
Tese:
A comunidade fitoplanctônica e a restauração do lago Paranoá-DF. Autora: MARIANA GOMES PHILOMENO
163
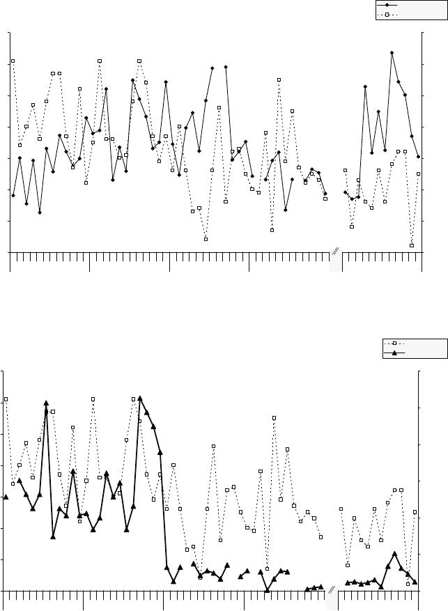
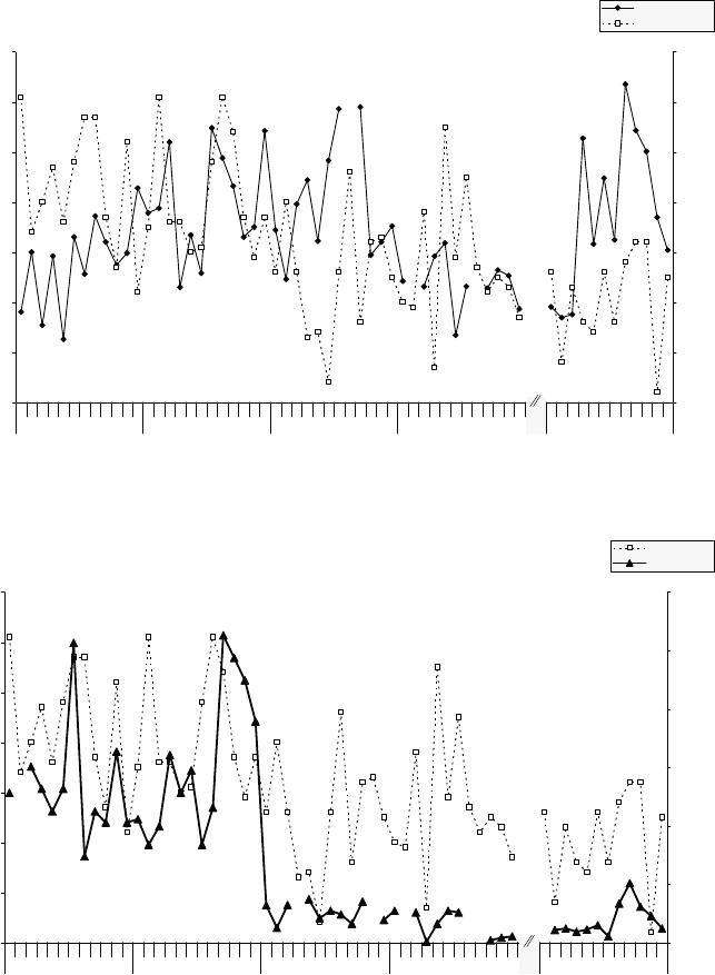
Tabela 2.12. Correlações de Pearson e Kendall considerando os dois primeiros eixos da ordenação da
Análise de Correspondência Canônica (CCA) entre as variáveis ambientais e as espécies descritoras da
comunidade fitoplanctônica nas três fases da restauração do lago Paranoá-DF (braço do Riacho Fundo)
(em negrito encontram-se os táxons que apresentaram r > 0,4).
Eixo
1 2
Táxon Fitoplanctônico/Grupo Abreviação
(r) (r)
Cylindrospermopsis raciborskii (CYAN) Cylindro
-0,524
-0,069
Synechocystis aquatilis (CYAN) Synechoc -0,297 0,034
Chlorella vulgaris (CHLO) Chlorell 0,001 -0,042
Schroederia indica (CHLO) Schroede -0,073 0,023
Achnanthidium minutissimum (BACI) Achnanth -0,200 -0,026
Synedra rupens (BACI) Synedrar -0,099 -0,018
Oscillatoriales sp. 1 (CYAN) Oscilla1 -0,181 -0,018
Oscillatoriales sp. 2 (CYAN) Oscilla2 -0,173 -0,044
Geitlerinema sp. 2 (CYAN) Geitler2 -0,215 -0,085
Golenkinia radiata (CHLO) Golenkin -0,141 -0,079
Cryptomonas brasiliensis (CRYP) Cryptomb -0,102 -0,051
Chrysophyceae sp. 1 (CHRY) Chrysop1 0,327 -0,318
Cyclotella steligera (BACI) Cyclotes 0,378 0,041
Cyclotella meneghiniana (BACI) Cyclotem 0,133 -0,115
Chromulina sp. 1 (CHRY) Chromul1 0,153 0,172
Monoraphidium tortile (CHLO) Monorapt 0,296 -0,023
Aulacoseira granulata (BACI) Aulacosg 0,351
-0,454
Dinobryon divergens var. schawinslandii (CHRY) Dinobryd
0,407 -0,448
Dinophyta sp. 1 (DINO) Dinophy1 0,340
-0,463
Chlamydomonas sp. 3 (CHLO) Chlamyd3 0,394 -0,240
Xanthophyceae sp. (XANT) Xanthoph 0,349 -0,293
Quadrigula sp. (CHLO) Quadrigu 0,284 -0,183
Scenedesmus ecornis (CHLO) Scenedee 0,279 -0,142
Eutetramorus fottii (CHLO) Eutetraf 0,000 0,143
Coenochloris sp. (CHLO) Coenochl -0,025 0,011
Aphanocapsa delicatissima (CYAN) Aphanocd 0,032 0,224
Cyanodiction sp. (CYAN) Cyanodic -0,026 0,048
Aphanocapsa elachista (CYAN) Aphanoce 0,097 0,043
Aphanothece sp. (CYAN) Aphanoth 0,080 0,081
Monoraphidium cf. convolutum (CHLO) Monorapc -0,005 -0,043
Elakatothryx sp. (CHLO) Elakatot -0,005 -0,043
Monoraphidium irregulare (CHLO) Monorapi -0,005 -0,043
Cryptomonas erosa (CRYP) Cryptome -0,005 -0,043
Cryptomonas marssonii (CRYP) Cryptomm -0,005 -0,043
Eutetramorus tetrasporus (CHLO) Eutetrat 0,100
0,458
Trachelomonas volvocinopsis (EUGL) Trachelv 0,111 0,208
BACI=Bacillariophyceae; CHRO=Chlorophyceae; CHRY=Chrysophyceae;
CRYP=Cryptophyceae; CYAN=Cyanobacteria; DINO=Dinophyceae;
EUGL=Euglenophyceae; XANT=Xanthophyceae.