
conseqüente equação da reta, observamos que para gerar 1 unidade de
absorbância são necessários, aproximadamente, 13,1µg de vitamina C. para o
ácido gálico, apenas 8,7 µg resultaria na mesma absorbância, demonstrando que
o ácido ascórbico necessita estar em maiores concentrações para gerar mesma
absorbância que o ácido gálico numa mesma concentração.
O grau de interferência da vitamina na determinação de polifenóis através do
reagente de Folin-Ciocalteu foi estimado por Singleton e Rossi (1965), que
observaram que 0,7mg de equivalentes de catequina correspondia a 1mg de ácido
ascórbico, ou aproximadamente 40-46% do total de polifenóis em alimentos fonte de
ácido ascórbico (SOUCI; FACHMANN; KRAUT, 2006). Neste trabalho, o uso de
soluções de ácido ascórbico e ácido gálico, como padrões para o reagente de Folin-
Ciocalteu, ratificou a reação da vitamina C com este reagente.
Resultados e Discussão
81
Ácido Ascórbico
y = 14,46x - 1,3737
R
2
= 0,9937
0
5
10
15
20
25
0 0,2 0,4 0,6 0,8 1 1,2 1,4 1,6
Absorbância
Concentração de AA (µg/ mL)
Ácido Gálico
y = 9,1173x - 0,4466
R
2
= 0,9964
0
5
10
15
20
25
0 0,5 1 1,5 2 2,5
Absorbância
Concentração de AG (µg/ mL)
Figura 16. Curvas Padrão de Ácido Ascórbico (A) e Ácido Gálico (B) com Reagente
Folin-Ciocalteu. Soluções de AA e AG utilizadas nas concentrações 2.5, 5, 7.5, 10, 15 e
20µg/ mL em meio alcalino (solução de carbonato de sódio 20%).
A
B
Resultados e Discussão
82
A influência da adição, em EF, de diferentes concentrações de ácido
ascórbico na determinação de polifenóis solúveis e hidrolisáveis está demonstrada
na figura 18. Esse procedimento permite avaliar o efeito da vitamina C na
metodologia aplicada neste estudo, além de verificar diferenças desta vitamina entre
alimentos fonte ou não, como a laranja e a cebola, respectivamente.
Para a cebola, a adição de AA nas concentrações de 0,5 e 0,75µg, resultou
em alteração significativa da determinação do conteúdo de polifenóis solúveis (figura
17A). A adição de ácido ascórbico à laranja levou ao aumento na detecção de
polifenóis solúveis na concentração de 0,75µg, porém sem diferença significativa
entre as diferentes concentrações adicionadas mesmo não foi observado quando as
mesmas concentrações foram adicionadas à laranja (figura 17B).
na determinação de polifenóis hidrolisáveis, pelo todo de Folin-
Ciocalteu, a adição de ácido ascórbico à cebola não resultou em alteração
significativa em nenhuma das três concentrações testadas (figura 17C). No entanto,
quando adicionado à laranja na concentração de 0,25µg e 0,50µg ocorreu redução
do valor de polifenóis hidrolisáveis quando comparado ao controle. O mesmo não foi
observado na concentração de 0,75µg, assim como não houve diferença significativa
entre as três concentrações de vitamina C utilizadas (figura 17D).
A metodologia aplicada para extração de polifenóis, que utiliza banho-maria a
90°C por três horas, pode justificar as diferenças observadas entre o uso do ácido
ascórbico como padrão e adicionado ao alimento, que recentemente foi
demonstrado que este procedimento pode reduzir em até 85% a interferência por
vitamina C e outros compostos (AINSWORTH, GILLESPIE, 2007).
Resultados e Discussão
83
Polifenóis Solúveis
Cebola
Control
e
0,
2
5
mcg
AA
0,
5
mc
g
AA
0,
75mcg
AA
0.0
0.5
1.0
1.5
2.0
b b
c
a
mg EAG/ mL EF
Laranja
C
ont
r
ol
e
0,25mcg AA
0,
5mc
g AA
0,75mc
g
AA
0.0
0.5
1.0
1.5
2.0
b
ab
ab
a
mg EAG/ mL EF
Polifenóis Hidrolisáveis
Cebola
Control
e
0,
2
5
mcg
AA
0,
5
mc
g
AA
0,
75mcg
AA
0.0
0.5
1.0
1.5
2.0
a
a
a
a
mg EAG/ mL EF
Laranja
Controle
0,25mcg AA
0,5mcg AA
0,75mcg AA
0.0
0.5
1.0
1.5
2.0
2.5
a
b
b ab
mg EAG/ mL EF
Figura 18. Polifenóis solúveis e hidrolisáveis em alimentos na ausência e na presença
de ácido ascórbico. Determinação do conteúdo de polifenóis solúveis e hidrolisáveis de EF
de cebola e laranja adicionados ou não de diferentes concentrações de AA. Extração
realizada com solução de MeOH 50% (polifenóis solúveis) ou MeOH 50%1,2M HCl
(polifenóis hidrolisáveis) em banho-maria, 90°C, 18 0 minutos. Quantificação de polifenóis
realizada pelo reagente Folin-Ciocalteu com solução de carbonato de sódio 20%, valores
expressos em mg de equivalentes de ácido gálico por mL extrato. Gráficos (A) e (B)
demonstram conteúdo de polifenóis solúveis e (C) e (D) polifenóis hidrolisáveis em cebola e
laranja, respectivamente. Letras iguais nas colunas representam ausência de diferença
estatística (Bonferroni p < 0,05).
A
C
B
D
Resultados e Discussão
84
A vitamina C pode apresentar efeito negativo na quantificação de polifenóis,
uma vez que, conforme descrito anteriormente interfere no método. Entretanto, pode
atuar evitando a oxidação polifenóis, garantido maior estabilidade, pois os mesmos
tendem a ser instáveis em condições oxidativas (HATANO ET AL., 2007). Dessa
forma, alimentos com baixo conteúdo de ácido ascórbico, como a cebola, podem ser
mais suscetíveis à oxidação dos polifenóis. Neste caso, a adição de vitamina C em
concentração mais elevada que a endógena poderia agir prevenindo esta
degradação. Em contrapartida, em alimentos com maior conteúdo de ácido
ascórbico, como a laranja, a vitamina C adicionada não teria este efeito, uma vez
que a estabilidade já é garantida pelo conteúdo endógeno.
A adição de 0.25, 0.5 ou 0.75 microgramas de AA nos extratos fluidos de
cebola e de laranja, apresentou o mesmo perfil para capacidade antioxidante,
conforme pode ser visualizado na figura 18. Para os extratos solúveis, observamos
um efeito dose dependente, onde a capacidade de redução da absorbância do
radical DPPH aumenta de acordo com o aumento da concentração de ácido
ascórbico adicionado (figuras 18A e C). Ao contrário, a adição de diferentes
concentrações de ácido ascórbico não resultou em diferença no perfil de reação dos
extratos hidrolisáveis de cebola e laranja (figuras 18B e D).
Quando analisados estatisticamente, verificamos que os extratos solúveis,
tanto de cebola como de laranja, apresentaram diferença tanto entre as amostras
adicionadas de ácido ascórbico em relação ao controle, como entre as
concentrações de vitamina C (tabela 9).
Resultados e Discussão
85
Cebola
0 20 40 60 80
0
20
40
60
80
100
120
Controle 0,25mcg AA
Extrato Solúvel
Tempo (min)
% DPPH
Extrato Hidrolisável
0 20 40 60 80
0
20
40
60
80
100
120
0,5mcg AA 0,75mcg AA
Tempo (min)
% DPPH
Laranja
Extrato Solúvel
0 20 40 60 80
0
20
40
60
80
100
120
Controle 0,25mcg AA
Tempo (min)
% DPPH
Extrato Hidrolisável
0 20 40 60 80
0
20
40
60
80
100
120
0,5mcg AA 0,75mcg AA
Tempo (min)
% DPPH
Figura 18. Curso Temporal da Capacidade Antioxidante dos Extratos Solúveis e
Hidrolisáveis Adicionados de Ácido Ascórbico. Os EF de cebola e laranja foram
adicionados de 0,25, 0,5 ou 0,75mcg de AA tendo posteriormente a capacidade antioxidante
avaliada com solução de DPPH 100µM. (A) e (C) demonstram a capacidade antioxidante
dos extratos solúveis e (B) e (D) dos extratos hidrolisáveis de cebola e laranja,
respectivamente.
A B
C D
Resultados e Discussão
86
Para o extrato hidrolisável de cebola, não houve diferença significativa entre
as diferentes concentrações de ácido ascórbico, no entanto, todas as concentrações
utilizadas apresentaram capacidade de seqüestro de radicais livres superior ao
controle. O extrato hidrolisável de laranja apresentou o mesmo padrão, porém a
adição de 0,75mcg de ácido ascórbico resultou em um maior aumento, quando
comparadas às demais concentrações utilizadas.
Tabela 9 – Capacidade Antioxidante dos Extratos Solúveis e Hidrolisáveis
Adicionados de Ácido Ascórbico
Capacidade Antioxidante (% SRL) em 60 minutos
Extrato Controle
0,25mcg AA 0,5mcg AA 0,75 mcg AA
Solúvel 2,6 a 10,3 b 19,9 c 33,5 d
Cebola
Hidrolisável
46,8 a 52,6 b 53,6 b 53,8 b
Solúvel 8,7 a 24,0 b 38,8 c 47,2 d
Laranja
Hidrolisável
52,4 a 55,7 b 55,2 ab 64,0 c
Letras iguais na mesma linha representa valores sem diferença significativa, teste
de Bonferroni (p<0,05).
A mesma estabilidade dos polifenóis garantida pela vitamina C nos extratos
solúveis pode ser responsável pela maior capacidade antioxidante destes extratos.
Além de prevenir alterações estruturais nos compostos fenólicos pela oxidação, o
próprio ácido ascórbico pode estar induzindo ao aumento nesta capacidade. A
vitamina C é uma potente substância no combate à radicais livres, sendo inclusive
utilizada como padrão em algumas metodologias que avaliam a capacidade
antioxidante de alimentos (KIM; JEONG; LEE, 2004).
A variação do pH dos extratos adicionados de ácido ascórbico em relação ao
controle está descrita na tabela 10. Os extratos hidrolisáveis da cebola e da laranja
apresentaram valores bastante ácidos e com pouca variação, de acordo com o
Resultados e Discussão
87
aumento das concentrações de AA adicionadas. A acidez do meio pode ser devida a
presença de ácido clorídrico na solução de extração para polifenóis hidrolisáveis.
O efeito desta vitamina no potencial antioxidante dos extratos solúveis, e não
nos hidrolisáveis, pode ser também consequência das diferenças observadas no pH
dos meios. Os extratos solúveis apresentaram uma gradual redução no pH, à
medida que se adicionou vitamina C, o que não ocorreu nos extratos hidrolisáveis,
onde o pH se manteve constante e mais ácido.
Tabela 10 - Variação do pH dos Extratos Adicionados de Ácido Ascórbico
Extrato Controle
0,25mcg AA 0,5mcg AA 0,75 mcg AA
Solúvel 5,74 3,81 4,04 4,00
Cebola
Hidrolisável
0,25 0,23 0,15 0,15
Solúvel 4,11 3,99 4,20 2,86
Laranja
Hidrolisável
0,18 0,20 0,14 0,13
Estudo realizado com dezesseis cultivares de uva mostrou que, quando o pH
variava entre 3,0 e 4,0, apresentava correlação negativa com a capacidade
antioxidante, ou seja, valores de pH mais ácidos resultavam em maior capacidade
antioxidante, o que foi observado neste trabalho para os extratos solúveis. No
entanto, o cultivar que apresentou menor pH (0,27) foi também o que apresentou
menor capacidade antioxidante entre as dezesseis amostras, semelhante ao efeito
encontrado nos extratos hidrolisáveis (ORAK ET AL., 2007). Tal fato sugere que a
redução do pH tem um efeito positivo sobre a capacidade antioxidante; porém, esta
relação pode não ser a mesma em meios mais ácidos, com pH inferior a 1,0, por
exemplo
Resultados e Discussão
88
As principais variações, entre os tipos de agricultura, nos conteúdos de
polifenóis solúveis, hidrolisáveis, ácido ascórbico e capacidade antioxidante das
hortaliças e frutas analisadas in natura podem ser visualizadas nas tabelas 11 e 12.
Apesar dos indícios da modulação da síntese de compostos de defesa a partir
da exposição da planta a situações agressivas, o cultivo orgânico não resultou em
alterações bem definidas no conteúdo de polifenóis nas frutas e hortaliças
analisadas. Poucas diferenças estatisticamente significativas foram observadas para
os teores de polifenóis solúveis e hidrolisáveis no caso das hortaliças. Tendo ainda
pouca variação entre as frações analisadas. Já as frutas, os resultados sugerem que
sejam mais suscetíveis a modulação pelo tipo de agricultura utilizado, apresentando
inclusive maior variação na distribuição de polifenóis entre cascas e polpas
analisadas. As cascas inclusive apresentaram maior capacidade antioxidante nas
versões orgânicas, o que é positivo uma vez que, procurando aproveitar as frutas
integralmente, utilizando as cascas, um menor risco da presença de resíduos de
agroquímicos.
De maneira geral, o teor de polifenóis e a capacidade antioxidante mostraram
perfis distintos para cada espécie vegetal, não havendo um padrão para todos os
alimentos de acordo com o tipo de agricultura. Os resultados sugerem que uma
tendência de acúmulo de compostos fenólicos e, conseqüentemente maior
capacidade antioxidante, nos alimentos cultivados pela agricultura orgânica, porém
esta associação ainda não está totalmente clara e parece ser variável de acordo
com o cultivar, sendo essencial a realização de novos estudos.
89
Tabela 12. Resumo dos Resultados Obtidos para Hortaliças Orgânicas e Convencionais.
Cédulas assinaladas com X representam maior conteúdo do parâmetro analisado no tipo de agricultura em questão. * representa
diferença significativa entre os tipos de agricultura analisados, OG: orgânica; CV: convencional.
Polifenóis Solúveis Polifenóis Hidrolisáveis Vitamina C Capacidade Antioxidante
Hortaliças
OG CV OG CV OG CV OG CV
Batata
Casca
X * X * nd nd X
Polpa
X X nd nd X
Brócolis
Folha
X X X X
Talo
X X X * X *
Flor
X X X X
Cebola X X * X * X
Cenoura
Casca
X X nd nd X
Polpa
X X nd nd X
Repolho
Externo
X X * X nd X
Interno
X X X nd X
Tomate
Casca
X X X * X
Polpa
X X X X
90
Tabela 13. Resumo dos Resultados Obtidos para Frutas Orgânicas e Convencionais.
Polifenóis Solúveis Polifenóis Hidrolisáveis Capacidade Antioxidante
Frutas
OG CV OG CV OG CV
Banana
Casca
X X * X
Polpa
X X X
Laranja
Casca
X * X * X *
Polpa
X X X
Maçã
Casca
X X X *
Polpa
X X X
Mamão
Casca
X X * X *
Polpa
X * X * X *
Manga
Casca
X X X *
Polpa
X X X
Tangerina
Casca
X X * X *
Polpa
X X X *
Cédulas assinaladas com X representam maior conteúdo do parâmetro analisado no tipo de agricultura em
questão. * representa diferença significativa entre os tipos de agricultura analisados, OG: orgânica; CV:
convencional.
Resultados e Discussão
91
4.5. EFEITO DE DIFERENTES MÉTODOS DE COCÇÃO SOBRE O TEOR
DE POLIFENÓIS E CAPACIDADE ANTIOXIDANTE DE HORTALIÇAS ORGÂNICAS
E CONVENCIONAIS
A cocção de batata, cenoura, cebola, brócolis e repolho pelos métodos de
água em ebulição, microondas e à vapor, resultou na redução do conteúdo de
polifenóis solúveis e hidrolisáveis, assim como na diminuição da capacidade
antioxidante, quando comparados aos alimentos crus. As hortaliças orgânicas
apresentaram maior sensibilidade às perdas ocasionadas pelo processamento
térmico, sendo a cocção a vapor a que resultou no menor conteúdo de polifenóis
solúveis e hidrolisáveis. A cebola orgânica não apresentou este perfil, podendo ser
resultado da síntese de novos compostos mais solúveis durante o processo de
cocção. De maneira geral, as hortaliças de ambos os tipos de agricultura
apresentaram maiores perdas no conteúdo de polifenóis solúveis do que nos
hidrolisáveis, sugerindo uma maior suscetibilidade dos primeiros ao calor. A
capacidade antioxidante diminuiu na maioria das hortaliças orgânicas e
convencionais, com exceção do brócolis. A maior capacidade antioxidante desta
hortaliça após a cocção, mesmo ocorrendo perdas no conteúdo de polifenóis, pode
ser em função da presença de outras substâncias na matriz alimentar. O efeito
negativo dos todos de cocção aplicados sobre o conteúdo de polifenóis e
capacidade antioxidante de hortaliças demonstra que o consumo dietético destes
compostos é inferior ao estimado pela análise de alimentos in natura.
Os resultados e discussão referentes a esta parte da dissertação podem ser
visualizados na íntegra no manuscrito, a ser submetido para o periódico “Food
Chemistry”, que se encontra no anexo A (página 113).
Resultados e Discussão
92
4.6. DISPONIBILIDADE DE POLIFENÓIS EM ALIMENTOS NACIONAIS
O teor de polifenóis nos doze alimentos estudados variou de 15,35 a
214,84mg EAG/100g peso fresco. A disponibilidade nacional, a partir destes
alimentos, foi estimada em 47,76mg/dia, tendo as regiões Sudeste e Centro-Oeste
os maiores e menores valores, respectivamente. A banana foi o alimento que
representou o maior aporte diário de polifenóis no Brasil; no entanto, este perfil
variou em cada região. A disponibilidade brasileira de polifenóis foi semelhante à de
outros países, porém apresentou variações regionais, refletindo diferenças no bito
alimentar. A adoção da recomendação diária de frutas e hortaliças representaria um
aumento de 16 vezes deste valor, demonstrando a relação entre o consumo deste
grupo alimentar e a ingestão de substâncias benéficas à saúde.
Os resultados e discussão referentes a esta parte da dissertação podem ser
mais bem visualizados no manuscrito, a ser submetido para o periódico “Cadernos
de Saúde Pública”, que se encontra no anexo B (página 141).
Conclusões
93
5. CONCLUSÕES
As hortaliças apresentaram influência positiva da agricultura orgânica sobre o
conteúdo de polifenóis, solúveis e hidrolisáveis, assim como sobre a capacidade
antioxidante, porém apresentaram poucas diferenças significativas entre os dois tipos
de agricultura;
As frutas foram mais suscetíveis à variação do tipo de agricultura em relação às
hortaliças, apresentando valores significativamente maiores para polifenóis solúveis,
hidrolisáveis e capacidade antioxidante;
Em geral, as hortaliças orgânicas apresentaram maior conteúdo de polifenóis
solúveis, enquanto que as frutas orgânicas obtiveram teores mais elevados para
polifenóis hidrolisáveis;
As cascas das frutas orgânicas apresentaram capacidade antioxidante
estatisticamente maior do que as cascas das convencionais, com exceção da banana e
laranja, enquanto que as polpas apresentaram distribuição variada;
A agricultura orgânica não resultou em um mesmo padrão de modulação de
polifenóis solúveis, hidrolisáveis e capacidade antioxidante para as hortaliças e frutas,
demonstrando efeito variado de acordo com a espécie vegetal;
Conclusões
94
O maior conteúdo de ácido ascórbico na cebola e na flor de brócolis
convencional pode estar influenciando o maior teor de polifenóis solúveis observado
nestes alimentos, uma vez que o ácido ascórbico em concentrações mais elevadas
pode interferir na determinação de polifenóis solúveis;
A adição de concentrações variadas de ácido ascórbico em cebola e laranja
parece não influenciar a determinação de polifenóis hidrolisáveis, assim como a
capacidade antioxidante dos extratos, porém interfere de maneira positiva nos extratos
solúveis;
A modulação da capacidade antioxidante parece estar relacionada às diferenças
no pH dos extratos;
Os métodos de cocção utilizados, água em ebulição, microondas e vapor,
resultaram em efeitos deletérios sobre o conteúdo de polifenóis solúveis e hidrolisáveis,
tendo os polifenóis solúveis e as hortaliças orgânicas maior sensibilidade ao tratamento
térmico;
A capacidade antioxidante diminui após a aplicação dos diferentes métodos de
cocção sem, entretanto, apresentar diferença significativa entre eles.
Referências Bibliográficas
95
6. REFERÊNCIAS BIBLIOGRÁFICAS
ADLERCREUTZ, H., MAZUR, W. Phyto-oestrogens and Western diseases. Annals
of Medicine, v. 29 (2), p. 95-120, 1997.
AHERNE, S. A., O’BRIEN, N. M. Dietary flavonols: chemistry, food content, and
metabolism. Nutrition, v. 18 (1), p. 75-81, 2002.
AINSWORTH, E. A., GILLESPIE, K. M. Estimation of total phenolic content and other
oxidation substrates in plant tissue using Folin-Ciocalteu reagent. Nature Protocols,
v. 2 (4), p. 875-877, 2007.
AJILA, C. M.; NAIDU, K. A.; BHAT, S. G.; RAO, U. J. S. P. Bioactive compounds and
antioxidant potential of mango peel extract. Food Chemistry, v. 105 (3), p. 982-988,
2007.
ANDLAUER, W.; STUMPF, C.; HUBERT, M.; RINGS, A.; FÜRST, P. Influence of
cooking process on phenolic marker compounds of vegetables. International
Journal for Vitamin and Nutrition Research, v. 73 (2), p. 152-159, 2003.
ARUOMA, O. I. Methodological consideration for characterization potential
antioxidant reactions of bioactive components in plant foods. Mutation Research, v.
523-524, p. 9-20, 2003.
ASAMI, D. K.; HONG, Y. J.; BARRETT, D. M.; MITCHELL, A. E. Comparison of the
total phenolic and ascorbic acid content of freeze-dried and air-dried marionberry,
strawberry, and corn grown using conventional, organic and sustainable agricultural
practices. Journal of Agricultural and Food Chemistry, v. 51 (5), p. 1237-1241,
2003.
ATKINSON, C.; FRANKENFELD, C. L.; LAMPE, J. W. Gut bacterial metabolism of
the soy isoflavone daidzein: exploring the relevance to human health. Experimental
Biology and Medicine, v. 230 (3), p. 155-170, 2005.
Referências Bibliográficas
96
BAKER, B. P.; BENBROOK, C. M.; GROTH, E.; BENBROOK, K. L. Pesticide
residues in conventional, integrated pest management (IPM)-grown and organic
foods: insights from three US data sets. Food Additives and Contaminants, v. 19
(5), p. 427-446, 2002.
BALASUNDRAM, N.; SUNDRAM, K.; SAMMAN, A. Phenolic compounds in plants
and agri-industrial by-products: Antioxidant activity, occurrence, and potential uses.
Food Chemistry, v. 99 (1), p. 191–203, 2006.
BEBARREL, B.; MAC FIE, J. H. Consumer attitudes towards organic foods. British
Food Journal, v. 93, p. 25-30, 1991.
BECKMAN, C. H.; MUELLER, W. C.; MACE, M. E. The stabilization of artificial and
natural cell wall membranes by phenolic infusion and its relation to wilt resistance.
Phytopathology, v. 64, p. 1214-1220, 1974.
BECKMAN, C. H. Phenolic-storing cells: keys to programmed cell death and
periderm formation in wilt disease resistance and in general defence responses in
plants? Physiological and Molecular Plant Pathology, v. 57, p. 101-110, 2000.
BENTSÁTH, A.; RUSZNYÁK, S.; SZENT-GYÖRGYI, A. Vitamin P. Nature, v. 139, p.
326-327, 1937.
BOURN, D.; PRESCOTT, J. A comparison of the nutritional value, sensory qualities,
and food safety of organically and conventionally produced foods. Critical Reviews
in Food Science and Nutrition, v. 42 (1), p. 1-34, 2002.
CARBONARO, M.; MATTERA, M.; NICOLI, S.; BERGAMO, P.; CAPPELLONI, M.
Modulation of antioxidant compounds in organic vs. Conventional fruit (peach,
Prunus persica L., and pear, Pyrus communis L.). Journal of Agricultural and Food
Chemistry, v.50 (19), p. 5458-5462, 2002.
CARIS-VEYRAT, C.; AMIOT, M. J.; TYSSANDIER, V.; GRASSELLY, D.; BURET, M.;
MIKOLAJCZAK, M.; GUILLAND, J. C.; BOUTELOUP-DEMANGE, C.; BOREL, P.
Referências Bibliográficas
97
Influence of organic versus conventional agricultural practice on the antioxidant
microconstituent content of tomatoes and derived purees; consequences on
antioxidant plasma in humans. Journal of Agricultural and Food Chemistry, v. 52
(21), p. 6503-6509, 2004.
CASA CIVIL, Presidência da República, Subchefia para Assuntos Jurídicos, LEI N
o
10.831, DE 23 DE DEZEMBRO DE 2003, em
http://www.planalto.gov.br/ccivil/LEIS/2003/L10.831.htm, acessado em novembro de
2007.
CHASSY, A. W.; BUI, L.; RENAUD, E. N. C.; HORN, M. V.; MITCHELL, A. E. Three-
year comparison of the content of antioxidant microconstituents and several quality
characteristics in organic and conventionally managed tomatoes and bell peppers.
Journal of Agricultural and Food Chemistry, v. 54 (21), p. 8244-8252, 2006.
CHENG, E.; STORY, C. D.; YODER, L.; HALE, W. H.; BURROUGHS, W. Estrogenic
activity of isoflavone derivates extracted and prepared from soybean oil meal.
Science, v. 118, p. 164-165, 1953.
CHENG, E.; YODER, L.; STORY, C. D.; BURROUGHS, W. Estrogenic activity of
some isoflavone derivatives. Science, v. 120, p. 575-576, 1954.
CLIFFORD, M. N.; SCALBERT, A. Ellagitannins occurence in food, bioavailability
and cancer prevention. Journal of the Science of Food and Agriculture, v. 80 (7),
p. 1118-1125, 2000.
COHEN, M. F.; SAKIHAMA, Y.; YAMASAKI, H. Roles of plant flavonoids in
interactions with microbes: from protection against pathogens to mediation of
mutualism. Em: Pandalai, S. G. Recent Research Developments in Plant
Physiology 2.Research Signpost, Trivandrum, p. 157-173, 2001.
CROZIER, A.; LEAN, M. E. J.; Mc DONALD, M. S.; BLACK, C. Quantitative analysis
of the flavonoid content of commercial tomatoes, onions, lettuce and celery. Journal
of Agricultural and Food Chemistry, v. 45, p. 590-595, 1997.
Referências Bibliográficas
98
CUMMINS, I.; BRAZIER-HICKS, M.; STOBIECKI, M.; FRANSKI, R.; EDWARDS, R.
Selective disruption of wheat secondary metabolism by herbicide safeners.
Phytochemistry, v. 67 (16), p. 1722-1730, 2006.
CURL, C. L.; FENSKE, R. A.; ELGETHUN, K. Organophosphorus pesticide exposure
of urban and suburban preschool children with organic and conventional diets.
Environmental Health Perspectives, v. 111 (3), p. 377-382, 2003.
DANIEL, O. MEIER, M. S.; SCHLATTER, J.; FRISCHKNECHT. Selected phenolic
compounds in cultivated plants: ecologic functions, health implications, and
modulation by pesticides. Environmental Health Perspectives, v. 107 (Suplem. 1),
p. 109-114, 1999.
DAY A. J.; CAÑADA F. J.; DÍAZ, J. C.; KROON, P. A.; MCLAUCHLAN, R.; FAULDS,
C. B.; PLUMB, G. W.; MORGAN, M. R. A.; WILLIAMSON, G. Dietary flavonoid and
isoflavone glycosides are hydrolysed by the lactase site of lactase phlorizin
hydrolase. FEBS Letters, v. 468, p. 166-170, 2000.
DECKER, E. A. Phenolics: prooxidants or antioxidants? Nutrition Reviews, v. 55
(11), p. 396-407, 1997.
DEVASAGAYAM, T. P.; TILAK, J. C.; BOLOOR, K. K.; SANE, K. S; GHASKADBI, S.
S.; LELE, R. D. Free radicals and antioxidants in human health: current status and
future prospects. The Journal of the Association of Physicians of India., v. 52, p.
794- 2004.
DEWANTO, V.; WU, X.; LIU, R. H. Processed sweet corn has higher antioxidant
activity. Journal of Agricultural and Food Chemistry, v. 50 (17), p. 4959-4964,
2002.
DIAS, R. P., Regulamentação do setor orgânico no Brasil, palestra ministrada na
BioFach América Latina 2006, disponível em
http://www.planetaorganico.com.br/bf06palestras-rdias.htm
acessado em janeiro de
2007.
Referências Bibliográficas
99
DIXON, R. A.; PAIVA, N. L. Stress-induced phenylpropanoid metabolism. Plant Cell,
v. 7 (7), p. 1085-1097, 1995.
DIXON, R. A. Phytoestrogens. Annual Reviews in Plant Biology, v. 55, p. 225-261,
2004.
FAO/WHO Codex Alimentarius Commission Guidelines for the Production,
Processing, Labelling and Marketing of Organically Produced Foods, 1999,
disponível em http://www.fao.org/ORGANICAG/frame2-e.htm acessado em janeiro
de 2007.
FENG, W. Y. Metabolism of green tea catechins: an overview. Current Drug
Metabolism, v. 7 (7), p. 755-809, 2006.
FONSECA, M. F. A. C. A certificação de alimentos orGânicos no Brasil, 2001,
disponível em http://www.planetaorganico.com.br/trabfern2.htm, acessado em 20 de
novembro de 2007.
FOYER, C. H. Ascorbic acid. Em: ALSCHER, R. G.; HESS, J. L. Antioxidants in
hgher plants. CRC Press, Boca Raton, p. 31-58, 1993.
FREITAS, V.; CARVALHO, E.; MATEUS, N. Study of carbohydrate influence on
protein-tannin aggregation by nephelometry. Food Chemistry, v. 81 (4), p. 503-509,
2003.
GLISZCZYŃSKA-ŚWIGLO, A.; KAHUśEWICZ, A.; LEMAŃSKA, K.; KNAFLEWSKI,
M.; TYRAKOWSKA, B. The effect of solar radiation on the flavonol content in broccoli
inflorescence. Food Chemistry, v. 100 (1), p. 241-245, 2007.
GORINSTEIN, S.; MARTÍN-BELLOSO, O.; PARK, Y-S., HARUENKIT, R.; LOJEK,
A.; ČIŽ, M.; CASPI, A.; LIBMAN, I.; TRAKHTENBERG, S. Comparison of some
biochemical characteristics of different citrus fruits. Food Chemistry, v. 74 (1), p.
309-315, 2001.
Referências Bibliográficas
100
GRACE, S. C.; LOGAN, B. A. Energy dissipation and radical scavenging by the plant
phenylpropanoid pathway. Philosophical Transactions of the Royal Society of
London. Series B, Biological Sciences, v. 355 (1402), p. 1499-1510, 2000.
GRAF, B. A.; MILBURY, P. E.; BLUMBERG, J. B. Flavonols, flavones, flavanones,
and human health: epidemiological evidence. Journal of Medicinal Food, v. 8 (3), p.
281-290, 2005.
GRASSMANN, J.; HIPPELI, S.; ELSTNER, E. F. Plant’s defence and its benefits for
animals and medicine: role of phenolics and terpenoids in avoiding oxygen stress.
Plant Physiology and Biochemistry, v. 40, p. 471-478, 2002.
GRINDER-PEDERSEN, L.; RASMUSSEN, S. E.; BUGEL, S.; JORGENSEN, L. V.;
DRAGSTED, L. O.; GUNDERSEN, V.; SANDSTROM, B. Effect of diets based on
foods from conventional versus organic production on intake and excretion and
markes of antioxidative defense in humans. Journal of Agricultural and Food
Chemistry, v. 51 (19), p. 5671-5676, 2003.
GUO, L-Q.; YAMAZOE, Y. Inhibition of cytochrome P450 by furanocoumarins in
grapefruit juice and herbal medicines. Acta Pharmacologica Sinica, v. 25 (2), p.
129-136, 2004.
HAGEN, S. F.; BORGE, G. I. A.; BENGTSSON, G. B.; BILGER, W.; BERGE, A.;
HAFFNER, K.; SOLHAUG, K. A. O. Phenolic contents and other health and sensory
related properties of apple fruit (Malus domestica Brkh., cv. Aroma): Effect of
postharvest UV-B irradiation. Postharvest Biology and Technology, v. 45 (1), p. 1-
10, 2007.
HAKKINEN, S. H.; TORRONEN, A. R. Content of flavonols and selected phenolic
acids in strawberries and Vacciniun species: influence of cultivar, cultivation site and
technique. Food Research International, v. 33 (6), p. 517-524, 2000.
HALLIWELL, B.; GUTTERIDGE, J. C. M. Free radicals in biology and medicine.
Clarendon Press, Oxford, 1985.
Referências Bibliográficas
101
HAN, J-S.; KOZUKUE, N.; G, K-S.; LEE, K-R.; FRIEDMAN, M. Distribution of
ascorbic acid in potato tubers and in home-processed and commercial potato foods.
Journal of Agricultural and Food Chemistry, v. 52 (21), p. 6516-6521, 2004.
HARBORNE, J. B.; WILLIAMS, C. A. Advances in flavonoid research since 1992.
Phytochemistry, v. 55 (6), p. 481-504, 2000.
HATANO T.; TSUGAWA, N.; KUSUDA, M.; TANIGUCHI, S.; YOSHIDA, T.; SHIOTA,
S.; TSUCHIYA, T. Enhancement of antibacterial effects of epigallocatechin gallate,
using ascorbic acid. Phytochemistry, in press, 2007.
HATCHER, D. W.; KRUGER, J. E. Simple phenolic acids in flours prepared from
Canadian wheat: relationship to ash content, color, and polyphenol oxidase activity.
Cereal Chemistry, v. 74, p. 337-343, 1997.
HAUKIOJA, E.; OSSIPOV, V.; KORICHEVA, J.; HONKANEN, T.; LARSSON, S.;
LEMPA, K. Biosynthetic origin of carbon-based secondary compounds: cause of
variable responses of woody plants to fertilization? Chemoecology, v. 8, p. 133-139,
1998.
HEIM, K. E.; TAGLIAFERRO, A. R.; BOBILYA, D. J. Flavonoid antioxidants:
chemistry, metabolism and structure-activity relationships. The Journal of
Nutritional Biochemistry, v. 13 (10), p. 572-584, 2002.
HIGDON, J. V. & FREI, B. Coffee and health: a review of recent human research.
Critical Reviews in Food Science and Nutrition, v. 46 (2), p. 101-123, 2006.
HOLLMAN, P. C.; de VRIES, J. H.; van LEEUWEN, S. D.; MENGELERS, M. J.;
KATAN, M. B. Absorption of dietary quercetin glycosides and quercetin in healthy
ileostomy volunteers. American Journal of Clinical Nutrition, v. 62 (6), p. 1276,
1995.
HOLLMAN, P. C..; BIJSMAN, M. N.; van GAMEREN, Y.; CNOSSEN, E. P.; de
VRIES, J. H.; KATAN, M. B. The sugar moiety is a major determinant of the
Referências Bibliográficas
102
absorption of dietary flavonoids glycosides in man (abstract). Free Radical
Research, v. 31 (6), p. 569, 1999.
HUANG, D.; OU, B.; PRIOR, R. L. The chemistry behind antioxidant capacity assays.
Journal of Agricultural and Food Chemistry, v. 53, p. 1841-1856, 2005.
ISMAIL, A.; MARJAN, Z. M.; FOONG, C. W. Total antioxidant activity and phenolic
content in selected vegetables. Food Chemistry, v. 87, p. 581-586, 2004.
JEONG, S. M.; KIM, S. Y.; KIM, D. R.; JO, S. C.; NAM, K. C.; AHN, D. U.; LEE, S. C.
Effect of heat treatment on the antioxidant activity of extracts from citrus peels.
Journal of Agricultural and Food Chemistry, v. 52 (11), p. 3389-3393, 2004.
KARAKAYA, S. Bioavailability of phenolic compounds. Critical Reviews in Food
Science and Nutrition, v. 44 (6), p. 453-464, 2004.
KAROU, D.; DICKO, M. H.; SIMPORE, J.; TRAORE, A. S. Antioxidant and
antibacterial activities of polyphenols from ethnomedicinal plants of Burkina Faso.
African Journal of Biotechnology v. 4, p. 823-828, 2005.
KEFELI, V. I.; KALENVITCH, M. V.; BORSANI, B. Phenolic cycle in plants and
environment. Journal of the Cell and Molecular Biology, v. 2, p. 13-18, 2003.
KIM, D. O.; JEONG, S. W.; LEE, C. Y. Comprehensive study on vitamin C equivalent
antioxidant capacity (VCEAC) of various polyphenolics in scavenging a free radical
and its structural relationship. Critical Reviews in Food Science and Nutrition, v.
44 (4), p. 253-273, 2004.
KROON, P. A.; CLIFFORD, M. N.; CROZIER, A.; DAY, A. J.; DONOVAN, J. L.;
MANACH, C.; WILLIAMSON, G. How should we assess the effects of exposure to
dietary polyphenols in vitro? American Journal of Clinical Nutrition, v. 80, p. 15-
21, 2004.
Referências Bibliográficas
103
KÜHNAU, J. The flavonoids. A class of semi-essential food components: their role in
human nutrition. World Review of Nutrition and Dietetics, v. 24, p. 117-191, 1976.
KUSKOSKI, E. M.; ASUERO, A. G.; MORALES, M. T.; FETT, R. Frutos tropicais
silvestres e polpas de frutas congeladas: atividade antioxidante, polifenóis e
antocianinas. Ciência Rural, v.36, p.1283-1287, 2006.
LE BOURVELLEC, C.; BOUCHET, B.; RENARD, C. M. G. C. Non-covalent
interaction between procyanidins and apple cell wall material. Part III: Study on
model polysaccharides. Biochimica et Biophysica Acta (BBA) General
Subjects, v. 1725 (1), p. 10-18, 2005.
LI, Y.; GUO, C.; YANG, J.; WEI, J.; XU, J.; GHENG, S. Evaluation of antioxidant
properties of pomegranate peel extract in comparison with pomegranate pulp extract.
Food Chemistry, v. 96 (2), p. 254-260, 2006.
LIU, R. H. Potential synergy of phytochemicals in cancer prevention: mechanism of
action. The Journal of Nutrition, v. 134 (12 Suplemento), p. 3479-3485, 2004.
LOMBARD, K.; PEFFLEY, E.; GEOFFRIAU, E.; THOMPSON, L.; HERRING, A.
Quercetin in onion (Allium cepa L.) after heat-treatment simulating home preparation.
Journal of Food Composition and Analysis, v. 18 (6), p. 571-581, 2005.
LOMBARDI-BOCCIA, G.; LUCARINI, M.; LANZI, S.; AGUZZI, A.; CAPPELLONI, M.
Nutrients and antioxidant molecules in yellow plums (Prunus domestica L.) from
conventional and organic productions: a comparative study. Journal of Agricultural
and Food Chemistry, v. 52 (1), p. 90-94, 2004.
MAKRIS, D. P.; ROSSITER, J. T. Domestic processing of onion bulbs (Allium cepa)
and asparagus spears (Asparagus officinalis): effect on flavonol content and
antioxidant status. Journal of Agricultural and Food Chemistry, v. 49 (7), p. 3216-
3222, 2001.
Referências Bibliográficas
104
MANACH, C.; MORAND, C.; GIL-IZQUIERDO, A.; BOUTELOUP-DEMANGE, C.;
RÉMPESY, C. Bioavailability in humans of the flavanones hesperidin and narirutin
after ingestion of two doses of orange juice. European Journal of Clinical
Nutrition, v. 57 (2), p. 235-242, 2003.
MANACH, C.; SCALBERT, A.; MORAND, C.; RÉMÉSY, C.; JIMÉNEZ, L.
Polyphenols: foods sources and bioavailability. American Journal of Clinical
Nutrition, v. 79, p. 727-747, 2004.
MAPA, Ministério da Agricultura, Pecuária e Abastecimento, Instrução Normativa
7, DE 17 DE MAIO DE 1999, obtido em http://extranet.agricultura.gov.br/sislegis-
consulta/consultarLegislacao.do;jsessionid=c0a8017a30d69fd4f333c0e247b880dd8e
686be2a974.e3uQb3eQb3ySe3uKbxmNc38Tci0?operacao=visualizar&id=1662,
acessado em novembro de 2007.
MAPA, Ministério da Agricultura, Pecuária e Abastecimento, Instrução Normativa
16, DE 11 DE JUNHO DE 2004, obtido em
http://extranet.agricultura.gov.br/sislegis-
consulta/consultarLegislacao.do?operacao=visualizar&id=7796, acessado em
novembro de 2007.
McGHIE, T. K.; WALTON, M. C. The bioavailability and absorption of anthocyanins:
towards a better understanding. Molecular Nutrition and Food Research, v. 51 (6),
p. 702-713, 2007.
MIDDLETON, E. Jr. Effect of plant flavonoids on immune and inflammatory cell
function. Advances in Experimental Medicine and Biology, v. 439, p. 175-182,
1998.
MIKKONEN, T. P.; MAATTA, K. R.; HUKKANEN, A. T.; KOKKO, H. I.; TORRONEN,
A. R.; KARENLAMPI, S. O.; KARJALAINEN, R. O. Flavonol content varies among
black currant cultivars. Journal of Agricultural and Food Chemistry, v. 49 (7), p.
3274-3277, 2001.
Referências Bibliográficas
105
MITTLER, R. Oxidative stress. Disponível em
http://www.ag.unr.edu/mittler/oxistress.pdf (acessado em março 2007).
MUELLER, W. C.; BECKMAN, C. H. Ultrastructure of the phenol-storing cells in roots
of banana. Physiological Plant Pathology, v. 4, p. 187-190, 1974.
MUELLER, W. C.; BECKMAN, C. H. Ultrastructure and development of phenol-
storing cells in cotton roots. Canadian Journal of Botany, v. 54, p. 2074-2082,
1976.
MUKHERJEE, P. A.; SPEH, D.; DYCK, E.; DIEZ-GONZALEZ, F. Preharvest
evaluation of coliforms, Escherichia coli, Salmonella, and Escherichia coli 0157:H7
in organic and conventional produce grown by Minnesota farmers. Journal of Food
Protection, v. 67 (5), p. 894-900, 2004.
NOCTOR, G.; FOYER, C. H. Ascorbate and glutathione: keeping active oxygen
under control. Annual Review of Plant Physiology and Plant Molecular Biology,
v. 49, p. 249-279, 1998.
NORUMA, T.; KIKUCHI, M.; KAWAKAMI, Y. Proton-donative antioxidant activity of
fucoxanthin with 1,1-diphenyl-2-picrylhydrazyl (DPPH). Biochem Mol Biol Int, v. 42,
p. 361-370, 1997.
ORAK, H. H. Total antioxidant activities, phenolics, anthocyanins, polyphenoloxidase
activities of selected red grape cultivars and their correlations. Scientia
Horticulturae, v. 111 (3), p. 235-241, 2007.
OROZCO-CÁRDENAS, M. L.; NARVÁEZ-VÁZQUEZ, J.; RYAN, C. A. Hydrogen
peroxide acts as a second messenger for the induction of defense genes in tomato
plants in response to wounding, systemin, and methyl jasmonate. Plant Cell, v. 13
(1), 179-191, 2001.
Referências Bibliográficas
106
PAULO, M. G.; MARQUES, H. M.; MORAIS, J. A.; ALMEIDA, A. J. An isocratic LC
method for the simultaneous determination of vitamin A, C, E and beta-carotene.
Journal of Pharmaceutical and Biomedical Analysis, v. 21 (2), p.399-406,1999.
PÉREZ-JIMÉNEZ, J.; SAURA-CALIXTO, F. Literature data may underestimate the
actual antioxidant capacity of cereals. Journal of Agricultural and Food
Chemistry, v. 53 (12), p. 5036-5040, 2005.
PERVAIZ, S. Resveratrol: from grapevines to mammalian biology. The FASEB
Journal, v. 17 (14), p. 1975-1985, 2003.
PIGA, A.; DEL CARO, A.; PINNA, I.; AGABBIO, M. Changes in ascorbic acid,
polyphenol content and antioxidant activity in minimally processed cactus.
Lebensmittel-Wissenschaft und-Technologie, v. 36 (2), p. 257-262, 2003.
PIGNOCCHI, C.; FOYER, C. H. Apoplastic ascorbate metabolism and its role in the
regulation of cell signalling. Current Opinion in Plant Biology, v. 6 (4), p. 379-389,
2003.
PINELO, M.; ARNOUS, A.; MEYER, A. S. Upgrading of grape skin: significance of
plant cell-wall structural components and extraction techniques for phenol release.
Trends in Food Science and Technology, v. 17 (11), p. 579-590, 2006.
POLINATI, R. M.; FALLER, A. L. K.; FIALHO, E. Capacidade antioxidante por DPPH
de tangerina ponkan (Citrus reticulata), ácido gálico e ácido ascórbico sob
congelamento. XXXIX Jornada Giulio Massarani de Iniciação Científica, Artística e
Cultural UFRJ, apresentação oral, 11 de outubro de 2007.
POURCEL, L.; ROUTABOUL, J. M.; CHEYNIER, V.; LEPINIEC, L.; DEBEAUJON, I.
Flavonoid oxidation in plants: from biochemical properties to physiological functions.
Trends in Plant Science, v. 12 (1), p. 29-36, 2007.
Referências Bibliográficas
107
PRICE, S. F.; BREEN, P. J.; VALLADAO, M.; WATSON, B. T. Cluster sun exposed
and quercetin Pinot noir grapes and wine. American Journal of Enology and
Viticulture, v. 46, p. 187-194, 1995.
PRIOR, R. L. Fruits and vegetables in the prevention of cellular oxidative damage.
The American Journal of Clinical Nutrition, v.78 (suplemento 3), p. 570-578, 2003.
PRIOR, R. L.; GU, L. Occurrence and biological significance of proanthocyanidins in
the American diet. Phytochemistry, v. 66 (18), p. 2264-2280, 2005.
PUSSEMIER, L.; LARONDELLE, Y.; VAN PETEGHEM, C.; HUYGHEBAERT, A.
Chemical safety of conventionally and organically produced foodstuffs: a tentative
comparison under Belgian conditions. Food Control, v. 17 (1), p. 14-21, 2006.
RAZEM, F. A.; BERNARDS, M. A. Hydrogen peroxide is required for poly(phenolic)
domain formation during wound-induced suberization. Journal of Agricultural and
Food Chemistry, v. 50 (5), p. 1009-1015, 2002.
REN, H.; ENDO, H.; HAYASHI, T. Antioxidant and antimutagenic activities and
polyphenol content of pesticide-free and organically cultivated green vegetables
using water-soluble chitosan as soil modifier and leaf surface spray. Journal of the
Science of Food and Agriculture, v. 81, p. 1426-1432, 2001.
REYES, L. F.; VILLAREAL, E.; CISNEROS-ZEVALLOS, L. The increase in
antioxidant capacity alter wounding depends on the type of fruit or vegetable tissue.
Food Chemistry, v. 101 (3), p. 1254-1262, 2007.
RICE-EVANS, C, A.; MILLER, N. J.; PAGANG, G. Antioxidant properties of phenolic
compounds. Trends in Plant Science, v. 2 (4), p. 152-159, 1997.
RITTER, H.; SCHULTZ, G. E. Structural basis for the entrance into the
phenylpropanoid metabolism catalyzed by phenylalanine ammonia-lyase. Plant Cell,
v. 16, p. 3426-3436, 2004.
Referências Bibliográficas
108
ROBBINS, R. J.; KWIK-URIBE, C.; HAMMERSTONE, J. F.; SCHMITZ, H. H.
Analysis of flavanols in foods: what methods are required to enable meaningful
health recommendations? Journal of Cardiovascular Pharmacology, v. 47
(suplemento 2), p. 110-118, 2006.
ROSS, J. A., KASUM, C. M. Dietary flavonoids: bioavailability, metabolic effects, and
safety. Annual Review of Nutrition, v. 22, p. 19-34, 2002.
SAKIHAMA, Y.; COHEN, M. F.; GRACE, S. C.; YAMASAKI, H. Plant phenolic
antioxidant and prooxidant activities: phenolics-induced oxidative damage mediated
by metals in plants. Toxicology, v. 177, p. 67-80, 2002.
SARTELET, H.; SERGHAT, S.; LOBSTEIN, A.; INGENBLEEK, Y.; ANTON, R.;
PETITFRÈRE, E.; AGUIE-AGUIE, G.; MARTINY, L. ; HAYE, B. Flavonoids extracted
from fonio millet (Digitaria exilis) reveal potent antithyroid properties. Nutrition, v. 12
(2), p. 100-106, 1996.
SAURA-CALIXTO, F.; SERRANO, J.; GOÑI, I. Intake and bioaccessibility of total
polyphenols in a whole diet. Food Chemistry, 2007, 101, 492-501.
SCALBERT, A.; JOHNSON, I. T.; SALTMARSH, M. Polyphenols: antioxidants and
beyond. The American Journal of Clinical Nutrition, v. 81 (suplemento 1), p. 215-
217, 2005.
SCALBERT, A.; MANACH, C.; MORAND, C.; RÉMÉSY, C.; JIMÉNEZ, L. Dietary
polyphenols and the prevention of diseases. Critical Reviews in Food Science and
Nutrition, v. 45 (4), p. 287-306, 2005.
SCHIFFERSTEIN, H. J.; OU de OUPHNIS, P. A. M. Health-related determinants of
organic food consumption in the Netherlands. Food Quality and Preference, v. 9
(3), p. 119-133, 1998.
SEBRAE, Serviço Brasileiro de Apoio às Micro e Pequenas Empresas, Boletim
Informativo de 19/08/2005, “Lançada no Rio a maior feira de orgânicos da América
Referências Bibliográficas
109
Latina”, disponível em http://www.sebraerj.com.br/main.asp, acessado em março de
2007.
SERRANO, J.; GOÑI, I.; SAURA-CALIXTO, F. Food antioxidant capacity determined
by chemical methods may underestimate the physiological antioxidant capacity.
Food Research International, v. 40 (1), p. 15-21, 2007
SINGLETON, V. L., ROSSI, J. A. Colorimetry of total phenolics with
phosphomolybdic-phosphotungstic acid reagents. American Journal of Enology
and Viticulture, v.16, p. 144-158, 1965.
SMIRNOFF, N. Ascorbic acid: metabolism and functions of a multi-facetted molecule.
Current Opinion in Plant Biology, v. 3 (3), p. 229-235, 2000.
SONG, J.; KWON, O.; CHEN, S.; DARUWALAT, R.; ECK, P.; PARK, J. B. Flavonoid
Inhibition of Sodium-dependent Vitamin C Transporter 1 (SVCT1) and Glucose
Transporter Isoform 2 (GLUT2), Intestinal Transporters for Vitamin C and Glucose.
The Journal of Biological Chemistry, v. 277 (18), p. 15252-15260, 2002.
SOUCI, S. W.; FACHMANN, W.; KRAUT, H. Food composition and nutrient tables.
Wissenschafliche Verlagsgesellschaft GmbH, Stutgart, Alemanha, 2006.
SUGIHARA, N.; ARAKAWA, T.; OHNISHI, M.; FURUNO, K. Anti- and pro-oxidative
effects of flavonoids on metal-induced lipid hydroperoxide-dependent lipid
peroxidation in cultured hepatocytes loaded with alpha-linolenic acid. Free Radical
Biology and Medicine, v. 27 (11-12), p. 1313-1323, 1999.
SULTANA, B.; ANWAR, F.; IQBAL, S. Effect of different cooking methods on the
antioxidant activity of some vegetables from Pakistan. International Journal of
Food Science and Technology, in press, 2007.
Tabela de Aquisição de Alimentar Domiciliar per capita Pesquisa de Orçamentos
Familiares – POF 2002-2003. www.ibge.gov.br
, acessado em 10 de outubro de
2005.
Referências Bibliográficas
110
TAKAHAMA, U.; HIROTA, S. Deglucosidation of quercetin glucosides to aglycone
and formation of antifungal agents by peroxidase-dependent oxidation of quercetin
on browning of onion scales. Plant Cell Physiology, v. 41 (9), p. 1021-1029, 2000.
TAYLOR, L. P.; GROTEWOLD, E. Flavonoids as developmental regulators. Current
Opinion in Plant Biology, v. 8 (3), p. 317-323, 2005.
TOOR, R. K.; SAVAGE, G. P.; HEEB, A. Influence of different types of fertilizers on
the major antioxidant components of tomatoes. Journal of Food Composition and
Analysis, v. 19 (4), p. 20-27, 2006.
TURKMEN, N.; SARI, F.; VELIOGLU, Y. S. The effect of cooking methods on total
phenolics and antioxidant activity of selected green vegetables. Food Chemistry, v.
93 (4), p. 713-718, 2005.
USDA, National Nutrient Database for Standard Reference v. 19.
www.nal.usda.gov/fnic/foodcomp/search/, acessado em novembro de 2007.
VALPUESTA, V.; BOTELLA, M. A. Biosynthesis of L-ascorbic acid in plants: new
pathways for an old antioxidant. Trends Plant Science, v. 9 (12), p. 573-577, 2004.
VEBERIC, R.; TROBEC, M.; HERBINGER, K.; HOFER, M.; GRILL, D.; STAMPAR,
F. Phenolic compounds in some apple (Malus domestica Borkh) cultivars of organic
and integrated production. Journal of the Science of Food and Agriculture, v. 85,
p. 1687-1694, 2005.
VINSON, J. A.; SU, X.; ZUBIK, L. BOSE, P. Phenol antioxidant quantity and quality in
foods: fruits. Journal of Agricultural and Food Chemistry, v. 49 (11), p. 5315-
5321, 2001.
WATANABE, S.; YAMAGUCHI, M.; SOBUE, T.; TAKAHASHI, T.; MIURA, T.; ARAI,
Y.; MAZUR, W.; WÄHÄLÄ, K.; ADLERCREUTZ, H. Pharmacokinetics of soybean
isoflavones in plasma, urine and feces of men after ingestion of 60g baked soybean
powder (kinako). Journal of Nutrition, v. 128 (10), p. 1710-1715, 1998.
Referências Bibliográficas
111
WILLIAMSON, G.; MANACH, C. Bioavailability and bioefficacy of polyphenols in
humans. II. Review of 93 intervention studies. The American Journal of Clinical
Nutrition, v. 81 (suplemento 1), p. 243-255, 2005.
WINTER, C. K.; DAVIS, S. F. Organic foods. Journal of Food Science, v. 71 (9), p.
117-124, 2006.
WOESE, K.; LANGE, D.; BOESS, C.; BOGL, K. W. A comparison of organically and
conventionally grown foods results of a review of the relevant literature. Journal of
the Science of Food and Agriculture, v. 74, p. 281-293, 1997.
YAMANAKA, N.; ODA, O.; NAGAO, S. Prooxidant activity of caffeic acid, dietary non-
flavonoid phenolic acid, on Cu
2+
induced low density lipoprotein oxidation. FEBS
Letters, v. 405 (2), p. 186-190, 1997.
YILMAZ, Y.; TOLEDO, R. T. Oxygen radical absorbance capacities of grape/wine
industry byproducts and effect of solvent type on extraction of grape seed
polyphenols. Journal of Food Composition and Analysis, v. 19, p. 41-48, 2006.
YOUNG, J. E.; ZHAO, X.; CAREY, E. E.; WELTI, R.; YANG, S-S, WANG, W.
Phytochemical phenolics in organically grown vegetables. Molecular Nutrition and
Food Research, v. 49 (12), p. 1136-1142, 2005.
Anexo A
Manuscrito a ser submetido ao periódico Food Chemistry
Polyphenol and antioxidant capacity of organically and conventionally
grown vegetables after domestic cooking
113
Polyphenol and antioxidant capacity of organically and conventionally grown 1
vegetables after domestic cooking 2
3
Faller, A.L.K.ª; Fialho, E.ª
,
* 4
5
6
7
8
9
10
11
ª Universidade Federal do Rio de Janeiro, Instituto de Nutrição Josué de Castro, 12
Departamento de Nutrição Básica e Experimental, Rio de Janeiro, RJ 21941-590, 13
Brazil 14
15
* Corresponding author: 16
Departamento de Nutrição Básica e Experimental, Instituto de Nutrição Josué de 17
Castro, Centro de Ciências da Saúde, Universidade Federal do Rio de Janeiro, 18
UFRJ, Caixa Postal 68041, Cidade Universitária, Ilha do Fundão, Rio de Janeiro, 19
CEP 21941-590, Brasil 20
21
Email address:[email protected] 22
Fax number: + 55 21 2280 8343 23
Tel number: + 55 21 2562 6602 24
114
Abstract 25
26
Vegetable consumption is associated with health benefits. Organic foods are 27
thought to have higher contents of antioxidant substances. The objective of this 28
work is to evaluate the contents of soluble and hydrolysable polyphenols, ascorbic 29
acid and antioxidant capacity in fresh conventional and organic vegetables, 30
evaluating the effect of cooking on these parameters. The recovery rate for soluble 31
and hydrolysable polyphenols was variable according to the vegetable analyzed. 32
Recovery rate for soluble polyphenols were lower than hydrolysable phenolics after 33
cooking. Organic vegetables showed higher sensitivity to heat processing than 34
conventionally grown ones. Cooking leads to reductions of the antioxidant capacity 35
for most vegetables, with little differences between the cooking methods applied. 36
Even with the alterations in the polyphenol contents, they showed a positive 37
correlation with antioxidant capacity in raw and cooked vegetables from both types 38
of agriculture. 39
40
Keywords: polyphenol / antioxidant capacity / organic / vegetables / cooking 41
42
43
44
45
46
47
48
115
1. Introduction 49
50
Fruit and vegetable intake has long been associated with a reduced risk of 51
chronic diseases, especially cardiovascular diseases and certain types of cancer 52
(Williamson, 1996). However, recently the interest on these food groups has grown 53
among the scientific community due to the identification of new compounds in their 54
chemical composition. Fruits and vegetables are well known sources of vitamins, 55
such as vitamin C and folic acid, carotenoids and fiber, and naturally free of 56
saturated fat and cholesterol (Brat et al., 2006). In addition, these foods contain 57
significant amounts of polyphenols, a group of phytochemicals recognized as the 58
most abundant antioxidants in our diet (Manach, Scalbert, Morand, Rémésy & 59
Jimenez, 2004). Polyphenols comprehend over 8000 substances already identified 60
and it can be divided in groups according to its chemical structure, such as 61
phenolic acids, stilbenes, coumarins, lignins and flavonoids, the last being the 62
largest group (Ross & Kasum, 2002). 63
Quantity and quality of polyphenols present in plant foods can vary 64
significantly due to different factors such as plant genetics and cultivar, soil 65
composition and growing conditions, maturity state, post harvest conditions, among 66
others (Jaffery, Brown, Kurilich, Keek, Matusheski & Klein, 2003). However, since 67
polyphenols constitutes part of the plants innate defense mechanism, its synthesis 68
has been shown to be stimulated under stress conditions, such as temperature 69
alterations, UV exposure and pathogenic attacks (Dixon & Paiva 1995). The 70
organic agriculture, in general, is characterized by its restriction against the use of 71
116
synthetic pesticides and fertilizers eventhough the organic production itself is not 72
only one cultivation method. 73
This basic characteristic has lead researchers to two main hypotheses by 74
which organically grown fruits and vegetables may result in plant foods with higher 75
polyphenol content. The first reflects the impact of the different fertilization 76
practices on the plant metabolism. Synthetic fertilizes offers more bioavailable 77
sources of nitrogen which accelerates the plant development, allocating plant 78
resources to growth purposes and not production of secondary metabolites such 79
as polyphenols. The second hypothesis is based on the exposure of the plant to 80
stressful situations provided by the absence of pesticides, such as the attack from 81
insects, weeds and pathogens, which would lead to the stimuli to enhance the 82
plants naturals defence substances, like phenolic compounds (Winter & Davis, 83
2006). 84
Studies investigating micronutrients, different phytochemicals and 85
antioxidant capacity, however, have had conflicting results. Literature suggests that 86
the higher content of phenolic compounds in organic or conventional foods can 87
vary among different especies or cultivars analysed, as well as in terms of the 88
phenolic compound that is being identified (Carbonaro, Mattera, Nicoli, Bergamo & 89
Cappelloni, 2002; Lombardi-Boccia, Lucarini, Lanzi, Aguzzi & Cappelloni, 2004). 90
Fruits are most commonly consumed raw, however, vegetables usually goes 91
through some type of processing before being ingested. Literature has shown that 92
domestic cooking can result in significant losses in the composition and 93
bioavailability of antioxidant compounds, being ascorbic acid and some 94
carotenoids very sensitive to heat and storage (Zhang & Hamauzu, 2004). In 95
117
contrast, polyphenols and flavonoids have shown certain stability when exposed to 96
high temperatures, reflecting in the maintenance of the antioxidant capacity 97
(Vallejo, Tomás-Barberán & Garcia-Viguera, 2003). Studies with different 98
vegetables under cooking procedures showed that total polyphenol content and 99
antioxidant capacity can either increased or decrease when compared to the fresh 100
food (Ismail, Marjan & Foong, 2004; Lombard, 2005; Turkmen, Sari & Velioglu, 101
2005). 102
In this work soluble and hydrolysable polyphenols and antioxidant capacity 103
of vegetables grown under organic and conventional agriculture are compared. 104
Additionally, we analyze differences between the polyphenol retention and 105
bioavailability after simulated domestic processing. 106
107
2. Material and Methods 108
109
2.1. Samples 110
Samples of five vegetables, i.e. potato (Solanum tuberosum L.), broccoli 111
(Brassica oleracea var. Italica), onion (Allium cepa L.), carrot (Daucus carota L.) 112
and white cabbage (Brassica oleracea var. Capitata) from organic and 113
conventional agricultures, were purchased from three different markets of Rio de 114
Janeiro, Brazil. The cultivars of the organically grown vegetables were chosen to 115
be the variety studied since the production is more restricted. The conventional 116
vegetable cultivars were then matched to the organic samples. Approximately 2.0 117
Kg of each vegetable from each agriculture method were randomly sampled from 118
the market shelfs. The organic foods were restricted to three companies (Fazenda 119
118
Santo Onofre, Vida Sustentável and Korin) which were certified by the Brazilian 120
Institute of Organic Certification. 121
122
2.2. Chemical and reagents 123
Folin-Ciocalteu’s reagent was purchased from Merck. DPPH was from 124
Sigma Aldrich (St. Louis, MO,USA). Gallic acid was purchased from CQA Química 125
(Campinas, SP, Brazil). All other chemicals and reagents were from analytical 126
quality grade. 127
128
2.3. Sample preparation and cooking 129
The pretreament and cooking procedures were adapted from Turkmen et al. 130
(2005) with exception of time and temperature applied which were determined by 131
the researchers in preliminary experiments. Vegetables were washed in water and 132
all inedible parts were removed manually or with help of a steel knife. All 133
vegetables were cut in equally shaped small pieces: potatos (2-2 cm cubes), 134
carrots (0.5 cm half-moons), white cabbage (0.5 cm /5 cm slices), onions (1 cm 135
cubes), broccoli (3 cm pieces, using the same proportions of stalks, leaves and 136
inflorescences). For each vegetable, 900 g were reserved for the cooking 137
procedures, using 300 g for each method applied. All cooking experiments were 138
done in triplicate, using 100 g of vegetables each time. The raw vegetable 139
analyses were done in duplicate, being used 100 g of vegetable each time. 140
141
142
143
119
2.3.1. Boiling 144
Each vegetable sample (100 g) was placed into a stainless steel pan with 145
150 mL of boiling distilled water and covered with a lid. The boiling times were 5 146
minutes for white cabbage, 6 minutes to broccoli, 6.5 minutes to potatoes and 8 147
minutes for onions and carrots. After this procedure the vegetables were drained, 148
having the excessive water removed, and cooled in water bath in a steel recipient. 149
150
2.3.2. Microwave 151
Each vegetable sample (100g) were placed in a glass dish and 6 mL of 152
distilled water was added, with the exception of potatoes in which was used 12 mL. 153
The dish was covered with plastic and small holes were made with a fork. The 154
vegetables were cooked using a domestic microwave oven (Brastemp Clean) at 155
full potency (power setting 9, capable of generating 2450 W). Cooking time took 3 156
minutes for carrots and potatoes, 3.5 minutes for white cabbage and 4 minutes 157
onions and broccoli. 158
159
2.3.3. Steaming 160
Vegetables (100g) were placed on a stainless steel steam cooker (Rochedo 161
Ellegance) which was covered with a lid and steamed over boiling water at 162
atmospheric pressure. The cooking times were 10 minutes for onions, potatoes 163
and white cabbage, and 8 minutes for carrots and broccoli. After this procedure the 164
vegetables were cooled in water bath in a steel recipient. 165
166
167
120
2.4. Polyphenol extraction 168
Samples of raw and cooked vegetables were homogenized using a 169
commercial juice extractor (Samsom GB-9001, Greenbison Inc., USA) obtaining a 170
fluid vegetable extract (VE). The VE were frozen at – 20°C until the time of 171
analysis, which did not exceed one week. Polyphenols extraction method was 172
adapted from Vinson, Su, Zubik & Bose (2001). Briefly, 100 µL of each VE were 173
extracted with 500 µL of 50% methanol (methanol:water, 50:50, v/v) for soluble 174
polyphenols and 1,2 M HCl 50% methanol (methanol:water, 50:50, v/v) for 175
hydrolysable polyphenols in screw capped eppendorfs. The samples were placed 176
in waterbath at 90°C for 180 minutes with constant shaking. After three hours the 177
samples were removed from waterbath and cooled at room temperature 178
(approximately 2 minutes). The volume was filled up to 1 mL with methanol 95% 179
and the eppendorfs were centrifuged at 12000 g for 5 minutes. The supernatants, 180
considered as polyphenol extracts, were immediately used for polyphenol 181
determination. 182
183
2.4.1. Determination of polyphenol content 184
The polyphenol contents were determined using the Folin-Ciocalteu’s 185
reagent as described by Karou, Dicko, Simpore & Traore (2005). In eppendorfs, 30 186
µL of the either soluble or hydrolyzable polyphenol extract was mixed with 75 µL of 187
Folin-Ciocalteu’s reagent diluted in distilled water (Folin:water, 50:50, v/v). The 188
mixture was allowed to stand for 5 minutes before adding 75 µL of 20% sodium 189
carbonate solution. After 30 minutes at room temperature the absorbance was 190
measured at 750 nm using a Beckman 6300 spectrophometer. The amount of free 191
121
and total polyphenol were calculated using a standard curve of gallic acid. The 192
results were expressed as mg of gallic acid equivalents (GAE)/mL VE. Gallic acid 193
was used as standard. 194
195
2.5. Total Antioxidant Capacity (DPPH) 196
The antioxidant capacity was measured by the DPPH radical method 197
according to Kuskoski et al., 2006. Briefly, a 100 µM DPPH solution was prepared 198
with 80% methanol giving an absorbance of 1.1 at 517 nm. In test tubes, 100 µL of 199
each VE, fresh or after cooking procedures, were weighted, being added 3,9 mL of 200
the DPPH solution (100 µM). The mixture was allowed to stand, in the absence of 201
light, and the absorbance was measured at 15, 30 and 60 minutes. DPPH solution 202
alone was measured before the addition of the samples (A
o
) and 80% methanol 203
was used as blank. The antioxidant capacity was represented as % radical 204
scavenging capacity (RSC) remaining after each time according to the equation 205
below: 206
207
% RSC = (A
0
– A
t
)/ A
0
208
209
Where A
0
represents
the absorbance of DPPH solution alone measured at 210
zero time, and A
t
is the absorbance for each sample at the times of 15, 30 and 60 211
minutes after the addition of the DPPH solution. The value of A
0
is considered 212
100%. 213
214
215
122
2.6. Statistical Analysis 216
The results obtained were analysed using one-way ANOVA for mean 217
differences among vegetables and agricultural types. The independent Tukey test 218
was used to analyse differences between fresh and cooked vegetables, and 219
organically and conventionally grown samples. Statistical test were done in 220
GraphPad Prism 5.0 program. 221
222
3. Results and discussion 223
224
3.1. Polyphenol content in organic and conventional vegetables after 225
cooking 226
Soluble polyphenol contents are shown in Table 1. Raw vegetables grown 227
under organic agriculture showed higher values when compared to the 228
conventionally grown samples, with the exception of onions. Soluble polyphenols in 229
raw organic vegetables varied from 0.195 mg GAE/mL VE in onions, to 1.237 mg 230
GAE/mL VE in broccoli. In the conventional vegetables carrots had the lowest 231
value of 0.289 mg GAE/mL VE and broccoli the highest with 1.173 mg GAE/mL 232
VE. Figure 1 ilustrates a tendecy for higher sensitivity to heat treatments from 233
organic vegetables. With the exception of onions, all cooking procedures applied 234
resulted in losses of the soluble polyphenol concentration in organic food, whereas 235
for convetional vegetables soluble polyphenols were more stable. Overall, in either 236
types of agriculture, steamming seemed to be the most desavantageous cooking 237
method. Despite the diferences observed, significant reductions were only 238
observed for organic carrots and broccoli, with no diference between the methods 239
123
applied. For conventional vegetables no significant reductions were observed when 240
compared to raw samples, in contrary, some cooked vegetables resulted in 241
significantly higher soluble polyphenol contents (table 1). 242
The increase in this parameter showed in some cooked vegetables, 243
specially conventional produced types, could be due to higher bioavailability of 244
these compounds after the whole sample preparation and cooking procedures. 245
Cutting of the vegetable tissue and the exposure to higher temperatures can lead 246
to cellular disruption and disassociation of some phenolic compounds from cellular 247
structures such as lignin and polyssacharides (Cohen, Sakihama, & Yamasaki, 248
2001). 249
Plant species presents different types of phenolic compounds, along with 250
different bounds between these phytochemicals and cell structures. These 251
variations can lead to different responses to heat treatments, which in turn can 252
promote higher or lower cleavage of phenolic bounds according to the type of heat 253
applied and the food being analyzed (Jeong, Kim, Kim, Jo, Nam, Ahn & Lee, 254
2004). Flavanols, for example, have different behaviors depending on the type of 255
cooking. Baking and sautéing lead to a 7% to 25% gain in quercetin concentration, 256
whereas boiling decreased in 18% the concentration of this flavonol. 257
Data from hydrolysable polyphenol in raw vegetables, showed the same 258
profile as soluble polyphenols, with organic variaties having higher concentrations 259
than conventional ones, with the exception of potatos (Table 2). Hydrolysable 260
polyphenols in organic raw vegetables ranged from 0.352 mg GAE/mL VE to 261
2.315mg GAE/mL VE in broccoli. Conventional samples also showed lowest 262
values for potato (0.422 mg GAE/ mL VE) and highest for broccoli (2.014 mg 263
124
GAE/mL VE). Hydrolysable polyphenols were more stable during cooking 264
procedures, when compared to soluble polyphenols (Figure 2). 265
Significant losses were mainly observed in broccoli and white cabbage, from 266
both types of agriculture (Table 2). With the exception of these two vegetables, 267
cooking resulted in higher or no significant diference in the recovery of 268
hydrolysable polyphenols. When comparing both agricultural types, significant 269
variation was more prevalent for hydrolysable than soluble polyphenols. 270
The mantainance or increase, in some cases, of phenolic compounds can 271
be due to their released from the food matrix after heating and disruption of the 272
plant tissue. The conversion of insoluble phenolics into more soluble forms can 273
also happen. Food processing can induce a softening or disruption of cell wall 274
bounds, modifying the structure of phenolic complexes associated to the food 275
matrix (Berhnhart & Schlich, 2005). The alteration in their chemical composition 276
can make them more extractable, being more readly detected in the supernatant of 277
the extractable polyphenols. 278
In this study, onions from both types of agricultures showed the highest 279
recovery of soluble phenolic compounds, after all three cooking procedure. This 280
could be due to modifications of polyphenol’s composition in food matrix. 281
Processing of onions has been shown to alter the types of flavonols present, with 282
novel flavonol susbtances being identified (Makris & Rossiter, 2001). These 283
modifications could result in more extractable and detectable substances after 284
cooking of onions, explainig, in part, the higher recovery rates observed. 285
When comparing the polyphenol contents of raw vegetables, it is clear that 286
hydrolysable forms comprehend a greater proportion of the polyphenols present, 287
125
having higher values than soluble polyphenols, as shown earlier. Potatoes were 288
the only vegetables which did not show the same profile. Probably, its chemical 289
composition, rich in polysaccharides and starch, can contribute to this evidence. 290
Two mechanisms have been proposed to explain interactions occuring 291
between polyphenols and polysaccharides. The first suggests the formation of 292
hydrogen bonds between phenol’s hydroxyl groups and oxygen atoms from sugar’s 293
ether bonds of cell wall polysaccharide, forming dextran gels able to encapsulate 294
polyphenols. The second is based on the ability on some polysaccharides to 295
develop secondary structures, like nanotubes, which creates hydrophobic cavities 296
able to encapsulate and complex polyphenols (Pinelo, Arnous & Meyer, 2006). 297
Although there’s no evidence of the occurance of these interactions in potatoes, it 298
could be a possible explanation for the low efficacy of extration and low recovery of 299
hydrolysable polyphenol observed. 300
301
3.2. Antioxidant capacity of organic and conventional vegetables after 302
cooking 303
The antioxidant capacity expressed as percentage of radical scavenging 304
capacity (% RSC) of raw and cooked vegetables from both agricultural practices 305
are shown in Table 3. Radical scavenging capacity of vegetables reduced after 306
cooking, independently to the procedure and the agricultural type. The same 307
pattern was observed in both types of agriculture, where cooked broccoli and 308
potatoes resulted in higher scavenging capacity than raw samples (figure 3). 309
Significant differences however were only found in organic and conventional 310
126
broccoli, and for organic potato. In both cases, there were no diferences between 311
the cooking methods. 312
Although cooking tended to decrease polyphenol contents in the vegetables 313
analysed, especially organically grown samples, the increase or reduction in the 314
antioxidant capacity was not directly affected by modifications of polyphenols 315
contents. Lower concentration of phenolic compounds could lead to lower 316
antioxidant capacities; however both organic and conventional onions showed a 317
reduction in the radical scavenging capacity despite having higher polyphenol 318
recovery rates after cooking. Broccoli, on the other hand, which increased its 319
antioxidant capacity in both types of agriculture, had recovery rates lower than 320
100% for almost all cooking procedures. 321
As shown earlier, food processing could lead not only to alterations in 322
polyphenol quantity, but it can alter the polyphenol’s composition (Makris and 323
Rossiter, 2001). Modulation of phenolic compounds quality could affect the 324
antioxidant capacity, since diferent chemical structures have distinct radical 325
scavenging properties. The formation of novel substances such as products of 326
Maillard reaction could also increase the antioxidant capacity, especially in 327
samples like potatoes (Manzocco, Calligaris, Masrrocola, Nicoli & Lerici, 2001). In 328
addition, each polyphenol compound has higher or lower affinity to the DPPH 329
radical, which could influence the variations observed in the antioxidant capacity 330
between vegetables and between the cooking methods used in this study (Heim, 331
Tagliaferro & Bobilya, 2002). 332
Despite the alterations in soluble and hydrolysable polyphenols contents 333
after cooking procedures, these compounds seem to play an important role in the 334
127
the antioxidant capacities. Table 4 shows Pearson’s correlation coefficient for all 335
vegetables analysed before and after each cooking method. Interestinglly, in raw 336
samples hydrolysable polyphenols showed higher correlation with the antioxidant 337
capacities. However, after being cooked, vegetable’s antioxidant capacity was 338
slightly more correlated to the soluble polyphenols, probably because they are 339
more available for reactions with free radicals and, in the methodology applied, 340
with the DPPH radical. Polyphenols in general, showed high correlations with the 341
antioxidant capacity of vegetables, independently of agricultural practice or cooking 342
treatment applied. 343
344
4. Conclusions 345
Previous works had shown that polyphenols quantities can vary during 346
cooking, although alterations are dependent of the vegetable in question. Food 347
processing and simulated domestic cooking can result in higher levels of 348
polyphenols than raw samples (Turkmen, Sari & Velioglu, 2005). In contrast, 349
deleterious effects of heat treatment have already been shown for polyphenols as 350
well as for their antioxidant capacity (Zhang & Hamauzu, 2004; Ismail, Marjan & 351
Foong, 2004; Sultana, Anwar & Iqbal, 2007). In our study, these variations 352
according to the plant species were also observed. Soluble polyphenols tended to 353
be more sensitive to cooking than hydrolysable polyphenols, shown by lower 354
recovery rate. In addition, organically grown vegetables suffered more deleterious 355
consequences than conventional vegetables. This work shows that cooking can 356
lead to alterations in phenolic contents, suggesting that the real intake of these 357
phytochemicals can be overestimated when using data from raw vegetables. In 358
128
addition, organically grown vegetables were more sensitive to heat treatment for 359
most plant varieties study. Despite the slightly higher concentration of polyphenols 360
in organic vegetables, these compounds were more stable in conventionally grown 361
vegetables. Independently of the agricultural practice polyphenols seems to be an 362
important contributor to the antioxidant capacity of vegetables. 363
364
5. References 365
366
Bernhart, S., & Schlich, E. (2005). Impact of different cooking methods on food 367
quality: retention of lipophilic vitamins in fresh and frozen vegetables. Journal of 368
Food Engineering, 17, 327-333. 369
370
Brat, P., George, S., Bellamy, A., Du Chauffaut, L., Scalbert, A., Mennen, L., et al. 371
(2006) Daily polyphenol intake in France from fruit and vegetables. Journal of 372
Nutrition, 136, 2368-2373. 373
374
Carbonaro, M., Mattera, M., Nicoli, S., Bergamo, P., & Cappelloni, M. (2002). 375
Modulation of antioxidant compounds in organic vs. Conventional fruit (peach, 376
Prunus persica L., and pear, Pyrus communis L.). Journal of Agricultural and Food 377
Chemistry, 50, 5458-5462. 378
379
Cohen, M. F., Sakihama, Y., & Yamasaki, H. Roles of plant flavonoids in 380
interactions with microbes: from protection against pathogens to mediation of 381
mutualism. (2001). In: Pandalai, S. G. Recent Research Developments in Plant 382
Physiology 2.Research Signpost, Trivandrum, pg. 157-173. 383
384
Dixon, R. A.. & Paiva, N. L. (1995). Stress-induced phenylpropanoid metabolism. 385
Plant Cell, 7, 1085-1097. 386
387
129
Hein, K. E., Tagliaferro, A. R., & Bobilya, D. J. (2002). Flavonoid antioxidants: 388
chemistry, metabolism and structure-activity relationships. Journal of Nutritional 389
Biochemistry, 13, 572-584. 390
391
Ismail, A., Marjan, Z. M., & Foong, C. W. (2004). Total antioxidant activity and 392
phenolic content in selected vegetables. Food Chemistry, 87, 581-586. 393
394
Jaffery, E. H., Brown, A. F., Kurilich, A.C., Keek, A.S., Matusheski, N., & Klein, B.P. 395
(2003). Variation in content of bioactive components in broccoli. Journal of Food 396
Composition and Analisys, 16, 323-330. 397
398
Jeong, S. M., Kim, S. y., Kim, D. R., Jo, S. C.; Nam, K. C.; Ahn, D. U.; Lee, S. C. 399
(2004). Effect of heat treatment on the antioxidant acitivity of extracts from citrus 400
peels. Journal of Agricultural and Food Chemistry, 52, 3389-3393. 401
402
Karou, D., Dicko, M. H., Simpore, J., & Traore, A. S. (2005). Antioxidant and 403
antibacterial activities of polyphenols from ethnomedicinal plants of Burkina Faso. 404
African Journal of Biotechnology, 4, 823-828. 405
406
Kuskoski, E. M., Asuero, A. G., Morales, M. T., & Fett, R. (2006). Frutos tropicais 407
silvestres e polpas de frutas congeladas: atividade antioxidante, polifenóis e 408
antocianinas. Ciência Rural, 36, 1283-1287. 409
410
Lombard, K., Peffley, E., Geoffriau, E., Thompson, L., Herring, A. (2005). Quercetin 411
in onion (Allium cepa L.) after heat-treatment simulating home preparation. Journal 412
of Food Composition and Analysis, 18, 571-581. 413
414
Lombardi-Boccia, G., Lucarini, M.; Lanzi, S.; Aguzzi, A. & Cappelloni, M. (2004). 415
Nutrients and antioxidant molecules in yellow plums (Prunus domestica L.) from 416
conventional and organic productions: a comparative study. Journal of Agricultural 417
and Food Chemistry, 52, 90-94. 418
130
Makris, D. P., & Rossiter, J. T (2001). Domestic processing of onion bulbs (Allium 419
cepa) and asparagus spears (Asparagus officinalis): effect on flavonol content and 420
antioxidant status. Journal of Agricultural and Food Chemistry, 49, 3216-3222. 421
422
Manach, C., Scalbert A., Morand, C., Rémésy, C., & Jimenez, L. (2004). 423
Polyphenols: food sources and bioavailability. American Journal of Clinical 424
Nutrition, 79, 727-747. 425
426
Manzocco, L., Calligaris,S., Masrrocola, D., Nicoli, K. C. & Lerici, C. R. Review on 427
non-enzymatic browning and antioxidant capacity in processed foods. Trends in 428
Food Science Technology, v. 11, 340-346, 2001. 429
430
Pinelo, M., Arnous, A. & Meyer, A. S. (2006). Upgrading of grape skins: 431
Significance of plant cell-wall structural components and extraction techniques for 432
phenol release. Trends in Food Science & Technology, 17, 579-590. 433
434
Ross J. A. & Kasum C. M. (2002). Dietary flavonoids: bioavailability, metabolic 435
effects, and safety. Annual Reviews of Nutrition, 22, 19-34. 436
437
Sultana, B.; Anwar, F & Iqbal, S. Effect of different cooking methods on the 438
antioxidant activity of some vegetables from Pakistan. (2007). International Journal 439
of Food Science and Technology, in press. 440
441
Turkmen, N., Sari, F., & Velioglu, Y. S. (2005). The effect of cooking methods on 442
total phenolics and antioxidant activity of selected green vegetables. Food 443
Chemistry, 93, 713-718. 444
445
Vallejo, F., Tomás-Barberán, F., & Garcia-Viguera, C. (2003). Health promoting 446
compounds in broccoli as influenced by refrigerated transport and retail sale 447
period. Journal of Agricultural and Food Chemistry, 51, 3029-3034. 448
449
131
Vinson, J. A., Su, X., Zubik, L., & Bose, P. (2001). Phenol antioxidant quantity and 450
lity in foods: fruits. Journal of Agricultural and Food Chemistry, 49, 5315-5321. 451
452
Williamson, G. Protective effects of fruits and vegetables in the diet. (1996). 453
Nutrition and Food Science, 1, 6-10. 454
455
Winter, C. K. & Davis, S. F (2006). Organic foods. Journal of Food Science, 71, 456
117-124. 457
458
Zhang, D., & Hamauzu, Y. (2004). Phenolics, ascorbic acid, carotenoids and 459
antioxidant activity of broccoli and their changes during conventional and 460
microwave cooking. Food Chemistry, 88, 503-509. 461
462
463
464
465
466
467
468
469
470
471
472
473
474
475
476
132
Figure Captions 477
478
Figure 1. Soluble Polyphenol Distribution in Fresh and Cooked Vegetables 479
480
Figure 2. Hydrolyzable Polyphenol Distribution in Fresh and Cooked 481
Vegetables 482
483
Table 1. Soluble Polyphenols in Raw and Cooked Vegetables 484
485
Table 2. Hydrolyzable Polyphenols in Raw and Cooked Vegetables 486
487
Figure 3. Radical Scavenging Capacity of Fresh and Cooked Vegetables 488
489
Table 3. Antioxidant Capacity of Fresh and Cooked Vegetables after 60 490
minutes 491
492
Table 4. Influence of Soluble and Hydrolysable Polyphenols on the 493
Antioxidant Capacity of Raw and Cooked Vegetables 494
495
496
497
498
Carro
t
O
nio
n
Po
t
at
o
B
r
o
c
co
li
Wh
ite
Ca
b
b
ag
e
0.0
0.5
1.0
1.5
ORGANIC
mg GAE.mL VE
-1
Ca
r
ro
t
O
n
io
n
Po
t
ato
Broccoli
Whit
e
C
ab
ba
g
e
0.0
0.5
1.0
1.5
Microwaved Steammed
Raw
Boiled
CONVENTIONAL
mg GAE.mL VE
-1
Faller & Fialho, 2008, Figure 1
A
B
Carrot
Onion
Potato
Brocco
l
i
W
hit
e Cabba
ge
0.0
0.5
1.0
1.5
2.0
2.5
3.0
ORGANIC
mg GAE.mL VE
-1
C
ar
ro
t
Onion
P
o
tato
B
ro
c
c
ol
i
White Cabbage
0.0
0.5
1.0
1.5
2.0
2.5
3.0
Microwaved Steammed
CONVENTIONAL
Raw Boiled
mg GAE.mL VE
-1
Faller & Fialho, 2008, Figure 2
A
B
C
ar
rot
O
n
ion
Potato
Brocco
l
i
Whit
e
Cabbag
e
0
20
40
60
80
100
ORGANIC
% RSC
C
arrot
On
i
o
n
P
ot
a
t
o
B
r
occoli
W
hit
e
C
abb
a
ge
0
20
40
60
80
100
CONVENTIONAL
Microwaved Steammed
Raw
Boiled
% RSC
Faller & Fialho, 2008, Figure 3
A
B
Table 1. Soluble Polyphenols in Raw and Cooked Vegetables
% Recovery
Soluble
Polyphenols
Type of
Agriculture
Raw Vegetables
(mg GAE/ mL VE)
Boiled Microwaved
Steammed
OG 0.521 a 40.9 b 43.5 b * 52.1 b
Carrot
CV 0.289 ab 110.7 a 150.3 a * 44.3 b
OG
0.195 a 380.0 b 273.6 c 249.2 c
Onion
CV
0.325 a 195.2 b 140.1 a 124.8 a
OG
0.399 a 74.2 a *
111.0 a 87.0 a
Potato
CV
0.327 a 263.7 b *
205.9 b 64.9 a
OG
1.237 a 76.0 b 71.1 b 63.0 b
Broccoli
CV
1.173 a 73.9 a 109.1 a 95.6 a
OG
0.644 a 86.3 a 61.5 a 36.1 a
White Cabbage
CV
0.525 ab 104.5 a 59.4 b 50.2 b
Rows with the same letters are not significantly different. * Significant difference between agriculture
types within cooking procedure (P<0.05, Tukey test). Values expressed as mg gallic acid equivalent
(GAE)/mL vegetable extract (VE). OG: organic; CV: conventional
Faller & Fialho, 2008, Table 1
Table 2. Hydrolyzable Polyphenols in Raw and Cooked Vegetables
% Recovery
Hydrolysable
Polyphenols
Type of
Agriculture
Raw Vegetables
(mg GAE/ mL VE)
Boiled Microwaved
Steammed
OG 0.808 a 77.6 a 87.3 a 80.2 a
Carrot
CV 0.626 a 112.7 a 108.9 a 123.3 a
OG 1.204 a * 74.6 b *
114.9 c 105.4 ac *
Onion
CV 0.932 a * 156.0 b *
155.3 b 163.2 b *
OG 0.352 a 181.4 a * 180.8 a 122.8 a
Potato
CV 0.422 a 355.9 b * 274.3 ab 85.6 a
OG 2.315 a 53.2 b 55.6 b 46.9 b *
Broccoli
CV 2.014 ac 65.0 b 81.4 bc 125.7 a *
OG 1.693 a 39.7 b 56.3 b 37.5 b *
White Cabbage
CV 1.365 a 34.9 b 55.2 b 100.6 a *
Rows with the same letters are not significantly different. * Significant difference between
agriculture types within cooking procedure (P<0.05, Tukey test). Values expressed as mg gallic
acid equivalent (GAE)/mL vegetable extract (VE). OG: organic; CV: conventional
Faller & Fialho, 2008, Table 2
Table 3. Antioxidant Capacity of Vegetables after 60 minutes
% Radical Scavenging Capacity (RSC)
Fresh Boiled Microwaved Steammed
OG
40.4 a 5.6 b 8.4 b 9.2 b
Carrot
CV
48.3 a 3.4 b 12.3 b 2.1 b
OG
60.6 a 14.8 b 18.9 b 14.1 b
Onion
CV
48.8 a 28.9 b 19.7 b 10.9 b
OG
11.2 a 26.3 b * 30.3 b 32.4 b
Potato
CV
13.0 a 11.0 a * 17.8 a 19.8 a
OG
73.8 a * 87.0 b * 89.2 b 89.0 b
Broccoli
CV
78.9 a * 91.7 b * 89.7 c 90.0 bc
OG
41.0 a * 26.9 b 37.7 a 22.5 b *
White Cabbage
CV
57.2 a * 18.0 b 30.4 c 10.8 b *
Rows with the same letters are not significantly different. * Significant difference between
agriculture types within cooking procedure (P<0.05, Tukey test). OG: organic; CV: conventional
Faller & Fialho, 2008, Table 3
Table 4. Pearson’s Correlation Coefficient of Soluble and Hydrolysable
Polyphenols and Antioxidant Capacity in Raw and Cooked Vegetables
Type of
Agriculture
Soluble
Polyphenol
Hydrolyzable
Polyphenol
OG 0.51 0.84 Raw
CV 0.77 0.92
OG 0.74 0.85 Boiled
CV 0.59 0.35
OG 0.90 0.45 Microwaved
CV 0.87 0.65
OG 0.85 0.28 Steammed
CV 0.97 0.78
OG: organic; CV: conventional
Faller & Fialho, 2008, table 4
Anexo B
Manuscrito a ser submetido ao periódico Cadernos de Saúde Pública
Frutas, Hortaliças e Disponibilidade de Polifenóis no Brasil
141
Frutas, Hortaliças e Disponibilidade de Polifenóis no Brasil
Fruits, Vegetables and Polyphenol Intake in Brazil
Disponibilidade de Polifenóis no Brasil
Ana Luisa Kremer Faller
1
e Eliane Fialho
1
1
Departamento de Nutrição Básica e Experimental, Instituto de Nutrição Josué de Castro,
UFRJ
Departamento de Nutrição Básica e Experimental, Instituto de Nutrição Josué de Castro,
Centro de Ciências da Saúde, Universidade Federal do Rio de Janeiro, UFRJ, Caixa Postal
68041, Cidade Universitária, Ilha do Fundão, Rio de Janeiro, CEP 21941-590, Brasil.
142
Resumo
O consumo de frutas e hortaliças está associado a menor incidência de doenças crônicas não-
transmissíveis, em parte devido a presença de substâncias antioxidantes, como os polifenóis.
O objetivo deste trabalho é quantificar o conteúdo de polifenóis totais em frutas e hortaliças
comumente consumidas no Brasil, estimar a disponibilidade destes compostos no país e nas
principais regiões e caracterizar os alimentos-fonte. Os polifenóis foram determinados pelo
método Folin-Ciocalteu e a disponibilidade estimada com base na Pesquisa de Orçamentos
Familiares 2002/2003. O teor de polifenóis nos alimentos variou de 15,35 a 214,84mg
EAG/100g peso fresco. A disponibilidade nacional foi de 47,76mg/dia, tendo a região Sudeste
e a região Centro-Oeste os maiores e menores valores, respectivamente. A banana foi a
principal fonte de polifenóis no Brasil no entanto, este perfil variou em cada região. A
disponibilidade brasileira de polifenóis foi semelhante à de outros países, apresentando
diferenças regionais resultantes das diferenças no hábito alimentar da população. A adoção da
recomendação diária de frutas e hortaliças representa um aumento de 14 vezes na
disponibilidade nacional de polifenóis, demonstrando a relação entre o consumo destes grupos
alimentares com a ingestão de compostos bioativos benéficos à saúde.
PALAVRAS CHAVE: polifenóis / disponibilidade alimentar / frutas / hortaliças
143
Abstract
Fruit and vegetable intake has been associated with lower risk of developing chronic diseases
due to their composition on antioxidant compounds such as polyphenols. The objective of this
work is to quantify total polyphenols in fruits and vegetables commonly consumed in Brazil,
estimate the national and regional intakes, and characterize the main food sources.
Polyphenols were determined by the Folin-Ciocalteu reagent method and the disponibility
estimated according to the Pesquisa de Orçamentos Familiares 2002/ 2003. The polyphenol
food contents varied from 15,35 to 214,84 mg GAE/ 100 g fresh weight. Polyphenol intake in
Brazil was 47,76 mg/ day, having the southeast and center-west regions the highest and
lowest intakes, respectively. Banana was the main polyphenol food source in Brazil, however
this pattern varied between regions. The estimated polyphenol intake was similar to those
from other countries, however differences among regions was observed due to food habits.
The daily consumption of fruit and vegetable recommendation would represent a 16 times
increase in the polyphenol intake, showing the relationship between these food groups and the
consumption of beneficial bioactive compounds.
KEY WORDS: polyphenol / consumption / fruits/ vegetables
144
1. Introdução
Apesar dos primeiros estudos datarem da década de 30, a relação entre o hábito
alimentar e a incidência de doenças crônicas o transmissíveis (DCNT) é conhecida
aproximadamente 2000 anos
1
. Desde então, evidências epidemiológicas vêm demonstrando a
relação inversa entre o elevado consumo de frutas e hortaliças e a incidência de DCNT, em
especial câncer
2
e doenças cardiovasculares
3
.
A associação entre o consumo de frutas e hortaliças e o menor risco de
desenvolvimento de DCNT se dá, principalmente, pela composição química natural destes
alimentos. Frutas e hortaliças, além de fornecerem componentes importantes para
desempenharem funções básicas do organismo como, por exemplo, ácido ascórbico,
betacaroteno e ácido fólico, são fontes de compostos bioativos diretamente associados à
prevenção de doenças. Os polifenóis, grupo de fitoquímicos que compreende mais de 8.000
substâncias identificadas, é o maior grupo de compostos bioativos, largamente distribuído
em produtos de origem vegetal, sendo subdividido em classes de acordo com a estrutura
química das substâncias
4
. Os principais grupos de polifenóis são os ácidos fenólicos, tendo
como exemplos: o ácido clorogênico, presente no café; os estilbenos, como o resveratrol
presente nas uvas e vinho; as cumarinas, como as furanocumarinas do aipo; as ligninas, como
as lignanas da linhaça; e os flavonóides. Este último grupo é o maior e mais estudado,
possuindo mais de 5.000 compostos identificados, e tem como principais alimentos-fonte
frutas e hortaliças, chás, cacau, soja, dentre outros
5
. No entanto, alguns compostos
específicos estão em maiores concentrações em determinados alimentos, como a quercetina
na cebola, miricetina no brócolis, as antocianinas em frutas de coloração vermelha-arroxeada,
tais como cereja, morango e uvas, e as flavanonas em frutas cítricas, como laranja e
tangerina
6
. As ações fisiológicas exercidas pelos polifenóis foram relacionadas à prevenção
145
de doenças cardiovasculares, neurodegenerativas, câncer, entre outras, principalmente em
função da elevada capacidade antioxidante
7
.
A alteração no padrão alimentar associada a maior oferta de alimentos processados de
baixo custo, favorece o aumento do consumo de alimentos com alta densidade energética e
baixa densidade nutricional
8
. A falta de conscientização quanto aos benefícios do consumo
de frutas e hortaliças, assim como de educação nutricional, desde a fase escolar, podem ainda
contribuir para a baixa procura da população por estes grupos alimentares. Recente trabalho
realizado em bairros de baixa renda do município de São Paulo, em 2004, resultou em
aumento de 2,9% nas calorias diárias provenientes de frutas e hortaliças, evidenciando a
importância de se elaborar medidas públicas de orientação nutricional que visem a
alimentação saudável
9
.
A avaliação e determinação de polifenóis totais em frutas e hortaliças produzidas no
Brasil e de consumo mais freqüente é essencial tanto para avaliar o grau de importância dos
compostos bioativos em alimentos, como para estimar a ingestão nacional, possibilitando a
comparação com a de outros países. A quantificação do teor de polifenóis nestes alimentos é
importante para subsidiar programas da OMS (“5 ao dia”)
10
e do Ministério da Saúde “Brasil
Saudável”
11
,
ao agregar conhecimento científico sobre a composição nutricional dos
alimentos e seus benefícios na prevenção de doenças, além de reforçar a importância do
consumo de, no mínimo, 400g de frutas e hortaliças diariamente.
Dessa forma, este trabalho tem como objetivo quantificar o conteúdo de polifenóis
totais em frutas e hortaliças estimando a sua disponibilidade no Brasil e nas principais regiões
geográficas. Visa também, avaliar os principais alimentos fonte e sugerir uma ingestão diária
que contemple a recomendação de cinco a nove porções de frutas e hortaliças.
146
2. Material e métodos
2.1. Seleção e preparo da amostra
Foram selecionados doze alimentos de maior consumo no Brasil, seis frutas e seis
hortaliças, segundo a Tabela de Aquisição Domiciliar de Alimentos da Pesquisa de
Orçamentos Familiares 2002/ 2003 do Instituto Brasileiro de Geografia e Estatística
12
. As
frutas selecionadas se encontravam dentro da classificação de “frutas tropicais” da própria
tabela, sendo elas abacaxi pérola (Ananás comosusl), banana prata (Musa acuminata), laranja
lima (Citrus sinensis), mamão papaya (Carica papaya), manga tommy (Mangifera indica) e
tangerina ponkan (Citrus reticulata). Das seis hortaliças selecionadas, duas se encontravam
sob a classificação de “hortaliças folhosas e florais”, brócolis comum (Brassica oleracea var.
Italica) e repolho branco (Brassica oleracea var. Capitata); duas como “hortaliças frutosas”
batata inglesa (Solanum tuberosum L.) e tomate (Lycopersicon esculentum var. Carmem); e
duas como “hortaliças tuberosas” cebola nacional (Allium cepa) e cenoura (Daucus carota).
Os experimentos foram realizados em duplicata em três momentos distintos durante os
meses de agosto e setembro de 2006. Os alimentos foram adquiridos em mercados varejistas
da cidade do Rio de Janeiro (RJ), sendo adquiridos aproximadamente 1,0kg de cada vegetal
ou no mínimo três unidades para vegetais de grande volume (abacaxi, manga, brócolis,
repolho) por momento de análise. Os cultivares de cada fruta e hortaliça foram escolhidos em
função da maior disponibilidade no mercado, uma vez que não são especificados pelo IBGE,
sendo estes os de maior disponibilidade nos mercados da cidade do Rio de Janeiro. Os
alimentos foram lavados em água fria e corrente e secos em papel toalha. Os mesmos foram
descascados manualmente no caso da banana e tangerina, com faca para as demais frutas,
incluindo o tomate e com descascador manual de legumes para o caso da batata e cenoura.
Para estes alimentos a polpa foi a fração analisada. O brócolis foi subdivido manualmente em
folhas, flores e talos, sendo utilizadas para as análises as três frações em proporções
147
semelhantes. Do repolho, a parte externa foi descartada (considerando-se as três folhas mais
externas), sendo a fração interna (restante do alimento) analisada, simulando o processo de
pré-preparo normalmente utilizado em nível doméstico. Alimentos danificados ou com
injúrias foram descartados. Após o pré-preparo, os alimentos foram processados em extrator
de suco modelo Samsom GB-9001, (Greenbison Inc, EUA), obtendo-se um extrato fluido
utilizado imediatamente nas análises.
2.2. Extração de polifenóis totais
A extração de polifenóis totais foi realizada segundo a metodologia de Vinson et al.
13
com algumas modificações. Amostras de 100µL do suco extraído fresco foram colocadas em
eppendorfs de rosca sendo posteriormente acrescidos de 500µL de solução de extração
contendo metanol a 50% acrescidos de ácido clorídrico a 1,2M. Os eppendorfs foram
colocados em banho-maria a 90ºC por 3h. Posteriormente, foram retirados do banho e, após
resfriados em temperatura ambiente, o volume foi completado a 1mL com metanol puro. Em
seguida, as amostras foram centrifugadas a 5000rpm por 5 minutos e os sobrenadantes foram
obtidos com auxílio de uma pipeta automática, sendo estes denominados extratos de
polifenóis. As extrações foram realizadas em duplicata.
2.3. Determinação de polifenóis totais
A determinação de polifenóis foi realizada utilizando o reagente de Folin-Ciocalteu
segundo Karou et al.
14
. A solução de Folin foi preparada utilizando o reagente Folin-
Ciocalteu (Merck) e água deionizada 1:1 (v/v). Em eppendorf foram adicionados 30µL do
extrato de polifenol conforme descrito acima, acrescidos de 75µL da solução de Folin. Após
cinco minutos de reação foram adicionados 75µL de solução de carbonato de sódio (20%) e o
volume foi completado com água deionizada até 600µL. A solução reagiu por 30 minutos e
posteriormente foi realizada a leitura em espectrofotômetro (Beckman 6300) a 750nm
utilizando ácido gálico como padrão. Os resultados foram expressos em mg de equivalentes
148
de ácido gálico (EAG) por 100g de alimento peso fresco. A determinação de polifenóis foi
realizada em três experimentos independentes, cada um em duplicata.
2.4. Estimativa da disponibilidade nacional
A disponibilidade nacional de polifenóis foi estimada a partir dos valores obtidos por
grama de peso fresco de cada vegetal analisado neste estudo. O valor diário per capita no
Brasil e regiões foi calculado a partir da soma do aporte diário de polifenóis fornecido por
cada alimento, segundo a fórmula abaixo:
Aporte diário do alimento: conteúdo de polifenóis por grama x aquisição anual
365 dias
A representatividade de cada vegetal no aporte diário de polifenóis totais foi calculado
a partir do teor de compostos fenólicos oferecido por cada alimento, em um dia, dividido pela
disponibilidade total diária, sendo o valor expresso em percentual, como na fórmula expressa
a seguir:
% = aporte de polifenóis totais por dia (para cada vegetal) x 100
consumo diário de polifenóis totais
2.5. Sugestão de consumo
Uma sugestão de consumo, englobando a recomendação diária de frutas e hortaliças
(cinco a nove porções ao dia) e os alimentos analisados, foi elaborada a partir das
recomendações de porções alimentares descritas no “Guia Alimentar para a População
Brasileira” publicada pelo Ministério da Saúde em 2005
15
. O cardápio proposto apresenta
valor energético total (VET) de aproximadamente 2000kcal, podendo ter como público alvo a
população adulta saudável.
Para a elaboração do cardápio foram selecionadas preparações cujas composições e
valores calóricos foram obtidos a partir de Franco e Chaloub
16
, sendo estas: salada de alface,
cenoura cozida, salada de frutas, salada de repolho, pirão e brócolis cozido.
149
2.6. Estatística:
Os valores de média e desvio padrão foram calculados utilizando programa Microsoft Excel
do pacote Office 2007 para Windows.
3. Resultados
O conteúdo médio de polifenóis totais nas frutas analisadas variou de 15,3 a 215,7mg
EAG/ 100g de peso fresco, sendo as frutas com menor e maior teor de polifenóis,
respectivamente, o mamão e a banana (tabela 1). No caso das hortaliças, os valores médios
variaram de 13,7mg EAG/ 100g de peso fresco para o tomate e de 113,2mg EAG/ de 100g
peso fresco para a cebola (tabela 2). Os valores obtidos para polifenóis nas frutas e hortaliças
estudadas foram semelhantes àqueles apresentados na literatura, com algumas exceções, como
o mamão, a batata e o brócolis, cujos valores foram inferiores aos da literatura. A figura 1
demonstra o consumo diário per capita de polifenóis em relação ao volume consumido
diariamente das frutas e hortaliças estudadas. A disponibilidade média de polifenóis a partir
das frutas e hortaliças estudadas foi de 53,4mg/ dia no Brasil, sendo a região sudeste a que
apresentou maior valor (60,2 mg), seguida pelo sul (58,5 mg), nordeste (49,2 mg), norte (40,8
mg) e centro-oeste (32,2 mg). O maior consumo diário de frutas está positivamente
relacionado com um maior fornecimento destes compostos.
Em relação ao conteúdo de polifenóis fornecido diariamente por cada alimento
estudado, a banana foi aquela que se destacou, sendo responsável por 30,4% dos polifenóis
totais fornecidos diariamente por estes alimentos no Brasil. Em segundo e terceiro lugares
ficaram a cebola (20,1%) e a laranja (12,9%), respectivamente (tabela 3). Porém, as regiões
Sul e Centro-Oeste obtiveram outros alimentos como as principais fontes de polifenóis na
dieta.
O cardápio elaborado para adultos saudáveis (VET aproximado de 2000Kcal) como
150
sugestão de consumo destes doze alimentos, gerou um aumento em torno de 14 vezes na
ingestão de polifenóis, elevando de 53,4mg/ dia para 759,2mg/ dia.
4. DISCUSSÃO
O conteúdo de polifenóis em alimentos é bastante variável e sofre influência de
diferentes fatores, tais como: região geográfica de plantio, variação à exposição solar, método
de cultivo e fertilização aplicados, cultivar analisado, dentre outros, o que pode justificar as
diferenças observadas para o mamão, a batata e o brócolis, em relação à literatura. Com
exceção dos dados apresentados por Mélo et al.
17
, os demais trabalhos foram realizados em
outros países, apresentando condição climática, incidência solar e, provavelmente, cultivares
diferentes dos analisados. Dessa forma, mesmo sendo realizado no Brasil os alimentos foram
produzidos e adquiridos na região de Recife, enquanto este estudo foi realizado na região
sudeste, demonstrando a importância de análises regionais, especialmente em países de larga
extensão como o Brasil.
As maiores disponibilidades diárias per capita de polifenóis nas regiões sudeste e sul
provavelmente se devem ao maior poder aquisitivo da população destas regiões, que permite
maior aquisição e consumo de frutas e hortaliças
24
. O custo elevado de frutas e hortaliças
assim como a renda familiar são fatores diretamente associados à redução da participação
destes alimentos na dieta do brasileiro
25
. No entanto, o posicionamento do Nordeste em
terceiro, pode indicar que apenas o fator econômico não explica os resultados observados,
que esta região compreende cidades reconhecidamente de menor poder aquisitivo. A maior
facilidade de acesso da população destas regiões a estabelecimentos que vendem frutas e
hortaliças pode ter contribuído para este resultado, uma vez que estudos mostram que a
facilidade de acesso está associada positivamente com o aumento do consumo destes grupos
de alimentos
26
. A literatura demonstra ainda, que o tamanho da seção destinada ao hortifruti
151
dos mercados, assim como a diversidade de produtos, são fatores que influenciam na maior
aquisição de produtos de origem vegetal
27
.
A variação na disponibilidade de polifenóis entre as regiões, em especial nas regiões
centro-oeste e norte, pode ser devida aos alimentos utilizados neste trabalho. Ao contemplar
alimentos de maior consumo nacional, foram desconsiderados os hábitos alimentares das
diferentes regiões, e estas, em especial, mantêm o consumo de alimentos típicos, diferentes do
restante do país
28
. O consumo de alimentos regionais é mais evidente ainda na ingestão de
frutas, devido a enorme diversidade natural nessas regiões, tendo como exemplos, açaí,
cupuaçu e taperebá no norte, e pequi e gabiroba no centro-oeste. Estudos vêm demonstrando
que frutas tropicais nativas do Brasil possuem conteúdo significativo de compostos fenólicos.
Lima et al.
29
verificaram que pitangas vermelhas apresentavam um teor de 257 mg de
equivalente de catequina por 100 g do fruto, valor semelhante ao de outras frutas vermelhas,
como mirtilo, ameixa e uva (270, 174 e 201 mg EAG/ 100g peso fresco, respectivamente),
que são frutas de clima temperado, reconhecidas como fonte de polifenóis
30, 31
. O açaí
apresenta um alto teor de antocianinas, um subgrupo de polifenóis, com valores de 267 mg/
100g de peso fresco
32
. Dessa forma, a disponibilidade de polifenóis nas regiões norte e
centro-oeste pode ter sido subestimada neste trabalho, uma vez que não foram avaliados
alimentos típicos e frutas nativas destas regiões. Mesmo assim, considerando-se apenas estes
doze alimentos, o consumo estimado para o Brasil é equivalente, e em alguns casos superior,
àquele estimado para outros países, como Espanha (18-31mg/ d)
33
, Dinamarca (23,46 mg/ d)
34
, Japão (25-40 mg/ d)
35
e Estados Unidos (20-34 mg/ d)
36
.
A influência do hábito alimentar de cada região pode ser também verificada em
relação ao aporte diário de polifenóis fornecido por cada fruta ou hortaliça. As regiões sul e
centro-oeste foram as únicas que não apresentaram a banana como principal fonte alimentar
de polifenóis, e sim a cebola (tabela 3). Da mesma forma, a batata na região sul oferece 15,2%
152
dos polifenóis diários, maior percentual observado para este alimento dentre as regiões. O
norte e nordeste apresentam alto consumo de outros tubérculos como mandioca, cará e batata
doce, o que leva a um aporte em torno de 5% dos polifenóis diários pela batata inglesa nestas
regiões. A banana, além de apresentar quantidade elevada de polifenóis totais por 100 g, valor
semelhante à maçã
37
, apresenta um grande volume adquirido anualmente, 2,7 kg per capita.
A batata, no entanto, contém aproximadamente um décimo do teor de polifenóis presente na
banana, porém o grande consumo, principalmente na região sul (10,3kg/ per capita ao ano)
12
,
a coloca como um alimento representativo no aporte de polifenóis. Os dados apresentados por
Vinson et al
13
mostram perfil semelhante na população norte americana, onde mesmo a
cebola contendo maior teor de polifenóis no alimento in natura, o grande consumo da batata
nos Estados Unidos a colocou como principal alimento-fonte da população.
Como descrito anteriormente, diferentes fatores externos são capazes de influenciar
o conteúdo de polifenóis no alimento, como exposição solar, cultivar e composição do solo, o
que torna essencial analisar alimentos produzidos e consumidos nacionalmente. Em segundo
lugar, alimentos reconhecidos como fonte de polifenóis frequentemente não compreendem
alimentos comumente consumidos no Brasil, como é o caso de frutas vermelhas, soja e
bebidas como o chá
38
. A quantificação de polifenóis em outros alimentos consumidos em
território nacional poderá levar à identificação de novos alimentos fonte, além de agregar
informação aos dados obtidos levando a maior precisão da estimativa de disponibilidade de
polifenóis no Brasil.
O consumo de apenas 72 g/ dia de frutas e hortaliças oriundos dos doze alimentos
estudados é bastante reduzido frente à recomendação da Food and Agriculture Organization
(FAO) de 400 g ao dia. No entanto, a sugestão de cardápio proposta com base no “Guia
Alimentar para a População Brasileira” (tabela 4) indica que o aumento do consumo de frutas
e hortaliças levaria a um aumento no aporte de polifenóis. No cardápio hipotético, a ingestão
153
diária de polifenóis chega a 759 mg, o equivalente ao aumento de aproximadamente 14 vezes
ao estimado neste estudo. Ainda assim, este valor estará subestimado, uma vez que outros
alimentos da dieta do brasileiro, como, por exemplo, o arroz e o feijão, o café, e a alface, não
estão sendo analisados neste estudo.
5. CONCLUSÃO
Apesar da estimativa de disponibilidade de polifenóis a partir dos doze alimentos
analisados ser limitada, o valor encontrado para o Brasil foi semelhante às estimativas de
consumo para outros países. Em função da extensão territorial e das diferenças culturais entre
as regiões geográficas, novas análises devem ser realizadas em cada região brasileira, de
maneira a verificar particularidades de cada região. De maneira geral, fica claro que a adoção
de práticas alimentares saudáveis e o incentivo ao maior consumo de frutas e hortaliças leva
ao aumento no aporte de polifenóis pela população. Dessa forma, a identificação de
compostos bioativos em alimentos nacionais deve ser estimulada, a fim de se obter
informações sobre o seu conteúdo na dieta brasileira, conhecer as características regionais,
além de fornecer subsídios e conhecimento científico para embasar programas de promoção
ao consumo de frutas e hortaliças, como o “5 ao dia” e o “Brasil Saudável”.
6. REFERÊNCIAS BIBLIOGRÁFICAS
1. Williamson, G. Protective effects of fruits and vegetables in the diet. Nutr Food Sci 1996;
1:6-10.
2. Riboli E, Norat T. Epidemiologic evidence of the protective effect of fruit and vegetables
on cancer risk. Am J Clin Nutr 2003; 78 Suppl:559-69.
154
3. Bazzano LA, He J, Ogden LG, Loria CM, Vupputuri S, Myers L, Whelton PK. Fruit and
vegetable intake and risk of cardiovascular disease in US adults: the first National Health and
Nutrition Examination Survey Epidemiologic Follow-up Study. Am J Clin Nutr 2002; 76:93-
9.
4. Arts ICW, Hollman, PCH. Polyphenols and disease risk in epidemiologic studies. Am J
Clin Nutr 2005; 81:317-25.
5. Ross JA, Kasum CM. Dietary flavonoids: bioavailability, metabolic effects, and safety.
Annu Rev Nutr 2002; 22:19-34.
6. Manach C, Scalbert A, Morand C, Rémésy C, Jimenez L. Polyphenols: food sources and
bioavailability. Am J Clin Nutr 2004; 79:727-47.
7. Scalbert A, Johnson IT, Saltmarsh M. Polyphenols: antioxidants and beyond. Am J Clin
Nutr 2005; 81:S215-7.
8. Levy-Costa RB, Sichieri R, Pontes NS, Monteiro CA. Disponibilidade domiciliar de
alimentos no Brasil: distribuição e evolução (1974-2003). Rev Saúde Pública 2005; 39:530-
40.
9. Jaime PC, Machado FMS, Westphal MF, Monteiro CA. Educação nutricional e consumo
de frutas e hortaliças: ensaio comunitário controlado Rev Saúde Pública 2007; 41:154-7.
10. World Health Organization. Diet, nutrition and the prevention of chronic diseases. Report
of a Joint WHO/FAO Expert Consultation. Geneva:World Health Organization; 2003. (WHO
Technical Report Series 916).
11. Ministério da Saúde (MS).
http://portal.saude.gov.br/portal/aplicacoes/noticias/noticias_detalhe.cfm?co_seq_noticia=169
31 (acessado em 13/jul/2007).
12. Instituto Brasileiro de Geografia e Estatística. Tabela de Aquisição de Alimentar
Domiciliar per capita Pesquisa de Orçamentos Familiares POF 2002-2003.
www.ibge.gov.br (acessado em 10/out/2005).
13. Vinson JA, Su X, Zubik L Bose P. Phenol antioxidant quantity and quality in foods: fruits.
J Agric Food Chem 2001; 49:5315-21.
14. Karou D, Dicko MH, Simpore J, Traore AS. Antioxidant and antibacterial activities of
polyphenols from ethnomedicinal plants of Burkina Faso. African Journal of Biotechnology
2005; 4:823-8.
15. Guia alimentar para a população brasileira : Promovendo a alimentação saudável /
Ministério da Saúde, Secretaria de Atenção à Saúde, Coordenação-Geral da Política de
Alimentação e Nutrição Brasília: Ministério da Saúde, 2005. 236p. (Série A. Normas e
Manuais Técnicos).
16. Franco G, Chaloub SR. Dietas e Receitas Valores calóricos e Propriedades Gerais dos
Alimentos. 3ª edição, editora Atheneu, 1992.
155
17. Mélo EA, Lima VLAG, Maciel MIS. Polyphenol, Ascorbic Acid and Total Carotenoid
Contents in Common Fruits and Vegetables. Braz. J. Food Technol 2006; 9:89-94.
18. Sun J, Chu YF, Wu X, Liu RH Antioxidant and antiproliferative activities of common
fruits. J Agric Food Chem 2002; 50:7449–54.
19. Wu X, Beecher GR, Holden JM, Haytowitz DB, Gebhardt SE, Prior RL. Lipophilic and
hydrophilic antioxidant capacities of common foods in the United States. J Agric Food Chem
2004; 52:4026-37.
20. Ciéslik E, Greda A, Adamus W. Contents of polyphenols in fruit and vegetables. Food
Chemistry 2006; 94:135-42.
21. Lako J, Trenerry VC, Wahlqvist M, Wattanapenpaiboon N, Sotheeswaran S, Premier R.
Phytochemical flavonols, carotenoids and the antioxidant properties of a wide selection of
Fijian fruit, vegetables and other readily available foods. Food Chemistry 2007; 101:1727-41.
22. Luximon-Ramma A, Bahorun T, Crozier A. Antioxidant actions and phenolic and vitamin
C contents of common Mauritian exotic fruits. Journal of the Science of Food and Agriculture
2003; 83:496–502.
23. Wang YC, Chuang YC, Ku YH. Quantitation of bioactive compounds in citrus fruits
cultivated in Taiwan. Food Chemistry 2007; 102:1163-71.
24. Jaime PC, Monteiro CA. Fruit and vegetable intake by Brazilian adults, 2003. Cad Saúde
Pública 2005; 21 Sup:S19-S24.
25. Claro RM, do Carmo HCE, Machado FMS, Monteiro CA. Income, food prices, and
participation of fruit and vegetables in the diet. Rev Saúde Pública 2007; 41:1-7.
26. Morland K, Wing S, Diez Roux A. The contextual effect of the local food enviorenmnt on
residents’ diets: the Atherosclerosis Risk in Communities Study. Am J Public Health 2002;
92:1761-7.
27. Bodor JN, Rose D, Farley TA, Swalm C, Scott SK. Neighbourhood fruit and vegetable
availability and consumption: the role of small food stores in an urban environment. Public
health Nutrition 2007, in press, 1-8.
28. Galeazzi MM, Marchesich R, Siano R. Nutrition Country Profile of Brazil 2002, FAO.
29. Lima VL, Mélo EA, Lima DES. Fenólicos e carotenóides totais em pitanga. Scientia
Agrícola 2002; 59:447-50.
30. Sellappan S, Akok C, Krewer G. Phenolic compounds and antioxidant capacity of
Georgia-grown blueberries and blackberries. J Agric Food Chem 2002; 50:2432-8.
31. Kim, DO, Jeong, SW, Lee C. Antioxidant capacity of phenolic phytochemicals from
various cultivars of plums. Food Chemistry 2003; 81:321-6.
156
32. Bobbio FO, Druzian JI, Abrão PA, Bobbio PA, Fadelli S. Identificação e quantificação
das antocianinas do fruto do açaizeiro (Euterpe oleracea) Mart. Ciênc Tecnol Aliment 2000;
20:388-90.
33. De Pascual-Teresa S, Santos-Buelga C, Rivas-Gonzalo JC. Quantitative analysis of
flavan-3-ols in Spanish foodstuffs and beverages. J Agric Food Chem 2000; 48:5331-7.
34. Dragsted LO, Strube M, Leth T. Dietary levels od plant phenols and other non-nutritive
components: could they prevent cancer? Eur J Can Prevention 1997; 6:522-8.
35. Kimira M, Arai Y, Shimoi K, Watanabe S. Japanese intake of flavonoids and
isoflavonoids from foods. J Epidemiol 1998; 8:168-75.
36. Sampson L, Rimm E, Hollman PC, de Vries JH, Katan MB. Flavonol and flavone intakes
in US health professionals. J Am Dietet Assoc 2002; 102:1414-20.
37. Balsundram N, Sundram K, Samman A. Phenolic compounds in plants and agri-industrial
by-products: Antioxidant activity, occurrence, and potential uses. Food Chem 2006; 99:191–
203.
38. Scalbert A, Williamson G. Dietary intake and bioavailability of polyphenols. J Nutr 2000;
130 Suppl 3073S-85S.
157
Tabela 1
Teor médio de polifenóis totais em frutas do Brasil e comparação com dados da literatura
Frutas Média* DP Literatura
66,3
17
94,3
18
Abacaxi
85,1 5,8
174,0
19
44,5
24
90,4
18
Banana 215,7 3,5
231,0
24
92,4
17
Laranja 114,6 1,3
217,0
20
57,6
22
Mamão 15,3 0,3
75,4
17
56,0
22
72,3
17
Manga 110,5 9,6
266,0
19
42,6
23
Tangerina
134,1 6,5
192,0
19
* Valores expressos em mg EAG/ 100g peso fresco
17
Mélo et al., 2006 (Brasil) /
18
Sun et al., 2002 (Estados Unidos) /
19
Wu et al., 2004
(Estados Unidos) /
20
Ciéslik et al., 2006 (Polônia) /
21
Lako et al., 2006 (Fiji) /
22
Luximon-Ramma
et al., 2003 (Espanha) /
23
Wang et al., 2007 (Taiwan).
158
Tabela 2
Teor médio de polifenóis totais em hortaliças do Brasil e comparação com dados da
literatura
* Valores expressos em mg EAG/ 100g peso fresco
17
Mélo et al., 2006 (Brasil) /
18
Sun et al., 2002 (Estados Unidos) /
19
Wu et al., 2004
(Estados Unidos) /
20
Ciéslik et al., 2006 (Polônia) /
21
Lako et al., 2006 (Fiji) /
22
Luximon-Ramma
et al., 2003 (Espanha) /
23
Wang et al., 2007 (Taiwan).
Hortaliças Média * DP Literatura
43,2
17
Batata 31,5 2,1
163,0
19
290,0
20
Brócolis 68,0 9,4
337,0
19
82,2
17
91,0
19
Cebola 113,2 3,8
150,0
20
12,9
17
16,0
21
Cenoura 45,1 4,7
125,0
19
47,3
17
Repolho 66,9 17,0
108,0
20
30,8
17
36,0
21
Tomate 13,7 1,2
62,0
20
159
Figura 1
Consumo nacional per capita de polifenóis totais e frutas e hortaliças nas principais regiões
do país.
53,4
58,5
60,2
49,2
40,8
32,2
72,0
44,6
59,6
90,2
82,4
49,9
0
10
20
30
40
50
60
70
Brasil Sul Sudeste Nordeste Norte Centro-
Oeste
Polifenóis (mg EAG/dia)
0,0
10,0
20,0
30,0
40,0
50,0
60,0
70,0
80,0
90,0
100,0
Frutas e Hortaliças (g/dia)
Polifenóis Frutas e Hortaliças
160
Tabela 3
Quantidade de polifenóis totais fornecido por cada alimento em relação ao aporte diário per
capita.
Aporte Diário de Polifenóis Totais por Alimento (%)
Alimento
Brasil
Norte
Nordeste
Sudeste
Sul Centro Oeste
Abacaxi
3,7 2,6 5,1 3,4 2,1 5,4
Banana
30,4 52,1 40,4 28,5 14,8 19,1
Batata
8,5 5,0 4,8 8,7 15,2 8,1
Brócolis
0,4 0,0 0,0 0,6 0,5 0,1
Cebola
20,1 21,1 21,4 17,9 23,3 24,7
Cenoura
4,0 2,7 3,7 4,3 3,7 6,4
Laranja
12,9 5,4 9,8 15,2 13,3 14,3
Mamão
1,4 1,1 1,2 1,7 1,3 1,4
Manga
5,0 3,0 6,6 4,9 4,3 3,1
Repolho
3,4 2,6 1,8 3,0 6,6 6,0
Tomate
3,5 3,0 3,8 3,4 3,0 5,3
Tangerina
6,6 1,4 1,4 8,4 11,9 6,1
161
Tabela 4
Sugestão de cardápio para adultos saudáveis (2000 kcal)
Refeição Composição da Refeição
Quantidade
(g/ mL)
Porções de
Frutas e
Hortaliças
Polifenóis
Kcal
Pão de forma integral 2 fatias 150
Queijo minas 50 120
Café puro 50mL
Desjejum
Mamão papaya (1/2 unidade) 150 1 23 70
Salada de alface *
alface americana
100 13
tomate
20 8 19
cebola
10 9
azeite
2
0,5
18
Arroz integral cozido 140 150
Feijão carioca cozido (1 concha) 86 55
Frango assado (sobrecoxa sem pele) 100 190
Cenoura cozida*
Cenoura (1 xícara cru)
100 1 38 42
tomate
20 8 19
cebola
10 9
óleo
2 18
Almoço
Sobremesa: tangerina 80 0,5 107 35
Salada de fruta* 139
Abacaxi
100 100
Laranja
100 77
Banana
50
2
107
Lanche
Cereal matinal de milho s/ açúcar 50 191
Salada de repolho*
repolho
100 62 21
tomate
20 8 19
cebola 10
0,5
9
azeite de oliva
2 18
Arroz integral cozido 140 150
Peixe cozido (merluza) 200 190
Pirão*
34
Brócolis cozido*
brócolis (1 xícara cru)
100 1 90 25
tomate
20 8 19
cebola
10 9
óleo
2 18
Sobremesa: manga 100 1 87 51
Iogurte natural desnatado
200 120
Aveia em flocos (1 col. sopa)
15 63
Jantar
Mel
10 29
Total 1100 7,5 759 1985
* Segundo “Guia Alimentar para a População Brasileira” publicada pelo Ministério da Saúde em 2005.
Anexo C
Manuscrito a ser submetido ao periódico Química Nova
Métodos de Análise da Capacidade Antioxidante em Alimentos
163
MÉTODOS DE ANÁLISE DA CAPACIDADE ANTIOXIDANTE EM ALIMENTOS
Ana Luisa Kremer Faller, Eliane Fialho*
Departamento de Nutrição Básica e Experimental, Instituto de Nutrição Josué de
Castro, Centro de Ciências da Saúde, Universidade Federal do Rio de Janeiro,
UFRJ, Caixa Postal 68041, Cidade Universitária, Ilha do Fundão, Rio de Janeiro,
CEP 21941-590, Brasil.
164
MÉTODOS DE ANÁLISE DA CAPACIDADE ANTIOXIDANTE EM ALIMENTOS
ABSTRACT
Interest has grown towards the evaluation of antioxidant capacity in foods and
plant extracts. This is due to its potential health benefits as well as the applicability
of these compounds in the food and pharmaceutical industries. Although different
methods have been developed there is no standard methodology for evaluating
antioxidant capacity in foods or supplements. Here, the hydrohen tranfer methods
ORAC, TRAP, TOSC, LDL oxidation, beta-carotene bleaching, single eletron
transfer methods FRAP, CUPRAC and TEAC and DPPH methods are reviewed as
well as their characteristics and applications.
Key-words: antioxidant capacity / methods / food
165
1. Introdução
O consumo de frutas e hortaliças, ricos em substâncias antioxidantes, vem
sendo associado à redução da incidência de doenças crônicas não transmissíveis
(DCNT), em especial alguns tipos de câncer, diabetes, doenças cardiovasculares,
artrite, degeneração macular e doenças neurodegenerativas, como Alzheimer e
Parkinson. O principalmente mecanismo de ação exercido por estas substâncias é
o combate aos radicais livres (RL), sendo essencial saber o que são e como agem
para então analisar a capacidade antioxidante destas substâncias presentes na
alimentação humana
1
.
O RL pode ser descrito como qualquer espécie química capaz de existir
independentemente, possuindo um ou mais elétrons desemparelhados. Esta
característica lhes confere alta instabilidade, podendo seus elétrons reagir
rapidamente com diferentes substratos, como lipídeos, proteínas, moléculas de
DNA, carboidratos, lipoproteínas, levando à sua oxidação
2
. Na natureza são
encontrados radicais livres, mas também moléculas reativas de origem não-
radicalar, exemplificadas nas tabelas 1 e 2.
Apesar deste efeito indesejável dos RL, é essencial ressaltar que estes são
normalmente sintetizados pelo organismo. A cadeia transportadora de elétrons,
durante a respiração e metabolismo, é uma das maiores produtoras endógenas de
espécies reativas, de forma que a exposição do organismo à RL é inevitável. Em
acréscimo, diversas moléculas conhecidas como RL apresentam função fisiológica
importante no organismo, atuando, por exemplo, em sinalização celular ou em
mecanismos de defesa contra microrganismos. Dessa forma, os radicais livres
apresentam dupla função de acordo com as concentrações em que se encontram
166
no organismo: em concentrações fisiológicas são moléculas regulatórias e
sinalizadoras; enquanto que, em níveis elevados podem ser deletérios e
citotóxicos
3
.
A prevenção de efeitos danosos ao organismo por RL é, portanto, assegurada
pelos antioxidantes. Estes podem ser classicamente definidos como substâncias
capazes de, em concentrações menores que as dos substratos oxidáveis, impedir
a ocorrência de dano oxidativo. A ação antioxidante pode ocorrer precocemente,
prevenindo a formação de um RL ou impedindo o dano inical a uma molécula, ou
posteriormente, evitando a propagação do dano oxidativo ao freiar sua reação em
cadeia. Os seres humanos apresentam pelo menos quatro fontes, endógenas e
exógenas, de moléculas com potencial antioxidante
4
.
1. Enzimas: superóxido dismutase, glutationa peroxidase, catalase.
2. Proteínas transportadoras: albumina, ceruloplasmina, ferritina.
3. Micronutrientes: ácido ascórbico, tocoferol, ácido úrico, carotenóides.
4. Hormônios: estrogênio, angiotensina, melatonina.
As enzimas antioxidantes atuam principalmente na defesa intracelular.
os outros compostos endógenos não-enzimáticos, como proteínas e metabólitos,
assim como algumas vitaminas são os principais agentes defensores no plasma.
Interessante destacar que dos antioxidantes presentes no sangue, aqueles não-
vitamínicos são responsáveis por 50-80% do combate às espécies reativas,
mesmo esta não sendo sua função primária
5
.
A garantia da homeostase, assim como o correto funcionamento celular, é
mantido a partir de um equilíbrio entre as substâncias antioxidantes e pró-
oxidantes. Alterações neste balanço podem levar ao estado conhecido como
167
estresse oxidativo, que pode ocorrer por dois mecanismos básicos: pelo aumento
da concentração de espécies reativas derivadas de oxigênio, nitrogênio ou
carbono (por exemplo, pela maior liberação destes por fagócitos durante
processos de inflamação ou infecção); ou pela redução da concentração de
antioxidantes (por exemplo, mutações em enzimas endógenas ou redução da
ingestão de antioxidantes exógenos)
6
.
Recentemente, novas substâncias presentes nos alimentos vêm sendo
caracterizadas como fontes dietéticas, exógenas, de antioxidantes. Estas novas
substâncias, freqüentemente denominadas de compostos bioativos em alimentos
(CBA), incluem compostos fenólicos como as isoflavonas, catequinas, resveratrol,
compostos organosulfurados como glicosinolatos e isotiocianatos, além de luteína,
zeaxantina, β-criptoxantina entre outros. Isto impulsionou a realização de trabalhos
investigando a capacidade antioxidante de alimentos, bebidas, ervas e
especiarias.
No entanto, a determinação da capacidade antioxidante de alimentos é
importante não só para avaliar o seu efeito benéfico à saúde, como também para
fins tecnológicos, prevenindo, por exemplo, a oxidação de alimentos a partir da
introdução destas substâncias antioxidantes. Outro aspecto a ser analisado, é o
uso de análises da capacidade antioxidante para verificar efeitos nutricionais
benéficos ou deletérios do processamento de alimentos em relação aos alimentos
in natura
7
.
A avaliação da capaciadade antioxidante pode ser relaizada a partir de
ensaios químicos, in vitro, ou biológicos, in vivo. Experimentos in vitro apresentam
a vantagem de serem facilmente aplicados e baratos; no entanto, estes podem ser
168
bastante limitados quando avaliam apenas a eficácia de uma substância sobre o
seqüestro de radicais livres, por exemplo. Fatores como a presença de outros
compostos na matriz alimentar que podem exercer efeitos aditivos, sinérgicos ou
inibitórios, devem ser considerados. Para se avaliar a eficácia destes antioxidantes
na fisiologia humana e os fatores que influenciam a capacidade redox do plasma,
são necessários modelos in vivo, que são mais elaborados e demorados, uma vez
que requerem recrutamento de indivíduos ou coleta de amostras de sangue
periodicamente. Dessa forma, é importante o aperfeiçoamento de diferentes
métodos químicos para a avaliação da capacidade antioxidante, a fim de se obter
informações preliminares para estudos posteriores in vivo, abordando parâmetros
como absorção e biodisponibilidade
8
.
Apesar da maior facilidade de aplicação de modelos in vitro, um dos
principais obstáculos é a ausência de um método padrão para avaliação da
capacidade antioxidante em alimentos. Em 2004, foi realizado nos EUA o primeiro
congresso internacional de metodologias antioxidantes a fim de se propor um ou
mais métodos de análise para ser padronizado, incorporado à Association of
Official Analytical Chemists (AOAC) e utilizado em análises de rotina de alimentos,
fitoterápicos, compostos bioativos e outros suplementos dietéticos
9
. Esta
padronização permitiria comparações significativas entre dados na literatura
referente à sobre alimentos e produtos comerciais, além de serem aplicados para
controle de qualidade e futuras recomendações de ingestão de substâncias
antioxidntes.
A ausência de padronização metodológica se dá, em parte, pelas diferentes
características das substâncias antioxidantes e das amostras a serem analisadas,
169
que incluem desde sistemas biológicos até diferentes matrizes alimentares. Para
compostos bioativos especificamente há uma diversidade de substâncias, sendo
constantemente novas estruturas identificadas, cada uma atuando de forma
diferente e respondendo distintamente aos agente oxidante. Os carotenóides, por
exemplo, apresentam baixa capacidade de reação com radicais peroxil quando
comparados aos polifenóis. No entanto, são ótimos seqüestradores de oxigênio
singleto, aos quais os polifenóis são praticamente ineficazes
9
. O conhecimento da
substância antioxidante e a composição do alimento a ser analisado devem ser
considerados a fim de se escolher aquele com melhor aplicabilidade e eficácia.
Outro fator importante para análise da capacidade antioxidante de alimentos é
a forma de extração destas substâncias a partir da amostra em questão. A maioria
dos ensaios químicos avalia a capacidade antioxidante apenas do material que é
solubilizado após a extração com uma mistura de solventes. Mesmo utilizando
metodologias que visam aumentar a solubilidade e extração destes compostos da
matriz alimentar, compostos insolúveis, com papel importante na capacidade
antioxidante de alguns alimentos, não são contabilizados. Isso se
especialmente no caso de cereais, frutas e hortaliças, onde a presença de
fibras dietéticas, além de produtos da reação de Maillard, como melanoidinas e
melanoproteínas. Em função disso, alguns métodos vem sendo modificados,
como o TEAC e o DPPH, para permitir a análise da capacidade antioxidante
destas frações insolúveis
10
.
De maneira geral, os ensaios químicos se baseiam na adição de uma
substância antioxidante num meio compostos onde RL são gerados, previamente
ou concomitantemente ao antioxidante. Existem dois principais mecanismos de
170
ação pelos quais os compostos antioxidantes podem desativar RL: transferência
de átomos de hidrogênios (TAH) ou transferência de elétrons (TE). A maioria dos
métodos por TAH, a substância antioxidante e o substrato competem pelos
radicais peroxil gerados. A quantificação se pelo monitoramento das curvas de
cinéticas das reações
11
.
Nos métodos de TE a capacidade antioxidante é aferida pela habilidade de um
antioxidante de transferir elétrons ao RL em questão, tendo na alteração da cor do
RL reduzido a medida da capacidade antioxidante. Este tipo de reação é pH-
dependente e, como são reações de longa duração, normalmente os cálculos de
baseiam no percentual de redução do produto inicial
11
.
2. Principais Métodos de Avaliação da Capacidade Antioxidante
2.1. Métodos de Transferência de Átomos de Hidrogênio (TAH)
2.1.1. ORAC (Oxygen Radical Absorbance Capacity):
Primeiramente desenvolvido por Glazer e colaboradores
12
, o método
utilizava a proteína fluorescente β-picoeritrina, isolada a partir da alga vermelha
Porphyridium cruentum, como substrato para reação com o radical peroxil. No
entanto, posteriormente substâncias como fluorescina ou diclorofluorescina
passaram a ser mais freqüentemente utilizadas em função de algumas
desvantagens apresentadas pela β-picoeritrina
13
. Dentre elas podemos citar a
grande variabilidade dos resultados, sua fotoinstabilidade e interação não
específica com os polifenóis, especialmente proantocianidinas, o que levava ao
decaimento da fluorescência mesmo na ausência do radical peroxil
11
.
171
Inicialmente o ORAC apresentava alta especificidade por compostos
hidrofílicos, tendo baixa representatividade para antioxidantes lipofílicos. No
entanto, atualmente o método foi adaptado possibilitando a determinação dessas
duas classes, sendo uma característica importante em relação a outros métodos.
A utilização de solução de acetona e água (1:1), contendo 7% de β-ciclodextrina
metilada vêm sendo utilizada para solubilização de antioxidantes lipofílicos
14
.
A atividade antioxidante é aferida a partir do prolongamento do tempo e
manutenção da intensidade de fluorescência após um determinado tempo, sendo
medida pela área sob a curva das amostras em relação ao padrão, normalmente o
Trolox, análogo solúvel da vitamina E. O uso da área sob a curva como forma de
quantificação permite a avaliação de substâncias tempos de fase lag bastante
distintos
11.
O ORAC vem sendo utilizado pela indústria de alimentos que,
freqüentemente, estampa estes valores, expressos em equivalentes de Trolox, no
rótulo do produto.
Alguns fatores que influenciam negativamente o uso deste método é sua
sensibilidade ao calor, tendo que se controlar a temperatura no ambiente, no meio
de reação e no momento da leitura. A necessidade do uso de fluorímetros,
equipamento de elevado custo, também dificulta sua aplicação em muitos
laboratórios. Anteriormente, amostras contendo proteína podiam interferir com os
radicais peroxil; porém, esta interferência foi eliminada a partir da modificação do
método por Cao e colaboradores
15
, pela adão de ácido tricloroacético. Além
disso, o uso de placas de 96 poços pode levar a um maior coeficiente de variação
(CV) quando comparado à placas de 48 poços. A atividade da reação parece ser
172
menor nos poços mais a direita e para baixo da placa, ocasionalmente diferenças
na leitura
16
.
2.1.2. TRAP (Total Radical-trapping Antioxidant Parameter)
Neste método, desenvolvido por Wayner e colaboradores
17
, os radicais peroxil
são normalmente gerados por azoiniciadores hidrossolúveis podendo ser utilziado
o AAPH (dicloridrato do 2,2’-azobis-(2-metilpropanoamidina)) ou ABAP (cloreto de
2,2’-azo-bis (2-amidinopropano)) tendo como substrato a R-picoeritrina ou mesmo
o ABTS (Ácido 2,2-azino-bis-(3-etilbenzatiazonila-6-sulfónico)). O uso de
azoiniciadores hidrossolúveis para geração de produtos da peroxidação lipídica
vem sendo questionado, uma vez que é um mecanismo que considerado não-
fisiológico.
O monitoramento ocorre através de fluorímetro e, quando se utiliza R-
picoeritrina e AAPH, são utilizados os comprimentos de onda 495nm e 575nm. Os
valores são expressos pelo aumento da fase lag, ou tempo, da reação da amostra
em relação ao padrão, sendo utilizado o Trolox, de forma semelhante ao ORAC.
O TRAP é utilizado mais freqüentemente para determinação da capacidade
antioxidante plasmática ou in vivo, uma vez que mede antioxidantes não
enzimáticos, como ácido úrico, proteínas plasmáticas e ácido ascórbico. O uso de
diferentes agentes geradores de radical peroxil, assim como de substratos,
dificulta a comparação dos resultados disponíveis na literatura.
173
2.1.3. TOSC (Total Oxidant Scavenging Capacity)
Desenvolvido por Winston e colaboradores
18
, este método é capaz de
medir a ação antioxidante específica para três potentes oxidantes: radicais
hidroxil, peroxil e peroxinitrito. Isto permite avaliar através de um mesmo método
substâncias antioxidantes com ações distintas. Neste ensaio, o ácido alfa-ceto-
gama-metilbutírico (KMBA) serve de substrato que, ao ser oxidado, forma etileno.
O tempo e quantidade de geração de etileno é aferido por cromatografia gasosa,
sendo a atividade antioxidante avaliada a partir da redução destes parâmetros. O
tempo de duração da reação pode ser longo, até 300 minutos, o que dificulta a
análise de grande volume de amostras. O uso de cromatógrafo a gás também
dificulta a sua aplicação em muitos laboratórios.
2.1.4. Oxidação de Lipoproteína de Baixa Densidade (LDL)
A medida da oxidação da LDL ex-vivo foi inicialmente desenvolvida para
medir o status antioxidante do plasma
19
. Posteriormente, esta medida começou a
ser utilizada para verificar o potencial antioxidante de alimentos, ao prevenir a
oxidação da LDL, sendo um modelo de grande representatividade biológica. Estas
lipoproteínas, previamente isoladas do plasma, normalmente estão associadas à
vitamina E, de forma que esta vitamina é capaz de proteger a LDL de oxidação.
Uma vez oxidada, a vitamina E não é mais capaz de proteger a lipoproteína,
levando à formação e acúmulo de hidroperóxidos lipídicos. A indução da oxidação
da LDL pode ser realizada a partir de macrófagos, ferro, cobre ou AAPH sendo
esta aferida a 234nm
20
.
174
A ação antioxidante do alimento ou substância em questão pode ser
exercida diretamente, evitando a oxidação da vitamina E e do LDL, ou também
favorecendo a regeneração da vitamina E oxidada. Quando a oxidação é feita
através de AAPH, este método parece ter boa correlação com valores obtidos por
ORAC. No entanto, a necessidade de coleta freqüente de amostras de sangue é
um fator negativo para utilização desta metodologia.
2.1.5. Oxidação do sistema betacaroteno/ ácido linoléico
O betacaroteno é um carotenóide que pode sofrer autooxidação ou ser
oxidado por luz, calor ou por indução de radicais peroxil (AAPH), o que resulta na
perda de sua pigmentação. Como esta descoloração do beta-caroteno pode
ocorrer por diferentes vias, tem sido utilizado recentemente a crocina como
substância oxidante, o que permite com que o substrato seja oxidado somente por
estes radicais
21
. Este método tem uso exclusivo para amostras em alimentos,
tendo a como medida da capacidade antioxidante o monitoramento da perda de
cor, aferida a 450nm. No entanto, alguns pigmentos em alimentos, como os
carotenóides, podem interferir no método uma vez que são capazes de absorver
luz em comprimentos de onda parecidos, sendo necessário manter um controle da
possível interferência destes pigmentos na amostra em questão
9
.
2.2. Métodos de Transferência de Elétron (TE)
2.2.1. FRAP (Ferric Reducing Antioxidant Power)
Desenvolvido por Benzie e Strain
22
, o FRAP foi inicialmente designado para
avaliação da capacidade antioxidante do plasma, sendo posteriormente adaptado
175
para análise de alimentos. Este método utiliza um sal férrico, o TPTZ (2,4,6-
tripiridil-s-triazina férrica), como oxidante gerando um composto colorido, cujo
comprimento de onda é aferido em espectrofotômetro. O potencial redox do TPTZ
( 0,70V) é semelhante ao do ABTS ( 0,68V), o que os torna bastante parecidos
em termos de reação. No entanto, o pH do meio é bastante distinto entre os dois
métodos, ocorrendo o TEAC em meio neutro enquanto o FRAP ocorre em meio
ácido (pH 3,6)
11
.
A manutenção do meio ácido garante a solubilidade do ferro, no entanto,
pode alterar a ionização de elétrons e o potencial redox de alguns compostos
antioxidantes, resultando em valores menores quando comparados aos demais
métodos. Por utilizar o ferro na forma reduzida, o qual pode ser propagador de
reações em cadeia por radicais livres via redução de hidroperóxido em RO°, o
FRAP também pode ser utilizado para avaliar atividades pró-oxidantes
9
.
O tempo de reação pode ser bastante variável de acordo com da afinidade
da substância pelo ferro. Grande afinidade resulta em reações de 4 a 6 minutos;
porém, com baixa afinidade, podem chegar a 30 minutos. Por ser m método
método simples, rápido e barato, que não requer equipamentos especializados, é
bastante utilizadona análise de alimentos. No entanto, é considerado de baixa
representatividade fisiológica, já que utiliza o íon férrico como agente oxidante.
2.2.2. CUPRAC (Ensaio de Redução do Cobre):
É um método variante do FRAP, no qual se utiliza o cobre ao invés do ferro.
Neste ensaio, a neocuproina (2,9-dimetil-1,10-fenantrolina) forma um complexo
com o Cu (I) gerando um cromóforo de absorbância máxima a 450nm. A
176
capacidade antioxidante é avaliada pela taxa de reação e concentração do
produto final desta complexação
23
.
Os complexos gerados com neocuproina apresentam baixa solubilidade,
sendo necessário dissolvê-los em solventes orgânicos, como etanol 95%. Porém,
o solvente pode variar de acordo com o antioxidante presente no alimento
analisado. O betacaroteno, por exemplo, não reage com reagente CUPRAC em
etanol, sendo necessário o uso de dicloroetano. O uso do cobre no lugar do ferro
resulta em reações mais seletivas, que o seu potencial redox é inferior ao do
ferro. Isso leva a uma menor interferência de substâncias como úcares e ácidos
orgânicos no CUPRAC, sendo mais comum no FRAP
9
. O tempo de reação varia
de acordo com a substância antioxidante e sua afinidade pelo cobre, de maneira
semelhante ao FRAP. Sabe-se que moléculas menos complexas, como ácido
ascórbico, ácido gálico e quercetina, a reação é mais rápida, enquanto que para
moléculas de maior peso molecular, mais polimerizadas, como proantocianidinas,
as reações são mais longas.
2.3. Ensaios de Mecanismo Misto
Normalmente classificados como reações de transferência de elétrons,
estes métodos são capazes de identificar substâncias antioxidantes que atuam por
transferência de elétrons ou de átomos de hidrogênio. O padrão de reação pode,
por isso, torna-se de difícil interpretação.
177
2.3.1. TEAC (Trolox Equivalent Antioxidant capacity) ou ABTS:
Neste método, primeiro descrito por Miller e Rice-Evans
24
, o ácido 2,2-
azino-bis-(3-etilbenzatiazonila-6-sulfónico), ABTS, é oxidado por radicais peroxil
ou outros oxidantes em seu cátion ABTS
+
°, levando a formação de cor amarela
aferida normalmente em 734nm. A capacidade antioxidante aferida pelo
impedimento da geração desta coloração, sendo normalmente utilizado como
padrão o Trolox. Atualmente, a formação do cátion tem sido realizada previamente
à adição do composto antioxidante, a fim de reduzir interferências como a reação
do antioxidante com a substância oxidante destinada ao ABTS
25
.
O cátion ABTS
+
° pode ser gerado por reações químicas com dióxido de
manganês, ABAP ou persulfato de potássio, ou por reações enzimáticas,
utilizando peroxidases que interagem com metamioglobina ou hemoglobina.
Dependendo do composto utilizado, o tempo necessário para a formação do
cátion pode ser longo (16 horas para persulfato de potássio) ou necessitar de altas
temperaturas (60°C para ABAP). O tempo necessário p ara gerar o ABTS
+
°, assim
como a espera para a realização dos experimentos, pode levar a alterações na
atividade da solução estoque e, conseqüentemente, menor reproducibilidade dos
resultados
26
. Além disso, o radical ABTS tem se mostrado bastante instável em
pH 7.4, sendo desejável a redução do pH para valores entre 3.0 e 6.5 para maior
estabilidade, tendo como pH ótimo sugerido 4.5
27
.
Operacionalmente, este método é bastante simples e rápido, sendo
largamente aplicado em laboratórios para análise de alimentos. O ABTS pode
ainda ser solúvel em água e solventes orgânicos, o que permite a avalaição de
compostos hidro e lipofílicos, além de fluidos corporais
28
. Em contrapartida, como
178
o radical ABTS não está presente em tecidos de animais, é considerado de baixa
representatividade fisiológica.
2.3.2. Ensaio de DPPH (2,2-difenil-1-picrilhidrazil):
O DPPH é um radical de nitrogênio orgânico estável que apresenta
coloração roxa intensa, não precisando ser gerado previamente. A capacidade
antioxidante neste método, primeiramente descrito por Brand-Williams e
colaboradores
29
, é dada pela redução do DPPH, de forma a diminuir sua
intensidade de cor. Esta pode ser aferida por ressonância de spin de elétron
(EPR) ou por decréscimo da absorbância, medida em espectrofotômetro a 515 ou
517nm.
Os valores normalmente são expressos em percentual de DPPH
remanescente (% DPPH rem = 100 x DPPH
rem
/ DPPH
t0
). O percentual
remanescente de DPPH é diretamente proporcial a capacidade antioxidante da
amostra. A concentração necessária para reduzir a concentração de DPPH em
50% é chamada de EC
50
e o tempo necessário para atingir o EC
50
é chamado de
tEC
50
. Para valores de eficiência antiradicalar (AE) pode-se utilizar estes dois
parâmetros na fórmula abaixo
30
.
AE = 1/EC
50
x tEC
50
A grande vantagem deste método é a rapidez, facilidade de execução e
baixo custo. No entanto, alguns carotenóides podem agir como interferentes na
coloração da reação e, conseqüentemente, na leitura da absorbância
9
. Moléculas
de baixo peso molecular, como ácidos fenólicos e ácido ascórbico, podem reagir
179
mais rapidamente com o DPPH, gerando uma falsa impressão de maior
capacidade antioxidante em função dos tipos de antioxidantes presentes na
amostra testada.
3. Considerações Finais
Diante da diversidade de métodos para aferição da capacidade antioxidante
de alimentos, a escolha daquele mais apropriado é essencial para gerar bons
resultados e boa reprodutibilidade. Fatores importantes a serem considerados
incluem o mecanismo de ação do método e sua relação com as substâncias-alvo
na amostra. Estudos comparativos vêm se propondo a identificar e correlacionar
as melhores metodologias a serem aplicadas.
Thaipong e colaboradores
26
, ao analisar a capacidade antioxidante de
extratos de goiaba, verificaram que os métodos DPPH e FRAP apresentaram boa
reproducibilidade de resultados, o que não ocorreu com o TEAC e ORAC. No
entanto, os quatro métodos utilizados apresentaram correlação entre si, o que
havia sido demonstrado com outros alimentos como mirtilo
31
e sorgo
32
. A maior
correlação foi observada entre os métodos TEAC e FRAP (0,97), enquanto que a
menor correlação foi entre os métodos DPPH e ORAC.
Em outro estudo avaliando a capacidade antioxidante de 927 amostras de
hortaliças por diferentes métodos, os autores observaram baixa correlação entre o
ORAC e o FRAP. A partir dos resultados obtidos, os autores propõem o uso do
ORAC como método padrão para a avaliação da capacidade antioxidante de
alimentos. Tendo como principal vantagem sua representatividade biológica, ao se
basear na capacidade de seqüestro de radicais peroxil, enquanto que outros
180
métodos, como o FRAP se baseiam apenas na capacidade de reduzir compostos,
como, neste caso, o ferro
33
.
A comparação entre dados da literatura, no entanto, é bastante complicada,
especialmente pela falta de padronização das metodologias. Em função disso,
recentemente, o conceito de índice relativo da capacidade antioxidante (IRCA) foi
proposto, a fim de se permitir à comparação dos dados existentes
independentemente da metodologia aplicada
34
. Através de um modelo estatístico,
os autores eliminaram diferenças nas unidades utilizadas por cada metodologia ao
transformando os dados gerados previamente em escalas numéricas. Dessa
forma, é possível construir um ranqueamento dos alimentos, em função da sua
capacidade antioxidante, incorparando informações obtidas por diferentes
métodos de análise. Apesar da nova abordagem, informações a partir de métodos
in vitro ainda são necessários para gerar os dados iniciais não isentando a
necessidade do aperfeiçoamento destas metodologias.
A fim de se obter um parâmetro dos métodos que estão sendo utilizados na
prática, foi realizada uma busca por artigos científicos que avaliaram capacidade
antioxidante em alimentos através do sítio www.ncbi.nlm.nih.gov/sites/entrez
(tabela 4). No período de 2000 a 2007, tempo selecionado para a pesquisa
científica, observamos que foram publicados 634 trabalhos originais, e não
revisões científicas, quando utilizamos o termo food seguido de cada método de
capacidade antioxidante expresso em sigla na língua inglesa. O resultado desta
busca nos mostra que ainda grande predominância do uso de métodos
simples, pidos e que não necessitam de equipamentos sofisticados, como o
DPPH, mesmo este não sendo o mais indicado a se tornar o método padrão.
181
Conclui-se, então que, até o momento, nenhum método isoladamente é
capaz de refletir com exatidão a “capacidade antioxidante total” de um alimento. A
associação de métodos baseados em diferentes mecanismos, tanto de TAH como
TE, a aferição de extratos hidro e lipofílicos, além métodos de extração eficientes
devem ser considerados a fim de se obter informações mais fidedignas sobre a
capacidade antioxidante de alimentos.
4. Referências Bibliográficas
1. Carnelio, S.; Khan, S. A.; Rodrigues, G. S. Free radicals and antioxidant
therapy in clinical practice: to be or not to be? J. Coll. Physicians. Surg. Pak., 2007,
17, 173.
2. Devasagayam, T. P.; Tilak, J. C.; Boloor, K. K.; Sane, K. S; Ghaskadbi, S. S.;
Lele, R. D. Free radicals and antioxidants in human health: current status and
future prospects. J. Assoc. Physicians. India., 2004, 52, 794.
3. Augusto, O.; Radicais Livres, bons, maus e naturais, Oficina de Textos: São
Paulo, 2006.
4. Aruoma, O. I. Methodological consideration for characterization potential
antioxidant reactions of bioactive components in plant foods. Mutation Research,
2003, 523-524, 9.
5. Fang, Y. Z.; Yang, S.; Wu, G. Free radicals, antioxidants, and nutrition. Nutrition,
2002, 10, 872.
6. Sies, H. Oxidative stress: oxidants and antioxidants. Exp. Physiol., 1997, 82,
291.
7. De La Torre Boronat, M. C.; López Tamames, E. El papel de los antioxidantes:
1. Em La tecnologia de los alimentos 2. Em La biodegradación oxidativa Del
organismo. Alimentaria, 1997, junho, p. 19-27, 1997.
8. Collins, A. R. Assays for oxidative stress and antioxidant status: applications to
research into the biological effectiveness of polyphenols. Am. J. Clin. Nutr., 2005,
81 (suplemento), 261.
182
9. Prior, R. L.; Wu, X.; Schaich, K. Standardized methods for the determination of
antioxidant capacity and phenolics in foods and dietary supplements. J. Agric.
Food Chem., 2005, 53, 4290.
10. Serpen, A.; Capuano, E.; Fogliano, V.; Gökmen, V. A new procedure to
measure the antioxidant activity of insoluble food components. J. Agric. Food
Chem., 2005, 55, 7676.
11. Huang, D.; Ou, B.; Prior, R. L. The chemistry behind the antioxidant capacity
assays. J. Agric. Food Chem., 2005, 53, 1841.
12. Glazer, A. N. Phycoerythrin fluorescent-based assay for reactive oxygen
species. Methods Enzymol., 1990, 186, 161.
13. Ou, B.; Hampsch-Woodill, M.; Prior, R. L. Development and validation of an
improved oxygen radical absorbance capacity assay using fluorescein as the
fluorescent probe. J. Agric. Food Chem., 2001, 49, 4619.
14. Huang, D.; Ou, B.; Hampsch-Woodill, M.; Flanagan, J. A.; Deemer, E. K.
Development and validation of oxygem radical absorbance capacity assay for
lipophilic antioxidants using methylated beta-cyclodextrin as the solubility
enhancer. J. Agric. Food Chem., 2002, 50, 1815.
15. Cao, G.; Prior, R. L. Measurement of oxygen radical absorbance capacity in
biological samples. Methods Enzymol. 1999, 299, 50.
16. Prior, R. L.; Hoang, H.; Gu, L.; Wu, X.; Bacchiocca, M.; Howard, L.; Hampsch-
Woodill, M.; Huang, D.; Ou, B.; Jacob, R. Assays for hydrophilic and lipophilic
antioxidant capacity (oxygen radical absorbance capacity (ORACFL)) of plasma
and other biological and food samples. J. Agric. Food Chem., 2003, 51, 3273.
17. Wayner, D. D.; Burton, G. W.; Ingold, K. U.; Barclay, L. R.; Locke, S. J. The
relative contributions of vitamin E, urate, ascorbate and proteins to the total peroxyl
radical-trapping antioxidant activity of human blood plasma. Biochem. Biophys.
Acta, 1987, 924, 408.
18. Winston, G. W.; Regoli, F.; Dugas, A. J. Jr.; Fong, J. H.; Blanchard, K. A. A
rapid gas chromatographic assay for determining oxyradical scavenging capacity
of antioxidants and biological fluids. Free Radic Biol. Med., 1998, 24, 480.
19. Pryor, W. A.; Cornicelli, J. A.; Devall, L. J.; Tait, B.; Trivedi, B. K; Witiak, D. T;
Wu, M. A rapid screening test to determine the antioxidants potencies of natural
ans synthetic antioxidants. J. Org. Chem., 1993, 58, 3521.
20. Meyer, A. S.; Yi, O-S.; Pearson, D. A.; Waterhouse, A. L.; Frankel, E. N.
Inhibition of human low-density lipoprotein oxidation in relation to compositiob of
phenolic antioxidant in grape (Vitis vinifera). J. Agric. Food Chem., 1997, 45, 1638.
183
21. Bors, W.; Michel, C.; Saran, M. Inhibition of bleaching of the carotenoid crotin,
a rapid test for quantifying antioxidant activity. Biochem. Biophys. Acta, 1984, 796,
312.
22. Benzie, I. F. F.; Strain, J. J. The ferric reducing ability of plasma (FRAP) as a
measure of “antioxidant power”: the FRAP assay. Anal. Biochem., 1996, 239, 70.
23. Apak, R.; Guclu, K.; Ozyurek M.; Karademir, S. E. Novel total antioxidant
capacity index for dietary polyphenols and vitamins C and E, using their cupric ion
reducing capability in the presence of neocuproine: CUPRAC method. J. Agric.
Food Chem., 2004, 52, 7970.
24. Miller, N. J.; Rice-Evans, C. A. Factors influencing the antioxidant activity
determined by the ABTS
+
radical cation assay. Free Radic. Res., 1997, 26, 195.
25. Re, R.; Pellegrini, N.; Proteggente, A.; Pannala, A.; Yang, M.; Rice-Evans, C.
Antioxidant activity applying an improved ABTS radical cation decolorization. Free
Rad. Biol. Med., 1999, 26, 1231.
26. Thaipong, K.; Boonprakob, U.; Crosby, K.; Cisneros-Zevallos, L.; Byrne, D. H.
Comparison of ABTS, DPPH, FRAP, and ORAC assays for estimating antioxidant
activity from guava fruit extracts. J. Food Comp. Anal., 2006, 19, 669.
27. Ozgen, M.; Reese, R. N.; Tulio Jr, A. Z.; Scheerens, J. C.; Miller, A. R. Modified
2,2-Azino-bis-3-ethylbenzothiazoline-6-sulfonic Acid (ABTS) method to measure
antioxidant capacity of selected small fruits and comparison to ferric reducing
antioxidant power (FRAP) and 2,2’-Diphenyl-1-picrylhydrazyl (DPPH) methods. J.
Agric. Food Chem., 2006, 54, 1151.
28. Cano, A.; Alcaraz, O.; Acosta, M.; Arnao, M. B. On-line antioxidant activity
determination: comparison oh hydrophilic and lipophilic antioxidant activity using
the ABTS
•+
assay. Redoz Report, 2002, 7, 103.
29. Brand-Williams, W.; Cuvelier, M. E.; Berset, C. Use of radical method to
evaluate antioxidant activity. Lebensm. Wiss. Technol., 1995, 28, 609.
30. Sanchez-Moreno, C. Review: methods used to evaluate the free radical
scavenging activity in foods and biological systems. Food. Sci. Tech. Int., 2002, 8,
121.
31. Connor, A. M.; Luby, J. J.; Tong, C. B. S. Variability in antioxidant activity in
blueberry and correlations among different antioxidant activity assays. Journal of
the American Society for Horticultural Science, 2002, 127, 238-244.
184
32. Awikam, J. M.; Rooney, L. W.; Wu, X.; Prior, R. L.; Cisneros-Zevallos, L.
Screening methods to measure antioxidant activity of sorghum (Sorghum bicolor)
and sorghum products. J. Agric. Food Chem., 2003, 51, 6657.
33. Ou, B.; Huang, D.; Hampsch-Woodill, M.; Flanagan, J. A.; Deemer, E. K.
Analysis of antioxidant activities of common vegetables employing oxygen radical
absorbance capacity (ORAC) and ferric reducing antioxidant power (FRAP)
assays: A comparative study. J. Agric. Food Chem., 2002, 50, 3122.
34. Sun, T.; Tanumihardjo, S. A. An integrated approach to evaluate food
antioxidant capacity. J. Food. Sci., 2007, 72 (9), 159.
185
5. Lista de Tabelas
Tabela 1. Espécies Reativas de Oxigênio (ROS)
Tabela 2. Espécies Reativas de Nitrogênio
Tabela 3. Resumo dos Métodos de Determinação de Capacidade
Antioxidante e suas Principais Características
Tabela 4. Números de Trabalhos Obtidos no Pubmed entre os anos de
2000-2007
186
Tabela 1. Espécies Reativas de Oxigênio (ERO)
Radicalares Não-Radicalares
Hidroxil OH
Peroxinitrito ONOO
-
Superóxido O
2
-
Ácido hipocloroso HOCl
Óxido nítrico NO
Peróxido de hidrogênio
H
2
O
2
Til RS
Oxigênio singlet O
2
-1
Peroxil RO
2
Ozônio O
3
Peróxido lipídico LOOH
Adaptado de: Somogyi e colaboradores, 2007
187
Tabela 2. Espécies Reativas de Nitrogênio (ERN)
Òxido nitroso N
2
O
Cátion nitrosil NO
+
Peroxidonitrito OONO
-
Dióxido de nitrogênio NO
2
Ácido peroxinitroso ONOOH
Trióxido de dinitrogênio N
2
O
3
Ânion nitroxil NO
-
Ácido nitroso HNO
2
Cloreto de nitrila NO
2
Cl
Adaptado de: Somogyi e colaboradores, 2007
188
Tabela 3. Resumo dos Métodos de Determinação de Capacidade
Antioxidante e suas Principais Características*
Ensaio
Antioxidante
Simplicidade
Equipamento
Necessários
Relevância
Biológica
Antioxidante
Hidrofílicos
e Lipofílicos
Mecanismo
de Reação
Quantificação
ORAC
++ + +++ +++
TAH
Área embaixo
da curva
TRAP
--- -- +++ --
TAH IC
50
fase lag
TOSC
- - ++ ---
TAH
Área embaixo
da curva
Oxidação
LDL
+ -- ++ ---
TAH Fase lag
Sistema β-
caroteno
+ + ++
TAH IC
50
fase lag
FRAP
+++ +++ -- ---
TE
OD tempo
fixo
CUPRAC
+++ +++ ---
TE
OD tempo
fixo
TEAC
+ + - +++
TE
OD tempo
fixo
DPPH
+ + - -
TE
OD tempo
fixo
TAH – Transferência de átoma de hidrogênio; TEU – Transferência de elétron único
* Adaptado de: Prior e colaboradores, 2005
189
Tabela 4. Números de Trabalhos Obtidos no Pubmed entre os anos de 2000-
2007*
Método Números de
Trabalhos Obtidos
ORAC
80
TRAP
49
TOSC
6
Oxidação LDL
7
Sistema betacaroteno
5
FRAP
94
CUPRAC
3
TEAC
68
DPPH
322
TOTAL
634
Livros Grátis
( http://www.livrosgratis.com.br )
Milhares de Livros para Download:
Baixar livros de Administração
Baixar livros de Agronomia
Baixar livros de Arquitetura
Baixar livros de Artes
Baixar livros de Astronomia
Baixar livros de Biologia Geral
Baixar livros de Ciência da Computação
Baixar livros de Ciência da Informação
Baixar livros de Ciência Política
Baixar livros de Ciências da Saúde
Baixar livros de Comunicação
Baixar livros do Conselho Nacional de Educação - CNE
Baixar livros de Defesa civil
Baixar livros de Direito
Baixar livros de Direitos humanos
Baixar livros de Economia
Baixar livros de Economia Doméstica
Baixar livros de Educação
Baixar livros de Educação - Trânsito
Baixar livros de Educação Física
Baixar livros de Engenharia Aeroespacial
Baixar livros de Farmácia
Baixar livros de Filosofia
Baixar livros de Física
Baixar livros de Geociências
Baixar livros de Geografia
Baixar livros de História
Baixar livros de Línguas
Baixar livros de Literatura
Baixar livros de Literatura de Cordel
Baixar livros de Literatura Infantil
Baixar livros de Matemática
Baixar livros de Medicina
Baixar livros de Medicina Veterinária
Baixar livros de Meio Ambiente
Baixar livros de Meteorologia
Baixar Monografias e TCC
Baixar livros Multidisciplinar
Baixar livros de Música
Baixar livros de Psicologia
Baixar livros de Química
Baixar livros de Saúde Coletiva
Baixar livros de Serviço Social
Baixar livros de Sociologia
Baixar livros de Teologia
Baixar livros de Trabalho
Baixar livros de Turismo