Download PDF
ads:
UNIVERSIDADE FEDERAL DA PARAÍBA
CENTRO DE CIÊNCIAS AGRÁRIAS
DEPARTAMENTO DE FITOTECNIA
PROGRAMA DE PÓSGRADUAÇÃO EM AGRONOMIA
DESENVOLVIMENTO, NUTRIÇÃO MINERAL, PRODUÇÃO E QUALIDADE
DE INFRUTESCÊNCIA DO ABACAXIZEIRO ‘GOLD’ EM FUNÇÃO DAS
RELAÇÕES K/N
Eliziete Pereira de Souza
AREIA, PB
MARÇO - 2010
ads:
Livros Grátis
http://www.livrosgratis.com.br
Milhares de livros grátis para download.
ELIZIETE PEREIRA DE SOUZA
DESENVOLVIMENTO, NUTRIÇÃO MINERAL, PRODUÇÃO E
QUALIDADE DE INFRUTESCÊNCIA DO ABACAXIZEIRO ‘GOLD’ EM
FUNÇÃO DAS RELAÇÕES K/N
AREIA, PB
MARÇO – 2010
ads:
ELIZIETE PEREIRA DE SOUZA
DESENVOLVIMENTO, NUTRIÇÃO MINERAL, PRODUÇÃO E
QUALIDADE DE INFRUTESCÊNCIA DO ABACAXIZEIRO ‘GOLD’ EM
FUNÇÃO DAS RELAÇÕES K/N
Tese apresentada ao Programa de Pós-
Graduação em Agronomia da Universidade
Federal da Paraíba, como parte dos requisitos
para a obtenção do título de “Doutor em
Agronomia”. Área de Concentração:
Agricultura Tropical-Fruticultura
Orientadora: Rejane Maria Nunes Mendonça
AREIA, PB
MARÇO – 2010
Ficha Catalográfica Elaborada na Seção de Processos Técnicos da
Biblioteca Setorial do CCA, UFPB, Campus II, Areia – PB. Bibliotecária:
Elisabete Sirino da Silva CRB-4/905
S729n Souza, Eliziete Pereira de.
Desenvolvimento, nutrição mineral, produção e qualidade de infrutescência do
abacaxizeiro ‘Gold’ em função das relações K/N / Eliziete Pereira de Souza - Areia:
UFPB/CCA, 2010.
103f. : il.
Tese (Doutorado em Agronomia) - Centro de Ciências Agrárias. Universidade Federal
da Paraíba, Areia, 2010.
Bibliografia.
Orientadora: Rejane Maria Nunes Mendonça
1. Abacaxizeiro fenologia 2. Abacaxizeiro adubação foliar 3. Abacaxizeiro
nitrogênio - nutrição 4. Abacaxizeiro - potássio I. Mendonça, Rejane Maria Nunes de
(Orientadora) II. Título.
UFPB/CCA CDU: 634.774
ELIZIETE PEREIRA DE SOUZA
DESENVOLVIMENTO, NUTRIÇÃO MINERAL, PRODUÇÃO E QUALIDADE DE
INFRUTESCÊNCIA DO ABACAXIZEIRO ‘GOLD’ EM FUNÇÃO DAS RELAÇÕES
K/N
Tese apresentada ao Programa de Pós-
Graduação em Agronomia da Universidade
Federal da Paraíba, como parte dos requisitos
para a obtenção do título de “Doutor em
Agronomia”. Área de Concentração:
Agricultura Tropical-Fruticultura
Aprovada em: 16/03/2010
BANCA EXAMINADORA
_______________________________________
Prof
a
. Rejane Maria Nunes Mendonça, DSc
DFCA/CCA/UFPB
Orientadora
_______________________________________
Prof
a
. Silvanda de Melo Silva, PhD
DCFS/CCA/UFPB
Examinadora
_______________________________________
Prof. Alexandre Paiva da Silva, DSc
CCTA/UACTA/UFCG
Examinador
_______________________________________
Prof
a
. Raunira da Costa Araújo, DSc.
CCHSA/UFPB
Examinadora
ii
A meus pais que me ensinaram a ter fé em Deus sempre;
Aos meus queridos irmãos Eldem e Renise que também dividem comigo a alegria desta
conquista;
A minha cunhada Rosana, exemplo de equilíbrio e força;
A meus sobrinhos Eric, Cristian, Sofia e Sarah fonte de alegria divina.
Dedico
A minha querida família, minha fortaleza, que apesar das dificuldades me ensinaram a ter
coragem e deram-me o que de melhor eu poderia receber ..... a educação;
A Leonardo por existir e estar ao meu lado do inicio ao fim desta jornada;
Ao senhor Manoel Ferreira, dona Emilia, Guilherme e Mariana pela acolhida e por
acreditarem em mim.
Ofereço
iii
"Construí amigos, enfrentei derrotas, venci obstáculos, bati na porta da vida e disse-lhe:
Não tenho medo de vivê-la." (Augusto Cury)
"Apesar dos nossos defeitos, precisamos enxergar que somos pérolas únicas no teatro da
vida e entender que não existem pessoas de sucesso e pessoas fracassadas. O que existem
são pessoas que lutam pelos seus sonhos ou desistem deles." (Augusto Cury)
"A humildade exprime, uma das raras certezas de que estou certo: a de que ninguém é
superior a ninguém." (Paulo Freire)
iv
AGRADECIMENTOS
À Deus pela vida, coragem e determinação na busca de sonhos que pareciam
impossíveis diante de tantas adversidades;
A todos que fazem o Centro de Ciências Agrárias - UFPB;
Ao Programa de Pós-Graduação em Agronomia;
A CAPES pela concessão da bolsa de estudo;
A Empresa Doce Mel pela concessão da área experimental;
Aos que fazem a Direção do Instituto Federal de Educação Ciência e Tecnologia
do Ceará, Campus Crato, Unidade Umirim pela compreensão e apoio, necessários a
conclusão do Curso;
À professora Dra. Rejane Maria Nunes Mendonça pela orientação e
ensinamentos;
Ao professor Dr. Adailson Pereira de Souza pela orientação nas análises
estatísticas, disponibilidade e paciência;
Aos professores Silvanda de Melo Silva, Alexandre Paiva da Silva e Raunira da
Costa Araújo pelas valiosas sugestões para a melhoria deste trabalho;
Ao professor Miguel Camargo que me incentivou a trilhar caminhos na área de
fruticultura;
Ao professor Dr. Mario Sosa Parraga (in memorian) que conduziu-me a iniciação
na pesquisa e ensinou-me que não se consegue nada sem trabalho e muito esforço;
Ao professor Dr. Ademar Pereira de Oliveira pelas oportunidades;
Aos professores Dr. Ivandro de França da Silva e Dr. Lourival Ferreira Cavalcante
pela disponibilidade nos momentos de dúvidas, e palavras de incentivo;
Ao professor Galvão pela compreensão e paciência ao assinar as requisições de
transporte sempre que havia necessidade, mas acima de tudo obrigada pelas palavras certas
no momento certo;
Ao professor Dr. Walter Esfrain Pereira pelos ensinamentos;
Ao professor Ruy Borges e família por todo o apoio, serei sempre grata;
Aos laboratoristas Gilson, Edinaldo, Motesquie, Roberval e Suelene;
Aos funcionários José do Patrocinio, dona Marielza e Sebastião de Souza;
Aos funcionários do Departamento de Fitotecnia nas pessoas de Valmir, José
Ponciano e Adriana;
v
Aos companheiros e amigos do Laboratório de Fruticultura, nas pessoas de Wiara,
Itarcy, Leandro, Robério e Jason Eliel, por todo apoio no campo e laboratório;
À equipe do Laboratório de Sementes, nas pessoas de Ruy e Severino pelo apoio;
Aos estagiários e funcionário do Laboratório de Biologia e Fisiologia Pós-
colheita, nas pessoas de Eliane, George e Fabiano;
Aos amigos João Paulo, Jandira, Julicely, Ricardo, Samara, Marlene, Fabio Freire,
Aldenice, Nilsa, Janailton e Josy;
Aos colegas de curso Antônia, Fabio, Gibran, Jandiê, Juliano, Marcelo,
Mannuella, Ozimar e Rosangela;
À Diego, José Elder, Adriano Leite, Tarciano e Mayara pelo apoio de campo de
imensurável importância para a realização deste trabalho;
Aos funcionários da biblioteca em nome de Eron, Katiane, Elisabete e Edilson
Guedes, exemplos de boa vontade e gentileza;
Aos funcionários do Setor de Transportes José Ribeiro, Gabriel, Carlos Alberto,
Carlos Roberto, José Ramos, Gilberto e Barbosa (in memorian).
vi
SUMÁRIO
LISTA DE TABELAS ...................................................................................................... VIII
LISTA DE FIGURAS ....................................................................................................... VIII
RESUMO ........................................................................................................................ XVII
ABSTRACT ...................................................................................................................... XIX
1. INTRODUÇÃO ............................................................................................................ 1
2. OBJETIVOS ................................................................................................................. 4
2.1. Geral ........................................................................................................................ 4
2.2. Especificos .............................................................................................................. 4
3. REVISÃO BIBLIOGRÁFICA ..................................................................................... 5
3.1. O cultivar Gold ........................................................................................................ 5
4. MATERIAL E MÉTODOS ........................................................................................ 14
4.1. Local, solo e clima ................................................................................................ 14
4.2. Delineamento Experimental e Tratamentos ......................................................... 15
4.3. Instalação do Esperimento .................................................................................... 16
4.4. Caracteristicas Avaliadas ...................................................................................... 18
4.4.1. No solo ........................................................................................................... 18
4.4.2. Na planta ........................................................................................................ 18
4.4.3. Nos frutos ....................................................................................................... 19
4.5. Análise Estatistica ................................................................................................. 21
5. RESULTADOS E DISCUSSÃO ............................................................................... 22
5.1. Fertilidade do solo ................................................................................................. 22
5.1.1. pH ................................................................................................................... 22
5.1.2. Teor de Potássio no solo ................................................................................ 24
5.1.3. Teor de Cálcio no solo ................................................................................... 26
5.1.4. Teor de Magnésio no solo .............................................................................. 28
5.1.5. Teor de Sódio no solo .................................................................................... 30
5.2. Crescimento vegetativo ......................................................................................... 32
5.2.1. Comprimento da folha ‘D’ ............................................................................. 32
5.2.2. Largura basal da folha ‘D’ ............................................................................. 35
5.2.3. Largura mediana da folha ‘D’ ........................................................................ 37
5.2.4. Massa fresca da folha ‘D’ .............................................................................. 39
5.2.5. Massa seca da folha ‘D’ ................................................................................. 42
vii
5.3. Nutrição Mineral ................................................................................................... 44
5.3.1. Teor foliar de N .............................................................................................. 44
5.3.2. Teor de P ........................................................................................................ 46
5.3.3. Teor de K ....................................................................................................... 48
5.3.4. Teor de Ca ...................................................................................................... 50
5.3.5. Teor de Mg ..................................................................................................... 53
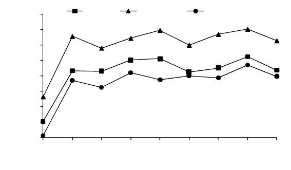
5.3.6. Relação K/N ................................................................................................... 56
5.3.7. Relação K/Ca ................................................................................................. 58
5.3.8. Relação K/Mg ................................................................................................ 60
5.4. Desenvolvimento da infrutescência ...................................................................... 62
5.4.1. Comprimento da infrutescência sem coroa .................................................... 62
5.4.2. Comprimento da coroa ................................................................................... 64
5.4.3. Diâmetro do fruto ........................................................................................... 66
5.5. Produção de abacaxi .............................................................................................. 68
5.5.1. Massa do fruto ............................................................................................... 68
5.5.2. Produtividade ................................................................................................. 70
5.5.3. Produção comercial e refugo ......................................................................... 72
5.6. Qualidade .............................................................................................................. 73
5.6.1. Comprimento do fruto com a coroa e da coroa ............................................. 73
5.6.2. Diâmetro basal, médio e apical do fruto ........................................................ 75
5.6.3. Rendimento médio da polpa .......................................................................... 76
5.6.4. pH da polpa .................................................................................................... 77
5.6.5. Sólidos Solúveis (SS) e Acidez Titulável (AT) ............................................. 79
5.6.6. Relação SS/AT ............................................................................................... 81
5.6.7. Ácido Ascórbico (mg 100g
-1
) ........................................................................ 83
5.6.8. Firmeza do fruto integro e Firmeza da polpa ................................................. 84
6. CONCLUSÕES .......................................................................................................... 86
7. REFERÊNCIAS BIBLIOGRÁFICAS ....................................................................... 88
ANEXOS ........................................................................................................................... 100
viii
LISTA DE TABELAS
TABELA 1. Atributos físicos e químicos do solo, na profundidade de 0-20 cm, antes da
instalação do experimento, no período de outubro de 2007 ........................... 14
TABELA 2. Caracterização dos tratamentos aplicados no abacaxizeiro cultivar Gold, no
período de junho a setembro de 2008 ............................................................. 15
TABELA 3. Doses totais de fertilizantes referentes as sete adubações aplicadas via foliar,
em função dos tratamentos, no período de junho a setembro de 2008 ........... 17
TABELA 4. Caracterização química da água coletada na empresa doce mel, e utilizada
para preparo da calda na adubação foliar no período de junho a setembro de
2008 ................................................................................................................ 17
TABELA 5. Classificação de abacaxi de acordo com o peso ............................................. 20
TABELA 6. Percentual de frutos comercializáveis das classes I (CI), II (CII), III (CIII) e
IV (CIV), e refugo (R) em função dos tratamentos ........................................ 72
LISTA DE FIGURAS
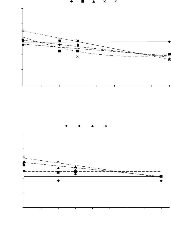
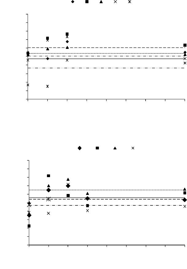
FIGURA 1. pH do solo (A e B) na profundidade de 0-20 cm em função dos tratamentos e
diferentes períodos de coleta do solo, T1- 957,15 kg de K ha
-1
+ 638,1 kg N ha
-
1
(1,5:1), T2- 671,67 kg de K ha
-1
+ 585,9 kg N ha
-1
(1,3:1), T3- 1171,8 kg de
K ha
-1
+ 585,9 kg N ha
-1
(2:1), T4- 1464,75 kg de K ha
-1
+ 585,9 kg N ha
-1
(2,5:1), T5- 1757,7 kg de K ha
-1
+ 585,9 kg N ha
-1
(3:1), T6- 647,4 kg de K ha
-
1
+ 498,0 kg N ha
-1
(1,3:1), T7- 996,0 kg de K ha
-1
+ 498,0 kg N ha
-1
(2:1),
T8- 1245,00 kg de K ha
-1
+ 498,0 kg N ha
-1
(2,5:1), T9- 1494,0 kg de K ha
-1
+
498,0 kg N ha
-1
(3:1) ......................................................................................... 23
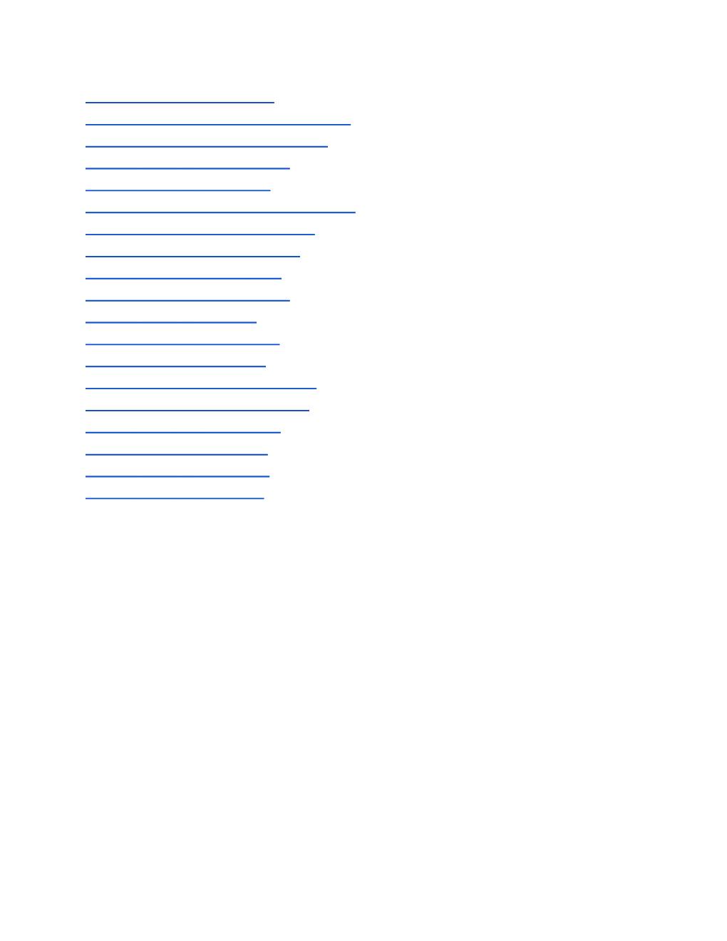
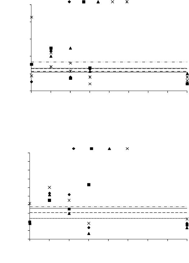
FIGURA 2. Teores de potássio (A e B) no solo na profundidade de 0-20 cm em função dos
tratamentos e diferentes períodos de coleta do solo. T1- 957,15 kg de K ha
-1
+
638,1 kg N ha
-1
(1,5:1), T2- 671,67 kg de K ha
-1
+ 585,9 kg N ha
-1
(1,3:1),
T3- 1171,8 kg de K ha
-1
+ 585,9 kg N ha
-1
(2:1), T4- 1464,75 kg de K ha
-1
+
585,9 kg N ha
-1
(2,5:1), T5- 1757,7 kg de K ha
-1
+ 585,9 kg N ha
-1
(3:1), T6-
647,4 kg de K ha
-1
+ 498,0 kg N ha
-1
(1,3:1), T7- 996,0 kg de K ha
-1
+ 498,0
kg N ha
-1
(2:1), T8- 1245,00 kg de K ha
-1
+ 498,0 kg N ha
-1
(2,5:1), T9-
1494,0 kg de K ha
-1
+ 498,0 kg N ha
-1
(3:1) ................................................... 25
ix
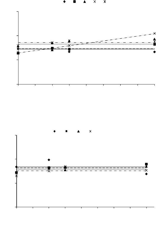
FIGURA 3. Teores de calcio (A e B) no solo na profundidade de 0-20 cm em função dos
tratamentos e diferentes períodos de coleta do solo. T1- 957,15 kg de K ha
-1
+
638,1 kg N ha
-1
(1,5:1), T2- 671,67 kg de K ha
-1
+ 585,9 kg N ha
-1
(1,3:1),
T3- 1171,8 kg de K ha
-1
+ 585,9 kg N ha
-1
(2:1), T4- 1464,75 kg de K ha
-1
+
585,9 kg N ha
-1
(2,5:1), T5- 1757,7 kg de K ha
-1
+ 585,9 kg N ha
-1
(3:1), T6-
647,4 kg de K ha
-1
+ 498,0 kg N ha
-1
(1,3:1), T7- 996,0 kg de K ha
-1
+ 498,0
kg N ha
-1
(2:1), T8- 1245,00 kg de K ha
-1
+ 498,0 kg N ha
-1
(2,5:1), T9-
1494,0 kg de K ha
-1
+ 498,0 kg N ha
-1
(3:1) ................................................... 27
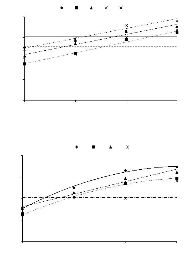
FIGURA 4. Teores de magnésio (A e B) no solo na profundidade de 0-20 cm em função
dos tratamentos e diferentes períodos de coleta do solo. T1- 957,15 kg de K
ha
-1
+ 638,1 kg N ha
-1
(1,5:1), T2- 671,67 kg de K ha
-1
+ 585,9 kg N ha
-1
(1,3:1), T3- 1171,8 kg de K ha
-1
+ 585,9 kg N ha
-1
(2:1), T4- 1464,75 kg de
K ha
-1
+ 585,9 kg N ha
-1
(2,5:1), T5- 1757,7 kg de K ha
-1
+ 585,9 kg N ha
-1
(3:1), T6- 647,4 kg de K ha
-1
+ 498,0 kg N ha
-1
(1,3:1), T7- 996,0 kg de K
ha
-1
+ 498,0 kg N ha
-1
(2:1), T8- 1245,00 kg de K ha
-1
+ 498,0 kg N ha
-1
(2,5:1), T9- 1494,0 kg de K ha
-1
+ 498,0 kg N ha
-1
(3:1) ............................. 29
FIGURA 5. Teores de na no solo (A e B) na profundidade de 0-20 cm em função dos
tratamentos e diferentes períodos de coleta do solo. T1- 957,15 kg de K ha
-1
+
638,1 kg N ha
-1
(1,5:1), T2- 671,67 kg de K ha
-1
+ 585,9 kg N ha
-1
(1,3:1),
T3- 1171,8 kg de K ha
-1
+ 585,9 kg N ha
-1
(2:1), T4- 1464,75 kg de K ha
-1
+
585,9 kg N ha
-1
(2,5:1), T5- 1757,7 kg de K ha
-1
+ 585,9 kg N ha
-1
(3:1), T6-
647,4 kg de K ha
-1
+ 498,0 kg N ha
-1
(1,3:1), T7- 996,0 kg de K ha
-1
+ 498,0
kg N ha
-1
(2:1), T8- 1245,00 kg de K ha
-1
+ 498,0 kg N ha
-1
(2,5:1), T9-
1494,0 kg de K ha
-1
+ 498,0 kg N ha
-1
(3:1) ................................................... 31
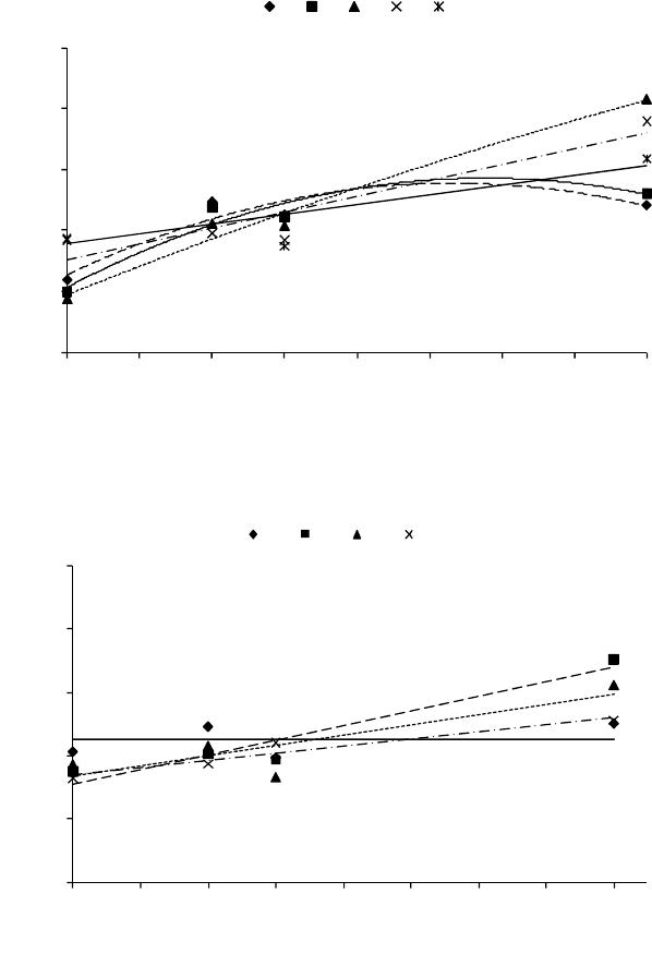
FIGURA 6. Comprimento da folha ‘D’ (A e B) em função dos dias após o plantio e
tratamentos. T1- 957,15 kg de K ha
-1
+ 638,1 kg N ha
-1
(1,5:1), T2- 671,67
kg de K ha
-1
+ 585,9 kg N ha
-1
(1,3:1), T3- 1171,8 kg de K ha
-1
+ 585,9 kg
N ha
-1
(2:1), T4- 1464,75 kg de K ha
-1
+ 585,9 kg N ha
-1
(2,5:1), T5- 1757,7
kg de K ha
-1
+ 585,9 kg N ha
-1
(3:1), T6- 647,4 kg de K ha
-1
+ 498,0 kg N
ha
-1
(1,3:1), T7- 996,0 kg de K ha
-1
+ 498,0 kg N ha
-1
(2:1), T8- 1245,00
kg de K ha
-1
+ 498,0 kg N ha
-1
(2,5:1), T9- 1494,0 kg de K ha
-1
+ 498,0 kg
N ha
-1
(3:1) ................................................................................................... 33
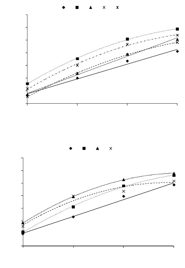
FIGURA 7. Largura da base da folha ‘D’ (A e B) em função dos dias após o plantio e
tratamentos. T1- 957,15 kg de K ha
-1
+ 638,1 kg N ha
-1
(1,5:1), T2- 671,67 kg
x
de K ha
-1
+ 585,9 kg N ha
-1
(1,3:1), T3- 1171,8 kg de K ha
-1
+ 585,9 kg N ha
-1
(2:1), T4- 1464,75 kg de K ha
-1
+ 585,9 kg N ha
-1
(2,5:1), T5- 1757,7 kg de
K ha
-1
+ 585,9 kg N ha
-1
(3:1), T6- 647,4 kg de K ha
-1
+ 498,0 kg N ha
-1
(1,3:1), T7- 996,0 kg de K ha
-1
+ 498,0 kg N ha
-1
(2:1), T8- 1245,00 kg de K
ha
-1
+ 498,0 kg N ha
-1
(2,5:1), T9- 1494,0 kg de K ha
-1
+ 498,0 kg N ha
-1
(3:1) ................................................................................................................ 36
FIGURA 8. Largura mediana da folha ‘D’ (A e B) em função dos dias após o plantio e
tratamentos. T1- 957,15 kg de K ha
-1
+ 638,1 kg N ha
-1
(1,5:1), T2- 671,67 kg
de K ha
-1
+ 585,9 kg N ha
-1
(1,3:1), T3- 1171,8 kg de K ha
-1
+ 585,9 kg N ha
-1
(2:1), T4- 1464,75 kg de K ha
-1
+ 585,9 kg N ha
-1
(2,5:1), T5- 1757,7 kg de
K ha
-1
+ 585,9 kg N ha
-1
(3:1), T6- 647,4 kg de K ha
-1
+ 498,0 kg N ha
-1
(1,3:1), T7- 996,0 kg de K ha
-1
+ 498,0 kg N ha
-1
(2:1), T8- 1245,00 kg de K
ha
-1
+ 498,0 kg N ha
-1
(2,5:1), T9- 1494,0 kg de K ha
-1
+ 498,0 kg N ha
-1
(3:1) ................................................................................................................ 38
FIGURA 9. Massa fresca da folha ‘D’ em função dos dias após a primeira adubação e
tratamentos. T1- 957,15 kg de K ha
-1
+ 638,1 kg N ha
-1
(1,5:1), T2- 671,67 kg
de K ha
-1
+ 585,9 kg N ha
-1
(1,3:1), T3- 1171,8 kg de K ha
-1
+ 585,9 kg n ha
-1
(2:1), T4- 1464,75 kg de K ha
-1
+ 585,9 kg N ha
-1
(2,5:1), T5- 1757,7 kg de
K ha
-1
+ 585,9 kg N ha
-1
(3:1), T6- 647,4 kg de K ha
-1
+ 498,0 kg N ha
-1
(1,3:1), T7- 996,0 kg de K ha
-1
+ 498,0 kg N ha
-1
(2:1), T8- 1245,00 kg de K
ha
-1
+ 498,0 kg N ha
-1
(2,5:1), T9- 1494,0 kg de K ha
-1
+ 498,0 kg N ha
-1
(3:1) ................................................................................................................ 40
FIGURA 10. Massa seca da folha ‘D’ em função dos dias após a primeira adubação e
tratamentos. T1- 957,15 kg de K ha
-1
+ 638,1 kg N ha
-1
(1,5:1), T2- 671,67
kg de K ha
-1
+ 585,9 kg N ha
-1
(1,3:1), T3- 1171,8 kg de K ha
-1
+ 585,9 kg
N ha
-1
(2:1), T4- 1464,75 kg de K ha
-1
+ 585,9 kg N ha
-1
(2,5:1), T5- 1757,7
kg de K ha
-1
+ 585,9 kg N ha
-1
(3:1), T6- 647,4 kg de K ha
-1
+ 498,0 kg N
ha
-1
(1,3:1), T7- 996,0 kg de K ha
-1
+ 498,0 kg N ha
-1
(2:1), T8- 1245,00
kg de K ha
-1
+ 498,0 kg N ha
-1
(2,5:1), T9- 1494,0 kg de K ha
-1
+ 498,0 kg
N ha
-1
(3:1) ................................................................................................... 43
FIGURA 11. Teor de N em folhas do abacaxizeiro “Gold” em função dos dias após a
primeira adubação e tratamentos. T1- 957,15 kg de K ha
-1
+ 638,1 kg N ha
-1
(1,5:1), T2- 671,67 kg de K ha
-1
+ 585,9 kg N ha
-1
(1,3:1), T3- 1171,8 kg de
K ha
-1
+ 585,9 kg N ha
-1
(2:1), T4- 1464,75 kg de K ha
-1
+ 585,9 kg N ha
-1
xi
(2,5:1), T5- 1757,7 kg de K ha
-1
+ 585,9 kg N ha
-1
(3:1), T6- 647,4 kg de K
ha
-1
+ 498,0 kg N ha
-1
(1,3:1), T7- 996,0 kg de K ha
-1
+ 498,0 kg N ha
-1
(2:1), T8- 1245,00 kg de K ha
-1
+ 498,0 kg N ha
-1
(2,5:1), T9- 1494,0 kg de
K ha
-1
+ 498,0 kg N ha
-1
(3:1) ...................................................................... 45
FIGURA 12. Teor de P em folhas do abacaxizeiro “Gold” em função dos dias após a
primeira adubação e tratamentos. T1- 957,15 kg de K ha
-1
+ 638,1 kg N ha
-1
(1,5:1), T2- 671,67 kg de K ha
-1
+ 585,9 kg N ha
-1
(1,3:1), T3- 1171,8 kg de
K ha
-1
+ 585,9 kg N ha
-1
(2:1), T4- 1464,75 kg de K ha
-1
+ 585,9 kg N ha
-1
(2,5:1), T5- 1757,7 kg de K ha
-1
+ 585,9 kg N ha
-1
(3:1), T6- 647,4 kg de K
ha
-1
+ 498,0 kg N ha
-1
(1,3:1), T7- 996,0 kg de K ha
-1
+ 498,0 kg N ha
-1
(2:1), T8- 1245,00 kg de K ha
-1
+ 498,0 kg N ha
-1
(2,5:1), T9- 1494,0 kg de
K ha
-1
+ 498,0 kg N ha
-1
(3:1) ...................................................................... 47
FIGURA 13. Teor de K em folhas do abacaxizeiro “Gold” em função dos dias após o
plantio e tratamentos. T1- 957,15 kg de K ha
-1
+ 638,1 kg N ha
-1
(1,5:1), T2-
671,67 kg de K ha
-1
+ 585,9 kg N ha
-1
(1,3:1), T3- 1171,8 kg de K ha
-1
+
585,9 kg N ha
-1
(2:1), T4- 1464,75 kg de K ha
-1
+ 585,9 kg N ha
-1
(2,5:1),
T5- 1757,7 kg de K ha
-1
+ 585,9 kg N ha
-1
(3:1), T6- 647,4 kg de K ha
-1
+
498,0 kg N ha
-1
(1,3:1), T7- 996,0 kg de K ha
-1
+ 498,0 kg N ha
-1
(2:1), T8-
1245,00 kg de K ha
-1
+ 498,0 kg N ha
-1
(2,5:1), T9- 1494,0 kg de K ha
-1
+
498,0 kg N ha
-1
(3:1) .................................................................................... 49
FIGURA 14. Teor de Ca em folhas do abacaxizeiro “Gold” em função dos dias após o
plantio e tratamentos. T1- 957,15 kg de K ha
-1
+ 638,1 kg N ha
-1
(1,5:1), T2-
671,67 kg de K ha
-1
+ 585,9 kg N ha
-1
(1,3:1), T3- 1171,8 kg de K ha
-1
+
585,9 kg N ha
-1
(2:1), T4- 1464,75 kg de K ha
-1
+ 585,9 kg N ha
-1
(2,5:1),
T5- 1757,7 kg de K ha
-1
+ 585,9 kg N ha
-1
(3:1), T6- 647,4 kg de K ha
-1
+
498,0 kg N ha
-1
(1,3:1), T7- 996,0 kg de K ha
-1
+ 498,0 kg N ha
-1
(2:1), T8-
1245,00 kg de K ha
-1
+ 498,0 kg N ha
-1
(2,5:1), T9- 1494,0 kg de K ha
-1
+
498,0 kg N ha
-1
(3:1) .................................................................................... 52
FIGURA 15. Teor de Mg em folhas ‘D’ do abacaxizeiro “Gold” em função dos dias após o
plantio e tratamentos. T1- 957,15 kg de K ha
-1
+ 638,1 kg N ha
-1
(1,5:1), T2-
671,67 kg de K ha
-1
+ 585,9 kg N ha
-1
(1,3:1), T3- 1171,8 kg de K ha
-1
+
585,9 kg N ha
-1
(2:1), T4- 1464,75 kg de K ha
-1
+ 585,9 kg N ha
-1
(2,5:1),
T5- 1757,7 kg de K ha
-1
+ 585,9 kg N ha
-1
(3:1), T6- 647,4 kg de K ha
-1
+
498,0 kg N ha
-1
(1,3:1), T7- 996,0 kg de K ha
-1
+ 498,0 kg N ha
-1
(2:1), T8-
xii
1245,00 kg de K ha
-1
+ 498,0 kg N ha
-1
(2,5:1), T9- 1494,0 kg de K ha
-1
+
498,0 kg N ha
-1
(3:1) .................................................................................... 54
FIGURA 16. Relação K/N em folhas do abacaxizeiro “Gold” em função dos dias após
plantio e tratamentos. T1- 957,15 kg de K ha
-1
+ 638,1 kg N ha
-1
(1,5:1), T2-
671,67 kg de K ha
-1
+ 585,9 kg N ha
-1
(1,3:1), T3- 1171,8 kg de K ha
-1
+
585,9 kg N ha
-1
(2:1), T4- 1464,75 kg de K ha
-1
+ 585,9 kg N ha
-1
(2,5:1),
T5- 1757,7 kg de K ha
-1
+ 585,9 kg N ha
-1
(3:1), T6- 647,4 kg de K ha
-1
+
498,0 kg N ha
-1
(1,3:1), T7- 996,0 kg de K ha
-1
+ 498,0 kg N ha
-1
(2:1), T8-
1245,00 kg de K ha
-1
+ 498,0 kg N ha
-1
(2,5:1), T9- 1494,0 kg de K ha
-1
+
498,0 kg N ha
-1
(3:1) .................................................................................... 57
FIGURA 17. Relação K/Ca em folhas do abacaxizeiro “Gold”em função dos dias após
plantio e tratamentos. T1- 957,15 kg de K ha
-1
+ 638,1 kg N ha
-1
(1,5:1), T2-
671,67 kg de K ha
-1
+ 585,9 kg N ha
-1
(1,3:1), T3- 1171,8 kg de K ha
-1
+
585,9 kg N ha
-1
(2:1), T4- 1464,75 kg de K ha
-1
+ 585,9 kg N ha
-1
(2,5:1),
T5- 1757,7 kg de K ha
-1
+ 585,9 kg N ha
-1
(3:1), T6- 647,4 kg de K ha
-1
+
498,0 kg N ha
-1
(1,3:1), T7- 996,0 kg de K ha
-1
+ 498,0 kg N ha
-1
(2:1), T8-
1245,00 kg de K ha
-1
+ 498,0 kg N ha
-1
(2,5:1), T9- 1494,0 kg de K ha
-1
+
498,0 kg N ha
-1
(3:1) .................................................................................... 59
FIGURA 18. Relação K/Mg em folhas do abacaxizeiro “Gold” em função dos dias após
plantio e tratamentos. T1- 957,15 kg de K ha
-1
+ 638,1 kg N ha
-1
(1,5:1), T2-
671,67 kg de K ha
-1
+ 585,9 kg N ha
-1
(1,3:1), T3- 1171,8 kg de K ha
-1
+
585,9 kg N ha
-1
(2:1), T4- 1464,75 kg de K ha
-1
+ 585,9 kg N ha
-1
(2,5:1),
T5- 1757,7 kg de K ha
-1
+ 585,9 kg N ha
-1
(3:1), T6- 647,4 kg de K ha
-1
+
498,0 kg N ha
-1
(1,3:1), T7- 996,0 kg de K ha
-1
+ 498,0 kg N ha
-1
(2:1), T8-
1245,00 kg de K ha
-1
+ 498,0 kg N ha
-1
(2,5:1), T9- 1494,0 kg de K ha
-1
+
498,0 kg N ha
-1
(3:1) .................................................................................... 61
FIGURA 19. Comprimento da infrutescência sem coroa do abacaxizeiro “Gold” em função
dos dias após indução floral e tratamentos. T1- 957,15 kg de K ha
-1
+ 638,1
kg N ha
-1
(1,5:1), T2- 671,67 kg de K ha
-1
+ 585,9 kg N ha
-1
(1,3:1), T3-
1171,8 kg de K ha
-1
+ 585,9 kg N ha
-1
(2:1), T4- 1464,75 kg de K ha
-1
+
585,9 kg N ha
-1
(2,5:1), T5- 1757,7 kg de K ha
-1
+ 585,9 kg N ha
-1
(3:1),
T6- 647,4 kg de K ha
-1
+ 498,0 kg N ha
-1
(1,3:1), T7- 996,0 kg de K ha
-1
+
498,0 kg N ha
-1
(2:1), T8- 1245,00 kg de K ha
-1
+ 498,0 kg N ha
-1
(2,5:1),
T9- 1494,0 kg de K ha
-1
+ 498,0 kg N ha
-1
(3:1) ......................................... 63
xiii
FIGURA 20. Comprimento da coroa de frutos do abacaxizeiro “Gold” em função dos
tratamentos. T1- 957,15 kg de K ha
-1
+ 638,1 kg N ha
-1
(1,5:1), T2- 671,67
kg de K ha
-1
+ 585,9 kg N ha
-1
(1,3:1), T3- 1171,8 kg de K ha
-1
+ 585,9 kg
N ha
-1
(2:1), T4- 1464,75 kg de K ha
-1
+ 585,9 kg N ha
-1
(2,5:1), T5- 1757,7
kg de K ha
-1
+ 585,9 kg N ha
-1
(3:1), T6- 647,4 kg de K ha
-1
+ 498,0 kg N
ha
-1
(1,3:1), T7- 996,0 kg de K ha
-1
+ 498,0 kg N ha
-1
(2:1), T8- 1245,00
kg de K ha
-1
+ 498,0 kg N ha
-1
(2,5:1), T9- 1494,0 kg de K ha
-1
+ 498,0 kg
N ha
-1
(3:1) ................................................................................................... 65
FIGURA 21. Diâmetro do fruto do abacaxizeiro “Gold” em função dos tratamentos. T1-
957,15 kg de K ha
-1
+ 638,1 kg N ha
-1
(1,5:1), T2- 671,67 kg de K ha
-1
+
585,9 kg N ha
-1
(1,3:1), T3- 1171,8 kg de K ha
-1
+ 585,9 kg N ha
-1
(2:1), T4-
1464,75 kg de K ha
-1
+ 585,9 kg N ha
-1
(2,5:1), T5- 1757,7 kg de K ha
-1
+
585,9 kg N ha
-1
(3:1), T6- 647,4 kg de K ha
-1
+ 498,0 kg N ha
-1
(1,3:1), T7-
996,0 kg de K ha
-1
+ 498,0 kg N ha
-1
(2:1), T8- 1245,00 kg de K ha
-1
+
498,0 kg N ha
-1
(2,5:1), T9- 1494,0 kg de K ha
-1
+ 498,0 kg N ha
-1
(3:1) .. 67
FIGURA 22. Massa média de abacaxi “Gold”, colhido aos 149 dias após indução floral,
em função dos tratamentos. T1- 957,15 kg de K ha
-1
+ 638,1 kg N ha
-1
(1,5:1), T2- 671,67 kg de K ha
-1
+ 585,9 kg N ha
-1
(1,3:1), T3- 1171,8 kg de
K ha
-1
+ 585,9 kg N ha
-1
(2:1), T4- 1464,75 kg de K ha
-1
+ 585,9 kg N ha
-1
(2,5:1), T5- 1757,7 kg de K ha
-1
+ 585,9 kg N ha
-1
(3:1), T6- 647,4 kg de K
ha
-1
+ 498,0 kg N ha
-1
(1,3:1), T7- 996,0 kg de K ha
-1
+ 498,0 kg N ha
-1
(2:1), T8- 1245,00 kg de K ha
-1
+ 498,0 kg N ha
-1
(2,5:1), T9- 1494,0 kg de
K ha
-1
+ 498,0 kg N ha
-1
(3:1) médias seguidas da mesma letra, não diferem
entre si pelo teste de scott-knott a 5 % de probabilidade ............................. 69
FIGURA 23. Produtividade do abacaxi “Gold”, colhido aos 149 dias após indução floral,
em função dos tratamentos. T1- 957,15 kg de K ha
-1
+ 638,1 kg N ha
-1
(1,5:1), T2- 671,67 kg de K ha
-1
+ 585,9 kg N ha
-1
(1,3:1), T3- 1171,8 kg de
K ha
-1
+ 585,9 kg N ha
-1
(2:1), T4- 1464,75 kg de K ha
-1
+ 585,9 kg N ha
-1
(2,5:1), T5- 1757,7 kg de K ha
-1
+ 585,9 kg N ha
-1
(3:1), T6- 647,4 kg de K
ha
-1
+ 498,0 kg N ha
-1
(1,3:1), T7- 996,0 kg de K ha
-1
+ 498,0 kg N ha
-1
(2:1), T8- 1245,00 kg de K ha
-1
+ 498,0 kg N ha
-1
(2,5:1), T9- 1494,0 kg de
K ha
-1
+ 498,0 kg N ha
-1
(3:1)médias seguidas da mesma letra, não diferem
entre si pelo teste de scott-knott a 5 % de probabilidade ............................. 71
xiv
FIGURA 24. Comprimento do fruto com coroa e comprimento da coroa do abacaxi
“Gold”, colhido aos 149 dias após indução floral, em função dos
tratamentos. T1- 957,15 kg de K ha
-1
+ 638,1 kg N ha
-1
(1,5:1), T2- 671,67
kg de K ha
-1
+ 585,9 kg N ha
-1
(1,3:1), T3- 1171,8 kg de K ha
-1
+ 585,9 kg
N ha
-1
(2:1), T4- 1464,75 kg de K ha
-1
+ 585,9 kg N ha
-1
(2,5:1), T5- 1757,7
kg de K ha
-1
+ 585,9 kg N ha
-1
(3:1), T6- 647,4 kg de K ha
-1
+ 498,0 kg N
ha
-1
(1,3:1), T7- 996,0 kg de K ha
-1
+ 498,0 kg N ha
-1
(2:1), T8- 1245,00
kg de K ha
-1
+ 498,0 kg N ha
-1
(2,5:1), T9- 1494,0 kg de K ha
-1
+ 498,0 kg
N ha
-1
(3:1). médias seguidas da mesma letra, não diferem entre si pelo teste
de scott-knott a 5 % de probabilidade .......................................................... 74
FIGURA 25. Diâmetros basal, mediano e apical dos frutos de abacaxi “Gold”, colhido aos
149 dias após indução floral, em função dos tratamentos. T1- 957,15 kg de
K ha
-1
+ 638,1 kg N ha
-1
(1,5:1), T2- 671,67 kg de K ha
-1
+ 585,9 kg N ha
-1
(1,3:1), T3- 1171,8 kg de K ha
-1
+ 585,9 kg N ha
-1
(2:1), T4- 1464,75 kg de
K ha
-1
+ 585,9 kg N ha
-1
(2,5:1), T5- 1757,7 kg de K ha
-1
+ 585,9 kg N ha
-1
(3:1), T6- 647,4 kg de K ha
-1
+ 498,0 kg N ha
-1
(1,3:1), T7- 996,0 kg de K
ha
-1
+ 498,0 kg N ha
-1
(2:1), T8- 1245,00 kg de K ha
-1
+ 498,0 kg N ha
-1
(2,5:1), T9- 1494,0 kg de K ha
-1
+ 498,0 kg N ha
-1
(3:1) médias seguidas da
mesma letra, não diferem entre si pelo teste de scott-knott a 5 % de
probabilidade ................................................................................................ 75
FIGURA 26. Rendimento da polpa de frutos de abacaxi “Gold”, colhido aos 149 dias após
indução floral, em função dos tratamentos. T1- 957,15 kg de K ha
-1
+ 638,1
kg N ha
-1
(1,5:1), T2- 671,67 kg de K ha
-1
+ 585,9 kg N ha
-1
(1,3:1), T3-
1171,8 kg de K ha
-1
+ 585,9 kg N ha
-1
(2:1), T4- 1464,75 kg de K ha
-1
+
585,9 kg N ha
-1
(2,5:1), T5- 1757,7 kg de K ha
-1
+ 585,9 kg N ha
-1
(3:1),
T6- 647,4 kg de K ha
-1
+ 498,0 kg N ha
-1
(1,3:1), T7- 996,0 kg de K ha
-1
+
498,0 kg N ha
-1
(2:1), T8- 1245,00 kg de K ha
-1
+ 498,0 kg N ha
-1
(2,5:1),
T9- 1494,0 kg de K ha
-1
+ 498,0 kg N ha
-1
(3:1) médias seguidas da mesma
letra, não diferem entre si pelo teste de scott-knott a 5 % de probabilidade 77
FIGURA 27. pH da polpa do abacaxi “Gold”, colhido aos 149 dias após indução floral, em
função dos tratamentos. T1- 957,15 kg de K ha
-1
+ 638,1 kg N ha
-1
(1,5:1),
T2- 671,67 kg de K ha
-1
+ 585,9 kg N ha
-1
(1,3:1), T3- 1171,8 kg de K ha
-1
+ 585,9 kg N ha
-1
(2:1), T4- 1464,75 kg de K ha
-1
+ 585,9 kg N ha
-1
(2,5:1),
T5- 1757,7 kg de K ha
-1
+ 585,9 kg N ha
-1
(3:1), T6- 647,4 kg de K ha
-1
+
xv
498,0 kg N ha
-1
(1,3:1), T7- 996,0 kg de K ha
-1
+ 498,0 kg n ha
-1
(2:1), T8-
1245,00 kg de K ha
-1
+ 498,0 kg N ha
-1
(2,5:1), T9- 1494,0 kg de K ha
-1
+
498,0 kg N ha
-1
(3:1) médias seguidas da mesma letra, não diferem entre si
pelo teste de scott-knott a 5 % de probabilidade .......................................... 78
FIGURA 28. Sólidos solúveis e acidez da polpa do abacaxi “Gold”, colhido aos 149 dias
após indução floral, em função dos tratamentos. T1- 957,15 kg de K ha
-1
+
638,1 kg N ha
-1
(1,5:1), T2- 671,67 kg de k ha
-1
+ 585,9 kg N ha
-1
(1,3:1),
T3- 1171,8 kg de K ha
-1
+ 585,9 kg N ha
-1
(2:1), T4- 1464,75 kg de K ha
-1
+
585,9 kg N ha
-1
(2,5:1), T5- 1757,7 kg de K ha
-1
+ 585,9 kg N ha
-1
(3:1),
T6- 647,4 kg de K ha
-1
+ 498,0 kg N ha
-1
(1,3:1), T7- 996,0 kg de K ha
-1
+
498,0 kg N ha
-1
(2:1), T8- 1245,00 kg de K ha
-1
+ 498,0 kg N ha
-1
(2,5:1),
T9- 1494,0 kg de K ha
-1
+ 498,0 kg N ha
-1
(3:1) médias seguidas da mesma
letra, não diferem entre si pelo teste de scott-knott a 5 % de probabilidade 79
FIGURA 29. Relação SS/AT da polpa do abacaxi “Gold”, colhido aos 149 dias após
indução floral, em função dos tratamentos. T1- 957,15 kg de K ha
-1
+ 638,1
kg N ha
-1
(1,5:1), T2- 671,67 kg de K ha
-1
+ 585,9 kg N ha
-1
(1,3:1), T3-
1171,8 kg de K ha
-1
+ 585,9 kg N ha
-1
(2:1), T4- 1464,75 kg de K ha
-1
+
585,9 kg N ha
-1
(2,5:1), T5- 1757,7 kg de K ha
-1
+ 585,9 kg N ha
-1
(3:1),
T6- 647,4 kg de K ha
-1
+ 498,0 kg N ha
-1
(1,3:1), T7- 996,0 kg de K ha
-1
+
498,0 kg N ha
-1
(2:1), T8- 1245,00 kg de K ha
-1
+ 498,0 kg N ha
-1
(2,5:1),
T9- 1494,0 kg de K ha
-1
+ 498,0 kg N ha
-1
(3:1) médias seguidas da mesma
letra, não diferem entre si pelo teste de scott-knott a 5 % de probabilidade 81
FIGURA 30. Teor de ácido áscorbico (mg 100 g
-1
) da polpa do abacaxi “Gold”, colhido
aos 149 dias após indução floral, em função dos tratamentos. T1- 957,15 kg
de K ha
-1
+ 638,1 kg N ha
-1
(1,5:1), T2- 671,67 kg de K ha
-1
+ 585,9 kg N
ha
-1
(1,3:1), T3- 1171,8 kg de K ha
-1
+ 585,9 kg N ha
-1
(2:1), T4- 1464,75
kg de K ha
-1
+ 585,9 kg N ha
-1
(2,5:1), T5- 1757,7 kg de K ha
-1
+ 585,9 kg
N ha
-1
(3:1), T6- 647,4 kg de K ha
-1
+ 498,0 kg N ha
-1
(1,3:1), T7- 996,0 kg
de K ha
-1
+ 498,0 kg N ha
-1
(2:1), T8- 1245,00 kg de K ha
-1
+ 498,0 kg N
ha
-1
(2,5:1), T9- 1494,0 kg de K ha
-1
+ 498,0 kg N ha
-1
(3:1) médias
seguidas da mesma letra, não diferem entre si pelo teste de scott-knott a 5 %
de probabilidade ........................................................................................... 83
FIGURA 31. Firmeza do fruto integro e firmeza da polpa (N) do abacaxi “Gold” colhido
aos 149 dias após indução floral, em função dos tratamentos. T1- 957,15 kg
xvi
de K ha
-1
+ 638,1 kg N ha
-1
(1,5:1), T2- 671,67 kg de K ha
-1
+ 585,9 kg N
ha
-1
(1,3:1), T3- 1171,8 kg de K ha
-1
+ 585,9 kg N ha
-1
(2:1), T4- 1464,75
kg de K ha
-1
+ 585,9 kg N ha
-1
(2,5:1), T5- 1757,7 kg de K ha
-1
+ 585,9 kg
N ha
-1
(3:1), T6- 647,4 kg de K ha
-1
+ 498,0 kg N ha
-1
(1,3:1), T7- 996,0 kg
de K ha
-1
+ 498,0 kg N ha
-1
(2:1), T8- 1245,00 kg de K ha
-1
+ 498,0 kg N
ha
-1
(2,5:1), T9- 1494,0 kg de K ha
-1
+ 498,0 kg N ha
-1
(3:1) médias
seguidas da mesma letra, não diferem entre si pelo teste de scott-knott a 5 %
de probabilidade ........................................................................................... 84
xvii
ELIZIETE PEREIRA DE SOUZA. Desenvolvimento, nutrição mineral, produção e
qualidade de infrutescência do abacaxizeiro ‘Gold’ em função das relações K/N.
Areia-PB, Centro de Ciências Agrárias, UFPB, março de 2010. 103p. Tese. Programa de
Pós Graduação em Agronomia. Orientadora: Prof
a
. Dra. Rejane Maria Nunes Mendonça.
RESUMO
A abacaxicultura é uma atividade economicamente viável e de relevância social nas
regiões de exploração, contudo o sucesso da atividade depende de manejo nutricional com
relações adequadas de K/N. Portanto o objetivou-se neste estudo avaliar os efeitos de
diferentes relações K/N aplicados via adubação foliar sobre o estado nutricional, fenologia
da folha ‘D’ e da infrutescência, produção e qualidade da infrutescência do cultivar Gold
no Estado da Paraíba. O experimento foi instalado em Neossolo Quartzarênico Órtico, no
município de Mamanguape-PB. Para avaliação da fertilidade do solo, nutrição da planta,
crescimento a folha ‘De desenvolvimento da infrutescência o delineamento experimental
utilizado foi em blocos casualizados, com três repetições e nove tratamentos, em esquema
de parcelas subdivididas no tempo, estando nas parcelas os tratamentos (relações K/N) e
nas subparcelas os períodos de avaliação (5 períodos). Para avaliação da qualidade da
infrutescência o delineamento experimental utilizado foi em blocos casualizados, com três
repetições e nove tratamentos. Os tratamentos constaram de quatro relações K/N (1,3:1;
2:1; 2,5:1 e 3:1), estabelecidas a partir de duas doses de N (585,9 e 498,0 kg de N/ha), com
uma testemunha.
A
unidade experimental foi constituída por seis fileiras, cada fileira com
25 plantas, com um total de 150 plantas por unidade experimental. Utilizou-se mudas do
cultivar Gold provenientes da Empresa Mangereba, plantadas em sulcos, no sistema de
fileiras duplas, com espaçamento 0,30 x 0,50 x 0,90 m. Anteriormente a instalação do
experimento realizou-se a análise química e física do solo na profundidade 0-20 cm, assim
como a análise química da água utilizada. Posteriormente a instalação do experimento
avaliou-se a fertilidade do solo (0-20 cm) determinando-se o pH, P, K, Ca e Mg aos 270,
300, 330, 360 (indução floral) e 510 (colheita) dias após o plantio. Os teores foliares de N,
P, K, Ca e Mg foram avaliados aos 270, 330, 360 (indução floral) e 510 (colheita) dias
após o plantio. O crescimento da folha ‘D’ foi avaliado mensurando-se o comprimento,
largura basal e mediana, massa fresca e seca aos 270, 300, 330 e 360 (indução floral) após
o plantio. A avaliação do crescimento do fruto iniciou-se aos 59 dias após a indução floral
xviii
até o momento da colheita, mensurando-se em intervalo de 15 dias o comprimento (cm) do
fruto sem coroa, comprimento (cm) da coroa e diâmetro do fruto (cm). Por ocasião da
colheita os frutos foram colhidos no estádio de maturação verde, determinando-se a
produção, produtividade, percentual de frutos comercializáveis e refugo por tratamento.
Foram também mensurados a massa do fruto com e sem coroa, diâmetros basal, médio e
apical do fruto, firmeza do fruto integro, firmeza da polpa, massa da polpa, pH, acidez
titulável (AT), sólidos solúveis (SS), relação SS/AT e vitamina C. De acordo com os
resultados verificou-se que dentre as variáveis de fertilidade do solo, as relações K/N
influenciaram os teores de K e Na do solo. As relações K/N afetaram o comprimento,
largura basal e mediana, massa fresca e seca da folha ‘D’. Houve efeito das relações K/N
sobre os teores foliares de K, relação K/Ca e relação K/Mg. Constatou-se ausência de
efeito das relações K/N sobre o comprimento do fruto sem coroa, o comprimento da coroa
e o diâmetro mediando do fruto. As relações K/N exerceram efeito sobre o peso médio dos
frutos e produtividade. A aplicação de diferentes relações K/N influenciou o comprimento
do fruto e coroa, e o peso do talo no momento da colheita. Houve efeito das relações K/N
sobre o teor de SS, relação SS/AT, firmeza do fruto integro e firmeza da polpa.
Palavras chaves: Ananas comosus comosus L., fenologia, adubação foliar, nitrogênio,
potássio
xix
ELIZIETE PEREIRA DE SOUZA. Development, mineral nutrition, yield and quality
of frutescence in the pineapple plant 'Gold' as a function of the K/N relationships.
Areia-PB, Centro de Ciências Agrárias, UFPB, March 2010. 103p. Thesis. Post-Graduation
Program in Agronomy. Adviser: Prof. Dra. Rejane Maria Nunes Mendonça.
ABSTRACT
The pineapple cropping is an economically viable and socially important activity in the
exploration areas. However, the success of the activity depends on nutritional management
with appropriate K/N relationships. Thus, this study was carried out in order to evaluate:
the effects from different relationships K/N applied, via leaf fertilization, on the nutritional
state, on either ‘D’ leaf phenology and frutescence, on yield and quality of the Gold cv.
frutescence in the State of Paraíba. The experiment was set up in Neossolo Quartzarênico
Órtico, in Mamanguape county-PB. For evaluation of the soil fertility, plant nutrition, "D"
leaf growth and frutescence development, the randomized block experimental design was
used, with nine treatments and three replicates under split-plot scheme in time. The
treatments (K/N relationships) were in plots and the evaluation periods (five) in subplots.
For evaluation of the frutescence quality, the randomized block experimental was used,
with three replicates and nine treatments. The treatments consisted of four K/N
relationships (1,3:1; 2:1; 2,5:1 and 3:1) that were established from two N doses (585,9 and
498,0 kg N/ha), with one control. The experimental unit was constituted by six rows, each
row with 25 plants, with a total of 150 plants by each experimental unit. The Gold cv.
suckers proceeding from the ‘Empresa Mangereba’ were used. They were planted in
furrows under double-rows system, with spacing 0,30 x 0,50 x 0,90m. Before setting up
the experiment, both chemical and physical analyses of the soil at depth 0-20cm were
accomplished., as well as the chemical analysis of the water under use. After the
experiment was set up, the fertility of the soil (0-20cm) was evaluated, by determining the
pH, P, K, Ca and Mg at 270, 300, 330, 360 (floral induction) and 510 (harvest) days after
planting. The leaf contents of N, P, K, Ca and Mg were evaluated at 270, 330, 360 (floral
induction) and 510 (harvest) days after planting. The growth of the leaf 'D' was evaluated,
by measuring the length, basal and medium width, both fresh and dry matters at 270, 300,
330 and 360 days (floral induction) after planting. The evaluation of the fruit growth began
at 59
o
day after floral induction until the moment of harvest, by measuring the length (cm)
of the crownless fruit, the crown length (cm) and the fruit diameter (cm) at 15-day
xx
intervals. At harvesting time, the fruits at green-ripening stage were harvested, by
determining the yield, productivity, percentage of marketable fruits and refuse by each
treatment. The following variables were also measured: the mass of the fruit with and
without crown, the basal, medium and apical diameters of the fruit, firmness of the entire
fruit, pulp firmness, pulp mass, pH, titrable acidity (ATTN), soluble solids (SS),
relationship SS/AT, and vitamin C. According to the results, the following conclusions
were drawn: among the variables of soil fertility, the K/N relationships affected both K and
Na contents in soil; the K/N relationships affected the length, both basal and medium
widths, fresh and dry mass of the ‘D’ leaf; the K/N relationships affected the leaf contents
of K, the relationship K/Ca and relationship K/Mg. The absence of effects from the K/N
relationships were observed in the length of the crownless fruit, in the crown length and the
diameter at the medium of the fruit length were observed. The K/N relationships K/N
affected the average weight of the fruits and the productivity. The application of different
K/N relationships influenced both length and crown of the fruit as well as the weight of the
stem at the moment of harvesting. The K/N relationships affected the SS content, SS/AT
relationship, firmness of the intact fruit and pulp.
Keywords: Ananas comosus comosus L., phenology, leaf fertilization, nitrogen, potassium
1
1. INTRODUÇÃO
A abacaxicultura é considerada uma atividade economicamente viável e de
relevância social nas regiões de exploração, destacando-se o Brasil como o segundo maior
produtor mundial e maior produtor na América do Sul na safra de 2007 (FAOSTAT,
2010). No Brasil, a área colhida com abacaxi em 2009 foi de 57.131 ha, e a produção foi
de 1.471.176 milhões de frutos, destacando-se a região Nordeste com 22.622 ha de área
colhida e produção correspondente a 621.134 mil frutos. O Estado da Paraíba destaca-se
como o maior produtor nacional com 8.918 ha de área colhida e produção de 263.000 mil
frutos, seguido pelos Estados de Minas Gerais e Pará com produção de 257.556 e 240.693
mil frutos, respectivamente (IBGE, 2010).
No Estado da Paraíba a abacaxicultura concentra-se nas Microrregiões de Sapé e
no Litoral Paraibano, destacando-se os municípios de Itapororoca, Santa Rita, Araçagi, e
Pedras de Fogo como principais produtores (IBGE, 2010). De forma consorciada,
intercalado, ou em monocultivo, o cultivo do abacaxizeiro no Estado da Paraíba vem
melhorando a economia local e alterando o panorama agrícola (SOUZA et al., 2007). O
cultivar mais plantado é o Pérola, porém há tendência de diversificação da produção com
outros cultivares (RODRIGUES, 2004), a exemplo do cultivar Gold ou MD2, que é um
híbrido resultante do cruzamento entre os clones híbridos PRI 58-1184 e PRI 59-443 com
boa aceitação do mercado europeu (ODA & WILLIAMS, 1994).
A introdução de novos cultivares, mais competitivos no mercado de exportação,
dentre estes o cultivar Gold, vem se destacando em alguns plantios da região Nordeste e no
Estado do Espírito Santo (POMMER & BARBOSA, 2009). Contudo, a produção deste
cultivar demanda conhecimentos específicos e tecnificados, tornando-se necessário
recomendações de adubações adequadas à realidade local, visando o aumento da produção,
qualidade dos frutos e atender as exigências do mercado consumidor. O sucesso da
abacaxicultura depende de um programa adequado de reposição dos nutrientes (SILVA et
al., 2004).
Apesar da sua importância sócio-econômica, a experimentação sobre adubação do
abacaxizeiro ainda é pequena no Brasil (MAEDA, 2005). O abacaxizeiro é considerado
uma planta exigente em nutrientes, com necessidades nutricionais que a maioria dos solos
cultivados não consegue suprir integralmente, exceção para alguns solos recém-
desmatados ou em pousio prolongado (MAEDA, 2005; SOUZA, 1999). O potássio (K) e o
2
nitrogênio (N), em ordem decrescente, são os nutrientes extraídos em maior quantidade
pelo abacaxizeiro (SOARES et al., 2005; RAZZAQUE & HANAFFI, 2001).
O K é responsável pelos atributos de qualidade dos frutos, e o N pelo tamanho e
peso do fruto (MALÉZIEUX & BARTHOLOMEW, 2003; SPIRONELLO et al., 2004;
SOARES et al., 2005). O K tem efeito positivo sobre o teor de açúcares, a acidez titulável,
a firmeza, coloração da casca do fruto, fator muito importante para a exportação (PAULA
et al. 1998), resistência do pendúnculo, peso de infrutescência, consistência da polpa e
aroma (CUNHA et al., 1999). O N quando em doses elevadas aumenta a coloração da
polpa (SOUZA, 1999), porém reduz a coloração da casca e a firmeza (BOTREL et al.,
2004). Plantas sob deficiência de N produzem folhas ‘D’ com menor comprimento médio
(BHUGALOO, 1998).
Neste sentido a adubação com K e N assume relevante importância para a
qualidade dos frutos do abacaxizeiro e o desenvolvimento da planta. A nutrição mineral
insere-se dentre os principais fatores responsáveis pela qualidade dos frutos desta espécie
(SOARES et al., 2005), sendo a expansão da produção brasileira e o incremento da
exportação de frutas frescas dependente, sobretudo, da qualidade do produto ofertado ao
consumidor final (GONÇALVES et al., 2000), e a qualidade por sua vez depende da
adubação com doses e relações K/N fornecidas em quantidades e proporções adequadas a
planta, sendo a realização de estudos desta natureza necessários pela importância das
relações K/N no desenvolvimento da planta e qualidade de infrutescência.
Neste sentido, além dos teores dos elementos (K e N) e doses dos adubos, a
relação K/N adequada torna-se necessária para o crescimento e desenvolvimento da planta
e infrutescência do abacaxizeiro. Em estudo realizado por Paula et al. (1999), os autores
verificaram aumento da porcentagem de acidez nos frutos quando houve menor relação
K/N nas folhas. O estabelecimento de relações K/N adequadas entre as doses de
fertilizantes, é requerido pelo abacaxizeiro no manejo da adubação, entretanto efeito
antagônico entre K e N em relação à maioria dos atributos de qualidade do abacaxi,
estando a opção por determinada relação entre estes nutrientes associada principalmente
com o destino da produção (SOUZA, 2000).
Para frutos destinados aos mercados externo, interno distante e para indústria de
rodelas recomenda-se a adoção de relações entre 1,5 a 2,5, visando ajustar a relação sólidos
solúveis/acidez titulável e conferir maior resistência ao transporte; porém frutos destinados
a mercados próximos da área produtora, a relação K/N pode ser menor ou igual a 1
(SOUZA, 1999). Estudo sobre os efeitos da relação K/N sobre a qualidade do abacaxi
3
‘Pérola’, nas condições edafoclimáticas locais, constatou ausência de efeito significativo
das relações K/N sobre os atributos de qualidade do fruto, produção e produtividade
(RODRIGUES 2009).
Dentre as formas de adubação utilizadas, a adubação foliar exerce importância na
absorção de nutrientes pelas plantas, tornando-se bastante expressiva devido ao cultivo
continuado de áreas, o que vem tornando freqüente o aparecimento de deficiências
minerais que muitas vezes são corrigidas eficientemente mediante adubações foliares,
enquanto, as aplicações de nutrientes no solo nem sempre dão resultados satisfatórios
(MAEDA, 2005). A arquitetura do abacaxizeiro e suas características morfológicas e
anatômicas favorecem a absorção de nutrientes aplicados via foliar (BREGONCI et al.,
2008), o que pode ser vantajoso para o desenvolvimento fenológico da folha ‘D e da
infrutescência, assim como para a maior produção e qualidade do abacaxi.
Entretanto, a utilização das duas formas de adubação, via solo e foliar, com
diferentes relações K/N são relevantes do ponto de vista cientifico, tecnológico e
econômico, além da facilidade do manejo onde pode-se alternar a forma de aplicação.
Marchal et al. (1981) estudaram a influencia de fontes de K, aplicados via solo e foliar (20
g de K
2
O planta
-1
), e observaram maior peso dos frutos (1,88 kg) na aplicação via foliar, a
AT do fruto foi maior (12,1) quando da aplicação na axila das folhas, e os SS foram iguais
(15,1) na adubação via pulverização foliar e adubação solida.
Contudo, o enfoque principal dos trabalhos com nutrição mineral do abacaxizeiro,
são referentes aos ensaios com doses de K e N aplicados principalmente via solo, nos
cultivares Pérola e Smooth Cayenne, com avaliações apenas sobre a produção e a
qualidade, havendo necessidade de informações sobre os efeitos dos referidos elementos
aplicados via solo e foliar, sobre a fenologia da folha ‘D’ e do fruto, pois a forma de
aplicação possivelmente influencia na maior capacidade de absorção de macro e
micronutrientes pelas plantas em menor período de tempo, e conseqüentemente maior
desenvolvimento da planta e infrutescência.
Diante o exposto e devido a necessidade de conhecimentos técnicos acurados,
torna-se relevante estudar as relações K/N aplicadas via solo e foliar, notadamente nas
condições edafoclimáticas do Estado da Paraíba, sobre o crescimento da folha ‘D’ e do
fruto, nutrição mineral, produção e qualidade de infrutescência do abacaxizeiro ‘Gold’,
possibilitando desta forma conhecimentos técnicos e científicos relacionados a adubação e
nutrição mineral do cultivar Gold, muito apreciado no mercado europeu, e possivelmente
qualidade do produto e maiores opções mercadológicas para exportação.
4
2. OBJETIVOS
2.1. Geral
Avaliar os efeitos de diferentes relações K/N aplicados via solo e adubação foliar sobre
o estado nutricional, fenologia da folha ‘D’ e da infrutescência, produção e qualidade da
infrutescência do cultivar Gold no Estado da Paraíba.
2.2. Específicos
Avaliar a influência das diferentes relações K/N sobre os teores de nutrientes na folha
‘D’;
Avaliar a influência das diferentes relações K/N sobre o crescimento da folha ‘D’ do
abacaxizeiro cultivar Gold;
Avaliar a influência das diferentes relações K/N sobre o desenvolvimento da
infrutescência do abacaxizeiro cultivar Gold;
Avaliar os efeitos das diferentes relações K/N sobre a produção e classificação da
infrutescência do abacaxizeiro cultivar Gold;
Avaliar os efeitos das diferentes relações K/N sobre a qualidade pós-colheita de
infrutescências do cultivar Gold na maturidade comercial.
5
3. REVISÃO BIBLIOGRÁFICA
3.1. O Cultivar Gold
Nos últimos anos, novos cultivares vem sendo testados no Estado do Espírito
Santo buscando-se introduzir cultivares mais competitivos para o mercado de exportação, e
dentre estas o cultivar Gold vem se destacando em alguns plantios no referido Estado e em
pequenas áreas de cultivo na região Nordeste (POMMER & BARBOSA, 2009). Segundo
Bregonci (2007), o cultivar Gold é um duplo hibrido tendo como um dos parentais o
cultivar Smooth Cayenne.
O cultivar Gold é novo no mercado e tem despertado a curiosidade e o interesse
de muitas pessoas ligadas ao agronegócio com abacaxi no Brasil (SANTOS, 2006).
Desenvolvido pela empresa Del Monte Fresh Produce International Inc., o cultivar Gold
tem ganhado mercado nos últimos anos, especialmente no mercado internacional de frutas
frescas (REBOLLEDO-MARTINEZ et al., 2005).
Segundo Cunha (2003), esse cultivar pertence ao grupo ‘Smooth Cayenne’, e
possui características semelhantes a dos demais representantes desse grupo, distinguindo-
se pela aparência bastante atrativa. Morgan & Thompson (2000), reportam que a
infrutescência do cultivar Gold tem elevado conteúdo de sólidos solúveis, mas com acidez
titulável elevada o que justifica a preferência do consumidor estrangeiro.
3.2. Adubação potássica do abacaxizeiro
Macronutriente requerido em maior quantidade pelo abacaxizeiro, o K é
considerado o principal responsável pela qualidade do fruto, contribuindo para o aumento
do teor de sólidos solúveis (SS) e acidez titulável (AT), estando também relacionado com a
produtividade da cultura (SOUZA, 1999; SPIRONELLO et al., 2004; SOARES et al.,
2005). Apesar da influência do potássio na produtividade da cultura, considera-se que a
intensidade da influência do K sobre a produtividade é menor do que o N, estando o K
mais relacionado com a qualidade do fruto (SOUZA, 1999; SOARES et al., 2005).
De acordo com Paula et al. (1998), o K aumenta o teor de açúcares, a acidez e a
firmeza, além de ativar a coloração da casca do fruto, fator importante para a exportação.
Veloso et al. (2001), em estudo desenvolvido na mesorregião do nordeste paraense,
6
município de Capitão Poço, em solo classificado como Latossolo Amarelo distrófico,
verificaram decréscimo da AT, e redução do diâmetro e comprimento dos frutos com a
redução do nível de K (0; 9; 18 e 27 g de K
2
O planta
-1
) em frutos do cultivar Pérola. Paula
et al. (1991) obtiveram com a deficiência de K, baixos valores da relação SS/AT nos frutos
do cultivar Pérola, devido ao aumento da AT.
Spironello et al. (2004), em estudo sobre os efeitos das doses de K (0, 175, 350 e
700 kg de K
2
O ha
-1
) na produção e qualidade dos frutos do cultivar Smooth Cayenne em
um Argissolo Vermelho-Amarelo em Agudos-SP, verificaram efeito positivo dos
tratamentos sobre o tamanho dos frutos e a produção, e observaram que o aumento das
doses de K aumentou o teor de SS, AT e teores de vitamina C, sendo que a dose de 569 kg
de K
2
O ha
-1
proporcionou maior tamanho dos frutos e a dose 498 kg de K
2
O ha
-1
proporcionou maior qualidade dos frutos.
Paula et al. (1999), avaliaram o efeito da vinhaça (0 - 100 - 200 - 400 m
3
ha
-1
)
como fonte de K, mais tratamento adicional com 12 g de K
2
O planta
-1
utilizando como
fonte de K o cloreto de potássio, sobre o rendimento e qualidade da infrutescência do
cultivar Smooth Cayenne, e observaram efeito significativo das doses de vinhaça sobre a
produção, peso médio do fruto sem coroa, AT, e SS, havendo aumento das variáveis com
aumento das doses de vinhaça.
Em trabalho utilizando-se o cultivar Jupi, com plantas conduzidas em vasos
contendo 13 dm
3
de Latossolo Amarelo Distrófico, Coelho et al. (2007) avaliaram
diferentes doses de K (00; 31; 62; 93 e 124 g planta
-1
) da fórmula 20:05:20, fracionadas em
três parcelas de 20%, 40% e 40% da dose, aos 45, 120 e 240 dias após o plantio, sobre a
qualidade do fruto, e observaram aumento da AT na maior dose de K, e redução da relação
SS/AT com o aumento das doses. Lacoeuilhe (1978), estudando o efeito de diferentes
doses de K (2, 4, 6, 8 e 10 g de K
2
O planta
-1
) observou efeito dos tratamentos sobre o peso,
AT e SS da infrutescência do cultivar Cayenne, com incrementos das referidas variáveis
em função do aumento das doses de K.
Paula et al. (1991) avaliaram diferentes doses de K (0, 412, 722 e 1031 kg de K
2
O
ha
-1
) na forma de cloreto de potássio, e verificaram efeito dos tratamentos sobre a AT, SS e
relação SS/AT da infrutescência do abacaxizeiro ‘Pérola’. Os autores verificaram que com
a deficiência de K os teores foliares de K diminuíram significativamente quando as plantas
não foram adubadas e os teores de Mg aumentaram; entretanto com o aumento das doses
de cloreto de potássio os teores foliares de Ca e Mg reduziram, comprovando efeito
antagônico entre o K e os referidos cátions.
7
Marchal et al. (1981), Couto (1991), Paula et al. (1998) e Rodrigues et al. (2007),
mencionaram que a influência da adubação potássica sobre as características tecnológicas
(físicas e químicas) dos frutos do abacaxizeiro variam de acordo com alguns fatores, entre
os quais as condições climáticas, fontes de adubos, época de aplicação, estádio de
desenvolvimento da planta, doses e forma de aplicação do fertilizante, disponibilidade e
relação nutricional entre o K e os demais nutrientes no solo e na planta.
Marchal et al. (1981) estudaram a influencia do sulfato de potássio e cloreto de
potássio, aplicados em pulverização, na axila da folhas e no solo com a dose de 20 g
planta
-1
de K
2
O. Os referidos autores observaram maior peso dos frutos (1,88 kg) com
aplicação do sulfato via pulverização, com relação a AT do fruto a mesma foi maior (12,1)
quando da aplicação do cloreto de potássio aplicado na axila das folhas, e os SS foram
maior (15,1) na adubação com sulfato de potássio com o mesmo valor para a adubação via
pulverização foliar e adubação solida na axila das folha.
Em estudo realizado com abacaxizeiro Razzaque e Hanafi (2001), avaliaram
doses crescentes de K (0, 266, 532, 798, 1064, 1330 kg ha
-1
) utilizando-se como fonte de
potássio o KCl no cultivar Gandul, e não verificaram efeito significativo dos tratamentos
sobre a AT e os SS dos frutos. Os mesmos autores constataram efeito dos tratamentos
sobre o comprimento, peso médio e diâmetro dos frutos, com redução do comprimento e
peso médio dos frutos, e aumento do diâmetro em função do aumento das doses de K.
Maeda (2005) testou doses de potássio (0, 140, 280 e 420 kg de K
2
O ha
-1
) na
forma de cloreto de potássio aplicado na axila das plantas do abacaxizeiro cultivar Smooth
Cayenne, verificando-se que para AT os dados se ajustaram a uma equação linear
decrescente em relação às doses de K, ou seja, à medida que se aumentou a dose de K
houve a diminuição da AT, não houve influência significativa dos tratamentos sobre a
produtividade de frutos, diâmetro médio do fruto comprimento do fruto sem a coroa e SS.
Em estudo realizado por Rodrigues (2009), com abacaxizeiro cultivar Pérola em
solo classificado como Espodossolo Ferrocárbico no município de Santa Rita-PB avaliou-
se adubação potássica com duas doses de N, em diferentes relações K/N (T1- 0,85:1; T2-
1:1; T3- 2:1; T4- 3:1; T5- 0,85:1; T6- 1:1; T7- 2:1; T8- 3:1; T9 (Fontes)- 2:1; T10
(Parcelamento)- 2:1; T11 (Época)- 2:1; T12 (Forma)- 2:1; T13- sem adubação) em
condições de sequeiro, sobre as características físico-químicas dos frutos. O mesmo autor
verificou ausência de efeito das doses de K sobre, o peso médio, comprimento e diâmetro
do fruto, peso do talo, pH da polpa, AT, SS (%), relação SS/AT e a massa fresca da folha
8
‘D’. Contudo houve efeito sobre o comprimento da coroa sendo que a elevação das doses
de K reduziu o comprimento da coroa.
Asoegwu (1988), avaliou o efeito de diferentes doses de K (0, 100, 150, 200 kg de
K
2
O ha
-1
) utilizando como fonte o muriato de potássio aplicado aos 3, 6 e 9 meses após o
plantio na axila da folha velha, sobre o abacaxizeiro cultivar Smooth Cayenne e observou
efeito significativo dos tratamentos sobre o comprimento da folha ‘D’ e peso do fruto.
Ramos et al. (2009) caracterizaram os sintomas de deficiência nutricional de
macronutrientes e boro (completo, -N, -P, -K, -Ca, -Mg, -S, -B) em abacaxizeiro cultivar
Imperial, e verificaram que a deficiência de K, aos 7 meses após o plantio, ocasionou
folhas de menor tamanho e mais estreitas, quando a concentração foliar de K era de 11,6 g
kg
-1
. Os mesmos autores também observaram, aos 12 meses após o plantio, manchas
escuras na polpa dos frutos, correspondentes aos sintomas de escurecimento interno, sendo
que nesta fase, a concentração foliar de K era de apenas 3,2 g kg
-1
, portanto cerca de sete
vezes inferior à concentração de K do tratamento completo (23,8 g kg
-1
).
Botrel et al. (2004) estudaram seis níveis de adubação potássica (0, 4, 6, 8, 12, 20
g de K
2
O planta
-1
), aplicados sob a forma de KCl no abacaxizeiro ‘Pérola’, e verificaram
ausência de efeito significativo para as concentrações foliares de N e P, porém com efeito
significativo sobre a concentração foliar de K, teores de vitamina C e AT, verificando-se
elevação dos teores foliares de K, vitamina C e acidez com o aumento das doses de K
aplicadas.
3.3. Adubação nitrogenada do abacaxizeiro
O nitrogênio (N) é o segundo macronutriente mais exigido pelo abacaxizeiro
(SOUZA, 1999), sua importância esta relacionada as funções vitais desenvolvidas na
planta assim como a sua participação na composição celular e reações bioquímicas
vegetais. O N é constituinte dos aminoácidos e ácidos nucléicos, estando diretamente
relacionado com o crescimento vegetal (TAIZ & ZEIGER, 2009), sendo também
componente da molécula da clorofila (TAM & MAGISTAD, 1935).
A influência do N sobre o abacaxizeiro esta mais relacionada com o rendimento e
crescimento da planta do que com os aspectos qualitativos do fruto, contudo também pode
influenciar significativamente a qualidade dos frutos dependendo de fatores como manejo
da adubação, doses e fontes do nutriente. Souza (1999), afirma que o N influencia mais no
peso do fruto do abacaxizeiro do que na qualidade. Em estudos realizados por Tay (1975) e
9
Iuchi (1978), com adubação nitrogenada no abacaxizeiro cultivar Pérola, os autores
observaram que a deficiência de nitrogênio diminui o tamanho e o peso médio dos frutos.
Ramos et al. (2009), observaram que o abacaxizeiro sob deficiência de N produziu
frutos menores, e o teor de N na matéria seca da folha ‘D’ na época da colheita era de
apenas 6,8 g kg
-1
enquanto nas plantas do tratamento completo este valor era de 13,4 g kg
-
1
. Maeda (2005) aplicou diferentes doses de N (0, 140, 280 e 420 kg ha
-1
) na forma de
uréia, na axila das plantas do abacaxizeiro cultivar Smooth Cayenne, verificando-se que
houve efeito significativo sobre o teor de N nas folhas, havendo aumento dos teores
foliares de N em função do aumento das doses. O mesmo autor observou ausência de efeito
significativo do N sobre a produtividade de frutos, diâmetro médio, comprimento do fruto
sem a coroa e SS. A ausência ou não de feito significativo das doses de N sobre aspectos
quantitativos e qualitativos do abacaxizeiro, relaciona-se diretamente com doses de N,
forma de aplicação e cultivar estudada (PAULA et al. 1998; SOUZA, 2000).
Nesse sentido, Veloso et al. (2001) avaliaram doses de N (0; 6; 12 e 18 g de N.
planta
-1
) na forma de uréia, com e sem calagem, sobre o abacaxizeiro ‘Pérola’, e
observaram que o comprimento dos frutos foi influenciado por doses de N, na ausência e
na presença da calagem. Os referidos autores verificaram também aumento dos teores
foliares de N e K com o aumento das doses de N.
Souza (2000) afirma que doses adequadas, formas, época e número de aplicações
estão entre os fatores a serem considerados durante a aplicação de N no abacaxizeiro. Em
estudo realizado por Rao et al. (1977), com diferentes doses de N (0, 1, 2, 4, 8 e 16 g
planta
-1
), sendo a uréia utilizada como fonte de N, em condições irrigadas e de sequeiro,
observaram aumento da produção com o aumento das doses de N tanto sob irrigação
quanto em sequeiro.
Paula et al. (1991) estudaram os efeitos de diferentes doses de N (0, 5, 10 e 15 g
planta
-1
) em Latossolo Vermelho em Minas Gerais, verificando-se que houve efeito das
doses de N sobre as variáveis peso do fruto, teores foliares de N, acidez e a relação SS/AT,
não ocorrendo o mesmo para SS. Os autores observaram aumento do peso do fruto, teores
foliares de N e relação SS/AT com aumento das doses de N, ocorrendo o inverso para a
AT. Paula et al. (1998) reportam que há aumento da AT a medida que se diminui o
fornecimento de N, implicando consequentemente na diminuição da relação SS/AT.
Spironello et al. (2004) comprovaram em estudo com diferentes doses de N (0,
175, 350 e 700 kg ha
-1
de uréia), em um Argissolo Vermelho-Amarelo em Agudos-SP,
sobre a produção e a qualidade dos frutos do cultivar Smooth Cayenne, que foi necessário
10
555 kg ha
-1
para maximizar a qualidade dos frutos enquanto que para maximizar a
produção necessitou-se de 498 kg de N ha
-1
. Neste sentido é necessário que haja um ponto
de equilíbrio das doses fornecidas durante o manejo da adubação, com intuito de garantir
qualidade do fruto e produção comercial do abacaxizeiro.
Além da importante influencia do N sobre a produção e qualidade da
infrutescência do abacaxizeiro, ressalta-se também sua importante influencia sobre o
crescimento da folha ‘D’, folha fisiologicamente mais ativa na planta, assim como sua
influencia sobre os teores foliares de outros nutrientes. Asoegwu (1988) estudando veis
de N (0, 100, 150 e 200 kg ha
-1
) na Nigéria, utilizando como fonte de N a uréia no
abacaxizeiro cultivar Smooth Cayenne, observaram que o comprimento da folha ‘D’ e o
peso do fruto foi significativamente influenciado pelas doses de N, havendo aumento das
referidas variáveis com o aumento das doses de N.
Bhugaloo (1998), estudou os efeitos da adubação nitrogenada utilizando como
fonte a uréia, com níveis correspondentes a 0; 140; 280; 420; 560; 700 e 840 kg de N ha
-1
,
e constataram efeito dos tratamentos sobre o comprimento da folha ‘D’, peso da coroa,
comprimento e peso do fruto. O mesmo autor observou também ausência de efeito das
doses de N sobre a largura, peso e teores de N, P e K na mesma folha, verificando-se ainda
que a menor produtividade (68 ton ha
-1
) foi correspondente a ausência de N e a maior
produtividade (85 ton ha
-1
) foi correspondente a 420 kg ha
-1
de N, contudo doses superiores
a 420 kg de N ha
-1
proporcionaram impacto negativo sobre a qualidade do fruto. Spironello
et al. (2004) reportaram que as doses de N que maximizam a qualidade dos frutos
geralmente são maiores do que as que maximizam a produção.
Mustafa (1988), em estudo sobre o efeito de diferentes níveis de N (400, 500, 600
e 700 kg de N ha
-1
) na forma de uréia, sobre a qualidade do fruto e teores de nutrientes na
folha ‘D’ do abacaxizeiro cultivar Kew, observou que houve aumento da produção, peso,
comprimento e diâmetro do fruto, com o aumento das doses de N, porém com ausência de
efeito dos tratamentos sobre as referidas variáveis. A máxima produção (109,16 t) foi
obtida na dose 500 kg de N ha
-1
.
A aplicação de N reduziu o teor de SS e acidez e os
máximos valores para estas variáveis foram obtidos na dose de 400 kg de N ha
-1
. O maior
valor para o teor de ácido ascórbico (15,1 mg) foi verificado na dose 700 kg de N ha
-1
. As
doses de N aumentaram significativamente os teores de N, P, Ca e Mg e reduziram os
teores de K na folha do abacaxizeiro.
Faria (2008), avaliaram quatro doses de N (4, 8, 12 e 16 g de N planta
-1
ciclo
-1
),
utilizando-se a uréia como fonte, sobre o abacaxizeiro cultivar Smooth Cayenne em
11
Campos dos Goytacazes-RJ sob sistema de irrigação. O autor verificou que o aumento nas
doses de adubo nitrogenado influenciou significativamente os teores foliares de N, P e K e
não afetou os teores de Ca e Mg, sendo que para o N o efeito foi linear positivo, e para P e
K o mesmo foi negativo. Quanto ao comprimento do fruto, do pedúnculo e da coroa, houve
efeito linear significativo das doses crescentes de N, o efeito foi crescente para o
comprimento do fruto e decrescente para comprimento do pedúnculo e coroa. Para os
diâmetros do fruto e pedúnculo o efeito não foi significativo. Houve efeito significativo
dos tratamentos sobre a consistência da casca e coloração da polpa, sendo que o aumento
das doses de N reduziu a consistência da casca e elevou a coloração da polpa do abacaxi.
Coelho et al. (2007) avaliaram o estado nutricional e a qualidade do fruto do
abacaxizeiro ‘Jupi’ em resposta a adubação com diferentes doses de NPK, no município de
Alegre-ES, com 00; 31; 62; 93 e 124 g planta
-1
da fórmula 20:05:20. Os autores
observaram que os tratamentos tiveram efeito significativo sobre a massa fresca dos frutos
com e sem coroa, SS e AT dos frutos.
Bezerra et al. (1981), em estudo com diferentes doses de N (0, 5, 10 g de N planta
-
1
) utilizando como fonte de N o sulfato de amônio sobre o cultivar Smooth Cayenne,
verificaram efeito significativo das doses de N sobre a produção e peso médio dos frutos
com e sem coroa, comprimento dos frutos, SS e acidez. O mesmo autor observou ausência
de efeitos das doses de N sobre o diâmetro mediano dos frutos.
Choayre et al. (1990) avaliando diferentes doses de N e K (T1-289,290 kg de N
ha
-1
+ 238,095 kg de K
2
O ha
-1
por via solida; T2-192,860 kg de N ha
-1
+ 158,730 kg de
K
2
O ha
-1
por via liquida em onze pulverizações; T3-192,860 kg de N ha
-1
+ 158,730 kg de
K
2
O ha
-1
por via liquida em seis pulverizações; T4-192,860 kg de N ha
-1
+ 158,730 kg de
K
2
O ha
-1
por via liquida em cinco pulverizações) no município de Sapé-PB sobre o
abacaxizeiro Smooth cayenne’, verificaram que a aplicação de 192,860 kg de N ha
-1
+
158,730 kg de K
2
O ha
-1
via liquido em seis pulverizações com intervalos de 60 dias a partir
de um mês de plantio, proporcionou maior percentual de frutos com peso superior a 1500 g
e consequentemente maior rentabilidade econômica. Os mesmos autores observaram
ausência de efeito dos tratamentos sobre número de frutos ha
-1
, peso médio do fruto e SS,
contudo houve efeito dos tratamentos sobre a acidez dos frutos com o maior valor
observado no tratamento com 289,290 kg de N ha
-1
+ 238,095 kg de K
2
O ha
-1
por via
solida (T1).
12
3.4. Relação K/N sobre o abacaxizeiro
A relação K/N exerce importante influência sobre o desenvolvimento e produção
do abacaxizeiro. Segundo Martin-Prével et al. (1961) a coloração, o aroma, sabor e
firmeza, melhoram à medida que a relação entre os teores foliares de K/N se aproximava
de três, indicando que um eventual aumento no teor foliar de N, sem o correspondente
incremento de K poderia afetar a qualidade da produção.
Estudos realizados neste sentido comprovam e recomendam que na planta, a
relação K/N na folha ‘Ddeve ser igual a três, no momento da indução floral (PAULA et
al., 1998; SPIRONELLO et al., 2004). Paula et al. (1998) afirmam que relações K/N
inferiores provocam desenvolvimento excessivo das folhas, acamamento das plantas e
prejudicam a qualidade dos frutos. A menor relação K/N nas folhas proporcionou aumento
da porcentagem de acidez nos frutos (PAULA et al., 1999). Segundo Owusu-Bennoh et al.
(1997), a relação K/N mais recomendada para o abacaxizeiro é de 2:1, havendo, entretanto,
riscos quanto as generalizações sob pena de se fornecer quantidades inadequadas que
possam comprometer a produção.
Em pesquisa realizada em ecossistema floresta-savana, em Ghana, com o
abacaxizeiro cultivar Smooth Cayenne, verificou-se que a relação N/K
2
O de 1:2,5
utilizando 224 kg ha
-1
de N foi a mais adequada para tais condições e ressaltando que altas
relações reduzem o tamanho e a qualidade do fruto (OWUSU-BENNOAH E
AHENKARAH,1997). Em estudo realizado por Reinhardt (1980) foi observado que a alta
relação K/N (4,5:1) proporcionou redução na acidez do fruto. De acordo com Paula et al.
(1999), a alta relação K/N pode provocar maior pressão interna dos tecidos por maior
absorção de água, e, indiretamente, a queda da acidez, em decorrência da diluição.
Rodrigues (2009) estudou o efeito de diferentes relações K/N (T1- 0,85:1; T2-
1:1; T3- 2:1; T4- 3:1; T5- 0,85:1; T6- 1:1; T7- 2:1; T8- 3:1; T9 (Fontes)- 2:1; T10
(Parcelamento)- 2:1; T11 (Época)- 2:1) sobre o abacaxizeiro ‘Pérola’no Estado da Paraíba,
sendo verificado que
as relações K/N não afetaram a massa da folha ‘D’ e os teores foliares
de N, P, K, Ca e Mg em amostragens feitas aos quatro, oito meses e na época de indução
floral. O mesmo autor verificou ausência de efeito das relações K/N sobre o peso médio, a
produtividade, o percentual de frutos das classes I, II e III, e atributos de qualidade dos
frutos.
Owusu-Bennoah et al. (1997), pesquisando o efeito de diferentes relações K/N
sobre os frutos do cultivar Smooth Cayenne em solos de Savana Africana, verificaram que
13
houve aumento no peso médio dos frutos em função do aumento da relação, apenas na
menor dose de N (224 kg ha
-1
) e concluíram ser a relação 2,5:1 (560 kg de K
2
O ha
-1
e 224
kg de N ha
-1
) a mais adequada para a obtenção de frutos de melhor qualidade com relação
ao peso da infrutescência .
Segundo Oliveira et al. (2002), no Estado da Paraíba, as doses recomendadas para
o sistema de produção local apresentam relações variando desde 1:1 (solos com altos
teores de K) a 1:1,8 (solos com baixos teores de K). Silva (2006), em ensaio com
adubação nitrogenada e potássica no município de Sapé-PB, verificou máxima eficiência
econômica com o cultivar Pérola nas doses de 341 kg de K
2
O ha
-1
e 312 kg de N ha
-1
, o
que permitiu estabelecer uma relação ótima de 1,1:1, resultando em produção estimada de
52,5 t ha
-1
.
Não foi encontrado na literatura nacional e internacional resultados, sobre os
efeitos da relação K/N com o cultivar Gold. Nesse sentido, e de acordo com o referencial
teórico supracitado, há necessidade de estudos locais relacionados a relação K/N com
maior eficiência sobre os aspectos produtivos e qualitativos do cultivar Gold destinado ao
mercado de exportação.
14
4. MATERIAL E MÉTODOS
4.1. Local, solo e clima
O experimento foi conduzido na Fazenda Santa Teresinha, localizada no
município de Mamanguape-PB, pertencente a Empresa Doce Mel. O solo da área
experimental está classificado como Neossolo Quartzarênico Órtico (EMBRAPA, 2006).
Anteriormente à instalação do experimento realizou-se a coleta do solo na profundidade 0-
20 cm para a análise física e química (TABELA 1) no Laboratório de Química e
Fertilidade do Solo do Departamento de Solo e Engenharia Rural do Centro de Ciências
Agrárias da Universidade Federal da Paraíba.
TABELA 1. Atributos sicos e químicos do solo, na profundidade de 0-20 cm, antes da
instalação do experimento, no período de outubro de 2007
Atributo físico Valor Atributo químico Valor
Areia grossa (g/kg) 590 pH em água, 1:2,5 7,94 AE
1/
Areia fina (g/kg) 296 M.O (g/kg)
2/
12,62 B
Silte (g/kg) 79 P (mg/dm
3
)
530,32 MA
Argila Total (g/kg) 27 K
+
(cmol
c
/dm
3
)
0,08 B
Argila natural (g/kg) 0 Na
+
(cmol
c
/dm
3
)
4/
0,05 B
Grau de floculação (g/kg) 1000 Ca
2+
(cmol
c
/dm
3
)
4/
2,60 B
Densidade do solo (g/cm
3
) 1,51 Mg
2+
(cmol
c
/dm
3
)
0,55 M
Densidade de partícula ((g/cm
3
) 2,67 SB (cmol
c
/dm
3
) 3,28 M
Porosidade total (m
3
/m
3
) 0,43 Al
3+
(cmol
c
/dm
3
)
4/
0 MB
Classificação textural Areia H + Al (cmol
c
/dm
3
)
1,07 B
T (cmol
c
/dm
3
) 4,35 M
V (%) 75,4 B
Grau de Floculação = [(ArgilaTotal Argila natural)/Argila Total].1000; MO = Matéria Orgânica; SB = Soma de Bases
= (Ca
2+
+ Mg
2+
+ K
+
+ Na
+
); CTC total (T)= Capacidade de Troca Catiônica total = [SB + (H
+
+ Al
3+
)]; V (%) = Saturação
por bases = (SB/CTC) x 100; AE = Alcalinidade Elevada; B= Baixo; MA = Muito Alto; A = Alto; M= Médio; MB=
Muito Baixo (ALVAREZ, V. et al. 1999).
1/
B = baixo; M = médio; A = alto (Alvarez V., et al., 1999);
2/
Walkley-Black;
3/
Mehlich-1;
4/
KCl;
5/
Acetato de Cálcio 0,5 mol L
-1
a pH 7,0.
O clima da região é classificado, segundo Köppen, como clima As’ quente e
úmido com chuvas de outono-inverno, período de estiagem de cinco a seis meses,
15
temperaturas médias variando entre 22 e 26 ºC e precipitação pluviométrica anual de 1.500
mm (PARAÍBA, 1985).
4.2. Delineamento experimental e tratamentos
Para avaliação da fertilidade do solo, nutrição da planta, crescimento a folha ‘D’ e
desenvolvimento da infrutescência o delineamento experimental utilizado foi em blocos
casualizados, com três repetições e nove tratamentos, em esquema de parcelas subdivididas
no tempo, estando nas parcelas os tratamentos (relações K/N) e nas subparcelas os
períodos de avaliação (5 períodos). Para avaliação da qualidade da infrutescência o
delineamento experimental utilizado foi em blocos casualizados, com três repetições e
nove tratamentos.
Os tratamentos constaram de quatro relações K/N (1,3:1; 2:1; 2,5:1 e 3:1),
estabelecidas a partir de duas doses de N (585,9 e 498,0 kg de N/ha), com uma testemunha
conforme consta na Tabela 2. Os períodos de avaliação corresponderam a intervalos de 15
dias, sendo iniciado aos 270 dias após o plantio até a colheita (510 dias após o plantio).
TABELA 2. Caracterização dos tratamentos aplicados no abacaxizeiro cultivar Gold, no
período de junho a setembro de 2008
Tratamento K (kg/ha) N (kg/ha) Relação K/N
N P K
--------g/planta---------
T1- Testemunha 957,15 638,1 1,5:1 13,6 1,2 20,4
T2 761,67 585,9 1,3:1 12,5 1,2 14,1
T3 1171,80 585,9 2,0:1 12,5 1,2 25,0
T4 1464,75 585,9 2,5:1 12,5 1,2 31,3
T5 1757,70 585,9 3,0:1 12,5 1,2 37,5
T6 647,40 498,0 1,3:1 10,6 1,2 13,78
T7 996,00 498,0 2,0:1 10,6 1,2 21,2
T8 1245,00 498,0 2,5:1 10,6 1,2 26,5
T9 1494,00 498,0 3,0:1 10,6 1,2 31,8
T1 – adubações sólidas com todas as adubações foliares
A unidade experimental constou de seis fileiras de 25 plantas, totalizando 150
plantas por unidade experimental. Foi considerada como área útil as quatro fileiras centrais
totalizando 100 plantas.
16
4.3. Instalação do Experimento
O experimento foi instalado no mês de outubro de 2007. Utilizando-se mudas, do
tipo fihote, do cultivar Gold provenientes da Empresa Mangereba, plantadas em sulcos, no
sistema de fileiras duplas, com espaçamento 0,30 x 0,50 x 0,90 m com 47.619 plantas ha
-1
.
Os tratamentos consistiram da aplicação de fertilizantes via solo e foliar, com as
relações K/N baseadas na literatura e na relação utilizada pela Empresa Doce Mel
(tratamento 1). A decisão de aplicar os fertilizantes via solo e foliar baseou-se na literatura
vigente, e nos resultados obtidos por Rodrigues (2009), com o abacaxizeiro ‘Pérola’, nas
condições edafoclimáticas do Estado da Paraíba, onde obteve maior custo/benefício com a
aplicação das doses, metade via solo e metade via foliar.
A primeira adubação ocorreu no dia 29-01-2008, aos 90 dias após o plantio, com a
fórmula 16-00-24 (18 g pl
-1
); a segunda adubação foi também com a fórmula 16-00-24 (18
g pl
-1
), aos 120 dias após o plantio; a terceira adubação foi no dia 25-03-08, aos 150 dias
após o plantio, com a fórmula 12-04-18 (18 g pl
-1
); a quarta adubação foi foliar realizada
no dia 14-04-08, aos 180 dias após o plantio, utilizando-se 200 L de H
2
O + 5 kg de K
2
SO
4
+ 250 ml de TORPED (fertilizante foliar organomineral com todos os macro e
micronutrientes); e a quinta adubação foi sólida realizada no dia 19-05-08, aos 210 dias
após o plantio com a fórmula 12-04-18 (20 g pl
-1
), enfatizando-se que todos os tratamentos
receberam as adubações supracitadas.
Posteriormente os fertilizantes foram aplicados somente via foliar, consistindo em
7 adubações foliares aplicadas em intervalos de 15 dias, as aplicações foram iniciadas no
dia 04-06-08, aos 240 dias após o plantio, e foram concluídas no dia 03-09-2008. A
adubação realizada dessa forma não é utilizada na prática, contudo a mesma justifica-se
pelo fato de as plantas terem sido adubadas de forma sólida pela Empresa, e a área local
com plantas do cultivar Gold ser a única disponível para o estudo. As fontes de K e N
utilizadas nas adubações foram cloreto de potássio (60% K
2
O) nitrato de potássio (13% de
N e 44% de K
2
O) uréia (45% N), (MALAVOLTA et al., 2002).
Foram aplicados com as 7 adubações foliares também o nitrato de cálcio, sulfato
de magnésio (9% Mg), sulfato de ferro (19% Fe), sulfato de zinco (20% Zn), sulfato de
manganês (26% Mn) e bórax (11% B), sendo as quantidades de fertilizantes diferentes em
cada adubação. As quantidades de fertilizantes totais correspondentes as 7 adubações
foliares e tratamentos estão especificados na Tabela 3.
17
TABELA 3. Doses totais de fertilizantes referentes as sete adubações aplicadas via foliar,
em função dos tratamentos, no período de junho a setembro de 2008
Tratamento Uréia KCl KNO
3
CaNO
3
MgSO
4
FeSO
4
ZnSO
4
MnSO
4
B
.....................................................kg/ha.....................................................
1 270 240 350 85 85 16 8 8 7,5
2 290,2 150 0,00 85 85 16 8 8 7,5
3 154,3 274 470 85 85 16 8 8 7,5
4 131,2 945 550 85 85 16 8 8 7,5
5 88 480 700 85 85 16 8 8 7,5
6 94,1 0,00 0,00 85 85 16 8 8 7,5
7 33,6 399 210 85 85 16 8 8 7,5
8 33,6 820 210 85 85 16 8 8 7,5
9 13,3 1180 280 85 85 16 8 8 7,5
Na adubação sólida o adubo foi aplicado na axila foliar utilizando-se um funil
acoplado a um tubo plástico rígido de, aproximadamente 80 cm. Para aplicação da
adubação foliar utilizou-se o pulverizador costal, aplicando-se 100 mL de calda por planta,
com pulverizações a favor do vento e na copa da planta. Antes da primeira adubação foliar,
realizou-se a análise da água (TABELA 4) utilizada nas adubações foliares verificando-se
dessa forma a qualidade da mesma.
TABELA 4. Caracterização química da água coletada na Empresa Doce Mel, e utilizada
para preparo da calda na adubação foliar no período de junho a setembro de
2008
1/
Fonte: Ayres & Westcot (1999)
No transcorrer dos ensaios foram realizadas as práticas culturais usuais para a
cultura, visando garantir boas condições de limpeza e de sanidade das plantas (OLIVEIRA
et al., 2002). O controle de plantas daninhas foi efetuado em pós-emergência com limpas
manuais com enxada realizadas quinzenalmente. Para o controle da cochonilha
pH
Ca
++
Mg
++
Na
+
K
+
CO
3
2
-
HCO
3
-
Cl
-
SO
4
2
-
C.E. RAS PST
Classificação
----------------------------meq/L
-
1
---------------------------- dS cm
-
1
5,55 0,30 0,20 0,12 0,06 0,00 0,30 0,50 0,20 0,125 0,24 ***
C
1
S
1
1
/
18
(Dysmicoccus brevipes), foram realizados tratamentos fitossanitários, mediante
pulverizações com Parathion metílico a 0,1% aos 3, 7 e 10 meses após o plantio.
Para o controle da fusariose utilizou-se como medidas preventivas: mudas
comprovadamente sadias, provenientes da propagação vegetativa; inspeções periódicas
desde o plantio e erradicação das plantas com sintomas da doença; e pulverizações
semanais a partir da abertura das flores até o fechamento das últimas flores, utilizando-se o
Benomyl com dose correspondente a 150 g 100 L
-1
de água (CUNHA, 2003).
O experimento foi conduzido sob sistema de irrigação utilizando quando
necessário. A indução floral foi feita aos 30 dias após a última adubação foliar, aos 12
meses após o plantio. A indução floral foi feita com aplicação de 50 mL/planta da solução
com 300 mL de ethrel + 4 kg de uréia + 200 g de cal para 200 L de água (SOUZA, 1999).
4.4. Características Avaliadas
Durante o ensaio foram avaliadas as seguintes características:
4.4.1. No solo
Avaliou-se a influência dos tratamentos sobre a fertilidade do solo, através da
análise do solo coletado aos 270, 300, 330, 360 (indução floral) e 510 (na colheita) dias
após o plantio. A coleta do solo foi realizada na profundidade de 0-20 cm, tomando-se em
cada parcela uma amostra composta, proveniente de 10 amostras simples coletadas entre as
plantas da área útil. As amostras foram secas ao ar, destorroadas, passadas em peneira com
malha de 2 mm e analisadas quimicamente quanto aos valores de pH e aos teores de P, K
+
,
Na
+
, Ca
2+
, Mg
2+
e matéria orgânica (EMBRAPA, 1997). O Na
+
foi avaliado devido o local
do experimento está situado no Litoral Paraibano, podendo ter teores elevados de Na
+
.
4.4.2. Na planta
Foram analisadas as características de crescimento das plantas aos 270, 300, 330 e
360 dias após o plantio. Avaliou-se também o estado nutricional aos 270, 300, 330, 360 e
510 dias após o plantio, sendo os 360 dias correspondentes a indução floral e os 510 dias
correspondentes à colheita.
19
Para avaliação das características de crescimento utilizou-se as folhas ‘D’,
correspondentes aos tratamentos aplicados. Destacou-se aleatoriamente 10 folhas ‘D’ por
unidade experimental, as quais foram identificadas e transportadas até o Laboratório de
Fruticultura do Centro de Ciências Agrárias- Campus II Areia, para mensuração do
comprimento, largura basal e mediana, e massa fresca e seca.
Para avaliação dos tratamentos sobre o comprimento (cm), larguras basal e
mediana (cm) das folhas utilizou-se régua graduada. Posteriormente as folhas foram
pesadas em balança semianalítica para obtenção da massa fresca, expressa em gramas (g),
sendo lavadas, cortadas e secas em estufa com circulação forçada de ar a 65
o
C durante 72
horas até peso constante, sendo posteriormente pesadas para obtenção da massa seca (g).
Após a obtenção da massa seca, estas foram trituradas em moinho tipo Wiley e retirada sub
amostras para determinação dos teores dos macronutrientes N, P, K, Ca e Mg (TEDESCO
et al., 1995).
4.4.3. Nos frutos
4.4.3.1. Desenvolvimento dos frutos
No momento da indução floral foram marcadas aleatoriamente 15 plantas por
parcela, e aos 59 dias após indução floral, momento em que a infrutescência começou a
emergir, iniciou-se a mensuração do comprimento do fruto com e sem coroa, diâmetro
médio do fruto e comprimento da coroa, realizados quinzenalmente até o momento da
colheita correspondente aos 5 meses após a indução floral.
O comprimento do fruto e da coroa foi determinado com o uso de régua graduada
em centímetros (cm).
O diâmetro foi obtido utilizando-se o paquímetro (mm).
4.4.3.2. Qualidade dos frutos
A colheita foi efetuada aos 17 meses após o plantio. Os frutos apresentavam-se no
estádio de maturação comercial (verde). Em cada parcela foram colhidos 15
infrutescências, sendo colocados em sacolas plásticas devidamente identificadas,
transportados para o Laboratório de Fruticultura do Centro de Ciências Agrárias, onde
foram pesados em balança semianalitica com capacidade para 2,0 kg. Posteriormente os
20
frutos foram classificados de acordo com o peso individual, sendo classificado de acordo
com a Tabela da CEAGESP (Tabela 5) utilizada para o cultivar Smooth Cayenne.
TABELA 5. Classificação de abacaxi de acordo com o peso
Fonte: CEAGESP (2000)
Determinou-se a produtividade dos tratamentos multiplicando-se o peso total de
15 frutos da área útil pelo stand de plantas/ha (47.619 plantas ha
-1
). Utilizou-se uma
amostra representativa de 15 frutos/parcela para determinar o percentual de infrutescências
correspondente as classes/tratamento.
Logo após a pesagem e classificação dos frutos, determinou-se o efeito dos
tratamentos sobre as características físicas dos mesmos, mediante amostragem de 15 frutos
por parcela onde mensurou-se as seguintes variáveis: massa da infrutescência com coroa,
diâmetros basal, médio e apical da infrutescência, e comprimentos da infrutescência e da
coroa.
A massa da infrutescência com e sem coroa foi obtido pela pesagem individual de
cada fruto, utilizando-se a balança semianalítica. Após a pesagem da infrutescência com
coroa, a mesma foi destacada para obtenção da massa da infrutescência sem coroa e da
massa da coroa, também obtidos através de balança semianalítica com dados expressos em
gramas (g).
Os diâmetros basal, médio e apical foram obtidos utilizando-se o paquímetro,
sendo expressos em milímetro (mm).
Para determinação das características físicas e físico-químicas, foram separados
três frutos por classe, colocados novamente em sacolas plásticas identificadas de acordo
com a classificação e disponibilidade das mesmas, e levados para o Laboratório de
Biologia e Tecnologia Pós-Colheita da UFPB/CCA, Areia PB, onde foram determinadas
as seguintes variáveis: firmeza do fruto integro, firmeza da polpa, massa da polpa, pH,
acidez titulável (AT), sólidos solúveis (SS), relação SS/AT e ácido ascórbico.
- A firmeza (N) do fruto integro e a firmeza da polpa foram determinadas
individualmente em dois pontos distintos da região equatorial no fruto, com penetrômetro
Frutos Classe I Classe II Classe III Classe IV
Peso > 0,9-1,30 kg > 1,30-1,50 kg > 1,50-1,80 kg > 1,81 kg
21
Magness taylor Pressure Tester (DRILL PRESS STAND, CANADÁ), sendo que para
mensuração da firmeza da polpa o fruto foi descascado para obtenção da referida variável.
- Posteriormente os frutos foram despolpados para a obtenção da massa da polpa,
obtida com o uso da balança semianalítica, sendo os dados expressos em gramas (g).
- O pH foi determinado através da pesagem de 10 g da polpa, a qual ficou em
repouso por 30 minutos, e em seguida fez-se a leitura utilizando-se o potenciômetro digital
(HANNA, SINGAPURA), conforme técnica da Association of Official Analytical
Chemists - AOAC (1984).
- A acidez titulável (AT - % ácido cítrico), foi determinada por titulometria com
NaOH 0,1 M (Instituto Adolfo Lutz, 1985).
- Os sólidos solúveis (SS- %) foram determinados através do refratômetro manual
(KRUSS) (AOAC, 1984).
- Ácido Ascórbico (mg 100g
-1
)- determinado, segundo AOAC (1984), utilizando-
se 1g da polpa diluída em 50 mL de ácido oxálico 0,5 % e a titulação com 2,6
diclorofenolindofenol (DFI), até obtenção de coloração rósea claro permanente.
4.5. Análise Estatística
Os dados foram submetidos à análise de variância. Os dados qualitativos foram
avaliados através de teste de médias Scott knot a 5% de probabilidade e os quantitativos
através de análise de regressão adotando-se para significância da regressão até 10 % de
probabilidade. A escolha dos modelos foi baseada na significância dos coeficientes de
regressão, utilizando-se o teste F, no fenômeno biológico e no valor do coeficiente de
determinação. Para todas as análises utilizou-se o Sistema de Análises Estatísticas versão
9.0 (SAEG, 2007).
22
5. RESULTADOS E DISCUSSÃO
5.1. FERTILIDADE DO SOLO
5.1.1. pH
De acordo com os resultados verificou-se ausência de efeito dos tratamentos sobre
o pH do solo, porém com efeito significativo dos períodos de avaliação. Contudo, não
houve ajuste da equação que representasse o efeito para todos os tratamentos. Aos 270,
300, 330, 360 e 510 dias após o plantio, observou-se que os maiores valores de pH
ocorreram respectivamente nos tratamentos 6 (K/N = 1,3:1), 5 (K/N = 3:1), 8 (K/N =
2,5:1), 8 (K/N = 2,5:1) e 3 (K/N = 2:1). Constatou-se tendência a maiores valores de pH
nas maiores relações K/N. Os menores valores de pH foram verificados nos tratamentos
com menores relações K/N, destacando-se o tratamento 1 (957,15 kg de K
2
O/ha e 638,1 kg
de N/ha) aos 300, 330 e 510 dias após o plantio (FIGURA 1).
23
ŷ
T3
= 7,3062 + 0,0015**x
R
2
= 0,73
ŷ
T5
= 7,8149 - 0,0051x + 0,00002**x
2
R
2
= 0,99
ŷ
T1
= ȳ
T1
= 7,38
ŷ
T2
= ȳ
T2
= 7,46
ŷ
T4
= ȳ
T4
= 7,50
7,2
7,3
7,4
7,5
7,6
7,7
7,8
270 300 330 360 390 420 450 480 510
pH
Dias após plantio
T1 T2 T3 T4 T5
ŷ
T6
= ȳ
T6
= 7,58
ŷ
T7
= ȳ
T7
= 7,43
ŷ
T9
= ȳ
T9
= 7,47
ŷ
T8
= ȳ
T8
= 7,51
7,1
7,2
7,3
7,4
7,5
7,6
7,7
7,8
270 300 330 360 390 420 450 480 510
pH
Dias após o plantio
T6 T7 T8 T9
A
B
FIGURA 1. pH do solo (A e B) na profundidade de 0-20 cm em função dos tratamentos e
diferentes períodos de coleta do solo, T1- 957,15 kg de K ha
-1
+ 638,1 kg N
ha
-1
(1,5:1), T2- 671,67 kg de K ha
-1
+ 585,9 kg N ha
-1
(1,3:1), T3- 1171,8 kg
de K ha
-1
+ 585,9 kg N ha
-1
(2:1), T4- 1464,75 kg de K ha
-1
+ 585,9 kg N ha
-1
(2,5:1), T5- 1757,7 kg de K ha
-1
+ 585,9 kg N ha
-1
(3:1), T6- 647,4 kg de K
ha
-1
+ 498,0 kg N ha
-1
(1,3:1), T7- 996,0 kg de K ha
-1
+ 498,0 kg N ha
-1
(2:1), T8- 1245,00 kg de K ha
-1
+ 498,0 kg N ha
-1
(2,5:1), T9- 1494,0 kg de
K ha
-1
+ 498,0 kg N ha
-1
(3:1)
24
Os resultados corroboram com Rodrigues (2009) que avaliou diferentes relações
K/N sobre o pH do solo cultivado com abacaxizeiro ‘Pérola’, e verificou ausência de efeito
dos tratamentos sobre a referida variável, reportando que o possível efeito antagônico entre
o K e os cátions Ca e Mg não afetou o pH . O mesmo autor também observou maiores
valores de pH na relação K/N de 2:1 na maior dose de N (450 kg de N/ha), o que não foi
constatado no presente estudo.
Embora não tenha havido efeitos significativos dos tratamentos e sim dos
períodos de avaliação, observou-se menor valor de pH do solo no tratamento 1 que recebeu
a maior dose de N, devendo-se enfatizar que a maior parte dos fertilizantes foi aplicada via
foliar. Possivelmente, o resultado pode ser atribuído ao uso de uréia como fonte de N, pois
a mesma gera H
+
ao ser nitrificada no solo (THEODORO et al., 2003)
Os valores de pH do solo variaram entre 7,21-7,75 não estando dentro da faixa
adequada para o abacaxizeiro. Souza (1999) afirma que a faixa ideal de pH para o
abacaxizeiro esta em torno de 4,5-5,5, contudo não houve comprometimento do
desenvolvimento do abacaxizeiro. Segundo Malavolta (1979), para a maioria das culturas a
disponibilidade de íons no solo é em geral máxima na faixa de pH 6-7 para os
macronutrientes, havendo grandes limitações para os micronutrientes, entretanto na faixa
de pH de 7,1-8,0 ocorre decréscimo na disponibilidade do N, P, S e B e aumento dos teores
de Mo e Cl e quanto ao K, Ca e Mg a disponibilidade é levemente favorecida.
5.1.2. Teor de Potássio no solo
Verificou-se efeito significativo dos tratamentos, das épocas e da interação época
x tratamento sobre os teores de K no solo. De modo geral constatou-se redução dos teores
de K no solo em função dos períodos de avaliação (FIGURA 2), e consequentemente do
aumento da idade das plantas. Neste sentido torna-se importante ressaltar que apenas parte
do K foi aplicada via solo, sendo a maior parte do mesmo aplicado via foliar. Outros
autores (COUTO, 1991; RODRIGUES, 2005; RODRIGUES, 2009) também constataram
redução dos teores de K no solo com o aumento da idade das plantas e atribuem os
resultados a intensificação do crescimento e maior absorção do nutriente pela planta, e a
perda de adubo por lixiviação. Segundo Oliveira et al. (2001), o K de modo geral, dentre os
cátions macronutrientes, encontra-se em menor e maior concentração respectivamente no
solo e na planta, devido a maior absorção do K pelas plantas quando comparado com
outros cátions.
25
ŷ
T1
= 64,497 - 0,1641**x
R
2
= 0,69
ŷ
T2
= 88,302 - 0,6546x + 0,0015**x
2
R
2
= 0,84
ŷ
T3
= 78,968 - 0,3968x + 0,0006**x
2
R
2
= 0,99
ŷ
T4
= 77,685 - 0,4299x + 0,0009**x
2
R
2
= 0,76
ŷ
T5
= ȳ
T5
= 48,67
0
15
30
45
60
75
90
270 300 330 360 390 420 450 480 510
Teor de K no solo (mg/dm
3
)
Dias após o plantio
T1 T2 T3 T4 T5
ŷ
T6
= 51,197 - 0,1378x
R
2
= 0,80
ŷ
T7
= 64,963 - 0,1912x
R
2
= 0,87
ŷ
T8
= 57,551 - 0,142x
R
2
= 0,84
ŷ
T9
= 64,787 - 0,1454x
R
2
= 0,71
0
15
30
45
60
75
90
270 300 330 360 390 420 450 480 510
Teor de K no solo (mg/dm
3
)
Dias após o plantio
T6 T7 T8 T9
A
B
FIGURA 2. Teores de potássio (A e B) no solo na profundidade de 0-20 cm em função
dos tratamentos e diferentes períodos de coleta do solo. T1- 957,15 kg de K
ha
-1
+ 638,1 kg N ha
-1
(1,5:1), T2- 671,67 kg de K ha
-1
+ 585,9 kg N ha
-1
(1,3:1), T3- 1171,8 kg de K ha
-1
+ 585,9 kg N ha
-1
(2:1), T4- 1464,75 kg de K
ha
-1
+ 585,9 kg N ha
-1
(2,5:1), T5- 1757,7 kg de K ha
-1
+ 585,9 kg N ha
-1
(3:1), T6- 647,4 kg de K ha
-1
+ 498,0 kg N ha
-1
(1,3:1), T7- 996,0 kg de K
ha
-1
+ 498,0 kg N ha
-1
(2:1), T8- 1245,00 kg de K ha
-1
+ 498,0 kg N ha
-1
(2,5:1), T9- 1494,0 kg de K ha
-1
+ 498,0 kg N ha
-1
(3:1)
26
O teor de K no solo recomendado por ocasião do plantio do abacaxizeiro
corresponde a 150 mg/dm
3
, sendo que teores abaixo de 60 mg/dm
3
ocasionam sintomas de
deficiência (MALÉZIEUX & BARTHOLOMEW, 2003). Neste sentido observou-se que o
teor de K por ocasião do plantio (32,72 mg/dm
3
) e indução floral (28-50 mg/dm
3
)do
abacaxizeiro não esta dentro do recomendado pelo autor supracitado, no entanto a
deficiência do elemento no solo foi suprida com as adubações foliares aplicadas, não
havendo comprometimento do desenvolvimento da planta.
5.1.3. Teor de Cálcio no solo
Não houve efeito dos tratamentos sobre o teor de Ca no solo, entretanto constatou-
se efeito dos períodos de avaliação. De acordo com Malézieux & Bartholomew (2003), o
nível crítico de Ca no solo corresponde a 2,5 cmolc/dm
3
, sendo observadas deficiências em
solos com teores inferiores a 0,6 cmolc/dm
3
. Neste sentido verificou-se que os teores de Ca
no solo estão dentro do recomendado pelos autores supracitados (FIGURA 3), o que pode
estar relacionado com a faixa de pH do solo (7,21-7,75) e sua interferência na
disponibilidade positiva do Ca (MALAVOLTA, 1979).
27
ŷ
T1
= ȳ
T1
= 2,95
ŷ
T2
= ȳ
T2
= 3,21
ŷ
T3
= ȳ
T3
= 3,07
ŷ
T4
= ȳ
T4
= 3,01
ŷ
T5
= ȳ
T5
= 2,73
2,0
2,2
2,4
2,6
2,8
3,0
3,2
3,4
3,6
3,8
4,0
270 300 330 360 390 420 450 480 510
Teor de Ca no solo (cmol
c
/dm
3
)
Dias após o plantio
T1
T
2
T
3
T4
T5
ŷ
T6
= ȳ
T6
= 3,11 ŷ
T7
= ȳ
T7
= 3,08
ŷ
T8
= ȳ
T8
= 3,30
ŷ
T9
= ȳ
T9
= 2,94
2,0
2,2
2,4
2,6
2,8
3,0
3,2
3,4
3,6
3,8
4,0
270 300 330 360 390 420 450 480 510
Teor de Ca no solo (cmol
c
/dm
3
)
Dias após o plantio
T6 T7 T8 T9
A
B
FIGURA 3. Teores de calcio (A e B) no solo na profundidade de 0-20 cm em função dos
tratamentos e diferentes períodos de coleta do solo. T1- 957,15 kg de K ha
-1
+
638,1 kg N ha
-1
(1,5:1), T2- 671,67 kg de K ha
-1
+ 585,9 kg N ha
-1
(1,3:1),
T3- 1171,8 kg de K ha
-1
+ 585,9 kg N ha
-1
(2:1), T4- 1464,75 kg de K ha
-1
+
585,9 kg N ha
-1
(2,5:1), T5- 1757,7 kg de K ha
-1
+ 585,9 kg N ha
-1
(3:1), T6-
647,4 kg de K ha
-1
+ 498,0 kg N ha
-1
(1,3:1), T7- 996,0 kg de K ha
-1
+ 498,0
kg N ha
-1
(2:1), T8- 1245,00 kg de K ha
-1
+ 498,0 kg N ha
-1
(2,5:1), T9-
1494,0 kg de K ha
-1
+ 498,0 kg N ha
-1
(3:1)
28
Os resultados estão de acordo com Rodrigues (2009) que também constatou
ausência de efeitos significativos das diferentes relações K/N sobre os teores de Ca no
solo, em períodos correspondentes aos 4 meses após plantio e indução floral do
abacaxizeiro ‘Pérola’.
5.1.4. Teor de Magnésio no solo
Verificou-se ausência de efeitos significativos dos tratamentos sobre os teores de
Mg no solo (FIGURA 4), contudo observou-se efeito significativo das épocas e da
interação época x tratamento, não havendo ajuste de equação que representasse o modelo.
29
ŷ
T1
= ȳ
T1
= 0,52
ŷ
T2
= ȳ
T2
= 0,57
ŷ
T3
= ȳ
T3
= 0,57
ŷ
T4
= ȳ
T4
= 0,53
ŷ
T5
= ȳ
T5
= 0,67
0,3
0,5
0,8
1,0
1,3
1,5
270 300 330 360 390 420 450 480 510
Tero de Mg no solo (cmol
c
/dm
3
)
Dias após o plantio
T1 T2 T3 T4 T5
ŷ
T6
= ȳ
T6
= 0,51 ŷ
T7
= ȳ
T7
= 0,56
ŷ
T8
= ȳ
T8
= 0,44 ŷ
T9
= ȳ
T9
= 0,58
0,2
0,3
0,4
0,5
0,6
0,7
0,8
0,9
1,0
1,1
1,2
270 300 330 360 390 420 450 480 510
Teor de Mg no solo (cmol
c
/dm
3
)
Dias após o plantio
T6 T7 T8 T9
A
B
FIGURA 4. Teores de magnésio (A e B) no solo na profundidade de 0-20 cm em função
dos tratamentos e diferentes períodos de coleta do solo. T1- 957,15 kg de K
ha
-1
+ 638,1 kg N ha
-1
(1,5:1), T2- 671,67 kg de K ha
-1
+ 585,9 kg N ha
-1
(1,3:1), T3- 1171,8 kg de K ha
-1
+ 585,9 kg N ha
-1
(2:1), T4- 1464,75 kg de K
ha
-1
+ 585,9 kg N ha
-1
(2,5:1), T5- 1757,7 kg de K ha
-1
+ 585,9 kg N ha
-1
(3:1), T6- 647,4 kg de K ha
-1
+ 498,0 kg N ha
-1
(1,3:1), T7- 996,0 kg de K
ha
-1
+ 498,0 kg N ha
-1
(2:1), T8- 1245,00 kg de K ha
-1
+ 498,0 kg N ha
-1
(2,5:1), T9- 1494,0 kg de K ha
-1
+ 498,0 kg N ha
-1
(3:1)
30
De acordo com os resultados observou-se maiores teores de K e Ca em relação
aos teores de Mg no solo. O resultado pode ser atribuído a afinidade dos carregadores do
K, Ca e Mg, estabelecendo competição entre os cátions pelos sítios de ligação (FAGERIA,
1973). Teores elevados de K na solução do solo diminuem a absorção do Mg pelas
culturas, não ocorrendo o inverso (MEURER, 2006). Raij (1991) afirma que teores
elevados de Ca em relação ao Mg na solução do solo prejudica a absorção do último, e
vice-versa.
Os resultados estão de acordo com Rodrigues (2009) que também constatou
ausência de efeito das relações K/N sobre o teor de Mg no solo cultivado com abacaxizeiro
‘Pérola’ no município de Santa Rita-PB.
Segundo Malézieux & Bartholomew (2003), teores de Mg abaixo de 0,4
cmolc/dm
3
desencadeiam o surgimento de deficiência, neste sentido observou-se que em
algumas amostragens os teores estavam abaixo de 0,4 cmolc/dm
3
, contudo houve
suprimento de Mg via foliar para a planta, não havendo dessa forma comprometimento do
crescimento e desenvolvimento da mesma.
5.1.5. Teor de Sódio no solo
O teor de Na no solo foi influenciado pelos tratamentos e épocas de avaliação,
verificando-se aumento dos teores de Na no solo em função dos períodos de avaliação.
Observa-se que aos 270 dias após o plantio os teores de Na eram consideravelmente
menores (FIGURA 5), sendo que os teores de K neste mesmo período eram
consideravelmente maiores.
31
ŷ
T1
= - 0,0837 + 0,0038x - 0,00001**x
2
R
2
= 0,89
ŷ
T2
= - 0,0127 + 0,0021x - 0,000006**x
2
R
2
= 0,93
ŷ
T4
= - 0,0978 + 0,0054x - 0,00002**x
2
R
2
= 0,57
ŷ
T3
= ȳ
T3
= 0,12
ŷ
T5
= ȳ
T5
= 0,14
0
0,1
0,2
0,3
0,4
0,5
270 300 330 360 390 420 450 480 510
Teor de Na no solo (cmol
c
/dm
3
)
Dias após o plantio
T1 T2 T3 T4 T5
ŷ
T7
= - 0,0779 + 0,004x - 0,00001**x
2
R
2
= 0,73
ŷ
T8
= - 0,0168 + 0,0024x - 0,000007**x
2
R
2
= 0,73
ŷ
T7
= - 0,0061 + 0,0021x - 0,000005**x
2
R
2
= 0,60
ŷ
T6
= ȳ
T6
= 0,09
0
0,1
0,2
0,3
0,4
0,5
270 300 330 360 390 420 450 480 510
Teor de Na no solo (cmol
c
/dm
3
)
Dias após o plantio
T6 T7 T8 T9
A
B
FIGURA 5. Teores de Na no solo (A e B) na profundidade de 0-20 cm em função dos
tratamentos e diferentes períodos de coleta do solo. T1- 957,15 kg de K ha
-1
+ 638,1 kg N ha
-1
(1,5:1), T2- 671,67 kg de K ha
-1
+ 585,9 kg N ha
-1
(1,3:1),
T3- 1171,8 kg de K ha
-1
+ 585,9 kg N ha
-1
(2:1), T4- 1464,75 kg de K ha
-1
+
585,9 kg N ha
-1
(2,5:1), T5- 1757,7 kg de K ha
-1
+ 585,9 kg N ha
-1
(3:1),
T6- 647,4 kg de K ha
-1
+ 498,0 kg N ha
-1
(1,3:1), T7- 996,0 kg de K ha
-1
+
498,0 kg N ha
-1
(2:1), T8- 1245,00 kg de K ha
-1
+ 498,0 kg N ha
-1
(2,5:1),
T9- 1494,0 kg de K ha
-1
+ 498,0 kg N ha
-1
(3:1)
32
Em estudo realizado por Matias et al. (2009) com a aplicação de nitrogênio e
potássio (T1= 540 g de N + 720 g de K
2
O/planta/ano; T2= 540 g de N + 1680 g de
K
2
O/planta/ano; T3= 1260 g de N + 720 g de K
2
O/planta/ano; T4= 1260 g de N + 1680 g
de K
2
O/planta/ano; T5= 90 g de N + 720 g de K
2
O/planta/ano; T6= 1710 g de N + 1680 g
de K
2
O/planta/ano; T7= 540 g de N + 120 g de K
2
O/planta/ano; T8= 1260 g de N + 2280 g
de K
2
O/planta/ano; T9= 900 g de N + 1200 g de K
2
O/planta/ano; T10= 90 g de N + 120 g
de K
2
O/planta/ano), verificou-se que os níveis de Na diminuíram com o aumento das doses
de potássio. Fernandes et al. (2002), reportam forte antagonismo entre K e Na, à medida
que se aumenta a quantidade de Na no solo, sugerindo que uma competição entre íons
no solo pelos sítios de absorção das plantas.
5.2. CRESCIMENTO VEGETATIVO
5.2.1. Comprimento da folha ‘D’
Houve efeito significativo (p > 0,05) dos tratamentos sobre o comprimento da
folha ‘D’. Os maiores comprimentos da folha D’ aos 270, 300, 330 e 360 dias após o
plantio, ocorreram respectivamente nos tratamentos 8 (59,22 cm), 9 (69,81 cm), 8 (76,38
cm) e 2 (79,32 cm) (FIGURA 6 A e B), sendo os tratamentos 8 (1245,00 kg de K ha
-1
+
498,0 kg N ha
-1
) e 9 (1494,0 kg de K ha
-1
+ 498,0 kg N ha
-1
) com a menor dose de N, e o
tratamento 2 (671,67 kg de K ha
-1
+ 585,9 kg N ha
-1
) com a menor dose de K.
33
ŷ
T1
= 48,08 + 0,193**x
= 0,985
ŷ
T2
= 44,70 + 0,483x - 0,001**x
2
= 0,999
ŷ
T3
= 46,74 + 0,243**x
= 0,993
ŷ
T4
= 41,12 + 0,423x - 0,001**x
2
= 0,999
ŷ
T5
= 42,77 + 0,477x - 0,001*x
2
R² = 0,997
50
55
60
65
70
75
80
85
270 300 330 360
Comprimento da folha D (cm)
Dias após o plantio
T1 T2 T3 T4 T5
ŷ
T6
= 48,41 + 0,222**x
= 0,988
ŷ
T7
= 42,02 + 0,496x - 0,001**x
2
= 0,998
ŷ
T8
= 44,78 + 0,545x - 0,002**x
2
R² = 0,999
ŷ
T9
= 44,91 + 0,516x - 0,002**x
2
R² = 0,958
50
55
60
65
70
75
80
85
270 300 330 360
Comprimento da folha D (cm)
Dias após o plantio
T6 T7 T8 T9
A
B
FIGURA 6. Comprimento da folha ‘D’ (A e B) em função dos dias após o plantio e
tratamentos. T1- 957,15 kg de K ha
-1
+ 638,1 kg N ha
-1
(1,5:1), T2- 671,67
kg de K ha
-1
+ 585,9 kg N ha
-1
(1,3:1), T3- 1171,8 kg de K ha
-1
+ 585,9 kg
N ha
-1
(2:1), T4- 1464,75 kg de K ha
-1
+ 585,9 kg N ha
-1
(2,5:1), T5- 1757,7
kg de K ha
-1
+ 585,9 kg N ha
-1
(3:1), T6- 647,4 kg de K ha
-1
+ 498,0 kg N
ha
-1
(1,3:1), T7- 996,0 kg de K ha
-1
+ 498,0 kg N ha
-1
(2:1), T8- 1245,00
kg de K ha
-1
+ 498,0 kg N ha
-1
(2,5:1), T9- 1494,0 kg de K ha
-1
+ 498,0 kg
N ha
-1
(3:1)
34
Apesar de os maiores comprimentos da folha ‘D’ terem sido observados nos
tratamentos com maiores doses de K e menores doses de N, o resultado obtido não se deve
a influência apenas do K, mas sim da interação dos dois elementos devido as funções
exercidas pelos mesmos no crescimento e desenvolvimento das plantas. O K é considerado
essencial para o desenvolvimento das plantas, devido sua participação direta ou indireta em
processos bioquímicos envolvidos com o metabolismo de carboidratos, como a
fotossíntese e a respiração, sendo que sua carência é refletida numa baixa taxa de
crescimento (COELHO et al. 2007). Aquino et al. (1986) afirmam que o nitrogênio é
considerado o elemento de maior importância para o crescimento vegetativo do
abacaxizeiro.
Os resultados obtidos no presente estudo estão de acordo com Bhugallo (1998)
que avaliou doses de N (0, 140, 280, 420, 560, 700, 840 kg de N ha
-1
) utilizando como
fonte a uréia, e verificou efeito significativo dos tratamentos sobre o comprimento médio
da folha ‘D’ do abacaxizeiro ‘Queen Victoria’, com o maior valor (81 cm) correspondente
aos tratamentos com 140, 280, 420 kg de N ha
-1
. Coelho et al. (2007), também avaliaram a
resposta das mudas do cultivar Smooth Cayenne à adubação foliar com uréia (0; 2,5; 5,0;
7,5 e 10 g L
-1
) e cloreto de potássio (0; 2,5; 5,0; 7,5 e 10 g L
-1
) durante a fase de viveiro, e
verificaram efeito significativo dos tratamentos sobre o comprimento da folha ‘D’.
Asoegwu (1988), em estudo sobre a influência de doses de N (0, 100, 150 e 200 kg de N
ha
-1
) e K (0, 100, 150 e 200 kg de K
2
O ha
-1
) nas fontes de uréia e cloreto de potássio, e
observou efeito significativo dos tratamentos sobre o comprimento da folha ‘D’ do
abacaxizeiro cultivar Smooth Cayenne, com o menor valor, correspondente as doses 0 kg
de N ha
-1
(61,2 cm) e 0 kg de K ha
-1
(61,3 cm), e os maiores valores correspondentes as
doses 150 kg de N ha
-1
(70,3 cm) e 200 kg de K
2
O ha
-1
(71,0 cm).
Cunha et al. (2007) avaliando o desempenho de diferentes genótipos de
abacaxizeiro, no Estado da Bahia, observaram valor correspondente a 85,6 cm de
comprimento da folha ‘D’ para o cultivar Gold. Os comprimentos da folha ‘D’ verificados
no presente estudo são inferiores ao obtido por Cunha et al. (2007), o que possivelmente
pode estar relacionado a diferentes condições edafoclimáticas de realização dos estudos e
tratamentos. Contudo, os resultados constatados em todos os tratamentos antes da indução
estão de acordo com o que preconizam Cunha (1989) e Reinhardt & Cunha (2000) para o
cultivar Smooth Cayenne, que recomendam a realização da indução floral apenas quando a
folha ‘D’ atingir comprimento maior que 70 cm.
35
A importância do comprimento da folha ‘D’ no momento da indução floral do
abacaxizeiro justifica-se devido a possível influência desta variável na produção. Melo et
al. (2007) avaliaram a influência de plantas com folha ‘D’ de diferentes comprimentos (70,
80 e 90 cm), no Triângulo Mineiro para o cultivar Smooth Cayenne, e verificaram efeitos
significativos sobre comprimento dos fruto e peso dos frutos, sendo os maiores valores
dessas variáveis observados nas plantas com maior comprimento da folha ‘D’.
5.2.2. Largura basal da folha ‘D’
Houve efeito significativo (p > 0,05) dos tratamentos sobre a largura basal da
folha ‘D. Na Figura 7 (A) e (B) observa-se que os tratamentos 1, 4 e 9 tiveram ausência de
ajuste de equação com significado biológico que representasse o modelo. Os maiores
valores foram observados nos tratamentos 6, 7 e 8 com relações K/N (1,3:1; 2,5:1; e 3:1)
com menor dose de N (498,0 kg N ha
-1
) .
36
ŷ
T2
= 5,621 + 0,008**x
R² = 0,984
ŷ
T3
= 5,86 + 0,008*x
R² = 0,968
ŷ
T5
= 6,013 + 0,007
o
x
= 0,971
ŷ
T1
= 6,525
ŷ
T4
= 6,297
5,0
5,5
6,0
6,5
7,0
270 300 330 360
Largura da base (cm)
Dias após o plantio
T1 T2 T3 T4 T5
ŷ
T6
= 5,562 + 0,026x - 0,0001**x
2
= 0,995
ŷ
T7
= 5,558 + 0,021x - 0,00008
o
x
2
= 0,999
ŷ
T8
= + 6,025 + 0,009**x
= 0,966
ŷ
T9
= 6,53
5,5
6,0
6,5
7,0
7,5
270 300 330 360
Largura da base (cm)
Dias após o plantio
T6 T7 T8 T9
A
B
FIGURA 7. Largura da base da folha ‘D’ (A e B) em função dos dias após o plantio e
tratamentos. T1- 957,15 kg de K ha
-1
+ 638,1 kg N ha
-1
(1,5:1), T2- 671,67
kg de K ha
-1
+ 585,9 kg N ha
-1
(1,3:1), T3- 1171,8 kg de K ha
-1
+ 585,9 kg
N ha
-1
(2:1), T4- 1464,75 kg de K ha
-1
+ 585,9 kg N ha
-1
(2,5:1), T5- 1757,7
kg de K ha
-1
+ 585,9 kg N ha
-1
(3:1), T6- 647,4 kg de K ha
-1
+ 498,0 kg N
ha
-1
(1,3:1), T7- 996,0 kg de K ha
-1
+ 498,0 kg N ha
-1
(2:1), T8- 1245,00
kg de K ha
-1
+ 498,0 kg N ha
-1
(2,5:1), T9- 1494,0 kg de K ha
-1
+ 498,0 kg
N ha
-1
(3:1)
37
Os maiores valores de largura basal observados nas menores doses de N não estão
de acordo com Lacoeuilhe (1982) e Aquino et al. (1986) que reportam que a produção de
folhas pequenas e estreitas relaciona-se a carência desse elemento. O resultado obtido neste
estudo, possivelmente é justificado pela interação K e N presente nas relações K/N dos
tratamentos aplicados.
5.2.3. Largura mediana da folha ‘D’
Verificou-se efeito significativo (p > 0,05) dos tratamentos sobre a largura
mediana da folha ‘D’. Observa-se na Figura 8 (A) e (B) que a largura mediana da folha ‘D’
aos 270, 300, 330 e 360 dias após o plantio foi maior nos tratamentos 8 (1245,00 kg de K
ha
-1
+ 498,0 kg N ha
-1
), 8 (1245,00 kg de K ha
-1
+ 498,0 kg N ha
-1
), 5 (1757,7 kg de K ha
-1
+ 585,9 kg N ha
-1
) e 9 (1494,0 kg de K ha
-1
+ 498,0 kg N ha
-1
) com maiores doses de K e
menor dose de N.
38
ŷ
T1
= 5,0017 + 0,03**x
R2 = 0,912
ŷ
T2
= 4,1108 + 0,0604x - 0,0002**x
2
R2 = 0,970
ŷ
T3
= 3,817 + 0,071x - 0,0003**x
2
= 0,983
ŷ
T4
= 3,655 + 0,0707x - 0,0003**x
2
= 0,970
ŷ
T5
= 4,396 + 0,0589x - 0,0002**x
2
= 0,956
5
6
7
8
9
270 300 330 360
Largura mediana (cm)
Dias após o plantio
T1 T2 T3 T4 T5
ŷ
T6
= 4,292 + 0,066x - 0,0003**x
2
= 0,993
ŷ
T7
= 4,285 + 0,057x - 0,0002**x
2
= 0,988
ŷ
T8
= 4,640 + 0,059x - 0,0002**x
2
= 0,992
y
T9
= 4,535 + 0,060x - 0,0002**x
2
= 0,9897
5
6
7
8
9
270 300 330 360
Largura mediana (cm)
Dias após o plantio
T6 T7 T8 T9
A
B
FIGURA 8. Largura mediana da folha ‘D’ (A e B) em função dos dias após o plantio e
tratamentos. T1- 957,15 kg de K ha
-1
+ 638,1 kg N ha
-1
(1,5:1), T2- 671,67
kg de K ha
-1
+ 585,9 kg N ha
-1
(1,3:1), T3- 1171,8 kg de K ha
-1
+ 585,9 kg
N ha
-1
(2:1), T4- 1464,75 kg de K ha
-1
+ 585,9 kg N ha
-1
(2,5:1), T5- 1757,7
kg de K ha
-1
+ 585,9 kg N ha
-1
(3:1), T6- 647,4 kg de K ha
-1
+ 498,0 kg N
ha
-1
(1,3:1), T7- 996,0 kg de K ha
-1
+ 498,0 kg N ha
-1
(2:1), T8- 1245,00
kg de K ha
-1
+ 498,0 kg N ha
-1
(2,5:1), T9- 1494,0 kg de K ha
-1
+ 498,0 kg
N ha
-1
(3:1)
39
Os resultados obtidos nesse trabalho discordam de Bhugallo (1998) que avaliou
diferentes doses de N (0, 140, 280, 420, 560, 700, 840 kg/ha de N) utilizando como fonte
uréia, e verificou ausência de efeito significativo dos tratamentos sobre a largura média da
folha ‘D’ do abacaxizeiro ‘Queen Victoria’, com o maior valor (4,1 cm) correspondente
aos tratamentos com 140 kg de N ha
-1
e o menor valor (3,6 cm) observado no tratamento
com 700 kg de N ha
-1
. No presente estudo constatou-se valores superiores aos verificados
pelo referido autor. Possivelmente às diferenças dos resultados podem ser atribuídas a
forma de aplicação dos fertilizantes, tratamentos, influência da relação K/N no crescimento
vegetativo, cultivar estudado e condições edafoclimáticas. Lacoeuilhe (1982), afirma que
no abacaxizeiro as condições climáticas e variedades influenciam a resposta à adubação
nitrogenada.
5.2.4. Massa fresca da folha
‘D’
Verificou-se de acordo com os resultados que houve efeito significativo
(p > 0,05)
dos tratamentos sobre a massa fresca da folha
‘D’
(
FIGURA 9 A e B). O
s maiores valores
verificados aos 270, 300, 330 e 360 dias após o plantio nos tratamentos 4 (1464,75 kg de K
ha
-1
+ 585,9 kg N ha
-1
), 4 (1464,75 kg de K ha
-1
+ 585,9 kg N ha
-1
), 4 (1464,75 kg de K ha
-
1
+ 585,9 kg N ha
-1
) e 6 (647,4 kg de K ha
-1
+ 498,0 kg N ha
-1
).
40
ŷ T1 = 10,09 + 0,266
o
x
= 0,999
ŷ T2 = - 1,226 + 0,688x - 0,002**x
2
= 0,995
ŷ T3 = 8,36 + 0,338**x
= 0,997
ŷ T4 = 1,384 + 0,641x - 0,001**x
2
= 0,998
ŷ T5 = 8,016 + 0,341**x
= 0,991
15
30
45
60
270 300 330 360
Massa fresca da folha (g)
Dias após o plantio
T1 T2 T3 T4 T5
ŷ
T6
= 6,705 + 0,397**x
= 0,990
ŷ
T7
= - 1,4567 + 0,659x - 0,0018**x
2
R2 = 0,99
ŷ
T8
= 2,925 + 0,399**x
R² = 0,999
ŷ
T9
= - 0,782 + 0,650x - 0,001**x
2
= 0,997
15
30
45
60
270 300 330 360
Massa fresca da folha (g)
Dias após o plantio
T6 T7 T8 T9
A
B
FIGURA 9. Massa fresca da folha ‘D’ em função dos dias após a primeira adubação e
tratamentos. T1- 957,15 kg de K ha
-1
+ 638,1 kg N ha
-1
(1,5:1), T2- 671,67 kg
de K ha
-1
+ 585,9 kg N ha
-1
(1,3:1), T3- 1171,8 kg de K ha
-1
+ 585,9 kg N ha
-1
(2:1), T4- 1464,75 kg de K ha
-1
+ 585,9 kg N ha
-1
(2,5:1), T5- 1757,7 kg de
K ha
-1
+ 585,9 kg N ha
-1
(3:1), T6- 647,4 kg de K ha
-1
+ 498,0 kg N ha
-1
(1,3:1), T7- 996,0 kg de K ha
-1
+ 498,0 kg N ha
-1
(2:1), T8- 1245,00 kg de K
ha
-1
+ 498,0 kg N ha
-1
(2,5:1), T9- 1494,0 kg de K ha
-1
+ 498,0 kg N ha
-1
(3:1)
41
Os resultados obtidos neste estudo corroboram com Coelho et al (2007), que
estudaram o efeito da adubação com uréia e cloreto de potássio sobre o crescimento de
mudas do cultivar Smooth Cayenne, e verificaram efeito significativo apenas da uréia para
o peso fresco da folha ‘D’. Sideris & Young (1947) também verificaram efeito
significativo do K sobre a massa fresca da folha D’, com aumento da referida variável em
função do aumento do K.
Rodrigues (2009) verificou ausência de efeitos das doses de N, porém com efeito
significativo das doses de K sobre massa fresca das folhas ‘D’ do cultivar Pérola, tendo a
elevação das doses de K promovido aumentos lineares no peso fresco da folha ‘D’. Para
Couto (1991), as necessidades de K variam com o estágio de desenvolvimento da planta,
sendo o efeito máximo da adubação manifestado no período entre 240 e 300 dias após o
plantio, onde ocorre acentuado aumento no acúmulo de assimilados nas folhas.
Em estudo realizado por Sampaio et al. (1997) que avaliaram a influência das
pulverizações foliares com solução de uréia a 5%, como adubação complementar, sobre a
massa fresca da folha 'D' colhida na fase de indução floral do abacaxizeiro cultivar Smooth
Cayenne, não foi verificado efeito significativo. Bhugallo (1998) também avaliou
diferentes doses de N (0, 140, 280, 420, 560, 700, 840 kg/ha de N) utilizando como fonte a
uréia, e verificou ausência de efeito significativo dos tratamentos sobre o peso médio da
folha ‘D’ do abacaxizeiro ‘Queen Victoria’, com os maiores valores (48 g)
correspondentes aos tratamentos com 140 e 420 kg de N/ha. Os valores de massa fresca da
folha ‘D’, no momento da indução floral, verificados no presente estudo são inferiores
apenas nos tratamentos 1, 2 e 5, aos valores constatados por Bhugallo (1998).
Possivelmente a diferença de resultados pode ser atribuída ao comportamento intrínseco
dos cultivares estudados, assim como a forma de aplicação dos fertilizantes e doses.
Guong et al. (1997) reportam a importância do peso fresco da folha ‘D’ sobre a
produção do abacaxizeiro. Estes autores constataram correlação positiva entre o peso
fresco da folha ‘D’ e o aumento do peso do fruto. Cunha et al. (2007) avaliando
desempenho de genótipos de abacaxizeiro observaram para o abacaxizeiro ‘Gold’ valores
correspondentes a 84,9 g de massa fresca da folha ‘D’. Cunha (1989), Reinhardt & Cunha
(2000) recomendam a indução artificial apenas em plantas do cultivar Smooth Cayenne
cuja folha ‘D’ tenha atingido peso fresco superior a 70 g e comprimento maior que 70 cm.
Reinhardt & Cunha (2000) afirmam que a massa fresca da folha ‘D’ do abacaxizeiro
‘Pérola’, correspondente a 80 g na época da indução floral produzem frutos com peso
maior do que 1,2 kg. Não foi verificado na literatura recomendações quanto ao peso
42
adequado da folha ‘D’ do cultivar Gold no momento da indução floral, contudo os valores
obtidos no momento da indução floral (120 dias) são inferiores aos recomendados para os
cultivares Pérola e Smooth Cayenne.
5.2.5. Massa seca da folha ‘D’
Houve efeito significativo dos tratamentos sobre a massa seca da folha D’, com
exceção dos tratamentos 1 e 8 onde não houve ajuste de equação com significado biológico
que representasse o modelo sendo evidenciado os valores médios da variável
correspondente aos referidos tratamentos (FIGURA 10 A e B). Os maiores valores
correspondentes aos períodos 270, 300, 330, 360 foram observados nos tratamentos 1
(957,15 kg de K ha
-1
+ 638,1 kg N ha
-1
), 4 (1464,75 kg de K ha
-1
+ 585,9 kg N ha
-1
), 4
(1464,75 kg de K ha
-1
+ 585,9 kg N ha
-1
) e 6 (647,4 kg de K ha
-1
+ 498,0 kg N ha
-1
),
respectivamente.
43
ŷ
T2
= - 0,36 + 0,206x - 0,0007**x
2
R² = 0,995
ŷ
T3
= 2,781 + 0,098**x
= 0,998
ŷ
T4
= 0,413 + 0,192x - 0,0005**x
2
= 0,998
ŷ
T5
= 2,683 + 0,099**x
= 0,993
ŷ
T1
= 9,176
4
6
8
10
12
14
16
270 300 330 360
Massa seca da folha D (g)
Dias após o plantio
T1 T2 T3 T4 T5
ŷ
T6
= 2,005 + 0,119
*
x
= 0,990
ŷ
T7
= 2,541 + 0,111
**
x
= 0,987
ŷ
T9
= 2,69 + 0,104
*
x
= 0,993
ŷ
T8
= 10,22
4
6
8
10
12
14
16
270 300 330 360
Massa seca da folha D (g)
Dias após o plantio
T6 T7 T8 T9
A
B
FIGURA 10. Massa seca da folha D’ em função dos dias após a primeira adubação e
tratamentos. T1- 957,15 kg de K ha
-1
+ 638,1 kg N ha
-1
(1,5:1), T2- 671,67
kg de K ha
-1
+ 585,9 kg N ha
-1
(1,3:1), T3- 1171,8 kg de K ha
-1
+ 585,9 kg
N ha
-1
(2:1), T4- 1464,75 kg de K ha
-1
+ 585,9 kg N ha
-1
(2,5:1), T5- 1757,7
kg de K ha
-1
+ 585,9 kg N ha
-1
(3:1), T6- 647,4 kg de K ha
-1
+ 498,0 kg N
ha
-1
(1,3:1), T7- 996,0 kg de K ha
-1
+ 498,0 kg N ha
-1
(2:1), T8- 1245,00
kg de K ha
-1
+ 498,0 kg N ha
-1
(2,5:1), T9- 1494,0 kg de K ha
-1
+ 498,0 kg
N ha
-1
(3:1)
44
Os resultados não estão de acordo com Couto (1991) que avaliou o crescimento
vegetativo de plantas do cultivar Smooth Cayenne em função de doses de cloreto de
potássio aplicadas em cobertura nas folhas, e períodos de avaliação (60, 120, 180, 240 e
360 dias após plantio), tendo constatado nas amostragens realizadas aos 60 e 120 dias após
o plantio, que não houve efeito dos tratamentos sobre a matéria seca das folhas, entretanto
aos 180, 240, 300 e 360 dias após o plantio, os tratamentos foram mais eficientes em
promover o acúmulo de matéria seca. Os resultados do presente estudo são menores do que
os verificados por Couto (1991), o que se atribui ao fato do referido autor ter obtido
maiores teores de matéria seca/planta onde mensurou todas as folhas e não apenas a folha
‘D’.
Em estudo realizado por Selamat & Ramlah (1993), aplicando doses de N (0, 118,
235, 353 kg de N/ha) e K (0, 122,5, 245, 267,5 kg de K
2
O ha
-1
) e determinando o peso seco
da folha ‘D’ do cultivar Gandul aos 3, 6 e 9 meses após plantio, verificou-se efeito
significativo das doses de N aos 6 e 9 meses após plantio, entretanto com ausência de
efeito das doses de K.
Rodrigues (2005) estudou o crescimento vegetativo dos cultivares Pérola e
Smooth Cayenne, e verificou valores referentes a massa seca superiores aos obtidos no
presente estudo. O efeito significativo das relações K/N verificado neste estudo
comprovam a influência dos elementos sobre o crescimento da folha ‘D’ do abacaxizeiro.
5.3. NUTRIÇÃO MINERAL
5.3.1. Teor foliar de N
Houve efeito (p > 0,05) dos períodos de avaliação e da interação períodos x
tratamentos. Observa-se na Figura 11 (A e B) que no tratamento 9 não houve ajuste de
equação com significado biológico que representasse o modelo. Constatou-se maiores
teores foliares de N nos tratamentos 1 (957,15 kg de K ha
-1
+ 638,1 kg N ha
-1
), 1 (957,15
kg de K ha
-1
+ 638,1 kg N ha
-1
), 3 (1171,8 kg de K ha
-1
+ 585,9 kg N ha
-1
) e 8 (1245,00 kg
de K ha
-1
+ 498,0 kg N ha
-1
).
45
ŷ
T1
= 15,3 - 0,0471x + 0,00008*x
2
R
2
= 0,97
ŷ
T2
= 11,547 - 0,0114**x
R
2
= 0,88
ŷ
T3
= 12,234 - 0,0109*x
R
2
= 0,86
ŷ
T4
= 15,332 - 0,0735x + 0,0002**x
2
R
2
= 0,99
ŷ
T5
= 12,754 - 0,0306x + 0,00006**x
2
R
2
= 0,99
0
4
8
12
16
20
270 300 330 360 390 420 450 480 510
Teor de N (g/kg)
Dias após o plantio
T1 T2 T3 T4 T5
ŷ
T8
= 13,390 - 0,0620x + 0,0002**x
2
R
2
= 0,85
ŷ
T9
= ȳ
T9
= 9,89
ŷ
T6
= 14,833 - 0,0635x + 0,0002**x
2
R
2
= 0,99
ŷ
T7
= 13,729 - 0,0600x + 0,0002**x
2
R
2
= 0,96
0
4
8
12
16
20
270 300 330 360 390 420 450 480 510
Teor de N (g/kg)
Dias após o plantio
T6 T7 T8 T9
A
B
FIGURA 11. Teor de N em folhas do abacaxizeiro “Gold” em função dos dias após a
primeira adubação e tratamentos. T1- 957,15 kg de K ha
-1
+ 638,1 kg N ha
-
1
(1,5:1), T2- 671,67 kg de K ha
-1
+ 585,9 kg N ha
-1
(1,3:1), T3- 1171,8 kg
de K ha
-1
+ 585,9 kg N ha
-1
(2:1), T4- 1464,75 kg de K ha
-1
+ 585,9 kg N
ha
-1
(2,5:1), T5- 1757,7 kg de K ha
-1
+ 585,9 kg N ha
-1
(3:1), T6- 647,4
kg de K ha
-1
+ 498,0 kg N ha
-1
(1,3:1), T7- 996,0 kg de K ha
-1
+ 498,0 kg
N ha
-1
(2:1), T8- 1245,00 kg de K ha
-1
+ 498,0 kg N ha
-1
(2,5:1), T9-
1494,0 kg de K ha
-1
+ 498,0 kg N ha
-1
(3:1)
46
A ausência de efeito significativo das relações K/N corrobora com outros autores
(COUTO, 1991; BHUGALLO, 1998; SOUZA et al., 2002; RODRIGUES, 2009) que
também verificaram ausência de efeito das relações K/N, doses de K e ou N sobre os teores
foliares de N em abacaxizeiro. Os maiores teores de N observados aos 270 dias após o
plantio estão de acordo com Rodrigues (2009) que verificou que aos 8 meses após o
plantio os teores de N foram maiores, atribuindo ao maior requerimento do nutriente pela
planta, em virtude da intensificação do seu crescimento. França (1976) observou pico de
absorção de N pela cultivar Pérola aos 8 meses após o plantio e tendência de diminuição
dos teores com o avanço da idade das plantas em função da intensificação do crescimento
vegetativo.
Os resultados discordam de Mustaffa (1988), Owusu-Bennoah et al. (1997),
Maeda (2005), Coelho et al. (2007), Faria (2008), e que observaram efeito significativo das
doses de K e N sobre os teores foliares de N no abacaxizeiro ‘Kew’, ‘Smooth cayenne,
Smooth cayenne, Jupi’, Smooth cayenne e, respectivamente. A discordância dos resultados
possivelmente esta relacionada com as doses de fertilizantes e forma de aplicação.
Cunha et al. (1999) afirmam que o estado nutricional do abacaxizeiro tem sido
tradicionalmente avaliado por meio da determinação dos teores foliares da folha ‘D na
época da indução floral, uma vez que antecede o período de maior demanda nutricional. De
acordo com Malézieux & Bartholomew (2003) os teores de N considerados adequados
correspondem a 15-17 g/kg, neste sentido os teores de N em todos os tratamentos no
momento da indução floral (360 dias após o plantio) estavam abaixo do recomendado pelo
referido autor.
5.3.2. Teor de P
Verificou-se efeito apenas dos períodos de avaliação sobre os teores de P na folha
‘D’. Na Figura 12 (A e B) verifica-se que apenas Os tratamentos não apresentaram ajuste
de equação com significado biológico que representasse o modelo, exceção para os
tratamentos 1 e 4. Os maiores teores foliares de P ocorreram nas maiores relações K/N nos
tratamentos 8 (1245,00 kg de K ha
-1
+ 498,0 kg N ha
-1
), 5 (1757,7 kg de K ha
-1
+ 585,9 kg
N ha
-1
), 5 (1757,7 kg de K ha
-1
+ 585,9 kg N ha
-1
), e 4 (1464,75 kg de K ha
-1
+ 585,9 kg N
ha
-1
).
47
ŷ
T1
= 3,6517 - 0,0054x + 0,00002**x
2
R
2
= 0,74
ŷ
T4
= 3,0543 + 0,0059**x
R
2
= 0,70
ŷ
T2
= ȳ
T2
=3,45
ŷ
T3
= ȳ
T3
=3,44
ŷ
T5
= ȳ
T5
= 3,75
0
1
2
3
4
5
6
270 300 330 360 390 420 450 480 510
Teor de P (g/kg)
Dias após o plantio
T1 T2 T3 T4 T5
ŷ
T6
= ȳ
T6
=3,26
ŷ
T7
= ȳ
T7
=3,46
ŷ
T8
= ȳ
T8
= 3,59
ŷ
T9
= ȳ
T9
=3,44
0
1
2
3
4
5
6
270 300 330 360 390 420 450 480 510
Teor de P (g/kg)
Dias após o plantio
T6 T7 T8 T9
A
B
FIGURA 12. Teor de P em folhas do abacaxizeiro “Gold” em função dos dias após a
primeira adubação e tratamentos. T1- 957,15 kg de K ha
-1
+ 638,1 kg N ha
-
1
(1,5:1), T2- 671,67 kg de K ha
-1
+ 585,9 kg N ha
-1
(1,3:1), T3- 1171,8 kg
de K ha
-1
+ 585,9 kg N ha
-1
(2:1), T4- 1464,75 kg de K ha
-1
+ 585,9 kg N
ha
-1
(2,5:1), T5- 1757,7 kg de K ha
-1
+ 585,9 kg N ha
-1
(3:1), T6- 647,4
kg de K ha
-1
+ 498,0 kg N ha
-1
(1,3:1), T7- 996,0 kg de K ha
-1
+ 498,0 kg
N ha
-1
(2:1), T8- 1245,00 kg de K ha
-1
+ 498,0 kg N ha
-1
(2,5:1), T9-
1494,0 kg de K ha
-1
+ 498,0 kg N ha
-1
(3:1)
48
Os resultados estão de acordo com Rodrigues (2009) que verificou ausência de
efeitos das doses de K sobre os teores de P na folha ‘D’ do cultivar Pérola. Souza et al.
(2002), estudaram diferentes doses de K (0, 4, 8, 12, 16 e 20 g de K
2
O/planta/ciclo) sobre
os teores foliares de P no abacaxizeiro ‘Pérola’, e observaram ausência de efeito dos
tratamentos. Couto (1991) avaliou o crescimento vegetativo de plantas do cultivar Smooth
Cayenne em função de doses de KCl aplicados nas folhas e em cobertura, e períodos de
avaliação (60, 120, 180, 240 e 360 dias após plantio), e constataram que não houve efeito
dos tratamentos sobre o teor de P. Bhugallo (1998), avaliou diferentes doses de N (0, 140,
280, 420, 560, 700, 840 kg ha
-1
) utilizando como fonte a uréia, e verificaram ausência de
efeito significativo dos tratamentos sobre os teores foliares de P na folha ‘D’ do
abacaxizeiro ‘Queen Victoria’, com os maiores valores (0,17 %) correspondentes aos
tratamentos com 140, 280 e 420 kg de N ha
-1
e o menor valor (0,15%) no tratamento com
700 kg de N ha
-1
.
Contudo diversos autores constataram efeito linear positivo (COELHO et al.,
2007; MUSTAFFA, 1988; OWUSU-BENNOAH et al., 1997) das doses de K e ou N, e
linear negativo (FARIA, 2008; SPIRONELLO et al., 2004) das doses N sobre os teores de
P na folha ‘D’ do abacaxizeiro.
Os teores de P verificados no presente estudo são superiores aos encontrados por
Rodrigues (2009) e Teixeira et al. (2002), constatando-se em todas as épocas teores
superiores ao nível crítico de 1,0 g/kg (MALÉZIEUX & BARTHOLOMEW, 2003) e 2,0
g/kg (ANGELES et al., 1990). Os elevados teores foliares de P possivelmente estão
relacionados com os elevados teores do referido elemento no solo.
5.3.3. Teor de K
Houve efeito (p > 0,05) dos tratamentos e dos períodos de avaliação sobre os
teores de K na folha ‘D’. Na Figura 13 (A e B) observa-se que os maiores teores foliares de
K ocorreram nas maiores relações K/N (2,5:1; 3:1; 2:1) nos tratamentos 5 (1757,7 kg de K
ha
-1
+ 585,9 kg N ha
-1
), 5 (1757,7 kg de K ha
-1
+ 585,9 kg N ha
-1
), 4 (1464,75 kg de K ha
-1
+ 585,9 kg N ha
-1
) e 7 (996,0 kg de K ha
-1
+ 498,0 kg N ha
-1
).
49
ŷ
T3
= 45,105 - 0,0429x
R
2
= 0,58
ŷ
T4
= 48,029 - 0,0536x
R
2
= 0,75
ŷ
T5
= 55,554 - 0,2006x + 0,0005*x
2
R
2
= 0,60
ŷ
T1
= ȳ
T1
= 39,421
ŷ
T2
= ȳ
T2
= 33,61
0
10
20
30
40
50
60
270 300 330 360 390 420 450 480 510
Teor de K (g/kg)
Dias após o plantio
T1 T2 T3 T4 T5
ŷ
T9
= 48,380 - 0,0514**x
R2 = 0,85
ŷ
T7
= ȳ
T7
= 39,55
ŷ
T8
= ȳ
T8
= 41,63
ŷ
T6
= 43,263 - 0,0632 **x
R2 = 0,94
0
10
20
30
40
50
60
270 300 330 360 390 420 450 480 510
Teor de K (g/kg)
Dias após o plantio
T6 T7 T8 T9
A
B
FIGURA 13. Teor de K em folhas do abacaxizeiro “Gold” em função dos dias após o
plantio e tratamentos. T1- 957,15 kg de K ha
-1
+ 638,1 kg N ha
-1
(1,5:1), T2-
671,67 kg de K ha
-1
+ 585,9 kg N ha
-1
(1,3:1), T3- 1171,8 kg de K ha
-1
+
585,9 kg N ha
-1
(2:1), T4- 1464,75 kg de K ha
-1
+ 585,9 kg N ha
-1
(2,5:1),
T5- 1757,7 kg de K ha
-1
+ 585,9 kg N ha
-1
(3:1), T6- 647,4 kg de K ha
-1
+
498,0 kg N ha
-1
(1,3:1), T7- 996,0 kg de K ha
-1
+ 498,0 kg N ha
-1
(2:1), T8-
1245,00 kg de K ha
-1
+ 498,0 kg N ha
-1
(2,5:1), T9- 1494,0 kg de K ha
-1
+
498,0 kg N ha
-1
(3:1)
50
Os resultados estão de acordo com Owusu-Bennoah et al. (1997) que avaliaram
diferentes relações K/N (1,5:1, 2:1, 2,5:1) sobre o teor de K na folha ‘D’ e verificaram
efeito significativo, com aumento dos teores em função do aumento das relações.
Rodrigues (2009) também observou efeito das doses de K sobre os teores foliares de K
com aumentos lineares nos teores foliares de K nas amostragens feitas aos 4 meses após
plantio e na época de indução floral do abacaxizeiro cultivar Pérola. Estudos realizados por
outros autores (COELHO et al. 2007; FARIA, 2008; SOUZA et al., 2002; MAEDA, 2005)
avaliando o efeito de doses de K, e ou N comprovam o efeito destes sobre os teores foliares
de K. Os maiores teores foliares de K observado nas relações K/N com maiores doses de K
estão de acordo com outros autores (COUTO, 1991; PAULA et al., 1991; PAULA et al.,
1999; VELOSO et al., 2001) que reportam aumento dos teores foliares de K com o
aumento das doses de K aplicadas no abacaxizeiro.
Entretanto, os resultados não corroboram com Bhugallo (1998) que avaliou
diferentes doses de N (0, 140, 280, 420, 560, 700, 840 kg/ha de N) utilizando como fonte a
uréia, e verificou ausência de efeito significativo dos tratamentos sobre os teores foliares
de K na folha ‘D’ abacaxizeiro ‘Queen Victoria’. Mustaffa (1988) estudou o efeito de
diferentes doses de N (400, 500, 600 e 700 kg de N/ha), na forma de uréia, e verificou
ausência de efeito significativo das doses de N sobre os teores foliares de K na folha ‘D’
do abacaxizeiro ‘Kew’ aos 12 meses após o plantio, com o menor teor (24,6 g de N kg
-1
)
observado na dose 700 kg de N/ha e o maior teor (29,8 g de N kg
-1
) verificado na dose 400
kg de N/ha.
Os teores foliares de K considerados adequados, segundo Malézieux &
Bartholomew (2003) estão dentro da faixa de 22 e 30 g/kg de K. Neste sentido verificou-se
que em todos os tratamentos e períodos de avaliação, os teores superam o máximo teor
considerado adequado, o que pode estar relacionado a maior absorção do elemento pela
planta em função da aplicação via foliar. Bregonci et al. (2008) reportam que a arquitetura
do abacaxizeiro e suas características morfológicas e anatômicas favorecem a absorção de
nutrientes aplicados via foliar.
5.3.4. Teor de Ca
Os períodos de avaliação e interação período x tratamento exerceram efeitos
significativos (p > 0,05) sobre os teores de Ca. O tratamentos 6 não apresentou equação
com significado biológico que representasse o modelo (FIGURA 14 A e B). Constatou-se
51
maiores teores foliares de Ca nos tratamentos 6 (647,4 kg de K ha
-1
+ 498,0 kg N ha
-1
), 1
(957,15 kg de K ha
-1
+ 638,1 kg N ha
-1
), 1 (957,15 kg de K ha
-1
+ 638,1 kg N ha
-1
) e 3
(1171,8 kg de K ha
-1
+ 585,9 kg N ha
-1
) com menores relações K/N, respectivamente aos
270, 330, 360 e 510 dias após o plantio. Os menores valores de Ca correspondentes aos
270, 330, 360 e 510 dias após o plantio, foram observados nos tratamentos 3 (1171,8 kg de
K ha
-1
+ 585,9 kg N ha
-1
), 9 (1494,0 kg de K ha
-1
+ 498,0 kg N ha
-1
), 8 (1245,00 kg de K
ha
-1
+ 498,0 kg N ha
-1
) e 1 (957,15 kg de K ha
-1
+ 638,1 kg N ha
-1
).
52
ŷ
T1
= 0,6497 + 0,0224x - 0,00006**x
2
R
2
= 0,87
ŷ
T2
= 0,3893 + 0,0243x - 0,00006**x
2
R
2
= 0,91
ŷ
T3
= 0,4534 + 0,0166x - 0,00001*x
2
R
2
= 0,98
ŷ
T4
= 1,2427 + 0,0087**x
R
2
= 0,87
ŷ
T5
= 1,6146 + 0,0054**x
R
2
= 0,70
0
1
2
3
4
5
270 300 330 360 390 420 450 480 510
Teor de Ca (g/kg)
Dias após o plantio
T1 T2 T3 T4 T5
ŷ
T8
= 1,5133 + 0,005405**x
R
2
= 0,74
ŷ
T9
= 1,5908 + 0,003755**x
R
2
= 0,93
ŷ
T6
= ȳ
T6
=2,25
ŷ
T7
= 1,3286 - 0,007663**x
R
2
= 0,92
0
1
2
3
4
5
270 300 330 360 390 420 450 480 510
Teor de Ca (g/kg)
Dias após o plantio
T6 T7 T8 T9
A
B
FIGURA 14. Teor de Ca em folhas do abacaxizeiro “Gold” em função dos dias após o
plantio e tratamentos. T1- 957,15 kg de K ha
-1
+ 638,1 kg N ha
-1
(1,5:1), T2-
671,67 kg de K ha
-1
+ 585,9 kg N ha
-1
(1,3:1), T3- 1171,8 kg de K ha
-1
+
585,9 kg N ha
-1
(2:1), T4- 1464,75 kg de K ha
-1
+ 585,9 kg N ha
-1
(2,5:1),
T5- 1757,7 kg de K ha
-1
+ 585,9 kg N ha
-1
(3:1), T6- 647,4 kg de K ha
-1
+
498,0 kg N ha
-1
(1,3:1), T7- 996,0 kg de K ha
-1
+ 498,0 kg N ha
-1
(2:1), T8-
1245,00 kg de K ha
-1
+ 498,0 kg N ha
-1
(2,5:1), T9- 1494,0 kg de K ha
-1
+
498,0 kg N ha
-1
(3:1)
53
A ausência de efeitos das relações K/N sobre os teores foliares de Ca estão de
acordo com Owusu-Bennoah et al. (1997) que avaliaram diferentes relações K/N (1,5:1,
2:1, 2,5:1) sobre o teor de Ca na folha ‘D’ e verificaram ausência de efeito significativo,
com redução dos teores deste elemento em função do aumento destas relações. Rodrigues
(2009) verificaram ausência de efeitos das doses de K sobre os teores de Ca na folha ‘D’
do cultivar Pérola. Faria (2008) estudaram os efeitos de diferentes doses de N (4, 8, 12 e 16
g de N planta
-1
ciclo
-1
), utilizando-se a uréia como fonte, e verificaram que o aumento nas
doses de adubo nitrogenado não afetou os teores de Ca.
Couto (1991) verificou que não houve efeito das doses de K sobre o teor foliar de
Ca no cultivar Smooth Cayenne, porém houve redução gradativa do Ca com o aumento da
idade das plantas, sendo atribuído ao efeito de diluição dos minerais na folha devido o
crescimento.
Diversos autores (PAULA et al., 1991; PAULA et al., 1999; VELOSO et al.,
2001; SOUZA et al., 2002; SPIRONELLO et al., 2004; COELHO et al., 2007) constataram
efeito significativo com redução dos teores foliares de Ca com a elevação das doses de K.
Paula et al. (1999) afirmam que a aplicação de altas doses de K geralmente reduz os teores
de Ca no abacaxizeiro.
Mustaffa (1988) reportam efeito positivo das doses de N (400, 500, 600 e 700 kg
de N/ha), na forma de uréia, sobre os teores foliares de Ca na folha ‘D’ do abacaxizeiro
‘Kew’ aos 12 meses após o plantio, com o menor teor (21,4 g de N kg
-1
) observado na dose
400 kg de N/ha e o maior teor (26,9 g de N kg
-1
) verificado na dose 700 kg de N/ha.
Os teores foliares de Ca verificados em todos os tratamentos e épocas de
avaliação são muito inferiores ao recomendado por Malézieux e Bartholomew (2003) que
consideram adequados teores foliares de Ca na faixa 8-12 g/kg.
5.3.5. Teor de Mg
Somente os períodos de avaliação influenciaram (p > 0,05) os teores de Mg nas
folhas ‘D’. Os tratamentos foram representados por valores médios devido a falta de ajuste
de equação com significado biológico que representasse o modelo, exceção para o
tratamento 4 (FIGURA 15 A e B).
54
ŷ
T4
= 1,1809 + 0,0033**x
R
2
= 0,99
ŷ
T1
= ȳ
T1
=1,45
ŷ
T2
= ȳ
T2
=1,46
ŷ
T3
= ȳ
T3
=1,65
ŷ
T5
= ȳ
T5
=1,72
0
1
2
3
270 300 330 360 390 420 450 480 510
Teor de Mg (g/kg)
Dias após o plantio
T1 T2 T3 T4 T5
ŷ
T6
= ȳ
T6
= 1,68
ŷ
T7
= ȳ
T7
=1,64
ŷ
T8
= ȳ
T8
= 1,58
ŷ
T9
= ȳ
T9
=1,51
0
1
2
3
270 300 330 360 390 420 450 480 510
Teor de Mg (g/kg)
Dias após o plantio
T6 T7 T8 T9
A
B
FIGURA 15. Teor de Mg em folhas ‘D’ do abacaxizeiro “Gold” em função dos dias após
o plantio e tratamentos. T1- 957,15 kg de K ha
-1
+ 638,1 kg N ha
-1
(1,5:1),
T2- 671,67 kg de K ha
-1
+ 585,9 kg N ha
-1
(1,3:1), T3- 1171,8 kg de K ha
-1
+ 585,9 kg N ha
-1
(2:1), T4- 1464,75 kg de K ha
-1
+ 585,9 kg N ha
-1
(2,5:1),
T5- 1757,7 kg de K ha
-1
+ 585,9 kg N ha
-1
(3:1), T6- 647,4 kg de K ha
-1
+
498,0 kg N ha
-1
(1,3:1), T7- 996,0 kg de K ha
-1
+ 498,0 kg N ha
-1
(2:1), T8-
1245,00 kg de K ha
-1
+ 498,0 kg N ha
-1
(2,5:1), T9- 1494,0 kg de K ha
-1
+
498,0 kg N ha
-1
(3:1)
55
Os maiores teores foliares de Mg aos 270, 330, 360 e 510 dias após o plantio,
ocorreram nos tratamentos 6 (647,4 kg de K ha
-1
+ 498,0 kg N ha
-1
), 6 (647,4 kg de K ha
-1
+ 498,0 kg N ha
-1
), 5 (1757,7 kg de K ha
-1
+ 585,9 kg N ha
-1
) e 4 (1464,75 kg de K ha
-1
+
585,9 kg N ha
-1
), e os menores valores ocorreram nos tratamentos 2 (671,67 kg de K ha
-1
+
585,9 kg N ha
-1
), 3 (1171,8 kg de K ha
-1
+ 585,9 kg N ha
-1
), 1 (957,15 kg de K ha
-1
+ 638,1
kg N ha
-1
) e 1 1 (957,15 kg de K ha
-1
+ 638,1 kg N ha
-1
). Observou-se tendência ao
aumento dos teores foliares de Mg, aos 510 dias após o plantio, o que pode ser justificado
pela redução dos teores foliares de K em função dos períodos de avaliação.
Os resultados obtidos no presente estudo estão de acordo com Couto (1991) e
Rodrigues (2009), que também verificaram ausência de efeitos do K sobre os teores
foliares de Mg em plantas dos cultivares Smooth Cayenne e Pérola, respectivamente.
Owusu-Bennoah et al. (1997) avaliaram diferentes relações K/N (1,5:1, 2:1, 2,5:1) sobre o
teor de Mg na folha ‘D’ e também verificaram ausência de efeito significativo.
Em estudos realizados por Paula et al. (1991), Paula et al. (1999), Coelho et al.
(2007), Souza et al. (2002) constatou-se efeito linear negativo das doses de K e, ou, N
sobre os teores foliares de Mg no abacaxizeiro. Coelho et al. (2007) afirmam que os
resultados, possivelmente, estão associados ao efeito de diluição dos elementos minerais
nas folhas ocasionado pelo incremento no crescimento das plantas e/ou à presença do K na
adubação, ocasionando possíveis competições entre o K e o Mg no processo de absorção
pelas raízes. Doses elevadas de K, geralmente diminuem os teores de Ca e Mg, contudo no
abacaxizeiro o efeito negativo do K é maior para o Mg (PAULA et al., 1999).
Com relação aos efeitos do N sobre os teores foliares de Mg Faria (2008),
verificou que o aumento nas doses de N (4, 8, 12 e 16 g de N planta
-1
) não afetou os teores
de Mg no abacaxizeiro cultivar Smooth Cayenne. Outros autores (SPIRONELLO et al.,
2004; VELOSO et al., 2001) também constataram ausência do efeito de N sobre o teor
foliar de Mg no abacaxizeiro ‘Pérola’. Contudo, Mustaffa (1988) verificou efeito
significativo das doses de N (400, 500, 600 e 700 kg de N/ha) sobre os teores foliares de
Mg na folha ‘D’ do abacaxizeiro ‘Kew’ aos 12 meses após o plantio, com o menor teor
(6,0 g de N kg
-1
) observado na dose 400 kg de N ha
-1
e o maior teor (10,4 g de N kg
-1
)
verificado na dose 700 kg de N ha
-1
.
Apesar de ter havido aumento dos teores foliares de Mg em função dos períodos
de avaliação, verificou-se em todos os tratamentos e períodos de avaliação que os teores
são inferiores aos teores considerados adequados (3 g/kg) por Malézieux e Bartholomew
(2003), o que pode ser atribuído a efeitos de diluição em função do crescimento vegetativo.
56
5.3.6. Relação K/N
Houve influência (p > 0,05) dos períodos de avaliação sobre a mesma. Na Figura
16 (A e B) verifica-se que com exceção dos tratamentos 1, 2, 4 e 9 os demais tratamentos
foram representados por valores médios devido a ausência de ajuste de equação com
significado biológico que representasse o modelo. Verificou-se maiores teores foliares de
K/N nas relações com maiores doses de K nos tratamentos 3 (1171,8 kg de K ha
-1
+ 585,9
kg N ha
-1
), 4 (1464,75 kg de K ha
-1
+ 585,9 kg N ha
-1
), 5 (1757,7 kg de K ha
-1
+ 585,9 kg
N ha
-1
), 8 (1245,00 kg de K ha
-1
+ 498,0 kg N ha
-1
) e 9 (1245,00 kg de K ha
-1
+ 498,0 kg
N ha
-1
).
57
ŷ
T1
= 3,0649 + 0,0045*x
R
2
= 0,86
ŷ
T2
= 2,8628 + 0,0044*x
R
2
= 0,89
ŷ
T4
= 2,4579 + 0,0311x - 0,0001**x
2
R
2
= 0,96
ŷ
T3
= ȳ
T3
= 3,69
ŷ
T5
= ȳ
T5
= 3,95
0
1
2
3
4
5
6
270 300 330 360 390 420 450 480 510
Relação K/N
Dias após o plantio
T1 T2 T3 T4 T5
ŷ
T8
= 3,2275 + 0,0231x - 0,00008*x
2
R
2
= 0,88
ŷ
T6
= ȳ
T6
= 3,50 ŷ
T7
= ȳ
T7
= 3,73
ŷ
T9
= ȳ
T9
= 4,26
0
1
2
3
4
5
6
270 300 330 360 390 420 450 480 510
Relação K/N
Dias após o plantio
T6 T7 T8 T9
A
B
FIGURA 16. Relação K/N em folhas do abacaxizeiro “Gold” em função dos dias após
plantio e tratamentos. T1- 957,15 kg de K ha
-1
+ 638,1 kg N ha
-1
(1,5:1), T2-
671,67 kg de K ha
-1
+ 585,9 kg N ha
-1
(1,3:1), T3- 1171,8 kg de K ha
-1
+
585,9 kg N ha
-1
(2:1), T4- 1464,75 kg de K ha
-1
+ 585,9 kg N ha
-1
(2,5:1),
T5- 1757,7 kg de K ha
-1
+ 585,9 kg N ha
-1
(3:1), T6- 647,4 kg de K ha
-1
+
498,0 kg N ha
-1
(1,3:1), T7- 996,0 kg de K ha
-1
+ 498,0 kg N ha
-1
(2:1), T8-
1245,00 kg de K ha
-1
+ 498,0 kg N ha
-1
(2,5:1), T9- 1494,0 kg de K ha
-1
+
498,0 kg N ha
-1
(3:1)
58
Estudo realizado por Owusu-Bennoah et al. (1997) não corrobora com os
resultados obtidos do presente estudo. Os referidos autores avaliaram diferentes relações
K/N (1,5:1, 2:1, 2,5:1) sobre a relação K/N na folha ‘D’ e verificaram efeito significativo,
com redução da relação K/N na folha em função do aumento das relações K/N da
adubação. Rodrigues (2009), também observou que o aumento nas doses de K
influenciaram os valores da relação K/N nas amostragens realizadas aos 4 meses após o
plantio e na época de indução floral.
Os teores foliares de K/N verificados em todos os tratamentos no momento da
indução floral são superiores ao mínimo recomendado (3,0) por Paula et al. (1998).
Contudo, estudos realizados por Spironello et al. (2004) e Rodrigues (2009) reportam
teores foliares de K/N inferiores a 3,0 no momento da indução floral, sem contudo haver
comprometimento da qualidade dos frutos dos cultivares Smooth Cayenne e Pérola,
respectivamente.
5.3.7. Relação K/Ca
Os tratamentos, os períodos de avaliação e a interação período x tratamento
influenciaram (p > 0,05) a relação K/Ca (FIGURA 17 A e B). Constatou-se que o aumento
das doses de K nas relações K/N nos tratamentos 3 (1171,8 kg de K ha
-1
+ 585,9 kg N ha
-
1
), 9 (1494,0 kg de K ha
-1
+ 498,0 kg N ha
-1
) e 8 (1245,00 kg de K ha
-1
+ 498,0 kg N ha
-1
)
proporcionaram aumento dos teores foliares de K/Ca. Os menores valores foram
observados nos tratamentos 6 (647,4 kg de K ha
-1
+ 498,0 kg N ha
-1
) e 2 (671,67 kg de K
ha
-1
+ 585,9 kg N ha
-1
).
59
ŷ
T1
= 43,107 - 0,3342x + 0,0008**x
2
R
2
= 0,96
ŷ
T2
= 48,023 - 0,445x + 0,0012**x
2
R
2
= 0,95
ŷ
T3
= 58,929 - 0,4706x + 0,001**x
2
R
2
= 0,93
ŷ
T4
= 28,924 - 0,068**x
R
2
= 0,84
ŷ
T5
= 26,784 - 0,0595**x
R
2
= 0,97
0
10
20
30
40
50
270 300 330 360 390 420 450 480 510
Relação K/ Ca
Dias após o plantio
T1 T2 T3 T4 T5
ŷ
T8
= 26,957 - 0,0514**x
R
2
= 0,72
ŷ
T9
= 28,394 - 0,0551**x
R
2
= 0,94
ŷ
T6
= 20,991 -0,03885**x
R
2
= 0,75
ŷ
T7
= 25,498 - 0,0524**x
R
2
= 0,96
0
10
20
30
40
50
270 300 330 360 390 420 450 480 510
Relação K/Ca
Dias após o plantio
T
6
T
7
T
8
T
9
A
B
FIGURA 17.
Relação K/Ca em folhas do abacaxizeiro “Gold”em função dos dias após
plantio e tratamentos. T1- 957,15 kg de K ha
-1
+ 638,1 kg N ha
-1
(1,5:1), T2-
671,67 kg de K ha
-1
+ 585,9 kg N ha
-1
(1,3:1), T3- 1171,8 kg de K ha
-1
+
585,9 kg N ha
-1
(2:1), T4- 1464,75 kg de K ha
-1
+ 585,9 kg N ha
-1
(2,5:1),
T5- 1757,7 kg de K ha
-1
+ 585,9 kg N ha
-1
(3:1), T6- 647,4 kg de K ha
-1
+
498,0 kg N ha
-1
(1,3:1), T7- 996,0 kg de K ha
-1
+ 498,0 kg N ha
-1
(2:1), T8-
1245,00 kg de K ha
-1
+ 498,0 kg N ha
-1
(2,5:1), T9- 1494,0 kg de K ha
-1
+
498,0 kg N ha
-1
(3:1)
60
Os resultados corroboram com Paula et al. (1991) e Spironello et al. (2004) que
verificam elevações nos valores da relação K/Ca, para o cultivar Pérola e
Smooth Cayenne
respectivamente, com o aumento das doses de K. Possivelmente, tal resultado relaciona-se
com o excesso do K que diminuiu a absorção do Ca pelo abacaxizeiro (PAULA et al.,
1985), evidenciando antagonismo entre os referidos elementos.
Os resultados não estão de acordo com Couto (1991) e Rodrigues (2009) que
constataram ausência de efeito do K, K e N respectivamente sobre a relação K/Ca em todas
as amostragens. A diferença quanto aos resultados pode estar relacionados as doses dos
nutrientes aplicados, relações K/N, formas e períodos de aplicação e cultivares estudados.
Rodrigues (2009) reporta que escassez de informação sobre valores da relação
foliar K/Ca na literatura, e considera a relação K/Ca de 3:1 adequada. Nesse sentido, os
valores obtidos no presente estudo são superiores a referida relação considerada como
adequada.
5.3.8. Relação K/Mg
Houve influencia (p > 0,05) dos tratamentos e dos períodos de avaliação sobre a
relação K/Mg. Na Figura 18 (A e B) verifica-se que as curvas da relação K/Mg foram
descendentes , entretanto os tratamentos 1, 2 e 7 estão representados por médias devido a
falta de ajuste de equação com significado biológico que representasse o modelo. Os
maiores teores foliares da relação K/Mg ocorreram nos tratamentos com relações K/N
correspondentes a 2,5:1 (T4), 3:1 (T9), 2,5:1 (T4) e 1,5:1 (T1), e os menores valores foram
observados nos tratamentos com relação K/N igual a 1,3:1 (T6), 1,3:1 (T6), 3:1 (T5) e
2,5:1 (T4).
61
ŷ
T1
= ȳ
T1
= 28,00
ŷ
T2
= 27,487 - 0,0318*x
R
2
= 0,65
ŷ
T3
= 30,535 - 0,046**x
R
2
= 0,81
ŷ
T4
= 37,741 - 0,0783**x
R
2
= 0,99
ŷ
T5
= 35,938 - 0,1629x + 0,0004*x
2
R
2
= 0,7131
0
10
20
30
40
50
270 300 330 360 390 420 450 480 510
Relação K/Mg
Dias após o plantio
T1 T2 T3 T4 T5
ŷ
T8
= 31,7602 - 0,0390*x
R
2
= 0,95
ŷ
T9
= 35,194 - 0,0542**x
R
2
= 0,90
ŷ
T6
= ȳ
T6
= 21,16
ŷ
T7
= ȳ
T7
= 24,64
0
10
20
30
40
50
270 300 330 360 390 420 450 480 510
Relação K/Mg
Dias após o plantio
T6 T7 T8 T9
A
B
FIGURA 18.
Relação K/Mg em folhas do abacaxizeiro “Gold” em função dos dias após
plantio e tratamentos. T1- 957,15 kg de K ha
-1
+ 638,1 kg N ha
-1
(1,5:1), T2-
671,67 kg de K ha
-1
+ 585,9 kg N ha
-1
(1,3:1), T3- 1171,8 kg de K ha
-1
+
585,9 kg N ha
-1
(2:1), T4- 1464,75 kg de K ha
-1
+ 585,9 kg N ha
-1
(2,5:1),
T5- 1757,7 kg de K ha
-1
+ 585,9 kg N ha
-1
(3:1), T6- 647,4 kg de K ha
-1
+
498,0 kg N ha
-1
(1,3:1), T7- 996,0 kg de K ha
-1
+ 498,0 kg N ha
-1
(2:1), T8-
1245,00 kg de K ha
-1
+ 498,0 kg N ha
-1
(2,5:1), T9- 1494,0 kg de K ha
-1
+
498,0 kg N ha
-1
(3:1)
De acordo com os resultados constatou-se redução dos teores foliares de K/Mg em
função dos períodos de avaliação e consequentemente do aumento da idade das plantas.
62
A redução da relação K/Mg é justificada pela redução dos teores de K na folha e
aumento dos teores de Mg ao longo dos períodos de avaliação. Os resultados estão de
acordo com Rodrigues (2009) que também verificou efeito das doses de K e N sobre os
teores foliares de K/Mg, contudo o mesmo autor verificou aumento dos teores foliares de
K/Mg com o aumento das doses de K.
Estudos realizados por outros autores (COUTO, 1991; PAULA et al., 1991;
PAULA et al., 1999; VELOSO et al., 2001) discordam dos resultados verificados neste
estudo, pois os mesmos reportam elevação dos teores foliares de K/Mg com a elevação das
doses de K. A discordância dos resultados possivelmente esta relacionada ao
direcionamento do K para outras partes da planta, entre as quais a infrutescência do
abacaxizeiro, assim como as doses e relações K/N utilizadas, formas de aplicação e
culttivar estudado.
Paula et al. (1998), consideram a relação K/Mg igual a 5:1 na época de indução
floral como sendo adequada. Neste sentido e de acordo com os resultados obtidos neste
estudo, afirma-se que os valores correspondentes aos teores foliares de K/Mg no momento
da indução floral, aos 360 dias após o plantio, são superiores ao valor considerado
adequado por Paula et al. (1998).
5.4. DESENVOLVIMENTO DA INFRUTESCÊNCIA
5.4.1. Comprimento da infrutescência sem coroa
Foram observados efeitos significativos (p > 0,05) dos períodos de avaliação, e da
interação períodos de avaliação x tratamentos (K/N). Na Figura 19 (A e B) verifica-se
maiores valores nos tratamentos 4 (1464,75 kg de K ha
-1
+ 585,9 kg N ha
-1
) 5 (1757,7 kg
de K ha
-1
+ 585,9 kg N ha
-1
), 8 (1245,00 kg de K ha
-1
+ 498,0 kg N ha
-1
) e 9 (1494,0 kg de
K ha
-1
+ 498,0 kg N ha
-1
) com maiores relações K/N, 2,5:1 (T4 e T8) e 3:1 (T5 e T9), e os
menores valores foram verificados no tratamento 1 (957,15 kg de K ha
-1
+ 638,1 kg N ha
-1
)
com relação K/N 1,5:1.
63
ŷ
T1
= - 1,345 + 0,0915**x
R
2
= 0,88
ŷ
T2
= - 14,941 + 0,387x - 0,0014**x
2
R
2
= 0,9
8
ŷ
T3
= - 12,945 + 0,3633 x - 0,0013**x
2
R
2
= 0,98
ŷ
T4
= - 13,973 + 0,3899 x - 0,0014**x
2
R
2
= 0,97
ŷ
T5
= - 11,703 + 0,3376 x - 0,0011**x
2
R
2
= 0,99
3
4
5
6
7
8
9
10
11
12
13
14
15
59 69 79 89 99 109 119 129 139 149
Comprimento da infrutescência sem
coroa (cm)
Dias após indução floral
T1 T2 T3 T4 T5
ŷ
T6
= - 13,572 + 0,3647x - 0,0013**x
2
R
2
= 0,95
ŷ
T7
= - 14,551 + 0,3984x - 0,0015**x
2
R
2
= 0,95
ŷ
T8
= - 9,3281 + 0,2704x - 0,0008**x
2
R
2
= 0,97
ŷ
T9
= - 13,782 + 0,371x - 0,0013**x
2
R
2
= 0,96
3
4
5
6
7
8
9
10
11
12
13
14
15
59 69 79 89 99 109 119 129 139 149
Comprimento da infrutescência sem
coroa (cm)
Dias após indução floral
T6 T7 T8 T9
A
B
FIGURA 19.
Comprimento da infrutescência sem coroa do abacaxizeiro “Gold” em
função dos dias após indução floral e tratamentos. T1- 957,15 kg de K ha
-1
+
638,1 kg N ha
-1
(1,5:1), T2- 671,67 kg de K ha
-1
+ 585,9 kg N ha
-1
(1,3:1),
T3- 1171,8 kg de K ha
-1
+ 585,9 kg N ha
-1
(2:1), T4- 1464,75 kg de K ha
-1
+
585,9 kg N ha
-1
(2,5:1), T5- 1757,7 kg de K ha
-1
+ 585,9 kg N ha
-1
(3:1),
T6- 647,4 kg de K ha
-1
+ 498,0 kg N ha
-1
(1,3:1), T7- 996,0 kg de K ha
-1
+
64
498,0 kg N ha
-1
(2:1), T8- 1245,00 kg de K ha
-1
+ 498,0 kg N ha
-1
(2,5:1),
T9- 1494,0 kg de K ha
-1
+ 498,0 kg N ha
-1
(3:1)
Os resultados não corroboram com Maeda (2005) que em experimento com
adubação na base da folha verificou efeito significativo das doses de N (0, 70, 140 e 210
kg ha
-1
), porém com ausência de efeito das doses de K (0, 70, 140 e 210 kg de K
2
O ha
-1
)
sobre o comprimento do fruto sem coroa do abacaxizeiro cultivar
Smooth cayenne
aos 148
dias após indução floral. O mesmo autor observou que o maior valor (19,39 cm) ocorreu na
maior dose de N e o menor valor (13,92 cm) na menor dose de N.
No presente estudo os maiores comprimentos do fruto sem coroa ocorreram nas
menores doses de N (585,9 kg N ha
-1
e 498,0 kg N ha
-1
) e os menores valores foram
verificados no tratamento 1 com a maior dose de N (638,1 kg N ha
-1
). De acordo com Taiz
& Zeiger (2009) o N constitui os aminoácidos e ácidos nucléicos, estando suas funções
relacionadas ao crescimento vegetal, entretanto neste estudo não foi constatada relação
positiva do aumento das doses de N com o crescimento do fruto, o que pode estar
relacionado com possíveis perdas de N.
5.4.2. Comprimento da coroa
Houve efeito significativo (p > 0,05) dos dias após indução floral, e interação dias
após indução floral x tratamentos. Na Figura 20 (A e B) verifica-se que o maior
comprimento da coroa (18,19 cm) aos 149 dias após indução floral ocorreu no tratamento 6
(647,4 kg de K ha
-1
+ 498,0 kg N ha
-1
), seguido do tratamento 1 (957,15 kg de K ha
-1
+
638,1 kg N ha
-1
) com 17,99 cm, e o menor comprimento (15,61 cm) foi constatado no
tratamento 8 (1245,0 kg de K ha
-1
+ 498,0 kg N ha
-1
), seguido do tratamento 5 (1757,7 kg
de K ha
-1
+ 585,9 kg N ha
-1
) com 15,62 cm.
65
ŷ
T1
=1,5081 - 0,0754x + 0,0012**x
2
R
2
= 0,97
ŷ
T2
= - 9,0155 + 0,1655**x
R
2
= 0,96
ŷ
T3
= - 10,251 + 0,182**x
R
2
= 0,99
ŷ
T4
= - 9,1333 + 0,1671**x
R
2
= 0,99
ŷ
T5
= - 8,5077 + 0,1618**x
R
2
= 0,99
0
2
4
6
8
10
12
14
16
18
20
59 69 79 89 99 109 119 129 139 149
Comprimento da coroa (cm)
Dias após indução floral
T1 T2 T3 T4 T5
ŷ
T6
= - 10,575 + 0,1878**x
R2 = 0,99
ŷ
T7
= - 9,2762 + 0,1706**x
R2 = 0,99
ŷ
T8
= - 9,4811 + 0,1736**x
R2 = 0,99
ŷ
T9
= - 9,9687 + 0,1805**x
R2 = 0,99
0
2
4
6
8
10
12
14
16
18
20
59 69 79 89 99 109 119 129 139 149
Comprimento da coroa (cm)
Dias após indução floral
T6 T7 T8 T9
A
B
FIGURA 20
. Comprimento da coroa de frutos do abacaxizeiro “Gold” em função dos
tratamentos. T1- 957,15 kg de K ha
-1
+ 638,1 kg N ha
-1
(1,5:1), T2- 671,67
kg de K ha
-1
+ 585,9 kg N ha
-1
(1,3:1), T3- 1171,8 kg de K ha
-1
+ 585,9 kg
N ha
-1
(2:1), T4- 1464,75 kg de K ha
-1
+ 585,9 kg N ha
-1
(2,5:1), T5-
1757,7 kg de K ha
-1
+ 585,9 kg N ha
-1
(3:1), T6- 647,4 kg de K ha
-1
+
498,0 kg N ha
-1
(1,3:1), T7- 996,0 kg de K ha
-1
+ 498,0 kg N ha
-1
(2:1),
T8- 1245,00 kg de K ha
-1
+ 498,0 kg N ha
-1
(2,5:1), T9- 1494,0 kg de K
ha
-1
+ 498,0 kg N ha
-1
(3:1)
66
Os resultados obtidos no presente estudo corroboram com Bhugallo (1998) que
estudou o efeito de diferentes doses de N (0, 140, 280, 420, 560, 700, 840 kg de N ha
-1
)
utilizando como fonte a uréia, e constatou ausência de efeito significativo dos tratamentos
sobre o comprimento da coroa do abacaxi ‘Queen Victoria’, com o maior valor (18,7 cm)
correspondente aos tratamentos com 840 kg de N ha
-1
e o menor valor (16 cm) no
tratamento com 0 kg de N ha
-1
.
Segundo Giacomelli (1981), o tamanho da coroa é importante para os frutos
destinados a exportação, devido à exigência de padronização de embalagem, sendo o
comprimento da coroa limitado entre 5-13 cm. Neste sentido, os comprimentos da coroa
dos frutos de todos os tratamentos foram superiores ao limite máximo exigido para
exportação, o que pode ser atribuído as relações K/N aplicadas via adubação foliar, e teores
de K/N maior que 3,0 nas folhas ‘D’ de todos os tratamentos no momento da indução floral
(360 dias após o plantio). Spironello et al. (2004) recomendam que na planta, a relação
K/N na folha ‘D’ deve ser igual a três, no momento da indução floral.
5.4.3. Diâmetro do fruto
O diâmetro dos frutos foi influenciado pelos dias após indução floral, e interação
dias após indução floral x tratamentos. O maior diâmetro (11,05 cm) do fruto foi observado
no tratamento 8 (1245,0 kg de K ha
-1
+ 498,0 kg N ha
-1
) seguido do tratamento 5 (1757,7
kg de K ha
-1
+ 585,9 kg N ha
-1
) com 11,04 cm, e o menor valor (10,56 cm) ocorreu no
tratamento 6 (647,4 kg de K ha
-1
+ 498,0 kg N ha
-1
) aos 149 dias após indução floral
(FIGURA 21 A e B). Os maiores diâmetros do fruto ocorreram nos tratamentos com
maiores doses de K, e os menores valores ocorreram nas menores doses do mesmo
elemento.
67
ŷ
T1
= - 1,6885 + 0,1136x - 0,0002*x
2
R
2
= 0,81
ŷ
T2
= - 9,1141 + 0,2839x - 0,001**x
2
R
2
= 0,93
ŷ
T3
= - 8,1466 + 0,269x - 0,001**x
2
R
2
= 0,93
ŷ
T4
= - 7,493 + 0,2629x - 0,001**x
2
R
2
= 0,940
4
ŷ
T5
= - 7,6165 + 0,2624x - 0,0009**x
2
R
2
= 0,94
3
4
5
6
7
8
9
10
11
12
59 69 79 89 99 109 119 129 139 149
Diâmetro do fruto (cm)
Dias após indução floral
T1 T2 T3 T4 T5
ŷ
T6
= - 8,0666 + 0,2669x - 0,001**x
2
R
2
= 0,94
ŷ
T7
= - 7,301 + 0,2532x - 0,0009**x
2
R
2
= 0,94
ŷ
T8
= - 8,4513 + 0,2643x - 0,0009**x
2
R
2
= 0,96
ŷ
T9
= - 6,3372 + 0,2318x - 0,0008**x
2
R
2
= 0,95
3
4
5
6
7
8
9
10
11
12
59 69 79 89 99 109 119 129 139 149
Diâmetro do fruto (cm)
Dias após indução floral
T6 T7 T8 T9
A
B
FIGURA 21.
Diâmetro do fruto do abacaxizeiro “Gold” em função dos tratamentos. T1-
957,15 kg de K ha
-1
+ 638,1 kg N ha
-1
(1,5:1), T2- 671,67 kg de K ha
-1
+
585,9 kg N ha
-1
(1,3:1), T3- 1171,8 kg de K ha
-1
+ 585,9 kg N ha
-1
(2:1), T4-
1464,75 kg de K ha
-1
+ 585,9 kg N ha
-1
(2,5:1), T5- 1757,7 kg de K ha
-1
+
585,9 kg N ha
-1
(3:1), T6- 647,4 kg de K ha
-1
+ 498,0 kg N ha
-1
(1,3:1), T7-
996,0 kg de K ha
-1
+ 498,0 kg N ha
-1
(2:1), T8- 1245,00 kg de K ha
-1
+
498,0 kg N ha
-1
(2,5:1), T9- 1494,0 kg de K ha
-1
+ 498,0 kg N ha
-1
(3:1)
68
O resultado verificado no presente estudo esta de acordo com Maeda (2005) que
avaliou doses de N (0, 140, 280 e 420 kg ha
-1
) na forma de uréia, e quatro doses de
potássio (0, 140, 280 e 420 kg de K
2
O ha
-1
) na forma de cloreto de potássio, aplicados na
base da folha do abacaxizeiro cultivar
Smooth Cayenne
, sobre o diâmetro do fruto aos 148
dias após indução floral, e verificou ausência de efeito dos tratamentos. Contudo, o
referido autor constatou que o maior diâmetro do fruto (14,09 cm) ocorreu na maior dose
de K.
Estudos realizados por outros autores (BEZERRA et al. 2001; VELOSO et al.,
2001) corroboram com os resultados obtidos neste trabalho, pois os autores verificaram
efeito das doses de K sobre o diâmetro do abacaxi, com aumento do diâmetro em função
das doses de K. O efeito do K sobre o aumento do diâmetro esta relacionado à aplicação de
doses elevadas de K, pois as mesmas interferem no volume do abacaxi, incremento do
tamanho e número de células (CARVALHO et al., 1994). De acordo com Malavolta et al.,
(1997), em plantas bem nutridas com K, maior translocação de carboidratos das folhas
para os outros órgãos da planta, entre os quais os frutos.
Com relação aos efeitos do N sobre o diâmetro do abacaxi Bhugallo (1998)
avaliou diferentes doses de N (0, 140, 280, 420, 560, 700, 840 kg de N ha
-1
) utilizando
como fonte a uréia, e verificaram ausência de efeito significativo dos tratamentos sobre o
diâmetro do fruto do abacaxi ‘Queen Victoria’, com o maior valor (10,9 cm)
correspondente ao tratamento com 280 kg de N ha
-1
e o menor valor (10,1 cm) no
tratamento com 0 kg de N ha
-1
.
5.5. PRODUÇÃO DE ABACAXI
5.5.1. Massa do fruto
Verificou-se efeito significativo (> 0,05) dos tratamentos sobre a massa média dos
frutos. A maior massa do fruto (1,44 kg) foi observada no tratamento 4 (1464,75 kg de K
ha
-1
+ 585,9 kg N ha
-1
) e a menor massa (1,08 kg) foi proporcionado pelo tratamento 1
(957,15 kg de K ha
-1
+ 638,1 kg N ha
-1
) (FIGURA 22). As maiores massas dos frutos
foram verificadas nos tratamentos com maior relação K/N na maior dose de N.
69
c
b
b
a
a
b
a
a
b
0,95
1,10
1,25
1,40
1,55
1 2 3 4 5 6 7 8 9
Massa do fruto (kg)
Tratamentos
FIGURA 22.
Massa dia de abacaxi “Gold”, colhido aos 149 dias após indução floral,
em função dos tratamentos. T1- 957,15 kg de K ha
-1
+ 638,1 kg N ha
-1
(1,5:1), T2- 671,67 kg de K ha
-1
+ 585,9 kg N ha
-1
(1,3:1), T3- 1171,8 kg de
K ha
-1
+ 585,9 kg N ha
-1
(2:1), T4- 1464,75 kg de K ha
-1
+ 585,9 kg N ha
-1
(2,5:1), T5- 1757,7 kg de K ha
-1
+ 585,9 kg N ha
-1
(3:1), T6- 647,4 kg de K
ha
-1
+ 498,0 kg N ha
-1
(1,3:1), T7- 996,0 kg de K ha
-1
+ 498,0 kg N ha
-1
(2:1), T8- 1245,00 kg de K ha
-1
+ 498,0 kg N ha
-1
(2,5:1), T9- 1494,0 kg de
K ha
-1
+ 498,0 kg N ha
-1
(3:1) médias seguidas da mesma letra, não diferem
entre si pelo teste de Scott-Knott a 5 % de probabilidade
Paula et al. (1999) estudaram o efeito da aplicação de K via vinhaça (0 - 100 - 200
- 400 m
3
/ha) ou KCl (12 g/planta de K
2
O), em solo cultivado com o abacaxizeiro cultivar
Smooth Cayenne
, e também verificaram efeito significativo dos tratamentos sobre a massa
média dos frutos, com o maior peso encontrado na maior dose de vinhaça (400 m
3
/ha) com
acréscimo de 73% em relação à testemunha. Outros autores também verificaram efeito das
doses de K e ou, N sobre o peso médio dos frutos do abacaxizeiro (TAY, 1975; RAO et al.,
1977; BEZERRA, et al., 1981; ASOEGWU, 1988; PAULA et al., 1991; GUONG et al.
1997; VELOSO et al., 2001; TEIXEIRA et al., 2002; COELHO et al., 2007). Segundo
Lacoeuilhe (1978), o desenvolvimento das plantas seriam diretamente dependente do
suprimento de N, e o rendimento de frutos estaria relacionado com o crescimento da
mesma.
Os resultados estão de acordo com Marchal et al. (1981) que ao avaliarem
diferentes relações K/N (2,5:1 e 1:1) verificaram efeito significativo dos tratamentos sobre
a massa de infrutescência do abacaxizeiro, sendo que a relação 1:1 (10 g de N + 10 g de
K
2
O como KCl) proporcionou maior peso, entretanto no presente estudo a relação que
proporcionou maior peso foi 2,5:1. Rodrigues (2009) não constatou efeitos das doses de K
70
e N sobre o peso médio do abacaxi ‘Pérola’, contudo maiores pesos foram observados na
maior dose de N. Razzaque & Hanafi (2001) observaram diminuição do peso médio dos
frutos com o aumento das doses de K sobre o cultivar Gandul, atribuindo o resultado aos
elevados níveis de K no solo o que possivelmente limitou a absorção de amônio e demais
cátions, podendo ter ocorrido desbalanço nutricional.
Os valores da massa média obtidos nos tratamentos 1, 2, 3, 6, 7 e 9 foram
inferiores a 1,35 kg, valor estimado para a massa média do abacaxi paraibano (ALMEIDA
et al., 2004), sendo que massa média dos demais tratamentos foram superiores ao referido
valor, contudo não foram superiores a 1,5 kg. A variação com relação ao peso do abacaxi
esta relacionada a fatores genéticos, ambientais e tecnológicos, além de variações espaço-
temporal em um ou mais desses fatores (SOUZA, 1999).
5.5.2. Produtividade
Houve efeito significativo dos tratamentos sobre a produtividade (FIGURA 23),
onde a maior produtividade foi verificada no tratamento 4 (68,68 t de frutos ha
-1
) e a menor
produtividade no tratamento 1 (51,41 t de frutos ha
-1
). Os maiores valores foram
verificados nos tratamentos com maiores relações K/N.
71
c
b
b
a
a
b
a
a
b
50
55
60
65
70
75
1 2 3 4 5 6 7 8 9
Produtividade (t ha
-1
)
Tratamentos
FIGURA 23.
Produtividade do abacaxi “Gold”, colhido aos 149 dias após indução floral,
em função dos tratamentos. T1- 957,15 kg de K ha
-1
+ 638,1 kg N ha
-1
(1,5:1), T2- 671,67 kg de K ha
-1
+ 585,9 kg N ha
-1
(1,3:1), T3- 1171,8 kg de
K ha
-1
+ 585,9 kg N ha
-1
(2:1), T4- 1464,75 kg de K ha
-1
+ 585,9 kg N ha
-1
(2,5:1), T5- 1757,7 kg de K ha
-1
+ 585,9 kg N ha
-1
(3:1), T6- 647,4 kg de K
ha
-1
+ 498,0 kg N ha
-1
(1,3:1), T7- 996,0 kg de K ha
-1
+ 498,0 kg N ha
-1
(2:1), T8- 1245,00 kg de K ha
-1
+ 498,0 kg N ha
-1
(2,5:1), T9- 1494,0 kg de
K ha
-1
+ 498,0 kg N ha
-1
(3:1)médias seguidas da mesma letra, não diferem
entre si pelo teste de Scott-Knott a 5 % de probabilidade
Os resultados verificados no presente estudo discordam de Rodigues (2009) que
constatou ausência de efeito significativo das relações K/N sobre a produtividade do
abacaxi ‘Pérola’, contudo o mesmo autor verificou maiores produtividades na maior dose
de N. Possivelmente, a discordância com relação ao efeito pode ser em parte atribuída as
diferentes doses de K e N aplicadas, assim como a variedade e espaçamento utilizado.
Com relação à constatação de maiores produtividades nos tratamentos com
maiores doses de K e N, possivelmente a mesma está relacionada a função dos elementos
na planta, principalmente o N. Segundo Taiz & Zeiger (2009) o N esta diretamente
relacionado com o crescimento vegetal e de acordo com Souza (2000), o N é o nutriente
que mais aumenta a produtividade do abacaxizeiro.
Os resultados corroboram com Veloso et al. (2001) e Paula et al. (1999) que
verificaram efeito significativo das doses de K sobre a produtividade dos abacaxizeiros
cultivares Pérola e
Smooth Cayenne
, respectivamente. Bezerra et al. (1981) também
verificaram efeitos das doses de N e K sobre a produtividade do cultivar
Smooth Cayenne
.
Bhugaloo (1998), estudou os efeitos da adubação nitrogenada utilizando como
fonte a uréia, com doses correspondentes a 0; 140; 280; 420; 560; 700 e 840 kg de N ha
-1
, e
constataram que a menor produtividade (68 t ha
-1
) foi correspondente a ausência de N e a
72
maior produtividade (85 t ha
-1
) foi correspondente a 420 kg de N ha
-1
. Rao et al. (1977)
também verificaram incremento da produtividade com o aumento das doses de N (0, 1, 2,
4, 8 e 16 g de N/planta), com o maior valor (87,68 ton/ha) observado na maior dose
aplicada no abacaxizeiro cultivar Kew. Magalhães et al. (1978) verificaram efeito
significativo do N sobre a produtividade do abacaxizeiro cultivar
Smooth Cayenne
.
Mustaffa (1988) também verificou efeito significativo das doses de N (400, 500, 600 e 700
kg de N ha
-1
) sobre a produtividade do abacaxizeiro cultivar Kew. Não foi verificado na
literatura consultada dados sobre a produtividade do abacaxizeiro cultivar Gold.
5.5.3. Produção comercial e refugo
De acordo com a Tabela 6 A observa-se que o maior percentual de frutos classe I
(> 0,9-1,3 kg), classe II (> 1,3-1,5 kg), classe III (> 1,5-1,8 kg), classe IV (> 1,8 kg) e
refugo (< 900 g), foram obtidos respectivamente nos tratamentos 3, 8, 8, 3 e 4, e 1.
Tabela 6.
Percentual de frutos comercializáveis das classes I (CI), II (CII), III (CIII) e IV
(CIV), e refugo (R) em função dos tratamentos
Tratamentos CI CII CIII CIV R
1 24,0 7,0 29,0 7,0 33,0
2 33,0 27,0 27,0 4,0 9,0
3 45,0 22,0 11,0 11,0 11,0
4 31,0 25,0 31,0 11,0 2,0
5 33,0 29,0 31,0 7,0 0,0
6 44,0 31,0 18,0 2,0 5,0
7 31,0 31,0 27,0 7,0 4,0
8 27,0 33,0 33,0 7,0 0,0
9 42,0 20,0 27,0 2,0 9,0
T1- 957,15 kg de K ha
-1
+ 638,1 kg N ha
-1
(1,5:1); T2- 671,67 kg de K ha
-1
+ 585,9 kg N ha
-1
(1,3:1); T3- 1171,8 kg de K ha
-1
+ 585,9 kg N ha
-1
(2:1); T4- 1464,75 kg de K ha
-1
+ 585,9 kg N ha
-
1
(2,5:1); T5- 1757,7 kg de K ha
-1
+ 585,9 kg N ha
-1
(3:1); T6- 647,4 kg de K ha
-1
+ 498,0 kg N ha
-
1
(1,3:1); T7- 996,0 kg de K ha
-1
+ 498,0 kg N ha
-1
(2:1); T8- 1245,00 kg de K ha
-1
+ 498,0 kg N
ha
-1
(2,5:1); T9- 1494,0 kg de K ha
-1
+ 498,0 kg N ha
-1
(3:1)
Os maiores percentuais de frutos da classes I, II, III e IV foram proporcionados
pelas maiores relações K/N (maior ou igual a 2:1), e os maiores percentuais de frutos
refugo foram obtidos nos tratamentos com menores relações K/N.
73
Os resultados corroboram com Spironello et al. (2004) para o cultivar
Smooth
Cayenne
, Carvalho & Oliveira (1992) e Lacerda & Choairy (1999) para o cultivar Pérola
que também constataram influencia positiva da adubação potássica sobre o aumento do
percentual de frutos das classes de maior peso. Entretanto divergem dos resultados obtidos
por Rodrigues (2009) que verificou ausência de efeitos do K sobre o aumento do
percentual de frutos com maior peso ou classe.
Com relação ao efeito positivo das maiores doses de N sobre o aumento do
percentual de frutos para consumo como fruto fresco, verificado neste estudo, o mesmo
não confirma os resultados observados por Rodrigues (2009), Spironello et al. (2004),
Lacerda & Choairy (1999), que observaram menor produção de frutos destinados ao
consumo como fruto fresco nos tratamentos com menores doses de N. Entretanto os
resultados verificados neste estudo concordam com Teixeira et al. (2002) que também
verificaram incrementos no percentual de frutos das classes de maior peso em função do
aumento das doses de N.
5.6. QUALIDADE
5.6.1. Comprimento do fruto com a coroa e da coroa
Houve efeito significativo (p = 0,05) dos tratamentos sobre o comprimento do
fruto e da coroa (FIGURA 24). O maior comprimento dos frutos foi observado no
tratamento 9 (647,4 kg de K ha
-1
+ 498,0 kg N ha
-1
) diferindo apenas do tratamento 1 com
menor valor. Maior comprimento da coroa foi observado no tratamento 6 não diferindo dos
tratamento 2, 3 e 9.
74
b
a
a
a
a
a
a
a
a
b
a
a
b
b
a
b
b
a
8
12
16
20
24
28
32
1 2 3 4 5 6 7 8 9
Comprimento (cm)
Tratamentos
Comprimento do Fruto Comprimento da Coroa
FIGURA 24.
Comprimento do fruto com coroa e comprimento da coroa do abacaxi
“Gold”, colhido aos 149 dias após indução floral, em função dos
tratamentos. T1- 957,15 kg de K ha
-1
+ 638,1 kg N ha
-1
(1,5:1), T2- 671,67
kg de K ha
-1
+ 585,9 kg N ha
-1
(1,3:1), T3- 1171,8 kg de K ha
-1
+ 585,9 kg
N ha
-1
(2:1), T4- 1464,75 kg de K ha
-1
+ 585,9 kg N ha
-1
(2,5:1), T5-
1757,7 kg de K ha
-1
+ 585,9 kg N ha
-1
(3:1), T6- 647,4 kg de K ha
-1
+
498,0 kg N ha
-1
(1,3:1), T7- 996,0 kg de K ha
-1
+ 498,0 kg N ha
-1
(2:1),
T8- 1245,00 kg de K ha
-1
+ 498,0 kg N ha
-1
(2,5:1), T9- 1494,0 kg de K
ha
-1
+ 498,0 kg N ha
-1
(3:1). Médias seguidas da mesma letra, não diferem
entre si pelo teste de Scott-Knott a 5 % de probabilidade
Os resultados estão de acordo com Bezerra et al. (1981) e Veloso et al. (2001),
que constataram efeito significativo das doses de N e K sobre o comprimento do abacaxi
cultivar
Smooth Cayenne
e Pérola, respectivamente. Os resultados também corroboram
com Bhugaloo (1998) que verificou efeito significativo das doses de N (0, 140, 280, 420,
560, 700, 840 kg de N/ha) sobre o comprimento do fruto da variedade Queen Victoria’,
contudo não verificou efeito significativo das mesmas doses sobre o comprimento da
coroa, observando aumento do comprimento da coroa com aumento das doses de N.
Mustafa (1988) verificou ausência de efeito das doses de N (400, 500, 600 e 700 kg de
N/ha) sobre o comprimento do abacaxi ‘Kew’.
Rodrigues (2009) não verificou efeito das doses de N e K sobre o comprimento
dos frutos, mas verificou efeito sobre o comprimento da coroa, contudo o mesmo autor
observou maiores valores para comprimento do fruto na menor dose de N com relação K/N
igual a 3:1, e maiores valores de comprimento de coroa para a relação 1:1 na maior dose de
N, com redução linear do comprimento da coroa dos frutos da classe I com o aumento das
doses de K. Bezerra et al (1983), também observaram ausência de efeito do N e K sobre o
comprimento do fruto do abacaxizeiro cultivar
Smooth Cayenne
. Razzaque & Hanafi
(2001) avaliaram os efeitos do K sobre a qualidade do abacaxi e verificaram efeito
75
significativo das doses de K (0, 266, 532, 798, 1064 e 1330 kg de K
2
O/ha) sobre o
comprimento do abacaxi cultivar ‘Gandul’ no local 2, com o menor comprimento
verificado na maior dose de K e o maior valor na dose 266 kg de K
2
O/ha.
A não concordância dos resultados com os autores supracitados justifica-se pelas
diferentes doses de K e N, forma de aplicação e variedades utilizadas no estudo, as quais
respondem de forma variada e especifica.
5.6.2. Diâmetro basal, médio e apical do fruto
De acordo com a Figura 25 observa-se que não houve efeito dos tratamentos sobre
os diâmetros basal, médio e apical dos frutos.
b
a
a
a
a
a
a
a
a
b
a
a
a
a
a
a
a
a
b
a
a
a
a
a
a
a
a
7,5
8,0
8,5
9,0
9,5
10,0
10,5
11,0
11,5
1 2 3 4 5 6 7 8 9
Diâmetro (cm)
Tratamentos
Base Mediano Apical
FIGURA 25.
Diâmetros basal, mediano e apical dos frutos de abacaxi “Gold”, colhido aos
149 dias após indução floral, em função dos tratamentos. T1- 957,15 kg de K
ha
-1
+ 638,1 kg N ha
-1
(1,5:1), T2- 671,67 kg de K ha
-1
+ 585,9 kg N ha
-1
(1,3:1), T3- 1171,8 kg de K ha
-1
+ 585,9 kg N ha
-1
(2:1), T4- 1464,75 kg de
K ha
-1
+ 585,9 kg N ha
-1
(2,5:1), T5- 1757,7 kg de K ha
-1
+ 585,9 kg N ha
-1
(3:1), T6- 647,4 kg de K ha
-1
+ 498,0 kg N ha
-1
(1,3:1), T7- 996,0 kg de K
ha
-1
+ 498,0 kg N ha
-1
(2:1), T8- 1245,00 kg de K ha
-1
+ 498,0 kg N ha
-1
(2,5:1), T9- 1494,0 kg de K ha
-1
+ 498,0 kg N ha
-1
(3:1) médias seguidas da
mesma letra, não diferem entre si pelo teste de Scott-Knott a 5 % de
probabilidade
Os resultados estão de acordo com Rodrigues (2009) que também verificou
ausência de efeito das relações K/N sobre o diâmetro mediano do abacaxi ‘Pérola’. Maeda
(2005) também observou ausência de efeito das doses de N (0, 140, 280 e 420 kg ha
-1
) na
forma de uréia, e quatro doses de K (0, 140, 280 e 420 kg ha
-1
de K
2
O) na forma de cloreto
76
de potássio, sobre o diâmetro do fruto do cultivar
Smooth Cayenne
. Mustafa (1988)
também verificou ausência de efeito das doses de N (400, 500, 600 e 700 kg de N/ha)
sobre a largura do abacaxi ‘Kew’. Em estudo realizado por Martins et al. (2008),
constatou-se ausência de efeito significativo do N, e presença de efeito significativo do K e
da relação K/N sobre o diâmetro do abacaxi ‘Gold’ cultivado em
Sooretama-ES em
Latossolo Vermelho Amarelo distrófico.
Em estudo avaliando diferentes doses de K (0, 266, 532, 798, 1064 e 1330 kg de
K
2
O/ha) sobre o diâmetro médio do abacaxi cultivar Gandul, Razzaque & Hanafi (2001)
verificaram efeito significativo das doses de K (0, 266, 532, 798, 1064 e 1330 kg de
K
2
O/ha) sobre o diâmetro médio do fruto, com o maior diâmetro verificado na dose de 798
K
2
O/ha e o menor valor na dose 0 kg de K
2
O/ha. Bezerra et al. (1981) também constatou
efeito significativo das doses de K (0, 8 e 16 g de K
2
O/planta) sobre o diâmetro mediano
do abacaxi cultivar
Smooth Cayenne
com maior diâmetro do fruto nas maiores doses de K.
Veloso et al. (2001), observaram aumento do diâmetro do abacaxi ‘Pérola’ com o aumento
das doses de K (0; 9; 18 e 27 g/planta de K
2
O) na forma de cloreto de potássio. Os
resultados obtidos pelos autores supracitados confirmam a influência positiva do K sobre o
diâmetro médio do fruto verificado neste estudo.
Os maiores valores de diâmetros observados nas menores doses de N encontrados
no presente trabalho, também foram constatados por Bhugallo (1998) e Veloso et al.
(2001) que verificaram ausência de efeito significativo dos tratamentos sobre o diâmetro
mediano do fruto do abacaxi ‘Queen Victoria’ e ‘Pérola’, respectivamente. Os resultados
obtidos podem estar relacionados à fonte de N, época, local e forma de aplicação. Segundo
Souza (2000) doses adequadas, fontes, formas, época e o número de aplicações estão entre
os fatores a serem considerados durante a aplicação de N no abacaxizeiro.
5.6.3. Rendimento médio da polpa
Verificou-se ausência de efeito dos tratamentos sobre o rendimento da polpa,
contudo observou-se que o tratamento 4 proporcionou maior valor (819,968 g) e o
tratamento 9 proporcionou menor valor (673,918 g) (FIGURA 26). O maior rendimento da
polpa foi obtido no tratamento 4 na relação K/N igual a 2,5:1 com 585,9 kg de N/ha,
enquanto que o menor valor foi obtido na relação 3:1 com a menor dose de N. Constatou-
se redução do peso da polpa em função da redução das doses de N.
77
a
a
a
a
a
a
a
a
a
0,60
0,65
0,70
0,75
0,80
0,85
0,90
1 2 3 4 5 6 7 8 9
Rendimento da Polpa (kg)
Tratamentos
FIGURA 26
. Rendimento da polpa de frutos de abacaxi “Gold”, colhido aos 149 dias após
indução floral, em função dos tratamentos. T1- 957,15 kg de K ha
-1
+ 638,1
kg N ha
-1
(1,5:1), T2- 671,67 kg de K ha
-1
+ 585,9 kg N ha
-1
(1,3:1), T3-
1171,8 kg de K ha
-1
+ 585,9 kg N ha
-1
(2:1), T4- 1464,75 kg de K ha
-1
+
585,9 kg N ha
-1
(2,5:1), T5- 1757,7 kg de K ha
-1
+ 585,9 kg N ha
-1
(3:1),
T6- 647,4 kg de K ha
-1
+ 498,0 kg N ha
-1
(1,3:1), T7- 996,0 kg de K ha
-1
+
498,0 kg N ha
-1
(2:1), T8- 1245,00 kg de K ha
-1
+ 498,0 kg N ha
-1
(2,5:1),
T9- 1494,0 kg de K ha
-1
+ 498,0 kg N ha
-1
(3:1) médias seguidas da mesma
letra, não diferem entre si pelo teste de Scott-Knott a 5 % de probabilidade
O maior valor do peso da polpa no tratamento 4 condiz com Iuchi (1978) que
reporta que o percentual de casca é inversamente proporcional ao de polpa. O resultado
pode ser justificado pelo elevado teor da relação K/N verificado na folha ‘D’ do tratamento
4 no momento da indução floral.
Rodrigues (2009), também verificou ausência de efeito das relações K/N sobre o
peso da polpa do abacaxi Pérola, com tendência de maiores valores para os frutos da classe
I na relação 2:1 para a maior dose de N (450 kg de N/ha) e na relação 3:1 com a menor
dose (300 kg de N/ha). Em estudo sobre a influência do K e N sobre a qualidade dos frutos
do abacaxizeiro cultivar
Smooth Cayenne
, Iuchi (1978) verificou que o rendimento da
polpa aumentou com a elevação das doses de N, não havendo efeitos significativos para as
doses de K.
5.6.4. pH da polpa
Os tratamentos não influenciaram o pH da polpa, contudo o maior valor (3,86) foi
observado no tratamento 9 (1494,0 kg de K ha
-1
+ 498,0 kg N ha
-1
) e o menor valor (3,81)
ocorreu no tratamento 2 (671,67 kg de K ha
-1
+ 585,9 kg N ha
-1
) (FIGURA 27),
78
correspondendo o maior pH a menor dose de N na relação K/N igual a 3:1, e o maior valor
de pH a relação K/N 1,5:1.
a
a
a
a
a
a
a
a
a
3,76
3,78
3,80
3,82
3,84
3,86
3,88
1 2 3 4 5 6 7 8 9
pHpH
Tratamentos
pHpH
FIGURA 27.
pH da polpa do abacaxi “Gold”, colhido aos 149 dias após indução floral, em
função dos tratamentos. T1- 957,15 kg de K ha
-1
+ 638,1 kg N ha
-1
(1,5:1),
T2- 671,67 kg de K ha
-1
+ 585,9 kg N ha
-1
(1,3:1), T3- 1171,8 kg de K ha
-1
+
585,9 kg N ha
-1
(2:1), T4- 1464,75 kg de K ha
-1
+ 585,9 kg N ha
-1
(2,5:1),
T5- 1757,7 kg de K ha
-1
+ 585,9 kg N ha
-1
(3:1), T6- 647,4 kg de K ha
-1
+
498,0 kg N ha
-1
(1,3:1), T7- 996,0 kg de K ha
-1
+ 498,0 kg N ha
-1
(2:1), T8-
1245,00 kg de K ha
-1
+ 498,0 kg N ha
-1
(2,5:1), T9- 1494,0 kg de K ha
-1
+
498,0 kg N ha
-1
(3:1)médias seguidas da mesma letra, não diferem entre si
pelo teste de Scott-Knott a 5 % de probabilidade
Os resultados podem ser atribuídos a maiores teores foliares de K/N verificados
no tratamento 9 (1245,00 kg de K ha
-1
+ 498,0 kg N ha
-1
), e menores teores de K/N no
tratamento 2 (671,67 kg de K ha
-1
+ 585,9 kg N ha
-1
) no momento da indução floral. Os
resultados não estão de acordo com Cunha et al. (1999) que afirmam que doses crescentes
de N aumentam o pH da polpa do abacaxi.
Rodrigues (2009) também observou ausência de efeito dos tratamentos sobre o pH
da polpa do abacaxi ‘Pérola’, e verificou maiores valores de pH na maior dose de N (450
kg/ha).
Os valores de pH variaram entre 3,80-3,87, estando de acordo com Botrel (1991)
que afirma que o pH da polpa de abacaxi esta em torno de 3,7 a 3-9. Contudo Py et al.
(1987) reportam que o pH da polpa de abacaxi esta em torno de 3 a 4. Em estudo realizado
por Costa (2009) com o abacaxizeiro ‘Gold’ verificou-se que os valores de pH variaram de
4,0 a 5,7 o que possivelmente esta relacionado ao diferente manejo nutricional aplicado à
cultura.
79
5.6.5.
Sólidos Solúveis (SS) e Acidez Titulável (AT)
Na Figura 28 observa-se que houve efeito significativo dos tratamentos sobre SS,
e ausência de efeito significativo dos tratamentos sobre a AT. O tratamento 9 proporcionou
maior valor de SS (31,51) e o tratamento 3 maior AT (56,35 %).
a
a
a
a
a
a
a
b
a
a
a
a
a
a
a
a
a
a
0,48
0,50
0,52
0,54
0,56
0,58
0,60
0
5
10
15
20
25
30
35
1 2 3 4 5 6 7 8 9
% Sólidos Solúveis % Acidez Titulável
Tratamentos
Acidez Titulável (%)
Sólidos Solúveis (%)
FIGURA 28. Sólidos Solúveis e Acidez da polpa do abacaxi “Gold”, colhido aos 149 dias
após indução floral, em função dos tratamentos. T1- 957,15 kg de K ha
-1
+
638,1 kg N ha
-1
(1,5:1), T2- 671,67 kg de K ha
-1
+ 585,9 kg N ha
-1
(1,3:1),
T3- 1171,8 kg de K ha
-1
+ 585,9 kg N ha
-1
(2:1), T4- 1464,75 kg de K ha
-1
+
585,9 kg N ha
-1
(2,5:1), T5- 1757,7 kg de K ha
-1
+ 585,9 kg N ha
-1
(3:1),
T6- 647,4 kg de K ha
-1
+ 498,0 kg N ha
-1
(1,3:1), T7- 996,0 kg de K ha
-1
+
498,0 kg N ha
-1
(2:1), T8- 1245,00 kg de K ha
-1
+ 498,0 kg N ha
-1
(2,5:1),
T9- 1494,0 kg de K ha
-1
+ 498,0 kg N ha
-1
(3:1)médias seguidas da mesma
letra, não diferem entre si pelo teste de Scott-Knott a 5 % de probabilidade
Os maiores valores de acidez obtidos nas maiores doses de N, não estão de acordo
com alguns autores (BHUGALLO, 1998; TAY, 1972; MUSTAFFA, 1988; PAULA et al.,
1991). Entretanto o resultado corrobora com Rodrigues (2009), que no cultivar Pérola
verificou ausência de efeito dos tratamentos sobre a referida variável, observando maiores
valores de acidez na maior dose de N.
De modo geral observou-se que quando ocorreu aumento das doses de K e
redução das doses de N, houve redução da acidez, estando de acordo
Maeda (2005) e
Veloso et al. (2001) que observaram redução da acidez à medida que se aumentou a dose
de K sobre o abacaxizeiro cultivar
Smooth Cayenne
e rola, respectivamente. Contudo,
outros autores (PAULA et al., 1999; BOTREL et al., 2004; LACOEUILHE, 1978)
verificaram incrementos na acidez com o aumento das doses de K.
80
Os resultados possivelmente estão relacionados
a maior relação K/N no
tratamento 3 (1171,8 kg de K ha
-1
+ 585,9 kg N ha
-1
) no momento da indução floral,
estando os demais tratamentos com relações K/N inferiores. A ausência de efeito
significativo das doses de K e N sobre a acidez está de acordo com Razzaqui e Hanafi
(2001) que avaliaram doses crescentes de K (0, 266, 532, 798, 1064, 1330 kg.ha
-1
)
utilizando-se como fonte o KCl no cultivar Gandul, e não verificaram efeito significativo
dos tratamentos sobre a acidez. Martins et al. (2008) estudaram o efeito da relação K/N
sobre a acidez e SS do abacaxi ‘Gold’ cultivado em
Sooretama-ES em Latossolo
Vermelho Amarelo distrófico, e verificaram efeito significativo da relação K/N sobre as
referidas variáveis.
Costa (2009) avaliando o teor de SS dos frutos do abacaxizeiro ‘Gold’ colhido
com maturação comercial aos 153 dias após indução floral verificou valores abaixo dos
obtidos no presente estudo. Entretanto, Machado (2008) também em abacaxi ‘Gold’
colhido em estádio de maturação verdoso, no Estado do Ceará, observou valores de acidez
maior do que os verificados neste estudo, o que pode estar relacionado ao diferenciado
manejo nutricional aplicado nas plantas. Cunha et al. (2007) avaliaram o comportamento
de diferentes genótipos de abacaxizeiro (Gold, Pérola, Jupi, Imperial e PE x SC-60), e
verificaram no abacaxi ‘Gold’ teor de SS e AT correspondentes a 14,5 (
ºBrix)
e 0,489 (%).
O efeito significativo das doses de K e N sobre o teor de SS corrobora com outros
autores (LACOEUILHE, 1978;
MARCHAL et al., 1981; BEZERRA et al. 1981;
MUSTAFFA, 1988; PAULA et al. 1991; OWUSU-BENOAH et al., 1997; PAULA et al.
1999; RAZZAQUE & HANAFI, 2001; TEIXEIRA et al., 2002; COELHO et al. 2007;)
que avaliaram doses de K e, ou, N. Os maiores valores de SS nos tratamentos com maiores
relações K/N podem estar relacionados com o aumento das doses de K, concordando com
Paula et al. (1998), o K aumenta o teor de açúcares.
À medida em que a relação entre os
teores foliares de K/N se aproxima de três aumenta a qualidade dos frutos de abacaxi,
indicando que eventuais aumentos no teor foliar de N, sem o correspondente incremento de
K, podem afetar a qualidade da produção (MARTIN-PRÉVEL, 1961), no entanto, o
resultado não esta de acordo com os resultados obtidos por outros autores (MAEDA, 2005;
BHUGALLO, 1998).
Os resultados também não corroboram com Costa (2009), que avaliaram o teor de
SS do abacaxi ‘Gold’ em Mamanguape-PB, e observou valores de SS, abaixo (2-10 %) dos
verificados no presente estudo. Em estudo realizado por Machado (2008) com abacaxizeiro
‘Gold’ cultivado no Estado do Ceará, utilizou-se diferente manejo nutricional, sendo
81
observado no estádio 2 (mais de 75% dos frutilhos com preenchimento amarelo no centro),
3 (mais de 75% dos frutilhos com preenchimento amarelo até próximo à borda), 4 (todos
os frutilhos com preenchimento amarelo, porém as bordas ainda encontram-se verdes)
valores de SS correspondentes a 14,8, 15,5 e 15,8, respectivamente, sendo os mesmos
muito inferiores aos resultados do presente estudo. A diferença com relação aos teores de
SS constatados pelos autores supracitados (COSTA, 2009; MACHADO 2008), pode estar
diretamente relacionada ao manejo nutricional aplicado. De acordo com Soares et al.
(2005), um dos principais fatores responsáveis pela qualidade dos frutos do abacaxizeiro é
a nutrição mineral.
5.6.6.
Relação SS/AT
Na Figura 29 verifica-se ausência do efeito dos tratamentos sobre a relação
SS/AT, sendo que a menor e a maior relação SS/AT foram verificadas respectivamente nos
tratamentos 8 (50,2) e 7 (62,5). Verificou-se que as maiores relações K/N proporcionaram
os maiores valores na relação SS/AT.
a
a
a
a
a
a
a
a
a
45
50
55
60
65
1 2 3 4 5 6 7 8 9
Relação SS/AT
Tratamentos
FIGURA 29. Relação SS/AT da polpa do abacaxi “Gold”, colhido aos 149 dias após
indução floral, em função dos tratamentos. T1- 957,15 kg de K ha
-1
+ 638,1
kg N ha
-1
(1,5:1), T2- 671,67 kg de K ha
-1
+ 585,9 kg N ha
-1
(1,3:1), T3-
1171,8 kg de K ha
-1
+ 585,9 kg N ha
-1
(2:1), T4- 1464,75 kg de K ha
-1
+
585,9 kg N ha
-1
(2,5:1), T5- 1757,7 kg de K ha
-1
+ 585,9 kg N ha
-1
(3:1),
T6- 647,4 kg de K ha
-1
+ 498,0 kg N ha
-1
(1,3:1), T7- 996,0 kg de K ha
-1
+
498,0 kg N ha
-1
(2:1), T8- 1245,00 kg de K ha
-1
+ 498,0 kg N ha
-1
(2,5:1),
T9- 1494,0 kg de K ha
-1
+ 498,0 kg N ha
-1
(3:1) médias seguidas da mesma
letra, não diferem entre si pelo teste de Scott-Knott a 5 % de probabilidade
82
Os maiores valores da relação SS/AT foram constatados nos tratamentos com
maiores relações K/N. Os resultados estão de acordo com Paula et al. (1991) que
observaram que a deficiência de K, resultou em baixos valores da relação SS/AT nos frutos
do abacaxi Pérola. Contudo, Malézieux & Bartholomew (2003), reporta que o K tem efeito
mais pronunciado no aumento da AT, podendo ocorrer redução nos valores da relação
SS/AT.
Rodrigues (2009) também verificou ausência de efeito das relações K/N sobre a
relação SS/AT em abacaxi Pérola, sendo que os maiores valores da relação SS/AT foram
obtidos na maior dose de N, observando-se que a elevação das doses de K reduziu, em
termos numéricos, a relação SS/AT. Selamat & Ramlah (1991), também verificaram
aumento da relação SS/AT com o aumento das doses de N, porém com efeito significativo
das doses de N sobre a referida variável. Owusu-Benoah et al. (1997) observaram que
doses crescentes de K e N aumentaram a relação SS/AT dos frutos do cultivar
Smooth
Cayenne
em Pokuase-Gana, com efeito positivo sobre a mesma variável sendo o maior
valor observado na maior dose de N com relação K/N igual 1,5:1.
Os resultados corroboram com Mustaffa (1988) que verificou ausência de efeito
significativo das doses de N (400, 500, 600 e 700 kg de N/ha) sobre a relação SS/AT do
abacaxi ‘Kew’, com maior relação SS/AT (14,89 %) observada na maior dose de N (700
kg de N/ha) e a menor relação (12,66 %) verificada na dose 400 kg de N/ha.
Machado (2008) verificou em abacaxi ‘Gold’ colhido em estádio verdoso (0,5 e 1)
relação SS/AT inferiores (17,6 e 17,85) as relações observadas no presente estudo.
Entretanto Costa (2009) em estudo também com abacaxi ‘Gold’ aos 153, 167 e 181 dias
após indução, verificou valores referentes à relação SS/AT (20-40) dentro da faixa de
valores observados no presente estudo. Cunha et al. (2007) avaliaram o comportamento de
diferentes genótipos de abacaxizeiro (Gold, Pérola, Jupi, Imperial e PE x SC-60), e
verificaram no abacaxi ‘Gold’ relação SS/AT igual a 30,8.
Neste sentido, torna-se importante ressaltar a influência dos valores da relação
SS/AT sobre a aceitação do fruto no mercado. Souza (1999) afirma que frutos destinados
ao mercado externo e indústria devem ter preferivelmente relação SS/AT próxima a 12, e
frutos destinados ao mercado interno devem ter relação maior que 12.
Cunha et al. (1999),
reportam que uma elevada relação SS/AT é preferível para o mercado interno, devido a
preferência por polpa mais doce. Contudo, para frutos destinados ao mercado externo que é
o caso do abacaxi ‘Gold’, é preferível que a relação SS/AT seja mais baixa, pois segundo
83
Morgan & Thompson (2000), o consumidor estrangeiro prefere frutos mais ácidos, sendo
portanto os resultados do presente estudo muito superiores ao preferível pelos estrangeiros.
5.6.7.
Ácido Ascórbico (mg 100g
-1
)
Verificou-se ausência de efeito significativo dos tratamentos sobre os teores de
ácido ascórbico (FIGURA 30).
a
a
a
a
a
a
a
a
a
40
45
50
55
60
65
1 2 3 4 5 6 7 8 9
Ácido Áscorbico (mg/100g)
Tratamentos
FIGURA 30. Teor de ácido áscorbico (mg 100 g
-1
) da polpa do abacaxi “Gold”, colhido
aos 149 dias após indução floral, em função dos tratamentos. T1- 957,15 kg
de K ha
-1
+ 638,1 kg N ha
-1
(1,5:1), T2- 671,67 kg de K ha
-1
+ 585,9 kg N
ha
-1
(1,3:1), T3- 1171,8 kg de K ha
-1
+ 585,9 kg N ha
-1
(2:1), T4- 1464,75
kg de K ha
-1
+ 585,9 kg N ha
-1
(2,5:1), T5- 1757,7 kg de K ha
-1
+ 585,9 kg
N ha
-1
(3:1), T6- 647,4 kg de K ha
-1
+ 498,0 kg N ha
-1
(1,3:1), T7- 996,0 kg
de K ha
-1
+ 498,0 kg N ha
-1
(2:1), T8- 1245,00 kg de K ha
-1
+ 498,0 kg N
ha
-1
(2,5:1), T9- 1494,0 kg de K ha
-1
+ 498,0 kg N ha
-1
(3:1) médias
seguidas da mesma letra, não diferem entre si pelo teste de Scott-Knott a 5
% de probabilidade
Os resultados não estão de acordo com Mustaffa (1988) que estudou o efeito de
diferentes doses de N (400, 500, 600 e 700 kg de N ha
-1
) na forma de uréia, e verificou
efeito significativo das doses de N sobre os teores de ácido ascórbico em frutos do
abacaxizeiro ‘Kew’, com o menor teor (12,29 mg 100 g
-1
) observado na dose 400 kg de
N/ha e o maior teor (15,10 mg 100 g
-1
) verificado na dose 700 kg de N ha
-1
.
O maior teor de ácido áscorbico foi verificado na maior dose de K no tratamento
5. Botrel et al. (2004), verificaram aumento dos teores de ácido ascórbico em função do
aumento das doses de K.
84
Os resultados referentes aos valores de ácido ascórbico do presente estudo estão
dentro da faixa observada por Machado (2008) e Costa (2009), que constataram em
abacaxi ‘Gold’ valores de ácido ascórbico variando de 30-60 mg 100 g
-1
e 30-40 mg 100 g
-
1
(aos 153 dias após indução floral) respectivamente.
5.6.8.
Firmeza do fruto integro e Firmeza da polpa
Os tratamentos exerceram efeito significativo sobre a firmeza do fruto integro e
firmeza da polpa. O maior valor para a firmeza do fruto foi observado no tratamento 1
(113,38) e diferiu significativamente dos tratamento 5 (104,26) e 7 (98,97) (FIGURA 31).
Para a firmeza da polpa o tratamento 9 possibilitou maior (40,98) firmeza, não diferindo
dos tratamentos 3 e 8.
a
a
a
a
b
a
b
a
a
b
b
a
b
b
b
b
a
a
0
20
40
60
80
100
120
140
1 2 3 4 5 6 7 8 9
Firmeza do Fruto e da Polpa (N)
Tratamentos
Firmeza do Fruto Firmeza da Polpa
FIGURA 31. Firmeza do fruto integro e firmeza da polpa (N) do abacaxi “Gold” colhido
aos 149 dias após indução floral, em função dos tratamentos. T1- 957,15 kg
de K ha
-1
+ 638,1 kg N ha
-1
(1,5:1), T2- 671,67 kg de K ha
-1
+ 585,9 kg N ha
-
1
(1,3:1), T3- 1171,8 kg de K ha
-1
+ 585,9 kg N ha
-1
(2:1), T4- 1464,75 kg de
K ha
-1
+ 585,9 kg N ha
-1
(2,5:1), T5- 1757,7 kg de K ha
-1
+ 585,9 kg N ha
-1
(3:1), T6- 647,4 kg de K ha
-1
+ 498,0 kg N ha
-1
(1,3:1), T7- 996,0 kg de K
ha
-1
+ 498,0 kg N ha
-1
(2:1), T8- 1245,00 kg de K ha
-1
+ 498,0 kg N ha
-1
(2,5:1), T9- 1494,0 kg de K ha
-1
+ 498,0 kg N ha
-1
(3:1) médias seguidas da
mesma letra, não diferem entre si pelo teste de Scott-Knott a 5 % de
probabilidade
Para o fruto integro o maior valor para firmeza verificado no tratamento 1 com
relação K/N igual 1,5:1 na maior dose de N, e o menor valor de firmeza foi verificado na
relação K/N 2:1 na menor doses de N. O resultado discorda de Faria (2008), que avaliou
quatro doses de N (4, 8, 12 e 16 g de N planta
-1
ciclo
-1
), utilizando-se a uréia como fonte de
85
N, sobre o abacaxizeiro Smooth Cayenne e verificou que o aumento na dose de adubo
nitrogenado reduziu a firmeza da casca do fruto. Os resultados também não corroboram
com Botrel et al. (2004) que afirmam que doses elevadas de N reduzem a firmeza do fruto.
Cunha et al. (1999) afirmam que doses crescentes de K implicam em efeito
positivo sobre a consistência da polpa. Segundo Paula et al (1998), o potássio aumenta a
firmeza da polpa do abacaxi fator muito importante para a exportação.
Neste experimento, a firmeza do fruto integro foi maior e a firmeza da polpa foi
menor do que o observado por Costa (2009) que obteve 100 N (fruto integro) e 50 N
(polpa) aos 153 dias após indução, em frutos de abacaxizeiro ‘Gold’ cultivado em
Mamanguape-PB, o que justifica-se pelo manejo nutricional diferenciado. Contudo,
verificou-se na literatura consultada escassez de informações que possibilitassem maiores
discussões sobre a influência das relações K/N na firmeza do fruto e da polpa do abacaxi
‘Gold’.
86
6.
CONCLUSÕES
Nas condições em que o experimento foi realizado obteve-se as seguintes conclusões:
A relação K/N 2,5:1 (1464,75 kg de K ha
-1
+ 585,9 kg de N ha
-1
) proporcionou maior
teor de K no solo, e a relação K/N 3:1 (1757,7 kg de K ha
-1
+ 585,9 kg N ha
-1
)
proporcionou maior teor de Na no solo no momento da indução floral;
A relação K/N 2,5:1 (1464,75 kg de K ha
-1
+ 585,9 kg de N ha
-1
) proporcionou maior
teor de K e elevou a relação K/Mg na folha ‘D’ do abacaxizeiro ‘Gold’ no momento da
indução floral;
A relação K/N 2,5:1 (1245,00 kg de K ha
-1
+ 498,0 kg de N ha
-1
) proporcionou maior
relação K/Ca na folha ‘D’ do abacaxizeiro ‘Gold’ no momento da indução floral;
A relação K/N 1,3:1 (671,67 kg de K ha
-1
+ 585,9 kg N ha
-1
) elevou o comprimento e
largura mediana da folha ‘D’, e as relações 2,5:1 (1245,00 kg de K ha
-1
+ 498,0 kg N ha
-
1
) e 3:1 (1494,0 kg de K ha
-1
+ 498,0 kg de N ha
-1
) elevaram, respectivamente a largura
basal e mediana da folha ‘D’;
A relação K/N 1,3:1 (647,4 kg de K ha
-1
+ 498,0 kg N ha
-1
) proporcionou maior massa
fresca e massa seca da folha ‘D’;
O comprimento da infrutescência sem coroa, comprimento da coroa e diâmetro da
infrutescência do abacaxizeiro ‘Gold’ não foram influenciados pelas relações K/N;
A relação K/N 2,5:1 (1464,75 kg de K ha
-1
+ 585,9 kg de N ha
-1
) proporcionou maior
massa do fruto e produtividade da infrutescência do abacaxizeiro ‘Gold’;
A relação K/N 1,3:1 (647,4 kg de K ha
-1
+ 498,0 kg N ha
-1
), a relação 2,5:1 (1245,00 kg
de K ha
-1
+ 498,0 kg de N ha
-1
), as relações K/N 2:1 (1171,8 kg de K ha
-1
+ 585,9 kg N
ha
-1
) e 2,5:1 (1464,75 kg de K ha
-1
+ 585,9 kg de N ha
-1
) proporcionaram,
respectivamente, maior percentual de infrutescências das classes CI, CII e CIII, CIV do
abacaxizeiro ‘Gold’;
87
A relação K/N 1,5:1 (957,15 kg de K ha
-1
+ 638,1 kg de N ha
-1
) proporcionou maior
firmeza do fruto integro e maior percentual de infrutescências com peso menor que 0,9
kg, consideradas refugo (R).
O rendimento em polpa, pH, AT, relação SS/AT e Ácido Ascórbico não foram afetados
pelas relações K/N;
A relação K/N 3:1 (1494,0 kg de K ha
-1
+ 498,0 kg de N ha
-1
) proporcionou maiores
valores de SS e firmeza da polpa das infrutescências do abacaxizeiro ‘Gold’;
88
7.
REFERÊNCIAS BIBLIOGRÁFICAS
ALVARES V. V, H.; NOVAIS, R. F.; CANTARUTTI, R. B.; LOPES, A. S. Interpretação
dos resultados da análises de solo. In: RIBEIRO, A. C.; GUIMARÃES, P. T. G.;
ALVARES V.V, H. (Ed.). Recomendação para o uso de corretivos e fertilizantes em
Minas Gerais: 5. Aproximação. Viçosa: Comissão de Fertilidade do solo do Estado de
Minas Gerais, p.25-32. 1999.
ALMEIDA, C. O.; VILAR, L. C.; SOUZA, L. F. S.; REINHARDT, D. H.; MACEDO, M.
C. Peso médio do abacaxi no Brasil: um tema em discussão. Bahia Agrícola, Salvador, n.
6, p.1-6, 2004.
ANGELES, D. E.; SUMNER, M. E.; BARBOUR, N. W. Preliminary nitrogen, phosphorus
and potassium DRIS norms for pineapple. Hortscience, v. 25, n.6, p.652-655, june 1990.
AQUINO, A. R. L.; VIEIRA, A.; AZEVEDO, J. A.; GENÚ, P. J. C.; KLIEMANN, H. J.
Nutrição mineral e adubação do abacaxizeiro. In: HAAG, P. H. Nutrição mineral e
adubação de frutíferas tropicais. Campinas: Fundação Cargill, 1986. p.31-58.
ASSOCIATION OF OFFICIAL ANALYTICAL CHEMISTS-AOAC. Official methodos
of analysis of the Association of Official Analytical Chemists. Ed.12, Washington, DC.,
1984. 1014.
ASOEGWU, S. N. Nitrogen and potassium requirement of pineapple in relation to
irrigation in Nigeria. Fertilizer Research, n.15, p.203-210, 1988.
AYRES, R. S.; WESTCOT, D. W. A qualidade da água na agricultura. Campina
Grande: Universidade Federal da Paraíba. 1999. 153p. Tradução de GHEYI, H. R.;
MEDEIROS, J. F.; DAMASCENO, F. A. V. (Estudos da FAO: Irrigação e Drenagem, 29
Revisado).
BEZERRA, J. E. F.; MAAZE, V. C.; SANTOS, V. F.; LEDERMAN, I. E. Efeito da
adubação nitrogenada, fosfatada e potássica na produção e qualidade do abacaxi cv.
Smooth Cayenne. Revista Brasileira de Fruticultura, Cruz das Almas, n. 3, p.1-5, 1981.
89
BEZERRA, J. E. F.; LEDERMAN, I. E.; ABRAMOF, L.; CAVALCANTE, U. M. T.
Sulfato e cloreto de potássio na produtividade e qualidade do abacaxi cv. Smooth Cayenne.
Revista Brasileira de Fruticultura, Cruz das Almas, n.5, p.15-20, 1983.
BHUGALLO, R. A. Effects of different levels of nitrogen on yield and quality of
pineapple variety Queen Victoria. Port Louis: Food Agricultural Research Council.,
Réduit, Mauritius, 1998, (Technical Bulletin).
BOTREL, N. Efeito do peso do fruto no escurecimento interno e qualidade do abacaxi
Smooth Cayenne. Lavras, 1991. (Dissertação - Mestrado em Fitotecnia) - Universidade
Federal de Lavras, 81 p.
BOTREL, N.; SOUZA, L. F. S.; SOARES, A. G.; MEDINA, V. M.; FREITAS, S. C.
Influencia do potássio na suscetibilidade ao escurecimento interno do abacaxi Pérola
(
Ananas comosus
L.). Revista Iberoamericana de Tecnologia Postcosecha, v.6, n.1,
p.17-23, 2004.
BREGONCI, I. S. Aclimatação e propagação de mudas micropropagadas do
abacaxizeiro Gold no sul do Estado do Espírito Santo. Dissertação (mestrado em
Produção Vegetal)-Alegre-ES, Universidade Federal do Espírito Santo – UFES, 124p,
2007.
BREGONCI, I. S.; SCHMILDT,E. R.; COELHO, R. I.; REIS, E. F.; BRUM, V. J.;
SANTOS, J. G. Adubação foliar com macro e micronutrientes no crescimento de mudas
micropropagadas do abacaxizeiro cv. Gold [
Ananas comosus
(L.) Merrill] em diferentes
recipientes. Ciência e Agrotecnologia, Lavras, v. 32, n. 3, p. 705-711, maio/jun., 2008.
CARVALHO, M. J. S.; OLIVEIRA, Z. P. Níveis de adubação para a cultura do
abacaxizeiro em alguns solos do Estado de Alagoas. Revista Brasileira de Fruticultura,
Cruz das Almas, n. 14, p.7-11, 1992.
CARVALHO, J. G.; OLIVEIRA JÚNIOR, J. P.; PAULA, M. B.; BOTREL, N. Influência
dos nutrientes na qualidade dos frutos. Informe Agropecuário, Belo Horizonte, n.17, p.
52-55, 1994.
90
CHOAIRY, S. A.; LACERDA, J. T.; FERNANDES, P. D. Adubação líquida e sólida de
nitrogênio e potássio em abacaxizeiro Smooth Cayenne na Paraíba. Pesquisa
Agropecuária Brasileira, Brasília, n. 25, p. 733-737, 1990.
COSTA, J. P. Fisiologia pós-colheita e qualidade de abacaxi ‘Golden’ produzidos na
Paraíba. 2009. 103f. Dissertação (Mestrado em Agronomia)- Universidade Federal da
Paraíba, Areia, 2009.
COELHO, R. I.; LOPES, J. C.; CARVALHO, A. J. C.; AMARAL, J. A. T.; MATTA, F. P.
Estado nutricional e características de crescimento do abacaxizeiro jupi cultivado em
latossolo amarelo distrófico em função da adubação com NPK. Ciência e Agrotecnologia,
v. 31, n. 6, p. 1696-1701, 2007.
COUTO, F. A. A. Desenvolvimento e produção do abacaxizeiro, Ananas comosus (L.)
Merr. adubado com potássio via folha e solo. 1991. 61f. Tese (Doutorado em Fitotecnia)
- Universidade Federal de Viçosa, Viçosa, 1991.
CUNHA, G. A. P. Teste preliminar sobre o controle da floração natural do abacaxizeiro.
Revista Brasileira de Fruticultura, v. 11, n. 3, p. 59-62, 1989.
CUNHA, G. A. P. Implantação da cultura. In: CUNHA, G. A. P.; CABRAL, J. R. S.;
SOUZA, L. F. (organizadores). O abacaxizeiro: cultivo, agroindústria e economia.
Brasília: Embrapa Comunicação para Transferência de Tecnologia, 1999. p.139-167.
CUNHA, G. A. P. & CABRAL, J. R. S. Taxonomia, espécies, cultivares e morfologia. In:
CUNHA, G. A. P.; CABRAL, J. R. S.; SOUZA, L. F. S., (Org.). O abacaxizeiro. Cultivo,
agroindústria e economia. Brasília: Embrapa-SPI / Cruz das Almas: Embrapa-CNPMF,
1999. p. 17-51.
CUNHA, G. A. P. 1999. Aspectos agroclimáticos. In: CUNHA, G. A. P.; CABRAL, J. R.
S.; SOUZA, L. F. S. (Org.). O abacaxizeiro: cultivo, agroindústria e economia. Brasília:
EMBRAPA, p. 53-66.
91
CUNHA, G. A. P. Abacaxi: manejo cultural e mercado. Fortaleza: Instituto Frutal, 2003.
127 p.
CUNHA; G. A. P.; CABRAL, J. R. S.; MATOS, A. P.; CALDAS, R. C. Avaliação de
genótipos de abacaxi resistentes à fusariose em Coração de Maria, Bahia. Magistra, Cruz
das Almas-BA, v. 19, n. 3, p. 219-223, jul./set., 2007.
EMBRAPA. Manual de métodos de análise e solos. 2 ed. rev. e atual. Rio de Janeiro:
EMBRAPA/CNPS, 1997. 212p.
EMPRESA BRASILEIRA DE PESQUISA AGROPECUÁRIA - EMBRAPA. Centro
Nacional de Pesquisa de Solos. Sistema brasileiro de classificação de solos. 2.ed. Rio de
Janeiro, 2006. 306p.
FAGERIA, N. K.; P, Z. F. J. Influence of pH on growth and nutrient uptake by crop
species in an plant and soil, The Hague. v. 40, p. 313-320, 1973.
FARIA, D. C. Desenvolvimento e produtividade do abacaxizeiro ‘Smooth cayenne’ em
função de adubação nitrogenada e tipos de mudas no Norte Fluminense. Tese
apresentada ao Centro de Ciências e Tecnologias Agropecuárias da Universidade Estadual
do Norte Fluminense Darcy Ribeiro, como parte das exigências para obtenção do título de
Mestre em Produção Vegetal. 2008, 67 p.
FAOSTAT. Production de produits alimentaires et agricoles. Disponível em:
http://faostat.fao.org. Acesso em: 30 de Janeiro. 2010.
FERNANDES, A. R.; CARVALHO, J. G.; CURI, N.; PINTO, J. E. B. P.; GUIMARÃES,
P. T. G. Nutrição mineral de mudas de pupunheira sob diferentes níveis de salinidade.
Pesquisa Agropecuária Brasileira, Brasília, v. 37, n. 11, p. 1613-1619, 2002.
FRANÇA, G. E. Curva de crescimento, concentração e absorção de macronutrientes
pelo abacaxizeiro (Ananas comosus L. Merril) durante um ciclo de cultura. 1976 62f.
Dissertação (Mestrado em Solos e Nutrição de Plantas) - Escola Superior de Agricultura
Luiz de Queiroz, Piracicaba, SP, 1976.
92
GIACOMELLI, E. J.; PY, C. O abacaxizeiro no Brasil. Campinas, Fundação Cargill,
1981. 101p.
GONÇALVES, N. B.; CARVALHO, V. D.; GONÇALVES, J. R. A. Efeito do cloreto de
cálcio e do tratamento hidrotérmico Na atividade enzimática e no teor de fenólicos do
abacaxi. Pesquisa Agropecuária Brasileira, Brasília, v.35, n.10, p.2075-2081, out. 2000.
GUONG, T. T.; TRANG, T. T.; MOI, L. Effect of phosphorus, lime and potassium
fertilization on aluminium uptake and pineapple yield in an sulphate soils in the Mekong
Delta, Vietnan. Acta Horticulturae, Leuven, n. 425, p. 403-410, 1997.
IBGE sistema IBGE de recuperação automática SIDRA. Disponível em:
http://www.sidra.ibge.gov.br. Acesso em: 26 de janeiro. 2010.
INSTITUTO ADOLFO LUTZ. Normas analíticas do Instituto Adolfo Lutz. São Paulo:
Instituto Adolfo Lutz, 1985.
IUCHI, V. L. Efeito de sulfato de amônio, superfosfato simples e sulfato de potássio
sobre algumas características da planta e qualidade do fruto do abacaxizeiro, Ananas
comosus (L.) Merr., variedade Smooth Cayenne. Tese (mestrado em Fitotecnia)-Viçosa-
MG, Universidade Federal de Viçosa - UFV, 61p, 1978.
LACERDA, J. T.; CHOAIRY, S. A. Adubação mineral em abacaxizeiro pérola na Paraíba.
In: BARREIRO NETO, M.; SANTOS, E. S. Abacaxicultura: contribuição tecnológica.
João Pessoa: EMEPA, 1999, p. 57-78.
LACOEUILHE, J. J. La fumure N-K de l’nanás em Côte d’Ivoire. Fruits, Paris, v. 33, n. 5,
p. 341-348, 1978.
LACOEUILHE, J. J. Cuidados com o fruto após a colheita. In: SIMPÓSIO BRASILEIRO
SOBRE ABACAXICULTURA, 1., 1982, Jaboticabal.Anais. Jaboticabal: UNESP-
Faculdade de Ciências Agrárias e Veterinárias de Jaboticabal, 1982. p.217-234.
93
MAEDA, A. S. 2005. Adubação foliar e axilar na produtividade e qualidade de
abacaxi. Tese (mestrado em Agronomia)-Ilha Solteira-SP, Universidade Estadual Paulista
- UNESP, 43p.
MACHADO, F. L. C. Conservação pós-colheita do abacaxi Golden sob atmosfera
modificada por cera de carnaúba e tratamento com 1-MCP. Tese (Doutorado em
Agronomia)-Fortaleza-CE, Universidade Federal do Ceará - UFC, 144p.
MALAVOLTA, E. ABC da Adubação. 4a edição. São Paulo SP, Editora Agronomia
Ceres, 1979. 255 p.
MALAVOLTA, E. Nutrição mineral e adubação do abacaxizeiro. In: SIMPÓSIO
BRASILEIRO DE ABACAXICULTURA, 1. Jaboticabal. Anais... Jaboticabal:
UNESP/SBF, 1982. p. 121-153.
MALAVOLTA, E.; VITTI, G. C.; OLIVEIRA, S. S. Avaliação do estado nutricional das
plantas: princípios e aplicações. 2 ed. Piracicaba: POTAFOS, 1997. 319p.
MALAVOLTA, E.; GOMES, F. P.; ALCARDE, J. C. Adubos & Adubações. São Paulo:
Nobel, 2002. 220p.
MALÉZIEUX, E.; BARTHOLOMEW, D. P. Plant nutrition. In: BARTHOLOMEW, D.
P.; PAUL, R. E.; ROHRBACH, K. G. (ed.). The Pineapple: botany, production and uses.
Honolulu: CAB, 2003, p.143-165.
MARCHAL, J.; PINON, A.; TEISSON, C. Effects de La forme d’engrais potassiques sur
la qualité de l’ananas en Côte d’Ívoire. Fruits, Paris, v.36, n.12, p.737-743, 1981.
MARTIN-PRÉVEL, P.; HUET, R.; HAENDLER, L. Potassium, calcium et magnésium
dans la nutrition de l’ananas em Guinée. III. Influence sur la qualité du fruit. Fruits, Paris,
v.16, p.161-80, 1961.
MARTINS, A. G.; VENEGAS, V. H. A.; VENTURA, J. A.; FERREIRA, J. S. J.
Correlações entre características da folha D, no momento da indução floral, e
94
características do fruto do abacaxi MD-2. In: XX Congresso Brasileiro de Fruticultura
54th Annual Meeting of the Interamerican Society for Tropical Horticulture, 12 a 17 de
Outubro de 2008 - Centro de Convenções – Vitória/ES.
MATIAS, S. S. R.; AQUINO, B. F.; FREITAS, J. A. D. Efeito de N e K nos atributos
químicos de um neossolo quartzarênico com coco fertirrigado. Rev. Acad., Ciênc. Agrár.
Ambient., Curitiba, v. 7, n. 1, p. 91-99, 2009.
MELO, B.; GALVÃO, S. R. A. A.; LOPES, P. S. N.; SILVA, A. P. P.; MARTINS, M.;
SANTANA, J. G.; LUZ, J. M. Q. Doses de ethephon e comprimentos de folhas D sobre
algumas características do abacaxizeiro, cv Smooth Cayenne no triângulo mineiro.
Bioscience Jounal, Uberlândia, v. 23, n. 1, p. 7-13, 2007.
MEURER, E. J. Potássio. In: FERNANDES, M. S. Nutrição Mineral de Plantas. Viçosa-
MG: Sociedade Brasileira de Ciência do Solo, 2006, 432p.
MORGAN, T.; THOMPSON, T. Del Monte mixes and matches Costa Rican products.
Americafruit, v. 3, p. 45 - 47, 2000.
MUSTAFFA, M. M. Influence of plant population and nitrogen on fruit yield quality and
leaf content of Kew pineapple. Fruits, Paris, v. 43, n.7-8, p. 455-458,1988.
ODA, C. H. & WILLIAMS, D. D. F. Pineapple plant named ‘CO-2’, Patente de número
PP8863 dos Estados Unidos da América. Califórnia, Agosto de 1994.
OLIVEIRA, F. A.; CARMELLO, Q. A. C.; MASCARENHAS, H. A. A. Disponibilidade
de potássio e suas relações com cálcio e magnésio em soja cultivada em casa-de-vegetação.
Scientia Agricola, v.58, n.2, p.329-335, abr./jun. 2001.
OLIVEIRA, E. F.; CARVALHO, R.. A; LACERDA, J. T.; CHOAIRY, S. A.; BARREIRO
NETO, M. Abacaxi: sistema de cultivo para o tabuleiro paraibano. João Pessoa:
EMEPA, 2002. 38p.il.
95
OWUSU-BENNOAH, E.; AHENKORAH, Y.; NUTSUKPO. Effect of different levels of
N:K
2
O on the yield and quality of pineapple in the Forest-Savanna Ecotone of Ghana.
Acta Horticulturae, Leuven, n. 425, p.393-402, 1997.
PARAÍBA, Governo do Estado. 1985. Atlas Geográfico da Paraíba. Secretaria de
Educação, UFPB. João Pessoa, 100 p.
PAULA, M. B.; CARVALHO, J. G.; NOGUEIRA, F. D.; SILVA, C. R. R. Exigências
nutricionais do abacaxizeiro. Informe Agropecuário, Belo Horizonte, v.11, n.130, p.27-
31, 1985.
PAULA, M. B.; CARVALHO, V. D.; NOGUEIRA, F. D.; SOUZA, L. F. S. Efeito da
calagem, potássio e nitrogênio na produção e qualidade do fruto do abacaxizeiro. Revista
Brasileira de Fruticultura, Jaboticabal, n. 26, p.1337-1343, 1991.
PAULA, M. B.; MESQUITA, H. A.; NOGUEIRA, F. D. Nutrição e adubação do
abacaxizeiro. Informe Agropecuário, Belo Horizonte, n. 19, p. 33-39, 1998.
PAULA, M. B.; HOLANDA, F. S. R.; MESQUITA, H. A.; CARVALHO, V. D. Uso da
vinhaça no abacaxizeiro em solo de baixo potencial de produção. Pesquisa Agropecuária
Brasileira, Brasília, v.34, n.7, p.1217-1222, jul. 1999.
POMMER, C. V.; BARBOSA, W. The impact of breeding on fruit production in warm
climates of Brazil. Revista Brasileira de Fruticultura, Jaboticabal - SP, v. 31, n. 2, p.
612-634, Junho 2009.
PY, C.; LACOEUILHE, J. J.; TEISSON, C. The pineapple, cultivation and uses. Paris:
G. P. Maisonneuve & Larose, 1987. 568p.
RAIJ, B. V. Fertilidade do solo e adubação. Piracicaba: POTAFOS, 1991. 343p.
RAMOS, M. J. M.; MONNERAT, P. H.; CARVALHO, A. J. C.; PINTO, J. L. A.; SILVA,
J. A. Sintomas visuais de deficiência de macronutrientes e de boro em abacaxizeiro
96
‘Imperial’. Revista Brasileira de Fruticultura, Jaboticabal - SP, v. 31, n. 1, p. 252-256,
Março 2009.
RAO, H. M.; SUBRAMANIANT, T.R.; SRINIVASA MURTHY, H.K.; SINGH, H.P.;
DASS, H.C.; GANAPATHY, K.M. Leaf nitrogen as influenced by varying levels of
nitrogen application and its relationship with yield in ‘Kew’ pineapple. Scientia
Horticulturae, Athens, n. 7, p.137-142, 1977.
RAZZAQUE, A. H. M.; HANAFI, M. M. (2001) Effect of potassium on growth, yield and
quality of pineapple in tropical peat. Cirad/EDP Sciences. Fruits, 56 (1): 45-49.
REBOLLEDO-MARTI´NEZ, L.; URIZA, D. E., REBOLLEDO-MARTI´NEZ, A.; ZA´
GADA, G. Slip production of MD-2 hybrid pineapple by three methods: gaullin, leaf
pruning and a growth regulator. Acta Horticulturae v.666, p.277–285, 2005.
REINHARDT, D. H. Avaliação agroeconômica de um sistema de produção de abacaxi.
Pesquisa Agropecuária Brasileira, Brasília, n. 15, p. 223-228, 1980.
REINHARDT, D. H.; CUNHA, G. A. P. Manejo da floração. In: REINHARDT, D. H.;
SOUZA, L. F. S.; CABRAL, J. R. S. Abacaxi: produção- aspectos técnicos. Brasília:
EMBRAPA, 2000. p. 41-45.
RODRIGUES, A. A.; MENDONÇA, R. M. N.; SILVA, S. M.; SANTOS, A. F.; MOURA,
F. T.; SILVA, A. P.; OLIVEIRA, E. F.; PEREIRA, W. E.; SOUZA, A. P.; SANTOS, D.
Crescimento de plantas de abacaxi cv. Imperial no Litoral Paraibano. In: XVIII Congresso
Brasileiro de Fruticultura, 2004, Florianópolis-SC. Anais do XVIII Congresso Brasileiro
de Fruticultura, 2004.
RODRIGUES, A. A. Desenvolvimento e teores foliares de nutrientes dos cultivares de
abacaxi Pérola, Smooth Cayenne e Imperial nas condições edafoclimáticas do Estado
da Paraíba. 2005. 102 f. Dissertação (Mestrado em Agronomia) - Universidade Federal da
Paraíba, Areia, 2005.
RODRIGUES, A. A., MENDONÇA, R. M. N.; SILVA, S. M; SILVA, A. P.; LACERDA,
J. T.; VILAR, L. C. Teores de micronutrientes em abacaxizeiros 'Pérola' e 'Smooth
97
Cayenne' no Estado da Paraíba. In: SIMPÓSIO INTERNACIONAL DO ABACAXI, 6
2007. João Pessoa-PB. Resumos... João Pessoa, PB: ISHS/EMBRAPA, 2007.
RODRIGUES, A. A. Nutrição mineral, produção, qualidade e análise econômica do
abacaxizeiro cv. Pérola em função das relações K/N. 2009. 167 f. Tese (Doutorado em
Agronomia) - Universidade Federal da Paraíba, Areia, 2009.
SAEG. Sistema para Análises Estatísticas. Versão 9.0. Viçosa: Fundação Arthur
Bernardes, 2007.
SAMPAIO, A. C.; CUNHA, R. J. P.; CUNHA, A. R. Influência do nitrogênio, de épocas
de plantio e do ácido 2,3-clorofenoxipropiônico sobre a produtividade e épocas de
produção do abacaxizeiro cv. Smooth Cayenne. Revista Brasileira de Fruticultura, Cruz
das Almas, v.19, n.2, p.169-177, 1997.
SANTOS, A. F. Desenvolvimento e maturação de abacaxi e processamento mínimo de
infrutescências colhidas sob boas práticas agrícolas e tratadas com 1-MCP. Tese de
doutorado apresentada à Universidade Federal da Paraíba, como parte das exigências do
Programa de Pós-Graduação em Agronomia. 2006, 253 p.
SELAMAT, M. M.; RAMLAH, M. The response of pineapple cv gandul to Nitrogen,
Phosphorus, and Potassium on peat soil in Malaysia. Acta Horticulturae, Amsterdam, v.
334, p. 247-254, 1993.
SIDERIS, C. P.; YOUNG, H. Y. Effects of potassium on the nitrogenous constituents of
Ananas comosus (L) Merr. Plant Phisiology, Baltimore, n. 21, p.218-232, 1947.
SILVA, A. P. Sistema de recomendação de fertilizantes e corretivos para acultura do
abacaxizeiro. Tese (Doutorado em Solos e Nutrição de Plantas) - Universidade Federal de
Viçosa, Viçosa, 2006, 169 f.
SILVA, A. P.; SOUZA, A. P.; ALVAREZ V., V. H.; DANTAS, J. P.; CELESTINO, A. P.
Q.; OLIVEIRA, F. P. Estudo das relações entre Ca, Mg, K e CTC em solos da região
abacaxicultora do Estado da Paraíba. In: FERTBIO 2004 REUNIÃO BRASILEIRA DE
98
FERTILIDADE DO SOLO E NUTRIÇÃO DE PLANTAS, 26 2004, Lages-SC. Anais...
Lages-SC: FERTBIO, 2004 - REUNIÃO BRASILEIRA DE FERTILIDADE DO SOLO E
NUTRIÇÃO DE PLANTAS, 26 2004. Lages-SC.
SOARES, A. G.; TRUGO L. C.; BOTREL, N.; SOUZA, L. F. S. Reduction of internal
browning of pineapple fruit (Ananas comusus L.) by preharvest soil application of
potassium. Postharvest Biology and Technology, Amsterdan, v. 35, p.201-207, 2005.
SPIRONELLO, A.; QUAGGIO, J. A.; TEIXEIRA, L. A. J.; FURLANI, R.; SIGRIST, J.
M. M. Pineapple yield and fruit quality effected by NPK fertilization in a tropical soil.
Revista Brasileira de Fruticultura, Jaboticabal, v.26, n.1, p.155-159, 2004.
SOUZA, L. F. S. Correção de acidez e adubação. In: CUNHA, G. A. P.; CABRAL, J. R.
S.; SOUZA, L. F. S. (Orgs.). O abacaxizeiro: cultivo, agroindústria e economia. Brasília,
DF: Embrapa, 1999. p. 169-202.
SOUZA, L. F. S. (1999) Exigências edáficas e nutricionais. In: CUNHA, G. A. P.;
CABRAL, J. R. S.; SOUZA, L. F. S. (eds.). O abacaxizeiro, Cultivo, agroindústria e
economia. Brasília: Embrapa comunicação para transferência de Tecnologia, p. 67-77.
SOUZA, L. F. S. 1999. Nutrição do abacaxizeiro. In: CUNHA, G. A. P.; CABRAL, J. R.
S.; SOUZA, L. F. S. (Org.). O abacaxizeiro: cultivo, agroindústria e economia. Brasília:
EMBRAPA, p. 181-182.
SOUZA, L. F. S. Adubação. In: REINHARDT, D. H.; SOUZA, L. F. S.; CABRAL, J. R.
S. Abacaxi. Produção: aspectos técnicos. Brasília: EMBRAPA, 2000, p. 30- 34.
SOUZA, J. S.; SOUZA, L. F. S. Aspectos socioeconômicos. In: REINHARDT, D. H.;
SOUZA, L. F. S.; CABRAL, J. R. S. (Org.) Abacaxi. Produção: Aspectos técnicos. Cruz
das almas: EMBRAPA Mandioca e Fruticultura; Brasília, DF: EMBRAPA Comunicação
para Transferência de Tecnologia, 2000. p.10; il; (Frutas do Brasil; 7).
SOUZA, L. F.; GONÇALVES, N. B.; CALDAS, R. C.; SOARES, A. G.; MEDINA, V. M.
Influência da adubação potássica nos teores foliares de nutrientes do abacaxizeiro 'Pérola'.
99
In: CONGRESSO BRASILEIRO DE FRUTICULTURA, 17., 2002, Belém. Anais...
Belém: SBF, 2002. CD-ROM.
SOUZA, C. B.; SILVA, B. B.; AZEVEDO, P. V. Crescimento e rendimento do
abacaxizeiro nas condições climáticas dos Tabuleiros Costeiros do Estado da Paraíba.
Revista Brasileira de Engenharia Agrícola e Ambiental, Campina Grande, v.11, n. 2,
p.134-141, 2007.
TAIZ, L. & ZEIGER, E. Nutrição Mineral. Cap.5. p.95. In: Fisiologia Vegetal. 3. Ed.
Porto Alegre: Artmed, 2009.
TAY, T. H. Effects of N and K on the growth, mean fruit weight and fruit quality of
pineapple. Mardi Res. Bull., v.3, n.1, p.1-14,1975.
TAM, R. K.; MAGISTAD, O. C. Relationship between nitrogen fertilization and
Chlorophyll content in pineapple plants. Plant Physiology, v.10, n.1, p.159-168, 1935.
TEDESCO, M. J.; GIANELLO, C.; BISSANI, C. A.; BOHNEN, H.; VOLKWEISS, S. J.
Análise de solo, planta e outros materiais. Porto Alegre: UFRGS, 1995. 174 p.
TEIXEIRA, L. A. J.; SPIRONELLO, A.; FURLANI, P. R.; SIGRIST, J. M. M.
Parcelamento da adubação NPK em abacaxizeiro. Revista Brasileira de Fruticultura,
Jaboticabal - SP, v. 24, n. 1, p. 219-224, abril 2002.
THEODORO, V. C. A.; ALVARENGA, M. I. N.; GUIMARÃES, R. J.; SOUZA, C. A. S.
Alterações químicas em solo submetido a diferentes formas de manejo do cafeeiro.
Revista Brasileira de Ciência do Solo, Viçosa, n. 276, p.1039-1047, 2003.
VELOSO, C. A. C.; OEIRAS, A. H. L.; CARVALHO, E. J. M.; SOUZA, F. R. S.
Resposta do abacaxizeiro à adição de nitrogênio, potássio e calcário em Latossolo Amarelo
do Nordeste paraense. Revista Brasileira de Fruticultura, v. 23, n.2, p.396-402, 2001.
100
ANEXOS
101
TABELA 7. Analise de variância referente a pH, teores de P, K, Ca, Mg e Na no solo, na
profundidade de 0-20 cm, aos 270, 300, 330, 360 e 510 dias após primeira
adubação foliar correspondente aos tratamentos
F.V. G.L
Quadrado Médio
P K Ca Mg Na
Bloco 2 3696,794 51,787 0,707 0,178 0,002
K/N 8 31130,25 250,739** 0,407 0,058 0,010**
Erro (a) 16 38344,45 80,121 0,415 0,148 0,004
Época (EP) 4 173976,3 6823,109 1,295 0,474 0,122
EP x K/N 32 11693,14 277,923 0,186 0,106 0,005
Resíduo 72 16258,31 100,334 0,289 0,083 0,007
C.V. (%) 21,48 22,66 17,65 17,01 18,43
** e * significativo a 1 e 5 %, respectivamente, pelo teste F.
TABELA 8. Analise de variância referente aos teores foliares de N, P, K, Ca e Mg aos
270, 300, 330 e 360 dias após o plantio para os tratamentos
F.V G.L
Quadrado Médio
N P K Ca Mg K/N K/Ca K/Mg
Bloco 2 4,007 0,163 40,206 0,041 0,067 0,883 27,229 40,028
K/N 8 2,473 0,344 102,104** 0,165 0,108 0,960 55,936**
70,142**
Erro (a) 16 2,210 0,337 45,067 0,254 0,112 0,585 9,250 34,094
Época(EP)
3 40,661 0,967 442,916 11,163
0,248 2,977 1441,139
417,671
EP x K/N 24 2,799 0,361 38,493 0,622 0,095 0,697 84,174 28,886
Resíduo 54 1,460 0,355 40,971 0,194 0,088 0,590 14,452 24,765
C.V. (%) 11,49 16,90 16,309 19,94 18,73 20,23 18,93 19,53
** e * significativo a 1 e 5 %, respectivamente, pelo teste F.
102
TABELA 9. Analise de variância referente ao comprimento, largura basal, largura
mediana, massa fresca e massa seca da folha ‘D’ aos 270, 300, 330 e 360
dias após o plantio
F.V G.L
Quadrado Médio
Comprimento Largura
basal
Largura
mediana
Massa
fresca
Massa
seca
Bloco 02 325,6461 0,2942 0,0316 31,6889 4,3887
K/N 08 95,8965** 0,434**1 0,3902** 62,7763** 4,6282**
Erro (a) 16 88,2786 0,2484 0,2096 31,7830 2,7203
Época (EP) 03 2126,418 3,0351 33,7280 5202,860 425,9784
EP x N/K 24 4,7554 0,0206 0,0346 11,9331 1,2502
Resíduo 60 2,54 0,0218 0,0524 73067 0,7194
C.V. (%)
2,37 2,25 3,20 7,84 8,10
** e * significativo a 1 e 5 %, respectivamente, pelo teste F.
TABELA 10. Analise de variância referente a comprimento do fruto (CF), comprimento
da coroa (CC), diâmetro basal (DB), mediano (DM) e apical (DA) do
abacaxi Gold
F.V. G.L. Quadrado Médio
CF CC DB DM DA
Tratamento 8
15.78536
18.5377* 0.45547
n.s
0.636107 0.882702**
Resíduo 207 11,70081 8.53524 0.51381 0.34876 0.428040
C.V. (%) 11,451 17,554 7,235 5,439 6,86
** e * significativo a 1 e 5 %, respectivamente, pelo teste F.
TABELA 11. Analise de variância referente a peso da polpa (PP), firmeza do fruto
integro (FF), firmeza da polpa (FP) do abacaxi Gold
F.V. G.L. Quadrado Médio
PP FF FP
Tratamento 8 48968,
56
481,7903** 227,2873**
Resíduo 207 33135,89 128,2816 83,1226
C.V. (%) 24,41 10,437 24,985
** e * significativo a 1 e 5 %, respectivamente, pelo teste F
103
TABELA 12. Analise de variância referente a pH (pH), ácido ascórbico (AA), sólidos
solúveis (SS), acidez (AT) e relação SS/AT da polpa do abacaxi Gold
F.V. G.L. Quadrado Médio
pH AA SS AT SS/AT
Tratamento 8 0,00402 3481,855 37,6583**
0,00694 163,3967
Residuo 83 0,01584 4306,547 12,4294 0,05321 1374,763
C.V (%) 3,28 7,51 11,764 5,37 6,02
** e * significativo a 1 e 5 %, respectivamente, pelo teste F
Livros Grátis
( http://www.livrosgratis.com.br )
Milhares de Livros para Download:
Baixar livros de Administração
Baixar livros de Agronomia
Baixar livros de Arquitetura
Baixar livros de Artes
Baixar livros de Astronomia
Baixar livros de Biologia Geral
Baixar livros de Ciência da Computação
Baixar livros de Ciência da Informação
Baixar livros de Ciência Política
Baixar livros de Ciências da Saúde
Baixar livros de Comunicação
Baixar livros do Conselho Nacional de Educação - CNE
Baixar livros de Defesa civil
Baixar livros de Direito
Baixar livros de Direitos humanos
Baixar livros de Economia
Baixar livros de Economia Doméstica
Baixar livros de Educação
Baixar livros de Educação - Trânsito
Baixar livros de Educação Física
Baixar livros de Engenharia Aeroespacial
Baixar livros de Farmácia
Baixar livros de Filosofia
Baixar livros de Física
Baixar livros de Geociências
Baixar livros de Geografia
Baixar livros de História
Baixar livros de Línguas
Baixar livros de Literatura
Baixar livros de Literatura de Cordel
Baixar livros de Literatura Infantil
Baixar livros de Matemática
Baixar livros de Medicina
Baixar livros de Medicina Veterinária
Baixar livros de Meio Ambiente
Baixar livros de Meteorologia
Baixar Monografias e TCC
Baixar livros Multidisciplinar
Baixar livros de Música
Baixar livros de Psicologia
Baixar livros de Química
Baixar livros de Saúde Coletiva
Baixar livros de Serviço Social
Baixar livros de Sociologia
Baixar livros de Teologia
Baixar livros de Trabalho
Baixar livros de Turismo